Carl Love

Carl Love

28055 Reputation

25 Badges

13 years, 1 days
Himself
Wayland, Massachusetts, United States
My name was formerly Carl Devore.

MaplePrimes Activity


These are replies submitted by Carl Love

@vv Iterator overwrites the same Array on each iteration rather than generating a new Array. So it seems likely that the indices would be returned in the same order on each iteration. Only a kernel programmer could say for sure.

@Markiyan Hirnyk Both techniques give solutions that minimize the 2-norm of the residuals. Any differences there are due solely to round-off error and can be resolved by manipulating Digits. But there's also the issue of minimizing the 2-norm of the results (the C[i] values) themselves. That's what optimize is doing in this case. This system is unusual in that it's both inconsistent and there's a hyperplane of residual-minimizing solutions.

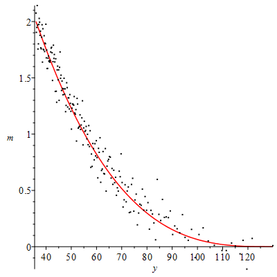
@samira moradi Suppose that Data is an n x 2 Matrix containing the data. In this case, the y data should be in the first column, and the m data should be in the second column. Then simply modify the first plot command to

plot(
     [[y, m, m= 0..2], Data], labels= ['y', m],
     style= [line, point], color= [red, black],
     symbol= point, symbolsize= 1
);

@Markiyan Hirnyk My Answer is different and better and was written without having seen your Answer. It can be expressed in a single line, and it gives the solution of minimal 2-norm.

@Markiyan Hirnyk DirectSearch has returned some very large values, although correct. LeastSquares with the optimize option provides the minimal-2-norm solution. 

@vv I saw that the usage on Arrays (of any dimension) was documented and unfortunately deleted my Reply before you Replied.

@vv I think that your usage of entries is risky if you don't include option indexorder. It may be that the entries of a Vector always come in index order, but I can't find that documented. Since it's a kernel command, we can't look at its code.

Nonetheless, vote up.

@Joe Riel Aha! I've encountered this before. The problem is the plus sign!

@J4James The value of exp(x*y) is never 0 or negative, so the surface z = exp(x*y) never intersects z = 0.

Sorry, it was just a standard English response to a "Why can't" question understood literally. I do realize that English isn't your first language, so I didn't actually think that you meant it literally. No offense meant.

The function exp(x+y+z) is never 0 or negative, so "empty plot" is correct. Try changing 0 to 1 and changing the ranges from 0..1 to -2..2.

I got -x-y + ln(C) from solve(C=exp(x+y+z), z). By the way, this shows that every level surface is a plane with normal vector <1, 1, 1>.

 

@J4James Did I say that you couldn't use implicitplot3d? You can use it. But since the level surface can be solved for z (an unusual situation), you'll usually get a more accurate plot in less time with plot3d. In this case, the level surfaces are just planes, so it doesn't make that much difference. But I have the habit of trying to switch to plot3d.

@acer I misread that bullet point. I thought that it said that the globalopts were the same as the localopts except for adaptive and sample. So, the help page isn't wrong.

@acer Hmm. My first inclination was to try to pass a view spec to draw, but upon checking ?geometry,draw I saw that it wasn't one of the supported options. So that help page is wrong. But, anyway, your way---nullifying the VIEW spec---is definitely superior. Vote up.

Surprisingly, the VIEW can't be nullfied by

draw(L1, view= [DEFAULT$2]);
Error, (in geometry:-draw) improper op or subscript selector


For those who prefer minimalist code: In the subsindets, z-> NULL can be replaced by 'NULL'. That leads to this curiousity:

subsindets(draw(L1), specfunc(VIEW), ''()'');

produces the same (correct) plot and then gives the unusually formatted error message

Plot Internal Error:unrecognised option Dag in Plot:null

@sikjw1305 

Here's a resource-usage comparison for partitioning into pairs using Iterator:-SetPartitionFixedSize and using combinat:-setpartition. The former requires some significant post-processing to get it to match the format of the latter, but as we can see below, it's worth it.

restart:

AllPairPartitions:= proc(n::And(posint,even))
local p, `n/2`:= n/2;
     {seq([seq([p[2*k-1], p[2*k]], k= 1..`n/2`)],
      p= Iterator:-SetPartitionFixedSize([2$`n/2`]))
     }
end proc:

ByCombinat:= (n::And(posint,even))-> {combinat:-setpartition([$1..n], 2)[]}:     

 

It's not really fair to count the compilation time because it only occurs the first time that the Iterator is used.

CodeTools:-Usage(AllPairPartitions(2)):

memory used=9.55MiB, alloc change=32.00MiB, cpu time=156.00ms, real time=158.00ms, gc time=0ns

CodeTools:-Usage(ByCombinat(2)):

memory used=30.49KiB, alloc change=0 bytes, cpu time=0ns, real time=2.00ms, gc time=0ns

P1:= CodeTools:-Usage(AllPairPartitions(12)):

memory used=4.49MiB, alloc change=0 bytes, cpu time=78.00ms, real time=85.00ms, gc time=0ns

P2:= CodeTools:-Usage(ByCombinat(12)):

memory used=76.65MiB, alloc change=4.00MiB, cpu time=719.00ms, real time=714.00ms, gc time=46.88ms

 

Verify that the two procedures produce the same output.

evalb(P1=P2);

true

 


Download Iterator_vs_combinat.mw

@Thomas Dean It's possible to calculate the exact values in this problem. Just remove the evalfs.

First 415 416 417 418 419 420 421 Last Page 417 of 709