Kitonum

21925 Reputation

26 Badges

17 years, 284 days

MaplePrimes Activity


These are answers submitted by Kitonum

Try

 Hits := identify(d);

for i from 1 to 501 do if type(Hits[i], 'float') = false then  print(Hits[i]) end if end do;

The law of sines:

AB/sin(C)=BC/sin(A)=AC/sin(B)=2*R=6

We have  sin(C)=AB/6=sqrt(2)/2,  sin(A)=BC/6=sqrt(2)/3

Two cases are possible:  C=Pi/4  or  C=3*Pi/4

Uniquely  A=arcsin(sqrt(2)/3)  because  A<C

Obviously that  cos(B)=cos(Pi - (A+C))=-cos(A+C)  

Next we use Maple and the law of cosines:

c1:=expand(-cos(Pi/4+arcsin(sqrt(2)/3)));

c2:=expand(-cos(3*Pi/4+arcsin(sqrt(2)/3)));

 

AB:=3*sqrt(2): BC:=2*sqrt(2):

radnormal(sqrt(AB^2+BC^2-2*AB*BC*c1));  # first answer

radnormal(sqrt(AB^2+BC^2-2*AB*BC*c2));  # second answer

 

 

Addition - visualization of both solutions:

 

 

expand(2*sin(x+(1/4)*Pi));
``*coeff(%, sin(x))*sin(x)+``*coeff(%, cos(x))*cos(x);

 

Addition:  In Standard M 16 the same result can be obtained  simpler

 expand(``*2*sin(x+(1/4)*Pi));

 

subs(2=`2`, expand(2*(sin(x+Pi/4))));

 

 

 

Likely this can only be done numerically:

f := BesselJ(1, t)*(z*BesselJ(0, t)*BesselJ(1, z)-t*BesselJ(0, z)*BesselJ(1, t))/((1+10*t)*(z^2-t^2)):

F:=unapply(Int(f, t=0..infinity), z);

evalf([F(0), F(1), F(2)]);

 

 

The original formulation of the problem needs to be clarified. The  maximize  command  finds the maximum value of the function in the speified region. If the region is not specified, then in  the whole domain. But the function  F := (x,y)-> (-x*y+12)*x*y/(2*x+2*y)  in  R^2  can take any real value from  -infinity  to  infinity . This is easily seen if we consider the restriction of this function on the line  y=x :  F(x,x)=x*(12-x^2)/4 . Properties of the plot of a cubic polynomial are well know:

plot(x*(12-x^2)/4, x=-5..5);

 

 

Task to become more interesting, we look for the maximum value of the function  F(x,y)  in the region  x>=0, y>=0 . Using Maple it's easy to find the critical points of  F (x, y)  in this region:

F:=(x,y)->x*y*(12-x*y)/2/(x+y):

solve({D[1](F)(x,y)=0, D[2](F)(x,y)=0, x>=0, y>=0}); 

                                      {x = 2, y = 2}

But the proof that at this point the function  F(x,y)  has the maximum value in the region  x>=0, y>=0  there is not very simple. We carry it in 2 stages:

1. Extend the function at the origin  F(0,0)=0 , and show that the function is continuous in the region  x>=0, y>=0. Enough to prove the continuity in the point  (0,0) . This  follows from the simple estimates. Denote  d=sqrt(x^2+y^2) . We have

x*y<=(x^2+y^2)/2=d^2/2 ,   x+y>=sqrt(x^2+y^2)=d ,   x*y*(12-x*y)/2/(x+y)<=12*d^2/(2*d)=6*d


2. Next we estimate the value of the function  F(x,y)  at an arbitrary line  x+y=C , C>0 :

x*y*(12-x*y)/2/(x+y)<=36/(2*C)=18/C  , because  maximize(t*(12-t))=36

Thus, the maximum value of a continuous function  F(x,y)  is achieved in the triangle  0<=y<=6-x ,  0<=x<=6  and it is now clear that it will  F(2,2)=4

The problem is obvious - find the sum in closed form:

sum((2*k-1)^2, k=1..n);

factor(%);

 

 

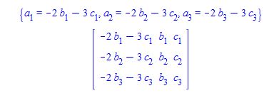
We introduce the notation:  V1=<1,0,0>,  V2=<-1,1,0>,  V3=<0,0,1>  ,  V=<3,0,1>. The vectors  V1 , V2 , V3  are the basis vectors in R^3. Any linear mapping is uniquely determined by its values ​​on the basis vectors. 

So you will need to do two steps:

1. Expand the vector  V  by these basis vectors, ie find numbers  x1, x2, x3  that  V=x1*V1+x2*V2+x3*V3 

2. Use the property of the linear mapping T, ie  T(V)=x1*T(V1)+x2*T(V2)+x3*T(V3)

restart:

N :=unapply( N0-(1/2)*sqrt(2)*sqrt(Pi*Kc/d)*Sum(erfc((1/2)*(L*n+x)/sqrt(d*t)) + erfc((1/2)*((n+1)*L-x)/sqrt(d*t)), n = 0 .. infinity), x);

N0:=0.2: L:=0.25: Kc:=2*10^(-12): t:=360000: d:=2.010619298*10^(-10):

plot(N,0..0.25,axes=box, labels=[x, N]);

 

 

 

if  V  is a eigenvector for the Matrix  A  then  A.V=lambda*V ,  lambda  is corresponding eigenvalue. So

A:=<<3,-2,-1,2,0>|<11,4,-8,2,7>|<0,0,2,0,0>|<3,3,-4,3,3>|<-8,4,5,-4,-1>>:

V:=<2,0,-1,0,1>:  V1:=A.V:

print(` A`=A,`   V`=V,`   V1`=V1);

``;

lambda:=V1[1]/V[1];

 

 

 

It is easy to prove the special case of your identity, if we take  n0=n,  n1=0  (n>=1) :

sum((-1)^(i-1)*factorial(n)/(i^2*factorial(i-1)*factorial(n-i)), i = 1 .. n);

sum(1/i, i = 1 .. n);

                                               Psi(n+1)+gamma

                                               Psi(n+1)+gamma

 

Now apply this identity first for n = n0, then for n = n1, and then subtract the second equality of the first one. 

Finally replace the summation index in the resulting equality.

You mean to construct a right circular cone given radius and height?  It's very simple:

R:=1:  H:=2:

A:=plot3d([r*cos(phi), r*sin(phi), H-H/R*r], r=0..R, phi=0..2*Pi):  # The lateral surface

B:=plot3d([r*cos(phi), r*sin(phi), 0], r=0..R, phi=0..2*Pi):  # The bottom

plots[display](A,B, axes=normal, scaling=constrained);

 

 

Very interesting integral! I have only one question to Markiyan. Where did you find it?

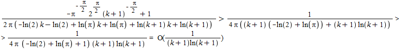
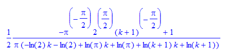
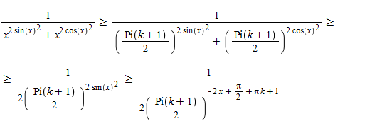
The basic idea of ​​the solution - two-stage estimates of the integrand at every interval  x=Pi*k/2 .. Pi*(k+1)/2 , k=1..infinity . Of course, all of the estimates made ​​by hand. Maple was used only for presentation of results, visualizations and calculation  of the integral on every interval.

We have the following obvious estimates for every interval

 

The latest estimate holds for odd half-intervals  x=Pi*k/2 .. Pi*k/2+Pi/4, as  

sin(x)^2 >= cos(x)^2, 2*sin(x)^2 >= sin(x)^2+cos(x)^2, 2*sin(x)^2 <= -2*x+(1/2)*Pi+Pi*k+1

For even half-intervals all similar, but  sin  should be replaced by cos 

Visualization of the estimates  2*sin(x)^2 <= -2*x+(1/2)*Pi+Pi*k+1  and  2*cos(x)^2 <= -2*x+(1/2)*Pi+Pi*k+1 for  x=Pi/2..3*Pi/2 :

plot([2*sin(x)^2, 2*cos(x)^2, -2*x+3*Pi/2+1,-2*x+5*Pi/2+1], x=Pi/2..3*Pi/2, 0..Pi/2+1, thickness=[1,1,2,2], color=[red,blue,red,blue]);

 

Visualization of the chain of inequalities for 3 intervals: 

f:=x->1/(x^(2*sin(x)^2)+x^(2*cos(x)^2)):

g:=x->piecewise(x>Pi/2 and x<=Pi,1/(Pi^(2*sin(x)^2)+Pi^(2*cos(x)^2)), x>=Pi and x<=3*Pi/2, 1/((3*Pi/2)^(2*sin(x)^2)+(3*Pi/2)^(2*cos(x)^2)), x>=3*Pi/2 and x<=5*Pi/2, 1/((5*Pi/2)^(2*sin(x)^2)+(5*Pi/2)^(2*cos(x)^2))):

h:=x->piecewise(x>Pi/2 and x<=3*Pi/4, 1/2/Pi^(-2*x+3*Pi/2+1), x>Pi and x<=5*Pi/4, 1/2/(3*Pi/2)^(-2*x+5*Pi/2+1),  x>3*Pi/2 and x<=7*Pi/4, 1/2/(5*Pi/2)^(-2*x+7*Pi/2+1)):

plot([h, g, f], Pi/2..2*Pi, color=[red,blue,green], filled);

 

 

 

Next we compute integrals of the function   h(x)  (red shapes) on every  half-interval and estimate them:

int(1/(2*(Pi*(k+1)/2)^(-2*x+Pi/2+Pi*k+1)), x=Pi*k/2..Pi*k/2+Pi/4);

 

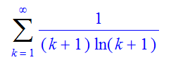
The series 

 diverges.

 

 

for k from 0 to 629 do

if msolve(119^x = k, 630)<>NULL then print(['k' = k, msolve(119^x = k, 630)])

end if; end do;

 

We are satisfied only  k = 91, because it is obvious that the number  30^(8^33)  is divisible by 6

In my opinion both calculations are correct. Regarding the former, see help on  LinearAlgebra[Add]  command. In the second calculation  a  is a unknown object, it can be either scalar or matrix, so Maple leaves this expression unevaluated.

First 250 251 252 253 254 255 256 Last Page 252 of 292