Carl Love

Carl Love

28070 Reputation

25 Badges

13 years, 34 days
Himself
Wayland, Massachusetts, United States
My name was formerly Carl Devore.

MaplePrimes Activity


These are replies submitted by Carl Love

@Markiyan Hirnyk 

Certainly I will explain, thus:

restart; assume(H > 0);

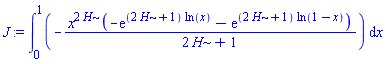
J := int(int(x^(2*H)*abs(x-y)^(2*H), y = 0 .. 1), x = 0 .. 1);

int(-x^(2*H)*(-exp((2*H+1)*ln(x))-exp((2*H+1)*ln(1-x)))/(2*H+1), x = 0 .. 1)

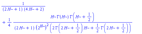
expand(J);

1/((2*H+1)*(4*H+2))+(1/4)*H*GAMMA(H)*GAMMA(H+1/2)/((2*H+1)*(2^H)^2*(2*GAMMA(2*H+1/2)*H+(1/2)*GAMMA(2*H+1/2)))

 

Download expand_Int.mw

Editting posts always uses the old editor, and thus it always works. So I've taken to making test one-liner posts and then editting them, like I am doing right now.

Also, conversion of post type always works. So, if I can't Reply, for example, I try to make an Answer. If that works, then I convert it to a Reply. But it seems that there are a few threads where I can neither Reply nor Answer.

Just applying expand, without any IntegrationTools, will also do the trick.

Just applying expand, without any IntegrationTools, will also do the trick.

I had a similiar experience in the thread "Log scale with implicitplot": I could post Answers, but not Replies. I was able to post an Answer and then convert it to a Reply. It is also happening in this thread: I can post a Comment, but not a reply.

(I am only providing all this boring information in the hopes that it might help the Administrators fix this bug.)

Please post your code, or at least show the results of the command op(P). Also, is your curve connected? And what version of Maple are you using?

Please post your code, or at least show the results of the command op(P). Also, is your curve connected? And what version of Maple are you using?

The "something went wrong" bug seems to be user-dependent and thread-consistent. That is, I cannot Comment or Reply in the post "Updates to MaplePrimes" no matter when I try, but Christopher can post in that thread, but I guess that he is getting the bug on other threads. Christopher, is that right? Also, I wonder if this bug only affects moderators.

Is the structure being plotted simply a curve? Or are there filled regions or other embellishments?

What do you intend to do with this Matrix once you have it saved or exported? You mentioned MS-Word, so is this Matrix just for display in a document? Or do you intend to do some computation with it after it is saved/exported?

What do you intend to do with this Matrix once you have it saved or exported? You mentioned MS-Word, so is this Matrix just for display in a document? Or do you intend to do some computation with it after it is saved/exported?

The Asker needs an arbitrary numbers of dimensions rather than dynamic sizing with a fixed number of dimensions.

The Asker needs an arbitrary numbers of dimensions rather than dynamic sizing with a fixed number of dimensions.

Also, you should either remove display from your procedure, or replace it with plots:-display. If you are passing a single plot into the procedure, then display is superfluous.

Also, you should either remove display from your procedure, or replace it with plots:-display. If you are passing a single plot into the procedure, then display is superfluous.

First 675 676 677 678 679 680 681 Last Page 677 of 709