Question: General solution sought

I'm looking for the general solution to the attached differential equation. Maple doesn't provide it. What am I doing wrong?

restart

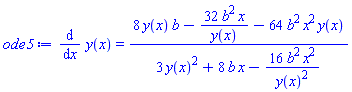
ode5 := diff(y(x), x) = (8*y(x)*b-32*b^2*x/y(x)-64*b^2*x^2*y(x))/(3*y(x)^2+8*b*x-16*b^2*x^2/y(x)^2)

diff(y(x), x) = (8*y(x)*b-32*b^2*x/y(x)-64*b^2*x^2*y(x))/(3*y(x)^2+8*b*x-16*b^2*x^2/y(x)^2)

(1)

simplify(ode5)

diff(y(x), x) = ((64*b^2*x^2-8*b)*y(x)^3+32*b^2*x*y(x))/(-3*y(x)^4-8*b*x*y(x)^2+16*b^2*x^2)

(2)

dsolve(ode5, y(x))

NULLNULL

Download testdgl5.mw

Please Wait...