Question: Solving inequality with parameters

I’m having trouble solving this. Any suggestions would be helpful.

NULL

restart

``

with(Optimization); with(plots); with(Student[VectorCalculus]); with(LinearAlgebra)

``

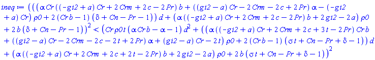
ineq := simplify((Cr*rho0*t*(Cr*alpha*b-alpha-1)*d^2+((alpha*((-g*i2+a)*Cr+2*Crm+2*c+3*t-2*Pr)*Cr*b+((g*i2-a)*Cr-2*Crm-2*c-2*t+2*Pr)*alpha+(g*i2-a)*Cr-2*t)*rho0+(2*(Cr*b-1))*(sigma*t+Cn-Pr+delta-1))*d+(alpha*((-g*i2+a)*Cr+2*Crm+2*c+2*t-2*Pr)*b+2*g*i2-2*a)*rho0+2*b*(sigma*t+Cn-Pr+delta-1))^2 > (((alpha*Cr*((-g*i2+a)*Cr+2*Crm+2*c-2*Pr)*b+((g*i2-a)*Cr-2*Crm-2*c+2*Pr)*alpha-(-g*i2+a)*Cr)*rho0+(2*(Cr*b-1))*(delta+Cn-Pr-1))*d+(alpha*((-g*i2+a)*Cr+2*Crm+2*c-2*Pr)*b+2*g*i2-2*a)*rho0+2*b*(delta+Cn-Pr-1))^2)

(((alpha*Cr*((-g*i2+a)*Cr+2*Crm+2*c-2*Pr)*b+((g*i2-a)*Cr-2*Crm-2*c+2*Pr)*alpha-(-g*i2+a)*Cr)*rho0+2*(Cr*b-1)*(delta+Cn-Pr-1))*d+(alpha*((-g*i2+a)*Cr+2*Crm+2*c-2*Pr)*b+2*g*i2-2*a)*rho0+2*b*(delta+Cn-Pr-1))^2 < (Cr*rho0*t*(Cr*alpha*b-alpha-1)*d^2+((alpha*((-g*i2+a)*Cr+2*Crm+2*c+3*t-2*Pr)*Cr*b+((g*i2-a)*Cr-2*Crm-2*c-2*t+2*Pr)*alpha+(g*i2-a)*Cr-2*t)*rho0+2*(Cr*b-1)*(sigma*t+Cn-Pr+delta-1))*d+(alpha*((-g*i2+a)*Cr+2*Crm+2*c+2*t-2*Pr)*b+2*g*i2-2*a)*rho0+2*b*(sigma*t+Cn-Pr+delta-1))^2

(1)

  

``extra := indets(ineq,And(name,Not(constant))) >~ 0;

{0 < Cn, 0 < Cr, 0 < Crm, 0 < Pr, 0 < a, 0 < alpha, 0 < b, 0 < c, 0 < d, 0 < delta, 0 < g, 0 < i2, 0 < rho0, 0 < sigma, 0 < t}

(2)

 

(solve({ineq}, t) assuming extra[]);

 

``

Download Q_solve.mw

Please Wait...