Question: Test for equality of expressions



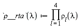
`ρ__rta` := proc (lambda) options operator, arrow; product(rho[l](lambda), l = 1 .. 4) end proc

proc (lambda) options operator, arrow; product(rho[l](lambda), l = 1 .. 4) end proc

(1)

`ρ__ham` := proc (lambda) options operator, arrow; rho[5](lambda)*RVS(theta, B) end proc

proc (lambda) options operator, arrow; rho[5](lambda)*RVS(theta, B) end proc

(2)

`ρ__aft` := proc (lambda) options operator, arrow; product(rho[l](lambda), l = 6 .. N__op) end proc

proc (lambda) options operator, arrow; product(rho[l](lambda), l = 6 .. N__op) end proc

(3)

`ρ__fix` := proc (lambda) options operator, arrow; `ρ__rta`(lambda)*rho[5](lambda)*`ρ__aft`(lambda) end proc

proc (lambda) options operator, arrow; `ρ__rta`(lambda)*rho[5](lambda)*`ρ__aft`(lambda) end proc

(4)

`ρ__sys` := proc (theta, lambda) options operator, arrow; RVS(theta, B)*(product(`ρ__l`(lambda), l = 1 .. N__op)) end proc

proc (theta, lambda) options operator, arrow; RVS(theta, B)*(product(`ρ__l`(lambda), l = 1 .. N__op)) end proc

(5)

simplify(`ρ__sys`(theta, lambda)-(product(`ρ__l`(lambda), l = 1 .. N__op))*RVS(theta, B))

0

(6)

simplify(`ρ__sys`(theta, lambda)-`ρ__fix`(lambda)*RVS(theta, B))

RVS(theta, B)*(-rho[1](lambda)*rho[2](lambda)*rho[3](lambda)*rho[4](lambda)*rho[5](lambda)*(product(rho[l](lambda), l = 6 .. N__op))+`ρ__l`(lambda)^N__op)

(7)

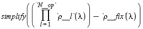
simplify(product(`ρ__l`(lambda), l = 1 .. N__op)-`ρ__fix`(lambda))

-rho[1](lambda)*rho[2](lambda)*rho[3](lambda)*rho[4](lambda)*rho[5](lambda)*(product(rho[l](lambda), l = 6 .. N__op))+`ρ__l`(lambda)^N__op

(8)

``

It seems that the simplify for equations 7 and 8 should be 0 (zero); however, they only come out 0 if I assign a numeric value to N__op. This is the case whether or not I declare N__op a constant or not. Is there some rule or assumption I would need to add, other than assigning a numeric value to N__op to get expressions 7 and 8 to produce 0 as I believe they should.

Download RadiometricEquations.mw

Please Wait...