acer

32592 Reputation

29 Badges

20 years, 39 days
Ontario, Canada

Social Networks and Content at Maplesoft.com

MaplePrimes Activity


These are answers submitted by acer

You may pass the option explicit (or explicit=true) to the solve command and obtain the explicit roots of a 4th degree polynomial directly, with a single command.

For your example, say,

    solve(Opt_effort_FOC = 0, e[n], explicit)

Inside the procedure p2 you need to use the global name :-debug as the name of the keyword option when it calls procedure p1.

p1 := proc(a, b, {debug::truefalse := false})
   print("p1", debug);
   a + b;
end proc:

p2 := proc(a, b, {debug::truefalse := false})
   print("p2", debug);
   p1(a, b, ':-debug' = true);
end proc:

p2(1, 2, 'debug' = true);

              "p2", true
              "p1", true
                  3

Otherwise your p2 is calling p1 with true=true, since inside p2
    debug = true
evaluates using the value of the p2 parameter that is also named debug.

Here is what's happening in your original. Notice the arguments that p2 passes to p1 include
   true = true
and not
   debug=true
which was what you'd expected.

restart;

p1 := proc(a, b, {debug::truefalse := false})
   print("p1", debug);
   a + b;
end proc:

p2 := proc(a, b, {debug::truefalse := false})
   print("p2", debug);
   p1(a, b, debug = true);
end proc:

trace(p1):
trace(p2):

p2(1, 2, 'debug' = true);
{--> enter p2, args = 1, 2, debug = true
                           "p2", true

{--> enter p1, args = 1, 2, true = true
                          "p1", false

                               3

<-- exit p1 (now in p2) = 3}
                               3

<-- exit p2 (now at top level) = 3}
                               3

Now observe what happens in the corrected version. Notice what arguments p2 passed to p1.

restart;

p1 := proc(a, b, {debug::truefalse := false})
   print("p1", debug);
   a + b;
end proc:

p2 := proc(a, b, {debug::truefalse := false})
   print("p2", debug);
   p1(a, b, ':-debug' = true);
end proc:

trace(p1):
trace(p2):

p2(1, 2, 'debug' = true);
{--> enter p2, args = 1, 2, debug = true
                           "p2", true

{--> enter p1, args = 1, 2, debug = true
                           "p1", true

                               3

<-- exit p1 (now in p2) = 3}
                               3

<-- exit p2 (now at top level) = 3}
                               3

By the way, I wrote as ':-debug' = true so that it would work even if the global name :-debug had also been assigned a value (at the top-level, say). Strictly speaking I didn't have to do that, since :-debug is a protected name. But for the same situation involving other (unprotected) names you could have that situation. So I wanted to illustrate to you the more robust way.

[note: See here for details I gave in your earlier Question thread, for plotting the 0-contour using interpolation of 0-height data that is computed more robustly. That seems to make this Question thread less relevant...]

You appear to be using Maple 2021, so you can use the newer Interpolation package (new in Maple 2018), which makes the task of interpolation "on-the-fly" easier.

The black-box that it returns can be subsequently polled at arbitrary x-y pairs, so you can easily use it with the contourplot command.

The problem is that you original data is quite flat for higher y-values, and the data you generated for it seems to lack enough precision to allow the 0-contour to be traced out nicely. (I alluded to this in your earlier Question thread, since I had already tried what I show below...)

In the plot below you can see that it has difficulty following the 0-contour, and slight inaccuracy in the original data can cause it to veer off the (exact) course.

Using ArrayInterpolation would not fix this issue, in and of itself. That command merely provides a mechanism to compute all the interpolated x-y target points in batch. I suspect that a good fix would require greater accuracy in the originally generated data -- which would be slower, and you earlier asked for it to be faster. It's possible that a scaling of the data to give it greater slope might be a kludge. But since the curve represents a function (in the mathematical sense) then it be more robustly found using fsolve (to find the alpha corresponding to each beta); again, see here.

restart;

kernelopts(version);

`Maple 2021.2, X86 64 LINUX, Nov 23 2021, Build ID 1576349`

with(plots):

excelfile:= FileTools:-JoinPath([kernelopts(':-homedir'),
                                "mapleprimes","N_data.xlsx"]):

NN := ImportMatrix(excelfile,'source'=':-Excel'):

(m,n) := op(1,NN);

51, 51

alpha := Vector([seq(0..10.0,'numelems'=n)],'datatype'=':-float[8]'):

beta := Vector([seq(0..10.0,'numelems'=m)],'datatype'=':-float[8]'):

 

func := Interpolation:-CubicInterpolation([beta,alpha],NN):

 

contourplot(func(x,y), x=0..10, y=0..10, 'contours'=[-1e-8,0,1e-8],
            'grid'=[m*2,n*2], coloring=[red,blue],
            'view'=[0..10,0..10], 'size'=[400,400]);

Download test1_interp_acc.mw

It's not very helpful to split these detail and highly related queries across multiple Question threads. At this time the .xlsx data file is at attachment in your earlier thread, but not in this one. And the quantitative nature of that data bears on which are decent courses of action.

Please try to keep your related queries in the same thread, even if nobody yet answers all to your satisfaction.

There is a special substructure of a 2D plot which the GUI recognizes as instructions for filling a popup box when the mouse-pointer's focus lies over that particular plot feature.

You can build that into your individual plot features (curves, points,...) by using the annotation option.

See the Help page for Topic plot,annotation .

The names generated by solve come in only a few flavours, so you might be able to get by without need for consideration of the names in the original expression f. For example,

restart;
assume(M::nonnegative):
f := 10*cos((-1+t)/sqrt(1+M))-10*cos(t/sqrt(1+M)):
g := solve({diff(f, t), t>0 }, t, allsolutions)[1][1]:

indets(rhs(g),And(name,Not(constant),
                  ':-suffixed(:-_)'));

           {_Z2}

indets(rhs(g),And(name,Not(constant),
                  ':-suffixed({:-_B,:-N,:-_Z})'));

           {_Z2}

I don't see a natural reason to attempt a heavy handed approach like as follows. (The original expression might have already had such generated names, in which case a combined approach might be needed.)

convert(indets(f,And(name,Not(constant))),`global`):
convert(indets(rhs(g),And(name,Not(constant))),`global`) minus %;

           {_Z2}

Simpler results can be had in Maple 2022.1, using the method below.

Perhaps someone can come up with something more direct. I programmatically determine the second root, to be less ad hoc about passing a range to Calculus1:-Roots.

The Calculus1:-Roots and maximize commands have a special (peppering) technique for determining values of the _Zxx assumed-integer parameter that solve returns here when passed its allsolutions option.

The solve command has improved in the past few releases, as far as returning a finite number of explicit roots when passed inequalities that denote a finite range. But it still seems not generally as strong as that internal technique of Roots and maximize. For this example solve returns a general formula when supplied its allsolutions option, but seems to return NULL when instead passed various reasonable inequalities, e.g t>0,t<10.

Here it is first with Maple 2015.2,

restart;

kernelopts(version);

`Maple 2015.2, X86 64 LINUX, Dec 20 2015, Build ID 1097895`

with(plots):

shock := piecewise(t <0, 0, t < 1, 10, 0):
sys   := {(M__p+M__a)*diff(x(t), t$2)=M__p*shock-x(t), x(0)=0, D(x)(0)=0}

sys := {(`#msub(mi("M"),mi("p"))`+`#msub(mi("M"),mi("a"))`)*(diff(x(t), t, t)) = `#msub(mi("M"),mi("p"))`*piecewise(t < 0, 0, t < 1, 10, 0)-x(t), x(0) = 0, (D(x))(0) = 0}

sol := unapply(rhs(dsolve(sys)), (M__p,M__a))

proc (M__p, M__a) options operator, arrow; piecewise(t < 0, 0, t < 1, -10*M__p*cos(t/(M__p+M__a)^(1/2))+10*M__p, 1 <= t, 10*M__p*cos((-1+t)/(M__p+M__a)^(1/2))-10*M__p*cos(t/(M__p+M__a)^(1/2))) end proc

# Computation of tend for M__p=M__a=2
#
# Im expecting to get a value around 6.8

gensol := solve({sol(2,2),t>0},t,allsolutions);

{t = -2*arctan((cos(1/2)-1)/sin(1/2))+2*Pi*_Z2}

RootFinding:-NextZero(unapply(sol(2,2),t),0);
secondroot := RootFinding:-NextZero(unapply(sol(2,2),t),%);

6.783185307

13.06637061

# Maple 2022.1 gives 2*Pi+1/2 directly here, without using
# 'expand' with 'Roots', and without even any simplification
# done to the result
#
cands := {Student:-Calculus1:-Roots(expand(sol(2,2)),t=0..secondroot)[]};
tend := [op(cands minus {0})][1];
evalf(tend);

{0, -2*arctan((cos(1/2)-1)/sin(1/2))+2*Pi}

-2*arctan((cos(1/2)-1)/sin(1/2))+2*Pi

6.783185308

# Maple 2022.1 gives 0 here, without calling 'expand'.
#
xtend := simplify(expand(eval(sol(2,2),t=tend)));

0

# Maple 2022.1 gives 40*sin(1/4) directly here, without even calling 'simplify'
#
xmax := maximize(20*cos(((t - 1)*sqrt(4))/4) - 20*cos(sqrt(4)*t/4));
xmax := simplify(xmax);
evalf(xmax);

40/(1+cos(1/2)^2/sin(1/2)^2+2*cos(1/2)/sin(1/2)^2+1/sin(1/2)^2)^(1/2)

20*2^(1/2)*(-cos(1/2)+1)^(1/2)

9.896158366

# Maple 2022.1 gives Pi+1/2 here, without even using 'simplify'.
#
tmax := Student:-Calculus1:-Roots(expand(sol(2,2))=xmax,t=0..10)[1];
tmax := simplify(tmax);
evalf(tmax);

-2*arctan((cos(1/2)+1)/sin(1/2))+2*Pi

-2*arctan((cos(1/2)+1)/sin(1/2))+2*Pi

3.641592654

display(
  pointplot([[tmax,xmax], [tend,xtend]],
            symbolsize=20, symbol=solidcircle),
  plot(sol(2,2),t=0..10, size=[400,200])
);

 

Download ToyProblem_ac2015.2.mw

And here that is in Maple 2022.1,

restart;

kernelopts(version);

`Maple 2022.1, X86 64 LINUX, May 26 2022, Build ID 1619613`

with(plots):

shock := piecewise(t <0, 0, t < 1, 10, 0):
sys   := {(M__p+M__a)*diff(x(t), t$2)=M__p*shock-x(t), x(0)=0, D(x)(0)=0}

sys := {(M__p+M__a)*(diff(x(t), t, t)) = M__p*piecewise(t < 0, 0, t < 1, 10, 0)-x(t), x(0) = 0, (D(x))(0) = 0}

sol := unapply(rhs(dsolve(sys)), (M__p,M__a))

sol := proc (M__p, M__a) options operator, arrow; piecewise(t < 0, 0, t < 1, -10*M__p*cos(t/sqrt(M__p+M__a))+10*M__p, 1 <= t, -10*M__p*cos(t/sqrt(M__p+M__a))+10*M__p*cos((-1+t)/sqrt(M__p+M__a))) end proc

# Computation of tend for M__p=M__a=2
#
# Im expecting to get a value around 6.8

gensol := solve({sol(2,2),t>0},t,allsolutions);

{t = -2*arctan((-1+cos(1/2))/sin(1/2))+2*Pi*_Z2}

RootFinding:-NextZero(unapply(sol(2,2),t),0);
secondroot := RootFinding:-NextZero(unapply(sol(2,2),t),%);

6.783185307

13.06637061

cands := {Student:-Calculus1:-Roots(sol(2,2),t=0..secondroot)[]};
tend := [op(cands minus {0})][1];
evalf(tend);

{0, 1/2+2*Pi}

1/2+2*Pi

6.783185308

xtend := simplify(eval(sol(2,2),t=tend));

0

xmax := maximize(20*cos(((t - 1)*sqrt(4))/4) - 20*cos(sqrt(4)*t/4));
evalf(xmax);

40*sin(1/4)

9.896158372

tmax := Student:-Calculus1:-Roots(sol(2,2)=xmax,t=0..10)[1];
evalf(tmax);

1/2+Pi

3.641592654

display(
  pointplot([[tmax,xmax], [tend,xtend]],
            symbolsize=20, symbol=solidcircle),
  plot(sol(2,2),t=0..10, size=[400,200])
);

 

Download ToyProblem_ac2022.1.mw

Is this the kind of thing you were trying to accomplish?

I wasn't sure whether you wanted only the floating-point approximate root where f(n)=g(n), or an exact result for that, or the next highest integer above that where f(n)>g(n).

restart;

f := n -> 8*n^2:

g := n -> 64*n*log[2](n):

fsolve(f(n)=g(n),n=5..infinity);

43.55926044

ceil(%);

44

plot([f(n),g(n)],n=5..50, size=[500,300]);

Download ex1.mw

An exact result is also possible, in terms of the LambertW special-function.

solve({f(n)=g(n),n>5},n):

    { n = -8/ln(2)*LambertW(-1,-1/8*ln(2)) }

evalf(%);

   {n = 43.55926044}

Your Question shows an unevaluated call to intervalsolve, as a returned value. There is no such command in stock Maple. There is such a command in the Gym package (used by Danish schools). If using that command was your intention then you made two mistakes:

1) Your unevaluated return value shows that you failed to refer to its name properly. You could either use the command's fully qualified name (by including its package name in the call), or you could first load the package and then use the command's short name. See below, for examples of both.

2) The calling sequences of arguments that you passed is also incorrect for that Gym package's command. See below.

Here below is that command working in Maple 2021.2, called in a few alternate ways.

(These produce the same results in Maple 2022.1 and Maple 2020.2. You didn't tag your Question with your Maple version number; that can be useful information for us if it's an old version.)

restart;

kernelopts(version);

`Maple 2021.2, X86 64 LINUX, Nov 23 2021, Build ID 1576349`

f := n -> 8*n^2:

g := n -> 64*n*log[2](n):

Gym:-intervalsolve(f(n)=g(n),n=5..infinity);

[-8*LambertW(-1, -(1/8)*ln(2))/ln(2)]

Gym:-intervalsolve(f(n)=g(n),n=5..50);

[-8*LambertW(-1, -(1/8)*ln(2))/ln(2)]

with(Gym):

intervalsolve(f(n)=g(n),n=5..infinity);

[-8*LambertW(-1, -(1/8)*ln(2))/ln(2)]

intervalsolve(f(n)=g(n),n=5..50);

[-8*LambertW(-1, -(1/8)*ln(2))/ln(2)]

evalf(%);

[43.55926044]

Download intervalsolve_Gym.mw

plot( x, labels = [ `&Aring;`, y ],
         labelfont = [ Times, 14 ] );

Alternatives include the following (the Mapleprimes backend doesn't render them all, but my Maple 2022.1 GUI does):

`&Aring;`
`&#8491;`
`&#x212B;`

There is also,
   `#mo("&Aring;");`
which renders in upright Roman, instead of italic. It's possible to get alternate fonts with this upright variant, but it's messier and in that case you might well find Tom's Unit(angstrom) suggestion easier. For the italic, the above seems to work as well with alternate font families.

See also here, if you're more generally interested in fantastic beasts and where to find them.

unapply(x*cos(x), x)

or, in your example,

unapply(f,x)

where x is the intended symbol that appears in the expression to which f evaluates.

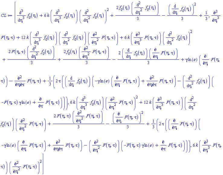
Below, CL is a list of the coefficients of powers of e^(-gamma*tau).

Is that what you're after?

restart

f := f__0(eta)+e^(-gamma*tau)*F(eta, tau)

f__0(eta)+e^(-gamma*tau)*F(eta, tau)

(1)

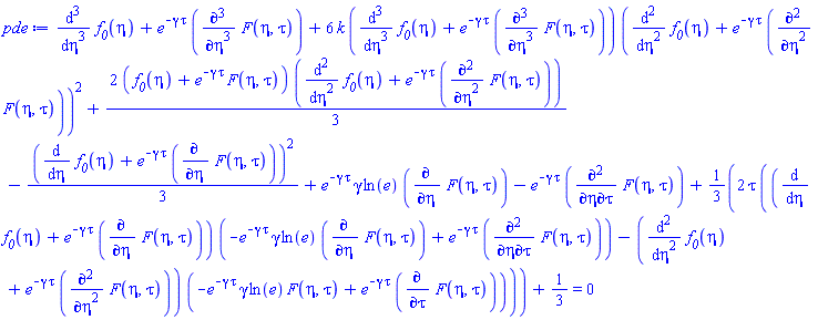
pde := diff(f, eta, eta, eta)+6*k*(diff(f, eta, eta, eta))*(diff(f, eta, eta))^2+(2/3)*f*(diff(f, eta, eta))-(1/3)*(diff(f, eta))^2-(diff(f, eta, tau))+(2/3)*tau*((diff(f, eta))*(diff(f, eta, tau))-(diff(f, eta, eta))*(diff(f, tau)))+1/3 = 0

diff(diff(diff(f__0(eta), eta), eta), eta)+e^(-gamma*tau)*(diff(diff(diff(F(eta, tau), eta), eta), eta))+6*k*(diff(diff(diff(f__0(eta), eta), eta), eta)+e^(-gamma*tau)*(diff(diff(diff(F(eta, tau), eta), eta), eta)))*(diff(diff(f__0(eta), eta), eta)+e^(-gamma*tau)*(diff(diff(F(eta, tau), eta), eta)))^2+(2/3)*(f__0(eta)+e^(-gamma*tau)*F(eta, tau))*(diff(diff(f__0(eta), eta), eta)+e^(-gamma*tau)*(diff(diff(F(eta, tau), eta), eta)))-(1/3)*(diff(f__0(eta), eta)+e^(-gamma*tau)*(diff(F(eta, tau), eta)))^2+e^(-gamma*tau)*gamma*ln(e)*(diff(F(eta, tau), eta))-e^(-gamma*tau)*(diff(diff(F(eta, tau), eta), tau))+(2/3)*tau*((diff(f__0(eta), eta)+e^(-gamma*tau)*(diff(F(eta, tau), eta)))*(-e^(-gamma*tau)*gamma*ln(e)*(diff(F(eta, tau), eta))+e^(-gamma*tau)*(diff(diff(F(eta, tau), eta), tau)))-(diff(diff(f__0(eta), eta), eta)+e^(-gamma*tau)*(diff(diff(F(eta, tau), eta), eta)))*(-e^(-gamma*tau)*gamma*ln(e)*F(eta, tau)+e^(-gamma*tau)*(diff(F(eta, tau), tau))))+1/3 = 0

(2)

CL := frontend(PolynomialTools:-CoefficientList, [lhs(pde), e^(-gamma*tau)])

[diff(diff(diff(f__0(eta), eta), eta), eta)+6*k*(diff(diff(diff(f__0(eta), eta), eta), eta))*(diff(diff(f__0(eta), eta), eta))^2+(2/3)*f__0(eta)*(diff(diff(f__0(eta), eta), eta))-(1/3)*(diff(f__0(eta), eta))^2+1/3, diff(diff(diff(F(eta, tau), eta), eta), eta)+12*k*(diff(diff(diff(f__0(eta), eta), eta), eta))*(diff(diff(f__0(eta), eta), eta))*(diff(diff(F(eta, tau), eta), eta))+6*k*(diff(diff(diff(F(eta, tau), eta), eta), eta))*(diff(diff(f__0(eta), eta), eta))^2+(2/3)*F(eta, tau)*(diff(diff(f__0(eta), eta), eta))+(2/3)*f__0(eta)*(diff(diff(F(eta, tau), eta), eta))-(2/3)*(diff(f__0(eta), eta))*(diff(F(eta, tau), eta))+gamma*ln(e)*(diff(F(eta, tau), eta))-(diff(diff(F(eta, tau), eta), tau))+(2/3)*tau*((diff(f__0(eta), eta))*(-gamma*ln(e)*(diff(F(eta, tau), eta))+diff(diff(F(eta, tau), eta), tau))-(diff(diff(f__0(eta), eta), eta))*(-F(eta, tau)*gamma*ln(e)+diff(F(eta, tau), tau))), 6*k*(diff(diff(diff(f__0(eta), eta), eta), eta))*(diff(diff(F(eta, tau), eta), eta))^2+12*k*(diff(diff(diff(F(eta, tau), eta), eta), eta))*(diff(diff(f__0(eta), eta), eta))*(diff(diff(F(eta, tau), eta), eta))+(2/3)*F(eta, tau)*(diff(diff(F(eta, tau), eta), eta))-(1/3)*(diff(F(eta, tau), eta))^2+(2/3)*tau*((diff(F(eta, tau), eta))*(-gamma*ln(e)*(diff(F(eta, tau), eta))+diff(diff(F(eta, tau), eta), tau))-(diff(diff(F(eta, tau), eta), eta))*(-F(eta, tau)*gamma*ln(e)+diff(F(eta, tau), tau))), 6*k*(diff(diff(diff(F(eta, tau), eta), eta), eta))*(diff(diff(F(eta, tau), eta), eta))^2]

(3)

simplify(add(CL[i+1]*(e^(-gamma*tau))^i, i = 0 .. 3)-lhs(pde))

0

(4)

simplify(sum(CL[i+1]*(e^(-gamma*tau))^i, i = 0 .. 3)-lhs(pde))

0

(5)

NULL

Download How_to_collect_Coefficent_ac.mw

ps. Your expression contain e^(-gamma*tau) which is not the same as exp(-gamma*tau). Is that intentional?

Sure, you do not have to write out manually all the applications of the individual trig functions to the input values.

There are several ways to do it. You could use the Matrix and Vector commands, with initializers (see Help). You could use map or seq across lists/Vectors of the functions and inputs.

Or you could apply the functions to the inputs using elementwise operations. Below I show an example of how that may construct the Matrix data of the DataFrame. It's not the only way.

The embedded GUI Table doesn't render properly on this site. That's just a Mapleprimes problem. In the actual Maple GUI it looks fine (centered, with appropriate size, etc), like your original. What I changed is how to programmatically construct the DataFrame.

restart

NumericEventHandler('division_by_zero' = proc (f, ops, defVal) NumericStatus('division_by_zero' = false); undefined end proc)

 

NULL

F := [sin, cos, tan]; C := [0, (1/6)*Pi, (1/4)*Pi, (1/3)*Pi, (1/2)*Pi]

df := DataFrame(Matrix(`~`[`@`(Vector, F)](C)), columns = C, rows = F(x))

Tabulate(df, width = 50.)

 

 

0

(1/6)*Pi

(1/4)*Pi

(1/3)*Pi

(1/2)*Pi

sin(x)

0

1/2

(1/2)*sqrt(2)

(1/2)*sqrt(3)

1

cos(x)

1

(1/2)*sqrt(3)

(1/2)*sqrt(2)

1/2

0

tan(x)

0

(1/3)*sqrt(3)

1

sqrt(3)

undefined

 
 

TableauTest_ac.mw

You could also substitute something else for undefined, into the data. Eg,
TableauTest_ac_ne.mw

ps. Your question appears to be about how to programmatically and more easily construct the DataFrame (and its data/Matrix, and its headers). Your question doesn't really seem to be about how to use Tabulate to embed that DataFrame. I've adjusted the Questions's tags accordingly.

You can use the keystrokes Shift-Enter to move the input cursor down to another line within the loop (without causing execution).

In the Maple's documentation (Help) that is called a soft new line here, as one of its keyboard shortcuts.

You'll still need the statement terminators such as a semicolon. (Strictly speaking it's not needed on the last statement before the end do, but I find life easier to always have it.)

I recommend indenting your code involving do-loops, if-then, etc. It helps with legibility. How many spaces to indent is up to you, but being consistent helps.

[edit: I did the following before the OP suggested that the x-axis range he used is incorrect.]

Given the presence of the undefined values in the Matrix, you could do the following,

(minv,maxv):=[min[defined],max[defined]](data[gridji,4])[];

However, it seems that the Float(undefined) values might arise from your relatively poor approach to linear-solving for r, given A.r=B. You are computing the inverse of A and then multiplying. I get the following (Maple2016 the oldest I have at hand right now) if I instead use r:=LinearSolve(A,B).

[edit: It might even be appropropriate to perform a least-squares solve (LeastSquares with QR or SVD method, or LinearSolve with QR method) if the system is underdetermined. I don't know enough about what you're computing to pass judgement on that.]

ps. Every time you ask a Question here you omit the important detail that you are using Maple 18. (I end up adding it to your Question headers, if I remember to look at your .mw attachments -- in the cases that you provide such.) It'd be more helpful to the readership if you could bother to mark your Questions with your particular version number.

restart:

 

Procedure

 

NULL

doCalc:= proc( xi , u)  #u is the \bar(H): normalize magnetic field magnitude,
                          # where H = bar(H)*H__a
                 # Import Packages
                 uses ArrayTools, Student:-Calculus1, LinearAlgebra,
                      ListTools, RootFinding, plots, ListTools:
                 local gamma__1:= .1093,
                       alpha__3:= -0.1104e-2,
                       k__1:= 6*10^(-12),
                       d:= 0.2e-3,
                       theta0:= 0.1e-3,
                       eta__1:= 0.240e-1, chi:= 1.219*10^(-6),
                       alpha:= 1-alpha__3^2/(gamma__1*eta__1),
                       theta_init:= theta0*sin(Pi*z/d),
                       H__a:= Pi*sqrt(k__1/chi)/d,
                       H := u*H__a,     
                       c:=alpha__3*xi*alpha/(eta__1*(4*k__1*q^2/d^2-alpha__3*xi/eta__1 - chi*H^2)),
                       w := chi*H^2*alpha/(4*k__1*q^2/d^2-alpha__3*xi/eta__1 - chi*H^2),
                       n:= 50,
                       g, f, b1, b2, qstar, OddAsymptotes, ModifiedOddAsym,
                       qstarTemporary, indexOfqstar2, qstar2, AreThereComplexRoots,
                       soln1, soln2, qcomplex1, qcomplex2, gg, qq, m, pp, j, i,
                       AllAsymptotes, p, Efun, b, aa, F, A, B, Ainv, r, theta_sol, v, Vfun, v_sol,minp,                        nstar,soln3, Imagroot1, Imagroot2, AreTherePurelyImaginaryRoots;

# Assign g for q and plot g, Set q as a complex and Compute the Special Asymptotes

  g:= q-(1-alpha)*tan(q)+  c*tan(q) + w*q:
  f:= subs(q = x+I*y, g):
  b1:= evalc(Re(f)) = 0:
  b2:= y-(1-alpha)*tanh(y) -(alpha__3*xi*alpha/(eta__1*(4*k__1*y^2/d^2+alpha__3*xi/eta__1)))*tanh(y) = 0;
  qstar:= (fsolve(1/c = 0, q = 0 .. infinity)):
  OddAsymptotes:= Vector[row]([seq(evalf(1/2*(2*j + 1)*Pi), j = 0 .. n)]);

# Compute Odd asymptote

  ModifiedOddAsym:= abs(`-`~(OddAsymptotes, qstar));
  qstarTemporary:= min(ModifiedOddAsym);
  indexOfqstar2:= SearchAll(qstarTemporary, ModifiedOddAsym);
  qstar2:= OddAsymptotes(indexOfqstar2);

# Compute complex roots

  AreThereComplexRoots:= type(true, 'truefalse');
  try
   soln1:= fsolve({b1, b2}, {x = min(qstar2, qstar) .. max(qstar2, qstar), y = 0 .. infinity});
   soln2:= fsolve({b1, b2}, {x = min(qstar2, qstar) .. max(qstar2, qstar), y = -infinity .. 0});
   qcomplex1:= subs(soln1, x+I*y);
   qcomplex2:= subs(soln2, x+I*y);
   catch:
   AreThereComplexRoots:= type(FAIL, 'truefalse');
  end try;

AreTherePurelyImaginaryRoots:= type(true, 'truefalse');
  try
# Compute the rest of the Roots
  soln3:= simplify~(fsolve({ b2}, { y = 0 .. infinity}),zero);  
  Imagroot1:=subs(soln3, I*y);
  Imagroot2:= -Imagroot1;
  catch:
   AreTherePurelyImaginaryRoots:= type(FAIL, 'truefalse');
  end try;

## odd and all asymptotes
  OddAsymptotes:= Vector[row]([seq(evalf((1/2)*(2*j+1)*Pi), j = 0 .. n)]);
  AllAsymptotes:= sort(Vector[row]([OddAsymptotes, qstar]));
       
 if (xi > 0) then
  if AreThereComplexRoots and not AreTherePurelyImaginaryRoots
  then gg:= [qcomplex1, qcomplex2,op(Roots(g, q = 0.1e-3 .. AllAsymptotes[1])),
              seq(op(Roots(g, q = AllAsymptotes[i] .. AllAsymptotes[i+1])), i = 1 .. n)];
  elif AreThereComplexRoots and AreTherePurelyImaginaryRoots
  then gg:= [qcomplex1, qcomplex2, Imagroot2, op(Roots(g, q = 0.1e-3 .. AllAsymptotes[1])), seq(op      (Roots(g, q = AllAsymptotes[i] .. AllAsymptotes[i+1])), i = 1 .. n)];
  elif not AreThereComplexRoots and AreTherePurelyImaginaryRoots
  then gg:= [Imagroot2, op(Roots(g, q = 0.1e-3 .. AllAsymptotes[1])), seq(op(Roots(g, q =               AllAsymptotes[i] .. AllAsymptotes[i+1])), i = 1 .. n)];
  elif not AreThereComplexRoots and not AreTherePurelyImaginaryRoots
  then gg:= [op(Roots(g, q = 0.1e-3 .. AllAsymptotes[1])), seq(op(Roots(g, q = AllAsymptotes[i] ..      AllAsymptotes[i+1])), i = 1 .. n)];
  end if:
else
if AreThereComplexRoots and not AreTherePurelyImaginaryRoots
  then gg:= [qcomplex1, qcomplex2,op(Roots(g, q = 0.1e-3 .. AllAsymptotes[1])),
              seq(op(Roots(g, q = AllAsymptotes[i] .. AllAsymptotes[i+1])), i = 1 .. n)];
  elif AreThereComplexRoots and AreTherePurelyImaginaryRoots
  then gg:= [qcomplex1, qcomplex2, Imagroot2, op(Roots(g, q = 0.1e-3 .. AllAsymptotes[1])), seq(op      (Roots(g, q = AllAsymptotes[i] .. AllAsymptotes[i+1])), i = 1 .. n)];
  elif not AreThereComplexRoots and AreTherePurelyImaginaryRoots
  then gg:= [op(Roots(g, q = 0.1e-3 .. AllAsymptotes[1])), seq(op(Roots(g, q =                          AllAsymptotes[i] .. AllAsymptotes[i+1])), i = 1 .. n)];
  elif not AreThereComplexRoots and not AreTherePurelyImaginaryRoots
  then gg:= [op(Roots(g, q = 0.1e-3 .. AllAsymptotes[1])), seq(op(Roots(g, q = AllAsymptotes[i] ..      AllAsymptotes[i+1])), i = 1 .. n)];
  end if:
end if:

# Remove the repeated roots if any & Redefine n

  qq:= MakeUnique(gg):
  m:= numelems(qq):

## Compute the `&tau;_n`time constants

   for i to m do
   p[i] := gamma__1*alpha/(4*k__1*qq[i]^2/d^2 - alpha__3*xi/eta__1- chi*H^2):
   end do:

## Compute θ_n from initial conditions

  for i to m do
  Efun[i] := cos(qq[i]-2*qq[i]*z/d)-cos(qq[i]):
  end do:

## Compute integral coefficients for off-diagonal elements θ_n matrix

   printlevel := 2:
   for i to m do
       for j from i+1 to m do
           b[i, j] := int(Efun[i]*Efun[j], z = 0 .. d):
           b[j, i] := b[i, j]:
               aa[i, j] := b[i, j]:
               aa[j, i] := b[j, i]:
        end do :
   end do:

## Calculate integral coefficients for diagonal elements in theta_n matrix

  for i to m do
  aa[i, i] := int(Efun[i]^2, z = 0 .. d):
  end do:

## Calculate integrals for RHS vector

  for i to m do
  F[i] := int(theta_init*Efun[i], z = 0 .. d):
  end do:

## Create matrix A and RHS vector B

  A := Matrix([seq([seq(aa[i, j], i = 1 .. m)], j = 1 .. m)]):
  B := Vector([seq(F[i], i = 1 .. m)]):

## Calculate inverse of A and solve A*x=B

  #Ainv := 1/A:
  #r := MatrixVectorMultiply(Ainv, B):
  r := LinearSolve(A,B);

## Define Theta(z,t)
  theta_sol := add(r[i]*Efun[i]*exp(-t/p[i]), i = 1 .. m):

## Compute v_n for n times constant

  for i to m do
  v[i] := (-2*k__1*alpha__3*qq[i])*(1/(d^2*eta__1*alpha*gamma__1))+ alpha__3^2*xi/(2*(eta__1)^2*qq[i]*alpha*gamma__1)+xi/(2*eta__1*qq[i]) + alpha__3*chi*H^2/(2*eta__1*qq[i]*gamma__1*alpha):
  end do:

## Compute v(z,t) from initial conditions
  for i to m do
  Vfun[i] := d*sin(qq[i]-2*qq[i]*z/d)+(2*z-d)*sin(qq[i]):
  end do:

## Define v(z,t)
   v_sol := add(v[i]*r[i]*Vfun[i]*exp(-t/p[i]), i = 1 .. m):

## compute minimum value of tau
  minp:=min( seq( Re(p[i]), i=1..m) ):
  member(min(seq( Re(p[i]), i=1..m)),[seq( Re(p[i]), i=1..m)],'nstar'):

## Return all the plots
     return theta_init, theta_sol, v_sol, minp, eval(p), nstar, p[nstar], g, H, H__a,qq;
     end proc:

Run the calculation for supplied value of 'xi

 

``

NULL

``

``

``

``

``

``

``

ans:=[doCalc(0.1, 2)]:
evalf(ans[9]);
evalf(ans[10]);

69.69853430

34.84926715

 

Contour plot for pmin (minimum  of tau) for different xi and H values

 

``

``

with(plots):
d:= 0.2e-3:

testproc := proc(j, u, k) option remember;
   local calcvals;
   if not [j,u,k]::[numeric,numeric,posint] then
      return 'procname'(args);
   end if;
   calcvals:=doCalc(j,u);
   evalf(calcvals[k]);
end proc:

NN := 8;

8

(gridji,rngj,rngi):=[5,5],0..3,-2.0..-0.0;
PP[gridji,4]:=plot3d(max(-1e2,testproc(i,j,4)), j=rngj, i=rngi, grid=gridji):
PP[gridji,7]:= plot3d(Im(testproc(i,j,7)), j=rngj, i=rngi, grid=gridji):

[5, 5], 0 .. 3, -2.0 .. -0.

## Surface plot using 3d
PP[gridji,4]:

## This is the pmin values
data[gridji,4]:=op([1,3],PP[gridji,4]);

data[[5, 5], 4] := Array(1..5, 1..5, {(1, 1) = -4.5610937267458205, (1, 2) = -16.551730624406634, (1, 3) = -8.369456800130445, (1, 4) = -9.140026175750366, (1, 5) = 2.951847102925982, (2, 1) = -4.407854759516567, (2, 2) = -14.697771941098084, (2, 3) = -7.867574545412465, (2, 4) = -100.0, (2, 5) = 8.746447899601446, (3, 1) = -45.14232589754586, (3, 2) = -11.00108026387169, (3, 3) = -100.0, (3, 4) = -35.20694911216856, (3, 5) = -59.05829652528201, (4, 1) = -16.596794315137668, (4, 2) = -7.751663635971151, (4, 3) = -21.534163510244372, (4, 4) = -15.03671683942269, (4, 5) = -18.171783445443022, (5, 1) = -8.8033427869475, (5, 2) = -39.10547901669723, (5, 3) = -10.022167745982093, (5, 4) = -8.344150581537837, (5, 5) = -9.227858698918745}, datatype = float[8])

## Convert Array to Matrix to allow the use listcontplot
ConMatrix := data[gridji,4];

ConMatrix := Array(1..5, 1..5, {(1, 1) = -4.5610937267458205, (1, 2) = -16.551730624406634, (1, 3) = -8.369456800130445, (1, 4) = -9.140026175750366, (1, 5) = 2.951847102925982, (2, 1) = -4.407854759516567, (2, 2) = -14.697771941098084, (2, 3) = -7.867574545412465, (2, 4) = -100.0, (2, 5) = 8.746447899601446, (3, 1) = -45.14232589754586, (3, 2) = -11.00108026387169, (3, 3) = -100.0, (3, 4) = -35.20694911216856, (3, 5) = -59.05829652528201, (4, 1) = -16.596794315137668, (4, 2) = -7.751663635971151, (4, 3) = -21.534163510244372, (4, 4) = -15.03671683942269, (4, 5) = -18.171783445443022, (5, 1) = -8.8033427869475, (5, 2) = -39.10547901669723, (5, 3) = -10.022167745982093, (5, 4) = -8.344150581537837, (5, 5) = -9.227858698918745}, datatype = float[8])

## Assign the min and max value of pmin to minv and maxv
(minv,maxv):=[min[defined],max[defined]](data[gridji,4])[];

-100., 8.74644789960144564

## GRB color and the contours
(color1,color2):="Red","Yellow":
conts:=[minv, seq(minv+(i-1)*(maxv-minv)/(NN+2-1),i=2..NN+1), maxv]/2.0;

 

[-50.00000000, -43.95853067, -37.91706134, -31.87559202, -25.83412269, -19.79265336, -13.75118404, -7.709714705, -1.668245380, 4.373223950]

colorlist:=ColorTools:-Color~(((c1,c2,N)->[seq(c1+(i-1)*(c2-c1)/(N-1),
                                               i=1..N)])([ColorTools:-Color(color2)[]],
                                                         [ColorTools:-Color(color1)[]],
                                                         nops(conts))):

##

## Use the Conmatrix and the conts to plot contours and transform the axes
subsindets(plots:-listcontplot(ConMatrix, contours=conts,filledregions,thickness=0),
           specfunc(anything,THICKNESS),u->THICKNESS(0.2)):
LCP[gridji,4]:=plottools:-transform((x,y)->[lhs(rngj)+(rhs(rngj)-lhs(rngj))*(x-1)/(gridji[1]-1),
                                            lhs(rngi)+(rhs(rngi)-lhs(rngi))*(y-1)/(gridji[2]-1)])(%):
display(LCP[gridji,4],
        seq(plot(-2.0,1..1,legend=evalf[4](conts[i]),thickness=15,
                 color=colorlist[nops(conts)-i+1]),
            i=1..nops(conts)),
        size=[500,400],legendstyle=[location=right], axes=boxed, labels = ["u", "xi"], labelfont = ["TimesNewRoman", 14], axesfont = [14, 14]);

## This deals with the Imaginary part

## Surface plot using plot3d for Imginary part
PP[gridji,7]:

##

data[gridji,7]:=op([1,3],PP[gridji,7]):

## Convert Array to matrix
AMatrix := Matrix(data[gridji,7]);

AMatrix := Matrix(5, 5, {(1, 1) = .0, (1, 2) = .0, (1, 3) = .0, (1, 4) = .0, (1, 5) = .0, (2, 1) = .0, (2, 2) = .0, (2, 3) = .0, (2, 4) = .0, (2, 5) = .0, (3, 1) = .0, (3, 2) = .0, (3, 3) = -.0, (3, 4) = .0, (3, 5) = .0, (4, 1) = .0, (4, 2) = .0, (4, 3) = .0, (4, 4) = .0, (4, 5) = .0, (5, 1) = .0, (5, 2) = -.0, (5, 3) = .0, (5, 4) = .0, (5, 5) = .0}, datatype = float[8])

(minv,maxv):=[min,max](data[gridji,7])[];

0., 0.

(color1,color2):="Red","Yellow":
conts1:=[minv, seq(minv+(i-1)*(maxv-minv)/(NN+2-1),i=2..NN+1), maxv]/~1.5;

[0., 0., 0., 0., 0., 0., 0., 0., 0., 0.]

colorlist:=ColorTools:-Color~(((c1,c2,N)->[seq(c1+(i-1)*(c2-c1)/(N-1),
                                               i=1..N)])([ColorTools:-Color(color2)[]],
                                                         [ColorTools:-Color(color1)[]],
                                                         nops(conts1))):

subsindets(plots:-listcontplot(AMatrix,
                               contours=conts1-~1e-9,filledregions,thickness=0),
           specfunc(anything,THICKNESS),u->THICKNESS(0.2)):
LCP[gridji,7]:=plottools:-transform((x,y)->[lhs(rngj)+(rhs(rngj)-lhs(rngj))*(x-1)/(gridji[1]-1),
                                            lhs(rngi)+(rhs(rngi)-lhs(rngi))*(y-1)/(gridji[2]-1)])(%):
display(LCP[gridji,7],
        seq(plot(-2.0,1..1,legend=evalf[4](conts1[i]),thickness=15,
                 color=colorlist[nops(conts)-i+1]),
            i=1..nops(conts1)),
        size=[500,400],legendstyle=[location=right], axes=boxed, labels = ["u", "xi"], labelfont = ["TimesNewRoman", 14], axesfont = [14, 14]);

 

NULL

Download Case3_Ijuptilk_Contourplot_pmin_290822_ac.mw

Is this the kind of thing you want to accomplish?

I did not change the way your formulas work, or which kinds of data structure you use. (Eg. it might be easier to create a as an Array, etc.)

[edit: I figured that you are trying to learn Maple coding, and that a direct movement of your original code into a procedure (which is what you asked) would help in your understanding. Some people learn better by focusing on only a few things at once. So I just put it into a reusable procedure, as is.

Look in particular at how the parameters and the locals of the procedure are all just symbols, and not any indexed names as you attempt had tried.]

restart;

Digits := 15;

15

T5Scheme:=proc(x1,y1,a,L)          
local i,k,nk,N,aa,x,y;
   x[1]:=x1; y[1]:=y1;
   N:=numelems(x[1]):         
   for k from 1 to L do              
     nk := 3^(k - 1)*(N - 6) + 6;         
     for i from 3 to nk - 2 do            
       x[k + 1][3*i - 8] := a[-6]*x[k][i + 2] + a[-3]*x[k][i + 1] + a[0]*x[k][i]
                            + a[3]*x[k][i - 1] + a[6]*x[k][i - 2];
       y[k + 1][3*i - 8] := a[-6]*y[k][i + 2] + a[-3]*y[k][i + 1] + a[0]*y[k][i]
                            + a[3]*y[k][i - 1] + a[6]*y[k][i - 2];
       x[k + 1][3*i - 7] := a[-5]*x[k][i + 2] + a[-2]*x[k][i + 1] + a[1]*x[k][i]
                            + a[4]*x[k][i - 1] + a[7]*x[k][i - 2];
       y[k + 1][3*i - 7] := a[-5]*y[k][i + 2] + a[-2]*y[k][i + 1] + a[1]*y[k][i]
                            + a[4]*y[k][i - 1] + a[7]*y[k][i - 2];
       x[k + 1][3*i - 6] := a[-4]*x[k][i + 2] + a[-1]*x[k][i + 1] + a[2]*x[k][i]
                            + a[5]*x[k][i - 1];
       y[k + 1][3*i - 6] := a[-4]*y[k][i + 2] + a[-1]*y[k][i + 1] + a[2]*y[k][i]
                            + a[5]*y[k][i - 1];
     end do;          
   end do;  
   return evalf(convert(x[L+1],list)), evalf(convert(y[L+1],list));
end proc:

## Initial polygon
x[1] := [-1, 1/2, 1, 0, -sqrt(2)/2, -1, 1/2, 1, 0, -sqrt(2)/2, -1, 1/2, 1, 0, -sqrt(2)/2];

[-1, 1/2, 1, 0, -(1/2)*2^(1/2), -1, 1/2, 1, 0, -(1/2)*2^(1/2), -1, 1/2, 1, 0, -(1/2)*2^(1/2)]

y[1] := [0, sqrt(3)/2, 0, -1, -sqrt(2)/2, 0, sqrt(3)/2, 0, -1, -sqrt(2)/2, 0, sqrt(3)/2, 0, -1, -sqrt(2)/2];

[0, (1/2)*3^(1/2), 0, -1, -(1/2)*2^(1/2), 0, (1/2)*3^(1/2), 0, -1, -(1/2)*2^(1/2), 0, (1/2)*3^(1/2), 0, -1, -(1/2)*2^(1/2)]

s2 := [-1, 1/2, 1, 0, -sqrt(2)/2, -1];

[-1, 1/2, 1, 0, -(1/2)*2^(1/2), -1]

t2 := [0, sqrt(3)/2, 0, -1, -sqrt(2)/2, 0];

[0, (1/2)*3^(1/2), 0, -1, -(1/2)*2^(1/2), 0]

assign(a[-6] = 13/1296, a[-5] = -11/648, a[-4] = -1/16, a[-3] = -107/1296,
       a[-2] = 179/1296, a[-1] = 9/16, a[0] = 137/144, a[1] = 137/144,
       a[2] = 9/16, a[3] = 179/1296, a[4] = -107/1296, a[5] = -1/16,
       a[6] = -11/648, a[7] = 13/1296);

s1,t1 := T5Scheme(x[1],y[1],a,3):

plot([<<s1> | <t1>>, <<s2> | <t2>>], linestyle = [1, 3], color = [black, red]);

Download zz123_ac.mw

First 64 65 66 67 68 69 70 Last Page 66 of 338