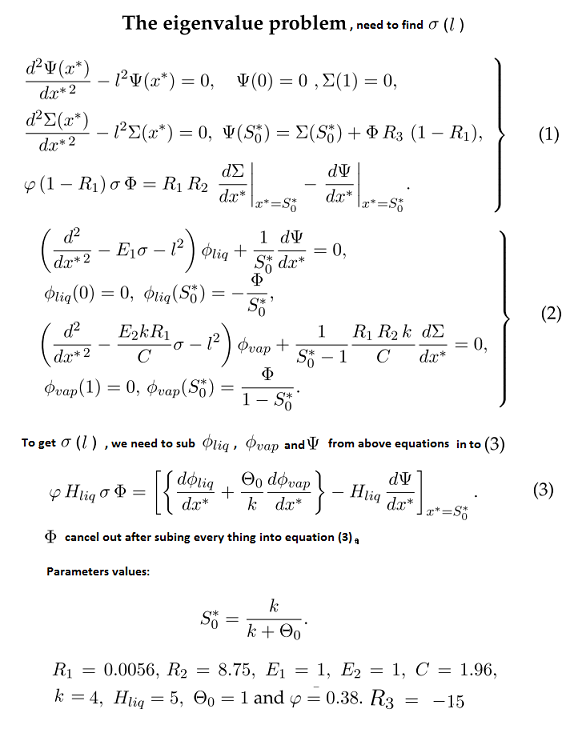
Question: Appropriate numerical scheme for this eigen value problem

I am looking for a numerical scheme which can easly handle such type of problem.

I already had the analytical results of this problem, now I want to know how to treat this problem numerically.

Any idea, then please let me know.

Thanks

Please Wait...