acer

32597 Reputation

29 Badges

20 years, 41 days
Ontario, Canada

Social Networks and Content at Maplesoft.com

MaplePrimes Activity


These are answers submitted by acer

The command factor can be used to factor this polynomial.

p := x^5-11*x^4+27*x^3+67*x^2-320*x+300:

factor(p)

                       2        2
        (x + 3) (x - 2)  (x - 5) 

Are you trying to compute approximations of only the real roots, or also complex roots?

You still haven't shown your larger example where computation takes too long. is it a polynomial sysyem?

How much accuracy do you want?

The eliminate command can (fortuitously) be used to see that d[1] also has a special value. And c[0] and d[0] can be recognized by the trivial eq[7] and eq[8]. But RootFinding:-Isolate would also find the real solutions without that finesse.

There are various other possible apporaches (using calls to solve, eliminate, evalf, etc). But if you are only looking for the real roots of a polynomial system with exact coefficient then Isolate has the advantage of attaining a target accuracy without so much fuss over having to raise working precision to avoid roundoff error.

restart;

eq[1] := -3*c[0]+3*c[1] = c[0]*(1-259*d[0]*(1/192)+43*d[1]*(1/64)-11*d[2]*(1/64)+(1/64)*d[3])-23/6:
eq[2] := -3*d[0]+3*d[1] = d[0]*(-2+23*c[0]*(1/80)+139*c[1]*(1/320)-17*c[2]*(1/160)+3*c[3]*(1/320))-1:
eq[3] := -4*c[0]*(1/3)+c[2]+(1/3)*c[3] = (8*c[0]*(1/27)+4*c[1]*(1/9)+2*c[2]*(1/9)+(1/27)*c[3])*(1-2657*d[0]*(1/5184)-343*d[1]*(1/1728)-185*d[2]*(1/1728)-79*d[3]*(1/5184))-3:
eq[4] := -4*d[0]*(1/3)+d[2]+(1/3)*d[3] = (8*d[0]*(1/27)+4*d[1]*(1/9)+2*d[2]*(1/9)+(1/27)*d[3])*(-2+109*c[0]*(1/8640)+553*c[1]*(1/1440)+559*c[2]*(1/2880)+37*c[3]*(1/1080))-5/6:
eq[5] := -(1/3)*c[0]-c[1]+4*c[3]*(1/3) = ((1/27)*c[0]+2*c[1]*(1/9)+4*c[2]*(1/9)+8*c[3]*(1/27))*(1-673*d[0]*(1/5184)-455*d[1]*(1/1728)-505*d[2]*(1/1728)-767*d[3]*(1/5184))-49/27:
eq[6] := -(1/3)*d[0]-d[1]+4*d[3]*(1/3) = ((1/27)*d[0]+2*d[1]*(1/9)+4*d[2]*(1/9)+8*d[3]*(1/27))*(-2-173*c[0]*(1/4320)+241*c[1]*(1/2880)+59*c[2]*(1/180)+2191*c[3]*(1/8640))-11/36:
eq[7] := c[0] = 1:
eq[8] := d[0] = 0:

 

evars := {c[0],d[1],d[0]};
new := eliminate({seq(eq[i],i=1..8)},evars);
specvals:=new[1];
newsys:=new[2];
newvars:=[op(indets(newsys,name) minus evars)]

{c[0], d[0], d[1]}

[{c[0] = 1, d[0] = 0, d[1] = -1/3}, {576*c[1]+11+33*d[2]-3*d[3], 4338*c[1]*d[2]+2892*c[1]*d[3]+16992*c[2]*d[2]+11328*c[2]*d[3]+13146*c[3]*d[2]+8764*c[3]*d[3]-723*c[1]-2832*c[2]-2191*c[3]-105756*d[2]-226024*d[3]-56894, 6660*c[1]*d[2]+948*c[1]*d[3]+3330*c[2]*d[2]+474*c[2]*d[3]+555*c[3]*d[2]+79*c[3]*d[3]-66324*c[1]+106806*c[2]+41129*c[3]+4440*d[2]+632*d[3]+189064, 9090*c[1]*d[2]+4602*c[1]*d[3]+18180*c[2]*d[2]+9204*c[2]*d[3]+12120*c[3]*d[2]+6136*c[3]*d[3]-173802*c[1]-67668*c[2]+141512*c[3]+1515*d[2]+767*d[3]+201721, 19908*c[1]*d[2]+3318*c[1]*d[3]+10062*c[2]*d[2]+1677*c[2]*d[3]+1776*c[3]*d[2]+296*c[3]*d[3]-13272*c[1]-6708*c[2]-1184*c[3]-336306*d[2]-94931*d[3]-125716}]

{c[0] = 1, d[0] = 0, d[1] = -1/3}

{576*c[1]+11+33*d[2]-3*d[3], 4338*c[1]*d[2]+2892*c[1]*d[3]+16992*c[2]*d[2]+11328*c[2]*d[3]+13146*c[3]*d[2]+8764*c[3]*d[3]-723*c[1]-2832*c[2]-2191*c[3]-105756*d[2]-226024*d[3]-56894, 6660*c[1]*d[2]+948*c[1]*d[3]+3330*c[2]*d[2]+474*c[2]*d[3]+555*c[3]*d[2]+79*c[3]*d[3]-66324*c[1]+106806*c[2]+41129*c[3]+4440*d[2]+632*d[3]+189064, 9090*c[1]*d[2]+4602*c[1]*d[3]+18180*c[2]*d[2]+9204*c[2]*d[3]+12120*c[3]*d[2]+6136*c[3]*d[3]-173802*c[1]-67668*c[2]+141512*c[3]+1515*d[2]+767*d[3]+201721, 19908*c[1]*d[2]+3318*c[1]*d[3]+10062*c[2]*d[2]+1677*c[2]*d[3]+1776*c[3]*d[2]+296*c[3]*d[3]-13272*c[1]-6708*c[2]-1184*c[3]-336306*d[2]-94931*d[3]-125716}

[c[1], c[2], c[3], d[2], d[3]]

 

Solnew := RootFinding:-Isolate(newsys,newvars,digits=25):
nops(Solnew);
map(print@evalf[5],Solnew):
Rnew:=[seq(evalf[25](eval(newsys,s)),s=Solnew)]:
seq([i,(max@op)(abs~(Rnew[i]))],i=1..nops(Rnew));

8

[c[1] = -2.3306, c[2] = -22.900, c[3] = 66.253, d[2] = 29.421, d[3] = -120.18]

[c[1] = 0., c[2] = -1., c[3] = -2., d[2] = -.33333, d[3] = 0.]

[c[1] = 6.2559, c[2] = -25.023, c[3] = 207.60, d[2] = -95.022, d[3] = 159.56]

[c[1] = 9.1174, c[2] = -371.93, c[3] = 510.06, d[2] = -105.71, d[3] = 591.42]

[c[1] = 371.76, c[2] = -945.22, c[3] = 1136.0, d[2] = -4795.7, d[3] = 18630.]

[c[1] = 779.33, c[2] = -1730.0, c[3] = 2009.3, d[2] = -8192.4, d[3] = 59520.]

[c[1] = 3922.0, c[2] = -9816.4, c[3] = 11794., d[2] = -59902., d[3] = 94114.]

[c[1] = 4131.4, c[2] = -10268., c[3] = 11989., d[2] = -61067., d[3] = 0.12149e6]

[1, 0.375e-16], [2, 0.1e-20], [3, 0.1561e-15], [4, 0.86e-15], [5, 0.4e-13], [6, 0.3e-12], [7, 0.37e-11], [8, 0.818e-11]

Solnew;

[[c[1] = -2.330639949724738343595716, c[2] = -22.89982197238880713869523, c[3] = 66.25310856709412628545785, d[2] = 29.42142564084380129840955, d[3] = -120.1805216312012810212058], [c[1] = 0., c[2] = -1., c[3] = -2., d[2] = -.3333333333333333333333333, d[3] = 0.], [c[1] = 6.255927282038413380435825, c[2] = -25.02271769693028720860972, c[3] = 207.5971290707517134952033, d[2] = -95.02218904239454035739991, d[3] = 159.5606253517020917789461], [c[1] = 9.117361146634459023171301, c[2] = -371.9293025401432341913410, c[3] = 510.0565426353267608425015, d[2] = -105.7073276505637045189833, d[3] = 591.4194026642820494067401], [c[1] = 371.7635884642179771452827, c[2] = -945.2237683753527116079604, c[3] = 1136.034971220020243070197, d[2] = -4795.651786369653511157575, d[3] = 18630.10600173032965582763], [c[1] = 779.3348107669203714939377, c[2] = -1729.971889940637220732631, c[3] = 2009.330823610934201173010, d[2] = -8192.404076947565715736100, d[3] = 59519.50548749215512040560], [c[1] = 3922.030291239845500202869, c[2] = -9816.385589616708397183330, c[3] = 11794.05189113569212529481, d[2] = -59901.78175819962660063243, d[3] = 94113.88324452111009866092], [c[1] = 4131.379895585846677049795, c[2] = -10268.33219677264457867323, c[3] = 11989.31825704926459215125, d[2] = -61067.24168520026862839832, d[3] = 121488.9480819462737478459]]

#RootFinding:-Isolate(newsys,newvars,output=interval;

 

Complex solutions

 

Digits:=25;

25

Sol2:=[solve(newsys,explicit,allsolutions)]:
nops(Sol2);

10

F2:=evalf[100](Sol2):
F2:=evalf(F2):
map(print@evalf[5],F2):
R2:=[seq(eval(newsys,[s[],specvals[]]),s=F2)]:
seq([i,(max@op)(abs~(R2[i]))],i=1..nops(R2));

{c[1] = 0., c[2] = -1., c[3] = -2., d[2] = -.33333, d[3] = 0.}

{c[1] = -2.3306, c[2] = -22.900, c[3] = 66.253, d[2] = 29.421, d[3] = -120.18}

{c[1] = 1.9664-.53923*I, c[2] = 25.504+4.4859*I, c[3] = -17.994-44.772*I, d[2] = -30.377+9.9872*I, d[3] = 47.070+6.3277*I}

{c[1] = 6.2559, c[2] = -25.023, c[3] = 207.60, d[2] = -95.022, d[3] = 159.56}

{c[1] = 9.1174, c[2] = -371.93, c[3] = 510.06, d[2] = -105.71, d[3] = 591.42}

{c[1] = 371.76, c[2] = -945.22, c[3] = 1136.0, d[2] = -4795.7, d[3] = 18630.}

{c[1] = 779.33, c[2] = -1730.0, c[3] = 2009.3, d[2] = -8192.4, d[3] = 59520.}

{c[1] = 3922.0, c[2] = -9816.4, c[3] = 11794., d[2] = -59902., d[3] = 94114.}

{c[1] = 4131.4, c[2] = -10268., c[3] = 11989., d[2] = -61067., d[3] = 0.12149e6}

{c[1] = 1.9664+.53923*I, c[2] = 25.504-4.4859*I, c[3] = -17.994+44.772*I, d[2] = -30.377-9.9872*I, d[3] = 47.070-6.3277*I}

[1, 0.1e-20], [2, 0.375e-16], [3, 0.7e-17], [4, 0.1561e-15], [5, 0.86e-15], [6, 0.4e-13], [7, 0.3e-12], [8, 0.37e-11], [9, 0.818e-11], [10, 0.7e-17]

F2;

[{c[1] = 0., c[2] = -1., c[3] = -2., d[2] = -.3333333333333333333333333, d[3] = 0.}, {c[1] = -2.330639949724738343595716, c[2] = -22.89982197238880713869523, c[3] = 66.25310856709412628545785, d[2] = 29.42142564084380129840955, d[3] = -120.1805216312012810212058}, {c[1] = 1.966382890860046002901190-.5392254859538496928610527*I, c[2] = 25.50351374246731635537461+4.485878800516206959178223*I, c[3] = -17.99357494982858498521487-44.77206000855391465107483*I, d[2] = -30.37657950249959283154526+9.987184666310217030202304*I, d[3] = 47.06980718429997807669723+6.327738026273246302903227*I}, {c[1] = 6.255927282038413380435825, c[2] = -25.02271769693028720860972, c[3] = 207.5971290707517134952033, d[2] = -95.02218904239454035739991, d[3] = 159.5606253517020917789461}, {c[1] = 9.117361146634459023171301, c[2] = -371.9293025401432341913410, c[3] = 510.0565426353267608425015, d[2] = -105.7073276505637045189833, d[3] = 591.4194026642820494067401}, {c[1] = 371.7635884642179771452827, c[2] = -945.2237683753527116079604, c[3] = 1136.034971220020243070197, d[2] = -4795.651786369653511157575, d[3] = 18630.10600173032965582763}, {c[1] = 779.3348107669203714939377, c[2] = -1729.971889940637220732631, c[3] = 2009.330823610934201173010, d[2] = -8192.404076947565715736100, d[3] = 59519.50548749215512040560}, {c[1] = 3922.030291239845500202869, c[2] = -9816.385589616708397183330, c[3] = 11794.05189113569212529481, d[2] = -59901.78175819962660063243, d[3] = 94113.88324452111009866092}, {c[1] = 4131.379895585846677049795, c[2] = -10268.33219677264457867323, c[3] = 11989.31825704926459215125, d[2] = -61067.24168520026862839832, d[3] = 121488.9480819462737478459}, {c[1] = 1.966382890860046002901190+.5392254859538496928610527*I, c[2] = 25.50351374246731635537461-4.485878800516206959178223*I, c[3] = -17.99357494982858498521487+44.77206000855391465107483*I, d[2] = -30.37657950249959283154526-9.987184666310217030202304*I, d[3] = 47.06980718429997807669723-6.327738026273246302903227*I}]

 

Download poly_system.mw

So, you have four different instances of the pair of tables Beams and Beams2?

Why not store them with one more (cheap) layer of indirection? That is to say, have four differently named parent tables (eg, BeamsTable[1], BeamsTable[2], ...) each of which contains their own distinct pair?

BeamsTable[1][Beams] is one, from a pair
BeamsTable[1][Beams2] is the other, from that pair

Or you could name the distinct parents BeamsTable1BeamsTable2, etc. That could mean slightly less effort in storing them, with completely separate calls.

You don't even need to use different .mla files. You could utilize just one.

One of the points I tried to convey in my response to your previous (related) question is that you need to manage the global namespace of your Maple sessions. I likely was not clear enough about that. It should be done through deliberately assigned names (in Maple), and not attempted as a byproduct of external filenames/locations.

Saying it another way: don't store different things under identical names in .mla files if you want to retrieve them as distinct things. Trying to leverage the file system for that (provided that you don't need more than one distinct access per restart) could be accomplished, but it's really not a good way to go about it. And more general access (within restart) is going to present some near-impossible scenarios.

nb. In your earlier thread I did not mention storing in plaintext (input Maple notation), because I assumed that you would not want any solution which incurred the overhead of reparsing the language input code -- per session.

What precisely do you mean? You haven't given any example to illustrate. The LinearAlgebra:-Eigenvectors command already returns both vectors and values, so you must mean something else. I will guess.

Are you trying to say that you like the syntax where the number of computed and returned objects depends on the number of entries in the sequence on the left-hand side of the assignment statement? That is, where the particular computation (with the same right-hand side of the statement) varies according to whether the assignmnent is,
  (a,b) := ....
or
  a := ....
The former computes and returns two items (eg, both the eigen-vectors and values), while the latter computes just one (eg. only the eigen-values).

Personally, I find that syntax to be poor and disjointed. I am glad that no other commands have taken up this un-Maplelike syntax (as any further cloying attempt at Matlab emulation). I suppose it's a matter of personal preference.

For those interested, that functionality is implemented using the _nresults item in the context of procedure parameter-processing.

MTM is now a regular package of Maple (alone), rather than a toolbox. (Documentation of connectivity with Matlab is not great. But the MTM computational commands are available.)

Is this the kind of thing that you're trying to accomplish? (I looked at only ev7...)

I used Maple 15.01, since your attechment seems to have been last saved in Maple 15.

``

restart

NULL

ross_d := diff(d(t), t) = -(3*d(t)-sqrt(3)*y(t)*l)*(1-d(t)^2):

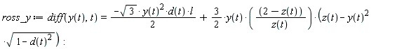
ross_y := diff(y(t), t) = (-sqrt(3)*y(t)^2*d(t)*l)*(1/2)+(3/2)*y(t)*(2-z(t))*(z(t)-y(t)^2*sqrt(1-d(t)^2))/z(t):

ross_z := diff(z(t), t) = (3*(1-z(t)))*(z(t)-y(t)^2*sqrt(1-d(t)^2)):

NULL

rossler_sys := ross_d, ross_y, ross_z:

NULL

fp_sol := solve({rhs(ross_d) = 0, rhs(ross_y) = 0, rhs(ross_z) = 0}, {d(t), y(t), z(t)}):

fp1 := fp_sol[1]:

fp2 := fp_sol[2]:

fp3 := fp_sol[3]:

fp4 := fp_sol[4]:

fp5 := fp_sol[5]:

fp6 := fp_sol[6]:

fp7 := fp_sol[7];

{d(t) = (1/3)*3^(1/2)*RootOf(_Z^2*l^2+3*_Z^4-3)*l, y(t) = RootOf(_Z^2*l^2+3*_Z^4-3), z(t) = 1}

NULL

J := frontend(Student:-VectorCalculus:-Jacobian, [map(rhs, [rossler_sys]), ([d, y, z])(t)], [{`*`, `+`, list}, {}]):

ev1 := Student[LinearAlgebra][Eigenvalues](eval(J, fp1)):

ev2 := Student[LinearAlgebra][Eigenvalues](eval(J, fp2)):

ev3 := Student[LinearAlgebra][Eigenvalues](eval(J, fp3)):

ev4 := Student[LinearAlgebra][Eigenvalues](eval(J, fp4)):

ev5 := Student[LinearAlgebra][Eigenvalues](eval(J, fp5)):

ev6 := Student[LinearAlgebra][Eigenvalues](eval(J, fp6)):

ev7 := Student[LinearAlgebra][Eigenvalues](eval(J, fp7)):

 

sort(evalf(eval(ev7, l = 2)))

Vector[column]([[-2.14073503395190], [-1.39444872453606-.795806290992892*I], [-1.39444872453606+.795806290992892*I]])

 

fpexplicit := [solve({rhs(ross_d) = 0, rhs(ross_y) = 0, rhs(ross_z) = 0}, {d(t), y(t), z(t)}, explicit)]:

J8 := eval(J, fpexplicit[8]):

sort(evalf[15](eval(EV8, l = 2))); sort(simplify(LinearAlgebra:-Eigenvalues(evalf(eval(J8, l = 2))), zero))

Vector[column]([[-2.14073503395407], [-1.39444872453496-.795806290993298*I], [-1.39444872453496+.795806290993298*I]])

Vector[column]([[-2.140735032], [-1.394448726-.7958062921*I], [-1.394448726+.7958062921*I]])

P8 := LinearAlgebra:-CharacteristicPolynomial(J8, lambda):

9459

sort(evalf[15](eval(TT8, l = 2)))

Vector[column]([[-2.14073503518263], [-1.39444872392046-.795806291569942*I], [-1.39444872392046+.795806291569942*I]])

TT8

Vector[column]([[(1/72)*(2*(36*(((-28*l^20-2754*l^16-50544*l^12+644436*l^8+14184882*l^4+22674816)*(l^4+36)^(1/2)-27779274*l^6-160613280*l^2+28*l^22-99144*l^10+95580*l^14+3258*l^18)*(36+2*l^4-2*l^2*(l^4+36)^(1/2))^(1/2)+(94*l^22+3828*l^18+63342*l^14+2382372*l^10+45865764*l^6+184547808*l^2)*(l^4+36)^(1/2)-816293376-713154456*l^4-3176496*l^12-83482164*l^8-117018*l^16-5520*l^20-94*l^24)^(1/2)+((-434*l^8-10908*l^4-22032)*(l^4+36)^(1/2)+18720*l^6+148068*l^2+434*l^10)*(36+2*l^4-2*l^2*(l^4+36)^(1/2))^(1/2)+(-756*l^10-27540*l^6-172044*l^2)*(l^4+36)^(1/2)+839808+545292*l^4+756*l^12+41148*l^8)^(2/3)+1080*(36+2*l^4-2*l^2*(l^4+36)^(1/2))^(1/2)*l^2-2232*l^2*(l^4+36)^(1/2)+36*(36+2*l^4-2*l^2*(l^4+36)^(1/2))^(1/2)*l^6-36*(36+2*l^4-2*l^2*(l^4+36)^(1/2))^(1/2)*l^4*(l^4+36)^(1/2)+18144+4896*l^4-148*l^6*(l^4+36)^(1/2)+148*l^8-432*(36+2*l^4-2*l^2*(l^4+36)^(1/2))^(1/2)*(l^4+36)^(1/2)-108*(36*(((-28*l^20-2754*l^16-50544*l^12+644436*l^8+14184882*l^4+22674816)*(l^4+36)^(1/2)-27779274*l^6-160613280*l^2+28*l^22-99144*l^10+95580*l^14+3258*l^18)*(36+2*l^4-2*l^2*(l^4+36)^(1/2))^(1/2)+(94*l^22+3828*l^18+63342*l^14+2382372*l^10+45865764*l^6+184547808*l^2)*(l^4+36)^(1/2)-816293376-713154456*l^4-3176496*l^12-83482164*l^8-117018*l^16-5520*l^20-94*l^24)^(1/2)+((-434*l^8-10908*l^4-22032)*(l^4+36)^(1/2)+18720*l^6+148068*l^2+434*l^10)*(36+2*l^4-2*l^2*(l^4+36)^(1/2))^(1/2)+(-756*l^10-27540*l^6-172044*l^2)*(l^4+36)^(1/2)+839808+545292*l^4+756*l^12+41148*l^8)^(1/3)-(36+2*l^4-2*l^2*(l^4+36)^(1/2))^(1/2)*(l^4+36)^(1/2)*(36*(((-28*l^20-2754*l^16-50544*l^12+644436*l^8+14184882*l^4+22674816)*(l^4+36)^(1/2)-27779274*l^6-160613280*l^2+28*l^22-99144*l^10+95580*l^14+3258*l^18)*(36+2*l^4-2*l^2*(l^4+36)^(1/2))^(1/2)+(94*l^22+3828*l^18+63342*l^14+2382372*l^10+45865764*l^6+184547808*l^2)*(l^4+36)^(1/2)-816293376-713154456*l^4-3176496*l^12-83482164*l^8-117018*l^16-5520*l^20-94*l^24)^(1/2)+((-434*l^8-10908*l^4-22032)*(l^4+36)^(1/2)+18720*l^6+148068*l^2+434*l^10)*(36+2*l^4-2*l^2*(l^4+36)^(1/2))^(1/2)+(-756*l^10-27540*l^6-172044*l^2)*(l^4+36)^(1/2)+839808+545292*l^4+756*l^12+41148*l^8)^(1/3)+(36+2*l^4-2*l^2*(l^4+36)^(1/2))^(1/2)*l^2*(36*(((-28*l^20-2754*l^16-50544*l^12+644436*l^8+14184882*l^4+22674816)*(l^4+36)^(1/2)-27779274*l^6-160613280*l^2+28*l^22-99144*l^10+95580*l^14+3258*l^18)*(36+2*l^4-2*l^2*(l^4+36)^(1/2))^(1/2)+(94*l^22+3828*l^18+63342*l^14+2382372*l^10+45865764*l^6+184547808*l^2)*(l^4+36)^(1/2)-816293376-713154456*l^4-3176496*l^12-83482164*l^8-117018*l^16-5520*l^20-94*l^24)^(1/2)+((-434*l^8-10908*l^4-22032)*(l^4+36)^(1/2)+18720*l^6+148068*l^2+434*l^10)*(36+2*l^4-2*l^2*(l^4+36)^(1/2))^(1/2)+(-756*l^10-27540*l^6-172044*l^2)*(l^4+36)^(1/2)+839808+545292*l^4+756*l^12+41148*l^8)^(1/3))/(36*(((-28*l^20-2754*l^16-50544*l^12+644436*l^8+14184882*l^4+22674816)*(l^4+36)^(1/2)-27779274*l^6-160613280*l^2+28*l^22-99144*l^10+95580*l^14+3258*l^18)*(36+2*l^4-2*l^2*(l^4+36)^(1/2))^(1/2)+(94*l^22+3828*l^18+63342*l^14+2382372*l^10+45865764*l^6+184547808*l^2)*(l^4+36)^(1/2)-816293376-713154456*l^4-3176496*l^12-83482164*l^8-117018*l^16-5520*l^20-94*l^24)^(1/2)+((-434*l^8-10908*l^4-22032)*(l^4+36)^(1/2)+18720*l^6+148068*l^2+434*l^10)*(36+2*l^4-2*l^2*(l^4+36)^(1/2))^(1/2)+(-756*l^10-27540*l^6-172044*l^2)*(l^4+36)^(1/2)+839808+545292*l^4+756*l^12+41148*l^8)^(1/3)], [-(37/36)*((-((1/74)*I)*3^(1/2)+1/74)*(36*(((-28*l^20-2754*l^16-50544*l^12+644436*l^8+14184882*l^4+22674816)*(l^4+36)^(1/2)-27779274*l^6-160613280*l^2+28*l^22-99144*l^10+95580*l^14+3258*l^18)*(36+2*l^4-2*l^2*(l^4+36)^(1/2))^(1/2)+(94*l^22+3828*l^18+63342*l^14+2382372*l^10+45865764*l^6+184547808*l^2)*(l^4+36)^(1/2)-816293376-713154456*l^4-3176496*l^12-83482164*l^8-117018*l^16-5520*l^20-94*l^24)^(1/2)+((-434*l^8-10908*l^4-22032)*(l^4+36)^(1/2)+18720*l^6+148068*l^2+434*l^10)*(36+2*l^4-2*l^2*(l^4+36)^(1/2))^(1/2)+(-756*l^10-27540*l^6-172044*l^2)*(l^4+36)^(1/2)+839808+545292*l^4+756*l^12+41148*l^8)^(2/3)+(54/37+((1/74)*(l^4+36)^(1/2)-(1/74)*l^2)*(36+2*l^4-2*l^2*(l^4+36)^(1/2))^(1/2))*(36*(((-28*l^20-2754*l^16-50544*l^12+644436*l^8+14184882*l^4+22674816)*(l^4+36)^(1/2)-27779274*l^6-160613280*l^2+28*l^22-99144*l^10+95580*l^14+3258*l^18)*(36+2*l^4-2*l^2*(l^4+36)^(1/2))^(1/2)+(94*l^22+3828*l^18+63342*l^14+2382372*l^10+45865764*l^6+184547808*l^2)*(l^4+36)^(1/2)-816293376-713154456*l^4-3176496*l^12-83482164*l^8-117018*l^16-5520*l^20-94*l^24)^(1/2)+((-434*l^8-10908*l^4-22032)*(l^4+36)^(1/2)+18720*l^6+148068*l^2+434*l^10)*(36+2*l^4-2*l^2*(l^4+36)^(1/2))^(1/2)+(-756*l^10-27540*l^6-172044*l^2)*(l^4+36)^(1/2)+839808+545292*l^4+756*l^12+41148*l^8)^(1/3)+((-(9/37)*(l^4+36)^(1/2)*l^4+(270/37)*l^2+(9/37)*l^6-(108/37)*(l^4+36)^(1/2))*(36+2*l^4-2*l^2*(l^4+36)^(1/2))^(1/2)+(-(558/37)*l^2-l^6)*(l^4+36)^(1/2)+l^8+4536/37+(1224/37)*l^4)*(I*3^(1/2)+1))/(36*(((-28*l^20-2754*l^16-50544*l^12+644436*l^8+14184882*l^4+22674816)*(l^4+36)^(1/2)-27779274*l^6-160613280*l^2+28*l^22-99144*l^10+95580*l^14+3258*l^18)*(36+2*l^4-2*l^2*(l^4+36)^(1/2))^(1/2)+(94*l^22+3828*l^18+63342*l^14+2382372*l^10+45865764*l^6+184547808*l^2)*(l^4+36)^(1/2)-816293376-713154456*l^4-3176496*l^12-83482164*l^8-117018*l^16-5520*l^20-94*l^24)^(1/2)+((-434*l^8-10908*l^4-22032)*(l^4+36)^(1/2)+18720*l^6+148068*l^2+434*l^10)*(36+2*l^4-2*l^2*(l^4+36)^(1/2))^(1/2)+(-756*l^10-27540*l^6-172044*l^2)*(l^4+36)^(1/2)+839808+545292*l^4+756*l^12+41148*l^8)^(1/3)], [(37/36)*((-((1/74)*I)*3^(1/2)-1/74)*(36*(((-28*l^20-2754*l^16-50544*l^12+644436*l^8+14184882*l^4+22674816)*(l^4+36)^(1/2)-27779274*l^6-160613280*l^2+28*l^22-99144*l^10+95580*l^14+3258*l^18)*(36+2*l^4-2*l^2*(l^4+36)^(1/2))^(1/2)+(94*l^22+3828*l^18+63342*l^14+2382372*l^10+45865764*l^6+184547808*l^2)*(l^4+36)^(1/2)-816293376-713154456*l^4-3176496*l^12-83482164*l^8-117018*l^16-5520*l^20-94*l^24)^(1/2)+((-434*l^8-10908*l^4-22032)*(l^4+36)^(1/2)+18720*l^6+148068*l^2+434*l^10)*(36+2*l^4-2*l^2*(l^4+36)^(1/2))^(1/2)+(-756*l^10-27540*l^6-172044*l^2)*(l^4+36)^(1/2)+839808+545292*l^4+756*l^12+41148*l^8)^(2/3)+(-54/37+(-(1/74)*(l^4+36)^(1/2)+(1/74)*l^2)*(36+2*l^4-2*l^2*(l^4+36)^(1/2))^(1/2))*(36*(((-28*l^20-2754*l^16-50544*l^12+644436*l^8+14184882*l^4+22674816)*(l^4+36)^(1/2)-27779274*l^6-160613280*l^2+28*l^22-99144*l^10+95580*l^14+3258*l^18)*(36+2*l^4-2*l^2*(l^4+36)^(1/2))^(1/2)+(94*l^22+3828*l^18+63342*l^14+2382372*l^10+45865764*l^6+184547808*l^2)*(l^4+36)^(1/2)-816293376-713154456*l^4-3176496*l^12-83482164*l^8-117018*l^16-5520*l^20-94*l^24)^(1/2)+((-434*l^8-10908*l^4-22032)*(l^4+36)^(1/2)+18720*l^6+148068*l^2+434*l^10)*(36+2*l^4-2*l^2*(l^4+36)^(1/2))^(1/2)+(-756*l^10-27540*l^6-172044*l^2)*(l^4+36)^(1/2)+839808+545292*l^4+756*l^12+41148*l^8)^(1/3)+(-1+I*3^(1/2))*((-(9/37)*(l^4+36)^(1/2)*l^4+(270/37)*l^2+(9/37)*l^6-(108/37)*(l^4+36)^(1/2))*(36+2*l^4-2*l^2*(l^4+36)^(1/2))^(1/2)+(-(558/37)*l^2-l^6)*(l^4+36)^(1/2)+l^8+4536/37+(1224/37)*l^4))/(36*(((-28*l^20-2754*l^16-50544*l^12+644436*l^8+14184882*l^4+22674816)*(l^4+36)^(1/2)-27779274*l^6-160613280*l^2+28*l^22-99144*l^10+95580*l^14+3258*l^18)*(36+2*l^4-2*l^2*(l^4+36)^(1/2))^(1/2)+(94*l^22+3828*l^18+63342*l^14+2382372*l^10+45865764*l^6+184547808*l^2)*(l^4+36)^(1/2)-816293376-713154456*l^4-3176496*l^12-83482164*l^8-117018*l^16-5520*l^20-94*l^24)^(1/2)+((-434*l^8-10908*l^4-22032)*(l^4+36)^(1/2)+18720*l^6+148068*l^2+434*l^10)*(36+2*l^4-2*l^2*(l^4+36)^(1/2))^(1/2)+(-756*l^10-27540*l^6-172044*l^2)*(l^4+36)^(1/2)+839808+545292*l^4+756*l^12+41148*l^8)^(1/3)]])

 

``

Download MaplePrimesacer_ac.mw

restart;

RR := Record( 'center' = [ 0, 1 ], 'radius' = 3,
              'mytable' = table([foo=bar]) ):

LibraryTools:-Save(RR, cat(kernelopts(homedir),"/mapleprimes/MyLib.mla"));

And now, you only need that .mla to be within libname in order to access the Record assigned to name RR,

restart;

libname:=cat(kernelopts(homedir),"/mapleprimes/MyLib.mla"),libname:

eval(RR);

    Record(center = [0, 1], radius = 3, mytable = TABLE([foo = bar]))

RR[center];

                         [0, 1]

entries(RR[mytable]);

                          [bar]

And if you wish you could set libname in your own initialization file, or with an option to your launcher. Or you could even utilize a .mla location such as (for example!),
   cat(kernelopts(homedir),"/maple/toolbox/XXX/lib")
so that the kernel prepends that to libname automatically.

So, in your equation is y=earnings and x=sales? If so then how about using those names in the equation?

Below I take more steps than is completely necessary, to try and make the process a bit more understandable.

One of the key commands I use here is eval, as a means of subsitution. There are several other equally good ways to go about these questions. For example you could set up operators (procedures) in instead of using eval.

restart;

 

This is the given equation for earnings as a function of sales.

 

eqnE := earnings = 2000 + 0.1*sales;

earnings = 2000+.1*sales

 

This is the sales value for question a).

 

s1 := 1488.0;

1488.0

 

Evaluate that equation using the given sales value for question a).

This gives a trivial equation showing the corresponding value for earnings.

 

ans1 := eval(eqnE, sales=s1);

earnings = 2148.80

 

We can pick off the value in several ways. Another way would be rhs(ans1) 

 

e1 := eval(earnings, ans1);

2148.80

 

Form a list of those two values, for later use in plotting.

 

pt1 := [s1, e1];

[1488.0, 2148.80]

 

This is the earnings value for question b).

 

e2 := 2225.0;

2225.0

 

Isolate (or solve) the original equation, to obtain an equation for sales in terms
of earnings.

 

eqnS := sales = solve(eqnE,sales);

sales = -20000.+10.*earnings

 

Evaluate that new equation using the given earnings value for question b).

This gives a trivial equation showing the corresponding value for sales.

 

ans2 := eval(eqnS, earnings=e2);

sales = 2250.0

 

We can pick off the value in several ways. Another way would be rhs(ans2) 

 

s2 := eval(sales, ans2);

2250.0

 

Form a list of those two values, for later use in plotting.

 

pt2 := [s2, e2];

[2250.0, 2225.0]

 

And now plot the original equation (earnings as a function of sales), as well
as a point-plot of the two results.

You can adjust to taste, eg, using options such as symbol, symbolsize, etc.

 

plots:-display(
  plot(eval(earnings, eqnE), sales=0..2500),
  plots:-pointplot([pt1,pt2], symbolsize=20),
  labels=[sales,earnings], axes=box, gridlines
)

 

Download eqnplot.mw

The parameters in an Explore call must be names.

It looks like you have assigned numeric values to names a and b.

explore_jamet.mw

The procedure getFnumer is set up to handle expressions of type `+`, but it is being sent an equation of type `=`.

Perhaps you wanted it to handle (lhs-rhs)(df) in that case?

But it would be much better if you described clearly what getFnumer is supposed to do.

restart;
sys:={3*x+5*y=21, -2*x+y=-1}:

sol:=fsolve(sys);
          
           sol := {x = 2., y = 3.}

eval([x,y],sol);

                  [2., 3.]

eval(<x,y>,sol);

                    [2.]
                    [  ]
                    [3.]

eval(x^2+y^3,sol);

                     31.

eval(x,sol);

                      2.

and so on.

Or, if you want to utilize LinearSolve from your system,

A,B := LinearAlgebra:-GenerateMatrix(sys,[x,y]);

                 [-2    1]  [-1]
         A, B := [       ], [  ]
                 [ 3    5]  [21]

LinearAlgebra:-LinearSolve(A,B);
                    [2]
                    [ ]
                    [3]

All three examples work in Maple 2016.0 (and 2016.2, and 2019.2, which is all I checked).

In particular, the first example works in Maple 2016, ie. using the ListBox works without need for manual handling/parsing.

The difference is that in the later releases the code behind the ListBox contains this fragment:
    ':-handlers'=[r=proc () option builtin = parse; end proc]
Additionally, if the first example only is executed and saved in Maple 2019.2, then upon being opened in Maple 2015.2 that exploration works without re-executing the Explore call (although you'd first want to assign val as done originally).

This package is implemented as a Maple module.

It would be a good idea to read the parts of the Programming Manual that deal with modules, packages, and tables.

As an illustration, (with that package installed),

restart;

op(0,eval(AISCShapes));

`module`

op(eval(AISCShapes));

Property, module () local parNames, memberNames, AISCMetadata, AISCData, AISCTable; export Property; option package; end module, parNames, memberNames, AISCMetadata, AISCData, AISCTable

exports(AISCShapes);
op(1,eval(AISCShapes));

Property

AISCShapes:-Property

op(3,eval(AISCShapes));

AISCShapes:-parNames, AISCShapes:-memberNames, AISCShapes:-AISCMetadata, AISCShapes:-AISCData, AISCShapes:-AISCTable

kernelopts(opaquemodules=false):

op(0,eval(AISCShapes:-AISCTable));

table

length(eval(AISCShapes:-AISCTable));

4732992

nops([indices(AISCShapes:-AISCTable, nolist)]);

1995

Allinds:=[indices(AISCShapes:-AISCTable,nolist)]:

Allinds[1..5];

["2L2-1/2X2-1/2X3/8", "L4X4X1/4", "2L8X4X5/8X3/4SLBB", "2L4X4X3/4X3/4", "WT5X30"]

# This entry of table AISCShapes:-AISCTable is itself a table.
AISCShapes:-AISCTable[Allinds[1]];
op(0,eval(%));
eval(%%);

AISCShapes:-AISCTable["2L2-1/2X2-1/2X3/8"]

table

table( [( "b" ) = 2.5*Unit(`in`), ( "Sw2" ) = , ( "H" ) = .839, ( "zA" ) = , ( "h" ) = , ( "D/t" ) = , ( "ry" ) = 1.07*Unit(`in`), ( "Ht" ) = , ( "B" ) = , ( "twdet/2" ) = , ( "SwB" ) = , ( "PA" ) = , ( "zB" ) = , ( "Sw1" ) = , ( "Iz" ) = , ( "h/tdes" ) = , ( "tfdet" ) = , ( "ddet" ) = , ( "PB" ) = , ( "SwA" ) = , ( "h/tw" ) = , ( "Zy" ) = 2.62*Unit(`in`^3), ( "Qf" ) = , ( "zC" ) = , ( "tan(&alpha;)" ) = , ( "wC" ) = , ( "rts" ) = , ( "bf" ) = , ( "tnom" ) = , ( "Sy" ) = 1.58*Unit(`in`^3), ( "b/tdes" ) = , ( "wA" ) = , ( "Sw3" ) = , ( "ho" ) = , ( "EDI_Std_Nomenclature" ) = "2L2-1/2X2-1/2X3/8", ( "wB" ) = , ( "J" ) = , ( "tdes" ) = , ( "AISC_Manual_Label" ) = "2L2-1/2X2-1/2X3/8", ( "OD" ) = , ( "ID" ) = , ( "kdes" ) = , ( "SzC" ) = , ( "rx" ) = .749*Unit(`in`), ( "Sz" ) = , ( "Qw" ) = , ( "y" ) = .758*Unit(`in`), ( "b/t" ) = 6.67, ( "Sx" ) = 1.12*Unit(`in`^3), ( "t" ) = .375*Unit(`in`), ( "kdet" ) = , ( "W" ) = 11.8*Unit(lb/ft), ( "bfdet" ) = , ( "T_F" ) = "F", ( "SzB" ) = , ( "ro" ) = 1.42*Unit(`in`), ( "rz" ) = , ( "Iy" ) = 3.96*Unit(`in`^4), ( "tf" ) = , ( "bf/2tf" ) = , ( "SzA" ) = , ( "Type" ) = "2L", ( "twdet" ) = , ( "k1" ) = , ( "C" ) = , ( "d" ) = 2.5*Unit(`in`), ( "yp" ) = .346*Unit(`in`), ( "Ix" ) = 1.94*Unit(`in`^4), ( "Wno" ) = , ( "Qs" ) = 1.0, ( "SwC" ) = , ( "eo" ) = , ( "tw" ) = , ( "A" ) = 3.46*Unit(`in`^2), ( "Zx" ) = 2.02*Unit(`in`^3), ( "xp" ) = , ( "Iw" ) = , ( "x" ) = , ( "Cw" ) =  ] )

 

 

 

Download AISC_bits.mw

1) Ensure that the supposed names in your Matrix J (or in whatever it was constructed from) are correct. As you gave it, there are these:

  {I[f], I[r], Lambda[r], N[H], N[f], S[H], S[r], b[Hf], b[fH],
   b[fr], b[rf], beta[fH], beta[fr], beta[H*f], beta[r*f],
   lambda[H], mu[B], mu[H], mu[f], mu[rd], tau[H]}

Do you really intend b[H*f] to be distinct from b[Hf]? Do you really intend b[Hf] to be distinct from b[fH]? And so on.

2) Don't use index-subscripted letter I as if it were a name or indeterminate. Use other terms instead, for example II[f] instead of I[f]. Otherwise you may start computing nonsense.

3) Either rename the lambda[H] inside Matrix J, or use an unrelated name other than lambda when calling CharacteristicPolynomial. Otherwise you may start computing nonsense.

3) Be clear about Maple terminology. The signum of an expression is not the same as its sign. I suspect that you are trying to utilize its signum.

4) Use 1-D plaintext Maple input if using 2D Input mode is causing you to make mistakes with the names.

5) Apply the command simplify(p,size) to your polynomial p constructed from your example in Maple 12.

6) Explain properly what form you are hoping for, from a solution your your signum question. There may well be too many variables to obtain or express a simple and understandable set of conditions about the separate signum or each of the coefficients.

7) Consider explaining (well) what is the motivating task. Why are you trying to compute this? Is it part of a task to try and deduce the number of roots of p, or a task to deduce something related to stability analysis? Are you trying to figure out subdomains or the parameters in which there are certain numbers (or any) real roots? Or anything similar, but in a manner which interrelates the parameters?

I do not understand your phrase, "I applied this command but answes were tolltally change ." since it is not meaningful to me as an English sentence.

Also, the names b[2] and a[2] don't appear in your system, so I don't understand why you refer to them (as b2, a2).

These conditions satisfy the equations, and for which b[-1],b[0],b[1] can be aribtrary:
  {a[-1] = 0, a[0] = 0, a[1] = 0}

I notice that you didn't respond at all to my answer to your previous (and very similar question). Is it just because you don't understand how to use the solve and eliminate commands?

If you have additional examples then post them as comments on one of these earlier Questions -- I will otherwise delete entirely new Questions by your on this narrow topic, as duplicates.

restart;

kernelopts(version);

`Maple 18.02, X86 64 LINUX, Oct 20 2014, Build ID 991181`

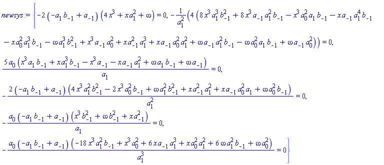
sys:={a[-1]^2*b[-1]^7 = 0, 7*a[-1]^2*b[-1]^6*b[0]+2*a[-1]*a[0]*b[-1]^7 = 0, -a[0]*b[1]^8+a[1]^2*b[1]^7+a[1]*b[0]*b[1]^7 = 0, -256*a[-1]*b[1]^8+2*a[0]*a[1]*b[1]^7+247*a[0]*b[0]*b[1]^7+7*a[1]^2*b[0]*b[1]^6+256*a[1]*b[-1]*b[1]^7-247*a[1]*b[0]^2*b[1]^6 = 0, 7*a[-1]^2*b[-1]^6*b[1]+21*a[-1]^2*b[-1]^5*b[0]^2+14*a[-1]*a[0]*b[-1]^6*b[0]+2*a[-1]*a[1]*b[-1]^7+a[-1]*b[-1]^7*b[0]+a[0]^2*b[-1]^7-a[0]*b[-1]^8 = 0, 2*a[-1]*a[1]*b[1]^7+4257*a[-1]*b[0]*b[1]^7+a[0]^2*b[1]^7+14*a[0]*a[1]*b[0]*b[1]^6+6552*a[0]*b[-1]*b[1]^7-4293*a[0]*b[0]^2*b[1]^6+7*a[1]^2*b[-1]*b[1]^6+21*a[1]^2*b[0]^2*b[1]^5-10809*a[1]*b[-1]*b[0]*b[1]^6+4293*a[1]*b[0]^3*b[1]^5 = 0, 42*a[-1]^2*b[-1]^5*b[0]*b[1]+35*a[-1]^2*b[-1]^4*b[0]^3+14*a[-1]*a[0]*b[-1]^6*b[1]+42*a[-1]*a[0]*b[-1]^5*b[0]^2+14*a[-1]*a[1]*b[-1]^6*b[0]+256*a[-1]*b[-1]^7*b[1]-247*a[-1]*b[-1]^6*b[0]^2+7*a[0]^2*b[-1]^6*b[0]+2*a[0]*a[1]*b[-1]^7+247*a[0]*b[-1]^7*b[0]-256*a[1]*b[-1]^8 = 0, 2*a[-1]*a[0]*b[1]^7+14*a[-1]*a[1]*b[0]*b[1]^6+63232*a[-1]*b[-1]*b[1]^7-15703*a[-1]*b[0]^2*b[1]^6+7*a[0]^2*b[0]*b[1]^6+14*a[0]*a[1]*b[-1]*b[1]^6+42*a[0]*a[1]*b[0]^2*b[1]^5-69791*a[0]*b[-1]*b[0]*b[1]^6+15619*a[0]*b[0]^3*b[1]^5+42*a[1]^2*b[-1]*b[0]*b[1]^5+35*a[1]^2*b[0]^3*b[1]^4-63232*a[1]*b[-1]^2*b[1]^6+85494*a[1]*b[-1]*b[0]^2*b[1]^5-15619*a[1]*b[0]^4*b[1]^4 = 0, 21*a[-1]^2*b[-1]^5*b[1]^2+105*a[-1]^2*b[-1]^4*b[0]^2*b[1]+35*a[-1]^2*b[-1]^3*b[0]^4+84*a[-1]*a[0]*b[-1]^5*b[0]*b[1]+70*a[-1]*a[0]*b[-1]^4*b[0]^3+14*a[-1]*a[1]*b[-1]^6*b[1]+42*a[-1]*a[1]*b[-1]^5*b[0]^2-10809*a[-1]*b[-1]^6*b[0]*b[1]+4293*a[-1]*b[-1]^5*b[0]^3+7*a[0]^2*b[-1]^6*b[1]+21*a[0]^2*b[-1]^5*b[0]^2+14*a[0]*a[1]*b[-1]^6*b[0]+6552*a[0]*b[-1]^7*b[1]-4293*a[0]*b[-1]^6*b[0]^2+a[1]^2*b[-1]^7+4257*a[1]*b[-1]^7*b[0] = 0, a[-1]^2*b[1]^7+14*a[-1]*a[0]*b[0]*b[1]^6+14*a[-1]*a[1]*b[-1]*b[1]^6+42*a[-1]*a[1]*b[0]^2*b[1]^5-150809*a[-1]*b[-1]*b[0]*b[1]^6+15493*a[-1]*b[0]^3*b[1]^5+7*a[0]^2*b[-1]*b[1]^6+21*a[0]^2*b[0]^2*b[1]^5+84*a[0]*a[1]*b[-1]*b[0]*b[1]^5+70*a[0]*a[1]*b[0]^3*b[1]^4-331612*a[0]*b[-1]^2*b[1]^6+187554*a[0]*b[-1]*b[0]^2*b[1]^5-15619*a[0]*b[0]^4*b[1]^4+21*a[1]^2*b[-1]^2*b[1]^5+105*a[1]^2*b[-1]*b[0]^2*b[1]^4+35*a[1]^2*b[0]^4*b[1]^3+482421*a[1]*b[-1]^2*b[0]*b[1]^5-203047*a[1]*b[-1]*b[0]^3*b[1]^4+15619*a[1]*b[0]^5*b[1]^3 = 0, 105*a[-1]^2*b[-1]^4*b[0]*b[1]^2+140*a[-1]^2*b[-1]^3*b[0]^3*b[1]+21*a[-1]^2*b[-1]^2*b[0]^5+42*a[-1]*a[0]*b[-1]^5*b[1]^2+210*a[-1]*a[0]*b[-1]^4*b[0]^2*b[1]+70*a[-1]*a[0]*b[-1]^3*b[0]^4+84*a[-1]*a[1]*b[-1]^5*b[0]*b[1]+70*a[-1]*a[1]*b[-1]^4*b[0]^3-63232*a[-1]*b[-1]^6*b[1]^2+85494*a[-1]*b[-1]^5*b[0]^2*b[1]-15619*a[-1]*b[-1]^4*b[0]^4+42*a[0]^2*b[-1]^5*b[0]*b[1]+35*a[0]^2*b[-1]^4*b[0]^3+14*a[0]*a[1]*b[-1]^6*b[1]+42*a[0]*a[1]*b[-1]^5*b[0]^2-69791*a[0]*b[-1]^6*b[0]*b[1]+15619*a[0]*b[-1]^5*b[0]^3+7*a[1]^2*b[-1]^6*b[0]+63232*a[1]*b[-1]^7*b[1]-15703*a[1]*b[-1]^6*b[0]^2 = 0, 7*a[-1]^2*b[0]*b[1]^6+14*a[-1]*a[0]*b[-1]*b[1]^6+42*a[-1]*a[0]*b[0]^2*b[1]^5+84*a[-1]*a[1]*b[-1]*b[0]*b[1]^5+70*a[-1]*a[1]*b[0]^3*b[1]^4-1099008*a[-1]*b[-1]^2*b[1]^6+184950*a[-1]*b[-1]*b[0]^2*b[1]^5-4419*a[-1]*b[0]^4*b[1]^4+42*a[0]^2*b[-1]*b[0]*b[1]^5+35*a[0]^2*b[0]^3*b[1]^4+42*a[0]*a[1]*b[-1]^2*b[1]^5+210*a[0]*a[1]*b[-1]*b[0]^2*b[1]^4+70*a[0]*a[1]*b[0]^4*b[1]^3+824931*a[0]*b[-1]^2*b[0]*b[1]^5-157617*a[0]*b[-1]*b[0]^3*b[1]^4+4293*a[0]*b[0]^5*b[1]^3+105*a[1]^2*b[-1]^2*b[0]*b[1]^4+140*a[1]^2*b[-1]*b[0]^3*b[1]^3+21*a[1]^2*b[0]^5*b[1]^2+1099008*a[1]*b[-1]^3*b[1]^5-1009881*a[1]*b[-1]^2*b[0]^2*b[1]^4+162036*a[1]*b[-1]*b[0]^4*b[1]^3-4293*a[1]*b[0]^6*b[1]^2 = 0, 35*a[-1]^2*b[-1]^4*b[1]^3+210*a[-1]^2*b[-1]^3*b[0]^2*b[1]^2+105*a[-1]^2*b[-1]^2*b[0]^4*b[1]+7*a[-1]^2*b[-1]*b[0]^6+210*a[-1]*a[0]*b[-1]^4*b[0]*b[1]^2+280*a[-1]*a[0]*b[-1]^3*b[0]^3*b[1]+42*a[-1]*a[0]*b[-1]^2*b[0]^5+42*a[-1]*a[1]*b[-1]^5*b[1]^2+210*a[-1]*a[1]*b[-1]^4*b[0]^2*b[1]+70*a[-1]*a[1]*b[-1]^3*b[0]^4+482421*a[-1]*b[-1]^5*b[0]*b[1]^2-203047*a[-1]*b[-1]^4*b[0]^3*b[1]+15619*a[-1]*b[-1]^3*b[0]^5+21*a[0]^2*b[-1]^5*b[1]^2+105*a[0]^2*b[-1]^4*b[0]^2*b[1]+35*a[0]^2*b[-1]^3*b[0]^4+84*a[0]*a[1]*b[-1]^5*b[0]*b[1]+70*a[0]*a[1]*b[-1]^4*b[0]^3-331612*a[0]*b[-1]^6*b[1]^2+187554*a[0]*b[-1]^5*b[0]^2*b[1]-15619*a[0]*b[-1]^4*b[0]^4+7*a[1]^2*b[-1]^6*b[1]+21*a[1]^2*b[-1]^5*b[0]^2-150809*a[1]*b[-1]^6*b[0]*b[1]+15493*a[1]*b[-1]^5*b[0]^3 = 0, 7*a[-1]^2*b[-1]*b[1]^6+21*a[-1]^2*b[0]^2*b[1]^5+84*a[-1]*a[0]*b[-1]*b[0]*b[1]^5+70*a[-1]*a[0]*b[0]^3*b[1]^4+42*a[-1]*a[1]*b[-1]^2*b[1]^5+210*a[-1]*a[1]*b[-1]*b[0]^2*b[1]^4+70*a[-1]*a[1]*b[0]^4*b[1]^3+36885*a[-1]*b[-1]^2*b[0]*b[1]^5-8167*a[-1]*b[-1]*b[0]^3*b[1]^4+163*a[-1]*b[0]^5*b[1]^3+21*a[0]^2*b[-1]^2*b[1]^5+105*a[0]^2*b[-1]*b[0]^2*b[1]^4+35*a[0]^2*b[0]^4*b[1]^3+210*a[0]*a[1]*b[-1]^2*b[0]*b[1]^4+280*a[0]*a[1]*b[-1]*b[0]^3*b[1]^3+42*a[0]*a[1]*b[0]^5*b[1]^2+2485288*a[0]*b[-1]^3*b[1]^5-711051*a[0]*b[-1]^2*b[0]^2*b[1]^4+39956*a[0]*b[-1]*b[0]^4*b[1]^3-247*a[0]*b[0]^6*b[1]^2+35*a[1]^2*b[-1]^3*b[1]^4+210*a[1]^2*b[-1]^2*b[0]^2*b[1]^3+105*a[1]^2*b[-1]*b[0]^4*b[1]^2+7*a[1]^2*b[0]^6*b[1]-2522173*a[1]*b[-1]^3*b[0]*b[1]^4+719218*a[1]*b[-1]^2*b[0]^3*b[1]^3-40119*a[1]*b[-1]*b[0]^5*b[1]^2+247*a[1]*b[0]^7*b[1] = 0, 140*a[-1]^2*b[-1]^3*b[0]*b[1]^3+210*a[-1]^2*b[-1]^2*b[0]^3*b[1]^2+42*a[-1]^2*b[-1]*b[0]^5*b[1]+a[-1]^2*b[0]^7+70*a[-1]*a[0]*b[-1]^4*b[1]^3+420*a[-1]*a[0]*b[-1]^3*b[0]^2*b[1]^2+210*a[-1]*a[0]*b[-1]^2*b[0]^4*b[1]+14*a[-1]*a[0]*b[-1]*b[0]^6+210*a[-1]*a[1]*b[-1]^4*b[0]*b[1]^2+280*a[-1]*a[1]*b[-1]^3*b[0]^3*b[1]+42*a[-1]*a[1]*b[-1]^2*b[0]^5+1099008*a[-1]*b[-1]^5*b[1]^3-1009881*a[-1]*b[-1]^4*b[0]^2*b[1]^2+162036*a[-1]*b[-1]^3*b[0]^4*b[1]-4293*a[-1]*b[-1]^2*b[0]^6+105*a[0]^2*b[-1]^4*b[0]*b[1]^2+140*a[0]^2*b[-1]^3*b[0]^3*b[1]+21*a[0]^2*b[-1]^2*b[0]^5+42*a[0]*a[1]*b[-1]^5*b[1]^2+210*a[0]*a[1]*b[-1]^4*b[0]^2*b[1]+70*a[0]*a[1]*b[-1]^3*b[0]^4+824931*a[0]*b[-1]^5*b[0]*b[1]^2-157617*a[0]*b[-1]^4*b[0]^3*b[1]+4293*a[0]*b[-1]^3*b[0]^5+42*a[1]^2*b[-1]^5*b[0]*b[1]+35*a[1]^2*b[-1]^4*b[0]^3-1099008*a[1]*b[-1]^6*b[1]^2+184950*a[1]*b[-1]^5*b[0]^2*b[1]-4419*a[1]*b[-1]^4*b[0]^4 = 0, 42*a[-1]^2*b[-1]*b[0]*b[1]^5+35*a[-1]^2*b[0]^3*b[1]^4+42*a[-1]*a[0]*b[-1]^2*b[1]^5+210*a[-1]*a[0]*b[-1]*b[0]^2*b[1]^4+70*a[-1]*a[0]*b[0]^4*b[1]^3+210*a[-1]*a[1]*b[-1]^2*b[0]*b[1]^4+280*a[-1]*a[1]*b[-1]*b[0]^3*b[1]^3+42*a[-1]*a[1]*b[0]^5*b[1]^2+3998464*a[-1]*b[-1]^3*b[1]^5-764601*a[-1]*b[-1]^2*b[0]^2*b[1]^4+23156*a[-1]*b[-1]*b[0]^4*b[1]^3-37*a[-1]*b[0]^6*b[1]^2+105*a[0]^2*b[-1]^2*b[0]*b[1]^4+140*a[0]^2*b[-1]*b[0]^3*b[1]^3+21*a[0]^2*b[0]^5*b[1]^2+70*a[0]*a[1]*b[-1]^3*b[1]^4+420*a[0]*a[1]*b[-1]^2*b[0]^2*b[1]^3+210*a[0]*a[1]*b[-1]*b[0]^4*b[1]^2+14*a[0]*a[1]*b[0]^6*b[1]-1045243*a[0]*b[-1]^3*b[0]*b[1]^4+142558*a[0]*b[-1]^2*b[0]^3*b[1]^3-2193*a[0]*b[-1]*b[0]^5*b[1]^2+a[0]*b[0]^7*b[1]+140*a[1]^2*b[-1]^3*b[0]*b[1]^3+210*a[1]^2*b[-1]^2*b[0]^3*b[1]^2+42*a[1]^2*b[-1]*b[0]^5*b[1]+a[1]^2*b[0]^7-3998464*a[1]*b[-1]^4*b[1]^4+1809844*a[1]*b[-1]^3*b[0]^2*b[1]^3-165714*a[1]*b[-1]^2*b[0]^4*b[1]^2+2230*a[1]*b[-1]*b[0]^6*b[1]-a[1]*b[0]^8 = 0, 35*a[-1]^2*b[-1]^3*b[1]^4+210*a[-1]^2*b[-1]^2*b[0]^2*b[1]^3+105*a[-1]^2*b[-1]*b[0]^4*b[1]^2+7*a[-1]^2*b[0]^6*b[1]+280*a[-1]*a[0]*b[-1]^3*b[0]*b[1]^3+420*a[-1]*a[0]*b[-1]^2*b[0]^3*b[1]^2+84*a[-1]*a[0]*b[-1]*b[0]^5*b[1]+2*a[-1]*a[0]*b[0]^7+70*a[-1]*a[1]*b[-1]^4*b[1]^3+420*a[-1]*a[1]*b[-1]^3*b[0]^2*b[1]^2+210*a[-1]*a[1]*b[-1]^2*b[0]^4*b[1]+14*a[-1]*a[1]*b[-1]*b[0]^6-2522173*a[-1]*b[-1]^4*b[0]*b[1]^3+719218*a[-1]*b[-1]^3*b[0]^3*b[1]^2-40119*a[-1]*b[-1]^2*b[0]^5*b[1]+247*a[-1]*b[-1]*b[0]^7+35*a[0]^2*b[-1]^4*b[1]^3+210*a[0]^2*b[-1]^3*b[0]^2*b[1]^2+105*a[0]^2*b[-1]^2*b[0]^4*b[1]+7*a[0]^2*b[-1]*b[0]^6+210*a[0]*a[1]*b[-1]^4*b[0]*b[1]^2+280*a[0]*a[1]*b[-1]^3*b[0]^3*b[1]+42*a[0]*a[1]*b[-1]^2*b[0]^5+2485288*a[0]*b[-1]^5*b[1]^3-711051*a[0]*b[-1]^4*b[0]^2*b[1]^2+39956*a[0]*b[-1]^3*b[0]^4*b[1]-247*a[0]*b[-1]^2*b[0]^6+21*a[1]^2*b[-1]^5*b[1]^2+105*a[1]^2*b[-1]^4*b[0]^2*b[1]+35*a[1]^2*b[-1]^3*b[0]^4+36885*a[1]*b[-1]^5*b[0]*b[1]^2-8167*a[1]*b[-1]^4*b[0]^3*b[1]+163*a[1]*b[-1]^3*b[0]^5 = 0, -21*a[-1]^2*b[-1]^2*b[1]^5-105*a[-1]^2*b[-1]*b[0]^2*b[1]^4-35*a[-1]^2*b[0]^4*b[1]^3-210*a[-1]*a[0]*b[-1]^2*b[0]*b[1]^4-280*a[-1]*a[0]*b[-1]*b[0]^3*b[1]^3-42*a[-1]*a[0]*b[0]^5*b[1]^2-70*a[-1]*a[1]*b[-1]^3*b[1]^4-420*a[-1]*a[1]*b[-1]^2*b[0]^2*b[1]^3-210*a[-1]*a[1]*b[-1]*b[0]^4*b[1]^2-14*a[-1]*a[1]*b[0]^6*b[1]-2337507*a[-1]*b[-1]^3*b[0]*b[1]^4+387342*a[-1]*b[-1]^2*b[0]^3*b[1]^3-8937*a[-1]*b[-1]*b[0]^5*b[1]^2+9*a[-1]*b[0]^7*b[1]-35*a[0]^2*b[-1]^3*b[1]^4-210*a[0]^2*b[-1]^2*b[0]^2*b[1]^3-105*a[0]^2*b[-1]*b[0]^4*b[1]^2-7*a[0]^2*b[0]^6*b[1]-280*a[0]*a[1]*b[-1]^3*b[0]*b[1]^3-420*a[0]*a[1]*b[-1]^2*b[0]^3*b[1]^2-84*a[0]*a[1]*b[-1]*b[0]^5*b[1]-2*a[0]*a[1]*b[0]^7+4675014*a[0]*b[-1]^4*b[1]^4-774684*a[0]*b[-1]^3*b[0]^2*b[1]^3+17874*a[0]*b[-1]^2*b[0]^4*b[1]^2-18*a[0]*b[-1]*b[0]^6*b[1]-35*a[1]^2*b[-1]^4*b[1]^3-210*a[1]^2*b[-1]^3*b[0]^2*b[1]^2-105*a[1]^2*b[-1]^2*b[0]^4*b[1]-7*a[1]^2*b[-1]*b[0]^6-2337507*a[1]*b[-1]^4*b[0]*b[1]^3+387342*a[1]*b[-1]^3*b[0]^3*b[1]^2-8937*a[1]*b[-1]^2*b[0]^5*b[1]+9*a[1]*b[-1]*b[0]^7 = 0, 105*a[-1]^2*b[-1]^2*b[0]*b[1]^4+140*a[-1]^2*b[-1]*b[0]^3*b[1]^3+21*a[-1]^2*b[0]^5*b[1]^2+70*a[-1]*a[0]*b[-1]^3*b[1]^4+420*a[-1]*a[0]*b[-1]^2*b[0]^2*b[1]^3+210*a[-1]*a[0]*b[-1]*b[0]^4*b[1]^2+14*a[-1]*a[0]*b[0]^6*b[1]+280*a[-1]*a[1]*b[-1]^3*b[0]*b[1]^3+420*a[-1]*a[1]*b[-1]^2*b[0]^3*b[1]^2+84*a[-1]*a[1]*b[-1]*b[0]^5*b[1]+2*a[-1]*a[1]*b[0]^7-3998464*a[-1]*b[-1]^4*b[1]^4+1809844*a[-1]*b[-1]^3*b[0]^2*b[1]^3-165714*a[-1]*b[-1]^2*b[0]^4*b[1]^2+2230*a[-1]*b[-1]*b[0]^6*b[1]-a[-1]*b[0]^8+140*a[0]^2*b[-1]^3*b[0]*b[1]^3+210*a[0]^2*b[-1]^2*b[0]^3*b[1]^2+42*a[0]^2*b[-1]*b[0]^5*b[1]+a[0]^2*b[0]^7+70*a[0]*a[1]*b[-1]^4*b[1]^3+420*a[0]*a[1]*b[-1]^3*b[0]^2*b[1]^2+210*a[0]*a[1]*b[-1]^2*b[0]^4*b[1]+14*a[0]*a[1]*b[-1]*b[0]^6-1045243*a[0]*b[-1]^4*b[0]*b[1]^3+142558*a[0]*b[-1]^3*b[0]^3*b[1]^2-2193*a[0]*b[-1]^2*b[0]^5*b[1]+a[0]*b[-1]*b[0]^7+105*a[1]^2*b[-1]^4*b[0]*b[1]^2+140*a[1]^2*b[-1]^3*b[0]^3*b[1]+21*a[1]^2*b[-1]^2*b[0]^5+3998464*a[1]*b[-1]^5*b[1]^3-764601*a[1]*b[-1]^4*b[0]^2*b[1]^2+23156*a[1]*b[-1]^3*b[0]^4*b[1]-37*a[1]*b[-1]^2*b[0]^6 = 0}:

indets(sys,name);

{a[-1], a[0], a[1], b[-1], b[0], b[1]}

 solve(sys, {a[-1], a[0], a[1], b[-1], b[0], b[1]});

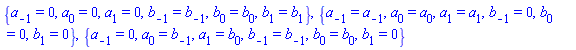
{a[-1] = 0, a[0] = 0, a[1] = 0, b[-1] = b[-1], b[0] = b[0], b[1] = b[1]}, {a[-1] = a[-1], a[0] = a[0], a[1] = a[1], b[-1] = 0, b[0] = 0, b[1] = 0}, {a[-1] = 0, a[0] = b[-1], a[1] = b[0], b[-1] = b[-1], b[0] = b[0], b[1] = 0}

eval(sys,{a[-1] = 0, a[0] = 0, a[1] = 0});

{0 = 0}

 

Download Shahri_ac.mw

Are you trying to solve symbolically for some names (variables) in terms of the remaining names (parameters)? If so then you should tell us whcih are the variables and which are the parameters.

Here are some ideas: 

restart;

kernelopts(version);

`Maple 18.02, X86 64 LINUX, Oct 20 2014, Build ID 991181`

sys := {x^3*a[1]*b[0]+x*a[1]^3*b[0]-x^3*a[0]-x*a[0]*a[1]^2+omega*a[1]*b[0]-omega*a[0] = 0, -x^3*a[-1]*b[-1]^2*b[0]+x^3*a[0]*b[-1]^3-omega*a[-1]*b[-1]^2*b[0]+omega*a[0]*b[-1]^3-x*a[-1]^3*b[0]+x*a[-1]^2*a[0]*b[-1] = 0, -4*x^3*a[1]*b[0]^2+4*x^3*a[0]*b[0]+8*x^3*a[1]*b[-1]+2*x*a[0]*a[1]^2*b[0]+2*x*a[1]^3*b[-1]+2*omega*a[1]*b[0]^2-8*x^3*a[-1]-2*x*a[-1]*a[1]^2-2*x*a[0]^2*a[1]-2*omega*a[0]*b[0]+2*omega*a[1]*b[-1]-2*omega*a[-1] = 0, 4*x^3*a[1]*b[-1]*b[0]^2-4*x^3*a[-1]*b[0]^2-32*x^3*a[1]*b[-1]^2+4*omega*a[1]*b[-1]*b[0]^2-32*x^3*a[-1]*b[-1]+4*x*a[-1]*a[1]^2*b[-1]+4*x*a[0]^2*a[1]*b[-1]-4*omega*a[-1]*b[0]^2+4*omega*a[1]*b[-1]^2-4*x*a[-1]^2*a[1]-4*x*a[-1]*a[0]^2-4*omega*a[-1]*b[-1] = 0, 4*x^3*a[-1]*b[-1]*b[0]^2-4*x^3*a[0]*b[-1]^2*b[0]+8*x^3*a[1]*b[-1]^3-8*x^3*a[-1]*b[-1]^2-2*omega*a[-1]*b[-1]*b[0]^2+2*omega*a[0]*b[-1]^2*b[0]+2*omega*a[1]*b[-1]^3-2*x*a[-1]^2*a[0]*b[0]+2*x*a[-1]^2*a[1]*b[-1]+2*x*a[-1]*a[0]^2*b[-1]-2*omega*a[-1]*b[-1]^2-2*x*a[-1]^3 = 0, x^3*a[1]*b[0]^3-x^3*a[0]*b[0]^2-18*x^3*a[1]*b[-1]*b[0]+omega*a[1]*b[0]^3-5*x^3*a[-1]*b[0]+23*x^3*a[0]*b[-1]+x*a[-1]*a[1]^2*b[0]+x*a[0]^2*a[1]*b[0]+5*x*a[0]*a[1]^2*b[-1]-omega*a[0]*b[0]^2+6*omega*a[1]*b[-1]*b[0]-6*x*a[-1]*a[0]*a[1]-x*a[0]^3+5*omega*a[-1]*b[0]-omega*a[0]*b[-1] = 0, -x^3*a[-1]*b[0]^3+x^3*a[0]*b[-1]*b[0]^2+5*x^3*a[1]*b[-1]^2*b[0]+18*x^3*a[-1]*b[-1]*b[0]-23*x^3*a[0]*b[-1]^2-omega*a[-1]*b[0]^3+omega*a[0]*b[-1]*b[0]^2+5*omega*a[1]*b[-1]^2*b[0]-x*a[-1]^2*a[1]*b[0]-x*a[-1]*a[0]^2*b[0]+6*x*a[-1]*a[0]*a[1]*b[-1]+x*a[0]^3*b[-1]-6*omega*a[-1]*b[-1]*b[0]+omega*a[0]*b[-1]^2-5*x*a[-1]^2*a[0] = 0}:

indets(sys,name);

{omega, x, a[-1], a[0], a[1], b[-1], b[0]}

EA:=eliminate(sys,x):
A:=EA[1];
map(rhs-lhs,eval(sys,%)):
K:={solve(%)}:
KK:=map(k->remove(kk->lhs(kk)=rhs(kk),k),K):
AA:=map(`union`,KK,A);

{x = 0}

{{omega = 0, x = 0}, {x = 0, a[-1] = 0, a[0] = 0, a[1] = 0}, {x = 0, a[-1] = 0, a[0] = a[1]*b[0], b[-1] = 0}, {x = 0, a[-1] = a[1]*b[-1], a[0] = 0, b[0] = 0}}

# check
map[2](eval,sys,AA);

{{0 = 0}}

solve(sys,{x,omega});

{omega = 0, x = 0}

solve(sys,{a[-1],a[0],a[1]});

{a[-1] = 0, a[0] = 0, a[1] = 0}

solve(sys,{x,a[-1],b[-1],a[0]});

{x = x, a[-1] = 0, a[0] = a[1]*b[0], b[-1] = 0}

solve(sys,{x,a[-1],b[0],a[0]});

{x = 0, a[-1] = a[1]*b[-1], a[0] = 0, b[0] = 0}

solve(sys,{x,omega,a[0]});

{omega = 0, x = 0, a[0] = a[0]}

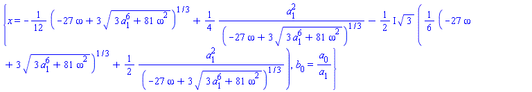
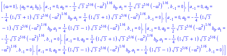
solve(sys,{omega, a[-1], a[0], a[1], b[-1], b[0]}, explicit);

{omega = -2*x^3, a[-1] = -I*2^(1/2)*x*b[-1], a[0] = 0, a[1] = I*2^(1/2)*x, b[-1] = b[-1], b[0] = 0}, {omega = -2*x^3, a[-1] = I*2^(1/2)*x*b[-1], a[0] = 0, a[1] = -I*2^(1/2)*x, b[-1] = b[-1], b[0] = 0}, {omega = omega, a[-1] = 0, a[0] = 0, a[1] = 0, b[-1] = b[-1], b[0] = b[0]}, {omega = omega, a[-1] = 0, a[0] = a[1]*b[0], a[1] = a[1], b[-1] = 0, b[0] = b[0]}, {omega = -x^3, a[-1] = 0, a[0] = a[0], a[1] = 0, b[-1] = (1/24)*a[0]^2/x^2, b[0] = 0}, {omega = (1/2)*x^3, a[-1] = 0, a[0] = -((1/2)*I)*6^(1/2)*x*b[0], a[1] = ((1/2)*I)*6^(1/2)*x, b[-1] = 0, b[0] = b[0]}, {omega = (1/2)*x^3, a[-1] = 0, a[0] = ((1/2)*I)*6^(1/2)*x*b[0], a[1] = -((1/2)*I)*6^(1/2)*x, b[-1] = 0, b[0] = b[0]}

# restrictions on A=EA[1]
map(k->remove(kk->lhs(kk)=rhs(kk),k),
    simplify([solve(EA[2],{omega,a[0],a[1],a[-1],b[-1]},explicit)]));

[{omega = 0}, {a[0] = a[1]*b[0]}, {a[-1] = 0, a[0] = -(1/2)*3^(1/2)*2^(5/6)*(-omega^2)^(1/6)*b[0], a[1] = (1/2)*3^(1/2)*2^(5/6)*(-omega^2)^(1/6), b[-1] = 0}, {a[-1] = 0, a[0] = -(1/4)*(I*3^(1/2)+1)*3^(1/2)*2^(5/6)*(-omega^2)^(1/6)*b[0], a[1] = (1/4)*(I*3^(1/2)+1)*3^(1/2)*2^(5/6)*(-omega^2)^(1/6), b[-1] = 0}, {a[-1] = 0, a[0] = -(1/4)*(I*3^(1/2)-1)*3^(1/2)*2^(5/6)*(-omega^2)^(1/6)*b[0], a[1] = (1/4)*(I*3^(1/2)-1)*3^(1/2)*2^(5/6)*(-omega^2)^(1/6), b[-1] = 0}, {a[-1] = 0, a[0] = (1/2)*3^(1/2)*2^(5/6)*(-omega^2)^(1/6)*b[0], a[1] = -(1/2)*3^(1/2)*2^(5/6)*(-omega^2)^(1/6), b[-1] = 0}, {a[-1] = 0, a[0] = (1/4)*(I*3^(1/2)+1)*3^(1/2)*2^(5/6)*(-omega^2)^(1/6)*b[0], a[1] = -(1/4)*(I*3^(1/2)+1)*3^(1/2)*2^(5/6)*(-omega^2)^(1/6), b[-1] = 0}, {a[-1] = 0, a[0] = (1/4)*(I*3^(1/2)-1)*3^(1/2)*2^(5/6)*(-omega^2)^(1/6)*b[0], a[1] = -(1/4)*(I*3^(1/2)-1)*3^(1/2)*2^(5/6)*(-omega^2)^(1/6), b[-1] = 0}]

G:=[eliminate(sys,{x,b[0]})]:

G[1];

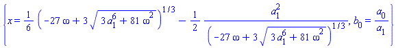
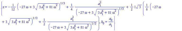
[{x = (1/6)*(-108*omega+12*(12*a[1]^6+81*omega^2)^(1/2))^(1/3)-2*a[1]^2/(-108*omega+12*(12*a[1]^6+81*omega^2)^(1/2))^(1/3), b[0] = a[0]/a[1]}, {}]

G[3];

[{x = -(1/12)*(-108*omega+12*(12*a[1]^6+81*omega^2)^(1/2))^(1/3)+a[1]^2/(-108*omega+12*(12*a[1]^6+81*omega^2)^(1/2))^(1/3)-((1/2)*I)*3^(1/2)*((1/6)*(-108*omega+12*(12*a[1]^6+81*omega^2)^(1/2))^(1/3)+2*a[1]^2/(-108*omega+12*(12*a[1]^6+81*omega^2)^(1/2))^(1/3)), b[0] = a[0]/a[1]}, {}]

G[4];

[{x = -(1/12)*(-108*omega+12*(12*a[1]^6+81*omega^2)^(1/2))^(1/3)+a[1]^2/(-108*omega+12*(12*a[1]^6+81*omega^2)^(1/2))^(1/3)+((1/2)*I)*3^(1/2)*((1/6)*(-108*omega+12*(12*a[1]^6+81*omega^2)^(1/2))^(1/3)+2*a[1]^2/(-108*omega+12*(12*a[1]^6+81*omega^2)^(1/2))^(1/3)), b[0] = a[0]/a[1]}, {}]

# These have restrictions on remaining parameters
G[2][1];
G[5][1];
G[6][1];

{x = (1/6)*(-27*omega+3*(3*a[1]^6+81*omega^2)^(1/2))^(1/3)-(1/2)*a[1]^2/(-27*omega+3*(3*a[1]^6+81*omega^2)^(1/2))^(1/3), b[0] = a[0]/a[1]}

{x = -(1/12)*(-27*omega+3*(3*a[1]^6+81*omega^2)^(1/2))^(1/3)+(1/4)*a[1]^2/(-27*omega+3*(3*a[1]^6+81*omega^2)^(1/2))^(1/3)-((1/2)*I)*3^(1/2)*((1/6)*(-27*omega+3*(3*a[1]^6+81*omega^2)^(1/2))^(1/3)+(1/2)*a[1]^2/(-27*omega+3*(3*a[1]^6+81*omega^2)^(1/2))^(1/3)), b[0] = a[0]/a[1]}

{x = -(1/12)*(-27*omega+3*(3*a[1]^6+81*omega^2)^(1/2))^(1/3)+(1/4)*a[1]^2/(-27*omega+3*(3*a[1]^6+81*omega^2)^(1/2))^(1/3)+((1/2)*I)*3^(1/2)*((1/6)*(-27*omega+3*(3*a[1]^6+81*omega^2)^(1/2))^(1/3)+(1/2)*a[1]^2/(-27*omega+3*(3*a[1]^6+81*omega^2)^(1/2))^(1/3)), b[0] = a[0]/a[1]}

# For example, solving restrictions on G[2][1]
solve(G[2][2]);

Warning, solutions may have been lost

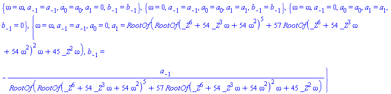
{omega = omega, a[-1] = a[-1], a[0] = a[0], a[1] = 0, b[-1] = b[-1]}, {omega = 0, a[-1] = a[-1], a[0] = a[0], a[1] = a[1], b[-1] = b[-1]}, {omega = omega, a[-1] = 0, a[0] = a[0], a[1] = a[1], b[-1] = 0}, {omega = omega, a[-1] = a[-1], a[0] = 0, a[1] = RootOf(RootOf(_Z^6+54*_Z^3*omega+54*omega^2)^5+57*RootOf(_Z^6+54*_Z^3*omega+54*omega^2)^2*omega+45*_Z^2*omega), b[-1] = -a[-1]/RootOf(RootOf(_Z^6+54*_Z^3*omega+54*omega^2)^5+57*RootOf(_Z^6+54*_Z^3*omega+54*omega^2)^2*omega+45*_Z^2*omega)}

# A new system, where b[0]=a[0]/a[1]
newsys:=remove(u->simplify(lhs(u)-rhs(u))=0,factor(eval(sys, b[0]=a[0]/a[1])));

{-2*(-a[1]*b[-1]+a[-1])*(4*x^3+x*a[1]^2+omega) = 0, -4*(8*x^3*a[1]^3*b[-1]^2+8*x^3*a[-1]*a[1]^2*b[-1]-x^3*a[0]^2*a[1]*b[-1]-x*a[-1]*a[1]^4*b[-1]-x*a[0]^2*a[1]^3*b[-1]-omega*a[1]^3*b[-1]^2+x^3*a[-1]*a[0]^2+x*a[-1]^2*a[1]^3+x*a[-1]*a[0]^2*a[1]^2+omega*a[-1]*a[1]^2*b[-1]-omega*a[0]^2*a[1]*b[-1]+omega*a[-1]*a[0]^2)/a[1]^2 = 0, 5*a[0]*(x^3*a[1]*b[-1]+x*a[1]^3*b[-1]-x^3*a[-1]-x*a[-1]*a[1]^2+omega*a[1]*b[-1]+omega*a[-1])/a[1] = 0, -2*(-a[1]*b[-1]+a[-1])*(4*x^3*a[1]^2*b[-1]^2-2*x^3*a[0]^2*b[-1]+omega*a[1]^2*b[-1]^2+x*a[-1]^2*a[1]^2+x*a[-1]*a[0]^2*a[1]+omega*a[0]^2*b[-1])/a[1]^2 = 0, -a[0]*(-a[1]*b[-1]+a[-1])*(x^3*b[-1]^2+omega*b[-1]^2+x*a[-1]^2)/a[1] = 0, -a[0]*(-a[1]*b[-1]+a[-1])*(-18*x^3*a[1]^2*b[-1]+x^3*a[0]^2+6*x*a[-1]*a[1]^3+x*a[0]^2*a[1]^2+6*omega*a[1]^2*b[-1]+omega*a[0]^2)/a[1]^3 = 0}

Q:=map(`union`,[solve(newsys,{x,a[-1],a[1],a[0],b[-1]},explicit)],{b[0]=a[0]/a[1]});

[{x = 0, a[-1] = a[1]*b[-1], a[0] = 0, a[1] = a[1], b[-1] = b[-1], b[0] = a[0]/a[1]}, {x = (1/2)*omega*2^(2/3)/(-omega^2)^(1/3), a[-1] = -2^(1/6)*(-omega^2)^(1/6)*b[-1], a[0] = 0, a[1] = 2^(1/6)*(-omega^2)^(1/6), b[-1] = b[-1], b[0] = a[0]/a[1]}, {x = (1/2)*omega*2^(2/3)/((1/2+((1/2)*I)*3^(1/2))^2*(-omega^2)^(1/3)), a[-1] = -(1/2+((1/2)*I)*3^(1/2))*2^(1/6)*(-omega^2)^(1/6)*b[-1], a[0] = 0, a[1] = (1/2+((1/2)*I)*3^(1/2))*2^(1/6)*(-omega^2)^(1/6), b[-1] = b[-1], b[0] = a[0]/a[1]}, {x = (1/2)*omega*2^(2/3)/((-1/2+((1/2)*I)*3^(1/2))^2*(-omega^2)^(1/3)), a[-1] = -(-1/2+((1/2)*I)*3^(1/2))*2^(1/6)*(-omega^2)^(1/6)*b[-1], a[0] = 0, a[1] = (-1/2+((1/2)*I)*3^(1/2))*2^(1/6)*(-omega^2)^(1/6), b[-1] = b[-1], b[0] = a[0]/a[1]}, {x = (1/2)*omega*2^(2/3)/(-omega^2)^(1/3), a[-1] = 2^(1/6)*(-omega^2)^(1/6)*b[-1], a[0] = 0, a[1] = -2^(1/6)*(-omega^2)^(1/6), b[-1] = b[-1], b[0] = a[0]/a[1]}, {x = (1/2)*omega*2^(2/3)/((-1/2-((1/2)*I)*3^(1/2))^2*(-omega^2)^(1/3)), a[-1] = -(-1/2-((1/2)*I)*3^(1/2))*2^(1/6)*(-omega^2)^(1/6)*b[-1], a[0] = 0, a[1] = (-1/2-((1/2)*I)*3^(1/2))*2^(1/6)*(-omega^2)^(1/6), b[-1] = b[-1], b[0] = a[0]/a[1]}, {x = (1/2)*omega*2^(2/3)/((1/2-((1/2)*I)*3^(1/2))^2*(-omega^2)^(1/3)), a[-1] = -(1/2-((1/2)*I)*3^(1/2))*2^(1/6)*(-omega^2)^(1/6)*b[-1], a[0] = 0, a[1] = (1/2-((1/2)*I)*3^(1/2))*2^(1/6)*(-omega^2)^(1/6), b[-1] = b[-1], b[0] = a[0]/a[1]}, {x = x, a[-1] = 0, a[0] = a[0], a[1] = a[1], b[-1] = 0, b[0] = a[0]/a[1]}]

# check
simplify(map[2](eval,newsys,Q));

[{0 = 0}, {0 = 0}, {0 = 0}, {0 = 0}, {0 = 0}, {0 = 0}, {0 = 0}, {0 = 0}]

 

Download solve_sys_example.mw

First 136 137 138 139 140 141 142 Last Page 138 of 338