Kitonum

21845 Reputation

26 Badges

17 years, 228 days

MaplePrimes Activity


These are answers submitted by Kitonum

The first term is 1, and each next term is equal to the previous term written down by the same digits in the reverse order plus the position of the previous member.

The procedure for this:

P:=proc(n)
local L, N;
option remember;
if n=1 then return 1 else
L:=convert(thisproc(n-1), base, 10);
N:=nops(L);
n-1+add(L[i]*10^(N-i), i=1..N) fi;
end proc:


Example of use:

seq(P(n), n=1..100);
1, 2, 4, 7, 11, 16, 67, 83, 46, 73, 47, 85, 70, 20, 16, 76, 83, 55, 73, 56, 85, 79, 119, 934, 463, 389, 1009, 9028, 8237, 7357, 7567, 7688, 8899, 10021, 12035, 53056, 65071, 17093, 39109, 90232, 23249, 94273, 37291, 19316, 61435, 53461, 16481, 18508, 80629, 92657, 75679, 97708, 80831, 13861, 16885, 58916, 62041, 14083, 38099, 99142, 24259, 95303, 30421, 12466, 66485, 58531, 13651, 15698, 89719, 91867, 76889, 98938, 84061, 16121, 12235, 53296, 69311, 11473, 37489, 98552, 25669, 96733, 33851, 15916, 62035, 53111, 11221, 12298, 89309, 90487, 78499, 99578, 87691, 19771, 17885, 58966, 67081, 18173, 37279, 97372

Your system has infinitely many solutions, depending on one parameter (Maple has selected  y  as a parameter). Each equation of the system separately sets a plane in 3D. The  solve command easily finds all solutions as the intersection of these planes. In fact, we have a whole straight line of solutions (red line at the plot):

sol:=solve([x+y = 373320, z = (x+y) / 0.44 - y -  y* (1 - 0.99)], [x,y,z]);  # All the solutions
plots:-display(plots:-spacecurve(rhs~(op(sol)), y=0..400000, color=red, thickness=3),plots:-implicitplot3d([x+y = 373320, z = (x+y) / 0.44 - y -  y* (1 - 0.99)], x=0..500000,y=0..800000,z=0..1000000, style=surface,  color=[yellow,blue], axes=normal, tickmarks=[5,5,5]));  # Visualization

 

Use  Sum  instead of  sum:

f(x):=Sum((-1)^n*x^(2*n+1)/(2*n)!, n=0..infinity);
simplify(diff(f(x), x));

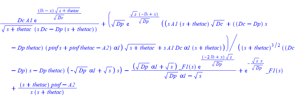
q(x, s) := -(-(-thetac*s^(3/2)-s^(5/2)+(s^2+s*thetac)*alpha1*sqrt(Dp))*Dc*A1*exp((lh-x)*sqrt(s+thetac)/sqrt(Dc))+((alpha1*(s+thetac)*(-pinf*s-pinf*thetac+A2)*Dp^(3/2)+s*sqrt(Dp)*(A1*(s+thetac)*sqrt(Dc)-Dc*alpha1*(-pinf*s-pinf*thetac+A2)))*sqrt(s+thetac)+A1*sqrt(Dp)*s*Dc*alpha1*(s+thetac))*exp(sqrt(s)*(-lh+x)/sqrt(Dp))-(-_F1(s)*(-s*alpha1*(s+thetac)^2*Dp^(3/2)-s^(3/2)*Dp*thetac^2+thetac*(Dc-2*Dp)*s^(5/2)+(Dc-Dp)*s^(7/2)+sqrt(Dp)*s^2*Dc*alpha1*(s+thetac))*exp((-2*lh+x)*sqrt(s)/sqrt(Dp))+_F1(s)*(-s*alpha1*(s+thetac)^2*Dp^(3/2)-thetac*(Dc-2*Dp)*s^(5/2)+(-Dc+Dp)*s^(7/2)+s^(3/2)*Dp*thetac^2+sqrt(Dp)*s^2*Dc*alpha1*(s+thetac))*exp(-sqrt(s)*x/sqrt(Dp))+alpha1*(s+thetac)*(-pinf*s-pinf*thetac+A2)*Dp^(3/2)+(-pinf*(Dc-2*Dp)*thetac+A2*(Dc-Dp))*s^(3/2)-pinf*(Dc-Dp)*s^(5/2)-s*alpha1*Dc*(-pinf*s-pinf*thetac+A2)*sqrt(Dp)-sqrt(s)*Dp*thetac*(-pinf*thetac+A2))*sqrt(s+thetac))/((s+thetac)^(3/2)*s*((Dc-Dp)*s-Dp*thetac)*(sqrt(Dp)*alpha1-sqrt(s))):

collect(q(x,s), [exp((lh-x)*sqrt(s+thetac)/sqrt(Dc)), exp(sqrt(s)*(-lh+x)/sqrt(Dp)), exp((-2*lh+x)*sqrt(s)/sqrt(Dp)), exp(-sqrt(s)*x/sqrt(Dp))]):

map(simplify, %);  
# The final result

                

max[index]  gives only one solution. But the matrix can have multiple entries with the same maximum value. The following example shows how to find the positions of all of these entries:

restart;
with(LinearAlgebra):
p:=RandomMatrix(10,10, generator=0..12);
mval:=max[index](p):
 # The position of one maximum entry of the matrix p
N:=p[mval];
 # The maximum entry of the matrix p
k:=0:
for i to 10 do
for j to 10 do
if p[i,j]=N then k:=k+1; L[k]:=[i,j] fi;
od: od:
L:=convert(L,list);  
# All the positions of maximum entries

                  

 

For example:

r:=rand(-9..9):
k:=0:
do
a,b:=r(),r();
if igcd(a,b)=1 then k:=k+1; L[k]:=a*x+b fi;
if k=4 then break fi;
od:
convert(L, list);

In Help we can read "Note: The algsubs command currently works only with integer exponents". The positive integer exponents are here implied.

The toy example:
algsubs(x=t, x+1/x);
                                    
 t+1/x


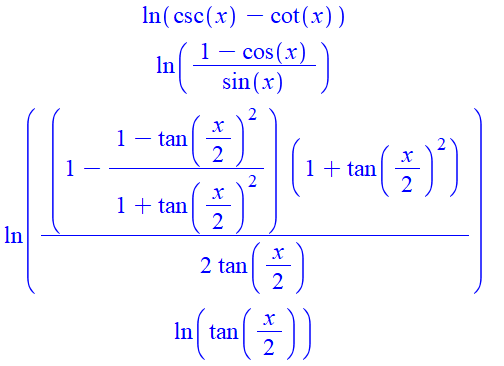
In your the first example Maple simply makes constant  1/x  outside the integral and calculates the remaining integral. 


The second example is done correctly:

int(1/sin(x), x);
simplify(%);
convert(%, tan);
applyop(normal, 1, %);
                            

 or

int(1/sin(x), x);
diff(%, x);
simplify(%);

                                  

 

 

In the expression  u  in the last fraction in the numerator and in the denominator, sqrt(sigma)  is present. I removed it and now everything is working:

restart;
u := c-6*mu*(1+lambda*sqrt(-mu)*coth(A+sqrt(-mu)*(x+y+mu*t)))/((a+b)*sqrt(-mu)*coth(A+sqrt(-mu)*(x+y+mu*t)))+6*mu*sqrt((1-coth(A+sqrt(-mu)*(x+y+mu*t))^2))/((a+b)*sqrt(-mu)*coth(A+sqrt(-mu)*(x+y+mu*t)));

c := 1:                                     
mu := -1.5:                                     
lambda := 1.5:                                     
a := 1:                                      
b := 1:                                      
A := 0.5:                                     
y := 0:

plot3d(abs(u), x = -10 .. 3, t = -10 .. 3);

DeleteZeroLines:=proc(A::Matrix)
local m, n, ZR, L1, B, m1, ZC, L2;
uses LinearAlgebra;
m, n:=op(1, A);
ZR:=ZeroVector[row](n);
L1:=[seq(`if`(Equal(A[i], ZR), i, NULL), i=1..m)];
B:=DeleteRow(A, L1);
m1:=op([1,1], B);
ZC:=ZeroVector(m1);
L2:=[seq(`if`(Equal(B[..,i], ZC), i, NULL), i=1..n)];
DeleteColumn(B, L2);
end proc:


Example of use:

A:=RandomMatrix(8, 10, density = 0.1, generator = 1..9);
DeleteZeroLines(A);

                        

DeleteZeroLines.mw

Of course, this conversion can be done by direct calculation (without  convert  command):

z := arctan(x/sqrt(a^2-x^2)):
t:=op(1,z):
simplify(arcsin(t/sqrt(1+t^2)))  assuming a>0, x^2<a^2;

                                            arcsin(x/a)

convert((t-1)/(-1+2*t), parfrac);

                                 1/2-1/(2*(-1+2*t))

Replace the comma after  l2c2:=0  with a colon:

l2c1:= 2*k:  l2c2:=0:  l2c3:=8-k:
plots:-spacecurve([l2c1, l2c2, l2c3], k=-10..10, color=red);

A procedure for this:

restart;
MakeColored:=(s,c)->Typesetting:-mo(convert(s,string), mathcolor = c):


Examples of use:

x:=MakeColored(x, "Red"):
y:=MakeColored(y, "Blue"):
z:=MakeColored(z, "Green"):
x, y, z;
(x+y)/(x-z);

                          


See these threads for details:

http://www.mapleprimes.com/questions/203931-Print-Hello-In-Green

http://www.mapleprimes.com/questions/126174-How-Do-You-Color-Text-Output-From-Command-Line

 

Edit.

 

I think that this is the case when it is easier to solve by hand, because it is easy to express exp(x) rationally through tanh(x/2). If you need to perform a similar conversion more than once, the procedure called  Convert  will be useful. It converts any occurrence of  exp  function into  tanh  function:

restart;
Convert:=proc(Expr)
local A;
convert(tanh(z), exp);
combine(normal(subs(exp(-z)=1/exp(z), %)));
solve(%=tanh(z), exp(2*z));
A:=subs(z=z/2, %);
simplify(applyrule(exp(z::anything)=A, Expr));
end proc:


Examples of use:

Convert(exp(x));
Expr:=-(exp(-a*s)-1)*kw/((exp(-a*s)+1)*s^2);
Convert(Expr);  
# The initial example


 

Maple uses radians by default, so should be Pi/2 instead of 90.

 

First 152 153 154 155 156 157 158 Last Page 154 of 292