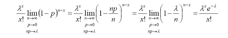
Question: Poisson Distribution

How to do this with Maple? Is it possible?

 

http://www.mapleprimes.com/view.aspx?sf=126882/423474/poissonHRI-1.jpg

Gracias

 

 

Please Wait...