acer

32622 Reputation

29 Badges

20 years, 43 days
Ontario, Canada

Social Networks and Content at Maplesoft.com

MaplePrimes Activity


These are answers submitted by acer

You might be able to use this kind of approach.

restart

first define input x and output y as vector/list

x := [x1, x2, x3, x4, x5];

[x1, x2, x3, x4, x5]

[y1, y2, y3]

define output values

y1 := exp(-x1/T)*x2+log(x3)*x4+x5^2;

exp(-x1/T)*x2+ln(x3)*x4+x5^2

sin(x1)*x5+x3*x4*x5

c1*x1+c2*x2^2+c3*x3^3*x5+x1*x2*x4*exp(-x1/T)

calculate Jacobian and Hessian matrices

Jac := VectorCalculus:-Jacobian(y, x)

Jac := Matrix(3, 5, {(1, 1) = -exp(-x1/T)*x2/T, (1, 2) = exp(-x1/T), (1, 3) = x4/x3, (1, 4) = ln(x3), (1, 5) = 2*x5, (2, 1) = cos(x1)*x5, (2, 2) = 0, (2, 3) = x4*x5, (2, 4) = x3*x5, (2, 5) = sin(x1)+x3*x4, (3, 1) = c1+x2*x4*exp(-x1/T)-x1*x2*x4*exp(-x1/T)/T, (3, 2) = 2*c2*x2+x1*x4*exp(-x1/T), (3, 3) = 3*c3*x3^2*x5, (3, 4) = x1*x2*exp(-x1/T), (3, 5) = c3*x3^3})

H1 := VectorCalculus:-Hessian(y1, x); H2 := VectorCalculus:-Hessian(y2, x); H3 := VectorCalculus:-Hessian(y3, x)

H1 := Matrix(5, 5, {(1, 1) = exp(-x1/T)*x2/T^2, (1, 2) = -exp(-x1/T)/T, (1, 3) = 0, (1, 4) = 0, (1, 5) = 0, (2, 1) = -exp(-x1/T)/T, (2, 2) = 0, (2, 3) = 0, (2, 4) = 0, (2, 5) = 0, (3, 1) = 0, (3, 2) = 0, (3, 3) = -x4/x3^2, (3, 4) = 1/x3, (3, 5) = 0, (4, 1) = 0, (4, 2) = 0, (4, 3) = 1/x3, (4, 4) = 0, (4, 5) = 0, (5, 1) = 0, (5, 2) = 0, (5, 3) = 0, (5, 4) = 0, (5, 5) = 2})

H2 := Matrix(5, 5, {(1, 1) = -sin(x1)*x5, (1, 2) = 0, (1, 3) = 0, (1, 4) = 0, (1, 5) = cos(x1), (2, 1) = 0, (2, 2) = 0, (2, 3) = 0, (2, 4) = 0, (2, 5) = 0, (3, 1) = 0, (3, 2) = 0, (3, 3) = 0, (3, 4) = x5, (3, 5) = x4, (4, 1) = 0, (4, 2) = 0, (4, 3) = x5, (4, 4) = 0, (4, 5) = x3, (5, 1) = cos(x1), (5, 2) = 0, (5, 3) = x4, (5, 4) = x3, (5, 5) = 0})

H3 := Matrix(5, 5, {(1, 1) = -2*x2*x4*exp(-x1/T)/T+x1*x2*x4*exp(-x1/T)/T^2, (1, 2) = x4*exp(-x1/T)-x1*x4*exp(-x1/T)/T, (1, 3) = 0, (1, 4) = exp(-x1/T)*x2-x1*x2*exp(-x1/T)/T, (1, 5) = 0, (2, 1) = x4*exp(-x1/T)-x1*x4*exp(-x1/T)/T, (2, 2) = 2*c2, (2, 3) = 0, (2, 4) = x1*exp(-x1/T), (2, 5) = 0, (3, 1) = 0, (3, 2) = 0, (3, 3) = 6*c3*x3*x5, (3, 4) = 0, (3, 5) = 3*c3*x3^2, (4, 1) = exp(-x1/T)*x2-x1*x2*exp(-x1/T)/T, (4, 2) = x1*exp(-x1/T), (4, 3) = 0, (4, 4) = 0, (4, 5) = 0, (5, 1) = 0, (5, 2) = 0, (5, 3) = 3*c3*x3^2, (5, 4) = 0, (5, 5) = 0})

CodeGeneration:-C(Jac, optimize);

t1 = 0.1e1 / T;

t2 = x1 * t1;
t3 = exp(-t2);
t4 = (int) (x3 * x3);
cg[0][0] = -t1 * t3 * x2;
cg[0][1] = t3;
cg[0][2] = 0.1e1 / x3 * (double) x4;
cg[0][3] = log(x3);
cg[0][4] = 2 * x5;
cg[1][0] = cos(x1) * (double) x5;
cg[1][1] = 0;
cg[1][2] = x4 * x5;
cg[1][3] = x3 * (double) x5;
cg[1][4] = sin(x1) + x3 * (double) x4;
cg[2][0] = -x2 * (double) x4 * t3 * (-0.1e1 + t2) + c1;
cg[2][1] = x1 * (double) x4 * t3 + 0.2e1 * c2 * x2;
cg[2][2] = 3 * c3 * t4 * x5;
cg[2][3] = x1 * x2 * t3;
cg[2][4] = (double) c3 * x3 * (double) t4;

CodeGeneration:-C(codegen[makeproc]([
                     seq(seq('Jac'[i,j]=Jac[i,j],j=1..5),i=1..3)
                     , 'NULL'],[]), optimize);

#include <math.h>

void cg0 (void)
{
  double t1;
  double t12;
  double t20;
  double t3;
  double t7;
  double t8;
  t1 = 0.1e1 / T;
  t3 = exp(-x1 * t1);
  Jac[0][0] = -t1 * t3 * x2;
  Jac[0][1] = t3;
  Jac[0][2] = 0.1e1 / x3 * x4;
  Jac[0][3] = log(x3);
  Jac[0][4] = (double) (2 * x5);
  t7 = cos(x1);
  Jac[1][0] = t7 * (double) x5;
  Jac[1][1] = 0.0e0;
  Jac[1][2] = x4 * (double) x5;
  Jac[1][3] = x3 * (double) x5;
  t8 = sin(x1);
  Jac[1][4] = x3 * x4 + t8;
  t12 = x1 * x2;
  Jac[2][0] = -t1 * t12 * x4 * Jac[0][1] + x2 * x4 * Jac[0][1] + c1;
  Jac[2][1] = x1 * x4 * Jac[0][1] + 0.2e1 * c2 * x2;
  t20 = x3 * x3;
  Jac[2][2] = 0.3e1 * c3 * t20 * (double) x5;
  Jac[2][3] = t12 * Jac[0][1];
  Jac[2][4] = c3 * t20 * x3;
  ;
}

CodeGeneration:-C(codegen[makeproc]([
                     seq(seq('Jac'[i,j]=Jac[i,j],j=1..5),i=1..3)
                     , seq(seq('H1'[i,j]=H1[i,j],j=1..5),i=1..5)
                     , seq(seq('H2'[i,j]=H2[i,j],j=1..5),i=1..5)
                     , seq(seq('H3'[i,j]=H3[i,j],j=1..5),i=1..5)
                     ],[]));

#include <math.h>

double cg1 (void)
{
  Jac[0][0] = -0.1e1 / T * exp(-x1 / T) * x2;
  Jac[0][1] = exp(-x1 / T);
  Jac[0][2] = 0.1e1 / x3 * x4;
  Jac[0][3] = log(x3);
  Jac[0][4] = (double) (2 * x5);
  Jac[1][0] = cos(x1) * (double) x5;
  Jac[1][1] = 0.0e0;
  Jac[1][2] = x4 * (double) x5;
  Jac[1][3] = x3 * (double) x5;
  Jac[1][4] = sin(x1) + x3 * x4;
  Jac[2][0] = c1 + x2 * x4 * exp(-x1 / T) - x1 * x2 * x4 / T * exp(-x1 / T);
  Jac[2][1] = 0.2e1 * c2 * x2 + x1 * x4 * exp(-x1 / T);
  Jac[2][2] = 0.3e1 * c3 * x3 * x3 * (double) x5;
  Jac[2][3] = x1 * x2 * exp(-x1 / T);
  Jac[2][4] = c3 * pow(x3, 0.3e1);
  H1[0][0] = pow(T, -0.2e1) * exp(-x1 / T) * x2;
  H1[0][1] = -0.1e1 / T * exp(-x1 / T);
  H1[0][2] = 0.0e0;
  H1[0][3] = 0.0e0;
  H1[0][4] = 0.0e0;
  H1[1][0] = -0.1e1 / T * exp(-x1 / T);
  H1[1][1] = 0.0e0;
  H1[1][2] = 0.0e0;
  H1[1][3] = 0.0e0;
  H1[1][4] = 0.0e0;
  H1[2][0] = 0.0e0;
  H1[2][1] = 0.0e0;
  H1[2][2] = -pow(x3, -0.2e1) * x4;
  H1[2][3] = 0.1e1 / x3;
  H1[2][4] = 0.0e0;
  H1[3][0] = 0.0e0;
  H1[3][1] = 0.0e0;
  H1[3][2] = 0.1e1 / x3;
  H1[3][3] = 0.0e0;
  H1[3][4] = 0.0e0;
  H1[4][0] = 0.0e0;
  H1[4][1] = 0.0e0;
  H1[4][2] = 0.0e0;
  H1[4][3] = 0.0e0;
  H1[4][4] = 0.2e1;
  H2[0][0] = -sin(x1) * (double) x5;
  H2[0][1] = 0.0e0;
  H2[0][2] = 0.0e0;
  H2[0][3] = 0.0e0;
  H2[0][4] = cos(x1);
  H2[1][0] = 0.0e0;
  H2[1][1] = 0.0e0;
  H2[1][2] = 0.0e0;
  H2[1][3] = 0.0e0;
  H2[1][4] = 0.0e0;
  H2[2][0] = 0.0e0;
  H2[2][1] = 0.0e0;
  H2[2][2] = 0.0e0;
  H2[2][3] = (double) x5;
  H2[2][4] = x4;
  H2[3][0] = 0.0e0;
  H2[3][1] = 0.0e0;
  H2[3][2] = (double) x5;
  H2[3][3] = 0.0e0;
  H2[3][4] = x3;
  H2[4][0] = cos(x1);
  H2[4][1] = 0.0e0;
  H2[4][2] = x4;
  H2[4][3] = x3;
  H2[4][4] = 0.0e0;
  H3[0][0] = -0.2e1 * x2 * x4 / T * exp(-x1 / T) + x1 * x2 * x4 * pow(T, -0.2e1) * exp(-x1 / T);
  H3[0][1] = x4 * exp(-x1 / T) - x1 * x4 / T * exp(-x1 / T);
  H3[0][2] = 0.0e0;
  H3[0][3] = exp(-x1 / T) * x2 - x1 * x2 / T * exp(-x1 / T);
  H3[0][4] = 0.0e0;
  H3[1][0] = x4 * exp(-x1 / T) - x1 * x4 / T * exp(-x1 / T);
  H3[1][1] = 0.2e1 * c2;
  H3[1][2] = 0.0e0;
  H3[1][3] = x1 * exp(-x1 / T);
  H3[1][4] = 0.0e0;
  H3[2][0] = 0.0e0;
  H3[2][1] = 0.0e0;
  H3[2][2] = 0.6e1 * c3 * x3 * (double) x5;
  H3[2][3] = 0.0e0;
  H3[2][4] = 0.3e1 * c3 * x3 * x3;
  H3[3][0] = exp(-x1 / T) * x2 - x1 * x2 / T * exp(-x1 / T);
  H3[3][1] = x1 * exp(-x1 / T);
  H3[3][2] = 0.0e0;
  H3[3][3] = 0.0e0;
  H3[3][4] = 0.0e0;
  H3[4][0] = 0.0e0;
  H3[4][1] = 0.0e0;
  H3[4][2] = 0.3e1 * c3 * x3 * x3;
  H3[4][3] = 0.0e0;
  H3[4][4] = 0.0e0;
  return(H3[4][4]);
}

CodeGeneration:-C(codegen[makeproc]([
                     seq(seq('Jac'[i,j]=Jac[i,j],j=1..5),i=1..3)
                     , seq(seq('H1'[i,j]=H1[i,j],j=1..5),i=1..5)
                     , seq(seq('H2'[i,j]=H2[i,j],j=1..5),i=1..5)
                     , seq(seq('H3'[i,j]=H3[i,j],j=1..5),i=1..5)
                     ,'NULL'],[]), optimize);

#include <math.h>

void cg2 (void)
{
  double t1;
  double t10;
  double t12;
  double t18;
  double t20;
  double t21;
  double t24;
  double t25;
  double t27;
  double t3;
  double t6;
  double t7;
  double t8;
  t1 = 0.1e1 / T;
  t3 = exp(-x1 * t1);
  Jac[0][0] = -t1 * t3 * x2;
  Jac[0][1] = t3;
  t6 = 0.1e1 / x3;
  Jac[0][2] = t6 * x4;
  Jac[0][3] = log(x3);
  Jac[0][4] = (double) (2 * x5);
  t7 = cos(x1);
  Jac[1][0] = t7 * (double) x5;
  Jac[1][1] = 0.0e0;
  Jac[1][2] = x4 * (double) x5;
  Jac[1][3] = x3 * (double) x5;
  t8 = sin(x1);
  Jac[1][4] = x3 * x4 + t8;
  t10 = x2 * x4;
  t12 = x1 * x2;
  Jac[2][0] = -t1 * t12 * x4 * Jac[0][1] + t10 * Jac[0][1] + c1;
  t18 = x1 * x4;
  Jac[2][1] = 0.2e1 * c2 * x2 + t18 * Jac[0][1];
  t20 = x3 * x3;
  t21 = c3 * t20;
  Jac[2][2] = 0.3e1 * t21 * (double) x5;
  Jac[2][3] = t12 * Jac[0][1];
  Jac[2][4] = c3 * t20 * x3;
  t24 = T * T;
  t25 = 0.1e1 / t24;
  H1[0][0] = t25 * Jac[0][1] * x2;
  t27 = t1 * Jac[0][1];
  H1[0][1] = -t27;
  H1[0][2] = 0.0e0;
  H1[0][3] = 0.0e0;
  H1[0][4] = 0.0e0;
  H1[1][0] = H1[0][1];
  H1[1][1] = 0.0e0;
  H1[1][2] = 0.0e0;
  H1[1][3] = 0.0e0;
  H1[1][4] = 0.0e0;
  H1[2][0] = 0.0e0;
  H1[2][1] = 0.0e0;
  H1[2][2] = -0.1e1 / t20 * x4;
  H1[2][3] = t6;
  H1[2][4] = 0.0e0;
  H1[3][0] = 0.0e0;
  H1[3][1] = 0.0e0;
  H1[3][2] = H1[2][3];
  H1[3][3] = 0.0e0;
  H1[3][4] = 0.0e0;
  H1[4][0] = 0.0e0;
  H1[4][1] = 0.0e0;
  H1[4][2] = 0.0e0;
  H1[4][3] = 0.0e0;
  H1[4][4] = 0.2e1;
  H2[0][0] = -t8 * (double) x5;
  H2[0][1] = 0.0e0;
  H2[0][2] = 0.0e0;
  H2[0][3] = 0.0e0;
  H2[0][4] = t7;
  H2[1][0] = 0.0e0;
  H2[1][1] = 0.0e0;
  H2[1][2] = 0.0e0;
  H2[1][3] = 0.0e0;
  H2[1][4] = 0.0e0;
  H2[2][0] = 0.0e0;
  H2[2][1] = 0.0e0;
  H2[2][2] = 0.0e0;
  H2[2][3] = (double) x5;
  H2[2][4] = x4;
  H2[3][0] = 0.0e0;
  H2[3][1] = 0.0e0;
  H2[3][2] = (double) x5;
  H2[3][3] = 0.0e0;
  H2[3][4] = x3;
  H2[4][0] = H2[0][4];
  H2[4][1] = 0.0e0;
  H2[4][2] = x4;
  H2[4][3] = x3;
  H2[4][4] = 0.0e0;
  H3[0][0] = t12 * t25 * x4 * Jac[0][1] - 0.2e1 * t10 * t27;
  H3[0][1] = -t18 * t27 + x4 * Jac[0][1];
  H3[0][2] = 0.0e0;
  H3[0][3] = -t12 * t27 + Jac[0][1] * x2;
  H3[0][4] = 0.0e0;
  H3[1][0] = H3[0][1];
  H3[1][1] = 0.2e1 * c2;
  H3[1][2] = 0.0e0;
  H3[1][3] = x1 * Jac[0][1];
  H3[1][4] = 0.0e0;
  H3[2][0] = 0.0e0;
  H3[2][1] = 0.0e0;
  H3[2][2] = 0.6e1 * c3 * x3 * (double) x5;
  H3[2][3] = 0.0e0;
  H3[2][4] = 0.3e1 * t21;
  H3[3][0] = H3[0][3];
  H3[3][1] = H3[1][3];
  H3[3][2] = 0.0e0;
  H3[3][3] = 0.0e0;
  H3[3][4] = 0.0e0;
  H3[4][0] = 0.0e0;
  H3[4][1] = 0.0e0;
  H3[4][2] = H3[2][4];
  H3[4][3] = 0.0e0;
  H3[4][4] = 0.0e0;
  ;
}

 

Download Jacobian_Hessian_CG_1.mw

This seems harder that I would have guessed at first, for a few esoteric reasons.

I'm supposing that what you want is a specific order of the derivatives in the pretty-printing of the differential equation, and that you don't actually want the expression's internal representation to be altered necessarily. (The latter would affect how the op command pulls out the terms.)

While I suppose that your D^4 in your Question is just a convenient shorthand (to illustrate your point quickly), it's not completely clear to me whether you mean a call to diff or Diff or D.

So here is a procedure that can print differential equations in a sorted manner.

restart;

`print/pre`:=proc(expr::{scalar,scalar=scalar})
  local T,TT;
  uses PDEtools;
  if type(expr,`=`) then return map(procname,expr); end if;
  if type(expr,`+`) then
    T:=sort([op(expr)],(a,b)->difforder(a)>difforder(b));
    if interface(':-typesetting')=':-standard' then
      TT:=subs([:-diff=`tools/gensym`(:-diff),
                :-Diff=`tools/gensym`(:-Diff),
                :-D=`tools/gensym`(:-D)],T);
      `+`(op(TT));
    else
      `+`(op(subs([:-diff=:-%diff,
                   :-Diff=:-%Diff,
                   :-D=`tools/gensym`(:-D)],T)));
    end if
  else
    expr;
  end if;
end proc:

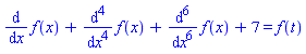
ee1:=diff(f(x),x)+diff(f(x),$(x,4))+diff(f(x),$(x,6))+7=f(t):
ee2:=Diff(f(x),x)+Diff(f(x),$(x,4))+Diff(f(x),$(x,6))+7=f(t):
ee3:=D(f)(x)+(D@@4)(f)(x)+(D@@6)(f)(x)+7=f(t):
ff1:=diff(x(t),t)+diff(x(t),$(t,4))+diff(x(t),$(t,6))+7=f(t):

interface(typesetting=standard):

ee1;

diff(f(x), x)+diff(diff(diff(diff(f(x), x), x), x), x)+diff(diff(diff(diff(diff(diff(f(x), x), x), x), x), x), x)+7 = f(t)

pre(ee1);

pre(diff(f(x), x)+diff(diff(diff(diff(f(x), x), x), x), x)+diff(diff(diff(diff(diff(diff(f(x), x), x), x), x), x), x)+7 = f(t))

ee2;

Diff(f(x), x)+Diff(f(x), x, x, x, x)+Diff(f(x), x, x, x, x, x, x)+7 = f(t)

pre(ee2);

pre(Diff(f(x), x)+Diff(f(x), x, x, x, x)+Diff(f(x), x, x, x, x, x, x)+7 = f(t))

ee3;

(D(f))(x)+((D@@4)(f))(x)+((D@@6)(f))(x)+7 = f(t)

pre(ee3);

pre((D(f))(x)+((D@@4)(f))(x)+((D@@6)(f))(x)+7 = f(t))

interface(typesetting=extended):

ee1;

diff(f(x), x)+diff(diff(diff(diff(f(x), x), x), x), x)+diff(diff(diff(diff(diff(diff(f(x), x), x), x), x), x), x)+7 = f(t)

pre(ee1);

pre(diff(f(x), x)+diff(diff(diff(diff(f(x), x), x), x), x)+diff(diff(diff(diff(diff(diff(f(x), x), x), x), x), x), x)+7 = f(t))

ff1;

diff(x(t), t)+diff(diff(diff(diff(x(t), t), t), t), t)+diff(diff(diff(diff(diff(diff(x(t), t), t), t), t), t), t)+7 = f(t)

pre(ff1);

pre(diff(x(t), t)+diff(diff(diff(diff(x(t), t), t), t), t)+diff(diff(diff(diff(diff(diff(x(t), t), t), t), t), t), t)+7 = f(t))

ee2;

Diff(f(x), x)+Diff(f(x), x, x, x, x)+Diff(f(x), x, x, x, x, x, x)+7 = f(t)

pre(ee2);

pre(Diff(f(x), x)+Diff(f(x), x, x, x, x)+Diff(f(x), x, x, x, x, x, x)+7 = f(t))

ee3;

(D(f))(x)+((D@@4)(f))(x)+((D@@6)(f))(x)+7 = f(t)

pre(ee3);

pre((D(f))(x)+((D@@4)(f))(x)+((D@@6)(f))(x)+7 = f(t))

 

Download sortdiff.mw

The above also seems to work in Maple 2017.0, with the default typesetting level of extended, with the prime and dot derivative notations for diff toggled on. Eg, after say,

Typesetting:-Settings(typesetprime=true):
Typesetting:-Settings(typesetdot=true):

We've seen requests along these lines before. Here's one idea (from here).

restart;

twostep:=proc(expr::uneval)
  uses Typesetting;
  (Typeset(expr) =
   subsindets(expr,
     And(name,
         satisfies(t->type(eval(t),
           {constant,
            '`*`'({constant,
                   'specfunc'(anything,
                              Units:-Unit)})}))),
     z->Typeset(EV(z))))
   = combine(eval(expr),':-units');
end proc:

v:=2.256*10^8*Unit(m/s);

225600000.0*Units:-Unit(('m')/('s'))

f:=4.74*10^14*Unit(1/s);

0.4740000000e15*Units:-Unit(1/('s'))

lambda:=twostep(v/f);

(Typesetting:-mfrac(Typesetting:-mi("v"), Typesetting:-mi("f")) = Typesetting:-mrow(Typesetting:-mrow(Typesetting:-mn("2.256000000"), Typesetting:-mo("&InvisibleTimes;"), Typesetting:-msup(Typesetting:-mn("10"), Typesetting:-mn("8"), Typesetting:-msemantics = "^")), Typesetting:-mo("&InvisibleTimes;"), Typesetting:-mfenced(Typesetting:-mfrac(Typesetting:-mi("m"), Typesetting:-mi("s")), open = "&lobrk;", close = "&robrk;", Typesetting:-msemantics = "Unit"))/Typesetting:-mrow(Typesetting:-mrow(Typesetting:-mn("4.740000000"), Typesetting:-mo("&InvisibleTimes;"), Typesetting:-msup(Typesetting:-mn("10"), Typesetting:-mn("14"), Typesetting:-msemantics = "^")), Typesetting:-mo("&InvisibleTimes;"), Typesetting:-mfenced(Typesetting:-mfrac(Typesetting:-mn("1"), Typesetting:-mi("s")), open = "&lobrk;", close = "&robrk;", Typesetting:-msemantics = "Unit"))) = 0.4759493671e-6*Units:-Unit('m')

 


Download 2step.mw

For your examples, how about just,

not ( evalb( normal( expr ) = expr ) )

And of course you could replace that `normal` with something stronger if necessary. Like `simplify `.

In Maple 2016 (or earlier, mostly) a number of special functions are typeset tersely like that, if interface(typesetting) has been set to extended. But, while that setting can be set by the user, that does not cover all the pre-formed Help pages.

For example, using Maple 2016,

interface(typesetting=standard):

LerchPhi(3,4,5);

LerchPhi(3, 4, 5)

interface(typesetting=extended):

LerchPhi(3,4,5);

LerchPhi(3, 4, 5)

 

LerchPhi_2016.mw

In Maple 2017.0, such terse (and obscure, IMHO) pretty-printing of special functions has been turned off, even with the new default of interface(typesetting) as extended . It can, however, be reinstated even on a function-by-function basis, using commands from the Typesetting package. For example,

interface(typesetting=standard):

LerchPhi(3,4,5);

LerchPhi(3, 4, 5)

interface(typesetting=extended):

LerchPhi(3,4,5);

LerchPhi(3, 4, 5)

Typesetting:-QueryTypesetRule("LerchPhi");

{"LerchPhi" = false}

Typesetting:-EnableTypesetRule("LerchPhi"):

LerchPhi(3,4,5);

LerchPhi(3, 4, 5)

Typesetting:-DisableTypesetRule("LerchPhi"):

LerchPhi(3,4,5);

LerchPhi(3, 4, 5)

 

LerchPhi_2017.mw

If your Maple procedure has been read from a file, then showsource can show you what that source looked like, including comments.

In addition, if the procedure is saved to a .mla Library archive, then even after a restart the source may still be shown using that command.

Note that the argument to showsource is the name of a Maple procedure, not some source file name (string). The name of the source file and any names which get assigned procedures (within that source file) are not necessarily the same or even similar. I just happened to call my source text file f.mpl , which contains the source that assigns a procedure to name f.

restart;

kernelopts(keepdebuginfo=true):

read "C:/TEMP/f.mpl";

proc (x) local res; res := x^2; return res end proc

showsource(f);


--- C:/TEMP/f.mpl -------------------------------------------------------------
1     proc(x)
2       local res;
4,1     # This is my procedure.
5       res:=x^2;
6,2     # This is another comment.
7       return res;

showstat(f);


f := proc(x)
local res;
   1   res := x^2;
   2   return res
end proc

s:="C:/TEMP/nm.mla";

"C:/TEMP/nm.mla"

LibraryTools:-Create(s);

LibraryTools:-Save(f, s);

restart;

kernelopts(keepdebuginfo=true):

s:="C:/TEMP/nm.mla";

"C:/TEMP/nm.mla"

libname:=s,libname:

f(3);

9

showsource(f);


--- C:/TEMP/f.mpl -------------------------------------------------------------
1     proc(x)
2       local res;
4,1     # This is my procedure.
5       res:=x^2;
6,2     # This is another comment.
7       return res;

showstat(f);


f := proc(x)
local res;
   1   res := x^2;
   2   return res
end proc

 

 

Download showsource.mw


 

restart;

col:=proc(ee, c::string)
  uses Typesetting;
  subsindets(Typeset(ee),
             'specfunc'(anything,{mi,mo,mn,ms,mfenced}),
             u->op(0,u)(op(u),':-mathcolor'=c));
end proc:

captext1 := col( "A plot of: ", "green" ):
capother := col( sin(x), "red" ):
captext2 := col( " from ", "green" ),
            col( -Pi, "green" ),
            col( " to ", "green"),
            col( Pi, "green" ):

plot(sin(x), x=-Pi..Pi, caption=typeset(captext1, capother, captext2));

 

 

Download colored_caption.mw

evalf(Int(Fg, [0..1, 0..2.2], epsilon=5e-10));
Error, (in evalf/int) Cannot obtain the requested accuracy

evalf(Int(Fg, [0..1, 0..2.2], epsilon=1e-9));
                           8.140784249

evalf(Int(Fg, [0..1, 0..2.2], epsilon=1e-6));

                           8.140784161
Or, construct your procedure to return unevaluated when its arguments are not both of type numeric. (That is more robust than using uneval quotes.)
newFg := proc(x0,y0)
  if not (x0::numeric and y0::numeric) then
    return 'procname'(args);
  end if;
  if (x0>=0)and(x0<=3) and (y0<=x0+2)
   and (y0>=x0-1) and (y0>=0) and (y0 <=3) then
    return y0*(3-y0)*x0*(3-x0)*(x0+2-y0)*(y0-x0+1);
  else
    return 0;
  end if:
end proc:

evalf(Int(newFg(x,y), [x=0..1, y=0..2.2]));

                                8.140784249
Or, do not use the nested form. This seems to be more friendly to the uneval-quote protection (against premature evaluation).
evalf(Int(Int('Fg'(x,y), x=0..1), y=0..2.2, epsilon=1e-9));
  
                              8.140784249

Remove the semicolon that appears before the keyword `local`.

proc(z0, u0, F0);

I mean that semicolon.

 

If your code is in plaintext then you can run the standalong shell tool mint against it. It has been kept much more up-to-date than has the maplemint command, with regards to newer syntax and Maple language developments.

If you don't want to write out your procedure's source code to a text file (and if you haven't developed it as such, or if running shell scripts is awkward on your platform), and if the rather weak maplemint command cannot handle your procedure, then you can try the method in this old Post. That uses a temporary file to get access to the external mint utility.

It isn't clear to me whether you also want to obtain an explicit result, and whether you want it exact or as a float approximation.

expr:=1/(u+v)^2+4*u*v-1:

ans:=[solve({expr=0, u>0, v>0}, real, explicit)]:
ans:=simplify(combine(evalc(simplify(ans)))):

lprint(ans);

[{u = (2*cos(2/9*Pi)+5/4+3^(1/2)*sin(2/9*Pi))
      *(2*(19-6*cos(4/9*Pi)-12*3^(1/2)*sin(2/9*Pi)
      -6*cos(2/9*Pi))^(1/2)+6*cos(4/9*Pi)
      +3*3^(1/2)*sin(2/9*Pi)-3*cos(2/9*Pi)-2)^(1/2),
  v = 1/4*(2*(19-6*cos(4/9*Pi)-12*3^(1/2)*sin(2/9*Pi)
      -6*cos(2/9*Pi))^(1/2)+6*cos(4/9*Pi)
      +3*3^(1/2)*sin(2/9*Pi)-3*cos(2/9*Pi)-2)^(1/2)}]

evalf(ans);                                      
               [{u = 1.594539597, v = 0.1023339994}]

simplify(eval(expr, ans[1]));                    

                                0

It seems to me that if Digits is "high enough" then one may achieve enough numerical robustness to get reasonably close to 10 digits of accuracy with fewer terms in the nested sums. But also, using the accelerated numerical summation techniques offered by evalf(Sum(...)) computes such results quite bit quicker than does add, for these examples.

On my (fast) 64bit Linux machine, using Maple 2016.2, I can compute J(3,Pi/6) to about 9 digits in 16sec using evalf(Sum(...)) while it takes add about 54sec. For the expression a*b*(-A*J(3,Pi/6)+B*J(6,Pi/6)) it computes with evalf(Sum(...) about 7 digits in about a quarter of the time than does add. Your mileage may vary. Please double-check, as we can all make mistakes.

restart;

r := 2.8749: a := 0.7747: b := 0.3812: A := 17.4: B := 29000: R := 5.4813: Z := 2:

JSum := proc(n, phi, NN) options operator, arrow;
8*Pi^(3/2)*r*R*(Sum((2*r*R)^(2*i)*pochhammer((1/2)*n, i)*pochhammer((1/2)*n+1/2, i)*(Sum((-1)^j*cos(phi)^(2*j)*(Sum((2*r*cos(phi))^(2.*l)*pochhammer(n+2*i, 2*l)*hypergeom([2*j+2*l+1, .5], [2*j+2*l+1.5], -1)*(.5*Beta(l+.5, n+2*i+l-.5)-sin(arctan(-Z/sqrt(R^2+r^2)))^(2*l+1)*hypergeom([-n-2*i-l+1.5, l+.5], [l+1.5], sin(arctan(-Z/sqrt(R^2+r^2)))^2)/(2*l+1))/(factorial(2*l)*pochhammer(2*j+2*l+1, .5)*(R^2+r^2)^(n+2*i+l-.5)), l = 0 .. NN))/(factorial(i-j)*factorial(j)), j = 0 .. i))/factorial(i), i = 0 .. NN)) end proc:

Digits:=10: NN:=70:
''Digits''=Digits, ''JSum''(3,Pi/6,NN) = CodeTools:-Usage( evalf( JSum(3,Pi/6,NN) ) ): evalf[10](%);

memory used=2.74GiB, alloc change=36.00MiB, cpu time=15.26s, real time=15.27s, gc time=636.00ms

Digits = 10., JSum(3, (1/6)*Pi, 70) = 15.47952908

restart;

r := 2.8749: a := 0.7747: b := 0.3812: A := 17.4: B := 29000: R := 5.4813: Z := 2:

JSum := proc(n, phi, NN) options operator, arrow;
8*Pi^(3/2)*r*R*(Sum((2*r*R)^(2*i)*pochhammer((1/2)*n, i)*pochhammer((1/2)*n+1/2, i)*(Sum((-1)^j*cos(phi)^(2*j)*(Sum((2*r*cos(phi))^(2.*l)*pochhammer(n+2*i, 2*l)*hypergeom([2*j+2*l+1, .5], [2*j+2*l+1.5], -1)*(.5*Beta(l+.5, n+2*i+l-.5)-sin(arctan(-Z/sqrt(R^2+r^2)))^(2*l+1)*hypergeom([-n-2*i-l+1.5, l+.5], [l+1.5], sin(arctan(-Z/sqrt(R^2+r^2)))^2)/(2*l+1))/(factorial(2*l)*pochhammer(2*j+2*l+1, .5)*(R^2+r^2)^(n+2*i+l-.5)), l = 0 .. NN))/(factorial(i-j)*factorial(j)), j = 0 .. i))/factorial(i), i = 0 .. NN)) end proc:

Digits:=30: NN:=70:
''Digits''=Digits, ''JSum''(3,Pi/6,NN) = CodeTools:-Usage( evalf( JSum(3,Pi/6,NN) ) ): evalf[10](%);

memory used=3.49GiB, alloc change=36.00MiB, cpu time=20.12s, real time=20.14s, gc time=800.00ms

Digits = 30., JSum(3, (1/6)*Pi, 70) = .3995579519

restart;

r := 2.8749: a := 0.7747: b := 0.3812: A := 17.4: B := 29000: R := 5.4813: Z := 2:

Jadd := proc(n, phi, NN) options operator, arrow;
8*Pi^(3/2)*r*R*(add((2*r*R)^(2*i)*pochhammer((1/2)*n, i)*pochhammer((1/2)*n+1/2, i)*(add((-1)^j*cos(phi)^(2*j)*(add((2*r*cos(phi))^(2.*l)*pochhammer(n+2*i, 2*l)*hypergeom([2*j+2*l+1, .5], [2*j+2*l+1.5], -1)*(.5*Beta(l+.5, n+2*i+l-.5)-sin(arctan(-Z/sqrt(R^2+r^2)))^(2*l+1)*hypergeom([-n-2*i-l+1.5, l+.5], [l+1.5], sin(arctan(-Z/sqrt(R^2+r^2)))^2)/(2*l+1))/(factorial(2*l)*pochhammer(2*j+2*l+1, .5)*(R^2+r^2)^(n+2*i+l-.5)), l = 0 .. NN))/(factorial(i-j)*factorial(j)), j = 0 .. i))/factorial(i), i = 0 .. NN)) end proc:

Digits:=10: NN:=70:
''Digits''=Digits, ''Jadd''(3,Pi/6,NN) = CodeTools:-Usage( evalf( Jadd(3,Pi/6,NN) ) ): evalf[10](%);

memory used=3.65GiB, alloc change=32.00MiB, cpu time=20.35s, real time=20.39s, gc time=824.00ms

Digits = 10., Jadd(3, (1/6)*Pi, 70) = -155738.6548

restart;

r := 2.8749: a := 0.7747: b := 0.3812: A := 17.4: B := 29000: R := 5.4813: Z := 2:

Jadd := proc(n, phi, NN) options operator, arrow;
8*Pi^(3/2)*r*R*(add((2*r*R)^(2*i)*pochhammer((1/2)*n, i)*pochhammer((1/2)*n+1/2, i)*(add((-1)^j*cos(phi)^(2*j)*(add((2*r*cos(phi))^(2.*l)*pochhammer(n+2*i, 2*l)*hypergeom([2*j+2*l+1, .5], [2*j+2*l+1.5], -1)*(.5*Beta(l+.5, n+2*i+l-.5)-sin(arctan(-Z/sqrt(R^2+r^2)))^(2*l+1)*hypergeom([-n-2*i-l+1.5, l+.5], [l+1.5], sin(arctan(-Z/sqrt(R^2+r^2)))^2)/(2*l+1))/(factorial(2*l)*pochhammer(2*j+2*l+1, .5)*(R^2+r^2)^(n+2*i+l-.5)), l = 0 .. NN))/(factorial(i-j)*factorial(j)), j = 0 .. i))/factorial(i), i = 0 .. NN)) end proc:

Digits:=30: NN:=70:
''Digits''=Digits, ''Jadd''(3,Pi/6,NN) = CodeTools:-Usage( evalf( Jadd(3,Pi/6,NN) ) ): evalf[10](%);

memory used=5.22GiB, alloc change=36.00MiB, cpu time=28.27s, real time=28.30s, gc time=1.27s

Digits = 30., Jadd(3, (1/6)*Pi, 70) = .3995579519

 

The above are all in separate sessions, to ensure the performance measurements are fair, and absolutely no results
are cached, etc.

 

We can see from the above that using evalf(Sum(....)) gets a result of comparable accuracy to add when Digits=30
and the upper bounds of the summation indices is just 70. But the accelerated floating-point summation method
done by evalf(Sum(...)) is faster than the full explicit summation done by add(...) here.

Let's try and show next that, for at least the case of J(3, Pi/6) , the value of NN=70 suffices when done with Digits=30.
That is to say, more terms, using even greater working precision, is not necessary for at least that example.

 

restart;

r := 2.8749: a := 0.7747: b := 0.3812: A := 17.4: B := 29000: R := 5.4813: Z := 2:

JSum := proc(n, phi, NN) options operator, arrow;
8*Pi^(3/2)*r*R*(Sum((2*r*R)^(2*i)*pochhammer((1/2)*n, i)*pochhammer((1/2)*n+1/2, i)*(Sum((-1)^j*cos(phi)^(2*j)*(Sum((2*r*cos(phi))^(2.*l)*pochhammer(n+2*i, 2*l)*hypergeom([2*j+2*l+1, .5], [2*j+2*l+1.5], -1)*(.5*Beta(l+.5, n+2*i+l-.5)-sin(arctan(-Z/sqrt(R^2+r^2)))^(2*l+1)*hypergeom([-n-2*i-l+1.5, l+.5], [l+1.5], sin(arctan(-Z/sqrt(R^2+r^2)))^2)/(2*l+1))/(factorial(2*l)*pochhammer(2*j+2*l+1, .5)*(R^2+r^2)^(n+2*i+l-.5)), l = 0 .. NN))/(factorial(i-j)*factorial(j)), j = 0 .. i))/factorial(i), i = 0 .. NN)) end proc:

Digits:=100: NN:=100:
''Digits''=Digits, ''JSum''(3,Pi/6,NN) = CodeTools:-Usage( evalf( JSum(3,Pi/6,NN) ) ): evalf[10](%);

memory used=15.43GiB, alloc change=114.57MiB, cpu time=82.20s, real time=80.09s, gc time=4.79s

Digits = 100., JSum(3, (1/6)*Pi, 100) = .3995579519

 

So the result with Digits=30 and NN=100 agrees to 10 digits with that obtained more quickly
with only Digits=30 and NN=70.


You can of course experiment to see whether those faster settings are also numerically robust for
other values of arguments n and phi.

It seems that we can also "simplify" the expression to be evaluated, with some additional performance
gain and only an apparent slight drop in accuracy (for this example at least).

 

restart;

r := 2.8749: a := 0.7747: b := 0.3812: A := 17.4: B := 29000: R := 5.4813: Z := 2:

JSum := proc(n, phi, NN) options operator, arrow;
8*Pi^(3/2)*r*R*(Sum((2*r*R)^(2*i)*pochhammer((1/2)*n, i)*pochhammer((1/2)*n+1/2, i)*(Sum((-1)^j*cos(phi)^(2*j)*(Sum((2*r*cos(phi))^(2*l)*pochhammer(n+2*i, 2*l)*hypergeom([2*j+2*l+1, 1/2], [2*j+2*l+3/2], -1)*(1/2*Beta(l+1/2, n+2*i+l-1/2)-sin(arctan(-Z/sqrt(R^2+r^2)))^(2*l+1)*hypergeom([-n-2*i-l+3/2, l+1/2], [l+3/2], sin(arctan(-Z/sqrt(R^2+r^2)))^2)/(2*l+1))/(factorial(2*l)*pochhammer(2*j+2*l+1, 1/2)*(R^2+r^2)^(n+2*i+l-1/2)), l = 0 .. NN))/(factorial(i-j)*factorial(j)), j = 0 .. i))/factorial(i), i = 0 .. NN)) end proc:

raw:=JSum(ii, Pi/6, NNN):

Digits:=30:
new:=simplify(simplify(combine(convert(combine(raw),StandardFunctions))),size) assuming i::nonnegint, j::nonnegint, l::nonnegint, j<=i, ii::posint, NNN::nonnegint:

NN:=70:
''Digits''=Digits, ''JSum''(3,Pi/6,NN) = CodeTools:-Usage( evalf( subs([ii=3,NNN=NN],new) ) ): evalf[10](%);

memory used=3.06GiB, alloc change=4.00MiB, cpu time=16.58s, real time=16.03s, gc time=1.18s

Digits = 30., JSum(3, (1/6)*Pi, 70) = .3995579521

CodeTools:-Usage( evalf( a * b * ( -A * subs([ii=3,NNN=NN,W=Pi/6],new)
                                   + B * subs([ii=6,NNN=NN,W=Pi/6],new) ) ) ): evalf[10](%);

memory used=3.13GiB, alloc change=0 bytes, cpu time=16.92s, real time=16.38s, gc time=1.21s

.6541253939

Digits:=50:
new:=simplify(simplify(combine(convert(combine(raw),StandardFunctions))),size) assuming i::nonnegint, j::nonnegint, l::nonnegint, j<=i, ii::posint, NNN::nonnegint:

NN:=100:
''Digits''=Digits, ''JSum''(3,Pi/6,NN) = CodeTools:-Usage( evalf( subs([ii=3,NNN=NN],new) ) ): evalf[10](%);

memory used=10.66GiB, alloc change=0 bytes, cpu time=55.85s, real time=53.69s, gc time=4.84s

Digits = 50., JSum(3, (1/6)*Pi, 100) = .3995579521

CodeTools:-Usage( evalf( a * b * ( -A * subs([ii=3,NNN=NN,W=Pi/6],new)
                                   + B * subs([ii=6,NNN=NN,W=Pi/6],new) ) ) ): evalf[10](%);

memory used=10.63GiB, alloc change=40.00MiB, cpu time=55.66s, real time=53.61s, gc time=4.57s

.6541254115

restart;

r := 2.8749; a := 0.7747; b := 0.3812; A := 17.4; B := 29000; R := 5.4813; Z := 2;

J := proc (n, phi) options operator, arrow; 8*Pi^(3/2)*r*R*(add((2*r*R)^(2*i)*pochhammer((1/2)*n, i)*pochhammer((1/2)*n+1/2, i)*(add((-1)^j*cos(phi)^(2*j)*(add((2*r*cos(phi))^(2.*l)*pochhammer(n+2*i, 2*l)*hypergeom([2*j+2*l+1, .5], [2*j+2*l+1.5], -1)*(.5*Beta(l+.5, n+2*i+l-.5)-sin(arctan(-Z/sqrt(R^2+r^2)))^(2*l+1)*hypergeom([-n-2*i-l+1.5, l+.5], [l+1.5], sin(arctan(-Z/sqrt(R^2+r^2)))^2)/(2*l+1))/(factorial(2*l)*pochhammer(2*j+2*l+1, .5)*(R^2+r^2)^(n+2*i+l-.5)), l = 0 .. 70))/(factorial(i-j)*factorial(j)), j = 0 .. i))/factorial(i), i = 0 .. 70)) end proc:

Digits:=30:

CodeTools:-Usage( evalf(a*b*(-A*J(3, (1/6)*Pi)+B*J(6, (1/6)*Pi))) ): evalf[10](%);

2.8749

.7747

.3812

17.4

29000

5.4813

2

memory used=10.44GiB, alloc change=36.00MiB, cpu time=57.16s, real time=57.21s, gc time=2.74s

.6541253936

 

Download sumproc.mw

A little poking around in the code reveals an undocumented method="alternate" option, which makes Maple 2016's plots:-contourplot command utilize plots:-implicitplot internally (via the internal procedure Plot:-ContourPlot).

restart;
kernelopts(version);

   Maple 2016.2, X86 64 LINUX, Jan 13 2017, Build ID 1194701

plots:-contourplot( 1/(x^2+y^2), x=-2 .. 2, y=-2 .. 2, method="alternate" );

plots:-contourplot( 1/(x^2+y^2), x=-2 .. 2, y=-2 .. 2, method="alternate",
                    contours=[seq(i,i=0.5..4,0.5)] );

Download alternate_contourplot.mw

It would be even nicer if that internal procedure Plot:-ContourPlot could separate out additionally passed options specific to plots:-implicitplot (so that it didn't pass all of argument _rest to plots:-display, but allowed options like say gridrefine, etc, to be passed along to plots:-implicitplot). Or, for consistency with plots:-inequal it might be made to pass along with an optionsimplicit option.

evalf[5]( evalf( expression ) )

will round the result to 5 digits. But the inner call to evalf will still use the current Digits working precision (which you may want done).

Since Maple 2015 all platforms of Maple (Linux, OSX, Windows) have used BLAS and LAPACK functions from the Intel Math Kernel Library (MKL) for hardware floating-point linear algebra. That functionality can be utilized by computations other than just overt calls to LinearAlgebra commands.

The kernelopts(numcpus) setting will not affect the number of cores that may be used by those functions. But the OS enviroment variable OMP_NUM_THREADS will restrict that number of cores. As the system administrator you could set that variable in the two shell scripts maple and xmaple, both found in the bin directory of the Maple installation.

You can verify that it is functioning with the following code:

M:=LinearAlgebra:-RandomMatrix(5000,datatype=float[8]):

CodeTools:-Usage(LinearAlgebra:-Eigenvectors(M)):

The printout of that last command might look like the following on an otherwise unloaded 4-core 64bit Linux machine with that variable unset (or set to 4):

memory used=0.75GiB, alloc change=0.78GiB, cpu time=3.39m, real time=51.59s, gc time=32.00ms

The "cpu time" reported is the sum from all threads. Note that it is about 4 times greater than the "real time", which essentially means that four cores were in heavy use. The Linux utility `top` showed a load average of as high as about 3.40 while that was computing.

Now, with that environment variable set to 1 (in the maple shell script) the printout I see is like this:

memory used=0.75GiB, alloc change=0.78GiB, cpu time=68.50s, real time=68.56s, gc time=32.00ms

In that case top showed a load average no higher than about 1.05. And the "real time" matches the "cpu time" which is the sum for just the single thread.

The reason that the 4-thread case "real time" was not so very much faster than the single-thread case "real time" is that the nonsymmetric eigenvector algorithm is not so easily parallelized effectively throughout as is, say, matrix-matrix multiplication. But that's rather incidental to this illustration.

You can also check the value of a OS variable, within Maple, using the getenv command. Eg,

getenv("OMP_NUM_THREADS");

Regarding what Carl mentioned about kernelopts(numcpus=n) only working once, as an initial command. That's good news for your situation, since if you set it within a system-wide Maple initialization file then it could hold forcibly throughout your users' sessions.

First 199 200 201 202 203 204 205 Last Page 201 of 339