Kitonum

21845 Reputation

26 Badges

17 years, 230 days

MaplePrimes Activity


These are answers submitted by Kitonum

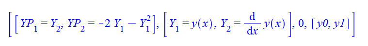
Solution of your example:

DEtools[convertsys]({diff(y(x), x, x)+2*y(x)+y(x)^2 = 0}, {y(0) = y0, (D(y))(0) = y1}, {y(x)}, x);

 

 

The figure depicts one turn your elliptical spiral and two radius-vectors for  t=0  and  t=Pi/4

r := [t, 4*cos(t), 9*sin(t)]:

T := [0, (1/4)*Pi]:

A := plots[arrow](map2(eval, r, map(x-> t = x,T)), color = blue, width = 0.1):

B := plots[spacecurve](r, t = 0 .. 2*Pi, color = red, thickness = 3):

L := plots[textplot3d]([[6.2, 0.3, 0, x], [0.3, 4, 0, y], [0, -0.5, 9, z]], align = left, color = black, font = [TIMES, ROMAN, 14]):

plots[display](A, B, L, axes = normal, scaling = constrained, tickmarks = [5, 5, 5], orientation = [100, 45]);

 

 

Digits:=4:

U := [1.010, 1.110, 1.210, 1.310, 1.410, 1.510, 1.610, 1.710, 1.810, 1.910, 2.020, 2.120, 2.220, 2.320, 2.420, 2.520, 2.620, 2.720, 2.820, 2.920, 3.030, 3.130, 3.230, 3.330, 3.430, 3.530, 3.630, 3.730, 3.830, 3.930, 4.040, 4.140, 4.240, 4.340, 4.440, 4.540, 4.640, 4.740, 4.840, 4.940, 5.050, 5.150, 5.250, 5.350, 5.450, 5.550, 5.650, 5.750, 5.850, 5.950, 6.060, 6.160, 6.260, 6.360, 6.460, 6.560, 6.660, 6.760, 6.860, 6.960, 7.070, 7.170, 7.270, 7.370, 7.470, 7.570, 7.670, 7.770, 7.870, 7.970, 8.080, 8.180, 8.280, 8.380, 8.480, 8.580, 8.680, 8.780, 8.880, 8.980, 9.090, 9.190, 9.290, 9.390, 9.490, 9.590, 9.690, 9.790, 9.890, 9.990, 10.01, 11.11, 12.21]:

W := select(t->frac(t)<=0.59, U);

X:=[seq(trunc(W[i+1])*60+frac(W[i+1])*100-(trunc(W[i])*60+frac(W[i])*100),i=1..nops(W)-1)];

for i to nops(W)-1 while X[i]<>min(X)  do

od:

'i'=i;

X[i], [W[i], W[i+1]];

a:=2: b:=1:

Cylinder:=x^2+y^2=a^2:

Curve:=[a*cos(t) , a*sin(t) , b*t]:

A:=plots[implicitplot3d](Cylinder, x=-3..3, y=-3..3, z=-1..14, style=surface, numpoints=3000):

B:=plots[spacecurve](Curve, t=0..4*Pi, color=red, thickness=3, numpoints=3000):

plots[display](A, B, axes=normal);

 

 

You forgot to put a colon. Should be  a:=k-m*L

plot3d([1+2*x-3*y, 2-3*x+5*y], x=-2..2, y=-2..2, axes=normal);

 

 

restart;

convert(1/(x^2+2*x+2), parfrac, x, complex);

convert(%, rational);

 

 

1.

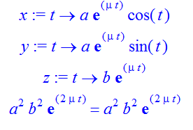
x:=t->a*exp(mu*t)*cos(t);

y:=t->a*exp(mu*t)*sin(t);

z:=t->b*exp(mu*t);

simplify(a^2*z(t)^2=b^2*(x(t)^2+y(t)^2));

 

 

2. For plotting use  plots[spacecurve]  command.

3. For finding the length use the known formula for calculating the length of parametrical curve.

restart;

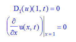
D[1](u)(1,t)=0;

eval(diff(u(x,t),x), x=1)=0;

 

 

Example:

u:=(x,t)->x^2+3*x*t+t^3;

D[1](u)(1,t);

eval(diff(u(x,t),x), x=1);

 

 

PP->Insert->Video->Video from file->All Files->Insert

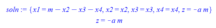
eq1 := x1*a+x2*a+x3*a+x4*a+z = 0:

eq2 := x1+x2+x3+x4 = m:

soln := solve([eq1, eq2], {x1, x2, x3, x4, z});

%[-1];

 

 

From the plot, using the mouse, find the approximate values ​​of the roots, and then use Student[NumericalAnalysis][Newton] :

f := 4*x*cos(3*x)+(x-2)^2-2:

plot(f, x = -5 .. 10);

map2(Student[NumericalAnalysis][Newton], f, map(t->x = t, [0.5, 1.6, 2.5, 3.6, 4.8, 5.6, 7.1, 7.4]));

 

Easier to find all the roots, if you use  RootFinding[Analytic]  command :

sort([RootFinding[Analytic](f, x, re = 0 .. 10, im = -0.1 .. 0.1)]); 

 

 

restart;

f:=(x,y)->2+x^2 +1/4*(y^2);

Px, Py:=1, 2;

DPx, DPy:=D[1](f)(Px,Py), D[2](f)(Px,Py);  # Partial derivatives

maximize(DPx*cos(alpha)+DPy*sin(alpha), location);  # Maximum of directional derivative

A:=plot3d(f(x,y), x=-1..3, y=0..4, axes=normal):

B:=plots[arrow]([Px,Py,0],[DPx,DPy,0], color=red):

plots[display](A,B, orientation=[-15,65]);

 

 

The length of the gradient vector (the red arrow) is equal to the maximum of the directional derivative, that is  sqrt(5) . The arrow shows the direction of the steepest increase of the function  f(x,y) .

See help page in Maple  Statistics/Regression

Another way is to use  piecewise  command from the outset. This method without a mouse, I think the most comfortable.

piecewise(x<0, x-1, x=0, 0, x>0, x+1);

 

 

First 232 233 234 235 236 237 238 Last Page 234 of 292