Carl Love

Carl Love

28070 Reputation

25 Badges

13 years, 34 days
Himself
Wayland, Massachusetts, United States
My name was formerly Carl Devore.

MaplePrimes Activity


These are replies submitted by Carl Love

@JamesK Oh, did you enter the blue code "FunctionToTree:= module()..." that your transcript shows? You're not supposed to do that. Put your mouse cursor in the code window, right click, and select "Execute Code". Then execute the commands in red. The blue code is just the output of the "Execute Code".

Despite my enthusiasm (as a challenge for my own amusement) for computing the actual answer, if it actually turns out to be possible to do so, I agree with G A Edgar.

Despite my enthusiasm (as a challenge for my own amusement) for computing the actual answer, if it actually turns out to be possible to do so, I agree with G A Edgar.

@JamesK I find your error message very strange. What command did you give? It looks like you might have given that command ModuleApply(...) rather than FunctionToTree(...). Can you post a worksheet where you get the error?

If you've downloaded the worksheet I attached, then you need to "Execute Cute" in the Code Edit Region. Put your mouse in the box that contains the code, right click, and select Execute Code.

@JamesK I find your error message very strange. What command did you give? It looks like you might have given that command ModuleApply(...) rather than FunctionToTree(...). Can you post a worksheet where you get the error?

If you've downloaded the worksheet I attached, then you need to "Execute Cute" in the Code Edit Region. Put your mouse in the box that contains the code, right click, and select Execute Code.

@JamesK I just posted a module with the required functionality in your followup thread.

@JamesK I just posted a module with the required functionality in your followup thread.

@PatrickT The smoothness of the Postscript export does make the source of the problem seem to be something more akin to pixelation than to, say, numerical instability. I noticed that the problem was still there upon export to JPEG, which usually has a smoothing and blurring effect. Would someone who has a printer please print the original "jagged and nasty" plot?

@PatrickT The smoothness of the Postscript export does make the source of the problem seem to be something more akin to pixelation than to, say, numerical instability. I noticed that the problem was still there upon export to JPEG, which usually has a smoothing and blurring effect. Would someone who has a printer please print the original "jagged and nasty" plot?

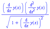
Isn't that just the derivative with respect to x?

F:= sqrt(1+diff(y(x),x)^2);

(1+(diff(y(x), x))^2)^(1/2)

diff(F,x);

(diff(y(x), x))*(diff(diff(y(x), x), x))/(1+(diff(y(x), x))^2)^(1/2)


Download diffdiff.mw

Would someone who works for Maplesoft please comment on this?

  • Is Maple IDE an officially sanctioned Maplesoft product?
  • If it isn't, why are you letting them get away with abusing your trademarks?

@spradlig I use Classic to open very old .mws worksheets. All I do is open them and resave them, and then I can open them in Standard. That's all that I use Classic for. However, I can think of two other reasons why someone might want Classic. The first is that the spacing of the characters in the math output of Standard is often too wide or misaligned vertically. Thus it is harder to read. The second reason is that moderately long output that Classic can display virtually instantaneously can take inordinately long to display in Standard, and very long output very often causes the GUI to crash completely.

@spradlig I use Classic to open very old .mws worksheets. All I do is open them and resave them, and then I can open them in Standard. That's all that I use Classic for. However, I can think of two other reasons why someone might want Classic. The first is that the spacing of the characters in the math output of Standard is often too wide or misaligned vertically. Thus it is harder to read. The second reason is that moderately long output that Classic can display virtually instantaneously can take inordinately long to display in Standard, and very long output very often causes the GUI to crash completely.

Several times I have had a complete loss of kernel soon after receiving this error. So, I don't think it can be so safely ignored.

Several times I have had a complete loss of kernel soon after receiving this error. So, I don't think it can be so safely ignored.

First 680 681 682 683 684 685 686 Last Page 682 of 709