Question: Plot a curve in detail?

question2.15.mw

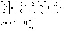
I have a state-space equation above, I want to plot step response of x[1],x[2],and y.

So,I write the differential equation,deq=[...,...,...],and use sys:=DiffEquation(deq,[u],[x1,x2,y])

Finally,use ResponsePlot(sys,Step()) to plot step response. It works well well.

 

But from the picture,I find that x[2] (the green line) is hardly visible and its largest magnitude should be 0.1,is there any way to plot x[2] clearly?  

Can you help me? Thanks a lot!

My document has been uploaded.

Please Wait...