Question: How remove integral sign by replacing a finction which have integral inside the pdes?

i don't know how replace the function which remove the sign of integral even i know the author replaced by sin(t) and t and combined them like the picture but i don't know why my pdes not give me zero 

h-pde-M.mw

restart

with(PDEtools)

with(LinearAlgebra)

NULL

with(SolveTools)

_local(gamma)

Warning, A new binding for the name `gamma` has been created. The global instance of this name is still accessible using the :- prefix, :-`gamma`.  See ?protect for details.

 

NULL

`There is no more prime differentiation variable; all derivatives will be displayed as indexed functions`

(1)

declare(u(x, y, z, t))

u(x, y, z, t)*`will now be displayed as`*u

(2)

declare(f(x, y, z, t))

f(x, y, z, t)*`will now be displayed as`*f

(3)

pde1 := diff(u(x, y, z, t), x, t)+f(t)*(diff(u(x, y, z, t)*(diff(u(x, y, z, t), x)), x))+g(t)*(diff(u(x, y, z, t), `$`(x, 4)))+Omega(t)*(diff(u(x, y, z, t), `$`(x, 2)))+chi(t)*(diff(u(x, y, z, t), y, x))+p(t)*(diff(u(x, y, z, t), x, z))+m(t)*(diff(u(x, y, z, t), `$`(y, 2)))+n(t)*(diff(u(x, y, z, t), `$`(z, 2)))

diff(diff(u(x, y, z, t), t), x)+f(t)*((diff(u(x, y, z, t), x))^2+u(x, y, z, t)*(diff(diff(u(x, y, z, t), x), x)))+g(t)*(diff(diff(diff(diff(u(x, y, z, t), x), x), x), x))+Omega(t)*(diff(diff(u(x, y, z, t), x), x))+chi(t)*(diff(diff(u(x, y, z, t), x), y))+p(t)*(diff(diff(u(x, y, z, t), x), z))+m(t)*(diff(diff(u(x, y, z, t), y), y))+n(t)*(diff(diff(u(x, y, z, t), z), z))

(4)

pde := subs({f(t) = g(t), m(t) = -g(t), n(t) = -g(t)}, pde1)

diff(diff(u(x, y, z, t), t), x)+g(t)*((diff(u(x, y, z, t), x))^2+u(x, y, z, t)*(diff(diff(u(x, y, z, t), x), x)))+g(t)*(diff(diff(diff(diff(u(x, y, z, t), x), x), x), x))+Omega(t)*(diff(diff(u(x, y, z, t), x), x))+chi(t)*(diff(diff(u(x, y, z, t), x), y))+p(t)*(diff(diff(u(x, y, z, t), x), z))-g(t)*(diff(diff(u(x, y, z, t), y), y))-g(t)*(diff(diff(u(x, y, z, t), z), z))

(5)

thetai := x+l[i]*y+l[i]*z+w[i](t)

x+l[i]*y+l[i]*z+w[i](t)

(6)

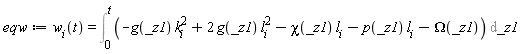
eqw := w[i](t) = Int(-g(_z1)*k[i]^2+2*g(_z1)*l[i]^2-chi(_z1)*l[i]-p(_z1)*l[i]-Omega(_z1), _z1 = 0 .. t)

w[i](t) = Int(-g(_z1)*k[i]^2+2*g(_z1)*l[i]^2-chi(_z1)*l[i]-p(_z1)*l[i]-Omega(_z1), _z1 = 0 .. t)

(7)

Bij := proc (i, j) options operator, arrow; -6/(l[i]-l[j])^2 end proc

proc (i, j) options operator, arrow; -6/(l[i]-l[j])^2 end proc

(8)

Bij(1, 2)

-6/(l[1]-l[2])^2

(9)

E := eval(thetai, eqw)

x+l[i]*y+l[i]*z+Int(-g(_z1)*k[i]^2+2*g(_z1)*l[i]^2-chi(_z1)*l[i]-p(_z1)*l[i]-Omega(_z1), _z1 = 0 .. t)

(10)

NULL

theta1 := normal(eval(eval(thetai, eqw), i = 1)); theta2 := normal(eval(eval(thetai, eqw), i = 2))

x+l[1]*y+l[1]*z+Int(-g(_z1)*k[1]^2+2*g(_z1)*l[1]^2-chi(_z1)*l[1]-p(_z1)*l[1]-Omega(_z1), _z1 = 0 .. t)

 

x+l[2]*y+l[2]*z+Int(-g(_z1)*k[2]^2+2*g(_z1)*l[2]^2-chi(_z1)*l[2]-p(_z1)*l[2]-Omega(_z1), _z1 = 0 .. t)

(11)

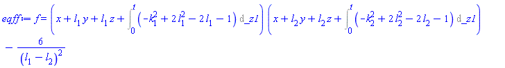
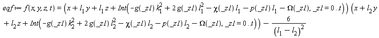
eqf := f(x, y, z, t) = (l[1]*y+l[1]*z+x+Int(-g(_z1)*k[1]^2+2*g(_z1)*l[1]^2-chi(_z1)*l[1]-p(_z1)*l[1]-Omega(_z1), _z1 = 0 .. t))*(l[2]*y+l[2]*z+x+Int(-g(_z1)*k[2]^2+2*g(_z1)*l[2]^2-chi(_z1)*l[2]-p(_z1)*l[2]-Omega(_z1), _z1 = 0 .. t))-6/(l[1]-l[2])^2

f(x, y, z, t) = (x+l[1]*y+l[1]*z+Int(-g(_z1)*k[1]^2+2*g(_z1)*l[1]^2-chi(_z1)*l[1]-p(_z1)*l[1]-Omega(_z1), _z1 = 0 .. t))*(x+l[2]*y+l[2]*z+Int(-g(_z1)*k[2]^2+2*g(_z1)*l[2]^2-chi(_z1)*l[2]-p(_z1)*l[2]-Omega(_z1), _z1 = 0 .. t))-6/(l[1]-l[2])^2

(12)

eq17 := u(x, y, z, t) = 12*(diff(diff(f(x, y, z, t), x), x))/f(x, y, z, t)-12*(diff(f(x, y, z, t), x))^2/f(x, y, z, t)^2

u(x, y, z, t) = 12*(diff(diff(f(x, y, z, t), x), x))/f(x, y, z, t)-12*(diff(f(x, y, z, t), x))^2/f(x, y, z, t)^2

(13)

eqff := eval(eqf, {Omega = (proc (t) options operator, arrow; 1 end proc), chi = (proc (t) options operator, arrow; 1 end proc), g = (proc (t) options operator, arrow; 1 end proc), i = 1, p = (proc (t) options operator, arrow; 1 end proc)})

f(x, y, z, t) = (x+l[1]*y+l[1]*z+Int(-k[1]^2+2*l[1]^2-2*l[1]-1, _z1 = 0 .. t))*(x+l[2]*y+l[2]*z+Int(-k[2]^2+2*l[2]^2-2*l[2]-1, _z1 = 0 .. t))-6/(l[1]-l[2])^2

(14)

eqt := eval(eq17, eqff)

u(x, y, z, t) = 24/((x+l[1]*y+l[1]*z+Int(-k[1]^2+2*l[1]^2-2*l[1]-1, _z1 = 0 .. t))*(x+l[2]*y+l[2]*z+Int(-k[2]^2+2*l[2]^2-2*l[2]-1, _z1 = 0 .. t))-6/(l[1]-l[2])^2)-12*(2*x+l[2]*y+l[2]*z+Int(-k[2]^2+2*l[2]^2-2*l[2]-1, _z1 = 0 .. t)+l[1]*y+l[1]*z+Int(-k[1]^2+2*l[1]^2-2*l[1]-1, _z1 = 0 .. t))^2/((x+l[1]*y+l[1]*z+Int(-k[1]^2+2*l[1]^2-2*l[1]-1, _z1 = 0 .. t))*(x+l[2]*y+l[2]*z+Int(-k[2]^2+2*l[2]^2-2*l[2]-1, _z1 = 0 .. t))-6/(l[1]-l[2])^2)^2

(15)

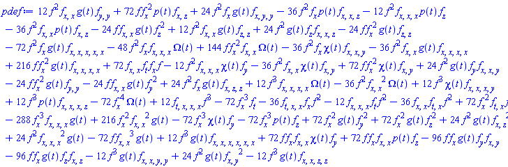
pdef := numer(normal(eval(pde, eq17)))

-24*f(x, y, z, t)*(diff(f(x, y, z, t), x))^2*g(t)*(diff(diff(f(x, y, z, t), z), z))-24*f(x, y, z, t)*(diff(diff(f(x, y, z, t), x), x))*g(t)*(diff(f(x, y, z, t), z))^2+12*f(x, y, z, t)^2*(diff(diff(f(x, y, z, t), x), x))*g(t)*(diff(diff(f(x, y, z, t), z), z))+24*f(x, y, z, t)^2*g(t)*(diff(f(x, y, z, t), z))*(diff(diff(diff(f(x, y, z, t), x), x), z))-36*f(x, y, z, t)^2*(diff(f(x, y, z, t), x))*p(t)*(diff(diff(diff(f(x, y, z, t), x), x), z))-12*f(x, y, z, t)^2*(diff(diff(diff(f(x, y, z, t), x), x), x))*p(t)*(diff(f(x, y, z, t), z))-36*f(x, y, z, t)^2*(diff(diff(f(x, y, z, t), x), x))*p(t)*(diff(diff(f(x, y, z, t), x), z))+72*f(x, y, z, t)*(diff(f(x, y, z, t), x))^2*p(t)*(diff(diff(f(x, y, z, t), x), z))+24*f(x, y, z, t)^2*(diff(f(x, y, z, t), x))*g(t)*(diff(diff(diff(f(x, y, z, t), x), y), y))+12*f(x, y, z, t)^2*(diff(diff(f(x, y, z, t), x), x))*g(t)*(diff(diff(f(x, y, z, t), y), y))+24*f(x, y, z, t)^2*g(t)*(diff(f(x, y, z, t), y))*(diff(diff(diff(f(x, y, z, t), x), x), y))-24*f(x, y, z, t)*(diff(f(x, y, z, t), x))^2*g(t)*(diff(diff(f(x, y, z, t), y), y))-24*f(x, y, z, t)*(diff(diff(f(x, y, z, t), x), x))*g(t)*(diff(f(x, y, z, t), y))^2+24*f(x, y, z, t)^2*(diff(f(x, y, z, t), x))*g(t)*(diff(diff(diff(f(x, y, z, t), x), z), z))-12*f(x, y, z, t)^2*(diff(diff(diff(f(x, y, z, t), x), x), x))*chi(t)*(diff(f(x, y, z, t), y))-36*f(x, y, z, t)^2*(diff(diff(f(x, y, z, t), x), x))*chi(t)*(diff(diff(f(x, y, z, t), x), y))+72*f(x, y, z, t)*(diff(f(x, y, z, t), x))^2*chi(t)*(diff(diff(f(x, y, z, t), x), y))+24*f(x, y, z, t)^2*g(t)*(diff(diff(f(x, y, z, t), x), z))^2+24*f(x, y, z, t)^2*(diff(diff(diff(f(x, y, z, t), x), x), x))^2*g(t)-72*f(x, y, z, t)*(diff(diff(f(x, y, z, t), x), x))^3*g(t)+12*f(x, y, z, t)^3*g(t)*(diff(diff(diff(diff(diff(diff(f(x, y, z, t), x), x), x), x), x), x))+12*f(x, y, z, t)^3*(diff(diff(diff(diff(f(x, y, z, t), x), x), x), x))*Omega(t)-36*f(x, y, z, t)^2*(diff(diff(f(x, y, z, t), x), x))^2*Omega(t)+12*f(x, y, z, t)^3*chi(t)*(diff(diff(diff(diff(f(x, y, z, t), x), x), x), y))+12*f(x, y, z, t)^3*p(t)*(diff(diff(diff(diff(f(x, y, z, t), x), x), x), z))-12*f(x, y, z, t)^3*g(t)*(diff(diff(diff(diff(f(x, y, z, t), x), x), y), y))+24*f(x, y, z, t)^2*g(t)*(diff(diff(f(x, y, z, t), x), y))^2-12*f(x, y, z, t)^3*g(t)*(diff(diff(diff(diff(f(x, y, z, t), x), x), z), z))-36*(diff(diff(diff(f(x, y, z, t), t), x), x))*(diff(f(x, y, z, t), x))*f(x, y, z, t)^2-12*(diff(diff(diff(f(x, y, z, t), x), x), x))*(diff(f(x, y, z, t), t))*f(x, y, z, t)^2-36*(diff(diff(f(x, y, z, t), x), x))*(diff(diff(f(x, y, z, t), t), x))*f(x, y, z, t)^2+72*(diff(f(x, y, z, t), x))^2*(diff(diff(f(x, y, z, t), t), x))*f(x, y, z, t)-288*(diff(f(x, y, z, t), x))^3*(diff(diff(diff(f(x, y, z, t), x), x), x))*g(t)+216*(diff(f(x, y, z, t), x))^2*(diff(diff(f(x, y, z, t), x), x))^2*g(t)-72*(diff(f(x, y, z, t), x))^3*chi(t)*(diff(f(x, y, z, t), y))-72*(diff(f(x, y, z, t), x))^3*p(t)*(diff(f(x, y, z, t), z))+72*(diff(f(x, y, z, t), x))^2*g(t)*(diff(f(x, y, z, t), y))^2+72*(diff(f(x, y, z, t), x))^2*g(t)*(diff(f(x, y, z, t), z))^2-72*(diff(f(x, y, z, t), x))^4*Omega(t)+12*(diff(diff(diff(diff(f(x, y, z, t), t), x), x), x))*f(x, y, z, t)^3-72*(diff(f(x, y, z, t), x))^3*(diff(f(x, y, z, t), t))+72*f(x, y, z, t)*(diff(f(x, y, z, t), x))*(diff(diff(f(x, y, z, t), x), x))*chi(t)*(diff(f(x, y, z, t), y))+72*f(x, y, z, t)*(diff(f(x, y, z, t), x))*(diff(diff(f(x, y, z, t), x), x))*p(t)*(diff(f(x, y, z, t), z))-96*f(x, y, z, t)*(diff(f(x, y, z, t), x))*g(t)*(diff(f(x, y, z, t), y))*(diff(diff(f(x, y, z, t), x), y))-96*f(x, y, z, t)*(diff(f(x, y, z, t), x))*g(t)*(diff(f(x, y, z, t), z))*(diff(diff(f(x, y, z, t), x), z))+72*(diff(diff(f(x, y, z, t), x), x))*(diff(f(x, y, z, t), t))*(diff(f(x, y, z, t), x))*f(x, y, z, t)-36*f(x, y, z, t)^2*(diff(diff(f(x, y, z, t), x), x))*g(t)*(diff(diff(diff(diff(f(x, y, z, t), x), x), x), x))+216*f(x, y, z, t)*(diff(f(x, y, z, t), x))^2*g(t)*(diff(diff(diff(diff(f(x, y, z, t), x), x), x), x))-72*f(x, y, z, t)^2*(diff(f(x, y, z, t), x))*g(t)*(diff(diff(diff(diff(diff(f(x, y, z, t), x), x), x), x), x))-48*f(x, y, z, t)^2*(diff(f(x, y, z, t), x))*(diff(diff(diff(f(x, y, z, t), x), x), x))*Omega(t)+144*f(x, y, z, t)*(diff(f(x, y, z, t), x))^2*(diff(diff(f(x, y, z, t), x), x))*Omega(t)-36*f(x, y, z, t)^2*(diff(f(x, y, z, t), x))*chi(t)*(diff(diff(diff(f(x, y, z, t), x), x), y))

(16)

A := CodeTools:-Usage(simplify(eval(pdef, eqff)))

memory used=0.81MiB, alloc change=0 bytes, cpu time=0ns, real time=12.00ms, gc time=0ns

 

-72*(-(Int(1, _z1 = 0 .. t))*k[1]^2-(Int(1, _z1 = 0 .. t))*k[2]^2+2*(Int(1, _z1 = 0 .. t))*l[1]^2+2*(Int(1, _z1 = 0 .. t))*l[2]^2-2*(Int(1, _z1 = 0 .. t))*l[1]-2*(Int(1, _z1 = 0 .. t))*l[2]+l[1]*y+l[2]*y+l[1]*z+l[2]*z-2*(Int(1, _z1 = 0 .. t))+2*x)^3*((-k[1]^2+2*l[1]^2-2*l[1]-1)*(x+l[2]*y+l[2]*z+(-k[2]^2+2*l[2]^2-2*l[2]-1)*(Int(1, _z1 = 0 .. t)))+(x+l[1]*y+l[1]*z+(-k[1]^2+2*l[1]^2-2*l[1]-1)*(Int(1, _z1 = 0 .. t)))*(-k[2]^2+2*l[2]^2-2*l[2]-1))-1152*((l[2]^2-(1/2)*k[1]^2-(1/2)*k[2]^2+l[1]^2-l[2]-l[1]-1)*(Int(1, _z1 = 0 .. t))+(1/2)*(y+z)*l[2]+(1/2)*(y+z)*l[1]+x)^4*Omega(t)+3456*((l[2]^2-(1/2)*k[1]^2-(1/2)*k[2]^2+l[1]^2-l[2]-l[1]-1)*(Int(1, _z1 = 0 .. t))+(1/2)*(y+z)*l[2]+(1/2)*(y+z)*l[1]+x)^2*g(t)+288*((x+l[1]*y+l[1]*z+(-k[1]^2+2*l[1]^2-2*l[1]-1)*(Int(1, _z1 = 0 .. t)))*(x+l[2]*y+l[2]*z+(-k[2]^2+2*l[2]^2-2*l[2]-1)*(Int(1, _z1 = 0 .. t)))-6/(l[1]-l[2])^2)*(-(Int(1, _z1 = 0 .. t))*k[1]^2-(Int(1, _z1 = 0 .. t))*k[2]^2+2*(Int(1, _z1 = 0 .. t))*l[1]^2+2*(Int(1, _z1 = 0 .. t))*l[2]^2-2*(Int(1, _z1 = 0 .. t))*l[1]-2*(Int(1, _z1 = 0 .. t))*l[2]+l[1]*y+l[2]*y+l[1]*z+l[2]*z-2*(Int(1, _z1 = 0 .. t))+2*x)^2*Omega(t)+144*((-k[1]^2+2*l[1]^2-2*l[1]-1)*(x+l[2]*y+l[2]*z+(-k[2]^2+2*l[2]^2-2*l[2]-1)*(Int(1, _z1 = 0 .. t)))+(x+l[1]*y+l[1]*z+(-k[1]^2+2*l[1]^2-2*l[1]-1)*(Int(1, _z1 = 0 .. t)))*(-k[2]^2+2*l[2]^2-2*l[2]-1))*(2*x+l[2]*y+l[2]*z+(-k[2]^2+2*l[2]^2-2*l[2]-1)*(Int(1, _z1 = 0 .. t))+l[1]*y+l[1]*z+(-k[1]^2+2*l[1]^2-2*l[1]-1)*(Int(1, _z1 = 0 .. t)))*((x+l[1]*y+l[1]*z+(-k[1]^2+2*l[1]^2-2*l[1]-1)*(Int(1, _z1 = 0 .. t)))*(x+l[2]*y+l[2]*z+(-k[2]^2+2*l[2]^2-2*l[2]-1)*(Int(1, _z1 = 0 .. t)))-6/(l[1]-l[2])^2)+72*(-(Int(1, _z1 = 0 .. t))*k[1]^2-(Int(1, _z1 = 0 .. t))*k[2]^2+2*(Int(1, _z1 = 0 .. t))*l[1]^2+2*(Int(1, _z1 = 0 .. t))*l[2]^2-2*(Int(1, _z1 = 0 .. t))*l[1]-2*(Int(1, _z1 = 0 .. t))*l[2]+l[1]*y+l[2]*y+l[1]*z+l[2]*z-2*(Int(1, _z1 = 0 .. t))+2*x)^2*(-k[1]^2-k[2]^2+2*l[1]^2+2*l[2]^2-2*l[1]-2*l[2]-2)*((x+l[1]*y+l[1]*z+(-k[1]^2+2*l[1]^2-2*l[1]-1)*(Int(1, _z1 = 0 .. t)))*(x+l[2]*y+l[2]*z+(-k[2]^2+2*l[2]^2-2*l[2]-1)*(Int(1, _z1 = 0 .. t)))-6/(l[1]-l[2])^2)-576*((2*l[2]^2*l[1]+(-k[1]^2+2*l[1]^2-4*l[1]-1)*l[2]+(-k[2]^2-1)*l[1])*(Int(1, _z1 = 0 .. t))+(2*(y+z)*l[1]+x)*l[2]+x*l[1])*((l[2]^2-(1/2)*k[1]^2-(1/2)*k[2]^2+l[1]^2-l[2]-l[1]-1)*(Int(1, _z1 = 0 .. t))+(1/2)*(y+z)*l[2]+(1/2)*(y+z)*l[1]+x)^3*chi(t)-576*((2*l[2]^2*l[1]+(-k[1]^2+2*l[1]^2-4*l[1]-1)*l[2]+(-k[2]^2-1)*l[1])*(Int(1, _z1 = 0 .. t))+(2*(y+z)*l[1]+x)*l[2]+x*l[1])*((l[2]^2-(1/2)*k[1]^2-(1/2)*k[2]^2+l[1]^2-l[2]-l[1]-1)*(Int(1, _z1 = 0 .. t))+(1/2)*(y+z)*l[2]+(1/2)*(y+z)*l[1]+x)^3*p(t)+576*((2*l[2]^2*l[1]+(-k[1]^2+2*l[1]^2-4*l[1]-1)*l[2]+(-k[2]^2-1)*l[1])*(Int(1, _z1 = 0 .. t))+(2*(y+z)*l[1]+x)*l[2]+x*l[1])^2*((l[2]^2-(1/2)*k[1]^2-(1/2)*k[2]^2+l[1]^2-l[2]-l[1]-1)*(Int(1, _z1 = 0 .. t))+(1/2)*(y+z)*l[2]+(1/2)*(y+z)*l[1]+x)^2*g(t)-72*(l[2]+l[1])*chi(t)*(-6+(l[1]-l[2])^2*(k[2]^2-2*l[2]^2+2*l[2]+1)*(k[1]^2-2*l[1]^2+2*l[1]+1)*(Int(1, _z1 = 0 .. t))^2-(2*((-y-z)*l[1]-x)*l[2]^2+(2*(-y-z)*l[1]^2+4*(y+z)*l[1]+k[1]^2*y+k[1]^2*z+2*x+y+z)*l[2]-2*x*l[1]^2+(y*k[2]^2+z*k[2]^2+2*x+y+z)*l[1]+x*(k[1]^2+k[2]^2+2))*(l[1]-l[2])^2*(Int(1, _z1 = 0 .. t))+((y+z)*l[1]+x)*(y+z)*l[2]^3+(2*(-y-z)*l[1]+x)*((y+z)*l[1]+x)*l[2]^2-2*l[1]*((1/2)*(-y-z)*l[1]+x)*((y+z)*l[1]+x)*l[2]+x*(y+z)*l[1]^3+x^2*l[1]^2)^2/(l[1]-l[2])^4+48*(l[2]+l[1])^2*g(t)*(-6+(l[1]-l[2])^2*(k[2]^2-2*l[2]^2+2*l[2]+1)*(k[1]^2-2*l[1]^2+2*l[1]+1)*(Int(1, _z1 = 0 .. t))^2-(2*((-y-z)*l[1]-x)*l[2]^2+(2*(-y-z)*l[1]^2+4*(y+z)*l[1]+k[1]^2*y+k[1]^2*z+2*x+y+z)*l[2]-2*x*l[1]^2+(y*k[2]^2+z*k[2]^2+2*x+y+z)*l[1]+x*(k[1]^2+k[2]^2+2))*(l[1]-l[2])^2*(Int(1, _z1 = 0 .. t))+((y+z)*l[1]+x)*(y+z)*l[2]^3+(2*(-y-z)*l[1]+x)*((y+z)*l[1]+x)*l[2]^2-2*l[1]*((1/2)*(-y-z)*l[1]+x)*((y+z)*l[1]+x)*l[2]+x*(y+z)*l[1]^3+x^2*l[1]^2)^2/(l[1]-l[2])^4-96*((x+l[1]*y+l[1]*z+(-k[1]^2+2*l[1]^2-2*l[1]-1)*(Int(1, _z1 = 0 .. t)))*(x+l[2]*y+l[2]*z+(-k[2]^2+2*l[2]^2-2*l[2]-1)*(Int(1, _z1 = 0 .. t)))-6/(l[1]-l[2])^2)*g(t)*(-(Int(1, _z1 = 0 .. t))*k[1]^2*l[2]-(Int(1, _z1 = 0 .. t))*k[2]^2*l[1]+2*(Int(1, _z1 = 0 .. t))*l[1]^2*l[2]+2*(Int(1, _z1 = 0 .. t))*l[1]*l[2]^2-4*(Int(1, _z1 = 0 .. t))*l[1]*l[2]+2*y*l[1]*l[2]+2*z*l[1]*l[2]-(Int(1, _z1 = 0 .. t))*l[1]-(Int(1, _z1 = 0 .. t))*l[2]+x*l[1]+x*l[2])^2-72*(l[2]+l[1])*p(t)*(-6+(l[1]-l[2])^2*(k[2]^2-2*l[2]^2+2*l[2]+1)*(k[1]^2-2*l[1]^2+2*l[1]+1)*(Int(1, _z1 = 0 .. t))^2-(2*((-y-z)*l[1]-x)*l[2]^2+(2*(-y-z)*l[1]^2+4*(y+z)*l[1]+k[1]^2*y+k[1]^2*z+2*x+y+z)*l[2]-2*x*l[1]^2+(y*k[2]^2+z*k[2]^2+2*x+y+z)*l[1]+x*(k[1]^2+k[2]^2+2))*(l[1]-l[2])^2*(Int(1, _z1 = 0 .. t))+((y+z)*l[1]+x)*(y+z)*l[2]^3+(2*(-y-z)*l[1]+x)*((y+z)*l[1]+x)*l[2]^2-2*l[1]*((1/2)*(-y-z)*l[1]+x)*((y+z)*l[1]+x)*l[2]+x*(y+z)*l[1]^3+x^2*l[1]^2)^2/(l[1]-l[2])^4+96*l[1]*l[2]*g(t)*(-6+(l[1]-l[2])^2*(k[2]^2-2*l[2]^2+2*l[2]+1)*(k[1]^2-2*l[1]^2+2*l[1]+1)*(Int(1, _z1 = 0 .. t))^2-(2*((-y-z)*l[1]-x)*l[2]^2+(2*(-y-z)*l[1]^2+4*(y+z)*l[1]+k[1]^2*y+k[1]^2*z+2*x+y+z)*l[2]-2*x*l[1]^2+(y*k[2]^2+z*k[2]^2+2*x+y+z)*l[1]+x*(k[1]^2+k[2]^2+2))*(l[1]-l[2])^2*(Int(1, _z1 = 0 .. t))+((y+z)*l[1]+x)*(y+z)*l[2]^3+(2*(-y-z)*l[1]+x)*((y+z)*l[1]+x)*l[2]^2-2*l[1]*((1/2)*(-y-z)*l[1]+x)*((y+z)*l[1]+x)*l[2]+x*(y+z)*l[1]^3+x^2*l[1]^2)^2/(l[1]-l[2])^4+72*((x+l[1]*y+l[1]*z+(-k[1]^2+2*l[1]^2-2*l[1]-1)*(Int(1, _z1 = 0 .. t)))*(x+l[2]*y+l[2]*z+(-k[2]^2+2*l[2]^2-2*l[2]-1)*(Int(1, _z1 = 0 .. t)))-6/(l[1]-l[2])^2)*(-(Int(1, _z1 = 0 .. t))*k[1]^2-(Int(1, _z1 = 0 .. t))*k[2]^2+2*(Int(1, _z1 = 0 .. t))*l[1]^2+2*(Int(1, _z1 = 0 .. t))*l[2]^2-2*(Int(1, _z1 = 0 .. t))*l[1]-2*(Int(1, _z1 = 0 .. t))*l[2]+l[1]*y+l[2]*y+l[1]*z+l[2]*z-2*(Int(1, _z1 = 0 .. t))+2*x)^2*p(t)*(l[2]+l[1])+72*((x+l[1]*y+l[1]*z+(-k[1]^2+2*l[1]^2-2*l[1]-1)*(Int(1, _z1 = 0 .. t)))*(x+l[2]*y+l[2]*z+(-k[2]^2+2*l[2]^2-2*l[2]-1)*(Int(1, _z1 = 0 .. t)))-6/(l[1]-l[2])^2)*(-(Int(1, _z1 = 0 .. t))*k[1]^2-(Int(1, _z1 = 0 .. t))*k[2]^2+2*(Int(1, _z1 = 0 .. t))*l[1]^2+2*(Int(1, _z1 = 0 .. t))*l[2]^2-2*(Int(1, _z1 = 0 .. t))*l[1]-2*(Int(1, _z1 = 0 .. t))*l[2]+l[1]*y+l[2]*y+l[1]*z+l[2]*z-2*(Int(1, _z1 = 0 .. t))+2*x)^2*chi(t)*(l[2]+l[1])+144*((x+l[1]*y+l[1]*z+(-k[1]^2+2*l[1]^2-2*l[1]-1)*(Int(1, _z1 = 0 .. t)))*(x+l[2]*y+l[2]*z+(-k[2]^2+2*l[2]^2-2*l[2]-1)*(Int(1, _z1 = 0 .. t)))-6/(l[1]-l[2])^2)*(2*x+l[2]*y+l[2]*z+(-k[2]^2+2*l[2]^2-2*l[2]-1)*(Int(1, _z1 = 0 .. t))+l[1]*y+l[1]*z+(-k[1]^2+2*l[1]^2-2*l[1]-1)*(Int(1, _z1 = 0 .. t)))*chi(t)*(l[1]*(x+l[2]*y+l[2]*z+(-k[2]^2+2*l[2]^2-2*l[2]-1)*(Int(1, _z1 = 0 .. t)))+(x+l[1]*y+l[1]*z+(-k[1]^2+2*l[1]^2-2*l[1]-1)*(Int(1, _z1 = 0 .. t)))*l[2])+144*((x+l[1]*y+l[1]*z+(-k[1]^2+2*l[1]^2-2*l[1]-1)*(Int(1, _z1 = 0 .. t)))*(x+l[2]*y+l[2]*z+(-k[2]^2+2*l[2]^2-2*l[2]-1)*(Int(1, _z1 = 0 .. t)))-6/(l[1]-l[2])^2)*(2*x+l[2]*y+l[2]*z+(-k[2]^2+2*l[2]^2-2*l[2]-1)*(Int(1, _z1 = 0 .. t))+l[1]*y+l[1]*z+(-k[1]^2+2*l[1]^2-2*l[1]-1)*(Int(1, _z1 = 0 .. t)))*p(t)*(l[1]*(x+l[2]*y+l[2]*z+(-k[2]^2+2*l[2]^2-2*l[2]-1)*(Int(1, _z1 = 0 .. t)))+(x+l[1]*y+l[1]*z+(-k[1]^2+2*l[1]^2-2*l[1]-1)*(Int(1, _z1 = 0 .. t)))*l[2])-192*((x+l[1]*y+l[1]*z+(-k[1]^2+2*l[1]^2-2*l[1]-1)*(Int(1, _z1 = 0 .. t)))*(x+l[2]*y+l[2]*z+(-k[2]^2+2*l[2]^2-2*l[2]-1)*(Int(1, _z1 = 0 .. t)))-6/(l[1]-l[2])^2)*(2*x+l[2]*y+l[2]*z+(-k[2]^2+2*l[2]^2-2*l[2]-1)*(Int(1, _z1 = 0 .. t))+l[1]*y+l[1]*z+(-k[1]^2+2*l[1]^2-2*l[1]-1)*(Int(1, _z1 = 0 .. t)))*g(t)*(l[1]*(x+l[2]*y+l[2]*z+(-k[2]^2+2*l[2]^2-2*l[2]-1)*(Int(1, _z1 = 0 .. t)))+(x+l[1]*y+l[1]*z+(-k[1]^2+2*l[1]^2-2*l[1]-1)*(Int(1, _z1 = 0 .. t)))*l[2])*(l[2]+l[1])-96*((x+l[1]*y+l[1]*z+(-k[1]^2+2*l[1]^2-2*l[1]-1)*(Int(1, _z1 = 0 .. t)))*(x+l[2]*y+l[2]*z+(-k[2]^2+2*l[2]^2-2*l[2]-1)*(Int(1, _z1 = 0 .. t)))-6/(l[1]-l[2])^2)*(-(Int(1, _z1 = 0 .. t))*k[1]^2-(Int(1, _z1 = 0 .. t))*k[2]^2+2*(Int(1, _z1 = 0 .. t))*l[1]^2+2*(Int(1, _z1 = 0 .. t))*l[2]^2-2*(Int(1, _z1 = 0 .. t))*l[1]-2*(Int(1, _z1 = 0 .. t))*l[2]+l[1]*y+l[2]*y+l[1]*z+l[2]*z-2*(Int(1, _z1 = 0 .. t))+2*x)^2*g(t)*l[1]*l[2]-576*((x+l[1]*y+l[1]*z+(-k[1]^2+2*l[1]^2-2*l[1]-1)*(Int(1, _z1 = 0 .. t)))*(x+l[2]*y+l[2]*z+(-k[2]^2+2*l[2]^2-2*l[2]-1)*(Int(1, _z1 = 0 .. t)))-6/(l[1]-l[2])^2)*g(t)-144*Omega(t)*(-6+(l[1]-l[2])^2*(k[2]^2-2*l[2]^2+2*l[2]+1)*(k[1]^2-2*l[1]^2+2*l[1]+1)*(Int(1, _z1 = 0 .. t))^2-(2*((-y-z)*l[1]-x)*l[2]^2+(2*(-y-z)*l[1]^2+4*(y+z)*l[1]+k[1]^2*y+k[1]^2*z+2*x+y+z)*l[2]-2*x*l[1]^2+(y*k[2]^2+z*k[2]^2+2*x+y+z)*l[1]+x*(k[1]^2+k[2]^2+2))*(l[1]-l[2])^2*(Int(1, _z1 = 0 .. t))+((y+z)*l[1]+x)*(y+z)*l[2]^3+(2*(-y-z)*l[1]+x)*((y+z)*l[1]+x)*l[2]^2-2*l[1]*((1/2)*(-y-z)*l[1]+x)*((y+z)*l[1]+x)*l[2]+x*(y+z)*l[1]^3+x^2*l[1]^2)^2/(l[1]-l[2])^4+72*(-6+(l[1]-l[2])^2*(k[2]^2-2*l[2]^2+2*l[2]+1)*(k[1]^2-2*l[1]^2+2*l[1]+1)*(Int(1, _z1 = 0 .. t))^2-(2*((-y-z)*l[1]-x)*l[2]^2+(2*(-y-z)*l[1]^2+4*(y+z)*l[1]+k[1]^2*y+k[1]^2*z+2*x+y+z)*l[2]-2*x*l[1]^2+(y*k[2]^2+z*k[2]^2+2*x+y+z)*l[1]+x*(k[1]^2+k[2]^2+2))*(l[1]-l[2])^2*(Int(1, _z1 = 0 .. t))+((y+z)*l[1]+x)*(y+z)*l[2]^3+(2*(-y-z)*l[1]+x)*((y+z)*l[1]+x)*l[2]^2-2*l[1]*((1/2)*(-y-z)*l[1]+x)*((y+z)*l[1]+x)*l[2]+x*(y+z)*l[1]^3+x^2*l[1]^2)^2*(k[1]^2+k[2]^2-2*l[1]^2-2*l[2]^2+2*l[1]+2*l[2]+2)/(l[1]-l[2])^4

(17)

AA := eval(A, {Omega = (proc (t) options operator, arrow; 1 end proc), chi = (proc (t) options operator, arrow; 1 end proc), g = (proc (t) options operator, arrow; 1 end proc), i = 1, p = (proc (t) options operator, arrow; 1 end proc)})

-72*(-(Int(1, _z1 = 0 .. t))*k[1]^2-(Int(1, _z1 = 0 .. t))*k[2]^2+2*(Int(1, _z1 = 0 .. t))*l[1]^2+2*(Int(1, _z1 = 0 .. t))*l[2]^2-2*(Int(1, _z1 = 0 .. t))*l[1]-2*(Int(1, _z1 = 0 .. t))*l[2]+l[1]*y+l[2]*y+l[1]*z+l[2]*z-2*(Int(1, _z1 = 0 .. t))+2*x)^3*((-k[1]^2+2*l[1]^2-2*l[1]-1)*(x+l[2]*y+l[2]*z+(-k[2]^2+2*l[2]^2-2*l[2]-1)*(Int(1, _z1 = 0 .. t)))+(x+l[1]*y+l[1]*z+(-k[1]^2+2*l[1]^2-2*l[1]-1)*(Int(1, _z1 = 0 .. t)))*(-k[2]^2+2*l[2]^2-2*l[2]-1))-1152*((l[2]^2-(1/2)*k[1]^2-(1/2)*k[2]^2+l[1]^2-l[2]-l[1]-1)*(Int(1, _z1 = 0 .. t))+(1/2)*(y+z)*l[2]+(1/2)*(y+z)*l[1]+x)^4+3456*((l[2]^2-(1/2)*k[1]^2-(1/2)*k[2]^2+l[1]^2-l[2]-l[1]-1)*(Int(1, _z1 = 0 .. t))+(1/2)*(y+z)*l[2]+(1/2)*(y+z)*l[1]+x)^2+288*((x+l[1]*y+l[1]*z+(-k[1]^2+2*l[1]^2-2*l[1]-1)*(Int(1, _z1 = 0 .. t)))*(x+l[2]*y+l[2]*z+(-k[2]^2+2*l[2]^2-2*l[2]-1)*(Int(1, _z1 = 0 .. t)))-6/(l[1]-l[2])^2)*(-(Int(1, _z1 = 0 .. t))*k[1]^2-(Int(1, _z1 = 0 .. t))*k[2]^2+2*(Int(1, _z1 = 0 .. t))*l[1]^2+2*(Int(1, _z1 = 0 .. t))*l[2]^2-2*(Int(1, _z1 = 0 .. t))*l[1]-2*(Int(1, _z1 = 0 .. t))*l[2]+l[1]*y+l[2]*y+l[1]*z+l[2]*z-2*(Int(1, _z1 = 0 .. t))+2*x)^2+144*((-k[1]^2+2*l[1]^2-2*l[1]-1)*(x+l[2]*y+l[2]*z+(-k[2]^2+2*l[2]^2-2*l[2]-1)*(Int(1, _z1 = 0 .. t)))+(x+l[1]*y+l[1]*z+(-k[1]^2+2*l[1]^2-2*l[1]-1)*(Int(1, _z1 = 0 .. t)))*(-k[2]^2+2*l[2]^2-2*l[2]-1))*(2*x+l[2]*y+l[2]*z+(-k[2]^2+2*l[2]^2-2*l[2]-1)*(Int(1, _z1 = 0 .. t))+l[1]*y+l[1]*z+(-k[1]^2+2*l[1]^2-2*l[1]-1)*(Int(1, _z1 = 0 .. t)))*((x+l[1]*y+l[1]*z+(-k[1]^2+2*l[1]^2-2*l[1]-1)*(Int(1, _z1 = 0 .. t)))*(x+l[2]*y+l[2]*z+(-k[2]^2+2*l[2]^2-2*l[2]-1)*(Int(1, _z1 = 0 .. t)))-6/(l[1]-l[2])^2)+72*(-(Int(1, _z1 = 0 .. t))*k[1]^2-(Int(1, _z1 = 0 .. t))*k[2]^2+2*(Int(1, _z1 = 0 .. t))*l[1]^2+2*(Int(1, _z1 = 0 .. t))*l[2]^2-2*(Int(1, _z1 = 0 .. t))*l[1]-2*(Int(1, _z1 = 0 .. t))*l[2]+l[1]*y+l[2]*y+l[1]*z+l[2]*z-2*(Int(1, _z1 = 0 .. t))+2*x)^2*(-k[1]^2-k[2]^2+2*l[1]^2+2*l[2]^2-2*l[1]-2*l[2]-2)*((x+l[1]*y+l[1]*z+(-k[1]^2+2*l[1]^2-2*l[1]-1)*(Int(1, _z1 = 0 .. t)))*(x+l[2]*y+l[2]*z+(-k[2]^2+2*l[2]^2-2*l[2]-1)*(Int(1, _z1 = 0 .. t)))-6/(l[1]-l[2])^2)-1152*((2*l[2]^2*l[1]+(-k[1]^2+2*l[1]^2-4*l[1]-1)*l[2]+(-k[2]^2-1)*l[1])*(Int(1, _z1 = 0 .. t))+(2*(y+z)*l[1]+x)*l[2]+x*l[1])*((l[2]^2-(1/2)*k[1]^2-(1/2)*k[2]^2+l[1]^2-l[2]-l[1]-1)*(Int(1, _z1 = 0 .. t))+(1/2)*(y+z)*l[2]+(1/2)*(y+z)*l[1]+x)^3+576*((2*l[2]^2*l[1]+(-k[1]^2+2*l[1]^2-4*l[1]-1)*l[2]+(-k[2]^2-1)*l[1])*(Int(1, _z1 = 0 .. t))+(2*(y+z)*l[1]+x)*l[2]+x*l[1])^2*((l[2]^2-(1/2)*k[1]^2-(1/2)*k[2]^2+l[1]^2-l[2]-l[1]-1)*(Int(1, _z1 = 0 .. t))+(1/2)*(y+z)*l[2]+(1/2)*(y+z)*l[1]+x)^2-144*(l[2]+l[1])*(-6+(l[1]-l[2])^2*(k[2]^2-2*l[2]^2+2*l[2]+1)*(k[1]^2-2*l[1]^2+2*l[1]+1)*(Int(1, _z1 = 0 .. t))^2-(2*((-y-z)*l[1]-x)*l[2]^2+(2*(-y-z)*l[1]^2+4*(y+z)*l[1]+k[1]^2*y+k[1]^2*z+2*x+y+z)*l[2]-2*x*l[1]^2+(y*k[2]^2+z*k[2]^2+2*x+y+z)*l[1]+x*(k[1]^2+k[2]^2+2))*(l[1]-l[2])^2*(Int(1, _z1 = 0 .. t))+((y+z)*l[1]+x)*(y+z)*l[2]^3+(2*(-y-z)*l[1]+x)*((y+z)*l[1]+x)*l[2]^2-2*l[1]*((1/2)*(-y-z)*l[1]+x)*((y+z)*l[1]+x)*l[2]+x*(y+z)*l[1]^3+x^2*l[1]^2)^2/(l[1]-l[2])^4+48*(l[2]+l[1])^2*(-6+(l[1]-l[2])^2*(k[2]^2-2*l[2]^2+2*l[2]+1)*(k[1]^2-2*l[1]^2+2*l[1]+1)*(Int(1, _z1 = 0 .. t))^2-(2*((-y-z)*l[1]-x)*l[2]^2+(2*(-y-z)*l[1]^2+4*(y+z)*l[1]+k[1]^2*y+k[1]^2*z+2*x+y+z)*l[2]-2*x*l[1]^2+(y*k[2]^2+z*k[2]^2+2*x+y+z)*l[1]+x*(k[1]^2+k[2]^2+2))*(l[1]-l[2])^2*(Int(1, _z1 = 0 .. t))+((y+z)*l[1]+x)*(y+z)*l[2]^3+(2*(-y-z)*l[1]+x)*((y+z)*l[1]+x)*l[2]^2-2*l[1]*((1/2)*(-y-z)*l[1]+x)*((y+z)*l[1]+x)*l[2]+x*(y+z)*l[1]^3+x^2*l[1]^2)^2/(l[1]-l[2])^4-96*((x+l[1]*y+l[1]*z+(-k[1]^2+2*l[1]^2-2*l[1]-1)*(Int(1, _z1 = 0 .. t)))*(x+l[2]*y+l[2]*z+(-k[2]^2+2*l[2]^2-2*l[2]-1)*(Int(1, _z1 = 0 .. t)))-6/(l[1]-l[2])^2)*(-(Int(1, _z1 = 0 .. t))*k[1]^2*l[2]-(Int(1, _z1 = 0 .. t))*k[2]^2*l[1]+2*(Int(1, _z1 = 0 .. t))*l[1]^2*l[2]+2*(Int(1, _z1 = 0 .. t))*l[1]*l[2]^2-4*(Int(1, _z1 = 0 .. t))*l[1]*l[2]+2*y*l[1]*l[2]+2*z*l[1]*l[2]-(Int(1, _z1 = 0 .. t))*l[1]-(Int(1, _z1 = 0 .. t))*l[2]+x*l[1]+x*l[2])^2+96*l[1]*l[2]*(-6+(l[1]-l[2])^2*(k[2]^2-2*l[2]^2+2*l[2]+1)*(k[1]^2-2*l[1]^2+2*l[1]+1)*(Int(1, _z1 = 0 .. t))^2-(2*((-y-z)*l[1]-x)*l[2]^2+(2*(-y-z)*l[1]^2+4*(y+z)*l[1]+k[1]^2*y+k[1]^2*z+2*x+y+z)*l[2]-2*x*l[1]^2+(y*k[2]^2+z*k[2]^2+2*x+y+z)*l[1]+x*(k[1]^2+k[2]^2+2))*(l[1]-l[2])^2*(Int(1, _z1 = 0 .. t))+((y+z)*l[1]+x)*(y+z)*l[2]^3+(2*(-y-z)*l[1]+x)*((y+z)*l[1]+x)*l[2]^2-2*l[1]*((1/2)*(-y-z)*l[1]+x)*((y+z)*l[1]+x)*l[2]+x*(y+z)*l[1]^3+x^2*l[1]^2)^2/(l[1]-l[2])^4+144*((x+l[1]*y+l[1]*z+(-k[1]^2+2*l[1]^2-2*l[1]-1)*(Int(1, _z1 = 0 .. t)))*(x+l[2]*y+l[2]*z+(-k[2]^2+2*l[2]^2-2*l[2]-1)*(Int(1, _z1 = 0 .. t)))-6/(l[1]-l[2])^2)*(-(Int(1, _z1 = 0 .. t))*k[1]^2-(Int(1, _z1 = 0 .. t))*k[2]^2+2*(Int(1, _z1 = 0 .. t))*l[1]^2+2*(Int(1, _z1 = 0 .. t))*l[2]^2-2*(Int(1, _z1 = 0 .. t))*l[1]-2*(Int(1, _z1 = 0 .. t))*l[2]+l[1]*y+l[2]*y+l[1]*z+l[2]*z-2*(Int(1, _z1 = 0 .. t))+2*x)^2*(l[2]+l[1])+288*((x+l[1]*y+l[1]*z+(-k[1]^2+2*l[1]^2-2*l[1]-1)*(Int(1, _z1 = 0 .. t)))*(x+l[2]*y+l[2]*z+(-k[2]^2+2*l[2]^2-2*l[2]-1)*(Int(1, _z1 = 0 .. t)))-6/(l[1]-l[2])^2)*(2*x+l[2]*y+l[2]*z+(-k[2]^2+2*l[2]^2-2*l[2]-1)*(Int(1, _z1 = 0 .. t))+l[1]*y+l[1]*z+(-k[1]^2+2*l[1]^2-2*l[1]-1)*(Int(1, _z1 = 0 .. t)))*(l[1]*(x+l[2]*y+l[2]*z+(-k[2]^2+2*l[2]^2-2*l[2]-1)*(Int(1, _z1 = 0 .. t)))+(x+l[1]*y+l[1]*z+(-k[1]^2+2*l[1]^2-2*l[1]-1)*(Int(1, _z1 = 0 .. t)))*l[2])-192*((x+l[1]*y+l[1]*z+(-k[1]^2+2*l[1]^2-2*l[1]-1)*(Int(1, _z1 = 0 .. t)))*(x+l[2]*y+l[2]*z+(-k[2]^2+2*l[2]^2-2*l[2]-1)*(Int(1, _z1 = 0 .. t)))-6/(l[1]-l[2])^2)*(2*x+l[2]*y+l[2]*z+(-k[2]^2+2*l[2]^2-2*l[2]-1)*(Int(1, _z1 = 0 .. t))+l[1]*y+l[1]*z+(-k[1]^2+2*l[1]^2-2*l[1]-1)*(Int(1, _z1 = 0 .. t)))*(l[1]*(x+l[2]*y+l[2]*z+(-k[2]^2+2*l[2]^2-2*l[2]-1)*(Int(1, _z1 = 0 .. t)))+(x+l[1]*y+l[1]*z+(-k[1]^2+2*l[1]^2-2*l[1]-1)*(Int(1, _z1 = 0 .. t)))*l[2])*(l[2]+l[1])-96*((x+l[1]*y+l[1]*z+(-k[1]^2+2*l[1]^2-2*l[1]-1)*(Int(1, _z1 = 0 .. t)))*(x+l[2]*y+l[2]*z+(-k[2]^2+2*l[2]^2-2*l[2]-1)*(Int(1, _z1 = 0 .. t)))-6/(l[1]-l[2])^2)*(-(Int(1, _z1 = 0 .. t))*k[1]^2-(Int(1, _z1 = 0 .. t))*k[2]^2+2*(Int(1, _z1 = 0 .. t))*l[1]^2+2*(Int(1, _z1 = 0 .. t))*l[2]^2-2*(Int(1, _z1 = 0 .. t))*l[1]-2*(Int(1, _z1 = 0 .. t))*l[2]+l[1]*y+l[2]*y+l[1]*z+l[2]*z-2*(Int(1, _z1 = 0 .. t))+2*x)^2*l[1]*l[2]-576*(x+l[1]*y+l[1]*z+(-k[1]^2+2*l[1]^2-2*l[1]-1)*(Int(1, _z1 = 0 .. t)))*(x+l[2]*y+l[2]*z+(-k[2]^2+2*l[2]^2-2*l[2]-1)*(Int(1, _z1 = 0 .. t)))+3456/(l[1]-l[2])^2-144*(-6+(l[1]-l[2])^2*(k[2]^2-2*l[2]^2+2*l[2]+1)*(k[1]^2-2*l[1]^2+2*l[1]+1)*(Int(1, _z1 = 0 .. t))^2-(2*((-y-z)*l[1]-x)*l[2]^2+(2*(-y-z)*l[1]^2+4*(y+z)*l[1]+k[1]^2*y+k[1]^2*z+2*x+y+z)*l[2]-2*x*l[1]^2+(y*k[2]^2+z*k[2]^2+2*x+y+z)*l[1]+x*(k[1]^2+k[2]^2+2))*(l[1]-l[2])^2*(Int(1, _z1 = 0 .. t))+((y+z)*l[1]+x)*(y+z)*l[2]^3+(2*(-y-z)*l[1]+x)*((y+z)*l[1]+x)*l[2]^2-2*l[1]*((1/2)*(-y-z)*l[1]+x)*((y+z)*l[1]+x)*l[2]+x*(y+z)*l[1]^3+x^2*l[1]^2)^2/(l[1]-l[2])^4+72*(-6+(l[1]-l[2])^2*(k[2]^2-2*l[2]^2+2*l[2]+1)*(k[1]^2-2*l[1]^2+2*l[1]+1)*(Int(1, _z1 = 0 .. t))^2-(2*((-y-z)*l[1]-x)*l[2]^2+(2*(-y-z)*l[1]^2+4*(y+z)*l[1]+k[1]^2*y+k[1]^2*z+2*x+y+z)*l[2]-2*x*l[1]^2+(y*k[2]^2+z*k[2]^2+2*x+y+z)*l[1]+x*(k[1]^2+k[2]^2+2))*(l[1]-l[2])^2*(Int(1, _z1 = 0 .. t))+((y+z)*l[1]+x)*(y+z)*l[2]^3+(2*(-y-z)*l[1]+x)*((y+z)*l[1]+x)*l[2]^2-2*l[1]*((1/2)*(-y-z)*l[1]+x)*((y+z)*l[1]+x)*l[2]+x*(y+z)*l[1]^3+x^2*l[1]^2)^2*(k[1]^2+k[2]^2-2*l[1]^2-2*l[2]^2+2*l[1]+2*l[2]+2)/(l[1]-l[2])^4

(18)

pdetest(eqt, pde)

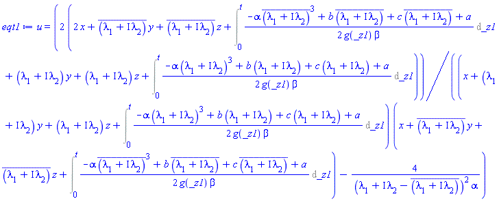
eqt1 := eval(eval(eqt, l[2] = conjugate(l[1])), {l[1] = lambda[1]+I*lambda[2]})

u(x, y, z, t) = 2*(2*x+conjugate(lambda[1]+I*lambda[2])*y+conjugate(lambda[1]+I*lambda[2])*z+Int((1/2)*(-alpha*conjugate(lambda[1]+I*lambda[2])^3+b*conjugate(lambda[1]+I*lambda[2])+c*conjugate(lambda[1]+I*lambda[2])+a)/(g(_z1)*beta), _z1 = 0 .. t)+(lambda[1]+I*lambda[2])*y+(lambda[1]+I*lambda[2])*z+Int((1/2)*(-alpha*(lambda[1]+I*lambda[2])^3+b*(lambda[1]+I*lambda[2])+c*(lambda[1]+I*lambda[2])+a)/(g(_z1)*beta), _z1 = 0 .. t))/((x+(lambda[1]+I*lambda[2])*y+(lambda[1]+I*lambda[2])*z+Int((1/2)*(-alpha*(lambda[1]+I*lambda[2])^3+b*(lambda[1]+I*lambda[2])+c*(lambda[1]+I*lambda[2])+a)/(g(_z1)*beta), _z1 = 0 .. t))*(x+conjugate(lambda[1]+I*lambda[2])*y+conjugate(lambda[1]+I*lambda[2])*z+Int((1/2)*(-alpha*conjugate(lambda[1]+I*lambda[2])^3+b*conjugate(lambda[1]+I*lambda[2])+c*conjugate(lambda[1]+I*lambda[2])+a)/(g(_z1)*beta), _z1 = 0 .. t))-4/((lambda[1]+I*lambda[2]-conjugate(lambda[1]+I*lambda[2]))^2*alpha))

(19)

pdetest(eqt1, pde)

NULL

Download h-pde-M.mw

Please Wait...