Kitonum

21845 Reputation

26 Badges

17 years, 228 days

MaplePrimes Activity


These are answers submitted by Kitonum

If you want to reduce the number of significant digits in an output, use  evalf[n]  command, in which  n  is the number of desired digits. I also made a few simplifications in your code:

X := [seq(0.1e-1*i, i = 0 .. 12)]; 
Y := [0, .36, .56, .67, .73, .76, .78, .79, .79, .80, .80, .80, .80];
with(Statistics): 
f := unapply(evalf[5](Fit(a-b*exp(c*x+d), X, Y, x, initialvalues = [a = .8, b = 1, c = -50, d = -.3])), x); 
plot([f, zip(`[]`,X, Y)], 0 .. .15, color = blue, gridlines = true, style = [line, point], size = [600, 400]);

B:=proc(a, b)
local A1;
uses LinearAlgebra;
A1:=DeleteColumn(A, a);
DeleteRow(A1, b);
end proc:

# Or

B:=proc(a, b)
uses LinearAlgebra;
DeleteRow(DeleteColumn(A,a), b);
end proc:


Addition. All this can be done shorter without any procedures and without calling  LinearAlgebra  package.

Examples:

A:=<1,2,3; 4,5,6; 7,8,9>;  # Defining a matrix
A[1..2, 2..3];  # Deleted third row and first column
A[2, 2..3];  # Deleted first and third rows and first column
A[[1,3], [1,3]];  # Deleted second row and second column

                                


Edit.

See  HPM_4_new.mw

Now the system's solutions are returned for  i = 0 , but for  i=1  an error occurs in  dsolve  command. You should understand the correctness of the specification of the system for  i>=1 .

Unfortunately, the developers did not provide for legends such as you want, so in the example below I made legends using the packages  plottools  and  plots :

restart;
with(plottools):  with(plots):
A:=plot(sin(x), x=0..2*3.14, style=pointline, symbol= diamond, color=red, symbolsize=11, numpoints=40, adaptive=false):
B:=plot(cos(x), x=0..2*3.14, style=pointline, symbol= solidcircle, color=blue, symbolsize=11, numpoints=40, adaptive=false):
L1, L2:=line([2.75,0.85],[3.2,0.85],color=red), line([3.65,0.85],[4.1,0.85],color=blue):
P1:=plot([seq([2.75+i*(3.2-2.75)/3,0.85], i=1..2)],style=point,symbol= diamond, color=red, symbolsize=11):
P2:=plot([seq([3.65+i*(3.2-2.75)/3,0.85], i=1..2)],style=point,symbol= solidcircle, color=blue, symbolsize=11):
T:=textplot([[3.4,0.85,sin(x)],[4.3,0.85,cos(x)]]):
P:=polygon([[2.7,0.7],[2.7,1],[4.5,1],[4.5,0.7]], style=line, thickness=0):
plots:-display(A, B, P, L1, L2, T, P1, P2, scaling=constrained, size=[800,300]);

      

 


Addition. This is done in Maple 2017.3. In earlier versions, you may have to specify graphs for  style=line  and  style=point  separately.

restart;
L:=[[0,0,0], [1,0,0], [1,1,0], [0,1,0], [0,0,1], [1,0,1], [1,1,1], [0,1,1]]:
T:=combinat:-choose(L, 4):
Dist:=(p,q)->sqrt((p[1]-q[1])^2+(p[2]-q[2])^2+(p[3]-q[3])^2):
P:=v->combinat:-choose(v, 2):
seq(`if`(nops(convert((Dist@op)~(P(t)),set))=1, t, NULL), t=T); 
# Final result (two solutions)

             [[0, 0, 0], [0, 1, 1], [1, 0, 1], [1, 1, 0]], [[0, 0, 1], [0, 1, 0], [1, 0, 0], [1, 1, 1]] 


A visualization:

restart;
with(plottools): with(plots): with(combinat):
A:=cuboid([0, 0, 0], [1, 1, 1], style=line, color=black):
L:=[[[0, 0, 0], [0, 1, 1], [1, 0, 1], [1, 1, 0]], [[0, 0, 1], [0, 1, 0], [1, 0, 0], [1, 1, 1]]]:
P1, P2:=choose(L[1], 2), choose(L[2], 2):
B:=seq(line(op(P1[i]), color=red, thickness=3), i=1..6):
C:=seq(line(op(P2[i]), color=blue, thickness=3), i=1..6):
display(A, B, C, axes=none);

                                

Edit.

x:=(t,vter)->vter*(1-exp(-t/vter)):
y:=(t,vter)->(1+vter)*vter*(1-exp(-t/vter))-vter*t:
plot([seq([x(t,v),y(t,v),t=0..2.5], v=[0.3,1,3]), [limit~([x(t,v),y(t,v)], v=infinity)[], t=0..2.5]], color=[brown,red,black,blue], thickness=2, view=[0..2.5,-0.3..0.5], numpoints=10000, legend=(vter=~[0.3,1,3,infinity]), legendstyle=[font=[times,14],location=right], size=[600,400]);

 

                          

 

Edit.

Use  minimize  command instead of extrema. See

2_new.mw


As an alternative you can use  Optimization:-Minimize  command:

Optimization:-Minimize(V, x = 0 .. 1); 

Do  restart  first and everything will work properly:

restart; 
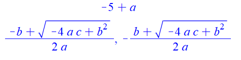
solve(a = b+5, b); 
solve(a*x^2+b*x+c = 0, x);
                                                  

Addition. Directly in your document I get a very strange result:

I think that you should create a new document that is free of any presetting.

It is true for any real  a  and  b  if  b>0 :

is(arctan(a,b)=arctan(a/b)) assuming real, b>0;
                                             
 true


 

"restart;  iter:=5;  f[1](x,y):=3 x^(2)-y^(2);  f[2](x,y):=3 x^()*y^(2)-x^(3)-1;"

5

 

proc (x, y) options operator, arrow; 3*x^2-y^2 end proc

 

proc (x, y) options operator, arrow; 3*x*y^2-x^3-1 end proc

(1)

var := x, y

x, y

(2)

pointt := [x[n], y[n]]

[x[n], y[n]]

(3)

NULL

NULL

``

x[0] := 1; y[0] := 1

1

 

1

(4)

for n from 0 to iter do J[n] := Student[MultivariateCalculus][Jacobian]([f[1](x, y), f[2](x, y)], [var] = pointt, output = matrix); sol[n] := eval((Vector(2, {(1) = x[n], (2) = y[n]}))-1/J[n].(Vector(2, {(1) = f[1](x[n], y[n]), (2) = f[2](x[n], y[n])}))); A[n] := [n, x[n], y[n], f[1](x[n], y[n]), f[2](x[n], y[n]), J[n]]; x[n+1] := evalf[8](sol[n][1]); y[n+1] := evalf[8](sol[n][2]) end do

n := 'n'; f := 'f'; A[-1] := [n, x[n], y[n], f[1](x[n], y[n]), f[2](x[n], y[n]), J[n]]; convert(Array(-1 .. 5, 1 .. 6, proc (i, j) options operator, arrow; A[i][j] end proc), Matrix)

Matrix(%id = 4466988674)

(5)

 


 

Download q1nwtnnonlinearsys_new.mw

Function  procedure solves the problem. Required parameters of the procedure: F is an expression of the variable  x  or a procedure, R is a list of the end points of a segment (the domain of the function), N is the number of points (the ends of the segment  R  are included in this number so  N>=2).  Optional parameters: the equality  output=list  (by default) or   output=plot , Opts  is a list (additional options for plotting). 

Function:=proc(F::{algebraic,procedure}, R::list, N::posint, Eq::`=`:=(output=list), Opts::list:=[])
local f, a, b, h, L;
if F::algebraic then f:=x->F else f:=F fi;
a,b:=op(R); h:=(b-a)/(N-1);
L:=[seq(evalf[3]([a+i*h,eval(f(x),x=a+i*h)]), i=0..N-1)];
print(L);
if Eq=(output=plot) then 
plot([f(x), L], x=a..b, color=[red,blue], op(Opts)) fi;
end proc:

 

Example of use:

Function(x^2, [-2,2], 9, output=plot, [scaling=constrained, size=[500,500]]);

       

 

 

You can use  plots:-contourplot  command
See also this post  https://www.mapleprimes.com/posts/202222-Contour-Curves-With-Labels


Examples of use:

restart:
f(x,y):=exp(-(x^2+y^2)/3)*cos(2*x*y):
plots:-contourplot(f(x,y), x=-2.5..2.5, y=-2.5..2.5, contours=[seq(-0.4 .. 1, 0.1), 0.95] ,filledregions=true, coloring=["White","DarkViolet"], numpoints=50000); 

                              


ContoursWithLabels(f(x,y), -2.5 .. 2.5, -2.5 .. 2.5, {seq(-0.4 .. 1, 0.1), 0.95},Coloring = [colorstyle = HUE, colorscheme = ["White","DarkViolet"], style = surface]);

    

  Edit.      

I tried to open the attached file by selecting  Maple Input , but my computer freezes after that.
Try to restore your worksheet as follows:

Menu  File -> Recent Documents -> Restore Backup

plot([BesselJ(0,x), BesselJ(1,x)], x=0..10, color=[red,blue]);


See help on  ?Bessel
 

First 132 133 134 135 136 137 138 Last Page 134 of 292