acer

32587 Reputation

29 Badges

20 years, 37 days
Ontario, Canada

Social Networks and Content at Maplesoft.com

MaplePrimes Activity


These are answers submitted by acer

You could use the Explore command for this.

For example (and without going all-out for optimizing it),

Explore_anim_ex.mw

Your followup example can be done as follows:

restart;

xA := 4: yA := 10: xB := 0:
yB := 0: xC := 13: yC := 0:
Mat := Matrix(3, 3, [xA, xB, xC, yA, yB, yC, 1, 1, 1]);

Matrix(3, 3, {(1, 1) = 4, (1, 2) = 0, (1, 3) = 13, (2, 1) = 10, (2, 2) = 0, (2, 3) = 0, (3, 1) = 1, (3, 2) = 1, (3, 3) = 1})

eta := (x,y,z) -> Mat . <x,y,z>:

eta(9/25,144/325,64/325);

Vector(3, {(1) = 4, (2) = 18/5, (3) = 1})

Download Jamet_1.mw

Yes, you can construct a reusable procedure from your expression involving the functions in the dsolve solution.

I cannot tell whether you want epsilon and omega*t (as you've written in your Question text) or varepsilon and `&omega;t` as you've used in the parameters list in your worksheet. I guess that it's the latter, but I've set it up below so that you can assign what you want to expr.

restart

with(student)

with(ODETools)

with(plots)

inf := 3

equ1 := alpha*(diff(u[0](y), `$`(y, 3)))-(diff(u[0](y), `$`(y, 2)))-(diff(u[0](y), y))+(M/(m^2+1)+1/K)*u[0](y)+m*M*w[0](y)/(m^2+1)+Gr*theta[0](y)+Gc*C[0](y) = 0

alpha*(diff(diff(diff(u[0](y), y), y), y))-(diff(diff(u[0](y), y), y))-(diff(u[0](y), y))+(M/(m^2+1)+1/K)*u[0](y)+m*M*w[0](y)/(m^2+1)+Gr*theta[0](y)+Gc*C[0](y) = 0

equ2 := alpha*(diff(w[0](y), `$`(y, 3)))-(diff(w[0](y), `$`(y, 2)))-(diff(w[0](y), y))+(M/(m^2+1)+1/K)*w[0](y)+m*M*u[0](y)/(m^2+1) = 0

alpha*(diff(diff(diff(w[0](y), y), y), y))-(diff(diff(w[0](y), y), y))-(diff(w[0](y), y))+(M/(m^2+1)+1/K)*w[0](y)+m*M*u[0](y)/(m^2+1) = 0

equ3 := (1+Nr)*(diff(theta[0](y), `$`(y, 2)))/Pr+diff(theta[0](y), y)+phi*theta[0](y)-phi+Ec*alpha*((diff(u[0](y), y))*(diff(u[0](y), `$`(y, 2)))+(diff(w[0](y), y))*(diff(w[0](y), `$`(y, 2))))-Ec*(diff(u[0](y), y)+diff(w[0](y), y)) = 0

(1+Nr)*(diff(diff(theta[0](y), y), y))/Pr+diff(theta[0](y), y)+phi*theta[0](y)-phi+Ec*alpha*((diff(u[0](y), y))*(diff(diff(u[0](y), y), y))+(diff(w[0](y), y))*(diff(diff(w[0](y), y), y)))-Ec*(diff(u[0](y), y)+diff(w[0](y), y)) = 0

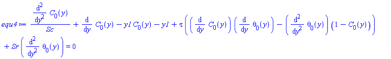
equ4 := (diff(C[0](y), `$`(y, 2)))/Sc+diff(C[0](y), y)-y1*C[0](y)-y1+tau*((diff(C[0](y), y))*(diff(theta[0](y), y))-(diff(theta[0](y), `$`(y, 2)))*(1-C[0](y)))+Sr*(diff(theta[0](y), `$`(y, 2))) = 0

(diff(diff(C[0](y), y), y))/Sc+diff(C[0](y), y)-y1*C[0](y)-y1+tau*((diff(C[0](y), y))*(diff(theta[0](y), y))-(diff(diff(theta[0](y), y), y))*(1-C[0](y)))+Sr*(diff(diff(theta[0](y), y), y)) = 0

parameters := [epsilon = 0.1e-1, A = .3, omega = 10, Gr = 2, Gc = 2, alpha = .2, M = 1.5, m = .6, K = 1, Pr = .72, Nr = .4, Ec = .5, phi = 4, Sc = .62, tau = .2, Sr = .5, y1 = 1, `&omega;t` = 1]

Bcs := u[0](0) = 0, w[0](0) = 0, theta[0](0) = 0, C[0](0) = 0, u[0](inf) = 0, (D(u[0]))(inf) = 0, w[0](inf) = 0, (D(w[0]))(inf) = 0, theta[0](inf) = 1, C[0](inf) = 1

u[0](0) = 0, w[0](0) = 0, theta[0](0) = 0, C[0](0) = 0, u[0](3) = 0, (D(u[0]))(3) = 0, w[0](3) = 0, (D(w[0]))(3) = 0, theta[0](3) = 1, C[0](3) = 1

sys0 := {Bcs, subs(parameters, equ1), subs(parameters, equ2), subs(parameters, equ3), subs(parameters, equ4)}; vars0 := {C[0](y), theta[0](y), u[0](y), w[0](y)}

S0 := dsolve(sys0, vars0, numeric)

proc (x_bvp) local res, data, solnproc, _ndsol, outpoint, i; option `Copyright (c) 2000 by Waterloo Maple Inc. All rights reserved.`; _EnvDSNumericSaveDigits := Digits; Digits := 15; if _EnvInFsolve = true then outpoint := evalf[_EnvDSNumericSaveDigits](x_bvp) else outpoint := evalf(x_bvp) end if; data := Array(1..4, {(1) = proc (outpoint) local X, Y, YP, yout, errproc, L, V, i; option `Copyright (c) 2000 by Waterloo Maple Inc. All rights reserved.`; X := Vector(29, {(1) = .0, (2) = 0.4764837512280975e-1, (3) = 0.9918000578419507e-1, (4) = .15573462618926934, (5) = .2191502524438633, (6) = .29276694154354815, (7) = .3840551784575995, (8) = .5082198923067058, (9) = .6658352457895083, (10) = .9018496485600288, (11) = 1.1956342522374581, (12) = 1.479415810710139, (13) = 1.7343214453395273, (14) = 1.9280537606759844, (15) = 2.076389376123487, (16) = 2.199347440954997, (17) = 2.2979049299287113, (18) = 2.3815173786548876, (19) = 2.4554368318774507, (20) = 2.522412010592352, (21) = 2.584133240052419, (22) = 2.6426800660056236, (23) = 2.698944296942788, (24) = 2.7531737612489353, (25) = 2.8055744446288218, (26) = 2.856319759484308, (27) = 2.905557330219726, (28) = 2.9534140626778385, (29) = 3.0}, datatype = float[8], order = C_order); Y := Matrix(29, 10, {(1, 1) = .0, (1, 2) = -.6571532309647999, (1, 3) = .0, (1, 4) = 1.2752205986029366, (1, 5) = .0, (1, 6) = -1.3789658904808746, (1, 7) = 1.0887815638259104, (1, 8) = .0, (1, 9) = .3399816013672001, (1, 10) = -.31949789409727614, (2, 1) = -0.30290666631022565e-1, (2, 2) = -.6143929774969602, (2, 3) = 0.6208544446871551e-1, (2, 4) = 1.3295395268680124, (2, 5) = -0.6449454480868437e-1, (2, 6) = -1.3286397550860136, (2, 7) = 1.025546578832903, (2, 8) = 0.15838707284889376e-1, (2, 9) = .3248725101276567, (2, 10) = -.3147319290381487, (3, 1) = -0.6077750579202278e-1, (3, 2) = -.5689821577321481, (3, 3) = .13193602367007404, (3, 4) = 1.380002222291473, (3, 5) = -.1316260008234418, (3, 6) = -1.2772881629492343, (3, 7) = .9694808498893099, (3, 8) = 0.3216422458520781e-1, (3, 9) = .3087809643316233, (3, 10) = -.3098467069601366, (4, 1) = -0.9157079538901254e-1, (4, 2) = -.5201750734638452, (4, 3) = .2113158522575776, (4, 4) = 1.4254598117582624, (4, 5) = -.2023397013397963, (4, 6) = -1.2238909080883273, (4, 7) = .9209923029368086, (4, 8) = 0.4913443082654466e-1, (4, 9) = .29140151597676317, (4, 10) = -.30481949876292647, (5, 1) = -.12285694419014155, (5, 2) = -.46675985798149744, (5, 3) = .3030068662729636, (5, 4) = 1.4641293453512445, (5, 5) = -.27813092691076796, (5, 6) = -1.1668356558684372, (5, 7) = .8807139666767113, (5, 8) = 0.670044910663936e-1, (5, 9) = .27223906507604484, (5, 10) = -.29959740171350363, (6, 1) = -.15498916926339218, (6, 2) = -.40651757809610567, (6, 3) = .4119554950927228, (6, 4) = 1.4928980051445542, (6, 5) = -.36167451938895323, (6, 6) = -1.1032354694355144, (6, 7) = .8497322315915659, (6, 8) = 0.8623913231220558e-1, (6, 9) = .2503908355847007, (6, 10) = -.2940604040404058, (7, 1) = -.18878785127017067, (7, 2) = -.3344487295840515, (7, 3) = .5489905763869378, (7, 4) = 1.5050889795406681, (7, 5) = -.45887981362121594, (7, 6) = -1.026693570676944, (7, 7) = .8302913540841366, (7, 8) = .10788039997810558, (7, 9) = .22383337770798942, (7, 10) = -.28789715793173876, (8, 1) = -.2244595046319775, (8, 2) = -.2409979256644272, (8, 3) = .7348871602747166, (8, 4) = 1.481850378196929, (8, 5) = -.5799782019434032, (8, 6) = -.9239433659508908, (8, 7) = .8287457984598562, (8, 8) = .1334729808921677, (8, 9) = .18855525261424055, (8, 10) = -.280513182767698, (9, 1) = -.25355653066221895, (9, 2) = -.1294797410927039, (9, 3) = .9621939568224195, (9, 4) = 1.3918569832654433, (9, 5) = -.7152347050967018, (9, 6) = -.7917041619180502, (9, 7) = .852768652816754, (9, 8) = .15974321863514648, (9, 9) = .1450099131148504, (9, 10) = -.2721609935917048, (10, 1) = -.2656457151378005, (10, 2) = 0.24741483400362908e-1, (10, 3) = 1.2645470261233065, (10, 4) = 1.1518116850168971, (10, 5) = -.877824850384576, (10, 6) = -.5837795865647015, (10, 7) = .9110742965731636, (10, 8) = .18649989633333794, (10, 9) = 0.8221061200213756e-1, (10, 10) = -.2598348199097095, (11, 1) = -.23215478836746065, (11, 2) = .20091996757305225, (11, 3) = 1.5438458485846276, (11, 4) = .7338999642519115, (11, 5) = -1.0089467794266596, (11, 6) = -.30539813761406603, (11, 7) = .9815597203788858, (11, 8) = .19969138761953756, (11, 9) = 0.852670273449549e-2, (11, 10) = -.24068101029061337, (12, 1) = -.15225394974285683, (12, 2) = .3610283645182651, (12, 3) = 1.6881972576001256, (12, 4) = .2823887731328113, (12, 5) = -1.05532729785516, (12, 6) = -0.1890742380907928e-1, (12, 7) = 1.036238630879581, (12, 8) = .19274905359727917, (12, 9) = -0.56168513095079434e-1, (12, 10) = -.2134134764963262, (13, 1) = -0.424050136332453e-1, (13, 2) = .5003211270713286, (13, 3) = 1.710441587403355, (13, 4) = -0.9966876001660807e-1, (13, 5) = -1.0259452523323116, (13, 6) = .2516775085612018, (13, 7) = 1.089240662024444, (13, 8) = .17185452756300146, (13, 9) = -.1062324770139773, (13, 10) = -.17711667766500058, (14, 1) = 0.6461496089881263e-1, (14, 2) = .6042247877667952, (14, 3) = 1.6665371578123598, (14, 4) = -.34546245572958756, (14, 5) = -.9564300154698259, (14, 6) = .46770835977188635, (14, 7) = 1.1431606897960198, (14, 8) = .1481729858929615, (14, 9) = -.13700751749567985, (14, 10) = -.1387546612429685, (15, 1) = .16006651501495284, (15, 2) = .6825387495538708, (15, 3) = 1.6036207467011667, (15, 4) = -.49700237941883024, (15, 5) = -.8743053745553221, (15, 6) = .6407133954766253, (15, 7) = 1.188954506737321, (15, 8) = .12645444377936346, (15, 9) = -.15488808091363082, (15, 10) = -.1009371193035202, (16, 1) = .2479276061176529, (16, 2) = .7464035211340818, (16, 3) = 1.5362298152493445, (16, 4) = -.594760068351871, (16, 5) = -.7864577085560766, (16, 6) = .7887295147907437, (16, 7) = 1.214721406615317, (16, 8) = .10673893959370451, (16, 9) = -.16501260792322994, (16, 10) = -0.6256061077931574e-1, (17, 1) = .32397812408296867, (17, 2) = .7967250039998349, (17, 3) = 1.4745659743228108, (17, 4) = -.6536102486223789, (17, 5) = -.7028210146157997, (17, 6) = .908352316664781, (17, 7) = 1.2060018625765783, (17, 8) = 0.9022857987842911e-1, (17, 9) = -.16942962879544066, (17, 10) = -0.26139780407779277e-1, (18, 1) = .3923532978492837, (18, 2) = .8386775800408796, (18, 3) = 1.4183262846253795, (18, 4) = -.6894580936446996, (18, 5) = -.6227011105149162, (18, 6) = 1.0073779041159685, (18, 7) = 1.1531677982685562, (18, 8) = 0.7601100455992367e-1, (18, 9) = -.17015511090878666, (18, 10) = 0.9614571625649953e-2, (19, 1) = .45569816186584833, (19, 2) = .8750977435344994, (19, 3) = 1.3665320956333165, (19, 4) = -.7101814307296777, (19, 5) = -.5451685109471391, (19, 6) = 1.0890398625499393, (19, 7) = 1.0436910341613246, (19, 8) = 0.6349139968223397e-1, (19, 9) = -.1681350131374417, (19, 10) = 0.4585886743909985e-1, (20, 1) = .5153953996847992, (20, 2) = .9074607705931852, (20, 3) = 1.3185925543605255, (20, 4) = -.7199408843738337, (20, 5) = -.47000702689398455, (20, 6) = 1.1533959267933076, (20, 7) = .8618613407607901, (20, 8) = 0.5236056271341581e-1, (20, 9) = -.16383189841507767, (20, 10) = 0.8351003821055596e-1, (21, 1) = .5723094268856811, (21, 2) = .9366598302616997, (21, 3) = 1.2740787608012947, (21, 4) = -.7212320493149489, (21, 5) = -.3973307328478256, (21, 6) = 1.19878428919615, (21, 7) = .5884082850892653, (21, 8) = 0.4243221082622694e-1, (21, 9) = -.15747255970107737, (21, 10) = .1235405324541541, (22, 1) = .6279431001418098, (22, 2) = .9637123734395614, (22, 3) = 1.2319869959426974, (22, 4) = -.7155158808020756, (22, 5) = -.3263412885494554, (22, 6) = 1.2224057119933003, (22, 7) = .19206713623923236, (22, 8) = 0.3344873828346416e-1, (22, 9) = -.14897668968827282, (22, 10) = .16788950627945667, (23, 1) = .6828812304558374, (23, 2) = .9890316041519266, (23, 3) = 1.1920355566475347, (23, 4) = -.7035591274887398, (23, 5) = -.2575277059352369, (23, 6) = 1.2184485283586337, (23, 7) = -.36700995416679455, (23, 8) = 0.25357945767066455e-1, (23, 9) = -.13814852506996156, (23, 10) = .2185570026691885, (24, 1) = .7371618996149197, (24, 2) = 1.012739778705738, (24, 3) = 1.1543309262410457, (24, 4) = -.6860234834766734, (24, 5) = -.19233636383472016, (24, 6) = 1.1788937308486145, (24, 7) = -1.135719973630813, (24, 8) = 0.18215175568623163e-1, (24, 9) = -.12474424434622591, (24, 10) = .2778051832083451, (25, 1) = .7908159131203225, (25, 2) = 1.0349948579385633, (25, 3) = 1.1189462284502718, (25, 4) = -.6636702854702518, (25, 5) = -.13255709115059316, (25, 6) = 1.0936926776464027, (25, 7) = -2.171983233253839, (25, 8) = 0.12090549175326823e-1, (25, 9) = -.10839869150483636, (25, 10) = .3487016956564506, (26, 1) = .8438730911372802, (26, 2) = 1.056065536817219, (26, 3) = 1.0859133749475847, (26, 4) = -.6376075489231908, (26, 5) = -0.8039914583271743e-1, (26, 6) = .950370580586817, (26, 7) = -3.54700201801331, (26, 8) = 0.7073765304047803e-2, (26, 9) = -0.8859347696834204e-1, (26, 10) = .4353526666451271, (27, 1) = .8963720409652537, (27, 2) = 1.076457448469066, (27, 3) = 1.055200805515843, (27, 4) = -.609686611283182, (27, 5) = -0.3857962654250363e-1, (27, 6) = .7335541161717859, (27, 7) = -5.347920887982388, (27, 8) = 0.3280179502185542e-2, (27, 9) = -0.6461597795004827e-1, (27, 10) = .5431901754690869, (28, 1) = .9483761637562556, (28, 2) = 1.0971225557022584, (28, 3) = 1.0266700013177097, (28, 4) = -.5831365502143019, (28, 5) = -0.10426671324301463e-1, (28, 6) = .42441254185138444, (28, 7) = -7.68094818898052, (28, 8) = 0.8584394907950532e-3, (28, 9) = -0.355076892672331e-1, (28, 10) = .6793251665619271, (29, 1) = 1.0, (29, 2) = 1.119800424508448, (29, 3) = 1.0, (29, 4) = -.563566518084984, (29, 5) = .0, (29, 6) = .0, (29, 7) = -10.675004303979737, (29, 8) = .0, (29, 9) = .0, (29, 10) = .8529786310920415}, datatype = float[8], order = C_order); YP := Matrix(29, 10, {(1, 1) = -.6571532309647999, (1, 2) = .9049964732438295, (1, 3) = 1.2752205986029366, (1, 4) = 1.2169485568805336, (1, 5) = -1.3789658904808746, (1, 6) = 1.0887815638259104, (1, 7) = -1.4509216332748212, (1, 8) = .3399816013672001, (1, 9) = -.31949789409727614, (1, 10) = .10241853634961995, (2, 1) = -.6143929774969602, (2, 2) = .8897299343976853, (2, 3) = 1.3295395268680124, (2, 4) = 1.062883564920427, (2, 5) = -1.3286397550860136, (2, 6) = 1.025546578832903, (2, 7) = -1.2076799774557911, (2, 8) = .3248725101276567, (2, 9) = -.3147319290381487, (2, 10) = 0.9756462421488185e-1, (3, 1) = -.5689821577321481, (3, 2) = .8726235214330679, (3, 3) = 1.380002222291473, (3, 4) = .8955762177064366, (3, 5) = -1.2772881629492343, (3, 6) = .9694808498893099, (3, 7) = -.9730388023766637, (3, 8) = .3087809643316233, (3, 9) = -.3098467069601366, (3, 10) = 0.9200113410429894e-1, (4, 1) = -.5201750734638452, (4, 2) = .8533148252161911, (4, 3) = 1.4254598117582624, (4, 4) = .712097475306315, (4, 5) = -1.2238909080883273, (4, 6) = .9209923029368086, (4, 7) = -.7469783078357055, (4, 8) = .29140151597676317, (4, 9) = -.30481949876292647, (4, 10) = 0.8578236209198187e-1, (5, 1) = -.46675985798149744, (5, 2) = .8312394002691527, (5, 3) = 1.4641293453512445, (5, 4) = .5078396321623073, (5, 5) = -1.1668356558684372, (5, 6) = .8807139666767113, (5, 7) = -.5293488108110036, (5, 8) = .27223906507604484, (5, 9) = -.29959740171350363, (5, 10) = 0.7896195585448362e-1, (6, 1) = -.40651757809610567, (6, 2) = .8054018636518452, (6, 3) = 1.4928980051445542, (6, 4) = .2746111752905287, (6, 5) = -1.1032354694355144, (6, 6) = .8497322315915659, (6, 7) = -.31962832200613756, (6, 8) = .2503908355847007, (6, 9) = -.2940604040404058, (6, 10) = 0.7159020588700127e-1, (7, 1) = -.3344487295840515, (7, 2) = .7736306440831855, (7, 3) = 1.5050889795406681, (7, 4) = -0.555006997948837e-2, (7, 5) = -1.026693570676944, (7, 6) = .8302913540841366, (7, 7) = -.11600926545483281, (7, 8) = .22383337770798942, (7, 9) = -.28789715793173876, (7, 10) = 0.6370274741716853e-1, (8, 1) = -.2409979256644272, (8, 2) = .7320654923831418, (8, 3) = 1.481850378196929, (8, 4) = -.36371953753896946, (8, 5) = -.9239433659508908, (8, 6) = .8287457984598562, (8, 7) = 0.7639727663505713e-1, (8, 8) = .18855525261424055, (8, 9) = -.280513182767698, (8, 10) = 0.5582673341214517e-1, (9, 1) = -.1294797410927039, (9, 2) = .6840559308481143, (9, 3) = 1.3918569832654433, (9, 4) = -.7675813446007185, (9, 5) = -.7917041619180502, (9, 6) = .852768652816754, (9, 7) = .21086863165383507, (9, 8) = .1450099131148504, (9, 9) = -.2721609935917048, (9, 10) = 0.51177058681588505e-1, (10, 1) = 0.24741483400362908e-1, (10, 2) = .6257758402153362, (10, 3) = 1.1518116850168971, (10, 4) = -1.2370944859865411, (10, 5) = -.5837795865647015, (10, 6) = .9110742965731636, (10, 7) = .2604353108990125, (10, 8) = 0.8221061200213756e-1, (10, 9) = -.2598348199097095, (10, 10) = 0.55454923598903694e-1, (11, 1) = .20091996757305225, (11, 2) = .5779925590096556, (11, 3) = .7338999642519115, (11, 4) = -1.5570191327483656, (11, 5) = -.30539813761406603, (11, 6) = .9815597203788858, (11, 7) = .211932383902957, (11, 8) = 0.852670273449549e-2, (11, 9) = -.24068101029061337, (11, 10) = 0.7795909841107784e-1, (12, 1) = .3610283645182651, (12, 2) = .5531505789966782, (12, 3) = .2823887731328113, (12, 4) = -1.5798626858964737, (12, 5) = -0.1890742380907928e-1, (12, 6) = 1.036238630879581, (12, 7) = .1859064970304467, (12, 8) = -0.56168513095079434e-1, (12, 9) = -.2134134764963262, (12, 10) = .11728223928603398, (13, 1) = .5003211270713286, (13, 2) = .5405425004658557, (13, 3) = -0.9966876001660807e-1, (13, 4) = -1.3878876162832547, (13, 5) = .2516775085612018, (13, 6) = 1.089240662024444, (13, 7) = .24310138803220738, (13, 8) = -.1062324770139773, (13, 9) = -.17711667766500058, (13, 10) = .17092620602976494, (14, 1) = .6042247877667952, (14, 2) = .53190426013582, (14, 3) = -.34546245572958756, (14, 4) = -1.136933165847045, (14, 5) = .46770835977188635, (14, 6) = 1.1431606897960198, (14, 7) = .30912610603797097, (14, 8) = -.13700751749567985, (14, 9) = -.1387546612429685, (14, 10) = .22785187978748844, (15, 1) = .6825387495538708, (15, 2) = .5236388056945439, (15, 3) = -.49700237941883024, (15, 4) = -.9011876159220455, (15, 5) = .6407133954766253, (15, 6) = 1.188954506737321, (15, 7) = .2861153176739919, (15, 8) = -.15488808091363082, (15, 9) = -.1009371193035202, (15, 10) = .28416491065220306, (16, 1) = .7464035211340818, (16, 2) = .5148177431935376, (16, 3) = -.594760068351871, (16, 4) = -.6866443184650137, (16, 5) = .7887295147907437, (16, 6) = 1.214721406615317, (16, 7) = 0.9187157104470778e-1, (16, 8) = -.16501260792322994, (16, 9) = -0.6256061077931574e-1, (16, 10) = .3420551217433814, (17, 1) = .7967250039998349, (17, 2) = .5060638107876784, (17, 3) = -.6536102486223789, (17, 4) = -.5066653620132957, (17, 5) = .908352316664781, (17, 6) = 1.2060018625765783, (17, 7) = -.3222642810178007, (17, 8) = -.16942962879544066, (17, 9) = -0.26139780407779277e-1, (17, 10) = .3989366847799536, (18, 1) = .8386775800408796, (18, 2) = .49719052819790677, (18, 3) = -.6894580936446996, (18, 4) = -.3503518082639152, (18, 5) = 1.0073779041159685, (18, 6) = 1.1531677982685562, (18, 7) = -1.0080552849990934, (18, 8) = -.17015511090878666, (18, 9) = 0.9614571625649953e-2, (18, 10) = .4584720333109149, (19, 1) = .8750977435344994, (19, 2) = .4879684499058911, (19, 3) = -.7101814307296777, (19, 4) = -.21002687634419326, (19, 5) = 1.0890398625499393, (19, 6) = 1.0436910341613246, (19, 7) = -2.0364433809780635, (19, 8) = -.1681350131374417, (19, 9) = 0.4585886743909985e-1, (19, 10) = .5248922745044478, (20, 1) = .9074607705931852, (20, 2) = .478197438940471, (20, 3) = -.7199408843738337, (20, 4) = -0.8109560263568616e-1, (20, 5) = 1.1533959267933076, (20, 6) = .8618613407607901, (20, 7) = -3.494859415283271, (20, 8) = -.16383189841507767, (20, 9) = 0.8351003821055596e-1, (20, 10) = .6030050919516848, (21, 1) = .9366598302616997, (21, 2) = .46769750147099654, (21, 3) = -.7212320493149489, (21, 4) = 0.3959014342770839e-1, (21, 5) = 1.19878428919615, (21, 6) = .5884082850892653, (21, 7) = -5.490503910053467, (21, 8) = -.15747255970107737, (21, 9) = .1235405324541541, (21, 10) = .6988749249298197, (22, 1) = .9637123734395614, (22, 2) = .4561683274138185, (22, 3) = -.7155158808020756, (22, 4) = .1559855180275873, (22, 5) = 1.2224057119933003, (22, 6) = .19206713623923236, (22, 7) = -8.206230026349086, (22, 8) = -.14897668968827282, (22, 9) = .16788950627945667, (22, 10) = .8226661720479844, (23, 1) = .9890316041519266, (23, 2) = .44362436060112853, (23, 3) = -.7035591274887398, (23, 4) = .26912803320227274, (23, 5) = 1.2184485283586337, (23, 6) = -.36700995416679455, (23, 7) = -11.868051883828233, (23, 8) = -.13814852506996156, (23, 9) = .2185570026691885, (23, 10) = .9875247794311085, (24, 1) = 1.012739778705738, (24, 2) = .43069899554037483, (24, 3) = -.6860234834766734, (24, 4) = .3770379241770816, (24, 5) = 1.1788937308486145, (24, 6) = -1.135719973630813, (24, 7) = -16.73696997823533, (24, 8) = -.12474424434622591, (24, 9) = .2778051832083451, (24, 10) = 1.2101845668887563, (25, 1) = 1.0349948579385633, (25, 2) = .4191107681730285, (25, 3) = -.6636702854702518, (25, 4) = .47409966568186834, (25, 5) = 1.0936926776464027, (25, 6) = -2.171983233253839, (25, 7) = -23.13528086158218, (25, 8) = -.10839869150483636, (25, 9) = .3487016956564506, (25, 10) = 1.512994474452992, (26, 1) = 1.056065536817219, (26, 2) = .4126299174346185, (26, 3) = -.6376075489231908, (26, 4) = .548123748686909, (26, 5) = .950370580586817, (26, 6) = -3.54700201801331, (26, 7) = -31.459054317627054, (26, 8) = -0.8859347696834204e-1, (26, 9) = .4353526666451271, (26, 10) = 1.9254439722307115, (27, 1) = 1.076457448469066, (27, 2) = .41869815508923575, (27, 3) = -.609686611283182, (27, 4) = .5755686544208851, (27, 5) = .7335541161717859, (27, 6) = -5.347920887982388, (27, 7) = -42.19276243292713, (27, 8) = -0.6461597795004827e-1, (27, 9) = .5431901754690869, (27, 10) = 2.486034040959266, (28, 1) = 1.0971225557022584, (28, 2) = .45108025909512467, (28, 3) = -.5831365502143019, (28, 4) = .5139309456586247, (28, 5) = .42441254185138444, (28, 6) = -7.68094818898052, (28, 7) = -55.92634692888866, (28, 8) = -0.355076892672331e-1, (28, 9) = .6793251665619271, (28, 10) = 3.2445611631241946, (29, 1) = 1.119800424508448, (29, 2) = .5341293031306733, (29, 3) = -.563566518084984, (29, 4) = .2898342092180395, (29, 5) = .0, (29, 6) = -10.675004303979737, (29, 7) = -73.37502151989868, (29, 8) = .0, (29, 9) = .8529786310920415, (29, 10) = 4.264893155460207}, datatype = float[8], order = C_order); errproc := proc (x_bvp) local outpoint, X, Y, yout, L, V, i; option `Copyright (c) 2000 by Waterloo Maple Inc. All rights reserved.`; Digits := 15; outpoint := evalf(x_bvp); X := Vector(29, {(1) = .0, (2) = 0.4764837512280975e-1, (3) = 0.9918000578419507e-1, (4) = .15573462618926934, (5) = .2191502524438633, (6) = .29276694154354815, (7) = .3840551784575995, (8) = .5082198923067058, (9) = .6658352457895083, (10) = .9018496485600288, (11) = 1.1956342522374581, (12) = 1.479415810710139, (13) = 1.7343214453395273, (14) = 1.9280537606759844, (15) = 2.076389376123487, (16) = 2.199347440954997, (17) = 2.2979049299287113, (18) = 2.3815173786548876, (19) = 2.4554368318774507, (20) = 2.522412010592352, (21) = 2.584133240052419, (22) = 2.6426800660056236, (23) = 2.698944296942788, (24) = 2.7531737612489353, (25) = 2.8055744446288218, (26) = 2.856319759484308, (27) = 2.905557330219726, (28) = 2.9534140626778385, (29) = 3.0}, datatype = float[8], order = C_order); Y := Matrix(29, 10, {(1, 1) = .0, (1, 2) = 0.7908381686614293e-8, (1, 3) = .0, (1, 4) = 0.15632972805665916e-7, (1, 5) = .0, (1, 6) = -0.5811696981382195e-8, (1, 7) = 0.873875446961453e-8, (1, 8) = .0, (1, 9) = 0.4621177589311595e-8, (1, 10) = -0.295492376704969e-8, (2, 1) = 0.40124473738754796e-9, (2, 2) = 0.74244439573533446e-8, (2, 3) = 0.7631947235999802e-9, (2, 4) = 0.15182390703680845e-7, (2, 5) = -0.2490222837329256e-9, (2, 6) = -0.5408246329728977e-8, (2, 7) = 0.9525499339779211e-8, (2, 8) = 0.21975093472720526e-9, (2, 9) = 0.4488890918224618e-8, (2, 10) = -0.25424011067324062e-8, (3, 1) = 0.8166837742933197e-9, (3, 2) = 0.6964200382315598e-8, (3, 3) = 0.15668281980134986e-8, (3, 4) = 0.14633692047659321e-7, (3, 5) = -0.4928312840793783e-9, (3, 6) = -0.49325324304305645e-8, (3, 7) = 0.10188405394912638e-7, (3, 8) = 0.4515207068498679e-9, (3, 9) = 0.4368774163445049e-8, (3, 10) = -0.20944583516900633e-8, (4, 1) = 0.1255057551938119e-8, (4, 2) = 0.6527612704162838e-8, (4, 3) = 0.24206204435668278e-8, (4, 4) = 0.13962915883320651e-7, (4, 5) = -0.7258991320244487e-9, (4, 6) = -0.43754412679644764e-8, (4, 7) = 0.10664236256330884e-7, (4, 8) = 0.7006837168722619e-9, (4, 9) = 0.4265178953504415e-8, (4, 10) = -0.1591624472672686e-8, (5, 1) = 0.17309615350084566e-8, (5, 2) = 0.6111193212711629e-8, (5, 3) = 0.3341640996633234e-8, (5, 4) = 0.13133578199976298e-7, (5, 5) = -0.938145974833067e-9, (5, 6) = -0.3726175005917115e-8, (5, 7) = 0.10842558435227913e-7, (5, 8) = 0.9766288130882886e-9, (5, 9) = 0.41863582752873285e-8, (5, 10) = -0.997535263910209e-9, (6, 1) = 0.22720748822713737e-8, (6, 2) = 0.5700323370843547e-8, (6, 3) = 0.4365995559196476e-8, (6, 4) = 0.12086140383081806e-7, (6, 5) = -0.11065801674819022e-8, (6, 6) = -0.29736078657710104e-8, (6, 7) = 0.10532109896254318e-7, (6, 8) = 0.12986372887151177e-8, (6, 9) = 0.4150465961920038e-8, (6, 10) = -0.2313270832872637e-9, (7, 1) = 0.2944290129898957e-8, (7, 2) = 0.5229692422022927e-8, (7, 3) = 0.56032056982408375e-8, (7, 4) = 0.10722173111709774e-7, (7, 5) = -0.11517857118265524e-8, (7, 6) = -0.21210989158638163e-8, (7, 7) = 0.9517635089330097e-8, (7, 8) = 0.1720478527937557e-8, (7, 9) = 0.42084201731317074e-8, (7, 10) = 0.9515791567801605e-9, (8, 1) = 0.3895043021082075e-8, (8, 2) = 0.4411469612836995e-8, (8, 3) = 0.7502562971510461e-8, (8, 4) = 0.9008464267389079e-8, (8, 5) = -0.6557631179071536e-9, (8, 6) = -0.13587367843698818e-8, (8, 7) = 0.9213298958293913e-8, (8, 8) = 0.2437859312989405e-8, (8, 9) = 0.4534707367939607e-8, (8, 10) = 0.35471750139489214e-8, (9, 1) = 0.5163769506879759e-8, (9, 2) = 0.30584377833049274e-8, (9, 3) = 0.10861750797655062e-7, (9, 4) = 0.65569633557319525e-8, (9, 5) = 0.12270856604020938e-8, (9, 6) = 0.2575622925798246e-9, (9, 7) = 0.18087063173328036e-7, (9, 8) = 0.3767384375895568e-8, (9, 9) = 0.5640973956646863e-8, (9, 10) = 0.9721864303065079e-8, (10, 1) = 0.9859125580818409e-8, (10, 2) = -0.31617521472525866e-8, (10, 3) = 0.2157429019859632e-7, (10, 4) = -0.12284307873399372e-7, (10, 5) = 0.1703413995701208e-7, (10, 6) = 0.39346282147055325e-8, (10, 7) = 0.13560367908580574e-6, (10, 8) = 0.7646410674214298e-8, (10, 9) = 0.6566478204426127e-8, (10, 10) = 0.32104926186526606e-7, (11, 1) = 0.2489054976014414e-7, (11, 2) = -0.15725358552658384e-7, (11, 3) = -0.4840638898585704e-8, (11, 4) = -0.8452996351220318e-7, (11, 5) = 0.5593024631352387e-7, (11, 6) = 0.4860463345516569e-8, (11, 7) = 0.26826524651431917e-6, (11, 8) = 0.48641262392464315e-8, (11, 9) = 0.15943096638493338e-8, (11, 10) = 0.36418941152712114e-7, (12, 1) = 0.3037542469762161e-7, (12, 2) = -0.18823913391189073e-7, (12, 3) = -0.6256645822645033e-7, (12, 4) = -0.729123957155314e-7, (12, 5) = 0.4526275564366896e-7, (12, 6) = -0.7273929001773528e-7, (12, 7) = -0.26257404832172675e-6, (12, 8) = -0.35189246997376886e-8, (12, 9) = 0.6911637929147869e-9, (12, 10) = -0.17110522090666447e-8, (13, 1) = 0.28047159893449695e-7, (13, 2) = -0.20079692502315273e-7, (13, 3) = -0.8706166672294592e-7, (13, 4) = -0.10275892274693265e-7, (13, 5) = 0.32985528917080206e-7, (13, 6) = -0.7490243713274253e-7, (13, 7) = -0.2914471328714826e-6, (13, 8) = -0.6581916059279518e-8, (13, 9) = 0.4191831995621753e-8, (13, 10) = -0.20292649453590184e-8, (14, 1) = 0.23333179985567375e-7, (14, 2) = -0.19985165370184327e-7, (14, 3) = -0.8333923469654576e-7, (14, 4) = 0.29300324612939608e-7, (14, 5) = 0.27554649694480465e-7, (14, 6) = -0.5316948264420577e-7, (14, 7) = -0.16130266559789748e-6, (14, 8) = -0.5555974303900935e-8, (14, 9) = 0.5855732121020696e-8, (14, 10) = -0.1305860402602818e-9, (15, 1) = 0.19787960677407015e-7, (15, 2) = -0.20137797145485594e-7, (15, 3) = -0.7604948125818204e-7, (15, 4) = 0.51440293062661625e-7, (15, 5) = 0.2310591999999658e-7, (15, 6) = -0.47757392911799927e-7, (15, 7) = -0.11471589008323795e-6, (15, 8) = -0.44770255267729736e-8, (15, 9) = 0.6333307773121091e-8, (15, 10) = 0.6851717662741964e-9, (16, 1) = 0.16980747348076715e-7, (16, 2) = -0.20445932411749205e-7, (16, 3) = -0.6827341565143402e-7, (16, 4) = 0.6578009147377647e-7, (16, 5) = 0.20744768336632784e-7, (16, 6) = -0.3781954538067549e-7, (16, 7) = -0.4434115073519393e-7, (16, 8) = -0.3637094215739261e-8, (16, 9) = 0.6152422209839833e-8, (16, 10) = -0.154934374249383e-8, (17, 1) = 0.14808750338223121e-7, (17, 2) = -0.2079133144400017e-7, (17, 3) = -0.6117704604012553e-7, (17, 4) = 0.7498917918052231e-7, (17, 5) = 0.1788580417660276e-7, (17, 6) = -0.35645546647380176e-7, (17, 7) = -0.20864371387277545e-7, (17, 8) = -0.3003299811891313e-8, (17, 9) = 0.5943881065564043e-8, (17, 10) = -0.27555247567277977e-8, (18, 1) = 0.12986675148073874e-7, (18, 2) = -0.2110536850533137e-7, (18, 3) = -0.54602447267675264e-7, (18, 4) = 0.8129551341815615e-7, (18, 5) = 0.15097855403677308e-7, (18, 6) = -0.3551469393169732e-7, (18, 7) = -0.11941068642343074e-7, (18, 8) = -0.24853981342449233e-8, (18, 9) = 0.5760900716772829e-8, (18, 10) = -0.33458735253856995e-8, (19, 1) = 0.11379528948653857e-7, (19, 2) = -0.21358638080048852e-7, (19, 3) = -0.4843211828283549e-7, (19, 4) = 0.8571332752661485e-7, (19, 5) = 0.12465056196236931e-7, (19, 6) = -0.3600976192881541e-7, (19, 7) = -0.8971271812811703e-8, (19, 8) = -0.2039923079251385e-8, (19, 9) = 0.5608306275123467e-8, (19, 10) = -0.35050989679825003e-8, (20, 1) = 0.9924248490198108e-8, (20, 2) = -0.2153909492387177e-7, (20, 3) = -0.42613112176728536e-7, (20, 4) = 0.8876792591600187e-7, (20, 5) = 0.996507845713989e-8, (20, 6) = -0.3686253967297389e-7, (20, 7) = -0.9936906670395171e-8, (20, 8) = -0.16440623161351392e-8, (20, 9) = 0.5497872112470872e-8, (20, 10) = -0.3240681299164505e-8, (21, 1) = 0.8585797938456618e-8, (21, 2) = -0.2163969133592186e-7, (21, 3) = -0.3711155821129996e-7, (21, 4) = 0.9077156521382196e-7, (21, 5) = 0.756541829623826e-8, (21, 6) = -0.3803930957418602e-7, (21, 7) = -0.1426474499080588e-7, (21, 8) = -0.12832870366210171e-8, (21, 9) = 0.544269324404699e-8, (21, 10) = -0.2515075556905209e-8, (22, 1) = 0.7324108714493324e-8, (22, 2) = -0.21644829030565873e-7, (22, 3) = -0.3182332313090327e-7, (22, 4) = 0.9190624140189527e-7, (22, 5) = 0.5268159876147963e-8, (22, 6) = -0.3920072268498366e-7, (22, 7) = -0.19773529644182583e-7, (22, 8) = -0.946036374526721e-9, (22, 9) = 0.54255756864720025e-8, (22, 10) = -0.14622351202708205e-8, (23, 1) = 0.6126918020440412e-8, (23, 2) = -0.21530932349761868e-7, (23, 3) = -0.2672837127062429e-7, (23, 4) = 0.9222645700505461e-7, (23, 5) = 0.3113435819135346e-8, (23, 6) = -0.400127693726023e-7, (23, 7) = -0.24432069921496575e-7, (23, 8) = -0.630840492077277e-9, (23, 9) = 0.541777542990274e-8, (23, 10) = -0.28479110883308554e-9, (24, 1) = 0.4995702611589275e-8, (24, 2) = -0.2127203385967706e-7, (24, 3) = -0.21850910404126003e-7, (24, 4) = 0.9174303735098669e-7, (24, 5) = 0.11691354272396864e-8, (24, 6) = -0.4010324943462226e-7, (24, 7) = -0.26036354025112687e-7, (24, 8) = -0.3428233690939408e-9, (24, 9) = 0.5375076422246721e-8, (24, 10) = 0.7176873002711338e-9, (25, 1) = 0.3931159220142959e-8, (25, 2) = -0.20845027046395344e-7, (25, 3) = -0.1720536671821225e-7, (25, 4) = 0.9046621595177114e-7, (25, 5) = -0.462849878316343e-9, (25, 6) = -0.389099157865723e-7, (25, 7) = -0.21346251698936134e-7, (25, 8) = -0.9250888487854912e-10, (25, 9) = 0.5220790043360742e-8, (25, 10) = 0.10470295917012436e-8, (26, 1) = 0.29294784007873994e-8, (26, 2) = -0.2024738788677279e-7, (26, 3) = -0.12786510929058817e-7, (26, 4) = 0.8846507639983531e-7, (26, 5) = -0.16363349763699633e-8, (26, 6) = -0.35625243816575645e-7, (26, 7) = -0.5788377848271987e-8, (26, 8) = 0.10215057646284819e-9, (26, 9) = 0.4833107571414052e-8, (26, 10) = -0.701386454480667e-10, (27, 1) = 0.19752386745191763e-8, (27, 2) = -0.19536220071781242e-7, (27, 3) = -0.854959070254738e-8, (27, 4) = 0.8598758993818892e-7, (27, 5) = -0.214834971375079e-8, (27, 6) = -0.2913033394998566e-7, (27, 7) = 0.26892639169184864e-7, (27, 8) = 0.21311943852411198e-9, (27, 9) = 0.4028794301612452e-8, (27, 10) = -0.3780634146688514e-8, (28, 1) = 0.10282862465154583e-8, (28, 2) = -0.18906578087674934e-7, (28, 3) = -0.43739657158920965e-8, (28, 4) = 0.8368708098958442e-7, (28, 5) = -0.17242174277795689e-8, (28, 6) = -0.17917296597384607e-7, (28, 7) = 0.8503287401857457e-7, (28, 8) = 0.19886216466225435e-9, (28, 9) = 0.25423984241759215e-8, (28, 10) = -0.11729388919515995e-7, (29, 1) = .0, (29, 2) = -0.18841223734637126e-7, (29, 3) = .0, (29, 4) = 0.8302803084022563e-7, (29, 5) = .0, (29, 6) = .0, (29, 7) = 0.17949105693179772e-6, (29, 8) = .0, (29, 9) = .0, (29, 10) = -0.2621620423964887e-7}, datatype = float[8], order = C_order); if not type(outpoint, 'numeric') then if outpoint = "start" or outpoint = "left" then return X[1] elif outpoint = "right" then return X[29] elif outpoint = "order" then return 6 elif outpoint = "error" then return HFloat(2.914471328714826e-7) elif outpoint = "errorproc" then error "this is already the error procedure" elif outpoint = "rawdata" then return [10, 29, [C[0](y), diff(C[0](y), y), theta[0](y), diff(theta[0](y), y), u[0](y), diff(u[0](y), y), diff(diff(u[0](y), y), y), w[0](y), diff(w[0](y), y), diff(diff(w[0](y), y), y)], X, Y] else return ('procname')(x_bvp) end if end if; if outpoint < X[1] or X[29] < outpoint then error "solution is only defined in the range %1..%2", X[1], X[29] end if; V := array([1 = 4, 2 = 0]); if Digits <= trunc(evalhf(Digits)) then L := Vector(4, 'datatype' = 'float'[8]); yout := Vector(10, 'datatype' = 'float'[8]); evalhf(`dsolve/numeric/lagrange`(29, 10, X, Y, outpoint, var(yout), var(L), var(V))) else L := Vector(4, 'datatype' = 'sfloat'); yout := Vector(10, 'datatype' = 'sfloat'); `dsolve/numeric/lagrange`(29, 10, X, Y, outpoint, yout, L, V) end if; [y = outpoint, seq('[C[0](y), diff(C[0](y), y), theta[0](y), diff(theta[0](y), y), u[0](y), diff(u[0](y), y), diff(diff(u[0](y), y), y), w[0](y), diff(w[0](y), y), diff(diff(w[0](y), y), y)]'[i] = yout[i], i = 1 .. 10)] end proc; if not type(outpoint, 'numeric') then if outpoint = "start" or outpoint = "left" then return X[1] elif outpoint = "method" then return "bvp" elif outpoint = "right" then return X[29] elif outpoint = "order" then return 6 elif outpoint = "error" then return HFloat(2.914471328714826e-7) elif outpoint = "errorproc" then return eval(errproc) elif outpoint = "rawdata" then return [10, 29, "depnames", X, Y, YP] else error "non-numeric value" end if end if; if outpoint < X[1] or X[29] < outpoint then error "solution is only defined in the range %1..%2", X[1], X[29] end if; if Digits <= trunc(evalhf(Digits)) and (_EnvInFsolve <> true or _EnvDSNumericSaveDigits <= trunc(evalhf(Digits))) then V := array( 1 .. 6, [( 1 ) = (7), ( 2 ) = (0), ( 3 ) = (false), ( 4 ) = (false), ( 5 ) = (false), ( 6 ) = (false)  ] ); L := Matrix(7, 2, {(1, 1) = .0, (1, 2) = .0, (2, 1) = .0, (2, 2) = .0, (3, 1) = .0, (3, 2) = .0, (4, 1) = .0, (4, 2) = .0, (5, 1) = .0, (5, 2) = .0, (6, 1) = .0, (6, 2) = .0, (7, 1) = .0, (7, 2) = .0}, datatype = float[8], order = C_order); yout := Vector(10, {(1) = .0, (2) = .0, (3) = .0, (4) = .0, (5) = .0, (6) = .0, (7) = .0, (8) = .0, (9) = .0, (10) = .0}, datatype = float[8]); evalhf(`dsolve/numeric/hermite`(29, 10, X, Y, YP, outpoint, var(yout), var(L), var(V))) else if _EnvInFsolve = true then Digits := _EnvDSNumericSaveDigits end if; V := array( 1 .. 6, [( 1 ) = (7), ( 2 ) = (0), ( 3 ) = (false), ( 4 ) = (false), ( 5 ) = (false), ( 6 ) = (false)  ] ); L := Matrix(7, 2, {(1, 1) = 0., (1, 2) = 0., (2, 1) = 0., (2, 2) = 0., (3, 1) = 0., (3, 2) = 0., (4, 1) = 0., (4, 2) = 0., (5, 1) = 0., (5, 2) = 0., (6, 1) = 0., (6, 2) = 0., (7, 1) = 0., (7, 2) = 0.}, order = C_order); yout := Vector(10, {(1) = 0., (2) = 0., (3) = 0., (4) = 0., (5) = 0., (6) = 0., (7) = 0., (8) = 0., (9) = 0., (10) = 0.}); `dsolve/numeric/hermite`(29, 10, X, Y, YP, outpoint, yout, L, V) end if; [outpoint, seq(yout[i], i = 1 .. 10)] end proc, (2) = Array(0..0, {}), (3) = [y, C[0](y), diff(C[0](y), y), theta[0](y), diff(theta[0](y), y), u[0](y), diff(u[0](y), y), diff(diff(u[0](y), y), y), w[0](y), diff(w[0](y), y), diff(diff(w[0](y), y), y)], (4) = 0}); solnproc := data[1]; if not type(outpoint, 'numeric') then if outpoint = "solnprocedure" then return eval(solnproc) elif member(outpoint, ["start", "left", "right", "errorproc", "rawdata", "order", "error"]) then return solnproc(x_bvp) elif outpoint = "sysvars" then return data[3] elif procname <> unknown then return ('procname')(x_bvp) else _ndsol := pointto(data[2][0]); return ('_ndsol')(x_bvp) end if end if; try res := solnproc(outpoint); [y = res[1], seq('[C[0](y), diff(C[0](y), y), theta[0](y), diff(theta[0](y), y), u[0](y), diff(u[0](y), y), diff(diff(u[0](y), y), y), w[0](y), diff(w[0](y), y), diff(diff(w[0](y), y), y)]'[i] = res[i+1], i = 1 .. 10)] catch: error  end try end proc

NULL

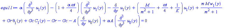
equ11 := alpha*(diff(u[1](y), `$`(y, 3)))-(1+(1/4)*alpha*`&omega;t`)*(diff(u[1](y), `$`(y, 2)))-(diff(u[1](y), y))+(M/(m^2+1)+(1/4)*`&omega;t`+1/K)*u[1](y)+m*M*w[1](y)/(m^2+1)+Gr*theta[1](y)+Gc*C[1](y)-Gr-Gc-A*(diff(u[0](y), y))+alpha*A*(diff(u[0](y), `$`(y, 3))) = 0

alpha*(diff(diff(diff(u[1](y), y), y), y))-(1+(1/4)*alpha*`&omega;t`)*(diff(diff(u[1](y), y), y))-(diff(u[1](y), y))+(M/(m^2+1)+(1/4)*`&omega;t`+1/K)*u[1](y)+m*M*w[1](y)/(m^2+1)+Gr*theta[1](y)+Gc*C[1](y)-Gr-Gc-A*(diff(u[0](y), y))+alpha*A*(diff(diff(diff(u[0](y), y), y), y)) = 0

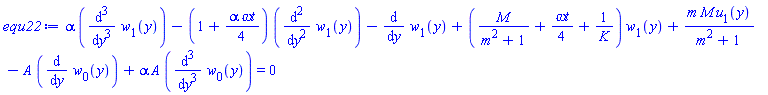
equ22 := alpha*(diff(w[1](y), `$`(y, 3)))-(1+(1/4)*alpha*`&omega;t`)*(diff(w[1](y), `$`(y, 2)))-(diff(w[1](y), y))+(M/(m^2+1)+(1/4)*`&omega;t`+1/K)*w[1](y)+m*M*u[1](y)/(m^2+1)-A*(diff(w[0](y), y))+alpha*A*(diff(w[0](y), `$`(y, 3))) = 0

alpha*(diff(diff(diff(w[1](y), y), y), y))-(1+(1/4)*alpha*`&omega;t`)*(diff(diff(w[1](y), y), y))-(diff(w[1](y), y))+(M/(m^2+1)+(1/4)*`&omega;t`+1/K)*w[1](y)+m*M*u[1](y)/(m^2+1)-A*(diff(w[0](y), y))+alpha*A*(diff(diff(diff(w[0](y), y), y), y)) = 0

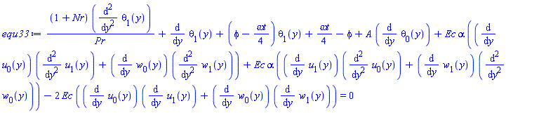
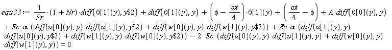
equ33 := (1+Nr)*(diff(theta[1](y), `$`(y, 2)))/Pr+diff(theta[1](y), y)+(phi-(1/4)*`&omega;t`)*theta[1](y)+(1/4)*`&omega;t`-phi+A*(diff(theta[0](y), y))+Ec*alpha*((diff(u[0](y), y))*(diff(u[1](y), `$`(y, 2)))+(diff(w[0](y), y))*(diff(w[1](y), `$`(y, 2))))+Ec*alpha*((diff(u[1](y), y))*(diff(u[0](y), `$`(y, 2)))+(diff(w[1](y), y))*(diff(w[0](y), `$`(y, 2))))-2*Ec*((diff(u[0](y), y))*(diff(u[1](y), y))+(diff(w[0](y), y))*(diff(w[1](y), y))) = 0

(1+Nr)*(diff(diff(theta[1](y), y), y))/Pr+diff(theta[1](y), y)+(phi-(1/4)*`&omega;t`)*theta[1](y)+(1/4)*`&omega;t`-phi+A*(diff(theta[0](y), y))+Ec*alpha*((diff(u[0](y), y))*(diff(diff(u[1](y), y), y))+(diff(w[0](y), y))*(diff(diff(w[1](y), y), y)))+Ec*alpha*((diff(u[1](y), y))*(diff(diff(u[0](y), y), y))+(diff(w[1](y), y))*(diff(diff(w[0](y), y), y)))-2*Ec*((diff(u[0](y), y))*(diff(u[1](y), y))+(diff(w[0](y), y))*(diff(w[1](y), y))) = 0

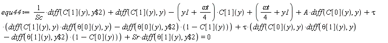
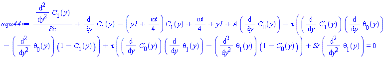
equ44 := (diff(C[1](y), `$`(y, 2)))/Sc+diff(C[1](y), y)-(y1+(1/4)*`&omega;t`)*C[1](y)+(1/4)*`&omega;t`+y1+A*(diff(C[0](y), y))+tau*((diff(C[1](y), y))*(diff(theta[0](y), y))-(diff(theta[0](y), `$`(y, 2)))*(1-C[1](y)))+tau*((diff(C[0](y), y))*(diff(theta[1](y), y))-(diff(theta[1](y), `$`(y, 2)))*(1-C[0](y)))+Sr*(diff(theta[1](y), `$`(y, 2))) = 0

(diff(diff(C[1](y), y), y))/Sc+diff(C[1](y), y)-(y1+(1/4)*`&omega;t`)*C[1](y)+(1/4)*`&omega;t`+y1+A*(diff(C[0](y), y))+tau*((diff(C[1](y), y))*(diff(theta[0](y), y))-(diff(diff(theta[0](y), y), y))*(1-C[1](y)))+tau*((diff(C[0](y), y))*(diff(theta[1](y), y))-(diff(diff(theta[1](y), y), y))*(1-C[0](y)))+Sr*(diff(diff(theta[1](y), y), y)) = 0

Bcs1 := u[1](0) = 0, w[1](0) = 0, theta[1](0) = 0, C[1](0) = 0, u[1](inf) = 0, (D(u[1]))(inf) = 0, w[1](inf) = 0, (D(w[1]))(inf) = 0, theta[1](inf) = 1, C[1](inf) = 1

u[1](0) = 0, w[1](0) = 0, theta[1](0) = 0, C[1](0) = 0, u[1](3) = 0, (D(u[1]))(3) = 0, w[1](3) = 0, (D(w[1]))(3) = 0, theta[1](3) = 1, C[1](3) = 1

sys1 := {Bcs1, subs(parameters, equ11), subs(parameters, equ22), subs(parameters, equ33), subs(parameters, equ44)}; vars1 := {C[1](y), theta[1](y), u[1](y), w[1](y)}

S1 := dsolve(`union`(sys0, sys1), `union`(vars0, vars1), numeric)

expr := u[0](y)+varepsilon*exp(`&omega;t`)*u[1](y)

u[0](y)+varepsilon*exp(`&omega;t`)*u[1](y)

utt := unapply(('eval')(eval(expr, parameters), ('S1')(Y)), Y, numeric)

utt(2)

-HFloat(0.9198021244590389)-HFloat(0.0015259651602523422)*exp(1)

evalf(%)

HFloat(-0.923950127824314)

plot(utt(y), y = 0 .. 3, size = [400, 200])

 

Download New_2_ac.mw

The Color Collections Help-page explains quite a bit of the purposes and nature of the various stock color palettes.

I don't know of any programmatic mechanism (ie. GUI streamcall) that would cause the GUI to reexecute all inputs in usual Execution Groups and Document Blocks.

The "action code" of Sliders can be used to update other Embedded Components (or do file i/o, escaped system calls, etc), but as far as I know it cannot directly affect normal input/output of the worksheet.

It is possible for the action code to replace some previously embedded content (lock, stock, and barrel). And that includes re-embedding some whole new .mw there. However I also don't know of any mechanism that would programmatically execute&save an external .mw file. Even if such a kludge worked it wouldn't really be the same as the normal input/ouput areas.

Programmatic reconstruction of the entrie .mw worksheet from scratch would be a great deal of work, and opening such in a separate new GUI tab for each Slider change sounds awkward and not useful. So, I'm afraid that I'm out of ideas here.

These results are in a reasonably simple form.
 

u1 := RootOf(4*_Z^2 + (4*RootOf(60*_Z^3 - 60*_Z^2 + 15*_Z - 1) - 4)*_Z
             + 4*RootOf(60*_Z^3 - 60*_Z^2 + 15*_Z - 1)^2
             - 4*RootOf(60*_Z^3 - 60*_Z^2 + 15*_Z - 1) + 1):

 

[simplify(allvalues~(RootOf~(simplify(evalc({allvalues(op(u1))})))))[]];

[(1/3)*cos((1/3)*arctan(3/4))+1/3, -(1/6)*cos((1/3)*arctan(3/4))+1/3-(1/6)*3^(1/2)*sin((1/3)*arctan(3/4)), -(1/6)*cos((1/3)*arctan(3/4))+1/3+(1/6)*3^(1/2)*sin((1/3)*arctan(3/4))]

evalf(%);

[.6590276223, .1090390090, .2319333686]

evalf(u1);

.2319333685

Download RO_ex.mw

It seems to me that you want/need a mechanism to force your shootNL procedure to return either uN(bV) or vN(bV). Your original attempt had shootNL return the expreszsion-sequence of both values.

Your attempt at using fsolve was running into additional problems because the shootNL calls were being prematurely evaluated at the symbolic names sU and sV.

Here's a quick fix to some of those problems. But I don't see any root (of both u(bV) and v(bV)) in your given ranges 0.5..1 for parameters sU and sV.

fsolveProblem_ac.mw

ps. I didn't bother to make this more efficient (eg. by using the dsolve/numeric parameters option and functionality). First you should figure out whether it's doing what you expect.

If one examines the complexplot3d internal code with showstat then one can see that extra options are passed along to plot3d, via _rest . This allows one to overrride the default color procedure when calling complexplot3d.

Using the operator-form calling sequence with the complexplot3d command below I'll show an example that forces (via argument) an effect similar to the default, as well as another example forcing abs(z) for coloring.

Note that the procedure I'm using for the color option below has two parameters, just as does (?plot3d,colorfunc) the underlying plot3d command that gets called to do the actual construction. The complexplot3d command is like a convenient front-end, allowing the real and imaginary plotting variables to be bundled and passed together for both its expression/operator and its ranges. But we can deal with the color option by handling the real and imaginary components unbundled.

plots:-complexplot3d(z->z, -2 - 2*I .. 2 + 2*I,
                     color=proc(re,im) argument(re+I*im); end proc,
                     style=surfacecontour, lightmodel=none,
                     labels=[Re(z),Im(z),``], orientation = [-90, 0, 0]);

Download complexplot3d_ex.mw

plots:-complexplot3d(z->z, -2 - 2*I .. 2 + 2*I,
                     color=proc(re,im) abs(re+I*im); end proc,
                     style=surfacecontour, lightmodel=none,
                     labels=[Re(z),Im(z),``], orientation = [-90, 0, 0]);

Download complexplot3d_ex2.mw

There are several ways to supply arbitrary color functions.  See ?plot3d,colorfunc 

Instead of using command complexplot3d one could also build the desired plotting structure by using just plot3d with something like z=re+im*I for an expression-form calling sequence, with the two plotting variables re and im.

Here too one doesn't have to use simply,
   color=argument(re+I*im)
but instead one can adjust the formula as desired. Below I merely mimic the default effect.

plot3d(abs(re+I*im), re=-2..2, im=-2..2,
       color=argument(re+I*im),
       style=surfacecontour, lightmodel=none,
       labels=[Re(z),Im(z),``], orientation = [-90, 0, 0]);

plot3d_cplx.mw

I am guessing that you want a stand-alone term xi = xi^1 to become H(1)*xi.

Let me know if I've guessed that wrongly.

restart;

expr := xi - xi^2 + 1/xi^3 - 1/xi

xi-xi^2+1/xi^3-1/xi

eval(applyrule([xi^(k::integer)=H(k)*__P(k)],expr),
     __P=(u->xi^op(u)));

H(1)*xi-H(2)*xi^2+H(-3)/xi^3-H(-1)/xi

thaw(subs(xi=H(1)*xi,
          subsindets(subsindets(expr,identical(xi)^integer,
                     u->H(op(2,u))*u),
                     identical(xi)^integer,freeze)));

H(1)*xi-H(2)*xi^2+H(-3)/xi^3-H(-1)/xi


If you want to exclude the rule for xi and 1/xi ,

eval(applyrule([xi^(k::And(integer,Non({1,-1})))=H(k)*__P(k)],
               expr),
     __P=(u->xi^op(u)));

xi-H(2)*xi^2+H(-3)/xi^3-1/xi

Download repl_ex.mw

Since Maple 18 the plot3d command accepts an option to directly put an image on a surface (including a sphere, etc).

Prior to that it could be done by manipulating structures. I made an old Post ,and a few others, linked from there, on that general topic. Some of those bits of functionality have found their way into Library commands.

seq(`&#`||k||`;`,k=945..969);

`&alpha;`, `&beta;`, `&gamma;`, `&delta;`, `&varepsilon;`, `&zeta;`, `&eta;`, `&theta;`, `&iota;`, `&kappa;`, `&lambda;`, `&mu;`, `&nu;`, `&xi;`, `&omicron;`, `&pi;`, `&rho;`, `&varsigma;`, `&sigma;`, `&tau;`, `&upsilon;`, `&phi;`, `&chi;`, `&psi;`, `&omega;`

Download ent_seq.mw

Those are just Maple names which line-print like the unicode decimal codes and pretty-print (2D Output) like the typeset lowercase Greek letters.

For example, the Maple name `&#945;` gets typeset in 2D Output as the symbol for the Greek letter alpha.

You don't need to wrap in any MathML style markup (eg. mo(...), mi(...) ) for that basic effect.

ps. It's not entirely clear exactly what you wanted to accomplish. Perhaps you're trying to do something different. Are you looking for a way to programmatically generate the literal names alpha, beta,...,omega as written in the Latin alphabet?

 

restart;

 

is_symbol_inside_func_only:=
  (e,f,y)->type(subsindets(e,specfunc(Not(freeof(y)),f),freeze),freeof(y)):

 

expr:=3*ln(1+y)+ln(3*y)*y+ln(y)+cos(7*y):
is_symbol_inside_func_only(expr,ln,y); #should return false

expr:=3*ln(1+y)+ln(3*y):
is_symbol_inside_func_only(expr,ln,y); #should return true

expr:=ln(y)+ln(3*y)+cos(y):
is_symbol_inside_func_only(expr,ln,y); #should return false


expr:=3+cos(y):
is_symbol_inside_func_only(expr,cos,y); #should return true

expr:=y+ln(y):
is_symbol_inside_func_only(expr,ln,y); #should return false

false

true

false

true

false

Download type_chk_ex.mw

That is the behavior of evalb, which is the default mechanism for if..then conditional testing. (That Help page describes the kinds of equivalence it tests.)

For such polynomial comparison you have a few alternatives -- to get a mathematical equivalence test of the kind needed here -- including expanding (or putting the difference into normal form) before comparing, or using is, or testeq,

evalb( (x+1)^2 = x^2+2*x+1 );

false

Any of the tests at end could be used here instead.

(You wouldn't need the wrapping evalb calls, though,
 since that's automatically part of the if..then check.)

if expand( (x+1)^2=x^2+2*x+1 ) then
   print(1);
else
   print(0);
end if;

1

evalb( expand( (x+1)^2 = x^2+2*x+1 ) );

true

evalb( normal( (x+1)^2 - (x^2+2*x+1) = 0 ) );

true

testeq( (x+1)^2=x^2+2*x+1 )

true

is( (x+1)^2=x^2+2*x+1 );

true

Download evalb_et_alia.mw

In general some such mathematical tests for equivalence are potentially more expensive than others. The user gets to decide which might be used.

In Maple 2021 and later the form you want is produced directly. (You haven't told us what older version you are using.)

Here are three different ways to get that integration result.

restart;

kernelopts(version); # later versions get it directly

`Maple 2020.2, X86 64 LINUX, Nov 11 2020, Build ID 1502365`

H:=Int(x^17*cos(x^6),x):

expand(value(IntegrationTools:-Parts(H,x^6)));

(1/3)*x^6*cos(x^6)+(1/6)*x^12*sin(x^6)-(1/3)*sin(x^6)

expand(convert(int(x^17*cos(x^6),x=0..x),trig));

(1/3)*x^6*cos(x^6)+(1/6)*x^12*sin(x^6)-(1/3)*sin(x^6)

int(x^17*cos(x^6),x=0..x,method=meijerg);

(1/3)*x^6*cos(x^6)+(1/6)*x^12*sin(x^6)-(1/3)*sin(x^6)

Download int_old_ex.mw

ps. In Maple 2021 and later the result,
   1/3*x^6*cos(x^6)+1/6*(x^12-2)*sin(x^6)
is produced by default (no method) and by method=risch, and a close trig form by method=meijerg. In Maple 2020 and earlier the method option was not supported for indefinite integration (hence my 3rd workaround above).

You appear to have made two kinds of mistake.

The first is that it looks like you've forgotten to put either an explicit multiplication symbol or a space (to denote multiplication implicitly) between the name a and the left open-parenthesis.

The result is that you've entered a(x-a) which is a function call of a (some as yet undefined operator...). You haven't used any syntax for a*(x-a) a product of a and x-a.

The second mistake is that you subtracted instead of added.

restart

expr := (x-a)^2-2*a(x-a)

(x-a)^2-2*a(x-a)

lprint(expr)

(x-a)^2-2*a(x-a)

indets(expr, function)

{a(x-a)}

new := (x-a)^2-2*a*(x-a)

(x-a)^2-2*a*(x-a)

lprint(new)

(x-a)^2-2*a*(x-a)

indets(new, function)

{}

expand(new)

3*a^2-4*a*x+x^2

intended := (x-a)^2+2*a*(x-a)

(x-a)^2+2*a*(x-a)

expand(intended)

-a^2+x^2

Download 2d_mul_ex.mw

First 32 33 34 35 36 37 38 Last Page 34 of 338