acer

32622 Reputation

29 Badges

20 years, 43 days
Ontario, Canada

Social Networks and Content at Maplesoft.com

MaplePrimes Activity


These are answers submitted by acer

 

restart;

f := (125*x^3+525*x^2*y+735*x*y^2+343*y^3-36*z^2)
     /(-216*z^3+25*x^2+70*x*y+49*y^2);

(125*x^3+525*x^2*y+735*x*y^2+343*y^3-36*z^2)/(-216*z^3+25*x^2+70*x*y+49*y^2)

collect(f,z,factor);

(-36*z^2+(5*x+7*y)^3)/(-216*z^3+(5*x+7*y)^2)

Download collectfactor.mw

acer

This is covered in the subsubsubsection "2-dimensional case"->"Interpolation"->"Uniform data grid"->"Interpolating procedure" of the help page available via ?examples,Interpolation_and_Smoothing .

The basic methodology is simple, see `f` below. For that I'd suggest using Vectors/Array/Matrices and square-bracket indexing and not lists and `op`.

Using float[8] datatype helps with resources. There is overhead in getting a pair of scalars into the indexable containers (Arrays, lists, etc) that ArrayInterpolation accepts. It's designed to be fast for dealing with large amounts of interpolating points all at once. Repeated use to process individual points will be less efficient than processing them all at once. But perhaps you won't know up front what they all are. There is an efficiency section in that example worksheet for the 1D interpolation case's efficiency, and I follow that is the more efficienct `F` below.


restart;

x:=<0,1,2>:
y:=<0,1,2>:
data:=<<0,2,4>|<1,4,16>|<1,8,64>>:

f:=(a,b)->CurveFitting:-ArrayInterpolation([x,y], data,
              Array(1..1, 1..1, 1..2, [[[a,b]]]), method=spline)[1,1]:

f(0.5,0.5);

HFloat(1.5537109375)

#plot3d(f, 0..2, 0..2, style=surface);

#dataplot(x, y, data, style=surface);

#plots:-surfdata(Array(data,datatype=float[8]), 0..2, 0..2, source=regular, style=surface);

#plots:-matrixplot(data, labels=["","",""], style=surface,
#                  axis[1]=[tickmarks=[]], axis[2]=[tickmarks=[]]);

 

#
# The following `F` is more efficient than `f` above.
#
F := module()
export ModuleApply;
local inArray, outArray, hwxdata, hwydata, hwdata;
   inArray:=Array(1..1,1..1,1..2,':-datatype'=':-float[8]');
   outArray:=Array(1..1,1..1,':-datatype'=':-float[8]');
   hwxdata,hwydata := Vector(x,':-datatype'=':-float[8]'),
                      Vector(y,':-datatype'=':-float[8]'):
   hwdata:=Matrix(data,':-datatype'=':-float[8]'):
   ModuleApply:=proc(a, b,
                    {method::identical(spline,linear,cubic):=':-spline'})
     if not ( a::numeric and b::numeric ) then
       return 'F'(args);
     end if;
     UseHardwareFloats:=true;
     inArray[1,1,1]:=a;
     inArray[1,1,2]:=b;
     CurveFitting:-ArrayInterpolation([hwxdata,hwydata], hwdata,
                                      inArray, ':-container'=outArray,
                                      ':-method'=method, _rest);
      outArray[1,1];
   end proc;
end module:

f(0.5,0.5), F(0.5,0.5);
f(0.3, 0.45), F(0.3, 0.45);
F(s,t);

HFloat(1.5537109375), HFloat(1.5537109375)

HFloat(1.1073818203124999), HFloat(1.1073818203124999)

F(s, t)

CodeTools:-Usage( plot3d(f, 0..2, 0..2) ):

memory used=78.18MiB, alloc change=32.00MiB, cpu time=4.34s, real time=4.34s, gc time=93.60ms

CodeTools:-Usage( plot3d(F, 0..2, 0..2) ):

memory used=33.87MiB, alloc change=0 bytes, cpu time=1.82s, real time=1.83s, gc time=46.80ms

#plot3d(F, 0..2, 0..2, style=surface);

#plot3d(F(s,t,method=linear), s=0..2, t=0..2, style=surface);

 


Download 2dinterp.mw

acer

Apart from increasing the grid sizing to get a smoother 3D plot (as Doug suggested), you can also make the 2D contourplot look a little better by using a different choice of custom contour values.

Download sz2012_4m_K.mw

[edited] The 2D colorbar facsimile (faked, as a legend) can look a little nicer if the `.` used to force the nonempty strings (color blobs) are also colored.

sz2012_4m_KK.mw

The GUI seems unwilling to typeset colored 2D Math if the mathcolor (foreground color) and the mathbackground (background color) are exactly the same, on my Linux at least. A small adjustment of either, so they are not identical, seems to work. Proper care should be taken to make the adjusted RGB24 color value be valid with entries all in 0-255 (which I didn't do). A further possible refinement is that intsead of atomic-identifiers like `#mrow(...)` one could use Typsettting:-mrow, etc, so that size=posint qualifier could be used to also modify the typeset size. (I didn't do that either.)

 

restart;

PP:=sin(x)*y^2:

(c1,c2):=ColorTools:-Color("#7700ff"),ColorTools:-Color("#33ff66"):

contlist:=[seq(i, i=-1..1, .125)]:

numcont:=nops(contlist):

clist:=[seq(ColorTools:-Color([c1[]]+(i-1)*([c2[]]-[c1[]])/(numcont-1)), i=1..numcont)]:

P1:=plots:-contourplot(PP, x=-Pi..Pi, y=-1..0, filledregions, grid=[100,100],
                     coloring=[clist[1], clist[-1]], contours=contlist):

P2:=plots:-display(
    seq(plot([[1,0]], color=white, axes=none,
           legend=typeset(nprintf(cat("#mrow(mi(\".      .\",mathbackground=%a,mathcolor=%a)",
                                      `if`(irem(i,2)=1,
                                           sprintf(",mi(\"gt;\"),mn(\"% .2f\")",
                                                   contlist[i]),NULL),")"),
                                  ColorTools:-RGB24ToHex(ColorTools:-RGBToRGB24([clist[i+1][]])),
                                  ColorTools:-RGB24ToHex(ColorTools:-RGBToRGB24([clist[i+1][]])
                                                         -[0,0,1])))),
      i=nops(clist)-1 .. 1, -1),legendstyle=[location=right]):

plots:-display(P1, P2, legendstyle=[location=right], size=[680,500], axes=box,
              axis[1]=[tickmarks=piticks], labels=[``,``]);

 

Download altcolorbar.mw

This legend-as-colorbar trick could be made into a convenient procedure. It doesn't have to be used with just contourplots. It might also be used with densityplots, or 2D pointplots, or contour plots implemented via implicitplot calls.

 

acer

The problem is that when you save a Units:-Unit beast to a .mla archive and then access it in a new session the attributes (that commands in Units:-Standard expect to see on it) have been stripped off. That makes the command error out.

This can be illustrated by example:

restart:

A:=Units:-Unit(m):
lprint(A);

Units:-Unit(m)

attributes(A);

Units:-UnitStruct(1, metre, contexts:-SI), inert

Units:-Standard:-`*`(A, 2.5, A);

2.5*Units:-Unit(('m')^2)

fn:=cat(kernelopts(homedir),"/My Documents/foobar.mla"):

try
  LibraryTools:-Create(fn);
catch "there is already an archive":
end try;

LibraryTools:-Save('A', fn);

Download unitmla1.mw

 

Now let's restart and access that saved value. The same call to Units:-Standard:-`*` now emits an error message. This happens because the internal code of that command is expecting those attributes, as printed above.

 

restart;

libname:=cat(kernelopts(homedir),"/My Documents/foobar.mla"), libname:

lprint(A);

Units:-Unit(m)

attributes(A); # NULL

Units:-Standard:-`*`(A, 2.5, A); # error due to lack of expected attributes

Error, (in Units:-Standard:-*) invalid subscript selector

Download unitmla2.mw

 

I'm not sure what the most practical workaround to this problem might be. The following reinstantiates the Units:-Unit call and produces the value anew, with the attributes. I don't know whether other, related problems might arise though.

 

restart;

libname:=cat(kernelopts(homedir),"/My Documents/foobar.mla"), libname:

lprint(A);

Units:-Unit(m)

fixit:=(u)->subsindets(u,':-specfunc(anything,Units:-Unit)',convert,`global`):

A:=fixit(A):

attributes(A);

Units:-UnitStruct(1, metre, contexts:-SI), inert

Units:-Standard:-`*`(A, 2.5, A);

2.5*Units:-Unit(('m')^2)

Download unitmla3.mw

 

This behaviour appears for me in Maple 13, 17, and 2015 (which are all I tested). I shall submit a bug report.


acer


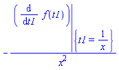
fo:=f(1/x);

f(1/x)

diff(fo,x); # the symbolic derivative

-(D(f))(1/x)/x^2

convert(%,diff); # an alternate representation

-(eval(diff(f(t1), t1), {t1 = 1/x}))/x^2


Download diffat.mw

acer

There is a command Statitistics:-ExponentialFit which allows you to weight the data (as applied to a transformed model -- see the help page).

You may note that I am not supplying initial points here.

You should probably look at some of the other pieces of information that the `output` option of this command can supply to you. A central question which you ought to be asking is: how are you going to judge one fit as being better than another? Only you can decide that, and until you do it isn't very sensible for the rest of us to use any metric to make such judgement.

restart;

year := [1850,1860,1870,1880,1890,1900,1910,1920,1930,1940,
         1950,1960,1970,1980,1990,2000,2010]:

population :=[4668,9070,17375,27985,37249,63786,115693,
              186667,359328,528961,806701,1243158,1741912,
              2049527,2818199,3400578,4092459]:

sol:=Statistics:-ExponentialFit(year, population, x);

                                     -31                          
           sol := 1.08291520188752 10    exp(0.0433611679840687 x)

plots:-display(plot(sol,x=year[1]..year[-1]),
               plot(<<year>|<population>>,style=point));

W := map(y->abs(1850-y)^3,year):

solW:=Statistics:-ExponentialFit(year, population, x, weights=W);

                                     -22                          
          solW := 6.74209319468292 10    exp(0.0319134519471405 x)

plots:-display(plot(solW,x=year[1]..year[-1]),
               plot(<<year>|<population>>,style=point));

 

Download expfit.mw

acer

Using the same code as I did in your duplicate post:


restart;

eq := (-sin(p(t)+g(t))*cos(a(t))-sin(b(t))*sin(a(t))*cos(p(t)+g(t)))*l2[1]+((-sin(p(t)+g(t))*cos(a(t))-sin(b(t))*sin(a(t))*cos(p(t)+g(t)))*cos(th(t))+(-cos(p(t)+g(t))*cos(a(t))+sin(a(t))*sin(b(t))*sin(p(t)+g(t)))*sin(th(t)))*l3[1]+(-sin(a(t))*sin(g(t))*sin(b(t))+cos(a(t))*cos(g(t)))*xb[1]+sin(a(t))*cos(b(t))*yb[1]+(sin(a(t))*sin(b(t))*cos(g(t))+cos(a(t))*sin(g(t)))*zb[1]+x(t)-xp(t) = 0;

(-sin(p(t)+g(t))*cos(a(t))-sin(b(t))*sin(a(t))*cos(p(t)+g(t)))*l2[1]+((-sin(p(t)+g(t))*cos(a(t))-sin(b(t))*sin(a(t))*cos(p(t)+g(t)))*cos(th(t))+(-cos(p(t)+g(t))*cos(a(t))+sin(a(t))*sin(b(t))*sin(p(t)+g(t)))*sin(th(t)))*l3[1]+(-sin(a(t))*sin(g(t))*sin(b(t))+cos(a(t))*cos(g(t)))*xb[1]+sin(a(t))*cos(b(t))*yb[1]+(sin(a(t))*sin(b(t))*cos(g(t))+cos(a(t))*sin(g(t)))*zb[1]+x(t)-xp(t) = 0

length(eq), MmaTranslator:-Mma:-LeafCount(eq), `simplify/size/size`(eq);

780, 148, 321

ans1 := collect(expand(eq), [l2[1],l3[1]],
                u->simplify(frontend(combine, [u],
                                     [{`+`,`*`},
                                      {seq('cos(x(t)),sin(x(t))',x=[p,g,th])}]),
                            size));

(-sin(p(t)+g(t))*cos(a(t))-sin(b(t))*sin(a(t))*cos(p(t)+g(t)))*l2[1]+(-cos(a(t))*sin(g(t)+th(t)+p(t))-sin(b(t))*sin(a(t))*cos(g(t)+th(t)+p(t)))*l3[1]+(cos(g(t))*sin(b(t))*zb[1]-sin(b(t))*sin(g(t))*xb[1]+yb[1]*cos(b(t)))*sin(a(t))+(cos(g(t))*xb[1]+sin(g(t))*zb[1])*cos(a(t))+x(t)-xp(t) = 0

length(ans1), MmaTranslator:-Mma:-LeafCount(ans1), `simplify/size/size`(ans1);

590, 111, 250

ans2 := simplify(frontend(combine, [expand(eq)],
                          [{`+`,`*`},
                           {seq('cos(x(t)),sin(x(t))',x=[p,g,th])}]),
                 size);

-l3[1]*sin(b(t))*sin(a(t))*cos(g(t)+th(t)+p(t))-l3[1]*cos(a(t))*sin(g(t)+th(t)+p(t))-l2[1]*sin(b(t))*sin(a(t))*cos(p(t)+g(t))-l2[1]*cos(a(t))*sin(p(t)+g(t))+((zb[1]*cos(g(t))-sin(g(t))*xb[1])*sin(b(t))+yb[1]*cos(b(t)))*sin(a(t))+(cos(g(t))*xb[1]+sin(g(t))*zb[1])*cos(a(t))-xp(t)+x(t) = 0

length(ans2), MmaTranslator:-Mma:-LeafCount(ans2), `simplify/size/size`(ans2);

586, 108, 241

simplify(eq - ans1), simplify(eq - ans2);

0 = 0, 0 = 0

 


Download tringsimpv.mw

acer

The "shortest" result may be one in which only some of the trig terms are allowed to be combined.

If you know which ones you want to be allowed to be combined then you can just frontend a call to combine, and then simplift wrt size or collect wrt l2,l3, etc. That's what I'll do below.

There is slightly smaller result (in some metrics, and I illustrate using several) if you do not collect wrt l2[1] and l3[1]. But perhaps that collection is a requirement for you.

restart;

eq := (-sin(p(t)+g(t))*cos(a(t))-sin(b(t))*sin(a(t))*cos(p(t)+g(t)))*l2[1]
      +((-sin(p(t)+g(t))*cos(a(t))-sin(b(t))*sin(a(t))*cos(p(t)+g(t)))*cos(th(t))
      +(-cos(p(t)+g(t))*cos(a(t))+sin(a(t))*sin(b(t))*sin(p(t)+g(t)))*sin(th(t)))*l3[1]=0;

(-sin(p(t)+g(t))*cos(a(t))-sin(b(t))*sin(a(t))*cos(p(t)+g(t)))*l2[1]+((-sin(p(t)+g(t))*cos(a(t))-sin(b(t))*sin(a(t))*cos(p(t)+g(t)))*cos(th(t))+(-cos(p(t)+g(t))*cos(a(t))+sin(a(t))*sin(b(t))*sin(p(t)+g(t)))*sin(th(t)))*l3[1] = 0

length(eq), MmaTranslator:-Mma:-LeafCount(eq), `simplify/size/size`(eq);

474, 93, 208

ans1 := collect(expand(eq), [l2[1],l3[1]],
                u->simplify(frontend(combine, [u],
                                     [{`+`,`*`},
                                      {seq('cos(x(t)),sin(x(t))',x=[p,g,th])}]),
                            size));

(-sin(p(t)+g(t))*cos(a(t))-sin(b(t))*sin(a(t))*cos(p(t)+g(t)))*l2[1]+(-cos(a(t))*sin(g(t)+th(t)+p(t))-sin(b(t))*sin(a(t))*cos(g(t)+th(t)+p(t)))*l3[1] = 0

length(ans1), MmaTranslator:-Mma:-LeafCount(ans1), `simplify/size/size`(ans1);

316, 63, 126

ans2 := simplify(frontend(combine, [expand(eq)],
                          [{`+`,`*`},
                           {seq('cos(x(t)),sin(x(t))',x=[p,g,th])}]),
                 size);

-l2[1]*sin(b(t))*sin(a(t))*cos(p(t)+g(t))-l3[1]*sin(b(t))*sin(a(t))*cos(g(t)+th(t)+p(t))-l2[1]*cos(a(t))*sin(p(t)+g(t))-l3[1]*cos(a(t))*sin(g(t)+th(t)+p(t)) = 0

length(ans2), MmaTranslator:-Mma:-LeafCount(ans2), `simplify/size/size`(ans2);

322, 61, 110

simplify(eq - ans1), simplify(eq - ans2);

0 = 0, 0 = 0

Download tringsimpvi.mw

I have some code which does brute force walks through all the possible subsets of combine-allowable trig terms, looking for the smallest result. It gets really slow as the number of total terms to consider grows. I won't show it here.

acer

It is not too difficult to get about 9 correct decimal digits in under 1 second (using my 64bit Maple 2015.2 on an Intel i5).


restart:
with(LinearAlgebra):
with(Student[Calculus1]):
with(Student[NumericalAnalysis]):
with(IntegrationTools):
Digits:=32:

expr1:=1.5079645854807043742178700098560*10^(-32)*(0.703928602207493123712018257534982e-1*LaguerreL(4, 4.02341217155910653242221082718544*r2+4.8280949636885638667721853083600*10^(-33)*sqrt(2.7777775719123411344533011625670*10^66-3.7820620906491654902812682940908*10^62*(1.9994556794244724285271525910301*r2*t+1.9994556794244724285271525910301)^2+3.7800034364353023263307641062080*10^62*r2^2)-8.0446343170894053758449857104985*r2*t-8.0446343170894053758449857104985)*LaguerreL(1, 8.0446343170894053758449857104985*r2*t+8.0446343170894053758449857104985+4.8280949636885638667721853083600*10^(-33)*sqrt(2.7777775719123411344533011625670*10^66-3.7820620906491654902812682940908*10^62*(1.9994556794244724285271525910301*r2*t+1.9994556794244724285271525910301)^2+3.7800034364353023263307641062080*10^62*r2^2)-4.02341217155910653242221082718544*r2)*LaguerreL(0, 1.45914849589304508427400147271161*r2+2.9175027472370254759881486222105*r2*t+2.9175027472370254759881486222105-1.7509783248393843637092160706980*10^(-33)*sqrt(2.7777775719123411344533011625670*10^66-3.7820620906491654902812682940908*10^62*(1.9994556794244724285271525910301*r2*t+1.9994556794244724285271525910301)^2+3.7800034364353023263307641062080*10^62*r2^2))+0.153681697305589455792786340376371e-3*LaguerreL(2, 4.02341217155910653242221082718544*r2+4.8280949636885638667721853083600*10^(-33)*sqrt(2.7777775719123411344533011625670*10^66-3.7820620906491654902812682940908*10^62*(1.9994556794244724285271525910301*r2*t+1.9994556794244724285271525910301)^2+3.7800034364353023263307641062080*10^62*r2^2)-8.0446343170894053758449857104985*r2*t-8.0446343170894053758449857104985)*LaguerreL(2, 8.0446343170894053758449857104985*r2*t+8.0446343170894053758449857104985+4.8280949636885638667721853083600*10^(-33)*sqrt(2.7777775719123411344533011625670*10^66-3.7820620906491654902812682940908*10^62*(1.9994556794244724285271525910301*r2*t+1.9994556794244724285271525910301)^2+3.7800034364353023263307641062080*10^62*r2^2)-4.02341217155910653242221082718544*r2)*LaguerreL(3, 1.45914849589304508427400147271161*r2+2.9175027472370254759881486222105*r2*t+2.9175027472370254759881486222105-1.7509783248393843637092160706980*10^(-33)*sqrt(2.7777775719123411344533011625670*10^66-3.7820620906491654902812682940908*10^62*(1.9994556794244724285271525910301*r2*t+1.9994556794244724285271525910301)^2+3.7800034364353023263307641062080*10^62*r2^2))+0.21215805652148081035659561370764e-5*LaguerreL(0, 4.02341217155910653242221082718544*r2+4.8280949636885638667721853083600*10^(-33)*sqrt(2.7777775719123411344533011625670*10^66-3.7820620906491654902812682940908*10^62*(1.9994556794244724285271525910301*r2*t+1.9994556794244724285271525910301)^2+3.7800034364353023263307641062080*10^62*r2^2)-8.0446343170894053758449857104985*r2*t-8.0446343170894053758449857104985)*LaguerreL(5, 8.0446343170894053758449857104985*r2*t+8.0446343170894053758449857104985+4.8280949636885638667721853083600*10^(-33)*sqrt(2.7777775719123411344533011625670*10^66-3.7820620906491654902812682940908*10^62*(1.9994556794244724285271525910301*r2*t+1.9994556794244724285271525910301)^2+3.7800034364353023263307641062080*10^62*r2^2)-4.02341217155910653242221082718544*r2)*LaguerreL(2, 1.45914849589304508427400147271161*r2+2.9175027472370254759881486222105*r2*t+2.9175027472370254759881486222105-1.7509783248393843637092160706980*10^(-33)*sqrt(2.7777775719123411344533011625670*10^66-3.7820620906491654902812682940908*10^62*(1.9994556794244724285271525910301*r2*t+1.9994556794244724285271525910301)^2+3.7800034364353023263307641062080*10^62*r2^2))-0.391890622683170508162558590750884e-1*LaguerreL(7, 4.02341217155910653242221082718544*r2+4.8280949636885638667721853083600*10^(-33)*sqrt(2.7777775719123411344533011625670*10^66-3.7820620906491654902812682940908*10^62*(1.9994556794244724285271525910301*r2*t+1.9994556794244724285271525910301)^2+3.7800034364353023263307641062080*10^62*r2^2)-8.0446343170894053758449857104985*r2*t-8.0446343170894053758449857104985)*LaguerreL(0, 8.0446343170894053758449857104985*r2*t+8.0446343170894053758449857104985+4.8280949636885638667721853083600*10^(-33)*sqrt(2.7777775719123411344533011625670*10^66-3.7820620906491654902812682940908*10^62*(1.9994556794244724285271525910301*r2*t+1.9994556794244724285271525910301)^2+3.7800034364353023263307641062080*10^62*r2^2)-4.02341217155910653242221082718544*r2)*LaguerreL(0, 1.45914849589304508427400147271161*r2+2.9175027472370254759881486222105*r2*t+2.9175027472370254759881486222105-1.7509783248393843637092160706980*10^(-33)*sqrt(2.7777775719123411344533011625670*10^66-3.7820620906491654902812682940908*10^62*(1.9994556794244724285271525910301*r2*t+1.9994556794244724285271525910301)^2+3.7800034364353023263307641062080*10^62*r2^2))+0.21215805652148081035659561370764e-5*LaguerreL(5, 4.02341217155910653242221082718544*r2+4.8280949636885638667721853083600*10^(-33)*sqrt(2.7777775719123411344533011625670*10^66-3.7820620906491654902812682940908*10^62*(1.9994556794244724285271525910301*r2*t+1.9994556794244724285271525910301)^2+3.7800034364353023263307641062080*10^62*r2^2)-8.0446343170894053758449857104985*r2*t-8.0446343170894053758449857104985)*LaguerreL(0, 8.0446343170894053758449857104985*r2*t+8.0446343170894053758449857104985+4.8280949636885638667721853083600*10^(-33)*sqrt(2.7777775719123411344533011625670*10^66-3.7820620906491654902812682940908*10^62*(1.9994556794244724285271525910301*r2*t+1.9994556794244724285271525910301)^2+3.7800034364353023263307641062080*10^62*r2^2)-4.02341217155910653242221082718544*r2)*LaguerreL(2, 1.45914849589304508427400147271161*r2+2.9175027472370254759881486222105*r2*t+2.9175027472370254759881486222105-1.7509783248393843637092160706980*10^(-33)*sqrt(2.7777775719123411344533011625670*10^66-3.7820620906491654902812682940908*10^62*(1.9994556794244724285271525910301*r2*t+1.9994556794244724285271525910301)^2+3.7800034364353023263307641062080*10^62*r2^2))+0.51780028688051577924381426481956e-4*LaguerreL(1, 4.02341217155910653242221082718544*r2+4.8280949636885638667721853083600*10^(-33)*sqrt(2.7777775719123411344533011625670*10^66-3.7820620906491654902812682940908*10^62*(1.9994556794244724285271525910301*r2*t+1.9994556794244724285271525910301)^2+3.7800034364353023263307641062080*10^62*r2^2)-8.0446343170894053758449857104985*r2*t-8.0446343170894053758449857104985)*LaguerreL(4, 8.0446343170894053758449857104985*r2*t+8.0446343170894053758449857104985+4.8280949636885638667721853083600*10^(-33)*sqrt(2.7777775719123411344533011625670*10^66-3.7820620906491654902812682940908*10^62*(1.9994556794244724285271525910301*r2*t+1.9994556794244724285271525910301)^2+3.7800034364353023263307641062080*10^62*r2^2)-4.02341217155910653242221082718544*r2)*LaguerreL(2, 1.45914849589304508427400147271161*r2+2.9175027472370254759881486222105*r2*t+2.9175027472370254759881486222105-1.7509783248393843637092160706980*10^(-33)*sqrt(2.7777775719123411344533011625670*10^66-3.7820620906491654902812682940908*10^62*(1.9994556794244724285271525910301*r2*t+1.9994556794244724285271525910301)^2+3.7800034364353023263307641062080*10^62*r2^2))-0.313411419152266856083419307738512e-1*LaguerreL(1, 4.02341217155910653242221082718544*r2+4.8280949636885638667721853083600*10^(-33)*sqrt(2.7777775719123411344533011625670*10^66-3.7820620906491654902812682940908*10^62*(1.9994556794244724285271525910301*r2*t+1.9994556794244724285271525910301)^2+3.7800034364353023263307641062080*10^62*r2^2)-8.0446343170894053758449857104985*r2*t-8.0446343170894053758449857104985)*LaguerreL(6, 8.0446343170894053758449857104985*r2*t+8.0446343170894053758449857104985+4.8280949636885638667721853083600*10^(-33)*sqrt(2.7777775719123411344533011625670*10^66-3.7820620906491654902812682940908*10^62*(1.9994556794244724285271525910301*r2*t+1.9994556794244724285271525910301)^2+3.7800034364353023263307641062080*10^62*r2^2)-4.02341217155910653242221082718544*r2)*LaguerreL(0, 1.45914849589304508427400147271161*r2+2.9175027472370254759881486222105*r2*t+2.9175027472370254759881486222105-1.7509783248393843637092160706980*10^(-33)*sqrt(2.7777775719123411344533011625670*10^66-3.7820620906491654902812682940908*10^62*(1.9994556794244724285271525910301*r2*t+1.9994556794244724285271525910301)^2+3.7800034364353023263307641062080*10^62*r2^2))+0.51780028688051577924381426481956e-4*LaguerreL(4, 4.02341217155910653242221082718544*r2+4.8280949636885638667721853083600*10^(-33)*sqrt(2.7777775719123411344533011625670*10^66-3.7820620906491654902812682940908*10^62*(1.9994556794244724285271525910301*r2*t+1.9994556794244724285271525910301)^2+3.7800034364353023263307641062080*10^62*r2^2)-8.0446343170894053758449857104985*r2*t-8.0446343170894053758449857104985)*LaguerreL(1, 8.0446343170894053758449857104985*r2*t+8.0446343170894053758449857104985+4.8280949636885638667721853083600*10^(-33)*sqrt(2.7777775719123411344533011625670*10^66-3.7820620906491654902812682940908*10^62*(1.9994556794244724285271525910301*r2*t+1.9994556794244724285271525910301)^2+3.7800034364353023263307641062080*10^62*r2^2)-4.02341217155910653242221082718544*r2)*LaguerreL(2, 1.45914849589304508427400147271161*r2+2.9175027472370254759881486222105*r2*t+2.9175027472370254759881486222105-1.7509783248393843637092160706980*10^(-33)*sqrt(2.7777775719123411344533011625670*10^66-3.7820620906491654902812682940908*10^62*(1.9994556794244724285271525910301*r2*t+1.9994556794244724285271525910301)^2+3.7800034364353023263307641062080*10^62*r2^2))+0.70058065079770184014857603639648e-4*LaguerreL(2, 4.02341217155910653242221082718544*r2+4.8280949636885638667721853083600*10^(-33)*sqrt(2.7777775719123411344533011625670*10^66-3.7820620906491654902812682940908*10^62*(1.9994556794244724285271525910301*r2*t+1.9994556794244724285271525910301)^2+3.7800034364353023263307641062080*10^62*r2^2)-8.0446343170894053758449857104985*r2*t-8.0446343170894053758449857104985)*LaguerreL(3, 8.0446343170894053758449857104985*r2*t+8.0446343170894053758449857104985+4.8280949636885638667721853083600*10^(-33)*sqrt(2.7777775719123411344533011625670*10^66-3.7820620906491654902812682940908*10^62*(1.9994556794244724285271525910301*r2*t+1.9994556794244724285271525910301)^2+3.7800034364353023263307641062080*10^62*r2^2)-4.02341217155910653242221082718544*r2)*LaguerreL(2, 1.45914849589304508427400147271161*r2+2.9175027472370254759881486222105*r2*t+2.9175027472370254759881486222105-1.7509783248393843637092160706980*10^(-33)*sqrt(2.7777775719123411344533011625670*10^66-3.7820620906491654902812682940908*10^62*(1.9994556794244724285271525910301*r2*t+1.9994556794244724285271525910301)^2+3.7800034364353023263307641062080*10^62*r2^2))+0.931508341637951867146192944533839e-3*LaguerreL(0, 4.02341217155910653242221082718544*r2+4.8280949636885638667721853083600*10^(-33)*sqrt(2.7777775719123411344533011625670*10^66-3.7820620906491654902812682940908*10^62*(1.9994556794244724285271525910301*r2*t+1.9994556794244724285271525910301)^2+3.7800034364353023263307641062080*10^62*r2^2)-8.0446343170894053758449857104985*r2*t-8.0446343170894053758449857104985)*LaguerreL(4, 8.0446343170894053758449857104985*r2*t+8.0446343170894053758449857104985+4.8280949636885638667721853083600*10^(-33)*sqrt(2.7777775719123411344533011625670*10^66-3.7820620906491654902812682940908*10^62*(1.9994556794244724285271525910301*r2*t+1.9994556794244724285271525910301)^2+3.7800034364353023263307641062080*10^62*r2^2)-4.02341217155910653242221082718544*r2)*LaguerreL(2, 1.45914849589304508427400147271161*r2+2.9175027472370254759881486222105*r2*t+2.9175027472370254759881486222105-1.7509783248393843637092160706980*10^(-33)*sqrt(2.7777775719123411344533011625670*10^66-3.7820620906491654902812682940908*10^62*(1.9994556794244724285271525910301*r2*t+1.9994556794244724285271525910301)^2+3.7800034364353023263307641062080*10^62*r2^2))+0.70058065079770184014857603639648e-4*LaguerreL(3, 4.02341217155910653242221082718544*r2+4.8280949636885638667721853083600*10^(-33)*sqrt(2.7777775719123411344533011625670*10^66-3.7820620906491654902812682940908*10^62*(1.9994556794244724285271525910301*r2*t+1.9994556794244724285271525910301)^2+3.7800034364353023263307641062080*10^62*r2^2)-8.0446343170894053758449857104985*r2*t-8.0446343170894053758449857104985)*LaguerreL(2, 8.0446343170894053758449857104985*r2*t+8.0446343170894053758449857104985+4.8280949636885638667721853083600*10^(-33)*sqrt(2.7777775719123411344533011625670*10^66-3.7820620906491654902812682940908*10^62*(1.9994556794244724285271525910301*r2*t+1.9994556794244724285271525910301)^2+3.7800034364353023263307641062080*10^62*r2^2)-4.02341217155910653242221082718544*r2)*LaguerreL(2, 1.45914849589304508427400147271161*r2+2.9175027472370254759881486222105*r2*t+2.9175027472370254759881486222105-1.7509783248393843637092160706980*10^(-33)*sqrt(2.7777775719123411344533011625670*10^66-3.7820620906491654902812682940908*10^62*(1.9994556794244724285271525910301*r2*t+1.9994556794244724285271525910301)^2+3.7800034364353023263307641062080*10^62*r2^2))+0.344160843244010230129843249781787e-1*LaguerreL(6, 4.02341217155910653242221082718544*r2+4.8280949636885638667721853083600*10^(-33)*sqrt(2.7777775719123411344533011625670*10^66-3.7820620906491654902812682940908*10^62*(1.9994556794244724285271525910301*r2*t+1.9994556794244724285271525910301)^2+3.7800034364353023263307641062080*10^62*r2^2)-8.0446343170894053758449857104985*r2*t-8.0446343170894053758449857104985)*LaguerreL(0, 8.0446343170894053758449857104985*r2*t+8.0446343170894053758449857104985+4.8280949636885638667721853083600*10^(-33)*sqrt(2.7777775719123411344533011625670*10^66-3.7820620906491654902812682940908*10^62*(1.9994556794244724285271525910301*r2*t+1.9994556794244724285271525910301)^2+3.7800034364353023263307641062080*10^62*r2^2)-4.02341217155910653242221082718544*r2)*LaguerreL(0, 1.45914849589304508427400147271161*r2+2.9175027472370254759881486222105*r2*t+2.9175027472370254759881486222105-1.7509783248393843637092160706980*10^(-33)*sqrt(2.7777775719123411344533011625670*10^66-3.7820620906491654902812682940908*10^62*(1.9994556794244724285271525910301*r2*t+1.9994556794244724285271525910301)^2+3.7800034364353023263307641062080*10^62*r2^2))-0.313411419152266856083419307738512e-1*LaguerreL(6, 4.02341217155910653242221082718544*r2+4.8280949636885638667721853083600*10^(-33)*sqrt(2.7777775719123411344533011625670*10^66-3.7820620906491654902812682940908*10^62*(1.9994556794244724285271525910301*r2*t+1.9994556794244724285271525910301)^2+3.7800034364353023263307641062080*10^62*r2^2)-8.0446343170894053758449857104985*r2*t-8.0446343170894053758449857104985)*LaguerreL(1, 8.0446343170894053758449857104985*r2*t+8.0446343170894053758449857104985+4.8280949636885638667721853083600*10^(-33)*sqrt(2.7777775719123411344533011625670*10^66-3.7820620906491654902812682940908*10^62*(1.9994556794244724285271525910301*r2*t+1.9994556794244724285271525910301)^2+3.7800034364353023263307641062080*10^62*r2^2)-4.02341217155910653242221082718544*r2)*LaguerreL(0, 1.45914849589304508427400147271161*r2+2.9175027472370254759881486222105*r2*t+2.9175027472370254759881486222105-1.7509783248393843637092160706980*10^(-33)*sqrt(2.7777775719123411344533011625670*10^66-3.7820620906491654902812682940908*10^62*(1.9994556794244724285271525910301*r2*t+1.9994556794244724285271525910301)^2+3.7800034364353023263307641062080*10^62*r2^2))+0.186741934394862061968630465453476e-2*LaguerreL(0, 4.02341217155910653242221082718544*r2+4.8280949636885638667721853083600*10^(-33)*sqrt(2.7777775719123411344533011625670*10^66-3.7820620906491654902812682940908*10^62*(1.9994556794244724285271525910301*r2*t+1.9994556794244724285271525910301)^2+3.7800034364353023263307641062080*10^62*r2^2)-8.0446343170894053758449857104985*r2*t-8.0446343170894053758449857104985)*LaguerreL(6, 8.0446343170894053758449857104985*r2*t+8.0446343170894053758449857104985+4.8280949636885638667721853083600*10^(-33)*sqrt(2.7777775719123411344533011625670*10^66-3.7820620906491654902812682940908*10^62*(1.9994556794244724285271525910301*r2*t+1.9994556794244724285271525910301)^2+3.7800034364353023263307641062080*10^62*r2^2)-4.02341217155910653242221082718544*r2)*LaguerreL(1, 1.45914849589304508427400147271161*r2+2.9175027472370254759881486222105*r2*t+2.9175027472370254759881486222105-1.7509783248393843637092160706980*10^(-33)*sqrt(2.7777775719123411344533011625670*10^66-3.7820620906491654902812682940908*10^62*(1.9994556794244724285271525910301*r2*t+1.9994556794244724285271525910301)^2+3.7800034364353023263307641062080*10^62*r2^2))-0.260143980835288030839322599392467e-1*LaguerreL(2, 4.02341217155910653242221082718544*r2+4.8280949636885638667721853083600*10^(-33)*sqrt(2.7777775719123411344533011625670*10^66-3.7820620906491654902812682940908*10^62*(1.9994556794244724285271525910301*r2*t+1.9994556794244724285271525910301)^2+3.7800034364353023263307641062080*10^62*r2^2)-8.0446343170894053758449857104985*r2*t-8.0446343170894053758449857104985)*LaguerreL(5, 8.0446343170894053758449857104985*r2*t+8.0446343170894053758449857104985+4.8280949636885638667721853083600*10^(-33)*sqrt(2.7777775719123411344533011625670*10^66-3.7820620906491654902812682940908*10^62*(1.9994556794244724285271525910301*r2*t+1.9994556794244724285271525910301)^2+3.7800034364353023263307641062080*10^62*r2^2)-4.02341217155910653242221082718544*r2)*LaguerreL(0, 1.45914849589304508427400147271161*r2+2.9175027472370254759881486222105*r2*t+2.9175027472370254759881486222105-1.7509783248393843637092160706980*10^(-33)*sqrt(2.7777775719123411344533011625670*10^66-3.7820620906491654902812682940908*10^62*(1.9994556794244724285271525910301*r2*t+1.9994556794244724285271525910301)^2+3.7800034364353023263307641062080*10^62*r2^2))+0.186741934394862061968630465453476e-2*LaguerreL(6, 4.02341217155910653242221082718544*r2+4.8280949636885638667721853083600*10^(-33)*sqrt(2.7777775719123411344533011625670*10^66-3.7820620906491654902812682940908*10^62*(1.9994556794244724285271525910301*r2*t+1.9994556794244724285271525910301)^2+3.7800034364353023263307641062080*10^62*r2^2)-8.0446343170894053758449857104985*r2*t-8.0446343170894053758449857104985)*LaguerreL(0, 8.0446343170894053758449857104985*r2*t+8.0446343170894053758449857104985+4.8280949636885638667721853083600*10^(-33)*sqrt(2.7777775719123411344533011625670*10^66-3.7820620906491654902812682940908*10^62*(1.9994556794244724285271525910301*r2*t+1.9994556794244724285271525910301)^2+3.7800034364353023263307641062080*10^62*r2^2)-4.02341217155910653242221082718544*r2)*LaguerreL(1, 1.45914849589304508427400147271161*r2+2.9175027472370254759881486222105*r2*t+2.9175027472370254759881486222105-1.7509783248393843637092160706980*10^(-33)*sqrt(2.7777775719123411344533011625670*10^66-3.7820620906491654902812682940908*10^62*(1.9994556794244724285271525910301*r2*t+1.9994556794244724285271525910301)^2+3.7800034364353023263307641062080*10^62*r2^2))+0.387874061613294536007837206389555e-1*LaguerreL(1, 4.02341217155910653242221082718544*r2+4.8280949636885638667721853083600*10^(-33)*sqrt(2.7777775719123411344533011625670*10^66-3.7820620906491654902812682940908*10^62*(1.9994556794244724285271525910301*r2*t+1.9994556794244724285271525910301)^2+3.7800034364353023263307641062080*10^62*r2^2)-8.0446343170894053758449857104985*r2*t-8.0446343170894053758449857104985)*LaguerreL(5, 8.0446343170894053758449857104985*r2*t+8.0446343170894053758449857104985+4.8280949636885638667721853083600*10^(-33)*sqrt(2.7777775719123411344533011625670*10^66-3.7820620906491654902812682940908*10^62*(1.9994556794244724285271525910301*r2*t+1.9994556794244724285271525910301)^2+3.7800034364353023263307641062080*10^62*r2^2)-4.02341217155910653242221082718544*r2)*LaguerreL(0, 1.45914849589304508427400147271161*r2+2.9175027472370254759881486222105*r2*t+2.9175027472370254759881486222105-1.7509783248393843637092160706980*10^(-33)*sqrt(2.7777775719123411344533011625670*10^66-3.7820620906491654902812682940908*10^62*(1.9994556794244724285271525910301*r2*t+1.9994556794244724285271525910301)^2+3.7800034364353023263307641062080*10^62*r2^2))+0.106725512484041674409976279540022e-2*LaguerreL(1, 4.02341217155910653242221082718544*r2+4.8280949636885638667721853083600*10^(-33)*sqrt(2.7777775719123411344533011625670*10^66-3.7820620906491654902812682940908*10^62*(1.9994556794244724285271525910301*r2*t+1.9994556794244724285271525910301)^2+3.7800034364353023263307641062080*10^62*r2^2)-8.0446343170894053758449857104985*r2*t-8.0446343170894053758449857104985)*LaguerreL(5, 8.0446343170894053758449857104985*r2*t+8.0446343170894053758449857104985+4.8280949636885638667721853083600*10^(-33)*sqrt(2.7777775719123411344533011625670*10^66-3.7820620906491654902812682940908*10^62*(1.9994556794244724285271525910301*r2*t+1.9994556794244724285271525910301)^2+3.7800034364353023263307641062080*10^62*r2^2)-4.02341217155910653242221082718544*r2)*LaguerreL(1, 1.45914849589304508427400147271161*r2+2.9175027472370254759881486222105*r2*t+2.9175027472370254759881486222105-1.7509783248393843637092160706980*10^(-33)*sqrt(2.7777775719123411344533011625670*10^66-3.7820620906491654902812682940908*10^62*(1.9994556794244724285271525910301*r2*t+1.9994556794244724285271525910301)^2+3.7800034364353023263307641062080*10^62*r2^2))-0.13652930265860752187032255834482e-1*LaguerreL(3, 4.02341217155910653242221082718544*r2+4.8280949636885638667721853083600*10^(-33)*sqrt(2.7777775719123411344533011625670*10^66-3.7820620906491654902812682940908*10^62*(1.9994556794244724285271525910301*r2*t+1.9994556794244724285271525910301)^2+3.7800034364353023263307641062080*10^62*r2^2)-8.0446343170894053758449857104985*r2*t-8.0446343170894053758449857104985)*LaguerreL(5, 8.0446343170894053758449857104985*r2*t+8.0446343170894053758449857104985+4.8280949636885638667721853083600*10^(-33)*sqrt(2.7777775719123411344533011625670*10^66-3.7820620906491654902812682940908*10^62*(1.9994556794244724285271525910301*r2*t+1.9994556794244724285271525910301)^2+3.7800034364353023263307641062080*10^62*r2^2)-4.02341217155910653242221082718544*r2)*LaguerreL(0, 1.45914849589304508427400147271161*r2+2.9175027472370254759881486222105*r2*t+2.9175027472370254759881486222105-1.7509783248393843637092160706980*10^(-33)*sqrt(2.7777775719123411344533011625670*10^66-3.7820620906491654902812682940908*10^62*(1.9994556794244724285271525910301*r2*t+1.9994556794244724285271525910301)^2+3.7800034364353023263307641062080*10^62*r2^2))-0.98649867435072842258121003623350e-5*LaguerreL(1, 4.02341217155910653242221082718544*r2+4.8280949636885638667721853083600*10^(-33)*sqrt(2.7777775719123411344533011625670*10^66-3.7820620906491654902812682940908*10^62*(1.9994556794244724285271525910301*r2*t+1.9994556794244724285271525910301)^2+3.7800034364353023263307641062080*10^62*r2^2)-8.0446343170894053758449857104985*r2*t-8.0446343170894053758449857104985)*LaguerreL(2, 8.0446343170894053758449857104985*r2*t+8.0446343170894053758449857104985+4.8280949636885638667721853083600*10^(-33)*sqrt(2.7777775719123411344533011625670*10^66-3.7820620906491654902812682940908*10^62*(1.9994556794244724285271525910301*r2*t+1.9994556794244724285271525910301)^2+3.7800034364353023263307641062080*10^62*r2^2)-4.02341217155910653242221082718544*r2)*LaguerreL(5, 1.45914849589304508427400147271161*r2+2.9175027472370254759881486222105*r2*t+2.9175027472370254759881486222105-1.7509783248393843637092160706980*10^(-33)*sqrt(2.7777775719123411344533011625670*10^66-3.7820620906491654902812682940908*10^62*(1.9994556794244724285271525910301*r2*t+1.9994556794244724285271525910301)^2+3.7800034364353023263307641062080*10^62*r2^2))+0.40393429277928642278149134144779e-4*LaguerreL(0, 4.02341217155910653242221082718544*r2+4.8280949636885638667721853083600*10^(-33)*sqrt(2.7777775719123411344533011625670*10^66-3.7820620906491654902812682940908*10^62*(1.9994556794244724285271525910301*r2*t+1.9994556794244724285271525910301)^2+3.7800034364353023263307641062080*10^62*r2^2)-8.0446343170894053758449857104985*r2*t-8.0446343170894053758449857104985)*LaguerreL(5, 8.0446343170894053758449857104985*r2*t+8.0446343170894053758449857104985+4.8280949636885638667721853083600*10^(-33)*sqrt(2.7777775719123411344533011625670*10^66-3.7820620906491654902812682940908*10^62*(1.9994556794244724285271525910301*r2*t+1.9994556794244724285271525910301)^2+3.7800034364353023263307641062080*10^62*r2^2)-4.02341217155910653242221082718544*r2)*LaguerreL(3, 1.45914849589304508427400147271161*r2+2.9175027472370254759881486222105*r2*t+2.9175027472370254759881486222105-1.7509783248393843637092160706980*10^(-33)*sqrt(2.7777775719123411344533011625670*10^66-3.7820620906491654902812682940908*10^62*(1.9994556794244724285271525910301*r2*t+1.9994556794244724285271525910301)^2+3.7800034364353023263307641062080*10^62*r2^2))+0.32730910563603896784050122488468e-5*LaguerreL(1, 4.02341217155910653242221082718544*r2+4.8280949636885638667721853083600*10^(-33)*sqrt(2.7777775719123411344533011625670*10^66-3.7820620906491654902812682940908*10^62*(1.9994556794244724285271525910301*r2*t+1.9994556794244724285271525910301)^2+3.7800034364353023263307641062080*10^62*r2^2)-8.0446343170894053758449857104985*r2*t-8.0446343170894053758449857104985)*LaguerreL(1, 8.0446343170894053758449857104985*r2*t+8.0446343170894053758449857104985+4.8280949636885638667721853083600*10^(-33)*sqrt(2.7777775719123411344533011625670*10^66-3.7820620906491654902812682940908*10^62*(1.9994556794244724285271525910301*r2*t+1.9994556794244724285271525910301)^2+3.7800034364353023263307641062080*10^62*r2^2)-4.02341217155910653242221082718544*r2)*LaguerreL(6, 1.45914849589304508427400147271161*r2+2.9175027472370254759881486222105*r2*t+2.9175027472370254759881486222105-1.7509783248393843637092160706980*10^(-33)*sqrt(2.7777775719123411344533011625670*10^66-3.7820620906491654902812682940908*10^62*(1.9994556794244724285271525910301*r2*t+1.9994556794244724285271525910301)^2+3.7800034364353023263307641062080*10^62*r2^2))-0.291243558268893057254440697305712e-3*LaguerreL(6, 4.02341217155910653242221082718544*r2+4.8280949636885638667721853083600*10^(-33)*sqrt(2.7777775719123411344533011625670*10^66-3.7820620906491654902812682940908*10^62*(1.9994556794244724285271525910301*r2*t+1.9994556794244724285271525910301)^2+3.7800034364353023263307641062080*10^62*r2^2)-8.0446343170894053758449857104985*r2*t-8.0446343170894053758449857104985)*LaguerreL(0, 8.0446343170894053758449857104985*r2*t+8.0446343170894053758449857104985+4.8280949636885638667721853083600*10^(-33)*sqrt(2.7777775719123411344533011625670*10^66-3.7820620906491654902812682940908*10^62*(1.9994556794244724285271525910301*r2*t+1.9994556794244724285271525910301)^2+3.7800034364353023263307641062080*10^62*r2^2)-4.02341217155910653242221082718544*r2)*LaguerreL(2, 1.45914849589304508427400147271161*r2+2.9175027472370254759881486222105*r2*t+2.9175027472370254759881486222105-1.7509783248393843637092160706980*10^(-33)*sqrt(2.7777775719123411344533011625670*10^66-3.7820620906491654902812682940908*10^62*(1.9994556794244724285271525910301*r2*t+1.9994556794244724285271525910301)^2+3.7800034364353023263307641062080*10^62*r2^2))+0.277468490869606549055994581448477e-2*LaguerreL(2, 4.02341217155910653242221082718544*r2+4.8280949636885638667721853083600*10^(-33)*sqrt(2.7777775719123411344533011625670*10^66-3.7820620906491654902812682940908*10^62*(1.9994556794244724285271525910301*r2*t+1.9994556794244724285271525910301)^2+3.7800034364353023263307641062080*10^62*r2^2)-8.0446343170894053758449857104985*r2*t-8.0446343170894053758449857104985)*LaguerreL(5, 8.0446343170894053758449857104985*r2*t+8.0446343170894053758449857104985+4.8280949636885638667721853083600*10^(-33)*sqrt(2.7777775719123411344533011625670*10^66-3.7820620906491654902812682940908*10^62*(1.9994556794244724285271525910301*r2*t+1.9994556794244724285271525910301)^2+3.7800034364353023263307641062080*10^62*r2^2)-4.02341217155910653242221082718544*r2)*LaguerreL(1, 1.45914849589304508427400147271161*r2+2.9175027472370254759881486222105*r2*t+2.9175027472370254759881486222105-1.7509783248393843637092160706980*10^(-33)*sqrt(2.7777775719123411344533011625670*10^66-3.7820620906491654902812682940908*10^62*(1.9994556794244724285271525910301*r2*t+1.9994556794244724285271525910301)^2+3.7800034364353023263307641062080*10^62*r2^2))+0.37253209867717173750371985245120e-4*LaguerreL(0, 4.02341217155910653242221082718544*r2+4.8280949636885638667721853083600*10^(-33)*sqrt(2.7777775719123411344533011625670*10^66-3.7820620906491654902812682940908*10^62*(1.9994556794244724285271525910301*r2*t+1.9994556794244724285271525910301)^2+3.7800034364353023263307641062080*10^62*r2^2)-8.0446343170894053758449857104985*r2*t-8.0446343170894053758449857104985)*LaguerreL(4, 8.0446343170894053758449857104985*r2*t+8.0446343170894053758449857104985+4.8280949636885638667721853083600*10^(-33)*sqrt(2.7777775719123411344533011625670*10^66-3.7820620906491654902812682940908*10^62*(1.9994556794244724285271525910301*r2*t+1.9994556794244724285271525910301)^2+3.7800034364353023263307641062080*10^62*r2^2)-4.02341217155910653242221082718544*r2)*LaguerreL(4, 1.45914849589304508427400147271161*r2+2.9175027472370254759881486222105*r2*t+2.9175027472370254759881486222105-1.7509783248393843637092160706980*10^(-33)*sqrt(2.7777775719123411344533011625670*10^66-3.7820620906491654902812682940908*10^62*(1.9994556794244724285271525910301*r2*t+1.9994556794244724285271525910301)^2+3.7800034364353023263307641062080*10^62*r2^2))+0.316657957789026903894567092552766e-2*LaguerreL(6, 4.02341217155910653242221082718544*r2+4.8280949636885638667721853083600*10^(-33)*sqrt(2.7777775719123411344533011625670*10^66-3.7820620906491654902812682940908*10^62*(1.9994556794244724285271525910301*r2*t+1.9994556794244724285271525910301)^2+3.7800034364353023263307641062080*10^62*r2^2)-8.0446343170894053758449857104985*r2*t-8.0446343170894053758449857104985)*LaguerreL(1, 8.0446343170894053758449857104985*r2*t+8.0446343170894053758449857104985+4.8280949636885638667721853083600*10^(-33)*sqrt(2.7777775719123411344533011625670*10^66-3.7820620906491654902812682940908*10^62*(1.9994556794244724285271525910301*r2*t+1.9994556794244724285271525910301)^2+3.7800034364353023263307641062080*10^62*r2^2)-4.02341217155910653242221082718544*r2)*LaguerreL(1, 1.45914849589304508427400147271161*r2+2.9175027472370254759881486222105*r2*t+2.9175027472370254759881486222105-1.7509783248393843637092160706980*10^(-33)*sqrt(2.7777775719123411344533011625670*10^66-3.7820620906491654902812682940908*10^62*(1.9994556794244724285271525910301*r2*t+1.9994556794244724285271525910301)^2+3.7800034364353023263307641062080*10^62*r2^2))-0.233669894461154525683484155034546e-1*LaguerreL(4, 4.02341217155910653242221082718544*r2+4.8280949636885638667721853083600*10^(-33)*sqrt(2.7777775719123411344533011625670*10^66-3.7820620906491654902812682940908*10^62*(1.9994556794244724285271525910301*r2*t+1.9994556794244724285271525910301)^2+3.7800034364353023263307641062080*10^62*r2^2)-8.0446343170894053758449857104985*r2*t-8.0446343170894053758449857104985)*LaguerreL(3, 8.0446343170894053758449857104985*r2*t+8.0446343170894053758449857104985+4.8280949636885638667721853083600*10^(-33)*sqrt(2.7777775719123411344533011625670*10^66-3.7820620906491654902812682940908*10^62*(1.9994556794244724285271525910301*r2*t+1.9994556794244724285271525910301)^2+3.7800034364353023263307641062080*10^62*r2^2)-4.02341217155910653242221082718544*r2)*LaguerreL(0, 1.45914849589304508427400147271161*r2+2.9175027472370254759881486222105*r2*t+2.9175027472370254759881486222105-1.7509783248393843637092160706980*10^(-33)*sqrt(2.7777775719123411344533011625670*10^66-3.7820620906491654902812682940908*10^62*(1.9994556794244724285271525910301*r2*t+1.9994556794244724285271525910301)^2+3.7800034364353023263307641062080*10^62*r2^2))+0.29286701608686093045895491363904e-4*LaguerreL(3, 4.02341217155910653242221082718544*r2+4.8280949636885638667721853083600*10^(-33)*sqrt(2.7777775719123411344533011625670*10^66-3.7820620906491654902812682940908*10^62*(1.9994556794244724285271525910301*r2*t+1.9994556794244724285271525910301)^2+3.7800034364353023263307641062080*10^62*r2^2)-8.0446343170894053758449857104985*r2*t-8.0446343170894053758449857104985)*LaguerreL(1, 8.0446343170894053758449857104985*r2*t+8.0446343170894053758449857104985+4.8280949636885638667721853083600*10^(-33)*sqrt(2.7777775719123411344533011625670*10^66-3.7820620906491654902812682940908*10^62*(1.9994556794244724285271525910301*r2*t+1.9994556794244724285271525910301)^2+3.7800034364353023263307641062080*10^62*r2^2)-4.02341217155910653242221082718544*r2)*LaguerreL(4, 1.45914849589304508427400147271161*r2+2.9175027472370254759881486222105*r2*t+2.9175027472370254759881486222105-1.7509783248393843637092160706980*10^(-33)*sqrt(2.7777775719123411344533011625670*10^66-3.7820620906491654902812682940908*10^62*(1.9994556794244724285271525910301*r2*t+1.9994556794244724285271525910301)^2+3.7800034364353023263307641062080*10^62*r2^2))-0.11515472116642888985606746228044e-4*LaguerreL(0, 4.02341217155910653242221082718544*r2+4.8280949636885638667721853083600*10^(-33)*sqrt(2.7777775719123411344533011625670*10^66-3.7820620906491654902812682940908*10^62*(1.9994556794244724285271525910301*r2*t+1.9994556794244724285271525910301)^2+3.7800034364353023263307641062080*10^62*r2^2)-8.0446343170894053758449857104985*r2*t-8.0446343170894053758449857104985)*LaguerreL(3, 8.0446343170894053758449857104985*r2*t+8.0446343170894053758449857104985+4.8280949636885638667721853083600*10^(-33)*sqrt(2.7777775719123411344533011625670*10^66-3.7820620906491654902812682940908*10^62*(1.9994556794244724285271525910301*r2*t+1.9994556794244724285271525910301)^2+3.7800034364353023263307641062080*10^62*r2^2)-4.02341217155910653242221082718544*r2)*LaguerreL(5, 1.45914849589304508427400147271161*r2+2.9175027472370254759881486222105*r2*t+2.9175027472370254759881486222105-1.7509783248393843637092160706980*10^(-33)*sqrt(2.7777775719123411344533011625670*10^66-3.7820620906491654902812682940908*10^62*(1.9994556794244724285271525910301*r2*t+1.9994556794244724285271525910301)^2+3.7800034364353023263307641062080*10^62*r2^2))-0.291243558268893057254440697305712e-3*LaguerreL(0, 4.02341217155910653242221082718544*r2+4.8280949636885638667721853083600*10^(-33)*sqrt(2.7777775719123411344533011625670*10^66-3.7820620906491654902812682940908*10^62*(1.9994556794244724285271525910301*r2*t+1.9994556794244724285271525910301)^2+3.7800034364353023263307641062080*10^62*r2^2)-8.0446343170894053758449857104985*r2*t-8.0446343170894053758449857104985)*LaguerreL(6, 8.0446343170894053758449857104985*r2*t+8.0446343170894053758449857104985+4.8280949636885638667721853083600*10^(-33)*sqrt(2.7777775719123411344533011625670*10^66-3.7820620906491654902812682940908*10^62*(1.9994556794244724285271525910301*r2*t+1.9994556794244724285271525910301)^2+3.7800034364353023263307641062080*10^62*r2^2)-4.02341217155910653242221082718544*r2)*LaguerreL(2, 1.45914849589304508427400147271161*r2+2.9175027472370254759881486222105*r2*t+2.9175027472370254759881486222105-1.7509783248393843637092160706980*10^(-33)*sqrt(2.7777775719123411344533011625670*10^66-3.7820620906491654902812682940908*10^62*(1.9994556794244724285271525910301*r2*t+1.9994556794244724285271525910301)^2+3.7800034364353023263307641062080*10^62*r2^2))-0.263407709215884310829544248650782e-3*LaguerreL(5, 4.02341217155910653242221082718544*r2+4.8280949636885638667721853083600*10^(-33)*sqrt(2.7777775719123411344533011625670*10^66-3.7820620906491654902812682940908*10^62*(1.9994556794244724285271525910301*r2*t+1.9994556794244724285271525910301)^2+3.7800034364353023263307641062080*10^62*r2^2)-8.0446343170894053758449857104985*r2*t-8.0446343170894053758449857104985)*LaguerreL(1, 8.0446343170894053758449857104985*r2*t+8.0446343170894053758449857104985+4.8280949636885638667721853083600*10^(-33)*sqrt(2.7777775719123411344533011625670*10^66-3.7820620906491654902812682940908*10^62*(1.9994556794244724285271525910301*r2*t+1.9994556794244724285271525910301)^2+3.7800034364353023263307641062080*10^62*r2^2)-4.02341217155910653242221082718544*r2)*LaguerreL(2, 1.45914849589304508427400147271161*r2+2.9175027472370254759881486222105*r2*t+2.9175027472370254759881486222105-1.7509783248393843637092160706980*10^(-33)*sqrt(2.7777775719123411344533011625670*10^66-3.7820620906491654902812682940908*10^62*(1.9994556794244724285271525910301*r2*t+1.9994556794244724285271525910301)^2+3.7800034364353023263307641062080*10^62*r2^2))+0.47143736160895254956853952015393e-4*LaguerreL(2, 4.02341217155910653242221082718544*r2+4.8280949636885638667721853083600*10^(-33)*sqrt(2.7777775719123411344533011625670*10^66-3.7820620906491654902812682940908*10^62*(1.9994556794244724285271525910301*r2*t+1.9994556794244724285271525910301)^2+3.7800034364353023263307641062080*10^62*r2^2)-8.0446343170894053758449857104985*r2*t-8.0446343170894053758449857104985)*LaguerreL(3, 8.0446343170894053758449857104985*r2*t+8.0446343170894053758449857104985+4.8280949636885638667721853083600*10^(-33)*sqrt(2.7777775719123411344533011625670*10^66-3.7820620906491654902812682940908*10^62*(1.9994556794244724285271525910301*r2*t+1.9994556794244724285271525910301)^2+3.7800034364353023263307641062080*10^62*r2^2)-4.02341217155910653242221082718544*r2)*LaguerreL(3, 1.45914849589304508427400147271161*r2+2.9175027472370254759881486222105*r2*t+2.9175027472370254759881486222105-1.7509783248393843637092160706980*10^(-33)*sqrt(2.7777775719123411344533011625670*10^66-3.7820620906491654902812682940908*10^62*(1.9994556794244724285271525910301*r2*t+1.9994556794244724285271525910301)^2+3.7800034364353023263307641062080*10^62*r2^2))+0.586942162528253353861844495928338e-1*LaguerreL(3, 4.02341217155910653242221082718544*r2+4.8280949636885638667721853083600*10^(-33)*sqrt(2.7777775719123411344533011625670*10^66-3.7820620906491654902812682940908*10^62*(1.9994556794244724285271525910301*r2*t+1.9994556794244724285271525910301)^2+3.7800034364353023263307641062080*10^62*r2^2)-8.0446343170894053758449857104985*r2*t-8.0446343170894053758449857104985)*LaguerreL(2, 8.0446343170894053758449857104985*r2*t+8.0446343170894053758449857104985+4.8280949636885638667721853083600*10^(-33)*sqrt(2.7777775719123411344533011625670*10^66-3.7820620906491654902812682940908*10^62*(1.9994556794244724285271525910301*r2*t+1.9994556794244724285271525910301)^2+3.7800034364353023263307641062080*10^62*r2^2)-4.02341217155910653242221082718544*r2)*LaguerreL(0, 1.45914849589304508427400147271161*r2+2.9175027472370254759881486222105*r2*t+2.9175027472370254759881486222105-1.7509783248393843637092160706980*10^(-33)*sqrt(2.7777775719123411344533011625670*10^66-3.7820620906491654902812682940908*10^62*(1.9994556794244724285271525910301*r2*t+1.9994556794244724285271525910301)^2+3.7800034364353023263307641062080*10^62*r2^2))-0.435559343878598352055209120339748e-2*LaguerreL(3, 4.02341217155910653242221082718544*r2+4.8280949636885638667721853083600*10^(-33)*sqrt(2.7777775719123411344533011625670*10^66-3.7820620906491654902812682940908*10^62*(1.9994556794244724285271525910301*r2*t+1.9994556794244724285271525910301)^2+3.7800034364353023263307641062080*10^62*r2^2)-8.0446343170894053758449857104985*r2*t-8.0446343170894053758449857104985)*LaguerreL(2, 8.0446343170894053758449857104985*r2*t+8.0446343170894053758449857104985+4.8280949636885638667721853083600*10^(-33)*sqrt(2.7777775719123411344533011625670*10^66-3.7820620906491654902812682940908*10^62*(1.9994556794244724285271525910301*r2*t+1.9994556794244724285271525910301)^2+3.7800034364353023263307641062080*10^62*r2^2)-4.02341217155910653242221082718544*r2)*LaguerreL(1, 1.45914849589304508427400147271161*r2+2.9175027472370254759881486222105*r2*t+2.9175027472370254759881486222105-1.7509783248393843637092160706980*10^(-33)*sqrt(2.7777775719123411344533011625670*10^66-3.7820620906491654902812682940908*10^62*(1.9994556794244724285271525910301*r2*t+1.9994556794244724285271525910301)^2+3.7800034364353023263307641062080*10^62*r2^2))+0.71832445869781870483124784147018e-3*LaguerreL(2, 4.02341217155910653242221082718544*r2+4.8280949636885638667721853083600*10^(-33)*sqrt(2.7777775719123411344533011625670*10^66-3.7820620906491654902812682940908*10^62*(1.9994556794244724285271525910301*r2*t+1.9994556794244724285271525910301)^2+3.7800034364353023263307641062080*10^62*r2^2)-8.0446343170894053758449857104985*r2*t-8.0446343170894053758449857104985)*LaguerreL(2, 8.0446343170894053758449857104985*r2*t+8.0446343170894053758449857104985+4.8280949636885638667721853083600*10^(-33)*sqrt(2.7777775719123411344533011625670*10^66-3.7820620906491654902812682940908*10^62*(1.9994556794244724285271525910301*r2*t+1.9994556794244724285271525910301)^2+3.7800034364353023263307641062080*10^62*r2^2)-4.02341217155910653242221082718544*r2)*LaguerreL(2, 1.45914849589304508427400147271161*r2+2.9175027472370254759881486222105*r2*t+2.9175027472370254759881486222105-1.7509783248393843637092160706980*10^(-33)*sqrt(2.7777775719123411344533011625670*10^66-3.7820620906491654902812682940908*10^62*(1.9994556794244724285271525910301*r2*t+1.9994556794244724285271525910301)^2+3.7800034364353023263307641062080*10^62*r2^2))+0.20018296716392718447728145882492e-5*LaguerreL(0, 4.02341217155910653242221082718544*r2+4.8280949636885638667721853083600*10^(-33)*sqrt(2.7777775719123411344533011625670*10^66-3.7820620906491654902812682940908*10^62*(1.9994556794244724285271525910301*r2*t+1.9994556794244724285271525910301)^2+3.7800034364353023263307641062080*10^62*r2^2)-8.0446343170894053758449857104985*r2*t-8.0446343170894053758449857104985)*LaguerreL(0, 8.0446343170894053758449857104985*r2*t+8.0446343170894053758449857104985+4.8280949636885638667721853083600*10^(-33)*sqrt(2.7777775719123411344533011625670*10^66-3.7820620906491654902812682940908*10^62*(1.9994556794244724285271525910301*r2*t+1.9994556794244724285271525910301)^2+3.7800034364353023263307641062080*10^62*r2^2)-4.02341217155910653242221082718544*r2)*LaguerreL(6, 1.45914849589304508427400147271161*r2+2.9175027472370254759881486222105*r2*t+2.9175027472370254759881486222105-1.7509783248393843637092160706980*10^(-33)*sqrt(2.7777775719123411344533011625670*10^66-3.7820620906491654902812682940908*10^62*(1.9994556794244724285271525910301*r2*t+1.9994556794244724285271525910301)^2+3.7800034364353023263307641062080*10^62*r2^2))+0.37253209867717173750371985245120e-4*LaguerreL(4, 4.02341217155910653242221082718544*r2+4.8280949636885638667721853083600*10^(-33)*sqrt(2.7777775719123411344533011625670*10^66-3.7820620906491654902812682940908*10^62*(1.9994556794244724285271525910301*r2*t+1.9994556794244724285271525910301)^2+3.7800034364353023263307641062080*10^62*r2^2)-8.0446343170894053758449857104985*r2*t-8.0446343170894053758449857104985)*LaguerreL(0, 8.0446343170894053758449857104985*r2*t+8.0446343170894053758449857104985+4.8280949636885638667721853083600*10^(-33)*sqrt(2.7777775719123411344533011625670*10^66-3.7820620906491654902812682940908*10^62*(1.9994556794244724285271525910301*r2*t+1.9994556794244724285271525910301)^2+3.7800034364353023263307641062080*10^62*r2^2)-4.02341217155910653242221082718544*r2)*LaguerreL(4, 1.45914849589304508427400147271161*r2+2.9175027472370254759881486222105*r2*t+2.9175027472370254759881486222105-1.7509783248393843637092160706980*10^(-33)*sqrt(2.7777775719123411344533011625670*10^66-3.7820620906491654902812682940908*10^62*(1.9994556794244724285271525910301*r2*t+1.9994556794244724285271525910301)^2+3.7800034364353023263307641062080*10^62*r2^2))-0.244883317630775965054422033654211e-3*LaguerreL(4, 4.02341217155910653242221082718544*r2+4.8280949636885638667721853083600*10^(-33)*sqrt(2.7777775719123411344533011625670*10^66-3.7820620906491654902812682940908*10^62*(1.9994556794244724285271525910301*r2*t+1.9994556794244724285271525910301)^2+3.7800034364353023263307641062080*10^62*r2^2)-8.0446343170894053758449857104985*r2*t-8.0446343170894053758449857104985)*LaguerreL(2, 8.0446343170894053758449857104985*r2*t+8.0446343170894053758449857104985+4.8280949636885638667721853083600*10^(-33)*sqrt(2.7777775719123411344533011625670*10^66-3.7820620906491654902812682940908*10^62*(1.9994556794244724285271525910301*r2*t+1.9994556794244724285271525910301)^2+3.7800034364353023263307641062080*10^62*r2^2)-4.02341217155910653242221082718544*r2)*LaguerreL(2, 1.45914849589304508427400147271161*r2+2.9175027472370254759881486222105*r2*t+2.9175027472370254759881486222105-1.7509783248393843637092160706980*10^(-33)*sqrt(2.7777775719123411344533011625670*10^66-3.7820620906491654902812682940908*10^62*(1.9994556794244724285271525910301*r2*t+1.9994556794244724285271525910301)^2+3.7800034364353023263307641062080*10^62*r2^2))-0.654697505797079148629828821509445e-3*LaguerreL(2, 4.02341217155910653242221082718544*r2+4.8280949636885638667721853083600*10^(-33)*sqrt(2.7777775719123411344533011625670*10^66-3.7820620906491654902812682940908*10^62*(1.9994556794244724285271525910301*r2*t+1.9994556794244724285271525910301)^2+3.7800034364353023263307641062080*10^62*r2^2)-8.0446343170894053758449857104985*r2*t-8.0446343170894053758449857104985)*LaguerreL(1, 8.0446343170894053758449857104985*r2*t+8.0446343170894053758449857104985+4.8280949636885638667721853083600*10^(-33)*sqrt(2.7777775719123411344533011625670*10^66-3.7820620906491654902812682940908*10^62*(1.9994556794244724285271525910301*r2*t+1.9994556794244724285271525910301)^2+3.7800034364353023263307641062080*10^62*r2^2)-4.02341217155910653242221082718544*r2)*LaguerreL(2, 1.45914849589304508427400147271161*r2+2.9175027472370254759881486222105*r2*t+2.9175027472370254759881486222105-1.7509783248393843637092160706980*10^(-33)*sqrt(2.7777775719123411344533011625670*10^66-3.7820620906491654902812682940908*10^62*(1.9994556794244724285271525910301*r2*t+1.9994556794244724285271525910301)^2+3.7800034364353023263307641062080*10^62*r2^2))+0.838107100219796012151873121720885e-2*LaguerreL(0, 4.02341217155910653242221082718544*r2+4.8280949636885638667721853083600*10^(-33)*sqrt(2.7777775719123411344533011625670*10^66-3.7820620906491654902812682940908*10^62*(1.9994556794244724285271525910301*r2*t+1.9994556794244724285271525910301)^2+3.7800034364353023263307641062080*10^62*r2^2)-8.0446343170894053758449857104985*r2*t-8.0446343170894053758449857104985)*LaguerreL(4, 8.0446343170894053758449857104985*r2*t+8.0446343170894053758449857104985+4.8280949636885638667721853083600*10^(-33)*sqrt(2.7777775719123411344533011625670*10^66-3.7820620906491654902812682940908*10^62*(1.9994556794244724285271525910301*r2*t+1.9994556794244724285271525910301)^2+3.7800034364353023263307641062080*10^62*r2^2)-4.02341217155910653242221082718544*r2)*LaguerreL(1, 1.45914849589304508427400147271161*r2+2.9175027472370254759881486222105*r2*t+2.9175027472370254759881486222105-1.7509783248393843637092160706980*10^(-33)*sqrt(2.7777775719123411344533011625670*10^66-3.7820620906491654902812682940908*10^62*(1.9994556794244724285271525910301*r2*t+1.9994556794244724285271525910301)^2+3.7800034364353023263307641062080*10^62*r2^2))+0.16456169970126907323860927592352e-3*LaguerreL(3, 4.02341217155910653242221082718544*r2+4.8280949636885638667721853083600*10^(-33)*sqrt(2.7777775719123411344533011625670*10^66-3.7820620906491654902812682940908*10^62*(1.9994556794244724285271525910301*r2*t+1.9994556794244724285271525910301)^2+3.7800034364353023263307641062080*10^62*r2^2)-8.0446343170894053758449857104985*r2*t-8.0446343170894053758449857104985)*LaguerreL(1, 8.0446343170894053758449857104985*r2*t+8.0446343170894053758449857104985+4.8280949636885638667721853083600*10^(-33)*sqrt(2.7777775719123411344533011625670*10^66-3.7820620906491654902812682940908*10^62*(1.9994556794244724285271525910301*r2*t+1.9994556794244724285271525910301)^2+3.7800034364353023263307641062080*10^62*r2^2)-4.02341217155910653242221082718544*r2)*LaguerreL(3, 1.45914849589304508427400147271161*r2+2.9175027472370254759881486222105*r2*t+2.9175027472370254759881486222105-1.7509783248393843637092160706980*10^(-33)*sqrt(2.7777775719123411344533011625670*10^66-3.7820620906491654902812682940908*10^62*(1.9994556794244724285271525910301*r2*t+1.9994556794244724285271525910301)^2+3.7800034364353023263307641062080*10^62*r2^2))-0.767596299226071214827999590759978e-3*LaguerreL(0, 4.02341217155910653242221082718544*r2+4.8280949636885638667721853083600*10^(-33)*sqrt(2.7777775719123411344533011625670*10^66-3.7820620906491654902812682940908*10^62*(1.9994556794244724285271525910301*r2*t+1.9994556794244724285271525910301)^2+3.7800034364353023263307641062080*10^62*r2^2)-8.0446343170894053758449857104985*r2*t-8.0446343170894053758449857104985)*LaguerreL(3, 8.0446343170894053758449857104985*r2*t+8.0446343170894053758449857104985+4.8280949636885638667721853083600*10^(-33)*sqrt(2.7777775719123411344533011625670*10^66-3.7820620906491654902812682940908*10^62*(1.9994556794244724285271525910301*r2*t+1.9994556794244724285271525910301)^2+3.7800034364353023263307641062080*10^62*r2^2)-4.02341217155910653242221082718544*r2)*LaguerreL(2, 1.45914849589304508427400147271161*r2+2.9175027472370254759881486222105*r2*t+2.9175027472370254759881486222105-1.7509783248393843637092160706980*10^(-33)*sqrt(2.7777775719123411344533011625670*10^66-3.7820620906491654902812682940908*10^62*(1.9994556794244724285271525910301*r2*t+1.9994556794244724285271525910301)^2+3.7800034364353023263307641062080*10^62*r2^2))+0.21191336006634231252486052314880e-5*LaguerreL(0, 4.02341217155910653242221082718544*r2+4.8280949636885638667721853083600*10^(-33)*sqrt(2.7777775719123411344533011625670*10^66-3.7820620906491654902812682940908*10^62*(1.9994556794244724285271525910301*r2*t+1.9994556794244724285271525910301)^2+3.7800034364353023263307641062080*10^62*r2^2)-8.0446343170894053758449857104985*r2*t-8.0446343170894053758449857104985)*LaguerreL(1, 8.0446343170894053758449857104985*r2*t+8.0446343170894053758449857104985+4.8280949636885638667721853083600*10^(-33)*sqrt(2.7777775719123411344533011625670*10^66-3.7820620906491654902812682940908*10^62*(1.9994556794244724285271525910301*r2*t+1.9994556794244724285271525910301)^2+3.7800034364353023263307641062080*10^62*r2^2)-4.02341217155910653242221082718544*r2)*LaguerreL(5, 1.45914849589304508427400147271161*r2+2.9175027472370254759881486222105*r2*t+2.9175027472370254759881486222105-1.7509783248393843637092160706980*10^(-33)*sqrt(2.7777775719123411344533011625670*10^66-3.7820620906491654902812682940908*10^62*(1.9994556794244724285271525910301*r2*t+1.9994556794244724285271525910301)^2+3.7800034364353023263307641062080*10^62*r2^2))+0.16456169970126907323860927592352e-3*LaguerreL(1, 4.02341217155910653242221082718544*r2+4.8280949636885638667721853083600*10^(-33)*sqrt(2.7777775719123411344533011625670*10^66-3.7820620906491654902812682940908*10^62*(1.9994556794244724285271525910301*r2*t+1.9994556794244724285271525910301)^2+3.7800034364353023263307641062080*10^62*r2^2)-8.0446343170894053758449857104985*r2*t-8.0446343170894053758449857104985)*LaguerreL(3, 8.0446343170894053758449857104985*r2*t+8.0446343170894053758449857104985+4.8280949636885638667721853083600*10^(-33)*sqrt(2.7777775719123411344533011625670*10^66-3.7820620906491654902812682940908*10^62*(1.9994556794244724285271525910301*r2*t+1.9994556794244724285271525910301)^2+3.7800034364353023263307641062080*10^62*r2^2)-4.02341217155910653242221082718544*r2)*LaguerreL(3, 1.45914849589304508427400147271161*r2+2.9175027472370254759881486222105*r2*t+2.9175027472370254759881486222105-1.7509783248393843637092160706980*10^(-33)*sqrt(2.7777775719123411344533011625670*10^66-3.7820620906491654902812682940908*10^62*(1.9994556794244724285271525910301*r2*t+1.9994556794244724285271525910301)^2+3.7800034364353023263307641062080*10^62*r2^2))-0.102095204447079256616757914669463e-1*LaguerreL(8, 4.02341217155910653242221082718544*r2+4.8280949636885638667721853083600*10^(-33)*sqrt(2.7777775719123411344533011625670*10^66-3.7820620906491654902812682940908*10^62*(1.9994556794244724285271525910301*r2*t+1.9994556794244724285271525910301)^2+3.7800034364353023263307641062080*10^62*r2^2)-8.0446343170894053758449857104985*r2*t-8.0446343170894053758449857104985)*LaguerreL(0, 8.0446343170894053758449857104985*r2*t+8.0446343170894053758449857104985+4.8280949636885638667721853083600*10^(-33)*sqrt(2.7777775719123411344533011625670*10^66-3.7820620906491654902812682940908*10^62*(1.9994556794244724285271525910301*r2*t+1.9994556794244724285271525910301)^2+3.7800034364353023263307641062080*10^62*r2^2)-4.02341217155910653242221082718544*r2)*LaguerreL(0, 1.45914849589304508427400147271161*r2+2.9175027472370254759881486222105*r2*t+2.9175027472370254759881486222105-1.7509783248393843637092160706980*10^(-33)*sqrt(2.7777775719123411344533011625670*10^66-3.7820620906491654902812682940908*10^62*(1.9994556794244724285271525910301*r2*t+1.9994556794244724285271525910301)^2+3.7800034364353023263307641062080*10^62*r2^2))-0.123541450043073362664804558754503e-3*LaguerreL(3, 4.02341217155910653242221082718544*r2+4.8280949636885638667721853083600*10^(-33)*sqrt(2.7777775719123411344533011625670*10^66-3.7820620906491654902812682940908*10^62*(1.9994556794244724285271525910301*r2*t+1.9994556794244724285271525910301)^2+3.7800034364353023263307641062080*10^62*r2^2)-8.0446343170894053758449857104985*r2*t-8.0446343170894053758449857104985)*LaguerreL(0, 8.0446343170894053758449857104985*r2*t+8.0446343170894053758449857104985+4.8280949636885638667721853083600*10^(-33)*sqrt(2.7777775719123411344533011625670*10^66-3.7820620906491654902812682940908*10^62*(1.9994556794244724285271525910301*r2*t+1.9994556794244724285271525910301)^2+3.7800034364353023263307641062080*10^62*r2^2)-4.02341217155910653242221082718544*r2)*LaguerreL(3, 1.45914849589304508427400147271161*r2+2.9175027472370254759881486222105*r2*t+2.9175027472370254759881486222105-1.7509783248393843637092160706980*10^(-33)*sqrt(2.7777775719123411344533011625670*10^66-3.7820620906491654902812682940908*10^62*(1.9994556794244724285271525910301*r2*t+1.9994556794244724285271525910301)^2+3.7800034364353023263307641062080*10^62*r2^2))-0.124646024441877245934278817175399e-1*LaguerreL(1, 4.02341217155910653242221082718544*r2+4.8280949636885638667721853083600*10^(-33)*sqrt(2.7777775719123411344533011625670*10^66-3.7820620906491654902812682940908*10^62*(1.9994556794244724285271525910301*r2*t+1.9994556794244724285271525910301)^2+3.7800034364353023263307641062080*10^62*r2^2)-8.0446343170894053758449857104985*r2*t-8.0446343170894053758449857104985)*LaguerreL(7, 8.0446343170894053758449857104985*r2*t+8.0446343170894053758449857104985+4.8280949636885638667721853083600*10^(-33)*sqrt(2.7777775719123411344533011625670*10^66-3.7820620906491654902812682940908*10^62*(1.9994556794244724285271525910301*r2*t+1.9994556794244724285271525910301)^2+3.7800034364353023263307641062080*10^62*r2^2)-4.02341217155910653242221082718544*r2)*LaguerreL(0, 1.45914849589304508427400147271161*r2+2.9175027472370254759881486222105*r2*t+2.9175027472370254759881486222105-1.7509783248393843637092160706980*10^(-33)*sqrt(2.7777775719123411344533011625670*10^66-3.7820620906491654902812682940908*10^62*(1.9994556794244724285271525910301*r2*t+1.9994556794244724285271525910301)^2+3.7800034364353023263307641062080*10^62*r2^2))+0.58797603048424375370001755620737e-4*LaguerreL(0, 4.02341217155910653242221082718544*r2+4.8280949636885638667721853083600*10^(-33)*sqrt(2.7777775719123411344533011625670*10^66-3.7820620906491654902812682940908*10^62*(1.9994556794244724285271525910301*r2*t+1.9994556794244724285271525910301)^2+3.7800034364353023263307641062080*10^62*r2^2)-8.0446343170894053758449857104985*r2*t-8.0446343170894053758449857104985)*LaguerreL(0, 8.0446343170894053758449857104985*r2*t+8.0446343170894053758449857104985+4.8280949636885638667721853083600*10^(-33)*sqrt(2.7777775719123411344533011625670*10^66-3.7820620906491654902812682940908*10^62*(1.9994556794244724285271525910301*r2*t+1.9994556794244724285271525910301)^2+3.7800034364353023263307641062080*10^62*r2^2)-4.02341217155910653242221082718544*r2)*LaguerreL(2, 1.45914849589304508427400147271161*r2+2.9175027472370254759881486222105*r2*t+2.9175027472370254759881486222105-1.7509783248393843637092160706980*10^(-33)*sqrt(2.7777775719123411344533011625670*10^66-3.7820620906491654902812682940908*10^62*(1.9994556794244724285271525910301*r2*t+1.9994556794244724285271525910301)^2+3.7800034364353023263307641062080*10^62*r2^2))-0.391890622683170508162558590750884e-1*LaguerreL(0, 4.02341217155910653242221082718544*r2+4.8280949636885638667721853083600*10^(-33)*sqrt(2.7777775719123411344533011625670*10^66-3.7820620906491654902812682940908*10^62*(1.9994556794244724285271525910301*r2*t+1.9994556794244724285271525910301)^2+3.7800034364353023263307641062080*10^62*r2^2)-8.0446343170894053758449857104985*r2*t-8.0446343170894053758449857104985)*LaguerreL(7, 8.0446343170894053758449857104985*r2*t+8.0446343170894053758449857104985+4.8280949636885638667721853083600*10^(-33)*sqrt(2.7777775719123411344533011625670*10^66-3.7820620906491654902812682940908*10^62*(1.9994556794244724285271525910301*r2*t+1.9994556794244724285271525910301)^2+3.7800034364353023263307641062080*10^62*r2^2)-4.02341217155910653242221082718544*r2)*LaguerreL(0, 1.45914849589304508427400147271161*r2+2.9175027472370254759881486222105*r2*t+2.9175027472370254759881486222105-1.7509783248393843637092160706980*10^(-33)*sqrt(2.7777775719123411344533011625670*10^66-3.7820620906491654902812682940908*10^62*(1.9994556794244724285271525910301*r2*t+1.9994556794244724285271525910301)^2+3.7800034364353023263307641062080*10^62*r2^2))+0.277468490869606549055994581448477e-2*LaguerreL(5, 4.02341217155910653242221082718544*r2+4.8280949636885638667721853083600*10^(-33)*sqrt(2.7777775719123411344533011625670*10^66-3.7820620906491654902812682940908*10^62*(1.9994556794244724285271525910301*r2*t+1.9994556794244724285271525910301)^2+3.7800034364353023263307641062080*10^62*r2^2)-8.0446343170894053758449857104985*r2*t-8.0446343170894053758449857104985)*LaguerreL(2, 8.0446343170894053758449857104985*r2*t+8.0446343170894053758449857104985+4.8280949636885638667721853083600*10^(-33)*sqrt(2.7777775719123411344533011625670*10^66-3.7820620906491654902812682940908*10^62*(1.9994556794244724285271525910301*r2*t+1.9994556794244724285271525910301)^2+3.7800034364353023263307641062080*10^62*r2^2)-4.02341217155910653242221082718544*r2)*LaguerreL(1, 1.45914849589304508427400147271161*r2+2.9175027472370254759881486222105*r2*t+2.9175027472370254759881486222105-1.7509783248393843637092160706980*10^(-33)*sqrt(2.7777775719123411344533011625670*10^66-3.7820620906491654902812682940908*10^62*(1.9994556794244724285271525910301*r2*t+1.9994556794244724285271525910301)^2+3.7800034364353023263307641062080*10^62*r2^2))+5.6407446548998493902422333838184*10^(-7)*LaguerreL(1, 4.02341217155910653242221082718544*r2+4.8280949636885638667721853083600*10^(-33)*sqrt(2.7777775719123411344533011625670*10^66-3.7820620906491654902812682940908*10^62*(1.9994556794244724285271525910301*r2*t+1.9994556794244724285271525910301)^2+3.7800034364353023263307641062080*10^62*r2^2)-8.0446343170894053758449857104985*r2*t-8.0446343170894053758449857104985)*LaguerreL(0, 8.0446343170894053758449857104985*r2*t+8.0446343170894053758449857104985+4.8280949636885638667721853083600*10^(-33)*sqrt(2.7777775719123411344533011625670*10^66-3.7820620906491654902812682940908*10^62*(1.9994556794244724285271525910301*r2*t+1.9994556794244724285271525910301)^2+3.7800034364353023263307641062080*10^62*r2^2)-4.02341217155910653242221082718544*r2)*LaguerreL(6, 1.45914849589304508427400147271161*r2+2.9175027472370254759881486222105*r2*t+2.9175027472370254759881486222105-1.7509783248393843637092160706980*10^(-33)*sqrt(2.7777775719123411344533011625670*10^66-3.7820620906491654902812682940908*10^62*(1.9994556794244724285271525910301*r2*t+1.9994556794244724285271525910301)^2+3.7800034364353023263307641062080*10^62*r2^2))+1.1287080966465758341989960291285*10^(-7)*LaguerreL(0, 4.02341217155910653242221082718544*r2+4.8280949636885638667721853083600*10^(-33)*sqrt(2.7777775719123411344533011625670*10^66-3.7820620906491654902812682940908*10^62*(1.9994556794244724285271525910301*r2*t+1.9994556794244724285271525910301)^2+3.7800034364353023263307641062080*10^62*r2^2)-8.0446343170894053758449857104985*r2*t-8.0446343170894053758449857104985)*LaguerreL(0, 8.0446343170894053758449857104985*r2*t+8.0446343170894053758449857104985+4.8280949636885638667721853083600*10^(-33)*sqrt(2.7777775719123411344533011625670*10^66-3.7820620906491654902812682940908*10^62*(1.9994556794244724285271525910301*r2*t+1.9994556794244724285271525910301)^2+3.7800034364353023263307641062080*10^62*r2^2)-4.02341217155910653242221082718544*r2)*LaguerreL(8, 1.45914849589304508427400147271161*r2+2.9175027472370254759881486222105*r2*t+2.9175027472370254759881486222105-1.7509783248393843637092160706980*10^(-33)*sqrt(2.7777775719123411344533011625670*10^66-3.7820620906491654902812682940908*10^62*(1.9994556794244724285271525910301*r2*t+1.9994556794244724285271525910301)^2+3.7800034364353023263307641062080*10^62*r2^2))-2.5177488541853327095599705443212*10^(-7)*LaguerreL(0, 4.02341217155910653242221082718544*r2+4.8280949636885638667721853083600*10^(-33)*sqrt(2.7777775719123411344533011625670*10^66-3.7820620906491654902812682940908*10^62*(1.9994556794244724285271525910301*r2*t+1.9994556794244724285271525910301)^2+3.7800034364353023263307641062080*10^62*r2^2)-8.0446343170894053758449857104985*r2*t-8.0446343170894053758449857104985)*LaguerreL(1, 8.0446343170894053758449857104985*r2*t+8.0446343170894053758449857104985+4.8280949636885638667721853083600*10^(-33)*sqrt(2.7777775719123411344533011625670*10^66-3.7820620906491654902812682940908*10^62*(1.9994556794244724285271525910301*r2*t+1.9994556794244724285271525910301)^2+3.7800034364353023263307641062080*10^62*r2^2)-4.02341217155910653242221082718544*r2)*LaguerreL(7, 1.45914849589304508427400147271161*r2+2.9175027472370254759881486222105*r2*t+2.9175027472370254759881486222105-1.7509783248393843637092160706980*10^(-33)*sqrt(2.7777775719123411344533011625670*10^66-3.7820620906491654902812682940908*10^62*(1.9994556794244724285271525910301*r2*t+1.9994556794244724285271525910301)^2+3.7800034364353023263307641062080*10^62*r2^2))-2.5177488541853327095599705443212*10^(-7)*LaguerreL(1, 4.02341217155910653242221082718544*r2+4.8280949636885638667721853083600*10^(-33)*sqrt(2.7777775719123411344533011625670*10^66-3.7820620906491654902812682940908*10^62*(1.9994556794244724285271525910301*r2*t+1.9994556794244724285271525910301)^2+3.7800034364353023263307641062080*10^62*r2^2)-8.0446343170894053758449857104985*r2*t-8.0446343170894053758449857104985)*LaguerreL(0, 8.0446343170894053758449857104985*r2*t+8.0446343170894053758449857104985+4.8280949636885638667721853083600*10^(-33)*sqrt(2.7777775719123411344533011625670*10^66-3.7820620906491654902812682940908*10^62*(1.9994556794244724285271525910301*r2*t+1.9994556794244724285271525910301)^2+3.7800034364353023263307641062080*10^62*r2^2)-4.02341217155910653242221082718544*r2)*LaguerreL(7, 1.45914849589304508427400147271161*r2+2.9175027472370254759881486222105*r2*t+2.9175027472370254759881486222105-1.7509783248393843637092160706980*10^(-33)*sqrt(2.7777775719123411344533011625670*10^66-3.7820620906491654902812682940908*10^62*(1.9994556794244724285271525910301*r2*t+1.9994556794244724285271525910301)^2+3.7800034364353023263307641062080*10^62*r2^2))+5.6407446548998493902422333838184*10^(-7)*LaguerreL(0, 4.02341217155910653242221082718544*r2+4.8280949636885638667721853083600*10^(-33)*sqrt(2.7777775719123411344533011625670*10^66-3.7820620906491654902812682940908*10^62*(1.9994556794244724285271525910301*r2*t+1.9994556794244724285271525910301)^2+3.7800034364353023263307641062080*10^62*r2^2)-8.0446343170894053758449857104985*r2*t-8.0446343170894053758449857104985)*LaguerreL(1, 8.0446343170894053758449857104985*r2*t+8.0446343170894053758449857104985+4.8280949636885638667721853083600*10^(-33)*sqrt(2.7777775719123411344533011625670*10^66-3.7820620906491654902812682940908*10^62*(1.9994556794244724285271525910301*r2*t+1.9994556794244724285271525910301)^2+3.7800034364353023263307641062080*10^62*r2^2)-4.02341217155910653242221082718544*r2)*LaguerreL(6, 1.45914849589304508427400147271161*r2+2.9175027472370254759881486222105*r2*t+2.9175027472370254759881486222105-1.7509783248393843637092160706980*10^(-33)*sqrt(2.7777775719123411344533011625670*10^66-3.7820620906491654902812682940908*10^62*(1.9994556794244724285271525910301*r2*t+1.9994556794244724285271525910301)^2+3.7800034364353023263307641062080*10^62*r2^2))-0.457238681803272350394972137346898e-3*LaguerreL(0, 4.02341217155910653242221082718544*r2+4.8280949636885638667721853083600*10^(-33)*sqrt(2.7777775719123411344533011625670*10^66-3.7820620906491654902812682940908*10^62*(1.9994556794244724285271525910301*r2*t+1.9994556794244724285271525910301)^2+3.7800034364353023263307641062080*10^62*r2^2)-8.0446343170894053758449857104985*r2*t-8.0446343170894053758449857104985)*LaguerreL(1, 8.0446343170894053758449857104985*r2*t+8.0446343170894053758449857104985+4.8280949636885638667721853083600*10^(-33)*sqrt(2.7777775719123411344533011625670*10^66-3.7820620906491654902812682940908*10^62*(1.9994556794244724285271525910301*r2*t+1.9994556794244724285271525910301)^2+3.7800034364353023263307641062080*10^62*r2^2)-4.02341217155910653242221082718544*r2)*LaguerreL(1, 1.45914849589304508427400147271161*r2+2.9175027472370254759881486222105*r2*t+2.9175027472370254759881486222105-1.7509783248393843637092160706980*10^(-33)*sqrt(2.7777775719123411344533011625670*10^66-3.7820620906491654902812682940908*10^62*(1.9994556794244724285271525910301*r2*t+1.9994556794244724285271525910301)^2+3.7800034364353023263307641062080*10^62*r2^2))-.208344163732985387190867689671453*LaguerreL(4, 4.02341217155910653242221082718544*r2+4.8280949636885638667721853083600*10^(-33)*sqrt(2.7777775719123411344533011625670*10^66-3.7820620906491654902812682940908*10^62*(1.9994556794244724285271525910301*r2*t+1.9994556794244724285271525910301)^2+3.7800034364353023263307641062080*10^62*r2^2)-8.0446343170894053758449857104985*r2*t-8.0446343170894053758449857104985)*LaguerreL(0, 8.0446343170894053758449857104985*r2*t+8.0446343170894053758449857104985+4.8280949636885638667721853083600*10^(-33)*sqrt(2.7777775719123411344533011625670*10^66-3.7820620906491654902812682940908*10^62*(1.9994556794244724285271525910301*r2*t+1.9994556794244724285271525910301)^2+3.7800034364353023263307641062080*10^62*r2^2)-4.02341217155910653242221082718544*r2)*LaguerreL(0, 1.45914849589304508427400147271161*r2+2.9175027472370254759881486222105*r2*t+2.9175027472370254759881486222105-1.7509783248393843637092160706980*10^(-33)*sqrt(2.7777775719123411344533011625670*10^66-3.7820620906491654902812682940908*10^62*(1.9994556794244724285271525910301*r2*t+1.9994556794244724285271525910301)^2+3.7800034364353023263307641062080*10^62*r2^2))+0.838107100219796012151873121720885e-2*LaguerreL(4, 4.02341217155910653242221082718544*r2+4.8280949636885638667721853083600*10^(-33)*sqrt(2.7777775719123411344533011625670*10^66-3.7820620906491654902812682940908*10^62*(1.9994556794244724285271525910301*r2*t+1.9994556794244724285271525910301)^2+3.7800034364353023263307641062080*10^62*r2^2)-8.0446343170894053758449857104985*r2*t-8.0446343170894053758449857104985)*LaguerreL(0, 8.0446343170894053758449857104985*r2*t+8.0446343170894053758449857104985+4.8280949636885638667721853083600*10^(-33)*sqrt(2.7777775719123411344533011625670*10^66-3.7820620906491654902812682940908*10^62*(1.9994556794244724285271525910301*r2*t+1.9994556794244724285271525910301)^2+3.7800034364353023263307641062080*10^62*r2^2)-4.02341217155910653242221082718544*r2)*LaguerreL(1, 1.45914849589304508427400147271161*r2+2.9175027472370254759881486222105*r2*t+2.9175027472370254759881486222105-1.7509783248393843637092160706980*10^(-33)*sqrt(2.7777775719123411344533011625670*10^66-3.7820620906491654902812682940908*10^62*(1.9994556794244724285271525910301*r2*t+1.9994556794244724285271525910301)^2+3.7800034364353023263307641062080*10^62*r2^2))+5.4146824681424297656429025152707*10^(-7)*LaguerreL(0, 4.02341217155910653242221082718544*r2+4.8280949636885638667721853083600*10^(-33)*sqrt(2.7777775719123411344533011625670*10^66-3.7820620906491654902812682940908*10^62*(1.9994556794244724285271525910301*r2*t+1.9994556794244724285271525910301)^2+3.7800034364353023263307641062080*10^62*r2^2)-8.0446343170894053758449857104985*r2*t-8.0446343170894053758449857104985)*LaguerreL(0, 8.0446343170894053758449857104985*r2*t+8.0446343170894053758449857104985+4.8280949636885638667721853083600*10^(-33)*sqrt(2.7777775719123411344533011625670*10^66-3.7820620906491654902812682940908*10^62*(1.9994556794244724285271525910301*r2*t+1.9994556794244724285271525910301)^2+3.7800034364353023263307641062080*10^62*r2^2)-4.02341217155910653242221082718544*r2)*LaguerreL(7, 1.45914849589304508427400147271161*r2+2.9175027472370254759881486222105*r2*t+2.9175027472370254759881486222105-1.7509783248393843637092160706980*10^(-33)*sqrt(2.7777775719123411344533011625670*10^66-3.7820620906491654902812682940908*10^62*(1.9994556794244724285271525910301*r2*t+1.9994556794244724285271525910301)^2+3.7800034364353023263307641062080*10^62*r2^2))+0.518694956368721266762234380924594e-3*LaguerreL(2, 4.02341217155910653242221082718544*r2+4.8280949636885638667721853083600*10^(-33)*sqrt(2.7777775719123411344533011625670*10^66-3.7820620906491654902812682940908*10^62*(1.9994556794244724285271525910301*r2*t+1.9994556794244724285271525910301)^2+3.7800034364353023263307641062080*10^62*r2^2)-8.0446343170894053758449857104985*r2*t-8.0446343170894053758449857104985)*LaguerreL(0, 8.0446343170894053758449857104985*r2*t+8.0446343170894053758449857104985+4.8280949636885638667721853083600*10^(-33)*sqrt(2.7777775719123411344533011625670*10^66-3.7820620906491654902812682940908*10^62*(1.9994556794244724285271525910301*r2*t+1.9994556794244724285271525910301)^2+3.7800034364353023263307641062080*10^62*r2^2)-4.02341217155910653242221082718544*r2)*LaguerreL(2, 1.45914849589304508427400147271161*r2+2.9175027472370254759881486222105*r2*t+2.9175027472370254759881486222105-1.7509783248393843637092160706980*10^(-33)*sqrt(2.7777775719123411344533011625670*10^66-3.7820620906491654902812682940908*10^62*(1.9994556794244724285271525910301*r2*t+1.9994556794244724285271525910301)^2+3.7800034364353023263307641062080*10^62*r2^2))-0.106261821386251336104278677006759e-3*LaguerreL(2, 4.02341217155910653242221082718544*r2+4.8280949636885638667721853083600*10^(-33)*sqrt(2.7777775719123411344533011625670*10^66-3.7820620906491654902812682940908*10^62*(1.9994556794244724285271525910301*r2*t+1.9994556794244724285271525910301)^2+3.7800034364353023263307641062080*10^62*r2^2)-8.0446343170894053758449857104985*r2*t-8.0446343170894053758449857104985)*LaguerreL(1, 8.0446343170894053758449857104985*r2*t+8.0446343170894053758449857104985+4.8280949636885638667721853083600*10^(-33)*sqrt(2.7777775719123411344533011625670*10^66-3.7820620906491654902812682940908*10^62*(1.9994556794244724285271525910301*r2*t+1.9994556794244724285271525910301)^2+3.7800034364353023263307641062080*10^62*r2^2)-4.02341217155910653242221082718544*r2)*LaguerreL(3, 1.45914849589304508427400147271161*r2+2.9175027472370254759881486222105*r2*t+2.9175027472370254759881486222105-1.7509783248393843637092160706980*10^(-33)*sqrt(2.7777775719123411344533011625670*10^66-3.7820620906491654902812682940908*10^62*(1.9994556794244724285271525910301*r2*t+1.9994556794244724285271525910301)^2+3.7800034364353023263307641062080*10^62*r2^2))+0.36460905395655618208925013424650e-5*LaguerreL(0, 4.02341217155910653242221082718544*r2+4.8280949636885638667721853083600*10^(-33)*sqrt(2.7777775719123411344533011625670*10^66-3.7820620906491654902812682940908*10^62*(1.9994556794244724285271525910301*r2*t+1.9994556794244724285271525910301)^2+3.7800034364353023263307641062080*10^62*r2^2)-8.0446343170894053758449857104985*r2*t-8.0446343170894053758449857104985)*LaguerreL(2, 8.0446343170894053758449857104985*r2*t+8.0446343170894053758449857104985+4.8280949636885638667721853083600*10^(-33)*sqrt(2.7777775719123411344533011625670*10^66-3.7820620906491654902812682940908*10^62*(1.9994556794244724285271525910301*r2*t+1.9994556794244724285271525910301)^2+3.7800034364353023263307641062080*10^62*r2^2)-4.02341217155910653242221082718544*r2)*LaguerreL(6, 1.45914849589304508427400147271161*r2+2.9175027472370254759881486222105*r2*t+2.9175027472370254759881486222105-1.7509783248393843637092160706980*10^(-33)*sqrt(2.7777775719123411344533011625670*10^66-3.7820620906491654902812682940908*10^62*(1.9994556794244724285271525910301*r2*t+1.9994556794244724285271525910301)^2+3.7800034364353023263307641062080*10^62*r2^2))+0.376286576135240750566070092546973e-2*LaguerreL(0, 4.02341217155910653242221082718544*r2+4.8280949636885638667721853083600*10^(-33)*sqrt(2.7777775719123411344533011625670*10^66-3.7820620906491654902812682940908*10^62*(1.9994556794244724285271525910301*r2*t+1.9994556794244724285271525910301)^2+3.7800034364353023263307641062080*10^62*r2^2)-8.0446343170894053758449857104985*r2*t-8.0446343170894053758449857104985)*LaguerreL(7, 8.0446343170894053758449857104985*r2*t+8.0446343170894053758449857104985+4.8280949636885638667721853083600*10^(-33)*sqrt(2.7777775719123411344533011625670*10^66-3.7820620906491654902812682940908*10^62*(1.9994556794244724285271525910301*r2*t+1.9994556794244724285271525910301)^2+3.7800034364353023263307641062080*10^62*r2^2)-4.02341217155910653242221082718544*r2)*LaguerreL(1, 1.45914849589304508427400147271161*r2+2.9175027472370254759881486222105*r2*t+2.9175027472370254759881486222105-1.7509783248393843637092160706980*10^(-33)*sqrt(2.7777775719123411344533011625670*10^66-3.7820620906491654902812682940908*10^62*(1.9994556794244724285271525910301*r2*t+1.9994556794244724285271525910301)^2+3.7800034364353023263307641062080*10^62*r2^2))-0.657500830040963889426389734938525e-2*LaguerreL(5, 4.02341217155910653242221082718544*r2+4.8280949636885638667721853083600*10^(-33)*sqrt(2.7777775719123411344533011625670*10^66-3.7820620906491654902812682940908*10^62*(1.9994556794244724285271525910301*r2*t+1.9994556794244724285271525910301)^2+3.7800034364353023263307641062080*10^62*r2^2)-8.0446343170894053758449857104985*r2*t-8.0446343170894053758449857104985)*LaguerreL(0, 8.0446343170894053758449857104985*r2*t+8.0446343170894053758449857104985+4.8280949636885638667721853083600*10^(-33)*sqrt(2.7777775719123411344533011625670*10^66-3.7820620906491654902812682940908*10^62*(1.9994556794244724285271525910301*r2*t+1.9994556794244724285271525910301)^2+3.7800034364353023263307641062080*10^62*r2^2)-4.02341217155910653242221082718544*r2)*LaguerreL(1, 1.45914849589304508427400147271161*r2+2.9175027472370254759881486222105*r2*t+2.9175027472370254759881486222105-1.7509783248393843637092160706980*10^(-33)*sqrt(2.7777775719123411344533011625670*10^66-3.7820620906491654902812682940908*10^62*(1.9994556794244724285271525910301*r2*t+1.9994556794244724285271525910301)^2+3.7800034364353023263307641062080*10^62*r2^2))-0.503289579643568072763591428412297e-2*LaguerreL(4, 4.02341217155910653242221082718544*r2+4.8280949636885638667721853083600*10^(-33)*sqrt(2.7777775719123411344533011625670*10^66-3.7820620906491654902812682940908*10^62*(1.9994556794244724285271525910301*r2*t+1.9994556794244724285271525910301)^2+3.7800034364353023263307641062080*10^62*r2^2)-8.0446343170894053758449857104985*r2*t-8.0446343170894053758449857104985)*LaguerreL(1, 8.0446343170894053758449857104985*r2*t+8.0446343170894053758449857104985+4.8280949636885638667721853083600*10^(-33)*sqrt(2.7777775719123411344533011625670*10^66-3.7820620906491654902812682940908*10^62*(1.9994556794244724285271525910301*r2*t+1.9994556794244724285271525910301)^2+3.7800034364353023263307641062080*10^62*r2^2)-4.02341217155910653242221082718544*r2)*LaguerreL(1, 1.45914849589304508427400147271161*r2+2.9175027472370254759881486222105*r2*t+2.9175027472370254759881486222105-1.7509783248393843637092160706980*10^(-33)*sqrt(2.7777775719123411344533011625670*10^66-3.7820620906491654902812682940908*10^62*(1.9994556794244724285271525910301*r2*t+1.9994556794244724285271525910301)^2+3.7800034364353023263307641062080*10^62*r2^2))-0.503289579643568072763591428412297e-2*LaguerreL(1, 4.02341217155910653242221082718544*r2+4.8280949636885638667721853083600*10^(-33)*sqrt(2.7777775719123411344533011625670*10^66-3.7820620906491654902812682940908*10^62*(1.9994556794244724285271525910301*r2*t+1.9994556794244724285271525910301)^2+3.7800034364353023263307641062080*10^62*r2^2)-8.0446343170894053758449857104985*r2*t-8.0446343170894053758449857104985)*LaguerreL(4, 8.0446343170894053758449857104985*r2*t+8.0446343170894053758449857104985+4.8280949636885638667721853083600*10^(-33)*sqrt(2.7777775719123411344533011625670*10^66-3.7820620906491654902812682940908*10^62*(1.9994556794244724285271525910301*r2*t+1.9994556794244724285271525910301)^2+3.7800034364353023263307641062080*10^62*r2^2)-4.02341217155910653242221082718544*r2)*LaguerreL(1, 1.45914849589304508427400147271161*r2+2.9175027472370254759881486222105*r2*t+2.9175027472370254759881486222105-1.7509783248393843637092160706980*10^(-33)*sqrt(2.7777775719123411344533011625670*10^66-3.7820620906491654902812682940908*10^62*(1.9994556794244724285271525910301*r2*t+1.9994556794244724285271525910301)^2+3.7800034364353023263307641062080*10^62*r2^2))+0.199530242287504695207462703641301e-3*LaguerreL(4, 4.02341217155910653242221082718544*r2+4.8280949636885638667721853083600*10^(-33)*sqrt(2.7777775719123411344533011625670*10^66-3.7820620906491654902812682940908*10^62*(1.9994556794244724285271525910301*r2*t+1.9994556794244724285271525910301)^2+3.7800034364353023263307641062080*10^62*r2^2)-8.0446343170894053758449857104985*r2*t-8.0446343170894053758449857104985)*LaguerreL(0, 8.0446343170894053758449857104985*r2*t+8.0446343170894053758449857104985+4.8280949636885638667721853083600*10^(-33)*sqrt(2.7777775719123411344533011625670*10^66-3.7820620906491654902812682940908*10^62*(1.9994556794244724285271525910301*r2*t+1.9994556794244724285271525910301)^2+3.7800034364353023263307641062080*10^62*r2^2)-4.02341217155910653242221082718544*r2)*LaguerreL(3, 1.45914849589304508427400147271161*r2+2.9175027472370254759881486222105*r2*t+2.9175027472370254759881486222105-1.7509783248393843637092160706980*10^(-33)*sqrt(2.7777775719123411344533011625670*10^66-3.7820620906491654902812682940908*10^62*(1.9994556794244724285271525910301*r2*t+1.9994556794244724285271525910301)^2+3.7800034364353023263307641062080*10^62*r2^2))+0.111219797149699333407152308278135e-3*LaguerreL(1, 4.02341217155910653242221082718544*r2+4.8280949636885638667721853083600*10^(-33)*sqrt(2.7777775719123411344533011625670*10^66-3.7820620906491654902812682940908*10^62*(1.9994556794244724285271525910301*r2*t+1.9994556794244724285271525910301)^2+3.7800034364353023263307641062080*10^62*r2^2)-8.0446343170894053758449857104985*r2*t-8.0446343170894053758449857104985)*LaguerreL(1, 8.0446343170894053758449857104985*r2*t+8.0446343170894053758449857104985+4.8280949636885638667721853083600*10^(-33)*sqrt(2.7777775719123411344533011625670*10^66-3.7820620906491654902812682940908*10^62*(1.9994556794244724285271525910301*r2*t+1.9994556794244724285271525910301)^2+3.7800034364353023263307641062080*10^62*r2^2)-4.02341217155910653242221082718544*r2)*LaguerreL(3, 1.45914849589304508427400147271161*r2+2.9175027472370254759881486222105*r2*t+2.9175027472370254759881486222105-1.7509783248393843637092160706980*10^(-33)*sqrt(2.7777775719123411344533011625670*10^66-3.7820620906491654902812682940908*10^62*(1.9994556794244724285271525910301*r2*t+1.9994556794244724285271525910301)^2+3.7800034364353023263307641062080*10^62*r2^2))-0.437430791165850209750985794363691e-2*LaguerreL(2, 4.02341217155910653242221082718544*r2+4.8280949636885638667721853083600*10^(-33)*sqrt(2.7777775719123411344533011625670*10^66-3.7820620906491654902812682940908*10^62*(1.9994556794244724285271525910301*r2*t+1.9994556794244724285271525910301)^2+3.7800034364353023263307641062080*10^62*r2^2)-8.0446343170894053758449857104985*r2*t-8.0446343170894053758449857104985)*LaguerreL(1, 8.0446343170894053758449857104985*r2*t+8.0446343170894053758449857104985+4.8280949636885638667721853083600*10^(-33)*sqrt(2.7777775719123411344533011625670*10^66-3.7820620906491654902812682940908*10^62*(1.9994556794244724285271525910301*r2*t+1.9994556794244724285271525910301)^2+3.7800034364353023263307641062080*10^62*r2^2)-4.02341217155910653242221082718544*r2)*LaguerreL(1, 1.45914849589304508427400147271161*r2+2.9175027472370254759881486222105*r2*t+2.9175027472370254759881486222105-1.7509783248393843637092160706980*10^(-33)*sqrt(2.7777775719123411344533011625670*10^66-3.7820620906491654902812682940908*10^62*(1.9994556794244724285271525910301*r2*t+1.9994556794244724285271525910301)^2+3.7800034364353023263307641062080*10^62*r2^2))+0.768086172296031182953646279461179e-3*LaguerreL(3, 4.02341217155910653242221082718544*r2+4.8280949636885638667721853083600*10^(-33)*sqrt(2.7777775719123411344533011625670*10^66-3.7820620906491654902812682940908*10^62*(1.9994556794244724285271525910301*r2*t+1.9994556794244724285271525910301)^2+3.7800034364353023263307641062080*10^62*r2^2)-8.0446343170894053758449857104985*r2*t-8.0446343170894053758449857104985)*LaguerreL(1, 8.0446343170894053758449857104985*r2*t+8.0446343170894053758449857104985+4.8280949636885638667721853083600*10^(-33)*sqrt(2.7777775719123411344533011625670*10^66-3.7820620906491654902812682940908*10^62*(1.9994556794244724285271525910301*r2*t+1.9994556794244724285271525910301)^2+3.7800034364353023263307641062080*10^62*r2^2)-4.02341217155910653242221082718544*r2)*LaguerreL(2, 1.45914849589304508427400147271161*r2+2.9175027472370254759881486222105*r2*t+2.9175027472370254759881486222105-1.7509783248393843637092160706980*10^(-33)*sqrt(2.7777775719123411344533011625670*10^66-3.7820620906491654902812682940908*10^62*(1.9994556794244724285271525910301*r2*t+1.9994556794244724285271525910301)^2+3.7800034364353023263307641062080*10^62*r2^2))+0.123195667721157133294792917792191e-3*LaguerreL(2, 4.02341217155910653242221082718544*r2+4.8280949636885638667721853083600*10^(-33)*sqrt(2.7777775719123411344533011625670*10^66-3.7820620906491654902812682940908*10^62*(1.9994556794244724285271525910301*r2*t+1.9994556794244724285271525910301)^2+3.7800034364353023263307641062080*10^62*r2^2)-8.0446343170894053758449857104985*r2*t-8.0446343170894053758449857104985)*LaguerreL(0, 8.0446343170894053758449857104985*r2*t+8.0446343170894053758449857104985+4.8280949636885638667721853083600*10^(-33)*sqrt(2.7777775719123411344533011625670*10^66-3.7820620906491654902812682940908*10^62*(1.9994556794244724285271525910301*r2*t+1.9994556794244724285271525910301)^2+3.7800034364353023263307641062080*10^62*r2^2)-4.02341217155910653242221082718544*r2)*LaguerreL(3, 1.45914849589304508427400147271161*r2+2.9175027472370254759881486222105*r2*t+2.9175027472370254759881486222105-1.7509783248393843637092160706980*10^(-33)*sqrt(2.7777775719123411344533011625670*10^66-3.7820620906491654902812682940908*10^62*(1.9994556794244724285271525910301*r2*t+1.9994556794244724285271525910301)^2+3.7800034364353023263307641062080*10^62*r2^2))+0.586942162528253353861844495928338e-1*LaguerreL(2, 4.02341217155910653242221082718544*r2+4.8280949636885638667721853083600*10^(-33)*sqrt(2.7777775719123411344533011625670*10^66-3.7820620906491654902812682940908*10^62*(1.9994556794244724285271525910301*r2*t+1.9994556794244724285271525910301)^2+3.7800034364353023263307641062080*10^62*r2^2)-8.0446343170894053758449857104985*r2*t-8.0446343170894053758449857104985)*LaguerreL(3, 8.0446343170894053758449857104985*r2*t+8.0446343170894053758449857104985+4.8280949636885638667721853083600*10^(-33)*sqrt(2.7777775719123411344533011625670*10^66-3.7820620906491654902812682940908*10^62*(1.9994556794244724285271525910301*r2*t+1.9994556794244724285271525910301)^2+3.7800034364353023263307641062080*10^62*r2^2)-4.02341217155910653242221082718544*r2)*LaguerreL(0, 1.45914849589304508427400147271161*r2+2.9175027472370254759881486222105*r2*t+2.9175027472370254759881486222105-1.7509783248393843637092160706980*10^(-33)*sqrt(2.7777775719123411344533011625670*10^66-3.7820620906491654902812682940908*10^62*(1.9994556794244724285271525910301*r2*t+1.9994556794244724285271525910301)^2+3.7800034364353023263307641062080*10^62*r2^2))+0.344160843244010230129843249781787e-1*LaguerreL(0, 4.02341217155910653242221082718544*r2+4.8280949636885638667721853083600*10^(-33)*sqrt(2.7777775719123411344533011625670*10^66-3.7820620906491654902812682940908*10^62*(1.9994556794244724285271525910301*r2*t+1.9994556794244724285271525910301)^2+3.7800034364353023263307641062080*10^62*r2^2)-8.0446343170894053758449857104985*r2*t-8.0446343170894053758449857104985)*LaguerreL(6, 8.0446343170894053758449857104985*r2*t+8.0446343170894053758449857104985+4.8280949636885638667721853083600*10^(-33)*sqrt(2.7777775719123411344533011625670*10^66-3.7820620906491654902812682940908*10^62*(1.9994556794244724285271525910301*r2*t+1.9994556794244724285271525910301)^2+3.7800034364353023263307641062080*10^62*r2^2)-4.02341217155910653242221082718544*r2)*LaguerreL(0, 1.45914849589304508427400147271161*r2+2.9175027472370254759881486222105*r2*t+2.9175027472370254759881486222105-1.7509783248393843637092160706980*10^(-33)*sqrt(2.7777775719123411344533011625670*10^66-3.7820620906491654902812682940908*10^62*(1.9994556794244724285271525910301*r2*t+1.9994556794244724285271525910301)^2+3.7800034364353023263307641062080*10^62*r2^2))+0.123195667721157133294792917792191e-3*LaguerreL(0, 4.02341217155910653242221082718544*r2+4.8280949636885638667721853083600*10^(-33)*sqrt(2.7777775719123411344533011625670*10^66-3.7820620906491654902812682940908*10^62*(1.9994556794244724285271525910301*r2*t+1.9994556794244724285271525910301)^2+3.7800034364353023263307641062080*10^62*r2^2)-8.0446343170894053758449857104985*r2*t-8.0446343170894053758449857104985)*LaguerreL(2, 8.0446343170894053758449857104985*r2*t+8.0446343170894053758449857104985+4.8280949636885638667721853083600*10^(-33)*sqrt(2.7777775719123411344533011625670*10^66-3.7820620906491654902812682940908*10^62*(1.9994556794244724285271525910301*r2*t+1.9994556794244724285271525910301)^2+3.7800034364353023263307641062080*10^62*r2^2)-4.02341217155910653242221082718544*r2)*LaguerreL(3, 1.45914849589304508427400147271161*r2+2.9175027472370254759881486222105*r2*t+2.9175027472370254759881486222105-1.7509783248393843637092160706980*10^(-33)*sqrt(2.7777775719123411344533011625670*10^66-3.7820620906491654902812682940908*10^62*(1.9994556794244724285271525910301*r2*t+1.9994556794244724285271525910301)^2+3.7800034364353023263307641062080*10^62*r2^2))-0.123541450043073362664804558754503e-3*LaguerreL(0, 4.02341217155910653242221082718544*r2+4.8280949636885638667721853083600*10^(-33)*sqrt(2.7777775719123411344533011625670*10^66-3.7820620906491654902812682940908*10^62*(1.9994556794244724285271525910301*r2*t+1.9994556794244724285271525910301)^2+3.7800034364353023263307641062080*10^62*r2^2)-8.0446343170894053758449857104985*r2*t-8.0446343170894053758449857104985)*LaguerreL(3, 8.0446343170894053758449857104985*r2*t+8.0446343170894053758449857104985+4.8280949636885638667721853083600*10^(-33)*sqrt(2.7777775719123411344533011625670*10^66-3.7820620906491654902812682940908*10^62*(1.9994556794244724285271525910301*r2*t+1.9994556794244724285271525910301)^2+3.7800034364353023263307641062080*10^62*r2^2)-4.02341217155910653242221082718544*r2)*LaguerreL(3, 1.45914849589304508427400147271161*r2+2.9175027472370254759881486222105*r2*t+2.9175027472370254759881486222105-1.7509783248393843637092160706980*10^(-33)*sqrt(2.7777775719123411344533011625670*10^66-3.7820620906491654902812682940908*10^62*(1.9994556794244724285271525910301*r2*t+1.9994556794244724285271525910301)^2+3.7800034364353023263307641062080*10^62*r2^2))-.169148507098940255431661608561556*LaguerreL(1, 4.02341217155910653242221082718544*r2+4.8280949636885638667721853083600*10^(-33)*sqrt(2.7777775719123411344533011625670*10^66-3.7820620906491654902812682940908*10^62*(1.9994556794244724285271525910301*r2*t+1.9994556794244724285271525910301)^2+3.7800034364353023263307641062080*10^62*r2^2)-8.0446343170894053758449857104985*r2*t-8.0446343170894053758449857104985)*LaguerreL(3, 8.0446343170894053758449857104985*r2*t+8.0446343170894053758449857104985+4.8280949636885638667721853083600*10^(-33)*sqrt(2.7777775719123411344533011625670*10^66-3.7820620906491654902812682940908*10^62*(1.9994556794244724285271525910301*r2*t+1.9994556794244724285271525910301)^2+3.7800034364353023263307641062080*10^62*r2^2)-4.02341217155910653242221082718544*r2)*LaguerreL(0, 1.45914849589304508427400147271161*r2+2.9175027472370254759881486222105*r2*t+2.9175027472370254759881486222105-1.7509783248393843637092160706980*10^(-33)*sqrt(2.7777775719123411344533011625670*10^66-3.7820620906491654902812682940908*10^62*(1.9994556794244724285271525910301*r2*t+1.9994556794244724285271525910301)^2+3.7800034364353023263307641062080*10^62*r2^2))-0.654697505797079148629828821509445e-3*LaguerreL(1, 4.02341217155910653242221082718544*r2+4.8280949636885638667721853083600*10^(-33)*sqrt(2.7777775719123411344533011625670*10^66-3.7820620906491654902812682940908*10^62*(1.9994556794244724285271525910301*r2*t+1.9994556794244724285271525910301)^2+3.7800034364353023263307641062080*10^62*r2^2)-8.0446343170894053758449857104985*r2*t-8.0446343170894053758449857104985)*LaguerreL(2, 8.0446343170894053758449857104985*r2*t+8.0446343170894053758449857104985+4.8280949636885638667721853083600*10^(-33)*sqrt(2.7777775719123411344533011625670*10^66-3.7820620906491654902812682940908*10^62*(1.9994556794244724285271525910301*r2*t+1.9994556794244724285271525910301)^2+3.7800034364353023263307641062080*10^62*r2^2)-4.02341217155910653242221082718544*r2)*LaguerreL(2, 1.45914849589304508427400147271161*r2+2.9175027472370254759881486222105*r2*t+2.9175027472370254759881486222105-1.7509783248393843637092160706980*10^(-33)*sqrt(2.7777775719123411344533011625670*10^66-3.7820620906491654902812682940908*10^62*(1.9994556794244724285271525910301*r2*t+1.9994556794244724285271525910301)^2+3.7800034364353023263307641062080*10^62*r2^2))+0.21191336006634231252486052314880e-5*LaguerreL(1, 4.02341217155910653242221082718544*r2+4.8280949636885638667721853083600*10^(-33)*sqrt(2.7777775719123411344533011625670*10^66-3.7820620906491654902812682940908*10^62*(1.9994556794244724285271525910301*r2*t+1.9994556794244724285271525910301)^2+3.7800034364353023263307641062080*10^62*r2^2)-8.0446343170894053758449857104985*r2*t-8.0446343170894053758449857104985)*LaguerreL(0, 8.0446343170894053758449857104985*r2*t+8.0446343170894053758449857104985+4.8280949636885638667721853083600*10^(-33)*sqrt(2.7777775719123411344533011625670*10^66-3.7820620906491654902812682940908*10^62*(1.9994556794244724285271525910301*r2*t+1.9994556794244724285271525910301)^2+3.7800034364353023263307641062080*10^62*r2^2)-4.02341217155910653242221082718544*r2)*LaguerreL(5, 1.45914849589304508427400147271161*r2+2.9175027472370254759881486222105*r2*t+2.9175027472370254759881486222105-1.7509783248393843637092160706980*10^(-33)*sqrt(2.7777775719123411344533011625670*10^66-3.7820620906491654902812682940908*10^62*(1.9994556794244724285271525910301*r2*t+1.9994556794244724285271525910301)^2+3.7800034364353023263307641062080*10^62*r2^2))-0.494273007895016101746988372006016e-2*LaguerreL(0, 4.02341217155910653242221082718544*r2+4.8280949636885638667721853083600*10^(-33)*sqrt(2.7777775719123411344533011625670*10^66-3.7820620906491654902812682940908*10^62*(1.9994556794244724285271525910301*r2*t+1.9994556794244724285271525910301)^2+3.7800034364353023263307641062080*10^62*r2^2)-8.0446343170894053758449857104985*r2*t-8.0446343170894053758449857104985)*LaguerreL(0, 8.0446343170894053758449857104985*r2*t+8.0446343170894053758449857104985+4.8280949636885638667721853083600*10^(-33)*sqrt(2.7777775719123411344533011625670*10^66-3.7820620906491654902812682940908*10^62*(1.9994556794244724285271525910301*r2*t+1.9994556794244724285271525910301)^2+3.7800034364353023263307641062080*10^62*r2^2)-4.02341217155910653242221082718544*r2)*LaguerreL(0, 1.45914849589304508427400147271161*r2+2.9175027472370254759881486222105*r2*t+2.9175027472370254759881486222105-1.7509783248393843637092160706980*10^(-33)*sqrt(2.7777775719123411344533011625670*10^66-3.7820620906491654902812682940908*10^62*(1.9994556794244724285271525910301*r2*t+1.9994556794244724285271525910301)^2+3.7800034364353023263307641062080*10^62*r2^2))-.169148507098940255431661608561556*LaguerreL(3, 4.02341217155910653242221082718544*r2+4.8280949636885638667721853083600*10^(-33)*sqrt(2.7777775719123411344533011625670*10^66-3.7820620906491654902812682940908*10^62*(1.9994556794244724285271525910301*r2*t+1.9994556794244724285271525910301)^2+3.7800034364353023263307641062080*10^62*r2^2)-8.0446343170894053758449857104985*r2*t-8.0446343170894053758449857104985)*LaguerreL(1, 8.0446343170894053758449857104985*r2*t+8.0446343170894053758449857104985+4.8280949636885638667721853083600*10^(-33)*sqrt(2.7777775719123411344533011625670*10^66-3.7820620906491654902812682940908*10^62*(1.9994556794244724285271525910301*r2*t+1.9994556794244724285271525910301)^2+3.7800034364353023263307641062080*10^62*r2^2)-4.02341217155910653242221082718544*r2)*LaguerreL(0, 1.45914849589304508427400147271161*r2+2.9175027472370254759881486222105*r2*t+2.9175027472370254759881486222105-1.7509783248393843637092160706980*10^(-33)*sqrt(2.7777775719123411344533011625670*10^66-3.7820620906491654902812682940908*10^62*(1.9994556794244724285271525910301*r2*t+1.9994556794244724285271525910301)^2+3.7800034364353023263307641062080*10^62*r2^2))+0.931508341637951867146192944533839e-3*LaguerreL(4, 4.02341217155910653242221082718544*r2+4.8280949636885638667721853083600*10^(-33)*sqrt(2.7777775719123411344533011625670*10^66-3.7820620906491654902812682940908*10^62*(1.9994556794244724285271525910301*r2*t+1.9994556794244724285271525910301)^2+3.7800034364353023263307641062080*10^62*r2^2)-8.0446343170894053758449857104985*r2*t-8.0446343170894053758449857104985)*LaguerreL(0, 8.0446343170894053758449857104985*r2*t+8.0446343170894053758449857104985+4.8280949636885638667721853083600*10^(-33)*sqrt(2.7777775719123411344533011625670*10^66-3.7820620906491654902812682940908*10^62*(1.9994556794244724285271525910301*r2*t+1.9994556794244724285271525910301)^2+3.7800034364353023263307641062080*10^62*r2^2)-4.02341217155910653242221082718544*r2)*LaguerreL(2, 1.45914849589304508427400147271161*r2+2.9175027472370254759881486222105*r2*t+2.9175027472370254759881486222105-1.7509783248393843637092160706980*10^(-33)*sqrt(2.7777775719123411344533011625670*10^66-3.7820620906491654902812682940908*10^62*(1.9994556794244724285271525910301*r2*t+1.9994556794244724285271525910301)^2+3.7800034364353023263307641062080*10^62*r2^2))-.157242061584495790155625527487896*LaguerreL(2, 4.02341217155910653242221082718544*r2+4.8280949636885638667721853083600*10^(-33)*sqrt(2.7777775719123411344533011625670*10^66-3.7820620906491654902812682940908*10^62*(1.9994556794244724285271525910301*r2*t+1.9994556794244724285271525910301)^2+3.7800034364353023263307641062080*10^62*r2^2)-8.0446343170894053758449857104985*r2*t-8.0446343170894053758449857104985)*LaguerreL(2, 8.0446343170894053758449857104985*r2*t+8.0446343170894053758449857104985+4.8280949636885638667721853083600*10^(-33)*sqrt(2.7777775719123411344533011625670*10^66-3.7820620906491654902812682940908*10^62*(1.9994556794244724285271525910301*r2*t+1.9994556794244724285271525910301)^2+3.7800034364353023263307641062080*10^62*r2^2)-4.02341217155910653242221082718544*r2)*LaguerreL(0, 1.45914849589304508427400147271161*r2+2.9175027472370254759881486222105*r2*t+2.9175027472370254759881486222105-1.7509783248393843637092160706980*10^(-33)*sqrt(2.7777775719123411344533011625670*10^66-3.7820620906491654902812682940908*10^62*(1.9994556794244724285271525910301*r2*t+1.9994556794244724285271525910301)^2+3.7800034364353023263307641062080*10^62*r2^2))-0.244883317630775965054422033654211e-3*LaguerreL(2, 4.02341217155910653242221082718544*r2+4.8280949636885638667721853083600*10^(-33)*sqrt(2.7777775719123411344533011625670*10^66-3.7820620906491654902812682940908*10^62*(1.9994556794244724285271525910301*r2*t+1.9994556794244724285271525910301)^2+3.7800034364353023263307641062080*10^62*r2^2)-8.0446343170894053758449857104985*r2*t-8.0446343170894053758449857104985)*LaguerreL(4, 8.0446343170894053758449857104985*r2*t+8.0446343170894053758449857104985+4.8280949636885638667721853083600*10^(-33)*sqrt(2.7777775719123411344533011625670*10^66-3.7820620906491654902812682940908*10^62*(1.9994556794244724285271525910301*r2*t+1.9994556794244724285271525910301)^2+3.7800034364353023263307641062080*10^62*r2^2)-4.02341217155910653242221082718544*r2)*LaguerreL(2, 1.45914849589304508427400147271161*r2+2.9175027472370254759881486222105*r2*t+2.9175027472370254759881486222105-1.7509783248393843637092160706980*10^(-33)*sqrt(2.7777775719123411344533011625670*10^66-3.7820620906491654902812682940908*10^62*(1.9994556794244724285271525910301*r2*t+1.9994556794244724285271525910301)^2+3.7800034364353023263307641062080*10^62*r2^2))+0.26867286762937695320927900329067e-4*LaguerreL(2, 4.02341217155910653242221082718544*r2+4.8280949636885638667721853083600*10^(-33)*sqrt(2.7777775719123411344533011625670*10^66-3.7820620906491654902812682940908*10^62*(1.9994556794244724285271525910301*r2*t+1.9994556794244724285271525910301)^2+3.7800034364353023263307641062080*10^62*r2^2)-8.0446343170894053758449857104985*r2*t-8.0446343170894053758449857104985)*LaguerreL(2, 8.0446343170894053758449857104985*r2*t+8.0446343170894053758449857104985+4.8280949636885638667721853083600*10^(-33)*sqrt(2.7777775719123411344533011625670*10^66-3.7820620906491654902812682940908*10^62*(1.9994556794244724285271525910301*r2*t+1.9994556794244724285271525910301)^2+3.7800034364353023263307641062080*10^62*r2^2)-4.02341217155910653242221082718544*r2)*LaguerreL(4, 1.45914849589304508427400147271161*r2+2.9175027472370254759881486222105*r2*t+2.9175027472370254759881486222105-1.7509783248393843637092160706980*10^(-33)*sqrt(2.7777775719123411344533011625670*10^66-3.7820620906491654902812682940908*10^62*(1.9994556794244724285271525910301*r2*t+1.9994556794244724285271525910301)^2+3.7800034364353023263307641062080*10^62*r2^2))-0.137031645026510112811351224457371e-1*LaguerreL(4, 4.02341217155910653242221082718544*r2+4.8280949636885638667721853083600*10^(-33)*sqrt(2.7777775719123411344533011625670*10^66-3.7820620906491654902812682940908*10^62*(1.9994556794244724285271525910301*r2*t+1.9994556794244724285271525910301)^2+3.7800034364353023263307641062080*10^62*r2^2)-8.0446343170894053758449857104985*r2*t-8.0446343170894053758449857104985)*LaguerreL(4, 8.0446343170894053758449857104985*r2*t+8.0446343170894053758449857104985+4.8280949636885638667721853083600*10^(-33)*sqrt(2.7777775719123411344533011625670*10^66-3.7820620906491654902812682940908*10^62*(1.9994556794244724285271525910301*r2*t+1.9994556794244724285271525910301)^2+3.7800034364353023263307641062080*10^62*r2^2)-4.02341217155910653242221082718544*r2)*LaguerreL(0, 1.45914849589304508427400147271161*r2+2.9175027472370254759881486222105*r2*t+2.9175027472370254759881486222105-1.7509783248393843637092160706980*10^(-33)*sqrt(2.7777775719123411344533011625670*10^66-3.7820620906491654902812682940908*10^62*(1.9994556794244724285271525910301*r2*t+1.9994556794244724285271525910301)^2+3.7800034364353023263307641062080*10^62*r2^2))+0.45907804611928948412285856585806e-4*LaguerreL(4, 4.02341217155910653242221082718544*r2+4.8280949636885638667721853083600*10^(-33)*sqrt(2.7777775719123411344533011625670*10^66-3.7820620906491654902812682940908*10^62*(1.9994556794244724285271525910301*r2*t+1.9994556794244724285271525910301)^2+3.7800034364353023263307641062080*10^62*r2^2)-8.0446343170894053758449857104985*r2*t-8.0446343170894053758449857104985)*LaguerreL(1, 8.0446343170894053758449857104985*r2*t+8.0446343170894053758449857104985+4.8280949636885638667721853083600*10^(-33)*sqrt(2.7777775719123411344533011625670*10^66-3.7820620906491654902812682940908*10^62*(1.9994556794244724285271525910301*r2*t+1.9994556794244724285271525910301)^2+3.7800034364353023263307641062080*10^62*r2^2)-4.02341217155910653242221082718544*r2)*LaguerreL(3, 1.45914849589304508427400147271161*r2+2.9175027472370254759881486222105*r2*t+2.9175027472370254759881486222105-1.7509783248393843637092160706980*10^(-33)*sqrt(2.7777775719123411344533011625670*10^66-3.7820620906491654902812682940908*10^62*(1.9994556794244724285271525910301*r2*t+1.9994556794244724285271525910301)^2+3.7800034364353023263307641062080*10^62*r2^2))-0.11515472116642888985606746228044e-4*LaguerreL(3, 4.02341217155910653242221082718544*r2+4.8280949636885638667721853083600*10^(-33)*sqrt(2.7777775719123411344533011625670*10^66-3.7820620906491654902812682940908*10^62*(1.9994556794244724285271525910301*r2*t+1.9994556794244724285271525910301)^2+3.7800034364353023263307641062080*10^62*r2^2)-8.0446343170894053758449857104985*r2*t-8.0446343170894053758449857104985)*LaguerreL(0, 8.0446343170894053758449857104985*r2*t+8.0446343170894053758449857104985+4.8280949636885638667721853083600*10^(-33)*sqrt(2.7777775719123411344533011625670*10^66-3.7820620906491654902812682940908*10^62*(1.9994556794244724285271525910301*r2*t+1.9994556794244724285271525910301)^2+3.7800034364353023263307641062080*10^62*r2^2)-4.02341217155910653242221082718544*r2)*LaguerreL(5, 1.45914849589304508427400147271161*r2+2.9175027472370254759881486222105*r2*t+2.9175027472370254759881486222105-1.7509783248393843637092160706980*10^(-33)*sqrt(2.7777775719123411344533011625670*10^66-3.7820620906491654902812682940908*10^62*(1.9994556794244724285271525910301*r2*t+1.9994556794244724285271525910301)^2+3.7800034364353023263307641062080*10^62*r2^2))+0.316657957789026903894567092552766e-2*LaguerreL(1, 4.02341217155910653242221082718544*r2+4.8280949636885638667721853083600*10^(-33)*sqrt(2.7777775719123411344533011625670*10^66-3.7820620906491654902812682940908*10^62*(1.9994556794244724285271525910301*r2*t+1.9994556794244724285271525910301)^2+3.7800034364353023263307641062080*10^62*r2^2)-8.0446343170894053758449857104985*r2*t-8.0446343170894053758449857104985)*LaguerreL(6, 8.0446343170894053758449857104985*r2*t+8.0446343170894053758449857104985+4.8280949636885638667721853083600*10^(-33)*sqrt(2.7777775719123411344533011625670*10^66-3.7820620906491654902812682940908*10^62*(1.9994556794244724285271525910301*r2*t+1.9994556794244724285271525910301)^2+3.7800034364353023263307641062080*10^62*r2^2)-4.02341217155910653242221082718544*r2)*LaguerreL(1, 1.45914849589304508427400147271161*r2+2.9175027472370254759881486222105*r2*t+2.9175027472370254759881486222105-1.7509783248393843637092160706980*10^(-33)*sqrt(2.7777775719123411344533011625670*10^66-3.7820620906491654902812682940908*10^62*(1.9994556794244724285271525910301*r2*t+1.9994556794244724285271525910301)^2+3.7800034364353023263307641062080*10^62*r2^2))-0.98649867435072842258121003623350e-5*LaguerreL(2, 4.02341217155910653242221082718544*r2+4.8280949636885638667721853083600*10^(-33)*sqrt(2.7777775719123411344533011625670*10^66-3.7820620906491654902812682940908*10^62*(1.9994556794244724285271525910301*r2*t+1.9994556794244724285271525910301)^2+3.7800034364353023263307641062080*10^62*r2^2)-8.0446343170894053758449857104985*r2*t-8.0446343170894053758449857104985)*LaguerreL(1, 8.0446343170894053758449857104985*r2*t+8.0446343170894053758449857104985+4.8280949636885638667721853083600*10^(-33)*sqrt(2.7777775719123411344533011625670*10^66-3.7820620906491654902812682940908*10^62*(1.9994556794244724285271525910301*r2*t+1.9994556794244724285271525910301)^2+3.7800034364353023263307641062080*10^62*r2^2)-4.02341217155910653242221082718544*r2)*LaguerreL(5, 1.45914849589304508427400147271161*r2+2.9175027472370254759881486222105*r2*t+2.9175027472370254759881486222105-1.7509783248393843637092160706980*10^(-33)*sqrt(2.7777775719123411344533011625670*10^66-3.7820620906491654902812682940908*10^62*(1.9994556794244724285271525910301*r2*t+1.9994556794244724285271525910301)^2+3.7800034364353023263307641062080*10^62*r2^2))+0.589291984026714476412753906791973e-3*LaguerreL(3, 4.02341217155910653242221082718544*r2+4.8280949636885638667721853083600*10^(-33)*sqrt(2.7777775719123411344533011625670*10^66-3.7820620906491654902812682940908*10^62*(1.9994556794244724285271525910301*r2*t+1.9994556794244724285271525910301)^2+3.7800034364353023263307641062080*10^62*r2^2)-8.0446343170894053758449857104985*r2*t-8.0446343170894053758449857104985)*LaguerreL(3, 8.0446343170894053758449857104985*r2*t+8.0446343170894053758449857104985+4.8280949636885638667721853083600*10^(-33)*sqrt(2.7777775719123411344533011625670*10^66-3.7820620906491654902812682940908*10^62*(1.9994556794244724285271525910301*r2*t+1.9994556794244724285271525910301)^2+3.7800034364353023263307641062080*10^62*r2^2)-4.02341217155910653242221082718544*r2)*LaguerreL(1, 1.45914849589304508427400147271161*r2+2.9175027472370254759881486222105*r2*t+2.9175027472370254759881486222105-1.7509783248393843637092160706980*10^(-33)*sqrt(2.7777775719123411344533011625670*10^66-3.7820620906491654902812682940908*10^62*(1.9994556794244724285271525910301*r2*t+1.9994556794244724285271525910301)^2+3.7800034364353023263307641062080*10^62*r2^2))-0.767596299226071214827999590759978e-3*LaguerreL(3, 4.02341217155910653242221082718544*r2+4.8280949636885638667721853083600*10^(-33)*sqrt(2.7777775719123411344533011625670*10^66-3.7820620906491654902812682940908*10^62*(1.9994556794244724285271525910301*r2*t+1.9994556794244724285271525910301)^2+3.7800034364353023263307641062080*10^62*r2^2)-8.0446343170894053758449857104985*r2*t-8.0446343170894053758449857104985)*LaguerreL(0, 8.0446343170894053758449857104985*r2*t+8.0446343170894053758449857104985+4.8280949636885638667721853083600*10^(-33)*sqrt(2.7777775719123411344533011625670*10^66-3.7820620906491654902812682940908*10^62*(1.9994556794244724285271525910301*r2*t+1.9994556794244724285271525910301)^2+3.7800034364353023263307641062080*10^62*r2^2)-4.02341217155910653242221082718544*r2)*LaguerreL(2, 1.45914849589304508427400147271161*r2+2.9175027472370254759881486222105*r2*t+2.9175027472370254759881486222105-1.7509783248393843637092160706980*10^(-33)*sqrt(2.7777775719123411344533011625670*10^66-3.7820620906491654902812682940908*10^62*(1.9994556794244724285271525910301*r2*t+1.9994556794244724285271525910301)^2+3.7800034364353023263307641062080*10^62*r2^2))+0.39549281918631423237990990435790e-5*LaguerreL(0, 4.02341217155910653242221082718544*r2+4.8280949636885638667721853083600*10^(-33)*sqrt(2.7777775719123411344533011625670*10^66-3.7820620906491654902812682940908*10^62*(1.9994556794244724285271525910301*r2*t+1.9994556794244724285271525910301)^2+3.7800034364353023263307641062080*10^62*r2^2)-8.0446343170894053758449857104985*r2*t-8.0446343170894053758449857104985)*LaguerreL(1, 8.0446343170894053758449857104985*r2*t+8.0446343170894053758449857104985+4.8280949636885638667721853083600*10^(-33)*sqrt(2.7777775719123411344533011625670*10^66-3.7820620906491654902812682940908*10^62*(1.9994556794244724285271525910301*r2*t+1.9994556794244724285271525910301)^2+3.7800034364353023263307641062080*10^62*r2^2)-4.02341217155910653242221082718544*r2)*LaguerreL(4, 1.45914849589304508427400147271161*r2+2.9175027472370254759881486222105*r2*t+2.9175027472370254759881486222105-1.7509783248393843637092160706980*10^(-33)*sqrt(2.7777775719123411344533011625670*10^66-3.7820620906491654902812682940908*10^62*(1.9994556794244724285271525910301*r2*t+1.9994556794244724285271525910301)^2+3.7800034364353023263307641062080*10^62*r2^2))-0.100552270228740722184226541038094e-3*LaguerreL(1, 4.02341217155910653242221082718544*r2+4.8280949636885638667721853083600*10^(-33)*sqrt(2.7777775719123411344533011625670*10^66-3.7820620906491654902812682940908*10^62*(1.9994556794244724285271525910301*r2*t+1.9994556794244724285271525910301)^2+3.7800034364353023263307641062080*10^62*r2^2)-8.0446343170894053758449857104985*r2*t-8.0446343170894053758449857104985)*LaguerreL(0, 8.0446343170894053758449857104985*r2*t+8.0446343170894053758449857104985+4.8280949636885638667721853083600*10^(-33)*sqrt(2.7777775719123411344533011625670*10^66-3.7820620906491654902812682940908*10^62*(1.9994556794244724285271525910301*r2*t+1.9994556794244724285271525910301)^2+3.7800034364353023263307641062080*10^62*r2^2)-4.02341217155910653242221082718544*r2)*LaguerreL(2, 1.45914849589304508427400147271161*r2+2.9175027472370254759881486222105*r2*t+2.9175027472370254759881486222105-1.7509783248393843637092160706980*10^(-33)*sqrt(2.7777775719123411344533011625670*10^66-3.7820620906491654902812682940908*10^62*(1.9994556794244724285271525910301*r2*t+1.9994556794244724285271525910301)^2+3.7800034364353023263307641062080*10^62*r2^2))-0.100552270228740722184226541038094e-3*LaguerreL(0, 4.02341217155910653242221082718544*r2+4.8280949636885638667721853083600*10^(-33)*sqrt(2.7777775719123411344533011625670*10^66-3.7820620906491654902812682940908*10^62*(1.9994556794244724285271525910301*r2*t+1.9994556794244724285271525910301)^2+3.7800034364353023263307641062080*10^62*r2^2)-8.0446343170894053758449857104985*r2*t-8.0446343170894053758449857104985)*LaguerreL(1, 8.0446343170894053758449857104985*r2*t+8.0446343170894053758449857104985+4.8280949636885638667721853083600*10^(-33)*sqrt(2.7777775719123411344533011625670*10^66-3.7820620906491654902812682940908*10^62*(1.9994556794244724285271525910301*r2*t+1.9994556794244724285271525910301)^2+3.7800034364353023263307641062080*10^62*r2^2)-4.02341217155910653242221082718544*r2)*LaguerreL(2, 1.45914849589304508427400147271161*r2+2.9175027472370254759881486222105*r2*t+2.9175027472370254759881486222105-1.7509783248393843637092160706980*10^(-33)*sqrt(2.7777775719123411344533011625670*10^66-3.7820620906491654902812682940908*10^62*(1.9994556794244724285271525910301*r2*t+1.9994556794244724285271525910301)^2+3.7800034364353023263307641062080*10^62*r2^2))-.208344163732985387190867689671453*LaguerreL(0, 4.02341217155910653242221082718544*r2+4.8280949636885638667721853083600*10^(-33)*sqrt(2.7777775719123411344533011625670*10^66-3.7820620906491654902812682940908*10^62*(1.9994556794244724285271525910301*r2*t+1.9994556794244724285271525910301)^2+3.7800034364353023263307641062080*10^62*r2^2)-8.0446343170894053758449857104985*r2*t-8.0446343170894053758449857104985)*LaguerreL(4, 8.0446343170894053758449857104985*r2*t+8.0446343170894053758449857104985+4.8280949636885638667721853083600*10^(-33)*sqrt(2.7777775719123411344533011625670*10^66-3.7820620906491654902812682940908*10^62*(1.9994556794244724285271525910301*r2*t+1.9994556794244724285271525910301)^2+3.7800034364353023263307641062080*10^62*r2^2)-4.02341217155910653242221082718544*r2)*LaguerreL(0, 1.45914849589304508427400147271161*r2+2.9175027472370254759881486222105*r2*t+2.9175027472370254759881486222105-1.7509783248393843637092160706980*10^(-33)*sqrt(2.7777775719123411344533011625670*10^66-3.7820620906491654902812682940908*10^62*(1.9994556794244724285271525910301*r2*t+1.9994556794244724285271525910301)^2+3.7800034364353023263307641062080*10^62*r2^2))+0.199530242287504695207462703641301e-3*LaguerreL(0, 4.02341217155910653242221082718544*r2+4.8280949636885638667721853083600*10^(-33)*sqrt(2.7777775719123411344533011625670*10^66-3.7820620906491654902812682940908*10^62*(1.9994556794244724285271525910301*r2*t+1.9994556794244724285271525910301)^2+3.7800034364353023263307641062080*10^62*r2^2)-8.0446343170894053758449857104985*r2*t-8.0446343170894053758449857104985)*LaguerreL(4, 8.0446343170894053758449857104985*r2*t+8.0446343170894053758449857104985+4.8280949636885638667721853083600*10^(-33)*sqrt(2.7777775719123411344533011625670*10^66-3.7820620906491654902812682940908*10^62*(1.9994556794244724285271525910301*r2*t+1.9994556794244724285271525910301)^2+3.7800034364353023263307641062080*10^62*r2^2)-4.02341217155910653242221082718544*r2)*LaguerreL(3, 1.45914849589304508427400147271161*r2+2.9175027472370254759881486222105*r2*t+2.9175027472370254759881486222105-1.7509783248393843637092160706980*10^(-33)*sqrt(2.7777775719123411344533011625670*10^66-3.7820620906491654902812682940908*10^62*(1.9994556794244724285271525910301*r2*t+1.9994556794244724285271525910301)^2+3.7800034364353023263307641062080*10^62*r2^2))+0.39549281918631423237990990435790e-5*LaguerreL(1, 4.02341217155910653242221082718544*r2+4.8280949636885638667721853083600*10^(-33)*sqrt(2.7777775719123411344533011625670*10^66-3.7820620906491654902812682940908*10^62*(1.9994556794244724285271525910301*r2*t+1.9994556794244724285271525910301)^2+3.7800034364353023263307641062080*10^62*r2^2)-8.0446343170894053758449857104985*r2*t-8.0446343170894053758449857104985)*LaguerreL(0, 8.0446343170894053758449857104985*r2*t+8.0446343170894053758449857104985+4.8280949636885638667721853083600*10^(-33)*sqrt(2.7777775719123411344533011625670*10^66-3.7820620906491654902812682940908*10^62*(1.9994556794244724285271525910301*r2*t+1.9994556794244724285271525910301)^2+3.7800034364353023263307641062080*10^62*r2^2)-4.02341217155910653242221082718544*r2)*LaguerreL(4, 1.45914849589304508427400147271161*r2+2.9175027472370254759881486222105*r2*t+2.9175027472370254759881486222105-1.7509783248393843637092160706980*10^(-33)*sqrt(2.7777775719123411344533011625670*10^66-3.7820620906491654902812682940908*10^62*(1.9994556794244724285271525910301*r2*t+1.9994556794244724285271525910301)^2+3.7800034364353023263307641062080*10^62*r2^2))-0.106261821386251336104278677006759e-3*LaguerreL(1, 4.02341217155910653242221082718544*r2+4.8280949636885638667721853083600*10^(-33)*sqrt(2.7777775719123411344533011625670*10^66-3.7820620906491654902812682940908*10^62*(1.9994556794244724285271525910301*r2*t+1.9994556794244724285271525910301)^2+3.7800034364353023263307641062080*10^62*r2^2)-8.0446343170894053758449857104985*r2*t-8.0446343170894053758449857104985)*LaguerreL(2, 8.0446343170894053758449857104985*r2*t+8.0446343170894053758449857104985+4.8280949636885638667721853083600*10^(-33)*sqrt(2.7777775719123411344533011625670*10^66-3.7820620906491654902812682940908*10^62*(1.9994556794244724285271525910301*r2*t+1.9994556794244724285271525910301)^2+3.7800034364353023263307641062080*10^62*r2^2)-4.02341217155910653242221082718544*r2)*LaguerreL(3, 1.45914849589304508427400147271161*r2+2.9175027472370254759881486222105*r2*t+2.9175027472370254759881486222105-1.7509783248393843637092160706980*10^(-33)*sqrt(2.7777775719123411344533011625670*10^66-3.7820620906491654902812682940908*10^62*(1.9994556794244724285271525910301*r2*t+1.9994556794244724285271525910301)^2+3.7800034364353023263307641062080*10^62*r2^2))-0.133742760217795150368332821291805e-1*LaguerreL(6, 4.02341217155910653242221082718544*r2+4.8280949636885638667721853083600*10^(-33)*sqrt(2.7777775719123411344533011625670*10^66-3.7820620906491654902812682940908*10^62*(1.9994556794244724285271525910301*r2*t+1.9994556794244724285271525910301)^2+3.7800034364353023263307641062080*10^62*r2^2)-8.0446343170894053758449857104985*r2*t-8.0446343170894053758449857104985)*LaguerreL(2, 8.0446343170894053758449857104985*r2*t+8.0446343170894053758449857104985+4.8280949636885638667721853083600*10^(-33)*sqrt(2.7777775719123411344533011625670*10^66-3.7820620906491654902812682940908*10^62*(1.9994556794244724285271525910301*r2*t+1.9994556794244724285271525910301)^2+3.7800034364353023263307641062080*10^62*r2^2)-4.02341217155910653242221082718544*r2)*LaguerreL(0, 1.45914849589304508427400147271161*r2+2.9175027472370254759881486222105*r2*t+2.9175027472370254759881486222105-1.7509783248393843637092160706980*10^(-33)*sqrt(2.7777775719123411344533011625670*10^66-3.7820620906491654902812682940908*10^62*(1.9994556794244724285271525910301*r2*t+1.9994556794244724285271525910301)^2+3.7800034364353023263307641062080*10^62*r2^2))+0.28388016463825430076467120390346e-1*LaguerreL(1, 4.02341217155910653242221082718544*r2+4.8280949636885638667721853083600*10^(-33)*sqrt(2.7777775719123411344533011625670*10^66-3.7820620906491654902812682940908*10^62*(1.9994556794244724285271525910301*r2*t+1.9994556794244724285271525910301)^2+3.7800034364353023263307641062080*10^62*r2^2)-8.0446343170894053758449857104985*r2*t-8.0446343170894053758449857104985)*LaguerreL(0, 8.0446343170894053758449857104985*r2*t+8.0446343170894053758449857104985+4.8280949636885638667721853083600*10^(-33)*sqrt(2.7777775719123411344533011625670*10^66-3.7820620906491654902812682940908*10^62*(1.9994556794244724285271525910301*r2*t+1.9994556794244724285271525910301)^2+3.7800034364353023263307641062080*10^62*r2^2)-4.02341217155910653242221082718544*r2)*LaguerreL(0, 1.45914849589304508427400147271161*r2+2.9175027472370254759881486222105*r2*t+2.9175027472370254759881486222105-1.7509783248393843637092160706980*10^(-33)*sqrt(2.7777775719123411344533011625670*10^66-3.7820620906491654902812682940908*10^62*(1.9994556794244724285271525910301*r2*t+1.9994556794244724285271525910301)^2+3.7800034364353023263307641062080*10^62*r2^2))-0.102095204447079256616757914669463e-1*LaguerreL(0, 4.02341217155910653242221082718544*r2+4.8280949636885638667721853083600*10^(-33)*sqrt(2.7777775719123411344533011625670*10^66-3.7820620906491654902812682940908*10^62*(1.9994556794244724285271525910301*r2*t+1.9994556794244724285271525910301)^2+3.7800034364353023263307641062080*10^62*r2^2)-8.0446343170894053758449857104985*r2*t-8.0446343170894053758449857104985)*LaguerreL(8, 8.0446343170894053758449857104985*r2*t+8.0446343170894053758449857104985+4.8280949636885638667721853083600*10^(-33)*sqrt(2.7777775719123411344533011625670*10^66-3.7820620906491654902812682940908*10^62*(1.9994556794244724285271525910301*r2*t+1.9994556794244724285271525910301)^2+3.7800034364353023263307641062080*10^62*r2^2)-4.02341217155910653242221082718544*r2)*LaguerreL(0, 1.45914849589304508427400147271161*r2+2.9175027472370254759881486222105*r2*t+2.9175027472370254759881486222105-1.7509783248393843637092160706980*10^(-33)*sqrt(2.7777775719123411344533011625670*10^66-3.7820620906491654902812682940908*10^62*(1.9994556794244724285271525910301*r2*t+1.9994556794244724285271525910301)^2+3.7800034364353023263307641062080*10^62*r2^2))+0.768086172296031182953646279461179e-3*LaguerreL(1, 4.02341217155910653242221082718544*r2+4.8280949636885638667721853083600*10^(-33)*sqrt(2.7777775719123411344533011625670*10^66-3.7820620906491654902812682940908*10^62*(1.9994556794244724285271525910301*r2*t+1.9994556794244724285271525910301)^2+3.7800034364353023263307641062080*10^62*r2^2)-8.0446343170894053758449857104985*r2*t-8.0446343170894053758449857104985)*LaguerreL(3, 8.0446343170894053758449857104985*r2*t+8.0446343170894053758449857104985+4.8280949636885638667721853083600*10^(-33)*sqrt(2.7777775719123411344533011625670*10^66-3.7820620906491654902812682940908*10^62*(1.9994556794244724285271525910301*r2*t+1.9994556794244724285271525910301)^2+3.7800034364353023263307641062080*10^62*r2^2)-4.02341217155910653242221082718544*r2)*LaguerreL(2, 1.45914849589304508427400147271161*r2+2.9175027472370254759881486222105*r2*t+2.9175027472370254759881486222105-1.7509783248393843637092160706980*10^(-33)*sqrt(2.7777775719123411344533011625670*10^66-3.7820620906491654902812682940908*10^62*(1.9994556794244724285271525910301*r2*t+1.9994556794244724285271525910301)^2+3.7800034364353023263307641062080*10^62*r2^2))-0.25803018301491435030639025090003e-4*LaguerreL(2, 4.02341217155910653242221082718544*r2+4.8280949636885638667721853083600*10^(-33)*sqrt(2.7777775719123411344533011625670*10^66-3.7820620906491654902812682940908*10^62*(1.9994556794244724285271525910301*r2*t+1.9994556794244724285271525910301)^2+3.7800034364353023263307641062080*10^62*r2^2)-8.0446343170894053758449857104985*r2*t-8.0446343170894053758449857104985)*LaguerreL(1, 8.0446343170894053758449857104985*r2*t+8.0446343170894053758449857104985+4.8280949636885638667721853083600*10^(-33)*sqrt(2.7777775719123411344533011625670*10^66-3.7820620906491654902812682940908*10^62*(1.9994556794244724285271525910301*r2*t+1.9994556794244724285271525910301)^2+3.7800034364353023263307641062080*10^62*r2^2)-4.02341217155910653242221082718544*r2)*LaguerreL(4, 1.45914849589304508427400147271161*r2+2.9175027472370254759881486222105*r2*t+2.9175027472370254759881486222105-1.7509783248393843637092160706980*10^(-33)*sqrt(2.7777775719123411344533011625670*10^66-3.7820620906491654902812682940908*10^62*(1.9994556794244724285271525910301*r2*t+1.9994556794244724285271525910301)^2+3.7800034364353023263307641062080*10^62*r2^2))-0.25803018301491435030639025090003e-4*LaguerreL(1, 4.02341217155910653242221082718544*r2+4.8280949636885638667721853083600*10^(-33)*sqrt(2.7777775719123411344533011625670*10^66-3.7820620906491654902812682940908*10^62*(1.9994556794244724285271525910301*r2*t+1.9994556794244724285271525910301)^2+3.7800034364353023263307641062080*10^62*r2^2)-8.0446343170894053758449857104985*r2*t-8.0446343170894053758449857104985)*LaguerreL(2, 8.0446343170894053758449857104985*r2*t+8.0446343170894053758449857104985+4.8280949636885638667721853083600*10^(-33)*sqrt(2.7777775719123411344533011625670*10^66-3.7820620906491654902812682940908*10^62*(1.9994556794244724285271525910301*r2*t+1.9994556794244724285271525910301)^2+3.7800034364353023263307641062080*10^62*r2^2)-4.02341217155910653242221082718544*r2)*LaguerreL(4, 1.45914849589304508427400147271161*r2+2.9175027472370254759881486222105*r2*t+2.9175027472370254759881486222105-1.7509783248393843637092160706980*10^(-33)*sqrt(2.7777775719123411344533011625670*10^66-3.7820620906491654902812682940908*10^62*(1.9994556794244724285271525910301*r2*t+1.9994556794244724285271525910301)^2+3.7800034364353023263307641062080*10^62*r2^2))+0.402315382471093440823077502020556e-1*LaguerreL(3, 4.02341217155910653242221082718544*r2+4.8280949636885638667721853083600*10^(-33)*sqrt(2.7777775719123411344533011625670*10^66-3.7820620906491654902812682940908*10^62*(1.9994556794244724285271525910301*r2*t+1.9994556794244724285271525910301)^2+3.7800034364353023263307641062080*10^62*r2^2)-8.0446343170894053758449857104985*r2*t-8.0446343170894053758449857104985)*LaguerreL(3, 8.0446343170894053758449857104985*r2*t+8.0446343170894053758449857104985+4.8280949636885638667721853083600*10^(-33)*sqrt(2.7777775719123411344533011625670*10^66-3.7820620906491654902812682940908*10^62*(1.9994556794244724285271525910301*r2*t+1.9994556794244724285271525910301)^2+3.7800034364353023263307641062080*10^62*r2^2)-4.02341217155910653242221082718544*r2)*LaguerreL(0, 1.45914849589304508427400147271161*r2+2.9175027472370254759881486222105*r2*t+2.9175027472370254759881486222105-1.7509783248393843637092160706980*10^(-33)*sqrt(2.7777775719123411344533011625670*10^66-3.7820620906491654902812682940908*10^62*(1.9994556794244724285271525910301*r2*t+1.9994556794244724285271525910301)^2+3.7800034364353023263307641062080*10^62*r2^2))-0.29390558363339022034646077163414e-4*LaguerreL(3, 4.02341217155910653242221082718544*r2+4.8280949636885638667721853083600*10^(-33)*sqrt(2.7777775719123411344533011625670*10^66-3.7820620906491654902812682940908*10^62*(1.9994556794244724285271525910301*r2*t+1.9994556794244724285271525910301)^2+3.7800034364353023263307641062080*10^62*r2^2)-8.0446343170894053758449857104985*r2*t-8.0446343170894053758449857104985)*LaguerreL(0, 8.0446343170894053758449857104985*r2*t+8.0446343170894053758449857104985+4.8280949636885638667721853083600*10^(-33)*sqrt(2.7777775719123411344533011625670*10^66-3.7820620906491654902812682940908*10^62*(1.9994556794244724285271525910301*r2*t+1.9994556794244724285271525910301)^2+3.7800034364353023263307641062080*10^62*r2^2)-4.02341217155910653242221082718544*r2)*LaguerreL(4, 1.45914849589304508427400147271161*r2+2.9175027472370254759881486222105*r2*t+2.9175027472370254759881486222105-1.7509783248393843637092160706980*10^(-33)*sqrt(2.7777775719123411344533011625670*10^66-3.7820620906491654902812682940908*10^62*(1.9994556794244724285271525910301*r2*t+1.9994556794244724285271525910301)^2+3.7800034364353023263307641062080*10^62*r2^2))-0.657500830040963889426389734938525e-2*LaguerreL(0, 4.02341217155910653242221082718544*r2+4.8280949636885638667721853083600*10^(-33)*sqrt(2.7777775719123411344533011625670*10^66-3.7820620906491654902812682940908*10^62*(1.9994556794244724285271525910301*r2*t+1.9994556794244724285271525910301)^2+3.7800034364353023263307641062080*10^62*r2^2)-8.0446343170894053758449857104985*r2*t-8.0446343170894053758449857104985)*LaguerreL(5, 8.0446343170894053758449857104985*r2*t+8.0446343170894053758449857104985+4.8280949636885638667721853083600*10^(-33)*sqrt(2.7777775719123411344533011625670*10^66-3.7820620906491654902812682940908*10^62*(1.9994556794244724285271525910301*r2*t+1.9994556794244724285271525910301)^2+3.7800034364353023263307641062080*10^62*r2^2)-4.02341217155910653242221082718544*r2)*LaguerreL(1, 1.45914849589304508427400147271161*r2+2.9175027472370254759881486222105*r2*t+2.9175027472370254759881486222105-1.7509783248393843637092160706980*10^(-33)*sqrt(2.7777775719123411344533011625670*10^66-3.7820620906491654902812682940908*10^62*(1.9994556794244724285271525910301*r2*t+1.9994556794244724285271525910301)^2+3.7800034364353023263307641062080*10^62*r2^2))+0.400169660191760482521678985797621e-1*LaguerreL(4, 4.02341217155910653242221082718544*r2+4.8280949636885638667721853083600*10^(-33)*sqrt(2.7777775719123411344533011625670*10^66-3.7820620906491654902812682940908*10^62*(1.9994556794244724285271525910301*r2*t+1.9994556794244724285271525910301)^2+3.7800034364353023263307641062080*10^62*r2^2)-8.0446343170894053758449857104985*r2*t-8.0446343170894053758449857104985)*LaguerreL(2, 8.0446343170894053758449857104985*r2*t+8.0446343170894053758449857104985+4.8280949636885638667721853083600*10^(-33)*sqrt(2.7777775719123411344533011625670*10^66-3.7820620906491654902812682940908*10^62*(1.9994556794244724285271525910301*r2*t+1.9994556794244724285271525910301)^2+3.7800034364353023263307641062080*10^62*r2^2)-4.02341217155910653242221082718544*r2)*LaguerreL(0, 1.45914849589304508427400147271161*r2+2.9175027472370254759881486222105*r2*t+2.9175027472370254759881486222105-1.7509783248393843637092160706980*10^(-33)*sqrt(2.7777775719123411344533011625670*10^66-3.7820620906491654902812682940908*10^62*(1.9994556794244724285271525910301*r2*t+1.9994556794244724285271525910301)^2+3.7800034364353023263307641062080*10^62*r2^2))-0.29390558363339022034646077163414e-4*LaguerreL(0, 4.02341217155910653242221082718544*r2+4.8280949636885638667721853083600*10^(-33)*sqrt(2.7777775719123411344533011625670*10^66-3.7820620906491654902812682940908*10^62*(1.9994556794244724285271525910301*r2*t+1.9994556794244724285271525910301)^2+3.7800034364353023263307641062080*10^62*r2^2)-8.0446343170894053758449857104985*r2*t-8.0446343170894053758449857104985)*LaguerreL(3, 8.0446343170894053758449857104985*r2*t+8.0446343170894053758449857104985+4.8280949636885638667721853083600*10^(-33)*sqrt(2.7777775719123411344533011625670*10^66-3.7820620906491654902812682940908*10^62*(1.9994556794244724285271525910301*r2*t+1.9994556794244724285271525910301)^2+3.7800034364353023263307641062080*10^62*r2^2)-4.02341217155910653242221082718544*r2)*LaguerreL(4, 1.45914849589304508427400147271161*r2+2.9175027472370254759881486222105*r2*t+2.9175027472370254759881486222105-1.7509783248393843637092160706980*10^(-33)*sqrt(2.7777775719123411344533011625670*10^66-3.7820620906491654902812682940908*10^62*(1.9994556794244724285271525910301*r2*t+1.9994556794244724285271525910301)^2+3.7800034364353023263307641062080*10^62*r2^2))+0.87560806159588056135535087629228e-5*LaguerreL(1, 4.02341217155910653242221082718544*r2+4.8280949636885638667721853083600*10^(-33)*sqrt(2.7777775719123411344533011625670*10^66-3.7820620906491654902812682940908*10^62*(1.9994556794244724285271525910301*r2*t+1.9994556794244724285271525910301)^2+3.7800034364353023263307641062080*10^62*r2^2)-8.0446343170894053758449857104985*r2*t-8.0446343170894053758449857104985)*LaguerreL(1, 8.0446343170894053758449857104985*r2*t+8.0446343170894053758449857104985+4.8280949636885638667721853083600*10^(-33)*sqrt(2.7777775719123411344533011625670*10^66-3.7820620906491654902812682940908*10^62*(1.9994556794244724285271525910301*r2*t+1.9994556794244724285271525910301)^2+3.7800034364353023263307641062080*10^62*r2^2)-4.02341217155910653242221082718544*r2)*LaguerreL(5, 1.45914849589304508427400147271161*r2+2.9175027472370254759881486222105*r2*t+2.9175027472370254759881486222105-1.7509783248393843637092160706980*10^(-33)*sqrt(2.7777775719123411344533011625670*10^66-3.7820620906491654902812682940908*10^62*(1.9994556794244724285271525910301*r2*t+1.9994556794244724285271525910301)^2+3.7800034364353023263307641062080*10^62*r2^2))-0.435559343878598352055209120339748e-2*LaguerreL(2, 4.02341217155910653242221082718544*r2+4.8280949636885638667721853083600*10^(-33)*sqrt(2.7777775719123411344533011625670*10^66-3.7820620906491654902812682940908*10^62*(1.9994556794244724285271525910301*r2*t+1.9994556794244724285271525910301)^2+3.7800034364353023263307641062080*10^62*r2^2)-8.0446343170894053758449857104985*r2*t-8.0446343170894053758449857104985)*LaguerreL(3, 8.0446343170894053758449857104985*r2*t+8.0446343170894053758449857104985+4.8280949636885638667721853083600*10^(-33)*sqrt(2.7777775719123411344533011625670*10^66-3.7820620906491654902812682940908*10^62*(1.9994556794244724285271525910301*r2*t+1.9994556794244724285271525910301)^2+3.7800034364353023263307641062080*10^62*r2^2)-4.02341217155910653242221082718544*r2)*LaguerreL(1, 1.45914849589304508427400147271161*r2+2.9175027472370254759881486222105*r2*t+2.9175027472370254759881486222105-1.7509783248393843637092160706980*10^(-33)*sqrt(2.7777775719123411344533011625670*10^66-3.7820620906491654902812682940908*10^62*(1.9994556794244724285271525910301*r2*t+1.9994556794244724285271525910301)^2+3.7800034364353023263307641062080*10^62*r2^2))+0.400169660191760482521678985797621e-1*LaguerreL(2, 4.02341217155910653242221082718544*r2+4.8280949636885638667721853083600*10^(-33)*sqrt(2.7777775719123411344533011625670*10^66-3.7820620906491654902812682940908*10^62*(1.9994556794244724285271525910301*r2*t+1.9994556794244724285271525910301)^2+3.7800034364353023263307641062080*10^62*r2^2)-8.0446343170894053758449857104985*r2*t-8.0446343170894053758449857104985)*LaguerreL(4, 8.0446343170894053758449857104985*r2*t+8.0446343170894053758449857104985+4.8280949636885638667721853083600*10^(-33)*sqrt(2.7777775719123411344533011625670*10^66-3.7820620906491654902812682940908*10^62*(1.9994556794244724285271525910301*r2*t+1.9994556794244724285271525910301)^2+3.7800034364353023263307641062080*10^62*r2^2)-4.02341217155910653242221082718544*r2)*LaguerreL(0, 1.45914849589304508427400147271161*r2+2.9175027472370254759881486222105*r2*t+2.9175027472370254759881486222105-1.7509783248393843637092160706980*10^(-33)*sqrt(2.7777775719123411344533011625670*10^66-3.7820620906491654902812682940908*10^62*(1.9994556794244724285271525910301*r2*t+1.9994556794244724285271525910301)^2+3.7800034364353023263307641062080*10^62*r2^2))+0.97281449531543885132157683827979e-5*LaguerreL(2, 4.02341217155910653242221082718544*r2+4.8280949636885638667721853083600*10^(-33)*sqrt(2.7777775719123411344533011625670*10^66-3.7820620906491654902812682940908*10^62*(1.9994556794244724285271525910301*r2*t+1.9994556794244724285271525910301)^2+3.7800034364353023263307641062080*10^62*r2^2)-8.0446343170894053758449857104985*r2*t-8.0446343170894053758449857104985)*LaguerreL(0, 8.0446343170894053758449857104985*r2*t+8.0446343170894053758449857104985+4.8280949636885638667721853083600*10^(-33)*sqrt(2.7777775719123411344533011625670*10^66-3.7820620906491654902812682940908*10^62*(1.9994556794244724285271525910301*r2*t+1.9994556794244724285271525910301)^2+3.7800034364353023263307641062080*10^62*r2^2)-4.02341217155910653242221082718544*r2)*LaguerreL(5, 1.45914849589304508427400147271161*r2+2.9175027472370254759881486222105*r2*t+2.9175027472370254759881486222105-1.7509783248393843637092160706980*10^(-33)*sqrt(2.7777775719123411344533011625670*10^66-3.7820620906491654902812682940908*10^62*(1.9994556794244724285271525910301*r2*t+1.9994556794244724285271525910301)^2+3.7800034364353023263307641062080*10^62*r2^2))+0.97281449531543885132157683827979e-5*LaguerreL(0, 4.02341217155910653242221082718544*r2+4.8280949636885638667721853083600*10^(-33)*sqrt(2.7777775719123411344533011625670*10^66-3.7820620906491654902812682940908*10^62*(1.9994556794244724285271525910301*r2*t+1.9994556794244724285271525910301)^2+3.7800034364353023263307641062080*10^62*r2^2)-8.0446343170894053758449857104985*r2*t-8.0446343170894053758449857104985)*LaguerreL(2, 8.0446343170894053758449857104985*r2*t+8.0446343170894053758449857104985+4.8280949636885638667721853083600*10^(-33)*sqrt(2.7777775719123411344533011625670*10^66-3.7820620906491654902812682940908*10^62*(1.9994556794244724285271525910301*r2*t+1.9994556794244724285271525910301)^2+3.7800034364353023263307641062080*10^62*r2^2)-4.02341217155910653242221082718544*r2)*LaguerreL(5, 1.45914849589304508427400147271161*r2+2.9175027472370254759881486222105*r2*t+2.9175027472370254759881486222105-1.7509783248393843637092160706980*10^(-33)*sqrt(2.7777775719123411344533011625670*10^66-3.7820620906491654902812682940908*10^62*(1.9994556794244724285271525910301*r2*t+1.9994556794244724285271525910301)^2+3.7800034364353023263307641062080*10^62*r2^2))+0.40393429277928642278149134144779e-4*LaguerreL(5, 4.02341217155910653242221082718544*r2+4.8280949636885638667721853083600*10^(-33)*sqrt(2.7777775719123411344533011625670*10^66-3.7820620906491654902812682940908*10^62*(1.9994556794244724285271525910301*r2*t+1.9994556794244724285271525910301)^2+3.7800034364353023263307641062080*10^62*r2^2)-8.0446343170894053758449857104985*r2*t-8.0446343170894053758449857104985)*LaguerreL(0, 8.0446343170894053758449857104985*r2*t+8.0446343170894053758449857104985+4.8280949636885638667721853083600*10^(-33)*sqrt(2.7777775719123411344533011625670*10^66-3.7820620906491654902812682940908*10^62*(1.9994556794244724285271525910301*r2*t+1.9994556794244724285271525910301)^2+3.7800034364353023263307641062080*10^62*r2^2)-4.02341217155910653242221082718544*r2)*LaguerreL(3, 1.45914849589304508427400147271161*r2+2.9175027472370254759881486222105*r2*t+2.9175027472370254759881486222105-1.7509783248393843637092160706980*10^(-33)*sqrt(2.7777775719123411344533011625670*10^66-3.7820620906491654902812682940908*10^62*(1.9994556794244724285271525910301*r2*t+1.9994556794244724285271525910301)^2+3.7800034364353023263307641062080*10^62*r2^2))+0.47143736160895254956853952015393e-4*LaguerreL(3, 4.02341217155910653242221082718544*r2+4.8280949636885638667721853083600*10^(-33)*sqrt(2.7777775719123411344533011625670*10^66-3.7820620906491654902812682940908*10^62*(1.9994556794244724285271525910301*r2*t+1.9994556794244724285271525910301)^2+3.7800034364353023263307641062080*10^62*r2^2)-8.0446343170894053758449857104985*r2*t-8.0446343170894053758449857104985)*LaguerreL(2, 8.0446343170894053758449857104985*r2*t+8.0446343170894053758449857104985+4.8280949636885638667721853083600*10^(-33)*sqrt(2.7777775719123411344533011625670*10^66-3.7820620906491654902812682940908*10^62*(1.9994556794244724285271525910301*r2*t+1.9994556794244724285271525910301)^2+3.7800034364353023263307641062080*10^62*r2^2)-4.02341217155910653242221082718544*r2)*LaguerreL(3, 1.45914849589304508427400147271161*r2+2.9175027472370254759881486222105*r2*t+2.9175027472370254759881486222105-1.7509783248393843637092160706980*10^(-33)*sqrt(2.7777775719123411344533011625670*10^66-3.7820620906491654902812682940908*10^62*(1.9994556794244724285271525910301*r2*t+1.9994556794244724285271525910301)^2+3.7800034364353023263307641062080*10^62*r2^2))+0.376286576135240750566070092546973e-2*LaguerreL(7, 4.02341217155910653242221082718544*r2+4.8280949636885638667721853083600*10^(-33)*sqrt(2.7777775719123411344533011625670*10^66-3.7820620906491654902812682940908*10^62*(1.9994556794244724285271525910301*r2*t+1.9994556794244724285271525910301)^2+3.7800034364353023263307641062080*10^62*r2^2)-8.0446343170894053758449857104985*r2*t-8.0446343170894053758449857104985)*LaguerreL(0, 8.0446343170894053758449857104985*r2*t+8.0446343170894053758449857104985+4.8280949636885638667721853083600*10^(-33)*sqrt(2.7777775719123411344533011625670*10^66-3.7820620906491654902812682940908*10^62*(1.9994556794244724285271525910301*r2*t+1.9994556794244724285271525910301)^2+3.7800034364353023263307641062080*10^62*r2^2)-4.02341217155910653242221082718544*r2)*LaguerreL(1, 1.45914849589304508427400147271161*r2+2.9175027472370254759881486222105*r2*t+2.9175027472370254759881486222105-1.7509783248393843637092160706980*10^(-33)*sqrt(2.7777775719123411344533011625670*10^66-3.7820620906491654902812682940908*10^62*(1.9994556794244724285271525910301*r2*t+1.9994556794244724285271525910301)^2+3.7800034364353023263307641062080*10^62*r2^2))-0.263407709215884310829544248650782e-3*LaguerreL(1, 4.02341217155910653242221082718544*r2+4.8280949636885638667721853083600*10^(-33)*sqrt(2.7777775719123411344533011625670*10^66-3.7820620906491654902812682940908*10^62*(1.9994556794244724285271525910301*r2*t+1.9994556794244724285271525910301)^2+3.7800034364353023263307641062080*10^62*r2^2)-8.0446343170894053758449857104985*r2*t-8.0446343170894053758449857104985)*LaguerreL(5, 8.0446343170894053758449857104985*r2*t+8.0446343170894053758449857104985+4.8280949636885638667721853083600*10^(-33)*sqrt(2.7777775719123411344533011625670*10^66-3.7820620906491654902812682940908*10^62*(1.9994556794244724285271525910301*r2*t+1.9994556794244724285271525910301)^2+3.7800034364353023263307641062080*10^62*r2^2)-4.02341217155910653242221082718544*r2)*LaguerreL(2, 1.45914849589304508427400147271161*r2+2.9175027472370254759881486222105*r2*t+2.9175027472370254759881486222105-1.7509783248393843637092160706980*10^(-33)*sqrt(2.7777775719123411344533011625670*10^66-3.7820620906491654902812682940908*10^62*(1.9994556794244724285271525910301*r2*t+1.9994556794244724285271525910301)^2+3.7800034364353023263307641062080*10^62*r2^2))-0.260143980835288030839322599392467e-1*LaguerreL(5, 4.02341217155910653242221082718544*r2+4.8280949636885638667721853083600*10^(-33)*sqrt(2.7777775719123411344533011625670*10^66-3.7820620906491654902812682940908*10^62*(1.9994556794244724285271525910301*r2*t+1.9994556794244724285271525910301)^2+3.7800034364353023263307641062080*10^62*r2^2)-8.0446343170894053758449857104985*r2*t-8.0446343170894053758449857104985)*LaguerreL(2, 8.0446343170894053758449857104985*r2*t+8.0446343170894053758449857104985+4.8280949636885638667721853083600*10^(-33)*sqrt(2.7777775719123411344533011625670*10^66-3.7820620906491654902812682940908*10^62*(1.9994556794244724285271525910301*r2*t+1.9994556794244724285271525910301)^2+3.7800034364353023263307641062080*10^62*r2^2)-4.02341217155910653242221082718544*r2)*LaguerreL(0, 1.45914849589304508427400147271161*r2+2.9175027472370254759881486222105*r2*t+2.9175027472370254759881486222105-1.7509783248393843637092160706980*10^(-33)*sqrt(2.7777775719123411344533011625670*10^66-3.7820620906491654902812682940908*10^62*(1.9994556794244724285271525910301*r2*t+1.9994556794244724285271525910301)^2+3.7800034364353023263307641062080*10^62*r2^2))-0.233669894461154525683484155034546e-1*LaguerreL(3, 4.02341217155910653242221082718544*r2+4.8280949636885638667721853083600*10^(-33)*sqrt(2.7777775719123411344533011625670*10^66-3.7820620906491654902812682940908*10^62*(1.9994556794244724285271525910301*r2*t+1.9994556794244724285271525910301)^2+3.7800034364353023263307641062080*10^62*r2^2)-8.0446343170894053758449857104985*r2*t-8.0446343170894053758449857104985)*LaguerreL(4, 8.0446343170894053758449857104985*r2*t+8.0446343170894053758449857104985+4.8280949636885638667721853083600*10^(-33)*sqrt(2.7777775719123411344533011625670*10^66-3.7820620906491654902812682940908*10^62*(1.9994556794244724285271525910301*r2*t+1.9994556794244724285271525910301)^2+3.7800034364353023263307641062080*10^62*r2^2)-4.02341217155910653242221082718544*r2)*LaguerreL(0, 1.45914849589304508427400147271161*r2+2.9175027472370254759881486222105*r2*t+2.9175027472370254759881486222105-1.7509783248393843637092160706980*10^(-33)*sqrt(2.7777775719123411344533011625670*10^66-3.7820620906491654902812682940908*10^62*(1.9994556794244724285271525910301*r2*t+1.9994556794244724285271525910301)^2+3.7800034364353023263307641062080*10^62*r2^2))-0.238526987362671476072503928045431e-3*LaguerreL(3, 4.02341217155910653242221082718544*r2+4.8280949636885638667721853083600*10^(-33)*sqrt(2.7777775719123411344533011625670*10^66-3.7820620906491654902812682940908*10^62*(1.9994556794244724285271525910301*r2*t+1.9994556794244724285271525910301)^2+3.7800034364353023263307641062080*10^62*r2^2)-8.0446343170894053758449857104985*r2*t-8.0446343170894053758449857104985)*LaguerreL(3, 8.0446343170894053758449857104985*r2*t+8.0446343170894053758449857104985+4.8280949636885638667721853083600*10^(-33)*sqrt(2.7777775719123411344533011625670*10^66-3.7820620906491654902812682940908*10^62*(1.9994556794244724285271525910301*r2*t+1.9994556794244724285271525910301)^2+3.7800034364353023263307641062080*10^62*r2^2)-4.02341217155910653242221082718544*r2)*LaguerreL(2, 1.45914849589304508427400147271161*r2+2.9175027472370254759881486222105*r2*t+2.9175027472370254759881486222105-1.7509783248393843637092160706980*10^(-33)*sqrt(2.7777775719123411344533011625670*10^66-3.7820620906491654902812682940908*10^62*(1.9994556794244724285271525910301*r2*t+1.9994556794244724285271525910301)^2+3.7800034364353023263307641062080*10^62*r2^2))-0.13652930265860752187032255834482e-1*LaguerreL(5, 4.02341217155910653242221082718544*r2+4.8280949636885638667721853083600*10^(-33)*sqrt(2.7777775719123411344533011625670*10^66-3.7820620906491654902812682940908*10^62*(1.9994556794244724285271525910301*r2*t+1.9994556794244724285271525910301)^2+3.7800034364353023263307641062080*10^62*r2^2)-8.0446343170894053758449857104985*r2*t-8.0446343170894053758449857104985)*LaguerreL(3, 8.0446343170894053758449857104985*r2*t+8.0446343170894053758449857104985+4.8280949636885638667721853083600*10^(-33)*sqrt(2.7777775719123411344533011625670*10^66-3.7820620906491654902812682940908*10^62*(1.9994556794244724285271525910301*r2*t+1.9994556794244724285271525910301)^2+3.7800034364353023263307641062080*10^62*r2^2)-4.02341217155910653242221082718544*r2)*LaguerreL(0, 1.45914849589304508427400147271161*r2+2.9175027472370254759881486222105*r2*t+2.9175027472370254759881486222105-1.7509783248393843637092160706980*10^(-33)*sqrt(2.7777775719123411344533011625670*10^66-3.7820620906491654902812682940908*10^62*(1.9994556794244724285271525910301*r2*t+1.9994556794244724285271525910301)^2+3.7800034364353023263307641062080*10^62*r2^2))+0.29286701608686093045895491363904e-4*LaguerreL(1, 4.02341217155910653242221082718544*r2+4.8280949636885638667721853083600*10^(-33)*sqrt(2.7777775719123411344533011625670*10^66-3.7820620906491654902812682940908*10^62*(1.9994556794244724285271525910301*r2*t+1.9994556794244724285271525910301)^2+3.7800034364353023263307641062080*10^62*r2^2)-8.0446343170894053758449857104985*r2*t-8.0446343170894053758449857104985)*LaguerreL(3, 8.0446343170894053758449857104985*r2*t+8.0446343170894053758449857104985+4.8280949636885638667721853083600*10^(-33)*sqrt(2.7777775719123411344533011625670*10^66-3.7820620906491654902812682940908*10^62*(1.9994556794244724285271525910301*r2*t+1.9994556794244724285271525910301)^2+3.7800034364353023263307641062080*10^62*r2^2)-4.02341217155910653242221082718544*r2)*LaguerreL(4, 1.45914849589304508427400147271161*r2+2.9175027472370254759881486222105*r2*t+2.9175027472370254759881486222105-1.7509783248393843637092160706980*10^(-33)*sqrt(2.7777775719123411344533011625670*10^66-3.7820620906491654902812682940908*10^62*(1.9994556794244724285271525910301*r2*t+1.9994556794244724285271525910301)^2+3.7800034364353023263307641062080*10^62*r2^2))+0.36460905395655618208925013424650e-5*LaguerreL(2, 4.02341217155910653242221082718544*r2+4.8280949636885638667721853083600*10^(-33)*sqrt(2.7777775719123411344533011625670*10^66-3.7820620906491654902812682940908*10^62*(1.9994556794244724285271525910301*r2*t+1.9994556794244724285271525910301)^2+3.7800034364353023263307641062080*10^62*r2^2)-8.0446343170894053758449857104985*r2*t-8.0446343170894053758449857104985)*LaguerreL(0, 8.0446343170894053758449857104985*r2*t+8.0446343170894053758449857104985+4.8280949636885638667721853083600*10^(-33)*sqrt(2.7777775719123411344533011625670*10^66-3.7820620906491654902812682940908*10^62*(1.9994556794244724285271525910301*r2*t+1.9994556794244724285271525910301)^2+3.7800034364353023263307641062080*10^62*r2^2)-4.02341217155910653242221082718544*r2)*LaguerreL(6, 1.45914849589304508427400147271161*r2+2.9175027472370254759881486222105*r2*t+2.9175027472370254759881486222105-1.7509783248393843637092160706980*10^(-33)*sqrt(2.7777775719123411344533011625670*10^66-3.7820620906491654902812682940908*10^62*(1.9994556794244724285271525910301*r2*t+1.9994556794244724285271525910301)^2+3.7800034364353023263307641062080*10^62*r2^2))+0.45907804611928948412285856585806e-4*LaguerreL(1, 4.02341217155910653242221082718544*r2+4.8280949636885638667721853083600*10^(-33)*sqrt(2.7777775719123411344533011625670*10^66-3.7820620906491654902812682940908*10^62*(1.9994556794244724285271525910301*r2*t+1.9994556794244724285271525910301)^2+3.7800034364353023263307641062080*10^62*r2^2)-8.0446343170894053758449857104985*r2*t-8.0446343170894053758449857104985)*LaguerreL(4, 8.0446343170894053758449857104985*r2*t+8.0446343170894053758449857104985+4.8280949636885638667721853083600*10^(-33)*sqrt(2.7777775719123411344533011625670*10^66-3.7820620906491654902812682940908*10^62*(1.9994556794244724285271525910301*r2*t+1.9994556794244724285271525910301)^2+3.7800034364353023263307641062080*10^62*r2^2)-4.02341217155910653242221082718544*r2)*LaguerreL(3, 1.45914849589304508427400147271161*r2+2.9175027472370254759881486222105*r2*t+2.9175027472370254759881486222105-1.7509783248393843637092160706980*10^(-33)*sqrt(2.7777775719123411344533011625670*10^66-3.7820620906491654902812682940908*10^62*(1.9994556794244724285271525910301*r2*t+1.9994556794244724285271525910301)^2+3.7800034364353023263307641062080*10^62*r2^2))+0.106725512484041674409976279540022e-2*LaguerreL(5, 4.02341217155910653242221082718544*r2+4.8280949636885638667721853083600*10^(-33)*sqrt(2.7777775719123411344533011625670*10^66-3.7820620906491654902812682940908*10^62*(1.9994556794244724285271525910301*r2*t+1.9994556794244724285271525910301)^2+3.7800034364353023263307641062080*10^62*r2^2)-8.0446343170894053758449857104985*r2*t-8.0446343170894053758449857104985)*LaguerreL(1, 8.0446343170894053758449857104985*r2*t+8.0446343170894053758449857104985+4.8280949636885638667721853083600*10^(-33)*sqrt(2.7777775719123411344533011625670*10^66-3.7820620906491654902812682940908*10^62*(1.9994556794244724285271525910301*r2*t+1.9994556794244724285271525910301)^2+3.7800034364353023263307641062080*10^62*r2^2)-4.02341217155910653242221082718544*r2)*LaguerreL(1, 1.45914849589304508427400147271161*r2+2.9175027472370254759881486222105*r2*t+2.9175027472370254759881486222105-1.7509783248393843637092160706980*10^(-33)*sqrt(2.7777775719123411344533011625670*10^66-3.7820620906491654902812682940908*10^62*(1.9994556794244724285271525910301*r2*t+1.9994556794244724285271525910301)^2+3.7800034364353023263307641062080*10^62*r2^2))+0.387874061613294536007837206389555e-1*LaguerreL(5, 4.02341217155910653242221082718544*r2+4.8280949636885638667721853083600*10^(-33)*sqrt(2.7777775719123411344533011625670*10^66-3.7820620906491654902812682940908*10^62*(1.9994556794244724285271525910301*r2*t+1.9994556794244724285271525910301)^2+3.7800034364353023263307641062080*10^62*r2^2)-8.0446343170894053758449857104985*r2*t-8.0446343170894053758449857104985)*LaguerreL(1, 8.0446343170894053758449857104985*r2*t+8.0446343170894053758449857104985+4.8280949636885638667721853083600*10^(-33)*sqrt(2.7777775719123411344533011625670*10^66-3.7820620906491654902812682940908*10^62*(1.9994556794244724285271525910301*r2*t+1.9994556794244724285271525910301)^2+3.7800034364353023263307641062080*10^62*r2^2)-4.02341217155910653242221082718544*r2)*LaguerreL(0, 1.45914849589304508427400147271161*r2+2.9175027472370254759881486222105*r2*t+2.9175027472370254759881486222105-1.7509783248393843637092160706980*10^(-33)*sqrt(2.7777775719123411344533011625670*10^66-3.7820620906491654902812682940908*10^62*(1.9994556794244724285271525910301*r2*t+1.9994556794244724285271525910301)^2+3.7800034364353023263307641062080*10^62*r2^2))+.184472141555314237392820025176479*LaguerreL(0, 4.02341217155910653242221082718544*r2+4.8280949636885638667721853083600*10^(-33)*sqrt(2.7777775719123411344533011625670*10^66-3.7820620906491654902812682940908*10^62*(1.9994556794244724285271525910301*r2*t+1.9994556794244724285271525910301)^2+3.7800034364353023263307641062080*10^62*r2^2)-8.0446343170894053758449857104985*r2*t-8.0446343170894053758449857104985)*LaguerreL(3, 8.0446343170894053758449857104985*r2*t+8.0446343170894053758449857104985+4.8280949636885638667721853083600*10^(-33)*sqrt(2.7777775719123411344533011625670*10^66-3.7820620906491654902812682940908*10^62*(1.9994556794244724285271525910301*r2*t+1.9994556794244724285271525910301)^2+3.7800034364353023263307641062080*10^62*r2^2)-4.02341217155910653242221082718544*r2)*LaguerreL(0, 1.45914849589304508427400147271161*r2+2.9175027472370254759881486222105*r2*t+2.9175027472370254759881486222105-1.7509783248393843637092160706980*10^(-33)*sqrt(2.7777775719123411344533011625670*10^66-3.7820620906491654902812682940908*10^62*(1.9994556794244724285271525910301*r2*t+1.9994556794244724285271525910301)^2+3.7800034364353023263307641062080*10^62*r2^2))-0.930382411180137091811313861591681e-1*LaguerreL(2, 4.02341217155910653242221082718544*r2+4.8280949636885638667721853083600*10^(-33)*sqrt(2.7777775719123411344533011625670*10^66-3.7820620906491654902812682940908*10^62*(1.9994556794244724285271525910301*r2*t+1.9994556794244724285271525910301)^2+3.7800034364353023263307641062080*10^62*r2^2)-8.0446343170894053758449857104985*r2*t-8.0446343170894053758449857104985)*LaguerreL(0, 8.0446343170894053758449857104985*r2*t+8.0446343170894053758449857104985+4.8280949636885638667721853083600*10^(-33)*sqrt(2.7777775719123411344533011625670*10^66-3.7820620906491654902812682940908*10^62*(1.9994556794244724285271525910301*r2*t+1.9994556794244724285271525910301)^2+3.7800034364353023263307641062080*10^62*r2^2)-4.02341217155910653242221082718544*r2)*LaguerreL(0, 1.45914849589304508427400147271161*r2+2.9175027472370254759881486222105*r2*t+2.9175027472370254759881486222105-1.7509783248393843637092160706980*10^(-33)*sqrt(2.7777775719123411344533011625670*10^66-3.7820620906491654902812682940908*10^62*(1.9994556794244724285271525910301*r2*t+1.9994556794244724285271525910301)^2+3.7800034364353023263307641062080*10^62*r2^2))-0.930382411180137091811313861591681e-1*LaguerreL(0, 4.02341217155910653242221082718544*r2+4.8280949636885638667721853083600*10^(-33)*sqrt(2.7777775719123411344533011625670*10^66-3.7820620906491654902812682940908*10^62*(1.9994556794244724285271525910301*r2*t+1.9994556794244724285271525910301)^2+3.7800034364353023263307641062080*10^62*r2^2)-8.0446343170894053758449857104985*r2*t-8.0446343170894053758449857104985)*LaguerreL(2, 8.0446343170894053758449857104985*r2*t+8.0446343170894053758449857104985+4.8280949636885638667721853083600*10^(-33)*sqrt(2.7777775719123411344533011625670*10^66-3.7820620906491654902812682940908*10^62*(1.9994556794244724285271525910301*r2*t+1.9994556794244724285271525910301)^2+3.7800034364353023263307641062080*10^62*r2^2)-4.02341217155910653242221082718544*r2)*LaguerreL(0, 1.45914849589304508427400147271161*r2+2.9175027472370254759881486222105*r2*t+2.9175027472370254759881486222105-1.7509783248393843637092160706980*10^(-33)*sqrt(2.7777775719123411344533011625670*10^66-3.7820620906491654902812682940908*10^62*(1.9994556794244724285271525910301*r2*t+1.9994556794244724285271525910301)^2+3.7800034364353023263307641062080*10^62*r2^2))+0.199073350935881871383626215995144e-2*LaguerreL(1, 4.02341217155910653242221082718544*r2+4.8280949636885638667721853083600*10^(-33)*sqrt(2.7777775719123411344533011625670*10^66-3.7820620906491654902812682940908*10^62*(1.9994556794244724285271525910301*r2*t+1.9994556794244724285271525910301)^2+3.7800034364353023263307641062080*10^62*r2^2)-8.0446343170894053758449857104985*r2*t-8.0446343170894053758449857104985)*LaguerreL(1, 8.0446343170894053758449857104985*r2*t+8.0446343170894053758449857104985+4.8280949636885638667721853083600*10^(-33)*sqrt(2.7777775719123411344533011625670*10^66-3.7820620906491654902812682940908*10^62*(1.9994556794244724285271525910301*r2*t+1.9994556794244724285271525910301)^2+3.7800034364353023263307641062080*10^62*r2^2)-4.02341217155910653242221082718544*r2)*LaguerreL(1, 1.45914849589304508427400147271161*r2+2.9175027472370254759881486222105*r2*t+2.9175027472370254759881486222105-1.7509783248393843637092160706980*10^(-33)*sqrt(2.7777775719123411344533011625670*10^66-3.7820620906491654902812682940908*10^62*(1.9994556794244724285271525910301*r2*t+1.9994556794244724285271525910301)^2+3.7800034364353023263307641062080*10^62*r2^2))-0.437430791165850209750985794363691e-2*LaguerreL(1, 4.02341217155910653242221082718544*r2+4.8280949636885638667721853083600*10^(-33)*sqrt(2.7777775719123411344533011625670*10^66-3.7820620906491654902812682940908*10^62*(1.9994556794244724285271525910301*r2*t+1.9994556794244724285271525910301)^2+3.7800034364353023263307641062080*10^62*r2^2)-8.0446343170894053758449857104985*r2*t-8.0446343170894053758449857104985)*LaguerreL(2, 8.0446343170894053758449857104985*r2*t+8.0446343170894053758449857104985+4.8280949636885638667721853083600*10^(-33)*sqrt(2.7777775719123411344533011625670*10^66-3.7820620906491654902812682940908*10^62*(1.9994556794244724285271525910301*r2*t+1.9994556794244724285271525910301)^2+3.7800034364353023263307641062080*10^62*r2^2)-4.02341217155910653242221082718544*r2)*LaguerreL(1, 1.45914849589304508427400147271161*r2+2.9175027472370254759881486222105*r2*t+2.9175027472370254759881486222105-1.7509783248393843637092160706980*10^(-33)*sqrt(2.7777775719123411344533011625670*10^66-3.7820620906491654902812682940908*10^62*(1.9994556794244724285271525910301*r2*t+1.9994556794244724285271525910301)^2+3.7800034364353023263307641062080*10^62*r2^2))-0.525984383618795559730580570825853e-2*LaguerreL(3, 4.02341217155910653242221082718544*r2+4.8280949636885638667721853083600*10^(-33)*sqrt(2.7777775719123411344533011625670*10^66-3.7820620906491654902812682940908*10^62*(1.9994556794244724285271525910301*r2*t+1.9994556794244724285271525910301)^2+3.7800034364353023263307641062080*10^62*r2^2)-8.0446343170894053758449857104985*r2*t-8.0446343170894053758449857104985)*LaguerreL(0, 8.0446343170894053758449857104985*r2*t+8.0446343170894053758449857104985+4.8280949636885638667721853083600*10^(-33)*sqrt(2.7777775719123411344533011625670*10^66-3.7820620906491654902812682940908*10^62*(1.9994556794244724285271525910301*r2*t+1.9994556794244724285271525910301)^2+3.7800034364353023263307641062080*10^62*r2^2)-4.02341217155910653242221082718544*r2)*LaguerreL(1, 1.45914849589304508427400147271161*r2+2.9175027472370254759881486222105*r2*t+2.9175027472370254759881486222105-1.7509783248393843637092160706980*10^(-33)*sqrt(2.7777775719123411344533011625670*10^66-3.7820620906491654902812682940908*10^62*(1.9994556794244724285271525910301*r2*t+1.9994556794244724285271525910301)^2+3.7800034364353023263307641062080*10^62*r2^2))+0.703928602207493123712018257534982e-1*LaguerreL(1, 4.02341217155910653242221082718544*r2+4.8280949636885638667721853083600*10^(-33)*sqrt(2.7777775719123411344533011625670*10^66-3.7820620906491654902812682940908*10^62*(1.9994556794244724285271525910301*r2*t+1.9994556794244724285271525910301)^2+3.7800034364353023263307641062080*10^62*r2^2)-8.0446343170894053758449857104985*r2*t-8.0446343170894053758449857104985)*LaguerreL(4, 8.0446343170894053758449857104985*r2*t+8.0446343170894053758449857104985+4.8280949636885638667721853083600*10^(-33)*sqrt(2.7777775719123411344533011625670*10^66-3.7820620906491654902812682940908*10^62*(1.9994556794244724285271525910301*r2*t+1.9994556794244724285271525910301)^2+3.7800034364353023263307641062080*10^62*r2^2)-4.02341217155910653242221082718544*r2)*LaguerreL(0, 1.45914849589304508427400147271161*r2+2.9175027472370254759881486222105*r2*t+2.9175027472370254759881486222105-1.7509783248393843637092160706980*10^(-33)*sqrt(2.7777775719123411344533011625670*10^66-3.7820620906491654902812682940908*10^62*(1.9994556794244724285271525910301*r2*t+1.9994556794244724285271525910301)^2+3.7800034364353023263307641062080*10^62*r2^2))+0.981230001214103273152448228683339e-1*LaguerreL(5, 4.02341217155910653242221082718544*r2+4.8280949636885638667721853083600*10^(-33)*sqrt(2.7777775719123411344533011625670*10^66-3.7820620906491654902812682940908*10^62*(1.9994556794244724285271525910301*r2*t+1.9994556794244724285271525910301)^2+3.7800034364353023263307641062080*10^62*r2^2)-8.0446343170894053758449857104985*r2*t-8.0446343170894053758449857104985)*LaguerreL(0, 8.0446343170894053758449857104985*r2*t+8.0446343170894053758449857104985+4.8280949636885638667721853083600*10^(-33)*sqrt(2.7777775719123411344533011625670*10^66-3.7820620906491654902812682940908*10^62*(1.9994556794244724285271525910301*r2*t+1.9994556794244724285271525910301)^2+3.7800034364353023263307641062080*10^62*r2^2)-4.02341217155910653242221082718544*r2)*LaguerreL(0, 1.45914849589304508427400147271161*r2+2.9175027472370254759881486222105*r2*t+2.9175027472370254759881486222105-1.7509783248393843637092160706980*10^(-33)*sqrt(2.7777775719123411344533011625670*10^66-3.7820620906491654902812682940908*10^62*(1.9994556794244724285271525910301*r2*t+1.9994556794244724285271525910301)^2+3.7800034364353023263307641062080*10^62*r2^2))+0.981230001214103273152448228683339e-1*LaguerreL(0, 4.02341217155910653242221082718544*r2+4.8280949636885638667721853083600*10^(-33)*sqrt(2.7777775719123411344533011625670*10^66-3.7820620906491654902812682940908*10^62*(1.9994556794244724285271525910301*r2*t+1.9994556794244724285271525910301)^2+3.7800034364353023263307641062080*10^62*r2^2)-8.0446343170894053758449857104985*r2*t-8.0446343170894053758449857104985)*LaguerreL(5, 8.0446343170894053758449857104985*r2*t+8.0446343170894053758449857104985+4.8280949636885638667721853083600*10^(-33)*sqrt(2.7777775719123411344533011625670*10^66-3.7820620906491654902812682940908*10^62*(1.9994556794244724285271525910301*r2*t+1.9994556794244724285271525910301)^2+3.7800034364353023263307641062080*10^62*r2^2)-4.02341217155910653242221082718544*r2)*LaguerreL(0, 1.45914849589304508427400147271161*r2+2.9175027472370254759881486222105*r2*t+2.9175027472370254759881486222105-1.7509783248393843637092160706980*10^(-33)*sqrt(2.7777775719123411344533011625670*10^66-3.7820620906491654902812682940908*10^62*(1.9994556794244724285271525910301*r2*t+1.9994556794244724285271525910301)^2+3.7800034364353023263307641062080*10^62*r2^2))+.157219177126629956509947241424724*LaguerreL(2, 4.02341217155910653242221082718544*r2+4.8280949636885638667721853083600*10^(-33)*sqrt(2.7777775719123411344533011625670*10^66-3.7820620906491654902812682940908*10^62*(1.9994556794244724285271525910301*r2*t+1.9994556794244724285271525910301)^2+3.7800034364353023263307641062080*10^62*r2^2)-8.0446343170894053758449857104985*r2*t-8.0446343170894053758449857104985)*LaguerreL(1, 8.0446343170894053758449857104985*r2*t+8.0446343170894053758449857104985+4.8280949636885638667721853083600*10^(-33)*sqrt(2.7777775719123411344533011625670*10^66-3.7820620906491654902812682940908*10^62*(1.9994556794244724285271525910301*r2*t+1.9994556794244724285271525910301)^2+3.7800034364353023263307641062080*10^62*r2^2)-4.02341217155910653242221082718544*r2)*LaguerreL(0, 1.45914849589304508427400147271161*r2+2.9175027472370254759881486222105*r2*t+2.9175027472370254759881486222105-1.7509783248393843637092160706980*10^(-33)*sqrt(2.7777775719123411344533011625670*10^66-3.7820620906491654902812682940908*10^62*(1.9994556794244724285271525910301*r2*t+1.9994556794244724285271525910301)^2+3.7800034364353023263307641062080*10^62*r2^2))+0.258318885783445665525101270689483e-2*LaguerreL(4, 4.02341217155910653242221082718544*r2+4.8280949636885638667721853083600*10^(-33)*sqrt(2.7777775719123411344533011625670*10^66-3.7820620906491654902812682940908*10^62*(1.9994556794244724285271525910301*r2*t+1.9994556794244724285271525910301)^2+3.7800034364353023263307641062080*10^62*r2^2)-8.0446343170894053758449857104985*r2*t-8.0446343170894053758449857104985)*LaguerreL(3, 8.0446343170894053758449857104985*r2*t+8.0446343170894053758449857104985+4.8280949636885638667721853083600*10^(-33)*sqrt(2.7777775719123411344533011625670*10^66-3.7820620906491654902812682940908*10^62*(1.9994556794244724285271525910301*r2*t+1.9994556794244724285271525910301)^2+3.7800034364353023263307641062080*10^62*r2^2)-4.02341217155910653242221082718544*r2)*LaguerreL(1, 1.45914849589304508427400147271161*r2+2.9175027472370254759881486222105*r2*t+2.9175027472370254759881486222105-1.7509783248393843637092160706980*10^(-33)*sqrt(2.7777775719123411344533011625670*10^66-3.7820620906491654902812682940908*10^62*(1.9994556794244724285271525910301*r2*t+1.9994556794244724285271525910301)^2+3.7800034364353023263307641062080*10^62*r2^2))+0.258318885783445665525101270689483e-2*LaguerreL(3, 4.02341217155910653242221082718544*r2+4.8280949636885638667721853083600*10^(-33)*sqrt(2.7777775719123411344533011625670*10^66-3.7820620906491654902812682940908*10^62*(1.9994556794244724285271525910301*r2*t+1.9994556794244724285271525910301)^2+3.7800034364353023263307641062080*10^62*r2^2)-8.0446343170894053758449857104985*r2*t-8.0446343170894053758449857104985)*LaguerreL(4, 8.0446343170894053758449857104985*r2*t+8.0446343170894053758449857104985+4.8280949636885638667721853083600*10^(-33)*sqrt(2.7777775719123411344533011625670*10^66-3.7820620906491654902812682940908*10^62*(1.9994556794244724285271525910301*r2*t+1.9994556794244724285271525910301)^2+3.7800034364353023263307641062080*10^62*r2^2)-4.02341217155910653242221082718544*r2)*LaguerreL(1, 1.45914849589304508427400147271161*r2+2.9175027472370254759881486222105*r2*t+2.9175027472370254759881486222105-1.7509783248393843637092160706980*10^(-33)*sqrt(2.7777775719123411344533011625670*10^66-3.7820620906491654902812682940908*10^62*(1.9994556794244724285271525910301*r2*t+1.9994556794244724285271525910301)^2+3.7800034364353023263307641062080*10^62*r2^2))+0.696507841445400253203220309729692e-3*LaguerreL(4, 4.02341217155910653242221082718544*r2+4.8280949636885638667721853083600*10^(-33)*sqrt(2.7777775719123411344533011625670*10^66-3.7820620906491654902812682940908*10^62*(1.9994556794244724285271525910301*r2*t+1.9994556794244724285271525910301)^2+3.7800034364353023263307641062080*10^62*r2^2)-8.0446343170894053758449857104985*r2*t-8.0446343170894053758449857104985)*LaguerreL(2, 8.0446343170894053758449857104985*r2*t+8.0446343170894053758449857104985+4.8280949636885638667721853083600*10^(-33)*sqrt(2.7777775719123411344533011625670*10^66-3.7820620906491654902812682940908*10^62*(1.9994556794244724285271525910301*r2*t+1.9994556794244724285271525910301)^2+3.7800034364353023263307641062080*10^62*r2^2)-4.02341217155910653242221082718544*r2)*LaguerreL(1, 1.45914849589304508427400147271161*r2+2.9175027472370254759881486222105*r2*t+2.9175027472370254759881486222105-1.7509783248393843637092160706980*10^(-33)*sqrt(2.7777775719123411344533011625670*10^66-3.7820620906491654902812682940908*10^62*(1.9994556794244724285271525910301*r2*t+1.9994556794244724285271525910301)^2+3.7800034364353023263307641062080*10^62*r2^2))+.157219177126629956509947241424724*LaguerreL(1, 4.02341217155910653242221082718544*r2+4.8280949636885638667721853083600*10^(-33)*sqrt(2.7777775719123411344533011625670*10^66-3.7820620906491654902812682940908*10^62*(1.9994556794244724285271525910301*r2*t+1.9994556794244724285271525910301)^2+3.7800034364353023263307641062080*10^62*r2^2)-8.0446343170894053758449857104985*r2*t-8.0446343170894053758449857104985)*LaguerreL(2, 8.0446343170894053758449857104985*r2*t+8.0446343170894053758449857104985+4.8280949636885638667721853083600*10^(-33)*sqrt(2.7777775719123411344533011625670*10^66-3.7820620906491654902812682940908*10^62*(1.9994556794244724285271525910301*r2*t+1.9994556794244724285271525910301)^2+3.7800034364353023263307641062080*10^62*r2^2)-4.02341217155910653242221082718544*r2)*LaguerreL(0, 1.45914849589304508427400147271161*r2+2.9175027472370254759881486222105*r2*t+2.9175027472370254759881486222105-1.7509783248393843637092160706980*10^(-33)*sqrt(2.7777775719123411344533011625670*10^66-3.7820620906491654902812682940908*10^62*(1.9994556794244724285271525910301*r2*t+1.9994556794244724285271525910301)^2+3.7800034364353023263307641062080*10^62*r2^2))+.184472141555314237392820025176479*LaguerreL(3, 4.02341217155910653242221082718544*r2+4.8280949636885638667721853083600*10^(-33)*sqrt(2.7777775719123411344533011625670*10^66-3.7820620906491654902812682940908*10^62*(1.9994556794244724285271525910301*r2*t+1.9994556794244724285271525910301)^2+3.7800034364353023263307641062080*10^62*r2^2)-8.0446343170894053758449857104985*r2*t-8.0446343170894053758449857104985)*LaguerreL(0, 8.0446343170894053758449857104985*r2*t+8.0446343170894053758449857104985+4.8280949636885638667721853083600*10^(-33)*sqrt(2.7777775719123411344533011625670*10^66-3.7820620906491654902812682940908*10^62*(1.9994556794244724285271525910301*r2*t+1.9994556794244724285271525910301)^2+3.7800034364353023263307641062080*10^62*r2^2)-4.02341217155910653242221082718544*r2)*LaguerreL(0, 1.45914849589304508427400147271161*r2+2.9175027472370254759881486222105*r2*t+2.9175027472370254759881486222105-1.7509783248393843637092160706980*10^(-33)*sqrt(2.7777775719123411344533011625670*10^66-3.7820620906491654902812682940908*10^62*(1.9994556794244724285271525910301*r2*t+1.9994556794244724285271525910301)^2+3.7800034364353023263307641062080*10^62*r2^2))+0.696507841445400253203220309729692e-3*LaguerreL(2, 4.02341217155910653242221082718544*r2+4.8280949636885638667721853083600*10^(-33)*sqrt(2.7777775719123411344533011625670*10^66-3.7820620906491654902812682940908*10^62*(1.9994556794244724285271525910301*r2*t+1.9994556794244724285271525910301)^2+3.7800034364353023263307641062080*10^62*r2^2)-8.0446343170894053758449857104985*r2*t-8.0446343170894053758449857104985)*LaguerreL(4, 8.0446343170894053758449857104985*r2*t+8.0446343170894053758449857104985+4.8280949636885638667721853083600*10^(-33)*sqrt(2.7777775719123411344533011625670*10^66-3.7820620906491654902812682940908*10^62*(1.9994556794244724285271525910301*r2*t+1.9994556794244724285271525910301)^2+3.7800034364353023263307641062080*10^62*r2^2)-4.02341217155910653242221082718544*r2)*LaguerreL(1, 1.45914849589304508427400147271161*r2+2.9175027472370254759881486222105*r2*t+2.9175027472370254759881486222105-1.7509783248393843637092160706980*10^(-33)*sqrt(2.7777775719123411344533011625670*10^66-3.7820620906491654902812682940908*10^62*(1.9994556794244724285271525910301*r2*t+1.9994556794244724285271525910301)^2+3.7800034364353023263307641062080*10^62*r2^2))+0.518694956368721266762234380924594e-3*LaguerreL(0, 4.02341217155910653242221082718544*r2+4.8280949636885638667721853083600*10^(-33)*sqrt(2.7777775719123411344533011625670*10^66-3.7820620906491654902812682940908*10^62*(1.9994556794244724285271525910301*r2*t+1.9994556794244724285271525910301)^2+3.7800034364353023263307641062080*10^62*r2^2)-8.0446343170894053758449857104985*r2*t-8.0446343170894053758449857104985)*LaguerreL(2, 8.0446343170894053758449857104985*r2*t+8.0446343170894053758449857104985+4.8280949636885638667721853083600*10^(-33)*sqrt(2.7777775719123411344533011625670*10^66-3.7820620906491654902812682940908*10^62*(1.9994556794244724285271525910301*r2*t+1.9994556794244724285271525910301)^2+3.7800034364353023263307641062080*10^62*r2^2)-4.02341217155910653242221082718544*r2)*LaguerreL(2, 1.45914849589304508427400147271161*r2+2.9175027472370254759881486222105*r2*t+2.9175027472370254759881486222105-1.7509783248393843637092160706980*10^(-33)*sqrt(2.7777775719123411344533011625670*10^66-3.7820620906491654902812682940908*10^62*(1.9994556794244724285271525910301*r2*t+1.9994556794244724285271525910301)^2+3.7800034364353023263307641062080*10^62*r2^2))+0.28388016463825430076467120390346e-1*LaguerreL(0, 4.02341217155910653242221082718544*r2+4.8280949636885638667721853083600*10^(-33)*sqrt(2.7777775719123411344533011625670*10^66-3.7820620906491654902812682940908*10^62*(1.9994556794244724285271525910301*r2*t+1.9994556794244724285271525910301)^2+3.7800034364353023263307641062080*10^62*r2^2)-8.0446343170894053758449857104985*r2*t-8.0446343170894053758449857104985)*LaguerreL(1, 8.0446343170894053758449857104985*r2*t+8.0446343170894053758449857104985+4.8280949636885638667721853083600*10^(-33)*sqrt(2.7777775719123411344533011625670*10^66-3.7820620906491654902812682940908*10^62*(1.9994556794244724285271525910301*r2*t+1.9994556794244724285271525910301)^2+3.7800034364353023263307641062080*10^62*r2^2)-4.02341217155910653242221082718544*r2)*LaguerreL(0, 1.45914849589304508427400147271161*r2+2.9175027472370254759881486222105*r2*t+2.9175027472370254759881486222105-1.7509783248393843637092160706980*10^(-33)*sqrt(2.7777775719123411344533011625670*10^66-3.7820620906491654902812682940908*10^62*(1.9994556794244724285271525910301*r2*t+1.9994556794244724285271525910301)^2+3.7800034364353023263307641062080*10^62*r2^2))-0.55043612844670882714391146829813e-5*LaguerreL(1, 4.02341217155910653242221082718544*r2+4.8280949636885638667721853083600*10^(-33)*sqrt(2.7777775719123411344533011625670*10^66-3.7820620906491654902812682940908*10^62*(1.9994556794244724285271525910301*r2*t+1.9994556794244724285271525910301)^2+3.7800034364353023263307641062080*10^62*r2^2)-8.0446343170894053758449857104985*r2*t-8.0446343170894053758449857104985)*LaguerreL(0, 8.0446343170894053758449857104985*r2*t+8.0446343170894053758449857104985+4.8280949636885638667721853083600*10^(-33)*sqrt(2.7777775719123411344533011625670*10^66-3.7820620906491654902812682940908*10^62*(1.9994556794244724285271525910301*r2*t+1.9994556794244724285271525910301)^2+3.7800034364353023263307641062080*10^62*r2^2)-4.02341217155910653242221082718544*r2)*LaguerreL(3, 1.45914849589304508427400147271161*r2+2.9175027472370254759881486222105*r2*t+2.9175027472370254759881486222105-1.7509783248393843637092160706980*10^(-33)*sqrt(2.7777775719123411344533011625670*10^66-3.7820620906491654902812682940908*10^62*(1.9994556794244724285271525910301*r2*t+1.9994556794244724285271525910301)^2+3.7800034364353023263307641062080*10^62*r2^2))-0.457238681803272350394972137346898e-3*LaguerreL(1, 4.02341217155910653242221082718544*r2+4.8280949636885638667721853083600*10^(-33)*sqrt(2.7777775719123411344533011625670*10^66-3.7820620906491654902812682940908*10^62*(1.9994556794244724285271525910301*r2*t+1.9994556794244724285271525910301)^2+3.7800034364353023263307641062080*10^62*r2^2)-8.0446343170894053758449857104985*r2*t-8.0446343170894053758449857104985)*LaguerreL(0, 8.0446343170894053758449857104985*r2*t+8.0446343170894053758449857104985+4.8280949636885638667721853083600*10^(-33)*sqrt(2.7777775719123411344533011625670*10^66-3.7820620906491654902812682940908*10^62*(1.9994556794244724285271525910301*r2*t+1.9994556794244724285271525910301)^2+3.7800034364353023263307641062080*10^62*r2^2)-4.02341217155910653242221082718544*r2)*LaguerreL(1, 1.45914849589304508427400147271161*r2+2.9175027472370254759881486222105*r2*t+2.9175027472370254759881486222105-1.7509783248393843637092160706980*10^(-33)*sqrt(2.7777775719123411344533011625670*10^66-3.7820620906491654902812682940908*10^62*(1.9994556794244724285271525910301*r2*t+1.9994556794244724285271525910301)^2+3.7800034364353023263307641062080*10^62*r2^2))+0.121472574852021043494560130498513e-3*LaguerreL(0, 4.02341217155910653242221082718544*r2+4.8280949636885638667721853083600*10^(-33)*sqrt(2.7777775719123411344533011625670*10^66-3.7820620906491654902812682940908*10^62*(1.9994556794244724285271525910301*r2*t+1.9994556794244724285271525910301)^2+3.7800034364353023263307641062080*10^62*r2^2)-8.0446343170894053758449857104985*r2*t-8.0446343170894053758449857104985)*LaguerreL(0, 8.0446343170894053758449857104985*r2*t+8.0446343170894053758449857104985+4.8280949636885638667721853083600*10^(-33)*sqrt(2.7777775719123411344533011625670*10^66-3.7820620906491654902812682940908*10^62*(1.9994556794244724285271525910301*r2*t+1.9994556794244724285271525910301)^2+3.7800034364353023263307641062080*10^62*r2^2)-4.02341217155910653242221082718544*r2)*LaguerreL(1, 1.45914849589304508427400147271161*r2+2.9175027472370254759881486222105*r2*t+2.9175027472370254759881486222105-1.7509783248393843637092160706980*10^(-33)*sqrt(2.7777775719123411344533011625670*10^66-3.7820620906491654902812682940908*10^62*(1.9994556794244724285271525910301*r2*t+1.9994556794244724285271525910301)^2+3.7800034364353023263307641062080*10^62*r2^2))-0.525984383618795559730580570825853e-2*LaguerreL(0, 4.02341217155910653242221082718544*r2+4.8280949636885638667721853083600*10^(-33)*sqrt(2.7777775719123411344533011625670*10^66-3.7820620906491654902812682940908*10^62*(1.9994556794244724285271525910301*r2*t+1.9994556794244724285271525910301)^2+3.7800034364353023263307641062080*10^62*r2^2)-8.0446343170894053758449857104985*r2*t-8.0446343170894053758449857104985)*LaguerreL(3, 8.0446343170894053758449857104985*r2*t+8.0446343170894053758449857104985+4.8280949636885638667721853083600*10^(-33)*sqrt(2.7777775719123411344533011625670*10^66-3.7820620906491654902812682940908*10^62*(1.9994556794244724285271525910301*r2*t+1.9994556794244724285271525910301)^2+3.7800034364353023263307641062080*10^62*r2^2)-4.02341217155910653242221082718544*r2)*LaguerreL(1, 1.45914849589304508427400147271161*r2+2.9175027472370254759881486222105*r2*t+2.9175027472370254759881486222105-1.7509783248393843637092160706980*10^(-33)*sqrt(2.7777775719123411344533011625670*10^66-3.7820620906491654902812682940908*10^62*(1.9994556794244724285271525910301*r2*t+1.9994556794244724285271525910301)^2+3.7800034364353023263307641062080*10^62*r2^2))-0.55043612844670882714391146829813e-5*LaguerreL(0, 4.02341217155910653242221082718544*r2+4.8280949636885638667721853083600*10^(-33)*sqrt(2.7777775719123411344533011625670*10^66-3.7820620906491654902812682940908*10^62*(1.9994556794244724285271525910301*r2*t+1.9994556794244724285271525910301)^2+3.7800034364353023263307641062080*10^62*r2^2)-8.0446343170894053758449857104985*r2*t-8.0446343170894053758449857104985)*LaguerreL(1, 8.0446343170894053758449857104985*r2*t+8.0446343170894053758449857104985+4.8280949636885638667721853083600*10^(-33)*sqrt(2.7777775719123411344533011625670*10^66-3.7820620906491654902812682940908*10^62*(1.9994556794244724285271525910301*r2*t+1.9994556794244724285271525910301)^2+3.7800034364353023263307641062080*10^62*r2^2)-4.02341217155910653242221082718544*r2)*LaguerreL(3, 1.45914849589304508427400147271161*r2+2.9175027472370254759881486222105*r2*t+2.9175027472370254759881486222105-1.7509783248393843637092160706980*10^(-33)*sqrt(2.7777775719123411344533011625670*10^66-3.7820620906491654902812682940908*10^62*(1.9994556794244724285271525910301*r2*t+1.9994556794244724285271525910301)^2+3.7800034364353023263307641062080*10^62*r2^2))+0.470363380495626159446087684489996e-3*LaguerreL(1, 4.02341217155910653242221082718544*r2+4.8280949636885638667721853083600*10^(-33)*sqrt(2.7777775719123411344533011625670*10^66-3.7820620906491654902812682940908*10^62*(1.9994556794244724285271525910301*r2*t+1.9994556794244724285271525910301)^2+3.7800034364353023263307641062080*10^62*r2^2)-8.0446343170894053758449857104985*r2*t-8.0446343170894053758449857104985)*LaguerreL(1, 8.0446343170894053758449857104985*r2*t+8.0446343170894053758449857104985+4.8280949636885638667721853083600*10^(-33)*sqrt(2.7777775719123411344533011625670*10^66-3.7820620906491654902812682940908*10^62*(1.9994556794244724285271525910301*r2*t+1.9994556794244724285271525910301)^2+3.7800034364353023263307641062080*10^62*r2^2)-4.02341217155910653242221082718544*r2)*LaguerreL(2, 1.45914849589304508427400147271161*r2+2.9175027472370254759881486222105*r2*t+2.9175027472370254759881486222105-1.7509783248393843637092160706980*10^(-33)*sqrt(2.7777775719123411344533011625670*10^66-3.7820620906491654902812682940908*10^62*(1.9994556794244724285271525910301*r2*t+1.9994556794244724285271525910301)^2+3.7800034364353023263307641062080*10^62*r2^2))+0.30317391875254706878480113447580e-4*LaguerreL(1, 4.02341217155910653242221082718544*r2+4.8280949636885638667721853083600*10^(-33)*sqrt(2.7777775719123411344533011625670*10^66-3.7820620906491654902812682940908*10^62*(1.9994556794244724285271525910301*r2*t+1.9994556794244724285271525910301)^2+3.7800034364353023263307641062080*10^62*r2^2)-8.0446343170894053758449857104985*r2*t-8.0446343170894053758449857104985)*LaguerreL(1, 8.0446343170894053758449857104985*r2*t+8.0446343170894053758449857104985+4.8280949636885638667721853083600*10^(-33)*sqrt(2.7777775719123411344533011625670*10^66-3.7820620906491654902812682940908*10^62*(1.9994556794244724285271525910301*r2*t+1.9994556794244724285271525910301)^2+3.7800034364353023263307641062080*10^62*r2^2)-4.02341217155910653242221082718544*r2)*LaguerreL(4, 1.45914849589304508427400147271161*r2+2.9175027472370254759881486222105*r2*t+2.9175027472370254759881486222105-1.7509783248393843637092160706980*10^(-33)*sqrt(2.7777775719123411344533011625670*10^66-3.7820620906491654902812682940908*10^62*(1.9994556794244724285271525910301*r2*t+1.9994556794244724285271525910301)^2+3.7800034364353023263307641062080*10^62*r2^2))+0.12317683017764768707890268507864e-4*LaguerreL(0, 4.02341217155910653242221082718544*r2+4.8280949636885638667721853083600*10^(-33)*sqrt(2.7777775719123411344533011625670*10^66-3.7820620906491654902812682940908*10^62*(1.9994556794244724285271525910301*r2*t+1.9994556794244724285271525910301)^2+3.7800034364353023263307641062080*10^62*r2^2)-8.0446343170894053758449857104985*r2*t-8.0446343170894053758449857104985)*LaguerreL(0, 8.0446343170894053758449857104985*r2*t+8.0446343170894053758449857104985+4.8280949636885638667721853083600*10^(-33)*sqrt(2.7777775719123411344533011625670*10^66-3.7820620906491654902812682940908*10^62*(1.9994556794244724285271525910301*r2*t+1.9994556794244724285271525910301)^2+3.7800034364353023263307641062080*10^62*r2^2)-4.02341217155910653242221082718544*r2)*LaguerreL(4, 1.45914849589304508427400147271161*r2+2.9175027472370254759881486222105*r2*t+2.9175027472370254759881486222105-1.7509783248393843637092160706980*10^(-33)*sqrt(2.7777775719123411344533011625670*10^66-3.7820620906491654902812682940908*10^62*(1.9994556794244724285271525910301*r2*t+1.9994556794244724285271525910301)^2+3.7800034364353023263307641062080*10^62*r2^2))+0.223539050578863837088147737554181e-2*LaguerreL(2, 4.02341217155910653242221082718544*r2+4.8280949636885638667721853083600*10^(-33)*sqrt(2.7777775719123411344533011625670*10^66-3.7820620906491654902812682940908*10^62*(1.9994556794244724285271525910301*r2*t+1.9994556794244724285271525910301)^2+3.7800034364353023263307641062080*10^62*r2^2)-8.0446343170894053758449857104985*r2*t-8.0446343170894053758449857104985)*LaguerreL(0, 8.0446343170894053758449857104985*r2*t+8.0446343170894053758449857104985+4.8280949636885638667721853083600*10^(-33)*sqrt(2.7777775719123411344533011625670*10^66-3.7820620906491654902812682940908*10^62*(1.9994556794244724285271525910301*r2*t+1.9994556794244724285271525910301)^2+3.7800034364353023263307641062080*10^62*r2^2)-4.02341217155910653242221082718544*r2)*LaguerreL(1, 1.45914849589304508427400147271161*r2+2.9175027472370254759881486222105*r2*t+2.9175027472370254759881486222105-1.7509783248393843637092160706980*10^(-33)*sqrt(2.7777775719123411344533011625670*10^66-3.7820620906491654902812682940908*10^62*(1.9994556794244724285271525910301*r2*t+1.9994556794244724285271525910301)^2+3.7800034364353023263307641062080*10^62*r2^2))+0.223539050578863837088147737554181e-2*LaguerreL(0, 4.02341217155910653242221082718544*r2+4.8280949636885638667721853083600*10^(-33)*sqrt(2.7777775719123411344533011625670*10^66-3.7820620906491654902812682940908*10^62*(1.9994556794244724285271525910301*r2*t+1.9994556794244724285271525910301)^2+3.7800034364353023263307641062080*10^62*r2^2)-8.0446343170894053758449857104985*r2*t-8.0446343170894053758449857104985)*LaguerreL(2, 8.0446343170894053758449857104985*r2*t+8.0446343170894053758449857104985+4.8280949636885638667721853083600*10^(-33)*sqrt(2.7777775719123411344533011625670*10^66-3.7820620906491654902812682940908*10^62*(1.9994556794244724285271525910301*r2*t+1.9994556794244724285271525910301)^2+3.7800034364353023263307641062080*10^62*r2^2)-4.02341217155910653242221082718544*r2)*LaguerreL(1, 1.45914849589304508427400147271161*r2+2.9175027472370254759881486222105*r2*t+2.9175027472370254759881486222105-1.7509783248393843637092160706980*10^(-33)*sqrt(2.7777775719123411344533011625670*10^66-3.7820620906491654902812682940908*10^62*(1.9994556794244724285271525910301*r2*t+1.9994556794244724285271525910301)^2+3.7800034364353023263307641062080*10^62*r2^2))-0.133742760217795150368332821291805e-1*LaguerreL(2, 4.02341217155910653242221082718544*r2+4.8280949636885638667721853083600*10^(-33)*sqrt(2.7777775719123411344533011625670*10^66-3.7820620906491654902812682940908*10^62*(1.9994556794244724285271525910301*r2*t+1.9994556794244724285271525910301)^2+3.7800034364353023263307641062080*10^62*r2^2)-8.0446343170894053758449857104985*r2*t-8.0446343170894053758449857104985)*LaguerreL(6, 8.0446343170894053758449857104985*r2*t+8.0446343170894053758449857104985+4.8280949636885638667721853083600*10^(-33)*sqrt(2.7777775719123411344533011625670*10^66-3.7820620906491654902812682940908*10^62*(1.9994556794244724285271525910301*r2*t+1.9994556794244724285271525910301)^2+3.7800034364353023263307641062080*10^62*r2^2)-4.02341217155910653242221082718544*r2)*LaguerreL(0, 1.45914849589304508427400147271161*r2+2.9175027472370254759881486222105*r2*t+2.9175027472370254759881486222105-1.7509783248393843637092160706980*10^(-33)*sqrt(2.7777775719123411344533011625670*10^66-3.7820620906491654902812682940908*10^62*(1.9994556794244724285271525910301*r2*t+1.9994556794244724285271525910301)^2+3.7800034364353023263307641062080*10^62*r2^2))-0.124646024441877245934278817175399e-1*LaguerreL(7, 4.02341217155910653242221082718544*r2+4.8280949636885638667721853083600*10^(-33)*sqrt(2.7777775719123411344533011625670*10^66-3.7820620906491654902812682940908*10^62*(1.9994556794244724285271525910301*r2*t+1.9994556794244724285271525910301)^2+3.7800034364353023263307641062080*10^62*r2^2)-8.0446343170894053758449857104985*r2*t-8.0446343170894053758449857104985)*LaguerreL(1, 8.0446343170894053758449857104985*r2*t+8.0446343170894053758449857104985+4.8280949636885638667721853083600*10^(-33)*sqrt(2.7777775719123411344533011625670*10^66-3.7820620906491654902812682940908*10^62*(1.9994556794244724285271525910301*r2*t+1.9994556794244724285271525910301)^2+3.7800034364353023263307641062080*10^62*r2^2)-4.02341217155910653242221082718544*r2)*LaguerreL(0, 1.45914849589304508427400147271161*r2+2.9175027472370254759881486222105*r2*t+2.9175027472370254759881486222105-1.7509783248393843637092160706980*10^(-33)*sqrt(2.7777775719123411344533011625670*10^66-3.7820620906491654902812682940908*10^62*(1.9994556794244724285271525910301*r2*t+1.9994556794244724285271525910301)^2+3.7800034364353023263307641062080*10^62*r2^2))+0.25938291864391639374363194026939e-4*LaguerreL(0, 4.02341217155910653242221082718544*r2+4.8280949636885638667721853083600*10^(-33)*sqrt(2.7777775719123411344533011625670*10^66-3.7820620906491654902812682940908*10^62*(1.9994556794244724285271525910301*r2*t+1.9994556794244724285271525910301)^2+3.7800034364353023263307641062080*10^62*r2^2)-8.0446343170894053758449857104985*r2*t-8.0446343170894053758449857104985)*LaguerreL(0, 8.0446343170894053758449857104985*r2*t+8.0446343170894053758449857104985+4.8280949636885638667721853083600*10^(-33)*sqrt(2.7777775719123411344533011625670*10^66-3.7820620906491654902812682940908*10^62*(1.9994556794244724285271525910301*r2*t+1.9994556794244724285271525910301)^2+3.7800034364353023263307641062080*10^62*r2^2)-4.02341217155910653242221082718544*r2)*LaguerreL(3, 1.45914849589304508427400147271161*r2+2.9175027472370254759881486222105*r2*t+2.9175027472370254759881486222105-1.7509783248393843637092160706980*10^(-33)*sqrt(2.7777775719123411344533011625670*10^66-3.7820620906491654902812682940908*10^62*(1.9994556794244724285271525910301*r2*t+1.9994556794244724285271525910301)^2+3.7800034364353023263307641062080*10^62*r2^2))-0.834101393504772023858509062526214e-1*LaguerreL(1, 4.02341217155910653242221082718544*r2+4.8280949636885638667721853083600*10^(-33)*sqrt(2.7777775719123411344533011625670*10^66-3.7820620906491654902812682940908*10^62*(1.9994556794244724285271525910301*r2*t+1.9994556794244724285271525910301)^2+3.7800034364353023263307641062080*10^62*r2^2)-8.0446343170894053758449857104985*r2*t-8.0446343170894053758449857104985)*LaguerreL(1, 8.0446343170894053758449857104985*r2*t+8.0446343170894053758449857104985+4.8280949636885638667721853083600*10^(-33)*sqrt(2.7777775719123411344533011625670*10^66-3.7820620906491654902812682940908*10^62*(1.9994556794244724285271525910301*r2*t+1.9994556794244724285271525910301)^2+3.7800034364353023263307641062080*10^62*r2^2)-4.02341217155910653242221082718544*r2)*LaguerreL(0, 1.45914849589304508427400147271161*r2+2.9175027472370254759881486222105*r2*t+2.9175027472370254759881486222105-1.7509783248393843637092160706980*10^(-33)*sqrt(2.7777775719123411344533011625670*10^66-3.7820620906491654902812682940908*10^62*(1.9994556794244724285271525910301*r2*t+1.9994556794244724285271525910301)^2+3.7800034364353023263307641062080*10^62*r2^2))+0.33791232896680474967084353756863e-4*LaguerreL(2, 4.02341217155910653242221082718544*r2+4.8280949636885638667721853083600*10^(-33)*sqrt(2.7777775719123411344533011625670*10^66-3.7820620906491654902812682940908*10^62*(1.9994556794244724285271525910301*r2*t+1.9994556794244724285271525910301)^2+3.7800034364353023263307641062080*10^62*r2^2)-8.0446343170894053758449857104985*r2*t-8.0446343170894053758449857104985)*LaguerreL(0, 8.0446343170894053758449857104985*r2*t+8.0446343170894053758449857104985+4.8280949636885638667721853083600*10^(-33)*sqrt(2.7777775719123411344533011625670*10^66-3.7820620906491654902812682940908*10^62*(1.9994556794244724285271525910301*r2*t+1.9994556794244724285271525910301)^2+3.7800034364353023263307641062080*10^62*r2^2)-4.02341217155910653242221082718544*r2)*LaguerreL(4, 1.45914849589304508427400147271161*r2+2.9175027472370254759881486222105*r2*t+2.9175027472370254759881486222105-1.7509783248393843637092160706980*10^(-33)*sqrt(2.7777775719123411344533011625670*10^66-3.7820620906491654902812682940908*10^62*(1.9994556794244724285271525910301*r2*t+1.9994556794244724285271525910301)^2+3.7800034364353023263307641062080*10^62*r2^2))+0.33791232896680474967084353756863e-4*LaguerreL(0, 4.02341217155910653242221082718544*r2+4.8280949636885638667721853083600*10^(-33)*sqrt(2.7777775719123411344533011625670*10^66-3.7820620906491654902812682940908*10^62*(1.9994556794244724285271525910301*r2*t+1.9994556794244724285271525910301)^2+3.7800034364353023263307641062080*10^62*r2^2)-8.0446343170894053758449857104985*r2*t-8.0446343170894053758449857104985)*LaguerreL(2, 8.0446343170894053758449857104985*r2*t+8.0446343170894053758449857104985+4.8280949636885638667721853083600*10^(-33)*sqrt(2.7777775719123411344533011625670*10^66-3.7820620906491654902812682940908*10^62*(1.9994556794244724285271525910301*r2*t+1.9994556794244724285271525910301)^2+3.7800034364353023263307641062080*10^62*r2^2)-4.02341217155910653242221082718544*r2)*LaguerreL(4, 1.45914849589304508427400147271161*r2+2.9175027472370254759881486222105*r2*t+2.9175027472370254759881486222105-1.7509783248393843637092160706980*10^(-33)*sqrt(2.7777775719123411344533011625670*10^66-3.7820620906491654902812682940908*10^62*(1.9994556794244724285271525910301*r2*t+1.9994556794244724285271525910301)^2+3.7800034364353023263307641062080*10^62*r2^2))+0.634911376053429993917314307918558e-2*LaguerreL(2, 4.02341217155910653242221082718544*r2+4.8280949636885638667721853083600*10^(-33)*sqrt(2.7777775719123411344533011625670*10^66-3.7820620906491654902812682940908*10^62*(1.9994556794244724285271525910301*r2*t+1.9994556794244724285271525910301)^2+3.7800034364353023263307641062080*10^62*r2^2)-8.0446343170894053758449857104985*r2*t-8.0446343170894053758449857104985)*LaguerreL(2, 8.0446343170894053758449857104985*r2*t+8.0446343170894053758449857104985+4.8280949636885638667721853083600*10^(-33)*sqrt(2.7777775719123411344533011625670*10^66-3.7820620906491654902812682940908*10^62*(1.9994556794244724285271525910301*r2*t+1.9994556794244724285271525910301)^2+3.7800034364353023263307641062080*10^62*r2^2)-4.02341217155910653242221082718544*r2)*LaguerreL(1, 1.45914849589304508427400147271161*r2+2.9175027472370254759881486222105*r2*t+2.9175027472370254759881486222105-1.7509783248393843637092160706980*10^(-33)*sqrt(2.7777775719123411344533011625670*10^66-3.7820620906491654902812682940908*10^62*(1.9994556794244724285271525910301*r2*t+1.9994556794244724285271525910301)^2+3.7800034364353023263307641062080*10^62*r2^2))+0.682149512039445586033012549030187e-2*LaguerreL(3, 4.02341217155910653242221082718544*r2+4.8280949636885638667721853083600*10^(-33)*sqrt(2.7777775719123411344533011625670*10^66-3.7820620906491654902812682940908*10^62*(1.9994556794244724285271525910301*r2*t+1.9994556794244724285271525910301)^2+3.7800034364353023263307641062080*10^62*r2^2)-8.0446343170894053758449857104985*r2*t-8.0446343170894053758449857104985)*LaguerreL(1, 8.0446343170894053758449857104985*r2*t+8.0446343170894053758449857104985+4.8280949636885638667721853083600*10^(-33)*sqrt(2.7777775719123411344533011625670*10^66-3.7820620906491654902812682940908*10^62*(1.9994556794244724285271525910301*r2*t+1.9994556794244724285271525910301)^2+3.7800034364353023263307641062080*10^62*r2^2)-4.02341217155910653242221082718544*r2)*LaguerreL(1, 1.45914849589304508427400147271161*r2+2.9175027472370254759881486222105*r2*t+2.9175027472370254759881486222105-1.7509783248393843637092160706980*10^(-33)*sqrt(2.7777775719123411344533011625670*10^66-3.7820620906491654902812682940908*10^62*(1.9994556794244724285271525910301*r2*t+1.9994556794244724285271525910301)^2+3.7800034364353023263307641062080*10^62*r2^2))+0.682149512039445586033012549030187e-2*LaguerreL(1, 4.02341217155910653242221082718544*r2+4.8280949636885638667721853083600*10^(-33)*sqrt(2.7777775719123411344533011625670*10^66-3.7820620906491654902812682940908*10^62*(1.9994556794244724285271525910301*r2*t+1.9994556794244724285271525910301)^2+3.7800034364353023263307641062080*10^62*r2^2)-8.0446343170894053758449857104985*r2*t-8.0446343170894053758449857104985)*LaguerreL(3, 8.0446343170894053758449857104985*r2*t+8.0446343170894053758449857104985+4.8280949636885638667721853083600*10^(-33)*sqrt(2.7777775719123411344533011625670*10^66-3.7820620906491654902812682940908*10^62*(1.9994556794244724285271525910301*r2*t+1.9994556794244724285271525910301)^2+3.7800034364353023263307641062080*10^62*r2^2)-4.02341217155910653242221082718544*r2)*LaguerreL(1, 1.45914849589304508427400147271161*r2+2.9175027472370254759881486222105*r2*t+2.9175027472370254759881486222105-1.7509783248393843637092160706980*10^(-33)*sqrt(2.7777775719123411344533011625670*10^66-3.7820620906491654902812682940908*10^62*(1.9994556794244724285271525910301*r2*t+1.9994556794244724285271525910301)^2+3.7800034364353023263307641062080*10^62*r2^2))+0.54080275808092416317543801168991e-5*LaguerreL(0, 4.02341217155910653242221082718544*r2+4.8280949636885638667721853083600*10^(-33)*sqrt(2.7777775719123411344533011625670*10^66-3.7820620906491654902812682940908*10^62*(1.9994556794244724285271525910301*r2*t+1.9994556794244724285271525910301)^2+3.7800034364353023263307641062080*10^62*r2^2)-8.0446343170894053758449857104985*r2*t-8.0446343170894053758449857104985)*LaguerreL(0, 8.0446343170894053758449857104985*r2*t+8.0446343170894053758449857104985+4.8280949636885638667721853083600*10^(-33)*sqrt(2.7777775719123411344533011625670*10^66-3.7820620906491654902812682940908*10^62*(1.9994556794244724285271525910301*r2*t+1.9994556794244724285271525910301)^2+3.7800034364353023263307641062080*10^62*r2^2)-4.02341217155910653242221082718544*r2)*LaguerreL(5, 1.45914849589304508427400147271161*r2+2.9175027472370254759881486222105*r2*t+2.9175027472370254759881486222105-1.7509783248393843637092160706980*10^(-33)*sqrt(2.7777775719123411344533011625670*10^66-3.7820620906491654902812682940908*10^62*(1.9994556794244724285271525910301*r2*t+1.9994556794244724285271525910301)^2+3.7800034364353023263307641062080*10^62*r2^2)))^2*(exp(-.7295742479465225421370007363558*r2-3.9526058012688716849175772730110*10^(-33)*sqrt(2.7777775719123411344533011625670*10^66-3.7820620906491654902812682940908*10^62*(1.9994556794244724285271525910301*r2*t+1.9994556794244724285271525910301)^2+3.7800034364353023263307641062080*10^62*r2^2)-1.4587513736185127379940743111053*r2*t-1.4587513736185127379940743111053))^2*(1.9994556794244724285271525910301*r2*t+1.9994556794244724285271525910301)*r2*sqrt(2.7777775719123411344533011625670*10^66-3.7820620906491654902812682940908*10^62*(1.9994556794244724285271525910301*r2*t+1.9994556794244724285271525910301)^2+3.7800034364353023263307641062080*10^62*r2^2)/sqrt(.24999998147211070210079710463104-0.34038558815842489412531414646819e-4*(1.9994556794244724285271525910301*r2*t+1.9994556794244724285271525910301)^2+0.34020030927917720936976876955873e-4*r2^2):

expr1:=expand(%):

a1:=2000/4001:
a2:=2000/4001:
a3:=1/4001:

eee:=(expr1*r2)/(a2+a3):

#
# The integrand can be simplified, and while that might help with the execution time
# it will not necessarily help accuracy or roundoff issues. Using `simplify` with no
# options may even hurt, wrt to roundoff issues.
#
# Using `simplify(...,size)` is both faster than just `simplify(...)` and produces
# less of the very large and very small exponents on the coeffcients, which is likely
# better for not introducing even more roundoff issues.
#
# But the faster methodologies of using operator form for both inner and outer integral
# (alongside a balanced approach of relaxing the outer tolerance while the inner
# tolerance is only as fine as needed for the outer integartion to succeed quickly) are
# so quicky that even the cost of `simplify(...)` size is too much. That aspect may
# well differ, for other examples.
#
# To try and get fair timing results I use the `forget` command to try and wipe
# out previous stored results from internal procedure's remember-tables.
#

#
# I suepect that the result computed in this next way is actually accurate to about 17-18
# decimal digits. You may be able to assess the degree to which the other methods' result
# below it are satisfactory, based on this.
#
forget(evalf); forget(simplify); forget(`evalf/int`);
igrand:=CodeTools:-Usage(simplify(eee,size)):
Digits:=32;
CodeTools:-Usage(evalf(Int(R2->evalf(eval(Int('unapply'(igrand,t),-a2..a2,epsilon=1e-20),r2=R2)),0..1/a2,epsilon=1e-18))): evalf[18](%);
Digits:=32:

memory used=129.03MiB, alloc change=32.00MiB, cpu time=928.00ms, real time=901.00ms, gc time=104.00ms

32

memory used=4.33GiB, alloc change=40.00MiB, cpu time=17.58s, real time=16.40s, gc time=2.60s

.266839777232154332

#
# If you only need about 9-10 correct decimal digits, which is pretty much all that
# `Quadrature` was giving you, then this first approach is far the fastest.
#
forget(evalf); forget(simplify); forget(`evalf/int`);
Digits:=15;
igrand:=eee:
CodeTools:-Usage(evalf(Int(R2->evalf(eval(Int('unapply'(igrand,t),-a2..a2,epsilon=1e-11),r2=R2)),0..1/a2,epsilon=1e-9))): evalf[9](%);
Digits:=32;

15

memory used=42.51MiB, alloc change=0 bytes, cpu time=236.00ms, real time=219.00ms, gc time=40.00ms

.266839777

32

forget(evalf); forget(simplify); forget(`evalf/int`);
igrand:=CodeTools:-Usage(simplify(eee,size)):
Digits:=15;
CodeTools:-Usage(evalf(Int(R2->evalf(eval(Int('unapply'(igrand,t),-a2..a2,epsilon=1e-11),r2=R2)),0..1/a2,epsilon=1e-9))): evalf[10](%);
Digits:=32:

memory used=124.96MiB, alloc change=0 bytes, cpu time=848.00ms, real time=817.00ms, gc time=80.00ms

15

memory used=6.57MiB, alloc change=0 bytes, cpu time=60.00ms, real time=61.00ms, gc time=0ns

.2668397772

forget(evalf); forget(simplify); forget(`evalf/int`);
igrand:=eee: #CodeTools:-Usage(simplify(eee,size)):
Digits:=15;
CodeTools:-Usage(evalf(Int(R2->evalf(eval(Int('unapply'(igrand,t),-a2..a2,digits=15,epsilon=1e-13),r2=R2)),0..1/a2,digits=16,epsilon=1e-11))): evalf[12](%);
Digits:=32;

15

memory used=97.00MiB, alloc change=0 bytes, cpu time=512.00ms, real time=493.00ms, gc time=40.00ms

.266839777231

32

#
# None of the methods below get more than about 10-11 accurate decimal digits.
# So, overall, they are slower and not more accurate.
#
partitions:=35:
methods:=boole:

forget(evalf); forget(simplify); forget(`evalf/int`);
igrand:=CodeTools:-Usage(simplify(eee)):
CodeTools:-Usage(Quadrature(Quadrature(igrand,t=-a2..a2,partition=partitions,method=methods),r2=0..1/a2,partition=partitions,method=methods));

memory used=71.17MiB, alloc change=0 bytes, cpu time=396.00ms, real time=382.00ms, gc time=36.00ms

memory used=1.95GiB, alloc change=0 bytes, cpu time=7.81s, real time=7.36s, gc time=952.00ms

.26683977722550432669157299502267

forget(evalf); forget(simplify); forget(`evalf/int`);
igrand:=CodeTools:-Usage(simplify(simplify(combine(eee)),size) assuming r2>0, r2<1/a2, t>-a2, t<a2):
CodeTools:-Usage(Quadrature(Quadrature(igrand,t=-a2..a2,partition=partitions,method=methods),r2=0..1/a2,partition=partitions,method=methods));

memory used=251.78MiB, alloc change=0 bytes, cpu time=1.68s, real time=1.65s, gc time=216.00ms

memory used=1.09GiB, alloc change=0 bytes, cpu time=4.49s, real time=4.17s, gc time=708.00ms

.26683977722550432669157299399631

forget(evalf); forget(simplify); forget(`evalf/int`);
igrand:=CodeTools:-Usage(simplify(eee,size)):
CodeTools:-Usage(Quadrature(Quadrature(igrand,t=-a2..a2,partition=partitions,method=methods),r2=0..1/a2,partition=partitions,method=methods));

memory used=124.87MiB, alloc change=0 bytes, cpu time=876.00ms, real time=835.00ms, gc time=88.00ms

memory used=1.23GiB, alloc change=0 bytes, cpu time=5.26s, real time=4.90s, gc time=784.00ms

.26683977722550432669157299399644

forget(evalf); forget(simplify); forget(`evalf/int`);
igrand:=CodeTools:-Usage(simplify(eee,size)):
Digits:=15;
CodeTools:-Usage(Quadrature(Quadrature(igrand,t=-a2..a2,partition=partitions,method=methods),r2=0..1/a2,partition=partitions,method=methods));
Digits:=32;

memory used=124.92MiB, alloc change=0 bytes, cpu time=872.00ms, real time=836.00ms, gc time=84.00ms

15

memory used=0.84GiB, alloc change=0 bytes, cpu time=3.32s, real time=3.13s, gc time=420.00ms

.266839777252115

32

 


Download L_sum_int_2.mw

You can have a Maple procedure open an interactive file-manager dialogue (popup) to allow you two browse directories and/or filenames.

And the resulting fully qualified filename (location) can be used for the plot export.

Is this along the lines you are thinking?


restart;

plotsetup(); # original settings

preplot = "", postplot = "", plotdevice = inline, plotoutput = terminal, plotoptions = ""

plotexport:=module()
  local ModuleApply, maplet;

  maplet:=Maplets:-Elements:-Maplet(Maplets:-Elements:-FileDialog['FD1'](
    ':-onapprove' = Maplets:-Elements:-Shutdown(['FD1']),
    ':-oncancel' = Maplets:-Elements:-Shutdown()
  )):

  ModuleApply:=proc( P::specfunc(:-anything,{:-PLOT,:-PLOT3D,:-ISOSURFACE}),
                     device::string:="jpeg",
                     {filename::string:=""} )
                 local fn, orig, worig;
                 orig:=select(type,[plotsetup()],
                                    identical(':-plotoutput',':-plotoptions',
                                              ':-plotdevice')=anything);
                 fn:=Maplets:-Display(maplet);
                 if fn::list and nops(fn)>0 and fn[1]::string then
                   worig:=interface(':-warnlevel'=0);
                   fn:=fn[1];
                   try
                     plotsetup(device,':-plotoutput'=fn,_rest);
                     print(P);
                     fclose(fn);
                   catch:
                   finally
                     plotsetup(eval(':-plotdevice',orig),
                               ':-plotoutput'=eval(':-plotoutput',orig),
                               ':-plotoptions'=eval(':-plotoptions',orig));
                     interface(':-warnlevel'=worig);
                   end try;
                   plotsetup(eval(':-plotdevice',orig),
                               ':-plotoutput'=eval(':-plotoutput',orig),
                               ':-plotoptions'=eval(':-plotoptions',orig));
                   interface(':-warnlevel'=worig);
                 else
                   return NULL;
                 end if;
                 NULL;
               end proc:
end module:

plotexport(plot(sin),"bmp",plotoptions="height=100,width=400");

plotexport(plot(sin),plotoptions="height=100,width=400"); # jpg

plotsetup(); # original settings restored

preplot = "", postplot = "", plotdevice = inline, plotoutput = terminal, plotoptions = ""

 


Download plotexport.mw

How fancy do you want it? Do you want additional panels in the popup, to allow you to enter the resolution? And to pick the image format from a menu?

I don't think that the usual methods will allow us to augment the context-menu that appears when right-clicking on an inlined plot. That could be a nice finishing touch.

acer

Are you typing in end proc (or just end) to terminate the proc ?

Are you hitting the Enter key too early, before you terminate the proc with an end or end proc?  If you want to type in a procedure as multi-line text then use Ctl-Enter (or Cmd-Enter on OSX) instead of Enter in order to move the input prompt to a new line below.

How about using the Green up-arrow here to attach an example of your failed attempt in a worksheet?

acer

Your integrand is a polynomial in omega and in that sense its coefficients are functions of only x.

If you integrate this polynomial (in omega) term by term with respect to x then the result will be a new polynomial in omega where each coefficient is the integral (wrt x) of the previous polynomial (integrand).

In other words, you start with A*omega^2+B*omega+C where A, B, and C are each expressions in terms of just x. You want to approximate Int(  A*omega^2+B*omega+C, x=0..L ) . So If you form that instead as  omega^2*Int(A,x=0..L) + omega*Int(B,x=0..L) + Int(C,x=0..L) then the integrals can be computed purely numerically.

It remains to program that. There are several ways to get it. I'll do it first by constructing the target polymial (with Int coefficient) explicitly, to try and make things clear.

restart

Digits := 15:
 

``

ee := H22*x*(cos(varepsilon*((1/2)*L-x)/R)+kappa*cosh(varepsilon*((1/2)*L-x)/R)):

type(collect(ee, omega), polynom(anything, omega))

true

plist := PolynomialTools:-CoefficientList(collect(ee, omega), omega); -1; newerint := add(w^(i-1)*(Int(simplify(plist[i]), x = 0 .. L)), i = 1 .. nops(plist)); -1; CodeTools:-Usage(evalf(newerint))

0.193138121006038e-11-0.295229265242607e-29*w^2

NULL

Download approxint.mw

The final line of that took less than 1 second to compute on my Intel i5 running 64bit Maple 2016.0 for Linux.

It turns out that applying simplify to the integral (after collecting wrt omega) will also produce the target form that computes quickly. But I think it still helps to understand that it can be formed explicitly as above. So, after the assigment of the integrand to name ee, those later steps could alternatively just be done as,

newint := CodeTools:-Usage( simplify(map(Int, collect(ee, omega), x = 0 .. L)) ):

memory used=15.31MiB, alloc change=0 bytes, cpu time=116.00ms, real time=119.00ms, gc time=16.00ms

type(%, polynom(anything, omega));

                              true

CodeTools:-Usage( evalf(newint) );

memory used=367.94KiB, alloc change=0 bytes, cpu time=0ns, real time=3.00ms, gc time=0ns

                              -30      2                      -12
          -2.95229265242607 10    omega  + 1.93138121006038 10   

acer

This is a frequently asked question.

restart:                        

ode := diff(f(x), x) = 2*x+6:   
init := f(0) = 12:              

sol:=dsolve({init, ode});       
                                                               2
                                                sol := f(x) = x  + 6 x + 12

g := unapply(rhs(sol)*exp(x),x);
                                                          2
                                              g := x -> (x  + 6 x + 12) exp(x)

g(2);                           
                                                         28 exp(2)

# Or...
f:=unapply(rhs(sol),x);
                                                             2
                                                  f := x -> x  + 6 x + 12

g:=x->f(x)*exp(x);
                                                   g := x -> f(x) exp(x)

f(2);
                                                             28

g(2);
                                                         28 exp(2)

acer

I have mostly kept your basic structure, as you are trying stuff out. That's fine, of course.

I did pull the call to `rand` outside of the procedure body. But you could also declare `r` as another local of `dice`, and have the assignment to `r` be inside the procedure. Both these ways will work.

Note that the call rand(1..2) returns a procedure, which can itself be called to generate random values. But if you assign the proc returned by rand(1..2) to some name and then you also assign a random value (1 or 2, produced by it) to that very same name then you are clobbering the name and you won't be able to generate more than one random value. So I use two names below, `r` and `roll`.

You forgot the end proc in your code.

restart;

randomize():

r := rand(1..2):

r(), r(), r(), r(), r();

                                2, 1, 2, 1, 1

dice:=proc()
local count, i, roll;
  count:=0:
  for i from 1 to 10000 do
    roll:=r();
    if (roll=1) then count:=count+1 end if;
  end do;
  return count;  
end proc:

dice();

                                    4986

dice();

                                    5047

You could compare these:

plot(x^2,x=0..1);

plot(x^2,x=0..1,axis=[thickness=3,tickmarks=[thickness=3]]);

plot(x^2,x=0..1,thickness=3,axis=[thickness=3,tickmarks=[thickness=3]]);

acer

First 214 215 216 217 218 219 220 Last Page 216 of 339