acer

32587 Reputation

29 Badges

20 years, 37 days
Ontario, Canada

Social Networks and Content at Maplesoft.com

MaplePrimes Activity


These are answers submitted by acer

How's this, for both locals and exports that are procedures.

H := proc(m) local res;
  local oldOM := kernelopts(':-opaquemodules'=false);
  try
    res := select(p->type(m[p],procedure),
                  [m:-_pexports()[],op(3,eval(m))]);
  catch:
    res := [];
  finally
    kernelopts(':-opaquemodules'=oldOM);
  end try;
  res;
end proc:

H(LinearAlgebra);

[edit] I ought to have used exports(m) instead of m:-_pexports which I'm also used to dealing with. I copy&pasted the wrong version from that older Answer of mine.

The corrected version would be,

H := proc(m) local res;
  local oldOM := kernelopts(':-opaquemodules'=false);
  try
    res := select(p->type(m[p],procedure),
                  [exports(m)[],op(3,eval(m))]);
  catch:
    res := [];
  finally
    kernelopts(':-opaquemodules'=oldOM);
  end try;
  res;
end proc:

That attempts to reset kernelopts(opaquemodules) to whatever it is before you call it. However, if you are planning on calling trace on such locals then you'd setting that to opaquemodules=true, anyway. In that case the key part is this,

select(p->type(m[p],procedure),
       [exports(m)[],op(3,eval(m))]);

I suppose that you could also adjust the accepted type in the select predicate, to report on appliable-submodules as well as procedures. That is, you could change the type from procedure to, say, callable . The key part would then be,

select(p->type(m[p],callable),
       [exports(m)[],op(3,eval(m))]);

Here is an example (for your Maple 18),

epsilon := [0, .176362132279649, .177972719793772, .178136769285510,
            .178248700683859, .178336529283486, .178410011515762]:
sigma := [0, 4.05415828646400*10^7, 3.98220224222089*10^7, 3.96850822603262*10^7,
          3.95890268946213*10^7, 3.95125366914829*10^7, 3.94479245392923*10^7]:

plot(epsilon, sigma,
     labels = [`ϵ`, `σ`]);

plot(epsilon, sigma,
     labels = [Typesetting:-mo("ϵ",mathsize="20"),
               Typesetting:-mo("σ",mathsize="20")]);

stress_strain_ac18.mw

I'll also mention that I deliberately did not do it in the following way. This works when done alone, but if the resulting plot is assigned to a name then any subsequent full evaluation of that gets it all messed up. (Putting uneval-quoted references to assigned names inside a plot's label is a poor idea.)

plot(epsilon, sigma,
     labels = [typeset('epsilon'), typeset('sigma')]);

That is a bug new to Maple 2023.0 .

I shall submit a bug report, if you haven't.

note: In Maple 2022.2 it can be simplified to -2/7 with the call,
   evala(simplify(expr));
or,
   radnormal(simplify(expr));
or,
   Algebraic:-Normal(simplify(expr));

In Maple 2023.0 that simplification can be obtained by any of these,
   simplify(evalc(expr));
   evala(simplify(convert(expr,exp)));
   radnormal(simplify(convert(expr,exp)));

The names segm returned by your geom(...) calls are escaped locals from that procedure. By that I mean that they are distinct instances of the local variable (only ostensibly having the same name).

The same goes for the [a1,b1] pairs that you are seeing, following the separate geom(...) calls. Those are distinct/different pairs of escaped locals.

Each time you invoke your geom(...) it returns a different instance of its (now, escaped) local segm. And the segment associated with that contains references to a pair of different instances of the a1,b1 (now, escaped) locals.

The geometry objects associated with those groups of distinct escaped locals are, in turn, also different.

None of these escaped locals are the global names, a1, b2, segm.

restart

with(geometry)

geom := proc (a, b) local a1, b1, segm; geometry:-point(a1, a); geometry:-point(b1, b); geometry:-segment(segm, [a1, b1]); return segm end proc

A := [0, 0]

[0, 0]

B := [1, 2]

[1, 2]

asegm := geom(A, B); addressof(asegm)

36893627839935558140

foo := DefinedAs(asegm); `~`[addressof](%)

[36893627839935558204, 36893627839935558172]

plots:-display(`~`[geometry:-draw](foo, color = gold, symbol = solidcircle, symbolsize = 20), geometry:-draw(asegm))

C := [23, 12]

[23, 12]

asegm1 := geom(A, C); addressof(asegm1)

36893627839916134236

bar := DefinedAs(asegm1); `~`[addressof](%)

[36893627839916134300, 36893627839916134268]

plots:-display(`~`[geometry:-draw](foo, color = gold, symbol = solidcircle, symbolsize = 20), `~`[geometry:-draw](bar, color = blue, symbol = box, symbolsize = 25), geometry:-draw(asegm1))

`~`[addressof]([a1, b1, segm])

[36893627840015685180, 36893627840016729276, 36893627840012929692]

NULL

Download GeometrySegment_acc.mw

Your Question's code tries to catch wrt the error message starting as,
  "wrong type of arguments"

But the error message emitted by your later example actually has,
  "wrong type of argument"

Note that the last word in the emitted error is singular "argument", not plural "arguments".

It seems as if you couldn't catch it because you misspelled the last word.

restart

Typesetting:-mrow(Typesetting:-mi("Segment2Arrow", italic = "true", mathvariant = "italic"), Typesetting:-mo(" ", mathvariant = "normal", fence = "false", separator = "false", stretchy = "false", symmetric = "false", largeop = "false", movablelimits = "false", accent = "false", lspace = "0.0em", rspace = "0.0em"), Typesetting:-mo("≔", mathvariant = "normal", fence = "false", separator = "false", stretchy = "false", symmetric = "false", largeop = "false", movablelimits = "false", accent = "false", lspace = "0.2777778em", rspace = "0.2777778em"), Typesetting:-mo(" ", mathvariant = "normal", fence = "false", separator = "false", stretchy = "false", symmetric = "false", largeop = "false", movablelimits = "false", accent = "false", lspace = "0.0em", rspace = "0.0em"), Typesetting:-mo("proc", bold = "true", mathvariant = "bold", fontweight = "bold", fence = "false", separator = "false", stretchy = "false", symmetric = "false", largeop = "false", movablelimits = "false", accent = "false", lspace = "0.0em", rspace = "0.0em"), Typesetting:-mfenced(Typesetting:-mrow(Typesetting:-mi("segm", italic = "true", mathvariant = "italic")), mathvariant = "normal"), Typesetting:-mi(""), Typesetting:-mspace(height = "0.0ex", width = "0.0em", depth = "0.0ex", linebreak = "newline"), Typesetting:-mspace(height = "0.0ex", width = "0.0em", depth = "0.0ex", linebreak = "auto"), Typesetting:-mo(" ", mathvariant = "normal", fence = "false", separator = "false", stretchy = "false", symmetric = "false", largeop = "false", movablelimits = "false", accent = "false", lspace = "0.0em", rspace = "0.0em"), Typesetting:-mo(" ", mathvariant = "normal", fence = "false", separator = "false", stretchy = "false", symmetric = "false", largeop = "false", movablelimits = "false", accent = "false", lspace = "0.0em", rspace = "0.0em"), Typesetting:-mo(" ", mathvariant = "normal", fence = "false", separator = "false", stretchy = "false", symmetric = "false", largeop = "false", movablelimits = "false", accent = "false", lspace = "0.0em", rspace = "0.0em"), Typesetting:-mo(" ", mathvariant = "normal", fence = "false", separator = "false", stretchy = "false", symmetric = "false", largeop = "false", movablelimits = "false", accent = "false", lspace = "0.0em", rspace = "0.0em"), Typesetting:-mo(" ", mathvariant = "normal", fence = "false", separator = "false", stretchy = "false", symmetric = "false", largeop = "false", movablelimits = "false", accent = "false", lspace = "0.0em", rspace = "0.0em"), Typesetting:-mo(" ", mathvariant = "normal", fence = "false", separator = "false", stretchy = "false", symmetric = "false", largeop = "false", movablelimits = "false", accent = "false", lspace = "0.0em", rspace = "0.0em"), Typesetting:-mo(" ", mathvariant = "normal", fence = "false", separator = "false", stretchy = "false", symmetric = "false", largeop = "false", movablelimits = "false", accent = "false", lspace = "0.0em", rspace = "0.0em"), Typesetting:-mo(" ", mathvariant = "normal", fence = "false", separator = "false", stretchy = "false", symmetric = "false", largeop = "false", movablelimits = "false", accent = "false", lspace = "0.0em", rspace = "0.0em"), Typesetting:-mo("uses", bold = "true", mathvariant = "bold", fontweight = "bold", fence = "false", separator = "false", stretchy = "false", symmetric = "false", largeop = "false", movablelimits = "false", accent = "false", lspace = "0.0em", rspace = "0.0em"), Typesetting:-mo(" ", mathvariant = "normal", fence = "false", separator = "false", stretchy = "false", symmetric = "false", largeop = "false", movablelimits = "false", accent = "false", lspace = "0.0em", rspace = "0.0em"), Typesetting:-mi("geometry", italic = "true", mathvariant = "italic"), Typesetting:-mo(";", mathvariant = "normal", fence = "false", separator = "true", stretchy = "false", symmetric = "false", largeop = "false", movablelimits = "false", accent = "false", lspace = "0.0em", rspace = "0.2777778em"), Typesetting:-mspace(height = "0.0ex", width = "0.0em", depth = "0.0ex", linebreak = "newline"), Typesetting:-mspace(height = "0.0ex", width = "0.0em", depth = "0.0ex", linebreak = "auto"), Typesetting:-mo(" ", mathvariant = "normal", fence = "false", separator = "false", stretchy = "false", symmetric = "false", largeop = "false", movablelimits = "false", accent = "false", lspace = "0.0em", rspace = "0.0em"), Typesetting:-mo(" ", mathvariant = "normal", fence = "false", separator = "false", stretchy = "false", symmetric = "false", largeop = "false", movablelimits = "false", accent = "false", lspace = "0.0em", rspace = "0.0em"), Typesetting:-mo(" ", mathvariant = "normal", fence = "false", separator = "false", stretchy = "false", symmetric = "false", largeop = "false", movablelimits = "false", accent = "false", lspace = "0.0em", rspace = "0.0em"), Typesetting:-mo(" ", mathvariant = "normal", fence = "false", separator = "false", stretchy = "false", symmetric = "false", largeop = "false", movablelimits = "false", accent = "false", lspace = "0.0em", rspace = "0.0em"), Typesetting:-mo(" ", mathvariant = "normal", fence = "false", separator = "false", stretchy = "false", symmetric = "false", largeop = "false", movablelimits = "false", accent = "false", lspace = "0.0em", rspace = "0.0em"), Typesetting:-mo(" ", mathvariant = "normal", fence = "false", separator = "false", stretchy = "false", symmetric = "false", largeop = "false", movablelimits = "false", accent = "false", lspace = "0.0em", rspace = "0.0em"), Typesetting:-mo(" ", mathvariant = "normal", fence = "false", separator = "false", stretchy = "false", symmetric = "false", largeop = "false", movablelimits = "false", accent = "false", lspace = "0.0em", rspace = "0.0em"), Typesetting:-mo(" ", mathvariant = "normal", fence = "false", separator = "false", stretchy = "false", symmetric = "false", largeop = "false", movablelimits = "false", accent = "false", lspace = "0.0em", rspace = "0.0em"), Typesetting:-mo("description", bold = "true", mathvariant = "bold", fontweight = "bold", fence = "false", separator = "false", stretchy = "false", symmetric = "false", largeop = "false", movablelimits = "false", accent = "false", lspace = "0.0em", rspace = "0.0em"), Typesetting:-mo(" ", mathvariant = "normal", fence = "false", separator = "false", stretchy = "false", symmetric = "false", largeop = "false", movablelimits = "false", accent = "false", lspace = "0.0em", rspace = "0.0em"), Typesetting:-ms("Annotation dimension"), Typesetting:-mo(";", mathvariant = "normal", fence = "false", separator = "true", stretchy = "false", symmetric = "false", largeop = "false", movablelimits = "false", accent = "false", lspace = "0.0em", rspace = "0.2777778em"), Typesetting:-mspace(height = "0.0ex", width = "0.0em", depth = "0.0ex", linebreak = "newline"), Typesetting:-mspace(height = "0.0ex", width = "0.0em", depth = "0.0ex", linebreak = "auto"), Typesetting:-mo(" ", mathvariant = "normal", fence = "false", separator = "false", stretchy = "false", symmetric = "false", largeop = "false", movablelimits = "false", accent = "false", lspace = "0.0em", rspace = "0.0em"), Typesetting:-mo(" ", mathvariant = "normal", fence = "false", separator = "false", stretchy = "false", symmetric = "false", largeop = "false", movablelimits = "false", accent = "false", lspace = "0.0em", rspace = "0.0em"), Typesetting:-mo(" ", mathvariant = "normal", fence = "false", separator = "false", stretchy = "false", symmetric = "false", largeop = "false", movablelimits = "false", accent = "false", lspace = "0.0em", rspace = "0.0em"), Typesetting:-mo(" ", mathvariant = "normal", fence = "false", separator = "false", stretchy = "false", symmetric = "false", largeop = "false", movablelimits = "false", accent = "false", lspace = "0.0em", rspace = "0.0em"), Typesetting:-mo(" ", mathvariant = "normal", fence = "false", separator = "false", stretchy = "false", symmetric = "false", largeop = "false", movablelimits = "false", accent = "false", lspace = "0.0em", rspace = "0.0em"), Typesetting:-mo(" ", mathvariant = "normal", fence = "false", separator = "false", stretchy = "false", symmetric = "false", largeop = "false", movablelimits = "false", accent = "false", lspace = "0.0em", rspace = "0.0em"), Typesetting:-mo(" ", mathvariant = "normal", fence = "false", separator = "false", stretchy = "false", symmetric = "false", largeop = "false", movablelimits = "false", accent = "false", lspace = "0.0em", rspace = "0.0em"), Typesetting:-mo(" ", mathvariant = "normal", fence = "false", separator = "false", stretchy = "false", symmetric = "false", largeop = "false", movablelimits = "false", accent = "false", lspace = "0.0em", rspace = "0.0em"), Typesetting:-mo("local", bold = "true", mathvariant = "bold", fontweight = "bold", fence = "false", separator = "false", stretchy = "false", symmetric = "false", largeop = "false", movablelimits = "false", accent = "false", lspace = "0.0em", rspace = "0.0em"), Typesetting:-mo(" ", mathvariant = "normal", fence = "false", separator = "false", stretchy = "false", symmetric = "false", largeop = "false", movablelimits = "false", accent = "false", lspace = "0.0em", rspace = "0.0em"), Typesetting:-mi("a", italic = "true", mathvariant = "italic"), Typesetting:-mo(",", mathvariant = "normal", fence = "false", separator = "true", stretchy = "false", symmetric = "false", largeop = "false", movablelimits = "false", accent = "false", lspace = "0.0em", rspace = "0.3333333em"), Typesetting:-mo(" ", mathvariant = "normal", fence = "false", separator = "false", stretchy = "false", symmetric = "false", largeop = "false", movablelimits = "false", accent = "false", lspace = "0.0em", rspace = "0.0em"), Typesetting:-mi("b", italic = "true", mathvariant = "italic"), Typesetting:-mo(",", mathvariant = "normal", fence = "false", separator = "true", stretchy = "false", symmetric = "false", largeop = "false", movablelimits = "false", accent = "false", lspace = "0.0em", rspace = "0.3333333em"), Typesetting:-mo(" ", mathvariant = "normal", fence = "false", separator = "false", stretchy = "false", symmetric = "false", largeop = "false", movablelimits = "false", accent = "false", lspace = "0.0em", rspace = "0.0em"), Typesetting:-mi("c", italic = "true", mathvariant = "italic"), Typesetting:-mo(";", mathvariant = "normal", fence = "false", separator = "true", stretchy = "false", symmetric = "false", largeop = "false", movablelimits = "false", accent = "false", lspace = "0.0em", rspace = "0.2777778em"), Typesetting:-mspace(height = "0.0ex", width = "0.0em", depth = "0.0ex", linebreak = "newline"), Typesetting:-mspace(height = "0.0ex", width = "0.0em", depth = "0.0ex", linebreak = "auto"), Typesetting:-mspace(height = "0.0ex", width = "0.0em", depth = "0.0ex", linebreak = "newline"), Typesetting:-mspace(height = "0.0ex", width = "0.0em", depth = "0.0ex", linebreak = "auto"), Typesetting:-mo(" ", mathvariant = "normal", fence = "false", separator = "false", stretchy = "false", symmetric = "false", largeop = "false", movablelimits = "false", accent = "false", lspace = "0.0em", rspace = "0.0em"), Typesetting:-mo(" ", mathvariant = "normal", fence = "false", separator = "false", stretchy = "false", symmetric = "false", largeop = "false", movablelimits = "false", accent = "false", lspace = "0.0em", rspace = "0.0em"), Typesetting:-mo(" ", mathvariant = "normal", fence = "false", separator = "false", stretchy = "false", symmetric = "false", largeop = "false", movablelimits = "false", accent = "false", lspace = "0.0em", rspace = "0.0em"), Typesetting:-mo(" ", mathvariant = "normal", fence = "false", separator = "false", stretchy = "false", symmetric = "false", largeop = "false", movablelimits = "false", accent = "false", lspace = "0.0em", rspace = "0.0em"), Typesetting:-mo(" ", mathvariant = "normal", fence = "false", separator = "false", stretchy = "false", symmetric = "false", largeop = "false", movablelimits = "false", accent = "false", lspace = "0.0em", rspace = "0.0em"), Typesetting:-mo(" ", mathvariant = "normal", fence = "false", separator = "false", stretchy = "false", symmetric = "false", largeop = "false", movablelimits = "false", accent = "false", lspace = "0.0em", rspace = "0.0em"), Typesetting:-mo(" ", mathvariant = "normal", fence = "false", separator = "false", stretchy = "false", symmetric = "false", largeop = "false", movablelimits = "false", accent = "false", lspace = "0.0em", rspace = "0.0em"), Typesetting:-mo(" ", mathvariant = "normal", fence = "false", separator = "false", stretchy = "false", symmetric = "false", largeop = "false", movablelimits = "false", accent = "false", lspace = "0.0em", rspace = "0.0em"), Typesetting:-mo("try", bold = "true", mathvariant = "bold", fontweight = "bold", fence = "false", separator = "false", stretchy = "false", symmetric = "false", largeop = "false", movablelimits = "false", accent = "false", lspace = "0.0em", rspace = "0.0em"), Typesetting:-mspace(height = "0.0ex", width = "0.0em", depth = "0.0ex", linebreak = "newline"), Typesetting:-mspace(height = "0.0ex", width = "0.0em", depth = "0.0ex", linebreak = "auto"), Typesetting:-mo(" ", mathvariant = "normal", fence = "false", separator = "false", stretchy = "false", symmetric = "false", largeop = "false", movablelimits = "false", accent = "false", lspace = "0.0em", rspace = "0.0em"), Typesetting:-mo(" ", mathvariant = "normal", fence = "false", separator = "false", stretchy = "false", symmetric = "false", largeop = "false", movablelimits = "false", accent = "false", lspace = "0.0em", rspace = "0.0em"), Typesetting:-mo(" ", mathvariant = "normal", fence = "false", separator = "false", stretchy = "false", symmetric = "false", largeop = "false", movablelimits = "false", accent = "false", lspace = "0.0em", rspace = "0.0em"), Typesetting:-mo(" ", mathvariant = "normal", fence = "false", separator = "false", stretchy = "false", symmetric = "false", largeop = "false", movablelimits = "false", accent = "false", lspace = "0.0em", rspace = "0.0em"), Typesetting:-mo(" ", mathvariant = "normal", fence = "false", separator = "false", stretchy = "false", symmetric = "false", largeop = "false", movablelimits = "false", accent = "false", lspace = "0.0em", rspace = "0.0em"), Typesetting:-mo(" ", mathvariant = "normal", fence = "false", separator = "false", stretchy = "false", symmetric = "false", largeop = "false", movablelimits = "false", accent = "false", lspace = "0.0em", rspace = "0.0em"), Typesetting:-mo(" ", mathvariant = "normal", fence = "false", separator = "false", stretchy = "false", symmetric = "false", largeop = "false", movablelimits = "false", accent = "false", lspace = "0.0em", rspace = "0.0em"), Typesetting:-mo(" ", mathvariant = "normal", fence = "false", separator = "false", stretchy = "false", symmetric = "false", largeop = "false", movablelimits = "false", accent = "false", lspace = "0.0em", rspace = "0.0em"), Typesetting:-mo(" ", mathvariant = "normal", fence = "false", separator = "false", stretchy = "false", symmetric = "false", largeop = "false", movablelimits = "false", accent = "false", lspace = "0.0em", rspace = "0.0em"), Typesetting:-mo(" ", mathvariant = "normal", fence = "false", separator = "false", stretchy = "false", symmetric = "false", largeop = "false", movablelimits = "false", accent = "false", lspace = "0.0em", rspace = "0.0em"), Typesetting:-mo(" ", mathvariant = "normal", fence = "false", separator = "false", stretchy = "false", symmetric = "false", largeop = "false", movablelimits = "false", accent = "false", lspace = "0.0em", rspace = "0.0em"), Typesetting:-mo(" ", mathvariant = "normal", fence = "false", separator = "false", stretchy = "false", symmetric = "false", largeop = "false", movablelimits = "false", accent = "false", lspace = "0.0em", rspace = "0.0em"), Typesetting:-mo(" ", mathvariant = "normal", fence = "false", separator = "false", stretchy = "false", symmetric = "false", largeop = "false", movablelimits = "false", accent = "false", lspace = "0.0em", rspace = "0.0em"), Typesetting:-mo(" ", mathvariant = "normal", fence = "false", separator = "false", stretchy = "false", symmetric = "false", largeop = "false", movablelimits = "false", accent = "false", lspace = "0.0em", rspace = "0.0em"), Typesetting:-mo(" ", mathvariant = "normal", fence = "false", separator = "false", stretchy = "false", symmetric = "false", largeop = "false", movablelimits = "false", accent = "false", lspace = "0.0em", rspace = "0.0em"), Typesetting:-mo(" ", mathvariant = "normal", fence = "false", separator = "false", stretchy = "false", symmetric = "false", largeop = "false", movablelimits = "false", accent = "false", lspace = "0.0em", rspace = "0.0em"), Typesetting:-mi("a", italic = "true", mathvariant = "italic"), Typesetting:-mo(" ", mathvariant = "normal", fence = "false", separator = "false", stretchy = "false", symmetric = "false", largeop = "false", movablelimits = "false", accent = "false", lspace = "0.0em", rspace = "0.0em"), Typesetting:-mo("≔", mathvariant = "normal", fence = "false", separator = "false", stretchy = "false", symmetric = "false", largeop = "false", movablelimits = "false", accent = "false", lspace = "0.2777778em", rspace = "0.2777778em"), Typesetting:-mo(" ", mathvariant = "normal", fence = "false", separator = "false", stretchy = "false", symmetric = "false", largeop = "false", movablelimits = "false", accent = "false", lspace = "0.0em", rspace = "0.0em"), Typesetting:-mi("map", italic = "true", mathvariant = "italic"), Typesetting:-mfenced(Typesetting:-mrow(Typesetting:-mi("coordinates", italic = "true", mathvariant = "italic"), Typesetting:-mo(",", mathvariant = "normal", fence = "false", separator = "true", stretchy = "false", symmetric = "false", largeop = "false", movablelimits = "false", accent = "false", lspace = "0.0em", rspace = "0.3333333em"), Typesetting:-mo(" ", mathvariant = "normal", fence = "false", separator = "false", stretchy = "false", symmetric = "false", largeop = "false", movablelimits = "false", accent = "false", lspace = "0.0em", rspace = "0.0em"), Typesetting:-mi("DefinedAs", italic = "true", mathvariant = "italic"), Typesetting:-mfenced(Typesetting:-mrow(Typesetting:-mi("segm", italic = "true", mathvariant = "italic")), mathvariant = "normal")), mathvariant = "normal"), Typesetting:-mfenced(Typesetting:-mrow(Typesetting:-mn("1", mathvariant = "normal")), mathvariant = "normal", open = "[", close = "]"), Typesetting:-mo(";", mathvariant = "normal", fence = "false", separator = "true", stretchy = "false", symmetric = "false", largeop = "false", movablelimits = "false", accent = "false", lspace = "0.0em", rspace = "0.2777778em"), Typesetting:-mspace(height = "0.0ex", width = "0.0em", depth = "0.0ex", linebreak = "newline"), Typesetting:-mspace(height = "0.0ex", width = "0.0em", depth = "0.0ex", linebreak = "auto"), Typesetting:-mo(" ", mathvariant = "normal", fence = "false", separator = "false", stretchy = "false", symmetric = "false", largeop = "false", movablelimits = "false", accent = "false", lspace = "0.0em", rspace = "0.0em"), Typesetting:-mo(" ", mathvariant = "normal", fence = "false", separator = "false", stretchy = "false", symmetric = "false", largeop = "false", movablelimits = "false", accent = "false", lspace = "0.0em", rspace = "0.0em"), Typesetting:-mo(" ", mathvariant = "normal", fence = "false", separator = "false", stretchy = "false", symmetric = "false", largeop = "false", movablelimits = "false", accent = "false", lspace = "0.0em", rspace = "0.0em"), Typesetting:-mo(" ", mathvariant = "normal", fence = "false", separator = "false", stretchy = "false", symmetric = "false", largeop = "false", movablelimits = "false", accent = "false", lspace = "0.0em", rspace = "0.0em"), Typesetting:-mo(" ", mathvariant = "normal", fence = "false", separator = "false", stretchy = "false", symmetric = "false", largeop = "false", movablelimits = "false", accent = "false", lspace = "0.0em", rspace = "0.0em"), Typesetting:-mo(" ", mathvariant = "normal", fence = "false", separator = "false", stretchy = "false", symmetric = "false", largeop = "false", movablelimits = "false", accent = "false", lspace = "0.0em", rspace = "0.0em"), Typesetting:-mo(" ", mathvariant = "normal", fence = "false", separator = "false", stretchy = "false", symmetric = "false", largeop = "false", movablelimits = "false", accent = "false", lspace = "0.0em", rspace = "0.0em"), Typesetting:-mo(" ", mathvariant = "normal", fence = "false", separator = "false", stretchy = "false", symmetric = "false", largeop = "false", movablelimits = "false", accent = "false", lspace = "0.0em", rspace = "0.0em"), Typesetting:-mo(" ", mathvariant = "normal", fence = "false", separator = "false", stretchy = "false", symmetric = "false", largeop = "false", movablelimits = "false", accent = "false", lspace = "0.0em", rspace = "0.0em"), Typesetting:-mo(" ", mathvariant = "normal", fence = "false", separator = "false", stretchy = "false", symmetric = "false", largeop = "false", movablelimits = "false", accent = "false", lspace = "0.0em", rspace = "0.0em"), Typesetting:-mo(" ", mathvariant = "normal", fence = "false", separator = "false", stretchy = "false", symmetric = "false", largeop = "false", movablelimits = "false", accent = "false", lspace = "0.0em", rspace = "0.0em"), Typesetting:-mo(" ", mathvariant = "normal", fence = "false", separator = "false", stretchy = "false", symmetric = "false", largeop = "false", movablelimits = "false", accent = "false", lspace = "0.0em", rspace = "0.0em"), Typesetting:-mo(" ", mathvariant = "normal", fence = "false", separator = "false", stretchy = "false", symmetric = "false", largeop = "false", movablelimits = "false", accent = "false", lspace = "0.0em", rspace = "0.0em"), Typesetting:-mo(" ", mathvariant = "normal", fence = "false", separator = "false", stretchy = "false", symmetric = "false", largeop = "false", movablelimits = "false", accent = "false", lspace = "0.0em", rspace = "0.0em"), Typesetting:-mo(" ", mathvariant = "normal", fence = "false", separator = "false", stretchy = "false", symmetric = "false", largeop = "false", movablelimits = "false", accent = "false", lspace = "0.0em", rspace = "0.0em"), Typesetting:-mo(" ", mathvariant = "normal", fence = "false", separator = "false", stretchy = "false", symmetric = "false", largeop = "false", movablelimits = "false", accent = "false", lspace = "0.0em", rspace = "0.0em"), Typesetting:-mi("b", italic = "true", mathvariant = "italic"), Typesetting:-mo(" ", mathvariant = "normal", fence = "false", separator = "false", stretchy = "false", symmetric = "false", largeop = "false", movablelimits = "false", accent = "false", lspace = "0.0em", rspace = "0.0em"), Typesetting:-mo("≔", mathvariant = "normal", fence = "false", separator = "false", stretchy = "false", symmetric = "false", largeop = "false", movablelimits = "false", accent = "false", lspace = "0.2777778em", rspace = "0.2777778em"), Typesetting:-mo(" ", mathvariant = "normal", fence = "false", separator = "false", stretchy = "false", symmetric = "false", largeop = "false", movablelimits = "false", accent = "false", lspace = "0.0em", rspace = "0.0em"), Typesetting:-mi("map", italic = "true", mathvariant = "italic"), Typesetting:-mfenced(Typesetting:-mrow(Typesetting:-mi("coordinates", italic = "true", mathvariant = "italic"), Typesetting:-mo(",", mathvariant = "normal", fence = "false", separator = "true", stretchy = "false", symmetric = "false", largeop = "false", movablelimits = "false", accent = "false", lspace = "0.0em", rspace = "0.3333333em"), Typesetting:-mo(" ", mathvariant = "normal", fence = "false", separator = "false", stretchy = "false", symmetric = "false", largeop = "false", movablelimits = "false", accent = "false", lspace = "0.0em", rspace = "0.0em"), Typesetting:-mi("DefinedAs", italic = "true", mathvariant = "italic"), Typesetting:-mfenced(Typesetting:-mrow(Typesetting:-mi("segm", italic = "true", mathvariant = "italic")), mathvariant = "normal")), mathvariant = "normal"), Typesetting:-mfenced(Typesetting:-mrow(Typesetting:-mn("2", mathvariant = "normal")), mathvariant = "normal", open = "[", close = "]"), Typesetting:-mo(";", mathvariant = "normal", fence = "false", separator = "true", stretchy = "false", symmetric = "false", largeop = "false", movablelimits = "false", accent = "false", lspace = "0.0em", rspace = "0.2777778em"), Typesetting:-mspace(height = "0.0ex", width = "0.0em", depth = "0.0ex", linebreak = "newline"), Typesetting:-mspace(height = "0.0ex", width = "0.0em", depth = "0.0ex", linebreak = "auto"), Typesetting:-mo(" ", mathvariant = "normal", fence = "false", separator = "false", stretchy = "false", symmetric = "false", largeop = "false", movablelimits = "false", accent = "false", lspace = "0.0em", rspace = "0.0em"), Typesetting:-mo(" ", mathvariant = "normal", fence = "false", separator = "false", stretchy = "false", symmetric = "false", largeop = "false", movablelimits = "false", accent = "false", lspace = "0.0em", rspace = "0.0em"), Typesetting:-mo(" ", mathvariant = "normal", fence = "false", separator = "false", stretchy = "false", symmetric = "false", largeop = "false", movablelimits = "false", accent = "false", lspace = "0.0em", rspace = "0.0em"), Typesetting:-mo(" ", mathvariant = "normal", fence = "false", separator = "false", stretchy = "false", symmetric = "false", largeop = "false", movablelimits = "false", accent = "false", lspace = "0.0em", rspace = "0.0em"), Typesetting:-mo(" ", mathvariant = "normal", fence = "false", separator = "false", stretchy = "false", symmetric = "false", largeop = "false", movablelimits = "false", accent = "false", lspace = "0.0em", rspace = "0.0em"), Typesetting:-mo(" ", mathvariant = "normal", fence = "false", separator = "false", stretchy = "false", symmetric = "false", largeop = "false", movablelimits = "false", accent = "false", lspace = "0.0em", rspace = "0.0em"), Typesetting:-mo(" ", mathvariant = "normal", fence = "false", separator = "false", stretchy = "false", symmetric = "false", largeop = "false", movablelimits = "false", accent = "false", lspace = "0.0em", rspace = "0.0em"), Typesetting:-mo(" ", mathvariant = "normal", fence = "false", separator = "false", stretchy = "false", symmetric = "false", largeop = "false", movablelimits = "false", accent = "false", lspace = "0.0em", rspace = "0.0em"), Typesetting:-mo("catch", bold = "true", mathvariant = "bold", fontweight = "bold", fence = "false", separator = "false", stretchy = "false", symmetric = "false", largeop = "false", movablelimits = "false", accent = "false", lspace = "0.0em", rspace = "0.0em"), Typesetting:-mo(" ", mathvariant = "normal", fence = "false", separator = "false", stretchy = "false", symmetric = "false", largeop = "false", movablelimits = "false", accent = "false", lspace = "0.0em", rspace = "0.0em"), Typesetting:-ms("wrong type of arguments"), Typesetting:-mo(":", mathvariant = "normal", fence = "false", separator = "false", stretchy = "false", symmetric = "false", largeop = "false", movablelimits = "false", accent = "false", lspace = "0.2777778em", rspace = "0.2777778em"), Typesetting:-mspace(height = "0.0ex", width = "0.0em", depth = "0.0ex", linebreak = "newline"), Typesetting:-mspace(height = "0.0ex", width = "0.0em", depth = "0.0ex", linebreak = "auto"), Typesetting:-mo(" ", mathvariant = "normal", fence = "false", separator = "false", stretchy = "false", symmetric = "false", largeop = "false", movablelimits = "false", accent = "false", lspace = "0.0em", rspace = "0.0em"), Typesetting:-mo(" ", mathvariant = "normal", fence = "false", separator = "false", stretchy = "false", symmetric = "false", largeop = "false", movablelimits = "false", accent = "false", lspace = "0.0em", rspace = "0.0em"), Typesetting:-mo(" ", mathvariant = "normal", fence = "false", separator = "false", stretchy = "false", symmetric = "false", largeop = "false", movablelimits = "false", accent = "false", lspace = "0.0em", rspace = "0.0em"), Typesetting:-mo(" ", mathvariant = "normal", fence = "false", separator = "false", stretchy = "false", symmetric = "false", largeop = "false", movablelimits = "false", accent = "false", lspace = "0.0em", rspace = "0.0em"), Typesetting:-mo(" ", mathvariant = "normal", fence = "false", separator = "false", stretchy = "false", symmetric = "false", largeop = "false", movablelimits = "false", accent = "false", lspace = "0.0em", rspace = "0.0em"), Typesetting:-mo(" ", mathvariant = "normal", fence = "false", separator = "false", stretchy = "false", symmetric = "false", largeop = "false", movablelimits = "false", accent = "false", lspace = "0.0em", rspace = "0.0em"), Typesetting:-mo(" ", mathvariant = "normal", fence = "false", separator = "false", stretchy = "false", symmetric = "false", largeop = "false", movablelimits = "false", accent = "false", lspace = "0.0em", rspace = "0.0em"), Typesetting:-mo(" ", mathvariant = "normal", fence = "false", separator = "false", stretchy = "false", symmetric = "false", largeop = "false", movablelimits = "false", accent = "false", lspace = "0.0em", rspace = "0.0em"), Typesetting:-mo(" ", mathvariant = "normal", fence = "false", separator = "false", stretchy = "false", symmetric = "false", largeop = "false", movablelimits = "false", accent = "false", lspace = "0.0em", rspace = "0.0em"), Typesetting:-mo(" ", mathvariant = "normal", fence = "false", separator = "false", stretchy = "false", symmetric = "false", largeop = "false", movablelimits = "false", accent = "false", lspace = "0.0em", rspace = "0.0em"), Typesetting:-mo(" ", mathvariant = "normal", fence = "false", separator = "false", stretchy = "false", symmetric = "false", largeop = "false", movablelimits = "false", accent = "false", lspace = "0.0em", rspace = "0.0em"), Typesetting:-mo(" ", mathvariant = "normal", fence = "false", separator = "false", stretchy = "false", symmetric = "false", largeop = "false", movablelimits = "false", accent = "false", lspace = "0.0em", rspace = "0.0em"), Typesetting:-mo(" ", mathvariant = "normal", fence = "false", separator = "false", stretchy = "false", symmetric = "false", largeop = "false", movablelimits = "false", accent = "false", lspace = "0.0em", rspace = "0.0em"), Typesetting:-mo(" ", mathvariant = "normal", fence = "false", separator = "false", stretchy = "false", symmetric = "false", largeop = "false", movablelimits = "false", accent = "false", lspace = "0.0em", rspace = "0.0em"), Typesetting:-mo(" ", mathvariant = "normal", fence = "false", separator = "false", stretchy = "false", symmetric = "false", largeop = "false", movablelimits = "false", accent = "false", lspace = "0.0em", rspace = "0.0em"), Typesetting:-mo(" ", mathvariant = "normal", fence = "false", separator = "false", stretchy = "false", symmetric = "false", largeop = "false", movablelimits = "false", accent = "false", lspace = "0.0em", rspace = "0.0em"), Typesetting:-mo("error", bold = "true", mathvariant = "bold", fontweight = "bold", fence = "false", separator = "false", stretchy = "false", symmetric = "false", largeop = "false", movablelimits = "false", accent = "false", lspace = "0.0em", rspace = "0.0em"), Typesetting:-mo(" ", mathvariant = "normal", fence = "false", separator = "false", stretchy = "false", symmetric = "false", largeop = "false", movablelimits = "false", accent = "false", lspace = "0.0em", rspace = "0.0em"), Typesetting:-ms("something went wrong"), Typesetting:-mspace(height = "0.0ex", width = "0.0em", depth = "0.0ex", linebreak = "newline"), Typesetting:-mspace(height = "0.0ex", width = "0.0em", depth = "0.0ex", linebreak = "auto"), Typesetting:-mo(" ", mathvariant = "normal", fence = "false", separator = "false", stretchy = "false", symmetric = "false", largeop = "false", movablelimits = "false", accent = "false", lspace = "0.0em", rspace = "0.0em"), Typesetting:-mo(" ", mathvariant = "normal", fence = "false", separator = "false", stretchy = "false", symmetric = "false", largeop = "false", movablelimits = "false", accent = "false", lspace = "0.0em", rspace = "0.0em"), Typesetting:-mo(" ", mathvariant = "normal", fence = "false", separator = "false", stretchy = "false", symmetric = "false", largeop = "false", movablelimits = "false", accent = "false", lspace = "0.0em", rspace = "0.0em"), Typesetting:-mo(" ", mathvariant = "normal", fence = "false", separator = "false", stretchy = "false", symmetric = "false", largeop = "false", movablelimits = "false", accent = "false", lspace = "0.0em", rspace = "0.0em"), Typesetting:-mo(" ", mathvariant = "normal", fence = "false", separator = "false", stretchy = "false", symmetric = "false", largeop = "false", movablelimits = "false", accent = "false", lspace = "0.0em", rspace = "0.0em"), Typesetting:-mo(" ", mathvariant = "normal", fence = "false", separator = "false", stretchy = "false", symmetric = "false", largeop = "false", movablelimits = "false", accent = "false", lspace = "0.0em", rspace = "0.0em"), Typesetting:-mo(" ", mathvariant = "normal", fence = "false", separator = "false", stretchy = "false", symmetric = "false", largeop = "false", movablelimits = "false", accent = "false", lspace = "0.0em", rspace = "0.0em"), Typesetting:-mo(" ", mathvariant = "normal", fence = "false", separator = "false", stretchy = "false", symmetric = "false", largeop = "false", movablelimits = "false", accent = "false", lspace = "0.0em", rspace = "0.0em"), Typesetting:-mo("end", bold = "true", mathvariant = "bold", fontweight = "bold", fence = "false", separator = "false", stretchy = "false", symmetric = "false", largeop = "false", movablelimits = "false", accent = "false", lspace = "0.0em", rspace = "0.0em"), Typesetting:-mo(" ", mathvariant = "normal", fence = "false", separator = "false", stretchy = "false", symmetric = "false", largeop = "false", movablelimits = "false", accent = "false", lspace = "0.0em", rspace = "0.0em"), Typesetting:-mo("try", bold = "true", mathvariant = "bold", fontweight = "bold", fence = "false", separator = "false", stretchy = "false", symmetric = "false", largeop = "false", movablelimits = "false", accent = "false", lspace = "0.0em", rspace = "0.0em"), Typesetting:-mo(";", mathvariant = "normal", fence = "false", separator = "true", stretchy = "false", symmetric = "false", largeop = "false", movablelimits = "false", accent = "false", lspace = "0.0em", rspace = "0.2777778em"), Typesetting:-mspace(height = "0.0ex", width = "0.0em", depth = "0.0ex", linebreak = "newline"), Typesetting:-mspace(height = "0.0ex", width = "0.0em", depth = "0.0ex", linebreak = "auto"), Typesetting:-mo(" ", mathvariant = "normal", fence = "false", separator = "false", stretchy = "false", symmetric = "false", largeop = "false", movablelimits = "false", accent = "false", lspace = "0.0em", rspace = "0.0em"), Typesetting:-mo(" ", mathvariant = "normal", fence = "false", separator = "false", stretchy = "false", symmetric = "false", largeop = "false", movablelimits = "false", accent = "false", lspace = "0.0em", rspace = "0.0em"), Typesetting:-mo(" ", mathvariant = "normal", fence = "false", separator = "false", stretchy = "false", symmetric = "false", largeop = "false", movablelimits = "false", accent = "false", lspace = "0.0em", rspace = "0.0em"), Typesetting:-mo(" ", mathvariant = "normal", fence = "false", separator = "false", stretchy = "false", symmetric = "false", largeop = "false", movablelimits = "false", accent = "false", lspace = "0.0em", rspace = "0.0em"), Typesetting:-mo(" ", mathvariant = "normal", fence = "false", separator = "false", stretchy = "false", symmetric = "false", largeop = "false", movablelimits = "false", accent = "false", lspace = "0.0em", rspace = "0.0em"), Typesetting:-mo(" ", mathvariant = "normal", fence = "false", separator = "false", stretchy = "false", symmetric = "false", largeop = "false", movablelimits = "false", accent = "false", lspace = "0.0em", rspace = "0.0em"), Typesetting:-mo(" ", mathvariant = "normal", fence = "false", separator = "false", stretchy = "false", symmetric = "false", largeop = "false", movablelimits = "false", accent = "false", lspace = "0.0em", rspace = "0.0em"), Typesetting:-mo(" ", mathvariant = "normal", fence = "false", separator = "false", stretchy = "false", symmetric = "false", largeop = "false", movablelimits = "false", accent = "false", lspace = "0.0em", rspace = "0.0em"), Typesetting:-mi("c", italic = "true", mathvariant = "italic"), Typesetting:-mo(" ", mathvariant = "normal", fence = "false", separator = "false", stretchy = "false", symmetric = "false", largeop = "false", movablelimits = "false", accent = "false", lspace = "0.0em", rspace = "0.0em"), Typesetting:-mo("≔", mathvariant = "normal", fence = "false", separator = "false", stretchy = "false", symmetric = "false", largeop = "false", movablelimits = "false", accent = "false", lspace = "0.2777778em", rspace = "0.2777778em"), Typesetting:-mo(" ", mathvariant = "normal", fence = "false", separator = "false", stretchy = "false", symmetric = "false", largeop = "false", movablelimits = "false", accent = "false", lspace = "0.0em", rspace = "0.0em"), Typesetting:-mfenced(Typesetting:-mrow(Typesetting:-mi("a", italic = "true", mathvariant = "italic"), Typesetting:-mo(" ", mathvariant = "normal", fence = "false", separator = "false", stretchy = "false", symmetric = "false", largeop = "false", movablelimits = "false", accent = "false", lspace = "0.0em", rspace = "0.0em"), Typesetting:-mo("+", mathvariant = "normal", fence = "false", separator = "false", stretchy = "false", symmetric = "false", largeop = "false", movablelimits = "false", accent = "false", lspace = "0.2222222em", rspace = "0.2222222em"), Typesetting:-mo(" ", mathvariant = "normal", fence = "false", separator = "false", stretchy = "false", symmetric = "false", largeop = "false", movablelimits = "false", accent = "false", lspace = "0.0em", rspace = "0.0em"), Typesetting:-mi("b", italic = "true", mathvariant = "italic")), mathvariant = "normal"), Typesetting:-mo(" ", mathvariant = "normal", fence = "false", separator = "false", stretchy = "false", symmetric = "false", largeop = "false", movablelimits = "false", accent = "false", lspace = "0.0em", rspace = "0.0em"), Typesetting:-mo("/", mathvariant = "normal", fence = "false", separator = "false", stretchy = "true", symmetric = "false", largeop = "false", movablelimits = "false", accent = "false", lspace = "0.1666667em", rspace = "0.1666667em"), Typesetting:-mo(" ", mathvariant = "normal", fence = "false", separator = "false", stretchy = "false", symmetric = "false", largeop = "false", movablelimits = "false", accent = "false", lspace = "0.0em", rspace = "0.0em"), Typesetting:-mn("2", mathvariant = "normal"), Typesetting:-mo(";", mathvariant = "normal", fence = "false", separator = "true", stretchy = "false", symmetric = "false", largeop = "false", movablelimits = "false", accent = "false", lspace = "0.0em", rspace = "0.2777778em"), Typesetting:-mspace(height = "0.0ex", width = "0.0em", depth = "0.0ex", linebreak = "newline"), Typesetting:-mspace(height = "0.0ex", width = "0.0em", depth = "0.0ex", linebreak = "auto"), Typesetting:-mo(" ", mathvariant = "normal", fence = "false", separator = "false", stretchy = "false", symmetric = "false", largeop = "false", movablelimits = "false", accent = "false", lspace = "0.0em", rspace = "0.0em"), Typesetting:-mo(" ", mathvariant = "normal", fence = "false", separator = "false", stretchy = "false", symmetric = "false", largeop = "false", movablelimits = "false", accent = "false", lspace = "0.0em", rspace = "0.0em"), Typesetting:-mo(" ", mathvariant = "normal", fence = "false", separator = "false", stretchy = "false", symmetric = "false", largeop = "false", movablelimits = "false", accent = "false", lspace = "0.0em", rspace = "0.0em"), Typesetting:-mo(" ", mathvariant = "normal", fence = "false", separator = "false", stretchy = "false", symmetric = "false", largeop = "false", movablelimits = "false", accent = "false", lspace = "0.0em", rspace = "0.0em"), Typesetting:-mo(" ", mathvariant = "normal", fence = "false", separator = "false", stretchy = "false", symmetric = "false", largeop = "false", movablelimits = "false", accent = "false", lspace = "0.0em", rspace = "0.0em"), Typesetting:-mo(" ", mathvariant = "normal", fence = "false", separator = "false", stretchy = "false", symmetric = "false", largeop = "false", movablelimits = "false", accent = "false", lspace = "0.0em", rspace = "0.0em"), Typesetting:-mo(" ", mathvariant = "normal", fence = "false", separator = "false", stretchy = "false", symmetric = "false", largeop = "false", movablelimits = "false", accent = "false", lspace = "0.0em", rspace = "0.0em"), Typesetting:-mo(" ", mathvariant = "normal", fence = "false", separator = "false", stretchy = "false", symmetric = "false", largeop = "false", movablelimits = "false", accent = "false", lspace = "0.0em", rspace = "0.0em"), Typesetting:-mo("return", bold = "true", mathvariant = "bold", fontweight = "bold", fence = "false", separator = "false", stretchy = "false", symmetric = "false", largeop = "false", movablelimits = "false", accent = "false", lspace = "0.0em", rspace = "0.0em"), Typesetting:-mo(" ", mathvariant = "normal", fence = "false", separator = "false", stretchy = "false", symmetric = "false", largeop = "false", movablelimits = "false", accent = "false", lspace = "0.0em", rspace = "0.0em"), Typesetting:-mi("plots", italic = "true", mathvariant = "italic"), Typesetting:-mo(":-", mathvariant = "normal", fence = "false", separator = "false", stretchy = "false", symmetric = "false", largeop = "false", movablelimits = "false", accent = "false", lspace = "0.0em", rspace = "0.0em"), Typesetting:-mi("arrow", italic = "true", mathvariant = "italic"), Typesetting:-mfenced(Typesetting:-mrow(Typesetting:-mi("c", italic = "true", mathvariant = "italic"), Typesetting:-mo(",", mathvariant = "normal", fence = "false", separator = "true", stretchy = "false", symmetric = "false", largeop = "false", movablelimits = "false", accent = "false", lspace = "0.0em", rspace = "0.3333333em"), Typesetting:-mo(" ", mathvariant = "normal", fence = "false", separator = "false", stretchy = "false", symmetric = "false", largeop = "false", movablelimits = "false", accent = "false", lspace = "0.0em", rspace = "0.0em"), Typesetting:-mfenced(Typesetting:-mrow(Typesetting:-mi("a", italic = "true", mathvariant = "italic"), Typesetting:-mo(" ", mathvariant = "normal", fence = "false", separator = "false", stretchy = "false", symmetric = "false", largeop = "false", movablelimits = "false", accent = "false", lspace = "0.0em", rspace = "0.0em"), Typesetting:-mo("&uminus0;", mathvariant = "normal", fence = "false", separator = "false", stretchy = "false", symmetric = "false", largeop = "false", movablelimits = "false", accent = "false", lspace = "0.2222222em", rspace = "0.2222222em"), Typesetting:-mo(" ", mathvariant = "normal", fence = "false", separator = "false", stretchy = "false", symmetric = "false", largeop = "false", movablelimits = "false", accent = "false", lspace = "0.0em", rspace = "0.0em"), Typesetting:-mi("c", italic = "true", mathvariant = "italic"), Typesetting:-mo(",", mathvariant = "normal", fence = "false", separator = "true", stretchy = "false", symmetric = "false", largeop = "false", movablelimits = "false", accent = "false", lspace = "0.0em", rspace = "0.3333333em"), Typesetting:-mo(" ", mathvariant = "normal", fence = "false", separator = "false", stretchy = "false", symmetric = "false", largeop = "false", movablelimits = "false", accent = "false", lspace = "0.0em", rspace = "0.0em"), Typesetting:-mi("b", italic = "true", mathvariant = "italic"), Typesetting:-mo(" ", mathvariant = "normal", fence = "false", separator = "false", stretchy = "false", symmetric = "false", largeop = "false", movablelimits = "false", accent = "false", lspace = "0.0em", rspace = "0.0em"), Typesetting:-mo("&uminus0;", mathvariant = "normal", fence = "false", separator = "false", stretchy = "false", symmetric = "false", largeop = "false", movablelimits = "false", accent = "false", lspace = "0.2222222em", rspace = "0.2222222em"), Typesetting:-mo(" ", mathvariant = "normal", fence = "false", separator = "false", stretchy = "false", symmetric = "false", largeop = "false", movablelimits = "false", accent = "false", lspace = "0.0em", rspace = "0.0em"), Typesetting:-mi("c", italic = "true", mathvariant = "italic")), mathvariant = "normal", open = "[", close = "]"), Typesetting:-mo(",", mathvariant = "normal", fence = "false", separator = "true", stretchy = "false", symmetric = "false", largeop = "false", movablelimits = "false", accent = "false", lspace = "0.0em", rspace = "0.3333333em"), Typesetting:-mo(" ", mathvariant = "normal", fence = "false", separator = "false", stretchy = "false", symmetric = "false", largeop = "false", movablelimits = "false", accent = "false", lspace = "0.0em", rspace = "0.0em"), Typesetting:-mi("width", italic = "true", mathvariant = "italic"), Typesetting:-mo(" ", mathvariant = "normal", fence = "false", separator = "false", stretchy = "false", symmetric = "false", largeop = "false", movablelimits = "false", accent = "false", lspace = "0.0em", rspace = "0.0em"), Typesetting:-mo("=", mathvariant = "normal", fence = "false", separator = "false", stretchy = "false", symmetric = "false", largeop = "false", movablelimits = "false", accent = "false", lspace = "0.2777778em", rspace = "0.2777778em"), Typesetting:-mo(" ", mathvariant = "normal", fence = "false", separator = "false", stretchy = "false", symmetric = "false", largeop = "false", movablelimits = "false", accent = "false", lspace = "0.0em", rspace = "0.0em"), Typesetting:-mn("0.5", mathvariant = "normal"), Typesetting:-mo(",", mathvariant = "normal", fence = "false", separator = "true", stretchy = "false", symmetric = "false", largeop = "false", movablelimits = "false", accent = "false", lspace = "0.0em", rspace = "0.3333333em"), Typesetting:-mo(" ", mathvariant = "normal", fence = "false", separator = "false", stretchy = "false", symmetric = "false", largeop = "false", movablelimits = "false", accent = "false", lspace = "0.0em", rspace = "0.0em"), Typesetting:-mi("color", italic = "true", mathvariant = "italic"), Typesetting:-mo(" ", mathvariant = "normal", fence = "false", separator = "false", stretchy = "false", symmetric = "false", largeop = "false", movablelimits = "false", accent = "false", lspace = "0.0em", rspace = "0.0em"), Typesetting:-mo("=", mathvariant = "normal", fence = "false", separator = "false", stretchy = "false", symmetric = "false", largeop = "false", movablelimits = "false", accent = "false", lspace = "0.2777778em", rspace = "0.2777778em"), Typesetting:-mo(" ", mathvariant = "normal", fence = "false", separator = "false", stretchy = "false", symmetric = "false", largeop = "false", movablelimits = "false", accent = "false", lspace = "0.0em", rspace = "0.0em"), Typesetting:-mi("grey", italic = "true", mathvariant = "italic")), mathvariant = "normal"), Typesetting:-mi(""), Typesetting:-mspace(height = "0.0ex", width = "0.0em", depth = "0.0ex", linebreak = "newline"), Typesetting:-mspace(height = "0.0ex", width = "0.0em", depth = "0.0ex", linebreak = "auto"), Typesetting:-mo("end", bold = "true", mathvariant = "bold", fontweight = "bold", fence = "false", separator = "false", stretchy = "false", symmetric = "false", largeop = "false", movablelimits = "false", accent = "false", lspace = "0.0em", rspace = "0.0em"), Typesetting:-mo(" ", mathvariant = "normal", fence = "false", separator = "false", stretchy = "false", symmetric = "false", largeop = "false", movablelimits = "false", accent = "false", lspace = "0.0em", rspace = "0.0em"), Typesetting:-mo("proc", bold = "true", mathvariant = "bold", fontweight = "bold", fence = "false", separator = "false", stretchy = "false", symmetric = "false", largeop = "false", movablelimits = "false", accent = "false", lspace = "0.0em", rspace = "0.0em"), Typesetting:-mo(":", mathvariant = "normal", fence = "false", separator = "false", stretchy = "false", symmetric = "false", largeop = "false", movablelimits = "false", accent = "false", lspace = "0.2777778em", rspace = "0.2777778em"))

with(geometry)

point(A, 0, 0), point(B, 1, 1)

segment(AB, [A, B])

CD := "test"

try plots:-display(Segment2Arrow(CD)) catch "wrong type of argument": print("caught!") end try

"caught!"

NULL

Download CatchMeIfYouCan_ac.mw

Some years ago a decision was made to add argument coercion to the Matrix/Vector parameters of many LinearAlgebra commands.

(Below, note the ~Matrix rather than just Matrix, as the type-specfication for parameter A. That's the syntax for the coercion parameter modifier.)

showstat(LinearAlgebra:-RowDimension);

LinearAlgebra:-RowDimension := proc(A::~Matrix, $)
   1   op([1, 1],A)
end proc

I'm not entirely sure why it isn't mentioned on the individual Help pages of the relevant commands; it's possible(?) that someone imagined that people might find it more confusing than helpful to see it described in great detail on each such page.

note. Even the older (now deprecated) linalg package's commands accepted listlist/list even though their Help pages mostly mentioned only matrix/vector.

I am not a fan of this general and wide-spread use of coercion. It's a hidden performance penalty -- quietly allowing often unnecessary use of data structures which entail inefficient copying (casting to Matrix/Vector) on each call. Encouraging users to utilize the right (efficient) data structures -- where possible -- would be better than silently passing through on inefficient programming.

restart

ee := Eval(`ϕ`(t), t = 0) = `ϕ__0`, Eval(diff(`ϕ`(t), t), t = 0) = 0

Eval(varphi(t), t = 0) = varphi__0, Eval(diff(varphi(t), t), t = 0) = 0


Since value automatically maps across sets, you don't need
map or elementwise value~ .

But you do need to deal with the unevaluated eval call, as
returned by convert(...,D) here. Your Question's title asked,
"Why a separate input line is required...". The "separate input
line
" (statement) gets you a full evaluation, at top-level. But
that "separate input line" is not "required", since you can can
also get the missing evaluation by an explicit eval call.


So, this too is adequate,
 

value(eval(convert({ee}, D)))

{varphi(0) = varphi__0, (D(varphi))(0) = 0}


As mentioned, the problem occurs because the following
returns with an unevaluated lowercase eval call.

foo := convert(Eval(diff(`ϕ`(t), t), t = 0) = 0, D)

eval((D(varphi))(t), t = 0) = 0

foo# full evaluation

(D(varphi))(0) = 0

eval(foo, 1)# what's actually in foo

eval((D(varphi))(t), t = 0) = 0


lprint(eval(foo,1));lprint(eval(foo, 1))

eval(D(varphi)(t),t = 0) = 0

NULL

Download Convert_inert_IC_to_D_notation_ac.mw

You're getting that first example's error because the name x is already being used for statevariable. That's what the error message means.

It seems reasonable to me, to disallow using the same name simultaneously for more than one DynamicSystems meaning.

So, if you first change statevariable to some name other than x, you would then be able to set x for statevariable.

You could also change both in the same call.

restart;

DynamicSystems:-SystemOptions('statevariable');

x

DynamicSystems:-SystemOptions('statevariable'=p):

DynamicSystems:-SystemOptions('statevariable');

p

DynamicSystems:-SystemOptions('continuoustimevar'=x):

DynamicSystems:-SystemOptions('continuoustimevar');

x

restart;

DynamicSystems:-SystemOptions('statevariable','continuoustimevar');

x, t

DynamicSystems:-SystemOptions('statevariable'=p,'continuoustimevar'=x):

DynamicSystems:-SystemOptions('statevariable','continuoustimevar');

p, x

Download DS_sysopts.mw

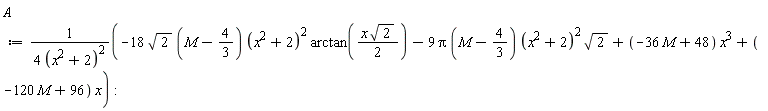
For your example you can find an exact symbolic expression for the maximum value of A, given x<0 and M>0.

You can plot that maximal value of A (for x=-5..0) against M.

If you're also interested in the percent loss of Amax (down from its value at M=1.2431) , against M, then you could plot that too. You could also adorn that in a few ways.

restart

plots:-setoptions(size = [500, 400])

A := (-18*sqrt(2)*(M-4/3)*(x^2+2)^2*arctan((1/2)*x*sqrt(2))-9*Pi*(M-4/3)*(x^2+2)^2*sqrt(2)+(-36*M+48)*x^3+(-120*M+96)*x)/(4*(x^2+2)^2)

xmax := `assuming`([solve({M > 0, diff(A, x), x < 0}, x)[]], [M > 0, x < 0])

x = -(2*M-2)^(1/2)

Amax := `assuming`([simplify(eval(A, xmax))], [M > 0])

(1/2)*(-3*arccot((1/2)*(2*M-2)^(1/2)*2^(1/2))*M*(3*M-4)*2^(1/2)+3*(2*M-2)^(1/2)*(3*M-2))/M

evalf(eval(Amax, M = 1.2431))

2.093971563

eval(xmax, M = 1.2431)

x = -.6972804314

evalf(eval(Amax, M = 1.3015))

1.920953647

eval(xmax, M = 1.3015)

x = -.7765307463

plots:-display(plot(eval(A, M = 1.2431), x = -5 .. 0, color = red), plot(eval(A, M = 1.3015), x = -5 .. 0, color = blue), plots:-pointplot([eval([rhs(xmax), Amax], M = 1.2431), eval([rhs(xmax), Amax], M = 1.3015)], symbolsize = 15, symbol = solidcircle))

plot(Amax, M = 1.2431 .. 10)

perc_loss := proc (Mval) if not Mval::numeric then return ('procname')(Mval) end if; evalhf(100*(eval(Amax, M = 1.2431)-(eval(Amax, M = Mval)))/(eval(Amax, M = 1.2431))) end proc

Percent loss of Amax from M=1.2431 to M=1.3015

perc_loss(1.3015)

8.26266789033885196

evalf(eval(Amax, M = 1.2431)); evalf(eval(Amax, M = 1.3015)); 100*(`%%`-%)/`%%`

2.093971563

1.920953647

8.262667892

NULLPercent loss of Amax from M=1.2431 to M=2.3

perc_loss(2.3)

65.4459596398001366

Ploss := plot(perc_loss(M), M = 1.2431 .. 3.0, caption = typeset("% loss from ", A__max(M = 1.2431) = evalf[6](evalf[15](eval(Amax, M = 1.2431)))), labels = [M, "% loss"])

plots:-display(Ploss, plots:-pointplot([[1.3015, perc_loss(1.3015)]], symbol = solidcircle, symbolsize = 15, color = blue), plots:-textplot([1.3015, perc_loss(1.3015), typeset(evalf[3](perc_loss(1.3015)), "% loss, at ", M = 1.3015)], 'align' = {'right'}), plots:-pointplot([[2.3, perc_loss(2.3)]], symbol = solidcircle, symbolsize = 15, color = blue), plots:-textplot([2.3, perc_loss(2.3), M = 2.3], 'align' = {'above', 'left'}))

Download Help_percentage_accc.mw

You could also find the value of M at which Amax is 13% of (ie. 0.13 times) the reference value of Amax at M=1.2431.  In other words, 87% loss. The answer, shown below, is M=4.2553 approximately.

L87 := fsolve(perc_loss(M)=87, M=1.2431..10);

         L87 := 4.255250652

A87 := evalf( eval(Amax,M=L87) );

         A87 := 0.272216303

# check
evalf( ( eval(Amax,M=1.2431) - eval(Amax,M=L87) )/eval(Amax,M=1.2431) );

            0.8700000001

# check
evalf( eval(Amax,M=L87)/eval(Amax,M=1.2431) )

            0.1299999999

 

restart:

plots:-setoptions(size=[600,200],xtickmarks=piticks);

 

eq1 := diff(X(t), t) - Y(t) = 0:
eq2 := diff(Y(t), t) + X(t) = 0:
ics := X(0) = 1, Y(0) = 0:

 

solfe:=dsolve({eq1,eq2,ics},{X(t),Y(t)},numeric,
              method=classical[foreuler]):

plots:-odeplot(solfe,[t,X(t)-cos(t)],t=0..4*Pi);

solam:=dsolve({eq1,eq2,ics},{X(t),Y(t)},numeric,
              method=classical[abmoulton]):

plots:-odeplot(solam,[t,X(t)-cos(t)],t=0..4*Pi);

solrkf45:=dsolve({eq1,eq2,ics},{X(t),Y(t)},numeric,
                 method=rkf45,relerr=1e-13,abserr=1e-13):

plots:-odeplot(solrkf45,[t,X(t)-cos(t)],t=0..4*Pi);

Download SMMS_ac.mw

In such situations I usually utilize algsubs or simplify-with-side-relations to accomplish the temporary substitution of the target subexpression by a token (since subs would fail due to the absence of the target structurally).

For a token I sometimes use a double-underscore name since that should ideally not be otherwise present. For more a more programmatic approach I sometimes utilize freeze & thaw, which also lets me skirt having to reverse the substituion-equation.

restart;

 

eq :=c*Int(f(x), x) = something - 2*b*c*Int(f(x), x);

c*(Int(f(x), x)) = something-2*b*c*(Int(f(x), x))

# This will not work, since lhs(eq) is
# not structurally present as a subexpression
# in rhs(eq)

isolate(eq, lhs(eq));

c*(Int(f(x), x)) = something-2*b*c*(Int(f(x), x))

subs( __K=lhs(eq),
      isolate( algsubs( lhs(eq)=__K, eq ), __K ) );

c*(Int(f(x), x)) = something/(2*b+1)

thaw( isolate( algsubs( lhs(eq)=freeze(lhs(eq)), eq ),
               freeze(lhs(eq)) ) );

c*(Int(f(x), x)) = something/(2*b+1)

subs( __K=lhs(eq),
      isolate( simplify( eq, {lhs(eq)=__K} ), __K ) );

c*(Int(f(x), x)) = something/(2*b+1)

thaw( isolate( simplify( eq, {lhs(eq)=freeze(lhs(eq))} ),
               freeze(lhs(eq)) ) );

c*(Int(f(x), x)) = something/(2*b+1)

Download asi.mw

All of the above works in your older Maple 2015.2 version.

In current Maple 2023.0 you could alternatively utilize Physics:-Substitute (instead of algsubs or simplify-with-side-relations) for the first step of substiting for the target by a token. But that doesn't make it easier.

Useful might be something like (I'm making this up),
   PDETools:-Solve(eq,lhs(eq))
as a means to directly handle this whole task.

It seems that subs can handle your example in a straightforward manner,

In particular, you don't have to construct your eq_Dx equation by any manual copy&paste, ie. of a denominator in the rhs of the original. It can be formed programmatically.

restart;

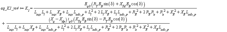
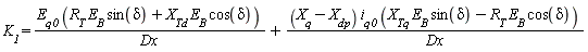
eq_K1_m4 := K__1 = E__q0*(R__T*E__B*sin(delta) + X__Td*E__B*cos(delta))/(L__aqs*L__l + L__aqs*X__E + L__aqs*L__ads_p + L__l^2 + 2*L__l*X__E + L__l*L__ads_p + R__E^2 + 2*R__E*R__a + R__a^2 + X__E^2 + X__E*L__ads_p) + (X__q - X__dp)*i__q0*(X__Tq*E__B*sin(delta) - R__T*E__B*cos(delta))/(L__aqs*L__l + L__aqs*X__E + L__aqs*L__ads_p + L__l^2 + 2*L__l*X__E + L__l*L__ads_p + R__E^2 + 2*R__E*R__a + R__a^2 + X__E^2 + X__E*L__ads_p);

K__1 = E__q0*(R__T*E__B*sin(delta)+X__Td*E__B*cos(delta))/(L__aqs*L__l+L__aqs*X__E+L__aqs*L__ads_p+L__l^2+2*L__l*X__E+L__l*L__ads_p+R__E^2+2*R__E*R__a+R__a^2+X__E^2+X__E*L__ads_p)+(X__q-X__dp)*i__q0*(X__Tq*E__B*sin(delta)-R__T*E__B*cos(delta))/(L__aqs*L__l+L__aqs*X__E+L__aqs*L__ads_p+L__l^2+2*L__l*X__E+L__l*L__ads_p+R__E^2+2*R__E*R__a+R__a^2+X__E^2+X__E*L__ads_p)

subs(denom(rhs(eq_K1_m4))=Dx,eq_K1_m4)

K__1 = E__q0*(R__T*E__B*sin(delta)+X__Td*E__B*cos(delta))/Dx+(X__q-X__dp)*i__q0*(X__Tq*E__B*sin(delta)-R__T*E__B*cos(delta))/Dx


Your original worksheet already had this additional equation:

eq_Dx := Dx = L__aqs*L__l + L__aqs*X__E + L__aqs*L__ads_p + L__l^2 + 2*L__l*X__E + L__l*L__ads_p + R__E^2 + 2*R__E*R__a + R__a^2 + X__E^2 + X__E*L__ads_p;

Dx = L__aqs*L__l+L__aqs*X__E+L__aqs*L__ads_p+L__l^2+2*L__l*X__E+L__l*L__ads_p+R__E^2+2*R__E*R__a+R__a^2+X__E^2+X__E*L__ads_p

 

In that case, all you'd need is,

 

subs((rhs=lhs)(eq_Dx),eq_K1_m4)

K__1 = E__q0*(R__T*E__B*sin(delta)+X__Td*E__B*cos(delta))/Dx+(X__q-X__dp)*i__q0*(X__Tq*E__B*sin(delta)-R__T*E__B*cos(delta))/Dx

Download Q20230606_ac2.mw

That latter one is like Edgardo's, except that it uses subs instead of Physics:-Substitute. (That is, there's not much especially tricky about this example.)

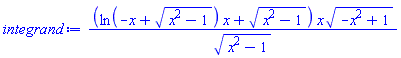
This is not very attractive, but agrees, for real x (almost everywhere, leaving out x=1 say).

restart;

integrand := (ln(-x + sqrt(x^2 - 1))*x
              + sqrt(x^2 - 1))*x*sqrt(-x^2 + 1)/sqrt(x^2 - 1);

(ln(-x+(x^2-1)^(1/2))*x+(x^2-1)^(1/2))*x*(-x^2+1)^(1/2)/(x^2-1)^(1/2)

H:=Int(integrand,x):

A1 := simplify(evala(eval(value(IntegrationTools:-Change(H, s=-x+sqrt(x^2-1), s)),
                          s=-x+sqrt(x^2-1)))) assuming s::real;

((1/9)*I)*(3*ln(-x+(x^2-1)^(1/2))*x^3+4*(x^2-1)^(1/2)*x^2-(x^2-1)^(1/2))

simplify( diff(A1, x) - integrand ) assuming Or(x<=-1,x>=1);

0

simplify( diff(A1, x) + integrand ) assuming x>=-1,x<=1;

0

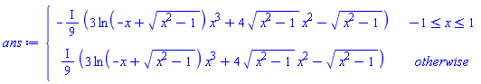
ans := piecewise(x>=-1 and x<=1, -A1, A1);

ans := piecewise(-1 <= x and x <= 1, -(I*(1/9))*(3*ln(-x+sqrt(x^2-1))*x^3+4*sqrt(x^2-1)*x^2-sqrt(x^2-1)), (I*(1/9))*(3*ln(-x+sqrt(x^2-1))*x^3+4*sqrt(x^2-1)*x^2-sqrt(x^2-1)))

Download ugly.mw

Here are some examples.

Adjust the various options, as wanted.  See also the Help page with topic plot,options (in Maple's own Help, or online).

restart;

sol7:= dsolve({D(N)(t) = N(t), N(0)=1}, type=numeric):

 

plots:-display(
  plots:-textplot([4.4,120,N(t)]),
  plots:-odeplot( sol7, [t, N(t), color = red,
                  thickness = 2, linestyle = dot], 0 .. 5),
  labels = [t,N(t)], size=[475,400] );

plots:-odeplot( sol7, [t, N(t), color = red,
                thickness = 2, linestyle = dot], 0 .. 5,
                legend = N, size = [450,400] );

plots:-odeplot( sol7, [t, N(t), color = red,
                thickness = 2, linestyle = dot], 0 .. 5,
                labels = [t,N(t)], legendstyle = [location=right],
                legend = N(t), size = [575,400] );

plots:-display(
  plots:-textplot([4.4,120,N(t)]),
  plots:-odeplot( sol7, [t, N(t), color = red,
                  thickness = 2, linestyle = dot], 0 .. 5),
  labels = [t,""], size=[475,400] );

 

Download ode_leg_lab_ex1.mw

Here is a somewhat crude approach to your problem, using Maple 18.02.

There are several ways to make it fancier, or more general (but I only had 10 minutes for it).

I made very little effort to make it efficient.

restart;

f := z -> (z^2-1)^2;

proc (z) options operator, arrow; (z^2-1)^2 end proc

df := D(f);

proc (z) options operator, arrow; 4*(z^2-1)*z end proc

R := proc(re,im) local z;
   if not [re,im]::list(numeric) then
     return 'procname'(args);
   end if;
   z := re+I*im;
   z := evalhf( z - f(z)/df(z) );
   Re(z),Im(z);
end proc:

T := proc(re,im,N::posint:=20,eps::float:=1e-5) local z;
   if not [re,im]::list(numeric) then
     return 'procname'(args);
   end if;
   z := (R@@N)(re,im);
   z := z[1] + I*z[2];
   if abs(z - 1.0) < abs(eps) then
     1.0;
   elif abs(z + 1.0) < abs(eps) then
     -1.0;
   else 0.0; end if;
end proc:

#plot3d(T(x,y,30), x=-2..2, y=-2..2, grid=[151,151],
#       orientation=[-90,0,0], style=surface, lightmodel=none,
#       colorscheme=["zgradient",[green,black,red]]);

plots:-densityplot(T(x,y,30), x=-2..2, y=-2..2,
       grid=[151,151], style=surface,
       colorscheme=["zgradient",[green,black,red]]);

plots:-densityplot(T(x,y,30,1e-8), x=-2..2, y=-2..2,
       grid=[151,151], style=surface,
       colorscheme=["zgradient",[green,black,red]]);

 

Download simp_newt.mw

[edit] Here is some rough code that shades by varied intensity, according to how many iteration it took to get below a threshold value.

(It's not very robust, as far as adjusting the max.iteration or tolerance values, but seems ok for these values. Sorry, I don't have time to improve it.)

restart;

f := z -> (z^2-1)^2;

proc (z) options operator, arrow; (z^2-1)^2 end proc

df := D(f);

proc (z) options operator, arrow; 4*(z^2-1)*z end proc

R := proc(re,im) option remember;
   local z;
   if not [re,im]::list(numeric) then
     return 'procname'(args);
   end if;
   z := re+I*im;
   z := evalhf( z - f(z)/df(z) );
   Re(z),Im(z);
end proc:

Hfun := proc(re,im)
  local i, lre, lim;
  if not [re,im]::list(numeric) then
     return 'procname'(args);
  end if;
  (lre,lim) := re,im;
  for i from 1 to 30 do
    (lre,lim) := R(lre,lim);
  end do;
  if abs(lre+I*lim + 1.0) < 1e-8 then
    0.4;
  elif abs(lre+I*lim - 1.0) < 1e-8 then
    0.0;
  else 0.7; end if;
end proc:
Vfun := proc(re,im)
  local i, lre, lim;
  if not [re,im]::list(numeric) then
     return 'procname'(args);
  end if;
  (lre,lim) := re,im;
  for i from 1 to 30 do
    (lre,lim) := R(lre,lim);
    if abs(lre+I*lim + 1.0) < 1e-8
     or abs(lre+I*lim - 1.0) < 1e-8 then
      return abs(1-ln(i/19));
    end if;
  end do;
  return 0.0;
end proc:

plot3d(1, x=-2..2, y=-2..2, grid=[140,140],
       orientation=[-90,0,0], style=surface, lightmodel=none,
       color=[Hfun(x,y),1.0,Vfun(x,y),colortype=HSV]);

 

Download simp_newt_alt.mw

ps. Apart from not having much spare time, I apologize but I'm not so inclined to make it more general for the requirement that the Maple version is 9 years and 9 major releases out-of-date.

First 44 45 46 47 48 49 50 Last Page 46 of 338