Kitonum

21845 Reputation

26 Badges

17 years, 229 days

MaplePrimes Activity


These are answers submitted by Kitonum

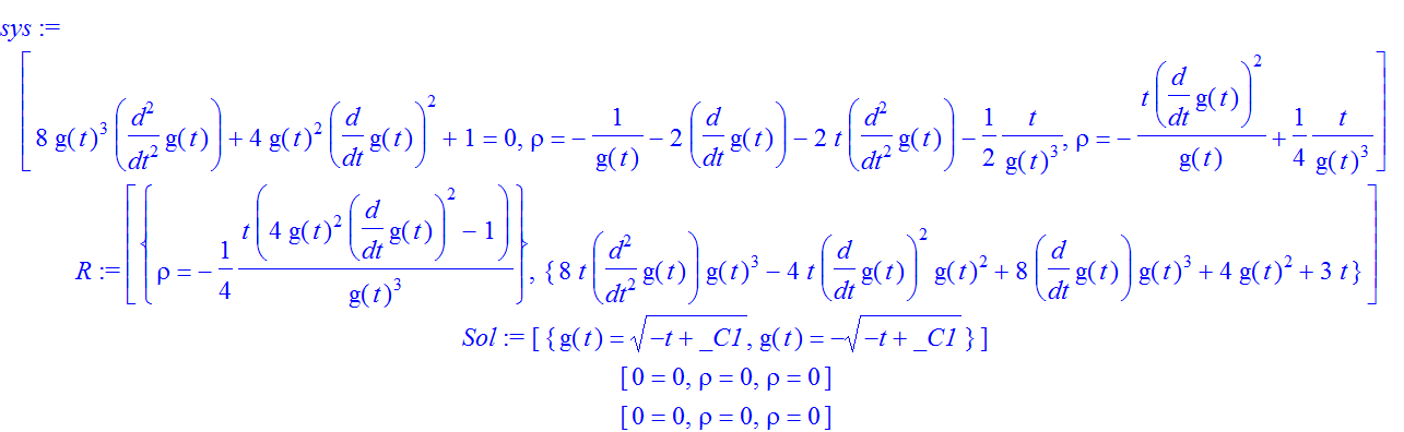
Your system is inconsistent for any  rho<>0 . First we eliminate  rho  from equations 2 and 3 and then solve the system of two equations:

restart;

sys:=[8*g(t)^3*diff(g(t),t$2)+4*(g(t)*diff(g(t),t))^2+1=0,rho=-1/g(t)-2*(diff(g(t),t)+t*diff(g(t),t$2))-t/(2*g(t)^3),rho=(-t/g(t))*(diff(g(t),t))^2+t/(4*g(t)^3)];

R:=eliminate(sys[2..3], rho);

Sol:=dsolve([sys[1],op(R[2])]);

eval(sys,Sol[1,1]);

eval(sys,Sol[1,2]);

 

 For  rho=0  solutions are  Sol .

 

In the procedure  linalg  package was used but it is not called. Add the line  uses linalg; after local-line of your procedure:

Cocycle:=proc(L,n)

local i,j,k,h,v,u,w,C,eqns,e,f,g;  

uses linalg;

... 

nm

At first I misunderstood your demands. The new procedure  P1  solves the problem for all selected variables in any powers (including the symbolic powers). Note that  simplify  with sideral relation does not work for symbolic powers.

restart;

P1:=proc(expr, S::list)

local Rule;

Rule:=product(S[i]^p[i]::anything, i=1..nops(S))=0;

applyrule(Rule, normal(expand(expr)));

end proc: 

 

Examples of use:

f0 := a^4+4*a^3*b+6*a^2*b^2+4*a*b^3+b^4:

f1 := 3*(a*b-2*c):

f2 := (a*b-2*c)/(-a*b+c):

f3:=a^b*c:

f4:=a+b*c:

f5:=c+a^m*b^n:

P1(f0,[a,b]); P1(f1,[a,b]); P1(f2,[a,b]); P1(f3,[a,b]); P1(f4,[a,b]); P1(f5,[a,b]);

restart;

P := expr->evalindets(normal(expand(expr)), And(`*`, satisfies(t->nops(indets(t))>1)), t->0): 

 

Examples of use:

f0 := a^4+4*a^3*b+6*a^2*b^2+4*a*b^3+b^4:

f1 := 3*(a*b-2*c):

f2 := (a*b-2*c)/(-a*b+c):

P(f0);  P(f1);  P(f2);

 

This works for any rational expressions in several variables, if the denominator is not equal to 0 after substitutions.

In your code you are using a point instead of a multiplication sign many times. For example compare the outputs:

simplify(sin(t).sin(t)+cos(t).cos(t));

simplify(sin(t)*sin(t)+cos(t)*cos(t));

                                 

 

In Maple a point is used for the multiplication of matrices and vectors, e.g.

V:=<a, b, c>:

V.V  assuming real;

                                                 

 

 

 

If you replace  arg  by  args   the procedure will work but improperly. Error reason: in the body of the procedure you are referring to the argument of the procedure, which is unchanged. See

test([y, y*z-x, -15*x*y-x*z-x], [x,y,z]);

test([y, y*z-x, -15*x*y-x*z-x], [1,1,1]);

                                             [y, y*z-x, -15*x*y-x*z-x]

                                             [y, y*z-x, -15*x*y-x*z-x]

 

The following version works properly:

test1:=proc()

local f;

f:=args[1]; # a list

[f[2],f[2]*f[3]-f[1],-15*f[1]*f[2]-f[1]*f[3]-f[1]];

end:

 

or (closer to your version):

restart;

test2:=proc()

local f, vars;

f:=args[1]; # a list

vars:=args[2]: # a list

eval(f, [x,y,z]=~vars);

end:

 

Examples:

test1([x,y,z]);

test1([1,1,1]);

                               [y, y*z-x, -15*x*y-x*z-x]

                                          [1, 0, -17]

 

Edited.

May be you want to substitute  (-2+d1), (-1+d1)  terms by new symbols:

subs({d1-1=a, d1-2=b}, y);

 

 

nb:=(k-sigma+1)*lambda*L*(gamma*upsilon-delta__1122^k*tau)*upsilon*tau*v/(f__F*sigma*(-tau^2+upsilon^2)*k);

hh := (L*lambda*(k-sigma+1)*upsilon*tau*v)/(f__F*sigma*(-tau^2+upsilon^2)*k)=rho;

simplify(subs(L=solve(hh, L), nb));

 

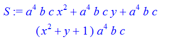
S:=a^4*b*c*x^2+a^4*b*c*y+a^4*b*c;

subs(t=a^4*b*c, collect(algsubs(a^4*b*c=t, S), t));

                         

 

 

Use LinearAlgebra[DotProduct]  with the option  conjugate=false

 

Addition:  if you still use linalg[dotprod]  then use  'orthogonal'  option.

 

Example:

linalg[dotprod](vector([a,b,c]), vector([x,y,z]), 'orthogonal');

                                        a*x+b*y+c*z

 

Edited.

If a family of curves corresponds to the differential equation  F(x, y, y') = 0 , the orthogonal family will correspond to equation   F(x, y, -1/y') = 0 .

 

Example:

Equations  y'=2*x  and  -1/y'=2*x .  Their solutions  are  y=x^2+C  and  y=-1/2*ln(abs(x))+C .

Their plots:

A:=plot([seq(x^2+C, C=0..10)], x=-2..2, color=red):

B:=plot([seq(-1/2*ln(abs(x))+C, C=0..10)], x=-2..2, color=blue):

plots[display](A,B, scaling=constrained, view=[-2..2,-1..7]);

                                        

 

 

A more naive method:

e:= g^((2*(-sigma+k+1))/(-1+sigma))-tau^2:

ex:=(-sigma+k+1)/(-1+sigma):

subs(a=ex, factor(expand(eval(e, ex=a))));

 

Another way (without  ex):

e:= g^((2*(-sigma+k+1))/(-1+sigma))-tau^2:

factor(applyrule(g^(2*a::anything)=(g^a)^2, e));

 

Edited.

This is impossible, because in general, the roots of polynomials of degree higher than four can not be expressed explicitly in terms of their coefficients. Your problem can be solved numerically for any  w  by the procedure  Sol :

restart:

P:=w->w-10*z-1/5*z^2-1/200*z^3-1/500*z^4-z^5-1/1000*z^6:

Sol:=w->fsolve(P(w), z, complex):

 

Examples of use:

Sol(0);

Sol(1);

Sol(10);

 

If you only want the real roots, then remove  complex  option.

cat(2*x-5, ` > `, 3*x-6);

                                    

 

or even simplier:

 `2*x-5 > 3*x-6`;

                                    

For further changes, you can use  parse  command:

`2*x-5 > 3*x-6`;

parse(%);

solve(%);

                       

Edited.

m := -t*(-1+t)^3/(t^3+2):

map(t->`if`(type(t,`^`) and op(2,t)>1, `$`(op(t)), t), [op(m)]);

                                   [-1, t, -1+t, -1+t, -1+t, 1/(t^3+2)]

 

Edited.

 

 

First 182 183 184 185 186 187 188 Last Page 184 of 292