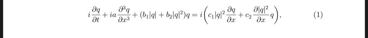
Question: Substitution in pde with conjugate?

most of time is give me true my substittuetion but  a lot time i saw it is not make my substittuetion true and this time i figure out which author did   and outcome is what i am looking but when i do that is so different where is problem 

f-m.mw

Please Wait...