Maple 13 Questions and Posts

These are Posts and Questions associated with the product, Maple 13



restart; with(Student[NumericalAnalysis]); with(PDEtools, casesplit, declare); x := .5; a := 1; b := .5; d := 1; Q := 2; omega := .4; h1 := 1+a*cos(x); h2 := -d-b*cos(x+omega); F := Q-1-d; de := diff(alpha*f(y), y, y, y, y)+G*(diff(theta(y), y, y))+B*(diff(phi(y), y, y))+6*beta*(diff(f(y), y, y))*(diff(f(y), y, y, y))^2+3*beta*(diff(f(y), y, y, y, y))*(diff(f(y), y, y))^2 = 0, diff(theta(y), y, y)+Nb*(diff(theta(y), y))*(diff(phi(y), y))+Nt*(diff(theta(y), y))^2 = 0, diff(phi(y...

Hi every one,

How can I get bouble Curl of this equation

 

 

 

In the above equation, the first term has the Laplacian, the second one has the gradient and in the term "k" is the unit vector and also u=(u1,u2,u3). sqrt(R) is a constant. 

 

hi guys,

say i have an expression like this:

Hi,

I want to solve this  fractional differential system in maple please help me.

 


                          (alpha)
                         D        y[0](x) = 0

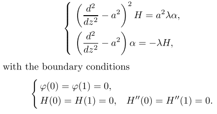
I am new to maple. The problem I am facing is to get a non-trivial

solution of a system of odes. But maple gve me only trivial solution.

 

# The system of odequations I am trying to solve is (Please note that in the bcs phi is alpha.)

 

 

# The solution of the above sys of odes is of the form, (note x3=z, its just a typo)

Hi guys,

I have an expression, say like this:

2*x*(sum(w[i]*Y[i], i = 1 .. t))+2*a[0]*(sum(w[i]*x[i], i = 1 .. t))-2*a[0]*x*(sum(w[i], i = 1 .. t))

and i want to simplify the expression like this:

Hi,

I am a beginner and am trying to solve the following PDE but get an error. 

PDE:=-diff(f(x1,x2),x1,x1)-diff(f(x1,x2),x2,x2) = a^2*f(x1,x2);

IBC := {D[1](f)(0,x2) = 0, D[1](f)(L1,0) = 0, D[1](f)(x1,0) = 0, D[1](f)(x1,L2) = 0};

ans := pdsolve(IBC,PDE);

"Error, (in pdsolve/BC) unable to handle derivatives in BCs involving arbitrary
 functions _Fn(...)"

Please guide me.

Hi all! 
Is there any possibility in Maple to perform symbolic operations with arbitrary matrices (possibly given only the size of the matrix or it's structure (block matrices, diagonal matrix and so on)). For example, I would like to obtain the following results (input -> output). 

Possible code: 

assume(A, Matrix(n)): assume(B, Matrix): assume(E,IdentityMatrix(n)): 

Hello All ,

I have attached my workseet for reference.

I find it strange that the solutions calculated in optimization shows a value "X" but when i try a value greater than "X" , there is still a solution available which is very irregular.Since the optimization finds the value beyond which the solution for a6 is zero/negative.

I am not sure what is causing this problem or is it just the problem with the optimization.

Hi!

I've got this annoying problem and it's quite simple reproducible.

> with(GraphTheory): G := Graph({{a, b}, {b, c}, {c, d}}); Edges(G);

Edges(G) returns me

Error, (in EdgesExt) external library libgraphtheory.so could not be found/used

 

It's the first time I encounter such a problem and have no idea on how to solve it, any advice?

I can see that libgraphtheory.so...

 

 

 

 

 

 

 

 

 

proc5.mw

 

 

 



I have a problem in determine the relation between two variables in a polynomial equation f(l2,v)=0. The results of two methods puzzled me.
The first method I tried is use the fsolve command.
In equation f(l2,v)=0,the range for v is [3405,5054] and l2 is a complex variable.
I plotted the figure for the l2=l2(v) in complex plane.Because the degree of l2 is 8, I have eight curves in the figure.
Obviously, the order in the result of fsolve is indefinite, so it can...

hi,

I am trying to solve a system of non linear simultaneous equations.

It keeps showing the warning that solution may have been lost.

I need urgent help.


Download eqn.mw

 

Thank you.

i am successfully transforming a 2D plot, when doing the exact analog thing to a 3D plot i get the error message 

Error, (in t) invalid input: unknown uses a 3rd argument, z, which is missing

 

i have no idea what's going on, please advise.

 

i made a minimum example:

this works:

> restart:with(plots):with(plottools):
> norm2:=x->x[1]^2+x[2]^2:
> N:=[0,1]:
> phi:=(x,y)->N+2*([x,y]-N)/norm2([x,y]-N):
First 30 31 32 33 34 35 36 Last Page 32 of 55