Question: How to derive thus unknown using Maple for the BKK system ?

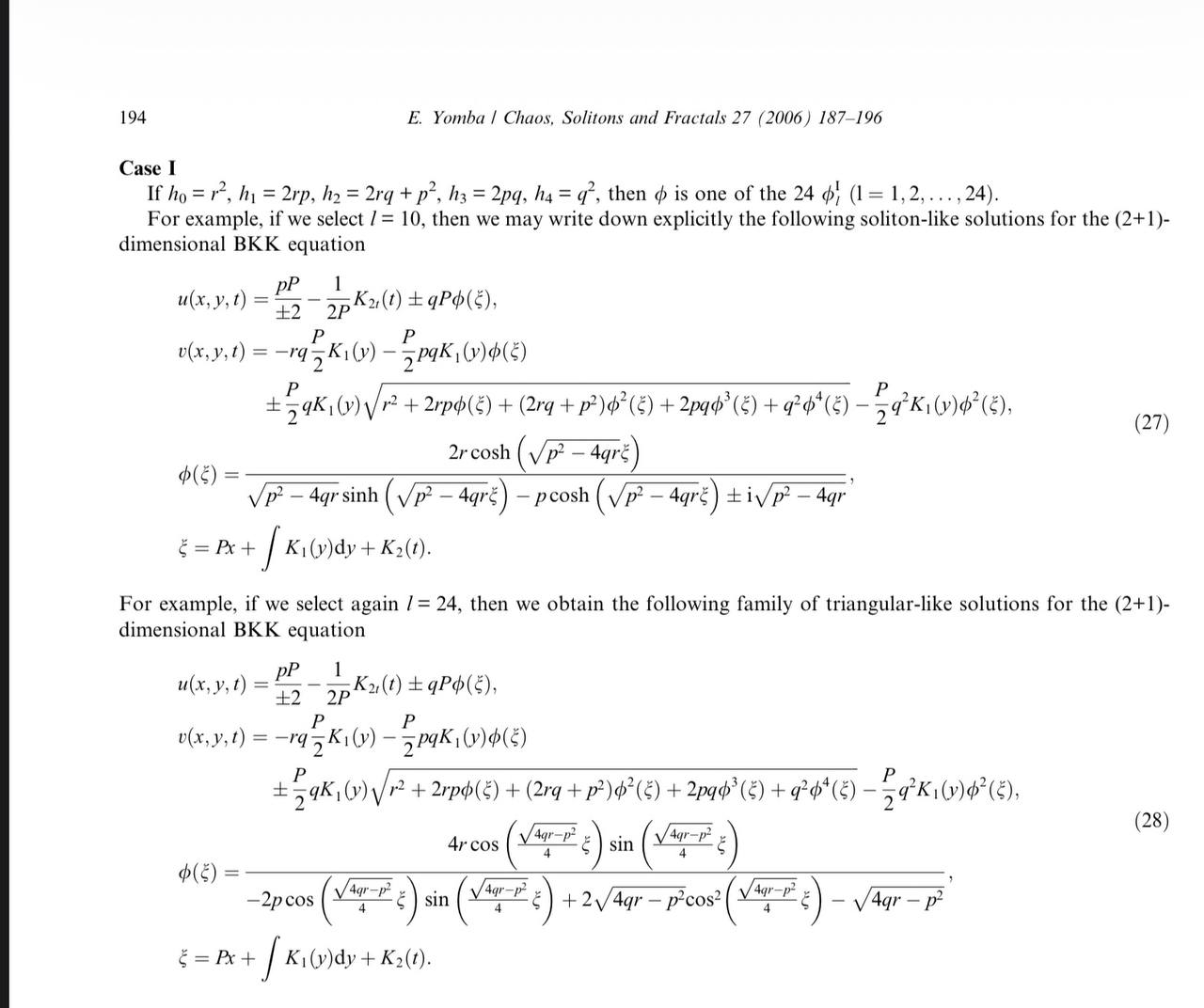
Hello everyone, I am trying to reproduce Equation (25) from the paper by E. Yomba (Chaos, Solitons and Fractals, 2006) using Maple, where the improved extended algebraic Fan method is applied to the (2+1)-dimensional Broer–Kaup–Kupershmidt (BKK) system. Starting from the system in Eq. (23) and the ansatz given in Eq. (24), together with the auxiliary equation (Eq. (3)), the paper states that substituting these expressions and setting coefficients of powers of G(ξ) to zero leads to an overdetermined system whose solution yields Eq. (25). My difficulty is implementing this process in Maple: specifically, how to correctly substitute the ansatz into the PDE system, expand and collect terms with respect to G(ξ) and its derivatives, systematically extract the resulting algebraic/PDE system, and solve it efficiently (possibly using packages like PDEtools). I would appreciate guidance or example workflows for performing this type of symbolic derivation in Maple.

F1.mw

Please Wait...