Michael Carter

http://BookOfMichael.com


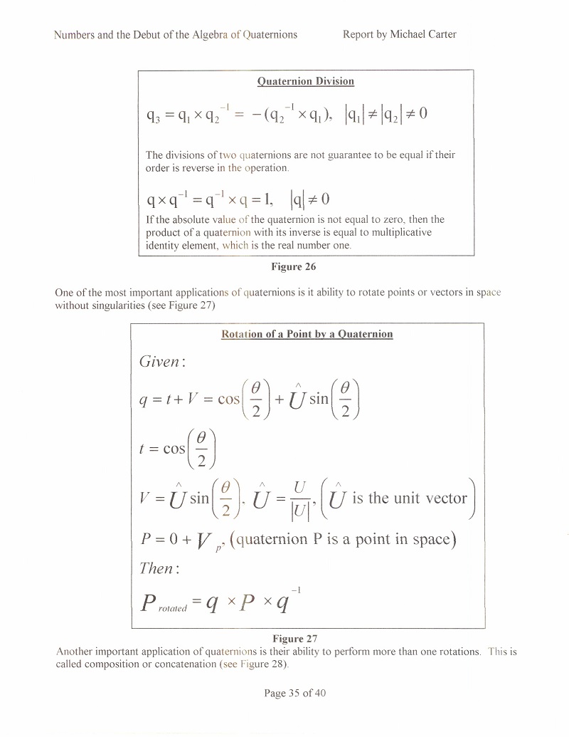
Please Wait...