herclau

Mr. Hermes Rozsa Iglesias

1043 Reputation

13 Badges

20 years, 315 days

MaplePrimes Activity


These are replies submitted by herclau

I get the following response after waiting a considerable time:

[Length of output Exceeds limit of 1000000]

Gracias

Hello Colleagues
I try to play the example found in the book "Linear Algebra 2 with Maple Denis Seve" Example 2. Page 341 (Chapter 7: The Singular Value Decomposition).
I do not get the results embodied in the example. And the images are not as expected
Get differences in the outcome of the Matrix TM with respect to that found in the book, I tried to reproduce fully the lines of code found in the book. Any comments, help is welcome.

the JPEG.mw

Gracias

Hello Colleagues
I try to play the example found in the book "Linear Algebra 2 with Maple Denis Seve" Example 2. Page 341 (Chapter 7: The Singular Value Decomposition).
I do not get the results embodied in the example. And the images are not as expected
Get differences in the outcome of the Matrix TM with respect to that found in the book, I tried to reproduce fully the lines of code found in the book. Any comments, help is welcome.

the JPEG.mw

Gracias

Hola Colleagues:
I am looking for something like this:

In the above algorithm(peakdet2) is very dependent on the value assigned to Delta.
For delta = 1 coincides with GlobalSearch.
How to Determining the correct value of delta?

GRACIAS

peakdet2.mw

PlotSVDRev.mw

The problems were solved in the attached file. How can I be able to show the values in the labels of the Slider's axes in in Radians?

Gracias

 

Making a try to put the question to work.


Download RowvsColumn_Pictur.mw

Gracias

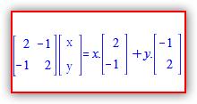
I would like that Maple show me:



RowvsColumn_Pictur.mw

Gracias

 

 

Sorry for not having properly explained.
The idea is put into action, the theorem, using maple, showing it graphically from a numeric matrix of 2x2 or 3x3 :
plot  C(A) and N(AT).
plot result of the transformation Rn to Rm: C(AT) and N(A).

Gracias

HerClau

 

Sorry for not having properly explained.
The idea is put into action, the theorem, using maple, showing it graphically from a numeric matrix of 2x2 or 3x3 :
plot  C(A) and N(AT).
plot result of the transformation Rn to Rm: C(AT) and N(A).

Gracias

HerClau

It may reduce the number of data using SVD?

HerClau

@acer  and Preben

It works, thanks!

In the help of the function does not mention the need to declare the variables U, S, Vt as global variables or ':' U ',': 'S', ':-Vt'. Any other function has these requirements?
Any comments?!

@acer  and Preben

It works, thanks!

In the help of the function does not mention the need to declare the variables U, S, Vt as global variables or ':' U ',': 'S', ':-Vt'. Any other function has these requirements?
Any comments?!

Visualizing_the_SV.mw

Hi ev1:
This is the translation from MatLab.
It is actually more comfortable to do the translation from MatLab document itself, that the procedure MatLab [FromMFile].

I miss a detail that can not find the error: In the two figures, the first and last, I had to transpose the labels of the axes x, y. Any comments?

There is no function as pol2cart in Maple, to convert from polar to Cartesian coordinates?

My disappointment was not being able, by myself, deploy these images with the help of the packages Linear Algebra, Linear Algebra and Studient. There a website where you use the graphics capabilities of these packages, and allow me to get the logic of exploitation of these graphics commands.

Gracias

from_MathLab.mw

John,

I followed your recommendation, as you can see the maple worksheet attached.
All translation is done using ArrayTools package, which makes, for me, the less readable the readings of the instructions. And when I try to run the procedure I get errors.

Gracias

from_MathLab.mw

John,

I followed your recommendation, as you can see the maple worksheet attached.
All translation is done using ArrayTools package, which makes, for me, the less readable the readings of the instructions. And when I try to run the procedure I get errors.

Gracias

First 8 9 10 11 12 13 Page 10 of 13