Question: Why dsolve do not resolve constant of integration given IC when using implicit

Given an ode with IC. When solution is explicit, Maple resolves the constant of integration as expected and returns solution with no c__1 in it.

But when asked for implicit solution, also with same IC, it now returns solution with c__1 still there.

Is this by design or a bug? Should not constant of integration be resolved using IC in both cases? If unable to solve for c__1 because solution is implicit, should it then not return solution all?

Does this happen in earlier versions of Maple?

 

restart;

interface(version);

`Standard Worksheet Interface, Maple 2025.1, Linux, June 12 2025 Build ID 1932578`

Physics:-Version();

`The "Physics Updates" version in the MapleCloud is 1878 and is the same as the version installed in this computer, created 2025, September 28, 11:35 hours Pacific Time.`

SupportTools:-Version();

`The Customer Support Updates version in the MapleCloud is 29 and is the same as the version installed in this computer, created June 23, 2025, 10:25 hours Eastern Time.`

restart;

IC:=D(y)(0)=0;
ode:=diff(y(x),x)^2+x*y(x)=0:
sol:=dsolve([ode,IC]);

 

(D(y))(0) = 0

y(x) = 0, y(x) = -(1/9)*x^3

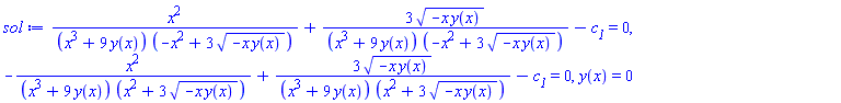
sol:=dsolve(ode,'implicit');

y(x) = 0, -x^2/((x^3+9*y(x))*(x^2+3*(-x*y(x))^(1/2)))+3*(-x*y(x))^(1/2)/((x^3+9*y(x))*(x^2+3*(-x*y(x))^(1/2)))-c__1 = 0, x^2/((x^3+9*y(x))*(-x^2+3*(-x*y(x))^(1/2)))+3*(-x*y(x))^(1/2)/((x^3+9*y(x))*(-x^2+3*(-x*y(x))^(1/2)))-c__1 = 0

#WHY did not resolve constant of integration here??
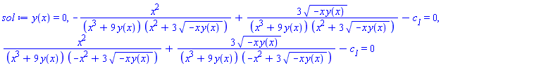
sol:=dsolve([ode,IC],'implicit');

x^2/((x^3+9*y(x))*(-x^2+3*(-x*y(x))^(1/2)))+3*(-x*y(x))^(1/2)/((x^3+9*y(x))*(-x^2+3*(-x*y(x))^(1/2)))-c__1 = 0, -x^2/((x^3+9*y(x))*(x^2+3*(-x*y(x))^(1/2)))+3*(-x*y(x))^(1/2)/((x^3+9*y(x))*(x^2+3*(-x*y(x))^(1/2)))-c__1 = 0, y(x) = 0

 


 

Download why_C_still_in_solution_maple_2025_1_oct_4_2025.mw

Please Wait...