acer

32622 Reputation

29 Badges

20 years, 43 days
Ontario, Canada

Social Networks and Content at Maplesoft.com

MaplePrimes Activity


These are answers submitted by acer

If you are willing to allow all the computations to be done within a single procedure call (ie. you don't need to quit early if, say, some target value is attained) then you could construct such a procedure and utilize the codegen[optimize] command.

You can try it with and without the option `tryhard` to that command. It can sometimes produce better results, but with a longer runtime to produce it.

Naturally, you'd likely want to automate the steps which generate all the variable names (and the placeholders for the high and low values, etc). You may already ha a mechanism for that.

Download opt.mw

Here are a few ideas. (I used Maple 2016.)

wideoutput.mw

[edited] In at least Maple 2017.0 the first of the four methods in the attachment (interface labelling, etc) also requires interface(typesetting=standard) in order to work.

 

In a paragraph (Document Block) of a Document the left-hend-side of an assignment is not echoed. But it is echoed when done in an Execution Group (whether done in 2-D Math input mode or 1-D Maple Notation input mode).

The simplest way to get (all) Execution Groups for your inputs is to use the main menubar File->New->Worksheet Mode, rather than the normal new-user default File->New->Document Mode. (You can also set that preference for new sheets, under Tools->Options.)

But even in a Document you can still force open an Execution Group using the menubar item Insert->Execution Group.

As I mentioned, inside an Execution Group you have the choice of 2-D or 1-D input modes. The F5 key toggles between them.

In 2-D Math input mode (in the Standard GUI of recent Maple versions) that is available by command-completion on the name eval (or its inert variant Eval).

For example, on MS-Windows, in 2-D Math input mode, type as input the word eval and then hit the Esc (Escape) key. That should bring up a popup dialogue menu, the first item of which is the one you are after.

See also the Help Topic worksheet,expressions,completecommand

For your example the active variant with lowercase eval will compute eval(H1, t=0.45) which evaluates H1 at t=0.45.

The active variant eval and the inert variant Eval differ in how they look in this 2-D Math format: the active eval form has a black vertical bar and the inert Eval form has a gray vertical bar.

If you decrease the grid size by using, say, the option grid=[10,10] then there will be less hatching but also the surface with be less accurate.

So, instead, use the option style=patchnogrid or style=surface which will make maple utilize the same grid size but not show the hatching.

See the help page topic  plot3d,options 

@tsunamiBTP At least one of your attached worksheets seems to have been last saved with Maple 12.02. If that is the version you are using then you could use the zip command.

M := Matrix([[1,2],[3,5]]):

N := Matrix([[3,7],[-1,-2]]):

zip(`*`,M,N);

                                    [ 3     14]
                                    [         ]
                                    [-3    -10]

It bothers me (a little bit) when people use constructions like rhs(TOV[1]) and rhs(TOV[5]) for TOV the result from numeric dsolve with option output=listprocedure. It's awkward, because it forces the user to remember (or check) the order of the items in TOV.

In my opinion it is better to do it like,

  TOVv := eval(v(r),TOV):

than

  TOVv := rhs(TOV[5])):

It is better because it explicitly details that the procedure for v(r) is obtained.

As for your question, you could do it like so,

TOVv := eval(v(r),TOV);
offset := TOVv(608529.7)+.36555;
odeplot(TOV, [r, v(r) - offset ]);

# or even
plot(TOVv-offset, 0.0 .. 600000.0);

How about combining the trig terms, before solving?

restart:
 
eq1 := cos(lambda*ln(r1))*cos(lambda*ln(r2))
       + sin(lambda*ln(r1))*sin(lambda*ln(r2)) - 1 = 0:

combine(eq1);

                  cos(lambda ln(r1) - lambda ln(r2)) - 1 = 0

solve( combine(eq1), lambda, allsolutions );

                                2 Pi _Z1~
                             ---------------
                             ln(r1) - ln(r2)

You could also utilize those assumptions. For example, using them at the combining stage, before solving.


alt := combine(eq1) assuming r1>0, r2>r1;

                                              r1
                        alt := cos(lambda ln(----)) - 1 = 0
                                              r2

solve( alt, lambda, allsolutions );

                                     2 Pi _Z3~
                                     ---------
                                         r1
                                     ln(----)
                                         r2

Or you could use them afterwards, for this particular problem.

solve( combine(eq1), lambda, allsolutions ):

combine(%) assuming r1>0, r2>r1;

                                      2 Pi _Z5~
                                    - ---------
                                          r2
                                      ln(----)
                                          r1

And you could also do it this way,

solve( combine(eq1), lambda, allsolutions ) assuming r1>0, r2>r1;

You could also pick off the (introduced) parameter name programmatically.


 

restart

pde := diff(u(x, t), t) = diff(u(x, t), `$`(x, 2)):

ics := [u(x, 0) = 1, u(0, t) = 0, u(1, t) = 0]:

pds := pdsolve(pde, ics, numeric, time = t, range = 0 .. 1, spacestep = 1/4024, timestep = 1/4024):

sym := pdsolve([pde, u(x, 0) = 1, u(0, t) = 0, u(1, t) = 0])

u(x, t) = Sum(-2*((-1)^_Z1-1)*sin(_Z1*Pi*x)*exp(-Pi^2*_Z1^2*t)/(Pi*_Z1), _Z1 = 1 .. infinity)

p := `minus`(indets(sym, And(name, Non(constant))), {t, x});

{_Z1}

subs(p[1] = n, sym);

u(x, t) = Sum(-2*((-1)^n-1)*sin(n*Pi*x)*exp(-Pi^2*n^2*t)/(Pi*n), n = 1 .. infinity)

 


 

Download pdex1_1.mw

Here is one way. I assigned Expression Label (3) to `targ`, and then "simplified" expression `FD` to that.
 

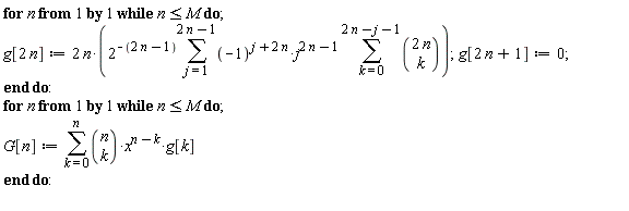
restart; M := 4; K := 1

g[0] := 0; -1; g[1] := 1; -1; alpha := 1/2; 1; v[1] := 1/2

1/2

1/2

for n while n <= M do g[2*n] := 2*n*2^(-2*n+1)*(sum((-1)^(j+2*n)*j^(2*n-1)*(sum(binomial(2*n, k), k = 0 .. 2*n-j-1)), j = 1 .. 2*n-1)); g[2*n+1] := 0 end do:

NULL

printlevel := 2:

12*c[1, 3]*7^(1/2)*x^2+(4*c[1, 2]*5^(1/2)-18*c[1, 3]*7^(1/2))*x+c[1, 1]*3^(1/2)-3*c[1, 2]*5^(1/2)+6*c[1, 3]*7^(1/2)

NULL

targ := fracdiff(f, x, 1/2, method = series)

-4*(-2*c[1, 2]*5^(1/2)+9*c[1, 3]*7^(1/2))*x^(1/2)/Pi^(1/2)+32*c[1, 3]*7^(1/2)*x^(3/2)/Pi^(1/2)

u := simplify(sum(sum(c[p, q]*sqrt(q+1/2)*2^((1/2)*K)*(sum(sum(2^(K*(q-i-j))*GAMMA(q-i-j+1)*x^(q-i-j-v[1])*(1-2*p)^j*g[i]*binomial(q-i, j)*binomial(q, i)/GAMMA(q-i-v[1]-j+1), j = 0 .. q-i-ceil(v[1])), i = ceil(v[1]) .. q)), q = ceil(v[1]) .. M-1), p = 1 .. 2^(K-1))); -1; FD := simplify(convert(%, StandardFunctions)); -1; FD := expand(%)

256*2^(1/2)*x^(1/2)*c[1, 2]*5^(1/2)/(Pi^(1/2)*(-1/x+2)^(1/2)*(2+2^(1/2)*(-1/x+2)^(1/2))^3)+1024*2^(1/2)*x^(3/2)*c[1, 3]*7^(1/2)/(Pi^(1/2)*(-1/x+2)^(1/2)*(2+2^(1/2)*(-1/x+2)^(1/2))^3)+256*x^(1/2)*c[1, 2]*5^(1/2)/(Pi^(1/2)*(2+2^(1/2)*(-1/x+2)^(1/2))^3)-1536*x^(1/2)*c[1, 3]*7^(1/2)/(Pi^(1/2)*(2+2^(1/2)*(-1/x+2)^(1/2))^3)-96*c[1, 2]*5^(1/2)/(Pi^(1/2)*x^(1/2)*(2+2^(1/2)*(-1/x+2)^(1/2))^3)+432*c[1, 3]*7^(1/2)/(Pi^(1/2)*x^(1/2)*(2+2^(1/2)*(-1/x+2)^(1/2))^3)+1024*x^(3/2)*c[1, 3]*7^(1/2)/(Pi^(1/2)*(2+2^(1/2)*(-1/x+2)^(1/2))^3)+16*2^(1/2)*c[1, 2]*5^(1/2)/(Pi^(1/2)*x^(3/2)*(-1/x+2)^(1/2)*(2+2^(1/2)*(-1/x+2)^(1/2))^3)-160*2^(1/2)*c[1, 2]*5^(1/2)/(Pi^(1/2)*x^(1/2)*(-1/x+2)^(1/2)*(2+2^(1/2)*(-1/x+2)^(1/2))^3)-72*2^(1/2)*c[1, 3]*7^(1/2)/(Pi^(1/2)*x^(3/2)*(-1/x+2)^(1/2)*(2+2^(1/2)*(-1/x+2)^(1/2))^3)+784*2^(1/2)*c[1, 3]*7^(1/2)/(Pi^(1/2)*x^(1/2)*(-1/x+2)^(1/2)*(2+2^(1/2)*(-1/x+2)^(1/2))^3)-1792*2^(1/2)*x^(1/2)*c[1, 3]*7^(1/2)/(Pi^(1/2)*(-1/x+2)^(1/2)*(2+2^(1/2)*(-1/x+2)^(1/2))^3)

collect(radnormal(FD),sqrt(x),normal@expand);

-4*(-2*c[1, 2]*5^(1/2)+9*c[1, 3]*7^(1/2))*x^(1/2)/Pi^(1/2)+32*c[1, 3]*7^(1/2)*x^(3/2)/Pi^(1/2)

 


Download Help_ans.mw

This also seems ok:

  collect(radnormal(FD),x,normal@expand);

On some machines Maple's Standard GUI has trouble with the rendering of spacecurves unless the option linestyle=solid is supplied to the command that generates the plot.

If adding that option fixes the problem then could you add the details of your graphics chipset on the problem machine?

One way this can happen is if you are in 2D Input mode, trying to make multiple statements in a single paragraph, and forget the trailing semicolon (or colon) at the end of a line (not the last one).

For example,

restart

n := 5;

5

Parse:-ConvertTo1D, "first argument to _Inert_ASSIGN must be assignable"

Error, illegal use of an object as a name

"13  n:=n+1"

13; 1; n := n+1

13

6

 

Download illegal.mw

But that's just a guess. There are other ways to generate that error message. We cannot diagnose the particular problem unless you upload a worksheet that exhibits it.

Try the commands DocumentTools:-RemoveTask or DocumentTools:-RemovePaletteEntry .

You can use fdiff or evalf(D(...)) as a means to get numeric differentiation of the procedure returned by your pds:-value(T(x,y), x=0) call.

It is more efficient to call pds:-value(T(x,y), x=0) just once, before forming procedure Ty, than to have Ty form it for each input y0.

Here are some variants:


 

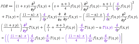
restart

plots:-setoptions(gridlines = false);

PDE := [(x*y+1)*(diff(f(x, y), y, y, y))+(x+((n+3)*(1/4))*f(x, y))*(diff(f(x, y), y, y))-((n+1)*(1/2))*(diff(f(x, y), y))^2+T(x, y) = (1/4)*(1-n)*x*(diff(f(x, y), y))*(diff(diff(f(x, y), y), x))-(1/4)*(1-n)*x*(diff(f(x, y), x))*(diff(f(x, y), y, y)), (x*y+1)*(diff(T(x, y), y, y))+(x+((n+3)*(1/4))*f(x, y))*(diff(T(x, y), y))-n*T(x, y)*(diff(f(x, y), y)) = (1/4)*(1-n)*x*(diff(f(x, y), y))*(diff(T(x, y), x))-(1/4)*(1-n)*x*(diff(f(x, y), x))*(diff(T(x, y), y))]

[(x*y+1)*(diff(diff(diff(f(x, y), y), y), y))+(x+(1/4)*(n+3)*f(x, y))*(diff(diff(f(x, y), y), y))-(1/2)*(n+1)*(diff(f(x, y), y))^2+T(x, y) = (1/4)*(1-n)*x*(diff(f(x, y), y))*(diff(diff(f(x, y), x), y))-(1/4)*(1-n)*x*(diff(f(x, y), x))*(diff(diff(f(x, y), y), y)), (x*y+1)*(diff(diff(T(x, y), y), y))+(x+(1/4)*(n+3)*f(x, y))*(diff(T(x, y), y))-n*T(x, y)*(diff(f(x, y), y)) = (1/4)*(1-n)*x*(diff(f(x, y), y))*(diff(T(x, y), x))-(1/4)*(1-n)*x*(diff(f(x, y), x))*(diff(T(x, y), y))]

 

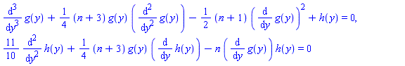
sys_ode := diff(g(y), y, y, y)+((n+3)/4)*g(y)*(diff(g(y), y, y))-((n+1)/2)*(diff(g(y), y))^2+h(y) = 0, (1(1-λ)/10+1/1)*(diff(h(y), y, y))+((n+3)/4)*g(y)*(diff(h(y), y))-n*(diff(g(y),y))*h(y) = 0

diff(diff(diff(g(y), y), y), y)+(1/4)*(n+3)*g(y)*(diff(diff(g(y), y), y))-(1/2)*(n+1)*(diff(g(y), y))^2+h(y) = 0, (11/10)*(diff(diff(h(y), y), y))+(1/4)*(n+3)*g(y)*(diff(h(y), y))-n*(diff(g(y), y))*h(y) = 0

 

ics := g(0) = 0, h(0) = lambda, (D(g))(20) = 0, h(20) = 0, (D(g))(0) = 0

g(0) = 0, h(0) = lambda, (D(g))(20) = 0, h(20) = 0, (D(g))(0) = 0

Digits := 10

10

sol1 := dsolve([eval(sys_ode, n = 0), ics], numeric, output = operator, continuation = lambda)

[y = proc (y) local _res, _dat, _solnproc; option `Copyright (c) 1993 by the University of Waterloo. All rights reserved.`; _dat := Array(1..4, {(1) = proc (outpoint) local X, Y, YP, yout, errproc, L, V, i; option `Copyright (c) 2000 by Waterloo Maple Inc. All rights reserved.`; X := Vector(29, {(1) = .0, (2) = .6868475688873201, (3) = 1.3755694818864481, (4) = 2.0682143718350936, (5) = 2.7656618600289473, (6) = 3.4686284253590123, (7) = 4.17661098003989, (8) = 4.889009254798094, (9) = 5.6045212988808935, (10) = 6.3224529780942005, (11) = 7.0418659844902995, (12) = 7.762245674819311, (13) = 8.483238223424435, (14) = 9.204551333871233, (15) = 9.926070501029098, (16) = 10.64768103013191, (17) = 11.369348833520784, (18) = 12.091054342052754, (19) = 12.812781373230616, (20) = 13.534515985945216, (21) = 14.256239622887145, (22) = 14.977939582148815, (23) = 15.699604511035915, (24) = 16.4212086528194, (25) = 17.14283044113223, (26) = 17.864572619901118, (27) = 18.58641890913639, (28) = 19.30355908510746, (29) = 20.0}, datatype = float[8], order = C_order); Y := Matrix(29, 5, {(1, 1) = .0, (1, 2) = .0, (1, 3) = .9220907462515571, (1, 4) = 1.0, (1, 5) = -.38783340466369254, (2, 1) = .16735567649115993, (2, 2) = .4202740870445161, (2, 3) = .3373570222677326, (2, 4) = .7355419804808778, (2, 5) = -.37712948659838486, (3, 1) = .503981373982817, (3, 2) = .5163794040551701, (3, 3) = -0.19185064713216023e-1, (3, 4) = .49172724293359593, (3, 5) = -.3229448930949884, (4, 1) = .8416523710936388, (4, 2) = .4417990492201716, (4, 3) = -.16651332416146195, (4, 4) = .2977138055168734, (4, 5) = -.23454549848673548, (5, 1) = 1.1062594162789947, (5, 2) = .31549674554502644, (5, 3) = -.18074641710244985, (5, 4) = .1656168899679353, (5, 5) = -.14708087178570156, (6, 1) = 1.2861729052641508, (6, 2) = .20118216105468362, (6, 3) = -.14047902635042844, (6, 4) = 0.8647526508575375e-1, (6, 5) = -0.8263424709324725e-1, (7, 1) = 1.3974860750621676, (7, 2) = .11890906506576693, (7, 3) = -0.9294999327444896e-1, (7, 4) = 0.4326575279767381e-1, (7, 5) = -0.4313615270778873e-1, (8, 1) = 1.462026155282785, (8, 2) = 0.6667910031326235e-1, (8, 3) = -0.5593040786446294e-1, (8, 4) = 0.21068777926171442e-1, (8, 5) = -0.2150725154063105e-1, (9, 1) = 1.497740830391555, (9, 2) = 0.3603568604801351e-1, (9, 3) = -0.3167753384430381e-1, (9, 4) = 0.10096973148301623e-1, (9, 5) = -0.10438939815596704e-1, (10, 1) = 1.516864299292917, (10, 2) = 0.18960327498140035e-1, (10, 3) = -0.1722319045196687e-1, (10, 4) = 0.4793366106261327e-2, (10, 5) = -0.4988937027048127e-2, (11, 1) = 1.5268547661160343, (11, 2) = 0.9782165431635105e-2, (11, 3) = -0.910157017546314e-2, (11, 4) = 0.22637704730545526e-2, (11, 5) = -0.2364269412330906e-2, (12, 1) = 1.5319805288911161, (12, 2) = 0.49724019908313965e-2, (12, 3) = -0.47113528942048085e-2, (12, 4) = 0.10660248274790495e-2, (12, 5) = -0.11153042237558037e-2, (13, 1) = 1.5345743659775581, (13, 2) = 0.24984995067600896e-2, (13, 3) = -0.2401250250975525e-2, (13, 4) = 0.5011966820226343e-3, (13, 5) = -0.5248289826886877e-3, (14, 1) = 1.5358728194208906, (14, 2) = 0.12440119569314578e-2, (14, 3) = -0.12093215573985628e-2, (14, 4) = 0.23544738145817105e-3, (14, 5) = -0.2466587850586314e-3, (15, 1) = 1.5365173102346918, (15, 2) = 0.6148015308811455e-3, (15, 3) = -0.6032811800317005e-3, (15, 4) = 0.11055525378085771e-3, (15, 5) = -0.11584628661588081e-3, (16, 1) = 1.536834972545, (16, 2) = 0.30197726796083954e-3, (16, 3) = -0.2986490288978108e-3, (16, 4) = 0.51899799851421e-4, (16, 5) = -0.5439103696428884e-4, (17, 1) = 1.5369906451774888, (17, 2) = 0.14755307935715694e-3, (17, 3) = -0.14690575453443246e-3, (17, 4) = 0.2436052045018883e-4, (17, 5) = -0.25532771206319318e-4, (18, 1) = 1.537066559314411, (18, 2) = 0.7177236700295585e-4, (18, 3) = -0.7187729398053743e-4, (18, 4) = 0.11432662628093271e-4, (18, 5) = -0.11984713858579463e-4, (19, 1) = 1.537103419510933, (19, 2) = 0.3477022315080817e-4, (19, 3) = -0.35007749994105596e-4, (19, 4) = 0.5364472172783753e-5, (19, 5) = -0.5625174866621487e-5, (20, 1) = 1.53712124655263, (20, 2) = 0.167801854213613e-4, (20, 3) = -0.16983543378325293e-4, (20, 4) = 0.2516289536316785e-5, (20, 5) = -0.2640190816045617e-5, (21, 1) = 1.5371298351182954, (21, 2) = 0.8066191186382534e-5, (21, 3) = -0.821104246872564e-5, (21, 4) = 0.11795051188684695e-5, (21, 5) = -0.12391870423047207e-5, (22, 1) = 1.537133955359844, (22, 2) = 0.3859180935593867e-5, (22, 3) = -0.395755789320176e-5, (22, 4) = 0.5520931946642665e-6, (22, 5) = -0.5816313926576407e-6, (23, 1) = 1.5371359212718083, (23, 2) = 0.18341823395610769e-5, (23, 3) = -0.19019345748834397e-5, (23, 4) = 0.2576175590429348e-6, (23, 5) = -0.2730071797956253e-6, (24, 1) = 1.5371368515706798, (24, 2) = 0.8623290091477282e-6, (24, 3) = -0.9113341483838946e-6, (24, 4) = 0.1194038808143948e-6, (24, 5) = -0.1281526473802194e-6, (25, 1) = 1.537137285591093, (25, 2) = 0.39734387332399116e-6, (25, 3) = -0.4351065480638164e-6, (25, 4) = 0.5452376150027097e-7, (25, 5) = -0.6015514998812785e-7, (26, 1) = 1.5371374825833801, (26, 2) = 0.17577216090080783e-6, (26, 3) = -0.2066547856380797e-6, (26, 4) = 0.24065480347840778e-7, (26, 5) = -0.2823339143989368e-7, (27, 1) = 1.5371375668997003, (27, 2) = 0.7087967992164601e-7, (27, 3) = -0.9729618184580756e-7, (27, 4) = 0.9768720688503002e-8, (27, 5) = -0.13249689734274169e-7, (28, 1) = 1.5371375980011175, (28, 2) = 0.2201947952838702e-7, (28, 3) = -0.45280562029436684e-7, (28, 4) = 0.30887065486698873e-8, (28, 5) = -0.6248707867260407e-8, (29, 1) = 1.537137604689266, (29, 2) = .0, (29, 3) = -0.20841183539706994e-7, (29, 4) = .0, (29, 5) = -0.30115916942592686e-8}, datatype = float[8], order = C_order); YP := Matrix(29, 5, {(1, 1) = .0, (1, 2) = .9220907462515571, (1, 3) = -1.0, (1, 4) = -.38783340466369254, (1, 5) = .0, (2, 1) = .4202740870445161, (2, 2) = .3373570222677326, (2, 3) = -.6895707858708219, (2, 4) = -.37712948659838486, (2, 5) = 0.4303279115075219e-1, (3, 1) = .5163794040551701, (3, 2) = -0.19185064713216023e-1, (3, 3) = -.3511517120118227, (3, 4) = -.3229448930949884, (3, 5) = .11097150746096335, (4, 1) = .4417990492201716, (4, 2) = -.16651332416146195, (4, 3) = -0.9501085499656597e-1, (4, 4) = -.23454549848673548, (4, 5) = .13459484654365939, (5, 1) = .31549674554502644, (5, 2) = -.18074641710244985, (5, 3) = 0.3411652766552317e-1, (5, 4) = -.14708087178570156, (5, 5) = .11093836320508359, (6, 1) = .20118216105468362, (6, 2) = -.14047902635042844, (6, 3) = 0.6927210396491991e-1, (6, 4) = -0.8263424709324725e-1, (6, 5) = 0.7246495203970743e-1, (7, 1) = .11890906506576693, (7, 2) = -0.9294999327444896e-1, (7, 3) = 0.6122617103835701e-1, (7, 4) = -0.4313615270778873e-1, (7, 5) = 0.4110148141424317e-1, (8, 1) = 0.6667910031326235e-1, (8, 2) = -0.5593040786446294e-1, (8, 3) = 0.42483062663230695e-1, (8, 4) = -0.2150725154063105e-1, (8, 5) = 0.21439202918624025e-1, (9, 1) = 0.3603568604801351e-1, (9, 2) = -0.3167753384430381e-1, (9, 3) = 0.26135864069716998e-1, (9, 4) = -0.10438939815596704e-1, (9, 5) = 0.10660108900785871e-1, (10, 1) = 0.18960327498140035e-1, (10, 2) = -0.1722319045196687e-1, (10, 3) = 0.14980312940540426e-1, (10, 4) = -0.4988937027048127e-2, (10, 5) = 0.5159686682556715e-2, (11, 1) = 0.9782165431635105e-2, (11, 2) = -0.910157017546314e-2, (11, 3) = 0.820665675837047e-2, (11, 4) = -0.2364269412330906e-2, (11, 5) = 0.24612927413180455e-2, (12, 1) = 0.49724019908313965e-2, (12, 2) = -0.47113528942048085e-2, (12, 3) = 0.4359613237292593e-2, (12, 4) = -0.11153042237558037e-2, (12, 5) = 0.11649711508526675e-2, (13, 1) = 0.24984995067600896e-2, (13, 2) = -0.2401250250975525e-2, (13, 3) = 0.22655973789531695e-2, (13, 4) = -0.5248289826886877e-3, (13, 5) = 0.549128934106459e-3, (14, 1) = 0.12440119569314578e-2, (14, 2) = -0.12093215573985628e-2, (14, 3) = 0.11583494838774682e-2, (14, 4) = -0.2466587850586314e-3, (14, 5) = 0.2582976297565444e-3, (15, 1) = 0.6148015308811455e-3, (15, 2) = -0.6032811800317005e-3, (15, 3) = 0.5848477187234688e-3, (15, 4) = -0.11584628661588081e-3, (15, 5) = 0.12136351684889346e-3, (16, 1) = 0.30197726796083954e-3, (16, 2) = -0.2986490288978108e-3, (16, 3) = 0.29237649937883e-3, (16, 4) = -0.5439103696428884e-4, (16, 5) = 0.56993214408891095e-4, (17, 1) = 0.14755307935715694e-3, (17, 2) = -0.14690575453443246e-3, (17, 3) = 0.14499494333704743e-3, (17, 4) = -0.25532771206319318e-4, (17, 5) = 0.2675702078834315e-4, (18, 1) = 0.7177236700295585e-4, (18, 2) = -0.7187729398053743e-4, (18, 3) = 0.7143005172186065e-4, (18, 4) = -0.11984713858579463e-4, (18, 5) = 0.1255997924657351e-4, (19, 1) = 0.3477022315080817e-4, (19, 2) = -0.35007749994105596e-4, (19, 3) = 0.3499403148041789e-4, (19, 4) = -0.5625174866621487e-5, (19, 5) = 0.589532422011194e-5, (20, 1) = 0.167801854213613e-4, (20, 2) = -0.16983543378325293e-4, (20, 3) = 0.17063175277423634e-4, (20, 4) = -0.2640190816045617e-5, (20, 5) = 0.27670182261114854e-5, (21, 1) = 0.8066191186382534e-5, (21, 2) = -0.821104246872564e-5, (21, 3) = 0.828660617992783e-5, (21, 4) = -0.12391870423047207e-5, (21, 5) = 0.12987213913763072e-5, (22, 1) = 0.3859180935593867e-5, (22, 2) = -0.395755789320176e-5, (22, 3) = 0.4010386715431575e-5, (22, 4) = -0.5816313926576407e-6, (22, 5) = 0.6095763839708823e-6, (23, 1) = 0.18341823395610769e-5, (23, 2) = -0.19019345748834397e-5, (23, 3) = 0.19350330892911135e-5, (23, 4) = -0.2730071797956253e-6, (23, 5) = 0.28612441556520465e-6, (24, 1) = 0.8623290091477282e-6, (24, 2) = -0.9113341483838946e-6, (24, 3) = 0.931230468673015e-6, (24, 4) = -0.1281526473802194e-6, (24, 5) = 0.1343101069871441e-6, (25, 1) = 0.39734387332399116e-6, (25, 2) = -0.4351065480638164e-6, (25, 3) = 0.44709019111609976e-6, (25, 4) = -0.6015514998812785e-7, (25, 5) = 0.6304549361391542e-7, (26, 1) = 0.17577216090080783e-6, (26, 2) = -0.2066547856380797e-6, (26, 3) = 0.21417714781972993e-6, (26, 4) = -0.2823339143989368e-7, (26, 5) = 0.29589957438210912e-7, (27, 1) = 0.7087967992164601e-7, (27, 2) = -0.9729618184580756e-7, (27, 3) = 0.10239949399678307e-6, (27, 4) = -0.13249689734274169e-7, (27, 5) = 0.13886315345671458e-7, (28, 1) = 0.2201947952838702e-7, (28, 2) = -0.45280562029436684e-7, (28, 3) = 0.4911313445931053e-7, (28, 4) = -0.6248707867260407e-8, (28, 5) = 0.6548948046607739e-8, (29, 1) = .0, (29, 2) = -0.20841183539706994e-7, (29, 3) = 0.24026825208835925e-7, (29, 4) = -0.30115916942592686e-8, (29, 5) = 0.31562937567380326e-8}, datatype = float[8], order = C_order); errproc := proc (x_bvp) local outpoint, X, Y, yout, L, V, i; option `Copyright (c) 2000 by Waterloo Maple Inc. All rights reserved.`; Digits := 15; outpoint := evalf(x_bvp); X := Vector(29, {(1) = .0, (2) = .6868475688873201, (3) = 1.3755694818864481, (4) = 2.0682143718350936, (5) = 2.7656618600289473, (6) = 3.4686284253590123, (7) = 4.17661098003989, (8) = 4.889009254798094, (9) = 5.6045212988808935, (10) = 6.3224529780942005, (11) = 7.0418659844902995, (12) = 7.762245674819311, (13) = 8.483238223424435, (14) = 9.204551333871233, (15) = 9.926070501029098, (16) = 10.64768103013191, (17) = 11.369348833520784, (18) = 12.091054342052754, (19) = 12.812781373230616, (20) = 13.534515985945216, (21) = 14.256239622887145, (22) = 14.977939582148815, (23) = 15.699604511035915, (24) = 16.4212086528194, (25) = 17.14283044113223, (26) = 17.864572619901118, (27) = 18.58641890913639, (28) = 19.30355908510746, (29) = 20.0}, datatype = float[8], order = C_order); Y := Matrix(29, 5, {(1, 1) = .0, (1, 2) = .0, (1, 3) = 0.947670133699624e-8, (1, 4) = .0, (1, 5) = -0.16801628863722625e-8, (2, 1) = -0.5562688680729497e-9, (2, 2) = -0.21544394426163097e-8, (2, 3) = 0.287293894307546e-8, (2, 4) = -0.37357656722536194e-8, (2, 5) = 0.32217191547761024e-8, (3, 1) = -0.8350526558565278e-8, (3, 2) = 0.4134830634172977e-8, (3, 3) = 0.12491061704911204e-8, (3, 4) = 0.3909918765623829e-8, (3, 5) = -0.20757291059677243e-9, (4, 1) = 0.16671389719705844e-9, (4, 2) = 0.3648160715899586e-8, (4, 3) = -0.528396986802508e-8, (4, 4) = 0.4823828777432993e-9, (4, 5) = -0.2408743014606509e-8, (5, 1) = 0.5571634668634835e-8, (5, 2) = -0.5437715786747662e-8, (5, 3) = 0.33059473772110423e-8, (5, 4) = -0.32522595808460493e-8, (5, 5) = 0.24277913015859777e-8, (6, 1) = -0.25669375582958455e-9, (6, 2) = -0.24447686990555343e-8, (6, 3) = 0.37763491733330965e-8, (6, 4) = 0.16312740125029958e-9, (6, 5) = 0.2836817825937946e-9, (7, 1) = -0.32389377868904443e-8, (7, 2) = 0.1881042655673872e-8, (7, 3) = -0.11396650576233194e-8, (7, 4) = 0.10620111323548136e-8, (7, 5) = -0.9612930708926523e-9, (8, 1) = -0.18812922832728336e-8, (8, 2) = 0.14232046751044453e-8, (8, 3) = -0.1537803668361072e-8, (8, 4) = 0.1770842620028042e-9, (8, 5) = -0.15945787869057221e-9, (9, 1) = -0.4702411602328281e-9, (9, 2) = 0.320333402872091e-11, (9, 3) = -0.9185162120441862e-10, (9, 4) = -0.19095599932287843e-9, (9, 5) = 0.23643248136766287e-9, (10, 1) = -0.17417744006906416e-9, (10, 2) = -0.4092039771380655e-9, (10, 3) = 0.4774557415611376e-9, (10, 4) = -0.11595631798509842e-9, (10, 5) = 0.14655938678934742e-9, (11, 1) = -0.36430615951141193e-9, (11, 2) = -0.22503070324966588e-9, (11, 3) = 0.31318800713246974e-9, (11, 4) = -0.7102340842716831e-11, (11, 5) = 0.14634454169986603e-10, (12, 1) = -0.5396388972588783e-9, (12, 2) = -0.10024023632452876e-10, (12, 3) = 0.52585615313555275e-10, (12, 4) = 0.30763893139739825e-10, (12, 5) = -0.34005653195770876e-10, (13, 1) = -0.5943567114066009e-9, (13, 2) = 0.7448998028657788e-10, (13, 3) = -0.708034730465589e-10, (13, 4) = 0.26507725195353555e-10, (13, 5) = -0.3134708409282319e-10, (14, 1) = -0.5789647343263283e-9, (14, 2) = 0.6946997649814925e-10, (14, 3) = -0.8160855192822036e-10, (14, 4) = 0.12965812897819388e-10, (14, 5) = -0.16205118685268952e-10, (15, 1) = -0.5480288674538708e-9, (15, 2) = 0.3755086868784173e-10, (15, 3) = -0.50490114989597235e-10, (15, 4) = 0.32350773786510558e-11, (15, 5) = -0.4700861305885854e-11, (16, 1) = -0.5257284342112479e-9, (16, 2) = 0.10919861164588246e-10, (16, 3) = -0.19346772632557297e-10, (16, 4) = -0.11790344440137198e-11, (16, 5) = 0.832624535476741e-12, (17, 1) = -0.5155200016654919e-9, (17, 2) = -0.30465560714292855e-11, (17, 3) = -0.8267473293057957e-12, (17, 4) = -0.22320654114644123e-11, (17, 5) = 0.2400655612059856e-11, (18, 1) = -0.5133923272616294e-9, (18, 2) = -0.737945441660333e-11, (18, 3) = 0.64527937509837154e-11, (18, 4) = -0.18460323317176304e-11, (18, 5) = 0.21645324044442117e-11, (19, 1) = -0.5148896773711696e-9, (19, 2) = -0.6805942618791494e-11, (19, 3) = 0.7290389637347693e-11, (19, 4) = -0.1127780748270535e-11, (19, 5) = 0.1426574333434267e-11, (20, 1) = -0.5172260423041393e-9, (20, 2) = -0.4657799114489725e-11, (20, 3) = 0.5567830559435603e-11, (20, 4) = -0.5303365272165861e-12, (20, 5) = 0.7538287303084591e-12, (21, 1) = -0.5191746746088076e-9, (21, 2) = -0.25874975582162318e-11, (21, 3) = 0.3436128045689803e-11, (21, 4) = -0.15574116810816628e-12, (21, 5) = 0.30144441341623344e-12, (22, 1) = -0.5204375227141072e-9, (22, 2) = -0.11365161545683807e-11, (22, 3) = 0.1752985745214996e-11, (22, 4) = 0.3249627740759922e-13, (22, 5) = 0.5150782611193112e-13, (23, 1) = -0.5211213531601294e-9, (23, 2) = -0.3082774300480712e-12, (23, 3) = 0.6809547502858554e-12, (23, 4) = 0.10140915458196715e-12, (23, 5) = -0.6050324746005763e-13, (24, 1) = -0.5214281864248747e-9, (24, 2) = 0.7242912386800786e-13, (24, 3) = 0.10576899938353571e-12, (24, 4) = 0.1072206483365034e-12, (24, 5) = -0.9414790219756612e-13, (25, 1) = -0.5215366608792588e-9, (25, 2) = 0.1891469519098857e-12, (25, 3) = -0.14497650859163652e-12, (25, 4) = 0.8641875813257649e-13, (25, 5) = -0.9035857945464468e-13, (26, 1) = -0.5215615175319244e-9, (26, 2) = 0.17670718185401007e-12, (26, 3) = -0.2150167149653954e-12, (26, 4) = 0.5891552332814735e-13, (26, 5) = -0.7282784304094444e-13, (27, 1) = -0.5215650870134602e-9, (27, 2) = 0.11694313367520813e-12, (27, 3) = -0.20000655303758359e-12, (27, 4) = 0.3377761208360633e-13, (27, 5) = -0.53341189571616226e-13, (28, 1) = -0.521579349038632e-9, (28, 2) = 0.5209631819213893e-13, (28, 3) = -0.15467632068966293e-12, (28, 4) = 0.14064084565986249e-13, (28, 5) = -0.3672938482279342e-13, (29, 1) = -0.5216042456082603e-9, (29, 2) = .0, (29, 3) = -0.10651195375400426e-12, (29, 4) = .0, (29, 5) = -0.24309258949721638e-13}, datatype = float[8], order = C_order); if not type(outpoint, 'numeric') then if outpoint = "start" or outpoint = "left" then return X[1] elif outpoint = "right" then return X[29] elif outpoint = "order" then return 8 elif outpoint = "error" then return HFloat(9.47670133699624e-9) elif outpoint = "errorproc" then error "this is already the error procedure" elif outpoint = "rawdata" then return [5, 29, [g(y), diff(g(y), y), diff(diff(g(y), y), y), h(y), diff(h(y), y)], X, Y] else return ('procname')(x_bvp) end if end if; if outpoint < X[1] or X[29] < outpoint then error "solution is only defined in the range %1..%2", X[1], X[29] end if; V := array([1 = 4, 2 = 0]); if Digits <= trunc(evalhf(Digits)) then L := Vector(4, 'datatype' = 'float'[8]); yout := Vector(5, 'datatype' = 'float'[8]); evalhf(`dsolve/numeric/lagrange`(29, 5, X, Y, outpoint, var(yout), var(L), var(V))) else L := Vector(4, 'datatype' = 'sfloat'); yout := Vector(5, 'datatype' = 'sfloat'); `dsolve/numeric/lagrange`(29, 5, X, Y, outpoint, yout, L, V) end if; [y = outpoint, seq('[g(y), diff(g(y), y), diff(diff(g(y), y), y), h(y), diff(h(y), y)]'[i] = yout[i], i = 1 .. 5)] end proc; if not type(outpoint, 'numeric') then if outpoint = "start" or outpoint = "left" then return X[1] elif outpoint = "method" then return "bvp" elif outpoint = "right" then return X[29] elif outpoint = "order" then return 8 elif outpoint = "error" then return HFloat(9.47670133699624e-9) elif outpoint = "errorproc" then return eval(errproc) elif outpoint = "rawdata" then return [5, 29, "depnames", X, Y, YP] else error "non-numeric value" end if end if; if outpoint < X[1] or X[29] < outpoint then error "solution is only defined in the range %1..%2", X[1], X[29] end if; if Digits <= trunc(evalhf(Digits)) and (_EnvInFsolve <> true or _EnvDSNumericSaveDigits <= trunc(evalhf(Digits))) then V := array( 1 .. 6, [( 1 ) = (7), ( 2 ) = (0), ( 3 ) = (false), ( 4 ) = (false), ( 5 ) = (false), ( 6 ) = (false)  ] ); L := Matrix(7, 2, {(1, 1) = .0, (1, 2) = .0, (2, 1) = .0, (2, 2) = .0, (3, 1) = .0, (3, 2) = .0, (4, 1) = .0, (4, 2) = .0, (5, 1) = .0, (5, 2) = .0, (6, 1) = .0, (6, 2) = .0, (7, 1) = .0, (7, 2) = .0}, datatype = float[8], order = C_order); yout := Vector(5, {(1) = .0, (2) = .0, (3) = .0, (4) = .0, (5) = .0}, datatype = float[8]); evalhf(`dsolve/numeric/hermite`(29, 5, X, Y, YP, outpoint, var(yout), var(L), var(V))) else if _EnvInFsolve = true then Digits := _EnvDSNumericSaveDigits end if; V := array( 1 .. 6, [( 1 ) = (7), ( 2 ) = (0), ( 3 ) = (false), ( 4 ) = (false), ( 5 ) = (false), ( 6 ) = (false)  ] ); L := Matrix(7, 2, {(1, 1) = 0., (1, 2) = 0., (2, 1) = 0., (2, 2) = 0., (3, 1) = 0., (3, 2) = 0., (4, 1) = 0., (4, 2) = 0., (5, 1) = 0., (5, 2) = 0., (6, 1) = 0., (6, 2) = 0., (7, 1) = 0., (7, 2) = 0.}, order = C_order); yout := Vector(5, {(1) = 0., (2) = 0., (3) = 0., (4) = 0., (5) = 0.}); `dsolve/numeric/hermite`(29, 5, X, Y, YP, outpoint, yout, L, V) end if; [outpoint, seq(yout[i], i = 1 .. 5)] end proc, (2) = Array(1..6, {(1) = 18446884187987466566, (2) = 18446884187987467006, (3) = 18446884187987467270, (4) = 18446884187987467446, (5) = 18446884187987467622, (6) = 18446884187987467798}), (3) = [y, g(y), diff(g(y), y), diff(diff(g(y), y), y), h(y), diff(h(y), y)], (4) = 0}); _solnproc := _dat[1]; if member(y, ["last", 'last']) then _res := _solnproc("last"); if type(_res, 'list') then return _res[1] end if elif type(y, `=`) and member(lhs(y), ["initial", 'initial']) then if type(rhs(y), 'list') then _res := _solnproc("initial" = [0, op(rhs(y))]) else _res := _solnproc("initial" = [1, rhs(y)]) end if; if type(_res, 'list') then return _res[1] end if elif y = "sysvars" then return _dat[3] end if; y end proc, g = proc (y) local res, data, solnproc, g, outpoint; option `Copyright (c) 2000 by Waterloo Maple Inc. All rights reserved.`; _EnvDSNumericSaveDigits := Digits; Digits := 15; if _EnvInFsolve = true then outpoint := evalf[_EnvDSNumericSaveDigits](y) else outpoint := evalf(y) end if; data := Array(1..4, {(1) = proc (outpoint) local X, Y, YP, yout, errproc, L, V, i; option `Copyright (c) 2000 by Waterloo Maple Inc. All rights reserved.`; X := Vector(29, {(1) = .0, (2) = .6868475688873201, (3) = 1.3755694818864481, (4) = 2.0682143718350936, (5) = 2.7656618600289473, (6) = 3.4686284253590123, (7) = 4.17661098003989, (8) = 4.889009254798094, (9) = 5.6045212988808935, (10) = 6.3224529780942005, (11) = 7.0418659844902995, (12) = 7.762245674819311, (13) = 8.483238223424435, (14) = 9.204551333871233, (15) = 9.926070501029098, (16) = 10.64768103013191, (17) = 11.369348833520784, (18) = 12.091054342052754, (19) = 12.812781373230616, (20) = 13.534515985945216, (21) = 14.256239622887145, (22) = 14.977939582148815, (23) = 15.699604511035915, (24) = 16.4212086528194, (25) = 17.14283044113223, (26) = 17.864572619901118, (27) = 18.58641890913639, (28) = 19.30355908510746, (29) = 20.0}, datatype = float[8], order = C_order); Y := Matrix(29, 5, {(1, 1) = .0, (1, 2) = .0, (1, 3) = .9220907462515571, (1, 4) = 1.0, (1, 5) = -.38783340466369254, (2, 1) = .16735567649115993, (2, 2) = .4202740870445161, (2, 3) = .3373570222677326, (2, 4) = .7355419804808778, (2, 5) = -.37712948659838486, (3, 1) = .503981373982817, (3, 2) = .5163794040551701, (3, 3) = -0.19185064713216023e-1, (3, 4) = .49172724293359593, (3, 5) = -.3229448930949884, (4, 1) = .8416523710936388, (4, 2) = .4417990492201716, (4, 3) = -.16651332416146195, (4, 4) = .2977138055168734, (4, 5) = -.23454549848673548, (5, 1) = 1.1062594162789947, (5, 2) = .31549674554502644, (5, 3) = -.18074641710244985, (5, 4) = .1656168899679353, (5, 5) = -.14708087178570156, (6, 1) = 1.2861729052641508, (6, 2) = .20118216105468362, (6, 3) = -.14047902635042844, (6, 4) = 0.8647526508575375e-1, (6, 5) = -0.8263424709324725e-1, (7, 1) = 1.3974860750621676, (7, 2) = .11890906506576693, (7, 3) = -0.9294999327444896e-1, (7, 4) = 0.4326575279767381e-1, (7, 5) = -0.4313615270778873e-1, (8, 1) = 1.462026155282785, (8, 2) = 0.6667910031326235e-1, (8, 3) = -0.5593040786446294e-1, (8, 4) = 0.21068777926171442e-1, (8, 5) = -0.2150725154063105e-1, (9, 1) = 1.497740830391555, (9, 2) = 0.3603568604801351e-1, (9, 3) = -0.3167753384430381e-1, (9, 4) = 0.10096973148301623e-1, (9, 5) = -0.10438939815596704e-1, (10, 1) = 1.516864299292917, (10, 2) = 0.18960327498140035e-1, (10, 3) = -0.1722319045196687e-1, (10, 4) = 0.4793366106261327e-2, (10, 5) = -0.4988937027048127e-2, (11, 1) = 1.5268547661160343, (11, 2) = 0.9782165431635105e-2, (11, 3) = -0.910157017546314e-2, (11, 4) = 0.22637704730545526e-2, (11, 5) = -0.2364269412330906e-2, (12, 1) = 1.5319805288911161, (12, 2) = 0.49724019908313965e-2, (12, 3) = -0.47113528942048085e-2, (12, 4) = 0.10660248274790495e-2, (12, 5) = -0.11153042237558037e-2, (13, 1) = 1.5345743659775581, (13, 2) = 0.24984995067600896e-2, (13, 3) = -0.2401250250975525e-2, (13, 4) = 0.5011966820226343e-3, (13, 5) = -0.5248289826886877e-3, (14, 1) = 1.5358728194208906, (14, 2) = 0.12440119569314578e-2, (14, 3) = -0.12093215573985628e-2, (14, 4) = 0.23544738145817105e-3, (14, 5) = -0.2466587850586314e-3, (15, 1) = 1.5365173102346918, (15, 2) = 0.6148015308811455e-3, (15, 3) = -0.6032811800317005e-3, (15, 4) = 0.11055525378085771e-3, (15, 5) = -0.11584628661588081e-3, (16, 1) = 1.536834972545, (16, 2) = 0.30197726796083954e-3, (16, 3) = -0.2986490288978108e-3, (16, 4) = 0.51899799851421e-4, (16, 5) = -0.5439103696428884e-4, (17, 1) = 1.5369906451774888, (17, 2) = 0.14755307935715694e-3, (17, 3) = -0.14690575453443246e-3, (17, 4) = 0.2436052045018883e-4, (17, 5) = -0.25532771206319318e-4, (18, 1) = 1.537066559314411, (18, 2) = 0.7177236700295585e-4, (18, 3) = -0.7187729398053743e-4, (18, 4) = 0.11432662628093271e-4, (18, 5) = -0.11984713858579463e-4, (19, 1) = 1.537103419510933, (19, 2) = 0.3477022315080817e-4, (19, 3) = -0.35007749994105596e-4, (19, 4) = 0.5364472172783753e-5, (19, 5) = -0.5625174866621487e-5, (20, 1) = 1.53712124655263, (20, 2) = 0.167801854213613e-4, (20, 3) = -0.16983543378325293e-4, (20, 4) = 0.2516289536316785e-5, (20, 5) = -0.2640190816045617e-5, (21, 1) = 1.5371298351182954, (21, 2) = 0.8066191186382534e-5, (21, 3) = -0.821104246872564e-5, (21, 4) = 0.11795051188684695e-5, (21, 5) = -0.12391870423047207e-5, (22, 1) = 1.537133955359844, (22, 2) = 0.3859180935593867e-5, (22, 3) = -0.395755789320176e-5, (22, 4) = 0.5520931946642665e-6, (22, 5) = -0.5816313926576407e-6, (23, 1) = 1.5371359212718083, (23, 2) = 0.18341823395610769e-5, (23, 3) = -0.19019345748834397e-5, (23, 4) = 0.2576175590429348e-6, (23, 5) = -0.2730071797956253e-6, (24, 1) = 1.5371368515706798, (24, 2) = 0.8623290091477282e-6, (24, 3) = -0.9113341483838946e-6, (24, 4) = 0.1194038808143948e-6, (24, 5) = -0.1281526473802194e-6, (25, 1) = 1.537137285591093, (25, 2) = 0.39734387332399116e-6, (25, 3) = -0.4351065480638164e-6, (25, 4) = 0.5452376150027097e-7, (25, 5) = -0.6015514998812785e-7, (26, 1) = 1.5371374825833801, (26, 2) = 0.17577216090080783e-6, (26, 3) = -0.2066547856380797e-6, (26, 4) = 0.24065480347840778e-7, (26, 5) = -0.2823339143989368e-7, (27, 1) = 1.5371375668997003, (27, 2) = 0.7087967992164601e-7, (27, 3) = -0.9729618184580756e-7, (27, 4) = 0.9768720688503002e-8, (27, 5) = -0.13249689734274169e-7, (28, 1) = 1.5371375980011175, (28, 2) = 0.2201947952838702e-7, (28, 3) = -0.45280562029436684e-7, (28, 4) = 0.30887065486698873e-8, (28, 5) = -0.6248707867260407e-8, (29, 1) = 1.537137604689266, (29, 2) = .0, (29, 3) = -0.20841183539706994e-7, (29, 4) = .0, (29, 5) = -0.30115916942592686e-8}, datatype = float[8], order = C_order); YP := Matrix(29, 5, {(1, 1) = .0, (1, 2) = .9220907462515571, (1, 3) = -1.0, (1, 4) = -.38783340466369254, (1, 5) = .0, (2, 1) = .4202740870445161, (2, 2) = .3373570222677326, (2, 3) = -.6895707858708219, (2, 4) = -.37712948659838486, (2, 5) = 0.4303279115075219e-1, (3, 1) = .5163794040551701, (3, 2) = -0.19185064713216023e-1, (3, 3) = -.3511517120118227, (3, 4) = -.3229448930949884, (3, 5) = .11097150746096335, (4, 1) = .4417990492201716, (4, 2) = -.16651332416146195, (4, 3) = -0.9501085499656597e-1, (4, 4) = -.23454549848673548, (4, 5) = .13459484654365939, (5, 1) = .31549674554502644, (5, 2) = -.18074641710244985, (5, 3) = 0.3411652766552317e-1, (5, 4) = -.14708087178570156, (5, 5) = .11093836320508359, (6, 1) = .20118216105468362, (6, 2) = -.14047902635042844, (6, 3) = 0.6927210396491991e-1, (6, 4) = -0.8263424709324725e-1, (6, 5) = 0.7246495203970743e-1, (7, 1) = .11890906506576693, (7, 2) = -0.9294999327444896e-1, (7, 3) = 0.6122617103835701e-1, (7, 4) = -0.4313615270778873e-1, (7, 5) = 0.4110148141424317e-1, (8, 1) = 0.6667910031326235e-1, (8, 2) = -0.5593040786446294e-1, (8, 3) = 0.42483062663230695e-1, (8, 4) = -0.2150725154063105e-1, (8, 5) = 0.21439202918624025e-1, (9, 1) = 0.3603568604801351e-1, (9, 2) = -0.3167753384430381e-1, (9, 3) = 0.26135864069716998e-1, (9, 4) = -0.10438939815596704e-1, (9, 5) = 0.10660108900785871e-1, (10, 1) = 0.18960327498140035e-1, (10, 2) = -0.1722319045196687e-1, (10, 3) = 0.14980312940540426e-1, (10, 4) = -0.4988937027048127e-2, (10, 5) = 0.5159686682556715e-2, (11, 1) = 0.9782165431635105e-2, (11, 2) = -0.910157017546314e-2, (11, 3) = 0.820665675837047e-2, (11, 4) = -0.2364269412330906e-2, (11, 5) = 0.24612927413180455e-2, (12, 1) = 0.49724019908313965e-2, (12, 2) = -0.47113528942048085e-2, (12, 3) = 0.4359613237292593e-2, (12, 4) = -0.11153042237558037e-2, (12, 5) = 0.11649711508526675e-2, (13, 1) = 0.24984995067600896e-2, (13, 2) = -0.2401250250975525e-2, (13, 3) = 0.22655973789531695e-2, (13, 4) = -0.5248289826886877e-3, (13, 5) = 0.549128934106459e-3, (14, 1) = 0.12440119569314578e-2, (14, 2) = -0.12093215573985628e-2, (14, 3) = 0.11583494838774682e-2, (14, 4) = -0.2466587850586314e-3, (14, 5) = 0.2582976297565444e-3, (15, 1) = 0.6148015308811455e-3, (15, 2) = -0.6032811800317005e-3, (15, 3) = 0.5848477187234688e-3, (15, 4) = -0.11584628661588081e-3, (15, 5) = 0.12136351684889346e-3, (16, 1) = 0.30197726796083954e-3, (16, 2) = -0.2986490288978108e-3, (16, 3) = 0.29237649937883e-3, (16, 4) = -0.5439103696428884e-4, (16, 5) = 0.56993214408891095e-4, (17, 1) = 0.14755307935715694e-3, (17, 2) = -0.14690575453443246e-3, (17, 3) = 0.14499494333704743e-3, (17, 4) = -0.25532771206319318e-4, (17, 5) = 0.2675702078834315e-4, (18, 1) = 0.7177236700295585e-4, (18, 2) = -0.7187729398053743e-4, (18, 3) = 0.7143005172186065e-4, (18, 4) = -0.11984713858579463e-4, (18, 5) = 0.1255997924657351e-4, (19, 1) = 0.3477022315080817e-4, (19, 2) = -0.35007749994105596e-4, (19, 3) = 0.3499403148041789e-4, (19, 4) = -0.5625174866621487e-5, (19, 5) = 0.589532422011194e-5, (20, 1) = 0.167801854213613e-4, (20, 2) = -0.16983543378325293e-4, (20, 3) = 0.17063175277423634e-4, (20, 4) = -0.2640190816045617e-5, (20, 5) = 0.27670182261114854e-5, (21, 1) = 0.8066191186382534e-5, (21, 2) = -0.821104246872564e-5, (21, 3) = 0.828660617992783e-5, (21, 4) = -0.12391870423047207e-5, (21, 5) = 0.12987213913763072e-5, (22, 1) = 0.3859180935593867e-5, (22, 2) = -0.395755789320176e-5, (22, 3) = 0.4010386715431575e-5, (22, 4) = -0.5816313926576407e-6, (22, 5) = 0.6095763839708823e-6, (23, 1) = 0.18341823395610769e-5, (23, 2) = -0.19019345748834397e-5, (23, 3) = 0.19350330892911135e-5, (23, 4) = -0.2730071797956253e-6, (23, 5) = 0.28612441556520465e-6, (24, 1) = 0.8623290091477282e-6, (24, 2) = -0.9113341483838946e-6, (24, 3) = 0.931230468673015e-6, (24, 4) = -0.1281526473802194e-6, (24, 5) = 0.1343101069871441e-6, (25, 1) = 0.39734387332399116e-6, (25, 2) = -0.4351065480638164e-6, (25, 3) = 0.44709019111609976e-6, (25, 4) = -0.6015514998812785e-7, (25, 5) = 0.6304549361391542e-7, (26, 1) = 0.17577216090080783e-6, (26, 2) = -0.2066547856380797e-6, (26, 3) = 0.21417714781972993e-6, (26, 4) = -0.2823339143989368e-7, (26, 5) = 0.29589957438210912e-7, (27, 1) = 0.7087967992164601e-7, (27, 2) = -0.9729618184580756e-7, (27, 3) = 0.10239949399678307e-6, (27, 4) = -0.13249689734274169e-7, (27, 5) = 0.13886315345671458e-7, (28, 1) = 0.2201947952838702e-7, (28, 2) = -0.45280562029436684e-7, (28, 3) = 0.4911313445931053e-7, (28, 4) = -0.6248707867260407e-8, (28, 5) = 0.6548948046607739e-8, (29, 1) = .0, (29, 2) = -0.20841183539706994e-7, (29, 3) = 0.24026825208835925e-7, (29, 4) = -0.30115916942592686e-8, (29, 5) = 0.31562937567380326e-8}, datatype = float[8], order = C_order); errproc := proc (x_bvp) local outpoint, X, Y, yout, L, V, i; option `Copyright (c) 2000 by Waterloo Maple Inc. All rights reserved.`; Digits := 15; outpoint := evalf(x_bvp); X := Vector(29, {(1) = .0, (2) = .6868475688873201, (3) = 1.3755694818864481, (4) = 2.0682143718350936, (5) = 2.7656618600289473, (6) = 3.4686284253590123, (7) = 4.17661098003989, (8) = 4.889009254798094, (9) = 5.6045212988808935, (10) = 6.3224529780942005, (11) = 7.0418659844902995, (12) = 7.762245674819311, (13) = 8.483238223424435, (14) = 9.204551333871233, (15) = 9.926070501029098, (16) = 10.64768103013191, (17) = 11.369348833520784, (18) = 12.091054342052754, (19) = 12.812781373230616, (20) = 13.534515985945216, (21) = 14.256239622887145, (22) = 14.977939582148815, (23) = 15.699604511035915, (24) = 16.4212086528194, (25) = 17.14283044113223, (26) = 17.864572619901118, (27) = 18.58641890913639, (28) = 19.30355908510746, (29) = 20.0}, datatype = float[8], order = C_order); Y := Matrix(29, 5, {(1, 1) = .0, (1, 2) = .0, (1, 3) = 0.947670133699624e-8, (1, 4) = .0, (1, 5) = -0.16801628863722625e-8, (2, 1) = -0.5562688680729497e-9, (2, 2) = -0.21544394426163097e-8, (2, 3) = 0.287293894307546e-8, (2, 4) = -0.37357656722536194e-8, (2, 5) = 0.32217191547761024e-8, (3, 1) = -0.8350526558565278e-8, (3, 2) = 0.4134830634172977e-8, (3, 3) = 0.12491061704911204e-8, (3, 4) = 0.3909918765623829e-8, (3, 5) = -0.20757291059677243e-9, (4, 1) = 0.16671389719705844e-9, (4, 2) = 0.3648160715899586e-8, (4, 3) = -0.528396986802508e-8, (4, 4) = 0.4823828777432993e-9, (4, 5) = -0.2408743014606509e-8, (5, 1) = 0.5571634668634835e-8, (5, 2) = -0.5437715786747662e-8, (5, 3) = 0.33059473772110423e-8, (5, 4) = -0.32522595808460493e-8, (5, 5) = 0.24277913015859777e-8, (6, 1) = -0.25669375582958455e-9, (6, 2) = -0.24447686990555343e-8, (6, 3) = 0.37763491733330965e-8, (6, 4) = 0.16312740125029958e-9, (6, 5) = 0.2836817825937946e-9, (7, 1) = -0.32389377868904443e-8, (7, 2) = 0.1881042655673872e-8, (7, 3) = -0.11396650576233194e-8, (7, 4) = 0.10620111323548136e-8, (7, 5) = -0.9612930708926523e-9, (8, 1) = -0.18812922832728336e-8, (8, 2) = 0.14232046751044453e-8, (8, 3) = -0.1537803668361072e-8, (8, 4) = 0.1770842620028042e-9, (8, 5) = -0.15945787869057221e-9, (9, 1) = -0.4702411602328281e-9, (9, 2) = 0.320333402872091e-11, (9, 3) = -0.9185162120441862e-10, (9, 4) = -0.19095599932287843e-9, (9, 5) = 0.23643248136766287e-9, (10, 1) = -0.17417744006906416e-9, (10, 2) = -0.4092039771380655e-9, (10, 3) = 0.4774557415611376e-9, (10, 4) = -0.11595631798509842e-9, (10, 5) = 0.14655938678934742e-9, (11, 1) = -0.36430615951141193e-9, (11, 2) = -0.22503070324966588e-9, (11, 3) = 0.31318800713246974e-9, (11, 4) = -0.7102340842716831e-11, (11, 5) = 0.14634454169986603e-10, (12, 1) = -0.5396388972588783e-9, (12, 2) = -0.10024023632452876e-10, (12, 3) = 0.52585615313555275e-10, (12, 4) = 0.30763893139739825e-10, (12, 5) = -0.34005653195770876e-10, (13, 1) = -0.5943567114066009e-9, (13, 2) = 0.7448998028657788e-10, (13, 3) = -0.708034730465589e-10, (13, 4) = 0.26507725195353555e-10, (13, 5) = -0.3134708409282319e-10, (14, 1) = -0.5789647343263283e-9, (14, 2) = 0.6946997649814925e-10, (14, 3) = -0.8160855192822036e-10, (14, 4) = 0.12965812897819388e-10, (14, 5) = -0.16205118685268952e-10, (15, 1) = -0.5480288674538708e-9, (15, 2) = 0.3755086868784173e-10, (15, 3) = -0.50490114989597235e-10, (15, 4) = 0.32350773786510558e-11, (15, 5) = -0.4700861305885854e-11, (16, 1) = -0.5257284342112479e-9, (16, 2) = 0.10919861164588246e-10, (16, 3) = -0.19346772632557297e-10, (16, 4) = -0.11790344440137198e-11, (16, 5) = 0.832624535476741e-12, (17, 1) = -0.5155200016654919e-9, (17, 2) = -0.30465560714292855e-11, (17, 3) = -0.8267473293057957e-12, (17, 4) = -0.22320654114644123e-11, (17, 5) = 0.2400655612059856e-11, (18, 1) = -0.5133923272616294e-9, (18, 2) = -0.737945441660333e-11, (18, 3) = 0.64527937509837154e-11, (18, 4) = -0.18460323317176304e-11, (18, 5) = 0.21645324044442117e-11, (19, 1) = -0.5148896773711696e-9, (19, 2) = -0.6805942618791494e-11, (19, 3) = 0.7290389637347693e-11, (19, 4) = -0.1127780748270535e-11, (19, 5) = 0.1426574333434267e-11, (20, 1) = -0.5172260423041393e-9, (20, 2) = -0.4657799114489725e-11, (20, 3) = 0.5567830559435603e-11, (20, 4) = -0.5303365272165861e-12, (20, 5) = 0.7538287303084591e-12, (21, 1) = -0.5191746746088076e-9, (21, 2) = -0.25874975582162318e-11, (21, 3) = 0.3436128045689803e-11, (21, 4) = -0.15574116810816628e-12, (21, 5) = 0.30144441341623344e-12, (22, 1) = -0.5204375227141072e-9, (22, 2) = -0.11365161545683807e-11, (22, 3) = 0.1752985745214996e-11, (22, 4) = 0.3249627740759922e-13, (22, 5) = 0.5150782611193112e-13, (23, 1) = -0.5211213531601294e-9, (23, 2) = -0.3082774300480712e-12, (23, 3) = 0.6809547502858554e-12, (23, 4) = 0.10140915458196715e-12, (23, 5) = -0.6050324746005763e-13, (24, 1) = -0.5214281864248747e-9, (24, 2) = 0.7242912386800786e-13, (24, 3) = 0.10576899938353571e-12, (24, 4) = 0.1072206483365034e-12, (24, 5) = -0.9414790219756612e-13, (25, 1) = -0.5215366608792588e-9, (25, 2) = 0.1891469519098857e-12, (25, 3) = -0.14497650859163652e-12, (25, 4) = 0.8641875813257649e-13, (25, 5) = -0.9035857945464468e-13, (26, 1) = -0.5215615175319244e-9, (26, 2) = 0.17670718185401007e-12, (26, 3) = -0.2150167149653954e-12, (26, 4) = 0.5891552332814735e-13, (26, 5) = -0.7282784304094444e-13, (27, 1) = -0.5215650870134602e-9, (27, 2) = 0.11694313367520813e-12, (27, 3) = -0.20000655303758359e-12, (27, 4) = 0.3377761208360633e-13, (27, 5) = -0.53341189571616226e-13, (28, 1) = -0.521579349038632e-9, (28, 2) = 0.5209631819213893e-13, (28, 3) = -0.15467632068966293e-12, (28, 4) = 0.14064084565986249e-13, (28, 5) = -0.3672938482279342e-13, (29, 1) = -0.5216042456082603e-9, (29, 2) = .0, (29, 3) = -0.10651195375400426e-12, (29, 4) = .0, (29, 5) = -0.24309258949721638e-13}, datatype = float[8], order = C_order); if not type(outpoint, 'numeric') then if outpoint = "start" or outpoint = "left" then return X[1] elif outpoint = "right" then return X[29] elif outpoint = "order" then return 8 elif outpoint = "error" then return HFloat(9.47670133699624e-9) elif outpoint = "errorproc" then error "this is already the error procedure" elif outpoint = "rawdata" then return [5, 29, [g(y), diff(g(y), y), diff(diff(g(y), y), y), h(y), diff(h(y), y)], X, Y] else return ('procname')(x_bvp) end if end if; if outpoint < X[1] or X[29] < outpoint then error "solution is only defined in the range %1..%2", X[1], X[29] end if; V := array([1 = 4, 2 = 0]); if Digits <= trunc(evalhf(Digits)) then L := Vector(4, 'datatype' = 'float'[8]); yout := Vector(5, 'datatype' = 'float'[8]); evalhf(`dsolve/numeric/lagrange`(29, 5, X, Y, outpoint, var(yout), var(L), var(V))) else L := Vector(4, 'datatype' = 'sfloat'); yout := Vector(5, 'datatype' = 'sfloat'); `dsolve/numeric/lagrange`(29, 5, X, Y, outpoint, yout, L, V) end if; [y = outpoint, seq('[g(y), diff(g(y), y), diff(diff(g(y), y), y), h(y), diff(h(y), y)]'[i] = yout[i], i = 1 .. 5)] end proc; if not type(outpoint, 'numeric') then if outpoint = "start" or outpoint = "left" then return X[1] elif outpoint = "method" then return "bvp" elif outpoint = "right" then return X[29] elif outpoint = "order" then return 8 elif outpoint = "error" then return HFloat(9.47670133699624e-9) elif outpoint = "errorproc" then return eval(errproc) elif outpoint = "rawdata" then return [5, 29, "depnames", X, Y, YP] else error "non-numeric value" end if end if; if outpoint < X[1] or X[29] < outpoint then error "solution is only defined in the range %1..%2", X[1], X[29] end if; if Digits <= trunc(evalhf(Digits)) and (_EnvInFsolve <> true or _EnvDSNumericSaveDigits <= trunc(evalhf(Digits))) then V := array( 1 .. 6, [( 1 ) = (7), ( 2 ) = (0), ( 3 ) = (false), ( 4 ) = (false), ( 5 ) = (false), ( 6 ) = (false)  ] ); L := Matrix(7, 2, {(1, 1) = .0, (1, 2) = .0, (2, 1) = .0, (2, 2) = .0, (3, 1) = .0, (3, 2) = .0, (4, 1) = .0, (4, 2) = .0, (5, 1) = .0, (5, 2) = .0, (6, 1) = .0, (6, 2) = .0, (7, 1) = .0, (7, 2) = .0}, datatype = float[8], order = C_order); yout := Vector(5, {(1) = .0, (2) = .0, (3) = .0, (4) = .0, (5) = .0}, datatype = float[8]); evalhf(`dsolve/numeric/hermite`(29, 5, X, Y, YP, outpoint, var(yout), var(L), var(V))) else if _EnvInFsolve = true then Digits := _EnvDSNumericSaveDigits end if; V := array( 1 .. 6, [( 1 ) = (7), ( 2 ) = (0), ( 3 ) = (false), ( 4 ) = (false), ( 5 ) = (false), ( 6 ) = (false)  ] ); L := Matrix(7, 2, {(1, 1) = 0., (1, 2) = 0., (2, 1) = 0., (2, 2) = 0., (3, 1) = 0., (3, 2) = 0., (4, 1) = 0., (4, 2) = 0., (5, 1) = 0., (5, 2) = 0., (6, 1) = 0., (6, 2) = 0., (7, 1) = 0., (7, 2) = 0.}, order = C_order); yout := Vector(5, {(1) = 0., (2) = 0., (3) = 0., (4) = 0., (5) = 0.}); `dsolve/numeric/hermite`(29, 5, X, Y, YP, outpoint, yout, L, V) end if; [outpoint, seq(yout[i], i = 1 .. 5)] end proc, (2) = Array(1..6, {(1) = 18446884187987466566, (2) = 18446884187987467006, (3) = 18446884187987467270, (4) = 18446884187987467446, (5) = 18446884187987467622, (6) = 18446884187987467798}), (3) = [y, g(y), diff(g(y), y), diff(diff(g(y), y), y), h(y), diff(h(y), y)], (4) = 0}); solnproc := data[1]; if not type(outpoint, 'numeric') then if outpoint = "solnprocedure" then return eval(solnproc) elif member(outpoint, ["start", "left", "right", "errorproc", "rawdata", "order", "error"]) then return solnproc(y) elif outpoint = "sysvars" then return data[3] elif procname <> unknown then return ('procname')(y) else g := pointto(data[2][2]); return ('g')(y) end if end if; try res := solnproc(outpoint); res[2] catch: error  end try end proc, D(g) = proc (y) local res, data, solnproc, `D(g)`, outpoint; option `Copyright (c) 2000 by Waterloo Maple Inc. All rights reserved.`; _EnvDSNumericSaveDigits := Digits; Digits := 15; if _EnvInFsolve = true then outpoint := evalf[_EnvDSNumericSaveDigits](y) else outpoint := evalf(y) end if; data := Array(1..4, {(1) = proc (outpoint) local X, Y, YP, yout, errproc, L, V, i; option `Copyright (c) 2000 by Waterloo Maple Inc. All rights reserved.`; X := Vector(29, {(1) = .0, (2) = .6868475688873201, (3) = 1.3755694818864481, (4) = 2.0682143718350936, (5) = 2.7656618600289473, (6) = 3.4686284253590123, (7) = 4.17661098003989, (8) = 4.889009254798094, (9) = 5.6045212988808935, (10) = 6.3224529780942005, (11) = 7.0418659844902995, (12) = 7.762245674819311, (13) = 8.483238223424435, (14) = 9.204551333871233, (15) = 9.926070501029098, (16) = 10.64768103013191, (17) = 11.369348833520784, (18) = 12.091054342052754, (19) = 12.812781373230616, (20) = 13.534515985945216, (21) = 14.256239622887145, (22) = 14.977939582148815, (23) = 15.699604511035915, (24) = 16.4212086528194, (25) = 17.14283044113223, (26) = 17.864572619901118, (27) = 18.58641890913639, (28) = 19.30355908510746, (29) = 20.0}, datatype = float[8], order = C_order); Y := Matrix(29, 5, {(1, 1) = .0, (1, 2) = .0, (1, 3) = .9220907462515571, (1, 4) = 1.0, (1, 5) = -.38783340466369254, (2, 1) = .16735567649115993, (2, 2) = .4202740870445161, (2, 3) = .3373570222677326, (2, 4) = .7355419804808778, (2, 5) = -.37712948659838486, (3, 1) = .503981373982817, (3, 2) = .5163794040551701, (3, 3) = -0.19185064713216023e-1, (3, 4) = .49172724293359593, (3, 5) = -.3229448930949884, (4, 1) = .8416523710936388, (4, 2) = .4417990492201716, (4, 3) = -.16651332416146195, (4, 4) = .2977138055168734, (4, 5) = -.23454549848673548, (5, 1) = 1.1062594162789947, (5, 2) = .31549674554502644, (5, 3) = -.18074641710244985, (5, 4) = .1656168899679353, (5, 5) = -.14708087178570156, (6, 1) = 1.2861729052641508, (6, 2) = .20118216105468362, (6, 3) = -.14047902635042844, (6, 4) = 0.8647526508575375e-1, (6, 5) = -0.8263424709324725e-1, (7, 1) = 1.3974860750621676, (7, 2) = .11890906506576693, (7, 3) = -0.9294999327444896e-1, (7, 4) = 0.4326575279767381e-1, (7, 5) = -0.4313615270778873e-1, (8, 1) = 1.462026155282785, (8, 2) = 0.6667910031326235e-1, (8, 3) = -0.5593040786446294e-1, (8, 4) = 0.21068777926171442e-1, (8, 5) = -0.2150725154063105e-1, (9, 1) = 1.497740830391555, (9, 2) = 0.3603568604801351e-1, (9, 3) = -0.3167753384430381e-1, (9, 4) = 0.10096973148301623e-1, (9, 5) = -0.10438939815596704e-1, (10, 1) = 1.516864299292917, (10, 2) = 0.18960327498140035e-1, (10, 3) = -0.1722319045196687e-1, (10, 4) = 0.4793366106261327e-2, (10, 5) = -0.4988937027048127e-2, (11, 1) = 1.5268547661160343, (11, 2) = 0.9782165431635105e-2, (11, 3) = -0.910157017546314e-2, (11, 4) = 0.22637704730545526e-2, (11, 5) = -0.2364269412330906e-2, (12, 1) = 1.5319805288911161, (12, 2) = 0.49724019908313965e-2, (12, 3) = -0.47113528942048085e-2, (12, 4) = 0.10660248274790495e-2, (12, 5) = -0.11153042237558037e-2, (13, 1) = 1.5345743659775581, (13, 2) = 0.24984995067600896e-2, (13, 3) = -0.2401250250975525e-2, (13, 4) = 0.5011966820226343e-3, (13, 5) = -0.5248289826886877e-3, (14, 1) = 1.5358728194208906, (14, 2) = 0.12440119569314578e-2, (14, 3) = -0.12093215573985628e-2, (14, 4) = 0.23544738145817105e-3, (14, 5) = -0.2466587850586314e-3, (15, 1) = 1.5365173102346918, (15, 2) = 0.6148015308811455e-3, (15, 3) = -0.6032811800317005e-3, (15, 4) = 0.11055525378085771e-3, (15, 5) = -0.11584628661588081e-3, (16, 1) = 1.536834972545, (16, 2) = 0.30197726796083954e-3, (16, 3) = -0.2986490288978108e-3, (16, 4) = 0.51899799851421e-4, (16, 5) = -0.5439103696428884e-4, (17, 1) = 1.5369906451774888, (17, 2) = 0.14755307935715694e-3, (17, 3) = -0.14690575453443246e-3, (17, 4) = 0.2436052045018883e-4, (17, 5) = -0.25532771206319318e-4, (18, 1) = 1.537066559314411, (18, 2) = 0.7177236700295585e-4, (18, 3) = -0.7187729398053743e-4, (18, 4) = 0.11432662628093271e-4, (18, 5) = -0.11984713858579463e-4, (19, 1) = 1.537103419510933, (19, 2) = 0.3477022315080817e-4, (19, 3) = -0.35007749994105596e-4, (19, 4) = 0.5364472172783753e-5, (19, 5) = -0.5625174866621487e-5, (20, 1) = 1.53712124655263, (20, 2) = 0.167801854213613e-4, (20, 3) = -0.16983543378325293e-4, (20, 4) = 0.2516289536316785e-5, (20, 5) = -0.2640190816045617e-5, (21, 1) = 1.5371298351182954, (21, 2) = 0.8066191186382534e-5, (21, 3) = -0.821104246872564e-5, (21, 4) = 0.11795051188684695e-5, (21, 5) = -0.12391870423047207e-5, (22, 1) = 1.537133955359844, (22, 2) = 0.3859180935593867e-5, (22, 3) = -0.395755789320176e-5, (22, 4) = 0.5520931946642665e-6, (22, 5) = -0.5816313926576407e-6, (23, 1) = 1.5371359212718083, (23, 2) = 0.18341823395610769e-5, (23, 3) = -0.19019345748834397e-5, (23, 4) = 0.2576175590429348e-6, (23, 5) = -0.2730071797956253e-6, (24, 1) = 1.5371368515706798, (24, 2) = 0.8623290091477282e-6, (24, 3) = -0.9113341483838946e-6, (24, 4) = 0.1194038808143948e-6, (24, 5) = -0.1281526473802194e-6, (25, 1) = 1.537137285591093, (25, 2) = 0.39734387332399116e-6, (25, 3) = -0.4351065480638164e-6, (25, 4) = 0.5452376150027097e-7, (25, 5) = -0.6015514998812785e-7, (26, 1) = 1.5371374825833801, (26, 2) = 0.17577216090080783e-6, (26, 3) = -0.2066547856380797e-6, (26, 4) = 0.24065480347840778e-7, (26, 5) = -0.2823339143989368e-7, (27, 1) = 1.5371375668997003, (27, 2) = 0.7087967992164601e-7, (27, 3) = -0.9729618184580756e-7, (27, 4) = 0.9768720688503002e-8, (27, 5) = -0.13249689734274169e-7, (28, 1) = 1.5371375980011175, (28, 2) = 0.2201947952838702e-7, (28, 3) = -0.45280562029436684e-7, (28, 4) = 0.30887065486698873e-8, (28, 5) = -0.6248707867260407e-8, (29, 1) = 1.537137604689266, (29, 2) = .0, (29, 3) = -0.20841183539706994e-7, (29, 4) = .0, (29, 5) = -0.30115916942592686e-8}, datatype = float[8], order = C_order); YP := Matrix(29, 5, {(1, 1) = .0, (1, 2) = .9220907462515571, (1, 3) = -1.0, (1, 4) = -.38783340466369254, (1, 5) = .0, (2, 1) = .4202740870445161, (2, 2) = .3373570222677326, (2, 3) = -.6895707858708219, (2, 4) = -.37712948659838486, (2, 5) = 0.4303279115075219e-1, (3, 1) = .5163794040551701, (3, 2) = -0.19185064713216023e-1, (3, 3) = -.3511517120118227, (3, 4) = -.3229448930949884, (3, 5) = .11097150746096335, (4, 1) = .4417990492201716, (4, 2) = -.16651332416146195, (4, 3) = -0.9501085499656597e-1, (4, 4) = -.23454549848673548, (4, 5) = .13459484654365939, (5, 1) = .31549674554502644, (5, 2) = -.18074641710244985, (5, 3) = 0.3411652766552317e-1, (5, 4) = -.14708087178570156, (5, 5) = .11093836320508359, (6, 1) = .20118216105468362, (6, 2) = -.14047902635042844, (6, 3) = 0.6927210396491991e-1, (6, 4) = -0.8263424709324725e-1, (6, 5) = 0.7246495203970743e-1, (7, 1) = .11890906506576693, (7, 2) = -0.9294999327444896e-1, (7, 3) = 0.6122617103835701e-1, (7, 4) = -0.4313615270778873e-1, (7, 5) = 0.4110148141424317e-1, (8, 1) = 0.6667910031326235e-1, (8, 2) = -0.5593040786446294e-1, (8, 3) = 0.42483062663230695e-1, (8, 4) = -0.2150725154063105e-1, (8, 5) = 0.21439202918624025e-1, (9, 1) = 0.3603568604801351e-1, (9, 2) = -0.3167753384430381e-1, (9, 3) = 0.26135864069716998e-1, (9, 4) = -0.10438939815596704e-1, (9, 5) = 0.10660108900785871e-1, (10, 1) = 0.18960327498140035e-1, (10, 2) = -0.1722319045196687e-1, (10, 3) = 0.14980312940540426e-1, (10, 4) = -0.4988937027048127e-2, (10, 5) = 0.5159686682556715e-2, (11, 1) = 0.9782165431635105e-2, (11, 2) = -0.910157017546314e-2, (11, 3) = 0.820665675837047e-2, (11, 4) = -0.2364269412330906e-2, (11, 5) = 0.24612927413180455e-2, (12, 1) = 0.49724019908313965e-2, (12, 2) = -0.47113528942048085e-2, (12, 3) = 0.4359613237292593e-2, (12, 4) = -0.11153042237558037e-2, (12, 5) = 0.11649711508526675e-2, (13, 1) = 0.24984995067600896e-2, (13, 2) = -0.2401250250975525e-2, (13, 3) = 0.22655973789531695e-2, (13, 4) = -0.5248289826886877e-3, (13, 5) = 0.549128934106459e-3, (14, 1) = 0.12440119569314578e-2, (14, 2) = -0.12093215573985628e-2, (14, 3) = 0.11583494838774682e-2, (14, 4) = -0.2466587850586314e-3, (14, 5) = 0.2582976297565444e-3, (15, 1) = 0.6148015308811455e-3, (15, 2) = -0.6032811800317005e-3, (15, 3) = 0.5848477187234688e-3, (15, 4) = -0.11584628661588081e-3, (15, 5) = 0.12136351684889346e-3, (16, 1) = 0.30197726796083954e-3, (16, 2) = -0.2986490288978108e-3, (16, 3) = 0.29237649937883e-3, (16, 4) = -0.5439103696428884e-4, (16, 5) = 0.56993214408891095e-4, (17, 1) = 0.14755307935715694e-3, (17, 2) = -0.14690575453443246e-3, (17, 3) = 0.14499494333704743e-3, (17, 4) = -0.25532771206319318e-4, (17, 5) = 0.2675702078834315e-4, (18, 1) = 0.7177236700295585e-4, (18, 2) = -0.7187729398053743e-4, (18, 3) = 0.7143005172186065e-4, (18, 4) = -0.11984713858579463e-4, (18, 5) = 0.1255997924657351e-4, (19, 1) = 0.3477022315080817e-4, (19, 2) = -0.35007749994105596e-4, (19, 3) = 0.3499403148041789e-4, (19, 4) = -0.5625174866621487e-5, (19, 5) = 0.589532422011194e-5, (20, 1) = 0.167801854213613e-4, (20, 2) = -0.16983543378325293e-4, (20, 3) = 0.17063175277423634e-4, (20, 4) = -0.2640190816045617e-5, (20, 5) = 0.27670182261114854e-5, (21, 1) = 0.8066191186382534e-5, (21, 2) = -0.821104246872564e-5, (21, 3) = 0.828660617992783e-5, (21, 4) = -0.12391870423047207e-5, (21, 5) = 0.12987213913763072e-5, (22, 1) = 0.3859180935593867e-5, (22, 2) = -0.395755789320176e-5, (22, 3) = 0.4010386715431575e-5, (22, 4) = -0.5816313926576407e-6, (22, 5) = 0.6095763839708823e-6, (23, 1) = 0.18341823395610769e-5, (23, 2) = -0.19019345748834397e-5, (23, 3) = 0.19350330892911135e-5, (23, 4) = -0.2730071797956253e-6, (23, 5) = 0.28612441556520465e-6, (24, 1) = 0.8623290091477282e-6, (24, 2) = -0.9113341483838946e-6, (24, 3) = 0.931230468673015e-6, (24, 4) = -0.1281526473802194e-6, (24, 5) = 0.1343101069871441e-6, (25, 1) = 0.39734387332399116e-6, (25, 2) = -0.4351065480638164e-6, (25, 3) = 0.44709019111609976e-6, (25, 4) = -0.6015514998812785e-7, (25, 5) = 0.6304549361391542e-7, (26, 1) = 0.17577216090080783e-6, (26, 2) = -0.2066547856380797e-6, (26, 3) = 0.21417714781972993e-6, (26, 4) = -0.2823339143989368e-7, (26, 5) = 0.29589957438210912e-7, (27, 1) = 0.7087967992164601e-7, (27, 2) = -0.9729618184580756e-7, (27, 3) = 0.10239949399678307e-6, (27, 4) = -0.13249689734274169e-7, (27, 5) = 0.13886315345671458e-7, (28, 1) = 0.2201947952838702e-7, (28, 2) = -0.45280562029436684e-7, (28, 3) = 0.4911313445931053e-7, (28, 4) = -0.6248707867260407e-8, (28, 5) = 0.6548948046607739e-8, (29, 1) = .0, (29, 2) = -0.20841183539706994e-7, (29, 3) = 0.24026825208835925e-7, (29, 4) = -0.30115916942592686e-8, (29, 5) = 0.31562937567380326e-8}, datatype = float[8], order = C_order); errproc := proc (x_bvp) local outpoint, X, Y, yout, L, V, i; option `Copyright (c) 2000 by Waterloo Maple Inc. All rights reserved.`; Digits := 15; outpoint := evalf(x_bvp); X := Vector(29, {(1) = .0, (2) = .6868475688873201, (3) = 1.3755694818864481, (4) = 2.0682143718350936, (5) = 2.7656618600289473, (6) = 3.4686284253590123, (7) = 4.17661098003989, (8) = 4.889009254798094, (9) = 5.6045212988808935, (10) = 6.3224529780942005, (11) = 7.0418659844902995, (12) = 7.762245674819311, (13) = 8.483238223424435, (14) = 9.204551333871233, (15) = 9.926070501029098, (16) = 10.64768103013191, (17) = 11.369348833520784, (18) = 12.091054342052754, (19) = 12.812781373230616, (20) = 13.534515985945216, (21) = 14.256239622887145, (22) = 14.977939582148815, (23) = 15.699604511035915, (24) = 16.4212086528194, (25) = 17.14283044113223, (26) = 17.864572619901118, (27) = 18.58641890913639, (28) = 19.30355908510746, (29) = 20.0}, datatype = float[8], order = C_order); Y := Matrix(29, 5, {(1, 1) = .0, (1, 2) = .0, (1, 3) = 0.947670133699624e-8, (1, 4) = .0, (1, 5) = -0.16801628863722625e-8, (2, 1) = -0.5562688680729497e-9, (2, 2) = -0.21544394426163097e-8, (2, 3) = 0.287293894307546e-8, (2, 4) = -0.37357656722536194e-8, (2, 5) = 0.32217191547761024e-8, (3, 1) = -0.8350526558565278e-8, (3, 2) = 0.4134830634172977e-8, (3, 3) = 0.12491061704911204e-8, (3, 4) = 0.3909918765623829e-8, (3, 5) = -0.20757291059677243e-9, (4, 1) = 0.16671389719705844e-9, (4, 2) = 0.3648160715899586e-8, (4, 3) = -0.528396986802508e-8, (4, 4) = 0.4823828777432993e-9, (4, 5) = -0.2408743014606509e-8, (5, 1) = 0.5571634668634835e-8, (5, 2) = -0.5437715786747662e-8, (5, 3) = 0.33059473772110423e-8, (5, 4) = -0.32522595808460493e-8, (5, 5) = 0.24277913015859777e-8, (6, 1) = -0.25669375582958455e-9, (6, 2) = -0.24447686990555343e-8, (6, 3) = 0.37763491733330965e-8, (6, 4) = 0.16312740125029958e-9, (6, 5) = 0.2836817825937946e-9, (7, 1) = -0.32389377868904443e-8, (7, 2) = 0.1881042655673872e-8, (7, 3) = -0.11396650576233194e-8, (7, 4) = 0.10620111323548136e-8, (7, 5) = -0.9612930708926523e-9, (8, 1) = -0.18812922832728336e-8, (8, 2) = 0.14232046751044453e-8, (8, 3) = -0.1537803668361072e-8, (8, 4) = 0.1770842620028042e-9, (8, 5) = -0.15945787869057221e-9, (9, 1) = -0.4702411602328281e-9, (9, 2) = 0.320333402872091e-11, (9, 3) = -0.9185162120441862e-10, (9, 4) = -0.19095599932287843e-9, (9, 5) = 0.23643248136766287e-9, (10, 1) = -0.17417744006906416e-9, (10, 2) = -0.4092039771380655e-9, (10, 3) = 0.4774557415611376e-9, (10, 4) = -0.11595631798509842e-9, (10, 5) = 0.14655938678934742e-9, (11, 1) = -0.36430615951141193e-9, (11, 2) = -0.22503070324966588e-9, (11, 3) = 0.31318800713246974e-9, (11, 4) = -0.7102340842716831e-11, (11, 5) = 0.14634454169986603e-10, (12, 1) = -0.5396388972588783e-9, (12, 2) = -0.10024023632452876e-10, (12, 3) = 0.52585615313555275e-10, (12, 4) = 0.30763893139739825e-10, (12, 5) = -0.34005653195770876e-10, (13, 1) = -0.5943567114066009e-9, (13, 2) = 0.7448998028657788e-10, (13, 3) = -0.708034730465589e-10, (13, 4) = 0.26507725195353555e-10, (13, 5) = -0.3134708409282319e-10, (14, 1) = -0.5789647343263283e-9, (14, 2) = 0.6946997649814925e-10, (14, 3) = -0.8160855192822036e-10, (14, 4) = 0.12965812897819388e-10, (14, 5) = -0.16205118685268952e-10, (15, 1) = -0.5480288674538708e-9, (15, 2) = 0.3755086868784173e-10, (15, 3) = -0.50490114989597235e-10, (15, 4) = 0.32350773786510558e-11, (15, 5) = -0.4700861305885854e-11, (16, 1) = -0.5257284342112479e-9, (16, 2) = 0.10919861164588246e-10, (16, 3) = -0.19346772632557297e-10, (16, 4) = -0.11790344440137198e-11, (16, 5) = 0.832624535476741e-12, (17, 1) = -0.5155200016654919e-9, (17, 2) = -0.30465560714292855e-11, (17, 3) = -0.8267473293057957e-12, (17, 4) = -0.22320654114644123e-11, (17, 5) = 0.2400655612059856e-11, (18, 1) = -0.5133923272616294e-9, (18, 2) = -0.737945441660333e-11, (18, 3) = 0.64527937509837154e-11, (18, 4) = -0.18460323317176304e-11, (18, 5) = 0.21645324044442117e-11, (19, 1) = -0.5148896773711696e-9, (19, 2) = -0.6805942618791494e-11, (19, 3) = 0.7290389637347693e-11, (19, 4) = -0.1127780748270535e-11, (19, 5) = 0.1426574333434267e-11, (20, 1) = -0.5172260423041393e-9, (20, 2) = -0.4657799114489725e-11, (20, 3) = 0.5567830559435603e-11, (20, 4) = -0.5303365272165861e-12, (20, 5) = 0.7538287303084591e-12, (21, 1) = -0.5191746746088076e-9, (21, 2) = -0.25874975582162318e-11, (21, 3) = 0.3436128045689803e-11, (21, 4) = -0.15574116810816628e-12, (21, 5) = 0.30144441341623344e-12, (22, 1) = -0.5204375227141072e-9, (22, 2) = -0.11365161545683807e-11, (22, 3) = 0.1752985745214996e-11, (22, 4) = 0.3249627740759922e-13, (22, 5) = 0.5150782611193112e-13, (23, 1) = -0.5211213531601294e-9, (23, 2) = -0.3082774300480712e-12, (23, 3) = 0.6809547502858554e-12, (23, 4) = 0.10140915458196715e-12, (23, 5) = -0.6050324746005763e-13, (24, 1) = -0.5214281864248747e-9, (24, 2) = 0.7242912386800786e-13, (24, 3) = 0.10576899938353571e-12, (24, 4) = 0.1072206483365034e-12, (24, 5) = -0.9414790219756612e-13, (25, 1) = -0.5215366608792588e-9, (25, 2) = 0.1891469519098857e-12, (25, 3) = -0.14497650859163652e-12, (25, 4) = 0.8641875813257649e-13, (25, 5) = -0.9035857945464468e-13, (26, 1) = -0.5215615175319244e-9, (26, 2) = 0.17670718185401007e-12, (26, 3) = -0.2150167149653954e-12, (26, 4) = 0.5891552332814735e-13, (26, 5) = -0.7282784304094444e-13, (27, 1) = -0.5215650870134602e-9, (27, 2) = 0.11694313367520813e-12, (27, 3) = -0.20000655303758359e-12, (27, 4) = 0.3377761208360633e-13, (27, 5) = -0.53341189571616226e-13, (28, 1) = -0.521579349038632e-9, (28, 2) = 0.5209631819213893e-13, (28, 3) = -0.15467632068966293e-12, (28, 4) = 0.14064084565986249e-13, (28, 5) = -0.3672938482279342e-13, (29, 1) = -0.5216042456082603e-9, (29, 2) = .0, (29, 3) = -0.10651195375400426e-12, (29, 4) = .0, (29, 5) = -0.24309258949721638e-13}, datatype = float[8], order = C_order); if not type(outpoint, 'numeric') then if outpoint = "start" or outpoint = "left" then return X[1] elif outpoint = "right" then return X[29] elif outpoint = "order" then return 8 elif outpoint = "error" then return HFloat(9.47670133699624e-9) elif outpoint = "errorproc" then error "this is already the error procedure" elif outpoint = "rawdata" then return [5, 29, [g(y), diff(g(y), y), diff(diff(g(y), y), y), h(y), diff(h(y), y)], X, Y] else return ('procname')(x_bvp) end if end if; if outpoint < X[1] or X[29] < outpoint then error "solution is only defined in the range %1..%2", X[1], X[29] end if; V := array([1 = 4, 2 = 0]); if Digits <= trunc(evalhf(Digits)) then L := Vector(4, 'datatype' = 'float'[8]); yout := Vector(5, 'datatype' = 'float'[8]); evalhf(`dsolve/numeric/lagrange`(29, 5, X, Y, outpoint, var(yout), var(L), var(V))) else L := Vector(4, 'datatype' = 'sfloat'); yout := Vector(5, 'datatype' = 'sfloat'); `dsolve/numeric/lagrange`(29, 5, X, Y, outpoint, yout, L, V) end if; [y = outpoint, seq('[g(y), diff(g(y), y), diff(diff(g(y), y), y), h(y), diff(h(y), y)]'[i] = yout[i], i = 1 .. 5)] end proc; if not type(outpoint, 'numeric') then if outpoint = "start" or outpoint = "left" then return X[1] elif outpoint = "method" then return "bvp" elif outpoint = "right" then return X[29] elif outpoint = "order" then return 8 elif outpoint = "error" then return HFloat(9.47670133699624e-9) elif outpoint = "errorproc" then return eval(errproc) elif outpoint = "rawdata" then return [5, 29, "depnames", X, Y, YP] else error "non-numeric value" end if end if; if outpoint < X[1] or X[29] < outpoint then error "solution is only defined in the range %1..%2", X[1], X[29] end if; if Digits <= trunc(evalhf(Digits)) and (_EnvInFsolve <> true or _EnvDSNumericSaveDigits <= trunc(evalhf(Digits))) then V := array( 1 .. 6, [( 1 ) = (7), ( 2 ) = (0), ( 3 ) = (false), ( 4 ) = (false), ( 5 ) = (false), ( 6 ) = (false)  ] ); L := Matrix(7, 2, {(1, 1) = .0, (1, 2) = .0, (2, 1) = .0, (2, 2) = .0, (3, 1) = .0, (3, 2) = .0, (4, 1) = .0, (4, 2) = .0, (5, 1) = .0, (5, 2) = .0, (6, 1) = .0, (6, 2) = .0, (7, 1) = .0, (7, 2) = .0}, datatype = float[8], order = C_order); yout := Vector(5, {(1) = .0, (2) = .0, (3) = .0, (4) = .0, (5) = .0}, datatype = float[8]); evalhf(`dsolve/numeric/hermite`(29, 5, X, Y, YP, outpoint, var(yout), var(L), var(V))) else if _EnvInFsolve = true then Digits := _EnvDSNumericSaveDigits end if; V := array( 1 .. 6, [( 1 ) = (7), ( 2 ) = (0), ( 3 ) = (false), ( 4 ) = (false), ( 5 ) = (false), ( 6 ) = (false)  ] ); L := Matrix(7, 2, {(1, 1) = 0., (1, 2) = 0., (2, 1) = 0., (2, 2) = 0., (3, 1) = 0., (3, 2) = 0., (4, 1) = 0., (4, 2) = 0., (5, 1) = 0., (5, 2) = 0., (6, 1) = 0., (6, 2) = 0., (7, 1) = 0., (7, 2) = 0.}, order = C_order); yout := Vector(5, {(1) = 0., (2) = 0., (3) = 0., (4) = 0., (5) = 0.}); `dsolve/numeric/hermite`(29, 5, X, Y, YP, outpoint, yout, L, V) end if; [outpoint, seq(yout[i], i = 1 .. 5)] end proc, (2) = Array(1..6, {(1) = 18446884187987466566, (2) = 18446884187987467006, (3) = 18446884187987467270, (4) = 18446884187987467446, (5) = 18446884187987467622, (6) = 18446884187987467798}), (3) = [y, g(y), diff(g(y), y), diff(diff(g(y), y), y), h(y), diff(h(y), y)], (4) = 0}); solnproc := data[1]; if not type(outpoint, 'numeric') then if outpoint = "solnprocedure" then return eval(solnproc) elif member(outpoint, ["start", "left", "right", "errorproc", "rawdata", "order", "error"]) then return solnproc(y) elif outpoint = "sysvars" then return data[3] elif procname <> unknown then return ('procname')(y) else `D(g)` := pointto(data[2][3]); return ('`D(g)`')(y) end if end if; try res := solnproc(outpoint); res[3] catch: error  end try end proc, (D@@2)(g) = proc (y) local res, data, solnproc, `\`@@\`(D,2)(g)`, outpoint; option `Copyright (c) 2000 by Waterloo Maple Inc. All rights reserved.`; _EnvDSNumericSaveDigits := Digits; Digits := 15; if _EnvInFsolve = true then outpoint := evalf[_EnvDSNumericSaveDigits](y) else outpoint := evalf(y) end if; data := Array(1..4, {(1) = proc (outpoint) local X, Y, YP, yout, errproc, L, V, i; option `Copyright (c) 2000 by Waterloo Maple Inc. All rights reserved.`; X := Vector(29, {(1) = .0, (2) = .6868475688873201, (3) = 1.3755694818864481, (4) = 2.0682143718350936, (5) = 2.7656618600289473, (6) = 3.4686284253590123, (7) = 4.17661098003989, (8) = 4.889009254798094, (9) = 5.6045212988808935, (10) = 6.3224529780942005, (11) = 7.0418659844902995, (12) = 7.762245674819311, (13) = 8.483238223424435, (14) = 9.204551333871233, (15) = 9.926070501029098, (16) = 10.64768103013191, (17) = 11.369348833520784, (18) = 12.091054342052754, (19) = 12.812781373230616, (20) = 13.534515985945216, (21) = 14.256239622887145, (22) = 14.977939582148815, (23) = 15.699604511035915, (24) = 16.4212086528194, (25) = 17.14283044113223, (26) = 17.864572619901118, (27) = 18.58641890913639, (28) = 19.30355908510746, (29) = 20.0}, datatype = float[8], order = C_order); Y := Matrix(29, 5, {(1, 1) = .0, (1, 2) = .0, (1, 3) = .9220907462515571, (1, 4) = 1.0, (1, 5) = -.38783340466369254, (2, 1) = .16735567649115993, (2, 2) = .4202740870445161, (2, 3) = .3373570222677326, (2, 4) = .7355419804808778, (2, 5) = -.37712948659838486, (3, 1) = .503981373982817, (3, 2) = .5163794040551701, (3, 3) = -0.19185064713216023e-1, (3, 4) = .49172724293359593, (3, 5) = -.3229448930949884, (4, 1) = .8416523710936388, (4, 2) = .4417990492201716, (4, 3) = -.16651332416146195, (4, 4) = .2977138055168734, (4, 5) = -.23454549848673548, (5, 1) = 1.1062594162789947, (5, 2) = .31549674554502644, (5, 3) = -.18074641710244985, (5, 4) = .1656168899679353, (5, 5) = -.14708087178570156, (6, 1) = 1.2861729052641508, (6, 2) = .20118216105468362, (6, 3) = -.14047902635042844, (6, 4) = 0.8647526508575375e-1, (6, 5) = -0.8263424709324725e-1, (7, 1) = 1.3974860750621676, (7, 2) = .11890906506576693, (7, 3) = -0.9294999327444896e-1, (7, 4) = 0.4326575279767381e-1, (7, 5) = -0.4313615270778873e-1, (8, 1) = 1.462026155282785, (8, 2) = 0.6667910031326235e-1, (8, 3) = -0.5593040786446294e-1, (8, 4) = 0.21068777926171442e-1, (8, 5) = -0.2150725154063105e-1, (9, 1) = 1.497740830391555, (9, 2) = 0.3603568604801351e-1, (9, 3) = -0.3167753384430381e-1, (9, 4) = 0.10096973148301623e-1, (9, 5) = -0.10438939815596704e-1, (10, 1) = 1.516864299292917, (10, 2) = 0.18960327498140035e-1, (10, 3) = -0.1722319045196687e-1, (10, 4) = 0.4793366106261327e-2, (10, 5) = -0.4988937027048127e-2, (11, 1) = 1.5268547661160343, (11, 2) = 0.9782165431635105e-2, (11, 3) = -0.910157017546314e-2, (11, 4) = 0.22637704730545526e-2, (11, 5) = -0.2364269412330906e-2, (12, 1) = 1.5319805288911161, (12, 2) = 0.49724019908313965e-2, (12, 3) = -0.47113528942048085e-2, (12, 4) = 0.10660248274790495e-2, (12, 5) = -0.11153042237558037e-2, (13, 1) = 1.5345743659775581, (13, 2) = 0.24984995067600896e-2, (13, 3) = -0.2401250250975525e-2, (13, 4) = 0.5011966820226343e-3, (13, 5) = -0.5248289826886877e-3, (14, 1) = 1.5358728194208906, (14, 2) = 0.12440119569314578e-2, (14, 3) = -0.12093215573985628e-2, (14, 4) = 0.23544738145817105e-3, (14, 5) = -0.2466587850586314e-3, (15, 1) = 1.5365173102346918, (15, 2) = 0.6148015308811455e-3, (15, 3) = -0.6032811800317005e-3, (15, 4) = 0.11055525378085771e-3, (15, 5) = -0.11584628661588081e-3, (16, 1) = 1.536834972545, (16, 2) = 0.30197726796083954e-3, (16, 3) = -0.2986490288978108e-3, (16, 4) = 0.51899799851421e-4, (16, 5) = -0.5439103696428884e-4, (17, 1) = 1.5369906451774888, (17, 2) = 0.14755307935715694e-3, (17, 3) = -0.14690575453443246e-3, (17, 4) = 0.2436052045018883e-4, (17, 5) = -0.25532771206319318e-4, (18, 1) = 1.537066559314411, (18, 2) = 0.7177236700295585e-4, (18, 3) = -0.7187729398053743e-4, (18, 4) = 0.11432662628093271e-4, (18, 5) = -0.11984713858579463e-4, (19, 1) = 1.537103419510933, (19, 2) = 0.3477022315080817e-4, (19, 3) = -0.35007749994105596e-4, (19, 4) = 0.5364472172783753e-5, (19, 5) = -0.5625174866621487e-5, (20, 1) = 1.53712124655263, (20, 2) = 0.167801854213613e-4, (20, 3) = -0.16983543378325293e-4, (20, 4) = 0.2516289536316785e-5, (20, 5) = -0.2640190816045617e-5, (21, 1) = 1.5371298351182954, (21, 2) = 0.8066191186382534e-5, (21, 3) = -0.821104246872564e-5, (21, 4) = 0.11795051188684695e-5, (21, 5) = -0.12391870423047207e-5, (22, 1) = 1.537133955359844, (22, 2) = 0.3859180935593867e-5, (22, 3) = -0.395755789320176e-5, (22, 4) = 0.5520931946642665e-6, (22, 5) = -0.5816313926576407e-6, (23, 1) = 1.5371359212718083, (23, 2) = 0.18341823395610769e-5, (23, 3) = -0.19019345748834397e-5, (23, 4) = 0.2576175590429348e-6, (23, 5) = -0.2730071797956253e-6, (24, 1) = 1.5371368515706798, (24, 2) = 0.8623290091477282e-6, (24, 3) = -0.9113341483838946e-6, (24, 4) = 0.1194038808143948e-6, (24, 5) = -0.1281526473802194e-6, (25, 1) = 1.537137285591093, (25, 2) = 0.39734387332399116e-6, (25, 3) = -0.4351065480638164e-6, (25, 4) = 0.5452376150027097e-7, (25, 5) = -0.6015514998812785e-7, (26, 1) = 1.5371374825833801, (26, 2) = 0.17577216090080783e-6, (26, 3) = -0.2066547856380797e-6, (26, 4) = 0.24065480347840778e-7, (26, 5) = -0.2823339143989368e-7, (27, 1) = 1.5371375668997003, (27, 2) = 0.7087967992164601e-7, (27, 3) = -0.9729618184580756e-7, (27, 4) = 0.9768720688503002e-8, (27, 5) = -0.13249689734274169e-7, (28, 1) = 1.5371375980011175, (28, 2) = 0.2201947952838702e-7, (28, 3) = -0.45280562029436684e-7, (28, 4) = 0.30887065486698873e-8, (28, 5) = -0.6248707867260407e-8, (29, 1) = 1.537137604689266, (29, 2) = .0, (29, 3) = -0.20841183539706994e-7, (29, 4) = .0, (29, 5) = -0.30115916942592686e-8}, datatype = float[8], order = C_order); YP := Matrix(29, 5, {(1, 1) = .0, (1, 2) = .9220907462515571, (1, 3) = -1.0, (1, 4) = -.38783340466369254, (1, 5) = .0, (2, 1) = .4202740870445161, (2, 2) = .3373570222677326, (2, 3) = -.6895707858708219, (2, 4) = -.37712948659838486, (2, 5) = 0.4303279115075219e-1, (3, 1) = .5163794040551701, (3, 2) = -0.19185064713216023e-1, (3, 3) = -.3511517120118227, (3, 4) = -.3229448930949884, (3, 5) = .11097150746096335, (4, 1) = .4417990492201716, (4, 2) = -.16651332416146195, (4, 3) = -0.9501085499656597e-1, (4, 4) = -.23454549848673548, (4, 5) = .13459484654365939, (5, 1) = .31549674554502644, (5, 2) = -.18074641710244985, (5, 3) = 0.3411652766552317e-1, (5, 4) = -.14708087178570156, (5, 5) = .11093836320508359, (6, 1) = .20118216105468362, (6, 2) = -.14047902635042844, (6, 3) = 0.6927210396491991e-1, (6, 4) = -0.8263424709324725e-1, (6, 5) = 0.7246495203970743e-1, (7, 1) = .11890906506576693, (7, 2) = -0.9294999327444896e-1, (7, 3) = 0.6122617103835701e-1, (7, 4) = -0.4313615270778873e-1, (7, 5) = 0.4110148141424317e-1, (8, 1) = 0.6667910031326235e-1, (8, 2) = -0.5593040786446294e-1, (8, 3) = 0.42483062663230695e-1, (8, 4) = -0.2150725154063105e-1, (8, 5) = 0.21439202918624025e-1, (9, 1) = 0.3603568604801351e-1, (9, 2) = -0.3167753384430381e-1, (9, 3) = 0.26135864069716998e-1, (9, 4) = -0.10438939815596704e-1, (9, 5) = 0.10660108900785871e-1, (10, 1) = 0.18960327498140035e-1, (10, 2) = -0.1722319045196687e-1, (10, 3) = 0.14980312940540426e-1, (10, 4) = -0.4988937027048127e-2, (10, 5) = 0.5159686682556715e-2, (11, 1) = 0.9782165431635105e-2, (11, 2) = -0.910157017546314e-2, (11, 3) = 0.820665675837047e-2, (11, 4) = -0.2364269412330906e-2, (11, 5) = 0.24612927413180455e-2, (12, 1) = 0.49724019908313965e-2, (12, 2) = -0.47113528942048085e-2, (12, 3) = 0.4359613237292593e-2, (12, 4) = -0.11153042237558037e-2, (12, 5) = 0.11649711508526675e-2, (13, 1) = 0.24984995067600896e-2, (13, 2) = -0.2401250250975525e-2, (13, 3) = 0.22655973789531695e-2, (13, 4) = -0.5248289826886877e-3, (13, 5) = 0.549128934106459e-3, (14, 1) = 0.12440119569314578e-2, (14, 2) = -0.12093215573985628e-2, (14, 3) = 0.11583494838774682e-2, (14, 4) = -0.2466587850586314e-3, (14, 5) = 0.2582976297565444e-3, (15, 1) = 0.6148015308811455e-3, (15, 2) = -0.6032811800317005e-3, (15, 3) = 0.5848477187234688e-3, (15, 4) = -0.11584628661588081e-3, (15, 5) = 0.12136351684889346e-3, (16, 1) = 0.30197726796083954e-3, (16, 2) = -0.2986490288978108e-3, (16, 3) = 0.29237649937883e-3, (16, 4) = -0.5439103696428884e-4, (16, 5) = 0.56993214408891095e-4, (17, 1) = 0.14755307935715694e-3, (17, 2) = -0.14690575453443246e-3, (17, 3) = 0.14499494333704743e-3, (17, 4) = -0.25532771206319318e-4, (17, 5) = 0.2675702078834315e-4, (18, 1) = 0.7177236700295585e-4, (18, 2) = -0.7187729398053743e-4, (18, 3) = 0.7143005172186065e-4, (18, 4) = -0.11984713858579463e-4, (18, 5) = 0.1255997924657351e-4, (19, 1) = 0.3477022315080817e-4, (19, 2) = -0.35007749994105596e-4, (19, 3) = 0.3499403148041789e-4, (19, 4) = -0.5625174866621487e-5, (19, 5) = 0.589532422011194e-5, (20, 1) = 0.167801854213613e-4, (20, 2) = -0.16983543378325293e-4, (20, 3) = 0.17063175277423634e-4, (20, 4) = -0.2640190816045617e-5, (20, 5) = 0.27670182261114854e-5, (21, 1) = 0.8066191186382534e-5, (21, 2) = -0.821104246872564e-5, (21, 3) = 0.828660617992783e-5, (21, 4) = -0.12391870423047207e-5, (21, 5) = 0.12987213913763072e-5, (22, 1) = 0.3859180935593867e-5, (22, 2) = -0.395755789320176e-5, (22, 3) = 0.4010386715431575e-5, (22, 4) = -0.5816313926576407e-6, (22, 5) = 0.6095763839708823e-6, (23, 1) = 0.18341823395610769e-5, (23, 2) = -0.19019345748834397e-5, (23, 3) = 0.19350330892911135e-5, (23, 4) = -0.2730071797956253e-6, (23, 5) = 0.28612441556520465e-6, (24, 1) = 0.8623290091477282e-6, (24, 2) = -0.9113341483838946e-6, (24, 3) = 0.931230468673015e-6, (24, 4) = -0.1281526473802194e-6, (24, 5) = 0.1343101069871441e-6, (25, 1) = 0.39734387332399116e-6, (25, 2) = -0.4351065480638164e-6, (25, 3) = 0.44709019111609976e-6, (25, 4) = -0.6015514998812785e-7, (25, 5) = 0.6304549361391542e-7, (26, 1) = 0.17577216090080783e-6, (26, 2) = -0.2066547856380797e-6, (26, 3) = 0.21417714781972993e-6, (26, 4) = -0.2823339143989368e-7, (26, 5) = 0.29589957438210912e-7, (27, 1) = 0.7087967992164601e-7, (27, 2) = -0.9729618184580756e-7, (27, 3) = 0.10239949399678307e-6, (27, 4) = -0.13249689734274169e-7, (27, 5) = 0.13886315345671458e-7, (28, 1) = 0.2201947952838702e-7, (28, 2) = -0.45280562029436684e-7, (28, 3) = 0.4911313445931053e-7, (28, 4) = -0.6248707867260407e-8, (28, 5) = 0.6548948046607739e-8, (29, 1) = .0, (29, 2) = -0.20841183539706994e-7, (29, 3) = 0.24026825208835925e-7, (29, 4) = -0.30115916942592686e-8, (29, 5) = 0.31562937567380326e-8}, datatype = float[8], order = C_order); errproc := proc (x_bvp) local outpoint, X, Y, yout, L, V, i; option `Copyright (c) 2000 by Waterloo Maple Inc. All rights reserved.`; Digits := 15; outpoint := evalf(x_bvp); X := Vector(29, {(1) = .0, (2) = .6868475688873201, (3) = 1.3755694818864481, (4) = 2.0682143718350936, (5) = 2.7656618600289473, (6) = 3.4686284253590123, (7) = 4.17661098003989, (8) = 4.889009254798094, (9) = 5.6045212988808935, (10) = 6.3224529780942005, (11) = 7.0418659844902995, (12) = 7.762245674819311, (13) = 8.483238223424435, (14) = 9.204551333871233, (15) = 9.926070501029098, (16) = 10.64768103013191, (17) = 11.369348833520784, (18) = 12.091054342052754, (19) = 12.812781373230616, (20) = 13.534515985945216, (21) = 14.256239622887145, (22) = 14.977939582148815, (23) = 15.699604511035915, (24) = 16.4212086528194, (25) = 17.14283044113223, (26) = 17.864572619901118, (27) = 18.58641890913639, (28) = 19.30355908510746, (29) = 20.0}, datatype = float[8], order = C_order); Y := Matrix(29, 5, {(1, 1) = .0, (1, 2) = .0, (1, 3) = 0.947670133699624e-8, (1, 4) = .0, (1, 5) = -0.16801628863722625e-8, (2, 1) = -0.5562688680729497e-9, (2, 2) = -0.21544394426163097e-8, (2, 3) = 0.287293894307546e-8, (2, 4) = -0.37357656722536194e-8, (2, 5) = 0.32217191547761024e-8, (3, 1) = -0.8350526558565278e-8, (3, 2) = 0.4134830634172977e-8, (3, 3) = 0.12491061704911204e-8, (3, 4) = 0.3909918765623829e-8, (3, 5) = -0.20757291059677243e-9, (4, 1) = 0.16671389719705844e-9, (4, 2) = 0.3648160715899586e-8, (4, 3) = -0.528396986802508e-8, (4, 4) = 0.4823828777432993e-9, (4, 5) = -0.2408743014606509e-8, (5, 1) = 0.5571634668634835e-8, (5, 2) = -0.5437715786747662e-8, (5, 3) = 0.33059473772110423e-8, (5, 4) = -0.32522595808460493e-8, (5, 5) = 0.24277913015859777e-8, (6, 1) = -0.25669375582958455e-9, (6, 2) = -0.24447686990555343e-8, (6, 3) = 0.37763491733330965e-8, (6, 4) = 0.16312740125029958e-9, (6, 5) = 0.2836817825937946e-9, (7, 1) = -0.32389377868904443e-8, (7, 2) = 0.1881042655673872e-8, (7, 3) = -0.11396650576233194e-8, (7, 4) = 0.10620111323548136e-8, (7, 5) = -0.9612930708926523e-9, (8, 1) = -0.18812922832728336e-8, (8, 2) = 0.14232046751044453e-8, (8, 3) = -0.1537803668361072e-8, (8, 4) = 0.1770842620028042e-9, (8, 5) = -0.15945787869057221e-9, (9, 1) = -0.4702411602328281e-9, (9, 2) = 0.320333402872091e-11, (9, 3) = -0.9185162120441862e-10, (9, 4) = -0.19095599932287843e-9, (9, 5) = 0.23643248136766287e-9, (10, 1) = -0.17417744006906416e-9, (10, 2) = -0.4092039771380655e-9, (10, 3) = 0.4774557415611376e-9, (10, 4) = -0.11595631798509842e-9, (10, 5) = 0.14655938678934742e-9, (11, 1) = -0.36430615951141193e-9, (11, 2) = -0.22503070324966588e-9, (11, 3) = 0.31318800713246974e-9, (11, 4) = -0.7102340842716831e-11, (11, 5) = 0.14634454169986603e-10, (12, 1) = -0.5396388972588783e-9, (12, 2) = -0.10024023632452876e-10, (12, 3) = 0.52585615313555275e-10, (12, 4) = 0.30763893139739825e-10, (12, 5) = -0.34005653195770876e-10, (13, 1) = -0.5943567114066009e-9, (13, 2) = 0.7448998028657788e-10, (13, 3) = -0.708034730465589e-10, (13, 4) = 0.26507725195353555e-10, (13, 5) = -0.3134708409282319e-10, (14, 1) = -0.5789647343263283e-9, (14, 2) = 0.6946997649814925e-10, (14, 3) = -0.8160855192822036e-10, (14, 4) = 0.12965812897819388e-10, (14, 5) = -0.16205118685268952e-10, (15, 1) = -0.5480288674538708e-9, (15, 2) = 0.3755086868784173e-10, (15, 3) = -0.50490114989597235e-10, (15, 4) = 0.32350773786510558e-11, (15, 5) = -0.4700861305885854e-11, (16, 1) = -0.5257284342112479e-9, (16, 2) = 0.10919861164588246e-10, (16, 3) = -0.19346772632557297e-10, (16, 4) = -0.11790344440137198e-11, (16, 5) = 0.832624535476741e-12, (17, 1) = -0.5155200016654919e-9, (17, 2) = -0.30465560714292855e-11, (17, 3) = -0.8267473293057957e-12, (17, 4) = -0.22320654114644123e-11, (17, 5) = 0.2400655612059856e-11, (18, 1) = -0.5133923272616294e-9, (18, 2) = -0.737945441660333e-11, (18, 3) = 0.64527937509837154e-11, (18, 4) = -0.18460323317176304e-11, (18, 5) = 0.21645324044442117e-11, (19, 1) = -0.5148896773711696e-9, (19, 2) = -0.6805942618791494e-11, (19, 3) = 0.7290389637347693e-11, (19, 4) = -0.1127780748270535e-11, (19, 5) = 0.1426574333434267e-11, (20, 1) = -0.5172260423041393e-9, (20, 2) = -0.4657799114489725e-11, (20, 3) = 0.5567830559435603e-11, (20, 4) = -0.5303365272165861e-12, (20, 5) = 0.7538287303084591e-12, (21, 1) = -0.5191746746088076e-9, (21, 2) = -0.25874975582162318e-11, (21, 3) = 0.3436128045689803e-11, (21, 4) = -0.15574116810816628e-12, (21, 5) = 0.30144441341623344e-12, (22, 1) = -0.5204375227141072e-9, (22, 2) = -0.11365161545683807e-11, (22, 3) = 0.1752985745214996e-11, (22, 4) = 0.3249627740759922e-13, (22, 5) = 0.5150782611193112e-13, (23, 1) = -0.5211213531601294e-9, (23, 2) = -0.3082774300480712e-12, (23, 3) = 0.6809547502858554e-12, (23, 4) = 0.10140915458196715e-12, (23, 5) = -0.6050324746005763e-13, (24, 1) = -0.5214281864248747e-9, (24, 2) = 0.7242912386800786e-13, (24, 3) = 0.10576899938353571e-12, (24, 4) = 0.1072206483365034e-12, (24, 5) = -0.9414790219756612e-13, (25, 1) = -0.5215366608792588e-9, (25, 2) = 0.1891469519098857e-12, (25, 3) = -0.14497650859163652e-12, (25, 4) = 0.8641875813257649e-13, (25, 5) = -0.9035857945464468e-13, (26, 1) = -0.5215615175319244e-9, (26, 2) = 0.17670718185401007e-12, (26, 3) = -0.2150167149653954e-12, (26, 4) = 0.5891552332814735e-13, (26, 5) = -0.7282784304094444e-13, (27, 1) = -0.5215650870134602e-9, (27, 2) = 0.11694313367520813e-12, (27, 3) = -0.20000655303758359e-12, (27, 4) = 0.3377761208360633e-13, (27, 5) = -0.53341189571616226e-13, (28, 1) = -0.521579349038632e-9, (28, 2) = 0.5209631819213893e-13, (28, 3) = -0.15467632068966293e-12, (28, 4) = 0.14064084565986249e-13, (28, 5) = -0.3672938482279342e-13, (29, 1) = -0.5216042456082603e-9, (29, 2) = .0, (29, 3) = -0.10651195375400426e-12, (29, 4) = .0, (29, 5) = -0.24309258949721638e-13}, datatype = float[8], order = C_order); if not type(outpoint, 'numeric') then if outpoint = "start" or outpoint = "left" then return X[1] elif outpoint = "right" then return X[29] elif outpoint = "order" then return 8 elif outpoint = "error" then return HFloat(9.47670133699624e-9) elif outpoint = "errorproc" then error "this is already the error procedure" elif outpoint = "rawdata" then return [5, 29, [g(y), diff(g(y), y), diff(diff(g(y), y), y), h(y), diff(h(y), y)], X, Y] else return ('procname')(x_bvp) end if end if; if outpoint < X[1] or X[29] < outpoint then error "solution is only defined in the range %1..%2", X[1], X[29] end if; V := array([1 = 4, 2 = 0]); if Digits <= trunc(evalhf(Digits)) then L := Vector(4, 'datatype' = 'float'[8]); yout := Vector(5, 'datatype' = 'float'[8]); evalhf(`dsolve/numeric/lagrange`(29, 5, X, Y, outpoint, var(yout), var(L), var(V))) else L := Vector(4, 'datatype' = 'sfloat'); yout := Vector(5, 'datatype' = 'sfloat'); `dsolve/numeric/lagrange`(29, 5, X, Y, outpoint, yout, L, V) end if; [y = outpoint, seq('[g(y), diff(g(y), y), diff(diff(g(y), y), y), h(y), diff(h(y), y)]'[i] = yout[i], i = 1 .. 5)] end proc; if not type(outpoint, 'numeric') then if outpoint = "start" or outpoint = "left" then return X[1] elif outpoint = "method" then return "bvp" elif outpoint = "right" then return X[29] elif outpoint = "order" then return 8 elif outpoint = "error" then return HFloat(9.47670133699624e-9) elif outpoint = "errorproc" then return eval(errproc) elif outpoint = "rawdata" then return [5, 29, "depnames", X, Y, YP] else error "non-numeric value" end if end if; if outpoint < X[1] or X[29] < outpoint then error "solution is only defined in the range %1..%2", X[1], X[29] end if; if Digits <= trunc(evalhf(Digits)) and (_EnvInFsolve <> true or _EnvDSNumericSaveDigits <= trunc(evalhf(Digits))) then V := array( 1 .. 6, [( 1 ) = (7), ( 2 ) = (0), ( 3 ) = (false), ( 4 ) = (false), ( 5 ) = (false), ( 6 ) = (false)  ] ); L := Matrix(7, 2, {(1, 1) = .0, (1, 2) = .0, (2, 1) = .0, (2, 2) = .0, (3, 1) = .0, (3, 2) = .0, (4, 1) = .0, (4, 2) = .0, (5, 1) = .0, (5, 2) = .0, (6, 1) = .0, (6, 2) = .0, (7, 1) = .0, (7, 2) = .0}, datatype = float[8], order = C_order); yout := Vector(5, {(1) = .0, (2) = .0, (3) = .0, (4) = .0, (5) = .0}, datatype = float[8]); evalhf(`dsolve/numeric/hermite`(29, 5, X, Y, YP, outpoint, var(yout), var(L), var(V))) else if _EnvInFsolve = true then Digits := _EnvDSNumericSaveDigits end if; V := array( 1 .. 6, [( 1 ) = (7), ( 2 ) = (0), ( 3 ) = (false), ( 4 ) = (false), ( 5 ) = (false), ( 6 ) = (false)  ] ); L := Matrix(7, 2, {(1, 1) = 0., (1, 2) = 0., (2, 1) = 0., (2, 2) = 0., (3, 1) = 0., (3, 2) = 0., (4, 1) = 0., (4, 2) = 0., (5, 1) = 0., (5, 2) = 0., (6, 1) = 0., (6, 2) = 0., (7, 1) = 0., (7, 2) = 0.}, order = C_order); yout := Vector(5, {(1) = 0., (2) = 0., (3) = 0., (4) = 0., (5) = 0.}); `dsolve/numeric/hermite`(29, 5, X, Y, YP, outpoint, yout, L, V) end if; [outpoint, seq(yout[i], i = 1 .. 5)] end proc, (2) = Array(1..6, {(1) = 18446884187987466566, (2) = 18446884187987467006, (3) = 18446884187987467270, (4) = 18446884187987467446, (5) = 18446884187987467622, (6) = 18446884187987467798}), (3) = [y, g(y), diff(g(y), y), diff(diff(g(y), y), y), h(y), diff(h(y), y)], (4) = 0}); solnproc := data[1]; if not type(outpoint, 'numeric') then if outpoint = "solnprocedure" then return eval(solnproc) elif member(outpoint, ["start", "left", "right", "errorproc", "rawdata", "order", "error"]) then return solnproc(y) elif outpoint = "sysvars" then return data[3] elif procname <> unknown then return ('procname')(y) else `\`@@\`(D,2)(g)` := pointto(data[2][4]); return ('`\`@@\`(D,2)(g)`')(y) end if end if; try res := solnproc(outpoint); res[4] catch: error  end try end proc, h = proc (y) local res, data, solnproc, h, outpoint; option `Copyright (c) 2000 by Waterloo Maple Inc. All rights reserved.`; _EnvDSNumericSaveDigits := Digits; Digits := 15; if _EnvInFsolve = true then outpoint := evalf[_EnvDSNumericSaveDigits](y) else outpoint := evalf(y) end if; data := Array(1..4, {(1) = proc (outpoint) local X, Y, YP, yout, errproc, L, V, i; option `Copyright (c) 2000 by Waterloo Maple Inc. All rights reserved.`; X := Vector(29, {(1) = .0, (2) = .6868475688873201, (3) = 1.3755694818864481, (4) = 2.0682143718350936, (5) = 2.7656618600289473, (6) = 3.4686284253590123, (7) = 4.17661098003989, (8) = 4.889009254798094, (9) = 5.6045212988808935, (10) = 6.3224529780942005, (11) = 7.0418659844902995, (12) = 7.762245674819311, (13) = 8.483238223424435, (14) = 9.204551333871233, (15) = 9.926070501029098, (16) = 10.64768103013191, (17) = 11.369348833520784, (18) = 12.091054342052754, (19) = 12.812781373230616, (20) = 13.534515985945216, (21) = 14.256239622887145, (22) = 14.977939582148815, (23) = 15.699604511035915, (24) = 16.4212086528194, (25) = 17.14283044113223, (26) = 17.864572619901118, (27) = 18.58641890913639, (28) = 19.30355908510746, (29) = 20.0}, datatype = float[8], order = C_order); Y := Matrix(29, 5, {(1, 1) = .0, (1, 2) = .0, (1, 3) = .9220907462515571, (1, 4) = 1.0, (1, 5) = -.38783340466369254, (2, 1) = .16735567649115993, (2, 2) = .4202740870445161, (2, 3) = .3373570222677326, (2, 4) = .7355419804808778, (2, 5) = -.37712948659838486, (3, 1) = .503981373982817, (3, 2) = .5163794040551701, (3, 3) = -0.19185064713216023e-1, (3, 4) = .49172724293359593, (3, 5) = -.3229448930949884, (4, 1) = .8416523710936388, (4, 2) = .4417990492201716, (4, 3) = -.16651332416146195, (4, 4) = .2977138055168734, (4, 5) = -.23454549848673548, (5, 1) = 1.1062594162789947, (5, 2) = .31549674554502644, (5, 3) = -.18074641710244985, (5, 4) = .1656168899679353, (5, 5) = -.14708087178570156, (6, 1) = 1.2861729052641508, (6, 2) = .20118216105468362, (6, 3) = -.14047902635042844, (6, 4) = 0.8647526508575375e-1, (6, 5) = -0.8263424709324725e-1, (7, 1) = 1.3974860750621676, (7, 2) = .11890906506576693, (7, 3) = -0.9294999327444896e-1, (7, 4) = 0.4326575279767381e-1, (7, 5) = -0.4313615270778873e-1, (8, 1) = 1.462026155282785, (8, 2) = 0.6667910031326235e-1, (8, 3) = -0.5593040786446294e-1, (8, 4) = 0.21068777926171442e-1, (8, 5) = -0.2150725154063105e-1, (9, 1) = 1.497740830391555, (9, 2) = 0.3603568604801351e-1, (9, 3) = -0.3167753384430381e-1, (9, 4) = 0.10096973148301623e-1, (9, 5) = -0.10438939815596704e-1, (10, 1) = 1.516864299292917, (10, 2) = 0.18960327498140035e-1, (10, 3) = -0.1722319045196687e-1, (10, 4) = 0.4793366106261327e-2, (10, 5) = -0.4988937027048127e-2, (11, 1) = 1.5268547661160343, (11, 2) = 0.9782165431635105e-2, (11, 3) = -0.910157017546314e-2, (11, 4) = 0.22637704730545526e-2, (11, 5) = -0.2364269412330906e-2, (12, 1) = 1.5319805288911161, (12, 2) = 0.49724019908313965e-2, (12, 3) = -0.47113528942048085e-2, (12, 4) = 0.10660248274790495e-2, (12, 5) = -0.11153042237558037e-2, (13, 1) = 1.5345743659775581, (13, 2) = 0.24984995067600896e-2, (13, 3) = -0.2401250250975525e-2, (13, 4) = 0.5011966820226343e-3, (13, 5) = -0.5248289826886877e-3, (14, 1) = 1.5358728194208906, (14, 2) = 0.12440119569314578e-2, (14, 3) = -0.12093215573985628e-2, (14, 4) = 0.23544738145817105e-3, (14, 5) = -0.2466587850586314e-3, (15, 1) = 1.5365173102346918, (15, 2) = 0.6148015308811455e-3, (15, 3) = -0.6032811800317005e-3, (15, 4) = 0.11055525378085771e-3, (15, 5) = -0.11584628661588081e-3, (16, 1) = 1.536834972545, (16, 2) = 0.30197726796083954e-3, (16, 3) = -0.2986490288978108e-3, (16, 4) = 0.51899799851421e-4, (16, 5) = -0.5439103696428884e-4, (17, 1) = 1.5369906451774888, (17, 2) = 0.14755307935715694e-3, (17, 3) = -0.14690575453443246e-3, (17, 4) = 0.2436052045018883e-4, (17, 5) = -0.25532771206319318e-4, (18, 1) = 1.537066559314411, (18, 2) = 0.7177236700295585e-4, (18, 3) = -0.7187729398053743e-4, (18, 4) = 0.11432662628093271e-4, (18, 5) = -0.11984713858579463e-4, (19, 1) = 1.537103419510933, (19, 2) = 0.3477022315080817e-4, (19, 3) = -0.35007749994105596e-4, (19, 4) = 0.5364472172783753e-5, (19, 5) = -0.5625174866621487e-5, (20, 1) = 1.53712124655263, (20, 2) = 0.167801854213613e-4, (20, 3) = -0.16983543378325293e-4, (20, 4) = 0.2516289536316785e-5, (20, 5) = -0.2640190816045617e-5, (21, 1) = 1.5371298351182954, (21, 2) = 0.8066191186382534e-5, (21, 3) = -0.821104246872564e-5, (21, 4) = 0.11795051188684695e-5, (21, 5) = -0.12391870423047207e-5, (22, 1) = 1.537133955359844, (22, 2) = 0.3859180935593867e-5, (22, 3) = -0.395755789320176e-5, (22, 4) = 0.5520931946642665e-6, (22, 5) = -0.5816313926576407e-6, (23, 1) = 1.5371359212718083, (23, 2) = 0.18341823395610769e-5, (23, 3) = -0.19019345748834397e-5, (23, 4) = 0.2576175590429348e-6, (23, 5) = -0.2730071797956253e-6, (24, 1) = 1.5371368515706798, (24, 2) = 0.8623290091477282e-6, (24, 3) = -0.9113341483838946e-6, (24, 4) = 0.1194038808143948e-6, (24, 5) = -0.1281526473802194e-6, (25, 1) = 1.537137285591093, (25, 2) = 0.39734387332399116e-6, (25, 3) = -0.4351065480638164e-6, (25, 4) = 0.5452376150027097e-7, (25, 5) = -0.6015514998812785e-7, (26, 1) = 1.5371374825833801, (26, 2) = 0.17577216090080783e-6, (26, 3) = -0.2066547856380797e-6, (26, 4) = 0.24065480347840778e-7, (26, 5) = -0.2823339143989368e-7, (27, 1) = 1.5371375668997003, (27, 2) = 0.7087967992164601e-7, (27, 3) = -0.9729618184580756e-7, (27, 4) = 0.9768720688503002e-8, (27, 5) = -0.13249689734274169e-7, (28, 1) = 1.5371375980011175, (28, 2) = 0.2201947952838702e-7, (28, 3) = -0.45280562029436684e-7, (28, 4) = 0.30887065486698873e-8, (28, 5) = -0.6248707867260407e-8, (29, 1) = 1.537137604689266, (29, 2) = .0, (29, 3) = -0.20841183539706994e-7, (29, 4) = .0, (29, 5) = -0.30115916942592686e-8}, datatype = float[8], order = C_order); YP := Matrix(29, 5, {(1, 1) = .0, (1, 2) = .9220907462515571, (1, 3) = -1.0, (1, 4) = -.38783340466369254, (1, 5) = .0, (2, 1) = .4202740870445161, (2, 2) = .3373570222677326, (2, 3) = -.6895707858708219, (2, 4) = -.37712948659838486, (2, 5) = 0.4303279115075219e-1, (3, 1) = .5163794040551701, (3, 2) = -0.19185064713216023e-1, (3, 3) = -.3511517120118227, (3, 4) = -.3229448930949884, (3, 5) = .11097150746096335, (4, 1) = .4417990492201716, (4, 2) = -.16651332416146195, (4, 3) = -0.9501085499656597e-1, (4, 4) = -.23454549848673548, (4, 5) = .13459484654365939, (5, 1) = .31549674554502644, (5, 2) = -.18074641710244985, (5, 3) = 0.3411652766552317e-1, (5, 4) = -.14708087178570156, (5, 5) = .11093836320508359, (6, 1) = .20118216105468362, (6, 2) = -.14047902635042844, (6, 3) = 0.6927210396491991e-1, (6, 4) = -0.8263424709324725e-1, (6, 5) = 0.7246495203970743e-1, (7, 1) = .11890906506576693, (7, 2) = -0.9294999327444896e-1, (7, 3) = 0.6122617103835701e-1, (7, 4) = -0.4313615270778873e-1, (7, 5) = 0.4110148141424317e-1, (8, 1) = 0.6667910031326235e-1, (8, 2) = -0.5593040786446294e-1, (8, 3) = 0.42483062663230695e-1, (8, 4) = -0.2150725154063105e-1, (8, 5) = 0.21439202918624025e-1, (9, 1) = 0.3603568604801351e-1, (9, 2) = -0.3167753384430381e-1, (9, 3) = 0.26135864069716998e-1, (9, 4) = -0.10438939815596704e-1, (9, 5) = 0.10660108900785871e-1, (10, 1) = 0.18960327498140035e-1, (10, 2) = -0.1722319045196687e-1, (10, 3) = 0.14980312940540426e-1, (10, 4) = -0.4988937027048127e-2, (10, 5) = 0.5159686682556715e-2, (11, 1) = 0.9782165431635105e-2, (11, 2) = -0.910157017546314e-2, (11, 3) = 0.820665675837047e-2, (11, 4) = -0.2364269412330906e-2, (11, 5) = 0.24612927413180455e-2, (12, 1) = 0.49724019908313965e-2, (12, 2) = -0.47113528942048085e-2, (12, 3) = 0.4359613237292593e-2, (12, 4) = -0.11153042237558037e-2, (12, 5) = 0.11649711508526675e-2, (13, 1) = 0.24984995067600896e-2, (13, 2) = -0.2401250250975525e-2, (13, 3) = 0.22655973789531695e-2, (13, 4) = -0.5248289826886877e-3, (13, 5) = 0.549128934106459e-3, (14, 1) = 0.12440119569314578e-2, (14, 2) = -0.12093215573985628e-2, (14, 3) = 0.11583494838774682e-2, (14, 4) = -0.2466587850586314e-3, (14, 5) = 0.2582976297565444e-3, (15, 1) = 0.6148015308811455e-3, (15, 2) = -0.6032811800317005e-3, (15, 3) = 0.5848477187234688e-3, (15, 4) = -0.11584628661588081e-3, (15, 5) = 0.12136351684889346e-3, (16, 1) = 0.30197726796083954e-3, (16, 2) = -0.2986490288978108e-3, (16, 3) = 0.29237649937883e-3, (16, 4) = -0.5439103696428884e-4, (16, 5) = 0.56993214408891095e-4, (17, 1) = 0.14755307935715694e-3, (17, 2) = -0.14690575453443246e-3, (17, 3) = 0.14499494333704743e-3, (17, 4) = -0.25532771206319318e-4, (17, 5) = 0.2675702078834315e-4, (18, 1) = 0.7177236700295585e-4, (18, 2) = -0.7187729398053743e-4, (18, 3) = 0.7143005172186065e-4, (18, 4) = -0.11984713858579463e-4, (18, 5) = 0.1255997924657351e-4, (19, 1) = 0.3477022315080817e-4, (19, 2) = -0.35007749994105596e-4, (19, 3) = 0.3499403148041789e-4, (19, 4) = -0.5625174866621487e-5, (19, 5) = 0.589532422011194e-5, (20, 1) = 0.167801854213613e-4, (20, 2) = -0.16983543378325293e-4, (20, 3) = 0.17063175277423634e-4, (20, 4) = -0.2640190816045617e-5, (20, 5) = 0.27670182261114854e-5, (21, 1) = 0.8066191186382534e-5, (21, 2) = -0.821104246872564e-5, (21, 3) = 0.828660617992783e-5, (21, 4) = -0.12391870423047207e-5, (21, 5) = 0.12987213913763072e-5, (22, 1) = 0.3859180935593867e-5, (22, 2) = -0.395755789320176e-5, (22, 3) = 0.4010386715431575e-5, (22, 4) = -0.5816313926576407e-6, (22, 5) = 0.6095763839708823e-6, (23, 1) = 0.18341823395610769e-5, (23, 2) = -0.19019345748834397e-5, (23, 3) = 0.19350330892911135e-5, (23, 4) = -0.2730071797956253e-6, (23, 5) = 0.28612441556520465e-6, (24, 1) = 0.8623290091477282e-6, (24, 2) = -0.9113341483838946e-6, (24, 3) = 0.931230468673015e-6, (24, 4) = -0.1281526473802194e-6, (24, 5) = 0.1343101069871441e-6, (25, 1) = 0.39734387332399116e-6, (25, 2) = -0.4351065480638164e-6, (25, 3) = 0.44709019111609976e-6, (25, 4) = -0.6015514998812785e-7, (25, 5) = 0.6304549361391542e-7, (26, 1) = 0.17577216090080783e-6, (26, 2) = -0.2066547856380797e-6, (26, 3) = 0.21417714781972993e-6, (26, 4) = -0.2823339143989368e-7, (26, 5) = 0.29589957438210912e-7, (27, 1) = 0.7087967992164601e-7, (27, 2) = -0.9729618184580756e-7, (27, 3) = 0.10239949399678307e-6, (27, 4) = -0.13249689734274169e-7, (27, 5) = 0.13886315345671458e-7, (28, 1) = 0.2201947952838702e-7, (28, 2) = -0.45280562029436684e-7, (28, 3) = 0.4911313445931053e-7, (28, 4) = -0.6248707867260407e-8, (28, 5) = 0.6548948046607739e-8, (29, 1) = .0, (29, 2) = -0.20841183539706994e-7, (29, 3) = 0.24026825208835925e-7, (29, 4) = -0.30115916942592686e-8, (29, 5) = 0.31562937567380326e-8}, datatype = float[8], order = C_order); errproc := proc (x_bvp) local outpoint, X, Y, yout, L, V, i; option `Copyright (c) 2000 by Waterloo Maple Inc. All rights reserved.`; Digits := 15; outpoint := evalf(x_bvp); X := Vector(29, {(1) = .0, (2) = .6868475688873201, (3) = 1.3755694818864481, (4) = 2.0682143718350936, (5) = 2.7656618600289473, (6) = 3.4686284253590123, (7) = 4.17661098003989, (8) = 4.889009254798094, (9) = 5.6045212988808935, (10) = 6.3224529780942005, (11) = 7.0418659844902995, (12) = 7.762245674819311, (13) = 8.483238223424435, (14) = 9.204551333871233, (15) = 9.926070501029098, (16) = 10.64768103013191, (17) = 11.369348833520784, (18) = 12.091054342052754, (19) = 12.812781373230616, (20) = 13.534515985945216, (21) = 14.256239622887145, (22) = 14.977939582148815, (23) = 15.699604511035915, (24) = 16.4212086528194, (25) = 17.14283044113223, (26) = 17.864572619901118, (27) = 18.58641890913639, (28) = 19.30355908510746, (29) = 20.0}, datatype = float[8], order = C_order); Y := Matrix(29, 5, {(1, 1) = .0, (1, 2) = .0, (1, 3) = 0.947670133699624e-8, (1, 4) = .0, (1, 5) = -0.16801628863722625e-8, (2, 1) = -0.5562688680729497e-9, (2, 2) = -0.21544394426163097e-8, (2, 3) = 0.287293894307546e-8, (2, 4) = -0.37357656722536194e-8, (2, 5) = 0.32217191547761024e-8, (3, 1) = -0.8350526558565278e-8, (3, 2) = 0.4134830634172977e-8, (3, 3) = 0.12491061704911204e-8, (3, 4) = 0.3909918765623829e-8, (3, 5) = -0.20757291059677243e-9, (4, 1) = 0.16671389719705844e-9, (4, 2) = 0.3648160715899586e-8, (4, 3) = -0.528396986802508e-8, (4, 4) = 0.4823828777432993e-9, (4, 5) = -0.2408743014606509e-8, (5, 1) = 0.5571634668634835e-8, (5, 2) = -0.5437715786747662e-8, (5, 3) = 0.33059473772110423e-8, (5, 4) = -0.32522595808460493e-8, (5, 5) = 0.24277913015859777e-8, (6, 1) = -0.25669375582958455e-9, (6, 2) = -0.24447686990555343e-8, (6, 3) = 0.37763491733330965e-8, (6, 4) = 0.16312740125029958e-9, (6, 5) = 0.2836817825937946e-9, (7, 1) = -0.32389377868904443e-8, (7, 2) = 0.1881042655673872e-8, (7, 3) = -0.11396650576233194e-8, (7, 4) = 0.10620111323548136e-8, (7, 5) = -0.9612930708926523e-9, (8, 1) = -0.18812922832728336e-8, (8, 2) = 0.14232046751044453e-8, (8, 3) = -0.1537803668361072e-8, (8, 4) = 0.1770842620028042e-9, (8, 5) = -0.15945787869057221e-9, (9, 1) = -0.4702411602328281e-9, (9, 2) = 0.320333402872091e-11, (9, 3) = -0.9185162120441862e-10, (9, 4) = -0.19095599932287843e-9, (9, 5) = 0.23643248136766287e-9, (10, 1) = -0.17417744006906416e-9, (10, 2) = -0.4092039771380655e-9, (10, 3) = 0.4774557415611376e-9, (10, 4) = -0.11595631798509842e-9, (10, 5) = 0.14655938678934742e-9, (11, 1) = -0.36430615951141193e-9, (11, 2) = -0.22503070324966588e-9, (11, 3) = 0.31318800713246974e-9, (11, 4) = -0.7102340842716831e-11, (11, 5) = 0.14634454169986603e-10, (12, 1) = -0.5396388972588783e-9, (12, 2) = -0.10024023632452876e-10, (12, 3) = 0.52585615313555275e-10, (12, 4) = 0.30763893139739825e-10, (12, 5) = -0.34005653195770876e-10, (13, 1) = -0.5943567114066009e-9, (13, 2) = 0.7448998028657788e-10, (13, 3) = -0.708034730465589e-10, (13, 4) = 0.26507725195353555e-10, (13, 5) = -0.3134708409282319e-10, (14, 1) = -0.5789647343263283e-9, (14, 2) = 0.6946997649814925e-10, (14, 3) = -0.8160855192822036e-10, (14, 4) = 0.12965812897819388e-10, (14, 5) = -0.16205118685268952e-10, (15, 1) = -0.5480288674538708e-9, (15, 2) = 0.3755086868784173e-10, (15, 3) = -0.50490114989597235e-10, (15, 4) = 0.32350773786510558e-11, (15, 5) = -0.4700861305885854e-11, (16, 1) = -0.5257284342112479e-9, (16, 2) = 0.10919861164588246e-10, (16, 3) = -0.19346772632557297e-10, (16, 4) = -0.11790344440137198e-11, (16, 5) = 0.832624535476741e-12, (17, 1) = -0.5155200016654919e-9, (17, 2) = -0.30465560714292855e-11, (17, 3) = -0.8267473293057957e-12, (17, 4) = -0.22320654114644123e-11, (17, 5) = 0.2400655612059856e-11, (18, 1) = -0.5133923272616294e-9, (18, 2) = -0.737945441660333e-11, (18, 3) = 0.64527937509837154e-11, (18, 4) = -0.18460323317176304e-11, (18, 5) = 0.21645324044442117e-11, (19, 1) = -0.5148896773711696e-9, (19, 2) = -0.6805942618791494e-11, (19, 3) = 0.7290389637347693e-11, (19, 4) = -0.1127780748270535e-11, (19, 5) = 0.1426574333434267e-11, (20, 1) = -0.5172260423041393e-9, (20, 2) = -0.4657799114489725e-11, (20, 3) = 0.5567830559435603e-11, (20, 4) = -0.5303365272165861e-12, (20, 5) = 0.7538287303084591e-12, (21, 1) = -0.5191746746088076e-9, (21, 2) = -0.25874975582162318e-11, (21, 3) = 0.3436128045689803e-11, (21, 4) = -0.15574116810816628e-12, (21, 5) = 0.30144441341623344e-12, (22, 1) = -0.5204375227141072e-9, (22, 2) = -0.11365161545683807e-11, (22, 3) = 0.1752985745214996e-11, (22, 4) = 0.3249627740759922e-13, (22, 5) = 0.5150782611193112e-13, (23, 1) = -0.5211213531601294e-9, (23, 2) = -0.3082774300480712e-12, (23, 3) = 0.6809547502858554e-12, (23, 4) = 0.10140915458196715e-12, (23, 5) = -0.6050324746005763e-13, (24, 1) = -0.5214281864248747e-9, (24, 2) = 0.7242912386800786e-13, (24, 3) = 0.10576899938353571e-12, (24, 4) = 0.1072206483365034e-12, (24, 5) = -0.9414790219756612e-13, (25, 1) = -0.5215366608792588e-9, (25, 2) = 0.1891469519098857e-12, (25, 3) = -0.14497650859163652e-12, (25, 4) = 0.8641875813257649e-13, (25, 5) = -0.9035857945464468e-13, (26, 1) = -0.5215615175319244e-9, (26, 2) = 0.17670718185401007e-12, (26, 3) = -0.2150167149653954e-12, (26, 4) = 0.5891552332814735e-13, (26, 5) = -0.7282784304094444e-13, (27, 1) = -0.5215650870134602e-9, (27, 2) = 0.11694313367520813e-12, (27, 3) = -0.20000655303758359e-12, (27, 4) = 0.3377761208360633e-13, (27, 5) = -0.53341189571616226e-13, (28, 1) = -0.521579349038632e-9, (28, 2) = 0.5209631819213893e-13, (28, 3) = -0.15467632068966293e-12, (28, 4) = 0.14064084565986249e-13, (28, 5) = -0.3672938482279342e-13, (29, 1) = -0.5216042456082603e-9, (29, 2) = .0, (29, 3) = -0.10651195375400426e-12, (29, 4) = .0, (29, 5) = -0.24309258949721638e-13}, datatype = float[8], order = C_order); if not type(outpoint, 'numeric') then if outpoint = "start" or outpoint = "left" then return X[1] elif outpoint = "right" then return X[29] elif outpoint = "order" then return 8 elif outpoint = "error" then return HFloat(9.47670133699624e-9) elif outpoint = "errorproc" then error "this is already the error procedure" elif outpoint = "rawdata" then return [5, 29, [g(y), diff(g(y), y), diff(diff(g(y), y), y), h(y), diff(h(y), y)], X, Y] else return ('procname')(x_bvp) end if end if; if outpoint < X[1] or X[29] < outpoint then error "solution is only defined in the range %1..%2", X[1], X[29] end if; V := array([1 = 4, 2 = 0]); if Digits <= trunc(evalhf(Digits)) then L := Vector(4, 'datatype' = 'float'[8]); yout := Vector(5, 'datatype' = 'float'[8]); evalhf(`dsolve/numeric/lagrange`(29, 5, X, Y, outpoint, var(yout), var(L), var(V))) else L := Vector(4, 'datatype' = 'sfloat'); yout := Vector(5, 'datatype' = 'sfloat'); `dsolve/numeric/lagrange`(29, 5, X, Y, outpoint, yout, L, V) end if; [y = outpoint, seq('[g(y), diff(g(y), y), diff(diff(g(y), y), y), h(y), diff(h(y), y)]'[i] = yout[i], i = 1 .. 5)] end proc; if not type(outpoint, 'numeric') then if outpoint = "start" or outpoint = "left" then return X[1] elif outpoint = "method" then return "bvp" elif outpoint = "right" then return X[29] elif outpoint = "order" then return 8 elif outpoint = "error" then return HFloat(9.47670133699624e-9) elif outpoint = "errorproc" then return eval(errproc) elif outpoint = "rawdata" then return [5, 29, "depnames", X, Y, YP] else error "non-numeric value" end if end if; if outpoint < X[1] or X[29] < outpoint then error "solution is only defined in the range %1..%2", X[1], X[29] end if; if Digits <= trunc(evalhf(Digits)) and (_EnvInFsolve <> true or _EnvDSNumericSaveDigits <= trunc(evalhf(Digits))) then V := array( 1 .. 6, [( 1 ) = (7), ( 2 ) = (0), ( 3 ) = (false), ( 4 ) = (false), ( 5 ) = (false), ( 6 ) = (false)  ] ); L := Matrix(7, 2, {(1, 1) = .0, (1, 2) = .0, (2, 1) = .0, (2, 2) = .0, (3, 1) = .0, (3, 2) = .0, (4, 1) = .0, (4, 2) = .0, (5, 1) = .0, (5, 2) = .0, (6, 1) = .0, (6, 2) = .0, (7, 1) = .0, (7, 2) = .0}, datatype = float[8], order = C_order); yout := Vector(5, {(1) = .0, (2) = .0, (3) = .0, (4) = .0, (5) = .0}, datatype = float[8]); evalhf(`dsolve/numeric/hermite`(29, 5, X, Y, YP, outpoint, var(yout), var(L), var(V))) else if _EnvInFsolve = true then Digits := _EnvDSNumericSaveDigits end if; V := array( 1 .. 6, [( 1 ) = (7), ( 2 ) = (0), ( 3 ) = (false), ( 4 ) = (false), ( 5 ) = (false), ( 6 ) = (false)  ] ); L := Matrix(7, 2, {(1, 1) = 0., (1, 2) = 0., (2, 1) = 0., (2, 2) = 0., (3, 1) = 0., (3, 2) = 0., (4, 1) = 0., (4, 2) = 0., (5, 1) = 0., (5, 2) = 0., (6, 1) = 0., (6, 2) = 0., (7, 1) = 0., (7, 2) = 0.}, order = C_order); yout := Vector(5, {(1) = 0., (2) = 0., (3) = 0., (4) = 0., (5) = 0.}); `dsolve/numeric/hermite`(29, 5, X, Y, YP, outpoint, yout, L, V) end if; [outpoint, seq(yout[i], i = 1 .. 5)] end proc, (2) = Array(1..6, {(1) = 18446884187987466566, (2) = 18446884187987467006, (3) = 18446884187987467270, (4) = 18446884187987467446, (5) = 18446884187987467622, (6) = 18446884187987467798}), (3) = [y, g(y), diff(g(y), y), diff(diff(g(y), y), y), h(y), diff(h(y), y)], (4) = 0}); solnproc := data[1]; if not type(outpoint, 'numeric') then if outpoint = "solnprocedure" then return eval(solnproc) elif member(outpoint, ["start", "left", "right", "errorproc", "rawdata", "order", "error"]) then return solnproc(y) elif outpoint = "sysvars" then return data[3] elif procname <> unknown then return ('procname')(y) else h := pointto(data[2][5]); return ('h')(y) end if end if; try res := solnproc(outpoint); res[5] catch: error  end try end proc, D(h) = proc (y) local res, data, solnproc, `D(h)`, outpoint; option `Copyright (c) 2000 by Waterloo Maple Inc. All rights reserved.`; _EnvDSNumericSaveDigits := Digits; Digits := 15; if _EnvInFsolve = true then outpoint := evalf[_EnvDSNumericSaveDigits](y) else outpoint := evalf(y) end if; data := Array(1..4, {(1) = proc (outpoint) local X, Y, YP, yout, errproc, L, V, i; option `Copyright (c) 2000 by Waterloo Maple Inc. All rights reserved.`; X := Vector(29, {(1) = .0, (2) = .6868475688873201, (3) = 1.3755694818864481, (4) = 2.0682143718350936, (5) = 2.7656618600289473, (6) = 3.4686284253590123, (7) = 4.17661098003989, (8) = 4.889009254798094, (9) = 5.6045212988808935, (10) = 6.3224529780942005, (11) = 7.0418659844902995, (12) = 7.762245674819311, (13) = 8.483238223424435, (14) = 9.204551333871233, (15) = 9.926070501029098, (16) = 10.64768103013191, (17) = 11.369348833520784, (18) = 12.091054342052754, (19) = 12.812781373230616, (20) = 13.534515985945216, (21) = 14.256239622887145, (22) = 14.977939582148815, (23) = 15.699604511035915, (24) = 16.4212086528194, (25) = 17.14283044113223, (26) = 17.864572619901118, (27) = 18.58641890913639, (28) = 19.30355908510746, (29) = 20.0}, datatype = float[8], order = C_order); Y := Matrix(29, 5, {(1, 1) = .0, (1, 2) = .0, (1, 3) = .9220907462515571, (1, 4) = 1.0, (1, 5) = -.38783340466369254, (2, 1) = .16735567649115993, (2, 2) = .4202740870445161, (2, 3) = .3373570222677326, (2, 4) = .7355419804808778, (2, 5) = -.37712948659838486, (3, 1) = .503981373982817, (3, 2) = .5163794040551701, (3, 3) = -0.19185064713216023e-1, (3, 4) = .49172724293359593, (3, 5) = -.3229448930949884, (4, 1) = .8416523710936388, (4, 2) = .4417990492201716, (4, 3) = -.16651332416146195, (4, 4) = .2977138055168734, (4, 5) = -.23454549848673548, (5, 1) = 1.1062594162789947, (5, 2) = .31549674554502644, (5, 3) = -.18074641710244985, (5, 4) = .1656168899679353, (5, 5) = -.14708087178570156, (6, 1) = 1.2861729052641508, (6, 2) = .20118216105468362, (6, 3) = -.14047902635042844, (6, 4) = 0.8647526508575375e-1, (6, 5) = -0.8263424709324725e-1, (7, 1) = 1.3974860750621676, (7, 2) = .11890906506576693, (7, 3) = -0.9294999327444896e-1, (7, 4) = 0.4326575279767381e-1, (7, 5) = -0.4313615270778873e-1, (8, 1) = 1.462026155282785, (8, 2) = 0.6667910031326235e-1, (8, 3) = -0.5593040786446294e-1, (8, 4) = 0.21068777926171442e-1, (8, 5) = -0.2150725154063105e-1, (9, 1) = 1.497740830391555, (9, 2) = 0.3603568604801351e-1, (9, 3) = -0.3167753384430381e-1, (9, 4) = 0.10096973148301623e-1, (9, 5) = -0.10438939815596704e-1, (10, 1) = 1.516864299292917, (10, 2) = 0.18960327498140035e-1, (10, 3) = -0.1722319045196687e-1, (10, 4) = 0.4793366106261327e-2, (10, 5) = -0.4988937027048127e-2, (11, 1) = 1.5268547661160343, (11, 2) = 0.9782165431635105e-2, (11, 3) = -0.910157017546314e-2, (11, 4) = 0.22637704730545526e-2, (11, 5) = -0.2364269412330906e-2, (12, 1) = 1.5319805288911161, (12, 2) = 0.49724019908313965e-2, (12, 3) = -0.47113528942048085e-2, (12, 4) = 0.10660248274790495e-2, (12, 5) = -0.11153042237558037e-2, (13, 1) = 1.5345743659775581, (13, 2) = 0.24984995067600896e-2, (13, 3) = -0.2401250250975525e-2, (13, 4) = 0.5011966820226343e-3, (13, 5) = -0.5248289826886877e-3, (14, 1) = 1.5358728194208906, (14, 2) = 0.12440119569314578e-2, (14, 3) = -0.12093215573985628e-2, (14, 4) = 0.23544738145817105e-3, (14, 5) = -0.2466587850586314e-3, (15, 1) = 1.5365173102346918, (15, 2) = 0.6148015308811455e-3, (15, 3) = -0.6032811800317005e-3, (15, 4) = 0.11055525378085771e-3, (15, 5) = -0.11584628661588081e-3, (16, 1) = 1.536834972545, (16, 2) = 0.30197726796083954e-3, (16, 3) = -0.2986490288978108e-3, (16, 4) = 0.51899799851421e-4, (16, 5) = -0.5439103696428884e-4, (17, 1) = 1.5369906451774888, (17, 2) = 0.14755307935715694e-3, (17, 3) = -0.14690575453443246e-3, (17, 4) = 0.2436052045018883e-4, (17, 5) = -0.25532771206319318e-4, (18, 1) = 1.537066559314411, (18, 2) = 0.7177236700295585e-4, (18, 3) = -0.7187729398053743e-4, (18, 4) = 0.11432662628093271e-4, (18, 5) = -0.11984713858579463e-4, (19, 1) = 1.537103419510933, (19, 2) = 0.3477022315080817e-4, (19, 3) = -0.35007749994105596e-4, (19, 4) = 0.5364472172783753e-5, (19, 5) = -0.5625174866621487e-5, (20, 1) = 1.53712124655263, (20, 2) = 0.167801854213613e-4, (20, 3) = -0.16983543378325293e-4, (20, 4) = 0.2516289536316785e-5, (20, 5) = -0.2640190816045617e-5, (21, 1) = 1.5371298351182954, (21, 2) = 0.8066191186382534e-5, (21, 3) = -0.821104246872564e-5, (21, 4) = 0.11795051188684695e-5, (21, 5) = -0.12391870423047207e-5, (22, 1) = 1.537133955359844, (22, 2) = 0.3859180935593867e-5, (22, 3) = -0.395755789320176e-5, (22, 4) = 0.5520931946642665e-6, (22, 5) = -0.5816313926576407e-6, (23, 1) = 1.5371359212718083, (23, 2) = 0.18341823395610769e-5, (23, 3) = -0.19019345748834397e-5, (23, 4) = 0.2576175590429348e-6, (23, 5) = -0.2730071797956253e-6, (24, 1) = 1.5371368515706798, (24, 2) = 0.8623290091477282e-6, (24, 3) = -0.9113341483838946e-6, (24, 4) = 0.1194038808143948e-6, (24, 5) = -0.1281526473802194e-6, (25, 1) = 1.537137285591093, (25, 2) = 0.39734387332399116e-6, (25, 3) = -0.4351065480638164e-6, (25, 4) = 0.5452376150027097e-7, (25, 5) = -0.6015514998812785e-7, (26, 1) = 1.5371374825833801, (26, 2) = 0.17577216090080783e-6, (26, 3) = -0.2066547856380797e-6, (26, 4) = 0.24065480347840778e-7, (26, 5) = -0.2823339143989368e-7, (27, 1) = 1.5371375668997003, (27, 2) = 0.7087967992164601e-7, (27, 3) = -0.9729618184580756e-7, (27, 4) = 0.9768720688503002e-8, (27, 5) = -0.13249689734274169e-7, (28, 1) = 1.5371375980011175, (28, 2) = 0.2201947952838702e-7, (28, 3) = -0.45280562029436684e-7, (28, 4) = 0.30887065486698873e-8, (28, 5) = -0.6248707867260407e-8, (29, 1) = 1.537137604689266, (29, 2) = .0, (29, 3) = -0.20841183539706994e-7, (29, 4) = .0, (29, 5) = -0.30115916942592686e-8}, datatype = float[8], order = C_order); YP := Matrix(29, 5, {(1, 1) = .0, (1, 2) = .9220907462515571, (1, 3) = -1.0, (1, 4) = -.38783340466369254, (1, 5) = .0, (2, 1) = .4202740870445161, (2, 2) = .3373570222677326, (2, 3) = -.6895707858708219, (2, 4) = -.37712948659838486, (2, 5) = 0.4303279115075219e-1, (3, 1) = .5163794040551701, (3, 2) = -0.19185064713216023e-1, (3, 3) = -.3511517120118227, (3, 4) = -.3229448930949884, (3, 5) = .11097150746096335, (4, 1) = .4417990492201716, (4, 2) = -.16651332416146195, (4, 3) = -0.9501085499656597e-1, (4, 4) = -.23454549848673548, (4, 5) = .13459484654365939, (5, 1) = .31549674554502644, (5, 2) = -.18074641710244985, (5, 3) = 0.3411652766552317e-1, (5, 4) = -.14708087178570156, (5, 5) = .11093836320508359, (6, 1) = .20118216105468362, (6, 2) = -.14047902635042844, (6, 3) = 0.6927210396491991e-1, (6, 4) = -0.8263424709324725e-1, (6, 5) = 0.7246495203970743e-1, (7, 1) = .11890906506576693, (7, 2) = -0.9294999327444896e-1, (7, 3) = 0.6122617103835701e-1, (7, 4) = -0.4313615270778873e-1, (7, 5) = 0.4110148141424317e-1, (8, 1) = 0.6667910031326235e-1, (8, 2) = -0.5593040786446294e-1, (8, 3) = 0.42483062663230695e-1, (8, 4) = -0.2150725154063105e-1, (8, 5) = 0.21439202918624025e-1, (9, 1) = 0.3603568604801351e-1, (9, 2) = -0.3167753384430381e-1, (9, 3) = 0.26135864069716998e-1, (9, 4) = -0.10438939815596704e-1, (9, 5) = 0.10660108900785871e-1, (10, 1) = 0.18960327498140035e-1, (10, 2) = -0.1722319045196687e-1, (10, 3) = 0.14980312940540426e-1, (10, 4) = -0.4988937027048127e-2, (10, 5) = 0.5159686682556715e-2, (11, 1) = 0.9782165431635105e-2, (11, 2) = -0.910157017546314e-2, (11, 3) = 0.820665675837047e-2, (11, 4) = -0.2364269412330906e-2, (11, 5) = 0.24612927413180455e-2, (12, 1) = 0.49724019908313965e-2, (12, 2) = -0.47113528942048085e-2, (12, 3) = 0.4359613237292593e-2, (12, 4) = -0.11153042237558037e-2, (12, 5) = 0.11649711508526675e-2, (13, 1) = 0.24984995067600896e-2, (13, 2) = -0.2401250250975525e-2, (13, 3) = 0.22655973789531695e-2, (13, 4) = -0.5248289826886877e-3, (13, 5) = 0.549128934106459e-3, (14, 1) = 0.12440119569314578e-2, (14, 2) = -0.12093215573985628e-2, (14, 3) = 0.11583494838774682e-2, (14, 4) = -0.2466587850586314e-3, (14, 5) = 0.2582976297565444e-3, (15, 1) = 0.6148015308811455e-3, (15, 2) = -0.6032811800317005e-3, (15, 3) = 0.5848477187234688e-3, (15, 4) = -0.11584628661588081e-3, (15, 5) = 0.12136351684889346e-3, (16, 1) = 0.30197726796083954e-3, (16, 2) = -0.2986490288978108e-3, (16, 3) = 0.29237649937883e-3, (16, 4) = -0.5439103696428884e-4, (16, 5) = 0.56993214408891095e-4, (17, 1) = 0.14755307935715694e-3, (17, 2) = -0.14690575453443246e-3, (17, 3) = 0.14499494333704743e-3, (17, 4) = -0.25532771206319318e-4, (17, 5) = 0.2675702078834315e-4, (18, 1) = 0.7177236700295585e-4, (18, 2) = -0.7187729398053743e-4, (18, 3) = 0.7143005172186065e-4, (18, 4) = -0.11984713858579463e-4, (18, 5) = 0.1255997924657351e-4, (19, 1) = 0.3477022315080817e-4, (19, 2) = -0.35007749994105596e-4, (19, 3) = 0.3499403148041789e-4, (19, 4) = -0.5625174866621487e-5, (19, 5) = 0.589532422011194e-5, (20, 1) = 0.167801854213613e-4, (20, 2) = -0.16983543378325293e-4, (20, 3) = 0.17063175277423634e-4, (20, 4) = -0.2640190816045617e-5, (20, 5) = 0.27670182261114854e-5, (21, 1) = 0.8066191186382534e-5, (21, 2) = -0.821104246872564e-5, (21, 3) = 0.828660617992783e-5, (21, 4) = -0.12391870423047207e-5, (21, 5) = 0.12987213913763072e-5, (22, 1) = 0.3859180935593867e-5, (22, 2) = -0.395755789320176e-5, (22, 3) = 0.4010386715431575e-5, (22, 4) = -0.5816313926576407e-6, (22, 5) = 0.6095763839708823e-6, (23, 1) = 0.18341823395610769e-5, (23, 2) = -0.19019345748834397e-5, (23, 3) = 0.19350330892911135e-5, (23, 4) = -0.2730071797956253e-6, (23, 5) = 0.28612441556520465e-6, (24, 1) = 0.8623290091477282e-6, (24, 2) = -0.9113341483838946e-6, (24, 3) = 0.931230468673015e-6, (24, 4) = -0.1281526473802194e-6, (24, 5) = 0.1343101069871441e-6, (25, 1) = 0.39734387332399116e-6, (25, 2) = -0.4351065480638164e-6, (25, 3) = 0.44709019111609976e-6, (25, 4) = -0.6015514998812785e-7, (25, 5) = 0.6304549361391542e-7, (26, 1) = 0.17577216090080783e-6, (26, 2) = -0.2066547856380797e-6, (26, 3) = 0.21417714781972993e-6, (26, 4) = -0.2823339143989368e-7, (26, 5) = 0.29589957438210912e-7, (27, 1) = 0.7087967992164601e-7, (27, 2) = -0.9729618184580756e-7, (27, 3) = 0.10239949399678307e-6, (27, 4) = -0.13249689734274169e-7, (27, 5) = 0.13886315345671458e-7, (28, 1) = 0.2201947952838702e-7, (28, 2) = -0.45280562029436684e-7, (28, 3) = 0.4911313445931053e-7, (28, 4) = -0.6248707867260407e-8, (28, 5) = 0.6548948046607739e-8, (29, 1) = .0, (29, 2) = -0.20841183539706994e-7, (29, 3) = 0.24026825208835925e-7, (29, 4) = -0.30115916942592686e-8, (29, 5) = 0.31562937567380326e-8}, datatype = float[8], order = C_order); errproc := proc (x_bvp) local outpoint, X, Y, yout, L, V, i; option `Copyright (c) 2000 by Waterloo Maple Inc. All rights reserved.`; Digits := 15; outpoint := evalf(x_bvp); X := Vector(29, {(1) = .0, (2) = .6868475688873201, (3) = 1.3755694818864481, (4) = 2.0682143718350936, (5) = 2.7656618600289473, (6) = 3.4686284253590123, (7) = 4.17661098003989, (8) = 4.889009254798094, (9) = 5.6045212988808935, (10) = 6.3224529780942005, (11) = 7.0418659844902995, (12) = 7.762245674819311, (13) = 8.483238223424435, (14) = 9.204551333871233, (15) = 9.926070501029098, (16) = 10.64768103013191, (17) = 11.369348833520784, (18) = 12.091054342052754, (19) = 12.812781373230616, (20) = 13.534515985945216, (21) = 14.256239622887145, (22) = 14.977939582148815, (23) = 15.699604511035915, (24) = 16.4212086528194, (25) = 17.14283044113223, (26) = 17.864572619901118, (27) = 18.58641890913639, (28) = 19.30355908510746, (29) = 20.0}, datatype = float[8], order = C_order); Y := Matrix(29, 5, {(1, 1) = .0, (1, 2) = .0, (1, 3) = 0.947670133699624e-8, (1, 4) = .0, (1, 5) = -0.16801628863722625e-8, (2, 1) = -0.5562688680729497e-9, (2, 2) = -0.21544394426163097e-8, (2, 3) = 0.287293894307546e-8, (2, 4) = -0.37357656722536194e-8, (2, 5) = 0.32217191547761024e-8, (3, 1) = -0.8350526558565278e-8, (3, 2) = 0.4134830634172977e-8, (3, 3) = 0.12491061704911204e-8, (3, 4) = 0.3909918765623829e-8, (3, 5) = -0.20757291059677243e-9, (4, 1) = 0.16671389719705844e-9, (4, 2) = 0.3648160715899586e-8, (4, 3) = -0.528396986802508e-8, (4, 4) = 0.4823828777432993e-9, (4, 5) = -0.2408743014606509e-8, (5, 1) = 0.5571634668634835e-8, (5, 2) = -0.5437715786747662e-8, (5, 3) = 0.33059473772110423e-8, (5, 4) = -0.32522595808460493e-8, (5, 5) = 0.24277913015859777e-8, (6, 1) = -0.25669375582958455e-9, (6, 2) = -0.24447686990555343e-8, (6, 3) = 0.37763491733330965e-8, (6, 4) = 0.16312740125029958e-9, (6, 5) = 0.2836817825937946e-9, (7, 1) = -0.32389377868904443e-8, (7, 2) = 0.1881042655673872e-8, (7, 3) = -0.11396650576233194e-8, (7, 4) = 0.10620111323548136e-8, (7, 5) = -0.9612930708926523e-9, (8, 1) = -0.18812922832728336e-8, (8, 2) = 0.14232046751044453e-8, (8, 3) = -0.1537803668361072e-8, (8, 4) = 0.1770842620028042e-9, (8, 5) = -0.15945787869057221e-9, (9, 1) = -0.4702411602328281e-9, (9, 2) = 0.320333402872091e-11, (9, 3) = -0.9185162120441862e-10, (9, 4) = -0.19095599932287843e-9, (9, 5) = 0.23643248136766287e-9, (10, 1) = -0.17417744006906416e-9, (10, 2) = -0.4092039771380655e-9, (10, 3) = 0.4774557415611376e-9, (10, 4) = -0.11595631798509842e-9, (10, 5) = 0.14655938678934742e-9, (11, 1) = -0.36430615951141193e-9, (11, 2) = -0.22503070324966588e-9, (11, 3) = 0.31318800713246974e-9, (11, 4) = -0.7102340842716831e-11, (11, 5) = 0.14634454169986603e-10, (12, 1) = -0.5396388972588783e-9, (12, 2) = -0.10024023632452876e-10, (12, 3) = 0.52585615313555275e-10, (12, 4) = 0.30763893139739825e-10, (12, 5) = -0.34005653195770876e-10, (13, 1) = -0.5943567114066009e-9, (13, 2) = 0.7448998028657788e-10, (13, 3) = -0.708034730465589e-10, (13, 4) = 0.26507725195353555e-10, (13, 5) = -0.3134708409282319e-10, (14, 1) = -0.5789647343263283e-9, (14, 2) = 0.6946997649814925e-10, (14, 3) = -0.8160855192822036e-10, (14, 4) = 0.12965812897819388e-10, (14, 5) = -0.16205118685268952e-10, (15, 1) = -0.5480288674538708e-9, (15, 2) = 0.3755086868784173e-10, (15, 3) = -0.50490114989597235e-10, (15, 4) = 0.32350773786510558e-11, (15, 5) = -0.4700861305885854e-11, (16, 1) = -0.5257284342112479e-9, (16, 2) = 0.10919861164588246e-10, (16, 3) = -0.19346772632557297e-10, (16, 4) = -0.11790344440137198e-11, (16, 5) = 0.832624535476741e-12, (17, 1) = -0.5155200016654919e-9, (17, 2) = -0.30465560714292855e-11, (17, 3) = -0.8267473293057957e-12, (17, 4) = -0.22320654114644123e-11, (17, 5) = 0.2400655612059856e-11, (18, 1) = -0.5133923272616294e-9, (18, 2) = -0.737945441660333e-11, (18, 3) = 0.64527937509837154e-11, (18, 4) = -0.18460323317176304e-11, (18, 5) = 0.21645324044442117e-11, (19, 1) = -0.5148896773711696e-9, (19, 2) = -0.6805942618791494e-11, (19, 3) = 0.7290389637347693e-11, (19, 4) = -0.1127780748270535e-11, (19, 5) = 0.1426574333434267e-11, (20, 1) = -0.5172260423041393e-9, (20, 2) = -0.4657799114489725e-11, (20, 3) = 0.5567830559435603e-11, (20, 4) = -0.5303365272165861e-12, (20, 5) = 0.7538287303084591e-12, (21, 1) = -0.5191746746088076e-9, (21, 2) = -0.25874975582162318e-11, (21, 3) = 0.3436128045689803e-11, (21, 4) = -0.15574116810816628e-12, (21, 5) = 0.30144441341623344e-12, (22, 1) = -0.5204375227141072e-9, (22, 2) = -0.11365161545683807e-11, (22, 3) = 0.1752985745214996e-11, (22, 4) = 0.3249627740759922e-13, (22, 5) = 0.5150782611193112e-13, (23, 1) = -0.5211213531601294e-9, (23, 2) = -0.3082774300480712e-12, (23, 3) = 0.6809547502858554e-12, (23, 4) = 0.10140915458196715e-12, (23, 5) = -0.6050324746005763e-13, (24, 1) = -0.5214281864248747e-9, (24, 2) = 0.7242912386800786e-13, (24, 3) = 0.10576899938353571e-12, (24, 4) = 0.1072206483365034e-12, (24, 5) = -0.9414790219756612e-13, (25, 1) = -0.5215366608792588e-9, (25, 2) = 0.1891469519098857e-12, (25, 3) = -0.14497650859163652e-12, (25, 4) = 0.8641875813257649e-13, (25, 5) = -0.9035857945464468e-13, (26, 1) = -0.5215615175319244e-9, (26, 2) = 0.17670718185401007e-12, (26, 3) = -0.2150167149653954e-12, (26, 4) = 0.5891552332814735e-13, (26, 5) = -0.7282784304094444e-13, (27, 1) = -0.5215650870134602e-9, (27, 2) = 0.11694313367520813e-12, (27, 3) = -0.20000655303758359e-12, (27, 4) = 0.3377761208360633e-13, (27, 5) = -0.53341189571616226e-13, (28, 1) = -0.521579349038632e-9, (28, 2) = 0.5209631819213893e-13, (28, 3) = -0.15467632068966293e-12, (28, 4) = 0.14064084565986249e-13, (28, 5) = -0.3672938482279342e-13, (29, 1) = -0.5216042456082603e-9, (29, 2) = .0, (29, 3) = -0.10651195375400426e-12, (29, 4) = .0, (29, 5) = -0.24309258949721638e-13}, datatype = float[8], order = C_order); if not type(outpoint, 'numeric') then if outpoint = "start" or outpoint = "left" then return X[1] elif outpoint = "right" then return X[29] elif outpoint = "order" then return 8 elif outpoint = "error" then return HFloat(9.47670133699624e-9) elif outpoint = "errorproc" then error "this is already the error procedure" elif outpoint = "rawdata" then return [5, 29, [g(y), diff(g(y), y), diff(diff(g(y), y), y), h(y), diff(h(y), y)], X, Y] else return ('procname')(x_bvp) end if end if; if outpoint < X[1] or X[29] < outpoint then error "solution is only defined in the range %1..%2", X[1], X[29] end if; V := array([1 = 4, 2 = 0]); if Digits <= trunc(evalhf(Digits)) then L := Vector(4, 'datatype' = 'float'[8]); yout := Vector(5, 'datatype' = 'float'[8]); evalhf(`dsolve/numeric/lagrange`(29, 5, X, Y, outpoint, var(yout), var(L), var(V))) else L := Vector(4, 'datatype' = 'sfloat'); yout := Vector(5, 'datatype' = 'sfloat'); `dsolve/numeric/lagrange`(29, 5, X, Y, outpoint, yout, L, V) end if; [y = outpoint, seq('[g(y), diff(g(y), y), diff(diff(g(y), y), y), h(y), diff(h(y), y)]'[i] = yout[i], i = 1 .. 5)] end proc; if not type(outpoint, 'numeric') then if outpoint = "start" or outpoint = "left" then return X[1] elif outpoint = "method" then return "bvp" elif outpoint = "right" then return X[29] elif outpoint = "order" then return 8 elif outpoint = "error" then return HFloat(9.47670133699624e-9) elif outpoint = "errorproc" then return eval(errproc) elif outpoint = "rawdata" then return [5, 29, "depnames", X, Y, YP] else error "non-numeric value" end if end if; if outpoint < X[1] or X[29] < outpoint then error "solution is only defined in the range %1..%2", X[1], X[29] end if; if Digits <= trunc(evalhf(Digits)) and (_EnvInFsolve <> true or _EnvDSNumericSaveDigits <= trunc(evalhf(Digits))) then V := array( 1 .. 6, [( 1 ) = (7), ( 2 ) = (0), ( 3 ) = (false), ( 4 ) = (false), ( 5 ) = (false), ( 6 ) = (false)  ] ); L := Matrix(7, 2, {(1, 1) = .0, (1, 2) = .0, (2, 1) = .0, (2, 2) = .0, (3, 1) = .0, (3, 2) = .0, (4, 1) = .0, (4, 2) = .0, (5, 1) = .0, (5, 2) = .0, (6, 1) = .0, (6, 2) = .0, (7, 1) = .0, (7, 2) = .0}, datatype = float[8], order = C_order); yout := Vector(5, {(1) = .0, (2) = .0, (3) = .0, (4) = .0, (5) = .0}, datatype = float[8]); evalhf(`dsolve/numeric/hermite`(29, 5, X, Y, YP, outpoint, var(yout), var(L), var(V))) else if _EnvInFsolve = true then Digits := _EnvDSNumericSaveDigits end if; V := array( 1 .. 6, [( 1 ) = (7), ( 2 ) = (0), ( 3 ) = (false), ( 4 ) = (false), ( 5 ) = (false), ( 6 ) = (false)  ] ); L := Matrix(7, 2, {(1, 1) = 0., (1, 2) = 0., (2, 1) = 0., (2, 2) = 0., (3, 1) = 0., (3, 2) = 0., (4, 1) = 0., (4, 2) = 0., (5, 1) = 0., (5, 2) = 0., (6, 1) = 0., (6, 2) = 0., (7, 1) = 0., (7, 2) = 0.}, order = C_order); yout := Vector(5, {(1) = 0., (2) = 0., (3) = 0., (4) = 0., (5) = 0.}); `dsolve/numeric/hermite`(29, 5, X, Y, YP, outpoint, yout, L, V) end if; [outpoint, seq(yout[i], i = 1 .. 5)] end proc, (2) = Array(1..6, {(1) = 18446884187987466566, (2) = 18446884187987467006, (3) = 18446884187987467270, (4) = 18446884187987467446, (5) = 18446884187987467622, (6) = 18446884187987467798}), (3) = [y, g(y), diff(g(y), y), diff(diff(g(y), y), y), h(y), diff(h(y), y)], (4) = 0}); solnproc := data[1]; if not type(outpoint, 'numeric') then if outpoint = "solnprocedure" then return eval(solnproc) elif member(outpoint, ["start", "left", "right", "errorproc", "rawdata", "order", "error"]) then return solnproc(y) elif outpoint = "sysvars" then return data[3] elif procname <> unknown then return ('procname')(y) else `D(h)` := pointto(data[2][6]); return ('`D(h)`')(y) end if end if; try res := solnproc(outpoint); res[6] catch: error  end try end proc]

sol2 := dsolve([eval(sys_ode, n = 1), ics], numeric, output = operator, continuation = lambda)

[y = proc (y) local _res, _dat, _solnproc; option `Copyright (c) 1993 by the University of Waterloo. All rights reserved.`; _dat := Array(1..4, {(1) = proc (outpoint) local X, Y, YP, yout, errproc, L, V, i; option `Copyright (c) 2000 by Waterloo Maple Inc. All rights reserved.`; X := Vector(23, {(1) = .0, (2) = .8799831042532784, (3) = 1.763772371553262, (4) = 2.654402578229091, (5) = 3.553045082129558, (6) = 4.4586129408519, (7) = 5.368912785498599, (8) = 6.281998076176939, (9) = 7.196599390092052, (10) = 8.112001132142932, (11) = 9.027808856750797, (12) = 9.943796151122035, (13) = 10.859842591432589, (14) = 11.775909928091433, (15) = 12.69200195250145, (16) = 13.608108476818263, (17) = 14.524205241796912, (18) = 15.440280945947823, (19) = 16.356315458558022, (20) = 17.272324219157973, (21) = 18.18845135779876, (22) = 19.104508127436276, (23) = 20.0}, datatype = float[8], order = C_order); Y := Matrix(23, 5, {(1, 1) = .0, (1, 2) = .0, (1, 3) = .7509958992140092, (1, 4) = 1.0, (1, 5) = -.5766182177889736, (2, 1) = .19294506823253071, (2, 2) = .345717339320025, (2, 3) = .11748530886258848, (2, 4) = .5437094913262883, (2, 5) = -.42619398711861173, (3, 1) = .5054078147971317, (3, 2) = .3295368928873986, (3, 3) = -.10281256306809654, (3, 4) = .25842450171487663, (3, 5) = -.22929557876687195, (4, 1) = .7517816685489124, (4, 2) = .2211740580910692, (4, 3) = -.12239573074044155, (4, 4) = .11436339993638699, (4, 5) = -.10715356554772232, (5, 1) = .9054483747328635, (5, 2) = .1264140268653532, (5, 3) = -0.8591949919337281e-1, (5, 4) = 0.48719039228723914e-1, (5, 5) = -0.4672290447819592e-1, (6, 1) = .9900111442791364, (6, 2) = 0.6583176447988233e-1, (6, 3) = -0.4973034058218495e-1, (6, 4) = 0.20344942782691302e-1, (6, 5) = -0.1969778835995821e-1, (7, 1) = 1.0330480370810036, (7, 2) = 0.32315267535371534e-1, (7, 3) = -0.2600272586003493e-1, (7, 4) = 0.841131598460929e-2, (7, 5) = -0.8174310046940966e-2, (8, 1) = 1.0538493557885784, (8, 2) = 0.15247583407686798e-1, (8, 3) = -0.12786769213836738e-1, (8, 4) = 0.3460729946239088e-2, (8, 5) = -0.3368066407962972e-2, (9, 1) = 1.0635555317661158, (9, 2) = 0.6998105041282296e-2, (9, 3) = -0.604035420324911e-2, (9, 4) = 0.14206067753971528e-2, (9, 5) = -0.13833280384499146e-2, (10, 1) = 1.067973284021565, (10, 2) = 0.31478225677167735e-2, (10, 3) = -0.2774978205981712e-2, (10, 4) = 0.582512305832151e-3, (10, 5) = -0.5673463700191876e-3, (11, 1) = 1.0699476410036053, (11, 2) = 0.13945650673762352e-2, (11, 3) = -0.12492766558546968e-2, (11, 4) = 0.23873182831542274e-3, (11, 5) = -0.23253747538797784e-3, (12, 1) = 1.070817852106119, (12, 2) = 0.6105700389362067e-3, (12, 3) = -0.553893319523471e-3, (12, 4) = 0.9781649764191596e-4, (12, 5) = -0.9528435644133216e-4, (13, 1) = 1.071197262363775, (13, 2) = 0.26480452107368317e-3, (13, 3) = -0.24268469519682714e-3, (13, 4) = 0.4007386033544328e-4, (13, 5) = -0.39040038537364915e-4, (14, 1) = 1.0713612440610472, (14, 2) = 0.11394909512081752e-3, (14, 3) = -0.10532867430154103e-3, (14, 4) = 0.16415288070247586e-4, (14, 5) = -0.15995006093854115e-4, (15, 1) = 1.0714315982101714, (15, 2) = 0.4870000930855666e-4, (15, 3) = -0.45361559105776056e-4, (15, 4) = 0.6722049068016235e-5, (15, 5) = -0.655308793716169e-5, (16, 1) = 1.071461583562454, (16, 2) = 0.20679444144369147e-4, (16, 3) = -0.1941000219193855e-4, (16, 4) = 0.2750733132001786e-5, (16, 5) = -0.26847296756546684e-5, (17, 1) = 1.0714742787121994, (17, 2) = 0.8718850547396554e-5, (17, 3) = -0.8259728398401262e-5, (17, 4) = 0.11237385463905423e-5, (17, 5) = -0.10999141617991744e-5, (18, 1) = 1.0714796105551125, (18, 2) = 0.3640252978905283e-5, (18, 3) = -0.3497402269851553e-5, (18, 4) = 0.45718005927355556e-6, (18, 5) = -0.45063567228372506e-6, (19, 1) = 1.0714818225105625, (19, 2) = 0.14944389063713663e-5, (19, 3) = -0.14735566530371413e-5, (19, 4) = 0.18409802069572952e-6, (19, 5) = -0.1846330205946365e-6, (20, 1) = 1.0714827192138023, (20, 2) = 0.5925773918561377e-6, (20, 3) = -0.6170979188394264e-6, (20, 4) = 0.7221359286521267e-7, (20, 5) = -0.756490724910656e-7, (21, 1) = 1.071483064754158, (21, 2) = 0.2162423610813038e-6, (21, 3) = -0.25593520469778174e-6, (21, 4) = 0.26367855391509727e-7, (21, 5) = -0.3099182802156362e-7, (22, 1) = 1.07148318136988, (22, 2) = 0.6124869999887661e-7, (22, 3) = -0.10415162185182523e-6, (22, 4) = 0.7586701144665916e-8, (22, 5) = -0.12697548109268844e-7, (23, 1) = 1.0714832046525464, (23, 2) = .0, (23, 3) = -0.414339042389871e-7, (23, 4) = .0, (23, 5) = -0.5307519484383215e-8}, datatype = float[8], order = C_order); YP := Matrix(23, 5, {(1, 1) = .0, (1, 2) = .7509958992140092, (1, 3) = -1.0, (1, 4) = -.5766182177889736, (1, 5) = .0, (2, 1) = .345717339320025, (2, 2) = .11748530886258848, (2, 3) = -.44685722355458307, (2, 4) = -.42619398711861173, (2, 5) = .2456380242084213, (3, 1) = .3295368928873986, (3, 2) = -.10281256306809654, (3, 3) = -0.9786766510705683e-1, (3, 4) = -.22929557876687195, (3, 5) = .1827710770439118, (4, 1) = .2211740580910692, (4, 2) = -.12239573074044155, (4, 3) = 0.26569430715397205e-1, (4, 4) = -.10715356554772232, (4, 5) = 0.9622754869041322e-1, (5, 1) = .1264140268653532, (5, 2) = -0.8591949919337281e-1, (5, 3) = 0.4505713786209132e-1, (5, 4) = -0.4672290447819592e-1, (5, 5) = 0.44058134414995835e-1, (6, 1) = 0.6583176447988233e-1, (6, 2) = -0.4973034058218495e-1, (6, 3) = 0.332224698170035e-1, (6, 4) = -0.1969778835995821e-1, (6, 5) = 0.18945794068761176e-1, (7, 1) = 0.32315267535371534e-1, (7, 2) = -0.2600272586003493e-1, (7, 3) = 0.19495025439737884e-1, (7, 4) = -0.8174310046940966e-2, (7, 5) = 0.792388079531917e-2, (8, 1) = 0.15247583407686798e-1, (8, 2) = -0.12786769213836738e-1, (8, 3) = 0.10247087352154351e-1, (8, 4) = -0.3368066407962972e-2, (8, 5) = 0.3274729438901535e-2, (9, 1) = 0.6998105041282296e-2, (9, 2) = -0.604035420324911e-2, (9, 3) = 0.5052618825463968e-2, (9, 4) = -0.13833280384499146e-2, (9, 5) = 0.13465343117974211e-2, (10, 1) = 0.31478225677167735e-2, (10, 2) = -0.2774978205981712e-2, (10, 3) = 0.2390999068816236e-2, (10, 4) = -0.5673463700191876e-3, (10, 5) = 0.5524949194085244e-3, (11, 1) = 0.13945650673762352e-2, (11, 2) = -0.12492766558546968e-2, (11, 3) = 0.1099873594304329e-2, (11, 4) = -0.23253747538797784e-3, (11, 5) = 0.22648713664049123e-3, (12, 1) = 0.6105700389362067e-3, (12, 2) = -0.553893319523471e-3, (12, 3) = 0.495675152838582e-3, (12, 4) = -0.9528435644133216e-4, (12, 5) = 0.9281083066054085e-4, (13, 1) = 0.26480452107368317e-3, (13, 2) = -0.24268469519682714e-3, (13, 3) = 0.21995944221136622e-3, (13, 4) = -0.39040038537364915e-4, (13, 5) = 0.3802744922108661e-4, (14, 1) = 0.11394909512081752e-3, (14, 2) = -0.10532867430154103e-3, (14, 3) = 0.9644275586103112e-4, (14, 4) = -0.15995006093854115e-4, (14, 5) = 0.15580272849724842e-4, (15, 1) = 0.4870000930855666e-4, (15, 2) = -0.45361559105776056e-4, (15, 3) = 0.41882130392897214e-4, (15, 4) = -0.655308793716169e-5, (15, 5) = 0.6383193495979208e-5, (16, 1) = 0.20679444144369147e-4, (16, 2) = -0.1941000219193855e-4, (16, 3) = 0.18046766192933517e-4, (16, 4) = -0.26847296756546684e-5, (16, 5) = 0.26151287212238395e-5, (17, 1) = 0.8718850547396554e-5, (17, 2) = -0.8259728398401262e-5, (17, 3) = 0.7726423999999988e-5, (17, 4) = -0.10999141617991744e-5, (17, 5) = 0.1071399573515949e-5, (18, 1) = 0.3640252978905283e-5, (18, 2) = -0.3497402269851553e-5, (18, 3) = 0.32902284142233035e-5, (18, 4) = -0.45063567228372506e-6, (18, 5) = 0.43895327171989055e-6, (19, 1) = 0.14944389063713663e-5, (19, 2) = -0.14735566530371413e-5, (19, 3) = 0.13947933808207162e-5, (19, 4) = -0.1846330205946365e-6, (19, 5) = 0.1798465459323782e-6, (20, 1) = 0.5925773918561377e-6, (20, 2) = -0.6170979188394264e-6, (20, 3) = 0.5889965143819995e-6, (20, 4) = -0.756490724910656e-7, (20, 5) = 0.7368792426442866e-7, (21, 1) = 0.2162423610813038e-6, (21, 2) = -0.25593520469778174e-6, (21, 3) = 0.24786242887731095e-6, (21, 4) = -0.3099182802156362e-7, (21, 5) = 0.3018838597520553e-7, (22, 1) = 0.6124869999887661e-7, (22, 2) = -0.10415162185182523e-6, (22, 3) = 0.10401001373336376e-6, (22, 4) = -0.12697548109268844e-7, (22, 5) = 0.12368372462174604e-7, (23, 1) = .0, (23, 2) = -0.414339042389871e-7, (23, 3) = 0.4439573249525663e-7, (23, 4) = -0.5307519484383215e-8, (23, 5) = 0.5169925441711597e-8}, datatype = float[8], order = C_order); errproc := proc (x_bvp) local outpoint, X, Y, yout, L, V, i; option `Copyright (c) 2000 by Waterloo Maple Inc. All rights reserved.`; Digits := 15; outpoint := evalf(x_bvp); X := Vector(23, {(1) = .0, (2) = .8799831042532784, (3) = 1.763772371553262, (4) = 2.654402578229091, (5) = 3.553045082129558, (6) = 4.4586129408519, (7) = 5.368912785498599, (8) = 6.281998076176939, (9) = 7.196599390092052, (10) = 8.112001132142932, (11) = 9.027808856750797, (12) = 9.943796151122035, (13) = 10.859842591432589, (14) = 11.775909928091433, (15) = 12.69200195250145, (16) = 13.608108476818263, (17) = 14.524205241796912, (18) = 15.440280945947823, (19) = 16.356315458558022, (20) = 17.272324219157973, (21) = 18.18845135779876, (22) = 19.104508127436276, (23) = 20.0}, datatype = float[8], order = C_order); Y := Matrix(23, 5, {(1, 1) = .0, (1, 2) = .0, (1, 3) = 0.18677723346185155e-6, (1, 4) = .0, (1, 5) = -0.1601034189830942e-6, (2, 1) = 0.37448226506023734e-7, (2, 2) = -0.4882419193663561e-8, (2, 3) = 0.32590922758163096e-7, (2, 4) = 0.8384642286135039e-8, (2, 5) = -0.3822989163192259e-7, (3, 1) = 0.4178076522983118e-7, (3, 2) = -0.32454728940560626e-7, (3, 3) = 0.5559818911848743e-7, (3, 4) = 0.255368475385125e-7, (3, 5) = -0.26372934101735208e-7, (4, 1) = -0.3503349256133378e-8, (4, 2) = 0.23271413239470415e-7, (4, 3) = -0.13109277388977377e-7, (4, 4) = 0.1940395871477904e-7, (4, 5) = -0.21150015818914884e-7, (5, 1) = 0.9049822894255894e-8, (5, 2) = 0.2044098278596014e-7, (5, 3) = -0.23457165838090578e-7, (5, 4) = 0.2721022646410278e-8, (5, 5) = -0.3786091636826618e-8, (6, 1) = 0.27051273759362853e-7, (6, 2) = 0.15343716259627215e-9, (6, 3) = -0.21958032487259045e-8, (6, 4) = -0.4159511453386257e-9, (6, 5) = 0.38101170586747216e-10, (7, 1) = 0.29235514018364573e-7, (7, 2) = -0.453106337656716e-8, (7, 3) = 0.46319249349793395e-8, (7, 4) = 0.46342814231151797e-9, (7, 5) = -0.6792806203548744e-9, (8, 1) = 0.26054556255110013e-7, (8, 2) = -0.1882133375224601e-8, (8, 3) = 0.2244789452496081e-8, (8, 4) = 0.711835820669783e-9, (8, 5) = -0.8568477954792043e-9, (9, 1) = 0.24106962716022037e-7, (9, 2) = 0.1629685214904445e-9, (9, 3) = -0.11146494499834733e-9, (9, 4) = 0.45110688737061194e-9, (9, 5) = -0.539236754168219e-9, (10, 1) = 0.2374177391716608e-7, (10, 2) = 0.5860236135721297e-9, (10, 3) = -0.7196114662102999e-9, (10, 4) = 0.18313053413689276e-9, (10, 5) = -0.23112721605478909e-9, (11, 1) = 0.23938814887888642e-7, (11, 2) = 0.34670384490097316e-9, (11, 3) = -0.499387007098935e-9, (11, 4) = 0.40264060755003194e-10, (11, 5) = -0.6396528893681144e-10, (12, 1) = 0.2413280997412847e-7, (12, 2) = 0.8123434213412095e-10, (12, 3) = -0.18766851557521373e-9, (12, 4) = -0.10028889791867737e-10, (12, 5) = -0.5607571181840299e-12, (13, 1) = 0.24205166580449604e-7, (13, 2) = -0.4873554507228097e-10, (13, 3) = -0.9122645013749574e-11, (13, 4) = -0.1774384229814944e-10, (13, 5) = 0.13554216810388484e-10, (14, 1) = 0.24197923253315855e-7, (14, 2) = -0.7644103795235015e-10, (14, 3) = 0.5059366630228127e-10, (14, 4) = -0.12500071087031085e-10, (14, 5) = 0.11123935740845305e-10, (15, 1) = 0.24164459411748233e-7, (15, 2) = -0.6066740320325875e-10, (15, 3) = 0.5144731921398412e-10, (15, 4) = -0.63139041944452e-11, (15, 5) = 0.6018851574113935e-11, (16, 1) = 0.24133003199149926e-7, (16, 2) = -0.36959226456229056e-10, (16, 3) = 0.34807094444056334e-10, (16, 4) = -0.2296584459403134e-11, (16, 5) = 0.2328976704823776e-11, (17, 1) = 0.24111780059612412e-7, (17, 2) = -0.1873228504203057e-10, (17, 3) = 0.18878272014729034e-10, (17, 4) = -0.33241174545583766e-12, (17, 5) = 0.40568885552430346e-12, (18, 1) = 0.24099883385166445e-7, (18, 2) = -0.7930627600316472e-11, (18, 3) = 0.8419004595137473e-11, (18, 4) = 0.3767477185747604e-12, (18, 5) = -0.34832143812623605e-12, (19, 1) = 0.2409407001294113e-7, (19, 2) = -0.26201105239283355e-11, (19, 3) = 0.2849865664815142e-11, (19, 4) = 0.485146485573298e-12, (19, 5) = -0.5118521121703797e-12, (20, 1) = 0.24091528694372805e-7, (20, 2) = -0.4820658103323563e-12, (20, 3) = 0.3930534221642779e-12, (20, 4) = 0.37341039360175125e-12, (20, 5) = -0.4432984456493013e-12, (21, 1) = 0.24090485353105713e-7, (21, 2) = 0.12932248130697764e-12, (21, 3) = -0.4349598146471398e-12, (21, 4) = 0.22003866786553054e-12, (21, 5) = -0.31866839336921104e-12, (22, 1) = 0.24090016159892753e-7, (22, 2) = 0.14345040328921917e-12, (22, 3) = -0.5483809312163577e-12, (22, 4) = 0.9076616249531766e-13, (22, 5) = -0.20691039898422648e-12, (23, 1) = 0.24089729356345837e-7, (23, 2) = .0, (23, 3) = -0.4163274954165759e-12, (23, 4) = .0, (23, 5) = -0.12614313243075443e-12}, datatype = float[8], order = C_order); if not type(outpoint, 'numeric') then if outpoint = "start" or outpoint = "left" then return X[1] elif outpoint = "right" then return X[23] elif outpoint = "order" then return 8 elif outpoint = "error" then return HFloat(1.8677723346185155e-7) elif outpoint = "errorproc" then error "this is already the error procedure" elif outpoint = "rawdata" then return [5, 23, [g(y), diff(g(y), y), diff(diff(g(y), y), y), h(y), diff(h(y), y)], X, Y] else return ('procname')(x_bvp) end if end if; if outpoint < X[1] or X[23] < outpoint then error "solution is only defined in the range %1..%2", X[1], X[23] end if; V := array([1 = 4, 2 = 0]); if Digits <= trunc(evalhf(Digits)) then L := Vector(4, 'datatype' = 'float'[8]); yout := Vector(5, 'datatype' = 'float'[8]); evalhf(`dsolve/numeric/lagrange`(23, 5, X, Y, outpoint, var(yout), var(L), var(V))) else L := Vector(4, 'datatype' = 'sfloat'); yout := Vector(5, 'datatype' = 'sfloat'); `dsolve/numeric/lagrange`(23, 5, X, Y, outpoint, yout, L, V) end if; [y = outpoint, seq('[g(y), diff(g(y), y), diff(diff(g(y), y), y), h(y), diff(h(y), y)]'[i] = yout[i], i = 1 .. 5)] end proc; if not type(outpoint, 'numeric') then if outpoint = "start" or outpoint = "left" then return X[1] elif outpoint = "method" then return "bvp" elif outpoint = "right" then return X[23] elif outpoint = "order" then return 8 elif outpoint = "error" then return HFloat(1.8677723346185155e-7) elif outpoint = "errorproc" then return eval(errproc) elif outpoint = "rawdata" then return [5, 23, "depnames", X, Y, YP] else error "non-numeric value" end if end if; if outpoint < X[1] or X[23] < outpoint then error "solution is only defined in the range %1..%2", X[1], X[23] end if; if Digits <= trunc(evalhf(Digits)) and (_EnvInFsolve <> true or _EnvDSNumericSaveDigits <= trunc(evalhf(Digits))) then V := array( 1 .. 6, [( 1 ) = (7), ( 2 ) = (0), ( 3 ) = (false), ( 4 ) = (false), ( 5 ) = (false), ( 6 ) = (false)  ] ); L := Matrix(7, 2, {(1, 1) = .0, (1, 2) = .0, (2, 1) = .0, (2, 2) = .0, (3, 1) = .0, (3, 2) = .0, (4, 1) = .0, (4, 2) = .0, (5, 1) = .0, (5, 2) = .0, (6, 1) = .0, (6, 2) = .0, (7, 1) = .0, (7, 2) = .0}, datatype = float[8], order = C_order); yout := Vector(5, {(1) = .0, (2) = .0, (3) = .0, (4) = .0, (5) = .0}, datatype = float[8]); evalhf(`dsolve/numeric/hermite`(23, 5, X, Y, YP, outpoint, var(yout), var(L), var(V))) else if _EnvInFsolve = true then Digits := _EnvDSNumericSaveDigits end if; V := array( 1 .. 6, [( 1 ) = (7), ( 2 ) = (0), ( 3 ) = (false), ( 4 ) = (false), ( 5 ) = (false), ( 6 ) = (false)  ] ); L := Matrix(7, 2, {(1, 1) = 0., (1, 2) = 0., (2, 1) = 0., (2, 2) = 0., (3, 1) = 0., (3, 2) = 0., (4, 1) = 0., (4, 2) = 0., (5, 1) = 0., (5, 2) = 0., (6, 1) = 0., (6, 2) = 0., (7, 1) = 0., (7, 2) = 0.}, order = C_order); yout := Vector(5, {(1) = 0., (2) = 0., (3) = 0., (4) = 0., (5) = 0.}); `dsolve/numeric/hermite`(23, 5, X, Y, YP, outpoint, yout, L, V) end if; [outpoint, seq(yout[i], i = 1 .. 5)] end proc, (2) = Array(1..6, {(1) = 18446884187980970662, (2) = 18446884187980970838, (3) = 18446884187980971014, (4) = 18446884187980971190, (5) = 18446884187980971366, (6) = 18446884187980971542}), (3) = [y, g(y), diff(g(y), y), diff(diff(g(y), y), y), h(y), diff(h(y), y)], (4) = 0}); _solnproc := _dat[1]; if member(y, ["last", 'last']) then _res := _solnproc("last"); if type(_res, 'list') then return _res[1] end if elif type(y, `=`) and member(lhs(y), ["initial", 'initial']) then if type(rhs(y), 'list') then _res := _solnproc("initial" = [0, op(rhs(y))]) else _res := _solnproc("initial" = [1, rhs(y)]) end if; if type(_res, 'list') then return _res[1] end if elif y = "sysvars" then return _dat[3] end if; y end proc, g = proc (y) local res, data, solnproc, g, outpoint; option `Copyright (c) 2000 by Waterloo Maple Inc. All rights reserved.`; _EnvDSNumericSaveDigits := Digits; Digits := 15; if _EnvInFsolve = true then outpoint := evalf[_EnvDSNumericSaveDigits](y) else outpoint := evalf(y) end if; data := Array(1..4, {(1) = proc (outpoint) local X, Y, YP, yout, errproc, L, V, i; option `Copyright (c) 2000 by Waterloo Maple Inc. All rights reserved.`; X := Vector(23, {(1) = .0, (2) = .8799831042532784, (3) = 1.763772371553262, (4) = 2.654402578229091, (5) = 3.553045082129558, (6) = 4.4586129408519, (7) = 5.368912785498599, (8) = 6.281998076176939, (9) = 7.196599390092052, (10) = 8.112001132142932, (11) = 9.027808856750797, (12) = 9.943796151122035, (13) = 10.859842591432589, (14) = 11.775909928091433, (15) = 12.69200195250145, (16) = 13.608108476818263, (17) = 14.524205241796912, (18) = 15.440280945947823, (19) = 16.356315458558022, (20) = 17.272324219157973, (21) = 18.18845135779876, (22) = 19.104508127436276, (23) = 20.0}, datatype = float[8], order = C_order); Y := Matrix(23, 5, {(1, 1) = .0, (1, 2) = .0, (1, 3) = .7509958992140092, (1, 4) = 1.0, (1, 5) = -.5766182177889736, (2, 1) = .19294506823253071, (2, 2) = .345717339320025, (2, 3) = .11748530886258848, (2, 4) = .5437094913262883, (2, 5) = -.42619398711861173, (3, 1) = .5054078147971317, (3, 2) = .3295368928873986, (3, 3) = -.10281256306809654, (3, 4) = .25842450171487663, (3, 5) = -.22929557876687195, (4, 1) = .7517816685489124, (4, 2) = .2211740580910692, (4, 3) = -.12239573074044155, (4, 4) = .11436339993638699, (4, 5) = -.10715356554772232, (5, 1) = .9054483747328635, (5, 2) = .1264140268653532, (5, 3) = -0.8591949919337281e-1, (5, 4) = 0.48719039228723914e-1, (5, 5) = -0.4672290447819592e-1, (6, 1) = .9900111442791364, (6, 2) = 0.6583176447988233e-1, (6, 3) = -0.4973034058218495e-1, (6, 4) = 0.20344942782691302e-1, (6, 5) = -0.1969778835995821e-1, (7, 1) = 1.0330480370810036, (7, 2) = 0.32315267535371534e-1, (7, 3) = -0.2600272586003493e-1, (7, 4) = 0.841131598460929e-2, (7, 5) = -0.8174310046940966e-2, (8, 1) = 1.0538493557885784, (8, 2) = 0.15247583407686798e-1, (8, 3) = -0.12786769213836738e-1, (8, 4) = 0.3460729946239088e-2, (8, 5) = -0.3368066407962972e-2, (9, 1) = 1.0635555317661158, (9, 2) = 0.6998105041282296e-2, (9, 3) = -0.604035420324911e-2, (9, 4) = 0.14206067753971528e-2, (9, 5) = -0.13833280384499146e-2, (10, 1) = 1.067973284021565, (10, 2) = 0.31478225677167735e-2, (10, 3) = -0.2774978205981712e-2, (10, 4) = 0.582512305832151e-3, (10, 5) = -0.5673463700191876e-3, (11, 1) = 1.0699476410036053, (11, 2) = 0.13945650673762352e-2, (11, 3) = -0.12492766558546968e-2, (11, 4) = 0.23873182831542274e-3, (11, 5) = -0.23253747538797784e-3, (12, 1) = 1.070817852106119, (12, 2) = 0.6105700389362067e-3, (12, 3) = -0.553893319523471e-3, (12, 4) = 0.9781649764191596e-4, (12, 5) = -0.9528435644133216e-4, (13, 1) = 1.071197262363775, (13, 2) = 0.26480452107368317e-3, (13, 3) = -0.24268469519682714e-3, (13, 4) = 0.4007386033544328e-4, (13, 5) = -0.39040038537364915e-4, (14, 1) = 1.0713612440610472, (14, 2) = 0.11394909512081752e-3, (14, 3) = -0.10532867430154103e-3, (14, 4) = 0.16415288070247586e-4, (14, 5) = -0.15995006093854115e-4, (15, 1) = 1.0714315982101714, (15, 2) = 0.4870000930855666e-4, (15, 3) = -0.45361559105776056e-4, (15, 4) = 0.6722049068016235e-5, (15, 5) = -0.655308793716169e-5, (16, 1) = 1.071461583562454, (16, 2) = 0.20679444144369147e-4, (16, 3) = -0.1941000219193855e-4, (16, 4) = 0.2750733132001786e-5, (16, 5) = -0.26847296756546684e-5, (17, 1) = 1.0714742787121994, (17, 2) = 0.8718850547396554e-5, (17, 3) = -0.8259728398401262e-5, (17, 4) = 0.11237385463905423e-5, (17, 5) = -0.10999141617991744e-5, (18, 1) = 1.0714796105551125, (18, 2) = 0.3640252978905283e-5, (18, 3) = -0.3497402269851553e-5, (18, 4) = 0.45718005927355556e-6, (18, 5) = -0.45063567228372506e-6, (19, 1) = 1.0714818225105625, (19, 2) = 0.14944389063713663e-5, (19, 3) = -0.14735566530371413e-5, (19, 4) = 0.18409802069572952e-6, (19, 5) = -0.1846330205946365e-6, (20, 1) = 1.0714827192138023, (20, 2) = 0.5925773918561377e-6, (20, 3) = -0.6170979188394264e-6, (20, 4) = 0.7221359286521267e-7, (20, 5) = -0.756490724910656e-7, (21, 1) = 1.071483064754158, (21, 2) = 0.2162423610813038e-6, (21, 3) = -0.25593520469778174e-6, (21, 4) = 0.26367855391509727e-7, (21, 5) = -0.3099182802156362e-7, (22, 1) = 1.07148318136988, (22, 2) = 0.6124869999887661e-7, (22, 3) = -0.10415162185182523e-6, (22, 4) = 0.7586701144665916e-8, (22, 5) = -0.12697548109268844e-7, (23, 1) = 1.0714832046525464, (23, 2) = .0, (23, 3) = -0.414339042389871e-7, (23, 4) = .0, (23, 5) = -0.5307519484383215e-8}, datatype = float[8], order = C_order); YP := Matrix(23, 5, {(1, 1) = .0, (1, 2) = .7509958992140092, (1, 3) = -1.0, (1, 4) = -.5766182177889736, (1, 5) = .0, (2, 1) = .345717339320025, (2, 2) = .11748530886258848, (2, 3) = -.44685722355458307, (2, 4) = -.42619398711861173, (2, 5) = .2456380242084213, (3, 1) = .3295368928873986, (3, 2) = -.10281256306809654, (3, 3) = -0.9786766510705683e-1, (3, 4) = -.22929557876687195, (3, 5) = .1827710770439118, (4, 1) = .2211740580910692, (4, 2) = -.12239573074044155, (4, 3) = 0.26569430715397205e-1, (4, 4) = -.10715356554772232, (4, 5) = 0.9622754869041322e-1, (5, 1) = .1264140268653532, (5, 2) = -0.8591949919337281e-1, (5, 3) = 0.4505713786209132e-1, (5, 4) = -0.4672290447819592e-1, (5, 5) = 0.44058134414995835e-1, (6, 1) = 0.6583176447988233e-1, (6, 2) = -0.4973034058218495e-1, (6, 3) = 0.332224698170035e-1, (6, 4) = -0.1969778835995821e-1, (6, 5) = 0.18945794068761176e-1, (7, 1) = 0.32315267535371534e-1, (7, 2) = -0.2600272586003493e-1, (7, 3) = 0.19495025439737884e-1, (7, 4) = -0.8174310046940966e-2, (7, 5) = 0.792388079531917e-2, (8, 1) = 0.15247583407686798e-1, (8, 2) = -0.12786769213836738e-1, (8, 3) = 0.10247087352154351e-1, (8, 4) = -0.3368066407962972e-2, (8, 5) = 0.3274729438901535e-2, (9, 1) = 0.6998105041282296e-2, (9, 2) = -0.604035420324911e-2, (9, 3) = 0.5052618825463968e-2, (9, 4) = -0.13833280384499146e-2, (9, 5) = 0.13465343117974211e-2, (10, 1) = 0.31478225677167735e-2, (10, 2) = -0.2774978205981712e-2, (10, 3) = 0.2390999068816236e-2, (10, 4) = -0.5673463700191876e-3, (10, 5) = 0.5524949194085244e-3, (11, 1) = 0.13945650673762352e-2, (11, 2) = -0.12492766558546968e-2, (11, 3) = 0.1099873594304329e-2, (11, 4) = -0.23253747538797784e-3, (11, 5) = 0.22648713664049123e-3, (12, 1) = 0.6105700389362067e-3, (12, 2) = -0.553893319523471e-3, (12, 3) = 0.495675152838582e-3, (12, 4) = -0.9528435644133216e-4, (12, 5) = 0.9281083066054085e-4, (13, 1) = 0.26480452107368317e-3, (13, 2) = -0.24268469519682714e-3, (13, 3) = 0.21995944221136622e-3, (13, 4) = -0.39040038537364915e-4, (13, 5) = 0.3802744922108661e-4, (14, 1) = 0.11394909512081752e-3, (14, 2) = -0.10532867430154103e-3, (14, 3) = 0.9644275586103112e-4, (14, 4) = -0.15995006093854115e-4, (14, 5) = 0.15580272849724842e-4, (15, 1) = 0.4870000930855666e-4, (15, 2) = -0.45361559105776056e-4, (15, 3) = 0.41882130392897214e-4, (15, 4) = -0.655308793716169e-5, (15, 5) = 0.6383193495979208e-5, (16, 1) = 0.20679444144369147e-4, (16, 2) = -0.1941000219193855e-4, (16, 3) = 0.18046766192933517e-4, (16, 4) = -0.26847296756546684e-5, (16, 5) = 0.26151287212238395e-5, (17, 1) = 0.8718850547396554e-5, (17, 2) = -0.8259728398401262e-5, (17, 3) = 0.7726423999999988e-5, (17, 4) = -0.10999141617991744e-5, (17, 5) = 0.1071399573515949e-5, (18, 1) = 0.3640252978905283e-5, (18, 2) = -0.3497402269851553e-5, (18, 3) = 0.32902284142233035e-5, (18, 4) = -0.45063567228372506e-6, (18, 5) = 0.43895327171989055e-6, (19, 1) = 0.14944389063713663e-5, (19, 2) = -0.14735566530371413e-5, (19, 3) = 0.13947933808207162e-5, (19, 4) = -0.1846330205946365e-6, (19, 5) = 0.1798465459323782e-6, (20, 1) = 0.5925773918561377e-6, (20, 2) = -0.6170979188394264e-6, (20, 3) = 0.5889965143819995e-6, (20, 4) = -0.756490724910656e-7, (20, 5) = 0.7368792426442866e-7, (21, 1) = 0.2162423610813038e-6, (21, 2) = -0.25593520469778174e-6, (21, 3) = 0.24786242887731095e-6, (21, 4) = -0.3099182802156362e-7, (21, 5) = 0.3018838597520553e-7, (22, 1) = 0.6124869999887661e-7, (22, 2) = -0.10415162185182523e-6, (22, 3) = 0.10401001373336376e-6, (22, 4) = -0.12697548109268844e-7, (22, 5) = 0.12368372462174604e-7, (23, 1) = .0, (23, 2) = -0.414339042389871e-7, (23, 3) = 0.4439573249525663e-7, (23, 4) = -0.5307519484383215e-8, (23, 5) = 0.5169925441711597e-8}, datatype = float[8], order = C_order); errproc := proc (x_bvp) local outpoint, X, Y, yout, L, V, i; option `Copyright (c) 2000 by Waterloo Maple Inc. All rights reserved.`; Digits := 15; outpoint := evalf(x_bvp); X := Vector(23, {(1) = .0, (2) = .8799831042532784, (3) = 1.763772371553262, (4) = 2.654402578229091, (5) = 3.553045082129558, (6) = 4.4586129408519, (7) = 5.368912785498599, (8) = 6.281998076176939, (9) = 7.196599390092052, (10) = 8.112001132142932, (11) = 9.027808856750797, (12) = 9.943796151122035, (13) = 10.859842591432589, (14) = 11.775909928091433, (15) = 12.69200195250145, (16) = 13.608108476818263, (17) = 14.524205241796912, (18) = 15.440280945947823, (19) = 16.356315458558022, (20) = 17.272324219157973, (21) = 18.18845135779876, (22) = 19.104508127436276, (23) = 20.0}, datatype = float[8], order = C_order); Y := Matrix(23, 5, {(1, 1) = .0, (1, 2) = .0, (1, 3) = 0.18677723346185155e-6, (1, 4) = .0, (1, 5) = -0.1601034189830942e-6, (2, 1) = 0.37448226506023734e-7, (2, 2) = -0.4882419193663561e-8, (2, 3) = 0.32590922758163096e-7, (2, 4) = 0.8384642286135039e-8, (2, 5) = -0.3822989163192259e-7, (3, 1) = 0.4178076522983118e-7, (3, 2) = -0.32454728940560626e-7, (3, 3) = 0.5559818911848743e-7, (3, 4) = 0.255368475385125e-7, (3, 5) = -0.26372934101735208e-7, (4, 1) = -0.3503349256133378e-8, (4, 2) = 0.23271413239470415e-7, (4, 3) = -0.13109277388977377e-7, (4, 4) = 0.1940395871477904e-7, (4, 5) = -0.21150015818914884e-7, (5, 1) = 0.9049822894255894e-8, (5, 2) = 0.2044098278596014e-7, (5, 3) = -0.23457165838090578e-7, (5, 4) = 0.2721022646410278e-8, (5, 5) = -0.3786091636826618e-8, (6, 1) = 0.27051273759362853e-7, (6, 2) = 0.15343716259627215e-9, (6, 3) = -0.21958032487259045e-8, (6, 4) = -0.4159511453386257e-9, (6, 5) = 0.38101170586747216e-10, (7, 1) = 0.29235514018364573e-7, (7, 2) = -0.453106337656716e-8, (7, 3) = 0.46319249349793395e-8, (7, 4) = 0.46342814231151797e-9, (7, 5) = -0.6792806203548744e-9, (8, 1) = 0.26054556255110013e-7, (8, 2) = -0.1882133375224601e-8, (8, 3) = 0.2244789452496081e-8, (8, 4) = 0.711835820669783e-9, (8, 5) = -0.8568477954792043e-9, (9, 1) = 0.24106962716022037e-7, (9, 2) = 0.1629685214904445e-9, (9, 3) = -0.11146494499834733e-9, (9, 4) = 0.45110688737061194e-9, (9, 5) = -0.539236754168219e-9, (10, 1) = 0.2374177391716608e-7, (10, 2) = 0.5860236135721297e-9, (10, 3) = -0.7196114662102999e-9, (10, 4) = 0.18313053413689276e-9, (10, 5) = -0.23112721605478909e-9, (11, 1) = 0.23938814887888642e-7, (11, 2) = 0.34670384490097316e-9, (11, 3) = -0.499387007098935e-9, (11, 4) = 0.40264060755003194e-10, (11, 5) = -0.6396528893681144e-10, (12, 1) = 0.2413280997412847e-7, (12, 2) = 0.8123434213412095e-10, (12, 3) = -0.18766851557521373e-9, (12, 4) = -0.10028889791867737e-10, (12, 5) = -0.5607571181840299e-12, (13, 1) = 0.24205166580449604e-7, (13, 2) = -0.4873554507228097e-10, (13, 3) = -0.9122645013749574e-11, (13, 4) = -0.1774384229814944e-10, (13, 5) = 0.13554216810388484e-10, (14, 1) = 0.24197923253315855e-7, (14, 2) = -0.7644103795235015e-10, (14, 3) = 0.5059366630228127e-10, (14, 4) = -0.12500071087031085e-10, (14, 5) = 0.11123935740845305e-10, (15, 1) = 0.24164459411748233e-7, (15, 2) = -0.6066740320325875e-10, (15, 3) = 0.5144731921398412e-10, (15, 4) = -0.63139041944452e-11, (15, 5) = 0.6018851574113935e-11, (16, 1) = 0.24133003199149926e-7, (16, 2) = -0.36959226456229056e-10, (16, 3) = 0.34807094444056334e-10, (16, 4) = -0.2296584459403134e-11, (16, 5) = 0.2328976704823776e-11, (17, 1) = 0.24111780059612412e-7, (17, 2) = -0.1873228504203057e-10, (17, 3) = 0.18878272014729034e-10, (17, 4) = -0.33241174545583766e-12, (17, 5) = 0.40568885552430346e-12, (18, 1) = 0.24099883385166445e-7, (18, 2) = -0.7930627600316472e-11, (18, 3) = 0.8419004595137473e-11, (18, 4) = 0.3767477185747604e-12, (18, 5) = -0.34832143812623605e-12, (19, 1) = 0.2409407001294113e-7, (19, 2) = -0.26201105239283355e-11, (19, 3) = 0.2849865664815142e-11, (19, 4) = 0.485146485573298e-12, (19, 5) = -0.5118521121703797e-12, (20, 1) = 0.24091528694372805e-7, (20, 2) = -0.4820658103323563e-12, (20, 3) = 0.3930534221642779e-12, (20, 4) = 0.37341039360175125e-12, (20, 5) = -0.4432984456493013e-12, (21, 1) = 0.24090485353105713e-7, (21, 2) = 0.12932248130697764e-12, (21, 3) = -0.4349598146471398e-12, (21, 4) = 0.22003866786553054e-12, (21, 5) = -0.31866839336921104e-12, (22, 1) = 0.24090016159892753e-7, (22, 2) = 0.14345040328921917e-12, (22, 3) = -0.5483809312163577e-12, (22, 4) = 0.9076616249531766e-13, (22, 5) = -0.20691039898422648e-12, (23, 1) = 0.24089729356345837e-7, (23, 2) = .0, (23, 3) = -0.4163274954165759e-12, (23, 4) = .0, (23, 5) = -0.12614313243075443e-12}, datatype = float[8], order = C_order); if not type(outpoint, 'numeric') then if outpoint = "start" or outpoint = "left" then return X[1] elif outpoint = "right" then return X[23] elif outpoint = "order" then return 8 elif outpoint = "error" then return HFloat(1.8677723346185155e-7) elif outpoint = "errorproc" then error "this is already the error procedure" elif outpoint = "rawdata" then return [5, 23, [g(y), diff(g(y), y), diff(diff(g(y), y), y), h(y), diff(h(y), y)], X, Y] else return ('procname')(x_bvp) end if end if; if outpoint < X[1] or X[23] < outpoint then error "solution is only defined in the range %1..%2", X[1], X[23] end if; V := array([1 = 4, 2 = 0]); if Digits <= trunc(evalhf(Digits)) then L := Vector(4, 'datatype' = 'float'[8]); yout := Vector(5, 'datatype' = 'float'[8]); evalhf(`dsolve/numeric/lagrange`(23, 5, X, Y, outpoint, var(yout), var(L), var(V))) else L := Vector(4, 'datatype' = 'sfloat'); yout := Vector(5, 'datatype' = 'sfloat'); `dsolve/numeric/lagrange`(23, 5, X, Y, outpoint, yout, L, V) end if; [y = outpoint, seq('[g(y), diff(g(y), y), diff(diff(g(y), y), y), h(y), diff(h(y), y)]'[i] = yout[i], i = 1 .. 5)] end proc; if not type(outpoint, 'numeric') then if outpoint = "start" or outpoint = "left" then return X[1] elif outpoint = "method" then return "bvp" elif outpoint = "right" then return X[23] elif outpoint = "order" then return 8 elif outpoint = "error" then return HFloat(1.8677723346185155e-7) elif outpoint = "errorproc" then return eval(errproc) elif outpoint = "rawdata" then return [5, 23, "depnames", X, Y, YP] else error "non-numeric value" end if end if; if outpoint < X[1] or X[23] < outpoint then error "solution is only defined in the range %1..%2", X[1], X[23] end if; if Digits <= trunc(evalhf(Digits)) and (_EnvInFsolve <> true or _EnvDSNumericSaveDigits <= trunc(evalhf(Digits))) then V := array( 1 .. 6, [( 1 ) = (7), ( 2 ) = (0), ( 3 ) = (false), ( 4 ) = (false), ( 5 ) = (false), ( 6 ) = (false)  ] ); L := Matrix(7, 2, {(1, 1) = .0, (1, 2) = .0, (2, 1) = .0, (2, 2) = .0, (3, 1) = .0, (3, 2) = .0, (4, 1) = .0, (4, 2) = .0, (5, 1) = .0, (5, 2) = .0, (6, 1) = .0, (6, 2) = .0, (7, 1) = .0, (7, 2) = .0}, datatype = float[8], order = C_order); yout := Vector(5, {(1) = .0, (2) = .0, (3) = .0, (4) = .0, (5) = .0}, datatype = float[8]); evalhf(`dsolve/numeric/hermite`(23, 5, X, Y, YP, outpoint, var(yout), var(L), var(V))) else if _EnvInFsolve = true then Digits := _EnvDSNumericSaveDigits end if; V := array( 1 .. 6, [( 1 ) = (7), ( 2 ) = (0), ( 3 ) = (false), ( 4 ) = (false), ( 5 ) = (false), ( 6 ) = (false)  ] ); L := Matrix(7, 2, {(1, 1) = 0., (1, 2) = 0., (2, 1) = 0., (2, 2) = 0., (3, 1) = 0., (3, 2) = 0., (4, 1) = 0., (4, 2) = 0., (5, 1) = 0., (5, 2) = 0., (6, 1) = 0., (6, 2) = 0., (7, 1) = 0., (7, 2) = 0.}, order = C_order); yout := Vector(5, {(1) = 0., (2) = 0., (3) = 0., (4) = 0., (5) = 0.}); `dsolve/numeric/hermite`(23, 5, X, Y, YP, outpoint, yout, L, V) end if; [outpoint, seq(yout[i], i = 1 .. 5)] end proc, (2) = Array(1..6, {(1) = 18446884187980970662, (2) = 18446884187980970838, (3) = 18446884187980971014, (4) = 18446884187980971190, (5) = 18446884187980971366, (6) = 18446884187980971542}), (3) = [y, g(y), diff(g(y), y), diff(diff(g(y), y), y), h(y), diff(h(y), y)], (4) = 0}); solnproc := data[1]; if not type(outpoint, 'numeric') then if outpoint = "solnprocedure" then return eval(solnproc) elif member(outpoint, ["start", "left", "right", "errorproc", "rawdata", "order", "error"]) then return solnproc(y) elif outpoint = "sysvars" then return data[3] elif procname <> unknown then return ('procname')(y) else g := pointto(data[2][2]); return ('g')(y) end if end if; try res := solnproc(outpoint); res[2] catch: error  end try end proc, D(g) = proc (y) local res, data, solnproc, `D(g)`, outpoint; option `Copyright (c) 2000 by Waterloo Maple Inc. All rights reserved.`; _EnvDSNumericSaveDigits := Digits; Digits := 15; if _EnvInFsolve = true then outpoint := evalf[_EnvDSNumericSaveDigits](y) else outpoint := evalf(y) end if; data := Array(1..4, {(1) = proc (outpoint) local X, Y, YP, yout, errproc, L, V, i; option `Copyright (c) 2000 by Waterloo Maple Inc. All rights reserved.`; X := Vector(23, {(1) = .0, (2) = .8799831042532784, (3) = 1.763772371553262, (4) = 2.654402578229091, (5) = 3.553045082129558, (6) = 4.4586129408519, (7) = 5.368912785498599, (8) = 6.281998076176939, (9) = 7.196599390092052, (10) = 8.112001132142932, (11) = 9.027808856750797, (12) = 9.943796151122035, (13) = 10.859842591432589, (14) = 11.775909928091433, (15) = 12.69200195250145, (16) = 13.608108476818263, (17) = 14.524205241796912, (18) = 15.440280945947823, (19) = 16.356315458558022, (20) = 17.272324219157973, (21) = 18.18845135779876, (22) = 19.104508127436276, (23) = 20.0}, datatype = float[8], order = C_order); Y := Matrix(23, 5, {(1, 1) = .0, (1, 2) = .0, (1, 3) = .7509958992140092, (1, 4) = 1.0, (1, 5) = -.5766182177889736, (2, 1) = .19294506823253071, (2, 2) = .345717339320025, (2, 3) = .11748530886258848, (2, 4) = .5437094913262883, (2, 5) = -.42619398711861173, (3, 1) = .5054078147971317, (3, 2) = .3295368928873986, (3, 3) = -.10281256306809654, (3, 4) = .25842450171487663, (3, 5) = -.22929557876687195, (4, 1) = .7517816685489124, (4, 2) = .2211740580910692, (4, 3) = -.12239573074044155, (4, 4) = .11436339993638699, (4, 5) = -.10715356554772232, (5, 1) = .9054483747328635, (5, 2) = .1264140268653532, (5, 3) = -0.8591949919337281e-1, (5, 4) = 0.48719039228723914e-1, (5, 5) = -0.4672290447819592e-1, (6, 1) = .9900111442791364, (6, 2) = 0.6583176447988233e-1, (6, 3) = -0.4973034058218495e-1, (6, 4) = 0.20344942782691302e-1, (6, 5) = -0.1969778835995821e-1, (7, 1) = 1.0330480370810036, (7, 2) = 0.32315267535371534e-1, (7, 3) = -0.2600272586003493e-1, (7, 4) = 0.841131598460929e-2, (7, 5) = -0.8174310046940966e-2, (8, 1) = 1.0538493557885784, (8, 2) = 0.15247583407686798e-1, (8, 3) = -0.12786769213836738e-1, (8, 4) = 0.3460729946239088e-2, (8, 5) = -0.3368066407962972e-2, (9, 1) = 1.0635555317661158, (9, 2) = 0.6998105041282296e-2, (9, 3) = -0.604035420324911e-2, (9, 4) = 0.14206067753971528e-2, (9, 5) = -0.13833280384499146e-2, (10, 1) = 1.067973284021565, (10, 2) = 0.31478225677167735e-2, (10, 3) = -0.2774978205981712e-2, (10, 4) = 0.582512305832151e-3, (10, 5) = -0.5673463700191876e-3, (11, 1) = 1.0699476410036053, (11, 2) = 0.13945650673762352e-2, (11, 3) = -0.12492766558546968e-2, (11, 4) = 0.23873182831542274e-3, (11, 5) = -0.23253747538797784e-3, (12, 1) = 1.070817852106119, (12, 2) = 0.6105700389362067e-3, (12, 3) = -0.553893319523471e-3, (12, 4) = 0.9781649764191596e-4, (12, 5) = -0.9528435644133216e-4, (13, 1) = 1.071197262363775, (13, 2) = 0.26480452107368317e-3, (13, 3) = -0.24268469519682714e-3, (13, 4) = 0.4007386033544328e-4, (13, 5) = -0.39040038537364915e-4, (14, 1) = 1.0713612440610472, (14, 2) = 0.11394909512081752e-3, (14, 3) = -0.10532867430154103e-3, (14, 4) = 0.16415288070247586e-4, (14, 5) = -0.15995006093854115e-4, (15, 1) = 1.0714315982101714, (15, 2) = 0.4870000930855666e-4, (15, 3) = -0.45361559105776056e-4, (15, 4) = 0.6722049068016235e-5, (15, 5) = -0.655308793716169e-5, (16, 1) = 1.071461583562454, (16, 2) = 0.20679444144369147e-4, (16, 3) = -0.1941000219193855e-4, (16, 4) = 0.2750733132001786e-5, (16, 5) = -0.26847296756546684e-5, (17, 1) = 1.0714742787121994, (17, 2) = 0.8718850547396554e-5, (17, 3) = -0.8259728398401262e-5, (17, 4) = 0.11237385463905423e-5, (17, 5) = -0.10999141617991744e-5, (18, 1) = 1.0714796105551125, (18, 2) = 0.3640252978905283e-5, (18, 3) = -0.3497402269851553e-5, (18, 4) = 0.45718005927355556e-6, (18, 5) = -0.45063567228372506e-6, (19, 1) = 1.0714818225105625, (19, 2) = 0.14944389063713663e-5, (19, 3) = -0.14735566530371413e-5, (19, 4) = 0.18409802069572952e-6, (19, 5) = -0.1846330205946365e-6, (20, 1) = 1.0714827192138023, (20, 2) = 0.5925773918561377e-6, (20, 3) = -0.6170979188394264e-6, (20, 4) = 0.7221359286521267e-7, (20, 5) = -0.756490724910656e-7, (21, 1) = 1.071483064754158, (21, 2) = 0.2162423610813038e-6, (21, 3) = -0.25593520469778174e-6, (21, 4) = 0.26367855391509727e-7, (21, 5) = -0.3099182802156362e-7, (22, 1) = 1.07148318136988, (22, 2) = 0.6124869999887661e-7, (22, 3) = -0.10415162185182523e-6, (22, 4) = 0.7586701144665916e-8, (22, 5) = -0.12697548109268844e-7, (23, 1) = 1.0714832046525464, (23, 2) = .0, (23, 3) = -0.414339042389871e-7, (23, 4) = .0, (23, 5) = -0.5307519484383215e-8}, datatype = float[8], order = C_order); YP := Matrix(23, 5, {(1, 1) = .0, (1, 2) = .7509958992140092, (1, 3) = -1.0, (1, 4) = -.5766182177889736, (1, 5) = .0, (2, 1) = .345717339320025, (2, 2) = .11748530886258848, (2, 3) = -.44685722355458307, (2, 4) = -.42619398711861173, (2, 5) = .2456380242084213, (3, 1) = .3295368928873986, (3, 2) = -.10281256306809654, (3, 3) = -0.9786766510705683e-1, (3, 4) = -.22929557876687195, (3, 5) = .1827710770439118, (4, 1) = .2211740580910692, (4, 2) = -.12239573074044155, (4, 3) = 0.26569430715397205e-1, (4, 4) = -.10715356554772232, (4, 5) = 0.9622754869041322e-1, (5, 1) = .1264140268653532, (5, 2) = -0.8591949919337281e-1, (5, 3) = 0.4505713786209132e-1, (5, 4) = -0.4672290447819592e-1, (5, 5) = 0.44058134414995835e-1, (6, 1) = 0.6583176447988233e-1, (6, 2) = -0.4973034058218495e-1, (6, 3) = 0.332224698170035e-1, (6, 4) = -0.1969778835995821e-1, (6, 5) = 0.18945794068761176e-1, (7, 1) = 0.32315267535371534e-1, (7, 2) = -0.2600272586003493e-1, (7, 3) = 0.19495025439737884e-1, (7, 4) = -0.8174310046940966e-2, (7, 5) = 0.792388079531917e-2, (8, 1) = 0.15247583407686798e-1, (8, 2) = -0.12786769213836738e-1, (8, 3) = 0.10247087352154351e-1, (8, 4) = -0.3368066407962972e-2, (8, 5) = 0.3274729438901535e-2, (9, 1) = 0.6998105041282296e-2, (9, 2) = -0.604035420324911e-2, (9, 3) = 0.5052618825463968e-2, (9, 4) = -0.13833280384499146e-2, (9, 5) = 0.13465343117974211e-2, (10, 1) = 0.31478225677167735e-2, (10, 2) = -0.2774978205981712e-2, (10, 3) = 0.2390999068816236e-2, (10, 4) = -0.5673463700191876e-3, (10, 5) = 0.5524949194085244e-3, (11, 1) = 0.13945650673762352e-2, (11, 2) = -0.12492766558546968e-2, (11, 3) = 0.1099873594304329e-2, (11, 4) = -0.23253747538797784e-3, (11, 5) = 0.22648713664049123e-3, (12, 1) = 0.6105700389362067e-3, (12, 2) = -0.553893319523471e-3, (12, 3) = 0.495675152838582e-3, (12, 4) = -0.9528435644133216e-4, (12, 5) = 0.9281083066054085e-4, (13, 1) = 0.26480452107368317e-3, (13, 2) = -0.24268469519682714e-3, (13, 3) = 0.21995944221136622e-3, (13, 4) = -0.39040038537364915e-4, (13, 5) = 0.3802744922108661e-4, (14, 1) = 0.11394909512081752e-3, (14, 2) = -0.10532867430154103e-3, (14, 3) = 0.9644275586103112e-4, (14, 4) = -0.15995006093854115e-4, (14, 5) = 0.15580272849724842e-4, (15, 1) = 0.4870000930855666e-4, (15, 2) = -0.45361559105776056e-4, (15, 3) = 0.41882130392897214e-4, (15, 4) = -0.655308793716169e-5, (15, 5) = 0.6383193495979208e-5, (16, 1) = 0.20679444144369147e-4, (16, 2) = -0.1941000219193855e-4, (16, 3) = 0.18046766192933517e-4, (16, 4) = -0.26847296756546684e-5, (16, 5) = 0.26151287212238395e-5, (17, 1) = 0.8718850547396554e-5, (17, 2) = -0.8259728398401262e-5, (17, 3) = 0.7726423999999988e-5, (17, 4) = -0.10999141617991744e-5, (17, 5) = 0.1071399573515949e-5, (18, 1) = 0.3640252978905283e-5, (18, 2) = -0.3497402269851553e-5, (18, 3) = 0.32902284142233035e-5, (18, 4) = -0.45063567228372506e-6, (18, 5) = 0.43895327171989055e-6, (19, 1) = 0.14944389063713663e-5, (19, 2) = -0.14735566530371413e-5, (19, 3) = 0.13947933808207162e-5, (19, 4) = -0.1846330205946365e-6, (19, 5) = 0.1798465459323782e-6, (20, 1) = 0.5925773918561377e-6, (20, 2) = -0.6170979188394264e-6, (20, 3) = 0.5889965143819995e-6, (20, 4) = -0.756490724910656e-7, (20, 5) = 0.7368792426442866e-7, (21, 1) = 0.2162423610813038e-6, (21, 2) = -0.25593520469778174e-6, (21, 3) = 0.24786242887731095e-6, (21, 4) = -0.3099182802156362e-7, (21, 5) = 0.3018838597520553e-7, (22, 1) = 0.6124869999887661e-7, (22, 2) = -0.10415162185182523e-6, (22, 3) = 0.10401001373336376e-6, (22, 4) = -0.12697548109268844e-7, (22, 5) = 0.12368372462174604e-7, (23, 1) = .0, (23, 2) = -0.414339042389871e-7, (23, 3) = 0.4439573249525663e-7, (23, 4) = -0.5307519484383215e-8, (23, 5) = 0.5169925441711597e-8}, datatype = float[8], order = C_order); errproc := proc (x_bvp) local outpoint, X, Y, yout, L, V, i; option `Copyright (c) 2000 by Waterloo Maple Inc. All rights reserved.`; Digits := 15; outpoint := evalf(x_bvp); X := Vector(23, {(1) = .0, (2) = .8799831042532784, (3) = 1.763772371553262, (4) = 2.654402578229091, (5) = 3.553045082129558, (6) = 4.4586129408519, (7) = 5.368912785498599, (8) = 6.281998076176939, (9) = 7.196599390092052, (10) = 8.112001132142932, (11) = 9.027808856750797, (12) = 9.943796151122035, (13) = 10.859842591432589, (14) = 11.775909928091433, (15) = 12.69200195250145, (16) = 13.608108476818263, (17) = 14.524205241796912, (18) = 15.440280945947823, (19) = 16.356315458558022, (20) = 17.272324219157973, (21) = 18.18845135779876, (22) = 19.104508127436276, (23) = 20.0}, datatype = float[8], order = C_order); Y := Matrix(23, 5, {(1, 1) = .0, (1, 2) = .0, (1, 3) = 0.18677723346185155e-6, (1, 4) = .0, (1, 5) = -0.1601034189830942e-6, (2, 1) = 0.37448226506023734e-7, (2, 2) = -0.4882419193663561e-8, (2, 3) = 0.32590922758163096e-7, (2, 4) = 0.8384642286135039e-8, (2, 5) = -0.3822989163192259e-7, (3, 1) = 0.4178076522983118e-7, (3, 2) = -0.32454728940560626e-7, (3, 3) = 0.5559818911848743e-7, (3, 4) = 0.255368475385125e-7, (3, 5) = -0.26372934101735208e-7, (4, 1) = -0.3503349256133378e-8, (4, 2) = 0.23271413239470415e-7, (4, 3) = -0.13109277388977377e-7, (4, 4) = 0.1940395871477904e-7, (4, 5) = -0.21150015818914884e-7, (5, 1) = 0.9049822894255894e-8, (5, 2) = 0.2044098278596014e-7, (5, 3) = -0.23457165838090578e-7, (5, 4) = 0.2721022646410278e-8, (5, 5) = -0.3786091636826618e-8, (6, 1) = 0.27051273759362853e-7, (6, 2) = 0.15343716259627215e-9, (6, 3) = -0.21958032487259045e-8, (6, 4) = -0.4159511453386257e-9, (6, 5) = 0.38101170586747216e-10, (7, 1) = 0.29235514018364573e-7, (7, 2) = -0.453106337656716e-8, (7, 3) = 0.46319249349793395e-8, (7, 4) = 0.46342814231151797e-9, (7, 5) = -0.6792806203548744e-9, (8, 1) = 0.26054556255110013e-7, (8, 2) = -0.1882133375224601e-8, (8, 3) = 0.2244789452496081e-8, (8, 4) = 0.711835820669783e-9, (8, 5) = -0.8568477954792043e-9, (9, 1) = 0.24106962716022037e-7, (9, 2) = 0.1629685214904445e-9, (9, 3) = -0.11146494499834733e-9, (9, 4) = 0.45110688737061194e-9, (9, 5) = -0.539236754168219e-9, (10, 1) = 0.2374177391716608e-7, (10, 2) = 0.5860236135721297e-9, (10, 3) = -0.7196114662102999e-9, (10, 4) = 0.18313053413689276e-9, (10, 5) = -0.23112721605478909e-9, (11, 1) = 0.23938814887888642e-7, (11, 2) = 0.34670384490097316e-9, (11, 3) = -0.499387007098935e-9, (11, 4) = 0.40264060755003194e-10, (11, 5) = -0.6396528893681144e-10, (12, 1) = 0.2413280997412847e-7, (12, 2) = 0.8123434213412095e-10, (12, 3) = -0.18766851557521373e-9, (12, 4) = -0.10028889791867737e-10, (12, 5) = -0.5607571181840299e-12, (13, 1) = 0.24205166580449604e-7, (13, 2) = -0.4873554507228097e-10, (13, 3) = -0.9122645013749574e-11, (13, 4) = -0.1774384229814944e-10, (13, 5) = 0.13554216810388484e-10, (14, 1) = 0.24197923253315855e-7, (14, 2) = -0.7644103795235015e-10, (14, 3) = 0.5059366630228127e-10, (14, 4) = -0.12500071087031085e-10, (14, 5) = 0.11123935740845305e-10, (15, 1) = 0.24164459411748233e-7, (15, 2) = -0.6066740320325875e-10, (15, 3) = 0.5144731921398412e-10, (15, 4) = -0.63139041944452e-11, (15, 5) = 0.6018851574113935e-11, (16, 1) = 0.24133003199149926e-7, (16, 2) = -0.36959226456229056e-10, (16, 3) = 0.34807094444056334e-10, (16, 4) = -0.2296584459403134e-11, (16, 5) = 0.2328976704823776e-11, (17, 1) = 0.24111780059612412e-7, (17, 2) = -0.1873228504203057e-10, (17, 3) = 0.18878272014729034e-10, (17, 4) = -0.33241174545583766e-12, (17, 5) = 0.40568885552430346e-12, (18, 1) = 0.24099883385166445e-7, (18, 2) = -0.7930627600316472e-11, (18, 3) = 0.8419004595137473e-11, (18, 4) = 0.3767477185747604e-12, (18, 5) = -0.34832143812623605e-12, (19, 1) = 0.2409407001294113e-7, (19, 2) = -0.26201105239283355e-11, (19, 3) = 0.2849865664815142e-11, (19, 4) = 0.485146485573298e-12, (19, 5) = -0.5118521121703797e-12, (20, 1) = 0.24091528694372805e-7, (20, 2) = -0.4820658103323563e-12, (20, 3) = 0.3930534221642779e-12, (20, 4) = 0.37341039360175125e-12, (20, 5) = -0.4432984456493013e-12, (21, 1) = 0.24090485353105713e-7, (21, 2) = 0.12932248130697764e-12, (21, 3) = -0.4349598146471398e-12, (21, 4) = 0.22003866786553054e-12, (21, 5) = -0.31866839336921104e-12, (22, 1) = 0.24090016159892753e-7, (22, 2) = 0.14345040328921917e-12, (22, 3) = -0.5483809312163577e-12, (22, 4) = 0.9076616249531766e-13, (22, 5) = -0.20691039898422648e-12, (23, 1) = 0.24089729356345837e-7, (23, 2) = .0, (23, 3) = -0.4163274954165759e-12, (23, 4) = .0, (23, 5) = -0.12614313243075443e-12}, datatype = float[8], order = C_order); if not type(outpoint, 'numeric') then if outpoint = "start" or outpoint = "left" then return X[1] elif outpoint = "right" then return X[23] elif outpoint = "order" then return 8 elif outpoint = "error" then return HFloat(1.8677723346185155e-7) elif outpoint = "errorproc" then error "this is already the error procedure" elif outpoint = "rawdata" then return [5, 23, [g(y), diff(g(y), y), diff(diff(g(y), y), y), h(y), diff(h(y), y)], X, Y] else return ('procname')(x_bvp) end if end if; if outpoint < X[1] or X[23] < outpoint then error "solution is only defined in the range %1..%2", X[1], X[23] end if; V := array([1 = 4, 2 = 0]); if Digits <= trunc(evalhf(Digits)) then L := Vector(4, 'datatype' = 'float'[8]); yout := Vector(5, 'datatype' = 'float'[8]); evalhf(`dsolve/numeric/lagrange`(23, 5, X, Y, outpoint, var(yout), var(L), var(V))) else L := Vector(4, 'datatype' = 'sfloat'); yout := Vector(5, 'datatype' = 'sfloat'); `dsolve/numeric/lagrange`(23, 5, X, Y, outpoint, yout, L, V) end if; [y = outpoint, seq('[g(y), diff(g(y), y), diff(diff(g(y), y), y), h(y), diff(h(y), y)]'[i] = yout[i], i = 1 .. 5)] end proc; if not type(outpoint, 'numeric') then if outpoint = "start" or outpoint = "left" then return X[1] elif outpoint = "method" then return "bvp" elif outpoint = "right" then return X[23] elif outpoint = "order" then return 8 elif outpoint = "error" then return HFloat(1.8677723346185155e-7) elif outpoint = "errorproc" then return eval(errproc) elif outpoint = "rawdata" then return [5, 23, "depnames", X, Y, YP] else error "non-numeric value" end if end if; if outpoint < X[1] or X[23] < outpoint then error "solution is only defined in the range %1..%2", X[1], X[23] end if; if Digits <= trunc(evalhf(Digits)) and (_EnvInFsolve <> true or _EnvDSNumericSaveDigits <= trunc(evalhf(Digits))) then V := array( 1 .. 6, [( 1 ) = (7), ( 2 ) = (0), ( 3 ) = (false), ( 4 ) = (false), ( 5 ) = (false), ( 6 ) = (false)  ] ); L := Matrix(7, 2, {(1, 1) = .0, (1, 2) = .0, (2, 1) = .0, (2, 2) = .0, (3, 1) = .0, (3, 2) = .0, (4, 1) = .0, (4, 2) = .0, (5, 1) = .0, (5, 2) = .0, (6, 1) = .0, (6, 2) = .0, (7, 1) = .0, (7, 2) = .0}, datatype = float[8], order = C_order); yout := Vector(5, {(1) = .0, (2) = .0, (3) = .0, (4) = .0, (5) = .0}, datatype = float[8]); evalhf(`dsolve/numeric/hermite`(23, 5, X, Y, YP, outpoint, var(yout), var(L), var(V))) else if _EnvInFsolve = true then Digits := _EnvDSNumericSaveDigits end if; V := array( 1 .. 6, [( 1 ) = (7), ( 2 ) = (0), ( 3 ) = (false), ( 4 ) = (false), ( 5 ) = (false), ( 6 ) = (false)  ] ); L := Matrix(7, 2, {(1, 1) = 0., (1, 2) = 0., (2, 1) = 0., (2, 2) = 0., (3, 1) = 0., (3, 2) = 0., (4, 1) = 0., (4, 2) = 0., (5, 1) = 0., (5, 2) = 0., (6, 1) = 0., (6, 2) = 0., (7, 1) = 0., (7, 2) = 0.}, order = C_order); yout := Vector(5, {(1) = 0., (2) = 0., (3) = 0., (4) = 0., (5) = 0.}); `dsolve/numeric/hermite`(23, 5, X, Y, YP, outpoint, yout, L, V) end if; [outpoint, seq(yout[i], i = 1 .. 5)] end proc, (2) = Array(1..6, {(1) = 18446884187980970662, (2) = 18446884187980970838, (3) = 18446884187980971014, (4) = 18446884187980971190, (5) = 18446884187980971366, (6) = 18446884187980971542}), (3) = [y, g(y), diff(g(y), y), diff(diff(g(y), y), y), h(y), diff(h(y), y)], (4) = 0}); solnproc := data[1]; if not type(outpoint, 'numeric') then if outpoint = "solnprocedure" then return eval(solnproc) elif member(outpoint, ["start", "left", "right", "errorproc", "rawdata", "order", "error"]) then return solnproc(y) elif outpoint = "sysvars" then return data[3] elif procname <> unknown then return ('procname')(y) else `D(g)` := pointto(data[2][3]); return ('`D(g)`')(y) end if end if; try res := solnproc(outpoint); res[3] catch: error  end try end proc, (D@@2)(g) = proc (y) local res, data, solnproc, `\`@@\`(D,2)(g)`, outpoint; option `Copyright (c) 2000 by Waterloo Maple Inc. All rights reserved.`; _EnvDSNumericSaveDigits := Digits; Digits := 15; if _EnvInFsolve = true then outpoint := evalf[_EnvDSNumericSaveDigits](y) else outpoint := evalf(y) end if; data := Array(1..4, {(1) = proc (outpoint) local X, Y, YP, yout, errproc, L, V, i; option `Copyright (c) 2000 by Waterloo Maple Inc. All rights reserved.`; X := Vector(23, {(1) = .0, (2) = .8799831042532784, (3) = 1.763772371553262, (4) = 2.654402578229091, (5) = 3.553045082129558, (6) = 4.4586129408519, (7) = 5.368912785498599, (8) = 6.281998076176939, (9) = 7.196599390092052, (10) = 8.112001132142932, (11) = 9.027808856750797, (12) = 9.943796151122035, (13) = 10.859842591432589, (14) = 11.775909928091433, (15) = 12.69200195250145, (16) = 13.608108476818263, (17) = 14.524205241796912, (18) = 15.440280945947823, (19) = 16.356315458558022, (20) = 17.272324219157973, (21) = 18.18845135779876, (22) = 19.104508127436276, (23) = 20.0}, datatype = float[8], order = C_order); Y := Matrix(23, 5, {(1, 1) = .0, (1, 2) = .0, (1, 3) = .7509958992140092, (1, 4) = 1.0, (1, 5) = -.5766182177889736, (2, 1) = .19294506823253071, (2, 2) = .345717339320025, (2, 3) = .11748530886258848, (2, 4) = .5437094913262883, (2, 5) = -.42619398711861173, (3, 1) = .5054078147971317, (3, 2) = .3295368928873986, (3, 3) = -.10281256306809654, (3, 4) = .25842450171487663, (3, 5) = -.22929557876687195, (4, 1) = .7517816685489124, (4, 2) = .2211740580910692, (4, 3) = -.12239573074044155, (4, 4) = .11436339993638699, (4, 5) = -.10715356554772232, (5, 1) = .9054483747328635, (5, 2) = .1264140268653532, (5, 3) = -0.8591949919337281e-1, (5, 4) = 0.48719039228723914e-1, (5, 5) = -0.4672290447819592e-1, (6, 1) = .9900111442791364, (6, 2) = 0.6583176447988233e-1, (6, 3) = -0.4973034058218495e-1, (6, 4) = 0.20344942782691302e-1, (6, 5) = -0.1969778835995821e-1, (7, 1) = 1.0330480370810036, (7, 2) = 0.32315267535371534e-1, (7, 3) = -0.2600272586003493e-1, (7, 4) = 0.841131598460929e-2, (7, 5) = -0.8174310046940966e-2, (8, 1) = 1.0538493557885784, (8, 2) = 0.15247583407686798e-1, (8, 3) = -0.12786769213836738e-1, (8, 4) = 0.3460729946239088e-2, (8, 5) = -0.3368066407962972e-2, (9, 1) = 1.0635555317661158, (9, 2) = 0.6998105041282296e-2, (9, 3) = -0.604035420324911e-2, (9, 4) = 0.14206067753971528e-2, (9, 5) = -0.13833280384499146e-2, (10, 1) = 1.067973284021565, (10, 2) = 0.31478225677167735e-2, (10, 3) = -0.2774978205981712e-2, (10, 4) = 0.582512305832151e-3, (10, 5) = -0.5673463700191876e-3, (11, 1) = 1.0699476410036053, (11, 2) = 0.13945650673762352e-2, (11, 3) = -0.12492766558546968e-2, (11, 4) = 0.23873182831542274e-3, (11, 5) = -0.23253747538797784e-3, (12, 1) = 1.070817852106119, (12, 2) = 0.6105700389362067e-3, (12, 3) = -0.553893319523471e-3, (12, 4) = 0.9781649764191596e-4, (12, 5) = -0.9528435644133216e-4, (13, 1) = 1.071197262363775, (13, 2) = 0.26480452107368317e-3, (13, 3) = -0.24268469519682714e-3, (13, 4) = 0.4007386033544328e-4, (13, 5) = -0.39040038537364915e-4, (14, 1) = 1.0713612440610472, (14, 2) = 0.11394909512081752e-3, (14, 3) = -0.10532867430154103e-3, (14, 4) = 0.16415288070247586e-4, (14, 5) = -0.15995006093854115e-4, (15, 1) = 1.0714315982101714, (15, 2) = 0.4870000930855666e-4, (15, 3) = -0.45361559105776056e-4, (15, 4) = 0.6722049068016235e-5, (15, 5) = -0.655308793716169e-5, (16, 1) = 1.071461583562454, (16, 2) = 0.20679444144369147e-4, (16, 3) = -0.1941000219193855e-4, (16, 4) = 0.2750733132001786e-5, (16, 5) = -0.26847296756546684e-5, (17, 1) = 1.0714742787121994, (17, 2) = 0.8718850547396554e-5, (17, 3) = -0.8259728398401262e-5, (17, 4) = 0.11237385463905423e-5, (17, 5) = -0.10999141617991744e-5, (18, 1) = 1.0714796105551125, (18, 2) = 0.3640252978905283e-5, (18, 3) = -0.3497402269851553e-5, (18, 4) = 0.45718005927355556e-6, (18, 5) = -0.45063567228372506e-6, (19, 1) = 1.0714818225105625, (19, 2) = 0.14944389063713663e-5, (19, 3) = -0.14735566530371413e-5, (19, 4) = 0.18409802069572952e-6, (19, 5) = -0.1846330205946365e-6, (20, 1) = 1.0714827192138023, (20, 2) = 0.5925773918561377e-6, (20, 3) = -0.6170979188394264e-6, (20, 4) = 0.7221359286521267e-7, (20, 5) = -0.756490724910656e-7, (21, 1) = 1.071483064754158, (21, 2) = 0.2162423610813038e-6, (21, 3) = -0.25593520469778174e-6, (21, 4) = 0.26367855391509727e-7, (21, 5) = -0.3099182802156362e-7, (22, 1) = 1.07148318136988, (22, 2) = 0.6124869999887661e-7, (22, 3) = -0.10415162185182523e-6, (22, 4) = 0.7586701144665916e-8, (22, 5) = -0.12697548109268844e-7, (23, 1) = 1.0714832046525464, (23, 2) = .0, (23, 3) = -0.414339042389871e-7, (23, 4) = .0, (23, 5) = -0.5307519484383215e-8}, datatype = float[8], order = C_order); YP := Matrix(23, 5, {(1, 1) = .0, (1, 2) = .7509958992140092, (1, 3) = -1.0, (1, 4) = -.5766182177889736, (1, 5) = .0, (2, 1) = .345717339320025, (2, 2) = .11748530886258848, (2, 3) = -.44685722355458307, (2, 4) = -.42619398711861173, (2, 5) = .2456380242084213, (3, 1) = .3295368928873986, (3, 2) = -.10281256306809654, (3, 3) = -0.9786766510705683e-1, (3, 4) = -.22929557876687195, (3, 5) = .1827710770439118, (4, 1) = .2211740580910692, (4, 2) = -.12239573074044155, (4, 3) = 0.26569430715397205e-1, (4, 4) = -.10715356554772232, (4, 5) = 0.9622754869041322e-1, (5, 1) = .1264140268653532, (5, 2) = -0.8591949919337281e-1, (5, 3) = 0.4505713786209132e-1, (5, 4) = -0.4672290447819592e-1, (5, 5) = 0.44058134414995835e-1, (6, 1) = 0.6583176447988233e-1, (6, 2) = -0.4973034058218495e-1, (6, 3) = 0.332224698170035e-1, (6, 4) = -0.1969778835995821e-1, (6, 5) = 0.18945794068761176e-1, (7, 1) = 0.32315267535371534e-1, (7, 2) = -0.2600272586003493e-1, (7, 3) = 0.19495025439737884e-1, (7, 4) = -0.8174310046940966e-2, (7, 5) = 0.792388079531917e-2, (8, 1) = 0.15247583407686798e-1, (8, 2) = -0.12786769213836738e-1, (8, 3) = 0.10247087352154351e-1, (8, 4) = -0.3368066407962972e-2, (8, 5) = 0.3274729438901535e-2, (9, 1) = 0.6998105041282296e-2, (9, 2) = -0.604035420324911e-2, (9, 3) = 0.5052618825463968e-2, (9, 4) = -0.13833280384499146e-2, (9, 5) = 0.13465343117974211e-2, (10, 1) = 0.31478225677167735e-2, (10, 2) = -0.2774978205981712e-2, (10, 3) = 0.2390999068816236e-2, (10, 4) = -0.5673463700191876e-3, (10, 5) = 0.5524949194085244e-3, (11, 1) = 0.13945650673762352e-2, (11, 2) = -0.12492766558546968e-2, (11, 3) = 0.1099873594304329e-2, (11, 4) = -0.23253747538797784e-3, (11, 5) = 0.22648713664049123e-3, (12, 1) = 0.6105700389362067e-3, (12, 2) = -0.553893319523471e-3, (12, 3) = 0.495675152838582e-3, (12, 4) = -0.9528435644133216e-4, (12, 5) = 0.9281083066054085e-4, (13, 1) = 0.26480452107368317e-3, (13, 2) = -0.24268469519682714e-3, (13, 3) = 0.21995944221136622e-3, (13, 4) = -0.39040038537364915e-4, (13, 5) = 0.3802744922108661e-4, (14, 1) = 0.11394909512081752e-3, (14, 2) = -0.10532867430154103e-3, (14, 3) = 0.9644275586103112e-4, (14, 4) = -0.15995006093854115e-4, (14, 5) = 0.15580272849724842e-4, (15, 1) = 0.4870000930855666e-4, (15, 2) = -0.45361559105776056e-4, (15, 3) = 0.41882130392897214e-4, (15, 4) = -0.655308793716169e-5, (15, 5) = 0.6383193495979208e-5, (16, 1) = 0.20679444144369147e-4, (16, 2) = -0.1941000219193855e-4, (16, 3) = 0.18046766192933517e-4, (16, 4) = -0.26847296756546684e-5, (16, 5) = 0.26151287212238395e-5, (17, 1) = 0.8718850547396554e-5, (17, 2) = -0.8259728398401262e-5, (17, 3) = 0.7726423999999988e-5, (17, 4) = -0.10999141617991744e-5, (17, 5) = 0.1071399573515949e-5, (18, 1) = 0.3640252978905283e-5, (18, 2) = -0.3497402269851553e-5, (18, 3) = 0.32902284142233035e-5, (18, 4) = -0.45063567228372506e-6, (18, 5) = 0.43895327171989055e-6, (19, 1) = 0.14944389063713663e-5, (19, 2) = -0.14735566530371413e-5, (19, 3) = 0.13947933808207162e-5, (19, 4) = -0.1846330205946365e-6, (19, 5) = 0.1798465459323782e-6, (20, 1) = 0.5925773918561377e-6, (20, 2) = -0.6170979188394264e-6, (20, 3) = 0.5889965143819995e-6, (20, 4) = -0.756490724910656e-7, (20, 5) = 0.7368792426442866e-7, (21, 1) = 0.2162423610813038e-6, (21, 2) = -0.25593520469778174e-6, (21, 3) = 0.24786242887731095e-6, (21, 4) = -0.3099182802156362e-7, (21, 5) = 0.3018838597520553e-7, (22, 1) = 0.6124869999887661e-7, (22, 2) = -0.10415162185182523e-6, (22, 3) = 0.10401001373336376e-6, (22, 4) = -0.12697548109268844e-7, (22, 5) = 0.12368372462174604e-7, (23, 1) = .0, (23, 2) = -0.414339042389871e-7, (23, 3) = 0.4439573249525663e-7, (23, 4) = -0.5307519484383215e-8, (23, 5) = 0.5169925441711597e-8}, datatype = float[8], order = C_order); errproc := proc (x_bvp) local outpoint, X, Y, yout, L, V, i; option `Copyright (c) 2000 by Waterloo Maple Inc. All rights reserved.`; Digits := 15; outpoint := evalf(x_bvp); X := Vector(23, {(1) = .0, (2) = .8799831042532784, (3) = 1.763772371553262, (4) = 2.654402578229091, (5) = 3.553045082129558, (6) = 4.4586129408519, (7) = 5.368912785498599, (8) = 6.281998076176939, (9) = 7.196599390092052, (10) = 8.112001132142932, (11) = 9.027808856750797, (12) = 9.943796151122035, (13) = 10.859842591432589, (14) = 11.775909928091433, (15) = 12.69200195250145, (16) = 13.608108476818263, (17) = 14.524205241796912, (18) = 15.440280945947823, (19) = 16.356315458558022, (20) = 17.272324219157973, (21) = 18.18845135779876, (22) = 19.104508127436276, (23) = 20.0}, datatype = float[8], order = C_order); Y := Matrix(23, 5, {(1, 1) = .0, (1, 2) = .0, (1, 3) = 0.18677723346185155e-6, (1, 4) = .0, (1, 5) = -0.1601034189830942e-6, (2, 1) = 0.37448226506023734e-7, (2, 2) = -0.4882419193663561e-8, (2, 3) = 0.32590922758163096e-7, (2, 4) = 0.8384642286135039e-8, (2, 5) = -0.3822989163192259e-7, (3, 1) = 0.4178076522983118e-7, (3, 2) = -0.32454728940560626e-7, (3, 3) = 0.5559818911848743e-7, (3, 4) = 0.255368475385125e-7, (3, 5) = -0.26372934101735208e-7, (4, 1) = -0.3503349256133378e-8, (4, 2) = 0.23271413239470415e-7, (4, 3) = -0.13109277388977377e-7, (4, 4) = 0.1940395871477904e-7, (4, 5) = -0.21150015818914884e-7, (5, 1) = 0.9049822894255894e-8, (5, 2) = 0.2044098278596014e-7, (5, 3) = -0.23457165838090578e-7, (5, 4) = 0.2721022646410278e-8, (5, 5) = -0.3786091636826618e-8, (6, 1) = 0.27051273759362853e-7, (6, 2) = 0.15343716259627215e-9, (6, 3) = -0.21958032487259045e-8, (6, 4) = -0.4159511453386257e-9, (6, 5) = 0.38101170586747216e-10, (7, 1) = 0.29235514018364573e-7, (7, 2) = -0.453106337656716e-8, (7, 3) = 0.46319249349793395e-8, (7, 4) = 0.46342814231151797e-9, (7, 5) = -0.6792806203548744e-9, (8, 1) = 0.26054556255110013e-7, (8, 2) = -0.1882133375224601e-8, (8, 3) = 0.2244789452496081e-8, (8, 4) = 0.711835820669783e-9, (8, 5) = -0.8568477954792043e-9, (9, 1) = 0.24106962716022037e-7, (9, 2) = 0.1629685214904445e-9, (9, 3) = -0.11146494499834733e-9, (9, 4) = 0.45110688737061194e-9, (9, 5) = -0.539236754168219e-9, (10, 1) = 0.2374177391716608e-7, (10, 2) = 0.5860236135721297e-9, (10, 3) = -0.7196114662102999e-9, (10, 4) = 0.18313053413689276e-9, (10, 5) = -0.23112721605478909e-9, (11, 1) = 0.23938814887888642e-7, (11, 2) = 0.34670384490097316e-9, (11, 3) = -0.499387007098935e-9, (11, 4) = 0.40264060755003194e-10, (11, 5) = -0.6396528893681144e-10, (12, 1) = 0.2413280997412847e-7, (12, 2) = 0.8123434213412095e-10, (12, 3) = -0.18766851557521373e-9, (12, 4) = -0.10028889791867737e-10, (12, 5) = -0.5607571181840299e-12, (13, 1) = 0.24205166580449604e-7, (13, 2) = -0.4873554507228097e-10, (13, 3) = -0.9122645013749574e-11, (13, 4) = -0.1774384229814944e-10, (13, 5) = 0.13554216810388484e-10, (14, 1) = 0.24197923253315855e-7, (14, 2) = -0.7644103795235015e-10, (14, 3) = 0.5059366630228127e-10, (14, 4) = -0.12500071087031085e-10, (14, 5) = 0.11123935740845305e-10, (15, 1) = 0.24164459411748233e-7, (15, 2) = -0.6066740320325875e-10, (15, 3) = 0.5144731921398412e-10, (15, 4) = -0.63139041944452e-11, (15, 5) = 0.6018851574113935e-11, (16, 1) = 0.24133003199149926e-7, (16, 2) = -0.36959226456229056e-10, (16, 3) = 0.34807094444056334e-10, (16, 4) = -0.2296584459403134e-11, (16, 5) = 0.2328976704823776e-11, (17, 1) = 0.24111780059612412e-7, (17, 2) = -0.1873228504203057e-10, (17, 3) = 0.18878272014729034e-10, (17, 4) = -0.33241174545583766e-12, (17, 5) = 0.40568885552430346e-12, (18, 1) = 0.24099883385166445e-7, (18, 2) = -0.7930627600316472e-11, (18, 3) = 0.8419004595137473e-11, (18, 4) = 0.3767477185747604e-12, (18, 5) = -0.34832143812623605e-12, (19, 1) = 0.2409407001294113e-7, (19, 2) = -0.26201105239283355e-11, (19, 3) = 0.2849865664815142e-11, (19, 4) = 0.485146485573298e-12, (19, 5) = -0.5118521121703797e-12, (20, 1) = 0.24091528694372805e-7, (20, 2) = -0.4820658103323563e-12, (20, 3) = 0.3930534221642779e-12, (20, 4) = 0.37341039360175125e-12, (20, 5) = -0.4432984456493013e-12, (21, 1) = 0.24090485353105713e-7, (21, 2) = 0.12932248130697764e-12, (21, 3) = -0.4349598146471398e-12, (21, 4) = 0.22003866786553054e-12, (21, 5) = -0.31866839336921104e-12, (22, 1) = 0.24090016159892753e-7, (22, 2) = 0.14345040328921917e-12, (22, 3) = -0.5483809312163577e-12, (22, 4) = 0.9076616249531766e-13, (22, 5) = -0.20691039898422648e-12, (23, 1) = 0.24089729356345837e-7, (23, 2) = .0, (23, 3) = -0.4163274954165759e-12, (23, 4) = .0, (23, 5) = -0.12614313243075443e-12}, datatype = float[8], order = C_order); if not type(outpoint, 'numeric') then if outpoint = "start" or outpoint = "left" then return X[1] elif outpoint = "right" then return X[23] elif outpoint = "order" then return 8 elif outpoint = "error" then return HFloat(1.8677723346185155e-7) elif outpoint = "errorproc" then error "this is already the error procedure" elif outpoint = "rawdata" then return [5, 23, [g(y), diff(g(y), y), diff(diff(g(y), y), y), h(y), diff(h(y), y)], X, Y] else return ('procname')(x_bvp) end if end if; if outpoint < X[1] or X[23] < outpoint then error "solution is only defined in the range %1..%2", X[1], X[23] end if; V := array([1 = 4, 2 = 0]); if Digits <= trunc(evalhf(Digits)) then L := Vector(4, 'datatype' = 'float'[8]); yout := Vector(5, 'datatype' = 'float'[8]); evalhf(`dsolve/numeric/lagrange`(23, 5, X, Y, outpoint, var(yout), var(L), var(V))) else L := Vector(4, 'datatype' = 'sfloat'); yout := Vector(5, 'datatype' = 'sfloat'); `dsolve/numeric/lagrange`(23, 5, X, Y, outpoint, yout, L, V) end if; [y = outpoint, seq('[g(y), diff(g(y), y), diff(diff(g(y), y), y), h(y), diff(h(y), y)]'[i] = yout[i], i = 1 .. 5)] end proc; if not type(outpoint, 'numeric') then if outpoint = "start" or outpoint = "left" then return X[1] elif outpoint = "method" then return "bvp" elif outpoint = "right" then return X[23] elif outpoint = "order" then return 8 elif outpoint = "error" then return HFloat(1.8677723346185155e-7) elif outpoint = "errorproc" then return eval(errproc) elif outpoint = "rawdata" then return [5, 23, "depnames", X, Y, YP] else error "non-numeric value" end if end if; if outpoint < X[1] or X[23] < outpoint then error "solution is only defined in the range %1..%2", X[1], X[23] end if; if Digits <= trunc(evalhf(Digits)) and (_EnvInFsolve <> true or _EnvDSNumericSaveDigits <= trunc(evalhf(Digits))) then V := array( 1 .. 6, [( 1 ) = (7), ( 2 ) = (0), ( 3 ) = (false), ( 4 ) = (false), ( 5 ) = (false), ( 6 ) = (false)  ] ); L := Matrix(7, 2, {(1, 1) = .0, (1, 2) = .0, (2, 1) = .0, (2, 2) = .0, (3, 1) = .0, (3, 2) = .0, (4, 1) = .0, (4, 2) = .0, (5, 1) = .0, (5, 2) = .0, (6, 1) = .0, (6, 2) = .0, (7, 1) = .0, (7, 2) = .0}, datatype = float[8], order = C_order); yout := Vector(5, {(1) = .0, (2) = .0, (3) = .0, (4) = .0, (5) = .0}, datatype = float[8]); evalhf(`dsolve/numeric/hermite`(23, 5, X, Y, YP, outpoint, var(yout), var(L), var(V))) else if _EnvInFsolve = true then Digits := _EnvDSNumericSaveDigits end if; V := array( 1 .. 6, [( 1 ) = (7), ( 2 ) = (0), ( 3 ) = (false), ( 4 ) = (false), ( 5 ) = (false), ( 6 ) = (false)  ] ); L := Matrix(7, 2, {(1, 1) = 0., (1, 2) = 0., (2, 1) = 0., (2, 2) = 0., (3, 1) = 0., (3, 2) = 0., (4, 1) = 0., (4, 2) = 0., (5, 1) = 0., (5, 2) = 0., (6, 1) = 0., (6, 2) = 0., (7, 1) = 0., (7, 2) = 0.}, order = C_order); yout := Vector(5, {(1) = 0., (2) = 0., (3) = 0., (4) = 0., (5) = 0.}); `dsolve/numeric/hermite`(23, 5, X, Y, YP, outpoint, yout, L, V) end if; [outpoint, seq(yout[i], i = 1 .. 5)] end proc, (2) = Array(1..6, {(1) = 18446884187980970662, (2) = 18446884187980970838, (3) = 18446884187980971014, (4) = 18446884187980971190, (5) = 18446884187980971366, (6) = 18446884187980971542}), (3) = [y, g(y), diff(g(y), y), diff(diff(g(y), y), y), h(y), diff(h(y), y)], (4) = 0}); solnproc := data[1]; if not type(outpoint, 'numeric') then if outpoint = "solnprocedure" then return eval(solnproc) elif member(outpoint, ["start", "left", "right", "errorproc", "rawdata", "order", "error"]) then return solnproc(y) elif outpoint = "sysvars" then return data[3] elif procname <> unknown then return ('procname')(y) else `\`@@\`(D,2)(g)` := pointto(data[2][4]); return ('`\`@@\`(D,2)(g)`')(y) end if end if; try res := solnproc(outpoint); res[4] catch: error  end try end proc, h = proc (y) local res, data, solnproc, h, outpoint; option `Copyright (c) 2000 by Waterloo Maple Inc. All rights reserved.`; _EnvDSNumericSaveDigits := Digits; Digits := 15; if _EnvInFsolve = true then outpoint := evalf[_EnvDSNumericSaveDigits](y) else outpoint := evalf(y) end if; data := Array(1..4, {(1) = proc (outpoint) local X, Y, YP, yout, errproc, L, V, i; option `Copyright (c) 2000 by Waterloo Maple Inc. All rights reserved.`; X := Vector(23, {(1) = .0, (2) = .8799831042532784, (3) = 1.763772371553262, (4) = 2.654402578229091, (5) = 3.553045082129558, (6) = 4.4586129408519, (7) = 5.368912785498599, (8) = 6.281998076176939, (9) = 7.196599390092052, (10) = 8.112001132142932, (11) = 9.027808856750797, (12) = 9.943796151122035, (13) = 10.859842591432589, (14) = 11.775909928091433, (15) = 12.69200195250145, (16) = 13.608108476818263, (17) = 14.524205241796912, (18) = 15.440280945947823, (19) = 16.356315458558022, (20) = 17.272324219157973, (21) = 18.18845135779876, (22) = 19.104508127436276, (23) = 20.0}, datatype = float[8], order = C_order); Y := Matrix(23, 5, {(1, 1) = .0, (1, 2) = .0, (1, 3) = .7509958992140092, (1, 4) = 1.0, (1, 5) = -.5766182177889736, (2, 1) = .19294506823253071, (2, 2) = .345717339320025, (2, 3) = .11748530886258848, (2, 4) = .5437094913262883, (2, 5) = -.42619398711861173, (3, 1) = .5054078147971317, (3, 2) = .3295368928873986, (3, 3) = -.10281256306809654, (3, 4) = .25842450171487663, (3, 5) = -.22929557876687195, (4, 1) = .7517816685489124, (4, 2) = .2211740580910692, (4, 3) = -.12239573074044155, (4, 4) = .11436339993638699, (4, 5) = -.10715356554772232, (5, 1) = .9054483747328635, (5, 2) = .1264140268653532, (5, 3) = -0.8591949919337281e-1, (5, 4) = 0.48719039228723914e-1, (5, 5) = -0.4672290447819592e-1, (6, 1) = .9900111442791364, (6, 2) = 0.6583176447988233e-1, (6, 3) = -0.4973034058218495e-1, (6, 4) = 0.20344942782691302e-1, (6, 5) = -0.1969778835995821e-1, (7, 1) = 1.0330480370810036, (7, 2) = 0.32315267535371534e-1, (7, 3) = -0.2600272586003493e-1, (7, 4) = 0.841131598460929e-2, (7, 5) = -0.8174310046940966e-2, (8, 1) = 1.0538493557885784, (8, 2) = 0.15247583407686798e-1, (8, 3) = -0.12786769213836738e-1, (8, 4) = 0.3460729946239088e-2, (8, 5) = -0.3368066407962972e-2, (9, 1) = 1.0635555317661158, (9, 2) = 0.6998105041282296e-2, (9, 3) = -0.604035420324911e-2, (9, 4) = 0.14206067753971528e-2, (9, 5) = -0.13833280384499146e-2, (10, 1) = 1.067973284021565, (10, 2) = 0.31478225677167735e-2, (10, 3) = -0.2774978205981712e-2, (10, 4) = 0.582512305832151e-3, (10, 5) = -0.5673463700191876e-3, (11, 1) = 1.0699476410036053, (11, 2) = 0.13945650673762352e-2, (11, 3) = -0.12492766558546968e-2, (11, 4) = 0.23873182831542274e-3, (11, 5) = -0.23253747538797784e-3, (12, 1) = 1.070817852106119, (12, 2) = 0.6105700389362067e-3, (12, 3) = -0.553893319523471e-3, (12, 4) = 0.9781649764191596e-4, (12, 5) = -0.9528435644133216e-4, (13, 1) = 1.071197262363775, (13, 2) = 0.26480452107368317e-3, (13, 3) = -0.24268469519682714e-3, (13, 4) = 0.4007386033544328e-4, (13, 5) = -0.39040038537364915e-4, (14, 1) = 1.0713612440610472, (14, 2) = 0.11394909512081752e-3, (14, 3) = -0.10532867430154103e-3, (14, 4) = 0.16415288070247586e-4, (14, 5) = -0.15995006093854115e-4, (15, 1) = 1.0714315982101714, (15, 2) = 0.4870000930855666e-4, (15, 3) = -0.45361559105776056e-4, (15, 4) = 0.6722049068016235e-5, (15, 5) = -0.655308793716169e-5, (16, 1) = 1.071461583562454, (16, 2) = 0.20679444144369147e-4, (16, 3) = -0.1941000219193855e-4, (16, 4) = 0.2750733132001786e-5, (16, 5) = -0.26847296756546684e-5, (17, 1) = 1.0714742787121994, (17, 2) = 0.8718850547396554e-5, (17, 3) = -0.8259728398401262e-5, (17, 4) = 0.11237385463905423e-5, (17, 5) = -0.10999141617991744e-5, (18, 1) = 1.0714796105551125, (18, 2) = 0.3640252978905283e-5, (18, 3) = -0.3497402269851553e-5, (18, 4) = 0.45718005927355556e-6, (18, 5) = -0.45063567228372506e-6, (19, 1) = 1.0714818225105625, (19, 2) = 0.14944389063713663e-5, (19, 3) = -0.14735566530371413e-5, (19, 4) = 0.18409802069572952e-6, (19, 5) = -0.1846330205946365e-6, (20, 1) = 1.0714827192138023, (20, 2) = 0.5925773918561377e-6, (20, 3) = -0.6170979188394264e-6, (20, 4) = 0.7221359286521267e-7, (20, 5) = -0.756490724910656e-7, (21, 1) = 1.071483064754158, (21, 2) = 0.2162423610813038e-6, (21, 3) = -0.25593520469778174e-6, (21, 4) = 0.26367855391509727e-7, (21, 5) = -0.3099182802156362e-7, (22, 1) = 1.07148318136988, (22, 2) = 0.6124869999887661e-7, (22, 3) = -0.10415162185182523e-6, (22, 4) = 0.7586701144665916e-8, (22, 5) = -0.12697548109268844e-7, (23, 1) = 1.0714832046525464, (23, 2) = .0, (23, 3) = -0.414339042389871e-7, (23, 4) = .0, (23, 5) = -0.5307519484383215e-8}, datatype = float[8], order = C_order); YP := Matrix(23, 5, {(1, 1) = .0, (1, 2) = .7509958992140092, (1, 3) = -1.0, (1, 4) = -.5766182177889736, (1, 5) = .0, (2, 1) = .345717339320025, (2, 2) = .11748530886258848, (2, 3) = -.44685722355458307, (2, 4) = -.42619398711861173, (2, 5) = .2456380242084213, (3, 1) = .3295368928873986, (3, 2) = -.10281256306809654, (3, 3) = -0.9786766510705683e-1, (3, 4) = -.22929557876687195, (3, 5) = .1827710770439118, (4, 1) = .2211740580910692, (4, 2) = -.12239573074044155, (4, 3) = 0.26569430715397205e-1, (4, 4) = -.10715356554772232, (4, 5) = 0.9622754869041322e-1, (5, 1) = .1264140268653532, (5, 2) = -0.8591949919337281e-1, (5, 3) = 0.4505713786209132e-1, (5, 4) = -0.4672290447819592e-1, (5, 5) = 0.44058134414995835e-1, (6, 1) = 0.6583176447988233e-1, (6, 2) = -0.4973034058218495e-1, (6, 3) = 0.332224698170035e-1, (6, 4) = -0.1969778835995821e-1, (6, 5) = 0.18945794068761176e-1, (7, 1) = 0.32315267535371534e-1, (7, 2) = -0.2600272586003493e-1, (7, 3) = 0.19495025439737884e-1, (7, 4) = -0.8174310046940966e-2, (7, 5) = 0.792388079531917e-2, (8, 1) = 0.15247583407686798e-1, (8, 2) = -0.12786769213836738e-1, (8, 3) = 0.10247087352154351e-1, (8, 4) = -0.3368066407962972e-2, (8, 5) = 0.3274729438901535e-2, (9, 1) = 0.6998105041282296e-2, (9, 2) = -0.604035420324911e-2, (9, 3) = 0.5052618825463968e-2, (9, 4) = -0.13833280384499146e-2, (9, 5) = 0.13465343117974211e-2, (10, 1) = 0.31478225677167735e-2, (10, 2) = -0.2774978205981712e-2, (10, 3) = 0.2390999068816236e-2, (10, 4) = -0.5673463700191876e-3, (10, 5) = 0.5524949194085244e-3, (11, 1) = 0.13945650673762352e-2, (11, 2) = -0.12492766558546968e-2, (11, 3) = 0.1099873594304329e-2, (11, 4) = -0.23253747538797784e-3, (11, 5) = 0.22648713664049123e-3, (12, 1) = 0.6105700389362067e-3, (12, 2) = -0.553893319523471e-3, (12, 3) = 0.495675152838582e-3, (12, 4) = -0.9528435644133216e-4, (12, 5) = 0.9281083066054085e-4, (13, 1) = 0.26480452107368317e-3, (13, 2) = -0.24268469519682714e-3, (13, 3) = 0.21995944221136622e-3, (13, 4) = -0.39040038537364915e-4, (13, 5) = 0.3802744922108661e-4, (14, 1) = 0.11394909512081752e-3, (14, 2) = -0.10532867430154103e-3, (14, 3) = 0.9644275586103112e-4, (14, 4) = -0.15995006093854115e-4, (14, 5) = 0.15580272849724842e-4, (15, 1) = 0.4870000930855666e-4, (15, 2) = -0.45361559105776056e-4, (15, 3) = 0.41882130392897214e-4, (15, 4) = -0.655308793716169e-5, (15, 5) = 0.6383193495979208e-5, (16, 1) = 0.20679444144369147e-4, (16, 2) = -0.1941000219193855e-4, (16, 3) = 0.18046766192933517e-4, (16, 4) = -0.26847296756546684e-5, (16, 5) = 0.26151287212238395e-5, (17, 1) = 0.8718850547396554e-5, (17, 2) = -0.8259728398401262e-5, (17, 3) = 0.7726423999999988e-5, (17, 4) = -0.10999141617991744e-5, (17, 5) = 0.1071399573515949e-5, (18, 1) = 0.3640252978905283e-5, (18, 2) = -0.3497402269851553e-5, (18, 3) = 0.32902284142233035e-5, (18, 4) = -0.45063567228372506e-6, (18, 5) = 0.43895327171989055e-6, (19, 1) = 0.14944389063713663e-5, (19, 2) = -0.14735566530371413e-5, (19, 3) = 0.13947933808207162e-5, (19, 4) = -0.1846330205946365e-6, (19, 5) = 0.1798465459323782e-6, (20, 1) = 0.5925773918561377e-6, (20, 2) = -0.6170979188394264e-6, (20, 3) = 0.5889965143819995e-6, (20, 4) = -0.756490724910656e-7, (20, 5) = 0.7368792426442866e-7, (21, 1) = 0.2162423610813038e-6, (21, 2) = -0.25593520469778174e-6, (21, 3) = 0.24786242887731095e-6, (21, 4) = -0.3099182802156362e-7, (21, 5) = 0.3018838597520553e-7, (22, 1) = 0.6124869999887661e-7, (22, 2) = -0.10415162185182523e-6, (22, 3) = 0.10401001373336376e-6, (22, 4) = -0.12697548109268844e-7, (22, 5) = 0.12368372462174604e-7, (23, 1) = .0, (23, 2) = -0.414339042389871e-7, (23, 3) = 0.4439573249525663e-7, (23, 4) = -0.5307519484383215e-8, (23, 5) = 0.5169925441711597e-8}, datatype = float[8], order = C_order); errproc := proc (x_bvp) local outpoint, X, Y, yout, L, V, i; option `Copyright (c) 2000 by Waterloo Maple Inc. All rights reserved.`; Digits := 15; outpoint := evalf(x_bvp); X := Vector(23, {(1) = .0, (2) = .8799831042532784, (3) = 1.763772371553262, (4) = 2.654402578229091, (5) = 3.553045082129558, (6) = 4.4586129408519, (7) = 5.368912785498599, (8) = 6.281998076176939, (9) = 7.196599390092052, (10) = 8.112001132142932, (11) = 9.027808856750797, (12) = 9.943796151122035, (13) = 10.859842591432589, (14) = 11.775909928091433, (15) = 12.69200195250145, (16) = 13.608108476818263, (17) = 14.524205241796912, (18) = 15.440280945947823, (19) = 16.356315458558022, (20) = 17.272324219157973, (21) = 18.18845135779876, (22) = 19.104508127436276, (23) = 20.0}, datatype = float[8], order = C_order); Y := Matrix(23, 5, {(1, 1) = .0, (1, 2) = .0, (1, 3) = 0.18677723346185155e-6, (1, 4) = .0, (1, 5) = -0.1601034189830942e-6, (2, 1) = 0.37448226506023734e-7, (2, 2) = -0.4882419193663561e-8, (2, 3) = 0.32590922758163096e-7, (2, 4) = 0.8384642286135039e-8, (2, 5) = -0.3822989163192259e-7, (3, 1) = 0.4178076522983118e-7, (3, 2) = -0.32454728940560626e-7, (3, 3) = 0.5559818911848743e-7, (3, 4) = 0.255368475385125e-7, (3, 5) = -0.26372934101735208e-7, (4, 1) = -0.3503349256133378e-8, (4, 2) = 0.23271413239470415e-7, (4, 3) = -0.13109277388977377e-7, (4, 4) = 0.1940395871477904e-7, (4, 5) = -0.21150015818914884e-7, (5, 1) = 0.9049822894255894e-8, (5, 2) = 0.2044098278596014e-7, (5, 3) = -0.23457165838090578e-7, (5, 4) = 0.2721022646410278e-8, (5, 5) = -0.3786091636826618e-8, (6, 1) = 0.27051273759362853e-7, (6, 2) = 0.15343716259627215e-9, (6, 3) = -0.21958032487259045e-8, (6, 4) = -0.4159511453386257e-9, (6, 5) = 0.38101170586747216e-10, (7, 1) = 0.29235514018364573e-7, (7, 2) = -0.453106337656716e-8, (7, 3) = 0.46319249349793395e-8, (7, 4) = 0.46342814231151797e-9, (7, 5) = -0.6792806203548744e-9, (8, 1) = 0.26054556255110013e-7, (8, 2) = -0.1882133375224601e-8, (8, 3) = 0.2244789452496081e-8, (8, 4) = 0.711835820669783e-9, (8, 5) = -0.8568477954792043e-9, (9, 1) = 0.24106962716022037e-7, (9, 2) = 0.1629685214904445e-9, (9, 3) = -0.11146494499834733e-9, (9, 4) = 0.45110688737061194e-9, (9, 5) = -0.539236754168219e-9, (10, 1) = 0.2374177391716608e-7, (10, 2) = 0.5860236135721297e-9, (10, 3) = -0.7196114662102999e-9, (10, 4) = 0.18313053413689276e-9, (10, 5) = -0.23112721605478909e-9, (11, 1) = 0.23938814887888642e-7, (11, 2) = 0.34670384490097316e-9, (11, 3) = -0.499387007098935e-9, (11, 4) = 0.40264060755003194e-10, (11, 5) = -0.6396528893681144e-10, (12, 1) = 0.2413280997412847e-7, (12, 2) = 0.8123434213412095e-10, (12, 3) = -0.18766851557521373e-9, (12, 4) = -0.10028889791867737e-10, (12, 5) = -0.5607571181840299e-12, (13, 1) = 0.24205166580449604e-7, (13, 2) = -0.4873554507228097e-10, (13, 3) = -0.9122645013749574e-11, (13, 4) = -0.1774384229814944e-10, (13, 5) = 0.13554216810388484e-10, (14, 1) = 0.24197923253315855e-7, (14, 2) = -0.7644103795235015e-10, (14, 3) = 0.5059366630228127e-10, (14, 4) = -0.12500071087031085e-10, (14, 5) = 0.11123935740845305e-10, (15, 1) = 0.24164459411748233e-7, (15, 2) = -0.6066740320325875e-10, (15, 3) = 0.5144731921398412e-10, (15, 4) = -0.63139041944452e-11, (15, 5) = 0.6018851574113935e-11, (16, 1) = 0.24133003199149926e-7, (16, 2) = -0.36959226456229056e-10, (16, 3) = 0.34807094444056334e-10, (16, 4) = -0.2296584459403134e-11, (16, 5) = 0.2328976704823776e-11, (17, 1) = 0.24111780059612412e-7, (17, 2) = -0.1873228504203057e-10, (17, 3) = 0.18878272014729034e-10, (17, 4) = -0.33241174545583766e-12, (17, 5) = 0.40568885552430346e-12, (18, 1) = 0.24099883385166445e-7, (18, 2) = -0.7930627600316472e-11, (18, 3) = 0.8419004595137473e-11, (18, 4) = 0.3767477185747604e-12, (18, 5) = -0.34832143812623605e-12, (19, 1) = 0.2409407001294113e-7, (19, 2) = -0.26201105239283355e-11, (19, 3) = 0.2849865664815142e-11, (19, 4) = 0.485146485573298e-12, (19, 5) = -0.5118521121703797e-12, (20, 1) = 0.24091528694372805e-7, (20, 2) = -0.4820658103323563e-12, (20, 3) = 0.3930534221642779e-12, (20, 4) = 0.37341039360175125e-12, (20, 5) = -0.4432984456493013e-12, (21, 1) = 0.24090485353105713e-7, (21, 2) = 0.12932248130697764e-12, (21, 3) = -0.4349598146471398e-12, (21, 4) = 0.22003866786553054e-12, (21, 5) = -0.31866839336921104e-12, (22, 1) = 0.24090016159892753e-7, (22, 2) = 0.14345040328921917e-12, (22, 3) = -0.5483809312163577e-12, (22, 4) = 0.9076616249531766e-13, (22, 5) = -0.20691039898422648e-12, (23, 1) = 0.24089729356345837e-7, (23, 2) = .0, (23, 3) = -0.4163274954165759e-12, (23, 4) = .0, (23, 5) = -0.12614313243075443e-12}, datatype = float[8], order = C_order); if not type(outpoint, 'numeric') then if outpoint = "start" or outpoint = "left" then return X[1] elif outpoint = "right" then return X[23] elif outpoint = "order" then return 8 elif outpoint = "error" then return HFloat(1.8677723346185155e-7) elif outpoint = "errorproc" then error "this is already the error procedure" elif outpoint = "rawdata" then return [5, 23, [g(y), diff(g(y), y), diff(diff(g(y), y), y), h(y), diff(h(y), y)], X, Y] else return ('procname')(x_bvp) end if end if; if outpoint < X[1] or X[23] < outpoint then error "solution is only defined in the range %1..%2", X[1], X[23] end if; V := array([1 = 4, 2 = 0]); if Digits <= trunc(evalhf(Digits)) then L := Vector(4, 'datatype' = 'float'[8]); yout := Vector(5, 'datatype' = 'float'[8]); evalhf(`dsolve/numeric/lagrange`(23, 5, X, Y, outpoint, var(yout), var(L), var(V))) else L := Vector(4, 'datatype' = 'sfloat'); yout := Vector(5, 'datatype' = 'sfloat'); `dsolve/numeric/lagrange`(23, 5, X, Y, outpoint, yout, L, V) end if; [y = outpoint, seq('[g(y), diff(g(y), y), diff(diff(g(y), y), y), h(y), diff(h(y), y)]'[i] = yout[i], i = 1 .. 5)] end proc; if not type(outpoint, 'numeric') then if outpoint = "start" or outpoint = "left" then return X[1] elif outpoint = "method" then return "bvp" elif outpoint = "right" then return X[23] elif outpoint = "order" then return 8 elif outpoint = "error" then return HFloat(1.8677723346185155e-7) elif outpoint = "errorproc" then return eval(errproc) elif outpoint = "rawdata" then return [5, 23, "depnames", X, Y, YP] else error "non-numeric value" end if end if; if outpoint < X[1] or X[23] < outpoint then error "solution is only defined in the range %1..%2", X[1], X[23] end if; if Digits <= trunc(evalhf(Digits)) and (_EnvInFsolve <> true or _EnvDSNumericSaveDigits <= trunc(evalhf(Digits))) then V := array( 1 .. 6, [( 1 ) = (7), ( 2 ) = (0), ( 3 ) = (false), ( 4 ) = (false), ( 5 ) = (false), ( 6 ) = (false)  ] ); L := Matrix(7, 2, {(1, 1) = .0, (1, 2) = .0, (2, 1) = .0, (2, 2) = .0, (3, 1) = .0, (3, 2) = .0, (4, 1) = .0, (4, 2) = .0, (5, 1) = .0, (5, 2) = .0, (6, 1) = .0, (6, 2) = .0, (7, 1) = .0, (7, 2) = .0}, datatype = float[8], order = C_order); yout := Vector(5, {(1) = .0, (2) = .0, (3) = .0, (4) = .0, (5) = .0}, datatype = float[8]); evalhf(`dsolve/numeric/hermite`(23, 5, X, Y, YP, outpoint, var(yout), var(L), var(V))) else if _EnvInFsolve = true then Digits := _EnvDSNumericSaveDigits end if; V := array( 1 .. 6, [( 1 ) = (7), ( 2 ) = (0), ( 3 ) = (false), ( 4 ) = (false), ( 5 ) = (false), ( 6 ) = (false)  ] ); L := Matrix(7, 2, {(1, 1) = 0., (1, 2) = 0., (2, 1) = 0., (2, 2) = 0., (3, 1) = 0., (3, 2) = 0., (4, 1) = 0., (4, 2) = 0., (5, 1) = 0., (5, 2) = 0., (6, 1) = 0., (6, 2) = 0., (7, 1) = 0., (7, 2) = 0.}, order = C_order); yout := Vector(5, {(1) = 0., (2) = 0., (3) = 0., (4) = 0., (5) = 0.}); `dsolve/numeric/hermite`(23, 5, X, Y, YP, outpoint, yout, L, V) end if; [outpoint, seq(yout[i], i = 1 .. 5)] end proc, (2) = Array(1..6, {(1) = 18446884187980970662, (2) = 18446884187980970838, (3) = 18446884187980971014, (4) = 18446884187980971190, (5) = 18446884187980971366, (6) = 18446884187980971542}), (3) = [y, g(y), diff(g(y), y), diff(diff(g(y), y), y), h(y), diff(h(y), y)], (4) = 0}); solnproc := data[1]; if not type(outpoint, 'numeric') then if outpoint = "solnprocedure" then return eval(solnproc) elif member(outpoint, ["start", "left", "right", "errorproc", "rawdata", "order", "error"]) then return solnproc(y) elif outpoint = "sysvars" then return data[3] elif procname <> unknown then return ('procname')(y) else h := pointto(data[2][5]); return ('h')(y) end if end if; try res := solnproc(outpoint); res[5] catch: error  end try end proc, D(h) = proc (y) local res, data, solnproc, `D(h)`, outpoint; option `Copyright (c) 2000 by Waterloo Maple Inc. All rights reserved.`; _EnvDSNumericSaveDigits := Digits; Digits := 15; if _EnvInFsolve = true then outpoint := evalf[_EnvDSNumericSaveDigits](y) else outpoint := evalf(y) end if; data := Array(1..4, {(1) = proc (outpoint) local X, Y, YP, yout, errproc, L, V, i; option `Copyright (c) 2000 by Waterloo Maple Inc. All rights reserved.`; X := Vector(23, {(1) = .0, (2) = .8799831042532784, (3) = 1.763772371553262, (4) = 2.654402578229091, (5) = 3.553045082129558, (6) = 4.4586129408519, (7) = 5.368912785498599, (8) = 6.281998076176939, (9) = 7.196599390092052, (10) = 8.112001132142932, (11) = 9.027808856750797, (12) = 9.943796151122035, (13) = 10.859842591432589, (14) = 11.775909928091433, (15) = 12.69200195250145, (16) = 13.608108476818263, (17) = 14.524205241796912, (18) = 15.440280945947823, (19) = 16.356315458558022, (20) = 17.272324219157973, (21) = 18.18845135779876, (22) = 19.104508127436276, (23) = 20.0}, datatype = float[8], order = C_order); Y := Matrix(23, 5, {(1, 1) = .0, (1, 2) = .0, (1, 3) = .7509958992140092, (1, 4) = 1.0, (1, 5) = -.5766182177889736, (2, 1) = .19294506823253071, (2, 2) = .345717339320025, (2, 3) = .11748530886258848, (2, 4) = .5437094913262883, (2, 5) = -.42619398711861173, (3, 1) = .5054078147971317, (3, 2) = .3295368928873986, (3, 3) = -.10281256306809654, (3, 4) = .25842450171487663, (3, 5) = -.22929557876687195, (4, 1) = .7517816685489124, (4, 2) = .2211740580910692, (4, 3) = -.12239573074044155, (4, 4) = .11436339993638699, (4, 5) = -.10715356554772232, (5, 1) = .9054483747328635, (5, 2) = .1264140268653532, (5, 3) = -0.8591949919337281e-1, (5, 4) = 0.48719039228723914e-1, (5, 5) = -0.4672290447819592e-1, (6, 1) = .9900111442791364, (6, 2) = 0.6583176447988233e-1, (6, 3) = -0.4973034058218495e-1, (6, 4) = 0.20344942782691302e-1, (6, 5) = -0.1969778835995821e-1, (7, 1) = 1.0330480370810036, (7, 2) = 0.32315267535371534e-1, (7, 3) = -0.2600272586003493e-1, (7, 4) = 0.841131598460929e-2, (7, 5) = -0.8174310046940966e-2, (8, 1) = 1.0538493557885784, (8, 2) = 0.15247583407686798e-1, (8, 3) = -0.12786769213836738e-1, (8, 4) = 0.3460729946239088e-2, (8, 5) = -0.3368066407962972e-2, (9, 1) = 1.0635555317661158, (9, 2) = 0.6998105041282296e-2, (9, 3) = -0.604035420324911e-2, (9, 4) = 0.14206067753971528e-2, (9, 5) = -0.13833280384499146e-2, (10, 1) = 1.067973284021565, (10, 2) = 0.31478225677167735e-2, (10, 3) = -0.2774978205981712e-2, (10, 4) = 0.582512305832151e-3, (10, 5) = -0.5673463700191876e-3, (11, 1) = 1.0699476410036053, (11, 2) = 0.13945650673762352e-2, (11, 3) = -0.12492766558546968e-2, (11, 4) = 0.23873182831542274e-3, (11, 5) = -0.23253747538797784e-3, (12, 1) = 1.070817852106119, (12, 2) = 0.6105700389362067e-3, (12, 3) = -0.553893319523471e-3, (12, 4) = 0.9781649764191596e-4, (12, 5) = -0.9528435644133216e-4, (13, 1) = 1.071197262363775, (13, 2) = 0.26480452107368317e-3, (13, 3) = -0.24268469519682714e-3, (13, 4) = 0.4007386033544328e-4, (13, 5) = -0.39040038537364915e-4, (14, 1) = 1.0713612440610472, (14, 2) = 0.11394909512081752e-3, (14, 3) = -0.10532867430154103e-3, (14, 4) = 0.16415288070247586e-4, (14, 5) = -0.15995006093854115e-4, (15, 1) = 1.0714315982101714, (15, 2) = 0.4870000930855666e-4, (15, 3) = -0.45361559105776056e-4, (15, 4) = 0.6722049068016235e-5, (15, 5) = -0.655308793716169e-5, (16, 1) = 1.071461583562454, (16, 2) = 0.20679444144369147e-4, (16, 3) = -0.1941000219193855e-4, (16, 4) = 0.2750733132001786e-5, (16, 5) = -0.26847296756546684e-5, (17, 1) = 1.0714742787121994, (17, 2) = 0.8718850547396554e-5, (17, 3) = -0.8259728398401262e-5, (17, 4) = 0.11237385463905423e-5, (17, 5) = -0.10999141617991744e-5, (18, 1) = 1.0714796105551125, (18, 2) = 0.3640252978905283e-5, (18, 3) = -0.3497402269851553e-5, (18, 4) = 0.45718005927355556e-6, (18, 5) = -0.45063567228372506e-6, (19, 1) = 1.0714818225105625, (19, 2) = 0.14944389063713663e-5, (19, 3) = -0.14735566530371413e-5, (19, 4) = 0.18409802069572952e-6, (19, 5) = -0.1846330205946365e-6, (20, 1) = 1.0714827192138023, (20, 2) = 0.5925773918561377e-6, (20, 3) = -0.6170979188394264e-6, (20, 4) = 0.7221359286521267e-7, (20, 5) = -0.756490724910656e-7, (21, 1) = 1.071483064754158, (21, 2) = 0.2162423610813038e-6, (21, 3) = -0.25593520469778174e-6, (21, 4) = 0.26367855391509727e-7, (21, 5) = -0.3099182802156362e-7, (22, 1) = 1.07148318136988, (22, 2) = 0.6124869999887661e-7, (22, 3) = -0.10415162185182523e-6, (22, 4) = 0.7586701144665916e-8, (22, 5) = -0.12697548109268844e-7, (23, 1) = 1.0714832046525464, (23, 2) = .0, (23, 3) = -0.414339042389871e-7, (23, 4) = .0, (23, 5) = -0.5307519484383215e-8}, datatype = float[8], order = C_order); YP := Matrix(23, 5, {(1, 1) = .0, (1, 2) = .7509958992140092, (1, 3) = -1.0, (1, 4) = -.5766182177889736, (1, 5) = .0, (2, 1) = .345717339320025, (2, 2) = .11748530886258848, (2, 3) = -.44685722355458307, (2, 4) = -.42619398711861173, (2, 5) = .2456380242084213, (3, 1) = .3295368928873986, (3, 2) = -.10281256306809654, (3, 3) = -0.9786766510705683e-1, (3, 4) = -.22929557876687195, (3, 5) = .1827710770439118, (4, 1) = .2211740580910692, (4, 2) = -.12239573074044155, (4, 3) = 0.26569430715397205e-1, (4, 4) = -.10715356554772232, (4, 5) = 0.9622754869041322e-1, (5, 1) = .1264140268653532, (5, 2) = -0.8591949919337281e-1, (5, 3) = 0.4505713786209132e-1, (5, 4) = -0.4672290447819592e-1, (5, 5) = 0.44058134414995835e-1, (6, 1) = 0.6583176447988233e-1, (6, 2) = -0.4973034058218495e-1, (6, 3) = 0.332224698170035e-1, (6, 4) = -0.1969778835995821e-1, (6, 5) = 0.18945794068761176e-1, (7, 1) = 0.32315267535371534e-1, (7, 2) = -0.2600272586003493e-1, (7, 3) = 0.19495025439737884e-1, (7, 4) = -0.8174310046940966e-2, (7, 5) = 0.792388079531917e-2, (8, 1) = 0.15247583407686798e-1, (8, 2) = -0.12786769213836738e-1, (8, 3) = 0.10247087352154351e-1, (8, 4) = -0.3368066407962972e-2, (8, 5) = 0.3274729438901535e-2, (9, 1) = 0.6998105041282296e-2, (9, 2) = -0.604035420324911e-2, (9, 3) = 0.5052618825463968e-2, (9, 4) = -0.13833280384499146e-2, (9, 5) = 0.13465343117974211e-2, (10, 1) = 0.31478225677167735e-2, (10, 2) = -0.2774978205981712e-2, (10, 3) = 0.2390999068816236e-2, (10, 4) = -0.5673463700191876e-3, (10, 5) = 0.5524949194085244e-3, (11, 1) = 0.13945650673762352e-2, (11, 2) = -0.12492766558546968e-2, (11, 3) = 0.1099873594304329e-2, (11, 4) = -0.23253747538797784e-3, (11, 5) = 0.22648713664049123e-3, (12, 1) = 0.6105700389362067e-3, (12, 2) = -0.553893319523471e-3, (12, 3) = 0.495675152838582e-3, (12, 4) = -0.9528435644133216e-4, (12, 5) = 0.9281083066054085e-4, (13, 1) = 0.26480452107368317e-3, (13, 2) = -0.24268469519682714e-3, (13, 3) = 0.21995944221136622e-3, (13, 4) = -0.39040038537364915e-4, (13, 5) = 0.3802744922108661e-4, (14, 1) = 0.11394909512081752e-3, (14, 2) = -0.10532867430154103e-3, (14, 3) = 0.9644275586103112e-4, (14, 4) = -0.15995006093854115e-4, (14, 5) = 0.15580272849724842e-4, (15, 1) = 0.4870000930855666e-4, (15, 2) = -0.45361559105776056e-4, (15, 3) = 0.41882130392897214e-4, (15, 4) = -0.655308793716169e-5, (15, 5) = 0.6383193495979208e-5, (16, 1) = 0.20679444144369147e-4, (16, 2) = -0.1941000219193855e-4, (16, 3) = 0.18046766192933517e-4, (16, 4) = -0.26847296756546684e-5, (16, 5) = 0.26151287212238395e-5, (17, 1) = 0.8718850547396554e-5, (17, 2) = -0.8259728398401262e-5, (17, 3) = 0.7726423999999988e-5, (17, 4) = -0.10999141617991744e-5, (17, 5) = 0.1071399573515949e-5, (18, 1) = 0.3640252978905283e-5, (18, 2) = -0.3497402269851553e-5, (18, 3) = 0.32902284142233035e-5, (18, 4) = -0.45063567228372506e-6, (18, 5) = 0.43895327171989055e-6, (19, 1) = 0.14944389063713663e-5, (19, 2) = -0.14735566530371413e-5, (19, 3) = 0.13947933808207162e-5, (19, 4) = -0.1846330205946365e-6, (19, 5) = 0.1798465459323782e-6, (20, 1) = 0.5925773918561377e-6, (20, 2) = -0.6170979188394264e-6, (20, 3) = 0.5889965143819995e-6, (20, 4) = -0.756490724910656e-7, (20, 5) = 0.7368792426442866e-7, (21, 1) = 0.2162423610813038e-6, (21, 2) = -0.25593520469778174e-6, (21, 3) = 0.24786242887731095e-6, (21, 4) = -0.3099182802156362e-7, (21, 5) = 0.3018838597520553e-7, (22, 1) = 0.6124869999887661e-7, (22, 2) = -0.10415162185182523e-6, (22, 3) = 0.10401001373336376e-6, (22, 4) = -0.12697548109268844e-7, (22, 5) = 0.12368372462174604e-7, (23, 1) = .0, (23, 2) = -0.414339042389871e-7, (23, 3) = 0.4439573249525663e-7, (23, 4) = -0.5307519484383215e-8, (23, 5) = 0.5169925441711597e-8}, datatype = float[8], order = C_order); errproc := proc (x_bvp) local outpoint, X, Y, yout, L, V, i; option `Copyright (c) 2000 by Waterloo Maple Inc. All rights reserved.`; Digits := 15; outpoint := evalf(x_bvp); X := Vector(23, {(1) = .0, (2) = .8799831042532784, (3) = 1.763772371553262, (4) = 2.654402578229091, (5) = 3.553045082129558, (6) = 4.4586129408519, (7) = 5.368912785498599, (8) = 6.281998076176939, (9) = 7.196599390092052, (10) = 8.112001132142932, (11) = 9.027808856750797, (12) = 9.943796151122035, (13) = 10.859842591432589, (14) = 11.775909928091433, (15) = 12.69200195250145, (16) = 13.608108476818263, (17) = 14.524205241796912, (18) = 15.440280945947823, (19) = 16.356315458558022, (20) = 17.272324219157973, (21) = 18.18845135779876, (22) = 19.104508127436276, (23) = 20.0}, datatype = float[8], order = C_order); Y := Matrix(23, 5, {(1, 1) = .0, (1, 2) = .0, (1, 3) = 0.18677723346185155e-6, (1, 4) = .0, (1, 5) = -0.1601034189830942e-6, (2, 1) = 0.37448226506023734e-7, (2, 2) = -0.4882419193663561e-8, (2, 3) = 0.32590922758163096e-7, (2, 4) = 0.8384642286135039e-8, (2, 5) = -0.3822989163192259e-7, (3, 1) = 0.4178076522983118e-7, (3, 2) = -0.32454728940560626e-7, (3, 3) = 0.5559818911848743e-7, (3, 4) = 0.255368475385125e-7, (3, 5) = -0.26372934101735208e-7, (4, 1) = -0.3503349256133378e-8, (4, 2) = 0.23271413239470415e-7, (4, 3) = -0.13109277388977377e-7, (4, 4) = 0.1940395871477904e-7, (4, 5) = -0.21150015818914884e-7, (5, 1) = 0.9049822894255894e-8, (5, 2) = 0.2044098278596014e-7, (5, 3) = -0.23457165838090578e-7, (5, 4) = 0.2721022646410278e-8, (5, 5) = -0.3786091636826618e-8, (6, 1) = 0.27051273759362853e-7, (6, 2) = 0.15343716259627215e-9, (6, 3) = -0.21958032487259045e-8, (6, 4) = -0.4159511453386257e-9, (6, 5) = 0.38101170586747216e-10, (7, 1) = 0.29235514018364573e-7, (7, 2) = -0.453106337656716e-8, (7, 3) = 0.46319249349793395e-8, (7, 4) = 0.46342814231151797e-9, (7, 5) = -0.6792806203548744e-9, (8, 1) = 0.26054556255110013e-7, (8, 2) = -0.1882133375224601e-8, (8, 3) = 0.2244789452496081e-8, (8, 4) = 0.711835820669783e-9, (8, 5) = -0.8568477954792043e-9, (9, 1) = 0.24106962716022037e-7, (9, 2) = 0.1629685214904445e-9, (9, 3) = -0.11146494499834733e-9, (9, 4) = 0.45110688737061194e-9, (9, 5) = -0.539236754168219e-9, (10, 1) = 0.2374177391716608e-7, (10, 2) = 0.5860236135721297e-9, (10, 3) = -0.7196114662102999e-9, (10, 4) = 0.18313053413689276e-9, (10, 5) = -0.23112721605478909e-9, (11, 1) = 0.23938814887888642e-7, (11, 2) = 0.34670384490097316e-9, (11, 3) = -0.499387007098935e-9, (11, 4) = 0.40264060755003194e-10, (11, 5) = -0.6396528893681144e-10, (12, 1) = 0.2413280997412847e-7, (12, 2) = 0.8123434213412095e-10, (12, 3) = -0.18766851557521373e-9, (12, 4) = -0.10028889791867737e-10, (12, 5) = -0.5607571181840299e-12, (13, 1) = 0.24205166580449604e-7, (13, 2) = -0.4873554507228097e-10, (13, 3) = -0.9122645013749574e-11, (13, 4) = -0.1774384229814944e-10, (13, 5) = 0.13554216810388484e-10, (14, 1) = 0.24197923253315855e-7, (14, 2) = -0.7644103795235015e-10, (14, 3) = 0.5059366630228127e-10, (14, 4) = -0.12500071087031085e-10, (14, 5) = 0.11123935740845305e-10, (15, 1) = 0.24164459411748233e-7, (15, 2) = -0.6066740320325875e-10, (15, 3) = 0.5144731921398412e-10, (15, 4) = -0.63139041944452e-11, (15, 5) = 0.6018851574113935e-11, (16, 1) = 0.24133003199149926e-7, (16, 2) = -0.36959226456229056e-10, (16, 3) = 0.34807094444056334e-10, (16, 4) = -0.2296584459403134e-11, (16, 5) = 0.2328976704823776e-11, (17, 1) = 0.24111780059612412e-7, (17, 2) = -0.1873228504203057e-10, (17, 3) = 0.18878272014729034e-10, (17, 4) = -0.33241174545583766e-12, (17, 5) = 0.40568885552430346e-12, (18, 1) = 0.24099883385166445e-7, (18, 2) = -0.7930627600316472e-11, (18, 3) = 0.8419004595137473e-11, (18, 4) = 0.3767477185747604e-12, (18, 5) = -0.34832143812623605e-12, (19, 1) = 0.2409407001294113e-7, (19, 2) = -0.26201105239283355e-11, (19, 3) = 0.2849865664815142e-11, (19, 4) = 0.485146485573298e-12, (19, 5) = -0.5118521121703797e-12, (20, 1) = 0.24091528694372805e-7, (20, 2) = -0.4820658103323563e-12, (20, 3) = 0.3930534221642779e-12, (20, 4) = 0.37341039360175125e-12, (20, 5) = -0.4432984456493013e-12, (21, 1) = 0.24090485353105713e-7, (21, 2) = 0.12932248130697764e-12, (21, 3) = -0.4349598146471398e-12, (21, 4) = 0.22003866786553054e-12, (21, 5) = -0.31866839336921104e-12, (22, 1) = 0.24090016159892753e-7, (22, 2) = 0.14345040328921917e-12, (22, 3) = -0.5483809312163577e-12, (22, 4) = 0.9076616249531766e-13, (22, 5) = -0.20691039898422648e-12, (23, 1) = 0.24089729356345837e-7, (23, 2) = .0, (23, 3) = -0.4163274954165759e-12, (23, 4) = .0, (23, 5) = -0.12614313243075443e-12}, datatype = float[8], order = C_order); if not type(outpoint, 'numeric') then if outpoint = "start" or outpoint = "left" then return X[1] elif outpoint = "right" then return X[23] elif outpoint = "order" then return 8 elif outpoint = "error" then return HFloat(1.8677723346185155e-7) elif outpoint = "errorproc" then error "this is already the error procedure" elif outpoint = "rawdata" then return [5, 23, [g(y), diff(g(y), y), diff(diff(g(y), y), y), h(y), diff(h(y), y)], X, Y] else return ('procname')(x_bvp) end if end if; if outpoint < X[1] or X[23] < outpoint then error "solution is only defined in the range %1..%2", X[1], X[23] end if; V := array([1 = 4, 2 = 0]); if Digits <= trunc(evalhf(Digits)) then L := Vector(4, 'datatype' = 'float'[8]); yout := Vector(5, 'datatype' = 'float'[8]); evalhf(`dsolve/numeric/lagrange`(23, 5, X, Y, outpoint, var(yout), var(L), var(V))) else L := Vector(4, 'datatype' = 'sfloat'); yout := Vector(5, 'datatype' = 'sfloat'); `dsolve/numeric/lagrange`(23, 5, X, Y, outpoint, yout, L, V) end if; [y = outpoint, seq('[g(y), diff(g(y), y), diff(diff(g(y), y), y), h(y), diff(h(y), y)]'[i] = yout[i], i = 1 .. 5)] end proc; if not type(outpoint, 'numeric') then if outpoint = "start" or outpoint = "left" then return X[1] elif outpoint = "method" then return "bvp" elif outpoint = "right" then return X[23] elif outpoint = "order" then return 8 elif outpoint = "error" then return HFloat(1.8677723346185155e-7) elif outpoint = "errorproc" then return eval(errproc) elif outpoint = "rawdata" then return [5, 23, "depnames", X, Y, YP] else error "non-numeric value" end if end if; if outpoint < X[1] or X[23] < outpoint then error "solution is only defined in the range %1..%2", X[1], X[23] end if; if Digits <= trunc(evalhf(Digits)) and (_EnvInFsolve <> true or _EnvDSNumericSaveDigits <= trunc(evalhf(Digits))) then V := array( 1 .. 6, [( 1 ) = (7), ( 2 ) = (0), ( 3 ) = (false), ( 4 ) = (false), ( 5 ) = (false), ( 6 ) = (false)  ] ); L := Matrix(7, 2, {(1, 1) = .0, (1, 2) = .0, (2, 1) = .0, (2, 2) = .0, (3, 1) = .0, (3, 2) = .0, (4, 1) = .0, (4, 2) = .0, (5, 1) = .0, (5, 2) = .0, (6, 1) = .0, (6, 2) = .0, (7, 1) = .0, (7, 2) = .0}, datatype = float[8], order = C_order); yout := Vector(5, {(1) = .0, (2) = .0, (3) = .0, (4) = .0, (5) = .0}, datatype = float[8]); evalhf(`dsolve/numeric/hermite`(23, 5, X, Y, YP, outpoint, var(yout), var(L), var(V))) else if _EnvInFsolve = true then Digits := _EnvDSNumericSaveDigits end if; V := array( 1 .. 6, [( 1 ) = (7), ( 2 ) = (0), ( 3 ) = (false), ( 4 ) = (false), ( 5 ) = (false), ( 6 ) = (false)  ] ); L := Matrix(7, 2, {(1, 1) = 0., (1, 2) = 0., (2, 1) = 0., (2, 2) = 0., (3, 1) = 0., (3, 2) = 0., (4, 1) = 0., (4, 2) = 0., (5, 1) = 0., (5, 2) = 0., (6, 1) = 0., (6, 2) = 0., (7, 1) = 0., (7, 2) = 0.}, order = C_order); yout := Vector(5, {(1) = 0., (2) = 0., (3) = 0., (4) = 0., (5) = 0.}); `dsolve/numeric/hermite`(23, 5, X, Y, YP, outpoint, yout, L, V) end if; [outpoint, seq(yout[i], i = 1 .. 5)] end proc, (2) = Array(1..6, {(1) = 18446884187980970662, (2) = 18446884187980970838, (3) = 18446884187980971014, (4) = 18446884187980971190, (5) = 18446884187980971366, (6) = 18446884187980971542}), (3) = [y, g(y), diff(g(y), y), diff(diff(g(y), y), y), h(y), diff(h(y), y)], (4) = 0}); solnproc := data[1]; if not type(outpoint, 'numeric') then if outpoint = "solnprocedure" then return eval(solnproc) elif member(outpoint, ["start", "left", "right", "errorproc", "rawdata", "order", "error"]) then return solnproc(y) elif outpoint = "sysvars" then return data[3] elif procname <> unknown then return ('procname')(y) else `D(h)` := pointto(data[2][6]); return ('`D(h)`')(y) end if end if; try res := solnproc(outpoint); res[6] catch: error  end try end proc]

sol3 := dsolve([eval(sys_ode, n = 10), ics], numeric, output = operator, continuation = lambda)

[y = proc (y) local _res, _dat, _solnproc; option `Copyright (c) 1993 by the University of Waterloo. All rights reserved.`; _dat := Array(1..4, {(1) = proc (outpoint) local X, Y, YP, yout, errproc, L, V, i; option `Copyright (c) 2000 by Waterloo Maple Inc. All rights reserved.`; X := Vector(53, {(1) = .0, (2) = .36949919900944644, (3) = .739300147291354, (4) = 1.109760554943441, (5) = 1.4813092903527632, (6) = 1.854400717289444, (7) = 2.2294194781491283, (8) = 2.6065809259736024, (9) = 2.9858798923611154, (10) = 3.3671133918743896, (11) = 3.749958628987825, (12) = 4.134061614038366, (13) = 4.519100822868634, (14) = 4.904816162024675, (15) = 5.291012429357386, (16) = 5.677548255086593, (17) = 6.064324153231833, (18) = 6.451271772178415, (19) = 6.838345982808043, (20) = 7.225519334980909, (21) = 7.612775587951935, (22) = 8.000101351192901, (23) = 8.387480265034908, (24) = 8.774892734296833, (25) = 9.162320242119915, (26) = 9.54975001583413, (27) = 9.937175827823893, (28) = 10.324595778314873, (29) = 10.712009940724622, (30) = 11.099419117828488, (31) = 11.486824579226047, (32) = 11.874229393268262, (33) = 12.261639304144008, (34) = 12.649054547893757, (35) = 13.036470363974443, (36) = 13.423885415329542, (37) = 13.81129973437852, (38) = 14.19871345130963, (39) = 14.586126631356334, (40) = 14.97353926897657, (41) = 15.360951274544131, (42) = 15.74836246576973, (43) = 16.13577258408351, (44) = 16.52318140592461, (45) = 16.91058907240521, (46) = 17.29799668241655, (47) = 17.685406660632083, (48) = 18.072821632133493, (49) = 18.460241671290955, (50) = 18.847663467669946, (51) = 19.23508330750054, (52) = 19.62244752660786, (53) = 20.0}, datatype = float[8], order = C_order); Y := Matrix(53, 5, {(1, 1) = .0, (1, 2) = .0, (1, 3) = .4775993879507742, (1, 4) = 1.0, (1, 5) = -1.0046788647919327, (2, 1) = 0.25035948166186407e-1, (2, 2) = .11737960097745363, (2, 3) = .18313309807713032, (2, 4) = .6544565139197563, (2, 5) = -.8204565753435087, (3, 1) = 0.7671130004531938e-1, (3, 2) = .15245559468347794, (3, 3) = 0.257866622502241e-1, (3, 4) = .4033793646669303, (3, 5) = -.54284905169691, (4, 1) = .1330186291614795, (4, 2) = .14735793191890612, (4, 3) = -0.4250594932201111e-1, (4, 4) = .2439551371052711, (4, 5) = -.3318787408975303, (5, 1) = .18415414318579984, (5, 2) = .12658789976147164, (5, 3) = -0.6407934926095243e-1, (5, 4) = .14767183993451755, (5, 5) = -.19754422561587923, (6, 1) = .22684016724165285, (6, 2) = .10223772024754406, (6, 3) = -0.642541190775384e-1, (6, 4) = 0.9027146155353627e-1, (6, 5) = -.11728058787005342, (7, 1) = .260828001257262, (7, 2) = 0.7953916569955533e-1, (7, 3) = -0.56072302032236475e-1, (7, 4) = 0.5590160109411186e-1, (7, 5) = -0.7024341339428322e-1, (8, 1) = .28708246716220753, (8, 2) = 0.603379421090149e-1, (8, 3) = -0.4568183700123631e-1, (8, 4) = 0.3507359791282195e-1, (8, 5) = -0.4265000342236205e-1, (9, 1) = .30692793243322797, (9, 2) = 0.449345269177477e-1, (9, 3) = -0.35736728754833934e-1, (9, 4) = 0.22267582983966642e-1, (9, 5) = -0.26288107264853516e-1, (10, 1) = .3216779340769599, (10, 2) = 0.32987460372044405e-1, (10, 3) = -0.2721540596787555e-1, (10, 4) = 0.14280013218841852e-1, (10, 5) = -0.1643924121960731e-1, (11, 1) = .3324907956755065, (11, 2) = 0.2393861975262906e-1, (11, 3) = -0.20329119904601015e-1, (11, 4) = 0.9232957435481037e-2, (11, 5) = -0.10413619270888406e-1, (12, 1) = .34032685681957475, (12, 2) = 0.17206537965707504e-1, (12, 3) = -0.14962469503126172e-1, (12, 4) = 0.6008484746296935e-2, (12, 5) = -0.6668747436178208e-2, (13, 1) = .345950982825996, (13, 2) = 0.12268220016813276e-1, (13, 3) = -0.10883215741590159e-1, (13, 4) = 0.3929676044855098e-2, (13, 5) = -0.4308303644954386e-2, (14, 1) = .34995466248276785, (14, 2) = 0.8686972155428869e-2, (14, 3) = -0.7839271959166245e-2, (14, 4) = 0.25797858209504463e-2, (14, 5) = -0.28025554247415258e-2, (15, 1) = .3527850007052327, (15, 2) = 0.6114438707245076e-2, (15, 3) = -0.5600357597355628e-2, (15, 4) = 0.16983247250837619e-2, (15, 5) = -0.18326222302195356e-2, (16, 1) = .35477392665620944, (16, 2) = 0.4281283410440807e-2, (16, 3) = -0.3972670206539237e-2, (16, 4) = 0.11203129486059818e-2, (16, 5) = -0.12030431854933115e-2, (17, 1) = .3561643523000197, (17, 2) = 0.29839556152759707e-2, (17, 3) = -0.2800778530727025e-2, (17, 4) = 0.740101442453339e-3, (17, 5) = -0.7919982960398722e-3, (18, 1) = .35713198689153886, (18, 2) = 0.2071285654344953e-2, (18, 3) = -0.19639677695066815e-2, (18, 4) = 0.4894318018006638e-3, (18, 5) = -0.522463820647135e-3, (19, 1) = .3578027155526762, (19, 2) = 0.14325515384083004e-2, (19, 3) = -0.13706427525454147e-2, (19, 4) = 0.3238970032698751e-3, (19, 5) = -0.345159099453523e-3, (20, 1) = .35826600613654164, (20, 2) = 0.9875695814297975e-3, (20, 3) = -0.9525336996298883e-3, (20, 4) = 0.2144551766663054e-3, (20, 5) = -0.22825679488347692e-3, (21, 1) = .3585850108866874, (21, 2) = 0.6788186236915587e-3, (21, 3) = -0.6594779634452127e-3, (21, 4) = 0.14203957393985986e-3, (21, 5) = -0.15105374894384269e-3, (22, 1) = .3588040461982198, (22, 2) = 0.46536376123067344e-3, (22, 3) = -0.4550465847054036e-3, (22, 4) = 0.9409702306859435e-4, (22, 5) = -0.10001049122931494e-3, (23, 1) = .35895405581487905, (23, 2) = 0.3182699577065725e-3, (23, 3) = -0.31303945540986844e-3, (23, 4) = 0.6234543320626832e-4, (23, 5) = -0.6623698451545083e-4, (24, 1) = .35905655365291567, (24, 2) = 0.21720197880249816e-3, (24, 3) = -0.2147659391528201e-3, (24, 4) = 0.4131211997218378e-4, (24, 5) = -0.43878772145639645e-4, (25, 1) = .35912644084483486, (25, 2) = 0.14794036226185102e-3, (25, 3) = -0.14698548220180992e-3, (25, 4) = 0.27376881887169156e-4, (25, 5) = -0.2907235791507348e-4, (26, 1) = .35917400264255306, (26, 2) = 0.10058709635913049e-3, (26, 3) = -0.10037603350088711e-3, (26, 4) = 0.18143322518591565e-4, (26, 5) = -0.19264561510544625e-4, (27, 1) = .3592063155966067, (27, 2) = 0.68280606114036e-4, (27, 3) = -0.6841032299879773e-4, (27, 4) = 0.12024570315917842e-4, (27, 5) = -0.12766648386208112e-4, (28, 1) = .3592282345600599, (28, 2) = 0.4628171831805626e-4, (28, 3) = -0.46540046668865304e-4, (28, 4) = 0.7969597699816696e-5, (28, 5) = -0.8461019539790837e-5, (29, 1) = .35924308175505837, (29, 2) = 0.31327700595018035e-4, (29, 3) = -0.31609198077523325e-4, (29, 4) = 0.528216822039621e-5, (29, 5) = -0.5607747325983305e-5, (30, 1) = .3592531255422956, (30, 2) = 0.21178631883863118e-4, (30, 3) = -0.21435894741232355e-4, (30, 4) = 0.35010032338092466e-5, (30, 5) = -0.3716791736231297e-5, (31, 1) = .35925991164340315, (31, 2) = 0.14300621423190528e-4, (31, 3) = -0.14516581272828024e-4, (31, 4) = 0.23204527910651474e-5, (31, 5) = -0.2463529199305528e-5, (32, 1) = .35926449147035916, (32, 2) = 0.9645620558312539e-5, (32, 3) = -0.9818116217375507e-5, (32, 4) = 0.15379675636869845e-5, (32, 5) = -0.16328749098888895e-5, (33, 1) = .3592675790201219, (33, 2) = 0.6499006726600864e-5, (33, 3) = -0.66324380911056034e-5, (33, 4) = 0.10193134865350361e-5, (33, 5) = -0.10823044311367178e-5, (34, 1) = .3592696583823224, (34, 2) = 0.4374457750332709e-5, (34, 3) = -0.4475456895090449e-5, (34, 4) = 0.6755336608425454e-6, (34, 5) = -0.7173745751421138e-6, (35, 1) = .3592710573518701, (35, 2) = 0.294154082693033e-5, (35, 3) = -0.3016870125120636e-5, (35, 4) = 0.4476683128527473e-6, (35, 5) = -0.47549279193009315e-6, (36, 1) = .3592719976376865, (36, 2) = 0.19760604754838103e-5, (36, 3) = -0.20317085117193237e-5, (36, 4) = 0.2966338292760303e-6, (36, 5) = -0.3151689171167519e-6, (37, 1) = .3592726290042988, (37, 2) = 0.13261343815983235e-5, (37, 3) = -0.13670291897571055e-5, (37, 4) = 0.19652433347395044e-6, (37, 5) = -0.20890263700500245e-6, (38, 1) = .35927305250364244, (38, 2) = 0.8890080839496946e-6, (38, 3) = -0.9190261384727204e-6, (38, 4) = 0.13016904708113482e-6, (38, 5) = -0.1384666727686611e-6, (39, 1) = .35927333625042096, (39, 2) = 0.5952482675663468e-6, (39, 3) = -0.6173471705132506e-6, (39, 4) = 0.8618688759733714e-7, (39, 5) = -0.9177981643215786e-7, (40, 1) = .35927352611486774, (40, 2) = 0.3979897131562297e-6, (40, 3) = -0.414376818302952e-6, (40, 4) = 0.5703423332531646e-7, (40, 5) = -0.608344513694474e-7, (41, 1) = .35927365296033825, (41, 2) = 0.26563259155357796e-6, (41, 3) = -0.27792812347443636e-6, (41, 4) = 0.37710990156919004e-7, (41, 5) = -0.4032296461374335e-7, (42, 1) = .35927373753612546, (42, 2) = 0.17689048703324333e-6, (42, 3) = -0.18626834035523302e-6, (42, 4) = 0.24902964372027948e-7, (42, 5) = -0.26727343435165574e-7, (43, 1) = .359273793781336, (43, 2) = 0.11743711947994233e-6, (43, 3) = -0.12473897927177057e-6, (43, 4) = 0.16413415821837796e-7, (43, 5) = -0.17715756359896507e-7, (44, 1) = .3592738310534682, (44, 2) = 0.7763854236234525e-7, (44, 3) = -0.8346275729093369e-7, (44, 4) = 0.10786280613193112e-7, (44, 5) = -0.11742599496217648e-7, (45, 1) = .35927385563017794, (45, 2) = 0.5102125286453134e-7, (45, 3) = -0.5579016067522686e-7, (45, 4) = 0.7056434878747405e-8, (45, 5) = -0.7783400229664504e-8, (46, 1) = .3592738717203354, (46, 2) = 0.3323854418941362e-7, (46, 3) = -0.37248452554120235e-7, (46, 4) = 0.4584164620156798e-8, (46, 5) = -0.51591068699825456e-8, (47, 1) = .3592738821441244, (47, 2) = 0.21373764847285328e-7, (47, 3) = -0.24831487987968654e-7, (47, 4) = 0.29454502578396527e-8, (47, 5) = -0.3419625982414965e-8, (48, 1) = .3592738887901636, (48, 2) = 0.13471109606711368e-7, (48, 3) = -0.16520354865287813e-7, (48, 4) = 0.18592450644926916e-8, (48, 5) = -0.22666287842075568e-8, (49, 1) = .3592738929225644, (49, 2) = 0.8219875552199463e-8, (49, 3) = -0.10960112871784771e-7, (49, 4) = 0.11392686610785541e-8, (49, 5) = -0.15023802335308191e-8, (50, 1) = .35927389538706583, (50, 2) = 0.47421360806248574e-8, (50, 3) = -0.72419809055769776e-8, (50, 4) = 0.6620479098671892e-9, (50, 5) = -0.9958146619340783e-9, (51, 1) = .3592738967492751, (51, 2) = 0.24501148819534223e-8, (51, 3) = -0.47567546773704275e-8, (51, 4) = 0.34573551914810265e-9, (51, 5) = -0.6600518855067764e-9, (52, 1) = .35927389738723736, (52, 2) = 0.9506482919026302e-9, (52, 3) = -0.30964654338033544e-8, (52, 4) = 0.13609976475165576e-9, (52, 5) = -0.43752540756294343e-9, (53, 1) = .3592738975538295, (53, 2) = .0, (53, 3) = -0.2010431178903024e-8, (53, 4) = .0, (53, 5) = -0.29305672550117975e-9}, datatype = float[8], order = C_order); YP := Matrix(53, 5, {(1, 1) = .0, (1, 2) = .4775993879507742, (1, 3) = -1.0, (1, 4) = -1.0046788647919327, (1, 5) = .0, (2, 1) = .11737960097745363, (2, 2) = .18313309807713032, (2, 3) = -.5935786348694716, (2, 4) = -.8204565753435087, (2, 5) = .7590512696017367, (3, 1) = .15245559468347794, (3, 2) = 0.257866622502241e-1, (3, 3) = -.2819733859917131, (3, 4) = -.54284905169691, (3, 5) = .682102766187754, (4, 1) = .14735793191890612, (4, 2) = -0.4250594932201111e-1, (4, 3) = -.10615038645090877, (4, 4) = -.3318787408975303, (4, 5) = .45723811284077087, (5, 1) = .12658789976147164, (5, 2) = -0.6407934926095243e-1, (5, 3) = -0.211855575294789e-1, (5, 4) = -.19754422561587923, (5, 5) = .27742280949400916, (6, 1) = .10223772024754406, (6, 2) = -0.642541190775384e-1, (6, 3) = 0.14587670506166814e-1, (6, 4) = -.11728058787005342, (6, 5) = .16250392351641907, (7, 1) = 0.7953916569955533e-1, (7, 2) = -0.56072302032236475e-1, (7, 3) = 0.26426018758011087e-1, (7, 4) = -0.7024341339428322e-1, (7, 5) = 0.945530697759864e-1, (8, 1) = 0.603379421090149e-1, (8, 2) = -0.4568183700123631e-1, (8, 3) = 0.27572049036062037e-1, (8, 4) = -0.4265000342236205e-1, (8, 5) = 0.5541446261530368e-1, (9, 1) = 0.449345269177477e-1, (9, 2) = -0.35736728754833934e-1, (9, 3) = 0.24485482290410084e-1, (9, 4) = -0.26288107264853516e-1, (9, 5) = 0.32935122639646895e-1, (10, 1) = 0.32987460372044405e-1, (10, 2) = -0.2721540596787555e-1, (10, 3) = 0.20157371353181654e-1, (10, 4) = -0.1643924121960731e-1, (10, 5) = 0.19906429499968542e-1, (11, 1) = 0.2393861975262906e-1, (11, 2) = -0.20329119904601015e-1, (11, 3) = 0.15886405971160852e-1, (11, 4) = -0.10413619270888406e-1, (11, 5) = 0.12239225803118335e-1, (12, 1) = 0.17206537965707504e-1, (12, 2) = -0.14962469503126172e-1, (12, 3) = 0.12169295674749843e-1, (12, 4) = -0.6668747436178208e-2, (12, 5) = 0.76453656673992985e-2, (13, 1) = 0.12268220016813276e-1, (13, 2) = -0.10883215741590159e-1, (13, 3) = 0.9134567020099078e-2, (13, 4) = -0.4308303644954386e-2, (13, 5) = 0.4841911285505811e-2, (14, 1) = 0.8686972155428869e-2, (14, 2) = -0.7839271959166245e-2, (14, 3) = 0.6751280108697246e-2, (14, 4) = -0.28025554247415258e-2, (14, 5) = 0.310145374876213e-2, (15, 1) = 0.6114438707245076e-2, (15, 2) = -0.5600357597355628e-2, (15, 3) = 0.4928397275322998e-2, (15, 4) = -0.18326222302195356e-2, (15, 5) = 0.20045803067287363e-2, (16, 1) = 0.4281283410440807e-2, (16, 2) = -0.3972670206539237e-2, (16, 3) = 0.35610480609900488e-2, (16, 4) = -0.12030431854933115e-2, (16, 5) = 0.13046281142642456e-2, (17, 1) = 0.29839556152759707e-2, (17, 2) = -0.2800778530727025e-2, (17, 3) = 0.25508672905029377e-2, (17, 4) = -0.7919982960398722e-3, (17, 5) = 0.853499426344586e-3, (18, 1) = 0.2071285654344953e-2, (18, 2) = -0.19639677695066815e-2, (18, 3) = 0.18137004947130705e-2, (18, 4) = -0.522463820647135e-3, (18, 5) = 0.5605002666592092e-3, (19, 1) = 0.14325515384083004e-2, (19, 2) = -0.13706427525454147e-2, (19, 3) = 0.12812541397045714e-2, (19, 4) = -0.345159099453523e-3, (19, 5) = 0.36910117865482486e-3, (20, 1) = 0.9875695814297975e-3, (20, 2) = -0.9525336996298883e-3, (20, 3) = 0.9000053824634135e-3, (20, 4) = -0.22825679488347692e-3, (20, 5) = 0.24353818862632592e-3, (21, 1) = 0.6788186236915587e-3, (21, 2) = -0.6594779634452127e-3, (21, 3) = 0.6290512633214072e-3, (21, 4) = -0.15105374894384269e-3, (21, 5) = 0.16091129478345426e-3, (22, 1) = 0.46536376123067344e-3, (22, 2) = -0.4550465847054036e-3, (22, 3) = 0.43772988215105705e-3, (22, 4) = -0.10001049122931494e-3, (22, 5) = 0.106419493109677e-3, (23, 1) = 0.3182699577065725e-3, (23, 2) = -0.31303945540986844e-3, (23, 3) = 0.30340373549233673e-3, (23, 4) = -0.6623698451545083e-4, (23, 5) = 0.7042776186672255e-4, (24, 1) = 0.21720197880249816e-3, (24, 2) = -0.2147659391528201e-3, (24, 3) = 0.20956498522688367e-3, (24, 4) = -0.43878772145639645e-4, (24, 5) = 0.466303209397757e-4, (25, 1) = 0.14794036226185102e-3, (25, 2) = -0.14698548220180992e-3, (25, 3) = 0.14429920554889767e-3, (25, 4) = -0.2907235791507348e-4, (25, 5) = 0.30884201672285647e-4, (26, 1) = 0.10058709635913049e-3, (26, 2) = -0.10037603350088711e-3, (26, 3) = 0.9908282577931924e-4, (26, 4) = -0.19264561510544625e-4, (26, 5) = 0.20460064780651296e-4, (27, 1) = 0.68280606114036e-4, (27, 2) = -0.6841032299879773e-4, (27, 3) = 0.6786468724833311e-4, (27, 4) = -0.12766648386208112e-4, (27, 5) = 0.13556598018006937e-4, (28, 1) = 0.4628171831805626e-4, (28, 2) = -0.46540046668865304e-4, (28, 3) = 0.4637730439005856e-4, (28, 4) = -0.8461019539790837e-5, (28, 5) = 0.8983508254813186e-5, (29, 1) = 0.31327700595018035e-4, (29, 2) = -0.31609198077523325e-4, (29, 3) = 0.3162823323595945e-4, (29, 4) = -0.5607747325983305e-5, (29, 5) = 0.59535674389884314e-5, (30, 1) = 0.21178631883863118e-4, (30, 2) = -0.21435894741232355e-4, (30, 3) = 0.21529428305553337e-4, (30, 4) = -0.3716791736231297e-5, (30, 5) = 0.3945787155761316e-5, (31, 1) = 0.14300621423190528e-4, (31, 2) = -0.14516581272828024e-4, (31, 3) = 0.14630155544368391e-4, (31, 4) = -0.2463529199305528e-5, (31, 5) = 0.26152140974615044e-5, (32, 1) = 0.9645620558312539e-5, (32, 2) = -0.9818116217375507e-5, (32, 3) = 0.9926270867895736e-5, (32, 4) = -0.16328749098888895e-5, (32, 5) = 0.17333716022339152e-5, (33, 1) = 0.6499006726600864e-5, (33, 2) = -0.66324380911056034e-5, (33, 3) = 0.67250837394264775e-5, (33, 4) = -0.10823044311367178e-5, (33, 5) = 0.11488964969527993e-5, (34, 1) = 0.4374457750332709e-5, (34, 2) = -0.4475456895090449e-5, (34, 3) = 0.455023316336366e-5, (34, 4) = -0.7173745751421138e-6, (34, 5) = 0.76150457836442e-6, (35, 1) = 0.294154082693033e-5, (35, 2) = -0.3016870125120636e-5, (35, 3) = 0.3074970165963072e-5, (35, 4) = -0.47549279193009315e-6, (35, 5) = 0.5047393293053838e-6, (36, 1) = 0.19760604754838103e-5, (36, 2) = -0.20317085117193237e-5, (36, 3) = 0.20756795679808857e-5, (36, 4) = -0.3151689171167519e-6, (36, 5) = 0.3345525478298572e-6, (37, 1) = 0.13261343815983235e-5, (37, 2) = -0.13670291897571055e-5, (37, 3) = 0.13996778945256072e-5, (37, 4) = -0.20890263700500245e-6, (37, 5) = 0.22174986807780668e-6, (38, 1) = 0.8890080839496946e-6, (38, 2) = -0.9190261384727204e-6, (38, 3) = 0.9429246095875392e-6, (38, 4) = -0.1384666727686611e-6, (38, 5) = 0.14698184168101424e-6, (39, 1) = 0.5952482675663468e-6, (39, 2) = -0.6173471705132506e-6, (39, 3) = 0.6346532882843354e-6, (39, 4) = -0.9177981643215786e-7, (39, 5) = 0.9742376889869178e-7, (40, 1) = 0.3979897131562297e-6, (40, 2) = -0.414376818302952e-6, (40, 3) = 0.4268091549705229e-6, (40, 4) = -0.608344513694474e-7, (40, 5) = 0.6457536591987922e-7, (41, 1) = 0.26563259155357796e-6, (41, 2) = -0.27792812347443636e-6, (41, 3) = 0.2868092175152725e-6, (41, 4) = -0.4032296461374335e-7, (41, 5) = 0.4280252841484816e-7, (42, 1) = 0.17689048703324333e-6, (42, 2) = -0.18626834035523302e-6, (42, 3) = 0.19259150690256222e-6, (42, 4) = -0.26727343435165574e-7, (42, 5) = 0.2837086354968772e-7, (43, 1) = 0.11743711947994233e-6, (43, 2) = -0.12473897927177057e-6, (43, 3) = 0.12923686055627235e-6, (43, 4) = -0.17715756359896507e-7, (43, 5) = 0.1880512910554703e-7, (44, 1) = 0.7763854236234525e-7, (44, 2) = -0.8346275729093369e-7, (44, 3) = 0.866682023665433e-7, (44, 4) = -0.11742599496217648e-7, (44, 5) = 0.12464669703447368e-7, (45, 1) = 0.5102125286453134e-7, (45, 2) = -0.5579016067522686e-7, (45, 3) = 0.58086404367729565e-7, (45, 4) = -0.7783400229664504e-8, (45, 5) = 0.8262012076509727e-8, (46, 1) = 0.3323854418941362e-7, (46, 2) = -0.37248452554120235e-7, (46, 3) = 0.389086276915552e-7, (46, 4) = -0.51591068699825456e-8, (46, 5) = 0.5476346816410734e-8, (47, 1) = 0.21373764847285328e-7, (47, 2) = -0.24831487987968654e-7, (47, 3) = 0.26048793793539624e-7, (47, 4) = -0.3419625982414965e-8, (47, 5) = 0.36299028287716455e-8, (48, 1) = 0.13471109606711368e-7, (48, 2) = -0.16520354865287813e-7, (48, 3) = 0.17430585377694396e-7, (48, 4) = -0.22666287842075568e-8, (48, 5) = 0.2406006361941216e-8, (49, 1) = 0.8219875552199463e-8, (49, 2) = -0.10960112871784771e-7, (49, 3) = 0.11658199570066066e-7, (49, 4) = -0.15023802335308191e-8, (49, 5) = 0.15947632526233475e-8, (50, 1) = 0.47421360806248574e-8, (50, 2) = -0.72419809055769776e-8, (50, 3) = 0.7793979957178533e-8, (50, 4) = -0.9958146619340783e-9, (50, 5) = 0.10570483841765406e-8, (51, 1) = 0.24501148819534223e-8, (51, 2) = -0.47567546773704275e-8, (51, 3) = 0.5208442327531191e-8, (51, 4) = -0.6600518855067764e-9, (51, 5) = 0.7006391823634325e-9, (52, 1) = 0.9506482919026302e-9, (52, 2) = -0.30964654338033544e-8, (52, 3) = 0.34794576549329015e-8, (52, 4) = -0.43752540756294343e-9, (52, 5) = 0.4644293100293939e-9, (53, 1) = .0, (53, 2) = -0.2010431178903024e-8, (53, 3) = 0.23474601975767464e-8, (53, 4) = -0.29305672550117975e-9, (53, 5) = 0.31107709447209743e-9}, datatype = float[8], order = C_order); errproc := proc (x_bvp) local outpoint, X, Y, yout, L, V, i; option `Copyright (c) 2000 by Waterloo Maple Inc. All rights reserved.`; Digits := 15; outpoint := evalf(x_bvp); X := Vector(53, {(1) = .0, (2) = .36949919900944644, (3) = .739300147291354, (4) = 1.109760554943441, (5) = 1.4813092903527632, (6) = 1.854400717289444, (7) = 2.2294194781491283, (8) = 2.6065809259736024, (9) = 2.9858798923611154, (10) = 3.3671133918743896, (11) = 3.749958628987825, (12) = 4.134061614038366, (13) = 4.519100822868634, (14) = 4.904816162024675, (15) = 5.291012429357386, (16) = 5.677548255086593, (17) = 6.064324153231833, (18) = 6.451271772178415, (19) = 6.838345982808043, (20) = 7.225519334980909, (21) = 7.612775587951935, (22) = 8.000101351192901, (23) = 8.387480265034908, (24) = 8.774892734296833, (25) = 9.162320242119915, (26) = 9.54975001583413, (27) = 9.937175827823893, (28) = 10.324595778314873, (29) = 10.712009940724622, (30) = 11.099419117828488, (31) = 11.486824579226047, (32) = 11.874229393268262, (33) = 12.261639304144008, (34) = 12.649054547893757, (35) = 13.036470363974443, (36) = 13.423885415329542, (37) = 13.81129973437852, (38) = 14.19871345130963, (39) = 14.586126631356334, (40) = 14.97353926897657, (41) = 15.360951274544131, (42) = 15.74836246576973, (43) = 16.13577258408351, (44) = 16.52318140592461, (45) = 16.91058907240521, (46) = 17.29799668241655, (47) = 17.685406660632083, (48) = 18.072821632133493, (49) = 18.460241671290955, (50) = 18.847663467669946, (51) = 19.23508330750054, (52) = 19.62244752660786, (53) = 20.0}, datatype = float[8], order = C_order); Y := Matrix(53, 5, {(1, 1) = .0, (1, 2) = .0, (1, 3) = 0.3866026324188471e-8, (1, 4) = .0, (1, 5) = -0.167614773873791e-7, (2, 1) = 0.13129025756353337e-8, (2, 2) = 0.32899139260862605e-9, (2, 3) = -0.13933004530175537e-8, (2, 4) = -0.6864722219029181e-8, (2, 5) = 0.5762265822614816e-8, (3, 1) = 0.17531536948997038e-8, (3, 2) = -0.19870637479583883e-8, (3, 3) = 0.4430716176000332e-8, (3, 4) = 0.2506069884499365e-8, (3, 5) = -0.3270419083483023e-8, (4, 1) = 0.6295122746073642e-9, (4, 2) = -0.3024625169400298e-10, (4, 3) = 0.12003412299206427e-8, (4, 4) = 0.33647534884721813e-8, (4, 5) = -0.5895241812315728e-8, (5, 1) = 0.34939213765912637e-9, (5, 2) = 0.8458952553680481e-9, (5, 3) = -0.10693778523575973e-8, (5, 4) = 0.10786771704660264e-8, (5, 5) = -0.2203130450223577e-8, (6, 1) = 0.5656367415875083e-9, (6, 2) = 0.6215360766856136e-9, (6, 3) = -0.1108144897398893e-8, (6, 4) = 0.4209413267077535e-10, (6, 5) = -0.3388630128593954e-9, (7, 1) = 0.7854998673990449e-9, (7, 2) = 0.22441224780112193e-9, (7, 3) = -0.5684360372475958e-9, (7, 4) = -0.11511841794228689e-9, (7, 5) = 0.11797587605792422e-10, (8, 1) = 0.88238808161761e-9, (8, 2) = -0.19314356562976675e-10, (8, 3) = -0.17637443157439568e-9, (8, 4) = -0.5247041000728325e-10, (8, 5) = -0.3019406560951504e-10, (9, 1) = 0.887106106376075e-9, (9, 2) = -0.11453547140212592e-9, (9, 3) = 0.21194227230144784e-11, (9, 4) = 0.3327159479296091e-11, (9, 5) = -0.7750709431295195e-10, (10, 1) = 0.8492406199535305e-9, (10, 2) = -0.1293425716343487e-9, (10, 3) = 0.5602529822395111e-10, (10, 4) = 0.23823773476585883e-10, (10, 5) = -0.8221982101893044e-10, (11, 1) = 0.8004508148400319e-9, (11, 2) = -0.11284665783283561e-9, (11, 3) = 0.58190251116587034e-10, (11, 4) = 0.2400712883993116e-10, (11, 5) = -0.6574753774356836e-10, (12, 1) = 0.7552514704765934e-9, (12, 2) = -0.8938292310362758e-10, (12, 3) = 0.4554453968200018e-10, (12, 4) = 0.17334994859729327e-10, (12, 5) = -0.45707448056724276e-10, (13, 1) = 0.7182732793193764e-9, (13, 2) = -0.682463808634105e-10, (13, 3) = 0.32423194771716774e-10, (13, 4) = 0.1027125596677696e-10, (13, 5) = -0.2916532884469332e-10, (14, 1) = 0.68968855369093e-9, (14, 2) = -0.5173302456205981e-10, (14, 3) = 0.22715270469083298e-10, (14, 4) = 0.4910681563514555e-11, (14, 5) = -0.1743716151912573e-10, (15, 1) = 0.6681285533042898e-9, (15, 2) = -0.3951414089190393e-10, (15, 3) = 0.16440008745078285e-10, (15, 4) = 0.1448683266344109e-11, (15, 5) = -0.9775538768222743e-11, (16, 1) = 0.6519797414669998e-9, (16, 2) = -0.3058489428792559e-10, (16, 3) = 0.12607677208032737e-10, (16, 4) = -0.5226225598495448e-12, (16, 5) = -0.5037647223130452e-11, (17, 1) = 0.6398510794802389e-9, (17, 2) = -0.23985943167404547e-10, (17, 3) = 0.10249745111209356e-10, (17, 4) = -0.14850062190312182e-11, (17, 5) = -0.22423786320722828e-11, (18, 1) = 0.6306755774357558e-9, (18, 2) = -0.1899470914502264e-10, (18, 3) = 0.8683059619746706e-11, (18, 4) = -0.18275265893742596e-11, (18, 5) = -0.6773170954492378e-12, (19, 1) = 0.6236749698416337e-9, (19, 2) = -0.15120765376636398e-10, (19, 3) = 0.7501489278634117e-11, (19, 4) = -0.18219720961737195e-11, (19, 5) = 0.13692085108316905e-12, (20, 1) = 0.618294470363338e-9, (20, 2) = -0.12047690697860179e-10, (20, 3) = 0.6496815752305965e-11, (20, 4) = -0.16429307590636278e-11, (20, 5) = 0.5093691719044103e-12, (21, 1) = 0.6141387400223373e-9, (21, 2) = -0.9574173539415172e-11, (21, 3) = 0.55810165216480634e-11, (21, 4) = -0.13954149124209693e-11, (21, 5) = 0.6333300911065223e-12, (22, 1) = 0.6109202497932467e-9, (22, 2) = -0.7569443039107617e-11, (22, 3) = 0.4729339090684632e-11, (22, 4) = -0.11383444112830258e-11, (22, 5) = 0.6264606853141351e-12, (23, 1) = 0.6084283431944894e-9, (23, 2) = -0.5943805286244383e-11, (23, 3) = 0.39444408504727945e-11, (23, 4) = -0.9017181605079092e-12, (23, 5) = 0.5581985719065467e-12, (24, 1) = 0.6065033489424739e-9, (24, 2) = -0.4630955737269315e-11, (24, 3) = 0.3236514872863843e-11, (24, 4) = -0.6982527460744163e-12, (24, 5) = 0.4678823651669094e-12, (25, 1) = 0.6050210733820329e-9, (25, 2) = -0.35781764203448403e-11, (25, 3) = 0.26138771941320803e-11, (25, 4) = -0.5309090832420165e-12, (25, 5) = 0.3764800359575368e-12, (26, 1) = 0.6038858267717868e-9, (26, 2) = -0.2741331392070887e-11, (26, 3) = 0.20796781770707094e-11, (26, 4) = -0.39757645182655093e-12, (26, 5) = 0.2940583859413841e-12, (27, 1) = 0.6030210980541715e-9, (27, 2) = -0.20825072445886545e-11, (27, 3) = 0.16317765138197636e-11, (27, 4) = -0.29387600140744016e-12, (27, 5) = 0.22446056987534783e-12, (28, 1) = 0.602366507315935e-9, (28, 2) = -0.15689535482355322e-11, (28, 3) = 0.12639546441107985e-11, (28, 4) = -0.2147572752927611e-12, (28, 5) = 0.16817536949999937e-12, (29, 1) = 0.6018737921800229e-9, (29, 2) = -0.11725661141799706e-11, (29, 3) = 0.9674636342320036e-12, (29, 4) = -0.1553432318895776e-12, (29, 5) = 0.12404900790691362e-12, (30, 1) = 0.6015063704048585e-9, (30, 2) = -0.8695376158915292e-12, (30, 3) = 0.7324148568385822e-12, (30, 4) = -0.1113238575094845e-12, (30, 5) = 0.9026895354670936e-13, (31, 1) = 0.6012331209290493e-9, (31, 2) = -0.6400093751522437e-12, (31, 3) = 0.5488361009783428e-12, (31, 4) = -0.7909105794375417e-13, (31, 5) = 0.6489946257359858e-13, (32, 1) = 0.6010313839882353e-9, (32, 2) = -0.4676806250468874e-12, (32, 3) = 0.4073720297213764e-12, (32, 4) = -0.55734177140719424e-13, (32, 5) = 0.4614829988665113e-13, (33, 1) = 0.6008832372860927e-9, (33, 2) = -0.3393789746519389e-12, (33, 3) = 0.2996819733134866e-12, (33, 4) = -0.3896864283666617e-13, (33, 5) = 0.3247816968852583e-13, (34, 1) = 0.6007760467225628e-9, (34, 2) = -0.2446180181459965e-12, (34, 3) = 0.2186108601623798e-12, (34, 4) = -0.27039356922795098e-13, (34, 5) = 0.22633049567982487e-13, (35, 1) = 0.6006982405504626e-9, (35, 2) = -0.1751622449083394e-12, (35, 3) = 0.15820162860551416e-12, (35, 4) = -0.18620894797377495e-13, (35, 5) = 0.15620856986652904e-13, (36, 1) = 0.6006419671522647e-9, (36, 2) = -0.12462389575624312e-12, (36, 3) = 0.11361356743199682e-12, (36, 4) = -0.12726495151515674e-13, (36, 5) = 0.10677598774478415e-13, (37, 1) = 0.6006023675362607e-9, (37, 2) = -0.8810655950498653e-13, (37, 3) = 0.8099330838105886e-13, (37, 4) = -0.8630695401052591e-14, (37, 5) = 0.7226801870681323e-14, (38, 1) = 0.600573214880541e-9, (38, 2) = -0.6189733945808228e-13, (38, 3) = 0.57326655035511e-13, (38, 4) = -0.5805967756973056e-14, (38, 5) = 0.48407054532921546e-14, (39, 1) = 0.600553124484651e-9, (39, 2) = -0.4320867169995718e-13, (39, 3) = 0.4029127251163079e-13, (39, 4) = -0.3872465506838792e-14, (39, 5) = 0.3206375215582321e-14, (40, 1) = 0.6005390112029089e-9, (40, 2) = -0.2996695220038621e-13, (40, 3) = 0.28121574582998626e-13, (40, 4) = -0.25591237849460054e-14, (40, 5) = 0.209770955423606e-14, (41, 1) = 0.6005289986803559e-9, (41, 2) = -0.2064290474793723e-13, (41, 3) = 0.19491142659722356e-13, (41, 4) = -0.16741140656339724e-14, (41, 5) = 0.13531621252219037e-14, (42, 1) = 0.6005222368389752e-9, (42, 2) = -0.14117764165443154e-13, (42, 3) = 0.13414149912379718e-13, (42, 4) = -0.1082750257656125e-14, (42, 5) = 0.8584929586633663e-15, (43, 1) = 0.6005174804217331e-9, (43, 2) = -0.957929439653709e-14, (43, 3) = 0.9165080154706604e-14, (43, 4) = -0.6911818646939504e-15, (43, 5) = 0.5336938482242126e-15, (44, 1) = 0.6005141951257561e-9, (44, 2) = -0.6442053073102327e-14, (44, 3) = 0.6214822347656093e-14, (44, 4) = -0.434496585228077e-15, (44, 5) = 0.32325176790302243e-15, (45, 1) = 0.6005120721121075e-9, (45, 2) = -0.42869734586359196e-14, (45, 3) = 0.4180763946784205e-14, (45, 4) = -0.26812676415042606e-15, (45, 5) = 0.18900128237865801e-15, (46, 1) = 0.6005105668724581e-9, (46, 2) = -0.2816072914340642e-14, (46, 3) = 0.27884358411499793e-14, (46, 4) = -0.16170006872295093e-15, (46, 5) = 0.10494464211119514e-15, (47, 1) = 0.600509785493646e-9, (47, 2) = -0.18188332051752465e-14, (47, 3) = 0.18424456810159008e-14, (47, 4) = -0.9467606793604442e-16, (47, 5) = 0.5354041444300982e-16, (48, 1) = 0.6005087126793133e-9, (48, 2) = -0.11474686588215403e-14, (48, 3) = 0.12047182910907297e-14, (48, 4) = -0.5327461988736406e-16, (48, 5) = 0.2307106282147785e-16, (49, 1) = 0.600508418123729e-9, (49, 2) = -0.6988785690670782e-15, (49, 3) = 0.7783805156025581e-15, (49, 4) = -0.28329701890880794e-16, (49, 5) = 0.5793762268313131e-17, (50, 1) = 0.6005081938821089e-9, (50, 2) = -0.40157878073782045e-15, (50, 3) = 0.4959413026099385e-15, (50, 4) = -0.13800512854308772e-16, (50, 5) = -0.3347165102823177e-17, (51, 1) = 0.600507827024394e-9, (51, 2) = -0.20631116994174056e-15, (51, 3) = 0.31070638002040057e-15, (51, 4) = -0.5746543952203011e-17, (51, 5) = -0.7608224243741242e-17, (52, 1) = 0.6005083212656165e-9, (52, 2) = -0.7936578041659066e-16, (52, 3) = 0.19061532464751861e-15, (52, 4) = -0.16288690031638083e-17, (52, 5) = -0.9052221678392137e-17, (53, 1) = 0.6005079165752997e-9, (53, 2) = .0, (53, 3) = 0.11590507603867799e-15, (53, 4) = .0, (53, 5) = -0.8818984363679751e-17}, datatype = float[8], order = C_order); if not type(outpoint, 'numeric') then if outpoint = "start" or outpoint = "left" then return X[1] elif outpoint = "right" then return X[53] elif outpoint = "order" then return 8 elif outpoint = "error" then return HFloat(1.67614773873791e-8) elif outpoint = "errorproc" then error "this is already the error procedure" elif outpoint = "rawdata" then return [5, 53, [g(y), diff(g(y), y), diff(diff(g(y), y), y), h(y), diff(h(y), y)], X, Y] else return ('procname')(x_bvp) end if end if; if outpoint < X[1] or X[53] < outpoint then error "solution is only defined in the range %1..%2", X[1], X[53] end if; V := array([1 = 4, 2 = 0]); if Digits <= trunc(evalhf(Digits)) then L := Vector(4, 'datatype' = 'float'[8]); yout := Vector(5, 'datatype' = 'float'[8]); evalhf(`dsolve/numeric/lagrange`(53, 5, X, Y, outpoint, var(yout), var(L), var(V))) else L := Vector(4, 'datatype' = 'sfloat'); yout := Vector(5, 'datatype' = 'sfloat'); `dsolve/numeric/lagrange`(53, 5, X, Y, outpoint, yout, L, V) end if; [y = outpoint, seq('[g(y), diff(g(y), y), diff(diff(g(y), y), y), h(y), diff(h(y), y)]'[i] = yout[i], i = 1 .. 5)] end proc; if not type(outpoint, 'numeric') then if outpoint = "start" or outpoint = "left" then return X[1] elif outpoint = "method" then return "bvp" elif outpoint = "right" then return X[53] elif outpoint = "order" then return 8 elif outpoint = "error" then return HFloat(1.67614773873791e-8) elif outpoint = "errorproc" then return eval(errproc) elif outpoint = "rawdata" then return [5, 53, "depnames", X, Y, YP] else error "non-numeric value" end if end if; if outpoint < X[1] or X[53] < outpoint then error "solution is only defined in the range %1..%2", X[1], X[53] end if; if Digits <= trunc(evalhf(Digits)) and (_EnvInFsolve <> true or _EnvDSNumericSaveDigits <= trunc(evalhf(Digits))) then V := array( 1 .. 6, [( 1 ) = (7), ( 2 ) = (0), ( 3 ) = (false), ( 4 ) = (false), ( 5 ) = (false), ( 6 ) = (false)  ] ); L := Matrix(7, 2, {(1, 1) = .0, (1, 2) = .0, (2, 1) = .0, (2, 2) = .0, (3, 1) = .0, (3, 2) = .0, (4, 1) = .0, (4, 2) = .0, (5, 1) = .0, (5, 2) = .0, (6, 1) = .0, (6, 2) = .0, (7, 1) = .0, (7, 2) = .0}, datatype = float[8], order = C_order); yout := Vector(5, {(1) = .0, (2) = .0, (3) = .0, (4) = .0, (5) = .0}, datatype = float[8]); evalhf(`dsolve/numeric/hermite`(53, 5, X, Y, YP, outpoint, var(yout), var(L), var(V))) else if _EnvInFsolve = true then Digits := _EnvDSNumericSaveDigits end if; V := array( 1 .. 6, [( 1 ) = (7), ( 2 ) = (0), ( 3 ) = (false), ( 4 ) = (false), ( 5 ) = (false), ( 6 ) = (false)  ] ); L := Matrix(7, 2, {(1, 1) = 0., (1, 2) = 0., (2, 1) = 0., (2, 2) = 0., (3, 1) = 0., (3, 2) = 0., (4, 1) = 0., (4, 2) = 0., (5, 1) = 0., (5, 2) = 0., (6, 1) = 0., (6, 2) = 0., (7, 1) = 0., (7, 2) = 0.}, order = C_order); yout := Vector(5, {(1) = 0., (2) = 0., (3) = 0., (4) = 0., (5) = 0.}); `dsolve/numeric/hermite`(53, 5, X, Y, YP, outpoint, yout, L, V) end if; [outpoint, seq(yout[i], i = 1 .. 5)] end proc, (2) = Array(1..6, {(1) = 18446884187980918118, (2) = 18446884187980918294, (3) = 18446884187980918470, (4) = 18446884187980918646, (5) = 18446884187980910678, (6) = 18446884187980910854}), (3) = [y, g(y), diff(g(y), y), diff(diff(g(y), y), y), h(y), diff(h(y), y)], (4) = 0}); _solnproc := _dat[1]; if member(y, ["last", 'last']) then _res := _solnproc("last"); if type(_res, 'list') then return _res[1] end if elif type(y, `=`) and member(lhs(y), ["initial", 'initial']) then if type(rhs(y), 'list') then _res := _solnproc("initial" = [0, op(rhs(y))]) else _res := _solnproc("initial" = [1, rhs(y)]) end if; if type(_res, 'list') then return _res[1] end if elif y = "sysvars" then return _dat[3] end if; y end proc, g = proc (y) local res, data, solnproc, g, outpoint; option `Copyright (c) 2000 by Waterloo Maple Inc. All rights reserved.`; _EnvDSNumericSaveDigits := Digits; Digits := 15; if _EnvInFsolve = true then outpoint := evalf[_EnvDSNumericSaveDigits](y) else outpoint := evalf(y) end if; data := Array(1..4, {(1) = proc (outpoint) local X, Y, YP, yout, errproc, L, V, i; option `Copyright (c) 2000 by Waterloo Maple Inc. All rights reserved.`; X := Vector(53, {(1) = .0, (2) = .36949919900944644, (3) = .739300147291354, (4) = 1.109760554943441, (5) = 1.4813092903527632, (6) = 1.854400717289444, (7) = 2.2294194781491283, (8) = 2.6065809259736024, (9) = 2.9858798923611154, (10) = 3.3671133918743896, (11) = 3.749958628987825, (12) = 4.134061614038366, (13) = 4.519100822868634, (14) = 4.904816162024675, (15) = 5.291012429357386, (16) = 5.677548255086593, (17) = 6.064324153231833, (18) = 6.451271772178415, (19) = 6.838345982808043, (20) = 7.225519334980909, (21) = 7.612775587951935, (22) = 8.000101351192901, (23) = 8.387480265034908, (24) = 8.774892734296833, (25) = 9.162320242119915, (26) = 9.54975001583413, (27) = 9.937175827823893, (28) = 10.324595778314873, (29) = 10.712009940724622, (30) = 11.099419117828488, (31) = 11.486824579226047, (32) = 11.874229393268262, (33) = 12.261639304144008, (34) = 12.649054547893757, (35) = 13.036470363974443, (36) = 13.423885415329542, (37) = 13.81129973437852, (38) = 14.19871345130963, (39) = 14.586126631356334, (40) = 14.97353926897657, (41) = 15.360951274544131, (42) = 15.74836246576973, (43) = 16.13577258408351, (44) = 16.52318140592461, (45) = 16.91058907240521, (46) = 17.29799668241655, (47) = 17.685406660632083, (48) = 18.072821632133493, (49) = 18.460241671290955, (50) = 18.847663467669946, (51) = 19.23508330750054, (52) = 19.62244752660786, (53) = 20.0}, datatype = float[8], order = C_order); Y := Matrix(53, 5, {(1, 1) = .0, (1, 2) = .0, (1, 3) = .4775993879507742, (1, 4) = 1.0, (1, 5) = -1.0046788647919327, (2, 1) = 0.25035948166186407e-1, (2, 2) = .11737960097745363, (2, 3) = .18313309807713032, (2, 4) = .6544565139197563, (2, 5) = -.8204565753435087, (3, 1) = 0.7671130004531938e-1, (3, 2) = .15245559468347794, (3, 3) = 0.257866622502241e-1, (3, 4) = .4033793646669303, (3, 5) = -.54284905169691, (4, 1) = .1330186291614795, (4, 2) = .14735793191890612, (4, 3) = -0.4250594932201111e-1, (4, 4) = .2439551371052711, (4, 5) = -.3318787408975303, (5, 1) = .18415414318579984, (5, 2) = .12658789976147164, (5, 3) = -0.6407934926095243e-1, (5, 4) = .14767183993451755, (5, 5) = -.19754422561587923, (6, 1) = .22684016724165285, (6, 2) = .10223772024754406, (6, 3) = -0.642541190775384e-1, (6, 4) = 0.9027146155353627e-1, (6, 5) = -.11728058787005342, (7, 1) = .260828001257262, (7, 2) = 0.7953916569955533e-1, (7, 3) = -0.56072302032236475e-1, (7, 4) = 0.5590160109411186e-1, (7, 5) = -0.7024341339428322e-1, (8, 1) = .28708246716220753, (8, 2) = 0.603379421090149e-1, (8, 3) = -0.4568183700123631e-1, (8, 4) = 0.3507359791282195e-1, (8, 5) = -0.4265000342236205e-1, (9, 1) = .30692793243322797, (9, 2) = 0.449345269177477e-1, (9, 3) = -0.35736728754833934e-1, (9, 4) = 0.22267582983966642e-1, (9, 5) = -0.26288107264853516e-1, (10, 1) = .3216779340769599, (10, 2) = 0.32987460372044405e-1, (10, 3) = -0.2721540596787555e-1, (10, 4) = 0.14280013218841852e-1, (10, 5) = -0.1643924121960731e-1, (11, 1) = .3324907956755065, (11, 2) = 0.2393861975262906e-1, (11, 3) = -0.20329119904601015e-1, (11, 4) = 0.9232957435481037e-2, (11, 5) = -0.10413619270888406e-1, (12, 1) = .34032685681957475, (12, 2) = 0.17206537965707504e-1, (12, 3) = -0.14962469503126172e-1, (12, 4) = 0.6008484746296935e-2, (12, 5) = -0.6668747436178208e-2, (13, 1) = .345950982825996, (13, 2) = 0.12268220016813276e-1, (13, 3) = -0.10883215741590159e-1, (13, 4) = 0.3929676044855098e-2, (13, 5) = -0.4308303644954386e-2, (14, 1) = .34995466248276785, (14, 2) = 0.8686972155428869e-2, (14, 3) = -0.7839271959166245e-2, (14, 4) = 0.25797858209504463e-2, (14, 5) = -0.28025554247415258e-2, (15, 1) = .3527850007052327, (15, 2) = 0.6114438707245076e-2, (15, 3) = -0.5600357597355628e-2, (15, 4) = 0.16983247250837619e-2, (15, 5) = -0.18326222302195356e-2, (16, 1) = .35477392665620944, (16, 2) = 0.4281283410440807e-2, (16, 3) = -0.3972670206539237e-2, (16, 4) = 0.11203129486059818e-2, (16, 5) = -0.12030431854933115e-2, (17, 1) = .3561643523000197, (17, 2) = 0.29839556152759707e-2, (17, 3) = -0.2800778530727025e-2, (17, 4) = 0.740101442453339e-3, (17, 5) = -0.7919982960398722e-3, (18, 1) = .35713198689153886, (18, 2) = 0.2071285654344953e-2, (18, 3) = -0.19639677695066815e-2, (18, 4) = 0.4894318018006638e-3, (18, 5) = -0.522463820647135e-3, (19, 1) = .3578027155526762, (19, 2) = 0.14325515384083004e-2, (19, 3) = -0.13706427525454147e-2, (19, 4) = 0.3238970032698751e-3, (19, 5) = -0.345159099453523e-3, (20, 1) = .35826600613654164, (20, 2) = 0.9875695814297975e-3, (20, 3) = -0.9525336996298883e-3, (20, 4) = 0.2144551766663054e-3, (20, 5) = -0.22825679488347692e-3, (21, 1) = .3585850108866874, (21, 2) = 0.6788186236915587e-3, (21, 3) = -0.6594779634452127e-3, (21, 4) = 0.14203957393985986e-3, (21, 5) = -0.15105374894384269e-3, (22, 1) = .3588040461982198, (22, 2) = 0.46536376123067344e-3, (22, 3) = -0.4550465847054036e-3, (22, 4) = 0.9409702306859435e-4, (22, 5) = -0.10001049122931494e-3, (23, 1) = .35895405581487905, (23, 2) = 0.3182699577065725e-3, (23, 3) = -0.31303945540986844e-3, (23, 4) = 0.6234543320626832e-4, (23, 5) = -0.6623698451545083e-4, (24, 1) = .35905655365291567, (24, 2) = 0.21720197880249816e-3, (24, 3) = -0.2147659391528201e-3, (24, 4) = 0.4131211997218378e-4, (24, 5) = -0.43878772145639645e-4, (25, 1) = .35912644084483486, (25, 2) = 0.14794036226185102e-3, (25, 3) = -0.14698548220180992e-3, (25, 4) = 0.27376881887169156e-4, (25, 5) = -0.2907235791507348e-4, (26, 1) = .35917400264255306, (26, 2) = 0.10058709635913049e-3, (26, 3) = -0.10037603350088711e-3, (26, 4) = 0.18143322518591565e-4, (26, 5) = -0.19264561510544625e-4, (27, 1) = .3592063155966067, (27, 2) = 0.68280606114036e-4, (27, 3) = -0.6841032299879773e-4, (27, 4) = 0.12024570315917842e-4, (27, 5) = -0.12766648386208112e-4, (28, 1) = .3592282345600599, (28, 2) = 0.4628171831805626e-4, (28, 3) = -0.46540046668865304e-4, (28, 4) = 0.7969597699816696e-5, (28, 5) = -0.8461019539790837e-5, (29, 1) = .35924308175505837, (29, 2) = 0.31327700595018035e-4, (29, 3) = -0.31609198077523325e-4, (29, 4) = 0.528216822039621e-5, (29, 5) = -0.5607747325983305e-5, (30, 1) = .3592531255422956, (30, 2) = 0.21178631883863118e-4, (30, 3) = -0.21435894741232355e-4, (30, 4) = 0.35010032338092466e-5, (30, 5) = -0.3716791736231297e-5, (31, 1) = .35925991164340315, (31, 2) = 0.14300621423190528e-4, (31, 3) = -0.14516581272828024e-4, (31, 4) = 0.23204527910651474e-5, (31, 5) = -0.2463529199305528e-5, (32, 1) = .35926449147035916, (32, 2) = 0.9645620558312539e-5, (32, 3) = -0.9818116217375507e-5, (32, 4) = 0.15379675636869845e-5, (32, 5) = -0.16328749098888895e-5, (33, 1) = .3592675790201219, (33, 2) = 0.6499006726600864e-5, (33, 3) = -0.66324380911056034e-5, (33, 4) = 0.10193134865350361e-5, (33, 5) = -0.10823044311367178e-5, (34, 1) = .3592696583823224, (34, 2) = 0.4374457750332709e-5, (34, 3) = -0.4475456895090449e-5, (34, 4) = 0.6755336608425454e-6, (34, 5) = -0.7173745751421138e-6, (35, 1) = .3592710573518701, (35, 2) = 0.294154082693033e-5, (35, 3) = -0.3016870125120636e-5, (35, 4) = 0.4476683128527473e-6, (35, 5) = -0.47549279193009315e-6, (36, 1) = .3592719976376865, (36, 2) = 0.19760604754838103e-5, (36, 3) = -0.20317085117193237e-5, (36, 4) = 0.2966338292760303e-6, (36, 5) = -0.3151689171167519e-6, (37, 1) = .3592726290042988, (37, 2) = 0.13261343815983235e-5, (37, 3) = -0.13670291897571055e-5, (37, 4) = 0.19652433347395044e-6, (37, 5) = -0.20890263700500245e-6, (38, 1) = .35927305250364244, (38, 2) = 0.8890080839496946e-6, (38, 3) = -0.9190261384727204e-6, (38, 4) = 0.13016904708113482e-6, (38, 5) = -0.1384666727686611e-6, (39, 1) = .35927333625042096, (39, 2) = 0.5952482675663468e-6, (39, 3) = -0.6173471705132506e-6, (39, 4) = 0.8618688759733714e-7, (39, 5) = -0.9177981643215786e-7, (40, 1) = .35927352611486774, (40, 2) = 0.3979897131562297e-6, (40, 3) = -0.414376818302952e-6, (40, 4) = 0.5703423332531646e-7, (40, 5) = -0.608344513694474e-7, (41, 1) = .35927365296033825, (41, 2) = 0.26563259155357796e-6, (41, 3) = -0.27792812347443636e-6, (41, 4) = 0.37710990156919004e-7, (41, 5) = -0.4032296461374335e-7, (42, 1) = .35927373753612546, (42, 2) = 0.17689048703324333e-6, (42, 3) = -0.18626834035523302e-6, (42, 4) = 0.24902964372027948e-7, (42, 5) = -0.26727343435165574e-7, (43, 1) = .359273793781336, (43, 2) = 0.11743711947994233e-6, (43, 3) = -0.12473897927177057e-6, (43, 4) = 0.16413415821837796e-7, (43, 5) = -0.17715756359896507e-7, (44, 1) = .3592738310534682, (44, 2) = 0.7763854236234525e-7, (44, 3) = -0.8346275729093369e-7, (44, 4) = 0.10786280613193112e-7, (44, 5) = -0.11742599496217648e-7, (45, 1) = .35927385563017794, (45, 2) = 0.5102125286453134e-7, (45, 3) = -0.5579016067522686e-7, (45, 4) = 0.7056434878747405e-8, (45, 5) = -0.7783400229664504e-8, (46, 1) = .3592738717203354, (46, 2) = 0.3323854418941362e-7, (46, 3) = -0.37248452554120235e-7, (46, 4) = 0.4584164620156798e-8, (46, 5) = -0.51591068699825456e-8, (47, 1) = .3592738821441244, (47, 2) = 0.21373764847285328e-7, (47, 3) = -0.24831487987968654e-7, (47, 4) = 0.29454502578396527e-8, (47, 5) = -0.3419625982414965e-8, (48, 1) = .3592738887901636, (48, 2) = 0.13471109606711368e-7, (48, 3) = -0.16520354865287813e-7, (48, 4) = 0.18592450644926916e-8, (48, 5) = -0.22666287842075568e-8, (49, 1) = .3592738929225644, (49, 2) = 0.8219875552199463e-8, (49, 3) = -0.10960112871784771e-7, (49, 4) = 0.11392686610785541e-8, (49, 5) = -0.15023802335308191e-8, (50, 1) = .35927389538706583, (50, 2) = 0.47421360806248574e-8, (50, 3) = -0.72419809055769776e-8, (50, 4) = 0.6620479098671892e-9, (50, 5) = -0.9958146619340783e-9, (51, 1) = .3592738967492751, (51, 2) = 0.24501148819534223e-8, (51, 3) = -0.47567546773704275e-8, (51, 4) = 0.34573551914810265e-9, (51, 5) = -0.6600518855067764e-9, (52, 1) = .35927389738723736, (52, 2) = 0.9506482919026302e-9, (52, 3) = -0.30964654338033544e-8, (52, 4) = 0.13609976475165576e-9, (52, 5) = -0.43752540756294343e-9, (53, 1) = .3592738975538295, (53, 2) = .0, (53, 3) = -0.2010431178903024e-8, (53, 4) = .0, (53, 5) = -0.29305672550117975e-9}, datatype = float[8], order = C_order); YP := Matrix(53, 5, {(1, 1) = .0, (1, 2) = .4775993879507742, (1, 3) = -1.0, (1, 4) = -1.0046788647919327, (1, 5) = .0, (2, 1) = .11737960097745363, (2, 2) = .18313309807713032, (2, 3) = -.5935786348694716, (2, 4) = -.8204565753435087, (2, 5) = .7590512696017367, (3, 1) = .15245559468347794, (3, 2) = 0.257866622502241e-1, (3, 3) = -.2819733859917131, (3, 4) = -.54284905169691, (3, 5) = .682102766187754, (4, 1) = .14735793191890612, (4, 2) = -0.4250594932201111e-1, (4, 3) = -.10615038645090877, (4, 4) = -.3318787408975303, (4, 5) = .45723811284077087, (5, 1) = .12658789976147164, (5, 2) = -0.6407934926095243e-1, (5, 3) = -0.211855575294789e-1, (5, 4) = -.19754422561587923, (5, 5) = .27742280949400916, (6, 1) = .10223772024754406, (6, 2) = -0.642541190775384e-1, (6, 3) = 0.14587670506166814e-1, (6, 4) = -.11728058787005342, (6, 5) = .16250392351641907, (7, 1) = 0.7953916569955533e-1, (7, 2) = -0.56072302032236475e-1, (7, 3) = 0.26426018758011087e-1, (7, 4) = -0.7024341339428322e-1, (7, 5) = 0.945530697759864e-1, (8, 1) = 0.603379421090149e-1, (8, 2) = -0.4568183700123631e-1, (8, 3) = 0.27572049036062037e-1, (8, 4) = -0.4265000342236205e-1, (8, 5) = 0.5541446261530368e-1, (9, 1) = 0.449345269177477e-1, (9, 2) = -0.35736728754833934e-1, (9, 3) = 0.24485482290410084e-1, (9, 4) = -0.26288107264853516e-1, (9, 5) = 0.32935122639646895e-1, (10, 1) = 0.32987460372044405e-1, (10, 2) = -0.2721540596787555e-1, (10, 3) = 0.20157371353181654e-1, (10, 4) = -0.1643924121960731e-1, (10, 5) = 0.19906429499968542e-1, (11, 1) = 0.2393861975262906e-1, (11, 2) = -0.20329119904601015e-1, (11, 3) = 0.15886405971160852e-1, (11, 4) = -0.10413619270888406e-1, (11, 5) = 0.12239225803118335e-1, (12, 1) = 0.17206537965707504e-1, (12, 2) = -0.14962469503126172e-1, (12, 3) = 0.12169295674749843e-1, (12, 4) = -0.6668747436178208e-2, (12, 5) = 0.76453656673992985e-2, (13, 1) = 0.12268220016813276e-1, (13, 2) = -0.10883215741590159e-1, (13, 3) = 0.9134567020099078e-2, (13, 4) = -0.4308303644954386e-2, (13, 5) = 0.4841911285505811e-2, (14, 1) = 0.8686972155428869e-2, (14, 2) = -0.7839271959166245e-2, (14, 3) = 0.6751280108697246e-2, (14, 4) = -0.28025554247415258e-2, (14, 5) = 0.310145374876213e-2, (15, 1) = 0.6114438707245076e-2, (15, 2) = -0.5600357597355628e-2, (15, 3) = 0.4928397275322998e-2, (15, 4) = -0.18326222302195356e-2, (15, 5) = 0.20045803067287363e-2, (16, 1) = 0.4281283410440807e-2, (16, 2) = -0.3972670206539237e-2, (16, 3) = 0.35610480609900488e-2, (16, 4) = -0.12030431854933115e-2, (16, 5) = 0.13046281142642456e-2, (17, 1) = 0.29839556152759707e-2, (17, 2) = -0.2800778530727025e-2, (17, 3) = 0.25508672905029377e-2, (17, 4) = -0.7919982960398722e-3, (17, 5) = 0.853499426344586e-3, (18, 1) = 0.2071285654344953e-2, (18, 2) = -0.19639677695066815e-2, (18, 3) = 0.18137004947130705e-2, (18, 4) = -0.522463820647135e-3, (18, 5) = 0.5605002666592092e-3, (19, 1) = 0.14325515384083004e-2, (19, 2) = -0.13706427525454147e-2, (19, 3) = 0.12812541397045714e-2, (19, 4) = -0.345159099453523e-3, (19, 5) = 0.36910117865482486e-3, (20, 1) = 0.9875695814297975e-3, (20, 2) = -0.9525336996298883e-3, (20, 3) = 0.9000053824634135e-3, (20, 4) = -0.22825679488347692e-3, (20, 5) = 0.24353818862632592e-3, (21, 1) = 0.6788186236915587e-3, (21, 2) = -0.6594779634452127e-3, (21, 3) = 0.6290512633214072e-3, (21, 4) = -0.15105374894384269e-3, (21, 5) = 0.16091129478345426e-3, (22, 1) = 0.46536376123067344e-3, (22, 2) = -0.4550465847054036e-3, (22, 3) = 0.43772988215105705e-3, (22, 4) = -0.10001049122931494e-3, (22, 5) = 0.106419493109677e-3, (23, 1) = 0.3182699577065725e-3, (23, 2) = -0.31303945540986844e-3, (23, 3) = 0.30340373549233673e-3, (23, 4) = -0.6623698451545083e-4, (23, 5) = 0.7042776186672255e-4, (24, 1) = 0.21720197880249816e-3, (24, 2) = -0.2147659391528201e-3, (24, 3) = 0.20956498522688367e-3, (24, 4) = -0.43878772145639645e-4, (24, 5) = 0.466303209397757e-4, (25, 1) = 0.14794036226185102e-3, (25, 2) = -0.14698548220180992e-3, (25, 3) = 0.14429920554889767e-3, (25, 4) = -0.2907235791507348e-4, (25, 5) = 0.30884201672285647e-4, (26, 1) = 0.10058709635913049e-3, (26, 2) = -0.10037603350088711e-3, (26, 3) = 0.9908282577931924e-4, (26, 4) = -0.19264561510544625e-4, (26, 5) = 0.20460064780651296e-4, (27, 1) = 0.68280606114036e-4, (27, 2) = -0.6841032299879773e-4, (27, 3) = 0.6786468724833311e-4, (27, 4) = -0.12766648386208112e-4, (27, 5) = 0.13556598018006937e-4, (28, 1) = 0.4628171831805626e-4, (28, 2) = -0.46540046668865304e-4, (28, 3) = 0.4637730439005856e-4, (28, 4) = -0.8461019539790837e-5, (28, 5) = 0.8983508254813186e-5, (29, 1) = 0.31327700595018035e-4, (29, 2) = -0.31609198077523325e-4, (29, 3) = 0.3162823323595945e-4, (29, 4) = -0.5607747325983305e-5, (29, 5) = 0.59535674389884314e-5, (30, 1) = 0.21178631883863118e-4, (30, 2) = -0.21435894741232355e-4, (30, 3) = 0.21529428305553337e-4, (30, 4) = -0.3716791736231297e-5, (30, 5) = 0.3945787155761316e-5, (31, 1) = 0.14300621423190528e-4, (31, 2) = -0.14516581272828024e-4, (31, 3) = 0.14630155544368391e-4, (31, 4) = -0.2463529199305528e-5, (31, 5) = 0.26152140974615044e-5, (32, 1) = 0.9645620558312539e-5, (32, 2) = -0.9818116217375507e-5, (32, 3) = 0.9926270867895736e-5, (32, 4) = -0.16328749098888895e-5, (32, 5) = 0.17333716022339152e-5, (33, 1) = 0.6499006726600864e-5, (33, 2) = -0.66324380911056034e-5, (33, 3) = 0.67250837394264775e-5, (33, 4) = -0.10823044311367178e-5, (33, 5) = 0.11488964969527993e-5, (34, 1) = 0.4374457750332709e-5, (34, 2) = -0.4475456895090449e-5, (34, 3) = 0.455023316336366e-5, (34, 4) = -0.7173745751421138e-6, (34, 5) = 0.76150457836442e-6, (35, 1) = 0.294154082693033e-5, (35, 2) = -0.3016870125120636e-5, (35, 3) = 0.3074970165963072e-5, (35, 4) = -0.47549279193009315e-6, (35, 5) = 0.5047393293053838e-6, (36, 1) = 0.19760604754838103e-5, (36, 2) = -0.20317085117193237e-5, (36, 3) = 0.20756795679808857e-5, (36, 4) = -0.3151689171167519e-6, (36, 5) = 0.3345525478298572e-6, (37, 1) = 0.13261343815983235e-5, (37, 2) = -0.13670291897571055e-5, (37, 3) = 0.13996778945256072e-5, (37, 4) = -0.20890263700500245e-6, (37, 5) = 0.22174986807780668e-6, (38, 1) = 0.8890080839496946e-6, (38, 2) = -0.9190261384727204e-6, (38, 3) = 0.9429246095875392e-6, (38, 4) = -0.1384666727686611e-6, (38, 5) = 0.14698184168101424e-6, (39, 1) = 0.5952482675663468e-6, (39, 2) = -0.6173471705132506e-6, (39, 3) = 0.6346532882843354e-6, (39, 4) = -0.9177981643215786e-7, (39, 5) = 0.9742376889869178e-7, (40, 1) = 0.3979897131562297e-6, (40, 2) = -0.414376818302952e-6, (40, 3) = 0.4268091549705229e-6, (40, 4) = -0.608344513694474e-7, (40, 5) = 0.6457536591987922e-7, (41, 1) = 0.26563259155357796e-6, (41, 2) = -0.27792812347443636e-6, (41, 3) = 0.2868092175152725e-6, (41, 4) = -0.4032296461374335e-7, (41, 5) = 0.4280252841484816e-7, (42, 1) = 0.17689048703324333e-6, (42, 2) = -0.18626834035523302e-6, (42, 3) = 0.19259150690256222e-6, (42, 4) = -0.26727343435165574e-7, (42, 5) = 0.2837086354968772e-7, (43, 1) = 0.11743711947994233e-6, (43, 2) = -0.12473897927177057e-6, (43, 3) = 0.12923686055627235e-6, (43, 4) = -0.17715756359896507e-7, (43, 5) = 0.1880512910554703e-7, (44, 1) = 0.7763854236234525e-7, (44, 2) = -0.8346275729093369e-7, (44, 3) = 0.866682023665433e-7, (44, 4) = -0.11742599496217648e-7, (44, 5) = 0.12464669703447368e-7, (45, 1) = 0.5102125286453134e-7, (45, 2) = -0.5579016067522686e-7, (45, 3) = 0.58086404367729565e-7, (45, 4) = -0.7783400229664504e-8, (45, 5) = 0.8262012076509727e-8, (46, 1) = 0.3323854418941362e-7, (46, 2) = -0.37248452554120235e-7, (46, 3) = 0.389086276915552e-7, (46, 4) = -0.51591068699825456e-8, (46, 5) = 0.5476346816410734e-8, (47, 1) = 0.21373764847285328e-7, (47, 2) = -0.24831487987968654e-7, (47, 3) = 0.26048793793539624e-7, (47, 4) = -0.3419625982414965e-8, (47, 5) = 0.36299028287716455e-8, (48, 1) = 0.13471109606711368e-7, (48, 2) = -0.16520354865287813e-7, (48, 3) = 0.17430585377694396e-7, (48, 4) = -0.22666287842075568e-8, (48, 5) = 0.2406006361941216e-8, (49, 1) = 0.8219875552199463e-8, (49, 2) = -0.10960112871784771e-7, (49, 3) = 0.11658199570066066e-7, (49, 4) = -0.15023802335308191e-8, (49, 5) = 0.15947632526233475e-8, (50, 1) = 0.47421360806248574e-8, (50, 2) = -0.72419809055769776e-8, (50, 3) = 0.7793979957178533e-8, (50, 4) = -0.9958146619340783e-9, (50, 5) = 0.10570483841765406e-8, (51, 1) = 0.24501148819534223e-8, (51, 2) = -0.47567546773704275e-8, (51, 3) = 0.5208442327531191e-8, (51, 4) = -0.6600518855067764e-9, (51, 5) = 0.7006391823634325e-9, (52, 1) = 0.9506482919026302e-9, (52, 2) = -0.30964654338033544e-8, (52, 3) = 0.34794576549329015e-8, (52, 4) = -0.43752540756294343e-9, (52, 5) = 0.4644293100293939e-9, (53, 1) = .0, (53, 2) = -0.2010431178903024e-8, (53, 3) = 0.23474601975767464e-8, (53, 4) = -0.29305672550117975e-9, (53, 5) = 0.31107709447209743e-9}, datatype = float[8], order = C_order); errproc := proc (x_bvp) local outpoint, X, Y, yout, L, V, i; option `Copyright (c) 2000 by Waterloo Maple Inc. All rights reserved.`; Digits := 15; outpoint := evalf(x_bvp); X := Vector(53, {(1) = .0, (2) = .36949919900944644, (3) = .739300147291354, (4) = 1.109760554943441, (5) = 1.4813092903527632, (6) = 1.854400717289444, (7) = 2.2294194781491283, (8) = 2.6065809259736024, (9) = 2.9858798923611154, (10) = 3.3671133918743896, (11) = 3.749958628987825, (12) = 4.134061614038366, (13) = 4.519100822868634, (14) = 4.904816162024675, (15) = 5.291012429357386, (16) = 5.677548255086593, (17) = 6.064324153231833, (18) = 6.451271772178415, (19) = 6.838345982808043, (20) = 7.225519334980909, (21) = 7.612775587951935, (22) = 8.000101351192901, (23) = 8.387480265034908, (24) = 8.774892734296833, (25) = 9.162320242119915, (26) = 9.54975001583413, (27) = 9.937175827823893, (28) = 10.324595778314873, (29) = 10.712009940724622, (30) = 11.099419117828488, (31) = 11.486824579226047, (32) = 11.874229393268262, (33) = 12.261639304144008, (34) = 12.649054547893757, (35) = 13.036470363974443, (36) = 13.423885415329542, (37) = 13.81129973437852, (38) = 14.19871345130963, (39) = 14.586126631356334, (40) = 14.97353926897657, (41) = 15.360951274544131, (42) = 15.74836246576973, (43) = 16.13577258408351, (44) = 16.52318140592461, (45) = 16.91058907240521, (46) = 17.29799668241655, (47) = 17.685406660632083, (48) = 18.072821632133493, (49) = 18.460241671290955, (50) = 18.847663467669946, (51) = 19.23508330750054, (52) = 19.62244752660786, (53) = 20.0}, datatype = float[8], order = C_order); Y := Matrix(53, 5, {(1, 1) = .0, (1, 2) = .0, (1, 3) = 0.3866026324188471e-8, (1, 4) = .0, (1, 5) = -0.167614773873791e-7, (2, 1) = 0.13129025756353337e-8, (2, 2) = 0.32899139260862605e-9, (2, 3) = -0.13933004530175537e-8, (2, 4) = -0.6864722219029181e-8, (2, 5) = 0.5762265822614816e-8, (3, 1) = 0.17531536948997038e-8, (3, 2) = -0.19870637479583883e-8, (3, 3) = 0.4430716176000332e-8, (3, 4) = 0.2506069884499365e-8, (3, 5) = -0.3270419083483023e-8, (4, 1) = 0.6295122746073642e-9, (4, 2) = -0.3024625169400298e-10, (4, 3) = 0.12003412299206427e-8, (4, 4) = 0.33647534884721813e-8, (4, 5) = -0.5895241812315728e-8, (5, 1) = 0.34939213765912637e-9, (5, 2) = 0.8458952553680481e-9, (5, 3) = -0.10693778523575973e-8, (5, 4) = 0.10786771704660264e-8, (5, 5) = -0.2203130450223577e-8, (6, 1) = 0.5656367415875083e-9, (6, 2) = 0.6215360766856136e-9, (6, 3) = -0.1108144897398893e-8, (6, 4) = 0.4209413267077535e-10, (6, 5) = -0.3388630128593954e-9, (7, 1) = 0.7854998673990449e-9, (7, 2) = 0.22441224780112193e-9, (7, 3) = -0.5684360372475958e-9, (7, 4) = -0.11511841794228689e-9, (7, 5) = 0.11797587605792422e-10, (8, 1) = 0.88238808161761e-9, (8, 2) = -0.19314356562976675e-10, (8, 3) = -0.17637443157439568e-9, (8, 4) = -0.5247041000728325e-10, (8, 5) = -0.3019406560951504e-10, (9, 1) = 0.887106106376075e-9, (9, 2) = -0.11453547140212592e-9, (9, 3) = 0.21194227230144784e-11, (9, 4) = 0.3327159479296091e-11, (9, 5) = -0.7750709431295195e-10, (10, 1) = 0.8492406199535305e-9, (10, 2) = -0.1293425716343487e-9, (10, 3) = 0.5602529822395111e-10, (10, 4) = 0.23823773476585883e-10, (10, 5) = -0.8221982101893044e-10, (11, 1) = 0.8004508148400319e-9, (11, 2) = -0.11284665783283561e-9, (11, 3) = 0.58190251116587034e-10, (11, 4) = 0.2400712883993116e-10, (11, 5) = -0.6574753774356836e-10, (12, 1) = 0.7552514704765934e-9, (12, 2) = -0.8938292310362758e-10, (12, 3) = 0.4554453968200018e-10, (12, 4) = 0.17334994859729327e-10, (12, 5) = -0.45707448056724276e-10, (13, 1) = 0.7182732793193764e-9, (13, 2) = -0.682463808634105e-10, (13, 3) = 0.32423194771716774e-10, (13, 4) = 0.1027125596677696e-10, (13, 5) = -0.2916532884469332e-10, (14, 1) = 0.68968855369093e-9, (14, 2) = -0.5173302456205981e-10, (14, 3) = 0.22715270469083298e-10, (14, 4) = 0.4910681563514555e-11, (14, 5) = -0.1743716151912573e-10, (15, 1) = 0.6681285533042898e-9, (15, 2) = -0.3951414089190393e-10, (15, 3) = 0.16440008745078285e-10, (15, 4) = 0.1448683266344109e-11, (15, 5) = -0.9775538768222743e-11, (16, 1) = 0.6519797414669998e-9, (16, 2) = -0.3058489428792559e-10, (16, 3) = 0.12607677208032737e-10, (16, 4) = -0.5226225598495448e-12, (16, 5) = -0.5037647223130452e-11, (17, 1) = 0.6398510794802389e-9, (17, 2) = -0.23985943167404547e-10, (17, 3) = 0.10249745111209356e-10, (17, 4) = -0.14850062190312182e-11, (17, 5) = -0.22423786320722828e-11, (18, 1) = 0.6306755774357558e-9, (18, 2) = -0.1899470914502264e-10, (18, 3) = 0.8683059619746706e-11, (18, 4) = -0.18275265893742596e-11, (18, 5) = -0.6773170954492378e-12, (19, 1) = 0.6236749698416337e-9, (19, 2) = -0.15120765376636398e-10, (19, 3) = 0.7501489278634117e-11, (19, 4) = -0.18219720961737195e-11, (19, 5) = 0.13692085108316905e-12, (20, 1) = 0.618294470363338e-9, (20, 2) = -0.12047690697860179e-10, (20, 3) = 0.6496815752305965e-11, (20, 4) = -0.16429307590636278e-11, (20, 5) = 0.5093691719044103e-12, (21, 1) = 0.6141387400223373e-9, (21, 2) = -0.9574173539415172e-11, (21, 3) = 0.55810165216480634e-11, (21, 4) = -0.13954149124209693e-11, (21, 5) = 0.6333300911065223e-12, (22, 1) = 0.6109202497932467e-9, (22, 2) = -0.7569443039107617e-11, (22, 3) = 0.4729339090684632e-11, (22, 4) = -0.11383444112830258e-11, (22, 5) = 0.6264606853141351e-12, (23, 1) = 0.6084283431944894e-9, (23, 2) = -0.5943805286244383e-11, (23, 3) = 0.39444408504727945e-11, (23, 4) = -0.9017181605079092e-12, (23, 5) = 0.5581985719065467e-12, (24, 1) = 0.6065033489424739e-9, (24, 2) = -0.4630955737269315e-11, (24, 3) = 0.3236514872863843e-11, (24, 4) = -0.6982527460744163e-12, (24, 5) = 0.4678823651669094e-12, (25, 1) = 0.6050210733820329e-9, (25, 2) = -0.35781764203448403e-11, (25, 3) = 0.26138771941320803e-11, (25, 4) = -0.5309090832420165e-12, (25, 5) = 0.3764800359575368e-12, (26, 1) = 0.6038858267717868e-9, (26, 2) = -0.2741331392070887e-11, (26, 3) = 0.20796781770707094e-11, (26, 4) = -0.39757645182655093e-12, (26, 5) = 0.2940583859413841e-12, (27, 1) = 0.6030210980541715e-9, (27, 2) = -0.20825072445886545e-11, (27, 3) = 0.16317765138197636e-11, (27, 4) = -0.29387600140744016e-12, (27, 5) = 0.22446056987534783e-12, (28, 1) = 0.602366507315935e-9, (28, 2) = -0.15689535482355322e-11, (28, 3) = 0.12639546441107985e-11, (28, 4) = -0.2147572752927611e-12, (28, 5) = 0.16817536949999937e-12, (29, 1) = 0.6018737921800229e-9, (29, 2) = -0.11725661141799706e-11, (29, 3) = 0.9674636342320036e-12, (29, 4) = -0.1553432318895776e-12, (29, 5) = 0.12404900790691362e-12, (30, 1) = 0.6015063704048585e-9, (30, 2) = -0.8695376158915292e-12, (30, 3) = 0.7324148568385822e-12, (30, 4) = -0.1113238575094845e-12, (30, 5) = 0.9026895354670936e-13, (31, 1) = 0.6012331209290493e-9, (31, 2) = -0.6400093751522437e-12, (31, 3) = 0.5488361009783428e-12, (31, 4) = -0.7909105794375417e-13, (31, 5) = 0.6489946257359858e-13, (32, 1) = 0.6010313839882353e-9, (32, 2) = -0.4676806250468874e-12, (32, 3) = 0.4073720297213764e-12, (32, 4) = -0.55734177140719424e-13, (32, 5) = 0.4614829988665113e-13, (33, 1) = 0.6008832372860927e-9, (33, 2) = -0.3393789746519389e-12, (33, 3) = 0.2996819733134866e-12, (33, 4) = -0.3896864283666617e-13, (33, 5) = 0.3247816968852583e-13, (34, 1) = 0.6007760467225628e-9, (34, 2) = -0.2446180181459965e-12, (34, 3) = 0.2186108601623798e-12, (34, 4) = -0.27039356922795098e-13, (34, 5) = 0.22633049567982487e-13, (35, 1) = 0.6006982405504626e-9, (35, 2) = -0.1751622449083394e-12, (35, 3) = 0.15820162860551416e-12, (35, 4) = -0.18620894797377495e-13, (35, 5) = 0.15620856986652904e-13, (36, 1) = 0.6006419671522647e-9, (36, 2) = -0.12462389575624312e-12, (36, 3) = 0.11361356743199682e-12, (36, 4) = -0.12726495151515674e-13, (36, 5) = 0.10677598774478415e-13, (37, 1) = 0.6006023675362607e-9, (37, 2) = -0.8810655950498653e-13, (37, 3) = 0.8099330838105886e-13, (37, 4) = -0.8630695401052591e-14, (37, 5) = 0.7226801870681323e-14, (38, 1) = 0.600573214880541e-9, (38, 2) = -0.6189733945808228e-13, (38, 3) = 0.57326655035511e-13, (38, 4) = -0.5805967756973056e-14, (38, 5) = 0.48407054532921546e-14, (39, 1) = 0.600553124484651e-9, (39, 2) = -0.4320867169995718e-13, (39, 3) = 0.4029127251163079e-13, (39, 4) = -0.3872465506838792e-14, (39, 5) = 0.3206375215582321e-14, (40, 1) = 0.6005390112029089e-9, (40, 2) = -0.2996695220038621e-13, (40, 3) = 0.28121574582998626e-13, (40, 4) = -0.25591237849460054e-14, (40, 5) = 0.209770955423606e-14, (41, 1) = 0.6005289986803559e-9, (41, 2) = -0.2064290474793723e-13, (41, 3) = 0.19491142659722356e-13, (41, 4) = -0.16741140656339724e-14, (41, 5) = 0.13531621252219037e-14, (42, 1) = 0.6005222368389752e-9, (42, 2) = -0.14117764165443154e-13, (42, 3) = 0.13414149912379718e-13, (42, 4) = -0.1082750257656125e-14, (42, 5) = 0.8584929586633663e-15, (43, 1) = 0.6005174804217331e-9, (43, 2) = -0.957929439653709e-14, (43, 3) = 0.9165080154706604e-14, (43, 4) = -0.6911818646939504e-15, (43, 5) = 0.5336938482242126e-15, (44, 1) = 0.6005141951257561e-9, (44, 2) = -0.6442053073102327e-14, (44, 3) = 0.6214822347656093e-14, (44, 4) = -0.434496585228077e-15, (44, 5) = 0.32325176790302243e-15, (45, 1) = 0.6005120721121075e-9, (45, 2) = -0.42869734586359196e-14, (45, 3) = 0.4180763946784205e-14, (45, 4) = -0.26812676415042606e-15, (45, 5) = 0.18900128237865801e-15, (46, 1) = 0.6005105668724581e-9, (46, 2) = -0.2816072914340642e-14, (46, 3) = 0.27884358411499793e-14, (46, 4) = -0.16170006872295093e-15, (46, 5) = 0.10494464211119514e-15, (47, 1) = 0.600509785493646e-9, (47, 2) = -0.18188332051752465e-14, (47, 3) = 0.18424456810159008e-14, (47, 4) = -0.9467606793604442e-16, (47, 5) = 0.5354041444300982e-16, (48, 1) = 0.6005087126793133e-9, (48, 2) = -0.11474686588215403e-14, (48, 3) = 0.12047182910907297e-14, (48, 4) = -0.5327461988736406e-16, (48, 5) = 0.2307106282147785e-16, (49, 1) = 0.600508418123729e-9, (49, 2) = -0.6988785690670782e-15, (49, 3) = 0.7783805156025581e-15, (49, 4) = -0.28329701890880794e-16, (49, 5) = 0.5793762268313131e-17, (50, 1) = 0.6005081938821089e-9, (50, 2) = -0.40157878073782045e-15, (50, 3) = 0.4959413026099385e-15, (50, 4) = -0.13800512854308772e-16, (50, 5) = -0.3347165102823177e-17, (51, 1) = 0.600507827024394e-9, (51, 2) = -0.20631116994174056e-15, (51, 3) = 0.31070638002040057e-15, (51, 4) = -0.5746543952203011e-17, (51, 5) = -0.7608224243741242e-17, (52, 1) = 0.6005083212656165e-9, (52, 2) = -0.7936578041659066e-16, (52, 3) = 0.19061532464751861e-15, (52, 4) = -0.16288690031638083e-17, (52, 5) = -0.9052221678392137e-17, (53, 1) = 0.6005079165752997e-9, (53, 2) = .0, (53, 3) = 0.11590507603867799e-15, (53, 4) = .0, (53, 5) = -0.8818984363679751e-17}, datatype = float[8], order = C_order); if not type(outpoint, 'numeric') then if outpoint = "start" or outpoint = "left" then return X[1] elif outpoint = "right" then return X[53] elif outpoint = "order" then return 8 elif outpoint = "error" then return HFloat(1.67614773873791e-8) elif outpoint = "errorproc" then error "this is already the error procedure" elif outpoint = "rawdata" then return [5, 53, [g(y), diff(g(y), y), diff(diff(g(y), y), y), h(y), diff(h(y), y)], X, Y] else return ('procname')(x_bvp) end if end if; if outpoint < X[1] or X[53] < outpoint then error "solution is only defined in the range %1..%2", X[1], X[53] end if; V := array([1 = 4, 2 = 0]); if Digits <= trunc(evalhf(Digits)) then L := Vector(4, 'datatype' = 'float'[8]); yout := Vector(5, 'datatype' = 'float'[8]); evalhf(`dsolve/numeric/lagrange`(53, 5, X, Y, outpoint, var(yout), var(L), var(V))) else L := Vector(4, 'datatype' = 'sfloat'); yout := Vector(5, 'datatype' = 'sfloat'); `dsolve/numeric/lagrange`(53, 5, X, Y, outpoint, yout, L, V) end if; [y = outpoint, seq('[g(y), diff(g(y), y), diff(diff(g(y), y), y), h(y), diff(h(y), y)]'[i] = yout[i], i = 1 .. 5)] end proc; if not type(outpoint, 'numeric') then if outpoint = "start" or outpoint = "left" then return X[1] elif outpoint = "method" then return "bvp" elif outpoint = "right" then return X[53] elif outpoint = "order" then return 8 elif outpoint = "error" then return HFloat(1.67614773873791e-8) elif outpoint = "errorproc" then return eval(errproc) elif outpoint = "rawdata" then return [5, 53, "depnames", X, Y, YP] else error "non-numeric value" end if end if; if outpoint < X[1] or X[53] < outpoint then error "solution is only defined in the range %1..%2", X[1], X[53] end if; if Digits <= trunc(evalhf(Digits)) and (_EnvInFsolve <> true or _EnvDSNumericSaveDigits <= trunc(evalhf(Digits))) then V := array( 1 .. 6, [( 1 ) = (7), ( 2 ) = (0), ( 3 ) = (false), ( 4 ) = (false), ( 5 ) = (false), ( 6 ) = (false)  ] ); L := Matrix(7, 2, {(1, 1) = .0, (1, 2) = .0, (2, 1) = .0, (2, 2) = .0, (3, 1) = .0, (3, 2) = .0, (4, 1) = .0, (4, 2) = .0, (5, 1) = .0, (5, 2) = .0, (6, 1) = .0, (6, 2) = .0, (7, 1) = .0, (7, 2) = .0}, datatype = float[8], order = C_order); yout := Vector(5, {(1) = .0, (2) = .0, (3) = .0, (4) = .0, (5) = .0}, datatype = float[8]); evalhf(`dsolve/numeric/hermite`(53, 5, X, Y, YP, outpoint, var(yout), var(L), var(V))) else if _EnvInFsolve = true then Digits := _EnvDSNumericSaveDigits end if; V := array( 1 .. 6, [( 1 ) = (7), ( 2 ) = (0), ( 3 ) = (false), ( 4 ) = (false), ( 5 ) = (false), ( 6 ) = (false)  ] ); L := Matrix(7, 2, {(1, 1) = 0., (1, 2) = 0., (2, 1) = 0., (2, 2) = 0., (3, 1) = 0., (3, 2) = 0., (4, 1) = 0., (4, 2) = 0., (5, 1) = 0., (5, 2) = 0., (6, 1) = 0., (6, 2) = 0., (7, 1) = 0., (7, 2) = 0.}, order = C_order); yout := Vector(5, {(1) = 0., (2) = 0., (3) = 0., (4) = 0., (5) = 0.}); `dsolve/numeric/hermite`(53, 5, X, Y, YP, outpoint, yout, L, V) end if; [outpoint, seq(yout[i], i = 1 .. 5)] end proc, (2) = Array(1..6, {(1) = 18446884187980918118, (2) = 18446884187980918294, (3) = 18446884187980918470, (4) = 18446884187980918646, (5) = 18446884187980910678, (6) = 18446884187980910854}), (3) = [y, g(y), diff(g(y), y), diff(diff(g(y), y), y), h(y), diff(h(y), y)], (4) = 0}); solnproc := data[1]; if not type(outpoint, 'numeric') then if outpoint = "solnprocedure" then return eval(solnproc) elif member(outpoint, ["start", "left", "right", "errorproc", "rawdata", "order", "error"]) then return solnproc(y) elif outpoint = "sysvars" then return data[3] elif procname <> unknown then return ('procname')(y) else g := pointto(data[2][2]); return ('g')(y) end if end if; try res := solnproc(outpoint); res[2] catch: error  end try end proc, D(g) = proc (y) local res, data, solnproc, `D(g)`, outpoint; option `Copyright (c) 2000 by Waterloo Maple Inc. All rights reserved.`; _EnvDSNumericSaveDigits := Digits; Digits := 15; if _EnvInFsolve = true then outpoint := evalf[_EnvDSNumericSaveDigits](y) else outpoint := evalf(y) end if; data := Array(1..4, {(1) = proc (outpoint) local X, Y, YP, yout, errproc, L, V, i; option `Copyright (c) 2000 by Waterloo Maple Inc. All rights reserved.`; X := Vector(53, {(1) = .0, (2) = .36949919900944644, (3) = .739300147291354, (4) = 1.109760554943441, (5) = 1.4813092903527632, (6) = 1.854400717289444, (7) = 2.2294194781491283, (8) = 2.6065809259736024, (9) = 2.9858798923611154, (10) = 3.3671133918743896, (11) = 3.749958628987825, (12) = 4.134061614038366, (13) = 4.519100822868634, (14) = 4.904816162024675, (15) = 5.291012429357386, (16) = 5.677548255086593, (17) = 6.064324153231833, (18) = 6.451271772178415, (19) = 6.838345982808043, (20) = 7.225519334980909, (21) = 7.612775587951935, (22) = 8.000101351192901, (23) = 8.387480265034908, (24) = 8.774892734296833, (25) = 9.162320242119915, (26) = 9.54975001583413, (27) = 9.937175827823893, (28) = 10.324595778314873, (29) = 10.712009940724622, (30) = 11.099419117828488, (31) = 11.486824579226047, (32) = 11.874229393268262, (33) = 12.261639304144008, (34) = 12.649054547893757, (35) = 13.036470363974443, (36) = 13.423885415329542, (37) = 13.81129973437852, (38) = 14.19871345130963, (39) = 14.586126631356334, (40) = 14.97353926897657, (41) = 15.360951274544131, (42) = 15.74836246576973, (43) = 16.13577258408351, (44) = 16.52318140592461, (45) = 16.91058907240521, (46) = 17.29799668241655, (47) = 17.685406660632083, (48) = 18.072821632133493, (49) = 18.460241671290955, (50) = 18.847663467669946, (51) = 19.23508330750054, (52) = 19.62244752660786, (53) = 20.0}, datatype = float[8], order = C_order); Y := Matrix(53, 5, {(1, 1) = .0, (1, 2) = .0, (1, 3) = .4775993879507742, (1, 4) = 1.0, (1, 5) = -1.0046788647919327, (2, 1) = 0.25035948166186407e-1, (2, 2) = .11737960097745363, (2, 3) = .18313309807713032, (2, 4) = .6544565139197563, (2, 5) = -.8204565753435087, (3, 1) = 0.7671130004531938e-1, (3, 2) = .15245559468347794, (3, 3) = 0.257866622502241e-1, (3, 4) = .4033793646669303, (3, 5) = -.54284905169691, (4, 1) = .1330186291614795, (4, 2) = .14735793191890612, (4, 3) = -0.4250594932201111e-1, (4, 4) = .2439551371052711, (4, 5) = -.3318787408975303, (5, 1) = .18415414318579984, (5, 2) = .12658789976147164, (5, 3) = -0.6407934926095243e-1, (5, 4) = .14767183993451755, (5, 5) = -.19754422561587923, (6, 1) = .22684016724165285, (6, 2) = .10223772024754406, (6, 3) = -0.642541190775384e-1, (6, 4) = 0.9027146155353627e-1, (6, 5) = -.11728058787005342, (7, 1) = .260828001257262, (7, 2) = 0.7953916569955533e-1, (7, 3) = -0.56072302032236475e-1, (7, 4) = 0.5590160109411186e-1, (7, 5) = -0.7024341339428322e-1, (8, 1) = .28708246716220753, (8, 2) = 0.603379421090149e-1, (8, 3) = -0.4568183700123631e-1, (8, 4) = 0.3507359791282195e-1, (8, 5) = -0.4265000342236205e-1, (9, 1) = .30692793243322797, (9, 2) = 0.449345269177477e-1, (9, 3) = -0.35736728754833934e-1, (9, 4) = 0.22267582983966642e-1, (9, 5) = -0.26288107264853516e-1, (10, 1) = .3216779340769599, (10, 2) = 0.32987460372044405e-1, (10, 3) = -0.2721540596787555e-1, (10, 4) = 0.14280013218841852e-1, (10, 5) = -0.1643924121960731e-1, (11, 1) = .3324907956755065, (11, 2) = 0.2393861975262906e-1, (11, 3) = -0.20329119904601015e-1, (11, 4) = 0.9232957435481037e-2, (11, 5) = -0.10413619270888406e-1, (12, 1) = .34032685681957475, (12, 2) = 0.17206537965707504e-1, (12, 3) = -0.14962469503126172e-1, (12, 4) = 0.6008484746296935e-2, (12, 5) = -0.6668747436178208e-2, (13, 1) = .345950982825996, (13, 2) = 0.12268220016813276e-1, (13, 3) = -0.10883215741590159e-1, (13, 4) = 0.3929676044855098e-2, (13, 5) = -0.4308303644954386e-2, (14, 1) = .34995466248276785, (14, 2) = 0.8686972155428869e-2, (14, 3) = -0.7839271959166245e-2, (14, 4) = 0.25797858209504463e-2, (14, 5) = -0.28025554247415258e-2, (15, 1) = .3527850007052327, (15, 2) = 0.6114438707245076e-2, (15, 3) = -0.5600357597355628e-2, (15, 4) = 0.16983247250837619e-2, (15, 5) = -0.18326222302195356e-2, (16, 1) = .35477392665620944, (16, 2) = 0.4281283410440807e-2, (16, 3) = -0.3972670206539237e-2, (16, 4) = 0.11203129486059818e-2, (16, 5) = -0.12030431854933115e-2, (17, 1) = .3561643523000197, (17, 2) = 0.29839556152759707e-2, (17, 3) = -0.2800778530727025e-2, (17, 4) = 0.740101442453339e-3, (17, 5) = -0.7919982960398722e-3, (18, 1) = .35713198689153886, (18, 2) = 0.2071285654344953e-2, (18, 3) = -0.19639677695066815e-2, (18, 4) = 0.4894318018006638e-3, (18, 5) = -0.522463820647135e-3, (19, 1) = .3578027155526762, (19, 2) = 0.14325515384083004e-2, (19, 3) = -0.13706427525454147e-2, (19, 4) = 0.3238970032698751e-3, (19, 5) = -0.345159099453523e-3, (20, 1) = .35826600613654164, (20, 2) = 0.9875695814297975e-3, (20, 3) = -0.9525336996298883e-3, (20, 4) = 0.2144551766663054e-3, (20, 5) = -0.22825679488347692e-3, (21, 1) = .3585850108866874, (21, 2) = 0.6788186236915587e-3, (21, 3) = -0.6594779634452127e-3, (21, 4) = 0.14203957393985986e-3, (21, 5) = -0.15105374894384269e-3, (22, 1) = .3588040461982198, (22, 2) = 0.46536376123067344e-3, (22, 3) = -0.4550465847054036e-3, (22, 4) = 0.9409702306859435e-4, (22, 5) = -0.10001049122931494e-3, (23, 1) = .35895405581487905, (23, 2) = 0.3182699577065725e-3, (23, 3) = -0.31303945540986844e-3, (23, 4) = 0.6234543320626832e-4, (23, 5) = -0.6623698451545083e-4, (24, 1) = .35905655365291567, (24, 2) = 0.21720197880249816e-3, (24, 3) = -0.2147659391528201e-3, (24, 4) = 0.4131211997218378e-4, (24, 5) = -0.43878772145639645e-4, (25, 1) = .35912644084483486, (25, 2) = 0.14794036226185102e-3, (25, 3) = -0.14698548220180992e-3, (25, 4) = 0.27376881887169156e-4, (25, 5) = -0.2907235791507348e-4, (26, 1) = .35917400264255306, (26, 2) = 0.10058709635913049e-3, (26, 3) = -0.10037603350088711e-3, (26, 4) = 0.18143322518591565e-4, (26, 5) = -0.19264561510544625e-4, (27, 1) = .3592063155966067, (27, 2) = 0.68280606114036e-4, (27, 3) = -0.6841032299879773e-4, (27, 4) = 0.12024570315917842e-4, (27, 5) = -0.12766648386208112e-4, (28, 1) = .3592282345600599, (28, 2) = 0.4628171831805626e-4, (28, 3) = -0.46540046668865304e-4, (28, 4) = 0.7969597699816696e-5, (28, 5) = -0.8461019539790837e-5, (29, 1) = .35924308175505837, (29, 2) = 0.31327700595018035e-4, (29, 3) = -0.31609198077523325e-4, (29, 4) = 0.528216822039621e-5, (29, 5) = -0.5607747325983305e-5, (30, 1) = .3592531255422956, (30, 2) = 0.21178631883863118e-4, (30, 3) = -0.21435894741232355e-4, (30, 4) = 0.35010032338092466e-5, (30, 5) = -0.3716791736231297e-5, (31, 1) = .35925991164340315, (31, 2) = 0.14300621423190528e-4, (31, 3) = -0.14516581272828024e-4, (31, 4) = 0.23204527910651474e-5, (31, 5) = -0.2463529199305528e-5, (32, 1) = .35926449147035916, (32, 2) = 0.9645620558312539e-5, (32, 3) = -0.9818116217375507e-5, (32, 4) = 0.15379675636869845e-5, (32, 5) = -0.16328749098888895e-5, (33, 1) = .3592675790201219, (33, 2) = 0.6499006726600864e-5, (33, 3) = -0.66324380911056034e-5, (33, 4) = 0.10193134865350361e-5, (33, 5) = -0.10823044311367178e-5, (34, 1) = .3592696583823224, (34, 2) = 0.4374457750332709e-5, (34, 3) = -0.4475456895090449e-5, (34, 4) = 0.6755336608425454e-6, (34, 5) = -0.7173745751421138e-6, (35, 1) = .3592710573518701, (35, 2) = 0.294154082693033e-5, (35, 3) = -0.3016870125120636e-5, (35, 4) = 0.4476683128527473e-6, (35, 5) = -0.47549279193009315e-6, (36, 1) = .3592719976376865, (36, 2) = 0.19760604754838103e-5, (36, 3) = -0.20317085117193237e-5, (36, 4) = 0.2966338292760303e-6, (36, 5) = -0.3151689171167519e-6, (37, 1) = .3592726290042988, (37, 2) = 0.13261343815983235e-5, (37, 3) = -0.13670291897571055e-5, (37, 4) = 0.19652433347395044e-6, (37, 5) = -0.20890263700500245e-6, (38, 1) = .35927305250364244, (38, 2) = 0.8890080839496946e-6, (38, 3) = -0.9190261384727204e-6, (38, 4) = 0.13016904708113482e-6, (38, 5) = -0.1384666727686611e-6, (39, 1) = .35927333625042096, (39, 2) = 0.5952482675663468e-6, (39, 3) = -0.6173471705132506e-6, (39, 4) = 0.8618688759733714e-7, (39, 5) = -0.9177981643215786e-7, (40, 1) = .35927352611486774, (40, 2) = 0.3979897131562297e-6, (40, 3) = -0.414376818302952e-6, (40, 4) = 0.5703423332531646e-7, (40, 5) = -0.608344513694474e-7, (41, 1) = .35927365296033825, (41, 2) = 0.26563259155357796e-6, (41, 3) = -0.27792812347443636e-6, (41, 4) = 0.37710990156919004e-7, (41, 5) = -0.4032296461374335e-7, (42, 1) = .35927373753612546, (42, 2) = 0.17689048703324333e-6, (42, 3) = -0.18626834035523302e-6, (42, 4) = 0.24902964372027948e-7, (42, 5) = -0.26727343435165574e-7, (43, 1) = .359273793781336, (43, 2) = 0.11743711947994233e-6, (43, 3) = -0.12473897927177057e-6, (43, 4) = 0.16413415821837796e-7, (43, 5) = -0.17715756359896507e-7, (44, 1) = .3592738310534682, (44, 2) = 0.7763854236234525e-7, (44, 3) = -0.8346275729093369e-7, (44, 4) = 0.10786280613193112e-7, (44, 5) = -0.11742599496217648e-7, (45, 1) = .35927385563017794, (45, 2) = 0.5102125286453134e-7, (45, 3) = -0.5579016067522686e-7, (45, 4) = 0.7056434878747405e-8, (45, 5) = -0.7783400229664504e-8, (46, 1) = .3592738717203354, (46, 2) = 0.3323854418941362e-7, (46, 3) = -0.37248452554120235e-7, (46, 4) = 0.4584164620156798e-8, (46, 5) = -0.51591068699825456e-8, (47, 1) = .3592738821441244, (47, 2) = 0.21373764847285328e-7, (47, 3) = -0.24831487987968654e-7, (47, 4) = 0.29454502578396527e-8, (47, 5) = -0.3419625982414965e-8, (48, 1) = .3592738887901636, (48, 2) = 0.13471109606711368e-7, (48, 3) = -0.16520354865287813e-7, (48, 4) = 0.18592450644926916e-8, (48, 5) = -0.22666287842075568e-8, (49, 1) = .3592738929225644, (49, 2) = 0.8219875552199463e-8, (49, 3) = -0.10960112871784771e-7, (49, 4) = 0.11392686610785541e-8, (49, 5) = -0.15023802335308191e-8, (50, 1) = .35927389538706583, (50, 2) = 0.47421360806248574e-8, (50, 3) = -0.72419809055769776e-8, (50, 4) = 0.6620479098671892e-9, (50, 5) = -0.9958146619340783e-9, (51, 1) = .3592738967492751, (51, 2) = 0.24501148819534223e-8, (51, 3) = -0.47567546773704275e-8, (51, 4) = 0.34573551914810265e-9, (51, 5) = -0.6600518855067764e-9, (52, 1) = .35927389738723736, (52, 2) = 0.9506482919026302e-9, (52, 3) = -0.30964654338033544e-8, (52, 4) = 0.13609976475165576e-9, (52, 5) = -0.43752540756294343e-9, (53, 1) = .3592738975538295, (53, 2) = .0, (53, 3) = -0.2010431178903024e-8, (53, 4) = .0, (53, 5) = -0.29305672550117975e-9}, datatype = float[8], order = C_order); YP := Matrix(53, 5, {(1, 1) = .0, (1, 2) = .4775993879507742, (1, 3) = -1.0, (1, 4) = -1.0046788647919327, (1, 5) = .0, (2, 1) = .11737960097745363, (2, 2) = .18313309807713032, (2, 3) = -.5935786348694716, (2, 4) = -.8204565753435087, (2, 5) = .7590512696017367, (3, 1) = .15245559468347794, (3, 2) = 0.257866622502241e-1, (3, 3) = -.2819733859917131, (3, 4) = -.54284905169691, (3, 5) = .682102766187754, (4, 1) = .14735793191890612, (4, 2) = -0.4250594932201111e-1, (4, 3) = -.10615038645090877, (4, 4) = -.3318787408975303, (4, 5) = .45723811284077087, (5, 1) = .12658789976147164, (5, 2) = -0.6407934926095243e-1, (5, 3) = -0.211855575294789e-1, (5, 4) = -.19754422561587923, (5, 5) = .27742280949400916, (6, 1) = .10223772024754406, (6, 2) = -0.642541190775384e-1, (6, 3) = 0.14587670506166814e-1, (6, 4) = -.11728058787005342, (6, 5) = .16250392351641907, (7, 1) = 0.7953916569955533e-1, (7, 2) = -0.56072302032236475e-1, (7, 3) = 0.26426018758011087e-1, (7, 4) = -0.7024341339428322e-1, (7, 5) = 0.945530697759864e-1, (8, 1) = 0.603379421090149e-1, (8, 2) = -0.4568183700123631e-1, (8, 3) = 0.27572049036062037e-1, (8, 4) = -0.4265000342236205e-1, (8, 5) = 0.5541446261530368e-1, (9, 1) = 0.449345269177477e-1, (9, 2) = -0.35736728754833934e-1, (9, 3) = 0.24485482290410084e-1, (9, 4) = -0.26288107264853516e-1, (9, 5) = 0.32935122639646895e-1, (10, 1) = 0.32987460372044405e-1, (10, 2) = -0.2721540596787555e-1, (10, 3) = 0.20157371353181654e-1, (10, 4) = -0.1643924121960731e-1, (10, 5) = 0.19906429499968542e-1, (11, 1) = 0.2393861975262906e-1, (11, 2) = -0.20329119904601015e-1, (11, 3) = 0.15886405971160852e-1, (11, 4) = -0.10413619270888406e-1, (11, 5) = 0.12239225803118335e-1, (12, 1) = 0.17206537965707504e-1, (12, 2) = -0.14962469503126172e-1, (12, 3) = 0.12169295674749843e-1, (12, 4) = -0.6668747436178208e-2, (12, 5) = 0.76453656673992985e-2, (13, 1) = 0.12268220016813276e-1, (13, 2) = -0.10883215741590159e-1, (13, 3) = 0.9134567020099078e-2, (13, 4) = -0.4308303644954386e-2, (13, 5) = 0.4841911285505811e-2, (14, 1) = 0.8686972155428869e-2, (14, 2) = -0.7839271959166245e-2, (14, 3) = 0.6751280108697246e-2, (14, 4) = -0.28025554247415258e-2, (14, 5) = 0.310145374876213e-2, (15, 1) = 0.6114438707245076e-2, (15, 2) = -0.5600357597355628e-2, (15, 3) = 0.4928397275322998e-2, (15, 4) = -0.18326222302195356e-2, (15, 5) = 0.20045803067287363e-2, (16, 1) = 0.4281283410440807e-2, (16, 2) = -0.3972670206539237e-2, (16, 3) = 0.35610480609900488e-2, (16, 4) = -0.12030431854933115e-2, (16, 5) = 0.13046281142642456e-2, (17, 1) = 0.29839556152759707e-2, (17, 2) = -0.2800778530727025e-2, (17, 3) = 0.25508672905029377e-2, (17, 4) = -0.7919982960398722e-3, (17, 5) = 0.853499426344586e-3, (18, 1) = 0.2071285654344953e-2, (18, 2) = -0.19639677695066815e-2, (18, 3) = 0.18137004947130705e-2, (18, 4) = -0.522463820647135e-3, (18, 5) = 0.5605002666592092e-3, (19, 1) = 0.14325515384083004e-2, (19, 2) = -0.13706427525454147e-2, (19, 3) = 0.12812541397045714e-2, (19, 4) = -0.345159099453523e-3, (19, 5) = 0.36910117865482486e-3, (20, 1) = 0.9875695814297975e-3, (20, 2) = -0.9525336996298883e-3, (20, 3) = 0.9000053824634135e-3, (20, 4) = -0.22825679488347692e-3, (20, 5) = 0.24353818862632592e-3, (21, 1) = 0.6788186236915587e-3, (21, 2) = -0.6594779634452127e-3, (21, 3) = 0.6290512633214072e-3, (21, 4) = -0.15105374894384269e-3, (21, 5) = 0.16091129478345426e-3, (22, 1) = 0.46536376123067344e-3, (22, 2) = -0.4550465847054036e-3, (22, 3) = 0.43772988215105705e-3, (22, 4) = -0.10001049122931494e-3, (22, 5) = 0.106419493109677e-3, (23, 1) = 0.3182699577065725e-3, (23, 2) = -0.31303945540986844e-3, (23, 3) = 0.30340373549233673e-3, (23, 4) = -0.6623698451545083e-4, (23, 5) = 0.7042776186672255e-4, (24, 1) = 0.21720197880249816e-3, (24, 2) = -0.2147659391528201e-3, (24, 3) = 0.20956498522688367e-3, (24, 4) = -0.43878772145639645e-4, (24, 5) = 0.466303209397757e-4, (25, 1) = 0.14794036226185102e-3, (25, 2) = -0.14698548220180992e-3, (25, 3) = 0.14429920554889767e-3, (25, 4) = -0.2907235791507348e-4, (25, 5) = 0.30884201672285647e-4, (26, 1) = 0.10058709635913049e-3, (26, 2) = -0.10037603350088711e-3, (26, 3) = 0.9908282577931924e-4, (26, 4) = -0.19264561510544625e-4, (26, 5) = 0.20460064780651296e-4, (27, 1) = 0.68280606114036e-4, (27, 2) = -0.6841032299879773e-4, (27, 3) = 0.6786468724833311e-4, (27, 4) = -0.12766648386208112e-4, (27, 5) = 0.13556598018006937e-4, (28, 1) = 0.4628171831805626e-4, (28, 2) = -0.46540046668865304e-4, (28, 3) = 0.4637730439005856e-4, (28, 4) = -0.8461019539790837e-5, (28, 5) = 0.8983508254813186e-5, (29, 1) = 0.31327700595018035e-4, (29, 2) = -0.31609198077523325e-4, (29, 3) = 0.3162823323595945e-4, (29, 4) = -0.5607747325983305e-5, (29, 5) = 0.59535674389884314e-5, (30, 1) = 0.21178631883863118e-4, (30, 2) = -0.21435894741232355e-4, (30, 3) = 0.21529428305553337e-4, (30, 4) = -0.3716791736231297e-5, (30, 5) = 0.3945787155761316e-5, (31, 1) = 0.14300621423190528e-4, (31, 2) = -0.14516581272828024e-4, (31, 3) = 0.14630155544368391e-4, (31, 4) = -0.2463529199305528e-5, (31, 5) = 0.26152140974615044e-5, (32, 1) = 0.9645620558312539e-5, (32, 2) = -0.9818116217375507e-5, (32, 3) = 0.9926270867895736e-5, (32, 4) = -0.16328749098888895e-5, (32, 5) = 0.17333716022339152e-5, (33, 1) = 0.6499006726600864e-5, (33, 2) = -0.66324380911056034e-5, (33, 3) = 0.67250837394264775e-5, (33, 4) = -0.10823044311367178e-5, (33, 5) = 0.11488964969527993e-5, (34, 1) = 0.4374457750332709e-5, (34, 2) = -0.4475456895090449e-5, (34, 3) = 0.455023316336366e-5, (34, 4) = -0.7173745751421138e-6, (34, 5) = 0.76150457836442e-6, (35, 1) = 0.294154082693033e-5, (35, 2) = -0.3016870125120636e-5, (35, 3) = 0.3074970165963072e-5, (35, 4) = -0.47549279193009315e-6, (35, 5) = 0.5047393293053838e-6, (36, 1) = 0.19760604754838103e-5, (36, 2) = -0.20317085117193237e-5, (36, 3) = 0.20756795679808857e-5, (36, 4) = -0.3151689171167519e-6, (36, 5) = 0.3345525478298572e-6, (37, 1) = 0.13261343815983235e-5, (37, 2) = -0.13670291897571055e-5, (37, 3) = 0.13996778945256072e-5, (37, 4) = -0.20890263700500245e-6, (37, 5) = 0.22174986807780668e-6, (38, 1) = 0.8890080839496946e-6, (38, 2) = -0.9190261384727204e-6, (38, 3) = 0.9429246095875392e-6, (38, 4) = -0.1384666727686611e-6, (38, 5) = 0.14698184168101424e-6, (39, 1) = 0.5952482675663468e-6, (39, 2) = -0.6173471705132506e-6, (39, 3) = 0.6346532882843354e-6, (39, 4) = -0.9177981643215786e-7, (39, 5) = 0.9742376889869178e-7, (40, 1) = 0.3979897131562297e-6, (40, 2) = -0.414376818302952e-6, (40, 3) = 0.4268091549705229e-6, (40, 4) = -0.608344513694474e-7, (40, 5) = 0.6457536591987922e-7, (41, 1) = 0.26563259155357796e-6, (41, 2) = -0.27792812347443636e-6, (41, 3) = 0.2868092175152725e-6, (41, 4) = -0.4032296461374335e-7, (41, 5) = 0.4280252841484816e-7, (42, 1) = 0.17689048703324333e-6, (42, 2) = -0.18626834035523302e-6, (42, 3) = 0.19259150690256222e-6, (42, 4) = -0.26727343435165574e-7, (42, 5) = 0.2837086354968772e-7, (43, 1) = 0.11743711947994233e-6, (43, 2) = -0.12473897927177057e-6, (43, 3) = 0.12923686055627235e-6, (43, 4) = -0.17715756359896507e-7, (43, 5) = 0.1880512910554703e-7, (44, 1) = 0.7763854236234525e-7, (44, 2) = -0.8346275729093369e-7, (44, 3) = 0.866682023665433e-7, (44, 4) = -0.11742599496217648e-7, (44, 5) = 0.12464669703447368e-7, (45, 1) = 0.5102125286453134e-7, (45, 2) = -0.5579016067522686e-7, (45, 3) = 0.58086404367729565e-7, (45, 4) = -0.7783400229664504e-8, (45, 5) = 0.8262012076509727e-8, (46, 1) = 0.3323854418941362e-7, (46, 2) = -0.37248452554120235e-7, (46, 3) = 0.389086276915552e-7, (46, 4) = -0.51591068699825456e-8, (46, 5) = 0.5476346816410734e-8, (47, 1) = 0.21373764847285328e-7, (47, 2) = -0.24831487987968654e-7, (47, 3) = 0.26048793793539624e-7, (47, 4) = -0.3419625982414965e-8, (47, 5) = 0.36299028287716455e-8, (48, 1) = 0.13471109606711368e-7, (48, 2) = -0.16520354865287813e-7, (48, 3) = 0.17430585377694396e-7, (48, 4) = -0.22666287842075568e-8, (48, 5) = 0.2406006361941216e-8, (49, 1) = 0.8219875552199463e-8, (49, 2) = -0.10960112871784771e-7, (49, 3) = 0.11658199570066066e-7, (49, 4) = -0.15023802335308191e-8, (49, 5) = 0.15947632526233475e-8, (50, 1) = 0.47421360806248574e-8, (50, 2) = -0.72419809055769776e-8, (50, 3) = 0.7793979957178533e-8, (50, 4) = -0.9958146619340783e-9, (50, 5) = 0.10570483841765406e-8, (51, 1) = 0.24501148819534223e-8, (51, 2) = -0.47567546773704275e-8, (51, 3) = 0.5208442327531191e-8, (51, 4) = -0.6600518855067764e-9, (51, 5) = 0.7006391823634325e-9, (52, 1) = 0.9506482919026302e-9, (52, 2) = -0.30964654338033544e-8, (52, 3) = 0.34794576549329015e-8, (52, 4) = -0.43752540756294343e-9, (52, 5) = 0.4644293100293939e-9, (53, 1) = .0, (53, 2) = -0.2010431178903024e-8, (53, 3) = 0.23474601975767464e-8, (53, 4) = -0.29305672550117975e-9, (53, 5) = 0.31107709447209743e-9}, datatype = float[8], order = C_order); errproc := proc (x_bvp) local outpoint, X, Y, yout, L, V, i; option `Copyright (c) 2000 by Waterloo Maple Inc. All rights reserved.`; Digits := 15; outpoint := evalf(x_bvp); X := Vector(53, {(1) = .0, (2) = .36949919900944644, (3) = .739300147291354, (4) = 1.109760554943441, (5) = 1.4813092903527632, (6) = 1.854400717289444, (7) = 2.2294194781491283, (8) = 2.6065809259736024, (9) = 2.9858798923611154, (10) = 3.3671133918743896, (11) = 3.749958628987825, (12) = 4.134061614038366, (13) = 4.519100822868634, (14) = 4.904816162024675, (15) = 5.291012429357386, (16) = 5.677548255086593, (17) = 6.064324153231833, (18) = 6.451271772178415, (19) = 6.838345982808043, (20) = 7.225519334980909, (21) = 7.612775587951935, (22) = 8.000101351192901, (23) = 8.387480265034908, (24) = 8.774892734296833, (25) = 9.162320242119915, (26) = 9.54975001583413, (27) = 9.937175827823893, (28) = 10.324595778314873, (29) = 10.712009940724622, (30) = 11.099419117828488, (31) = 11.486824579226047, (32) = 11.874229393268262, (33) = 12.261639304144008, (34) = 12.649054547893757, (35) = 13.036470363974443, (36) = 13.423885415329542, (37) = 13.81129973437852, (38) = 14.19871345130963, (39) = 14.586126631356334, (40) = 14.97353926897657, (41) = 15.360951274544131, (42) = 15.74836246576973, (43) = 16.13577258408351, (44) = 16.52318140592461, (45) = 16.91058907240521, (46) = 17.29799668241655, (47) = 17.685406660632083, (48) = 18.072821632133493, (49) = 18.460241671290955, (50) = 18.847663467669946, (51) = 19.23508330750054, (52) = 19.62244752660786, (53) = 20.0}, datatype = float[8], order = C_order); Y := Matrix(53, 5, {(1, 1) = .0, (1, 2) = .0, (1, 3) = 0.3866026324188471e-8, (1, 4) = .0, (1, 5) = -0.167614773873791e-7, (2, 1) = 0.13129025756353337e-8, (2, 2) = 0.32899139260862605e-9, (2, 3) = -0.13933004530175537e-8, (2, 4) = -0.6864722219029181e-8, (2, 5) = 0.5762265822614816e-8, (3, 1) = 0.17531536948997038e-8, (3, 2) = -0.19870637479583883e-8, (3, 3) = 0.4430716176000332e-8, (3, 4) = 0.2506069884499365e-8, (3, 5) = -0.3270419083483023e-8, (4, 1) = 0.6295122746073642e-9, (4, 2) = -0.3024625169400298e-10, (4, 3) = 0.12003412299206427e-8, (4, 4) = 0.33647534884721813e-8, (4, 5) = -0.5895241812315728e-8, (5, 1) = 0.34939213765912637e-9, (5, 2) = 0.8458952553680481e-9, (5, 3) = -0.10693778523575973e-8, (5, 4) = 0.10786771704660264e-8, (5, 5) = -0.2203130450223577e-8, (6, 1) = 0.5656367415875083e-9, (6, 2) = 0.6215360766856136e-9, (6, 3) = -0.1108144897398893e-8, (6, 4) = 0.4209413267077535e-10, (6, 5) = -0.3388630128593954e-9, (7, 1) = 0.7854998673990449e-9, (7, 2) = 0.22441224780112193e-9, (7, 3) = -0.5684360372475958e-9, (7, 4) = -0.11511841794228689e-9, (7, 5) = 0.11797587605792422e-10, (8, 1) = 0.88238808161761e-9, (8, 2) = -0.19314356562976675e-10, (8, 3) = -0.17637443157439568e-9, (8, 4) = -0.5247041000728325e-10, (8, 5) = -0.3019406560951504e-10, (9, 1) = 0.887106106376075e-9, (9, 2) = -0.11453547140212592e-9, (9, 3) = 0.21194227230144784e-11, (9, 4) = 0.3327159479296091e-11, (9, 5) = -0.7750709431295195e-10, (10, 1) = 0.8492406199535305e-9, (10, 2) = -0.1293425716343487e-9, (10, 3) = 0.5602529822395111e-10, (10, 4) = 0.23823773476585883e-10, (10, 5) = -0.8221982101893044e-10, (11, 1) = 0.8004508148400319e-9, (11, 2) = -0.11284665783283561e-9, (11, 3) = 0.58190251116587034e-10, (11, 4) = 0.2400712883993116e-10, (11, 5) = -0.6574753774356836e-10, (12, 1) = 0.7552514704765934e-9, (12, 2) = -0.8938292310362758e-10, (12, 3) = 0.4554453968200018e-10, (12, 4) = 0.17334994859729327e-10, (12, 5) = -0.45707448056724276e-10, (13, 1) = 0.7182732793193764e-9, (13, 2) = -0.682463808634105e-10, (13, 3) = 0.32423194771716774e-10, (13, 4) = 0.1027125596677696e-10, (13, 5) = -0.2916532884469332e-10, (14, 1) = 0.68968855369093e-9, (14, 2) = -0.5173302456205981e-10, (14, 3) = 0.22715270469083298e-10, (14, 4) = 0.4910681563514555e-11, (14, 5) = -0.1743716151912573e-10, (15, 1) = 0.6681285533042898e-9, (15, 2) = -0.3951414089190393e-10, (15, 3) = 0.16440008745078285e-10, (15, 4) = 0.1448683266344109e-11, (15, 5) = -0.9775538768222743e-11, (16, 1) = 0.6519797414669998e-9, (16, 2) = -0.3058489428792559e-10, (16, 3) = 0.12607677208032737e-10, (16, 4) = -0.5226225598495448e-12, (16, 5) = -0.5037647223130452e-11, (17, 1) = 0.6398510794802389e-9, (17, 2) = -0.23985943167404547e-10, (17, 3) = 0.10249745111209356e-10, (17, 4) = -0.14850062190312182e-11, (17, 5) = -0.22423786320722828e-11, (18, 1) = 0.6306755774357558e-9, (18, 2) = -0.1899470914502264e-10, (18, 3) = 0.8683059619746706e-11, (18, 4) = -0.18275265893742596e-11, (18, 5) = -0.6773170954492378e-12, (19, 1) = 0.6236749698416337e-9, (19, 2) = -0.15120765376636398e-10, (19, 3) = 0.7501489278634117e-11, (19, 4) = -0.18219720961737195e-11, (19, 5) = 0.13692085108316905e-12, (20, 1) = 0.618294470363338e-9, (20, 2) = -0.12047690697860179e-10, (20, 3) = 0.6496815752305965e-11, (20, 4) = -0.16429307590636278e-11, (20, 5) = 0.5093691719044103e-12, (21, 1) = 0.6141387400223373e-9, (21, 2) = -0.9574173539415172e-11, (21, 3) = 0.55810165216480634e-11, (21, 4) = -0.13954149124209693e-11, (21, 5) = 0.6333300911065223e-12, (22, 1) = 0.6109202497932467e-9, (22, 2) = -0.7569443039107617e-11, (22, 3) = 0.4729339090684632e-11, (22, 4) = -0.11383444112830258e-11, (22, 5) = 0.6264606853141351e-12, (23, 1) = 0.6084283431944894e-9, (23, 2) = -0.5943805286244383e-11, (23, 3) = 0.39444408504727945e-11, (23, 4) = -0.9017181605079092e-12, (23, 5) = 0.5581985719065467e-12, (24, 1) = 0.6065033489424739e-9, (24, 2) = -0.4630955737269315e-11, (24, 3) = 0.3236514872863843e-11, (24, 4) = -0.6982527460744163e-12, (24, 5) = 0.4678823651669094e-12, (25, 1) = 0.6050210733820329e-9, (25, 2) = -0.35781764203448403e-11, (25, 3) = 0.26138771941320803e-11, (25, 4) = -0.5309090832420165e-12, (25, 5) = 0.3764800359575368e-12, (26, 1) = 0.6038858267717868e-9, (26, 2) = -0.2741331392070887e-11, (26, 3) = 0.20796781770707094e-11, (26, 4) = -0.39757645182655093e-12, (26, 5) = 0.2940583859413841e-12, (27, 1) = 0.6030210980541715e-9, (27, 2) = -0.20825072445886545e-11, (27, 3) = 0.16317765138197636e-11, (27, 4) = -0.29387600140744016e-12, (27, 5) = 0.22446056987534783e-12, (28, 1) = 0.602366507315935e-9, (28, 2) = -0.15689535482355322e-11, (28, 3) = 0.12639546441107985e-11, (28, 4) = -0.2147572752927611e-12, (28, 5) = 0.16817536949999937e-12, (29, 1) = 0.6018737921800229e-9, (29, 2) = -0.11725661141799706e-11, (29, 3) = 0.9674636342320036e-12, (29, 4) = -0.1553432318895776e-12, (29, 5) = 0.12404900790691362e-12, (30, 1) = 0.6015063704048585e-9, (30, 2) = -0.8695376158915292e-12, (30, 3) = 0.7324148568385822e-12, (30, 4) = -0.1113238575094845e-12, (30, 5) = 0.9026895354670936e-13, (31, 1) = 0.6012331209290493e-9, (31, 2) = -0.6400093751522437e-12, (31, 3) = 0.5488361009783428e-12, (31, 4) = -0.7909105794375417e-13, (31, 5) = 0.6489946257359858e-13, (32, 1) = 0.6010313839882353e-9, (32, 2) = -0.4676806250468874e-12, (32, 3) = 0.4073720297213764e-12, (32, 4) = -0.55734177140719424e-13, (32, 5) = 0.4614829988665113e-13, (33, 1) = 0.6008832372860927e-9, (33, 2) = -0.3393789746519389e-12, (33, 3) = 0.2996819733134866e-12, (33, 4) = -0.3896864283666617e-13, (33, 5) = 0.3247816968852583e-13, (34, 1) = 0.6007760467225628e-9, (34, 2) = -0.2446180181459965e-12, (34, 3) = 0.2186108601623798e-12, (34, 4) = -0.27039356922795098e-13, (34, 5) = 0.22633049567982487e-13, (35, 1) = 0.6006982405504626e-9, (35, 2) = -0.1751622449083394e-12, (35, 3) = 0.15820162860551416e-12, (35, 4) = -0.18620894797377495e-13, (35, 5) = 0.15620856986652904e-13, (36, 1) = 0.6006419671522647e-9, (36, 2) = -0.12462389575624312e-12, (36, 3) = 0.11361356743199682e-12, (36, 4) = -0.12726495151515674e-13, (36, 5) = 0.10677598774478415e-13, (37, 1) = 0.6006023675362607e-9, (37, 2) = -0.8810655950498653e-13, (37, 3) = 0.8099330838105886e-13, (37, 4) = -0.8630695401052591e-14, (37, 5) = 0.7226801870681323e-14, (38, 1) = 0.600573214880541e-9, (38, 2) = -0.6189733945808228e-13, (38, 3) = 0.57326655035511e-13, (38, 4) = -0.5805967756973056e-14, (38, 5) = 0.48407054532921546e-14, (39, 1) = 0.600553124484651e-9, (39, 2) = -0.4320867169995718e-13, (39, 3) = 0.4029127251163079e-13, (39, 4) = -0.3872465506838792e-14, (39, 5) = 0.3206375215582321e-14, (40, 1) = 0.6005390112029089e-9, (40, 2) = -0.2996695220038621e-13, (40, 3) = 0.28121574582998626e-13, (40, 4) = -0.25591237849460054e-14, (40, 5) = 0.209770955423606e-14, (41, 1) = 0.6005289986803559e-9, (41, 2) = -0.2064290474793723e-13, (41, 3) = 0.19491142659722356e-13, (41, 4) = -0.16741140656339724e-14, (41, 5) = 0.13531621252219037e-14, (42, 1) = 0.6005222368389752e-9, (42, 2) = -0.14117764165443154e-13, (42, 3) = 0.13414149912379718e-13, (42, 4) = -0.1082750257656125e-14, (42, 5) = 0.8584929586633663e-15, (43, 1) = 0.6005174804217331e-9, (43, 2) = -0.957929439653709e-14, (43, 3) = 0.9165080154706604e-14, (43, 4) = -0.6911818646939504e-15, (43, 5) = 0.5336938482242126e-15, (44, 1) = 0.6005141951257561e-9, (44, 2) = -0.6442053073102327e-14, (44, 3) = 0.6214822347656093e-14, (44, 4) = -0.434496585228077e-15, (44, 5) = 0.32325176790302243e-15, (45, 1) = 0.6005120721121075e-9, (45, 2) = -0.42869734586359196e-14, (45, 3) = 0.4180763946784205e-14, (45, 4) = -0.26812676415042606e-15, (45, 5) = 0.18900128237865801e-15, (46, 1) = 0.6005105668724581e-9, (46, 2) = -0.2816072914340642e-14, (46, 3) = 0.27884358411499793e-14, (46, 4) = -0.16170006872295093e-15, (46, 5) = 0.10494464211119514e-15, (47, 1) = 0.600509785493646e-9, (47, 2) = -0.18188332051752465e-14, (47, 3) = 0.18424456810159008e-14, (47, 4) = -0.9467606793604442e-16, (47, 5) = 0.5354041444300982e-16, (48, 1) = 0.6005087126793133e-9, (48, 2) = -0.11474686588215403e-14, (48, 3) = 0.12047182910907297e-14, (48, 4) = -0.5327461988736406e-16, (48, 5) = 0.2307106282147785e-16, (49, 1) = 0.600508418123729e-9, (49, 2) = -0.6988785690670782e-15, (49, 3) = 0.7783805156025581e-15, (49, 4) = -0.28329701890880794e-16, (49, 5) = 0.5793762268313131e-17, (50, 1) = 0.6005081938821089e-9, (50, 2) = -0.40157878073782045e-15, (50, 3) = 0.4959413026099385e-15, (50, 4) = -0.13800512854308772e-16, (50, 5) = -0.3347165102823177e-17, (51, 1) = 0.600507827024394e-9, (51, 2) = -0.20631116994174056e-15, (51, 3) = 0.31070638002040057e-15, (51, 4) = -0.5746543952203011e-17, (51, 5) = -0.7608224243741242e-17, (52, 1) = 0.6005083212656165e-9, (52, 2) = -0.7936578041659066e-16, (52, 3) = 0.19061532464751861e-15, (52, 4) = -0.16288690031638083e-17, (52, 5) = -0.9052221678392137e-17, (53, 1) = 0.6005079165752997e-9, (53, 2) = .0, (53, 3) = 0.11590507603867799e-15, (53, 4) = .0, (53, 5) = -0.8818984363679751e-17}, datatype = float[8], order = C_order); if not type(outpoint, 'numeric') then if outpoint = "start" or outpoint = "left" then return X[1] elif outpoint = "right" then return X[53] elif outpoint = "order" then return 8 elif outpoint = "error" then return HFloat(1.67614773873791e-8) elif outpoint = "errorproc" then error "this is already the error procedure" elif outpoint = "rawdata" then return [5, 53, [g(y), diff(g(y), y), diff(diff(g(y), y), y), h(y), diff(h(y), y)], X, Y] else return ('procname')(x_bvp) end if end if; if outpoint < X[1] or X[53] < outpoint then error "solution is only defined in the range %1..%2", X[1], X[53] end if; V := array([1 = 4, 2 = 0]); if Digits <= trunc(evalhf(Digits)) then L := Vector(4, 'datatype' = 'float'[8]); yout := Vector(5, 'datatype' = 'float'[8]); evalhf(`dsolve/numeric/lagrange`(53, 5, X, Y, outpoint, var(yout), var(L), var(V))) else L := Vector(4, 'datatype' = 'sfloat'); yout := Vector(5, 'datatype' = 'sfloat'); `dsolve/numeric/lagrange`(53, 5, X, Y, outpoint, yout, L, V) end if; [y = outpoint, seq('[g(y), diff(g(y), y), diff(diff(g(y), y), y), h(y), diff(h(y), y)]'[i] = yout[i], i = 1 .. 5)] end proc; if not type(outpoint, 'numeric') then if outpoint = "start" or outpoint = "left" then return X[1] elif outpoint = "method" then return "bvp" elif outpoint = "right" then return X[53] elif outpoint = "order" then return 8 elif outpoint = "error" then return HFloat(1.67614773873791e-8) elif outpoint = "errorproc" then return eval(errproc) elif outpoint = "rawdata" then return [5, 53, "depnames", X, Y, YP] else error "non-numeric value" end if end if; if outpoint < X[1] or X[53] < outpoint then error "solution is only defined in the range %1..%2", X[1], X[53] end if; if Digits <= trunc(evalhf(Digits)) and (_EnvInFsolve <> true or _EnvDSNumericSaveDigits <= trunc(evalhf(Digits))) then V := array( 1 .. 6, [( 1 ) = (7), ( 2 ) = (0), ( 3 ) = (false), ( 4 ) = (false), ( 5 ) = (false), ( 6 ) = (false)  ] ); L := Matrix(7, 2, {(1, 1) = .0, (1, 2) = .0, (2, 1) = .0, (2, 2) = .0, (3, 1) = .0, (3, 2) = .0, (4, 1) = .0, (4, 2) = .0, (5, 1) = .0, (5, 2) = .0, (6, 1) = .0, (6, 2) = .0, (7, 1) = .0, (7, 2) = .0}, datatype = float[8], order = C_order); yout := Vector(5, {(1) = .0, (2) = .0, (3) = .0, (4) = .0, (5) = .0}, datatype = float[8]); evalhf(`dsolve/numeric/hermite`(53, 5, X, Y, YP, outpoint, var(yout), var(L), var(V))) else if _EnvInFsolve = true then Digits := _EnvDSNumericSaveDigits end if; V := array( 1 .. 6, [( 1 ) = (7), ( 2 ) = (0), ( 3 ) = (false), ( 4 ) = (false), ( 5 ) = (false), ( 6 ) = (false)  ] ); L := Matrix(7, 2, {(1, 1) = 0., (1, 2) = 0., (2, 1) = 0., (2, 2) = 0., (3, 1) = 0., (3, 2) = 0., (4, 1) = 0., (4, 2) = 0., (5, 1) = 0., (5, 2) = 0., (6, 1) = 0., (6, 2) = 0., (7, 1) = 0., (7, 2) = 0.}, order = C_order); yout := Vector(5, {(1) = 0., (2) = 0., (3) = 0., (4) = 0., (5) = 0.}); `dsolve/numeric/hermite`(53, 5, X, Y, YP, outpoint, yout, L, V) end if; [outpoint, seq(yout[i], i = 1 .. 5)] end proc, (2) = Array(1..6, {(1) = 18446884187980918118, (2) = 18446884187980918294, (3) = 18446884187980918470, (4) = 18446884187980918646, (5) = 18446884187980910678, (6) = 18446884187980910854}), (3) = [y, g(y), diff(g(y), y), diff(diff(g(y), y), y), h(y), diff(h(y), y)], (4) = 0}); solnproc := data[1]; if not type(outpoint, 'numeric') then if outpoint = "solnprocedure" then return eval(solnproc) elif member(outpoint, ["start", "left", "right", "errorproc", "rawdata", "order", "error"]) then return solnproc(y) elif outpoint = "sysvars" then return data[3] elif procname <> unknown then return ('procname')(y) else `D(g)` := pointto(data[2][3]); return ('`D(g)`')(y) end if end if; try res := solnproc(outpoint); res[3] catch: error  end try end proc, (D@@2)(g) = proc (y) local res, data, solnproc, `\`@@\`(D,2)(g)`, outpoint; option `Copyright (c) 2000 by Waterloo Maple Inc. All rights reserved.`; _EnvDSNumericSaveDigits := Digits; Digits := 15; if _EnvInFsolve = true then outpoint := evalf[_EnvDSNumericSaveDigits](y) else outpoint := evalf(y) end if; data := Array(1..4, {(1) = proc (outpoint) local X, Y, YP, yout, errproc, L, V, i; option `Copyright (c) 2000 by Waterloo Maple Inc. All rights reserved.`; X := Vector(53, {(1) = .0, (2) = .36949919900944644, (3) = .739300147291354, (4) = 1.109760554943441, (5) = 1.4813092903527632, (6) = 1.854400717289444, (7) = 2.2294194781491283, (8) = 2.6065809259736024, (9) = 2.9858798923611154, (10) = 3.3671133918743896, (11) = 3.749958628987825, (12) = 4.134061614038366, (13) = 4.519100822868634, (14) = 4.904816162024675, (15) = 5.291012429357386, (16) = 5.677548255086593, (17) = 6.064324153231833, (18) = 6.451271772178415, (19) = 6.838345982808043, (20) = 7.225519334980909, (21) = 7.612775587951935, (22) = 8.000101351192901, (23) = 8.387480265034908, (24) = 8.774892734296833, (25) = 9.162320242119915, (26) = 9.54975001583413, (27) = 9.937175827823893, (28) = 10.324595778314873, (29) = 10.712009940724622, (30) = 11.099419117828488, (31) = 11.486824579226047, (32) = 11.874229393268262, (33) = 12.261639304144008, (34) = 12.649054547893757, (35) = 13.036470363974443, (36) = 13.423885415329542, (37) = 13.81129973437852, (38) = 14.19871345130963, (39) = 14.586126631356334, (40) = 14.97353926897657, (41) = 15.360951274544131, (42) = 15.74836246576973, (43) = 16.13577258408351, (44) = 16.52318140592461, (45) = 16.91058907240521, (46) = 17.29799668241655, (47) = 17.685406660632083, (48) = 18.072821632133493, (49) = 18.460241671290955, (50) = 18.847663467669946, (51) = 19.23508330750054, (52) = 19.62244752660786, (53) = 20.0}, datatype = float[8], order = C_order); Y := Matrix(53, 5, {(1, 1) = .0, (1, 2) = .0, (1, 3) = .4775993879507742, (1, 4) = 1.0, (1, 5) = -1.0046788647919327, (2, 1) = 0.25035948166186407e-1, (2, 2) = .11737960097745363, (2, 3) = .18313309807713032, (2, 4) = .6544565139197563, (2, 5) = -.8204565753435087, (3, 1) = 0.7671130004531938e-1, (3, 2) = .15245559468347794, (3, 3) = 0.257866622502241e-1, (3, 4) = .4033793646669303, (3, 5) = -.54284905169691, (4, 1) = .1330186291614795, (4, 2) = .14735793191890612, (4, 3) = -0.4250594932201111e-1, (4, 4) = .2439551371052711, (4, 5) = -.3318787408975303, (5, 1) = .18415414318579984, (5, 2) = .12658789976147164, (5, 3) = -0.6407934926095243e-1, (5, 4) = .14767183993451755, (5, 5) = -.19754422561587923, (6, 1) = .22684016724165285, (6, 2) = .10223772024754406, (6, 3) = -0.642541190775384e-1, (6, 4) = 0.9027146155353627e-1, (6, 5) = -.11728058787005342, (7, 1) = .260828001257262, (7, 2) = 0.7953916569955533e-1, (7, 3) = -0.56072302032236475e-1, (7, 4) = 0.5590160109411186e-1, (7, 5) = -0.7024341339428322e-1, (8, 1) = .28708246716220753, (8, 2) = 0.603379421090149e-1, (8, 3) = -0.4568183700123631e-1, (8, 4) = 0.3507359791282195e-1, (8, 5) = -0.4265000342236205e-1, (9, 1) = .30692793243322797, (9, 2) = 0.449345269177477e-1, (9, 3) = -0.35736728754833934e-1, (9, 4) = 0.22267582983966642e-1, (9, 5) = -0.26288107264853516e-1, (10, 1) = .3216779340769599, (10, 2) = 0.32987460372044405e-1, (10, 3) = -0.2721540596787555e-1, (10, 4) = 0.14280013218841852e-1, (10, 5) = -0.1643924121960731e-1, (11, 1) = .3324907956755065, (11, 2) = 0.2393861975262906e-1, (11, 3) = -0.20329119904601015e-1, (11, 4) = 0.9232957435481037e-2, (11, 5) = -0.10413619270888406e-1, (12, 1) = .34032685681957475, (12, 2) = 0.17206537965707504e-1, (12, 3) = -0.14962469503126172e-1, (12, 4) = 0.6008484746296935e-2, (12, 5) = -0.6668747436178208e-2, (13, 1) = .345950982825996, (13, 2) = 0.12268220016813276e-1, (13, 3) = -0.10883215741590159e-1, (13, 4) = 0.3929676044855098e-2, (13, 5) = -0.4308303644954386e-2, (14, 1) = .34995466248276785, (14, 2) = 0.8686972155428869e-2, (14, 3) = -0.7839271959166245e-2, (14, 4) = 0.25797858209504463e-2, (14, 5) = -0.28025554247415258e-2, (15, 1) = .3527850007052327, (15, 2) = 0.6114438707245076e-2, (15, 3) = -0.5600357597355628e-2, (15, 4) = 0.16983247250837619e-2, (15, 5) = -0.18326222302195356e-2, (16, 1) = .35477392665620944, (16, 2) = 0.4281283410440807e-2, (16, 3) = -0.3972670206539237e-2, (16, 4) = 0.11203129486059818e-2, (16, 5) = -0.12030431854933115e-2, (17, 1) = .3561643523000197, (17, 2) = 0.29839556152759707e-2, (17, 3) = -0.2800778530727025e-2, (17, 4) = 0.740101442453339e-3, (17, 5) = -0.7919982960398722e-3, (18, 1) = .35713198689153886, (18, 2) = 0.2071285654344953e-2, (18, 3) = -0.19639677695066815e-2, (18, 4) = 0.4894318018006638e-3, (18, 5) = -0.522463820647135e-3, (19, 1) = .3578027155526762, (19, 2) = 0.14325515384083004e-2, (19, 3) = -0.13706427525454147e-2, (19, 4) = 0.3238970032698751e-3, (19, 5) = -0.345159099453523e-3, (20, 1) = .35826600613654164, (20, 2) = 0.9875695814297975e-3, (20, 3) = -0.9525336996298883e-3, (20, 4) = 0.2144551766663054e-3, (20, 5) = -0.22825679488347692e-3, (21, 1) = .3585850108866874, (21, 2) = 0.6788186236915587e-3, (21, 3) = -0.6594779634452127e-3, (21, 4) = 0.14203957393985986e-3, (21, 5) = -0.15105374894384269e-3, (22, 1) = .3588040461982198, (22, 2) = 0.46536376123067344e-3, (22, 3) = -0.4550465847054036e-3, (22, 4) = 0.9409702306859435e-4, (22, 5) = -0.10001049122931494e-3, (23, 1) = .35895405581487905, (23, 2) = 0.3182699577065725e-3, (23, 3) = -0.31303945540986844e-3, (23, 4) = 0.6234543320626832e-4, (23, 5) = -0.6623698451545083e-4, (24, 1) = .35905655365291567, (24, 2) = 0.21720197880249816e-3, (24, 3) = -0.2147659391528201e-3, (24, 4) = 0.4131211997218378e-4, (24, 5) = -0.43878772145639645e-4, (25, 1) = .35912644084483486, (25, 2) = 0.14794036226185102e-3, (25, 3) = -0.14698548220180992e-3, (25, 4) = 0.27376881887169156e-4, (25, 5) = -0.2907235791507348e-4, (26, 1) = .35917400264255306, (26, 2) = 0.10058709635913049e-3, (26, 3) = -0.10037603350088711e-3, (26, 4) = 0.18143322518591565e-4, (26, 5) = -0.19264561510544625e-4, (27, 1) = .3592063155966067, (27, 2) = 0.68280606114036e-4, (27, 3) = -0.6841032299879773e-4, (27, 4) = 0.12024570315917842e-4, (27, 5) = -0.12766648386208112e-4, (28, 1) = .3592282345600599, (28, 2) = 0.4628171831805626e-4, (28, 3) = -0.46540046668865304e-4, (28, 4) = 0.7969597699816696e-5, (28, 5) = -0.8461019539790837e-5, (29, 1) = .35924308175505837, (29, 2) = 0.31327700595018035e-4, (29, 3) = -0.31609198077523325e-4, (29, 4) = 0.528216822039621e-5, (29, 5) = -0.5607747325983305e-5, (30, 1) = .3592531255422956, (30, 2) = 0.21178631883863118e-4, (30, 3) = -0.21435894741232355e-4, (30, 4) = 0.35010032338092466e-5, (30, 5) = -0.3716791736231297e-5, (31, 1) = .35925991164340315, (31, 2) = 0.14300621423190528e-4, (31, 3) = -0.14516581272828024e-4, (31, 4) = 0.23204527910651474e-5, (31, 5) = -0.2463529199305528e-5, (32, 1) = .35926449147035916, (32, 2) = 0.9645620558312539e-5, (32, 3) = -0.9818116217375507e-5, (32, 4) = 0.15379675636869845e-5, (32, 5) = -0.16328749098888895e-5, (33, 1) = .3592675790201219, (33, 2) = 0.6499006726600864e-5, (33, 3) = -0.66324380911056034e-5, (33, 4) = 0.10193134865350361e-5, (33, 5) = -0.10823044311367178e-5, (34, 1) = .3592696583823224, (34, 2) = 0.4374457750332709e-5, (34, 3) = -0.4475456895090449e-5, (34, 4) = 0.6755336608425454e-6, (34, 5) = -0.7173745751421138e-6, (35, 1) = .3592710573518701, (35, 2) = 0.294154082693033e-5, (35, 3) = -0.3016870125120636e-5, (35, 4) = 0.4476683128527473e-6, (35, 5) = -0.47549279193009315e-6, (36, 1) = .3592719976376865, (36, 2) = 0.19760604754838103e-5, (36, 3) = -0.20317085117193237e-5, (36, 4) = 0.2966338292760303e-6, (36, 5) = -0.3151689171167519e-6, (37, 1) = .3592726290042988, (37, 2) = 0.13261343815983235e-5, (37, 3) = -0.13670291897571055e-5, (37, 4) = 0.19652433347395044e-6, (37, 5) = -0.20890263700500245e-6, (38, 1) = .35927305250364244, (38, 2) = 0.8890080839496946e-6, (38, 3) = -0.9190261384727204e-6, (38, 4) = 0.13016904708113482e-6, (38, 5) = -0.1384666727686611e-6, (39, 1) = .35927333625042096, (39, 2) = 0.5952482675663468e-6, (39, 3) = -0.6173471705132506e-6, (39, 4) = 0.8618688759733714e-7, (39, 5) = -0.9177981643215786e-7, (40, 1) = .35927352611486774, (40, 2) = 0.3979897131562297e-6, (40, 3) = -0.414376818302952e-6, (40, 4) = 0.5703423332531646e-7, (40, 5) = -0.608344513694474e-7, (41, 1) = .35927365296033825, (41, 2) = 0.26563259155357796e-6, (41, 3) = -0.27792812347443636e-6, (41, 4) = 0.37710990156919004e-7, (41, 5) = -0.4032296461374335e-7, (42, 1) = .35927373753612546, (42, 2) = 0.17689048703324333e-6, (42, 3) = -0.18626834035523302e-6, (42, 4) = 0.24902964372027948e-7, (42, 5) = -0.26727343435165574e-7, (43, 1) = .359273793781336, (43, 2) = 0.11743711947994233e-6, (43, 3) = -0.12473897927177057e-6, (43, 4) = 0.16413415821837796e-7, (43, 5) = -0.17715756359896507e-7, (44, 1) = .3592738310534682, (44, 2) = 0.7763854236234525e-7, (44, 3) = -0.8346275729093369e-7, (44, 4) = 0.10786280613193112e-7, (44, 5) = -0.11742599496217648e-7, (45, 1) = .35927385563017794, (45, 2) = 0.5102125286453134e-7, (45, 3) = -0.5579016067522686e-7, (45, 4) = 0.7056434878747405e-8, (45, 5) = -0.7783400229664504e-8, (46, 1) = .3592738717203354, (46, 2) = 0.3323854418941362e-7, (46, 3) = -0.37248452554120235e-7, (46, 4) = 0.4584164620156798e-8, (46, 5) = -0.51591068699825456e-8, (47, 1) = .3592738821441244, (47, 2) = 0.21373764847285328e-7, (47, 3) = -0.24831487987968654e-7, (47, 4) = 0.29454502578396527e-8, (47, 5) = -0.3419625982414965e-8, (48, 1) = .3592738887901636, (48, 2) = 0.13471109606711368e-7, (48, 3) = -0.16520354865287813e-7, (48, 4) = 0.18592450644926916e-8, (48, 5) = -0.22666287842075568e-8, (49, 1) = .3592738929225644, (49, 2) = 0.8219875552199463e-8, (49, 3) = -0.10960112871784771e-7, (49, 4) = 0.11392686610785541e-8, (49, 5) = -0.15023802335308191e-8, (50, 1) = .35927389538706583, (50, 2) = 0.47421360806248574e-8, (50, 3) = -0.72419809055769776e-8, (50, 4) = 0.6620479098671892e-9, (50, 5) = -0.9958146619340783e-9, (51, 1) = .3592738967492751, (51, 2) = 0.24501148819534223e-8, (51, 3) = -0.47567546773704275e-8, (51, 4) = 0.34573551914810265e-9, (51, 5) = -0.6600518855067764e-9, (52, 1) = .35927389738723736, (52, 2) = 0.9506482919026302e-9, (52, 3) = -0.30964654338033544e-8, (52, 4) = 0.13609976475165576e-9, (52, 5) = -0.43752540756294343e-9, (53, 1) = .3592738975538295, (53, 2) = .0, (53, 3) = -0.2010431178903024e-8, (53, 4) = .0, (53, 5) = -0.29305672550117975e-9}, datatype = float[8], order = C_order); YP := Matrix(53, 5, {(1, 1) = .0, (1, 2) = .4775993879507742, (1, 3) = -1.0, (1, 4) = -1.0046788647919327, (1, 5) = .0, (2, 1) = .11737960097745363, (2, 2) = .18313309807713032, (2, 3) = -.5935786348694716, (2, 4) = -.8204565753435087, (2, 5) = .7590512696017367, (3, 1) = .15245559468347794, (3, 2) = 0.257866622502241e-1, (3, 3) = -.2819733859917131, (3, 4) = -.54284905169691, (3, 5) = .682102766187754, (4, 1) = .14735793191890612, (4, 2) = -0.4250594932201111e-1, (4, 3) = -.10615038645090877, (4, 4) = -.3318787408975303, (4, 5) = .45723811284077087, (5, 1) = .12658789976147164, (5, 2) = -0.6407934926095243e-1, (5, 3) = -0.211855575294789e-1, (5, 4) = -.19754422561587923, (5, 5) = .27742280949400916, (6, 1) = .10223772024754406, (6, 2) = -0.642541190775384e-1, (6, 3) = 0.14587670506166814e-1, (6, 4) = -.11728058787005342, (6, 5) = .16250392351641907, (7, 1) = 0.7953916569955533e-1, (7, 2) = -0.56072302032236475e-1, (7, 3) = 0.26426018758011087e-1, (7, 4) = -0.7024341339428322e-1, (7, 5) = 0.945530697759864e-1, (8, 1) = 0.603379421090149e-1, (8, 2) = -0.4568183700123631e-1, (8, 3) = 0.27572049036062037e-1, (8, 4) = -0.4265000342236205e-1, (8, 5) = 0.5541446261530368e-1, (9, 1) = 0.449345269177477e-1, (9, 2) = -0.35736728754833934e-1, (9, 3) = 0.24485482290410084e-1, (9, 4) = -0.26288107264853516e-1, (9, 5) = 0.32935122639646895e-1, (10, 1) = 0.32987460372044405e-1, (10, 2) = -0.2721540596787555e-1, (10, 3) = 0.20157371353181654e-1, (10, 4) = -0.1643924121960731e-1, (10, 5) = 0.19906429499968542e-1, (11, 1) = 0.2393861975262906e-1, (11, 2) = -0.20329119904601015e-1, (11, 3) = 0.15886405971160852e-1, (11, 4) = -0.10413619270888406e-1, (11, 5) = 0.12239225803118335e-1, (12, 1) = 0.17206537965707504e-1, (12, 2) = -0.14962469503126172e-1, (12, 3) = 0.12169295674749843e-1, (12, 4) = -0.6668747436178208e-2, (12, 5) = 0.76453656673992985e-2, (13, 1) = 0.12268220016813276e-1, (13, 2) = -0.10883215741590159e-1, (13, 3) = 0.9134567020099078e-2, (13, 4) = -0.4308303644954386e-2, (13, 5) = 0.4841911285505811e-2, (14, 1) = 0.8686972155428869e-2, (14, 2) = -0.7839271959166245e-2, (14, 3) = 0.6751280108697246e-2, (14, 4) = -0.28025554247415258e-2, (14, 5) = 0.310145374876213e-2, (15, 1) = 0.6114438707245076e-2, (15, 2) = -0.5600357597355628e-2, (15, 3) = 0.4928397275322998e-2, (15, 4) = -0.18326222302195356e-2, (15, 5) = 0.20045803067287363e-2, (16, 1) = 0.4281283410440807e-2, (16, 2) = -0.3972670206539237e-2, (16, 3) = 0.35610480609900488e-2, (16, 4) = -0.12030431854933115e-2, (16, 5) = 0.13046281142642456e-2, (17, 1) = 0.29839556152759707e-2, (17, 2) = -0.2800778530727025e-2, (17, 3) = 0.25508672905029377e-2, (17, 4) = -0.7919982960398722e-3, (17, 5) = 0.853499426344586e-3, (18, 1) = 0.2071285654344953e-2, (18, 2) = -0.19639677695066815e-2, (18, 3) = 0.18137004947130705e-2, (18, 4) = -0.522463820647135e-3, (18, 5) = 0.5605002666592092e-3, (19, 1) = 0.14325515384083004e-2, (19, 2) = -0.13706427525454147e-2, (19, 3) = 0.12812541397045714e-2, (19, 4) = -0.345159099453523e-3, (19, 5) = 0.36910117865482486e-3, (20, 1) = 0.9875695814297975e-3, (20, 2) = -0.9525336996298883e-3, (20, 3) = 0.9000053824634135e-3, (20, 4) = -0.22825679488347692e-3, (20, 5) = 0.24353818862632592e-3, (21, 1) = 0.6788186236915587e-3, (21, 2) = -0.6594779634452127e-3, (21, 3) = 0.6290512633214072e-3, (21, 4) = -0.15105374894384269e-3, (21, 5) = 0.16091129478345426e-3, (22, 1) = 0.46536376123067344e-3, (22, 2) = -0.4550465847054036e-3, (22, 3) = 0.43772988215105705e-3, (22, 4) = -0.10001049122931494e-3, (22, 5) = 0.106419493109677e-3, (23, 1) = 0.3182699577065725e-3, (23, 2) = -0.31303945540986844e-3, (23, 3) = 0.30340373549233673e-3, (23, 4) = -0.6623698451545083e-4, (23, 5) = 0.7042776186672255e-4, (24, 1) = 0.21720197880249816e-3, (24, 2) = -0.2147659391528201e-3, (24, 3) = 0.20956498522688367e-3, (24, 4) = -0.43878772145639645e-4, (24, 5) = 0.466303209397757e-4, (25, 1) = 0.14794036226185102e-3, (25, 2) = -0.14698548220180992e-3, (25, 3) = 0.14429920554889767e-3, (25, 4) = -0.2907235791507348e-4, (25, 5) = 0.30884201672285647e-4, (26, 1) = 0.10058709635913049e-3, (26, 2) = -0.10037603350088711e-3, (26, 3) = 0.9908282577931924e-4, (26, 4) = -0.19264561510544625e-4, (26, 5) = 0.20460064780651296e-4, (27, 1) = 0.68280606114036e-4, (27, 2) = -0.6841032299879773e-4, (27, 3) = 0.6786468724833311e-4, (27, 4) = -0.12766648386208112e-4, (27, 5) = 0.13556598018006937e-4, (28, 1) = 0.4628171831805626e-4, (28, 2) = -0.46540046668865304e-4, (28, 3) = 0.4637730439005856e-4, (28, 4) = -0.8461019539790837e-5, (28, 5) = 0.8983508254813186e-5, (29, 1) = 0.31327700595018035e-4, (29, 2) = -0.31609198077523325e-4, (29, 3) = 0.3162823323595945e-4, (29, 4) = -0.5607747325983305e-5, (29, 5) = 0.59535674389884314e-5, (30, 1) = 0.21178631883863118e-4, (30, 2) = -0.21435894741232355e-4, (30, 3) = 0.21529428305553337e-4, (30, 4) = -0.3716791736231297e-5, (30, 5) = 0.3945787155761316e-5, (31, 1) = 0.14300621423190528e-4, (31, 2) = -0.14516581272828024e-4, (31, 3) = 0.14630155544368391e-4, (31, 4) = -0.2463529199305528e-5, (31, 5) = 0.26152140974615044e-5, (32, 1) = 0.9645620558312539e-5, (32, 2) = -0.9818116217375507e-5, (32, 3) = 0.9926270867895736e-5, (32, 4) = -0.16328749098888895e-5, (32, 5) = 0.17333716022339152e-5, (33, 1) = 0.6499006726600864e-5, (33, 2) = -0.66324380911056034e-5, (33, 3) = 0.67250837394264775e-5, (33, 4) = -0.10823044311367178e-5, (33, 5) = 0.11488964969527993e-5, (34, 1) = 0.4374457750332709e-5, (34, 2) = -0.4475456895090449e-5, (34, 3) = 0.455023316336366e-5, (34, 4) = -0.7173745751421138e-6, (34, 5) = 0.76150457836442e-6, (35, 1) = 0.294154082693033e-5, (35, 2) = -0.3016870125120636e-5, (35, 3) = 0.3074970165963072e-5, (35, 4) = -0.47549279193009315e-6, (35, 5) = 0.5047393293053838e-6, (36, 1) = 0.19760604754838103e-5, (36, 2) = -0.20317085117193237e-5, (36, 3) = 0.20756795679808857e-5, (36, 4) = -0.3151689171167519e-6, (36, 5) = 0.3345525478298572e-6, (37, 1) = 0.13261343815983235e-5, (37, 2) = -0.13670291897571055e-5, (37, 3) = 0.13996778945256072e-5, (37, 4) = -0.20890263700500245e-6, (37, 5) = 0.22174986807780668e-6, (38, 1) = 0.8890080839496946e-6, (38, 2) = -0.9190261384727204e-6, (38, 3) = 0.9429246095875392e-6, (38, 4) = -0.1384666727686611e-6, (38, 5) = 0.14698184168101424e-6, (39, 1) = 0.5952482675663468e-6, (39, 2) = -0.6173471705132506e-6, (39, 3) = 0.6346532882843354e-6, (39, 4) = -0.9177981643215786e-7, (39, 5) = 0.9742376889869178e-7, (40, 1) = 0.3979897131562297e-6, (40, 2) = -0.414376818302952e-6, (40, 3) = 0.4268091549705229e-6, (40, 4) = -0.608344513694474e-7, (40, 5) = 0.6457536591987922e-7, (41, 1) = 0.26563259155357796e-6, (41, 2) = -0.27792812347443636e-6, (41, 3) = 0.2868092175152725e-6, (41, 4) = -0.4032296461374335e-7, (41, 5) = 0.4280252841484816e-7, (42, 1) = 0.17689048703324333e-6, (42, 2) = -0.18626834035523302e-6, (42, 3) = 0.19259150690256222e-6, (42, 4) = -0.26727343435165574e-7, (42, 5) = 0.2837086354968772e-7, (43, 1) = 0.11743711947994233e-6, (43, 2) = -0.12473897927177057e-6, (43, 3) = 0.12923686055627235e-6, (43, 4) = -0.17715756359896507e-7, (43, 5) = 0.1880512910554703e-7, (44, 1) = 0.7763854236234525e-7, (44, 2) = -0.8346275729093369e-7, (44, 3) = 0.866682023665433e-7, (44, 4) = -0.11742599496217648e-7, (44, 5) = 0.12464669703447368e-7, (45, 1) = 0.5102125286453134e-7, (45, 2) = -0.5579016067522686e-7, (45, 3) = 0.58086404367729565e-7, (45, 4) = -0.7783400229664504e-8, (45, 5) = 0.8262012076509727e-8, (46, 1) = 0.3323854418941362e-7, (46, 2) = -0.37248452554120235e-7, (46, 3) = 0.389086276915552e-7, (46, 4) = -0.51591068699825456e-8, (46, 5) = 0.5476346816410734e-8, (47, 1) = 0.21373764847285328e-7, (47, 2) = -0.24831487987968654e-7, (47, 3) = 0.26048793793539624e-7, (47, 4) = -0.3419625982414965e-8, (47, 5) = 0.36299028287716455e-8, (48, 1) = 0.13471109606711368e-7, (48, 2) = -0.16520354865287813e-7, (48, 3) = 0.17430585377694396e-7, (48, 4) = -0.22666287842075568e-8, (48, 5) = 0.2406006361941216e-8, (49, 1) = 0.8219875552199463e-8, (49, 2) = -0.10960112871784771e-7, (49, 3) = 0.11658199570066066e-7, (49, 4) = -0.15023802335308191e-8, (49, 5) = 0.15947632526233475e-8, (50, 1) = 0.47421360806248574e-8, (50, 2) = -0.72419809055769776e-8, (50, 3) = 0.7793979957178533e-8, (50, 4) = -0.9958146619340783e-9, (50, 5) = 0.10570483841765406e-8, (51, 1) = 0.24501148819534223e-8, (51, 2) = -0.47567546773704275e-8, (51, 3) = 0.5208442327531191e-8, (51, 4) = -0.6600518855067764e-9, (51, 5) = 0.7006391823634325e-9, (52, 1) = 0.9506482919026302e-9, (52, 2) = -0.30964654338033544e-8, (52, 3) = 0.34794576549329015e-8, (52, 4) = -0.43752540756294343e-9, (52, 5) = 0.4644293100293939e-9, (53, 1) = .0, (53, 2) = -0.2010431178903024e-8, (53, 3) = 0.23474601975767464e-8, (53, 4) = -0.29305672550117975e-9, (53, 5) = 0.31107709447209743e-9}, datatype = float[8], order = C_order); errproc := proc (x_bvp) local outpoint, X, Y, yout, L, V, i; option `Copyright (c) 2000 by Waterloo Maple Inc. All rights reserved.`; Digits := 15; outpoint := evalf(x_bvp); X := Vector(53, {(1) = .0, (2) = .36949919900944644, (3) = .739300147291354, (4) = 1.109760554943441, (5) = 1.4813092903527632, (6) = 1.854400717289444, (7) = 2.2294194781491283, (8) = 2.6065809259736024, (9) = 2.9858798923611154, (10) = 3.3671133918743896, (11) = 3.749958628987825, (12) = 4.134061614038366, (13) = 4.519100822868634, (14) = 4.904816162024675, (15) = 5.291012429357386, (16) = 5.677548255086593, (17) = 6.064324153231833, (18) = 6.451271772178415, (19) = 6.838345982808043, (20) = 7.225519334980909, (21) = 7.612775587951935, (22) = 8.000101351192901, (23) = 8.387480265034908, (24) = 8.774892734296833, (25) = 9.162320242119915, (26) = 9.54975001583413, (27) = 9.937175827823893, (28) = 10.324595778314873, (29) = 10.712009940724622, (30) = 11.099419117828488, (31) = 11.486824579226047, (32) = 11.874229393268262, (33) = 12.261639304144008, (34) = 12.649054547893757, (35) = 13.036470363974443, (36) = 13.423885415329542, (37) = 13.81129973437852, (38) = 14.19871345130963, (39) = 14.586126631356334, (40) = 14.97353926897657, (41) = 15.360951274544131, (42) = 15.74836246576973, (43) = 16.13577258408351, (44) = 16.52318140592461, (45) = 16.91058907240521, (46) = 17.29799668241655, (47) = 17.685406660632083, (48) = 18.072821632133493, (49) = 18.460241671290955, (50) = 18.847663467669946, (51) = 19.23508330750054, (52) = 19.62244752660786, (53) = 20.0}, datatype = float[8], order = C_order); Y := Matrix(53, 5, {(1, 1) = .0, (1, 2) = .0, (1, 3) = 0.3866026324188471e-8, (1, 4) = .0, (1, 5) = -0.167614773873791e-7, (2, 1) = 0.13129025756353337e-8, (2, 2) = 0.32899139260862605e-9, (2, 3) = -0.13933004530175537e-8, (2, 4) = -0.6864722219029181e-8, (2, 5) = 0.5762265822614816e-8, (3, 1) = 0.17531536948997038e-8, (3, 2) = -0.19870637479583883e-8, (3, 3) = 0.4430716176000332e-8, (3, 4) = 0.2506069884499365e-8, (3, 5) = -0.3270419083483023e-8, (4, 1) = 0.6295122746073642e-9, (4, 2) = -0.3024625169400298e-10, (4, 3) = 0.12003412299206427e-8, (4, 4) = 0.33647534884721813e-8, (4, 5) = -0.5895241812315728e-8, (5, 1) = 0.34939213765912637e-9, (5, 2) = 0.8458952553680481e-9, (5, 3) = -0.10693778523575973e-8, (5, 4) = 0.10786771704660264e-8, (5, 5) = -0.2203130450223577e-8, (6, 1) = 0.5656367415875083e-9, (6, 2) = 0.6215360766856136e-9, (6, 3) = -0.1108144897398893e-8, (6, 4) = 0.4209413267077535e-10, (6, 5) = -0.3388630128593954e-9, (7, 1) = 0.7854998673990449e-9, (7, 2) = 0.22441224780112193e-9, (7, 3) = -0.5684360372475958e-9, (7, 4) = -0.11511841794228689e-9, (7, 5) = 0.11797587605792422e-10, (8, 1) = 0.88238808161761e-9, (8, 2) = -0.19314356562976675e-10, (8, 3) = -0.17637443157439568e-9, (8, 4) = -0.5247041000728325e-10, (8, 5) = -0.3019406560951504e-10, (9, 1) = 0.887106106376075e-9, (9, 2) = -0.11453547140212592e-9, (9, 3) = 0.21194227230144784e-11, (9, 4) = 0.3327159479296091e-11, (9, 5) = -0.7750709431295195e-10, (10, 1) = 0.8492406199535305e-9, (10, 2) = -0.1293425716343487e-9, (10, 3) = 0.5602529822395111e-10, (10, 4) = 0.23823773476585883e-10, (10, 5) = -0.8221982101893044e-10, (11, 1) = 0.8004508148400319e-9, (11, 2) = -0.11284665783283561e-9, (11, 3) = 0.58190251116587034e-10, (11, 4) = 0.2400712883993116e-10, (11, 5) = -0.6574753774356836e-10, (12, 1) = 0.7552514704765934e-9, (12, 2) = -0.8938292310362758e-10, (12, 3) = 0.4554453968200018e-10, (12, 4) = 0.17334994859729327e-10, (12, 5) = -0.45707448056724276e-10, (13, 1) = 0.7182732793193764e-9, (13, 2) = -0.682463808634105e-10, (13, 3) = 0.32423194771716774e-10, (13, 4) = 0.1027125596677696e-10, (13, 5) = -0.2916532884469332e-10, (14, 1) = 0.68968855369093e-9, (14, 2) = -0.5173302456205981e-10, (14, 3) = 0.22715270469083298e-10, (14, 4) = 0.4910681563514555e-11, (14, 5) = -0.1743716151912573e-10, (15, 1) = 0.6681285533042898e-9, (15, 2) = -0.3951414089190393e-10, (15, 3) = 0.16440008745078285e-10, (15, 4) = 0.1448683266344109e-11, (15, 5) = -0.9775538768222743e-11, (16, 1) = 0.6519797414669998e-9, (16, 2) = -0.3058489428792559e-10, (16, 3) = 0.12607677208032737e-10, (16, 4) = -0.5226225598495448e-12, (16, 5) = -0.5037647223130452e-11, (17, 1) = 0.6398510794802389e-9, (17, 2) = -0.23985943167404547e-10, (17, 3) = 0.10249745111209356e-10, (17, 4) = -0.14850062190312182e-11, (17, 5) = -0.22423786320722828e-11, (18, 1) = 0.6306755774357558e-9, (18, 2) = -0.1899470914502264e-10, (18, 3) = 0.8683059619746706e-11, (18, 4) = -0.18275265893742596e-11, (18, 5) = -0.6773170954492378e-12, (19, 1) = 0.6236749698416337e-9, (19, 2) = -0.15120765376636398e-10, (19, 3) = 0.7501489278634117e-11, (19, 4) = -0.18219720961737195e-11, (19, 5) = 0.13692085108316905e-12, (20, 1) = 0.618294470363338e-9, (20, 2) = -0.12047690697860179e-10, (20, 3) = 0.6496815752305965e-11, (20, 4) = -0.16429307590636278e-11, (20, 5) = 0.5093691719044103e-12, (21, 1) = 0.6141387400223373e-9, (21, 2) = -0.9574173539415172e-11, (21, 3) = 0.55810165216480634e-11, (21, 4) = -0.13954149124209693e-11, (21, 5) = 0.6333300911065223e-12, (22, 1) = 0.6109202497932467e-9, (22, 2) = -0.7569443039107617e-11, (22, 3) = 0.4729339090684632e-11, (22, 4) = -0.11383444112830258e-11, (22, 5) = 0.6264606853141351e-12, (23, 1) = 0.6084283431944894e-9, (23, 2) = -0.5943805286244383e-11, (23, 3) = 0.39444408504727945e-11, (23, 4) = -0.9017181605079092e-12, (23, 5) = 0.5581985719065467e-12, (24, 1) = 0.6065033489424739e-9, (24, 2) = -0.4630955737269315e-11, (24, 3) = 0.3236514872863843e-11, (24, 4) = -0.6982527460744163e-12, (24, 5) = 0.4678823651669094e-12, (25, 1) = 0.6050210733820329e-9, (25, 2) = -0.35781764203448403e-11, (25, 3) = 0.26138771941320803e-11, (25, 4) = -0.5309090832420165e-12, (25, 5) = 0.3764800359575368e-12, (26, 1) = 0.6038858267717868e-9, (26, 2) = -0.2741331392070887e-11, (26, 3) = 0.20796781770707094e-11, (26, 4) = -0.39757645182655093e-12, (26, 5) = 0.2940583859413841e-12, (27, 1) = 0.6030210980541715e-9, (27, 2) = -0.20825072445886545e-11, (27, 3) = 0.16317765138197636e-11, (27, 4) = -0.29387600140744016e-12, (27, 5) = 0.22446056987534783e-12, (28, 1) = 0.602366507315935e-9, (28, 2) = -0.15689535482355322e-11, (28, 3) = 0.12639546441107985e-11, (28, 4) = -0.2147572752927611e-12, (28, 5) = 0.16817536949999937e-12, (29, 1) = 0.6018737921800229e-9, (29, 2) = -0.11725661141799706e-11, (29, 3) = 0.9674636342320036e-12, (29, 4) = -0.1553432318895776e-12, (29, 5) = 0.12404900790691362e-12, (30, 1) = 0.6015063704048585e-9, (30, 2) = -0.8695376158915292e-12, (30, 3) = 0.7324148568385822e-12, (30, 4) = -0.1113238575094845e-12, (30, 5) = 0.9026895354670936e-13, (31, 1) = 0.6012331209290493e-9, (31, 2) = -0.6400093751522437e-12, (31, 3) = 0.5488361009783428e-12, (31, 4) = -0.7909105794375417e-13, (31, 5) = 0.6489946257359858e-13, (32, 1) = 0.6010313839882353e-9, (32, 2) = -0.4676806250468874e-12, (32, 3) = 0.4073720297213764e-12, (32, 4) = -0.55734177140719424e-13, (32, 5) = 0.4614829988665113e-13, (33, 1) = 0.6008832372860927e-9, (33, 2) = -0.3393789746519389e-12, (33, 3) = 0.2996819733134866e-12, (33, 4) = -0.3896864283666617e-13, (33, 5) = 0.3247816968852583e-13, (34, 1) = 0.6007760467225628e-9, (34, 2) = -0.2446180181459965e-12, (34, 3) = 0.2186108601623798e-12, (34, 4) = -0.27039356922795098e-13, (34, 5) = 0.22633049567982487e-13, (35, 1) = 0.6006982405504626e-9, (35, 2) = -0.1751622449083394e-12, (35, 3) = 0.15820162860551416e-12, (35, 4) = -0.18620894797377495e-13, (35, 5) = 0.15620856986652904e-13, (36, 1) = 0.6006419671522647e-9, (36, 2) = -0.12462389575624312e-12, (36, 3) = 0.11361356743199682e-12, (36, 4) = -0.12726495151515674e-13, (36, 5) = 0.10677598774478415e-13, (37, 1) = 0.6006023675362607e-9, (37, 2) = -0.8810655950498653e-13, (37, 3) = 0.8099330838105886e-13, (37, 4) = -0.8630695401052591e-14, (37, 5) = 0.7226801870681323e-14, (38, 1) = 0.600573214880541e-9, (38, 2) = -0.6189733945808228e-13, (38, 3) = 0.57326655035511e-13, (38, 4) = -0.5805967756973056e-14, (38, 5) = 0.48407054532921546e-14, (39, 1) = 0.600553124484651e-9, (39, 2) = -0.4320867169995718e-13, (39, 3) = 0.4029127251163079e-13, (39, 4) = -0.3872465506838792e-14, (39, 5) = 0.3206375215582321e-14, (40, 1) = 0.6005390112029089e-9, (40, 2) = -0.2996695220038621e-13, (40, 3) = 0.28121574582998626e-13, (40, 4) = -0.25591237849460054e-14, (40, 5) = 0.209770955423606e-14, (41, 1) = 0.6005289986803559e-9, (41, 2) = -0.2064290474793723e-13, (41, 3) = 0.19491142659722356e-13, (41, 4) = -0.16741140656339724e-14, (41, 5) = 0.13531621252219037e-14, (42, 1) = 0.6005222368389752e-9, (42, 2) = -0.14117764165443154e-13, (42, 3) = 0.13414149912379718e-13, (42, 4) = -0.1082750257656125e-14, (42, 5) = 0.8584929586633663e-15, (43, 1) = 0.6005174804217331e-9, (43, 2) = -0.957929439653709e-14, (43, 3) = 0.9165080154706604e-14, (43, 4) = -0.6911818646939504e-15, (43, 5) = 0.5336938482242126e-15, (44, 1) = 0.6005141951257561e-9, (44, 2) = -0.6442053073102327e-14, (44, 3) = 0.6214822347656093e-14, (44, 4) = -0.434496585228077e-15, (44, 5) = 0.32325176790302243e-15, (45, 1) = 0.6005120721121075e-9, (45, 2) = -0.42869734586359196e-14, (45, 3) = 0.4180763946784205e-14, (45, 4) = -0.26812676415042606e-15, (45, 5) = 0.18900128237865801e-15, (46, 1) = 0.6005105668724581e-9, (46, 2) = -0.2816072914340642e-14, (46, 3) = 0.27884358411499793e-14, (46, 4) = -0.16170006872295093e-15, (46, 5) = 0.10494464211119514e-15, (47, 1) = 0.600509785493646e-9, (47, 2) = -0.18188332051752465e-14, (47, 3) = 0.18424456810159008e-14, (47, 4) = -0.9467606793604442e-16, (47, 5) = 0.5354041444300982e-16, (48, 1) = 0.6005087126793133e-9, (48, 2) = -0.11474686588215403e-14, (48, 3) = 0.12047182910907297e-14, (48, 4) = -0.5327461988736406e-16, (48, 5) = 0.2307106282147785e-16, (49, 1) = 0.600508418123729e-9, (49, 2) = -0.6988785690670782e-15, (49, 3) = 0.7783805156025581e-15, (49, 4) = -0.28329701890880794e-16, (49, 5) = 0.5793762268313131e-17, (50, 1) = 0.6005081938821089e-9, (50, 2) = -0.40157878073782045e-15, (50, 3) = 0.4959413026099385e-15, (50, 4) = -0.13800512854308772e-16, (50, 5) = -0.3347165102823177e-17, (51, 1) = 0.600507827024394e-9, (51, 2) = -0.20631116994174056e-15, (51, 3) = 0.31070638002040057e-15, (51, 4) = -0.5746543952203011e-17, (51, 5) = -0.7608224243741242e-17, (52, 1) = 0.6005083212656165e-9, (52, 2) = -0.7936578041659066e-16, (52, 3) = 0.19061532464751861e-15, (52, 4) = -0.16288690031638083e-17, (52, 5) = -0.9052221678392137e-17, (53, 1) = 0.6005079165752997e-9, (53, 2) = .0, (53, 3) = 0.11590507603867799e-15, (53, 4) = .0, (53, 5) = -0.8818984363679751e-17}, datatype = float[8], order = C_order); if not type(outpoint, 'numeric') then if outpoint = "start" or outpoint = "left" then return X[1] elif outpoint = "right" then return X[53] elif outpoint = "order" then return 8 elif outpoint = "error" then return HFloat(1.67614773873791e-8) elif outpoint = "errorproc" then error "this is already the error procedure" elif outpoint = "rawdata" then return [5, 53, [g(y), diff(g(y), y), diff(diff(g(y), y), y), h(y), diff(h(y), y)], X, Y] else return ('procname')(x_bvp) end if end if; if outpoint < X[1] or X[53] < outpoint then error "solution is only defined in the range %1..%2", X[1], X[53] end if; V := array([1 = 4, 2 = 0]); if Digits <= trunc(evalhf(Digits)) then L := Vector(4, 'datatype' = 'float'[8]); yout := Vector(5, 'datatype' = 'float'[8]); evalhf(`dsolve/numeric/lagrange`(53, 5, X, Y, outpoint, var(yout), var(L), var(V))) else L := Vector(4, 'datatype' = 'sfloat'); yout := Vector(5, 'datatype' = 'sfloat'); `dsolve/numeric/lagrange`(53, 5, X, Y, outpoint, yout, L, V) end if; [y = outpoint, seq('[g(y), diff(g(y), y), diff(diff(g(y), y), y), h(y), diff(h(y), y)]'[i] = yout[i], i = 1 .. 5)] end proc; if not type(outpoint, 'numeric') then if outpoint = "start" or outpoint = "left" then return X[1] elif outpoint = "method" then return "bvp" elif outpoint = "right" then return X[53] elif outpoint = "order" then return 8 elif outpoint = "error" then return HFloat(1.67614773873791e-8) elif outpoint = "errorproc" then return eval(errproc) elif outpoint = "rawdata" then return [5, 53, "depnames", X, Y, YP] else error "non-numeric value" end if end if; if outpoint < X[1] or X[53] < outpoint then error "solution is only defined in the range %1..%2", X[1], X[53] end if; if Digits <= trunc(evalhf(Digits)) and (_EnvInFsolve <> true or _EnvDSNumericSaveDigits <= trunc(evalhf(Digits))) then V := array( 1 .. 6, [( 1 ) = (7), ( 2 ) = (0), ( 3 ) = (false), ( 4 ) = (false), ( 5 ) = (false), ( 6 ) = (false)  ] ); L := Matrix(7, 2, {(1, 1) = .0, (1, 2) = .0, (2, 1) = .0, (2, 2) = .0, (3, 1) = .0, (3, 2) = .0, (4, 1) = .0, (4, 2) = .0, (5, 1) = .0, (5, 2) = .0, (6, 1) = .0, (6, 2) = .0, (7, 1) = .0, (7, 2) = .0}, datatype = float[8], order = C_order); yout := Vector(5, {(1) = .0, (2) = .0, (3) = .0, (4) = .0, (5) = .0}, datatype = float[8]); evalhf(`dsolve/numeric/hermite`(53, 5, X, Y, YP, outpoint, var(yout), var(L), var(V))) else if _EnvInFsolve = true then Digits := _EnvDSNumericSaveDigits end if; V := array( 1 .. 6, [( 1 ) = (7), ( 2 ) = (0), ( 3 ) = (false), ( 4 ) = (false), ( 5 ) = (false), ( 6 ) = (false)  ] ); L := Matrix(7, 2, {(1, 1) = 0., (1, 2) = 0., (2, 1) = 0., (2, 2) = 0., (3, 1) = 0., (3, 2) = 0., (4, 1) = 0., (4, 2) = 0., (5, 1) = 0., (5, 2) = 0., (6, 1) = 0., (6, 2) = 0., (7, 1) = 0., (7, 2) = 0.}, order = C_order); yout := Vector(5, {(1) = 0., (2) = 0., (3) = 0., (4) = 0., (5) = 0.}); `dsolve/numeric/hermite`(53, 5, X, Y, YP, outpoint, yout, L, V) end if; [outpoint, seq(yout[i], i = 1 .. 5)] end proc, (2) = Array(1..6, {(1) = 18446884187980918118, (2) = 18446884187980918294, (3) = 18446884187980918470, (4) = 18446884187980918646, (5) = 18446884187980910678, (6) = 18446884187980910854}), (3) = [y, g(y), diff(g(y), y), diff(diff(g(y), y), y), h(y), diff(h(y), y)], (4) = 0}); solnproc := data[1]; if not type(outpoint, 'numeric') then if outpoint = "solnprocedure" then return eval(solnproc) elif member(outpoint, ["start", "left", "right", "errorproc", "rawdata", "order", "error"]) then return solnproc(y) elif outpoint = "sysvars" then return data[3] elif procname <> unknown then return ('procname')(y) else `\`@@\`(D,2)(g)` := pointto(data[2][4]); return ('`\`@@\`(D,2)(g)`')(y) end if end if; try res := solnproc(outpoint); res[4] catch: error  end try end proc, h = proc (y) local res, data, solnproc, h, outpoint; option `Copyright (c) 2000 by Waterloo Maple Inc. All rights reserved.`; _EnvDSNumericSaveDigits := Digits; Digits := 15; if _EnvInFsolve = true then outpoint := evalf[_EnvDSNumericSaveDigits](y) else outpoint := evalf(y) end if; data := Array(1..4, {(1) = proc (outpoint) local X, Y, YP, yout, errproc, L, V, i; option `Copyright (c) 2000 by Waterloo Maple Inc. All rights reserved.`; X := Vector(53, {(1) = .0, (2) = .36949919900944644, (3) = .739300147291354, (4) = 1.109760554943441, (5) = 1.4813092903527632, (6) = 1.854400717289444, (7) = 2.2294194781491283, (8) = 2.6065809259736024, (9) = 2.9858798923611154, (10) = 3.3671133918743896, (11) = 3.749958628987825, (12) = 4.134061614038366, (13) = 4.519100822868634, (14) = 4.904816162024675, (15) = 5.291012429357386, (16) = 5.677548255086593, (17) = 6.064324153231833, (18) = 6.451271772178415, (19) = 6.838345982808043, (20) = 7.225519334980909, (21) = 7.612775587951935, (22) = 8.000101351192901, (23) = 8.387480265034908, (24) = 8.774892734296833, (25) = 9.162320242119915, (26) = 9.54975001583413, (27) = 9.937175827823893, (28) = 10.324595778314873, (29) = 10.712009940724622, (30) = 11.099419117828488, (31) = 11.486824579226047, (32) = 11.874229393268262, (33) = 12.261639304144008, (34) = 12.649054547893757, (35) = 13.036470363974443, (36) = 13.423885415329542, (37) = 13.81129973437852, (38) = 14.19871345130963, (39) = 14.586126631356334, (40) = 14.97353926897657, (41) = 15.360951274544131, (42) = 15.74836246576973, (43) = 16.13577258408351, (44) = 16.52318140592461, (45) = 16.91058907240521, (46) = 17.29799668241655, (47) = 17.685406660632083, (48) = 18.072821632133493, (49) = 18.460241671290955, (50) = 18.847663467669946, (51) = 19.23508330750054, (52) = 19.62244752660786, (53) = 20.0}, datatype = float[8], order = C_order); Y := Matrix(53, 5, {(1, 1) = .0, (1, 2) = .0, (1, 3) = .4775993879507742, (1, 4) = 1.0, (1, 5) = -1.0046788647919327, (2, 1) = 0.25035948166186407e-1, (2, 2) = .11737960097745363, (2, 3) = .18313309807713032, (2, 4) = .6544565139197563, (2, 5) = -.8204565753435087, (3, 1) = 0.7671130004531938e-1, (3, 2) = .15245559468347794, (3, 3) = 0.257866622502241e-1, (3, 4) = .4033793646669303, (3, 5) = -.54284905169691, (4, 1) = .1330186291614795, (4, 2) = .14735793191890612, (4, 3) = -0.4250594932201111e-1, (4, 4) = .2439551371052711, (4, 5) = -.3318787408975303, (5, 1) = .18415414318579984, (5, 2) = .12658789976147164, (5, 3) = -0.6407934926095243e-1, (5, 4) = .14767183993451755, (5, 5) = -.19754422561587923, (6, 1) = .22684016724165285, (6, 2) = .10223772024754406, (6, 3) = -0.642541190775384e-1, (6, 4) = 0.9027146155353627e-1, (6, 5) = -.11728058787005342, (7, 1) = .260828001257262, (7, 2) = 0.7953916569955533e-1, (7, 3) = -0.56072302032236475e-1, (7, 4) = 0.5590160109411186e-1, (7, 5) = -0.7024341339428322e-1, (8, 1) = .28708246716220753, (8, 2) = 0.603379421090149e-1, (8, 3) = -0.4568183700123631e-1, (8, 4) = 0.3507359791282195e-1, (8, 5) = -0.4265000342236205e-1, (9, 1) = .30692793243322797, (9, 2) = 0.449345269177477e-1, (9, 3) = -0.35736728754833934e-1, (9, 4) = 0.22267582983966642e-1, (9, 5) = -0.26288107264853516e-1, (10, 1) = .3216779340769599, (10, 2) = 0.32987460372044405e-1, (10, 3) = -0.2721540596787555e-1, (10, 4) = 0.14280013218841852e-1, (10, 5) = -0.1643924121960731e-1, (11, 1) = .3324907956755065, (11, 2) = 0.2393861975262906e-1, (11, 3) = -0.20329119904601015e-1, (11, 4) = 0.9232957435481037e-2, (11, 5) = -0.10413619270888406e-1, (12, 1) = .34032685681957475, (12, 2) = 0.17206537965707504e-1, (12, 3) = -0.14962469503126172e-1, (12, 4) = 0.6008484746296935e-2, (12, 5) = -0.6668747436178208e-2, (13, 1) = .345950982825996, (13, 2) = 0.12268220016813276e-1, (13, 3) = -0.10883215741590159e-1, (13, 4) = 0.3929676044855098e-2, (13, 5) = -0.4308303644954386e-2, (14, 1) = .34995466248276785, (14, 2) = 0.8686972155428869e-2, (14, 3) = -0.7839271959166245e-2, (14, 4) = 0.25797858209504463e-2, (14, 5) = -0.28025554247415258e-2, (15, 1) = .3527850007052327, (15, 2) = 0.6114438707245076e-2, (15, 3) = -0.5600357597355628e-2, (15, 4) = 0.16983247250837619e-2, (15, 5) = -0.18326222302195356e-2, (16, 1) = .35477392665620944, (16, 2) = 0.4281283410440807e-2, (16, 3) = -0.3972670206539237e-2, (16, 4) = 0.11203129486059818e-2, (16, 5) = -0.12030431854933115e-2, (17, 1) = .3561643523000197, (17, 2) = 0.29839556152759707e-2, (17, 3) = -0.2800778530727025e-2, (17, 4) = 0.740101442453339e-3, (17, 5) = -0.7919982960398722e-3, (18, 1) = .35713198689153886, (18, 2) = 0.2071285654344953e-2, (18, 3) = -0.19639677695066815e-2, (18, 4) = 0.4894318018006638e-3, (18, 5) = -0.522463820647135e-3, (19, 1) = .3578027155526762, (19, 2) = 0.14325515384083004e-2, (19, 3) = -0.13706427525454147e-2, (19, 4) = 0.3238970032698751e-3, (19, 5) = -0.345159099453523e-3, (20, 1) = .35826600613654164, (20, 2) = 0.9875695814297975e-3, (20, 3) = -0.9525336996298883e-3, (20, 4) = 0.2144551766663054e-3, (20, 5) = -0.22825679488347692e-3, (21, 1) = .3585850108866874, (21, 2) = 0.6788186236915587e-3, (21, 3) = -0.6594779634452127e-3, (21, 4) = 0.14203957393985986e-3, (21, 5) = -0.15105374894384269e-3, (22, 1) = .3588040461982198, (22, 2) = 0.46536376123067344e-3, (22, 3) = -0.4550465847054036e-3, (22, 4) = 0.9409702306859435e-4, (22, 5) = -0.10001049122931494e-3, (23, 1) = .35895405581487905, (23, 2) = 0.3182699577065725e-3, (23, 3) = -0.31303945540986844e-3, (23, 4) = 0.6234543320626832e-4, (23, 5) = -0.6623698451545083e-4, (24, 1) = .35905655365291567, (24, 2) = 0.21720197880249816e-3, (24, 3) = -0.2147659391528201e-3, (24, 4) = 0.4131211997218378e-4, (24, 5) = -0.43878772145639645e-4, (25, 1) = .35912644084483486, (25, 2) = 0.14794036226185102e-3, (25, 3) = -0.14698548220180992e-3, (25, 4) = 0.27376881887169156e-4, (25, 5) = -0.2907235791507348e-4, (26, 1) = .35917400264255306, (26, 2) = 0.10058709635913049e-3, (26, 3) = -0.10037603350088711e-3, (26, 4) = 0.18143322518591565e-4, (26, 5) = -0.19264561510544625e-4, (27, 1) = .3592063155966067, (27, 2) = 0.68280606114036e-4, (27, 3) = -0.6841032299879773e-4, (27, 4) = 0.12024570315917842e-4, (27, 5) = -0.12766648386208112e-4, (28, 1) = .3592282345600599, (28, 2) = 0.4628171831805626e-4, (28, 3) = -0.46540046668865304e-4, (28, 4) = 0.7969597699816696e-5, (28, 5) = -0.8461019539790837e-5, (29, 1) = .35924308175505837, (29, 2) = 0.31327700595018035e-4, (29, 3) = -0.31609198077523325e-4, (29, 4) = 0.528216822039621e-5, (29, 5) = -0.5607747325983305e-5, (30, 1) = .3592531255422956, (30, 2) = 0.21178631883863118e-4, (30, 3) = -0.21435894741232355e-4, (30, 4) = 0.35010032338092466e-5, (30, 5) = -0.3716791736231297e-5, (31, 1) = .35925991164340315, (31, 2) = 0.14300621423190528e-4, (31, 3) = -0.14516581272828024e-4, (31, 4) = 0.23204527910651474e-5, (31, 5) = -0.2463529199305528e-5, (32, 1) = .35926449147035916, (32, 2) = 0.9645620558312539e-5, (32, 3) = -0.9818116217375507e-5, (32, 4) = 0.15379675636869845e-5, (32, 5) = -0.16328749098888895e-5, (33, 1) = .3592675790201219, (33, 2) = 0.6499006726600864e-5, (33, 3) = -0.66324380911056034e-5, (33, 4) = 0.10193134865350361e-5, (33, 5) = -0.10823044311367178e-5, (34, 1) = .3592696583823224, (34, 2) = 0.4374457750332709e-5, (34, 3) = -0.4475456895090449e-5, (34, 4) = 0.6755336608425454e-6, (34, 5) = -0.7173745751421138e-6, (35, 1) = .3592710573518701, (35, 2) = 0.294154082693033e-5, (35, 3) = -0.3016870125120636e-5, (35, 4) = 0.4476683128527473e-6, (35, 5) = -0.47549279193009315e-6, (36, 1) = .3592719976376865, (36, 2) = 0.19760604754838103e-5, (36, 3) = -0.20317085117193237e-5, (36, 4) = 0.2966338292760303e-6, (36, 5) = -0.3151689171167519e-6, (37, 1) = .3592726290042988, (37, 2) = 0.13261343815983235e-5, (37, 3) = -0.13670291897571055e-5, (37, 4) = 0.19652433347395044e-6, (37, 5) = -0.20890263700500245e-6, (38, 1) = .35927305250364244, (38, 2) = 0.8890080839496946e-6, (38, 3) = -0.9190261384727204e-6, (38, 4) = 0.13016904708113482e-6, (38, 5) = -0.1384666727686611e-6, (39, 1) = .35927333625042096, (39, 2) = 0.5952482675663468e-6, (39, 3) = -0.6173471705132506e-6, (39, 4) = 0.8618688759733714e-7, (39, 5) = -0.9177981643215786e-7, (40, 1) = .35927352611486774, (40, 2) = 0.3979897131562297e-6, (40, 3) = -0.414376818302952e-6, (40, 4) = 0.5703423332531646e-7, (40, 5) = -0.608344513694474e-7, (41, 1) = .35927365296033825, (41, 2) = 0.26563259155357796e-6, (41, 3) = -0.27792812347443636e-6, (41, 4) = 0.37710990156919004e-7, (41, 5) = -0.4032296461374335e-7, (42, 1) = .35927373753612546, (42, 2) = 0.17689048703324333e-6, (42, 3) = -0.18626834035523302e-6, (42, 4) = 0.24902964372027948e-7, (42, 5) = -0.26727343435165574e-7, (43, 1) = .359273793781336, (43, 2) = 0.11743711947994233e-6, (43, 3) = -0.12473897927177057e-6, (43, 4) = 0.16413415821837796e-7, (43, 5) = -0.17715756359896507e-7, (44, 1) = .3592738310534682, (44, 2) = 0.7763854236234525e-7, (44, 3) = -0.8346275729093369e-7, (44, 4) = 0.10786280613193112e-7, (44, 5) = -0.11742599496217648e-7, (45, 1) = .35927385563017794, (45, 2) = 0.5102125286453134e-7, (45, 3) = -0.5579016067522686e-7, (45, 4) = 0.7056434878747405e-8, (45, 5) = -0.7783400229664504e-8, (46, 1) = .3592738717203354, (46, 2) = 0.3323854418941362e-7, (46, 3) = -0.37248452554120235e-7, (46, 4) = 0.4584164620156798e-8, (46, 5) = -0.51591068699825456e-8, (47, 1) = .3592738821441244, (47, 2) = 0.21373764847285328e-7, (47, 3) = -0.24831487987968654e-7, (47, 4) = 0.29454502578396527e-8, (47, 5) = -0.3419625982414965e-8, (48, 1) = .3592738887901636, (48, 2) = 0.13471109606711368e-7, (48, 3) = -0.16520354865287813e-7, (48, 4) = 0.18592450644926916e-8, (48, 5) = -0.22666287842075568e-8, (49, 1) = .3592738929225644, (49, 2) = 0.8219875552199463e-8, (49, 3) = -0.10960112871784771e-7, (49, 4) = 0.11392686610785541e-8, (49, 5) = -0.15023802335308191e-8, (50, 1) = .35927389538706583, (50, 2) = 0.47421360806248574e-8, (50, 3) = -0.72419809055769776e-8, (50, 4) = 0.6620479098671892e-9, (50, 5) = -0.9958146619340783e-9, (51, 1) = .3592738967492751, (51, 2) = 0.24501148819534223e-8, (51, 3) = -0.47567546773704275e-8, (51, 4) = 0.34573551914810265e-9, (51, 5) = -0.6600518855067764e-9, (52, 1) = .35927389738723736, (52, 2) = 0.9506482919026302e-9, (52, 3) = -0.30964654338033544e-8, (52, 4) = 0.13609976475165576e-9, (52, 5) = -0.43752540756294343e-9, (53, 1) = .3592738975538295, (53, 2) = .0, (53, 3) = -0.2010431178903024e-8, (53, 4) = .0, (53, 5) = -0.29305672550117975e-9}, datatype = float[8], order = C_order); YP := Matrix(53, 5, {(1, 1) = .0, (1, 2) = .4775993879507742, (1, 3) = -1.0, (1, 4) = -1.0046788647919327, (1, 5) = .0, (2, 1) = .11737960097745363, (2, 2) = .18313309807713032, (2, 3) = -.5935786348694716, (2, 4) = -.8204565753435087, (2, 5) = .7590512696017367, (3, 1) = .15245559468347794, (3, 2) = 0.257866622502241e-1, (3, 3) = -.2819733859917131, (3, 4) = -.54284905169691, (3, 5) = .682102766187754, (4, 1) = .14735793191890612, (4, 2) = -0.4250594932201111e-1, (4, 3) = -.10615038645090877, (4, 4) = -.3318787408975303, (4, 5) = .45723811284077087, (5, 1) = .12658789976147164, (5, 2) = -0.6407934926095243e-1, (5, 3) = -0.211855575294789e-1, (5, 4) = -.19754422561587923, (5, 5) = .27742280949400916, (6, 1) = .10223772024754406, (6, 2) = -0.642541190775384e-1, (6, 3) = 0.14587670506166814e-1, (6, 4) = -.11728058787005342, (6, 5) = .16250392351641907, (7, 1) = 0.7953916569955533e-1, (7, 2) = -0.56072302032236475e-1, (7, 3) = 0.26426018758011087e-1, (7, 4) = -0.7024341339428322e-1, (7, 5) = 0.945530697759864e-1, (8, 1) = 0.603379421090149e-1, (8, 2) = -0.4568183700123631e-1, (8, 3) = 0.27572049036062037e-1, (8, 4) = -0.4265000342236205e-1, (8, 5) = 0.5541446261530368e-1, (9, 1) = 0.449345269177477e-1, (9, 2) = -0.35736728754833934e-1, (9, 3) = 0.24485482290410084e-1, (9, 4) = -0.26288107264853516e-1, (9, 5) = 0.32935122639646895e-1, (10, 1) = 0.32987460372044405e-1, (10, 2) = -0.2721540596787555e-1, (10, 3) = 0.20157371353181654e-1, (10, 4) = -0.1643924121960731e-1, (10, 5) = 0.19906429499968542e-1, (11, 1) = 0.2393861975262906e-1, (11, 2) = -0.20329119904601015e-1, (11, 3) = 0.15886405971160852e-1, (11, 4) = -0.10413619270888406e-1, (11, 5) = 0.12239225803118335e-1, (12, 1) = 0.17206537965707504e-1, (12, 2) = -0.14962469503126172e-1, (12, 3) = 0.12169295674749843e-1, (12, 4) = -0.6668747436178208e-2, (12, 5) = 0.76453656673992985e-2, (13, 1) = 0.12268220016813276e-1, (13, 2) = -0.10883215741590159e-1, (13, 3) = 0.9134567020099078e-2, (13, 4) = -0.4308303644954386e-2, (13, 5) = 0.4841911285505811e-2, (14, 1) = 0.8686972155428869e-2, (14, 2) = -0.7839271959166245e-2, (14, 3) = 0.6751280108697246e-2, (14, 4) = -0.28025554247415258e-2, (14, 5) = 0.310145374876213e-2, (15, 1) = 0.6114438707245076e-2, (15, 2) = -0.5600357597355628e-2, (15, 3) = 0.4928397275322998e-2, (15, 4) = -0.18326222302195356e-2, (15, 5) = 0.20045803067287363e-2, (16, 1) = 0.4281283410440807e-2, (16, 2) = -0.3972670206539237e-2, (16, 3) = 0.35610480609900488e-2, (16, 4) = -0.12030431854933115e-2, (16, 5) = 0.13046281142642456e-2, (17, 1) = 0.29839556152759707e-2, (17, 2) = -0.2800778530727025e-2, (17, 3) = 0.25508672905029377e-2, (17, 4) = -0.7919982960398722e-3, (17, 5) = 0.853499426344586e-3, (18, 1) = 0.2071285654344953e-2, (18, 2) = -0.19639677695066815e-2, (18, 3) = 0.18137004947130705e-2, (18, 4) = -0.522463820647135e-3, (18, 5) = 0.5605002666592092e-3, (19, 1) = 0.14325515384083004e-2, (19, 2) = -0.13706427525454147e-2, (19, 3) = 0.12812541397045714e-2, (19, 4) = -0.345159099453523e-3, (19, 5) = 0.36910117865482486e-3, (20, 1) = 0.9875695814297975e-3, (20, 2) = -0.9525336996298883e-3, (20, 3) = 0.9000053824634135e-3, (20, 4) = -0.22825679488347692e-3, (20, 5) = 0.24353818862632592e-3, (21, 1) = 0.6788186236915587e-3, (21, 2) = -0.6594779634452127e-3, (21, 3) = 0.6290512633214072e-3, (21, 4) = -0.15105374894384269e-3, (21, 5) = 0.16091129478345426e-3, (22, 1) = 0.46536376123067344e-3, (22, 2) = -0.4550465847054036e-3, (22, 3) = 0.43772988215105705e-3, (22, 4) = -0.10001049122931494e-3, (22, 5) = 0.106419493109677e-3, (23, 1) = 0.3182699577065725e-3, (23, 2) = -0.31303945540986844e-3, (23, 3) = 0.30340373549233673e-3, (23, 4) = -0.6623698451545083e-4, (23, 5) = 0.7042776186672255e-4, (24, 1) = 0.21720197880249816e-3, (24, 2) = -0.2147659391528201e-3, (24, 3) = 0.20956498522688367e-3, (24, 4) = -0.43878772145639645e-4, (24, 5) = 0.466303209397757e-4, (25, 1) = 0.14794036226185102e-3, (25, 2) = -0.14698548220180992e-3, (25, 3) = 0.14429920554889767e-3, (25, 4) = -0.2907235791507348e-4, (25, 5) = 0.30884201672285647e-4, (26, 1) = 0.10058709635913049e-3, (26, 2) = -0.10037603350088711e-3, (26, 3) = 0.9908282577931924e-4, (26, 4) = -0.19264561510544625e-4, (26, 5) = 0.20460064780651296e-4, (27, 1) = 0.68280606114036e-4, (27, 2) = -0.6841032299879773e-4, (27, 3) = 0.6786468724833311e-4, (27, 4) = -0.12766648386208112e-4, (27, 5) = 0.13556598018006937e-4, (28, 1) = 0.4628171831805626e-4, (28, 2) = -0.46540046668865304e-4, (28, 3) = 0.4637730439005856e-4, (28, 4) = -0.8461019539790837e-5, (28, 5) = 0.8983508254813186e-5, (29, 1) = 0.31327700595018035e-4, (29, 2) = -0.31609198077523325e-4, (29, 3) = 0.3162823323595945e-4, (29, 4) = -0.5607747325983305e-5, (29, 5) = 0.59535674389884314e-5, (30, 1) = 0.21178631883863118e-4, (30, 2) = -0.21435894741232355e-4, (30, 3) = 0.21529428305553337e-4, (30, 4) = -0.3716791736231297e-5, (30, 5) = 0.3945787155761316e-5, (31, 1) = 0.14300621423190528e-4, (31, 2) = -0.14516581272828024e-4, (31, 3) = 0.14630155544368391e-4, (31, 4) = -0.2463529199305528e-5, (31, 5) = 0.26152140974615044e-5, (32, 1) = 0.9645620558312539e-5, (32, 2) = -0.9818116217375507e-5, (32, 3) = 0.9926270867895736e-5, (32, 4) = -0.16328749098888895e-5, (32, 5) = 0.17333716022339152e-5, (33, 1) = 0.6499006726600864e-5, (33, 2) = -0.66324380911056034e-5, (33, 3) = 0.67250837394264775e-5, (33, 4) = -0.10823044311367178e-5, (33, 5) = 0.11488964969527993e-5, (34, 1) = 0.4374457750332709e-5, (34, 2) = -0.4475456895090449e-5, (34, 3) = 0.455023316336366e-5, (34, 4) = -0.7173745751421138e-6, (34, 5) = 0.76150457836442e-6, (35, 1) = 0.294154082693033e-5, (35, 2) = -0.3016870125120636e-5, (35, 3) = 0.3074970165963072e-5, (35, 4) = -0.47549279193009315e-6, (35, 5) = 0.5047393293053838e-6, (36, 1) = 0.19760604754838103e-5, (36, 2) = -0.20317085117193237e-5, (36, 3) = 0.20756795679808857e-5, (36, 4) = -0.3151689171167519e-6, (36, 5) = 0.3345525478298572e-6, (37, 1) = 0.13261343815983235e-5, (37, 2) = -0.13670291897571055e-5, (37, 3) = 0.13996778945256072e-5, (37, 4) = -0.20890263700500245e-6, (37, 5) = 0.22174986807780668e-6, (38, 1) = 0.8890080839496946e-6, (38, 2) = -0.9190261384727204e-6, (38, 3) = 0.9429246095875392e-6, (38, 4) = -0.1384666727686611e-6, (38, 5) = 0.14698184168101424e-6, (39, 1) = 0.5952482675663468e-6, (39, 2) = -0.6173471705132506e-6, (39, 3) = 0.6346532882843354e-6, (39, 4) = -0.9177981643215786e-7, (39, 5) = 0.9742376889869178e-7, (40, 1) = 0.3979897131562297e-6, (40, 2) = -0.414376818302952e-6, (40, 3) = 0.4268091549705229e-6, (40, 4) = -0.608344513694474e-7, (40, 5) = 0.6457536591987922e-7, (41, 1) = 0.26563259155357796e-6, (41, 2) = -0.27792812347443636e-6, (41, 3) = 0.2868092175152725e-6, (41, 4) = -0.4032296461374335e-7, (41, 5) = 0.4280252841484816e-7, (42, 1) = 0.17689048703324333e-6, (42, 2) = -0.18626834035523302e-6, (42, 3) = 0.19259150690256222e-6, (42, 4) = -0.26727343435165574e-7, (42, 5) = 0.2837086354968772e-7, (43, 1) = 0.11743711947994233e-6, (43, 2) = -0.12473897927177057e-6, (43, 3) = 0.12923686055627235e-6, (43, 4) = -0.17715756359896507e-7, (43, 5) = 0.1880512910554703e-7, (44, 1) = 0.7763854236234525e-7, (44, 2) = -0.8346275729093369e-7, (44, 3) = 0.866682023665433e-7, (44, 4) = -0.11742599496217648e-7, (44, 5) = 0.12464669703447368e-7, (45, 1) = 0.5102125286453134e-7, (45, 2) = -0.5579016067522686e-7, (45, 3) = 0.58086404367729565e-7, (45, 4) = -0.7783400229664504e-8, (45, 5) = 0.8262012076509727e-8, (46, 1) = 0.3323854418941362e-7, (46, 2) = -0.37248452554120235e-7, (46, 3) = 0.389086276915552e-7, (46, 4) = -0.51591068699825456e-8, (46, 5) = 0.5476346816410734e-8, (47, 1) = 0.21373764847285328e-7, (47, 2) = -0.24831487987968654e-7, (47, 3) = 0.26048793793539624e-7, (47, 4) = -0.3419625982414965e-8, (47, 5) = 0.36299028287716455e-8, (48, 1) = 0.13471109606711368e-7, (48, 2) = -0.16520354865287813e-7, (48, 3) = 0.17430585377694396e-7, (48, 4) = -0.22666287842075568e-8, (48, 5) = 0.2406006361941216e-8, (49, 1) = 0.8219875552199463e-8, (49, 2) = -0.10960112871784771e-7, (49, 3) = 0.11658199570066066e-7, (49, 4) = -0.15023802335308191e-8, (49, 5) = 0.15947632526233475e-8, (50, 1) = 0.47421360806248574e-8, (50, 2) = -0.72419809055769776e-8, (50, 3) = 0.7793979957178533e-8, (50, 4) = -0.9958146619340783e-9, (50, 5) = 0.10570483841765406e-8, (51, 1) = 0.24501148819534223e-8, (51, 2) = -0.47567546773704275e-8, (51, 3) = 0.5208442327531191e-8, (51, 4) = -0.6600518855067764e-9, (51, 5) = 0.7006391823634325e-9, (52, 1) = 0.9506482919026302e-9, (52, 2) = -0.30964654338033544e-8, (52, 3) = 0.34794576549329015e-8, (52, 4) = -0.43752540756294343e-9, (52, 5) = 0.4644293100293939e-9, (53, 1) = .0, (53, 2) = -0.2010431178903024e-8, (53, 3) = 0.23474601975767464e-8, (53, 4) = -0.29305672550117975e-9, (53, 5) = 0.31107709447209743e-9}, datatype = float[8], order = C_order); errproc := proc (x_bvp) local outpoint, X, Y, yout, L, V, i; option `Copyright (c) 2000 by Waterloo Maple Inc. All rights reserved.`; Digits := 15; outpoint := evalf(x_bvp); X := Vector(53, {(1) = .0, (2) = .36949919900944644, (3) = .739300147291354, (4) = 1.109760554943441, (5) = 1.4813092903527632, (6) = 1.854400717289444, (7) = 2.2294194781491283, (8) = 2.6065809259736024, (9) = 2.9858798923611154, (10) = 3.3671133918743896, (11) = 3.749958628987825, (12) = 4.134061614038366, (13) = 4.519100822868634, (14) = 4.904816162024675, (15) = 5.291012429357386, (16) = 5.677548255086593, (17) = 6.064324153231833, (18) = 6.451271772178415, (19) = 6.838345982808043, (20) = 7.225519334980909, (21) = 7.612775587951935, (22) = 8.000101351192901, (23) = 8.387480265034908, (24) = 8.774892734296833, (25) = 9.162320242119915, (26) = 9.54975001583413, (27) = 9.937175827823893, (28) = 10.324595778314873, (29) = 10.712009940724622, (30) = 11.099419117828488, (31) = 11.486824579226047, (32) = 11.874229393268262, (33) = 12.261639304144008, (34) = 12.649054547893757, (35) = 13.036470363974443, (36) = 13.423885415329542, (37) = 13.81129973437852, (38) = 14.19871345130963, (39) = 14.586126631356334, (40) = 14.97353926897657, (41) = 15.360951274544131, (42) = 15.74836246576973, (43) = 16.13577258408351, (44) = 16.52318140592461, (45) = 16.91058907240521, (46) = 17.29799668241655, (47) = 17.685406660632083, (48) = 18.072821632133493, (49) = 18.460241671290955, (50) = 18.847663467669946, (51) = 19.23508330750054, (52) = 19.62244752660786, (53) = 20.0}, datatype = float[8], order = C_order); Y := Matrix(53, 5, {(1, 1) = .0, (1, 2) = .0, (1, 3) = 0.3866026324188471e-8, (1, 4) = .0, (1, 5) = -0.167614773873791e-7, (2, 1) = 0.13129025756353337e-8, (2, 2) = 0.32899139260862605e-9, (2, 3) = -0.13933004530175537e-8, (2, 4) = -0.6864722219029181e-8, (2, 5) = 0.5762265822614816e-8, (3, 1) = 0.17531536948997038e-8, (3, 2) = -0.19870637479583883e-8, (3, 3) = 0.4430716176000332e-8, (3, 4) = 0.2506069884499365e-8, (3, 5) = -0.3270419083483023e-8, (4, 1) = 0.6295122746073642e-9, (4, 2) = -0.3024625169400298e-10, (4, 3) = 0.12003412299206427e-8, (4, 4) = 0.33647534884721813e-8, (4, 5) = -0.5895241812315728e-8, (5, 1) = 0.34939213765912637e-9, (5, 2) = 0.8458952553680481e-9, (5, 3) = -0.10693778523575973e-8, (5, 4) = 0.10786771704660264e-8, (5, 5) = -0.2203130450223577e-8, (6, 1) = 0.5656367415875083e-9, (6, 2) = 0.6215360766856136e-9, (6, 3) = -0.1108144897398893e-8, (6, 4) = 0.4209413267077535e-10, (6, 5) = -0.3388630128593954e-9, (7, 1) = 0.7854998673990449e-9, (7, 2) = 0.22441224780112193e-9, (7, 3) = -0.5684360372475958e-9, (7, 4) = -0.11511841794228689e-9, (7, 5) = 0.11797587605792422e-10, (8, 1) = 0.88238808161761e-9, (8, 2) = -0.19314356562976675e-10, (8, 3) = -0.17637443157439568e-9, (8, 4) = -0.5247041000728325e-10, (8, 5) = -0.3019406560951504e-10, (9, 1) = 0.887106106376075e-9, (9, 2) = -0.11453547140212592e-9, (9, 3) = 0.21194227230144784e-11, (9, 4) = 0.3327159479296091e-11, (9, 5) = -0.7750709431295195e-10, (10, 1) = 0.8492406199535305e-9, (10, 2) = -0.1293425716343487e-9, (10, 3) = 0.5602529822395111e-10, (10, 4) = 0.23823773476585883e-10, (10, 5) = -0.8221982101893044e-10, (11, 1) = 0.8004508148400319e-9, (11, 2) = -0.11284665783283561e-9, (11, 3) = 0.58190251116587034e-10, (11, 4) = 0.2400712883993116e-10, (11, 5) = -0.6574753774356836e-10, (12, 1) = 0.7552514704765934e-9, (12, 2) = -0.8938292310362758e-10, (12, 3) = 0.4554453968200018e-10, (12, 4) = 0.17334994859729327e-10, (12, 5) = -0.45707448056724276e-10, (13, 1) = 0.7182732793193764e-9, (13, 2) = -0.682463808634105e-10, (13, 3) = 0.32423194771716774e-10, (13, 4) = 0.1027125596677696e-10, (13, 5) = -0.2916532884469332e-10, (14, 1) = 0.68968855369093e-9, (14, 2) = -0.5173302456205981e-10, (14, 3) = 0.22715270469083298e-10, (14, 4) = 0.4910681563514555e-11, (14, 5) = -0.1743716151912573e-10, (15, 1) = 0.6681285533042898e-9, (15, 2) = -0.3951414089190393e-10, (15, 3) = 0.16440008745078285e-10, (15, 4) = 0.1448683266344109e-11, (15, 5) = -0.9775538768222743e-11, (16, 1) = 0.6519797414669998e-9, (16, 2) = -0.3058489428792559e-10, (16, 3) = 0.12607677208032737e-10, (16, 4) = -0.5226225598495448e-12, (16, 5) = -0.5037647223130452e-11, (17, 1) = 0.6398510794802389e-9, (17, 2) = -0.23985943167404547e-10, (17, 3) = 0.10249745111209356e-10, (17, 4) = -0.14850062190312182e-11, (17, 5) = -0.22423786320722828e-11, (18, 1) = 0.6306755774357558e-9, (18, 2) = -0.1899470914502264e-10, (18, 3) = 0.8683059619746706e-11, (18, 4) = -0.18275265893742596e-11, (18, 5) = -0.6773170954492378e-12, (19, 1) = 0.6236749698416337e-9, (19, 2) = -0.15120765376636398e-10, (19, 3) = 0.7501489278634117e-11, (19, 4) = -0.18219720961737195e-11, (19, 5) = 0.13692085108316905e-12, (20, 1) = 0.618294470363338e-9, (20, 2) = -0.12047690697860179e-10, (20, 3) = 0.6496815752305965e-11, (20, 4) = -0.16429307590636278e-11, (20, 5) = 0.5093691719044103e-12, (21, 1) = 0.6141387400223373e-9, (21, 2) = -0.9574173539415172e-11, (21, 3) = 0.55810165216480634e-11, (21, 4) = -0.13954149124209693e-11, (21, 5) = 0.6333300911065223e-12, (22, 1) = 0.6109202497932467e-9, (22, 2) = -0.7569443039107617e-11, (22, 3) = 0.4729339090684632e-11, (22, 4) = -0.11383444112830258e-11, (22, 5) = 0.6264606853141351e-12, (23, 1) = 0.6084283431944894e-9, (23, 2) = -0.5943805286244383e-11, (23, 3) = 0.39444408504727945e-11, (23, 4) = -0.9017181605079092e-12, (23, 5) = 0.5581985719065467e-12, (24, 1) = 0.6065033489424739e-9, (24, 2) = -0.4630955737269315e-11, (24, 3) = 0.3236514872863843e-11, (24, 4) = -0.6982527460744163e-12, (24, 5) = 0.4678823651669094e-12, (25, 1) = 0.6050210733820329e-9, (25, 2) = -0.35781764203448403e-11, (25, 3) = 0.26138771941320803e-11, (25, 4) = -0.5309090832420165e-12, (25, 5) = 0.3764800359575368e-12, (26, 1) = 0.6038858267717868e-9, (26, 2) = -0.2741331392070887e-11, (26, 3) = 0.20796781770707094e-11, (26, 4) = -0.39757645182655093e-12, (26, 5) = 0.2940583859413841e-12, (27, 1) = 0.6030210980541715e-9, (27, 2) = -0.20825072445886545e-11, (27, 3) = 0.16317765138197636e-11, (27, 4) = -0.29387600140744016e-12, (27, 5) = 0.22446056987534783e-12, (28, 1) = 0.602366507315935e-9, (28, 2) = -0.15689535482355322e-11, (28, 3) = 0.12639546441107985e-11, (28, 4) = -0.2147572752927611e-12, (28, 5) = 0.16817536949999937e-12, (29, 1) = 0.6018737921800229e-9, (29, 2) = -0.11725661141799706e-11, (29, 3) = 0.9674636342320036e-12, (29, 4) = -0.1553432318895776e-12, (29, 5) = 0.12404900790691362e-12, (30, 1) = 0.6015063704048585e-9, (30, 2) = -0.8695376158915292e-12, (30, 3) = 0.7324148568385822e-12, (30, 4) = -0.1113238575094845e-12, (30, 5) = 0.9026895354670936e-13, (31, 1) = 0.6012331209290493e-9, (31, 2) = -0.6400093751522437e-12, (31, 3) = 0.5488361009783428e-12, (31, 4) = -0.7909105794375417e-13, (31, 5) = 0.6489946257359858e-13, (32, 1) = 0.6010313839882353e-9, (32, 2) = -0.4676806250468874e-12, (32, 3) = 0.4073720297213764e-12, (32, 4) = -0.55734177140719424e-13, (32, 5) = 0.4614829988665113e-13, (33, 1) = 0.6008832372860927e-9, (33, 2) = -0.3393789746519389e-12, (33, 3) = 0.2996819733134866e-12, (33, 4) = -0.3896864283666617e-13, (33, 5) = 0.3247816968852583e-13, (34, 1) = 0.6007760467225628e-9, (34, 2) = -0.2446180181459965e-12, (34, 3) = 0.2186108601623798e-12, (34, 4) = -0.27039356922795098e-13, (34, 5) = 0.22633049567982487e-13, (35, 1) = 0.6006982405504626e-9, (35, 2) = -0.1751622449083394e-12, (35, 3) = 0.15820162860551416e-12, (35, 4) = -0.18620894797377495e-13, (35, 5) = 0.15620856986652904e-13, (36, 1) = 0.6006419671522647e-9, (36, 2) = -0.12462389575624312e-12, (36, 3) = 0.11361356743199682e-12, (36, 4) = -0.12726495151515674e-13, (36, 5) = 0.10677598774478415e-13, (37, 1) = 0.6006023675362607e-9, (37, 2) = -0.8810655950498653e-13, (37, 3) = 0.8099330838105886e-13, (37, 4) = -0.8630695401052591e-14, (37, 5) = 0.7226801870681323e-14, (38, 1) = 0.600573214880541e-9, (38, 2) = -0.6189733945808228e-13, (38, 3) = 0.57326655035511e-13, (38, 4) = -0.5805967756973056e-14, (38, 5) = 0.48407054532921546e-14, (39, 1) = 0.600553124484651e-9, (39, 2) = -0.4320867169995718e-13, (39, 3) = 0.4029127251163079e-13, (39, 4) = -0.3872465506838792e-14, (39, 5) = 0.3206375215582321e-14, (40, 1) = 0.6005390112029089e-9, (40, 2) = -0.2996695220038621e-13, (40, 3) = 0.28121574582998626e-13, (40, 4) = -0.25591237849460054e-14, (40, 5) = 0.209770955423606e-14, (41, 1) = 0.6005289986803559e-9, (41, 2) = -0.2064290474793723e-13, (41, 3) = 0.19491142659722356e-13, (41, 4) = -0.16741140656339724e-14, (41, 5) = 0.13531621252219037e-14, (42, 1) = 0.6005222368389752e-9, (42, 2) = -0.14117764165443154e-13, (42, 3) = 0.13414149912379718e-13, (42, 4) = -0.1082750257656125e-14, (42, 5) = 0.8584929586633663e-15, (43, 1) = 0.6005174804217331e-9, (43, 2) = -0.957929439653709e-14, (43, 3) = 0.9165080154706604e-14, (43, 4) = -0.6911818646939504e-15, (43, 5) = 0.5336938482242126e-15, (44, 1) = 0.6005141951257561e-9, (44, 2) = -0.6442053073102327e-14, (44, 3) = 0.6214822347656093e-14, (44, 4) = -0.434496585228077e-15, (44, 5) = 0.32325176790302243e-15, (45, 1) = 0.6005120721121075e-9, (45, 2) = -0.42869734586359196e-14, (45, 3) = 0.4180763946784205e-14, (45, 4) = -0.26812676415042606e-15, (45, 5) = 0.18900128237865801e-15, (46, 1) = 0.6005105668724581e-9, (46, 2) = -0.2816072914340642e-14, (46, 3) = 0.27884358411499793e-14, (46, 4) = -0.16170006872295093e-15, (46, 5) = 0.10494464211119514e-15, (47, 1) = 0.600509785493646e-9, (47, 2) = -0.18188332051752465e-14, (47, 3) = 0.18424456810159008e-14, (47, 4) = -0.9467606793604442e-16, (47, 5) = 0.5354041444300982e-16, (48, 1) = 0.6005087126793133e-9, (48, 2) = -0.11474686588215403e-14, (48, 3) = 0.12047182910907297e-14, (48, 4) = -0.5327461988736406e-16, (48, 5) = 0.2307106282147785e-16, (49, 1) = 0.600508418123729e-9, (49, 2) = -0.6988785690670782e-15, (49, 3) = 0.7783805156025581e-15, (49, 4) = -0.28329701890880794e-16, (49, 5) = 0.5793762268313131e-17, (50, 1) = 0.6005081938821089e-9, (50, 2) = -0.40157878073782045e-15, (50, 3) = 0.4959413026099385e-15, (50, 4) = -0.13800512854308772e-16, (50, 5) = -0.3347165102823177e-17, (51, 1) = 0.600507827024394e-9, (51, 2) = -0.20631116994174056e-15, (51, 3) = 0.31070638002040057e-15, (51, 4) = -0.5746543952203011e-17, (51, 5) = -0.7608224243741242e-17, (52, 1) = 0.6005083212656165e-9, (52, 2) = -0.7936578041659066e-16, (52, 3) = 0.19061532464751861e-15, (52, 4) = -0.16288690031638083e-17, (52, 5) = -0.9052221678392137e-17, (53, 1) = 0.6005079165752997e-9, (53, 2) = .0, (53, 3) = 0.11590507603867799e-15, (53, 4) = .0, (53, 5) = -0.8818984363679751e-17}, datatype = float[8], order = C_order); if not type(outpoint, 'numeric') then if outpoint = "start" or outpoint = "left" then return X[1] elif outpoint = "right" then return X[53] elif outpoint = "order" then return 8 elif outpoint = "error" then return HFloat(1.67614773873791e-8) elif outpoint = "errorproc" then error "this is already the error procedure" elif outpoint = "rawdata" then return [5, 53, [g(y), diff(g(y), y), diff(diff(g(y), y), y), h(y), diff(h(y), y)], X, Y] else return ('procname')(x_bvp) end if end if; if outpoint < X[1] or X[53] < outpoint then error "solution is only defined in the range %1..%2", X[1], X[53] end if; V := array([1 = 4, 2 = 0]); if Digits <= trunc(evalhf(Digits)) then L := Vector(4, 'datatype' = 'float'[8]); yout := Vector(5, 'datatype' = 'float'[8]); evalhf(`dsolve/numeric/lagrange`(53, 5, X, Y, outpoint, var(yout), var(L), var(V))) else L := Vector(4, 'datatype' = 'sfloat'); yout := Vector(5, 'datatype' = 'sfloat'); `dsolve/numeric/lagrange`(53, 5, X, Y, outpoint, yout, L, V) end if; [y = outpoint, seq('[g(y), diff(g(y), y), diff(diff(g(y), y), y), h(y), diff(h(y), y)]'[i] = yout[i], i = 1 .. 5)] end proc; if not type(outpoint, 'numeric') then if outpoint = "start" or outpoint = "left" then return X[1] elif outpoint = "method" then return "bvp" elif outpoint = "right" then return X[53] elif outpoint = "order" then return 8 elif outpoint = "error" then return HFloat(1.67614773873791e-8) elif outpoint = "errorproc" then return eval(errproc) elif outpoint = "rawdata" then return [5, 53, "depnames", X, Y, YP] else error "non-numeric value" end if end if; if outpoint < X[1] or X[53] < outpoint then error "solution is only defined in the range %1..%2", X[1], X[53] end if; if Digits <= trunc(evalhf(Digits)) and (_EnvInFsolve <> true or _EnvDSNumericSaveDigits <= trunc(evalhf(Digits))) then V := array( 1 .. 6, [( 1 ) = (7), ( 2 ) = (0), ( 3 ) = (false), ( 4 ) = (false), ( 5 ) = (false), ( 6 ) = (false)  ] ); L := Matrix(7, 2, {(1, 1) = .0, (1, 2) = .0, (2, 1) = .0, (2, 2) = .0, (3, 1) = .0, (3, 2) = .0, (4, 1) = .0, (4, 2) = .0, (5, 1) = .0, (5, 2) = .0, (6, 1) = .0, (6, 2) = .0, (7, 1) = .0, (7, 2) = .0}, datatype = float[8], order = C_order); yout := Vector(5, {(1) = .0, (2) = .0, (3) = .0, (4) = .0, (5) = .0}, datatype = float[8]); evalhf(`dsolve/numeric/hermite`(53, 5, X, Y, YP, outpoint, var(yout), var(L), var(V))) else if _EnvInFsolve = true then Digits := _EnvDSNumericSaveDigits end if; V := array( 1 .. 6, [( 1 ) = (7), ( 2 ) = (0), ( 3 ) = (false), ( 4 ) = (false), ( 5 ) = (false), ( 6 ) = (false)  ] ); L := Matrix(7, 2, {(1, 1) = 0., (1, 2) = 0., (2, 1) = 0., (2, 2) = 0., (3, 1) = 0., (3, 2) = 0., (4, 1) = 0., (4, 2) = 0., (5, 1) = 0., (5, 2) = 0., (6, 1) = 0., (6, 2) = 0., (7, 1) = 0., (7, 2) = 0.}, order = C_order); yout := Vector(5, {(1) = 0., (2) = 0., (3) = 0., (4) = 0., (5) = 0.}); `dsolve/numeric/hermite`(53, 5, X, Y, YP, outpoint, yout, L, V) end if; [outpoint, seq(yout[i], i = 1 .. 5)] end proc, (2) = Array(1..6, {(1) = 18446884187980918118, (2) = 18446884187980918294, (3) = 18446884187980918470, (4) = 18446884187980918646, (5) = 18446884187980910678, (6) = 18446884187980910854}), (3) = [y, g(y), diff(g(y), y), diff(diff(g(y), y), y), h(y), diff(h(y), y)], (4) = 0}); solnproc := data[1]; if not type(outpoint, 'numeric') then if outpoint = "solnprocedure" then return eval(solnproc) elif member(outpoint, ["start", "left", "right", "errorproc", "rawdata", "order", "error"]) then return solnproc(y) elif outpoint = "sysvars" then return data[3] elif procname <> unknown then return ('procname')(y) else h := pointto(data[2][5]); return ('h')(y) end if end if; try res := solnproc(outpoint); res[5] catch: error  end try end proc, D(h) = proc (y) local res, data, solnproc, `D(h)`, outpoint; option `Copyright (c) 2000 by Waterloo Maple Inc. All rights reserved.`; _EnvDSNumericSaveDigits := Digits; Digits := 15; if _EnvInFsolve = true then outpoint := evalf[_EnvDSNumericSaveDigits](y) else outpoint := evalf(y) end if; data := Array(1..4, {(1) = proc (outpoint) local X, Y, YP, yout, errproc, L, V, i; option `Copyright (c) 2000 by Waterloo Maple Inc. All rights reserved.`; X := Vector(53, {(1) = .0, (2) = .36949919900944644, (3) = .739300147291354, (4) = 1.109760554943441, (5) = 1.4813092903527632, (6) = 1.854400717289444, (7) = 2.2294194781491283, (8) = 2.6065809259736024, (9) = 2.9858798923611154, (10) = 3.3671133918743896, (11) = 3.749958628987825, (12) = 4.134061614038366, (13) = 4.519100822868634, (14) = 4.904816162024675, (15) = 5.291012429357386, (16) = 5.677548255086593, (17) = 6.064324153231833, (18) = 6.451271772178415, (19) = 6.838345982808043, (20) = 7.225519334980909, (21) = 7.612775587951935, (22) = 8.000101351192901, (23) = 8.387480265034908, (24) = 8.774892734296833, (25) = 9.162320242119915, (26) = 9.54975001583413, (27) = 9.937175827823893, (28) = 10.324595778314873, (29) = 10.712009940724622, (30) = 11.099419117828488, (31) = 11.486824579226047, (32) = 11.874229393268262, (33) = 12.261639304144008, (34) = 12.649054547893757, (35) = 13.036470363974443, (36) = 13.423885415329542, (37) = 13.81129973437852, (38) = 14.19871345130963, (39) = 14.586126631356334, (40) = 14.97353926897657, (41) = 15.360951274544131, (42) = 15.74836246576973, (43) = 16.13577258408351, (44) = 16.52318140592461, (45) = 16.91058907240521, (46) = 17.29799668241655, (47) = 17.685406660632083, (48) = 18.072821632133493, (49) = 18.460241671290955, (50) = 18.847663467669946, (51) = 19.23508330750054, (52) = 19.62244752660786, (53) = 20.0}, datatype = float[8], order = C_order); Y := Matrix(53, 5, {(1, 1) = .0, (1, 2) = .0, (1, 3) = .4775993879507742, (1, 4) = 1.0, (1, 5) = -1.0046788647919327, (2, 1) = 0.25035948166186407e-1, (2, 2) = .11737960097745363, (2, 3) = .18313309807713032, (2, 4) = .6544565139197563, (2, 5) = -.8204565753435087, (3, 1) = 0.7671130004531938e-1, (3, 2) = .15245559468347794, (3, 3) = 0.257866622502241e-1, (3, 4) = .4033793646669303, (3, 5) = -.54284905169691, (4, 1) = .1330186291614795, (4, 2) = .14735793191890612, (4, 3) = -0.4250594932201111e-1, (4, 4) = .2439551371052711, (4, 5) = -.3318787408975303, (5, 1) = .18415414318579984, (5, 2) = .12658789976147164, (5, 3) = -0.6407934926095243e-1, (5, 4) = .14767183993451755, (5, 5) = -.19754422561587923, (6, 1) = .22684016724165285, (6, 2) = .10223772024754406, (6, 3) = -0.642541190775384e-1, (6, 4) = 0.9027146155353627e-1, (6, 5) = -.11728058787005342, (7, 1) = .260828001257262, (7, 2) = 0.7953916569955533e-1, (7, 3) = -0.56072302032236475e-1, (7, 4) = 0.5590160109411186e-1, (7, 5) = -0.7024341339428322e-1, (8, 1) = .28708246716220753, (8, 2) = 0.603379421090149e-1, (8, 3) = -0.4568183700123631e-1, (8, 4) = 0.3507359791282195e-1, (8, 5) = -0.4265000342236205e-1, (9, 1) = .30692793243322797, (9, 2) = 0.449345269177477e-1, (9, 3) = -0.35736728754833934e-1, (9, 4) = 0.22267582983966642e-1, (9, 5) = -0.26288107264853516e-1, (10, 1) = .3216779340769599, (10, 2) = 0.32987460372044405e-1, (10, 3) = -0.2721540596787555e-1, (10, 4) = 0.14280013218841852e-1, (10, 5) = -0.1643924121960731e-1, (11, 1) = .3324907956755065, (11, 2) = 0.2393861975262906e-1, (11, 3) = -0.20329119904601015e-1, (11, 4) = 0.9232957435481037e-2, (11, 5) = -0.10413619270888406e-1, (12, 1) = .34032685681957475, (12, 2) = 0.17206537965707504e-1, (12, 3) = -0.14962469503126172e-1, (12, 4) = 0.6008484746296935e-2, (12, 5) = -0.6668747436178208e-2, (13, 1) = .345950982825996, (13, 2) = 0.12268220016813276e-1, (13, 3) = -0.10883215741590159e-1, (13, 4) = 0.3929676044855098e-2, (13, 5) = -0.4308303644954386e-2, (14, 1) = .34995466248276785, (14, 2) = 0.8686972155428869e-2, (14, 3) = -0.7839271959166245e-2, (14, 4) = 0.25797858209504463e-2, (14, 5) = -0.28025554247415258e-2, (15, 1) = .3527850007052327, (15, 2) = 0.6114438707245076e-2, (15, 3) = -0.5600357597355628e-2, (15, 4) = 0.16983247250837619e-2, (15, 5) = -0.18326222302195356e-2, (16, 1) = .35477392665620944, (16, 2) = 0.4281283410440807e-2, (16, 3) = -0.3972670206539237e-2, (16, 4) = 0.11203129486059818e-2, (16, 5) = -0.12030431854933115e-2, (17, 1) = .3561643523000197, (17, 2) = 0.29839556152759707e-2, (17, 3) = -0.2800778530727025e-2, (17, 4) = 0.740101442453339e-3, (17, 5) = -0.7919982960398722e-3, (18, 1) = .35713198689153886, (18, 2) = 0.2071285654344953e-2, (18, 3) = -0.19639677695066815e-2, (18, 4) = 0.4894318018006638e-3, (18, 5) = -0.522463820647135e-3, (19, 1) = .3578027155526762, (19, 2) = 0.14325515384083004e-2, (19, 3) = -0.13706427525454147e-2, (19, 4) = 0.3238970032698751e-3, (19, 5) = -0.345159099453523e-3, (20, 1) = .35826600613654164, (20, 2) = 0.9875695814297975e-3, (20, 3) = -0.9525336996298883e-3, (20, 4) = 0.2144551766663054e-3, (20, 5) = -0.22825679488347692e-3, (21, 1) = .3585850108866874, (21, 2) = 0.6788186236915587e-3, (21, 3) = -0.6594779634452127e-3, (21, 4) = 0.14203957393985986e-3, (21, 5) = -0.15105374894384269e-3, (22, 1) = .3588040461982198, (22, 2) = 0.46536376123067344e-3, (22, 3) = -0.4550465847054036e-3, (22, 4) = 0.9409702306859435e-4, (22, 5) = -0.10001049122931494e-3, (23, 1) = .35895405581487905, (23, 2) = 0.3182699577065725e-3, (23, 3) = -0.31303945540986844e-3, (23, 4) = 0.6234543320626832e-4, (23, 5) = -0.6623698451545083e-4, (24, 1) = .35905655365291567, (24, 2) = 0.21720197880249816e-3, (24, 3) = -0.2147659391528201e-3, (24, 4) = 0.4131211997218378e-4, (24, 5) = -0.43878772145639645e-4, (25, 1) = .35912644084483486, (25, 2) = 0.14794036226185102e-3, (25, 3) = -0.14698548220180992e-3, (25, 4) = 0.27376881887169156e-4, (25, 5) = -0.2907235791507348e-4, (26, 1) = .35917400264255306, (26, 2) = 0.10058709635913049e-3, (26, 3) = -0.10037603350088711e-3, (26, 4) = 0.18143322518591565e-4, (26, 5) = -0.19264561510544625e-4, (27, 1) = .3592063155966067, (27, 2) = 0.68280606114036e-4, (27, 3) = -0.6841032299879773e-4, (27, 4) = 0.12024570315917842e-4, (27, 5) = -0.12766648386208112e-4, (28, 1) = .3592282345600599, (28, 2) = 0.4628171831805626e-4, (28, 3) = -0.46540046668865304e-4, (28, 4) = 0.7969597699816696e-5, (28, 5) = -0.8461019539790837e-5, (29, 1) = .35924308175505837, (29, 2) = 0.31327700595018035e-4, (29, 3) = -0.31609198077523325e-4, (29, 4) = 0.528216822039621e-5, (29, 5) = -0.5607747325983305e-5, (30, 1) = .3592531255422956, (30, 2) = 0.21178631883863118e-4, (30, 3) = -0.21435894741232355e-4, (30, 4) = 0.35010032338092466e-5, (30, 5) = -0.3716791736231297e-5, (31, 1) = .35925991164340315, (31, 2) = 0.14300621423190528e-4, (31, 3) = -0.14516581272828024e-4, (31, 4) = 0.23204527910651474e-5, (31, 5) = -0.2463529199305528e-5, (32, 1) = .35926449147035916, (32, 2) = 0.9645620558312539e-5, (32, 3) = -0.9818116217375507e-5, (32, 4) = 0.15379675636869845e-5, (32, 5) = -0.16328749098888895e-5, (33, 1) = .3592675790201219, (33, 2) = 0.6499006726600864e-5, (33, 3) = -0.66324380911056034e-5, (33, 4) = 0.10193134865350361e-5, (33, 5) = -0.10823044311367178e-5, (34, 1) = .3592696583823224, (34, 2) = 0.4374457750332709e-5, (34, 3) = -0.4475456895090449e-5, (34, 4) = 0.6755336608425454e-6, (34, 5) = -0.7173745751421138e-6, (35, 1) = .3592710573518701, (35, 2) = 0.294154082693033e-5, (35, 3) = -0.3016870125120636e-5, (35, 4) = 0.4476683128527473e-6, (35, 5) = -0.47549279193009315e-6, (36, 1) = .3592719976376865, (36, 2) = 0.19760604754838103e-5, (36, 3) = -0.20317085117193237e-5, (36, 4) = 0.2966338292760303e-6, (36, 5) = -0.3151689171167519e-6, (37, 1) = .3592726290042988, (37, 2) = 0.13261343815983235e-5, (37, 3) = -0.13670291897571055e-5, (37, 4) = 0.19652433347395044e-6, (37, 5) = -0.20890263700500245e-6, (38, 1) = .35927305250364244, (38, 2) = 0.8890080839496946e-6, (38, 3) = -0.9190261384727204e-6, (38, 4) = 0.13016904708113482e-6, (38, 5) = -0.1384666727686611e-6, (39, 1) = .35927333625042096, (39, 2) = 0.5952482675663468e-6, (39, 3) = -0.6173471705132506e-6, (39, 4) = 0.8618688759733714e-7, (39, 5) = -0.9177981643215786e-7, (40, 1) = .35927352611486774, (40, 2) = 0.3979897131562297e-6, (40, 3) = -0.414376818302952e-6, (40, 4) = 0.5703423332531646e-7, (40, 5) = -0.608344513694474e-7, (41, 1) = .35927365296033825, (41, 2) = 0.26563259155357796e-6, (41, 3) = -0.27792812347443636e-6, (41, 4) = 0.37710990156919004e-7, (41, 5) = -0.4032296461374335e-7, (42, 1) = .35927373753612546, (42, 2) = 0.17689048703324333e-6, (42, 3) = -0.18626834035523302e-6, (42, 4) = 0.24902964372027948e-7, (42, 5) = -0.26727343435165574e-7, (43, 1) = .359273793781336, (43, 2) = 0.11743711947994233e-6, (43, 3) = -0.12473897927177057e-6, (43, 4) = 0.16413415821837796e-7, (43, 5) = -0.17715756359896507e-7, (44, 1) = .3592738310534682, (44, 2) = 0.7763854236234525e-7, (44, 3) = -0.8346275729093369e-7, (44, 4) = 0.10786280613193112e-7, (44, 5) = -0.11742599496217648e-7, (45, 1) = .35927385563017794, (45, 2) = 0.5102125286453134e-7, (45, 3) = -0.5579016067522686e-7, (45, 4) = 0.7056434878747405e-8, (45, 5) = -0.7783400229664504e-8, (46, 1) = .3592738717203354, (46, 2) = 0.3323854418941362e-7, (46, 3) = -0.37248452554120235e-7, (46, 4) = 0.4584164620156798e-8, (46, 5) = -0.51591068699825456e-8, (47, 1) = .3592738821441244, (47, 2) = 0.21373764847285328e-7, (47, 3) = -0.24831487987968654e-7, (47, 4) = 0.29454502578396527e-8, (47, 5) = -0.3419625982414965e-8, (48, 1) = .3592738887901636, (48, 2) = 0.13471109606711368e-7, (48, 3) = -0.16520354865287813e-7, (48, 4) = 0.18592450644926916e-8, (48, 5) = -0.22666287842075568e-8, (49, 1) = .3592738929225644, (49, 2) = 0.8219875552199463e-8, (49, 3) = -0.10960112871784771e-7, (49, 4) = 0.11392686610785541e-8, (49, 5) = -0.15023802335308191e-8, (50, 1) = .35927389538706583, (50, 2) = 0.47421360806248574e-8, (50, 3) = -0.72419809055769776e-8, (50, 4) = 0.6620479098671892e-9, (50, 5) = -0.9958146619340783e-9, (51, 1) = .3592738967492751, (51, 2) = 0.24501148819534223e-8, (51, 3) = -0.47567546773704275e-8, (51, 4) = 0.34573551914810265e-9, (51, 5) = -0.6600518855067764e-9, (52, 1) = .35927389738723736, (52, 2) = 0.9506482919026302e-9, (52, 3) = -0.30964654338033544e-8, (52, 4) = 0.13609976475165576e-9, (52, 5) = -0.43752540756294343e-9, (53, 1) = .3592738975538295, (53, 2) = .0, (53, 3) = -0.2010431178903024e-8, (53, 4) = .0, (53, 5) = -0.29305672550117975e-9}, datatype = float[8], order = C_order); YP := Matrix(53, 5, {(1, 1) = .0, (1, 2) = .4775993879507742, (1, 3) = -1.0, (1, 4) = -1.0046788647919327, (1, 5) = .0, (2, 1) = .11737960097745363, (2, 2) = .18313309807713032, (2, 3) = -.5935786348694716, (2, 4) = -.8204565753435087, (2, 5) = .7590512696017367, (3, 1) = .15245559468347794, (3, 2) = 0.257866622502241e-1, (3, 3) = -.2819733859917131, (3, 4) = -.54284905169691, (3, 5) = .682102766187754, (4, 1) = .14735793191890612, (4, 2) = -0.4250594932201111e-1, (4, 3) = -.10615038645090877, (4, 4) = -.3318787408975303, (4, 5) = .45723811284077087, (5, 1) = .12658789976147164, (5, 2) = -0.6407934926095243e-1, (5, 3) = -0.211855575294789e-1, (5, 4) = -.19754422561587923, (5, 5) = .27742280949400916, (6, 1) = .10223772024754406, (6, 2) = -0.642541190775384e-1, (6, 3) = 0.14587670506166814e-1, (6, 4) = -.11728058787005342, (6, 5) = .16250392351641907, (7, 1) = 0.7953916569955533e-1, (7, 2) = -0.56072302032236475e-1, (7, 3) = 0.26426018758011087e-1, (7, 4) = -0.7024341339428322e-1, (7, 5) = 0.945530697759864e-1, (8, 1) = 0.603379421090149e-1, (8, 2) = -0.4568183700123631e-1, (8, 3) = 0.27572049036062037e-1, (8, 4) = -0.4265000342236205e-1, (8, 5) = 0.5541446261530368e-1, (9, 1) = 0.449345269177477e-1, (9, 2) = -0.35736728754833934e-1, (9, 3) = 0.24485482290410084e-1, (9, 4) = -0.26288107264853516e-1, (9, 5) = 0.32935122639646895e-1, (10, 1) = 0.32987460372044405e-1, (10, 2) = -0.2721540596787555e-1, (10, 3) = 0.20157371353181654e-1, (10, 4) = -0.1643924121960731e-1, (10, 5) = 0.19906429499968542e-1, (11, 1) = 0.2393861975262906e-1, (11, 2) = -0.20329119904601015e-1, (11, 3) = 0.15886405971160852e-1, (11, 4) = -0.10413619270888406e-1, (11, 5) = 0.12239225803118335e-1, (12, 1) = 0.17206537965707504e-1, (12, 2) = -0.14962469503126172e-1, (12, 3) = 0.12169295674749843e-1, (12, 4) = -0.6668747436178208e-2, (12, 5) = 0.76453656673992985e-2, (13, 1) = 0.12268220016813276e-1, (13, 2) = -0.10883215741590159e-1, (13, 3) = 0.9134567020099078e-2, (13, 4) = -0.4308303644954386e-2, (13, 5) = 0.4841911285505811e-2, (14, 1) = 0.8686972155428869e-2, (14, 2) = -0.7839271959166245e-2, (14, 3) = 0.6751280108697246e-2, (14, 4) = -0.28025554247415258e-2, (14, 5) = 0.310145374876213e-2, (15, 1) = 0.6114438707245076e-2, (15, 2) = -0.5600357597355628e-2, (15, 3) = 0.4928397275322998e-2, (15, 4) = -0.18326222302195356e-2, (15, 5) = 0.20045803067287363e-2, (16, 1) = 0.4281283410440807e-2, (16, 2) = -0.3972670206539237e-2, (16, 3) = 0.35610480609900488e-2, (16, 4) = -0.12030431854933115e-2, (16, 5) = 0.13046281142642456e-2, (17, 1) = 0.29839556152759707e-2, (17, 2) = -0.2800778530727025e-2, (17, 3) = 0.25508672905029377e-2, (17, 4) = -0.7919982960398722e-3, (17, 5) = 0.853499426344586e-3, (18, 1) = 0.2071285654344953e-2, (18, 2) = -0.19639677695066815e-2, (18, 3) = 0.18137004947130705e-2, (18, 4) = -0.522463820647135e-3, (18, 5) = 0.5605002666592092e-3, (19, 1) = 0.14325515384083004e-2, (19, 2) = -0.13706427525454147e-2, (19, 3) = 0.12812541397045714e-2, (19, 4) = -0.345159099453523e-3, (19, 5) = 0.36910117865482486e-3, (20, 1) = 0.9875695814297975e-3, (20, 2) = -0.9525336996298883e-3, (20, 3) = 0.9000053824634135e-3, (20, 4) = -0.22825679488347692e-3, (20, 5) = 0.24353818862632592e-3, (21, 1) = 0.6788186236915587e-3, (21, 2) = -0.6594779634452127e-3, (21, 3) = 0.6290512633214072e-3, (21, 4) = -0.15105374894384269e-3, (21, 5) = 0.16091129478345426e-3, (22, 1) = 0.46536376123067344e-3, (22, 2) = -0.4550465847054036e-3, (22, 3) = 0.43772988215105705e-3, (22, 4) = -0.10001049122931494e-3, (22, 5) = 0.106419493109677e-3, (23, 1) = 0.3182699577065725e-3, (23, 2) = -0.31303945540986844e-3, (23, 3) = 0.30340373549233673e-3, (23, 4) = -0.6623698451545083e-4, (23, 5) = 0.7042776186672255e-4, (24, 1) = 0.21720197880249816e-3, (24, 2) = -0.2147659391528201e-3, (24, 3) = 0.20956498522688367e-3, (24, 4) = -0.43878772145639645e-4, (24, 5) = 0.466303209397757e-4, (25, 1) = 0.14794036226185102e-3, (25, 2) = -0.14698548220180992e-3, (25, 3) = 0.14429920554889767e-3, (25, 4) = -0.2907235791507348e-4, (25, 5) = 0.30884201672285647e-4, (26, 1) = 0.10058709635913049e-3, (26, 2) = -0.10037603350088711e-3, (26, 3) = 0.9908282577931924e-4, (26, 4) = -0.19264561510544625e-4, (26, 5) = 0.20460064780651296e-4, (27, 1) = 0.68280606114036e-4, (27, 2) = -0.6841032299879773e-4, (27, 3) = 0.6786468724833311e-4, (27, 4) = -0.12766648386208112e-4, (27, 5) = 0.13556598018006937e-4, (28, 1) = 0.4628171831805626e-4, (28, 2) = -0.46540046668865304e-4, (28, 3) = 0.4637730439005856e-4, (28, 4) = -0.8461019539790837e-5, (28, 5) = 0.8983508254813186e-5, (29, 1) = 0.31327700595018035e-4, (29, 2) = -0.31609198077523325e-4, (29, 3) = 0.3162823323595945e-4, (29, 4) = -0.5607747325983305e-5, (29, 5) = 0.59535674389884314e-5, (30, 1) = 0.21178631883863118e-4, (30, 2) = -0.21435894741232355e-4, (30, 3) = 0.21529428305553337e-4, (30, 4) = -0.3716791736231297e-5, (30, 5) = 0.3945787155761316e-5, (31, 1) = 0.14300621423190528e-4, (31, 2) = -0.14516581272828024e-4, (31, 3) = 0.14630155544368391e-4, (31, 4) = -0.2463529199305528e-5, (31, 5) = 0.26152140974615044e-5, (32, 1) = 0.9645620558312539e-5, (32, 2) = -0.9818116217375507e-5, (32, 3) = 0.9926270867895736e-5, (32, 4) = -0.16328749098888895e-5, (32, 5) = 0.17333716022339152e-5, (33, 1) = 0.6499006726600864e-5, (33, 2) = -0.66324380911056034e-5, (33, 3) = 0.67250837394264775e-5, (33, 4) = -0.10823044311367178e-5, (33, 5) = 0.11488964969527993e-5, (34, 1) = 0.4374457750332709e-5, (34, 2) = -0.4475456895090449e-5, (34, 3) = 0.455023316336366e-5, (34, 4) = -0.7173745751421138e-6, (34, 5) = 0.76150457836442e-6, (35, 1) = 0.294154082693033e-5, (35, 2) = -0.3016870125120636e-5, (35, 3) = 0.3074970165963072e-5, (35, 4) = -0.47549279193009315e-6, (35, 5) = 0.5047393293053838e-6, (36, 1) = 0.19760604754838103e-5, (36, 2) = -0.20317085117193237e-5, (36, 3) = 0.20756795679808857e-5, (36, 4) = -0.3151689171167519e-6, (36, 5) = 0.3345525478298572e-6, (37, 1) = 0.13261343815983235e-5, (37, 2) = -0.13670291897571055e-5, (37, 3) = 0.13996778945256072e-5, (37, 4) = -0.20890263700500245e-6, (37, 5) = 0.22174986807780668e-6, (38, 1) = 0.8890080839496946e-6, (38, 2) = -0.9190261384727204e-6, (38, 3) = 0.9429246095875392e-6, (38, 4) = -0.1384666727686611e-6, (38, 5) = 0.14698184168101424e-6, (39, 1) = 0.5952482675663468e-6, (39, 2) = -0.6173471705132506e-6, (39, 3) = 0.6346532882843354e-6, (39, 4) = -0.9177981643215786e-7, (39, 5) = 0.9742376889869178e-7, (40, 1) = 0.3979897131562297e-6, (40, 2) = -0.414376818302952e-6, (40, 3) = 0.4268091549705229e-6, (40, 4) = -0.608344513694474e-7, (40, 5) = 0.6457536591987922e-7, (41, 1) = 0.26563259155357796e-6, (41, 2) = -0.27792812347443636e-6, (41, 3) = 0.2868092175152725e-6, (41, 4) = -0.4032296461374335e-7, (41, 5) = 0.4280252841484816e-7, (42, 1) = 0.17689048703324333e-6, (42, 2) = -0.18626834035523302e-6, (42, 3) = 0.19259150690256222e-6, (42, 4) = -0.26727343435165574e-7, (42, 5) = 0.2837086354968772e-7, (43, 1) = 0.11743711947994233e-6, (43, 2) = -0.12473897927177057e-6, (43, 3) = 0.12923686055627235e-6, (43, 4) = -0.17715756359896507e-7, (43, 5) = 0.1880512910554703e-7, (44, 1) = 0.7763854236234525e-7, (44, 2) = -0.8346275729093369e-7, (44, 3) = 0.866682023665433e-7, (44, 4) = -0.11742599496217648e-7, (44, 5) = 0.12464669703447368e-7, (45, 1) = 0.5102125286453134e-7, (45, 2) = -0.5579016067522686e-7, (45, 3) = 0.58086404367729565e-7, (45, 4) = -0.7783400229664504e-8, (45, 5) = 0.8262012076509727e-8, (46, 1) = 0.3323854418941362e-7, (46, 2) = -0.37248452554120235e-7, (46, 3) = 0.389086276915552e-7, (46, 4) = -0.51591068699825456e-8, (46, 5) = 0.5476346816410734e-8, (47, 1) = 0.21373764847285328e-7, (47, 2) = -0.24831487987968654e-7, (47, 3) = 0.26048793793539624e-7, (47, 4) = -0.3419625982414965e-8, (47, 5) = 0.36299028287716455e-8, (48, 1) = 0.13471109606711368e-7, (48, 2) = -0.16520354865287813e-7, (48, 3) = 0.17430585377694396e-7, (48, 4) = -0.22666287842075568e-8, (48, 5) = 0.2406006361941216e-8, (49, 1) = 0.8219875552199463e-8, (49, 2) = -0.10960112871784771e-7, (49, 3) = 0.11658199570066066e-7, (49, 4) = -0.15023802335308191e-8, (49, 5) = 0.15947632526233475e-8, (50, 1) = 0.47421360806248574e-8, (50, 2) = -0.72419809055769776e-8, (50, 3) = 0.7793979957178533e-8, (50, 4) = -0.9958146619340783e-9, (50, 5) = 0.10570483841765406e-8, (51, 1) = 0.24501148819534223e-8, (51, 2) = -0.47567546773704275e-8, (51, 3) = 0.5208442327531191e-8, (51, 4) = -0.6600518855067764e-9, (51, 5) = 0.7006391823634325e-9, (52, 1) = 0.9506482919026302e-9, (52, 2) = -0.30964654338033544e-8, (52, 3) = 0.34794576549329015e-8, (52, 4) = -0.43752540756294343e-9, (52, 5) = 0.4644293100293939e-9, (53, 1) = .0, (53, 2) = -0.2010431178903024e-8, (53, 3) = 0.23474601975767464e-8, (53, 4) = -0.29305672550117975e-9, (53, 5) = 0.31107709447209743e-9}, datatype = float[8], order = C_order); errproc := proc (x_bvp) local outpoint, X, Y, yout, L, V, i; option `Copyright (c) 2000 by Waterloo Maple Inc. All rights reserved.`; Digits := 15; outpoint := evalf(x_bvp); X := Vector(53, {(1) = .0, (2) = .36949919900944644, (3) = .739300147291354, (4) = 1.109760554943441, (5) = 1.4813092903527632, (6) = 1.854400717289444, (7) = 2.2294194781491283, (8) = 2.6065809259736024, (9) = 2.9858798923611154, (10) = 3.3671133918743896, (11) = 3.749958628987825, (12) = 4.134061614038366, (13) = 4.519100822868634, (14) = 4.904816162024675, (15) = 5.291012429357386, (16) = 5.677548255086593, (17) = 6.064324153231833, (18) = 6.451271772178415, (19) = 6.838345982808043, (20) = 7.225519334980909, (21) = 7.612775587951935, (22) = 8.000101351192901, (23) = 8.387480265034908, (24) = 8.774892734296833, (25) = 9.162320242119915, (26) = 9.54975001583413, (27) = 9.937175827823893, (28) = 10.324595778314873, (29) = 10.712009940724622, (30) = 11.099419117828488, (31) = 11.486824579226047, (32) = 11.874229393268262, (33) = 12.261639304144008, (34) = 12.649054547893757, (35) = 13.036470363974443, (36) = 13.423885415329542, (37) = 13.81129973437852, (38) = 14.19871345130963, (39) = 14.586126631356334, (40) = 14.97353926897657, (41) = 15.360951274544131, (42) = 15.74836246576973, (43) = 16.13577258408351, (44) = 16.52318140592461, (45) = 16.91058907240521, (46) = 17.29799668241655, (47) = 17.685406660632083, (48) = 18.072821632133493, (49) = 18.460241671290955, (50) = 18.847663467669946, (51) = 19.23508330750054, (52) = 19.62244752660786, (53) = 20.0}, datatype = float[8], order = C_order); Y := Matrix(53, 5, {(1, 1) = .0, (1, 2) = .0, (1, 3) = 0.3866026324188471e-8, (1, 4) = .0, (1, 5) = -0.167614773873791e-7, (2, 1) = 0.13129025756353337e-8, (2, 2) = 0.32899139260862605e-9, (2, 3) = -0.13933004530175537e-8, (2, 4) = -0.6864722219029181e-8, (2, 5) = 0.5762265822614816e-8, (3, 1) = 0.17531536948997038e-8, (3, 2) = -0.19870637479583883e-8, (3, 3) = 0.4430716176000332e-8, (3, 4) = 0.2506069884499365e-8, (3, 5) = -0.3270419083483023e-8, (4, 1) = 0.6295122746073642e-9, (4, 2) = -0.3024625169400298e-10, (4, 3) = 0.12003412299206427e-8, (4, 4) = 0.33647534884721813e-8, (4, 5) = -0.5895241812315728e-8, (5, 1) = 0.34939213765912637e-9, (5, 2) = 0.8458952553680481e-9, (5, 3) = -0.10693778523575973e-8, (5, 4) = 0.10786771704660264e-8, (5, 5) = -0.2203130450223577e-8, (6, 1) = 0.5656367415875083e-9, (6, 2) = 0.6215360766856136e-9, (6, 3) = -0.1108144897398893e-8, (6, 4) = 0.4209413267077535e-10, (6, 5) = -0.3388630128593954e-9, (7, 1) = 0.7854998673990449e-9, (7, 2) = 0.22441224780112193e-9, (7, 3) = -0.5684360372475958e-9, (7, 4) = -0.11511841794228689e-9, (7, 5) = 0.11797587605792422e-10, (8, 1) = 0.88238808161761e-9, (8, 2) = -0.19314356562976675e-10, (8, 3) = -0.17637443157439568e-9, (8, 4) = -0.5247041000728325e-10, (8, 5) = -0.3019406560951504e-10, (9, 1) = 0.887106106376075e-9, (9, 2) = -0.11453547140212592e-9, (9, 3) = 0.21194227230144784e-11, (9, 4) = 0.3327159479296091e-11, (9, 5) = -0.7750709431295195e-10, (10, 1) = 0.8492406199535305e-9, (10, 2) = -0.1293425716343487e-9, (10, 3) = 0.5602529822395111e-10, (10, 4) = 0.23823773476585883e-10, (10, 5) = -0.8221982101893044e-10, (11, 1) = 0.8004508148400319e-9, (11, 2) = -0.11284665783283561e-9, (11, 3) = 0.58190251116587034e-10, (11, 4) = 0.2400712883993116e-10, (11, 5) = -0.6574753774356836e-10, (12, 1) = 0.7552514704765934e-9, (12, 2) = -0.8938292310362758e-10, (12, 3) = 0.4554453968200018e-10, (12, 4) = 0.17334994859729327e-10, (12, 5) = -0.45707448056724276e-10, (13, 1) = 0.7182732793193764e-9, (13, 2) = -0.682463808634105e-10, (13, 3) = 0.32423194771716774e-10, (13, 4) = 0.1027125596677696e-10, (13, 5) = -0.2916532884469332e-10, (14, 1) = 0.68968855369093e-9, (14, 2) = -0.5173302456205981e-10, (14, 3) = 0.22715270469083298e-10, (14, 4) = 0.4910681563514555e-11, (14, 5) = -0.1743716151912573e-10, (15, 1) = 0.6681285533042898e-9, (15, 2) = -0.3951414089190393e-10, (15, 3) = 0.16440008745078285e-10, (15, 4) = 0.1448683266344109e-11, (15, 5) = -0.9775538768222743e-11, (16, 1) = 0.6519797414669998e-9, (16, 2) = -0.3058489428792559e-10, (16, 3) = 0.12607677208032737e-10, (16, 4) = -0.5226225598495448e-12, (16, 5) = -0.5037647223130452e-11, (17, 1) = 0.6398510794802389e-9, (17, 2) = -0.23985943167404547e-10, (17, 3) = 0.10249745111209356e-10, (17, 4) = -0.14850062190312182e-11, (17, 5) = -0.22423786320722828e-11, (18, 1) = 0.6306755774357558e-9, (18, 2) = -0.1899470914502264e-10, (18, 3) = 0.8683059619746706e-11, (18, 4) = -0.18275265893742596e-11, (18, 5) = -0.6773170954492378e-12, (19, 1) = 0.6236749698416337e-9, (19, 2) = -0.15120765376636398e-10, (19, 3) = 0.7501489278634117e-11, (19, 4) = -0.18219720961737195e-11, (19, 5) = 0.13692085108316905e-12, (20, 1) = 0.618294470363338e-9, (20, 2) = -0.12047690697860179e-10, (20, 3) = 0.6496815752305965e-11, (20, 4) = -0.16429307590636278e-11, (20, 5) = 0.5093691719044103e-12, (21, 1) = 0.6141387400223373e-9, (21, 2) = -0.9574173539415172e-11, (21, 3) = 0.55810165216480634e-11, (21, 4) = -0.13954149124209693e-11, (21, 5) = 0.6333300911065223e-12, (22, 1) = 0.6109202497932467e-9, (22, 2) = -0.7569443039107617e-11, (22, 3) = 0.4729339090684632e-11, (22, 4) = -0.11383444112830258e-11, (22, 5) = 0.6264606853141351e-12, (23, 1) = 0.6084283431944894e-9, (23, 2) = -0.5943805286244383e-11, (23, 3) = 0.39444408504727945e-11, (23, 4) = -0.9017181605079092e-12, (23, 5) = 0.5581985719065467e-12, (24, 1) = 0.6065033489424739e-9, (24, 2) = -0.4630955737269315e-11, (24, 3) = 0.3236514872863843e-11, (24, 4) = -0.6982527460744163e-12, (24, 5) = 0.4678823651669094e-12, (25, 1) = 0.6050210733820329e-9, (25, 2) = -0.35781764203448403e-11, (25, 3) = 0.26138771941320803e-11, (25, 4) = -0.5309090832420165e-12, (25, 5) = 0.3764800359575368e-12, (26, 1) = 0.6038858267717868e-9, (26, 2) = -0.2741331392070887e-11, (26, 3) = 0.20796781770707094e-11, (26, 4) = -0.39757645182655093e-12, (26, 5) = 0.2940583859413841e-12, (27, 1) = 0.6030210980541715e-9, (27, 2) = -0.20825072445886545e-11, (27, 3) = 0.16317765138197636e-11, (27, 4) = -0.29387600140744016e-12, (27, 5) = 0.22446056987534783e-12, (28, 1) = 0.602366507315935e-9, (28, 2) = -0.15689535482355322e-11, (28, 3) = 0.12639546441107985e-11, (28, 4) = -0.2147572752927611e-12, (28, 5) = 0.16817536949999937e-12, (29, 1) = 0.6018737921800229e-9, (29, 2) = -0.11725661141799706e-11, (29, 3) = 0.9674636342320036e-12, (29, 4) = -0.1553432318895776e-12, (29, 5) = 0.12404900790691362e-12, (30, 1) = 0.6015063704048585e-9, (30, 2) = -0.8695376158915292e-12, (30, 3) = 0.7324148568385822e-12, (30, 4) = -0.1113238575094845e-12, (30, 5) = 0.9026895354670936e-13, (31, 1) = 0.6012331209290493e-9, (31, 2) = -0.6400093751522437e-12, (31, 3) = 0.5488361009783428e-12, (31, 4) = -0.7909105794375417e-13, (31, 5) = 0.6489946257359858e-13, (32, 1) = 0.6010313839882353e-9, (32, 2) = -0.4676806250468874e-12, (32, 3) = 0.4073720297213764e-12, (32, 4) = -0.55734177140719424e-13, (32, 5) = 0.4614829988665113e-13, (33, 1) = 0.6008832372860927e-9, (33, 2) = -0.3393789746519389e-12, (33, 3) = 0.2996819733134866e-12, (33, 4) = -0.3896864283666617e-13, (33, 5) = 0.3247816968852583e-13, (34, 1) = 0.6007760467225628e-9, (34, 2) = -0.2446180181459965e-12, (34, 3) = 0.2186108601623798e-12, (34, 4) = -0.27039356922795098e-13, (34, 5) = 0.22633049567982487e-13, (35, 1) = 0.6006982405504626e-9, (35, 2) = -0.1751622449083394e-12, (35, 3) = 0.15820162860551416e-12, (35, 4) = -0.18620894797377495e-13, (35, 5) = 0.15620856986652904e-13, (36, 1) = 0.6006419671522647e-9, (36, 2) = -0.12462389575624312e-12, (36, 3) = 0.11361356743199682e-12, (36, 4) = -0.12726495151515674e-13, (36, 5) = 0.10677598774478415e-13, (37, 1) = 0.6006023675362607e-9, (37, 2) = -0.8810655950498653e-13, (37, 3) = 0.8099330838105886e-13, (37, 4) = -0.8630695401052591e-14, (37, 5) = 0.7226801870681323e-14, (38, 1) = 0.600573214880541e-9, (38, 2) = -0.6189733945808228e-13, (38, 3) = 0.57326655035511e-13, (38, 4) = -0.5805967756973056e-14, (38, 5) = 0.48407054532921546e-14, (39, 1) = 0.600553124484651e-9, (39, 2) = -0.4320867169995718e-13, (39, 3) = 0.4029127251163079e-13, (39, 4) = -0.3872465506838792e-14, (39, 5) = 0.3206375215582321e-14, (40, 1) = 0.6005390112029089e-9, (40, 2) = -0.2996695220038621e-13, (40, 3) = 0.28121574582998626e-13, (40, 4) = -0.25591237849460054e-14, (40, 5) = 0.209770955423606e-14, (41, 1) = 0.6005289986803559e-9, (41, 2) = -0.2064290474793723e-13, (41, 3) = 0.19491142659722356e-13, (41, 4) = -0.16741140656339724e-14, (41, 5) = 0.13531621252219037e-14, (42, 1) = 0.6005222368389752e-9, (42, 2) = -0.14117764165443154e-13, (42, 3) = 0.13414149912379718e-13, (42, 4) = -0.1082750257656125e-14, (42, 5) = 0.8584929586633663e-15, (43, 1) = 0.6005174804217331e-9, (43, 2) = -0.957929439653709e-14, (43, 3) = 0.9165080154706604e-14, (43, 4) = -0.6911818646939504e-15, (43, 5) = 0.5336938482242126e-15, (44, 1) = 0.6005141951257561e-9, (44, 2) = -0.6442053073102327e-14, (44, 3) = 0.6214822347656093e-14, (44, 4) = -0.434496585228077e-15, (44, 5) = 0.32325176790302243e-15, (45, 1) = 0.6005120721121075e-9, (45, 2) = -0.42869734586359196e-14, (45, 3) = 0.4180763946784205e-14, (45, 4) = -0.26812676415042606e-15, (45, 5) = 0.18900128237865801e-15, (46, 1) = 0.6005105668724581e-9, (46, 2) = -0.2816072914340642e-14, (46, 3) = 0.27884358411499793e-14, (46, 4) = -0.16170006872295093e-15, (46, 5) = 0.10494464211119514e-15, (47, 1) = 0.600509785493646e-9, (47, 2) = -0.18188332051752465e-14, (47, 3) = 0.18424456810159008e-14, (47, 4) = -0.9467606793604442e-16, (47, 5) = 0.5354041444300982e-16, (48, 1) = 0.6005087126793133e-9, (48, 2) = -0.11474686588215403e-14, (48, 3) = 0.12047182910907297e-14, (48, 4) = -0.5327461988736406e-16, (48, 5) = 0.2307106282147785e-16, (49, 1) = 0.600508418123729e-9, (49, 2) = -0.6988785690670782e-15, (49, 3) = 0.7783805156025581e-15, (49, 4) = -0.28329701890880794e-16, (49, 5) = 0.5793762268313131e-17, (50, 1) = 0.6005081938821089e-9, (50, 2) = -0.40157878073782045e-15, (50, 3) = 0.4959413026099385e-15, (50, 4) = -0.13800512854308772e-16, (50, 5) = -0.3347165102823177e-17, (51, 1) = 0.600507827024394e-9, (51, 2) = -0.20631116994174056e-15, (51, 3) = 0.31070638002040057e-15, (51, 4) = -0.5746543952203011e-17, (51, 5) = -0.7608224243741242e-17, (52, 1) = 0.6005083212656165e-9, (52, 2) = -0.7936578041659066e-16, (52, 3) = 0.19061532464751861e-15, (52, 4) = -0.16288690031638083e-17, (52, 5) = -0.9052221678392137e-17, (53, 1) = 0.6005079165752997e-9, (53, 2) = .0, (53, 3) = 0.11590507603867799e-15, (53, 4) = .0, (53, 5) = -0.8818984363679751e-17}, datatype = float[8], order = C_order); if not type(outpoint, 'numeric') then if outpoint = "start" or outpoint = "left" then return X[1] elif outpoint = "right" then return X[53] elif outpoint = "order" then return 8 elif outpoint = "error" then return HFloat(1.67614773873791e-8) elif outpoint = "errorproc" then error "this is already the error procedure" elif outpoint = "rawdata" then return [5, 53, [g(y), diff(g(y), y), diff(diff(g(y), y), y), h(y), diff(h(y), y)], X, Y] else return ('procname')(x_bvp) end if end if; if outpoint < X[1] or X[53] < outpoint then error "solution is only defined in the range %1..%2", X[1], X[53] end if; V := array([1 = 4, 2 = 0]); if Digits <= trunc(evalhf(Digits)) then L := Vector(4, 'datatype' = 'float'[8]); yout := Vector(5, 'datatype' = 'float'[8]); evalhf(`dsolve/numeric/lagrange`(53, 5, X, Y, outpoint, var(yout), var(L), var(V))) else L := Vector(4, 'datatype' = 'sfloat'); yout := Vector(5, 'datatype' = 'sfloat'); `dsolve/numeric/lagrange`(53, 5, X, Y, outpoint, yout, L, V) end if; [y = outpoint, seq('[g(y), diff(g(y), y), diff(diff(g(y), y), y), h(y), diff(h(y), y)]'[i] = yout[i], i = 1 .. 5)] end proc; if not type(outpoint, 'numeric') then if outpoint = "start" or outpoint = "left" then return X[1] elif outpoint = "method" then return "bvp" elif outpoint = "right" then return X[53] elif outpoint = "order" then return 8 elif outpoint = "error" then return HFloat(1.67614773873791e-8) elif outpoint = "errorproc" then return eval(errproc) elif outpoint = "rawdata" then return [5, 53, "depnames", X, Y, YP] else error "non-numeric value" end if end if; if outpoint < X[1] or X[53] < outpoint then error "solution is only defined in the range %1..%2", X[1], X[53] end if; if Digits <= trunc(evalhf(Digits)) and (_EnvInFsolve <> true or _EnvDSNumericSaveDigits <= trunc(evalhf(Digits))) then V := array( 1 .. 6, [( 1 ) = (7), ( 2 ) = (0), ( 3 ) = (false), ( 4 ) = (false), ( 5 ) = (false), ( 6 ) = (false)  ] ); L := Matrix(7, 2, {(1, 1) = .0, (1, 2) = .0, (2, 1) = .0, (2, 2) = .0, (3, 1) = .0, (3, 2) = .0, (4, 1) = .0, (4, 2) = .0, (5, 1) = .0, (5, 2) = .0, (6, 1) = .0, (6, 2) = .0, (7, 1) = .0, (7, 2) = .0}, datatype = float[8], order = C_order); yout := Vector(5, {(1) = .0, (2) = .0, (3) = .0, (4) = .0, (5) = .0}, datatype = float[8]); evalhf(`dsolve/numeric/hermite`(53, 5, X, Y, YP, outpoint, var(yout), var(L), var(V))) else if _EnvInFsolve = true then Digits := _EnvDSNumericSaveDigits end if; V := array( 1 .. 6, [( 1 ) = (7), ( 2 ) = (0), ( 3 ) = (false), ( 4 ) = (false), ( 5 ) = (false), ( 6 ) = (false)  ] ); L := Matrix(7, 2, {(1, 1) = 0., (1, 2) = 0., (2, 1) = 0., (2, 2) = 0., (3, 1) = 0., (3, 2) = 0., (4, 1) = 0., (4, 2) = 0., (5, 1) = 0., (5, 2) = 0., (6, 1) = 0., (6, 2) = 0., (7, 1) = 0., (7, 2) = 0.}, order = C_order); yout := Vector(5, {(1) = 0., (2) = 0., (3) = 0., (4) = 0., (5) = 0.}); `dsolve/numeric/hermite`(53, 5, X, Y, YP, outpoint, yout, L, V) end if; [outpoint, seq(yout[i], i = 1 .. 5)] end proc, (2) = Array(1..6, {(1) = 18446884187980918118, (2) = 18446884187980918294, (3) = 18446884187980918470, (4) = 18446884187980918646, (5) = 18446884187980910678, (6) = 18446884187980910854}), (3) = [y, g(y), diff(g(y), y), diff(diff(g(y), y), y), h(y), diff(h(y), y)], (4) = 0}); solnproc := data[1]; if not type(outpoint, 'numeric') then if outpoint = "solnprocedure" then return eval(solnproc) elif member(outpoint, ["start", "left", "right", "errorproc", "rawdata", "order", "error"]) then return solnproc(y) elif outpoint = "sysvars" then return data[3] elif procname <> unknown then return ('procname')(y) else `D(h)` := pointto(data[2][6]); return ('`D(h)`')(y) end if end if; try res := solnproc(outpoint); res[6] catch: error  end try end proc]

plots[odeplot](sol3, [y, h(y)], color = red)

BC1 := {T(0, y) = rhs(sol1[5](y)), T(x, 0) = 1, T(x, 20) = 0, f(0, y) = rhs(sol1[2](y)), f(x, 0) = 0, (D[2](f))(x, 0) = 0, (D[2](f))(x, 20) = 0}

{T(0, y) = h(y), T(x, 0) = 1, T(x, 20) = 0, f(0, y) = g(y), f(x, 0) = 0, (D[2](f))(x, 0) = 0, (D[2](f))(x, 20) = 0}

 

BC2 := {T(0, y) = rhs(sol2[5](y)), T(x, 0) = 1, T(x, 20) = 0, f(0, y) = rhs(sol2[2](y)), f(x, 0) = 0, (D[2](f))(x, 0) = 0, (D[2](f))(x, 20) = 0}

{T(0, y) = h(y), T(x, 0) = 1, T(x, 20) = 0, f(0, y) = g(y), f(x, 0) = 0, (D[2](f))(x, 0) = 0, (D[2](f))(x, 20) = 0}

BC3 := {T(0, y) = rhs(sol3[5](y)), T(x, 0) = 1, T(x, 20) = 0, f(0, y) = rhs(sol3[2](y)), f(x, 0) = 0, (D[2](f))(x, 0) = 0, (D[2](f))(x, 20) = 0}

{T(0, y) = h(y), T(x, 0) = 1, T(x, 20) = 0, f(0, y) = g(y), f(x, 0) = 0, (D[2](f))(x, 0) = 0, (D[2](f))(x, 20) = 0}

pds := pdsolve(eval(PDE, n = 0), BC1, numeric, spacestep = .25)

_m140114308705024

pds2 := pdsolve(eval(PDE, n = 1.01), BC2, numeric, spacestep = .25)

_m140114267020672

pds3 := pdsolve(eval(PDE, n = 10), BC3, numeric, spacestep = .25)

_m140114236981728

Hy := pds:-value(T(x, y), x = 0);

proc (x_pde) local res, solnproc, outpoint, ndsol, stype, i; option `Copyright (c) 2001 by Waterloo Maple Inc. All rights reserved.`; Digits := trunc(evalhf(Digits)); outpoint := evalf(x_pde); solnproc := proc (outpoint) local indepvals, depvals, vary, ndep, i; option `Copyright (c) 2001 by Waterloo Maple Inc. All rights reserved.`; table( [( "soln_procedures" ) = array( 0 .. 0, [( 0 ) = (18446884187946848606)  ] ) ] ) indepvals := Vector(81, {(1) = .0, (2) = .25, (3) = .5, (4) = .75, (5) = 1.0, (6) = 1.25, (7) = 1.5, (8) = 1.75, (9) = 2.0, (10) = 2.25, (11) = 2.5, (12) = 2.75, (13) = 3.0, (14) = 3.25, (15) = 3.5, (16) = 3.75, (17) = 4.0, (18) = 4.25, (19) = 4.5, (20) = 4.75, (21) = 5.0, (22) = 5.25, (23) = 5.5, (24) = 5.75, (25) = 6.0, (26) = 6.25, (27) = 6.5, (28) = 6.75, (29) = 7.0, (30) = 7.25, (31) = 7.5, (32) = 7.75, (33) = 8.0, (34) = 8.25, (35) = 8.5, (36) = 8.75, (37) = 9.0, (38) = 9.25, (39) = 9.5, (40) = 9.75, (41) = 10.0, (42) = 10.25, (43) = 10.5, (44) = 10.75, (45) = 11.0, (46) = 11.25, (47) = 11.5, (48) = 11.75, (49) = 12.0, (50) = 12.25, (51) = 12.5, (52) = 12.75, (53) = 13.0, (54) = 13.25, (55) = 13.5, (56) = 13.75, (57) = 14.0, (58) = 14.25, (59) = 14.5, (60) = 14.75, (61) = 15.0, (62) = 15.25, (63) = 15.5, (64) = 15.75, (65) = 16.0, (66) = 16.25, (67) = 16.5, (68) = 16.75, (69) = 17.0, (70) = 17.25, (71) = 17.5, (72) = 17.75, (73) = 18.0, (74) = 18.25, (75) = 18.5, (76) = 18.75, (77) = 19.0, (78) = 19.25, (79) = 19.5, (80) = 19.75, (81) = 20.0}, datatype = float[8]); if outpoint = "left" then return indepvals[1] elif outpoint = "right" then return indepvals[81] elif outpoint = "start" then return HFloat(0.0) elif not type(outpoint, 'numeric') then error "non-numeric input" end if; if outpoint < indepvals[1] or indepvals[81] < outpoint then error "requested %1 value must be in the range %2..%3", y, indepvals[1], indepvals[81] end if; depvals := Matrix(81, 1, {(1, 1) = 1.0, (2, 1) = .9030794621604957, (3, 1) = .806649916686767, (4, 1) = .7118155126256761, (5, 1) = .620093641562881, (6, 1) = .5331281242650011, (7, 1) = .45242528379004143, (8, 1) = .3791527136858127, (9, 1) = .3140265816175584, (10, 1) = .2572895606848087, (11, 1) = .2087614462800041, (12, 1) = .16793408951692457, (13, 1) = .1340818886996698, (14, 1) = .10636582398065841, (15, 1) = 0.8391828981679576e-1, (16, 1) = 0.6590410593558388e-1, (17, 1) = 0.51558826814842536e-1, (18, 1) = 0.4020839813401873e-1, (19, 1) = 0.3127518312338464e-1, (20, 1) = 0.24275034313081787e-1, (21, 1) = 0.18809188319810658e-1, (22, 1) = 0.14553718192276816e-1, (23, 1) = 0.11248367985858891e-1, (24, 1) = 0.868586469142594e-2, (25, 1) = 0.6702285096351119e-2, (26, 1) = 0.5168712459728573e-2, (27, 1) = 0.3984212536945713e-2, (28, 1) = 0.30700414571538923e-2, (29, 1) = 0.236494144864749e-2, (30, 1) = 0.18213655645130185e-2, (31, 1) = 0.1402475398600599e-2, (32, 1) = 0.1079770200352055e-2, (33, 1) = 0.8312248196664619e-3, (34, 1) = 0.639833694031002e-3, (35, 1) = 0.4924763084425893e-3, (36, 1) = 0.3790353079118384e-3, (37, 1) = 0.29171255890979666e-3, (38, 1) = 0.22449965700229037e-3, (39, 1) = 0.1727684419486589e-3, (40, 1) = 0.13295470063913874e-3, (41, 1) = 0.10231406018902824e-3, (42, 1) = 0.7873369407942255e-4, (43, 1) = 0.60587156836989204e-4, (44, 1) = 0.4662252044456114e-4, (45, 1) = 0.35876203001810294e-4, (46, 1) = 0.2760659076067794e-4, (47, 1) = 0.2124292726011601e-4, (48, 1) = 0.16345968600493896e-4, (49, 1) = 0.12577685833175204e-4, (50, 1) = 0.9677946200145292e-5, (51, 1) = 0.7446568389205207e-5, (52, 1) = 0.572950561708905e-5, (53, 1) = 0.4408214288047028e-5, (54, 1) = 0.33914734341994128e-5, (55, 1) = 0.26090866281215165e-5, (56, 1) = 0.2007036819483787e-5, (57, 1) = 0.15437574167302585e-5, (58, 1) = 0.11872625153822038e-5, (59, 1) = 0.9129386815260012e-6, (60, 1) = 0.7018457932677143e-6, (61, 1) = 0.5394093554084684e-6, (62, 1) = 0.4144141601663566e-6, (63, 1) = 0.3182300735851506e-6, (64, 1) = 0.2442162516089308e-6, (65, 1) = 0.18726248210525626e-6, (66, 1) = 0.14343642824349548e-6, (67, 1) = 0.10971222098706527e-6, (68, 1) = 0.8376137670951935e-7, (69, 1) = 0.6379215798607884e-7, (70, 1) = 0.484258249549908e-7, (71, 1) = 0.366013952952395e-7, (72, 1) = 0.27502479767601997e-7, (73, 1) = 0.20500859986319853e-7, (74, 1) = 0.15113097586241964e-7, (75, 1) = 0.10967200414447266e-7, (76, 1) = 0.7776939002613209e-8, (77, 1) = 0.5322030736089875e-8, (78, 1) = 0.3432954607591143e-8, (79, 1) = 0.19793554665766965e-8, (80, 1) = 0.8608798707977928e-9, (81, 1) = .0}, datatype = float[8], order = C_order); vary := Vector(2, {(1) = .0, (2) = -.25}, datatype = float[8]); ndep := 1; if vary[ndep+1]-outpoint <> 0. then `pdsolve/interp1dto0d`(81, indepvals, 1, depvals, false, outpoint, vary); vary[ndep+1] := outpoint end if; [seq(vary[i], i = 1 .. ndep)] end proc; if not type(outpoint, 'numeric') then if member(outpoint, ["start", "left", "right"]) then return solnproc(x_pde) elif outpoint = "solnprocedure" then return eval(solnproc) elif procname <> unknown then return ('procname')(x_pde) else ndsol := pointto(solnproc("soln_procedures")[0]); return ('ndsol')(x_pde) end if end if; stype := "2nd"; try res := solnproc(outpoint); if stype = "1st" then [x = outpoint, y = 0., seq([T(x, y)][i] = res[i], i = 1 .. 1)] else [x = 0., y = outpoint, seq([T(x, y)][i] = res[i], i = 1 .. 1)] end if catch: error  end try end proc

Ty := proc (y0) options operator, arrow; fdiff(`@`(proc (r) options operator, arrow; rhs(r[-1]) end proc, Hy), [1], [y0]) end proc;

proc (y0) options operator, arrow; evalf((D(proc (yin) options operator, arrow; rhs(Hy(yin)[-1]) end proc))(y0)) end proc

Ty(5.1);

-0.1741580880e-1

Ty_alt1(5.1);

-0.1741580880e-1

Ty_alt2(5.1);

-0.1741580880e-1

Ty_alt3(5.1);

-0.1741580880e-1

CodeTools:-Usage(plot(Ty, 0 .. 5));

forget(evalf):

memory used=5.73MiB, alloc change=0 bytes, cpu time=28.00ms, real time=30.00ms, gc time=0ns
memory used=16.19MiB, alloc change=0 bytes, cpu time=156.00ms, real time=140.00ms, gc time=44.00ms

memory used=3.13MiB, alloc change=0 bytes, cpu time=23.00ms, real time=25.00ms, gc time=0ns

memory used=48.18MiB, alloc change=0 bytes, cpu time=251.00ms, real time=253.00ms, gc time=0ns
memory used=5.73MiB, alloc change=0 bytes, cpu time=28.00ms, real time=30.00ms, gc time=0ns

memory used=16.18MiB, alloc change=0 bytes, cpu time=164.00ms, real time=142.00ms, gc time=48.00ms
memory used=3.12MiB, alloc change=0 bytes, cpu time=20.00ms, real time=24.00ms, gc time=0ns

memory used=48.22MiB, alloc change=0 bytes, cpu time=252.00ms, real time=253.00ms, gc time=0ns

 

``


 

Download fyp3_1.mw

This question has been asked on this site several times over the years [eg, 1, 2, 3, 4]. The answers have usually consisted of flipping the 2D plot and forcing the tickmarks.

Another way is to transform it into a 3D plot, and then display with a flipped orientation.

Since 3D plots get rendered quite small by default, I'll throw in a trick to force the displayed size of a 3D plot programatically. The topic of "size" of rendered 3D plots is tricky, and the size of the containing box (which is what this code affects) is just one piece of the puzzle. Other pieces include the stretching/scaling (which can be done programatically by creation/insertion using DocumentTools commands), and the relative axis-ratios (for which I have some code and might find time to post over the coming holidays...).

 

 

 

restart;

f := x->x^2:
P1 := plot(f, 0..10):
P1;

Pnew := plots:-display(plottools:-transform((x,y)->[x,y,1])(P1),
                       orientation=[90,0,180], axes=frame,
                       axis=[thickness=0,tickmarks=[thickness=0]]):

Pnew;

resize3d := proc(P::specfunc(PLOT3D), d::posint:=600)
   :-PLOT3D(remove(type,[op(P)],'specfunc(ROOT)')[],
          ':-ROOT'(':-BOUNDS_X'(0), ':-BOUNDS_Y'(0),
                   ':-BOUNDS_WIDTH'(d),
                   ':-BOUNDS_HEIGHT'(d)));
end proc:

resize3d(Pnew);

 

 

 

Download 3dviewflipped.mw

First 204 205 206 207 208 209 210 Last Page 206 of 339