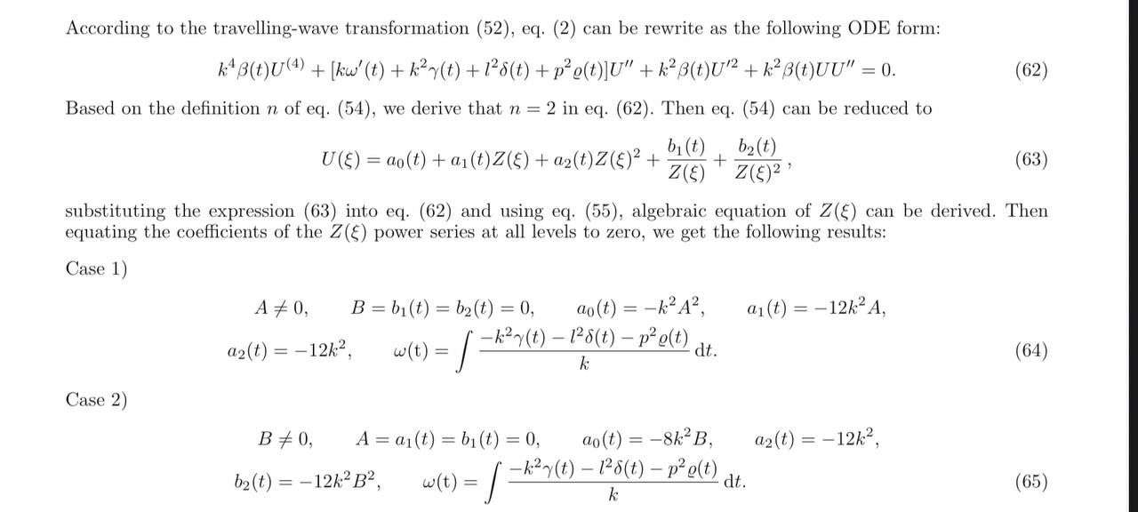
Question: How i can find these parameters?

How can find thus parameters 

Dr.D-problem.mw

Please Wait...