Question: simplify an equation

hi.

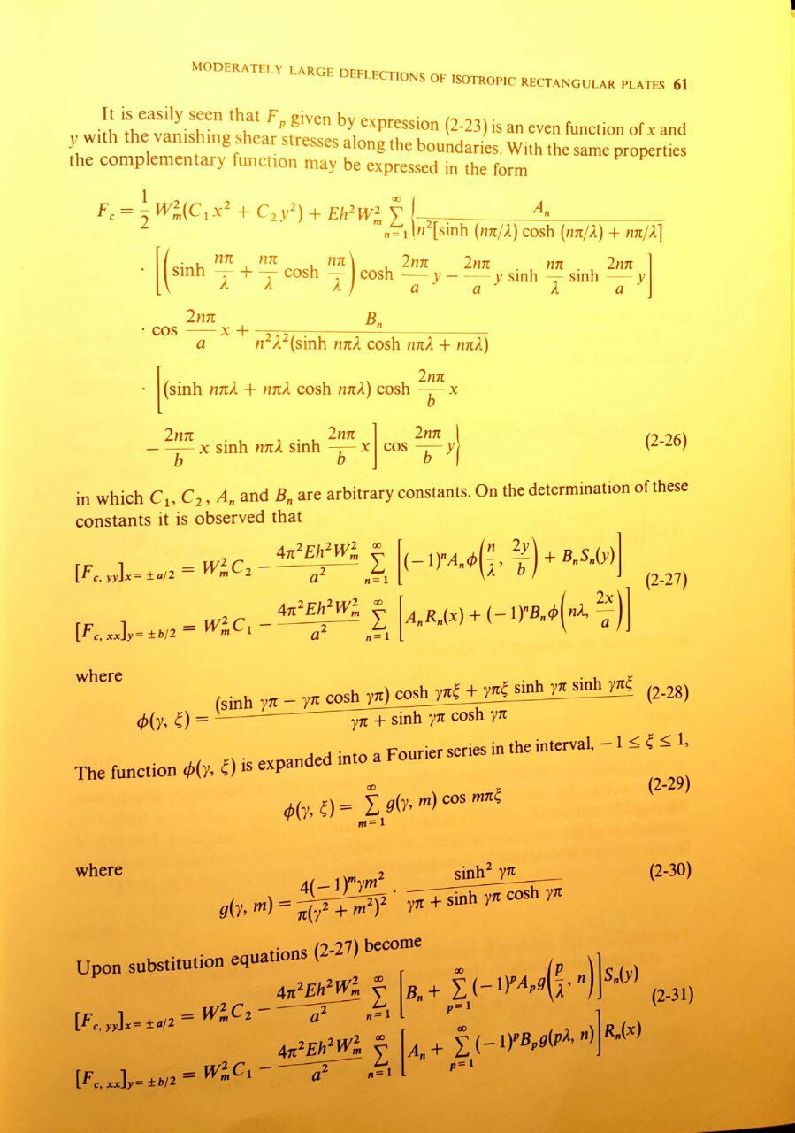
According to the fhgure attaceh how i can gain the equation (2-27) . I write the equation (2-26) in maple but I couldnot to gain that result.

If possible to reach equation via maple?

Thanks

diff.mw
 

restart

FC := (1/2)*W_m^2*(c1*x^2+c2*y^2)+(E.(h^2))*W_m^2*(sum(An*((sinh(n*Pi/lambda)+n*Pi*cosh(n*Pi/lambda)/lambda)*cosh(2*n*Pi*y/a)-2*n*Pi*y*sinh(n*Pi/lambda)*sinh(2*n*Pi*y/a)/a)*cos(2*n*Pi*x/a)/(n^2*(sinh(n*Pi/lambda)*cosh(n*Pi/lambda)+n*Pi/lambda))+Bn*((sinh(n*Pi*lambda)+n*Pi*lambda*cosh(n*Pi*lambda))*cosh(2*n*Pi*x/b)-2*n*Pi*x*sinh(n*Pi*lambda)*sinh(2*n*Pi*x/b)/b)*cos(2*n*Pi*y/b)/(lambda^2*n^2*(sinh(n*Pi*lambda)*cosh(n*Pi*lambda)+n*Pi*lambda)), n = 1 .. n))

Warning,  computation interrupted

 

S := diff(FC, x); SS := diff(S, x)

g := subs(x = (1/2)*a, SS)

0

(1)

coeff(g, sinh(n*Pi/lambda))

0

(2)

``


 

Download diff.mw

Please Wait...