Question: Why does match return results that depend on the main variable?

 

 

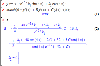
Please, consider this example:

I wonder why the match function returns TRUE and expressions that depend on the main variable x. I hope that someone can give me an explanation.

Best, Henning

Please Wait...