Kitonum

21845 Reputation

26 Badges

17 years, 228 days

MaplePrimes Activity


These are answers submitted by Kitonum

We need to help Maple a little. First we make replacements: u=log[2](x), v=log[2](y), w=log[2](z) , so x=2^u, y=2^v, z=2^w . Now we can reformulate the problem: find   2^u*2^v*2^w*(2^u+2^v+2^w)-2^u*2^v-2^v*2^w-2^u*2^w  if  {u+v+w=103, 1/u+1/v+1/w=1/103} . In the second equality we add 3 fractions and obtain  (u*v+v*w+u*w)/(u*v*w)=1/103 . Thus, the numerator and the denominator can be found to within a constant factor:  u*v+v*w+u*w=ku*v*w=103*k . Next, we ask Maple to solve the resulting system for  u , v , . Further obvious:

Sol:=solve({u+v+w=103, u*v+v*w+u*w=k, u*v*w=103*k}, {u,v,w}, explicit);
{seq(expand(eval(2^u*2^v*2^w*(2^u+2^v+2^w)-2^u*2^v-2^v*2^w-2^u*2^w, t)), t={Sol})}[]; 
# The final result
         

Addition.   Already after sending my answer I noticed that everything can be done much easier by direct calculation in Maple:

Sol:=solve({log[2](x)+log[2](y)+log[2](z)=103, 1/log[2](x)+1/log[2](y)+1/log[2](z)=1/103});
{seq(eval(x*y*z*(x+y+z)-x*y-y*z-z*x, t), t=Sol)}[];
    


Your conditions correspond to the second solution of the system, if you take for example  y = 2 .


Edit.
 

Unfortunately Maple does not solve this system analytically, but it easily solves numerically.


 

pde1 := diff(u(x, t), t) = (1/50)*(diff(u(x, t), x, x))+1-4*u(x, t)+u(x, t)^2*v(x, t);
pde2 := diff(v(x, t), t) = (1/50)*(diff(v(x, t), x, x))+3*u(x, t)-u(x, t)^2*v(x, t);
bcs:=u(x, 0) = 1+sin(2*Pi*x), v(x, 0) = 3, u(0, t) = 1, u(1, t) = 1, v(0, t) = 3, v(1, t) = 3;
pds:=pdsolve({pde1,pde2},{bcs}, {u(x,t),v(x,t)}, numeric);

diff(u(x, t), t) = (1/50)*(diff(diff(u(x, t), x), x))+1-4*u(x, t)+u(x, t)^2*v(x, t)

 

diff(v(x, t), t) = (1/50)*(diff(diff(v(x, t), x), x))+3*u(x, t)-u(x, t)^2*v(x, t)

 

u(x, 0) = 1+sin(2*Pi*x), v(x, 0) = 3, u(0, t) = 1, u(1, t) = 1, v(0, t) = 3, v(1, t) = 3

(1)

pds:-plot3d(u(x,t), x = 0 .. 1, t = 0 .. 1, axes = box);  # Example of use

 

 


 

Download pde_sys.mw

See the corrected file.

u_nonlinerafit1.mw

The first one:
ProcInserer:=(x,pos,L)->[L[1..pos-1][], x, L[pos..-1][]]:

The second one:
Inverse:=L->[seq(L[i], i=nops(L)..1, -1)]: 


Examples of use:

ProcInserer(x, 3, [1,2,3,4]);
Inverse([1,2,3,4]);

 

Addition. I did not notice at first that it was necessary to use  for  loops. Here is the same with  for  loops:

ProcInserer1:=proc(x,pos,L)
local n, i, L1;
n:=nops(L);
for i from 1 to n+1 do
if i<pos then L1[i]:=L[i] else
if i=pos then L1[i]:=x else
L1[i]:=L[i-1] fi; fi;
od;
convert(L1, list);
end proc:

Inverse1:=proc(L)
local n, i, L1;
n:=nops(L);
for i from 1 to n do
L1[i]:=L[n-i+1];
od;
convert(L1, list);
end proc:

 

 

restart;
Check:=proc(L::list({numeric,symbol}), a)
local n, k, i, P;
n:=nops(L);
k:=0;
for i from 1 to n do
if L[i]=a then k:=k+1; P[k]:=i fi;
od;
if k<>0 then print(yes, convert(P, list)) else no fi;
end proc:

Examples of use:

Check([1,3,5,7,6,5], 5);
Check([1,3,5,7,6,5], 9);
Check([1,a,5,7,6,a], a);


Addition. The procedure works correctly if the list items are numbers (of  numeric  type) or symbols.

Edit.
 

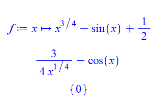
We can find where the derivative is equal to infinity, equating only the first term in the expression for the derivative to infinity, since the remaining terms take only finite values for  x>=0:

f := x -> x^(3/4)-sin(x)+1/2;
D(f)(x);
solve(op(1,D(f)(x))=infinity);
                                                     


Another way (more preferable) is to use  discont  command:

f := x -> x^(3/4)-sin(x)+1/2;
D(f)(x);
discont(%, x);
                                                  

 

Edit.

 

If you need to combine several matrices or / and vectors of the same height horizontally, you can do this as in the example below:

A:=<a,b; c,d>; # Matrix
B:=<e,f>;  # Vector
C:=<g,h>;  # Vector
<A|B|C>;
                                                   

 

 

You can easily find all digits of a natural number in a binary system by successively dividing by 2. Here is the procedure for this:

restart;
Binary:=proc(n::posint)
local q, k, n1, r, L;
q:=infinity;
k:=0; n1:=n;
while q>=1 do
q:=iquo(n1, 2, 'r'); n1:=q; k:=k+1; L[k]:=r;
od:
[seq(L[k-i], i=0..k-1)];
end proc:


Example of use:

Binary(365);
convert(365, base, 2); 
# Check
                                             [1, 0, 1, 1, 0, 1, 1, 0, 1]
                                             [1, 0, 1, 1, 0, 1, 1, 0, 1]

 taro 405  Your solution is correct, except for the slip of the pen (should be  2*x+3*y-z-4  instead of  2*x+3*y-z). Vote up. But the final result is the same. The reason is that the linear transformation is degenerate and translates all the space  R^3  into the points of the plane  x+y+z=0 . But this plane will not always be a solution. If the original plane is parallel to the vector  <-4, 3, 1>, then the solution is not the entire plane  x+y+z=0, but some straight line lying in this plane. Your solution in this case leads to an error (see below).


 

restart;
A:=<<1,1,-2>|<3,4,-7>|<-5,-8,13>>;
A.<x,y,z>; # All the points lie on the plane X+Y+Z=0

Matrix(3, 3, {(1, 1) = 1, (1, 2) = 3, (1, 3) = -5, (2, 1) = 1, (2, 2) = 4, (2, 3) = -8, (3, 1) = -2, (3, 2) = -7, (3, 3) = 13})

 

Vector[column](%id = 18446745846591130310)

(1)

LinearAlgebra:-Eigenvectors(A);

Vector(3, {(1) = 18, (2) = 0, (3) = 0}), Matrix(3, 3, {(1, 1) = -2/5, (1, 2) = -4, (1, 3) = 0, (2, 1) = -3/5, (2, 2) = 3, (2, 3) = 0, (3, 1) = 1, (3, 2) = 1, (3, 3) = 0})

(2)

solve(2*x+3*y-z=4,z); # This plane are parallel to the vector <-4, 3, 1>
vec:=<x,0,0> + <0,y,0> + <0,0,%>;
A:=<<1,1,-2>|<3,4,-7>|<-5,-8,13>>;
B:=A.vec;
C:=solve({X=B[1],Y=B[2]},{x,y});
Z=eval(B[3],C);

-4+2*x+3*y

 

Vector(3, {(1) = x, (2) = y, (3) = -4+2*x+3*y})

 

Matrix(3, 3, {(1, 1) = 1, (1, 2) = 3, (1, 3) = -5, (2, 1) = 1, (2, 2) = 4, (2, 3) = -8, (3, 1) = -2, (3, 2) = -7, (3, 3) = 13})

 

Vector[column](%id = 18446745846595634350)

 

 

Error, invalid input: eval received NULL, which is not valid for its 2nd argument, eqns

 

 


 

Download answer.mw

restart;
eqn := m*`&ell;`^2*(diff(q[1](t), t, t))+k[t]*`&ell;`^2*q[1]+5*k[r]*q[1]-4*k[r]*q[2]+k[r]*q[3]-5*P*`&ell;`*q[1]+2*`&ell;`*P*q[2]+2*`&ell;`*T*q[1]-`&ell;`*T*q[2] = 0:
eqn:=expand(eqn/k[t]/`&ell;`^2);
subs([k[r]=alpha*(k[t]*`&ell;`^2),P=sigma*(k[t]*`&ell;`),T=theta*(k[t]*`&ell;`)], eqn); # Or
expand(%*k[t]);

 

restart;
plot([sin, cos], -Pi .. Pi, title = "Simple Trig Functions", legend = ["Sine Plot", "Cosine Plot"], titlefont = ["ARIAL", 15], labels = ["x values", ` Re`^(`1`/`2`)*C__f], labeldirections = ["horizontal", "vertical"], labelfont = ["HELVETICA", 16], linestyle = [solid, longdash], axesfont = ["HELVETICA", "ROMAN", 16], legendstyle = [font = ["HELVETICA", 9], location = right], tickmarks = [[-Pi = -180^o, -2*Pi*(1/3) = -120^o, -(1/3)*Pi = -60^o, 0 = `0`^o, (1/3)*Pi = 60^o, 2*Pi*(1/3) = 120^o, Pi = 180^o], default]);


Or

restart; 
plot([sin, cos], -Pi .. Pi, title = "Simple Trig Functions", legend = ["Sine Plot", "Cosine Plot"], titlefont = ["ARIAL", 15], labels = ["x values", typeset("Re",``^(`1`/`2`), C__f)], labeldirections = ["horizontal", "vertical"], labelfont = ["HELVETICA", 16], linestyle = [solid, longdash], axesfont = ["HELVETICA", "ROMAN", 16], legendstyle = [font = ["HELVETICA", 9], location = right], tickmarks = [[-Pi = -180^o, -2*Pi*(1/3) = -120^o, -(1/3)*Pi = -60^o, 0 = `0`^o, (1/3)*Pi = 60^o, 2*Pi*(1/3) = 120^o, Pi = 180^o], default]);


Addition. I advise adding 2 options  size=[1000,400], scaling=constrained  and slightly reducing the font size for the axes  (take 14 instead of 16). Then your plot looks better.

See the help on  Finance:-WienerProcess  command.

I took  n<=4 , because I did not understand what the (three) dots mean if  n>=5 .

Y:=(delta,b,n)->piecewise(n=0,1/(1+b^2), n=1,arctan(1/b), n=2,1+ln(b^2 + 1)/2-b*arctan(1/b), n=3,1/2*(2*delta-3*b-2*b*ln(b^2 + 1)/2+arctan(1/b)*(b^2-1)), n=4,(1/36)*(18*delta^2-36*delta*b+33*b^2-11+6*ln(b^2 + 1)/2*(3*b^2-1)+6*b*arctan(1/b)*(3-b^2)));

plot(Y(2,b,4), b=0..10); 
# Example of use
 

From your question, I first learned about  Interpolation  package. But when I tried to deal with his work when working with your examples, the message always appears "Kernel connection has been lost"

All your examples are easy to solve in  CurveFitting  package. Only it is necessary to use an exact arithmetic, otherwise due to rounding errors Maple writes that at the node points  (x=0,1, .. ,10))  the derivative is not defined.

restart;
with(CurveFitting):
points := [seq(x, x = 0 .. 10)]; 
data := [seq(sqrt(1+x^2), x = 0 .. 10)];
f:=unapply(Spline(points, data, x), x);
int(f(x), x = 0 .. 1);
evalf(%); 
eval(diff(f(x), x), x = 2);
evalf(%);
plot(f(x), x = 0 .. 10);
plot([f(x), diff(f(x), x)], x = 0 .. 10);

 

 

Because  is the imaginary unit in Maple, then I use  T  instead. Below we build a table  T  that allows us to find the values  T[i1,i2,i3,i4]  for the indices  [i1,i2,i3,i4] . I think that this is something equivalent to a tensor.

restart;
for i1 from 1 to 3 do
  for i2 from 1 to 3 do
    for i3 from 1 to 3 do
      for i4 from 1 to 3 do
        if i1=i2 and i2=i3 and i3=i4 then
        T[i1,i2,i3,i4]:=1.0;
        else
        T[i1,i2,i3,i4]:=0.0 end if;
        end do:
      end do:
    end do:
  end do:
T:=convert(T, table);
                


Examples of use:

T[1,2,3,4];
T[2,2,2,2];
                                         
 0.
                                          1.


Of course, we can define this much shorter as a function of 4 variables:

T:=(i1,i2,i3,i4)->`if`(i1=i2 and i2=i3 and i3=i4, 1., 0.):

 

Examples of use:

T(1,2,3,4);
T(2,2,2,2);

First 120 121 122 123 124 125 126 Last Page 122 of 292