Question: why can't i solve for my parameters?

in here i have 4 equations and i want to find 4 parameter can anyone say where is problem?

NULL

restart

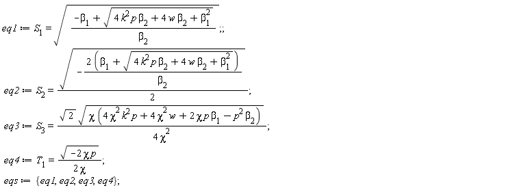
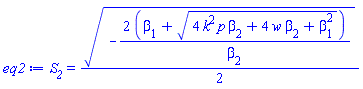
eq1 := S__1 = sqrt((-beta[1]+sqrt(4*k^2*p*beta[2]+4*w*beta[2]+beta[1]^2))/beta[2]); eq2 := S__2 = (1/2)*sqrt(-(2*(beta[1]+sqrt(4*k^2*p*beta[2]+4*w*beta[2]+beta[1]^2)))/beta[2]); eq3 := S__3 = sqrt(2)*sqrt(chi*(4*chi^2*k^2*p+4*chi^2*w+2*chi*p*beta[1]-p^2*beta[2]))/(4*chi^2); eq4 := T__1 = sqrt(-2*chi*p)/(2*chi); eqs := {eq1, eq2, eq3, eq4}

S__1 = ((-beta[1]+(4*k^2*p*beta[2]+4*w*beta[2]+beta[1]^2)^(1/2))/beta[2])^(1/2)

 

S__2 = (1/2)*(-2*(beta[1]+(4*k^2*p*beta[2]+4*w*beta[2]+beta[1]^2)^(1/2))/beta[2])^(1/2)

 

S__3 = (1/4)*2^(1/2)*(chi*(4*chi^2*k^2*p+4*chi^2*w+2*chi*p*beta[1]-p^2*beta[2]))^(1/2)/chi^2

 

T__1 = (1/2)*(-2*chi*p)^(1/2)/chi

 

{S__1 = ((-beta[1]+(4*k^2*p*beta[2]+4*w*beta[2]+beta[1]^2)^(1/2))/beta[2])^(1/2), S__2 = (1/2)*(-2*(beta[1]+(4*k^2*p*beta[2]+4*w*beta[2]+beta[1]^2)^(1/2))/beta[2])^(1/2), S__3 = (1/4)*2^(1/2)*(chi*(4*chi^2*k^2*p+4*chi^2*w+2*chi*p*beta[1]-p^2*beta[2]))^(1/2)/chi^2, T__1 = (1/2)*(-2*chi*p)^(1/2)/chi}

(1)

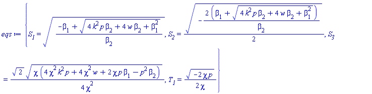
indets(eqs)

{S__1, S__2, S__3, T__1, chi, k, p, w, beta[1], beta[2], (chi*(4*chi^2*k^2*p+4*chi^2*w+2*chi*p*beta[1]-p^2*beta[2]))^(1/2), ((-beta[1]+(4*k^2*p*beta[2]+4*w*beta[2]+beta[1]^2)^(1/2))/beta[2])^(1/2), (-2*chi*p)^(1/2), (-2*(beta[1]+(4*k^2*p*beta[2]+4*w*beta[2]+beta[1]^2)^(1/2))/beta[2])^(1/2), (4*k^2*p*beta[2]+4*w*beta[2]+beta[1]^2)^(1/2)}

(2)

We have 4 eqns, so choose 2  variables to solve for

eval(eqs, {S__1 = 1, S__2 = 1, S__3 = 1, T__1 = 1, k = 1, p = 1}); sol := solve(%, {chi, w, beta[1], beta[2]})

{1 = ((-beta[1]+(4*w*beta[2]+beta[1]^2+4*beta[2])^(1/2))/beta[2])^(1/2), 1 = (1/2)*(-2*(beta[1]+(4*w*beta[2]+beta[1]^2+4*beta[2])^(1/2))/beta[2])^(1/2), 1 = (1/2)*(-2*chi)^(1/2)/chi, 1 = (1/4)*2^(1/2)*(chi*(4*chi^2*w+4*chi^2+2*chi*beta[1]-beta[2]))^(1/2)/chi^2}

 

(3)
NULL

Download find-parameter.mw

Please Wait...