Kitonum

21845 Reputation

26 Badges

17 years, 229 days

MaplePrimes Activity


These are answers submitted by Kitonum

restart;
a1 := -k*L*(theta-1)*((z-1)*epsilon*delta-epsilon*z+z);
e:=op([-1,1], a1);
subs(e = freeze(e), a1);
applyop(collect, -1, %, z);
b1:=thaw(%);

                            
 

 

n:=4:
R:=Matrix(1,n):
for i from 1 to n do R[1,i]:=unapply(i*x, x);
end do:
R;

 

And what do you expect as a plot? Even if you have 2 parameters  t  and  s , and the functions  x(t,s)  and  y(t,s)  then the set of points on the plane  (x(t,s), y(t,s))  is not a curve, but some flat region. Here is an example of constructing such a region:

plot([seq([t-s,t^2+s, t=0..1], s=0..1, 0.01)], thickness=4, color=green);

                       

 

 

 

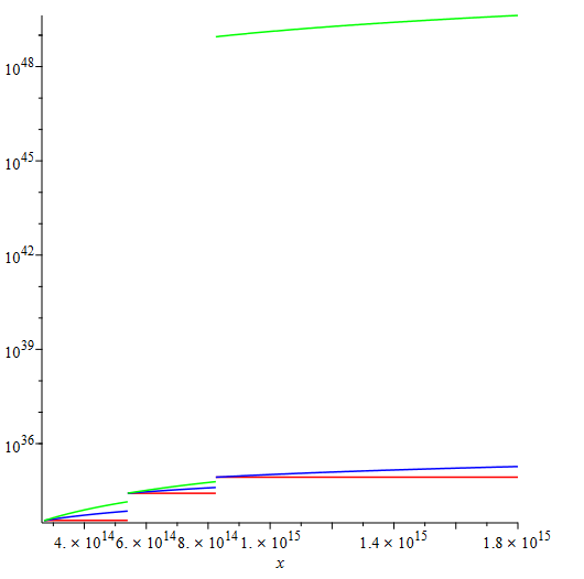
I used  plots:-logplot  so that you could view all the curves on one plot:

restart;
a[0], a[1], a[2] := 3.5927*10^33, 1.3197*10^19, 4.8478*10^4: 
A := plots:-logplot([seq(a[i]*x^i, i = 0 .. 2)], x = 2.7*10^14 .. 5.4*10^14, color = [red, blue, green]):
a[0], a[1], a[2] := 2.6235*10^34, 4.876*10^19, 9.0612*10^4:
B := plots:-logplot([seq(a[i]*x^i, i = 0 .. 2)], x = 5.4*10^14 .. 8.2450*10^14, color = [red, blue, green]):
a[0], a[1], a[2] := 8.5561*10^34, 1.0377*10^20, 1.3197*10^19: 
C := plots:-logplot([seq(a[i]*x^i, i = 0 .. 2)], x = 8.2450*10^14 .. 1.80*10^15, color = [red, blue, green]): 
plots:-display(A, B, C);

                           

 

 

A:=Array(0..3, 0..3, (i,j)->4*i+j+1);
convert(A, Matrix);


Example for an arbitrary list:

L:=[seq(rand(0..9)(), i=1..16)];
A:=Array(0..3, 0..3, (i,j)->L[4*i+j+1]);
convert(A, Matrix);

 

f := x->piecewise(1 <= x and x <= 2, c[1]*x+c[2], 2 <= x and x <= 3, c[3]*x+c[4], 3 <= x and x <= 4, c[5]*x+c[6]) ):
op(4, f(x));

 

L:=[[761, 768, 776, 784, 793, 803, 813, 823, 833, 842], [723, 725, 728, 731, 734, 738, 743, 749, 756, 764], [516, 516, 516, 517, 519, 522, 526, 531, 536, 541], [382, 384, 386, 389, 393, 398, 404, 411, 419, 427], [78, 86, 95, 105, 115, 125, 135, 144, 154, 164], [751, 760, 770, 780, 790, 799, 809, 819, 829, 839], [773, 783, 793, 803, 812, 822, 831, 840, 850, 859], [160, 170, 180, 189, 199, 209, 219, 229, 239, 249]]:
X:=[$ 1..10]:
P:=map(t->`[]`~(X, t), L);
plot(P, color=[red,blue,green,yellow,cyan,gold,pink,violet], size=[750,350], labels=[time,positions]);

      

 

 

We denote  a=-(epsilon-1)*psi/epsilon :

e1:=n = (theta-1)*(z-1)*(-k*psi*L*(-(epsilon-1)*psi/epsilon)^epsilon*k^epsilon+K*(-(epsilon-1)*psi*k/epsilon)^epsilon)/(gamma*((theta-1)*(z-1)*(-(epsilon-1)*psi*k/epsilon)^epsilon-(-(epsilon-1)*psi/epsilon)^epsilon*k^epsilon*theta*z*psi));
    subs(epsilon-1=-a*epsilon/psi, e1);
simplify(%) assuming a>0, k>0;

   

 

 

with(plottools):
A:=rectangle([0, 0], [10, 10], style=line, thickness=2,color = red):
f:=p->rotate(p, arctan(1/3), [5,5]):
g:=p->homothety(p, sqrt(10)/4, [5,5]):
h:=g@f:
plots:-display(seq((h@@n)(A), n=0..10));

                            

 

 

It looks like a bug.

3 different results. The plot confirms the correctness of the latter:

z:=exp(I*t):
f:=z^(1/2)*diff(z, t):
int(f, t=0..2*Pi);
int(evalc(f), t=0..2*Pi);
int(simplify(evalc(f)), t=0..2*Pi);
plot([Re(f), Im(f)], t=0..2*Pi, color=[red,blue], scaling=constrained);

                        
 

 

Addition. For the second example, all methods (in Maple 2016.2) yield the same result:

f:=1/2+exp(I*t):
evalf(Int(f, t=0..2*Pi));
int(f, t=0..2*Pi);
int(evalc(f), t=0..2*Pi);
int(simplify(evalc(f)), t=0..2*Pi);
plot([Re(f), Im(f)], t=0..2*Pi, color=[red,blue], scaling=constrained);

 

Use  Array  and  Matrix  instead  array  and  matrix:

U := Array(1 .. 5, 1 .. 5);
convert(U, Matrix);
for i to 5 do
for j to 5 do
if i = j then U[i, j] := 1 else
U[i, j] := 0; 
end if end do end do: 
U;

 

A more compact ways for solution the same task:

U := Array(1 .. 5, 1 .. 5, (i, j) ->`if`(i = j, 1, 0));

or

U := Matrix(5,  (i, j)-> `if`(i = j, 1, 0));

Just assigning  Fh1  and  theta  values from the first solution:

sol := {Fh1 = 121.6477702, theta = 0.9606764638}, {Fh1 = -121.6477702, theta = -2.180916190}:
assign(sol[1]);
Fh1, theta; 

                                         121.6477702, 0.9606764638
 

If you want to save the obtained points  (x,y)  in a list to use later, for example, for plotting the function  y(x), you can assign the resulting values to indexed variables  x[i], y[i]  at each step of the loop:

restart;
x[0]:=0: y[0]:=1: xf:=1: n:=10:
h:=evalf((xf-x[0])/n):
f:=(x,y) -> x+y:
for i from 1 to n do 
    k:=f(x[i-1],y[i-1]);
    y[i]:=y[i-1]+h*k;
    x[i]:=x[i-1]+h;
od:
L:=[seq([x[i],y[i]], i=0..n)];
  # List of received points
dsolve({diff(g(t),t)=t+g(t), g(0)=1}, g(t));  # The exact solution
assign(%):
plot([L, g(t)], t=0..1, color=[red, blue],  labels=["x", "y(x)"]);  # The plots of the approximate (red) and the exact (blue) solutions

 

 

Should be:

1.  exp(x)  instead of  e^x

2. A semicolon instead of a colon for displaying

3. A multiplication sign was missed in one place:

 

with(VectorCalculus):
with(LinearAlgebra):

Determinant(Wronskian([exp(2*x), exp(-x), x*exp(-x), x^2*exp(-x)], x));
                                          
                                         -54*exp(2*x)*(exp(-x))^3
 

NI.mw

First I simplified your function, because for  x>= 163  it is 0. This function is piecewise linear. Further, the integral is calculated as the sum of the areas of ordinary trapezoids. The calculation is verified by using  int  command:

f:=simplify(f);
L:=convert(f, list);
n:=nops(L);
L1:=[seq(L[2*k-1], k=1..(n-1)/2)];  # List of nodal points
P:=rhs~(L1);
F:=[seq(unapply(L[2*k],x), k=2..(n-1)/2)];
add((F[i](P[i])+F[i](P[i+1]))/2*(P[i+1]-P[i]), i=1..nops(F));  # Calculation of the integral by direct summation
int(f, x=0.594..163);  # Check by int command
plot(f , x=0.594..163);

 

Edit.

First 163 164 165 166 167 168 169 Last Page 165 of 292