Question: solve ode equations plot solution

I want to solve differential equations using dsolve and plot the solution in the range plot(E(nu), nu=10^14…10^18) of the equation.

restart;

with(PDEtools, dchange):

N:=8*Pi*Tq^2*nu^2*E(nu)/(c^3*(exp(E(nu)/(k*T)) - 1));V:=Pi*rb^3;

8*Pi*Tq^2*nu^2*E(nu)/(c^3*(exp(E(nu)/(k*T))-1))

 

Pi*rb^3

(1)

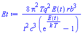
Et:=dchange({nu=1/t},N*V,expand);#Change of var in t = period of a single oscilation;

8*Pi^2*Tq^2*E(t)*rb^3/(t^2*c^3*(exp(E(t)/(k*T))-1))

(2)

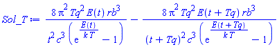
Sol_T:=subs(t=t,(Et)-subs(t=t+Tq,(Et)));#We do the calculus per one period Tq;

8*Pi^2*Tq^2*E(t)*rb^3/(t^2*c^3*(exp(E(t)/(k*T))-1))-8*Pi^2*Tq^2*E(t+Tq)*rb^3/((t+Tq)^2*c^3*(exp(E(t+Tq)/(k*T))-1))

(3)

Sol_nu:= dchange({t=1/nu},Sol_T,params=Tq,expand);# I like to go back to variable nu but is correct???;

8*Pi^2*Tq^2*nu^2*E(nu)*rb^3/(c^3*(exp(E(nu)/(k*T))-1))-8*Pi^2*Tq^2*E(nu)*rb^3/((1/nu+Tq)^2*c^3*(exp(E(nu)/(k*T))-1))

(4)

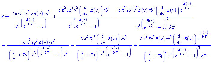
B:=int(diff(Sol_nu,nu),t=t..t+Tq);

16*Pi^2*Tq^3*nu*E(nu)*rb^3/(c^3*(exp(E(nu)/(k*T))-1))+8*Pi^2*Tq^3*nu^2*(diff(E(nu), nu))*rb^3/(c^3*(exp(E(nu)/(k*T))-1))-8*Pi^2*Tq^3*nu^2*E(nu)*rb^3*(diff(E(nu), nu))*exp(E(nu)/(k*T))/(c^3*(exp(E(nu)/(k*T))-1)^2*k*T)-16*Pi^2*Tq^3*E(nu)*rb^3/((1/nu+Tq)^3*c^3*(exp(E(nu)/(k*T))-1)*nu^2)-8*Pi^2*Tq^3*(diff(E(nu), nu))*rb^3/((1/nu+Tq)^2*c^3*(exp(E(nu)/(k*T))-1))+8*Pi^2*Tq^3*E(nu)*rb^3*(diff(E(nu), nu))*exp(E(nu)/(k*T))/((1/nu+Tq)^2*c^3*(exp(E(nu)/(k*T))-1)^2*k*T)

(5)

dsolve(Sol_nu=A*B,E(nu));#Where A = constant

-nu+3*A*Tq*ln(nu)-2*A*Tq*ln(Tq*nu+1)+A*Tq*ln(Tq*nu+2)-A*Tq*ln(exp(E(nu)/(k*T))-1)+A*Tq*ln(E(nu))+_C1 = 0

(6)

E(nu):=solve(E(nu)=-nu + A*Tq*ln(Tq*nu + 2) + 3*A*Tq*ln(nu) - 2*A*Tq*ln(Tq*nu + 1) - A*Tq*ln(exp(E(nu)/(k*T)) - 1) + A*Tq*ln(E(nu))+C1,E(nu));

ln(exp(RootOf(-A*Tq*ln(nu^3*(Tq*nu+2)*ln(exp(_Z)+1)*T*k/(Tq*nu+1)^2)+_Z*A*Tq+ln(exp(_Z)+1)*T*k-C1+nu))+1)*T*k

(7)

#E(nu)=???

k:= 1.3806490000*10^(-23);rb:=5.293*10^(-11);
ec:= 1.602176634*10^(-19);Tq:=1.765*10^(-19);
c:= 299792458;T:=297;A:=1;

0.1380649000e-22

 

0.5293000000e-10

 

0.1602176634e-18

 

0.1765000000e-18

 

299792458

 

297

 

1

(8)

plot(-nu - 2*A*Tq*ln(Tq*nu + 1) + 3*A*Tq*ln(nu) + A*Tq*ln(Tq*nu + 2),nu=10^14..10^18);#Approx neglecting => -A*Tq*ln(exp(E(nu)/(k*T)) - 1) + A*Tq*ln(E(nu))

 

plot(E(nu),nu=10^14..10^18);

Warning, expecting only range variable nu in expression ln(exp(RootOf(-A*Tq*ln(nu^3/(Tq*nu+1)^2*(Tq*nu+2)*ln(exp(_Z)+1)*T*k)+_Z*A*Tq+ln(exp(_Z)+1)*T*k-C1+nu))+1)*T*k to be plotted but found names [A, C1, T, Tq, k]

 

 
 

 

Download plm.mw

Please Wait...