mmcdara

7901 Reputation

22 Badges

9 years, 312 days

MaplePrimes Activity


These are answers submitted by mmcdara


The soution is based upon two procedures f and `w'/w` :
 

restart

with(PDEtools):

with(LinearAlgebra):

with(SolveTools):

undeclare(prime)

`There is no more prime differentiation variable; all derivatives will be displayed as indexed functions`

(1)

PDEtools:-declare(u(x, t)):

u(x, t)*`will now be displayed as`*u

(2)

PDEtools:-declare(w(x, t)):

w(x, t)*`will now be displayed as`*w

(3)

pde := diff(u(x, t), t)+u(x, t)*(diff(u(x, t), x))+delta*(diff(u(x, t), `$`(x, 3))) = 0; 1; a[m, n]

diff(u(x, t), t)+u(x, t)*(diff(u(x, t), x))+delta*(diff(diff(diff(u(x, t), x), x), x)) = 0

 

a[m, n]

(4)

# Procedure 1

f := proc(m, n)
  local amn := (m, n) -> cat('a__', nprintf("%a,%a", (m, n)));
  if m=0 and n=0 then
    amn(m, n);
  elif m=0 then
    amn(m, n)*diff(log(w(x, t)), t$n);
  elif n=0 then
    amn(m, n)*diff(log(w(x, t)), x$m);
  else
    amn(m, n)*diff(log(w(x, t)), [x$m, t$n]);  
  end if:
end proc:
 

eq_8 := u(x, t) = add(f(n, 0), n=0..2);


A := convert( remove(type, indets(eq_8), function) minus indets(pde, name), list);

u(x, t) = `a__0,0`+`a__1,0`*(diff(w(x, t), x))/w(x, t)+`a__2,0`*((diff(diff(w(x, t), x), x))/w(x, t)-(diff(w(x, t), x))^2/w(x, t)^2)

 

[`a__0,0`, `a__1,0`, `a__2,0`]

(5)

eq_8w := collect(eval(pde, eq_8), A)

(((diff(diff(w(x, t), x), x))/w(x, t)-(diff(w(x, t), x))^2/w(x, t)^2)*`a__1,0`+`a__2,0`*((diff(diff(diff(w(x, t), x), x), x))/w(x, t)-3*(diff(diff(w(x, t), x), x))*(diff(w(x, t), x))/w(x, t)^2+2*(diff(w(x, t), x))^3/w(x, t)^3))*`a__0,0`+(diff(w(x, t), x))*((diff(diff(w(x, t), x), x))/w(x, t)-(diff(w(x, t), x))^2/w(x, t)^2)*`a__1,0`^2/w(x, t)+((((diff(diff(w(x, t), x), x))/w(x, t)-(diff(w(x, t), x))^2/w(x, t)^2)^2+(diff(w(x, t), x))*((diff(diff(diff(w(x, t), x), x), x))/w(x, t)-3*(diff(diff(w(x, t), x), x))*(diff(w(x, t), x))/w(x, t)^2+2*(diff(w(x, t), x))^3/w(x, t)^3)/w(x, t))*`a__2,0`+(diff(diff(w(x, t), t), x))/w(x, t)-(diff(w(x, t), x))*(diff(w(x, t), t))/w(x, t)^2+delta*((diff(diff(diff(diff(w(x, t), x), x), x), x))/w(x, t)-4*(diff(diff(diff(w(x, t), x), x), x))*(diff(w(x, t), x))/w(x, t)^2+12*(diff(diff(w(x, t), x), x))*(diff(w(x, t), x))^2/w(x, t)^3-3*(diff(diff(w(x, t), x), x))^2/w(x, t)^2-6*(diff(w(x, t), x))^4/w(x, t)^4))*`a__1,0`+`a__2,0`^2*((diff(diff(w(x, t), x), x))/w(x, t)-(diff(w(x, t), x))^2/w(x, t)^2)*((diff(diff(diff(w(x, t), x), x), x))/w(x, t)-3*(diff(diff(w(x, t), x), x))*(diff(w(x, t), x))/w(x, t)^2+2*(diff(w(x, t), x))^3/w(x, t)^3)+((diff(diff(diff(w(x, t), t), x), x))/w(x, t)-(diff(diff(w(x, t), x), x))*(diff(w(x, t), t))/w(x, t)^2-2*(diff(w(x, t), x))*(diff(diff(w(x, t), t), x))/w(x, t)^2+2*(diff(w(x, t), x))^2*(diff(w(x, t), t))/w(x, t)^3+delta*((diff(diff(diff(diff(diff(w(x, t), x), x), x), x), x))/w(x, t)-5*(diff(diff(diff(diff(w(x, t), x), x), x), x))*(diff(w(x, t), x))/w(x, t)^2+20*(diff(diff(diff(w(x, t), x), x), x))*(diff(w(x, t), x))^2/w(x, t)^3-10*(diff(diff(diff(w(x, t), x), x), x))*(diff(diff(w(x, t), x), x))/w(x, t)^2-60*(diff(diff(w(x, t), x), x))*(diff(w(x, t), x))^3/w(x, t)^4+30*(diff(diff(w(x, t), x), x))^2*(diff(w(x, t), x))/w(x, t)^3+24*(diff(w(x, t), x))^5/w(x, t)^5))*`a__2,0` = 0

(6)

# Procedure 2

`w'/w` := d -> eval(
                 add(select(has, [op(lhs(expand(eq_8w)))], diff(w(x, t), x)^d))
                 , w(x, t) = exp(x)
               ):
 

eq_10 := {`w'/w`(5) = 0, `w'/w`(4) = 0}

{-2*`a__2,0`^2+24*`a__2,0`*delta = 0, 3*`a__1,0`*`a__2,0`-6*`a__1,0`*delta = 0}

(7)

sol := solve(eq_10, indets(eq_10) minus {delta});
sol := remove(i -> rhs~(i) = {0}, {sol})[]

{`a__1,0` = 0, `a__2,0` = 0}, {`a__1,0` = 0, `a__2,0` = 12*delta}

 

{`a__1,0` = 0, `a__2,0` = 12*delta}

(8)

eq_11 := eval(eq_8, sol);

u(x, t) = `a__0,0`+12*delta*((diff(diff(w(x, t), x), x))/w(x, t)-(diff(w(x, t), x))^2/w(x, t)^2)

(9)

# Verify this expression is equal to eq (11) from the paper:

 `a__0,0`+12*delta*diff(log(w(x, t)), x$2)

`a__0,0`+12*delta*((diff(diff(w(x, t), x), x))/w(x, t)-(diff(w(x, t), x))^2/w(x, t)^2)

(10)

 

NULL


 

Download series-finding_mmcdara.mw

 

 

restart

with(PDEtools):

xi[1] := t*w[t, 1]+x*w[x, 1]+y*w[y, 1]+z*w[z, 1]:

xi[2] := t*w[t, 2]+x*w[x, 2]+y*w[y, 2]+z*w[z, 2]:

xi[3] := t*w[t, 3]+x*w[x, 3]+y*w[y, 3]+z*w[z, 3]:

f := b[4]+w[1, u]*xi[1]^2+w[2, u]*xi[2]+w[3, u]*JacobiCN(xi[3], 2/5):

Eq := f*(diff(f, [`$`(x, 3), t]))-3*(diff(f, x))*(diff(f, [`$`(x, 2), t]))+3*(diff(f, `$`(x, 2)))*(diff(f, [x, t]))+(diff(f, `$`(x, 3)))*(diff(f, t))+alpha*(f*(diff(f, [y, t]))-(diff(f, y))*(diff(f, t)))+beta*(f*(diff(f, [z, t]))-(diff(f, z))*(diff(f, t))) = 0:

Jac := [ seq(j = freeze(j), j in indets(Eq, function)) ]:
EqFreezed := subs(Jac[], lhs(Eq)):

Dx := $(ldegree..degree)(EqFreezed, x);
Dy := $(ldegree..degree)(EqFreezed, y);
Dz := $(ldegree..degree)(EqFreezed, z);
Dt := $(ldegree..degree)(EqFreezed, t);


TC := table():
for dt in Dt do
  for dz in Dz do
    for dy in Dy do
      for dx in Dx do
        TC[x^dx*y^dy*z^dz*t^dt]
        :=
        simplify(add(select(i -> `and`(has~(i, [x^dx, y^dy, z^dz, t^dt])[]), [op(expand(EqFreezed))]))):
      end do:
    end do:
  end do:
end do:

0, 1, 2

 

0, 1, 2

 

0, 1, 2

 

0, 1, 2

(1)

# Coefficient of x*y*z*t

TC[x*y*z*t]
 

-4*beta*x*y*w[1, u]^2*w[t, 1]*w[x, 1]*w[y, 1]*w[z, 1]+(8/25)*beta*x*y*`freeze/R0`*`freeze/R2`^2*w[1, u]*w[3, u]*w[t, 3]*w[x, 1]*w[y, 1]*w[z, 3]-2*beta*x*y*`freeze/R0`*`freeze/R1`^2*w[1, u]*w[3, u]*w[t, 3]*w[x, 1]*w[y, 1]*w[z, 3]+(8/25)*alpha*x*z*`freeze/R0`*`freeze/R2`^2*w[1, u]*w[3, u]*w[t, 3]*w[x, 1]*w[y, 3]*w[z, 1]-2*alpha*x*z*`freeze/R0`*`freeze/R1`^2*w[1, u]*w[3, u]*w[t, 3]*w[x, 1]*w[y, 3]*w[z, 1]-(112/25)*y*z*`freeze/R0`*`freeze/R1`^2*`freeze/R2`^2*w[1, u]*w[3, u]*w[t, 3]*w[x, 3]^3*w[y, 1]*w[z, 1]+(32/625)*y*z*`freeze/R0`*`freeze/R2`^4*w[1, u]*w[3, u]*w[t, 3]*w[x, 3]^3*w[y, 1]*w[z, 1]+(32/25)*y*z*`freeze/R0`^3*`freeze/R1`^2*w[1, u]*w[3, u]*w[t, 3]*w[x, 3]^3*w[y, 1]*w[z, 1]-(128/625)*y*z*`freeze/R0`^3*`freeze/R2`^2*w[1, u]*w[3, u]*w[t, 3]*w[x, 3]^3*w[y, 1]*w[z, 1]+2*y*z*`freeze/R0`*`freeze/R1`^4*w[1, u]*w[3, u]*w[t, 3]*w[x, 3]^3*w[y, 1]*w[z, 1]-4*alpha*x*z*w[1, u]^2*w[t, 1]*w[x, 1]*w[y, 1]*w[z, 1]

(2)

# All 0 coefficients
ZC, NZC := selectremove(i -> is(TC[i]=0), [indices(TC, nolist)]):
print~(ZC):

x*y^2*z^2*t^2

 

x^2*y*z*t^2

 

x^2*y^2*z*t^2

 

x*y*z^2*t^2

 

x^2*z^2

 

x^2*y^2*z^2

 

x*y^2*t^2

 

x^2*y*z

 

x*y*z^2*t

 

x^2*y^2*z^2*t

 

x^2*y^2*z^2*t^2

 

x^2*y^2

 

z^2*t^2

 

x*y*z^2

 

x*y^2*z^2

 

y*z^2*t^2

 

y^2*z^2*t^2

 

y^2*t^2

 

x*y^2*z*t

 

x^2*z^2*t

 

x*y^2*z^2*t

 

x*y^2*z

 

x^2*y*z^2*t^2

 

y*z*t^2

 

y^2*z*t^2

 

x^2*z^2*t^2

 

y^2*z^2

 

x^2*y^2*z

 

y^2*z^2*t

 

x^2*y*z*t

 

x^2*y^2*z*t

 

x^2*y^2*t^2

 

x^2*z*t^2

 

x*y*t^2

 

x*z*t^2

 

x*y^2*z*t^2

 

x^2*y*z^2

 

x*z^2*t^2

 

x^2*y*z^2*t

 

x*y*z*t^2

 

x^2*y^2*t

 

x^2*t^2

 

x^2*y*t^2

(3)

# All non 0 coefficients

print~(NZC):

x^2*t

 

1

 

y^2

 

y

 

y*t^2

 

x^2*z

 

x*z^2*t

 

z^2

 

y*t

 

y^2*t

 

x*z*t

 

x*y*z*t

 

z*t^2

 

x*y*t

 

x*y*z

 

x*t

 

x

 

y*z^2

 

y^2*z

 

z

 

z*t

 

y*z*t

 

x*y^2

 

x^2*y*t

 

x*y^2*t

 

x^2

 

y*z^2*t

 

y*z

 

x*y

 

x*t^2

 

x^2*z*t

 

x*z^2

 

x*z

 

y^2*z*t

 

t

 

z^2*t

 

x^2*y

 

t^2

(4)

# Example

TC[y^2*z*t];

print():

thaw(%);

(4/25)*beta*y^2*`freeze/R0`*`freeze/R2`^2*w[1, u]*w[3, u]*w[t, 3]*w[y, 1]^2*w[z, 3]-beta*y^2*`freeze/R0`*`freeze/R1`^2*w[1, u]*w[3, u]*w[t, 3]*w[y, 1]^2*w[z, 3]-2*beta*y^2*w[1, u]^2*w[t, 1]*w[y, 1]^2*w[z, 1]

 

 

(4/25)*beta*y^2*JacobiCN(t*w[t, 3]+x*w[x, 3]+y*w[y, 3]+z*w[z, 3], 2/5)*JacobiSN(t*w[t, 3]+x*w[x, 3]+y*w[y, 3]+z*w[z, 3], 2/5)^2*w[1, u]*w[3, u]*w[t, 3]*w[y, 1]^2*w[z, 3]-beta*y^2*JacobiCN(t*w[t, 3]+x*w[x, 3]+y*w[y, 3]+z*w[z, 3], 2/5)*JacobiDN(t*w[t, 3]+x*w[x, 3]+y*w[y, 3]+z*w[z, 3], 2/5)^2*w[1, u]*w[3, u]*w[t, 3]*w[y, 1]^2*w[z, 3]-2*beta*y^2*w[1, u]^2*w[t, 1]*w[y, 1]^2*w[z, 1]

(5)

 

# This could also be useful.
#
# See LargeExpressions and Veilhelp pages and examples

with(LargeExpressions):

# All partial expressions have the same form

compact_x := collect(EqFreezed, x, Veil[Cx] ));
compact_y := collect(EqFreezed, y, Veil[Cy] );
compact_z := collect(EqFreezed, z, Veil[Cz] );
compact_t := collect(EqFreezed, t, Veil[Ct] );

-(1/625)*Cx[1]*x^2-(1/625)*Cx[2]*x-(1/625)*Cx[3]

 

-(1/625)*Cy[1]*y^2-(1/625)*Cy[2]*y-(1/625)*Cy[3]

 

-(1/625)*Cz[1]*z^2-(1/625)*Cz[2]*z-(1/625)*Cz[3]

 

-(1/625)*Ct[1]*t^2-(1/625)*Ct[2]*t-(1/625)*Ct[3]

(6)
 

 

Download collection_of_coefficients_mmcdara.mw

An ordinary differential equation of order n writes 

diff(phi(x), x$n) = F(x, diff(phi(x), x), ..., diff(phi(x), x$(n-1))

Your differential equation (DE) is 

(diff(phi(x), x)^2 = -v(phi(x))

and is not an ODE.

Undortunately dsolve/numeric can handle only ODEs, not DEs.

 

One idea could be to rewrite your DE this way where siga is either -1 or +1 dependeing on the branch you want to select.

diff(phi(x), x = sigma * sqrt(-v(phi(x)))

Nevertheless this will not give you a correct result as this simple example proves:

   ( initial worksheet where @dharr detected a typo  Download DE_not_ODE.mw)

Edited worksheet DE_not_ODE_edited.mw


Every time you get an error while solving numerically a BVP yiu must look the dsolve[numeric][BVP] help page.
The Error, (in dsolve/numeric/bvp) initial Newton iteration is not converging is a classic for which this help page proposes a few cures (search the word Newton).
Another important help page is dsolve[numeric_bvp,advanced].

Here is the solution to yoiur problem (I just treated b1 and b2: end the job by adjusting the continuation term, maxmesh and abserr as you want.

VC1_mmcdara.mw


 

restart

with(PDETools, declare):

with(LinearAlgebra):

with(PolynomialIdeals):

with(plots):

PDEtools:-declare(f(x));

f(x)*`will now be displayed as`*f

(1)

J[1] := mu[f]/(1-phi)^2.5:

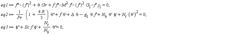
eq1 := J[1]*(diff(f(x), x, x, x))/J[2]+(7/4)*f(x)*(diff(f(x), x, x))-(1/2)*(diff(f(x), x))^2+J[3]*theta/J[2]-M^2*(diff(f(x), x))/((m^2+1)*J[2])-J[1]*K[p]*(diff(f(x), x))/J[2] = 0;

(diff(diff(diff(f(x), x), x), x))/((1-phi)^2.5*(9997.1-1064.100000*phi))+(7/4)*f(x)*(diff(diff(f(x), x), x))-(1/2)*(diff(f(x), x))^2+(209939.10-195020.9900*phi)*theta/(9997.1-1064.100000*phi)-M^2*(diff(f(x), x))/((m^2+1)*(9997.1-1064.100000*phi))-K[p]*(diff(f(x), x))/((1-phi)^2.5*(9997.1-1064.100000*phi)) = 0

(2)

eq2 := (N[R]+J[4])*(diff(theta(x), x, x))/(Pr*J[5])+(7/4)*f(x)*(diff(theta(x), x))+M^2*Ec*(diff(f(x), x))^2/((m^2+1)*J[5])+N[b]*(diff(theta(x), x))*(diff(phi(x), x))/J[5]+N[t]*(diff(theta(x), x))^2/J[5] = 0;

(N[R]+.6130*(402.2260+800.7740*phi)/(402.2260-400.3870*phi))*(diff(diff(theta(x), x), x))/(Pr*(41777880.9-38338675.90*phi))+(7/4)*f(x)*(diff(theta(x), x))+M^2*Ec*(diff(f(x), x))^2/((m^2+1)*(41777880.9-38338675.90*phi))+N[b]*(diff(theta(x), x))*(diff(phi(x), x))/(41777880.9-38338675.90*phi)+N[t]*(diff(theta(x), x))^2/(41777880.9-38338675.90*phi) = 0

(3)

eq3 := diff(phi(x), x, x)+(7/4)*Sc*f*(diff(phi(x), x))+N[t]*(diff(theta(x), x, x))/N[b]-Sc*lambda[c]*phi = 0;

diff(diff(phi(x), x), x)+(7/4)*Sc*f*(diff(phi(x), x))+N[t]*(diff(diff(theta(x), x), x))/N[b]-Sc*lambda[c]*phi = 0

(4)

bcs := f(0) = 0, (D(f))(0) = 0, (D(f))(8) = 0, theta(0) = 1, theta(8) = 0, phi(0) = 1, phi(8) = 0;

f(0) = 0, (D(f))(0) = 0, (D(f))(8) = 0, theta(0) = 1, theta(8) = 0, phi(0) = 1, phi(8) = 0

(5)

a1 := [phi = 0, M = .5, m = .3, lambda[c] = .3, Pr = 1.5, K[p] = .2, N[R] = 1.5, Ec = .3, N[t] = .2, N[b] = .2, Sc = 1.2];

[phi = 0, M = .5, m = .3, lambda[c] = .3, Pr = 1.5, K[p] = .2, N[R] = 1.5, Ec = .3, N[t] = .2, N[b] = .2, Sc = 1.2]

 

[phi = 0.5e-1, M = .5, m = .3, lambda[c] = .3, Pr = 1.5, K[p] = .2, N[R] = 1.5, Ec = .3, N[t] = .2, N[b] = .2, Sc = 1.2]

 

[phi = .1, M = .5, m = .3, lambda[c] = .3, Pr = 1.5, K[p] = .2, N[R] = 1.5, Ec = .3, N[t] = .2, N[b] = .2, Sc = 1.2]

(6)

b1 := subs(a1, eq1);

0.1000290084e-3*(diff(diff(diff(f(x), x), x), x))+(7/4)*f(x)*(diff(diff(f(x), x), x))-(1/2)*(diff(f(x), x))^2+21.00000000*theta-0.4294823481e-4*(diff(f(x), x)) = 0

 

0.1143232223e-3*(diff(diff(diff(f(x), x), x), x))+(7/4)*f(x)*(diff(diff(f(x), x), x))-(1/2)*(diff(f(x), x))^2+20.13175426*theta-0.4592983151e-4*(diff(f(x), x)) = 0

 

0.1315731088e-3*(diff(diff(diff(f(x), x), x), x))+(7/4)*f(x)*(diff(diff(f(x), x), x))-(1/2)*(diff(f(x), x))^2+19.25416740*theta-0.4950388340e-4*(diff(f(x), x)) = 0

(7)

indets(b1, function); b1_bcs := select(has, {bcs}, f); c1 := dsolve(`union`(eval({b1}, theta = 1), b1_bcs), numeric)

{diff(diff(diff(f(x), x), x), x), diff(diff(f(x), x), x), diff(f(x), x), f(x)}

 

{f(0) = 0, (D(f))(0) = 0, (D(f))(8) = 0}

 

Error, (in dsolve/numeric/bvp) initial Newton iteration is not converging

 

# Inspired from dsolve[numeric_bvp,advanced]  equations (8) to (11)

eval({b1}, theta = 1);

new_ode := {
(10*(1-lambda) + 0.0001000290084) * (diff(f(x), x, x, x))
+(7/4)*f(x)*(diff(f(x), x, x))-(1/2)*(diff(f(x), x))^2+21.00000000-0.4294823481e-4*(diff(f(x), x)) = 0
};

c1 := dsolve(new_ode union b1_bcs, numeric, continuation=lambda, maxmesh=2^13, abserr=1e-4);

{0.1000290084e-3*(diff(diff(diff(f(x), x), x), x))+(7/4)*f(x)*(diff(diff(f(x), x), x))-(1/2)*(diff(f(x), x))^2+21.00000000-0.4294823481e-4*(diff(f(x), x)) = 0}

 

{(10.00010003-10*lambda)*(diff(diff(diff(f(x), x), x), x))+(7/4)*f(x)*(diff(diff(f(x), x), x))-(1/2)*(diff(f(x), x))^2+21.00000000-0.4294823481e-4*(diff(f(x), x)) = 0}

 

proc (x_bvp) local res, data, solnproc, _ndsol, outpoint, i; option `Copyright (c) 2000 by Waterloo Maple Inc. All rights reserved.`; _EnvDSNumericSaveDigits := Digits; Digits := 15; if _EnvInFsolve = true then outpoint := evalf[_EnvDSNumericSaveDigits](x_bvp) else outpoint := evalf(x_bvp) end if; data := Array(1..4, {(1) = proc (outpoint) local X, Y, YP, yout, errproc, L, V, i; option `Copyright (c) 2000 by Waterloo Maple Inc. All rights reserved.`; X := Vector(1957, {(1) = .0, (2) = 0.12611067409361687e-2, (3) = 0.252221348410468e-2, (4) = 0.37833202318279476e-2, (5) = 0.5044426986579459e-2, (6) = 0.6305533751061398e-2, (7) = 0.7566640528282259e-2, (8) = 0.882774733423159e-2, (9) = 0.10088854351906654e-1, (10) = 0.1134996147648832e-1, (11) = 0.1261106863000165e-1, (12) = 0.13872175694923246e-1, (13) = 0.15133282634239825e-1, (14) = 0.1639438961857501e-1, (15) = 0.17655496658894432e-1, (16) = 0.1891660376438843e-1, (17) = 0.201777109453215e-1, (18) = 0.21438818213109903e-1, (19) = 0.226999255803993e-1, (20) = 0.23961033061142355e-1, (21) = 0.2522214067063882e-1, (22) = 0.26483248425465494e-1, (23) = 0.27744356343855976e-1, (24) = 0.2900546444567761e-1, (25) = 0.30266572797350823e-1, (26) = 0.31527681581096964e-1, (27) = 0.32788790652269535e-1, (28) = 0.3404990000354026e-1, (29) = 0.3531100966151564e-1, (30) = 0.3657211949287879e-1, (31) = 0.378332295699809e-1, (32) = 0.3909434005519271e-1, (33) = 0.4035545098622824e-1, (34) = 0.4161656240318755e-1, (35) = 0.42877674348625425e-1, (36) = 0.44138786867628975e-1, (37) = 0.4539990000789529e-1, (38) = 0.4666101381980905e-1, (39) = 0.47922128356520176e-1, (40) = 0.4918324367401858e-1, (41) = 0.504443598306827e-1, (42) = 0.51705476983967505e-1, (43) = 0.52966595278259664e-1, (44) = 0.5422771461261201e-1, (45) = 0.5548883505110064e-1, (46) = 0.5674995666822384e-1, (47) = 0.580110795294846e-1, (48) = 0.59272203529788e-1, (49) = 0.60533328864054374e-1, (50) = 0.61794455708944755e-1, (51) = 0.6305558415556746e-1, (52) = 0.6431671429938847e-1, (53) = 0.6557784623998603e-1, (54) = 0.6683898008085187e-1, (55) = 0.68100115929469e-1, (56) = 0.693612538973893e-1, (57) = 0.7062239410947786e-1, (58) = 0.7188353685500615e-1, (59) = 0.7314468216696497e-1, (60) = 0.7440583008586295e-1, (61) = 0.7566698074321118e-1, (62) = 0.7692813427624462e-1, (63) = 0.7818929082693948e-1, (64) = 0.7945045054195449e-1, (65) = 0.807116135427864e-1, (66) = 0.8197277980036363e-1, (67) = 0.832339496347055e-1, (68) = 0.8449512326790203e-1, (69) = 0.8575630087119017e-1, (70) = 0.8701748261988461e-1, (71) = 0.8827866869383584e-1, (72) = 0.895398592796815e-1, (73) = 0.9080105462393903e-1, (74) = 0.9206225506242222e-1, (75) = 0.9332346062914834e-1, (76) = 0.9458467150848042e-1, (77) = 0.9584588791472444e-1, (78) = 0.9710711006795063e-1, (79) = 0.9836833819402642e-1, (80) = 0.9962957252253975e-1, (81) = .1008908132898561, (82) = .10215206073957839, (83) = .10341331506666945, (84) = .10467457636699808, (85) = .10593584508668905, (86) = .10719712152495582, (87) = .10845840595691103, (88) = .1097196986642039, (89) = .11098099993469157, (90) = .11224231016838984, (91) = .11350362971330877, (92) = .11476495872478397, (93) = .11602629751473549, (94) = .11728764640531733, (95) = .1185490057257598, (96) = .119810375812448, (97) = .12107175700900018, (98) = .12233314966634631, (99) = .1235945541414749, (100) = .12485597079617078, (101) = .12611739991624088, (102) = .12737884176983025, (103) = .12864029693125903, (104) = .12990176583465182, (105) = .131163249047175, (106) = .13242474684245334, (107) = .133686259589641, (108) = .13494778771667934, (109) = .1362093316565799, (110) = .1374708918499907, (111) = .13873246874918502, (112) = .13999406281483692, (113) = .14125567451609802, (114) = .14251730433067672, (115) = .14377895274491753, (116) = .1450406202538804, (117) = .1463023073614202, (118) = .14756401458003954, (119) = .1488257422997683, (120) = .150087491092016, (121) = .15134926174291038, (122) = .1526110546441241, (123) = .1538728703457476, (124) = .15513470941495439, (125) = .15639657242834248, (126) = .1576584599720143, (127) = .15892037264165687, (128) = .16018231104143174, (129) = .16144427577948042, (130) = .16270626747919442, (131) = .1639682867749143, (132) = .16523033431095888, (133) = .16649241074170598, (134) = .16775451674736963, (135) = .1690166531646737, (136) = .17027882056507174, (137) = .17154101957942045, (138) = .17280325077052744, (139) = .17406551483095545, (140) = .17532781264192865, (141) = .1765901449417591, (142) = .17785251247846706, (143) = .17911491601093577, (144) = .1803773563089933, (145) = .18163983415349455, (146) = .1829023503364033, (147) = .18416490566085716, (148) = .18542750093461638, (149) = .18669013697766493, (150) = .18795281469338615, (151) = .1892155350368082, (152) = .19047829870775293, (153) = .19174110656368865, (154) = .19300395948783355, (155) = .19426685837035146, (156) = .1955298039447872, (157) = .1967927971942831, (158) = .19805583915297661, (159) = .1993189307604995, (160) = .2005820729718022, (161) = .20184526675417563, (162) = .20310851308733593, (163) = .20437181298069768, (164) = .2056351675972105, (165) = .20689857783808083, (166) = .20816204467418448, (167) = .20942556914591465, (168) = .21068915229764512, (169) = .2119527951965759, (170) = .21321649892425545, (171) = .21448026457541763, (172) = .21574409325806815, (173) = .2170079860764664, (174) = .21827194397964692, (175) = .2195359682427611, (176) = .2208000601033214, (177) = .2220642207305169, (178) = .22332845139338106, (179) = .22459275335689927, (180) = .2258571276893751, (181) = .22712157561639934, (182) = .22838609838280816, (183) = .2296506972476664, (184) = .23091537348435695, (185) = .2321801283806699, (186) = .23344496323871786, (187) = .2347098793634386, (188) = .23597487807863357, (189) = .23723996072992215, (190) = .23850512867777438, (191) = .23977038326094285, (192) = .2410357257126104, (193) = .24230115775888914, (194) = .2435666807477072, (195) = .24483229606052834, (196) = .2460980051470993, (197) = .24736380945843944, (198) = .24862971047269325, (199) = .24989570968738709, (200) = .2511618086158113, (201) = .25242800878711696, (202) = .25369431174641277, (203) = .2549607190548624, (204) = .2562272322897695, (205) = .2574938530448408, (206) = .25876058304180316, (207) = .26002742389796646, (208) = .2612943771289748, (209) = .26256144432932166, (210) = .2638286270302309, (211) = .265095927107769, (212) = .2663633462944918, (213) = .26763088631657456, (214) = .2688985489173046, (215) = .27016633585718075, (216) = .2714342489024619, (217) = .27270228983366535, (218) = .27397046046268897, (219) = .2752387626666449, (220) = .27650719841710164, (221) = .27777576942913185, (222) = .27904447756352185, (223) = .28031332472127635, (224) = .2815823128215197, (225) = .2828514438009443, (226) = .28412071959629515, (227) = .28539014207450314, (228) = .28665971313690386, (229) = .2879294349732195, (230) = .2891993096211578, (231) = .2904693391287817, (232) = .29173952557201455, (233) = .29300987118523625, (234) = .29428037798980655, (235) = .29555104803310817, (236) = .29682188343590865, (237) = .2980928863568396, (238) = .2993640589781272, (239) = .3006354035017192, (240) = .3019069221494054, (241) = .3031786171629271, (242) = .3044504908040907, (243) = .305722545354889, (244) = .3069947831175016, (245) = .30826720626576226, (246) = .30953981719360346, (247) = .3108126184713257, (248) = .3120856123433916, (249) = .3133588012100643, (250) = .31463218749692895, (251) = .3159057736506831, (252) = .3171795621392577, (253) = .3184535554519378, (254) = .3197277560994727, (255) = .32100216659528064, (256) = .32227678947583327, (257) = .32355162731612075, (258) = .3248266827131019, (259) = .32610195831648564, (260) = .32737745690682285, (261) = .32865318101266594, (262) = .3299291332799342, (263) = .33120531624413657, (264) = .3324817327007616, (265) = .33375838548833214, (266) = .33503527737376965, (267) = .33631241115650806, (268) = .3375897896592342, (269) = .33886741572802737, (270) = .34014529223248985, (271) = .341423422074033, (272) = .34270180831424074, (273) = .3439804538147938, (274) = .3452593614604791, (275) = .34653853420930053, (276) = .3478179750700847, (277) = .34909768707996774, (278) = .35037767330072506, (279) = .3516579368189082, (280) = .35293848072858175, (281) = .354219307980101, (282) = .3555004218630613, (283) = .3567818256397334, (284) = .3580635226153957, (285) = .3593455160148289, (286) = .360627808977678, (287) = .36191040479203895, (288) = .363193306773095, (289) = .36447651826230404, (290) = .36576004262755546, (291) = .36704388326332654, (292) = .36832804359084353, (293) = .369612527057955, (294) = .3708973371113733, (295) = .3721824772338594, (296) = .37346795101397967, (297) = .3747537621071182, (298) = .376039913914085, (299) = .3773264098563199, (300) = .3786132537420681, (301) = .37990044928521455, (302) = .3811880001823728, (303) = .382475910155076, (304) = .38376418291972014, (305) = .38505282224842957, (306) = .3863418319520693, (307) = .3876312158707797, (308) = .38892097789986074, (309) = .3902111220787108, (310) = .39150165220977434, (311) = .39279257221271047, (312) = .3940838860767872, (313) = .39537559781024495, (314) = .3966677114235935, (315) = .3979602309934306, (316) = .3992531605653906, (317) = .4005465041353861, (318) = .40184026606371515, (319) = .40313445057870323, (320) = .4044290619227955, (321) = .40572410450363017, (322) = .4070195825562071, (323) = .40831550030984826, (324) = .4096118620966158, (325) = .41090867231356154, (326) = .4122059353908928, (327) = .41350365579200804, (328) = .41480183801371195, (329) = .4161004865864324, (330) = .4173996060744387, (331) = .41869920107694475, (332) = .4199992763457943, (333) = .4212998364945388, (334) = .42260088599548973, (335) = .42390242949230966, (336) = .4252044719395505, (337) = .4265070181520194, (338) = .4278100729716486, (339) = .4291136412762689, (340) = .4304177279798547, (341) = .4317223380327604, (342) = .43302747641512895, (343) = .4343331481946948, (344) = .4356393584640161, (345) = .43694611218877033, (346) = .43825341450084454, (347) = .43956127057290245, (348) = .44086968561575035, (349) = .44217866487859564, (350) = .4434882136493154, (351) = .44479833725459034, (352) = .4461090408968795, (353) = .44742032991954567, (354) = .448732209988207, (355) = .45004468667502473, (356) = .45135776536114214, (357) = .4526714516013852, (358) = .45398575100155253, (359) = .455300669208603, (360) = .45661621191094987, (361) = .4579323848387527, (362) = .4592491937282255, (363) = .4605666443575282, (364) = .46188474258261275, (365) = .4632034943466466, (366) = .4645229057111015, (367) = .4658429825197997, (368) = .4671637307671712, (369) = .468485156334031, (370) = .4698072654552027, (371) = .47113006438022614, (372) = .4724535592648016, (373) = .4737777563419347, (374) = .4751026619101525, (375) = .4764282823141786, (376) = .47775462397209983, (377) = .4790816934605408, (378) = .4804094971372353, (379) = .4817380414974867, (380) = .4830673331222092, (381) = .4843973786289643, (382) = .48572818463616174, (383) = .4870597578613152, (384) = .48839210507950326, (385) = .489725233115598, (386) = .49105914881222135, (387) = .4923938589156937, (388) = .4937293707148183, (389) = .4950656911939908, (390) = .49640282737471847, (391) = .4977407863613247, (392) = .4990795752835293, (393) = .5004192013759158, (394) = .5017596719278579, (395) = .5031009942825266, (396) = .5044431758373147, (397) = .5057862240558085, (398) = .5071301465899432, (399) = .5084749509093326, (400) = .5098206445690437, (401) = .5111672351940115, (402) = .5125147304789032, (403) = .5138631381285425, (404) = .5152124658524208, (405) = .5165627217548439, (406) = .5179139138164558, (407) = .5192660500687628, (408) = .520619138737851, (409) = .5219731878803903, (410) = .523328205624572, (411) = .5246842001679289, (412) = .5260411798159579, (413) = .5273991529550451, (414) = .528758128034316, (415) = .530118113566156, (416) = .5314791181267454, (417) = .5328411503643272, (418) = .5342042191278352, (419) = .535568333111073, (420) = .5369335008994703, (421) = .5382997313177438, (422) = .5396670334940468, (423) = .5410354164659953, (424) = .542404889338734, (425) = .543775461286273, (426) = .5451471415520872, (427) = .5465199394558277, (428) = .5478938645239059, (429) = .549268926144188, (430) = .5506451337242007, (431) = .5520224968049239, (432) = .5534010250577748, (433) = .5547807282285416, (434) = .5561616161375229, (435) = .5575436986801847, (436) = .5589269858120476, (437) = .5603114873762033, (438) = .561697213768329, (439) = .5630841752254755, (440) = .5644723818770011, (441) = .5658618440473392, (442) = .5672525721761802, (443) = .568644576783994, (444) = .570037868472779, (445) = .5714324579268066, (446) = .572828355922584, (447) = .5742255734591796, (448) = .5756241213875486, (449) = .5770240106464738, (450) = .5784252522639554, (451) = .5798278574162898, (452) = .581231837384252, (453) = .5826372034805568, (454) = .5840439669727922, (455) = .5854521396166025, (456) = .5868617330995154, (457) = .5882727593013376, (458) = .589685229971169, (459) = .5910991569222369, (460) = .5925145520904086, (461) = .5939314275792416, (462) = .595349795593525, (463) = .5967696684355408, (464) = .5981910585060156, (465) = .5996139783181326, (466) = .6010384406251165, (467) = .602464458027922, (468) = .603892043266328, (469) = .6053212090344611, (470) = .6067519682507145, (471) = .6081843342211287, (472) = .6096183201705917, (473) = .6110539394295806, (474) = .6124912054575696, (475) = .613930131957031, (476) = .6153707324659986, (477) = .6168130207044134, (478) = .6182570105535743, (479) = .6197027159327081, (480) = .6211501509226823, (481) = .6225993297537327, (482) = .6240502667739444, (483) = .6255029764798514, (484) = .6269574735828177, (485) = .628413772423688, (486) = .6298718879637916, (487) = .6313318352428073, (488) = .6327936293260322, (489) = .6342572853317894, (490) = .6357228185814568, (491) = .6371902445396497, (492) = .6386595788420484, (493) = .6401308373579022, (494) = .6416040357974403, (495) = .6430791901265656, (496) = .6445563164780391, (497) = .6460354311225756, (498) = .6475165504324425, (499) = .6489996908770286, (500) = .6504848691114168, (501) = .6519721019240693, (502) = .6534614063738786, (503) = .6549527995963177, (504) = .6564462988701254, (505) = .6579419216245554, (506) = .6594396854410469, (507) = .6609396080546993, (508) = .6624417074021354, (509) = .6639460015048627, (510) = .6654525084285169, (511) = .6669612465390978, (512) = .668472234367053, (513) = .6699854906074096, (514) = .6715010341216405, (515) = .673018883933066, (516) = .6745390590108507, (517) = .6760615789402452, (518) = .6775864633196618, (519) = .6791137317161112, (520) = .6806434040300106, (521) = .6821755003423066, (522) = .6837100409163962, (523) = .6852470462002591, (524) = .6867865368376921, (525) = .688328533817619, (526) = .6898730580661522, (527) = .6914201306839357, (528) = .6929697729807611, (529) = .694522006548319, (530) = .6960768530977596, (531) = .6976343344764709, (532) = .6991944733065091, (533) = .7007572918756999, (534) = .7023228127786497, (535) = .7038910588567705, (536) = .7054620531668778, (537) = .7070358189357963, (538) = .7086123795809504, (539) = .7101917588973115, (540) = .7117739809414831, (541) = .7133590697145655, (542) = .714947049609525, (543) = .7165379452675614, (544) = .7181317815587477, (545) = .7197285833448573, (546) = .721328376093886, (547) = .722931185617521, (548) = .7245370377649885, (549) = .7261459584941283, (550) = .7277579741726412, (551) = .729373111429995, (552) = .7309913971585825, (553) = .7326128585284616, (554) = .7342375231473551, (555) = .7358654186139303, (556) = .7374965728095968, (557) = .739131013900905, (558) = .7407687704098137, (559) = .7424098710607225, (560) = .7440543448133753, (561) = .7457022215346637, (562) = .7473535307967266, (563) = .7490083025873183, (564) = .7506665672352699, (565) = .7523283553808792, (566) = .7539936979522723, (567) = .7556626262535396, (568) = .7573351719475563, (569) = .7590113667893085, (570) = .7606912430375508, (571) = .7623748332937448, (572) = .7640621704753428, (573) = .7657532875775883, (574) = .7674482186276257, (575) = .7691469976657005, (576) = .7708496588943096, (577) = .772556236978943, (578) = .7742667670212104, (579) = .7759812844999804, (580) = .777699825318686, (581) = .7794224259113668, (582) = .7811491227400539, (583) = .7828799528005852, (584) = .7846149535386272, (585) = .7863541628075918, (586) = .7880976185900676, (587) = .7898453595829297, (588) = .7915974252949081, (589) = .7933538550954801, (590) = .795114688977085, (591) = .7968799673889012, (592) = .7986497312462352, (593) = .8004240221166192, (594) = .8022028817178726, (595) = .8039863522432215, (596) = .8057744764084547, (597) = .8075672974806, (598) = .8093648591118373, (599) = .8111672053794979, (600) = .812974381600286, (601) = .8147864329206979, (602) = .8166034051370209, (603) = .8184253446203109, (604) = .8202522982846338, (605) = .8220843137351672, (606) = .8239214389629238, (607) = .8257637223855393, (608) = .8276112131788197, (609) = .8294639611062096, (610) = .8313220165061233, (611) = .8331854302039179, (612) = .8350542538903757, (613) = .8369285398110552, (614) = .8388083408026233, (615) = .840693710313698, (616) = .8425847025823417, (617) = .8444813725196388, (618) = .8463837753919228, (619) = .8482919673619356, (620) = .8502060052993263, (621) = .8521259467992299, (622) = .854051850384263, (623) = .8559837745858576, (624) = .8579217792055737, (625) = .8598659249875767, (626) = .861816273236678, (627) = .8637728861445918, (628) = .8657358267799026, (629) = .8677051586071878, (630) = .8696809461296326, (631) = .871663254725857, (632) = .8736521508549832, (633) = .8756477014688805, (634) = .8776499744070785, (635) = .8796590382679299, (636) = .8816749626946874, (637) = .8836978188734109, (638) = .8857276786644668, (639) = .8877646144319902, (640) = .8898086997392983, (641) = .8918600091860152, (642) = .8939186186251947, (643) = .8959846045662448, (644) = .8980580445621817, (645) = .9001390173939156, (646) = .9022276027104215, (647) = .9043238812678798, (648) = .90642793581505, (649) = .9085398493529937, (650) = .9106597062452092, (651) = .91278759209166, (652) = .9149235939579059, (653) = .9170677997719477, (654) = .9192202987263707, (655) = .9213811814517402, (656) = .9235505397680545, (657) = .9257284667691787, (658) = .9279150572429801, (659) = .9301104071789709, (660) = .932314613975753, (661) = .9345277767386027, (662) = .9367499955784505, (663) = .9389813721368282, (664) = .9412220098288309, (665) = .9434720137046206, (666) = .9457314901750181, (667) = .9480005466191951, (668) = .9502792932460813, (669) = .9525678415276232, (670) = .9548663048706167, (671) = .9571747978933918, (672) = .9594934370992158, (673) = .9618223412221294, (674) = .9641616307732246, (675) = .966511427730694, (676) = .9688718560465621, (677) = .9712430414762713, (678) = .9736251130191248, (679) = .9760182006302932, (680) = .9784224365485599, (681) = .9808379555340243, (682) = .9832648940586692, (683) = .9857033909462815, (684) = .9881535875848481, (685) = .9906156276457148, (686) = .9930896570589608, (687) = .9955758232975214, (688) = .9980742778188616, (689) = 1.0005851744394576, (690) = 1.003108668844669, (691) = 1.0056449195453354, (692) = 1.008194088199706, (693) = 1.0107563392371248, (694) = 1.01333183957446, (695) = 1.015920759013064, (696) = 1.0185232702338711, (697) = 1.0211395494700761, (698) = 1.0237697758433364, (699) = 1.0264141319761662, (700) = 1.0290728030620218, (701) = 1.0317459777798217, (702) = 1.0344338487470177, (703) = 1.037136612243575, (704) = 1.0398544670628054, (705) = 1.042587615970961, (706) = 1.0453362667916655, (707) = 1.0481006297775455, (708) = 1.050880919483655, (709) = 1.0536773549301603, (710) = 1.0564901585336604, (711) = 1.0593195570740959, (712) = 1.0621657817893573, (713) = 1.0650290691242439, (714) = 1.0679096600184523, (715) = 1.070807799813666, (716) = 1.0737237379177533, (717) = 1.0766577291427584, (718) = 1.079610033769807, (719) = 1.082580916369677, (720) = 1.085570646236085, (721) = 1.0885794999025409, (722) = 1.0916077597503127, (723) = 1.0946557135995814, (724) = 1.0977236547734768, (725) = 1.1008118819536918, (726) = 1.1039207006057723, (727) = 1.1070504228502496, (728) = 1.1102013655882714, (729) = 1.113373855053497, (730) = 1.1165682232551088, (731) = 1.1197848095614078, (732) = 1.1230239616278663, (733) = 1.1262860337077871, (734) = 1.1295713874901159, (735) = 1.1328803924633883, (736) = 1.1362134273014926, (737) = 1.13957087912256, (738) = 1.1429526809301884, (739) = 1.146351225125599, (740) = 1.149761194445626, (741) = 1.153181268260847, (742) = 1.1566115069186653, (743) = 1.1600519710373027, (744) = 1.1635027217185883, (745) = 1.1669638206127884, (746) = 1.1704353299251888, (747) = 1.1739173124227644, (748) = 1.1774098314409451, (749) = 1.1809129508904554, (750) = 1.184426735264351, (751) = 1.1879512497819738, (752) = 1.1914865604607139, (753) = 1.1950327336120334, (754) = 1.1985898361444396, (755) = 1.2021579355855798, (756) = 1.2057371000898696, (757) = 1.209327398446267, (758) = 1.2129289000861665, (759) = 1.2165416750913507, (760) = 1.2201657942023478, (761) = 1.22380132910343, (762) = 1.2274483521406587, (763) = 1.2311069360961553, (764) = 1.2347771544448054, (765) = 1.2384590813631027, (766) = 1.2421527917380437, (767) = 1.2458583611762215, (768) = 1.2495758660130794, (769) = 1.253305383322216, (770) = 1.2570469909498445, (771) = 1.260800767888374, (772) = 1.2645667936445015, (773) = 1.2683451483597852, (774) = 1.2721359129636185, (775) = 1.2759391691836515, (776) = 1.2797549995562436, (777) = 1.2835834874371452, (778) = 1.287424717012392, (779) = 1.2912787733092783, (780) = 1.2951457423088562, (781) = 1.2990257112391563, (782) = 1.3029187678000465, (783) = 1.306825000519121, (784) = 1.3107444988237862, (785) = 1.3146773530535683, (786) = 1.3186236544724845, (787) = 1.322583495281658, (788) = 1.3265569686321916, (789) = 1.3305441686382202, (790) = 1.3345451906356258, (791) = 1.3385601311694078, (792) = 1.3425890873566015, (793) = 1.3466321573228714, (794) = 1.3506894402263099, (795) = 1.35476103627203, (796) = 1.358847046726896, (797) = 1.3629475739345267, (798) = 1.3670627213305648, (799) = 1.371192593462464, (800) = 1.3753372964629296, (801) = 1.3794969374738242, (802) = 1.3836716244844918, (803) = 1.3878614666578233, (804) = 1.3920665743471312, (805) = 1.3962870591135332, (806) = 1.4005230337435934, (807) = 1.404774612267304, (808) = 1.40904190997629, (809) = 1.4133250435031033, (810) = 1.4176241313652878, (811) = 1.4219392929520922, (812) = 1.426270648823522, (813) = 1.4306183208990293, (814) = 1.4349824324779015, (815) = 1.4393631082601077, (816) = 1.4437604743675403, (817) = 1.4481746583657338, (818) = 1.4526057892857267, (819) = 1.457053997848002, (820) = 1.4615194168077768, (821) = 1.4660021798268617, (822) = 1.47050242206523, (823) = 1.4750202802664978, (824) = 1.4795558927827341, (825) = 1.4841093995996755, (826) = 1.4886809423624516, (827) = 1.4932706644020037, (828) = 1.4978787107615803, (829) = 1.5025052286807106, (830) = 1.5071503673691935, (831) = 1.5118142772203798, (832) = 1.516497110450085, (833) = 1.521199021130172, (834) = 1.5259201652189134, (835) = 1.5306607005917725, (836) = 1.535420787072793, (837) = 1.5402005864669406, (838) = 1.545000262613062, (839) = 1.5498199821814014, (840) = 1.55465991356943, (841) = 1.5595202268899848, (842) = 1.5644010944094595, (843) = 1.5693026905839227, (844) = 1.5742251920964927, (845) = 1.5791687778952734, (846) = 1.584133629231994, (847) = 1.589119929701852, (848) = 1.5941278654262654, (849) = 1.5991576258673146, (850) = 1.6042094021592994, (851) = 1.6092833877440702, (852) = 1.6143797786205427, (853) = 1.6194987733894437, (854) = 1.6246405732996454, (855) = 1.6298053822953502, (856) = 1.6349934070641656, (857) = 1.6402048570865033, (858) = 1.6454399451007093, (859) = 1.6506988874695545, (860) = 1.6559819024887261, (861) = 1.661289211397524, (862) = 1.666621038494818, (863) = 1.671977611195165, (864) = 1.6773591600867659, (865) = 1.6827659189906854, (866) = 1.6881981250213913, (867) = 1.693656018648471, (868) = 1.6991398446598325, (869) = 1.7046498514068777, (870) = 1.710186289896821, (871) = 1.7157494147580357, (872) = 1.7213394843106173, (873) = 1.7269567606376166, (874) = 1.7326015096583287, (875) = 1.7382740012033069, (876) = 1.7439745090915395, (877) = 1.7497033112801517, (878) = 1.7554606912715403, (879) = 1.7612469359851675, (880) = 1.7670623361037363, (881) = 1.7729071867160648, (882) = 1.7787817874068212, (883) = 1.7846864423480238, (884) = 1.7906214603929205, (885) = 1.796587155172029, (886) = 1.8025838451926912, (887) = 1.8086118542825629, (888) = 1.8146715128709043, (889) = 1.8207631550953325, (890) = 1.8268871201363366, (891) = 1.8330437525901857, (892) = 1.8392334025845158, (893) = 1.8454564258972619, (894) = 1.8517131840786396, (895) = 1.858004044575701, (896) = 1.8643293808622583, (897) = 1.8706895734856477, (898) = 1.8770850103289585, (899) = 1.8835160839588245, (900) = 1.889983193470814, (901) = 1.8964867446923925, (902) = 1.9030271503341456, (903) = 1.9096048301462807, (904) = 1.9162202110795399, (905) = 1.9228737274492667, (906) = 1.9295658211155453, (907) = 1.9362969435545494, (908) = 1.943067553806978, (909) = 1.9498781175938333, (910) = 1.956729108910844, (911) = 1.9636210102266844, (912) = 1.9705543126844554, (913) = 1.9775295163106428, (914) = 1.9845471302307687, (915) = 1.9916076728894851, (916) = 1.9987116725115937, (917) = 2.0058596698233875, (918) = 2.013052213709676, (919) = 2.0202898624996006, (920) = 2.0275731850678467, (921) = 2.034902761103743, (922) = 2.0422791813850685, (923) = 2.0497030480619562, (924) = 2.0571749749508, (925) = 2.0646955878358395, (926) = 2.0722655256784437, (927) = 2.0798854428262894, (928) = 2.0875560035478373, (929) = 2.0952778850546445, (930) = 2.103051778210528, (931) = 2.1108783879031248, (932) = 2.1187584334239165, (933) = 2.126692648862061, (934) = 2.1346817835124354, (935) = 2.142726602298396, (936) = 2.1508278884903467, (937) = 2.1589864433980024, (938) = 2.167203081955676, (939) = 2.175478636551378, (940) = 2.1838139575658886, (941) = 2.192209913896489, (942) = 2.200667393496569, (943) = 2.209187303935464, (944) = 2.2177705729772317, (945) = 2.226418149267976, (946) = 2.2351310074056845, (947) = 2.243910142511183, (948) = 2.252756569939845, (949) = 2.261671328528324, (950) = 2.27065548131771, (951) = 2.2797101163104836, (952) = 2.2888363472563067, (953) = 2.298035314470298, (954) = 2.3073081856762894, (955) = 2.316656157696414, (956) = 2.3260804627486342, (957) = 2.335582358466814, (958) = 2.345163132200997, (959) = 2.3548241035612856, (960) = 2.3645666255011806, (961) = 2.374392085445935, (962) = 2.3843019064704145, (963) = 2.3942975485331863, (964) = 2.4043805097458124, (965) = 2.4145523304965404, (966) = 2.424814598133215, (967) = 2.4351689351105366, (968) = 2.445617007282089, (969) = 2.45616052605427, (970) = 2.4668012500648784, (971) = 2.47754098692811, (972) = 2.488381595062649, (973) = 2.499324985620466, (974) = 2.5103731244742726, (975) = 2.5215280414159587, (976) = 2.532791827501886, (977) = 2.544166627375325, (978) = 2.555654649582165, (979) = 2.567258169126425, (980) = 2.57897953017305, (981) = 2.590821148866759, (982) = 2.602785516293039, (983) = 2.61487520162125, (984) = 2.627092855880931, (985) = 2.6394412286388045, (986) = 2.651923151767844, (987) = 2.664541543709142, (988) = 2.6772994195077353, (989) = 2.6901998950712542, (990) = 2.7032461917337067, (991) = 2.7164416410497063, (992) = 2.7297896898507648, (993) = 2.743293905631671, (994) = 2.7569579856836675, (995) = 2.7707857787563195, (996) = 2.7847812567457098, (997) = 2.798948533805447, (998) = 2.8132918772015847, (999) = 2.8278157149163996, (1000) = 2.842524643831713, (1001) = 2.8574234384092683, (1002) = 2.872517059916759, (1003) = 2.8878106662578547, (1004) = 2.903309634588218, (1005) = 2.9190195795703486, (1006) = 2.934946322009636, (1007) = 2.95109592528016, (1008) = 2.9674747104214267, (1009) = 2.984089270817855, (1010) = 3.000946488054656, (1011) = 3.0180535489203595, (1012) = 3.0354179637079106, (1013) = 3.053047585733967, (1014) = 3.070950666653916, (1015) = 3.0891358483274356, (1016) = 3.1076121579864058, (1017) = 3.1263890624531356, (1018) = 3.1454764973176124, (1019) = 3.1648848982541593, (1020) = 3.184625235139038, (1021) = 3.2047067922964274, (1022) = 3.22506119857703, (1023) = 3.24551577350801, (1024) = 3.2659703484389895, (1025) = 3.286424923369969, (1026) = 3.306879498300949, (1027) = 3.3273340732319285, (1028) = 3.347788648162908, (1029) = 3.368243223093888, (1030) = 3.3886977980248676, (1031) = 3.4091523729558473, (1032) = 3.429606947886827, (1033) = 3.4500615228178066, (1034) = 3.4705160977487863, (1035) = 3.490970672679766, (1036) = 3.5114252476107457, (1037) = 3.5318798225417254, (1038) = 3.552334397472705, (1039) = 3.5727889724036848, (1040) = 3.5932435473346644, (1041) = 3.613698122265644, (1042) = 3.634152697196624, (1043) = 3.6546072721276035, (1044) = 3.675061847058583, (1045) = 3.695516421989563, (1046) = 3.7159709969205426, (1047) = 3.7364255718515222, (1048) = 3.756880146782502, (1049) = 3.7773347217134816, (1050) = 3.7977892966444613, (1051) = 3.818243871575441, (1052) = 3.8386984465064207, (1053) = 3.8591530214374004, (1054) = 3.87960759636838, (1055) = 3.9000621712993597, (1056) = 3.9205167462303394, (1057) = 3.940971321161319, (1058) = 3.961425896092299, (1059) = 3.9818804710232785, (1060) = 4.002335045954258, (1061) = 4.022789620885237, (1062) = 4.043244195816216, (1063) = 4.063698770747195, (1064) = 4.084153345678175, (1065) = 4.104607920609154, (1066) = 4.125062495540133, (1067) = 4.145517070471112, (1068) = 4.165971645402092, (1069) = 4.186426220333071, (1070) = 4.20688079526405, (1071) = 4.227335370195029, (1072) = 4.247789945126009, (1073) = 4.268244520056988, (1074) = 4.288699094987967, (1075) = 4.309153669918946, (1076) = 4.329608244849926, (1077) = 4.350062819780905, (1078) = 4.370517394711884, (1079) = 4.390971969642863, (1080) = 4.4114265445738425, (1081) = 4.431881119504822, (1082) = 4.452335694435801, (1083) = 4.47279026936678, (1084) = 4.4932448442977595, (1085) = 4.513699419228739, (1086) = 4.534153994159718, (1087) = 4.554608569090697, (1088) = 4.5750631440216765, (1089) = 4.595517718952656, (1090) = 4.615972293883635, (1091) = 4.636426868814614, (1092) = 4.656881443745593, (1093) = 4.677336018676573, (1094) = 4.697790593607552, (1095) = 4.718245168538531, (1096) = 4.73869974346951, (1097) = 4.75915431840049, (1098) = 4.779599945763837, (1099) = 4.799901456250844, (1100) = 4.819905865275028, (1101) = 4.839569436413305, (1102) = 4.858903637752792, (1103) = 4.877919332921822, (1104) = 4.8966268358625875, (1105) = 4.915035968411521, (1106) = 4.933156091085105, (1107) = 4.950996131374472, (1108) = 4.968564609995763, (1109) = 4.985869665271386, (1110) = 5.002919075439649, (1111) = 5.019720286516001, (1112) = 5.03628045357582, (1113) = 5.052606394464678, (1114) = 5.068704636604071, (1115) = 5.084581438735351, (1116) = 5.100242805508283, (1117) = 5.115694500970945, (1118) = 5.130942061214859, (1119) = 5.14599080627073, (1120) = 5.1608458510996975, (1121) = 5.1755121264101795, (1122) = 5.189994388334937, (1123) = 5.204297193705956, (1124) = 5.2184249317222235, (1125) = 5.232381832739384, (1126) = 5.246171975874328, (1127) = 5.259799296093475, (1128) = 5.273267590897954, (1129) = 5.286580526666074, (1130) = 5.299741644616874, (1131) = 5.312754379344769, (1132) = 5.325622047287863, (1133) = 5.338347844325197, (1134) = 5.350934862090099, (1135) = 5.363386092396628, (1136) = 5.3757044315042535, (1137) = 5.387892684129737, (1138) = 5.399953567249112, (1139) = 5.411889713716575, (1140) = 5.423703676598961, (1141) = 5.43539794289569, (1142) = 5.446974915691684, (1143) = 5.458436922492583, (1144) = 5.469786222340324, (1145) = 5.481025008442234, (1146) = 5.492155410706678, (1147) = 5.503179498149715, (1148) = 5.514099281188764, (1149) = 5.5249167138221695, (1150) = 5.535633698018511, (1151) = 5.546252090526589, (1152) = 5.556773688358335, (1153) = 5.567200238798176, (1154) = 5.577533442328313, (1155) = 5.587774954272949, (1156) = 5.59792638638053, (1157) = 5.6079893083360375, (1158) = 5.617965249212904, (1159) = 5.62785569884747, (1160) = 5.637662112912206, (1161) = 5.647385912633534, (1162) = 5.657028477270494, (1163) = 5.666591151776356, (1164) = 5.6760752480340635, (1165) = 5.6854820459281274, (1166) = 5.694812794373559, (1167) = 5.704068712303182, (1168) = 5.7132509896232175, (1169) = 5.722360788177643, (1170) = 5.731399247375848, (1171) = 5.740367478010054, (1172) = 5.749266562096297, (1173) = 5.758097556877604, (1174) = 5.766861495571976, (1175) = 5.775559388094928, (1176) = 5.7841922217526625, (1177) = 5.792760961908116, (1178) = 5.801266552630103, (1179) = 5.809709917809679, (1180) = 5.818091965441857, (1181) = 5.826413580142048, (1182) = 5.834675626371095, (1183) = 5.842878950205562, (1184) = 5.851024379851201, (1185) = 5.859112726143346, (1186) = 5.86714478302817, (1187) = 5.875121328025217, (1188) = 5.883043122679921, (1189) = 5.890910914152032, (1190) = 5.898725436996217, (1191) = 5.906487407362627, (1192) = 5.914197526781967, (1193) = 5.921856482855736, (1194) = 5.929464949618962, (1195) = 5.937023587894995, (1196) = 5.944533045638145, (1197) = 5.951993958263391, (1198) = 5.959406948968633, (1199) = 5.966772630927536, (1200) = 5.974091606114039, (1201) = 5.98136446266348, (1202) = 5.988591777678788, (1203) = 5.995774117516898, (1204) = 6.002912038051496, (1205) = 6.0100060849299375, (1206) = 6.017056793822384, (1207) = 6.024064690662507, (1208) = 6.031030291955222, (1209) = 6.037954107236152, (1210) = 6.044836635601078, (1211) = 6.051678366119732, (1212) = 6.058479779236215, (1213) = 6.0652413469720505, (1214) = 6.071963533120579, (1215) = 6.078646793436689, (1216) = 6.085291575821165, (1217) = 6.0918983205001025, (1218) = 6.098467460538646, (1219) = 6.104999423582587, (1220) = 6.1114946281383675, (1221) = 6.1179534852726105, (1222) = 6.124376399205603, (1223) = 6.130763767463012, (1224) = 6.137115981022318, (1225) = 6.14343342445549, (1226) = 6.149716476067508, (1227) = 6.155965508032449, (1228) = 6.162180887238813, (1229) = 6.1683629757326885, (1230) = 6.174512128031225, (1231) = 6.18062869294174, (1232) = 6.186713013768597, (1233) = 6.192765428428229, (1234) = 6.19878626956109, (1235) = 6.20477586464075, (1236) = 6.210734536079536, (1237) = 6.216662601333261, (1238) = 6.2225603741386655, (1239) = 6.228428163361127, (1240) = 6.234266272077085, (1241) = 6.240074998798581, (1242) = 6.245854637564159, (1243) = 6.251605478027394, (1244) = 6.257327805543525, (1245) = 6.263021901254106, (1246) = 6.268688042168734, (1247) = 6.274326501322674, (1248) = 6.279937549047608, (1249) = 6.285521450861425, (1250) = 6.291078467949223, (1251) = 6.296608857750708, (1252) = 6.302112874031623, (1253) = 6.307590766952877, (1254) = 6.313042783138349, (1255) = 6.318469165741376, (1256) = 6.32387015450889, (1257) = 6.329245986100661, (1258) = 6.334596894876298, (1259) = 6.3399231108408785, (1260) = 6.345224860666, (1261) = 6.350502367921233, (1262) = 6.355755853130734, (1263) = 6.360985533827964, (1264) = 6.366191624609341, (1265) = 6.371374337186983, (1266) = 6.376533880439764, (1267) = 6.381670460959367, (1268) = 6.386784283032106, (1269) = 6.3918755472994775, (1270) = 6.396944451742154, (1271) = 6.401991191749827, (1272) = 6.407015960166426, (1273) = 6.412018947333939, (1274) = 6.417000341135335, (1275) = 6.421960327036749, (1276) = 6.426899088133873, (1277) = 6.431816805934923, (1278) = 6.436713659400172, (1279) = 6.441589824681606, (1280) = 6.446445475713707, (1281) = 6.4512807842500335, (1282) = 6.45609591989962, (1283) = 6.460891050162418, (1284) = 6.465666340464004, (1285) = 6.470421954189564, (1286) = 6.475158052792133, (1287) = 6.479874796508076, (1288) = 6.484572342996931, (1289) = 6.489250847767304, (1290) = 6.49391046444911, (1291) = 6.49855134482342, (1292) = 6.503173638851996, (1293) = 6.507777494706181, (1294) = 6.512363058795258, (1295) = 6.516930475794041, (1296) = 6.521479888873619, (1297) = 6.526011440058072, (1298) = 6.530525269015419, (1299) = 6.5350215137145184, (1300) = 6.539500310522017, (1301) = 6.543961794226933, (1302) = 6.548406098064826, (1303) = 6.552833353741514, (1304) = 6.5572436914564385, (1305) = 6.5616372399252745, (1306) = 6.566014126772318, (1307) = 6.570374478334124, (1308) = 6.5747184189817105, (1309) = 6.579046071685795, (1310) = 6.583357558042312, (1311) = 6.587652998292814, (1312) = 6.591932511344431, (1313) = 6.5961962147894555, (1314) = 6.600444224924743, (1315) = 6.604676656782211, (1316) = 6.608893624647716, (1317) = 6.6130952413049195, (1318) = 6.617281618027283, (1319) = 6.62145286488479, (1320) = 6.625609090761132, (1321) = 6.629750403370714, (1322) = 6.633876909275285, (1323) = 6.637988713900222, (1324) = 6.642085921550715, (1325) = 6.646168635498953, (1326) = 6.65023695840274, (1327) = 6.654290991394288, (1328) = 6.658330834429409, (1329) = 6.662356586420574, (1330) = 6.666368345251244, (1331) = 6.670366207790113, (1332) = 6.674350269905061, (1333) = 6.678320626476797, (1334) = 6.682277371412413, (1335) = 6.6862205978268054, (1336) = 6.690150398181826, (1337) = 6.694066863550045, (1338) = 6.6979700840538685, (1339) = 6.701860148906706, (1340) = 6.705737146425027, (1341) = 6.709601164040352, (1342) = 6.713452288311022, (1343) = 6.717290604933719, (1344) = 6.7211161987548556, (1345) = 6.724929154071867, (1346) = 6.7287295543670425, (1347) = 6.732517481984405, (1348) = 6.736293018461649, (1349) = 6.740056244540853, (1350) = 6.743807240178715, (1351) = 6.747546084556683, (1352) = 6.751272856090944, (1353) = 6.75498763244222, (1354) = 6.758690490542566, (1355) = 6.762381506947353, (1356) = 6.7660607572497975, (1357) = 6.76972831616785, (1358) = 6.773384257711103, (1359) = 6.777028655189771, (1360) = 6.7806615812234226, (1361) = 6.784283107749609, (1362) = 6.787893306032351, (1363) = 6.791492246670539, (1364) = 6.79507999967404, (1365) = 6.798656634708655, (1366) = 6.802222220471203, (1367) = 6.805776824967014, (1368) = 6.809320515576505, (1369) = 6.8128533590628235, (1370) = 6.816375421579347, (1371) = 6.819886768677064, (1372) = 6.823387465311823, (1373) = 6.826877575851564, (1374) = 6.830357164226586, (1375) = 6.8338262939498895, (1376) = 6.83728502766511, (1377) = 6.84073342744554, (1378) = 6.844171554811073, (1379) = 6.847599470734747, (1380) = 6.851017235649192, (1381) = 6.854424909452998, (1382) = 6.857822551516926, (1383) = 6.861210220690897, (1384) = 6.86458797554246, (1385) = 6.867955874073978, (1386) = 6.871313973594621, (1387) = 6.874662330915987, (1388) = 6.878001002357847, (1389) = 6.881330043753768, (1390) = 6.884649510456689, (1391) = 6.887959457344422, (1392) = 6.891259938825025, (1393) = 6.894551008863304, (1394) = 6.897832721221617, (1395) = 6.9011051290087595, (1396) = 6.9043682847965, (1397) = 6.907622240713015, (1398) = 6.910867048447885, (1399) = 6.914102759256969, (1400) = 6.917329423967229, (1401) = 6.920547092981511, (1402) = 6.923755816283209, (1403) = 6.926955643505246, (1404) = 6.930146624067122, (1405) = 6.93332880674134, (1406) = 6.936502239870348, (1407) = 6.939666971399865, (1408) = 6.94282304888323, (1409) = 6.945970519485645, (1410) = 6.949109429988377, (1411) = 6.952239826792916, (1412) = 6.955361755925054, (1413) = 6.9584752631636215, (1414) = 6.961580393992686, (1415) = 6.964677193329635, (1416) = 6.9677657057293505, (1417) = 6.970845975390825, (1418) = 6.973918046160953, (1419) = 6.976981961538247, (1420) = 6.980037764676505, (1421) = 6.983085498388435, (1422) = 6.98612520515224, (1423) = 6.989156927297943, (1424) = 6.992180706743452, (1425) = 6.995196584965121, (1426) = 6.99820460311582, (1427) = 7.001204802028247, (1428) = 7.004197222218248, (1429) = 7.007181903888075, (1430) = 7.010158886929606, (1431) = 7.0131282109275155, (1432) = 7.0160899151862814, (1433) = 7.019044038894063, (1434) = 7.021990620775833, (1435) = 7.024929699211911, (1436) = 7.0278613122908675, (1437) = 7.030785497812457, (1438) = 7.0337022932905215, (1439) = 7.036611735955862, (1440) = 7.039513862759076, (1441) = 7.042408710373336, (1442) = 7.045296315258033, (1443) = 7.048176713725857, (1444) = 7.051049941641773, (1445) = 7.053916034590696, (1446) = 7.05677502789373, (1447) = 7.05962695661077, (1448) = 7.062471855543055, (1449) = 7.0653097592357, (1450) = 7.068140701980213, (1451) = 7.070964717816933, (1452) = 7.0737818406478254, (1453) = 7.076592104148589, (1454) = 7.079395541615503, (1455) = 7.082192186103086, (1456) = 7.0849820704267215, (1457) = 7.0877652271649625, (1458) = 7.090541688661798, (1459) = 7.093311487028882, (1460) = 7.096074654147772, (1461) = 7.098831221677635, (1462) = 7.1015812211989715, (1463) = 7.104324683981184, (1464) = 7.107061641002049, (1465) = 7.1097921230200205, (1466) = 7.112516160576278, (1467) = 7.115233783996771, (1468) = 7.117945023394232, (1469) = 7.1206499086701545, (1470) = 7.123348469516776, (1471) = 7.126040735444656, (1472) = 7.128726735891676, (1473) = 7.131406499957209, (1474) = 7.134080056511143, (1475) = 7.136747434223693, (1476) = 7.1394086615672165, (1477) = 7.142063766818034, (1478) = 7.1447127780582225, (1479) = 7.147355723177375, (1480) = 7.1499926298743635, (1481) = 7.152623525716651, (1482) = 7.155248438160543, (1483) = 7.157867394344638, (1484) = 7.1604804212179225, (1485) = 7.163087545547202, (1486) = 7.165688793918725, (1487) = 7.168284192739803, (1488) = 7.17087376824041, (1489) = 7.173457546474761, (1490) = 7.176035553322959, (1491) = 7.178607814590973, (1492) = 7.181174355899892, (1493) = 7.183735202612559, (1494) = 7.186290379923762, (1495) = 7.1888399128617255, (1496) = 7.1913838262895675, (1497) = 7.193922144906743, (1498) = 7.196454893250478, (1499) = 7.1989820956971835, (1500) = 7.201503776471775, (1501) = 7.204019959756831, (1502) = 7.206530669494298, (1503) = 7.209035929427687, (1504) = 7.21153576314659, (1505) = 7.214030194088018, (1506) = 7.216519245537704, (1507) = 7.219002940631403, (1508) = 7.221481302356167, (1509) = 7.223954353551624, (1510) = 7.226422116938011, (1511) = 7.228884615185013, (1512) = 7.231341870709448, (1513) = 7.2337939057704626, (1514) = 7.236240742485969, (1515) = 7.23868240283384, (1516) = 7.241118908653084, (1517) = 7.2435502816450095, (1518) = 7.2459765433743755, (1519) = 7.248397715270539, (1520) = 7.250813818683145, (1521) = 7.25322487487022, (1522) = 7.255630904860615, (1523) = 7.258031929550306, (1524) = 7.260427969705442, (1525) = 7.262819045963411, (1526) = 7.2652051788339005, (1527) = 7.267586388699949, (1528) = 7.269962695818978, (1529) = 7.272334120324731, (1530) = 7.274700682313303, (1531) = 7.27706240172666, (1532) = 7.27941929832722, (1533) = 7.281771391756866, (1534) = 7.2841187015379285, (1535) = 7.286461247074143, (1536) = 7.288799047651611, (1537) = 7.2911321224397465, (1538) = 7.29346049049221, (1539) = 7.295784170757824, (1540) = 7.298103182161762, (1541) = 7.300417543439858, (1542) = 7.302727273189446, (1543) = 7.305032389896698, (1544) = 7.307332911937505, (1545) = 7.3096288575783515, (1546) = 7.311920244977179, (1547) = 7.314207092184243, (1548) = 7.316489417142961, (1549) = 7.318767237718197, (1550) = 7.321040571735172, (1551) = 7.323309436827339, (1552) = 7.325573850516763, (1553) = 7.327833830222821, (1554) = 7.3300893932630045, (1555) = 7.332340556853709, (1556) = 7.334587338111018, (1557) = 7.33682975405148, (1558) = 7.339067821592876, (1559) = 7.341301557606788, (1560) = 7.343530978884189, (1561) = 7.345756102049298, (1562) = 7.347976943630229, (1563) = 7.350193520060094, (1564) = 7.352405847677727, (1565) = 7.354613942728409, (1566) = 7.35681782136457, (1567) = 7.359017499646498, (1568) = 7.3612129935451724, (1569) = 7.363404319014081, (1570) = 7.365591491877271, (1571) = 7.367774527831366, (1572) = 7.369953442484308, (1573) = 7.372128251356013, (1574) = 7.374298969879037, (1575) = 7.376465613399224, (1576) = 7.378628197176357, (1577) = 7.380786736384793, (1578) = 7.38294124612579, (1579) = 7.385091741486035, (1580) = 7.3872382374014585, (1581) = 7.3893807487091605, (1582) = 7.3915192901639655, (1583) = 7.393653876439024, (1584) = 7.395784522126417, (1585) = 7.397911241737744, (1586) = 7.400034049704722, (1587) = 7.402152960379757, (1588) = 7.404267988064298, (1589) = 7.4063791470250875, (1590) = 7.408486451382061, (1591) = 7.410589915174423, (1592) = 7.412689552364938, (1593) = 7.414785376840488, (1594) = 7.416877402412616, (1595) = 7.41896564281807, (1596) = 7.421050111719343, (1597) = 7.423130822705201, (1598) = 7.425207789340488, (1599) = 7.427281025115815, (1600) = 7.429350543400304, (1601) = 7.431416357491461, (1602) = 7.433478480615687, (1603) = 7.43553692592878, (1604) = 7.4375917065164385, (1605) = 7.439642835394755, (1606) = 7.441690325510709, (1607) = 7.443734189746125, (1608) = 7.445774440976072, (1609) = 7.447811091966438, (1610) = 7.449844155391067, (1611) = 7.451873643857108, (1612) = 7.453899569905478, (1613) = 7.4559219460113235, (1614) = 7.457940784584479, (1615) = 7.459956097969922, (1616) = 7.461967898448222, (1617) = 7.463976198249048, (1618) = 7.465981009591273, (1619) = 7.467982344572803, (1620) = 7.4699802152195955, (1621) = 7.471974633495413, (1622) = 7.4739656113022495, (1623) = 7.475953160480755, (1624) = 7.4779372928106564, (1625) = 7.479918020011169, (1626) = 7.4818953537414155, (1627) = 7.483869305628657, (1628) = 7.485839887267227, (1629) = 7.487807110138557, (1630) = 7.489770985664132, (1631) = 7.491731525207374, (1632) = 7.493688740074031, (1633) = 7.495642641512565, (1634) = 7.497593240714539, (1635) = 7.499540548814998, (1636) = 7.501484576893126, (1637) = 7.5034253360181795, (1638) = 7.505362837190654, (1639) = 7.5072970913220445, (1640) = 7.509228109269209, (1641) = 7.511155901834732, (1642) = 7.513080479767283, (1643) = 7.515001853761978, (1644) = 7.51692003446073, (1645) = 7.518835032452602, (1646) = 7.520746858278929, (1647) = 7.522655522479503, (1648) = 7.524561035501826, (1649) = 7.526463407725861, (1650) = 7.528362649480448, (1651) = 7.530258771043641, (1652) = 7.532151782643042, (1653) = 7.534041694456124, (1654) = 7.5359285166105625, (1655) = 7.537812259184558, (1656) = 7.539692932221311, (1657) = 7.541570545754068, (1658) = 7.543445109718608, (1659) = 7.545316633997329, (1660) = 7.547185128424748, (1661) = 7.549050602787806, (1662) = 7.550913066826175, (1663) = 7.552772530232565, (1664) = 7.554629002653015, (1665) = 7.556482493687204, (1666) = 7.5583330129164485, (1667) = 7.5601805698892495, (1668) = 7.562025174067318, (1669) = 7.56386683486679, (1670) = 7.565705561658902, (1671) = 7.56754136377028, (1672) = 7.569374250483219, (1673) = 7.5712042310359635, (1674) = 7.573031314622985, (1675) = 7.5748555103961515, (1676) = 7.576676827505345, (1677) = 7.578495275037745, (1678) = 7.580310862014501, (1679) = 7.582123597414363, (1680) = 7.583933490173936, (1681) = 7.5857405491879515, (1682) = 7.587544783309521, (1683) = 7.5893462013504, (1684) = 7.591144812081242, (1685) = 7.592940624237828, (1686) = 7.594733646556354, (1687) = 7.596523887694979, (1688) = 7.598311356261577, (1689) = 7.600096060824183, (1690) = 7.601878009911239, (1691) = 7.603657212011841, (1692) = 7.605433675575975, (1693) = 7.60720740901476, (1694) = 7.608978420700683, (1695) = 7.6107467189828535, (1696) = 7.612512312199677, (1697) = 7.614275208610958, (1698) = 7.6160354164361515, (1699) = 7.6177929438572525, (1700) = 7.619547799019024, (1701) = 7.62129999002922, (1702) = 7.623049524958809, (1703) = 7.624796411842196, (1704) = 7.626540658677444, (1705) = 7.6282822734539595, (1706) = 7.630021264127614, (1707) = 7.631757638587955, (1708) = 7.633491404689044, (1709) = 7.635222570249684, (1710) = 7.636951143053628, (1711) = 7.6386771308497945, (1712) = 7.640400541352466, (1713) = 7.642121382241498, (1714) = 7.643839661164192, (1715) = 7.645555385770016, (1716) = 7.647268563651927, (1717) = 7.6489792023533445, (1718) = 7.650687309384274, (1719) = 7.652392892221509, (1720) = 7.65409595830882, (1721) = 7.655796515057151, (1722) = 7.657494569844813, (1723) = 7.659190130017671, (1724) = 7.660883202896386, (1725) = 7.662573795802084, (1726) = 7.664261915989996, (1727) = 7.665947570677381, (1728) = 7.6676307670499995, (1729) = 7.669311512262291, (1730) = 7.670989813437558, (1731) = 7.672665677668145, (1732) = 7.674339112015621, (1733) = 7.676010123510948, (1734) = 7.677678719170351, (1735) = 7.679344905997785, (1736) = 7.681008690933963, (1737) = 7.682670080888522, (1738) = 7.684329082741375, (1739) = 7.685985703342876, (1740) = 7.687639949513995, (1741) = 7.689291828046482, (1742) = 7.690941345703033, (1743) = 7.692588509217531, (1744) = 7.694233325321977, (1745) = 7.69587580071419, (1746) = 7.697515942041653, (1747) = 7.699153755923615, (1748) = 7.700789248951255, (1749) = 7.702422427687834, (1750) = 7.704053298668859, (1751) = 7.705681868402233, (1752) = 7.707308143368413, (1753) = 7.70893213002305, (1754) = 7.710553834825748, (1755) = 7.712173264185651, (1756) = 7.713790424474351, (1757) = 7.715405322036758, (1758) = 7.717017963191249, (1759) = 7.718628354229814, (1760) = 7.720236501418206, (1761) = 7.721842410996081, (1762) = 7.723446089177147, (1763) = 7.725047542157286, (1764) = 7.7266467761318225, (1765) = 7.7282437972405855, (1766) = 7.729838611594334, (1767) = 7.731431225278593, (1768) = 7.733021644353786, (1769) = 7.734609874855379, (1770) = 7.736195922794012, (1771) = 7.737779794155639, (1772) = 7.739361494901656, (1773) = 7.740941030985229, (1774) = 7.742518408345327, (1775) = 7.744093632870331, (1776) = 7.745666710424213, (1777) = 7.747237646847059, (1778) = 7.748806447955194, (1779) = 7.750373119541314, (1780) = 7.751937667374614, (1781) = 7.75350009720091, (1782) = 7.755060414743156, (1783) = 7.756618625726384, (1784) = 7.75817473584211, (1785) = 7.759728750743381, (1786) = 7.761280676060495, (1787) = 7.762830517401119, (1788) = 7.764378280350417, (1789) = 7.765923970471164, (1790) = 7.767467593303865, (1791) = 7.769009154366878, (1792) = 7.770548659159828, (1793) = 7.772086113186593, (1794) = 7.773621521906366, (1795) = 7.775154890749582, (1796) = 7.776686225125118, (1797) = 7.778215530420398, (1798) = 7.7797428120015075, (1799) = 7.78126807521331, (1800) = 7.782791325379554, (1801) = 7.784312567802986, (1802) = 7.785831807774251, (1803) = 7.787349050581816, (1804) = 7.788864301467626, (1805) = 7.790377565651048, (1806) = 7.791888848330993, (1807) = 7.793398154686025, (1808) = 7.7949054898744645, (1809) = 7.796410859034498, (1810) = 7.797914267284275, (1811) = 7.7994157197220195, (1812) = 7.800915221442684, (1813) = 7.80241277752499, (1814) = 7.8039083930076, (1815) = 7.805402072909605, (1816) = 7.806893822230684, (1817) = 7.808383645951197, (1818) = 7.809871549032288, (1819) = 7.8113575364159855, (1820) = 7.812841613025294, (1821) = 7.814323783765137, (1822) = 7.815804053544567, (1823) = 7.817282427240667, (1824) = 7.81875890970091, (1825) = 7.820233505754229, (1826) = 7.8217062202111185, (1827) = 7.823177057863724, (1828) = 7.824646023485936, (1829) = 7.826113121833483, (1830) = 7.827578357644022, (1831) = 7.829041735641304, (1832) = 7.830503260552716, (1833) = 7.831962937066376, (1834) = 7.833420769848167, (1835) = 7.83487676354635, (1836) = 7.836330922791663, (1837) = 7.837783252197401, (1838) = 7.839233756359507, (1839) = 7.840682439856657, (1840) = 7.842129307250349, (1841) = 7.843574363094466, (1842) = 7.84501761193881, (1843) = 7.846459058294443, (1844) = 7.847898706654614, (1845) = 7.849336561495815, (1846) = 7.8507726272778715, (1847) = 7.852206908444019, (1848) = 7.853639409420989, (1849) = 7.855070134619086, (1850) = 7.856499088432286, (1851) = 7.857926275255067, (1852) = 7.859351699463754, (1853) = 7.860775365403395, (1854) = 7.862197277403018, (1855) = 7.863617439775707, (1856) = 7.865035856818683, (1857) = 7.86645253281338, (1858) = 7.86786747202552, (1859) = 7.869280678705195, (1860) = 7.870692157088304, (1861) = 7.872101911415651, (1862) = 7.873509945898158, (1863) = 7.874916264723793, (1864) = 7.876320872065268, (1865) = 7.877723772080116, (1866) = 7.879124968910763, (1867) = 7.880524466684603, (1868) = 7.8819222695140665, (1869) = 7.883318381496695, (1870) = 7.884712806720007, (1871) = 7.886105549273988, (1872) = 7.887496613214391, (1873) = 7.888886002579583, (1874) = 7.890273721393399, (1875) = 7.891659773665211, (1876) = 7.893044163389997, (1877) = 7.8944268945484115, (1878) = 7.8958079711068505, (1879) = 7.897187397017522, (1880) = 7.898565176228581, (1881) = 7.8999413126820945, (1882) = 7.9013158102881675, (1883) = 7.902688672942608, (1884) = 7.9040599045273705, (1885) = 7.905429508910625, (1886) = 7.9067974899468165, (1887) = 7.9081638514767345, (1888) = 7.909528597327574, (1889) = 7.910891731313164, (1890) = 7.912253257250207, (1891) = 7.913613178936267, (1892) = 7.914971500144501, (1893) = 7.916328224634791, (1894) = 7.9176833561538045, (1895) = 7.919036898435061, (1896) = 7.920388855198988, (1897) = 7.921739230152987, (1898) = 7.92308802699149, (1899) = 7.924435249397942, (1900) = 7.925780901060633, (1901) = 7.9271249856403525, (1902) = 7.928467506779973, (1903) = 7.929808468109699, (1904) = 7.931147873247127, (1905) = 7.932485725797304, (1906) = 7.933822029352781, (1907) = 7.935156787493677, (1908) = 7.936490003787731, (1909) = 7.9378216817958105, (1910) = 7.9391518250797795, (1911) = 7.9404804371719075, (1912) = 7.941807521590713, (1913) = 7.943133081842619, (1914) = 7.944457121422013, (1915) = 7.945779643811293, (1916) = 7.947100652480932, (1917) = 7.9484201508895245, (1918) = 7.949738142483844, (1919) = 7.951054630709461, (1920) = 7.952369619003862, (1921) = 7.953683110778499, (1922) = 7.954995109433132, (1923) = 7.956305618355968, (1924) = 7.957614640923712, (1925) = 7.958922180501621, (1926) = 7.960228240443554, (1927) = 7.961532824092022, (1928) = 7.962835934778676, (1929) = 7.964137575839275, (1930) = 7.965437750590339, (1931) = 7.966736462329248, (1932) = 7.9680337143422895, (1933) = 7.96932950990471, (1934) = 7.97062385228076, (1935) = 7.97191674472375, (1936) = 7.973208190476089, (1937) = 7.974498192769343, (1938) = 7.975786754826755, (1939) = 7.977073879875802, (1940) = 7.97835957111899, (1941) = 7.979643831744734, (1942) = 7.980926664930844, (1943) = 7.982208073844569, (1944) = 7.983488061642645, (1945) = 7.984766631471343, (1946) = 7.986043786466513, (1947) = 7.987319529753629, (1948) = 7.988593864453876, (1949) = 7.989866793687814, (1950) = 7.991138320550665, (1951) = 7.992408448126629, (1952) = 7.993677179489759, (1953) = 7.994944517704004, (1954) = 7.996210465823257, (1955) = 7.997475026891394, (1956) = 7.99873820394232, (1957) = 8.0}, datatype = float[8], order = C_order); Y := Matrix(1957, 3, {(1, 1) = .0, (1, 2) = .0, (1, 3) = 1652.0328791655768, (2, 1) = 0.12430441779039468e-2, (2, 2) = 1.9146552521461992, (2, 3) = 1381.8757650221012, (3, 1) = 0.4680795630263913e-2, (3, 2) = 3.476062665624943, (3, 3) = 1090.6708199728403, (4, 1) = 0.9851388646064057e-2, (4, 2) = 4.66019204710641, (4, 3) = 787.5690423219288, (5, 1) = 0.16277351257591964e-1, (5, 2) = 5.47146980271761, (5, 3) = 505.95533898027367, (6, 1) = 0.23515774422379395e-1, (6, 2) = 5.960887729053191, (6, 3) = 282.0665822935489, (7, 1) = 0.3121287839337445e-1, (7, 2) = 6.214695193503329, (7, 3) = 132.89570827255085, (8, 1) = 0.39130266536634616e-1, (8, 2) = 6.324298320427456, (8, 3) = 50.38616547512059, (9, 1) = 0.47133716901666727e-1, (9, 2) = 6.360593107747828, (9, 3) = 12.6895847652955, (10, 1) = 0.551604190441362e-1, (10, 2) = 6.366100974953985, (10, 3) = -1.418164853243008, (11, 1) = 0.6318613141533373e-1, (11, 2) = 6.361081800836295, (11, 3) = -5.609038155709993, (12, 1) = 0.7120334078690195e-1, (12, 2) = 6.353307795531636, (12, 3) = -6.446184099643742, (13, 1) = 0.7921040623429978e-1, (13, 2) = 6.345179178904462, (13, 3) = -6.384154302666129, (14, 1) = 0.8720733830412002e-1, (14, 2) = 6.337271126533362, (14, 3) = -6.150482737494599, (15, 1) = 0.9519448868861896e-1, (15, 2) = 6.329665933253567, (15, 3) = -5.914097023721733, (16, 1) = .10317223039473729, (16, 2) = 6.32234396902743, (16, 3) = -5.702132142746637, (17, 1) = .11114090078144184, (17, 2) = 6.315273873050254, (17, 3) = -5.514045013990423, (18, 1) = .11910079958376645, (18, 2) = 6.30842797666957, (18, 3) = -5.345937462506289, (19, 1) = .12705219468827422, (19, 2) = 6.301783316100545, (19, 3) = -5.194401058793858, (20, 1) = .13499532753469057, (20, 2) = 6.295320742615864, (20, 3) = -5.05677289931709, (21, 1) = .14293041737519155, (21, 2) = 6.2890240832645645, (21, 3) = -4.93096722801539, (22, 1) = .15085766461128972, (22, 2) = 6.282879514066236, (22, 3) = -4.815323226514059, (23, 1) = .1587772534516935, (23, 2) = 6.276875095996, (23, 3) = -4.708497474342716, (24, 1) = .1666893540586348, (24, 2) = 6.271000425079112, (24, 3) = -4.609388372321973, (25, 1) = .1745941245883883, (25, 2) = 6.2652463632739455, (25, 3) = -4.517081853338465, (26, 1) = .18249171308240722, (26, 2) = 6.2596048280595165, (26, 3) = -4.430811530191452, (27, 1) = .19038225591846794, (27, 2) = 6.2540686278330835, (27, 3) = -4.34992891586239, (28, 1) = .19826588175461154, (28, 2) = 6.248631326065719, (28, 3) = -4.2738807200361135, (29, 1) = .20614271176212665, (29, 2) = 6.2432871332200675, (29, 3) = -4.20219136569151, (30, 1) = .2140128591735052, (30, 2) = 6.2380308185226365, (30, 3) = -4.134449327591535, (31, 1) = .22187643222119963, (31, 2) = 6.232857634735667, (31, 3) = -4.07029630101403, (32, 1) = .22973353398301782, (32, 2) = 6.227763257202543, (32, 3) = -4.009418571771668, (33, 1) = .23758426154387807, (33, 2) = 6.22274373302986, (33, 3) = -3.95154005848754, (34, 1) = .2454287072287564, (34, 2) = 6.217795436799169, (34, 3) = -3.8964166355986074, (35, 1) = .2532669589919399, (35, 2) = 6.212915033294554, (35, 3) = -3.843831482825408, (36, 1) = .261099100762803, (36, 2) = 6.208099445566098, (36, 3) = -3.7935912426913614, (37, 1) = .2689252127541802, (37, 2) = 6.20334582741694, (37, 3) = -3.7455228240544143, (38, 1) = .2767453717384405, (38, 2) = 6.198651539581552, (38, 3) = -3.699470726226031, (39, 1) = .28455965129552535, (39, 2) = 6.1940141290029835, (39, 3) = -3.655294785708912, (40, 1) = .2923681220365337, (40, 2) = 6.189431310726767, (40, 3) = -3.61286826838284, (41, 1) = .3001708518026526, (41, 2) = 6.184900952017666, (41, 3) = -3.572076245890509, (42, 1) = .3079679064456592, (42, 2) = 6.18042105802784, (42, 3) = -3.5328142042406547, (43, 1) = .3157593492995074, (43, 2) = 6.175989759840632, (43, 3) = -3.494986854939419, (44, 1) = .323545239898906, (44, 2) = 6.171605304301146, (44, 3) = -3.4585071125106386, (45, 1) = .33132563665410125, (45, 2) = 6.167266042806563, (45, 3) = -3.4232951907538456, (46, 1) = .3391005960214657, (46, 2) = 6.162970423148149, (46, 3) = -3.3892778327970436, (47, 1) = .3468701725003023, (47, 2) = 6.158716981779321, (47, 3) = -3.3563876354530624, (48, 1) = .3546344177457444, (48, 2) = 6.1545043373508435, (48, 3) = -3.3245624611269458, (49, 1) = .3623933835656557, (49, 2) = 6.150331182834082, (49, 3) = -3.293744905743477, (50, 1) = .3701471200495495, (50, 2) = 6.146196280921816, (50, 3) = -3.26388184906259, (51, 1) = .3778956752402318, (51, 2) = 6.142098459101132, (51, 3) = -3.234924051079847, (52, 1) = .38563909576582595, (52, 2) = 6.138036604692212, (52, 3) = -3.2068257908024167, (53, 1) = .3933774269109529, (53, 2) = 6.134009660616544, (53, 3) = -3.1795445473171937, (54, 1) = .40111071268311477, (54, 2) = 6.130016621544656, (54, 3) = -3.153040715658208, (55, 1) = .4088389958761341, (55, 2) = 6.1260565303816845, (55, 3) = -3.1272773530507774, (56, 1) = .4165623181293551, (56, 2) = 6.122128475055844, (56, 3) = -3.102219951758156, (57, 1) = .42428072003905126, (57, 2) = 6.118231585550077, (57, 3) = -3.0778362351093365, (58, 1) = .43199424213338483, (58, 2) = 6.114365030745584, (58, 3) = -3.0540959714782225, (59, 1) = .439702922346753, (59, 2) = 6.11052801723867, (59, 3) = -3.0309708171851, (60, 1) = .44740679768078123, (60, 2) = 6.106719786237912, (60, 3) = -3.008434162170245, (61, 1) = .45510590475601936, (61, 2) = 6.1029396112157475, (61, 3) = -2.986460993773385, (62, 1) = .46280027932989654, (62, 2) = 6.099186796232928, (62, 3) = -2.965027776200467, (63, 1) = .4704899563280923, (63, 2) = 6.095460674150228, (63, 3) = -2.944112339643578, (64, 1) = .4781749698793859, (64, 2) = 6.091760604970707, (64, 3) = -2.92369377943623, (65, 1) = .4858553531671546, (65, 2) = 6.088085974389836, (65, 3) = -2.903752364663692, (66, 1) = .4935311376982211, (66, 2) = 6.084436192728461, (66, 3) = -2.8842694562237416, (67, 1) = .5012023563735892, (67, 2) = 6.080810692161664, (67, 3) = -2.8652274225345327, (68, 1) = .5088690407935473, (68, 2) = 6.077208926791676, (68, 3) = -2.8466095765837127, (69, 1) = .5165312215719521, (69, 2) = 6.07363037135686, (69, 3) = -2.8284001108611583, (70, 1) = .5241889286957501, (70, 2) = 6.070074520001881, (70, 3) = -2.810584037574359, (71, 1) = .5318421915515524, (71, 2) = 6.066540885277362, (71, 3) = -2.793147134493486, (72, 1) = .5394910389618546, (72, 2) = 6.063028997200141, (72, 3) = -2.7760758950984954, (73, 1) = .5471354995281439, (73, 2) = 6.059538402233705, (73, 3) = -2.759357481984407, (74, 1) = .5547756018284556, (74, 2) = 6.056068662394491, (74, 3) = -2.742979684215854, (75, 1) = .5624113720681552, (75, 2) = 6.052619355558644, (75, 3) = -2.7269308832547807, (76, 1) = .5700428368387432, (76, 2) = 6.049190073492816, (76, 3) = -2.711200010830909, (77, 1) = .5776700224049666, (77, 2) = 6.045780421515482, (77, 3) = -2.695776517123072, (78, 1) = .5852929545750114, (78, 2) = 6.042390017929428, (78, 3) = -2.6806503400665607, (79, 1) = .5929116587166399, (79, 2) = 6.039018493424982, (79, 3) = -2.6658118765868344, (80, 1) = .6005261597598589, (80, 2) = 6.035665490523924, (80, 3) = -2.6512519559115217, (81, 1) = .6081364822299141, (81, 2) = 6.03233066304206, (81, 3) = -2.6369618147046663, (82, 1) = .6157426502639131, (82, 2) = 6.029013675589112, (82, 3) = -2.622933073960856, (83, 1) = .6233446872873616, (83, 2) = 6.025714203243766, (83, 3) = -2.6091577180961063, (84, 1) = .6309426157238823, (84, 2) = 6.022431931236275, (84, 3) = -2.5956280753758922, (85, 1) = .638536459713769, (85, 2) = 6.019166553360999, (85, 3) = -2.5823367944138433, (86, 1) = .6461262421290683, (86, 2) = 6.015917772879205, (86, 3) = -2.5692768321199706, (87, 1) = .6537119853256386, (87, 2) = 6.01268530181874, (87, 3) = -2.556441435984486, (88, 1) = .6612937113384212, (88, 2) = 6.0094688605379245, (88, 3) = -2.54382412846843, (89, 1) = .6688714418896946, (89, 2) = 6.00626817738888, (89, 3) = -2.531418692704075, (90, 1) = .6764451990349236, (90, 2) = 6.003082988130501, (90, 3) = -2.5192191580774486, (91, 1) = .6840150041855294, (91, 2) = 5.99991303604269, (91, 3) = -2.5072197892946706, (92, 1) = .6915808772753225, (92, 2) = 5.996758071985384, (92, 3) = -2.4954150758473586, (93, 1) = .6991428388656513, (93, 2) = 5.993617853245436, (93, 3) = -2.4837997176002893, (94, 1) = .7067009092746833, (94, 2) = 5.990492143646906, (94, 3) = -2.4723686158160385, (95, 1) = .7142551085664725, (95, 2) = 5.987380713311361, (95, 3) = -2.4611168634001395, (96, 1) = .7218054565591581, (96, 2) = 5.98428333842197, (96, 3) = -2.4500397356918566, (97, 1) = .7293519728328633, (97, 2) = 5.9811998009988985, (97, 3) = -2.4391326817920205, (98, 1) = .7368946767373217, (98, 2) = 5.978129888685299, (98, 3) = -2.4283913163910142, (99, 1) = .7444335873912821, (99, 2) = 5.975073394546551, (99, 3) = -2.4178114120742142, (100, 1) = .7519687236816331, (100, 2) = 5.972030116878856, (100, 3) = -2.4073888920618303, (101, 1) = .759500103787699, (101, 2) = 5.968999859217288, (101, 3) = -2.397119823996558, (102, 1) = .7670277455365856, (102, 2) = 5.965982430015329, (102, 3) = -2.387000412946729, (103, 1) = .7745516683405353, (103, 2) = 5.962977641704867, (103, 3) = -2.3770269927237297, (104, 1) = .7820718905378246, (104, 2) = 5.95998531160612, (104, 3) = -2.3671960237092544, (105, 1) = .7895884310282141, (105, 2) = 5.957005261121564, (105, 3) = -2.3575040851998086, (106, 1) = .7971013067365555, (106, 2) = 5.954037316595756, (106, 3) = -2.3479478734876285, (107, 1) = .8046105349378256, (107, 2) = 5.95108130824967, (107, 3) = -2.3385241938934245, (108, 1) = .8121161330422723, (108, 2) = 5.948137070135266, (108, 3) = -2.3292299564192933, (109, 1) = .8196181182801299, (109, 2) = 5.945204440132894, (109, 3) = -2.3200621717398717, (110, 1) = .8271165077215814, (110, 2) = 5.942283259821079, (110, 3) = -2.311017946985703, (111, 1) = .8346113183049693, (111, 2) = 5.939373374348344, (111, 3) = -2.3020944817308755, (112, 1) = .8421025668219715, (112, 2) = 5.936474632326634, (112, 3) = -2.2932890642327677, (113, 1) = .8495902699222774, (113, 2) = 5.933586885721727, (113, 3) = -2.2845990678355905, (114, 1) = .8570744441181447, (114, 2) = 5.930709989748026, (114, 3) = -2.2760219475510755, (115, 1) = .8645551057888299, (115, 2) = 5.9278438027675495, (115, 3) = -2.2675552368062313, (116, 1) = .8720322711848846, (116, 2) = 5.924988186192971, (116, 3) = -2.2591965443482915, (117, 1) = .879505956432341, (117, 2) = 5.9221430043944245, (117, 3) = -2.2509435512983877, (118, 1) = .8869761775354345, (118, 2) = 5.919308124610447, (118, 3) = -2.242794008346546, (119, 1) = .8944429496043188, (119, 2) = 5.916483417155086, (119, 3) = -2.234745733909237, (120, 1) = .9019062886571757, (120, 2) = 5.913668754653405, (120, 3) = -2.226796609627033, (121, 1) = .9093662118181194, (121, 2) = 5.9108640118949465, (121, 3) = -2.2189445777956514, (122, 1) = .9168227337184643, (122, 2) = 5.908069067112131, (122, 3) = -2.2111876428454527, (123, 1) = .9242758697703213, (123, 2) = 5.905283800672667, (123, 3) = -2.203523865638823, (124, 1) = .9317256353332727, (124, 2) = 5.902508095324792, (124, 3) = -2.1959513622559554, (125, 1) = .9391720456719809, (125, 2) = 5.899741836146032, (125, 3) = -2.188468302024161, (126, 1) = .9466151159594725, (126, 2) = 5.896984910477207, (126, 3) = -2.1810729055884917, (127, 1) = .9540548612803447, (127, 2) = 5.894237207858807, (127, 3) = -2.173763443067436, (128, 1) = .9614912966268809, (128, 2) = 5.891498619972251, (128, 3) = -2.1665382322958266, (129, 1) = .9689244368751723, (129, 2) = 5.8887690405905495, (129, 3) = -2.159395637163025, (130, 1) = .9763542968540393, (130, 2) = 5.886048365496941, (130, 3) = -2.1523340659340695, (131, 1) = .9837808913220822, (131, 2) = 5.883336492439404, (131, 3) = -2.1453519697298318, (132, 1) = .9912042349643259, (132, 2) = 5.8806333210797535, (132, 3) = -2.138447841052686, (133, 1) = .9986243423949863, (133, 2) = 5.87793875294229, (133, 3) = -2.131620212368386, (134, 1) = 1.0060412282524032, (134, 2) = 5.875252691330851, (134, 3) = -2.124867654663498, (135, 1) = 1.0134549079683892, (135, 2) = 5.8725750410047866, (135, 3) = -2.118188775459944, (136, 1) = 1.020865395292582, (136, 2) = 5.869905709028272, (136, 3) = -2.111582219803254, (137, 1) = 1.0282727042031146, (137, 2) = 5.8672446040330986, (137, 3) = -2.105046667313921, (138, 1) = 1.0356768481605, (138, 2) = 5.864591636444744, (138, 3) = -2.098580831701887, (139, 1) = 1.0430778412701247, (139, 2) = 5.861946718024315, (139, 3) = -2.092183458645504, (140, 1) = 1.0504756986277046, (140, 2) = 5.8593097617092305, (140, 3) = -2.085853324471273, (141, 1) = 1.0578704343768675, (141, 2) = 5.856680682269325, (141, 3) = -2.079589236819628, (142, 1) = 1.0652620626064129, (142, 2) = 5.854059395947771, (142, 3) = -2.0733900328811794, (143, 1) = 1.072650597358833, (143, 2) = 5.851445820422087, (143, 3) = -2.0672545784515535, (144, 1) = 1.080036052632485, (144, 2) = 5.84883987476859, (144, 3) = -2.0611817670279864, (145, 1) = 1.0874184423837239, (145, 2) = 5.846241479427939, (145, 3) = -2.055170518940728, (146, 1) = 1.0947977805289968, (146, 2) = 5.843650556171752, (146, 3) = -2.0492197805175447, (147, 1) = 1.1021740809467833, (147, 2) = 5.841067028070303, (147, 3) = -2.0433285232799805, (148, 1) = 1.10954735744088, (148, 2) = 5.838490819474692, (148, 3) = -2.0374957432003273, (149, 1) = 1.1169176237863327, (149, 2) = 5.835921855970993, (149, 3) = -2.0317204599211878, (150, 1) = 1.1242848941460644, (150, 2) = 5.833360064206767, (150, 3) = -2.0260017157183743, (151, 1) = 1.1316491828862187, (151, 2) = 5.830805371928848, (151, 3) = -2.020338574968215, (152, 1) = 1.1390105027886208, (152, 2) = 5.828257708575108, (152, 3) = -2.014730124847069, (153, 1) = 1.146368867460681, (153, 2) = 5.825717004410727, (153, 3) = -2.0091754728260662, (154, 1) = 1.1537242905667824, (154, 2) = 5.823183190770669, (154, 3) = -2.0036737466569643, (155, 1) = 1.1610767857199307, (155, 2) = 5.8206562000724436, (155, 3) = -1.998224093860528, (156, 1) = 1.1684263655314135, (156, 2) = 5.818135966117495, (156, 3) = -1.9928256818472507, (157, 1) = 1.1757730439765326, (157, 2) = 5.815622423255624, (157, 3) = -1.9874776956181024, (158, 1) = 1.1831168352383046, (158, 2) = 5.813115506761993, (158, 3) = -1.982179338106988, (159, 1) = 1.1904577528626754, (159, 2) = 5.81061515310337, (159, 3) = -1.9769298302742317, (160, 1) = 1.197795810398859, (160, 2) = 5.808121299697029, (160, 3) = -1.9717284101378396, (161, 1) = 1.2051310213831075, (161, 2) = 5.805633884895562, (161, 3) = -1.9665743323057203, (162, 1) = 1.212463399340269, (162, 2) = 5.803152847966173, (162, 3) = -1.961466867511348, (163, 1) = 1.219792957885031, (163, 2) = 5.800678129036949, (163, 3) = -1.9564053020967154, (164, 1) = 1.227119711440758, (164, 2) = 5.798209668836224, (164, 3) = -1.951388937092912, (165, 1) = 1.2344436728319002, (165, 2) = 5.795747409485525, (165, 3) = -1.9464170894533603, (166, 1) = 1.241764855208315, (166, 2) = 5.793291293830979, (166, 3) = -1.9414890903142143, (167, 1) = 1.24908327204463, (167, 2) = 5.790841265427183, (167, 3) = -1.9366042846143408, (168, 1) = 1.2563989367611161, (168, 2) = 5.788397268647875, (168, 3) = -1.9317620309771621, (169, 1) = 1.263711862833733, (169, 2) = 5.785959248632499, (169, 3) = -1.9269617012724076, (170, 1) = 1.271022063745867, (170, 2) = 5.783527151286314, (170, 3) = -1.9222026802958747, (171, 1) = 1.278329552982441, (171, 2) = 5.781100923266672, (171, 3) = -1.9174843654318527, (172, 1) = 1.2856343440312594, (172, 2) = 5.778680511967268, (172, 3) = -1.9128061663217104, (173, 1) = 1.2929364502855192, (173, 2) = 5.776265865535476, (173, 3) = -1.908167504605639, (174, 1) = 1.300235884170201, (174, 2) = 5.773856933145518, (174, 3) = -1.9035678141586703, (175, 1) = 1.3075326599229173, (175, 2) = 5.7714536640662, (175, 3) = -1.899006539035133, (176, 1) = 1.3148267914923846, (176, 2) = 5.769056008343184, (176, 3) = -1.8944831345215374, (177, 1) = 1.3221182923628392, (177, 2) = 5.766663916842127, (177, 3) = -1.8899970669550907, (178, 1) = 1.3294071765251165, (178, 2) = 5.764277340916454, (178, 3) = -1.8855478128490304, (179, 1) = 1.3366934578777097, (179, 2) = 5.7618962325917655, (179, 3) = -1.8811348590016066, (180, 1) = 1.3439771491182018, (180, 2) = 5.759520544914288, (180, 3) = -1.8767577029010338, (181, 1) = 1.351258263784298, (181, 2) = 5.757150231271227, (181, 3) = -1.8724158512367117, (182, 1) = 1.3585368154583726, (182, 2) = 5.754785245639776, (182, 3) = -1.8681088201469251, (183, 1) = 1.3658128177391997, (183, 2) = 5.752425542584878, (183, 3) = -1.8638361350027421, (184, 1) = 1.3730862842430949, (184, 2) = 5.750071077247675, (184, 3) = -1.859597330181133, (185, 1) = 1.3803572286050356, (185, 2) = 5.747721805334192, (185, 3) = -1.8553919488448674, (186, 1) = 1.3876256644787779, (186, 2) = 5.74537768310467, (186, 3) = -1.8512195427295013, (187, 1) = 1.3948916054714113, (187, 2) = 5.743038667384207, (187, 3) = -1.8470796719739284, (188, 1) = 1.4021550652361368, (188, 2) = 5.740704715522624, (188, 3) = -1.842971904866192, (189, 1) = 1.4094160574897303, (189, 2) = 5.738375785379055, (189, 3) = -1.8388958176395631, (190, 1) = 1.4166745959730347, (190, 2) = 5.736051835325034, (190, 3) = -1.8348509943064664, (191, 1) = 1.4239306942418233, (191, 2) = 5.73373282430186, (191, 3) = -1.8308370265901996, (192, 1) = 1.431184365187146, (192, 2) = 5.7314187119636735, (192, 3) = -1.8268535140050959, (193, 1) = 1.4384356244660925, (193, 2) = 5.729109457574927, (193, 3) = -1.8229000618061872, (194, 1) = 1.4456844855080788, (194, 2) = 5.726805021595408, (194, 3) = -1.8189762835682188, (195, 1) = 1.452930961876755, (195, 2) = 5.724505364916487, (195, 3) = -1.8150817997132056, (196, 1) = 1.4601750674690994, (196, 2) = 5.722210448789985, (196, 3) = -1.811216237248103, (197, 1) = 1.4674168161319692, (197, 2) = 5.719920234942051, (197, 3) = -1.8073792298188178, (198, 1) = 1.47465622181053, (198, 2) = 5.717634685518084, (198, 3) = -1.803570417480954, (199, 1) = 1.4818932985043036, (199, 2) = 5.7153537630890066, (199, 3) = -1.7997894465781732, (200, 1) = 1.489128060246882, (200, 2) = 5.713077430650023, (200, 3) = -1.7960359696113752, (201, 1) = 1.4963605211068944, (201, 2) = 5.710805651612892, (201, 3) = -1.7923096451003666, (202, 1) = 1.503590695188969, (202, 2) = 5.708538389798341, (202, 3) = -1.7886101374493384, (203, 1) = 1.5108185966346814, (203, 2) = 5.706275609428641, (203, 3) = -1.784937116815986, (204, 1) = 1.5180442396234262, (204, 2) = 5.704017275120377, (204, 3) = -1.781290258984284, (205, 1) = 1.5252676383742911, (205, 2) = 5.701763351877056, (205, 3) = -1.7776692452400362, (206, 1) = 1.5324888077825907, (206, 2) = 5.699513804884339, (206, 3) = -1.7740737619350297, (207, 1) = 1.5397077620947053, (207, 2) = 5.697268599916931, (207, 3) = -1.770503501033834, (208, 1) = 1.5469245149254647, (208, 2) = 5.69502770332508, (208, 3) = -1.7669581599799937, (209, 1) = 1.5541390802874389, (209, 2) = 5.692791081707858, (209, 3) = -1.7634374410737024, (210, 1) = 1.5613514717818355, (210, 2) = 5.690558702158185, (210, 3) = -1.7599410517609093, (211, 1) = 1.5685617049211862, (211, 2) = 5.688330531538575, (211, 3) = -1.7564687034063282, (212, 1) = 1.5757697943491822, (212, 2) = 5.686106537337006, (212, 3) = -1.753020112546482, (213, 1) = 1.5829757546221939, (213, 2) = 5.683886687418377, (213, 3) = -1.7495950004053247, (214, 1) = 1.5901796003433155, (214, 2) = 5.6816709499774545, (214, 3) = -1.7461930927319882, (215, 1) = 1.5973813461632134, (215, 2) = 5.679459293533094, (215, 3) = -1.7428141197058982, (216, 1) = 1.6045810067153967, (216, 2) = 5.677251686942779, (216, 3) = -1.7394578158746774, (217, 1) = 1.6117785966648508, (217, 2) = 5.675048099382309, (217, 3) = -1.736123920041005, (218, 1) = 1.6189741308054706, (218, 2) = 5.672848500310911, (218, 3) = -1.7328121751301644, (219, 1) = 1.6261676242520242, (219, 2) = 5.670652859407827, (219, 3) = -1.7295223280184413, (220, 1) = 1.6333590926056434, (220, 2) = 5.668461146517656, (220, 3) = -1.7262541293788531, (221, 1) = 1.640548549964642, (221, 2) = 5.6662733322513725, (221, 3) = -1.7230073345017434, (222, 1) = 1.6477360112059045, (222, 2) = 5.66408938728537, (222, 3) = -1.7197817021730382, (223, 1) = 1.6549214913864172, (223, 2) = 5.661909282539989, (223, 3) = -1.716576994873566, (224, 1) = 1.662105005618174, (224, 2) = 5.659732989213105, (224, 3) = -1.7133929787609814, (225, 1) = 1.6692865690652812, (225, 2) = 5.657560478776598, (225, 3) = -1.710229423597693, (226, 1) = 1.6764661968451142, (226, 2) = 5.65539172300184, (226, 3) = -1.7070861027224382, (227, 1) = 1.6836439036337547, (227, 2) = 5.653226694074135, (227, 3) = -1.703962793150311, (228, 1) = 1.6908197042560864, (228, 2) = 5.651065364409886, (228, 3) = -1.7008592752437064, (229, 1) = 1.6979936151205401, (229, 2) = 5.648907706221496, (229, 3) = -1.697775332032326, (230, 1) = 1.7051656517295328, (230, 2) = 5.646753692263811, (230, 3) = -1.6947107502286707, (231, 1) = 1.7123358295980045, (231, 2) = 5.644603295552859, (231, 3) = -1.6916653197632034, (232, 1) = 1.7195041643524602, (232, 2) = 5.64245648933224, (232, 3) = -1.6886388336802753, (233, 1) = 1.7266706724676495, (233, 2) = 5.640313246849317, (233, 3) = -1.6856310877701728, (234, 1) = 1.7338353691707848, (234, 2) = 5.638173541978599, (234, 3) = -1.682641881391732, (235, 1) = 1.7409982697914526, (235, 2) = 5.636037348813102, (235, 3) = -1.679671016840383, (236, 1) = 1.7481593900285117, (236, 2) = 5.633904641581443, (236, 3) = -1.6767182991828535, (237, 1) = 1.7553187457496284, (237, 2) = 5.631775394704577, (237, 3) = -1.6737835362880211, (238, 1) = 1.7624763529108902, (238, 2) = 5.629649582816445, (238, 3) = -1.6708665388073007, (239, 1) = 1.769632227535104, (239, 2) = 5.627527180767106, (239, 3) = -1.6679671201313204, (240, 1) = 1.776786385712606, (240, 2) = 5.625408163619222, (240, 3) = -1.6650850963384958, (241, 1) = 1.7839388436020098, (241, 2) = 5.623292506644597, (241, 3) = -1.6622202861447963, (242, 1) = 1.7910896174309627, (242, 2) = 5.621180185320803, (242, 3) = -1.6593725108546291, (243, 1) = 1.7982387234969472, (243, 2) = 5.619071175327836, (243, 3) = -1.6565415943128345, (244, 1) = 1.8053861781673965, (244, 2) = 5.616965452545041, (244, 3) = -1.6537273628580342, (245, 1) = 1.8125319970458131, (245, 2) = 5.614862993293312, (245, 3) = -1.6509296456026346, (246, 1) = 1.8196761969291693, (246, 2) = 5.612763773755767, (246, 3) = -1.64814827361923, (247, 1) = 1.826818795560555, (247, 2) = 5.610667770049588, (247, 3) = -1.6453830800048974, (248, 1) = 1.8339598088109799, (248, 2) = 5.608574959050236, (248, 3) = -1.6426339009298827, (249, 1) = 1.8410992533833956, (249, 2) = 5.606485317594049, (249, 3) = -1.639900574542703, (250, 1) = 1.8482371460801064, (250, 2) = 5.604398822690977, (250, 3) = -1.6371829412157568, (251, 1) = 1.855373503779231, (251, 2) = 5.60231545152882, (251, 3) = -1.6344808435146354, (252, 1) = 1.8625083434354504, (252, 2) = 5.600235181470396, (252, 3) = -1.6317941261589632, (253, 1) = 1.8696416820807589, (253, 2) = 5.598157990050733, (253, 3) = -1.6291226359840023, (254, 1) = 1.8767735368251457, (254, 2) = 5.596083854974375, (254, 3) = -1.6264662219031962, (255, 1) = 1.8839039247515204, (255, 2) = 5.594012754143375, (255, 3) = -1.6238247349105293, (256, 1) = 1.8910328630299544, (256, 2) = 5.59194466562156, (256, 3) = -1.6211980280018585, (257, 1) = 1.8981603690041726, (257, 2) = 5.589879567607117, (257, 3) = -1.6185859561085185, (258, 1) = 1.9052864600989523, (258, 2) = 5.58781743845717, (258, 3) = -1.6159883760977845, (259, 1) = 1.9124111539921107, (259, 2) = 5.585758256635837, (259, 3) = -1.6134051466772732, (260, 1) = 1.919534469050275, (260, 2) = 5.58370200058651, (260, 3) = -1.6108361282071726, (261, 1) = 1.926656422190922, (261, 2) = 5.5816486493467385, (261, 3) = -1.6082811834388924, (262, 1) = 1.9337770309461473, (262, 2) = 5.579598181949425, (262, 3) = -1.6057401767347084, (263, 1) = 1.9408963121912788, (263, 2) = 5.577550577787058, (263, 3) = -1.603212974492282, (264, 1) = 1.948014284211376, (264, 2) = 5.575505816015043, (264, 3) = -1.600699444380035, (265, 1) = 1.9551309654896876, (265, 2) = 5.573463875899329, (265, 3) = -1.598199455744519, (266, 1) = 1.9622463740687908, (266, 2) = 5.571424736997547, (266, 3) = -1.5957128798052704, (267, 1) = 1.9693605281314166, (267, 2) = 5.56938837898994, (267, 3) = -1.593239589420417, (268, 1) = 1.9764734459488198, (268, 2) = 5.567354781692228, (268, 3) = -1.5907794590773534, (269, 1) = 1.983585145881567, (269, 2) = 5.565323925053464, (269, 3) = -1.5883323648654513, (270, 1) = 1.9906956463802645, (270, 2) = 5.5632957891539245, (270, 3) = -1.585898184449345, (271, 1) = 1.9978049660316444, (271, 2) = 5.561270354190114, (271, 3) = -1.5834767970273242, (272, 1) = 2.0049131242720852, (272, 2) = 5.55924760027009, (272, 3) = -1.5810680830651702, (273, 1) = 2.0120201393852106, (273, 2) = 5.557227507981718, (273, 3) = -1.5786719249511219, (274, 1) = 2.0191260297430005, (274, 2) = 5.555210058036708, (274, 3) = -1.5762882065455603, (275, 1) = 2.026230814084067, (275, 2) = 5.553195231189987, (275, 3) = -1.5739168130645003, (276, 1) = 2.0333345113888277, (276, 2) = 5.55118300827378, (276, 3) = -1.5715576310998725, (277, 1) = 2.0404371407542943, (277, 2) = 5.549173370231577, (277, 3) = -1.5692105486390742, (278, 1) = 2.0475387213736504, (278, 2) = 5.547166298122265, (278, 3) = -1.5668754550493622, (279, 1) = 2.054639272536989, (279, 2) = 5.545161773118307, (279, 3) = -1.564552241055589, (280, 1) = 2.0617388135355834, (280, 2) = 5.543159776531116, (280, 3) = -1.5622407987496727, (281, 1) = 2.0688373628240986, (281, 2) = 5.541160290045186, (281, 3) = -1.5599410218394434, (282, 1) = 2.075934940697359, (282, 2) = 5.539163294962342, (282, 3) = -1.5576528047596254, (283, 1) = 2.08303156725746, (283, 2) = 5.5371687727740015, (283, 3) = -1.555376043315872, (284, 1) = 2.0901272628035428, (284, 2) = 5.5351767050498175, (284, 3) = -1.553110634538304, (285, 1) = 2.0972220471482097, (285, 2) = 5.533187073627965, (285, 3) = -1.5508564768793032, (286, 1) = 2.10431593959288, (286, 2) = 5.531199860619659, (286, 3) = -1.5486134701975365, (287, 1) = 2.1114089602203814, (287, 2) = 5.529215048045335, (287, 3) = -1.5463815153287648, (288, 1) = 2.118501129222886, (288, 2) = 5.527232618022005, (288, 3) = -1.5441605142825228, (289, 1) = 2.1255924668973436, (289, 2) = 5.525252552763179, (289, 3) = -1.5419503702254898, (290, 1) = 2.1326829936462977, (290, 2) = 5.523274834577275, (290, 3) = -1.539750987463494, (291, 1) = 2.1397727299786817, (291, 2) = 5.5212994458660685, (291, 3) = -1.5375622714238566, (292, 1) = 2.146861696510641, (292, 2) = 5.519326369123151, (292, 3) = -1.535384128638063, (293, 1) = 2.1539499139647673, (293, 2) = 5.5173555869328474, (293, 3) = -1.5332164667252586, (294, 1) = 2.1610374030169277, (294, 2) = 5.515387082011468, (294, 3) = -1.5310591944222793, (295, 1) = 2.1681241845014885, (295, 2) = 5.513420837148918, (295, 3) = -1.528912221504457, (296, 1) = 2.1752102797956048, (296, 2) = 5.511456835101093, (296, 3) = -1.5267754586544995, (297, 1) = 2.182295710603571, (297, 2) = 5.5094950586489615, (297, 3) = -1.5246488175145705, (298, 1) = 2.1893804971862743, (298, 2) = 5.507535491087144, (298, 3) = -1.5225322112002924, (299, 1) = 2.1964646598790365, (299, 2) = 5.505578115801345, (299, 3) = -1.5204255538246791, (300, 1) = 2.2035482211068707, (300, 2) = 5.503622915711206, (300, 3) = -1.5183287598881878, (301, 1) = 2.2106312027336834, (301, 2) = 5.501669874002504, (301, 3) = -1.5162417450570251, (302, 1) = 2.217713626487324, (302, 2) = 5.499718974008059, (302, 3) = -1.5141644260200238, (303, 1) = 2.2247955141919125, (303, 2) = 5.497770199142392, (303, 3) = -1.5120967204053712, (304, 1) = 2.231876887602564, (304, 2) = 5.495823532946003, (304, 3) = -1.5100385468148063, (305, 1) = 2.238957768740021, (305, 2) = 5.49387895899222, (305, 3) = -1.5079898247124033, (306, 1) = 2.246038179796974, (306, 2) = 5.491936460912042, (306, 3) = -1.50595047443937, (307, 1) = 2.2531181430859037, (307, 2) = 5.489996022407449, (307, 3) = -1.5039204172164269, (308, 1) = 2.2601976811810127, (308, 2) = 5.48805762721157, (308, 3) = -1.5018995750907247, (309, 1) = 2.267276817405801, (309, 2) = 5.486121258954552, (309, 3) = -1.4998878707860657, (310, 1) = 2.274355573742067, (310, 2) = 5.484186901734546, (310, 3) = -1.4978852282849024, (311, 1) = 2.2814339727740163, (311, 2) = 5.482254539584282, (311, 3) = -1.4958915722607735, (312, 1) = 2.2885120374263903, (312, 2) = 5.480324156542161, (312, 3) = -1.4939068281428327, (313, 1) = 2.29558979068656, (313, 2) = 5.478395736727276, (313, 3) = -1.491930922183087, (314, 1) = 2.302667255513026, (314, 2) = 5.476469264363312, (314, 3) = -1.4899637814700175, (315, 1) = 2.3097444551849295, (315, 2) = 5.474544723682428, (315, 3) = -1.4880053338200003, (316, 1) = 2.316821412770466, (316, 2) = 5.472622099068961, (316, 3) = -1.4860555079136872, (317, 1) = 2.323898151024703, (317, 2) = 5.4707013750858335, (317, 3) = -1.484114233311182, (318, 1) = 2.3309746946548806, (318, 2) = 5.468782535859156, (318, 3) = -1.4821814398215398, (319, 1) = 2.338051067603557, (319, 2) = 5.466865565815372, (319, 3) = -1.4802570582403987, (320, 1) = 2.345127293848401, (320, 2) = 5.464950449462899, (320, 3) = -1.4783410201183786, (321, 1) = 2.352203398227546, (321, 2) = 5.463037171168111, (321, 3) = -1.4764332575284482, (322, 1) = 2.3592794045932104, (322, 2) = 5.461125715653986, (322, 3) = -1.4745337035548565, (323, 1) = 2.366355336724979, (323, 2) = 5.459216067751513, (323, 3) = -1.472642292033424, (324, 1) = 2.373431218921676, (324, 2) = 5.457308212239133, (324, 3) = -1.470758957383657, (325, 1) = 2.380507075794582, (325, 2) = 5.455402133898138, (325, 3) = -1.4688836346563343, (326, 1) = 2.387582932093364, (326, 2) = 5.453497817558926, (326, 3) = -1.467016259571155, (327, 1) = 2.3946588127060857, (327, 2) = 5.451595248100255, (327, 3) = -1.465156768507727, (328, 1) = 2.4017347426602242, (328, 2) = 5.449694410448235, (328, 3) = -1.4633050984964375, (329, 1) = 2.4088107471236664, (329, 2) = 5.4477952895753115, (329, 3) = -1.4614611872094754, (330, 1) = 2.4158868514057223, (330, 2) = 5.445897870499276, (330, 3) = -1.459624972952005, (331, 1) = 2.4229630809629588, (331, 2) = 5.444002138281004, (331, 3) = -1.4577963946522614, (332, 1) = 2.430039462039454, (332, 2) = 5.442108077852443, (332, 3) = -1.4559753916888525, (333, 1) = 2.437116020082818, (333, 2) = 5.44021567444013, (333, 3) = -1.45416190429117, (334, 1) = 2.444192779729609, (334, 2) = 5.438324913567228, (334, 3) = -1.452355873530059, (335, 1) = 2.4512697665061816, (335, 2) = 5.436435780597936, (335, 3) = -1.450557240873584, (336, 1) = 2.4583470075855316, (336, 2) = 5.434548260535948, (336, 3) = -1.448765947992104, (337, 1) = 2.465424529336353, (337, 2) = 5.432662338678379, (337, 3) = -1.4469819373749935, (338, 1) = 2.472502358230722, (338, 2) = 5.430778000372463, (338, 3) = -1.4452051520908207, (339, 1) = 2.4795805208916084, (339, 2) = 5.4288952310022065, (339, 3) = -1.443435535767898, (340, 1) = 2.4866590440939924, (340, 2) = 5.4270140159875115, (340, 3) = -1.4416730325867917, (341, 1) = 2.493737954765944, (341, 2) = 5.425134340783249, (341, 3) = -1.4399175872729373, (342, 1) = 2.5008172799526593, (342, 2) = 5.423256190888204, (342, 3) = -1.4381691450985508, (343, 1) = 2.507897047129679, (343, 2) = 5.421379551761458, (343, 3) = -1.4364276517986536, (344, 1) = 2.5149772838620272, (344, 2) = 5.419504408912346, (344, 3) = -1.4346930536490465, (345, 1) = 2.5220580169822235, (345, 2) = 5.417630748117222, (345, 3) = -1.432965297659475, (346, 1) = 2.5291392741789043, (346, 2) = 5.415758554998054, (346, 3) = -1.4312443311774548, (347, 1) = 2.536221083316311, (347, 2) = 5.413887815202354, (347, 3) = -1.4295301020496658, (348, 1) = 2.5433034724197707, (348, 2) = 5.412018514406469, (348, 3) = -1.427822558619192, (349, 1) = 2.550386469676863, (349, 2) = 5.4101506383147315, (349, 3) = -1.4261216497190308, (350, 1) = 2.557470103438638, (350, 2) = 5.408284172658617, (350, 3) = -1.4244273246657064, (351, 1) = 2.5645544022200957, (351, 2) = 5.406419103196084, (351, 3) = -1.4227395332531252, (352, 1) = 2.57163939381886, (352, 2) = 5.404555415942798, (352, 3) = -1.4210582259554048, (353, 1) = 2.5787251067488577, (353, 2) = 5.4026930967939855, (353, 3) = -1.419383353578724, (354, 1) = 2.5858115712185517, (354, 2) = 5.400832131267792, (354, 3) = -1.417714867028331, (355, 1) = 2.592898816883658, (355, 2) = 5.398972505095823, (355, 3) = -1.4160527178359381, (356, 1) = 2.5999868723215718, (356, 2) = 5.3971142043596405, (356, 3) = -1.4143968582733752, (357, 1) = 2.60707576700092, (357, 2) = 5.395257214973192, (357, 3) = -1.4127472408840203, (358, 1) = 2.614165530618221, (358, 2) = 5.393401522856669, (358, 3) = -1.4111038186341829, (359, 1) = 2.6212561930446365, (359, 2) = 5.39154711395003, (359, 3) = -1.4094665449203652, (360, 1) = 2.628347784327275, (360, 2) = 5.3896939742121965, (360, 3) = -1.4078353735637488, (361, 1) = 2.635440334690492, (361, 2) = 5.38784208962027, (361, 3) = -1.4062102588048198, (362, 1) = 2.64253387434338, (362, 2) = 5.3859914462192915, (362, 3) = -1.4045911553421817, (363, 1) = 2.6496284336730622, (363, 2) = 5.38414203007124, (363, 3) = -1.402978018282912, (364, 1) = 2.6567240434373494, (364, 2) = 5.382293827204414, (364, 3) = -1.4013708030941632, (365, 1) = 2.6638207348148164, (365, 2) = 5.380446823600229, (365, 3) = -1.3997694655878858, (366, 1) = 2.670918539571339, (366, 2) = 5.378601005149713, (366, 3) = -1.3981739618798195, (367, 1) = 2.678017488252745, (367, 2) = 5.376756358122989, (367, 3) = -1.3965842487904865, (368, 1) = 2.6851176121662856, (368, 2) = 5.374912868653137, (368, 3) = -1.3950002833934874, (369, 1) = 2.6922189419596525, (369, 2) = 5.373070523104898, (369, 3) = -1.3934220233286594, (370, 1) = 2.6993215101338537, (370, 2) = 5.371229307422284, (370, 3) = -1.3918494262388226, (371, 1) = 2.706425349218244, (371, 2) = 5.369389207602398, (371, 3) = -1.3902824501741653, (372, 1) = 2.7135304911878215, (372, 2) = 5.36755020984566, (372, 3) = -1.3887210537150816, (373, 1) = 2.720636968382502, (373, 2) = 5.365712300317019, (373, 3) = -1.3871651957640034, (374, 1) = 2.7277448134432967, (374, 2) = 5.363875465162255, (374, 3) = -1.3856148355558655, (375, 1) = 2.7348540592081845, (375, 2) = 5.36203969053459, (375, 3) = -1.384069932677045, (376, 1) = 2.741964738857406, (376, 2) = 5.3602049625568755, (376, 3) = -1.3825304470299553, (377, 1) = 2.7490768863692834, (377, 2) = 5.358371267203893, (377, 3) = -1.3809963387315318, (378, 1) = 2.756190534497145, (378, 2) = 5.356538590823606, (378, 3) = -1.3794675685456805, (379, 1) = 2.7633057166801622, (379, 2) = 5.354706919643696, (379, 3) = -1.3779440974654193, (380, 1) = 2.770422466764068, (380, 2) = 5.352876239843521, (380, 3) = -1.376425886770502, (381, 1) = 2.7775408187384345, (381, 2) = 5.351046537621493, (381, 3) = -1.37491289808025, (382, 1) = 2.784660806544954, (382, 2) = 5.3492177992439105, (382, 3) = -1.373405093390196, (383, 1) = 2.7917824646029086, (383, 2) = 5.347390010909595, (383, 3) = -1.3719024349568378, (384, 1) = 2.7989058275863217, (384, 2) = 5.345563158806961, (384, 3) = -1.370404885341927, (385, 1) = 2.806030930381976, (385, 2) = 5.343737229124512, (385, 3) = -1.3689124074179182, (386, 1) = 2.8131578079178836, (386, 2) = 5.341912208094454, (386, 3) = -1.3674249644003147, (387, 1) = 2.820286494554149, (387, 2) = 5.340088082148028, (387, 3) = -1.365942519970056, (388, 1) = 2.827417027493943, (388, 2) = 5.338264837042649, (388, 3) = -1.3644650375618328, (389, 1) = 2.834549442259259, (389, 2) = 5.3364424590196355, (389, 3) = -1.3629924813029692, (390, 1) = 2.841683774515634, (390, 2) = 5.334620934336437, (390, 3) = -1.3615248156284512, (391, 1) = 2.8488200603156297, (391, 2) = 5.332800249204164, (391, 3) = -1.3600620052276544, (392, 1) = 2.8559583357920637, (392, 2) = 5.330980389865674, (392, 3) = -1.3586040151043963, (393, 1) = 2.8630986375813365, (393, 2) = 5.329161342487354, (393, 3) = -1.3571508104873566, (394, 1) = 2.870241002555806, (394, 2) = 5.327343093227226, (394, 3) = -1.3557023568822526, (395, 1) = 2.877385467818073, (395, 2) = 5.32552562823614, (395, 3) = -1.354258620070062, (396, 1) = 2.884532070702833, (396, 2) = 5.323708933657079, (396, 3) = -1.3528195661037288, (397, 1) = 2.891680848840168, (397, 2) = 5.321892995608798, (397, 3) = -1.3513851612926104, (398, 1) = 2.898831840804894, (398, 2) = 5.320077800020898, (398, 3) = -1.349955372070276, (399, 1) = 2.9059850841436057, (399, 2) = 5.318263333134485, (399, 3) = -1.3485301653866022, (400, 1) = 2.9131406168000127, (400, 2) = 5.31644958113965, (400, 3) = -1.3471095084181046, (401, 1) = 2.920298477031396, (401, 2) = 5.3146365301965, (401, 3) = -1.3456933685823032, (402, 1) = 2.927458703407338, (402, 2) = 5.3128241664353615, (402, 3) = -1.3442817135355953, (403, 1) = 2.9346213344927365, (403, 2) = 5.311012476036725, (403, 3) = -1.3428745112330414, (404, 1) = 2.941786408818649, (404, 2) = 5.309201445238227, (404, 3) = -1.3414717299306769, (405, 1) = 2.9489539669529687, (405, 2) = 5.307391059811311, (405, 3) = -1.3400733377787333, (406, 1) = 2.956124048746108, (406, 2) = 5.305581305757582, (406, 3) = -1.338679303359808, (407, 1) = 2.963296694257807, (407, 2) = 5.303772169074058, (407, 3) = -1.3372895955038409, (408, 1) = 2.970471944518732, (408, 2) = 5.301963635561019, (408, 3) = -1.3359041831387886, (409, 1) = 2.9776498395995334, (409, 2) = 5.300155691308635, (409, 3) = -1.334523035661509, (410, 1) = 2.984830419889018, (410, 2) = 5.298348322374104, (410, 3) = -1.3331461226867245, (411, 1) = 2.992013726082009, (411, 2) = 5.296541514784559, (411, 3) = -1.3317734140472341, (412, 1) = 2.9991997993832804, (412, 2) = 5.29473525448568, (412, 3) = -1.3304048797530663, (413, 1) = 3.006388681363324, (413, 2) = 5.292929527377946, (413, 3) = -1.3290404900173733, (414, 1) = 3.0135804138616518, (414, 2) = 5.291124319340816, (414, 3) = -1.327680215272851, (415, 1) = 3.0207750389890333, (415, 2) = 5.289319616231974, (415, 3) = -1.3263240261691458, (416, 1) = 3.0279725991298094, (416, 2) = 5.2875154038865935, (416, 3) = -1.3249718935703305, (417, 1) = 3.0351731369850627, (417, 2) = 5.285711668106359, (417, 3) = -1.3236237885447428, (418, 1) = 3.04237669625169, (418, 2) = 5.283908394489395, (418, 3) = -1.3222796822365739, (419, 1) = 3.0495833197411533, (419, 2) = 5.282105568901183, (419, 3) = -1.320939546215375, (420, 1) = 3.0567930496278097, (420, 2) = 5.280303177411348, (420, 3) = -1.3196033524244366, (421, 1) = 3.0640059292850688, (421, 2) = 5.27850120583418, (421, 3) = -1.318271072837428, (422, 1) = 3.0712220036217857, (422, 2) = 5.276699639645308, (422, 3) = -1.3169426793975376, (423, 1) = 3.0784413170013853, (423, 2) = 5.274898464501567, (423, 3) = -1.3156181444005555, (424, 1) = 3.0856639140762345, (424, 2) = 5.273097666032209, (424, 3) = -1.3142974403381582, (425, 1) = 3.0928898397941142, (425, 2) = 5.271297229837158, (425, 3) = -1.312980539894877, (426, 1) = 3.100119139400802, (426, 2) = 5.269497141486213, (426, 3) = -1.3116674159458404, (427, 1) = 3.107351858474838, (427, 2) = 5.267697386510289, (427, 3) = -1.3103580415487501, (428, 1) = 3.11458804361452, (428, 2) = 5.265897950230518, (428, 3) = -1.3090523898184692, (429, 1) = 3.121827740618365, (429, 2) = 5.264098818210753, (429, 3) = -1.3077504342541681, (430, 1) = 3.1290709953189073, (430, 2) = 5.262299976049529, (430, 3) = -1.3064521485851184, (431, 1) = 3.1363178541811667, (431, 2) = 5.260501409231247, (431, 3) = -1.3051575066615178, (432, 1) = 3.1435683642856214, (432, 2) = 5.258703103130545, (432, 3) = -1.3038664824568849, (433, 1) = 3.150822573032331, (433, 2) = 5.256905043085756, (433, 3) = -1.3025790501197658, (434, 1) = 3.158080528141032, (434, 2) = 5.255107214398758, (434, 3) = -1.301295183972179, (435, 1) = 3.1653422776539415, (435, 2) = 5.253309602334203, (435, 3) = -1.3000148585075835, (436, 1) = 3.1726078698557476, (436, 2) = 5.251512192139168, (436, 3) = -1.2987380484034248, (437, 1) = 3.179877352367613, (437, 2) = 5.249714969266957, (437, 3) = -1.29746472867784, (438, 1) = 3.187150775638134, (438, 2) = 5.247917918513948, (438, 3) = -1.296194874076905, (439, 1) = 3.1944281892073065, (439, 2) = 5.246121024943674, (439, 3) = -1.2949284597294046, (440, 1) = 3.2017096419750817, (440, 2) = 5.244324273819503, (440, 3) = -1.2936654610953737, (441, 1) = 3.208995183789621, (441, 2) = 5.242527650212247, (441, 3) = -1.2924058536878291, (442, 1) = 3.216284865027255, (442, 2) = 5.240731139104044, (442, 3) = -1.291149613145416, (443, 1) = 3.2235787364108384, (443, 2) = 5.2389347254331575, (443, 3) = -1.2898967152627394, (444, 1) = 3.230876849012961, (444, 2) = 5.237138394093105, (444, 3) = -1.2886471359885292, (445, 1) = 3.23817925425913, (445, 2) = 5.235342129931802, (445, 3) = -1.287400851423823, (446, 1) = 3.2454860039791713, (446, 2) = 5.233545917738867, (446, 3) = -1.2861578378119742, (447, 1) = 3.2527971510882576, (447, 2) = 5.231749742078327, (447, 3) = -1.284918071422266, (448, 1) = 3.260112747646291, (448, 2) = 5.2299535877654435, (448, 3) = -1.2836815288781718, (449, 1) = 3.267432846092779, (449, 2) = 5.228157439562795, (449, 3) = -1.282448186945129, (450, 1) = 3.274757499253317, (450, 2) = 5.226361282178673, (450, 3) = -1.2812180225283534, (451, 1) = 3.282086760647449, (451, 2) = 5.224565100191589, (451, 3) = -1.27999101262029, (452, 1) = 3.289420684258483, (452, 2) = 5.222768878106853, (452, 3) = -1.2787671343387386, (453, 1) = 3.296759324153826, (453, 2) = 5.220972600449476, (453, 3) = -1.2775463649890249, (454, 1) = 3.3041027340824787, (454, 2) = 5.2191762518623595, (454, 3) = -1.2763286821288118, (455, 1) = 3.311450970257247, (455, 2) = 5.217379816425758, (455, 3) = -1.2751140631060607, (456, 1) = 3.3188040884495806, (456, 2) = 5.215583278368357, (456, 3) = -1.2739024855413794, (457, 1) = 3.326162145347832, (457, 2) = 5.213786621735097, (457, 3) = -1.2726939271020836, (458, 1) = 3.333525196872112, (458, 2) = 5.211989830798596, (458, 3) = -1.2714883657780496, (459, 1) = 3.340893299190573, (459, 2) = 5.2101928898105, (459, 3) = -1.2702857797121092, (460, 1) = 3.3482665090235812, (460, 2) = 5.208395782927223, (460, 3) = -1.2690861471493184, (461, 1) = 3.355644883877144, (461, 2) = 5.206598494153216, (461, 3) = -1.2678894463986254, (462, 1) = 3.3630284816954923, (462, 2) = 5.204801007425737, (462, 3) = -1.266695655889012, (463, 1) = 3.370417360840681, (463, 2) = 5.203003306619844, (463, 3) = -1.2655047541719726, (464, 1) = 3.377811580096651, (464, 2) = 5.201205375547387, (464, 3) = -1.2643167199199907, (465, 1) = 3.3852111987411626, (465, 2) = 5.199407197939519, (465, 3) = -1.2631315319142102, (466, 1) = 3.3926162772079027, (466, 2) = 5.197608757285996, (466, 3) = -1.2619491689382276, (467, 1) = 3.4000268750458975, (467, 2) = 5.1958100373308245, (467, 3) = -1.2607696101033898, (468, 1) = 3.407443052432821, (468, 2) = 5.1940110217043385, (468, 3) = -1.2595928346049865, (469, 1) = 3.41486486921585, (469, 2) = 5.19221169415581, (469, 3) = -1.2584188218734598, (470, 1) = 3.422292386313033, (470, 2) = 5.19041203821345, (470, 3) = -1.2572475513511325, (471, 1) = 3.4297256665589515, (471, 2) = 5.188612036980153, (471, 3) = -1.2560790023602921, (472, 1) = 3.437164772269611, (472, 2) = 5.186811673723687, (472, 3) = -1.2549131544870884, (473, 1) = 3.444609766211375, (473, 2) = 5.185010931641736, (473, 3) = -1.2537499874273326, (474, 1) = 3.452060711721309, (474, 2) = 5.183209793832841, (474, 3) = -1.2525894809670892, (475, 1) = 3.4595176732966353, (475, 2) = 5.181408243154102, (475, 3) = -1.2514316148908964, (476, 1) = 3.4669807144821427, (476, 2) = 5.179606262731654, (476, 3) = -1.2502763693092955, (477, 1) = 3.4744498996649105, (477, 2) = 5.177803835526705, (477, 3) = -1.2491237243782827, (478, 1) = 3.481925293966253, (478, 2) = 5.176000944361899, (478, 3) = -1.2479736603161902, (479, 1) = 3.4894069626015494, (479, 2) = 5.174197572075761, (479, 3) = -1.2468261575017396, (480, 1) = 3.4968949715197244, (480, 2) = 5.172393701368484, (480, 3) = -1.2456811963749228, (481, 1) = 3.504389387338271, (481, 2) = 5.170589314817734, (481, 3) = -1.2445387574469402, (482, 1) = 3.511890277178917, (482, 2) = 5.168784394918381, (482, 3) = -1.243398821324984, (483, 1) = 3.519397708824588, (483, 2) = 5.166978924044774, (483, 3) = -1.2422613686880213, (484, 1) = 3.526911751060865, (484, 2) = 5.165172884368865, (484, 3) = -1.2411263802351373, (485, 1) = 3.534432470651592, (485, 2) = 5.163366258586906, (485, 3) = -1.239993837140951, (486, 1) = 3.5419599374572566, (486, 2) = 5.161559028689265, (486, 3) = -1.238863720282063, (487, 1) = 3.5494942216320218, (487, 2) = 5.15975117663463, (487, 3) = -1.2377360106614206, (488, 1) = 3.557035393350939, (488, 2) = 5.157942684415296, (488, 3) = -1.2366106894480025, (489, 1) = 3.564583522950944, (489, 2) = 5.156133534023104, (489, 3) = -1.2354877379542863, (490, 1) = 3.5721386817035663, (490, 2) = 5.154323707264188, (490, 3) = -1.2343671375205942, (491, 1) = 3.579700941504794, (491, 2) = 5.152513185833563, (491, 3) = -1.2332488695613921, (492, 1) = 3.5872703750169994, (492, 2) = 5.150701951281278, (492, 3) = -1.232132915544195, (493, 1) = 3.594847055989104, (493, 2) = 5.148889984936084, (493, 3) = -1.231019256942735, (494, 1) = 3.6024310572336673, (494, 2) = 5.147077268389242, (494, 3) = -1.2299078755337587, (495, 1) = 3.6100224527619225, (495, 2) = 5.145263782983709, (495, 3) = -1.2287987530819573, (496, 1) = 3.617621317324519, (496, 2) = 5.143449509924273, (496, 3) = -1.2276918714078602, (497, 1) = 3.6252277262612687, (497, 2) = 5.1416344303135855, (497, 3) = -1.2265872124096813, (498, 1) = 3.6328417553126773, (498, 2) = 5.139818525197176, (498, 3) = -1.2254847580903445, (499, 1) = 3.640463480596116, (499, 2) = 5.138001775569114, (499, 3) = -1.224384490560253, (500, 1) = 3.6480929790597343, (500, 2) = 5.136184162263852, (500, 3) = -1.223286391971356, (501, 1) = 3.65573032821203, (501, 2) = 5.134365666020841, (501, 3) = -1.2221904445561846, (502, 1) = 3.663375606823917, (502, 2) = 5.132546267317584, (502, 3) = -1.221096630527276, (503, 1) = 3.6710288939315125, (503, 2) = 5.130725946607263, (503, 3) = -1.22000493222038, (504, 1) = 3.6786902691773307, (504, 2) = 5.128904684237542, (504, 3) = -1.2189153320451083, (505, 1) = 3.686359812845971, (505, 2) = 5.127082460442179, (505, 3) = -1.2178278124796733, (506, 1) = 3.694037605871157, (506, 2) = 5.1252592553394924, (506, 3) = -1.2167423560697745, (507, 1) = 3.701723729841731, (507, 2) = 5.12343504893103, (507, 3) = -1.2156589454276714, (508, 1) = 3.709418267245226, (508, 2) = 5.1216098210439585, (508, 3) = -1.2145775631978946, (509, 1) = 3.7171213008686776, (509, 2) = 5.11978355147336, (509, 3) = -1.2134981921415087, (510, 1) = 3.724832913589084, (510, 2) = 5.117956220031751, (510, 3) = -1.2124208151645322, (511, 1) = 3.7325531896837507, (511, 2) = 5.116127806238618, (511, 3) = -1.2113454151344154, (512, 1) = 3.740282214132239, (512, 2) = 5.11429828948619, (512, 3) = -1.2102719749783235, (513, 1) = 3.7480200726153377, (513, 2) = 5.11246764903983, (513, 3) = -1.2092004776832772, (514, 1) = 3.7557668515228917, (514, 2) = 5.11063586403634, (514, 3) = -1.2081309062950998, (515, 1) = 3.763522637928585, (515, 2) = 5.108802913490058, (515, 3) = -1.207063243921905, (516, 1) = 3.771287518485111, (516, 2) = 5.106968776553893, (516, 3) = -1.2059974738854953, (517, 1) = 3.7790615828461465, (517, 2) = 5.1051334317111285, (517, 3) = -1.2049335792515106, (518, 1) = 3.786844920583546, (518, 2) = 5.103296857504202, (518, 3) = -1.2038715432540923, (519, 1) = 3.7946376209596764, (519, 2) = 5.101459032588031, (519, 3) = -1.2028113493252524, (520, 1) = 3.8024397747878367, (520, 2) = 5.099619935291147, (520, 3) = -1.2017529808408685, (521, 1) = 3.810251473649626, (521, 2) = 5.09777954380066, (521, 3) = -1.2006964212280975, (522, 1) = 3.8180728099028207, (522, 2) = 5.095937836160592, (522, 3) = -1.1996416539644583, (523, 1) = 3.825903876690302, (523, 2) = 5.094094790269956, (523, 3) = -1.1985886625767892, (524, 1) = 3.8337447679953063, (524, 2) = 5.092250383869955, (524, 3) = -1.1975374306340383, (525, 1) = 3.8415955793993923, (525, 2) = 5.090404594366025, (525, 3) = -1.196487941646363, (526, 1) = 3.8494564060031715, (526, 2) = 5.088557399316994, (526, 3) = -1.1954401793436291, (527, 1) = 3.8573273436338966, (527, 2) = 5.086708776150951, (527, 3) = -1.1943941275128545, (528, 1) = 3.8652084890195786, (528, 2) = 5.0848587021245075, (528, 3) = -1.1933497699752516, (529, 1) = 3.8730999401565582, (529, 2) = 5.083007154236849, (529, 3) = -1.1923070905381163, (530, 1) = 3.881001795481213, (530, 2) = 5.081154109424364, (530, 3) = -1.1912660731049016, (531, 1) = 3.888914153953766, (531, 2) = 5.0792995445410085, (531, 3) = -1.1902267016637331, (532, 1) = 3.896837118298291, (532, 2) = 5.07744343559944, (532, 3) = -1.1891889598633247, (533, 1) = 3.904770789366905, (533, 2) = 5.0755857590922835, (533, 3) = -1.1881528317537675, (534, 1) = 3.9127152693948353, (534, 2) = 5.073726491229098, (534, 3) = -1.187118301358382, (535, 1) = 3.920670661693055, (535, 2) = 5.0718656080088, (535, 3) = -1.186085352714862, (536, 1) = 3.9286370704864204, (536, 2) = 5.0700030852578095, (536, 3) = -1.1850539698969107, (537, 1) = 3.9366146006812506, (537, 2) = 5.068138898684594, (537, 3) = -1.1840241370445912, (538, 1) = 3.9446033579676887, (538, 2) = 5.066273023855868, (538, 3) = -1.1829958383511403, (539, 1) = 3.9526034497643345, (539, 2) = 5.064405435976295, (539, 3) = -1.181969057942045, (540, 1) = 3.960614984627504, (540, 2) = 5.0625361100269775, (540, 3) = -1.1809437799524471, (541, 1) = 3.968638070643482, (541, 2) = 5.060665021140678, (541, 3) = -1.179919988732785, (542, 1) = 3.9766728176917847, (542, 2) = 5.058792144073831, (542, 3) = -1.178897668559084, (543, 1) = 3.9847193367147415, (543, 2) = 5.05691745337737, (543, 3) = -1.1778768037274694, (544, 1) = 3.99277773961689, (544, 2) = 5.055040923420503, (544, 3) = -1.1768573785675511, (545, 1) = 4.00084813806391, (545, 2) = 5.0531625286704145, (545, 3) = -1.1758393775941414, (546, 1) = 4.0089306465864105, (546, 2) = 5.051282242969952, (546, 3) = -1.1748227851157322, (547, 1) = 4.01702538124813, (547, 2) = 5.049400039848564, (547, 3) = -1.1738075854051753, (548, 1) = 4.025132458096951, (548, 2) = 5.047515892882768, (548, 3) = -1.1727937628945853, (549, 1) = 4.033251993522677, (549, 2) = 5.045629775612743, (549, 3) = -1.1717813021294676, (550, 1) = 4.041384105774956, (550, 2) = 5.043741661189874, (550, 3) = -1.1707701875795924, (551, 1) = 4.049528914212227, (551, 2) = 5.041851522551737, (551, 3) = -1.169760403734011, (552, 1) = 4.057686539304603, (552, 2) = 5.03995933242176, (552, 3) = -1.16875193510141, (553, 1) = 4.065857102705113, (553, 2) = 5.038065063293011, (553, 3) = -1.1677447662020162, (554, 1) = 4.074040728052338, (554, 2) = 5.036168687242613, (554, 3) = -1.166738881469911, (555, 1) = 4.0822375387167975, (555, 2) = 5.034270176454381, (555, 3) = -1.165734265531053, (556, 1) = 4.090447659268935, (556, 2) = 5.032369502878592, (556, 3) = -1.1647309030223871, (557, 1) = 4.098671215487908, (557, 2) = 5.030466638230309, (557, 3) = -1.1637287785915968, (558, 1) = 4.106908334711672, (558, 2) = 5.028561553908786, (558, 3) = -1.1627278768554763, (559, 1) = 4.1151591450640685, (559, 2) = 5.026654221176654, (559, 3) = -1.1617281824948853, (560, 1) = 4.123423775617629, (560, 2) = 5.024744611122404, (560, 3) = -1.1607296802352045, (561, 1) = 4.131702359765071, (561, 2) = 5.02283269388217, (561, 3) = -1.1597323544411198, (562, 1) = 4.139995029175357, (562, 2) = 5.020918440036599, (562, 3) = -1.158736189847798, (563, 1) = 4.148301917361176, (563, 2) = 5.019001819786673, (563, 3) = -1.1577411711299292, (564, 1) = 4.156623159300365, (564, 2) = 5.0170828030416486, (564, 3) = -1.1567472829487666, (565, 1) = 4.16495889128345, (565, 2) = 5.015161359454717, (565, 3) = -1.1557545099715012, (566, 1) = 4.173309250791443, (566, 2) = 5.013237458451486, (566, 3) = -1.1547628368867096, (567, 1) = 4.181674376934074, (567, 2) = 5.011311069129441, (567, 3) = -1.153772248353287, (568, 1) = 4.190054410359353, (568, 2) = 5.009382160279296, (568, 3) = -1.1527827290125965, (569, 1) = 4.198449491914049, (569, 2) = 5.007450700693598, (569, 3) = -1.1517942636472913, (570, 1) = 4.20685976470257, (570, 2) = 5.005516658693164, (570, 3) = -1.1508068369389826, (571, 1) = 4.215285373275462, (571, 2) = 5.003580002314426, (571, 3) = -1.149820433565646, (572, 1) = 4.2237264634916665, (572, 2) = 5.001640699341523, (572, 3) = -1.1488350382188146, (573, 1) = 4.2321831813237205, (573, 2) = 4.99969871758096, (573, 3) = -1.1478506357433653, (574, 1) = 4.240655677624583, (574, 2) = 4.997754023767456, (574, 3) = -1.1468672105839361, (575, 1) = 4.249144103027045, (575, 2) = 4.995806584736146, (575, 3) = -1.145884747381257, (576, 1) = 4.257648608687531, (576, 2) = 4.993856367251557, (576, 3) = -1.1449032308847646, (577, 1) = 4.266169347784956, (577, 2) = 4.991903337664091, (577, 3) = -1.1439226457799498, (578, 1) = 4.274706475381166, (578, 2) = 4.989947461942698, (578, 3) = -1.1429429767064028, (579, 1) = 4.283260148122178, (579, 2) = 4.9879887057439465, (579, 3) = -1.1419642082937511, (580, 1) = 4.291830524469394, (580, 2) = 4.986027034359568, (580, 3) = -1.1409863251366328, (581, 1) = 4.3004177652230045, (581, 2) = 4.984062412597348, (581, 3) = -1.1400093117368966, (582, 1) = 4.309022031011692, (582, 2) = 4.9820948053559295, (582, 3) = -1.1390331527905024, (583, 1) = 4.317643484810374, (583, 2) = 4.98012417704899, (583, 3) = -1.1380578329015372, (584, 1) = 4.3262822915158745, (584, 2) = 4.978150491703034, (584, 3) = -1.1370833366325284, (585, 1) = 4.334938617731993, (585, 2) = 4.976173713007104, (585, 3) = -1.1361096485303874, (586, 1) = 4.343612630378749, (586, 2) = 4.974193804630681, (586, 3) = -1.1351367532836203, (587, 1) = 4.352304499599294, (587, 2) = 4.972210729560418, (587, 3) = -1.1341646353969106, (588, 1) = 4.361014399236639, (588, 2) = 4.970224449992727, (588, 3) = -1.1331932791418835, (589, 1) = 4.369742502099113, (589, 2) = 4.968234928414326, (589, 3) = -1.1322226690874384, (590, 1) = 4.378488983745889, (590, 2) = 4.9662421267389885, (590, 3) = -1.1312527896776456, (591, 1) = 4.38725402165441, (591, 2) = 4.96424600649816, (591, 3) = -1.1302836253267183, (592, 1) = 4.3960377952612, (592, 2) = 4.962246528832281, (592, 3) = -1.129315160416264, (593, 1) = 4.404840486878998, (593, 2) = 4.960243654282765, (593, 3) = -1.128347379196357, (594, 1) = 4.413662279200229, (594, 2) = 4.9582373433607545, (594, 3) = -1.1273802660620544, (595, 1) = 4.422503356905523, (595, 2) = 4.956227556181316, (595, 3) = -1.1264138053770942, (596, 1) = 4.431363906891223, (596, 2) = 4.9542142524124175, (596, 3) = -1.1254479814509137, (597, 1) = 4.44024411840474, (597, 2) = 4.95219739124488, (597, 3) = -1.124482778526115, (598, 1) = 4.449144182215435, (598, 2) = 4.950176931581398, (598, 3) = -1.1235181808705241, (599, 1) = 4.458064290807201, (599, 2) = 4.948152831993185, (599, 3) = -1.1225541727574406, (600, 1) = 4.467004642399926, (600, 2) = 4.946125049808539, (600, 3) = -1.1215907380342391, (601, 1) = 4.475965433966315, (601, 2) = 4.9440935426981305, (601, 3) = -1.1206278608791622, (602, 1) = 4.484946865284531, (602, 2) = 4.942058267755807, (602, 3) = -1.119665525364461, (603, 1) = 4.493949138559417, (603, 2) = 4.940019181585346, (603, 3) = -1.118703715499783, (604, 1) = 4.502972458258158, (604, 2) = 4.937976240338464, (604, 3) = -1.1177424152520108, (605, 1) = 4.512017031834126, (605, 2) = 4.935929399551741, (605, 3) = -1.1167816084706008, (606, 1) = 4.521083068211883, (606, 2) = 4.9338786144903315, (606, 3) = -1.115821279051014, (607, 1) = 4.530170777982679, (607, 2) = 4.931823840104045, (607, 3) = -1.114861410914991, (608, 1) = 4.539280375032715, (608, 2) = 4.929765030659833, (608, 3) = -1.1139019878404692, (609, 1) = 4.548412075693204, (609, 2) = 4.9277021399349605, (609, 3) = -1.1129429935543322, (610, 1) = 4.557566098670064, (610, 2) = 4.925635121233647, (610, 3) = -1.1119844117420943, (611, 1) = 4.5667426646026525, (611, 2) = 4.923563927487346, (611, 3) = -1.1110262260960968, (612, 1) = 4.575941997919471, (612, 2) = 4.921488510836717, (612, 3) = -1.1100684201241195, (613, 1) = 4.585164325298995, (613, 2) = 4.919408822980023, (613, 3) = -1.109110977313217, (614, 1) = 4.594409875840516, (614, 2) = 4.917324815135293, (614, 3) = -1.1081538811140486, (615, 1) = 4.603678881158346, (615, 2) = 4.9152364380198295, (615, 3) = -1.1071971149333757, (616, 1) = 4.612971576245314, (616, 2) = 4.9131436416565135, (616, 3) = -1.106240662047649, (617, 1) = 4.622288198890599, (617, 2) = 4.911046375506059, (617, 3) = -1.1052845056662988, (618, 1) = 4.631628988110481, (618, 2) = 4.908944588820872, (618, 3) = -1.1043286290947991, (619, 1) = 4.640994186797697, (619, 2) = 4.906838230049441, (619, 3) = -1.1033730154651307, (620, 1) = 4.650384040780207, (620, 2) = 4.9047272470492755, (620, 3) = -1.102417647835702, (621, 1) = 4.659798798902427, (621, 2) = 4.902611587069608, (621, 3) = -1.1014625091860102, (622, 1) = 4.669238714004961, (622, 2) = 4.900491196532325, (622, 3) = -1.1005075823206734, (623, 1) = 4.678704038412284, (623, 2) = 4.898366022046281, (623, 3) = -1.0995528503283154, (624, 1) = 4.688195030105764, (624, 2) = 4.896236009021473, (624, 3) = -1.0985982959594223, (625, 1) = 4.697711951104575, (625, 2) = 4.89410110203436, (625, 3) = -1.0976439017952873, (626, 1) = 4.707255065584403, (626, 2) = 4.891961245251063, (626, 3) = -1.096689650440251, (627, 1) = 4.71682464146399, (627, 2) = 4.889816382072326, (627, 3) = -1.0957355243654219, (628, 1) = 4.726420950343778, (628, 2) = 4.887666455148533, (628, 3) = -1.0947815059187116, (629, 1) = 4.736044265144215, (629, 2) = 4.885511406909684, (629, 3) = -1.09382757756244, (630, 1) = 4.74569486323664, (630, 2) = 4.883351178864805, (630, 3) = -1.0928737215647537, (631, 1) = 4.7553730256325455, (631, 2) = 4.881185711784862, (631, 3) = -1.0919199200843364, (632, 1) = 4.765079037971513, (632, 2) = 4.879014945483044, (632, 3) = -1.090966155077187, (633, 1) = 4.774813187639875, (633, 2) = 4.876838819460391, (633, 3) = -1.090012408583646, (634, 1) = 4.784575765687151, (634, 2) = 4.874657272477892, (634, 3) = -1.0890586625424379, (635, 1) = 4.794367066185271, (635, 2) = 4.872470242700727, (635, 3) = -1.0881048988567021, (636, 1) = 4.804187387610099, (636, 2) = 4.870277667390715, (636, 3) = -1.0871510992627949, (637, 1) = 4.814037035250347, (637, 2) = 4.868079482370323, (637, 3) = -1.086197245102082, (638, 1) = 4.823916316960945, (638, 2) = 4.865875622972399, (638, 3) = -1.0852433177384908, (639, 1) = 4.833825542322478, (639, 2) = 4.8636660242281415, (639, 3) = -1.084289298641393, (640, 1) = 4.843765026012541, (640, 2) = 4.861450620116037, (640, 3) = -1.0833351690633455, (641, 1) = 4.853735086997115, (641, 2) = 4.859229343743696, (641, 3) = -1.0823809101229782, (642, 1) = 4.863736049569646, (642, 2) = 4.857002127117909, (642, 3) = -1.0814265027104597, (643, 1) = 4.873768240434324, (643, 2) = 4.854768901795597, (643, 3) = -1.080471927770494, (644, 1) = 4.883831990573746, (644, 2) = 4.85252959846882, (644, 3) = -1.07951716612719, (645, 1) = 4.893927636126733, (645, 2) = 4.850284146770868, (645, 3) = -1.078562198405552, (646, 1) = 4.90405551662573, (646, 2) = 4.848032475669795, (646, 3) = -1.077607005203048, (647, 1) = 4.914215976141321, (647, 2) = 4.845774513215008, (647, 3) = -1.0766515669852659, (648, 1) = 4.924409367553416, (648, 2) = 4.843510185590083, (648, 3) = -1.0756958636907503, (649, 1) = 4.934636044098853, (649, 2) = 4.841239418992555, (649, 3) = -1.074739875530543, (650, 1) = 4.94489636473552, (650, 2) = 4.838962138443042, (650, 3) = -1.07378358248783, (651, 1) = 4.955190693512592, (651, 2) = 4.836678267926839, (651, 3) = -1.0728269643826265, (652, 1) = 4.965519400658992, (652, 2) = 4.834387730154185, (652, 3) = -1.0718700007764759, (653, 1) = 4.9758828596468145, (653, 2) = 4.8320904472132025, (653, 3) = -1.0709126712501356, (654, 1) = 4.986281449118314, (654, 2) = 4.829786340143708, (654, 3) = -1.0699549552291516, (655, 1) = 4.996715553702842, (655, 2) = 4.827475328757908, (655, 3) = -1.0689968319143779, (656, 1) = 5.0071855627952955, (656, 2) = 4.825157331912746, (656, 3) = -1.06803828040015, (657, 1) = 5.017691870943702, (657, 2) = 4.822832267425531, (657, 3) = -1.067079279643769, (658, 1) = 5.028234879853695, (658, 2) = 4.8205000516321475, (658, 3) = -1.0661198082886967, (659, 1) = 5.038814995990356, (659, 2) = 4.81816059991967, (659, 3) = -1.0651598448898412, (660, 1) = 5.049432631556867, (660, 2) = 4.815813826511424, (660, 3) = -1.0641993678299049, (661, 1) = 5.0600882059038925, (661, 2) = 4.8134596441574145, (661, 3) = -1.0632383551985212, (662, 1) = 5.0707821421301995, (662, 2) = 4.81109796488728, (662, 3) = -1.0622767851053956, (663, 1) = 5.081514869588221, (663, 2) = 4.808728699458108, (663, 3) = -1.0613146354593361, (664, 1) = 5.09228682502674, (664, 2) = 4.806351757104278, (664, 3) = -1.060351883872962, (665, 1) = 5.103098451897249, (665, 2) = 4.803967045692836, (665, 3) = -1.0593885077326186, (666, 1) = 5.113950199009468, (666, 2) = 4.801574472021985, (666, 3) = -1.058424484324876, (667, 1) = 5.124842518624722, (667, 2) = 4.799173942242622, (667, 3) = -1.0574597910105266, (668, 1) = 5.135775875365251, (668, 2) = 4.796765359896646, (668, 3) = -1.0564944044419355, (669, 1) = 5.1467507386606535, (669, 2) = 4.794348627584552, (669, 3) = -1.0555283012417342, (670, 1) = 5.157767585943704, (670, 2) = 4.791923646263236, (670, 3) = -1.0545614577273557, (671, 1) = 5.168826899154116, (671, 2) = 4.7894903160177025, (671, 3) = -1.0535938502253321, (672, 1) = 5.179929167938721, (672, 2) = 4.787048535358331, (672, 3) = -1.0526254547967275, (673, 1) = 5.191074891274185, (673, 2) = 4.784598200866562, (673, 3) = -1.051656247104652, (674, 1) = 5.2022645752607675, (674, 2) = 4.782139207682747, (674, 3) = -1.0506862026157857, (675, 1) = 5.213498731609502, (675, 2) = 4.779671449840455, (675, 3) = -1.0497152967384824, (676, 1) = 5.22477788003514, (676, 2) = 4.777194819742489, (676, 3) = -1.048743504622459, (677, 1) = 5.236102547408081, (677, 2) = 4.774709208349421, (677, 3) = -1.047770801240224, (678, 1) = 5.247473274595802, (678, 2) = 4.772214503680899, (678, 3) = -1.046797160809721, (679, 1) = 5.2588906054987365, (679, 2) = 4.769710593224702, (679, 3) = -1.0458225577453764, (680, 1) = 5.270355093357038, (680, 2) = 4.767197362554551, (680, 3) = -1.0448469661242827, (681, 1) = 5.281867301843321, (681, 2) = 4.764674695093608, (681, 3) = -1.0438703596040029, (682, 1) = 5.293427801164669, (682, 2) = 4.762142472971435, (682, 3) = -1.0428927117634585, (683, 1) = 5.305037171074922, (683, 2) = 4.759600576366173, (683, 3) = -1.041913995855998, (684, 1) = 5.316696001842971, (684, 2) = 4.75704888329552, (684, 3) = -1.040934184738679, (685, 1) = 5.328404892872269, (685, 2) = 4.754487269921957, (685, 3) = -1.0399532509995417, (686, 1) = 5.3401644525416145, (686, 2) = 4.751915610590181, (686, 3) = -1.038971166980825, (687, 1) = 5.351975294762904, (687, 2) = 4.749333778581941, (687, 3) = -1.037987905074797, (688, 1) = 5.3638380505375505, (688, 2) = 4.74674164359228, (688, 3) = -1.0370034367713936, (689, 1) = 5.375753360179111, (689, 2) = 4.744139073434006, (689, 3) = -1.0360177333208929, (690, 1) = 5.387721870944048, (690, 2) = 4.741525934557369, (690, 3) = -1.0350307659390505, (691, 1) = 5.399744241525602, (691, 2) = 4.738902091070962, (691, 3) = -1.0340425054452198, (692, 1) = 5.411821143526104, (692, 2) = 4.736267404423987, (692, 3) = -1.0330529221547131, (693, 1) = 5.42395325961831, (693, 2) = 4.733621733811125, (693, 3) = -1.032061986043421, (694, 1) = 5.436141282150822, (694, 2) = 4.730964936479593, (694, 3) = -1.0310696668734487, (695, 1) = 5.44838591497515, (695, 2) = 4.728296867333623, (695, 3) = -1.0300759340554806, (696, 1) = 5.460687873366709, (696, 2) = 4.725617378954876, (696, 3) = -1.0290807566679336, (697, 1) = 5.473047887145398, (697, 2) = 4.722926320926308, (697, 3) = -1.0280841032183763, (698, 1) = 5.485466697476077, (698, 2) = 4.7202235405328326, (698, 3) = -1.027085941916955, (699, 1) = 5.497945059699495, (699, 2) = 4.717508882148559, (699, 3) = -1.026086240462427, (700, 1) = 5.510483738880768, (700, 2) = 4.714782188208835, (700, 3) = -1.0250849664132091, (701, 1) = 5.52308351406337, (701, 2) = 4.712043298287901, (701, 3) = -1.0240820868596425, (702, 1) = 5.535745180334229, (702, 2) = 4.70929204865424, (702, 3) = -1.0230775682762567, (703, 1) = 5.548469547448895, (703, 2) = 4.706528272573929, (703, 3) = -1.022071376648767, (704, 1) = 5.561257434353292, (704, 2) = 4.703751801503974, (704, 3) = -1.0210634779218128, (705, 1) = 5.5741096759874, (705, 2) = 4.700962463617727, (705, 3) = -1.0200538374748744, (706, 1) = 5.58702712830107, (706, 2) = 4.698160082721507, (706, 3) = -1.0190424197485233, (707, 1) = 5.600010655817601, (707, 2) = 4.6953444809577, (707, 3) = -1.018029189238132, (708, 1) = 5.613061140365355, (708, 2) = 4.692515476913593, (708, 3) = -1.0170141098244998, (709, 1) = 5.62617948175382, (709, 2) = 4.689672885479834, (709, 3) = -1.0159971447414766, (710, 1) = 5.6393665926745395, (710, 2) = 4.686816518959811, (710, 3) = -1.0149782569900512, (711, 1) = 5.652623403153752, (711, 2) = 4.683946186108653, (711, 3) = -1.0139574090102084, (712, 1) = 5.665950860903978, (712, 2) = 4.681061692061813, (712, 3) = -1.0129345626738897, (713, 1) = 5.6793499347338505, (713, 2) = 4.678162837602284, (713, 3) = -1.0119096790449342, (714, 1) = 5.692821611113107, (714, 2) = 4.6752494199094015, (714, 3) = -1.0108827186651863, (715, 1) = 5.706366893641239, (715, 2) = 4.672321232678235, (715, 3) = -1.0098536416150323, (716, 1) = 5.719986801382228, (716, 2) = 4.6693780664836115, (716, 3) = -1.008822407658796, (717, 1) = 5.733682375014465, (717, 2) = 4.666419707455343, (717, 3) = -1.0077889757988423, (718, 1) = 5.747454677018509, (718, 2) = 4.663445937243632, (718, 3) = -1.0067533042867367, (719, 1) = 5.761304786062783, (719, 2) = 4.66045653423651, (719, 3) = -1.005715351068771, (720, 1) = 5.775233798919999, (720, 2) = 4.657451273149817, (720, 3) = -1.0046750736613075, (721, 1) = 5.789242842072002, (721, 2) = 4.654429922528986, (721, 3) = -1.0036324283092404, (722, 1) = 5.803333065085385, (722, 2) = 4.651392246185741, (722, 3) = -1.0025873705120916, (723, 1) = 5.817505638580493, (723, 2) = 4.648338003641615, (723, 3) = -1.0015398552009143, (724, 1) = 5.831761754402651, (724, 2) = 4.645266950096042, (724, 3) = -1.0004898367501334, (725, 1) = 5.846102624822737, (725, 2) = 4.642178836603332, (725, 3) = -.9994372690607521, (726, 1) = 5.860529489020316, (726, 2) = 4.639073408681834, (726, 3) = -.9983821051106139, (727, 1) = 5.875043612333055, (727, 2) = 4.635950406482396, (727, 3) = -.9973242970409246, (728, 1) = 5.8896462774196054, (728, 2) = 4.632809566695185, (728, 3) = -.996263796827856, (729, 1) = 5.904338805206926, (729, 2) = 4.629650618049507, (729, 3) = -.9952005547889262, (730, 1) = 5.919122538233332, (730, 2) = 4.626473284904185, (730, 3) = -.9941345208284864, (731, 1) = 5.933998847822801, (731, 2) = 4.623277285710648, (731, 3) = -.9930656439482325, (732, 1) = 5.948969138197775, (732, 2) = 4.620062332136707, (732, 3) = -.9919938719876041, (733, 1) = 5.9640348384869535, (733, 2) = 4.616828130790328, (733, 3) = -.9909191522324708, (734, 1) = 5.979197406422201, (734, 2) = 4.613574382431326, (734, 3) = -.9898414311821647, (735, 1) = 5.994458329831444, (735, 2) = 4.610300781657372, (735, 3) = -.9887606544780141, (736, 1) = 6.009819132828891, (736, 2) = 4.607007015583487, (736, 3) = -.9876767665033435, (737, 1) = 6.0252813721829295, (737, 2) = 4.603692764629277, (737, 3) = -.9865897106823568, (738, 1) = 6.040844509168522, (738, 2) = 4.600358158422904, (738, 3) = -.9854995783128372, (739, 1) = 6.056473340475939, (739, 2) = 4.597010749318951, (739, 3) = -.9844088745878613, (740, 1) = 6.07214328490937, (740, 2) = 4.593655804282284, (740, 3) = -.9833193310063892, (741, 1) = 6.087848178068669, (741, 2) = 4.590294641393454, (741, 3) = -.982231380234994, (742, 1) = 6.103588207600118, (742, 2) = 4.586927217968427, (742, 3) = -.9811450109631822, (743, 1) = 6.119363561445427, (743, 2) = 4.58355349124474, (743, 3) = -.9800602119971789, (744, 1) = 6.135174428808416, (744, 2) = 4.5801734181738345, (744, 3) = -.9789769721928631, (745, 1) = 6.151021000440135, (745, 2) = 4.5767869553594895, (745, 3) = -.9778952804365152, (746, 1) = 6.166903468656197, (746, 2) = 4.57339405905353, (746, 3) = -.9768151256442543, (747, 1) = 6.182822027354331, (747, 2) = 4.56999468515151, (747, 3) = -.9757364967613902, (748, 1) = 6.198776872032136, (748, 2) = 4.566588789188308, (748, 3) = -.9746593827618737, (749, 1) = 6.214768199804985, (749, 2) = 4.563176326333725, (749, 3) = -.9735837726476615, (750, 1) = 6.230796209424577, (750, 2) = 4.559757251387896, (750, 3) = -.9725096554481294, (751, 1) = 6.246861101921163, (751, 2) = 4.556331518643736, (751, 3) = -.9714370201778884, (752, 1) = 6.26296308091397, (752, 2) = 4.552899081820372, (752, 3) = -.9703658558175982, (753, 1) = 6.2791023503008265, (753, 2) = 4.54945989455506, (753, 3) = -.9692961514685738, (754, 1) = 6.295279115626447, (754, 2) = 4.546013910110568, (754, 3) = -.9682278962615622, (755, 1) = 6.311493584168525, (755, 2) = 4.542561081356146, (755, 3) = -.9671610793516773, (756, 1) = 6.327745964957569, (756, 2) = 4.539101360762603, (756, 3) = -.9660956899178207, (757, 1) = 6.344036468797225, (757, 2) = 4.535634700397275, (757, 3) = -.9650317171620648, (758, 1) = 6.360365308284815, (758, 2) = 4.532161051918934, (758, 3) = -.9639691503090674, (759, 1) = 6.376732697831934, (759, 2) = 4.528680366572679, (759, 3) = -.9629079786054636, (760, 1) = 6.3931388536866, (760, 2) = 4.525192595184458, (760, 3) = -.961848191319223, (761, 1) = 6.409583995206027, (761, 2) = 4.521697687889862, (761, 3) = -.9607897776586319, (762, 1) = 6.426068343561707, (762, 2) = 4.518195594408852, (762, 3) = -.9597327268574695, (763, 1) = 6.442592120704164, (763, 2) = 4.51468626426474, (763, 3) = -.9586770282417175, (764, 1) = 6.459155550508657, (764, 2) = 4.511169646539779, (764, 3) = -.9576226711562799, (765, 1) = 6.475758858798178, (765, 2) = 4.50764568986947, (765, 3) = -.9565696449643533, (766, 1) = 6.492402273366334, (766, 2) = 4.50411434243683, (766, 3) = -.955517939046837, (767, 1) = 6.509086024000886, (767, 2) = 4.5005755519665565, (767, 3) = -.9544675428017152, (768, 1) = 6.525810342507631, (768, 2) = 4.497029265719065, (768, 3) = -.9534184456434409, (769, 1) = 6.54257546273429, (769, 2) = 4.493475430484522, (769, 3) = -.952370637002344, (770, 1) = 6.55938162070697, (770, 2) = 4.489913992553027, (770, 3) = -.9513241063170615, (771, 1) = 6.5762290562871994, (771, 2) = 4.4863448973627, (771, 3) = -.9502788429329648, (772, 1) = 6.593118010313484, (772, 2) = 4.4827680901045674, (772, 3) = -.9492348362814552, (773, 1) = 6.6100487251267515, (773, 2) = 4.479183515609973, (773, 3) = -.9481920758473156, (774, 1) = 6.627021445238123, (774, 2) = 4.475591118208073, (774, 3) = -.9471505511280609, (775, 1) = 6.644036417355827, (775, 2) = 4.471990841719092, (775, 3) = -.9461102516332808, (776, 1) = 6.661093890411819, (776, 2) = 4.468382629447667, (776, 3) = -.945071166884036, (777, 1) = 6.678194115589154, (777, 2) = 4.464766424175987, (777, 3) = -.9440332864122248, (778, 1) = 6.695337346349862, (778, 2) = 4.46114216815681, (778, 3) = -.942996599759938, (779, 1) = 6.712523838462897, (779, 2) = 4.457509803106458, (779, 3) = -.9419610964788456, (780, 1) = 6.729753850483791, (780, 2) = 4.4538692701023255, (780, 3) = -.9409267661025309, (781, 1) = 6.747027645036033, (781, 2) = 4.450220509311245, (781, 3) = -.9398935980715745, (782, 1) = 6.76434548533529, (782, 2) = 4.446563460722672, (782, 3) = -.9388615819432733, (783, 1) = 6.781707636755529, (783, 2) = 4.442898063816356, (783, 3) = -.9378307072979846, (784, 1) = 6.799114367127356, (784, 2) = 4.4392242574980845, (784, 3) = -.9368009637223587, (785, 1) = 6.816565946769435, (785, 2) = 4.435541980091756, (785, 3) = -.9357723408086617, (786, 1) = 6.834062648519787, (786, 2) = 4.4318511693315354, (786, 3) = -.9347448281541311, (787, 1) = 6.851604747767721, (787, 2) = 4.428151762353755, (787, 3) = -.9337184153603135, (788, 1) = 6.869192522486489, (788, 2) = 4.424443695688727, (788, 3) = -.9326930920323925, (789, 1) = 6.886826253266254, (789, 2) = 4.420726905252379, (789, 3) = -.9316688477785224, (790, 1) = 6.9045062244317075, (790, 2) = 4.417001326109398, (790, 3) = -.9306456721465308, (791, 1) = 6.9222327239561965, (791, 2) = 4.413266892490164, (791, 3) = -.929623554631291, (792, 1) = 6.9400060406223885, (792, 2) = 4.409523538387465, (792, 3) = -.9286024848398536, (793, 1) = 6.957826465927443, (793, 2) = 4.405771197153363, (793, 3) = -.9275824523819013, (794, 1) = 6.975694294161071, (794, 2) = 4.402009801481231, (794, 3) = -.926563446866609, (795, 1) = 6.993609822442396, (795, 2) = 4.398239283396431, (795, 3) = -.9255454579019219, (796, 1) = 7.011573350756893, (796, 2) = 4.39445957424693, (796, 3) = -.9245284750938586, (797, 1) = 7.0295851819939585, (797, 2) = 4.390670604693763, (797, 3) = -.9235124880458048, (798, 1) = 7.047645621985189, (798, 2) = 4.3868723047013045, (798, 3) = -.9224974863578023, (799, 1) = 7.065754979561831, (799, 2) = 4.383064603523487, (799, 3) = -.9214834596247942, (800, 1) = 7.083913568598258, (800, 2) = 4.379247429272529, (800, 3) = -.9204703973243197, (801, 1) = 7.102121705452226, (801, 2) = 4.375420709455535, (801, 3) = -.9194582889621093, (802, 1) = 7.120379708229757, (802, 2) = 4.371584371126974, (802, 3) = -.9184471241136403, (803, 1) = 7.138687898183847, (803, 2) = 4.367738340592666, (803, 3) = -.9174368923472634, (804, 1) = 7.157046599756253, (804, 2) = 4.363882543399108, (804, 3) = -.9164275832234875, (805, 1) = 7.175456140620779, (805, 2) = 4.360016904322435, (805, 3) = -.9154191862942117, (806, 1) = 7.193916851727135, (806, 2) = 4.356141347357188, (806, 3) = -.9144116911019547, (807, 1) = 7.212429067345556, (807, 2) = 4.352255795704924, (807, 3) = -.9134050871790855, (808, 1) = 7.230993125111756, (808, 2) = 4.348360171762686, (808, 3) = -.912399364047057, (809, 1) = 7.249609366336608, (809, 2) = 4.344454397055877, (809, 3) = -.9113945112014317, (810, 1) = 7.268278138331034, (810, 2) = 4.340538391748515, (810, 3) = -.9103905179890492, (811, 1) = 7.286999789964192, (811, 2) = 4.3366120755729645, (811, 3) = -.9093873738498581, (812, 1) = 7.3057746729311654, (812, 2) = 4.332675367561429, (812, 3) = -.9083850682491956, (813, 1) = 7.32460314253565, (813, 2) = 4.328728185879407, (813, 3) = -.9073835906373322, (814, 1) = 7.343485557740005, (814, 2) = 4.324770447812782, (814, 3) = -.9063829304486521, (815, 1) = 7.362422281216554, (815, 2) = 4.3208020697546266, (815, 3) = -.905383077100816, (816, 1) = 7.3814136793997625, (816, 2) = 4.316822967191742, (816, 3) = -.9043840199939162, (817, 1) = 7.400460122539673, (817, 2) = 4.312833054690917, (817, 3) = -.9033857485095954, (818, 1) = 7.419561984755133, (818, 2) = 4.308832245885122, (818, 3) = -.9023882520102335, (819, 1) = 7.43871964495608, (819, 2) = 4.304820453277701, (819, 3) = -.9013915197930212, (820, 1) = 7.4579334882820145, (820, 2) = 4.300797587938624, (820, 3) = -.9003955410183838, (821, 1) = 7.477203901200731, (821, 2) = 4.296763560527966, (821, 3) = -.8994003049668072, (822, 1) = 7.496531274016274, (822, 2) = 4.292718280767673, (822, 3) = -.8984058009095313, (823, 1) = 7.515916001191787, (823, 2) = 4.288661657370977, (823, 3) = -.8974120180938663, (824, 1) = 7.535358481409983, (824, 2) = 4.284593598026719, (824, 3) = -.8964189457422715, (825, 1) = 7.554859117634385, (825, 2) = 4.280514009383442, (825, 3) = -.8954265730514083, (826, 1) = 7.574418317171738, (826, 2) = 4.276422797033144, (826, 3) = -.8944348891911942, (827, 1) = 7.594036491736399, (827, 2) = 4.272319865494566, (827, 3) = -.8934438833038021, (828, 1) = 7.61371405751397, (828, 2) = 4.268205118196548, (828, 3) = -.8924535445027405, (829, 1) = 7.63345143717465, (829, 2) = 4.264078457053707, (829, 3) = -.891463861774402, (830, 1) = 7.653249058849607, (830, 2) = 4.259939782677171, (830, 3) = -.8904748240332468, (831, 1) = 7.673107352726272, (831, 2) = 4.255788995082733, (831, 3) = -.8894864202941329, (832, 1) = 7.693026753724033, (832, 2) = 4.251625993127629, (832, 3) = -.8884986395398656, (833, 1) = 7.713007701582515, (833, 2) = 4.247450674488323, (833, 3) = -.8875114707193014, (834, 1) = 7.733050640934861, (834, 2) = 4.243262935641344, (834, 3) = -.8865249027462534, (835, 1) = 7.753156021381593, (835, 2) = 4.2390626718439215, (835, 3) = -.8855389244984214, (836, 1) = 7.7733242975657815, (836, 2) = 4.234849777114218, (836, 3) = -.8845535248163109, (837, 1) = 7.793555929250946, (837, 2) = 4.2306241442109345, (837, 3) = -.8835686925020769, (838, 1) = 7.813851381484812, (838, 2) = 4.226385664594851, (838, 3) = -.8825844163142648, (839, 1) = 7.834211127904779, (839, 2) = 4.22213422773428, (839, 3) = -.8816006848111849, (840, 1) = 7.854635646001418, (840, 2) = 4.217869722089888, (840, 3) = -.8806174865842115, (841, 1) = 7.875125417012156, (841, 2) = 4.213592035132105, (841, 3) = -.8796348102643123, (842, 1) = 7.895680927709167, (842, 2) = 4.209301052963044, (842, 3) = -.8786526444380995, (843, 1) = 7.9163026704847885, (843, 2) = 4.204996660293884, (843, 3) = -.877670977646671, (844, 1) = 7.936991143440636, (844, 2) = 4.20067874042131, (844, 3) = -.8766897983843285, (845, 1) = 7.957746850477589, (845, 2) = 4.196347175203693, (845, 3) = -.8757090950973292, (846, 1) = 7.978570301387049, (846, 2) = 4.192001845036856, (846, 3) = -.8747288561826292, (847, 1) = 7.999462011945638, (847, 2) = 4.187642628829004, (847, 3) = -.8737490699865431, (848, 1) = 8.020422504606046, (848, 2) = 4.1832694038511145, (848, 3) = -.8727697247756621, (849, 1) = 8.041452311822132, (849, 2) = 4.178882045037736, (849, 3) = -.8717908085860705, (850, 1) = 8.062551968987073, (850, 2) = 4.174480426454627, (850, 3) = -.8708123095567896, (851, 1) = 8.083722017021733, (851, 2) = 4.17006442075271, (851, 3) = -.8698342158107925, (852, 1) = 8.104963003338376, (852, 2) = 4.1656338989609365, (852, 3) = -.8688565154133435, (853, 1) = 8.126275481945008, (853, 2) = 4.161188730458348, (853, 3) = -.8678791963706314, (854, 1) = 8.147660013554356, (854, 2) = 4.156728782944967, (854, 3) = -.8669022466282771, (855, 1) = 8.16911716569435, (855, 2) = 4.152253922412226, (855, 3) = -.86592565406983, (856, 1) = 8.190647512820217, (856, 2) = 4.147764013112896, (856, 3) = -.864949406515289, (857, 1) = 8.212251636430015, (857, 2) = 4.143258917530107, (857, 3) = -.8639734917195434, (858, 1) = 8.233930126898503, (858, 2) = 4.138738495987889, (858, 3) = -.8629978972936987, (859, 1) = 8.255683584889777, (859, 2) = 4.13420260634944, (859, 3) = -.862022610647092, (860, 1) = 8.277512614260031, (860, 2) = 4.129651105489551, (860, 3) = -.8610476193100564, (861, 1) = 8.299417826152467, (861, 2) = 4.125083848433031, (861, 3) = -.8600729107523869, (862, 1) = 8.321399839376896, (862, 2) = 4.120500688267696, (862, 3) = -.8590984723703222, (863, 1) = 8.343459280538953, (863, 2) = 4.11590147610936, (863, 3) = -.8581242914848907, (864, 1) = 8.36559678417427, (864, 2) = 4.111286061065581, (864, 3) = -.8571503553401304, (865, 1) = 8.38781299288528, (865, 2) = 4.106654290198627, (865, 3) = -.8561766511012953, (866, 1) = 8.410108557480685, (866, 2) = 4.102006008487653, (866, 3) = -.855203165853038, (867, 1) = 8.432484137116989, (867, 2) = 4.097341058790205, (867, 3) = -.8542298865975978, (868, 1) = 8.4549404031267, (868, 2) = 4.09265928103487, (868, 3) = -.8532568000936427, (869, 1) = 8.477478035794984, (869, 2) = 4.087960512883795, (869, 3) = -.8522838930026625, (870, 1) = 8.500097720532127, (870, 2) = 4.083244590520871, (870, 3) = -.8513111520580603, (871, 1) = 8.522800151709731, (871, 2) = 4.078511347841942, (871, 3) = -.8503385639027574, (872, 1) = 8.545586032823277, (872, 2) = 4.073760616410592, (872, 3) = -.8493661150870124, (873, 1) = 8.56845607665406, (873, 2) = 4.068992225413803, (873, 3) = -.8483937920663747, (874, 1) = 8.591411005436228, (874, 2) = 4.064206001616206, (874, 3) = -.8474215811995447, (875, 1) = 8.614451551027233, (875, 2) = 4.059401769313348, (875, 3) = -.8464494687461966, (876, 1) = 8.63757845508362, (876, 2) = 4.054579350283528, (876, 3) = -.8454774408647032, (877, 1) = 8.660792469526742, (877, 2) = 4.049738563678806, (877, 3) = -.8445054835978698, (878, 1) = 8.6840943620889, (878, 2) = 4.044879224856194, (878, 3) = -.8435335826475612, (879, 1) = 8.707484907533914, (879, 2) = 4.040001147195793, (879, 3) = -.8425617237486857, (880, 1) = 8.73096488892267, (880, 2) = 4.0351041418240765, (880, 3) = -.8415898926197262, (881, 1) = 8.754535100062869, (881, 2) = 4.030188017089763, (881, 3) = -.8406180748657339, (882, 1) = 8.778196345711626, (882, 2) = 4.025252578507887, (882, 3) = -.8396462559757173, (883, 1) = 8.801949441780897, (883, 2) = 4.02029762870287, (883, 3) = -.8386744213200715, (884, 1) = 8.82579521554788, (884, 2) = 4.015322967350149, (884, 3) = -.8377025561479411, (885, 1) = 8.849734505869469, (885, 2) = 4.010328391116506, (885, 3) = -.8367306455845566, (886, 1) = 8.873768163406078, (886, 2) = 4.005313693598031, (886, 3) = -.8357586746283587, (887, 1) = 8.897897052216281, (887, 2) = 4.0002786649715185, (887, 3) = -.8347866280931475, (888, 1) = 8.922122054683273, (888, 2) = 3.9952230909498865, (888, 3) = -.8338144904182273, (889, 1) = 8.946444059743067, (889, 2) = 3.9901467552217764, (889, 3) = -.8328422461492856, (890, 1) = 8.9708639680465, (890, 2) = 3.9850494383573416, (890, 3) = -.8318698797352447, (891, 1) = 8.995382693251313, (891, 2) = 3.9799309175207753, (891, 3) = -.8308973754830967, (892, 1) = 9.02000116227781, (892, 2) = 3.974790966398588, (892, 3) = -.8299247175547391, (893, 1) = 9.044720315571887, (893, 2) = 3.969629355125765, (893, 3) = -.8289518899636978, (894, 1) = 9.069541107373993, (894, 2) = 3.964445850210091, (894, 3) = -.8279788765718085, (895, 1) = 9.094464505992079, (895, 2) = 3.9592402144550465, (895, 3) = -.8270056610859189, (896, 1) = 9.119491494089175, (896, 2) = 3.9540122068789962, (896, 3) = -.8260322270542233, (897, 1) = 9.144623072584722, (897, 2) = 3.9487615818786863, (897, 3) = -.8250585577230493, (898, 1) = 9.169860261426162, (898, 2) = 3.9434880890453643, (898, 3) = -.8240846360176922, (899, 1) = 9.195204088871474, (899, 2) = 3.938191475381353, (899, 3) = -.8231104449646199, (900, 1) = 9.220655598541542, (900, 2) = 3.932871483803468, (900, 3) = -.8221359674248423, (901, 1) = 9.246215849960251, (901, 2) = 3.9275278530059285, (901, 3) = -.821161186081503, (902, 1) = 9.27188591888202, (902, 2) = 3.922160317366879, (902, 3) = -.8201860834359451, (903, 1) = 9.297666897631874, (903, 2) = 3.916768606851486, (903, 3) = -.8192106418035389, (904, 1) = 9.323559895454359, (904, 2) = 3.9113524469123337, (904, 3) = -.8182348433094013, (905, 1) = 9.349566038866026, (905, 2) = 3.905911558388191, (905, 3) = -.8172586698842333, (906, 1) = 9.375686472061679, (906, 2) = 3.9004456573906245, (906, 3) = -.8162821032583853, (907, 1) = 9.401922364677162, (907, 2) = 3.894954453649769, (907, 3) = -.81530512468282, (908, 1) = 9.428274903443858, (908, 2) = 3.8894376522296352, (908, 3) = -.8143277152531607, (909, 1) = 9.45474528844067, (909, 2) = 3.8838949542819803, (909, 3) = -.8133498560567232, (910, 1) = 9.481334738984433, (910, 2) = 3.878326055781369, (910, 3) = -.8123715279622342, (911, 1) = 9.508044494056007, (911, 2) = 3.8727306474025274, (911, 3) = -.8113927116145415, (912, 1) = 9.534875812727902, (912, 2) = 3.8671084143961783, (912, 3) = -.8104133874295743, (913, 1) = 9.56182997460937, (913, 2) = 3.8614590364600723, (913, 3) = -.8094335355889632, (914, 1) = 9.58890828030538, (914, 2) = 3.855782187605831, (914, 3) = -.8084531360344552, (915, 1) = 9.616112051880565, (915, 2) = 3.8500775360234987, (915, 3) = -.8074721684624876, (916, 1) = 9.643442634236505, (916, 2) = 3.8443447437531124, (916, 3) = -.8064906122863301, (917, 1) = 9.670901405144408, (917, 2) = 3.8385834645383103, (917, 3) = -.8055084462903815, (918, 1) = 9.698489758101507, (918, 2) = 3.832793347379439, (918, 3) = -.8045256492592525, (919, 1) = 9.726209106873496, (919, 2) = 3.8269740355381203, (919, 3) = -.8035421998240001, (920, 1) = 9.754060889281392, (920, 2) = 3.8211251656975915, (920, 3) = -.8025580763388822, (921, 1) = 9.782046567769015, (921, 2) = 3.815246367796579, (921, 3) = -.8015732568743681, (922, 1) = 9.810167629972597, (922, 2) = 3.8093372648610275, (922, 3) = -.8005877192104665, (923, 1) = 9.838425589312372, (923, 2) = 3.803397472829447, (923, 3) = -.7996014408296857, (924, 1) = 9.866821985605142, (924, 2) = 3.7974266003719688, (924, 3) = -.7986143989096707, (925, 1) = 9.895358385688322, (925, 2) = 3.7914242487051024, (925, 3) = -.7976265703158765, (926, 1) = 9.924036387461523, (926, 2) = 3.785390010685219, (926, 3) = -.7966379314770964, (927, 1) = 9.95285762765549, (927, 2) = 3.779323469113713, (927, 3) = -.7956484581366379, (928, 1) = 9.981823760553365, (928, 2) = 3.7732242011541395, (928, 3) = -.7946581261010582, (929, 1) = 10.010936468877729, (929, 2) = 3.7670917759804294, (929, 3) = -.7936669108777684, (930, 1) = 10.040197465859197, (930, 2) = 3.760925754276727, (930, 3) = -.792674787620193, (931, 1) = 10.069608496002179, (931, 2) = 3.754725688008792, (931, 3) = -.7916817311184817, (932, 1) = 10.09917133585905, (932, 2) = 3.7484911201910176, (932, 3) = -.7906877157904519, (933, 1) = 10.128887794832012, (933, 2) = 3.74222158464492, (933, 3) = -.7896927156721726, (934, 1) = 10.158759716002958, (934, 2) = 3.7359166057488578, (934, 3) = -.7886967044081531, (935, 1) = 10.18878897699216, (935, 2) = 3.729575698178729, (935, 3) = -.787699655241161, (936, 1) = 10.218977499337491, (936, 2) = 3.7231983648451776, (936, 3) = -.786701540721536, (937, 1) = 10.249327246509452, (937, 2) = 3.7167840972250312, (937, 3) = -.7857023327975633, (938, 1) = 10.279840206686597, (938, 2) = 3.710332378913779, (938, 3) = -.784702003402593, (939, 1) = 10.310518406223288, (939, 2) = 3.703842682691036, (939, 3) = -.7837005240278412, (940, 1) = 10.341363910792138, (940, 2) = 3.697314470184231, (940, 3) = -.782697865706109, (941, 1) = 10.372378826434929, (941, 2) = 3.690747191547686, (941, 3) = -.7816939989992683, (942, 1) = 10.403565300637212, (942, 2) = 3.6841402851326355, (942, 3) = -.7806888939857323, (943, 1) = 10.43492552344088, (943, 2) = 3.6774931771449197, (943, 3) = -.7796825202474622, (944, 1) = 10.466461728588389, (944, 2) = 3.6708052812915, (944, 3) = -.7786748468567414, (945, 1) = 10.498176195025174, (945, 2) = 3.66407599834628, (945, 3) = -.7776658423523855, (946, 1) = 10.530071264385507, (946, 2) = 3.6573047123166056, (946, 3) = -.7766554742118172, (947, 1) = 10.562149319927281, (947, 2) = 3.6504907947841714, (947, 3) = -.7756437095506622, (948, 1) = 10.594412784399823, (948, 2) = 3.643633605231083, (948, 3) = -.7746305152115801, (949, 1) = 10.626864130761268, (949, 2) = 3.6367324886296455, (949, 3) = -.7736158574503107, (950, 1) = 10.659505883582094, (950, 2) = 3.62978677500189, (950, 3) = -.7725997019196928, (951, 1) = 10.692340620519586, (951, 2) = 3.6227957789577365, (951, 3) = -.7715820136524716, (952, 1) = 10.725370973842445, (952, 2) = 3.6157587992158855, (952, 3) = -.7705627570436027, (953, 1) = 10.75859963201613, (953, 2) = 3.6086751181048506, (953, 3) = -.7695418958317819, (954, 1) = 10.792029341318838, (954, 2) = 3.601544001050187, (954, 3) = -.7685193930811595, (955, 1) = 10.825662910437677, (955, 2) = 3.5943646954177133, (955, 3) = -.7674952110736497, (956, 1) = 10.859503231494301, (956, 2) = 3.5871364258357032, (956, 3) = -.7664693107078298, (957, 1) = 10.893553242495875, (957, 2) = 3.5798584020157915, (957, 3) = -.7654416526785766, (958, 1) = 10.927815941207285, (958, 2) = 3.5725298155968956, (958, 3) = -.7644121970845492, (959, 1) = 10.962294392543916, (959, 2) = 3.5651498383569136, (959, 3) = -.7633809032401232, (960, 1) = 10.996991730623373, (960, 2) = 3.5577176215541018, (960, 3) = -.7623477296517932, (961, 1) = 11.031911160894461, (961, 2) = 3.550232295241451, (961, 3) = -.7613126339937705, (962, 1) = 11.06705596235461, (962, 2) = 3.542692967551032, (962, 3) = -.7602755730824827, (963, 1) = 11.102429489874767, (963, 2) = 3.5350987239436207, (963, 3) = -.7592365028495268, (964, 1) = 11.138035176552307, (964, 2) = 3.527448626439968, (964, 3) = -.7581953783154726, (965, 1) = 11.173876546010291, (965, 2) = 3.519741710699545, (965, 3) = -.7571521532765059, (966, 1) = 11.209957226424672, (966, 2) = 3.511976982703008, (966, 3) = -.7561067799507761, (967, 1) = 11.246280906339688, (967, 2) = 3.5041534279504205, (967, 3) = -.7550592103106775, (968, 1) = 11.282851361421207, (968, 2) = 3.4962700053964824, (968, 3) = -.7540093953479066, (969, 1) = 11.319672459358278, (969, 2) = 3.488325646060507, (969, 3) = -.7529572849826484, (970, 1) = 11.356748162953192, (970, 2) = 3.480319252008333, (970, 3) = -.7519028280278632, (971, 1) = 11.394082533303644, (971, 2) = 3.4722496952960626, (971, 3) = -.7508459721532149, (972, 1) = 11.431679733127233, (972, 2) = 3.4641158168636377, (972, 3) = -.7497866638473107, (973, 1) = 11.469544030280222, (973, 2) = 3.455916425365824, (973, 3) = -.7487248483769302, (974, 1) = 11.507679801315554, (974, 2) = 3.447650295972863, (974, 3) = -.7476604697477275, (975, 1) = 11.54609155967095, (975, 2) = 3.4393161638014718, (975, 3) = -.7465934699849848, (976, 1) = 11.584783942650922, (976, 2) = 3.430912726243072, (976, 3) = -.7455237895729435, (977, 1) = 11.623761681265872, (977, 2) = 3.4224386490159646, (977, 3) = -.7444513683540807, (978, 1) = 11.663029631805014, (978, 2) = 3.413892558793868, (978, 3) = -.7433761447179665, (979, 1) = 11.702592780368946, (979, 2) = 3.4052730416629333, (979, 3) = -.742298055549961, (980, 1) = 11.742456247674063, (980, 2) = 3.3965786414879373, (980, 3) = -.7412170361759102, (981, 1) = 11.782625294007097, (981, 2) = 3.3878078582120703, (981, 3) = -.7401330203063489, (982, 1) = 11.823105324403153, (982, 2) = 3.378959146072118, (982, 3) = -.7390459399784055, (983, 1) = 11.863901894165162, (983, 2) = 3.3700309117007734, (983, 3) = -.737955725492434, (984, 1) = 11.905020716220815, (984, 2) = 3.3610215117853217, (984, 3) = -.7368623053040342, (985, 1) = 11.946467711387152, (985, 2) = 3.3519292412617836, (985, 3) = -.7357656047890863, (986, 1) = 11.988248947576455, (986, 2) = 3.3427523457981128, (986, 3) = -.7346655479649394, (987, 1) = 12.030370648053397, (987, 2) = 3.3334890191407585, (987, 3) = -.7335620573589823, (988, 1) = 12.072839218499025, (988, 2) = 3.324137396263096, (988, 3) = -.7324550533945144, (989, 1) = 12.115661254198669, (989, 2) = 3.3146955508088034, (989, 3) = -.7313444543118856, (990, 1) = 12.15884354781797, (990, 2) = 3.305161492344388, (990, 3) = -.7302301760799329, (991, 1) = 12.202393097485844, (991, 2) = 3.2955331634780425, (991, 3) = -.7291121323054557, (992, 1) = 12.246317115257082, (992, 2) = 3.285808436824046, (992, 3) = -.7279902341391515, (993, 1) = 12.290623036142623, (993, 2) = 3.2759851117656837, (993, 3) = -.7268643901736278, (994, 1) = 12.335318538825527, (994, 2) = 3.2660609085401235, (994, 3) = -.7257345060536596, (995, 1) = 12.380411606374055, (995, 2) = 3.2560334533121416, (995, 3) = -.7246004830993068, (996, 1) = 12.425910423157838, (996, 2) = 3.245900299555387, (996, 3) = -.7234622210636649, (997, 1) = 12.471823426632497, (997, 2) = 3.235658914992138, (997, 3) = -.7223196169654039, (998, 1) = 12.518159331028379, (998, 2) = 3.225306674623828, (998, 3) = -.7211725646555778, (999, 1) = 12.564927139583311, (999, 2) = 3.2148408561839226, (999, 3) = -.7200209546842852, (1000, 1) = 12.612136157796119, (1000, 2) = 3.2042586352341287, (1000, 3) = -.7188646741519209, (1001, 1) = 12.659796007361843, (1001, 2) = 3.1935570799686492, (1001, 3) = -.7177036065542065, (1002, 1) = 12.707916640870154, (1002, 2) = 3.1827331456965684, (1002, 3) = -.7165376316197157, (1003, 1) = 12.756508357371537, (1003, 2) = 3.1717836689660137, (1003, 3) = -.7153666251380885, (1004, 1) = 12.805581857225954, (1004, 2) = 3.16070535263585, (1004, 3) = -.7141904578616121, (1005, 1) = 12.855148281179545, (1005, 2) = 3.149494754227805, (1005, 3) = -.7130089948250421, (1006, 1) = 12.905219091905476, (1006, 2) = 3.1381483097407883, (1006, 3) = -.7118220984203636, (1007, 1) = 12.955806169017647, (1007, 2) = 3.1266623090814156, (1007, 3) = -.7106296263600643, (1008, 1) = 13.00692183449771, (1008, 2) = 3.115032886899379, (1008, 3) = -.7094314313422542, (1009, 1) = 13.058578875051671, (1009, 2) = 3.1032560138419183, (1009, 3) = -.7082273608075482, (1010, 1) = 13.110790566279318, (1010, 2) = 3.091327487099076, (1010, 3) = -.7070172566720992, (1011, 1) = 13.16357069838418, (1011, 2) = 3.0792429202726743, (1011, 3) = -.70580095504485, (1012, 1) = 13.216933603701557, (1012, 2) = 3.0669977324738897, (1012, 3) = -.704578285924166, (1013, 1) = 13.270894185586792, (1013, 2) = 3.054587136719516, (1013, 3) = -.7033490728860979, (1014, 1) = 13.325468053631417, (1014, 2) = 3.0420061033626933, (1014, 3) = -.7021131303954071, (1015, 1) = 13.380671461250582, (1015, 2) = 3.029249368430372, (1015, 3) = -.7008702656616782, (1016, 1) = 13.436521252467124, (1016, 2) = 3.0163114396197144, (1016, 3) = -.6996202802416656, (1017, 1) = 13.49303498497422, (1017, 2) = 3.003186561049119, (1017, 3) = -.6983629676901879, (1018, 1) = 13.550230972500426, (1018, 2) = 2.989868695905927, (1018, 3) = -.6970981130899891, (1019, 1) = 13.608128329447574, (1019, 2) = 2.9763515078634617, (1019, 3) = -.6958254925674257, (1020, 1) = 13.666747019344474, (1020, 2) = 2.962628340832095, (1020, 3) = -.6945448727627999, (1021, 1) = 13.726101252373374, (1021, 2) = 2.948693761526925, (1021, 3) = -.6932561543027344, (1022, 1) = 13.785976643995403, (1022, 2) = 2.9345961171093253, (1022, 3) = -.6919641614144931, (1023, 1) = 13.84585789463937, (1023, 2) = 2.9204554415770803, (1023, 3) = -.6906800348793191, (1024, 1) = 13.905450171425395, (1024, 2) = 2.9063408882656208, (1024, 3) = -.6894099577071953, (1025, 1) = 13.96475400574777, (1025, 2) = 2.8922521719143797, (1025, 3) = -.6881537240279098, (1026, 1) = 14.023769923208677, (1026, 2) = 2.8781890114280695, (1026, 3) = -.6869111324199191, (1027, 1) = 14.08249844370243, (1027, 2) = 2.864151129786936, (1027, 3) = -.6856819857889158, (1028, 1) = 14.140940081497972, (1028, 2) = 2.8501382539594537, (1028, 3) = -.6844660912504317, (1029, 1) = 14.199095345319558, (1029, 2) = 2.8361501148173796, (1029, 3) = -.6832632600163451, (1030, 1) = 14.256964738425744, (1030, 2) = 2.8221864470530984, (1030, 3) = -.6820733072851219, (1031, 1) = 14.31454875868673, (1031, 2) = 2.8082469890991635, (1031, 3) = -.6808960521356459, (1032, 1) = 14.371847898660063, (1032, 2) = 2.7943314830499935, (1032, 3) = -.6797313174245226, (1033, 1) = 14.428862645664692, (1033, 2) = 2.780439674585604, (1033, 3) = -.6785789296866873, (1034, 1) = 14.485593481853654, (1034, 2) = 2.7665713128973706, (1034, 3) = -.6774387190392258, (1035, 1) = 14.542040884285045, (1035, 2) = 2.7527261506157163, (1035, 3) = -.6763105190882629, (1036, 1) = 14.598205324991726, (1036, 2) = 2.738903943739664, (1036, 3) = -.6751941668388168, (1037, 1) = 14.654087271049475, (1037, 2) = 2.7251044515682126, (1037, 3) = -.674089502607508, (1038, 1) = 14.709687184643816, (1038, 2) = 2.711327436633475, (1038, 3) = -.6729963699379985, (1039, 1) = 14.76500552313546, (1039, 2) = 2.6975726646355054, (1039, 3) = -.6719146155190918, (1040, 1) = 14.820042739124492, (1040, 2) = 2.6838399043787895, (1040, 3) = -.6708440891053701, (1041, 1) = 14.874799280513196, (1041, 2) = 2.6701289277103157, (1041, 3) = -.6697846434402797, (1042, 1) = 14.929275590567698, (1042, 2) = 2.656439509459221, (1042, 3) = -.6687361341815952, (1043, 1) = 14.98347210797834, (1043, 2) = 2.6427714273779017, (1043, 3) = -.6676984198291477, (1044, 1) = 15.03738926691888, (1044, 2) = 2.6291244620846217, (1044, 3) = -.6666713616547588, (1045, 1) = 15.09102749710456, (1045, 2) = 2.6154983970075003, (1045, 3) = -.6656548236342896, (1046, 1) = 15.14438722384899, (1046, 2) = 2.6018930183298785, (1046, 3) = -.6646486723817344, (1047, 1) = 15.197468868120012, (1047, 2) = 2.5883081149370155, (1047, 3) = -.6636527770852816, (1048, 1) = 15.250272846594347, (1048, 2) = 2.5747434783640815, (1048, 3) = -.662667009445288, (1049, 1) = 15.302799571711361, (1049, 2) = 2.5611989027453714, (1049, 3) = -.6616912436140676, (1050, 1) = 15.35504945172566, (1050, 2) = 2.547674184764775, (1050, 3) = -.6607253561374784, (1051, 1) = 15.407022890758777, (1051, 2) = 2.5341691236073847, (1051, 3) = -.6597692258981954, (1052, 1) = 15.45872028884984, (1052, 2) = 2.520683520912267, (1052, 3) = -.6588227340606521, (1053, 1) = 15.510142042005292, (1053, 2) = 2.5072171807263413, (1053, 3) = -.6578857640175657, (1054, 1) = 15.561288542247672, (1054, 2) = 2.4937699094593313, (1054, 3) = -.6569582013380137, (1055, 1) = 15.612160177663512, (1055, 2) = 2.480341515839774, (1055, 3) = -.6560399337169933, (1056, 1) = 15.662757332450301, (1056, 2) = 2.466931810872032, (1056, 3) = -.6551308509264155, (1057, 1) = 15.713080386962645, (1057, 2) = 2.453540607794301, (1057, 3) = -.6542308447675003, (1058, 1) = 15.763129717757478, (1058, 2) = 2.440167722037579, (1058, 3) = -.6533398090245097, (1059, 1) = 15.812905697638564, (1059, 2) = 2.4268129711855653, (1059, 3) = -.6524576394197766, (1060, 1) = 15.8624086957001, (1060, 2) = 2.4134761749354645, (1060, 3) = -.6515842335700027, (1061, 1) = 15.911639077369532, (1061, 2) = 2.4001571550596847, (1061, 3) = -.650719490943756, (1062, 1) = 15.960597204449664, (1062, 2) = 2.3868557353683637, (1062, 3) = -.6498633128201632, (1063, 1) = 16.00928343515992, (1063, 2) = 2.3735717416727655, (1063, 3) = -.64901560224872, (1064, 1) = 16.05769812417696, (1064, 2) = 2.3603050017494644, (1064, 3) = -.6481762640102218, (1065, 1) = 16.105841622674426, (1065, 2) = 2.3470553453053187, (1065, 3) = -.6473452045787427, (1066, 1) = 16.153714278362205, (1066, 2) = 2.3338226039432213, (1066, 3) = -.6465223320846605, (1067, 1) = 16.20131643552476, (1067, 2) = 2.320606611128583, (1067, 3) = -.6457075562786679, (1068, 1) = 16.248648435058925, (1068, 2) = 2.307407202156556, (1068, 3) = -.6449007884967682, (1069, 1) = 16.295710614511023, (1069, 2) = 2.294224214119955, (1069, 3) = -.6441019416261848, (1070, 1) = 16.34250330811329, (1070, 2) = 2.281057485877868, (1070, 3) = -.6433109300722026, (1071, 1) = 16.389026846819704, (1071, 2) = 2.267906858024934, (1071, 3) = -.6425276697258648, (1072, 1) = 16.435281558341128, (1072, 2) = 2.254772172861284, (1072, 3) = -.6417520779325442, (1073, 1) = 16.481267767179993, (1073, 2) = 2.241653274363096, (1073, 3) = -.6409840734613235, (1074, 1) = 16.526985794664164, (1074, 2) = 2.2285500081537912, (1074, 3) = -.6402235764751839, (1075, 1) = 16.57243595898046, (1075, 2) = 2.2154622214758093, (1075, 3) = -.639470508501964, (1076, 1) = 16.617618575207416, (1076, 2) = 2.2023897631629947, (1076, 3) = -.6387247924060816, (1077, 1) = 16.662533955347516, (1077, 2) = 2.1893324836135304, (1077, 3) = -.6379863523609682, (1078, 1) = 16.707182408359042, (1078, 2) = 2.1762902347634387, (1078, 3) = -.6372551138222293, (1079, 1) = 16.751564240187196, (1079, 2) = 2.163262870060627, (1079, 3) = -.6365310035014743, (1080, 1) = 16.795679753794737, (1080, 2) = 2.150250244439461, (1080, 3) = -.6358139493408247, (1081, 1) = 16.83952924919213, (1081, 2) = 2.137252214295845, (1081, 3) = -.6351038804880602, (1082, 1) = 16.883113023467278, (1082, 2) = 2.1242686374628126, (1082, 3) = -.634400727272399, (1083, 1) = 16.926431370814587, (1083, 2) = 2.111299373186601, (1083, 3) = -.6337044211808766, (1084, 1) = 16.969484582563656, (1084, 2) = 2.098344282103207, (1084, 3) = -.633014894835323, (1085, 1) = 17.01227294720748, (1085, 2) = 2.0854032262154094, (1085, 3) = -.6323320819699131, (1086, 1) = 17.054796750430143, (1086, 2) = 2.072476068870228, (1086, 3) = -.6316559174092681, (1087, 1) = 17.097056275134147, (1087, 2) = 2.0595626747368563, (1087, 3) = -.6309863370471035, (1088, 1) = 17.13905180146713, (1088, 2) = 2.0466629097849913, (1088, 3) = -.6303232778253981, (1089, 1) = 17.180783606848408, (1089, 2) = 2.033776641263616, (1089, 3) = -.6296666777140775, (1090, 1) = 17.22225196599476, (1090, 2) = 2.0209037376801597, (1090, 3) = -.6290164756911841, (1091, 1) = 17.263457150946095, (1091, 2) = 2.008044068780092, (1091, 3) = -.6283726117235416, (1092, 1) = 17.304399431090452, (1092, 2) = 1.99519750552688, (1092, 3) = -.6277350267478775, (1093, 1) = 17.34507907318881, (1093, 2) = 1.9823639200823444, (1093, 3) = -.6271036626524027, (1094, 1) = 17.385496341399374, (1094, 2) = 1.9695431857873797, (1094, 3) = -.6264784622588317, (1095, 1) = 17.425651497301455, (1095, 2) = 1.956735177143042, (1095, 3) = -.6258593693048417, (1096, 1) = 17.46554479991906, (1096, 2) = 1.9439397697919847, (1096, 3) = -.6252463284269335, (1097, 1) = 17.505176505744043, (1097, 2) = 1.9311568405002533, (1097, 3) = -.6246392851437106, (1098, 1) = 17.544529703843036, (1098, 2) = 1.918391850764444, (1098, 3) = -.624038447490266, (1099, 1) = 17.583347397663008, (1099, 2) = 1.9057289342999195, (1099, 3) = -.6234476691293935, (1100, 1) = 17.621345672781565, (1100, 2) = 1.893263007717996, (1100, 3) = -.6228711636788272, (1101, 1) = 17.658453602428267, (1101, 2) = 1.8810206634522373, (1101, 3) = -.6223098779953391, (1102, 1) = 17.694705355554728, (1102, 2) = 1.868994092311803, (1102, 3) = -.6217631674861644, (1103, 1) = 17.73013319592377, (1103, 2) = 1.8571759064419133, (1103, 3) = -.621230426203382, (1104, 1) = 17.764767643803065, (1104, 2) = 1.845559101556719, (1104, 3) = -.6207110835219171, (1105, 1) = 17.798637636300178, (1105, 2) = 1.8341370178361938, (1105, 3) = -.6202046009370928, (1106, 1) = 17.831770632532077, (1106, 2) = 1.8229033178096845, (1106, 3) = -.6197104697745819, (1107, 1) = 17.864192710094525, (1107, 2) = 1.8118519660566088, (1107, 3) = -.6192282091002057, (1108, 1) = 17.895928654058586, (1108, 2) = 1.8009772104189707, (1108, 3) = -.618757363803581, (1109, 1) = 17.92700203916768, (1109, 2) = 1.7902735645925736, (1109, 3) = -.6182975028388497, (1110, 1) = 17.95743530519867, (1110, 2) = 1.7797357921999775, (1110, 3) = -.617848217617023, (1111, 1) = 17.987249839292407, (1111, 2) = 1.7693588876177238, (1111, 3) = -.6174091203413785, (1112, 1) = 18.016466078849795, (1112, 2) = 1.7591380487060644, (1112, 3) = -.6169798420846798, (1113, 1) = 18.045103457558405, (1113, 2) = 1.7490687037366666, (1113, 3) = -.6165600332079432, (1114, 1) = 18.073180515028074, (1114, 2) = 1.7391464809336488, (1114, 3) = -.6161493613995339, (1115, 1) = 18.100714959237248, (1115, 2) = 1.7293671936478774, (1115, 3) = -.6157475104435222, (1116, 1) = 18.12772371446745, (1116, 2) = 1.7197268300626627, (1116, 3) = -.6153541792287269, (1117, 1) = 18.154222965667294, (1117, 2) = 1.7102215436783146, (1117, 3) = -.6149690808344402, (1118, 1) = 18.18022819983137, (1118, 2) = 1.7008476444099205, (1118, 3) = -.6145919416819586, (1119, 1) = 18.205754244682808, (1119, 2) = 1.6916015902315449, (1119, 3) = -.6142225007455989, (1120, 1) = 18.23081530451316, (1120, 2) = 1.6824799794547278, (1120, 3) = -.6138605088234644, (1121, 1) = 18.255425011253667, (1121, 2) = 1.673479537051113, (1121, 3) = -.6135057276058336, (1122, 1) = 18.27959645532335, (1122, 2) = 1.6645971078937816, (1122, 3) = -.6131579290526971, (1123, 1) = 18.303342158494207, (1123, 2) = 1.6558296711407474, (1123, 3) = -.6128168956172292, (1124, 1) = 18.32667414045818, (1124, 2) = 1.6471743200660955, (1124, 3) = -.6124824191312714, (1125, 1) = 18.34960394578987, (1125, 2) = 1.638628255995633, (1125, 3) = -.6121543002752555, (1126, 1) = 18.37214266811275, (1126, 2) = 1.6301887830167754, (1126, 3) = -.6118323480991774, (1127, 1) = 18.394300972659526, (1127, 2) = 1.621853303048242, (1127, 3) = -.6115163795764564, (1128, 1) = 18.416089117471294, (1128, 2) = 1.6136193111967145, (1128, 3) = -.611206219186382, (1129, 1) = 18.4375169733852, (1129, 2) = 1.6054843913604078, (1129, 3) = -.6109016985222121, (1130, 1) = 18.458594042798815, (1130, 2) = 1.59744621209884, (1130, 3) = -.6106026559244376, (1131, 1) = 18.47932949784184, (1131, 2) = 1.5895025148625919, (1131, 3) = -.6103089358465364, (1132, 1) = 18.49973216984938, (1132, 2) = 1.581651120616376, (1132, 3) = -.6100203889183039, (1133, 1) = 18.519810553505437, (1133, 2) = 1.5738899308939602, (1133, 3) = -.609736871804611, (1134, 1) = 18.53957284016878, (1134, 2) = 1.5662169174600893, (1134, 3) = -.6094582466572802, (1135, 1) = 18.55902693169401, (1135, 2) = 1.5586301192575107, (1135, 3) = -.6091843808490114, (1136, 1) = 18.578180453596826, (1136, 2) = 1.551127639474644, (1136, 3) = -.6089151467213715, (1137, 1) = 18.59704076744691, (1137, 2) = 1.5437076427878715, (1137, 3) = -.6086504213480931, (1138, 1) = 18.615614982581594, (1138, 2) = 1.53636835275081, (1138, 3) = -.6083900863120658, (1139, 1) = 18.63390996720531, (1139, 2) = 1.5291080493129146, (1139, 3) = -.6081340274947644, (1140, 1) = 18.651932360263725, (1140, 2) = 1.5219250659198866, (1140, 3) = -.6078821348584604, (1141, 1) = 18.669688597202217, (1141, 2) = 1.5148177809281833, (1141, 3) = -.6076343020382592, (1142, 1) = 18.687184887410336, (1142, 2) = 1.5077846282229574, (1142, 3) = -.6073904266119984, (1143, 1) = 18.704427231588365, (1143, 2) = 1.500824091922289, (1143, 3) = -.6071504098140698, (1144, 1) = 18.7214214368135, (1144, 2) = 1.493934701842678, (1144, 3) = -.6069141562848885, (1145, 1) = 18.73817312452262, (1145, 2) = 1.4871150317046835, (1145, 3) = -.606681573921879, (1146, 1) = 18.754687738141563, (1146, 2) = 1.48036369740643, (1146, 3) = -.6064525737377021, (1147, 1) = 18.770970550320005, (1147, 2) = 1.473679355385865, (1147, 3) = -.606227069726122, (1148, 1) = 18.787026669808444, (1148, 2) = 1.4670607010613803, (1148, 3) = -.6060049787348617, (1149, 1) = 18.80286104798729, (1149, 2) = 1.4605064673508363, (1149, 3) = -.605786220345176, (1150, 1) = 18.818478488437957, (1150, 2) = 1.454015421861142, (1150, 3) = -.6055707167112505, (1151, 1) = 18.833883659767892, (1151, 2) = 1.4475863626235927, (1151, 3) = -.605358392356772, (1152, 1) = 18.849081077363635, (1152, 2) = 1.441218126748924, (1152, 3) = -.6051491744012322, (1153, 1) = 18.864075120820736, (1153, 2) = 1.4349095842318884, (1153, 3) = -.6049429922950975, (1154, 1) = 18.878870040800493, (1154, 2) = 1.4286596360571069, (1154, 3) = -.6047397777026693, (1155, 1) = 18.893469963890198, (1155, 2) = 1.4224672130872882, (1155, 3) = -.6045394644137766, (1156, 1) = 18.907878897253795, (1156, 2) = 1.4163312749949548, (1156, 3) = -.6043419882595464, (1157, 1) = 18.922100733068046, (1157, 2) = 1.4102508092421444, (1157, 3) = -.6041472870322463, (1158, 1) = 18.93613925276459, (1158, 2) = 1.4042248301019635, (1158, 3) = -.6039553004088536, (1159, 1) = 18.949998131059264, (1159, 2) = 1.3982523777320124, (1159, 3) = -.6037659698785246, (1160, 1) = 18.963680945033403, (1160, 2) = 1.392332515020097, (1160, 3) = -.6035792386021103, (1161, 1) = 18.97719117556441, (1161, 2) = 1.3864643276700568, (1161, 3) = -.6033950513772408, (1162, 1) = 18.99053219872998, (1162, 2) = 1.380646928656804, (1162, 3) = -.6032133547405341, (1163, 1) = 19.00370729830649, (1163, 2) = 1.3748794535201176, (1163, 3) = -.6030340967827381, (1164, 1) = 19.016719669161215, (1164, 2) = 1.3691610595434804, (1164, 3) = -.6028572270891024, (1165, 1) = 19.029572420341097, (1165, 2) = 1.3634909250352427, (1165, 3) = -.6026826966845622, (1166, 1) = 19.042268578031074, (1166, 2) = 1.3578682486391176, (1166, 3) = -.6025104579813726, (1167, 1) = 19.05481108838704, (1167, 2) = 1.352292248673003, (1167, 3) = -.6023404647290567, (1168, 1) = 19.067202820260686, (1168, 2) = 1.3467621624900161, (1168, 3) = -.602172671966411, (1169, 1) = 19.079446567873315, (1169, 2) = 1.3412772458371662, (1169, 3) = -.6020070359747569, (1170, 1) = 19.09154505965796, (1170, 2) = 1.33583676941031, (1170, 3) = -.6018435141484021, (1171, 1) = 19.1035009511782, (1171, 2) = 1.3304400225223432, (1171, 3) = -.6016820650809729, (1172, 1) = 19.115316826203294, (1172, 2) = 1.3250863131437318, (1172, 3) = -.6015226485415538, (1173, 1) = 19.12699520325446, (1173, 2) = 1.3197749654415907, (1173, 3) = -.6013652253774551, (1174, 1) = 19.138538537718933, (1174, 2) = 1.3145053192811733, (1174, 3) = -.601209757477403, (1175, 1) = 19.149949223883933, (1175, 2) = 1.3092767297448216, (1175, 3) = -.6010562077361947, (1176, 1) = 19.161229596887427, (1176, 2) = 1.304088566670594, (1176, 3) = -.6009045400208672, (1177, 1) = 19.172381934590984, (1177, 2) = 1.2989402142091564, (1177, 3) = -.6007547191382548, (1178, 1) = 19.183408459389955, (1178, 2) = 1.2938310703926597, (1178, 3) = -.6006067108037483, (1179, 1) = 19.19431134058648, (1179, 2) = 1.2887605464248577, (1179, 3) = -.6004604816028184, (1180, 1) = 19.205092700773772, (1180, 2) = 1.2837280640731117, (1180, 3) = -.6003159988991628, (1181, 1) = 19.21575460702978, (1181, 2) = 1.2787330601263542, (1181, 3) = -.6001732309467734, (1182, 1) = 19.226299075959275, (1182, 2) = 1.2737749844221469, (1182, 3) = -.6000321468163979, (1183, 1) = 19.236728076776135, (1183, 2) = 1.2688532987502195, (1183, 3) = -.5998927163486824, (1184, 1) = 19.24704353272916, (1184, 2) = 1.2639674765122366, (1184, 3) = -.5997549101297879, (1185, 1) = 19.257247322481412, (1185, 2) = 1.259117002390722, (1185, 3) = -.5996186994678689, (1186, 1) = 19.267341281436916, (1186, 2) = 1.254301372030724, (1186, 3) = -.5994840563704793, (1187, 1) = 19.27732720301633, (1187, 2) = 1.249520091733908, (1187, 3) = -.5993509535228686, (1188, 1) = 19.287206839894086, (1188, 2) = 1.244772678159806, (1188, 3) = -.5992193642670128, (1189, 1) = 19.29698190661853, (1189, 2) = 1.2400586573476549, (1189, 3) = -.5990892625624219, (1190, 1) = 19.30665408241294, (1190, 2) = 1.2353775636250808, (1190, 3) = -.5989606229448263, (1191, 1) = 19.316225004586943, (1191, 2) = 1.230728943057973, (1191, 3) = -.5988334206098752, (1192, 1) = 19.325696273850188, (1192, 2) = 1.2261123511582808, (1192, 3) = -.5987076313385485, (1193, 1) = 19.335069455729258, (1193, 2) = 1.2215273524478487, (1193, 3) = -.5985832314746752, (1194, 1) = 19.34434608155663, (1194, 2) = 1.2169735202193737, (1194, 3) = -.5984601979083045, (1195, 1) = 19.353527649430493, (1195, 2) = 1.2124504363029476, (1195, 3) = -.5983385080595998, (1196, 1) = 19.362615625140823, (1196, 2) = 1.207957690840683, (1196, 3) = -.5982181398633349, (1197, 1) = 19.371611443061703, (1197, 2) = 1.2034948820698508, (1197, 3) = -.5980990717539575, (1198, 1) = 19.38051650701722, (1198, 2) = 1.199061616111207, (1198, 3) = -.5979812826511423, (1199, 1) = 19.389332193365245, (1199, 2) = 1.194657505639672, (1199, 3) = -.5978647519161462, (1200, 1) = 19.39805985000633, (1200, 2) = 1.190282170570412, (1200, 3) = -.5977494593622229, (1201, 1) = 19.406700793680812, (1201, 2) = 1.1859352396191056, (1201, 3) = -.5976353852876322, (1202, 1) = 19.415256313761027, (1202, 2) = 1.1816163486072815, (1202, 3) = -.5975225104229283, (1203, 1) = 19.42372767299657, (1203, 2) = 1.1773251402753457, (1203, 3) = -.5974108159186575, (1204, 1) = 19.432116108217322, (1204, 2) = 1.173061264110328, (1204, 3) = -.5973002833337205, (1205, 1) = 19.44042283101663, (1205, 2) = 1.1688243761776524, (1205, 3) = -.5971908946240811, (1206, 1) = 19.448649028412458, (1206, 2) = 1.1646141389580993, (1206, 3) = -.5970826321318601, (1207, 1) = 19.45679586348624, (1207, 2) = 1.160430221190291, (1207, 3) = -.5969754785748044, (1208, 1) = 19.464864476087516, (1208, 2) = 1.1562722976736757, (1208, 3) = -.5968694170349785, (1209, 1) = 19.472855986004205, (1209, 2) = 1.152140047787942, (1209, 3) = -.5967644309151516, (1210, 1) = 19.48077148925896, (1210, 2) = 1.1480331575524796, (1210, 3) = -.5966605039856082, (1211, 1) = 19.48861205892965, (1211, 2) = 1.1439513193667301, (1211, 3) = -.5965576203714797, (1212, 1) = 19.496378747078694, (1212, 2) = 1.1398942311626183, (1212, 3) = -.5964557645256289, (1213, 1) = 19.504072585283193, (1213, 2) = 1.135861596272183, (1213, 3) = -.5963549212199905, (1214, 1) = 19.51169458514558, (1214, 2) = 1.1318531233007463, (1214, 3) = -.5962550755372367, (1215, 1) = 19.519245738789728, (1215, 2) = 1.1278685260032464, (1215, 3) = -.59615621286269, (1216, 1) = 19.526727019342175, (1216, 2) = 1.1239075231641298, (1216, 3) = -.5960583188764927, (1217, 1) = 19.534139381399186, (1217, 2) = 1.1199698384805228, (1217, 3) = -.5959613795460151, (1218, 1) = 19.54148376185851, (1218, 2) = 1.1160552002465338, (1218, 3) = -.5958653811135598, (1219, 1) = 19.548761082100835, (1219, 2) = 1.112163340306531, (1219, 3) = -.595770310066491, (1220, 1) = 19.555972244074006, (1220, 2) = 1.108293996262963, (1220, 3) = -.5956761531870935, (1221, 1) = 19.563118132445606, (1221, 2) = 1.104446910454498, (1221, 3) = -.5955828975231164, (1222, 1) = 19.5701996154949, (1222, 2) = 1.1006218295939585, (1222, 3) = -.5954905303748789, (1223, 1) = 19.577217545503157, (1223, 2) = 1.096818504669811, (1223, 3) = -.5953990392889753, (1224, 1) = 19.58417275913136, (1224, 2) = 1.0930366908510738, (1224, 3) = -.5953084120521923, (1225, 1) = 19.591066077787342, (1225, 2) = 1.0892761473946977, (1225, 3) = -.5952186366855974, (1226, 1) = 19.59789830798192, (1226, 2) = 1.0855366375556788, (1226, 3) = -.5951297014388188, (1227, 1) = 19.604670241676526, (1227, 2) = 1.0818179284988514, (1227, 3) = -.5950415947844659, (1228, 1) = 19.611382657389285, (1228, 2) = 1.0781197907889466, (1228, 3) = -.5949543054027301, (1229, 1) = 19.61803632084763, (1229, 2) = 1.0744419981204734, (1229, 3) = -.5948678221719418, (1230, 1) = 19.624631982277492, (1230, 2) = 1.0707843289094507, (1230, 3) = -.594782134202859, (1231, 1) = 19.63117037855681, (1231, 2) = 1.0671465652044176, (1231, 3) = -.5946972308097213, (1232, 1) = 19.63765223361187, (1232, 2) = 1.0635284925571629, (1232, 3) = -.5946131015042146, (1233, 1) = 19.644078258709353, (1233, 2) = 1.0599298999483098, (1233, 3) = -.5945297359908104, (1234, 1) = 19.650449152740112, (1234, 2) = 1.0563505797149122, (1234, 3) = -.5944471241622538, (1235, 1) = 19.656765602495376, (1235, 2) = 1.0527903274799213, (1235, 3) = -.5943652560951673, (1236, 1) = 19.663028282934693, (1236, 2) = 1.049248942083882, (1236, 3) = -.5942841220457966, (1237, 1) = 19.66923785744845, (1237, 2) = 1.045726225517333, (1237, 3) = -.5942037124458471, (1238, 1) = 19.675394979296673, (1238, 2) = 1.0422219821804066, (1238, 3) = -.5941240178831266, (1239, 1) = 19.681500290537546, (1239, 2) = 1.0387360195627184, (1239, 3) = -.5940450291147231, (1240, 1) = 19.687554421221257, (1240, 2) = 1.0352681487834066, (1240, 3) = -.5939667370767263, (1241, 1) = 19.693557990811076, (1241, 2) = 1.03181818385866, (1241, 3) = -.5938891328651595, (1242, 1) = 19.699511608411306, (1242, 2) = 1.0283859416430907, (1242, 3) = -.5938122077323774, (1243, 1) = 19.705415872989096, (1243, 2) = 1.0249712417726562, (1243, 3) = -.5937359530835754, (1244, 1) = 19.711271373590606, (1244, 2) = 1.0215739066088318, (1244, 3) = -.593660360473378, (1245, 1) = 19.71707868955201, (1245, 2) = 1.0181937611840928, (1245, 3) = -.5935854216025295, (1246, 1) = 19.72283839070384, (1246, 2) = 1.0148306331492476, (1246, 3) = -.5935111283146747, (1247, 1) = 19.728551037648987, (1247, 2) = 1.0114843526758592, (1247, 3) = -.5934374725922179, (1248, 1) = 19.734217183158282, (1248, 2) = 1.008154751698321, (1248, 3) = -.5933644465377972, (1249, 1) = 19.739837370141807, (1249, 2) = 1.0048416651624563, (1249, 3) = -.5932920423999207, (1250, 1) = 19.745412132256142, (1250, 2) = 1.0015449307361226, (1250, 3) = -.5932202525646114, (1251, 1) = 19.750941994606595, (1251, 2) = .9982643884569867, (1251, 3) = -.5931490695458538, (1252, 1) = 19.756427473923175, (1252, 2) = .9949998806866295, (1252, 3) = -.5930784859828526, (1253, 1) = 19.76186907873135, (1253, 2) = .9917512520661281, (1253, 3) = -.5930084946373658, (1254, 1) = 19.76726730951903, (1254, 2) = .9885183494725024, (1254, 3) = -.5929390883911011, (1255, 1) = 19.772622658899508, (1255, 2) = .9853010219760494, (1255, 3) = -.5928702602431819, (1256, 1) = 19.777935611769742, (1256, 2) = .9820991207991473, (1256, 3) = -.5928020033076803, (1257, 1) = 19.783206645715822, (1257, 2) = .9789124991239461, (1257, 3) = -.5927343108080002, (1258, 1) = 19.788436231867646, (1258, 2) = .9757410116230176, (1258, 3) = -.5926671760654999, (1259, 1) = 19.793624832974075, (1259, 2) = .9725845156741689, (1259, 3) = -.5926005925238197, (1260, 1) = 19.798772904497568, (1260, 2) = .9694428707522033, (1260, 3) = -.5925345537344326, (1261, 1) = 19.803880894925094, (1261, 2) = .9663159382889517, (1261, 3) = -.5924690533522811, (1262, 1) = 19.80894924590537, (1262, 2) = .9632035816370259, (1262, 3) = -.5924040851336548, (1263, 1) = 19.813978392382165, (1263, 2) = .9601056660347675, (1263, 3) = -.5923396429341297, (1264, 1) = 19.818968762724687, (1264, 2) = .9570220585718978, (1264, 3) = -.5922757207065588, (1265, 1) = 19.823920778854983, (1265, 2) = .9539526281557708, (1265, 3) = -.5922123124991029, (1266, 1) = 19.828834856371987, (1266, 2) = .9508972454786961, (1266, 3) = -.5921494124533236, (1267, 1) = 19.833711405142807, (1267, 2) = .9478557826922435, (1267, 3) = -.5920870147962989, (1268, 1) = 19.838550829350226, (1268, 2) = .9448281134158305, (1268, 3) = -.5920251138397226, (1269, 1) = 19.843353526295257, (1269, 2) = .9418141135274875, (1269, 3) = -.5919637039949222, (1270, 1) = 19.848119887404398, (1270, 2) = .9388136605789199, (1270, 3) = -.5919027797596715, (1271, 1) = 19.85285029836281, (1271, 2) = .9358266337520086, (1271, 3) = -.5918423357162106, (1272, 1) = 19.857545139222356, (1272, 2) = .9328529138299407, (1272, 3) = -.5917823665295897, (1273, 1) = 19.862204784506854, (1273, 2) = .9298923831692298, (1273, 3) = -.5917228669460536, (1274, 1) = 19.86682960331502, (1274, 2) = .9269449256723139, (1274, 3) = -.5916638317914727, (1275, 1) = 19.871419959421033, (1275, 2) = .9240104267606407, (1275, 3) = -.5916052559697993, (1276, 1) = 19.875976211377804, (1276, 2) = .9210887733453194, (1276, 3) = -.5915471344615093, (1277, 1) = 19.88049871329482, (1277, 2) = .9181798533621388, (1277, 3) = -.5914894623134385, (1278, 1) = 19.884987814006056, (1278, 2) = .9152835563380114, (1278, 3) = -.5914322346491696, (1279, 1) = 19.889443856892846, (1279, 2) = .912399773543088, (1279, 3) = -.5913754466710575, (1280, 1) = 19.89386718048453, (1280, 2) = .9095283976395195, (1280, 3) = -.5913190936523403, (1281, 1) = 19.89825811854589, (1281, 2) = .9066693226581383, (1281, 3) = -.5912631709358135, (1282, 1) = 19.902617000163044, (1282, 2) = .9038224439752821, (1282, 3) = -.5912076739325212, (1283, 1) = 19.90694414982751, (1283, 2) = .9009876582902304, (1283, 3) = -.5911525981204834, (1284, 1) = 19.911239887518086, (1284, 2) = .8981648636031111, (1284, 3) = -.5910979390434506, (1285, 1) = 19.915504528781213, (1285, 2) = .8953539591932691, (1285, 3) = -.5910436923096866, (1286, 1) = 19.919738384876425, (1286, 2) = .8925548455537974, (1286, 3) = -.5909898535899301, (1287, 1) = 19.923941763459634, (1287, 2) = .8897674239672771, (1287, 3) = -.590936418608522, (1288, 1) = 19.928114967413066, (1288, 2) = .8869915973082401, (1288, 3) = -.5908833831581055, (1289, 1) = 19.932258295276593, (1289, 2) = .8842272697899564, (1289, 3) = -.5908307430939593, (1290, 1) = 19.93637204153594, (1290, 2) = .8814743468021662, (1290, 3) = -.5907784943301622, (1291, 1) = 19.940456496692935, (1291, 2) = .8787327348921077, (1291, 3) = -.5907266328385276, (1292, 1) = 19.94451194733452, (1292, 2) = .8760023417457574, (1292, 3) = -.5906751546475708, (1293, 1) = 19.94853867620021, (1293, 2) = .8732830761694881, (1293, 3) = -.5906240558414861, (1294, 1) = 19.952536962248267, (1294, 2) = .8705748480720642, (1294, 3) = -.5905733325591557, (1295, 1) = 19.956507080720122, (1295, 2) = .8678775684471258, (1295, 3) = -.5905229809931787, (1296, 1) = 19.96044930337993, (1296, 2) = .8651911492357387, (1296, 3) = -.5904729973866834, (1297, 1) = 19.964363898858444, (1297, 2) = .8625155031146637, (1297, 3) = -.5904233780288313, (1298, 1) = 19.96825113164459, (1298, 2) = .8598505442091299, (1298, 3) = -.5903741192674558, (1299, 1) = 19.97211126269543, (1299, 2) = .8571961877037549, (1299, 3) = -.59032521750119, (1300, 1) = 19.975944549556754, (1300, 2) = .8545523497842075, (1300, 3) = -.5902766691778022, (1301, 1) = 19.97975124641995, (1301, 2) = .8519189476216209, (1301, 3) = -.5902284707933447, (1302, 1) = 19.98353160417794, (1302, 2) = .8492958993572806, (1302, 3) = -.5901806188913145, (1303, 1) = 19.98728587047988, (1303, 2) = .8466831240876038, (1303, 3) = -.5901331100618401, (1304, 1) = 19.991014289784875, (1304, 2) = .8440805418493422, (1304, 3) = -.5900859409408761, (1305, 1) = 19.994717103414317, (1305, 2) = .8414880736052627, (1305, 3) = -.5900391082094216, (1306, 1) = 19.99839454991376, (1306, 2) = .8389056410116773, (1306, 3) = -.5899926085888292, (1307, 1) = 20.002046864916043, (1307, 2) = .8363331665334298, (1307, 3) = -.5899464388424248, (1308, 1) = 20.005674280605714, (1308, 2) = .8337705738428379, (1308, 3) = -.5899005957821679, (1309, 1) = 20.009277026226762, (1309, 2) = .8312177874852623, (1309, 3) = -.5898550762621159, (1310, 1) = 20.012855328134133, (1310, 2) = .8286747328631662, (1310, 3) = -.5898098771776725, (1311, 1) = 20.016409409840282, (1311, 2) = .8261413362232203, (1311, 3) = -.5897649954648904, (1312, 1) = 20.019939492060818, (1312, 2) = .8236175246436888, (1312, 3) = -.5897204280997987, (1313, 1) = 20.023445792759127, (1313, 2) = .821103226022046, (1313, 3) = -.589676172097735, (1314, 1) = 20.026928527190428, (1314, 2) = .8185983690627312, (1314, 3) = -.5896322245126968, (1315, 1) = 20.030387907954157, (1315, 2) = .8161028832583684, (1315, 3) = -.5895885824365826, (1316, 1) = 20.03382414544314, (1316, 2) = .8136166985830877, (1316, 3) = -.5895452429934379, (1317, 1) = 20.03723744725043, (1317, 2) = .8111397459376177, (1317, 3) = -.5895022033468447, (1318, 1) = 20.040628018192223, (1318, 2) = .8086719571531993, (1318, 3) = -.5894594606995444, (1319, 1) = 20.04399606058434, (1319, 2) = .8062132648100019, (1319, 3) = -.5894170122898638, (1320, 1) = 20.047341774281204, (1320, 2) = .803763602226281, (1320, 3) = -.5893748553911352, (1321, 1) = 20.050665356714077, (1321, 2) = .8013229034476501, (1321, 3) = -.5893329873111347, (1322, 1) = 20.053967002928648, (1322, 2) = .7988911032365966, (1322, 3) = -.5892914053915281, (1323, 1) = 20.057246905621803, (1323, 2) = .7964681370622089, (1323, 3) = -.5892501070073266, (1324, 1) = 20.06050525517787, (1324, 2) = .7940539410899786, (1324, 3) = -.5892090895663561, (1325, 1) = 20.063742239760554, (1325, 2) = .7916484521297883, (1325, 3) = -.58916835050802, (1326, 1) = 20.06695804566512, (1326, 2) = .7892516073886713, (1326, 3) = -.5891278872988005, (1327, 1) = 20.070152856617824, (1327, 2) = .7868633450070642, (1327, 3) = -.5890876974409966, (1328, 1) = 20.07332685407708, (1328, 2) = .7844836038524168, (1328, 3) = -.5890477784688666, (1329, 1) = 20.076480217360356, (1329, 2) = .7821123234401952, (1329, 3) = -.5890081279469592, (1330, 1) = 20.079613123676282, (1330, 2) = .779749443924857, (1330, 3) = -.5889687434696426, (1331, 1) = 20.082725748156452, (1331, 2) = .7773949060908873, (1331, 3) = -.5889296226606354, (1332, 1) = 20.08581826388644, (1332, 2) = .7750486513440191, (1332, 3) = -.5888907631725575, (1333, 1) = 20.08889084193633, (1333, 2) = .7727106217026477, (1333, 3) = -.5888521626864771, (1334, 1) = 20.091943651390753, (1334, 2) = .7703807597893063, (1334, 3) = -.5888138189114739, (1335, 1) = 20.09497685950748, (1335, 2) = .7680590087233193, (1335, 3) = -.5887757295825885, (1336, 1) = 20.097990631840922, (1336, 2) = .7657453120383887, (1336, 3) = -.5887378924592097, (1337, 1) = 20.100985131695314, (1337, 2) = .7634396141155625, (1337, 3) = -.5887003053318842, (1338, 1) = 20.10396052048252, (1338, 2) = .761141859924152, (1338, 3) = -.5886629660177661, (1339, 1) = 20.106916957771524, (1339, 2) = .7588519949970062, (1339, 3) = -.5886258723599375, (1340, 1) = 20.10985460131524, (1340, 2) = .7565699654229281, (1340, 3) = -.5885890222270183, (1341, 1) = 20.112773607076953, (1341, 2) = .7542957178391496, (1341, 3) = -.5885524135127798, (1342, 1) = 20.1156741292562, (1342, 2) = .752029199423936, (1342, 3) = -.5885160441357705, (1343, 1) = 20.118556320314237, (1343, 2) = .7497703578893541, (1343, 3) = -.5884799120389398, (1344, 1) = 20.12142033099907, (1344, 2) = .7475191414741205, (1344, 3) = -.5884440151892825, (1345, 1) = 20.124266310586208, (1345, 2) = .745275498765881, (1345, 3) = -.5884083515747607, (1346, 1) = 20.127094406693686, (1346, 2) = .7430393788574383, (1346, 3) = -.5883729192065885, (1347, 1) = 20.129904765058185, (1347, 2) = .7408107315364344, (1347, 3) = -.588337716121977, (1348, 1) = 20.13269752979932, (1348, 2) = .7385895070895991, (1348, 3) = -.5883027403807843, (1349, 1) = 20.1354728434427, (1349, 2) = .7363756562960401, (1349, 3) = -.5882679900651753, (1350, 1) = 20.13823084694234, (1350, 2) = .7341691304208259, (1350, 3) = -.5882334632792995, (1351, 1) = 20.140971679702854, (1351, 2) = .7319698812086292, (1351, 3) = -.5881991581489678, (1352, 1) = 20.143695479601146, (1352, 2) = .7297778608774739, (1352, 3) = -.5881650728213399, (1353, 1) = 20.146402383007782, (1353, 2) = .7275930221125885, (1353, 3) = -.588131205464613, (1354, 1) = 20.149092524820457, (1354, 2) = .7254153180502801, (1354, 3) = -.5880975542675652, (1355, 1) = 20.1517660387321, (1355, 2) = .723244702070582, (1355, 3) = -.5880641174361585, (1356, 1) = 20.15442305681844, (1356, 2) = .7210811281412313, (1356, 3) = -.5880308931986615, (1357, 1) = 20.157063709616295, (1357, 2) = .7189245507661866, (1357, 3) = -.5879978798046304, (1358, 1) = 20.159688126258093, (1358, 2) = .7167749248871207, (1358, 3) = -.5879650755231852, (1359, 1) = 20.16229643449117, (1359, 2) = .7146322058778038, (1359, 3) = -.5879324786427352, (1360, 1) = 20.164888760696705, (1360, 2) = .7124963495386349, (1360, 3) = -.5879000874707049, (1361, 1) = 20.167465229908395, (1361, 2) = .7103673120912442, (1361, 3) = -.5878679003332618, (1362, 1) = 20.17002596583074, (1362, 2) = .7082450501731798, (1362, 3) = -.5878359155750567, (1363, 1) = 20.172571090857023, (1363, 2) = .7061295208326606, (1363, 3) = -.5878041315589633, (1364, 1) = 20.175100726135014, (1364, 2) = .704020681483526, (1364, 3) = -.5877725466652254, (1365, 1) = 20.177614991749763, (1365, 2) = .7019184897609768, (1365, 3) = -.5877411592891387, (1366, 1) = 20.180114006294712, (1366, 2) = .699822903888587, (1366, 3) = -.5877099678463796, (1367, 1) = 20.182597887080117, (1367, 2) = .6977338825148868, (1367, 3) = -.5876789707703629, (1368, 1) = 20.185066750191243, (1368, 2) = .6956513846739367, (1368, 3) = -.5876481665114918, (1369, 1) = 20.187520710504657, (1369, 2) = .6935753697805567, (1369, 3) = -.5876175535369169, (1370, 1) = 20.189959881704237, (1370, 2) = .6915057976256387, (1370, 3) = -.5875871303303115, (1371, 1) = 20.192384376297035, (1371, 2) = .6894426283715354, (1371, 3) = -.5875568953916412, (1372, 1) = 20.194794305628736, (1372, 2) = .6873858225475313, (1372, 3) = -.5875268472369444, (1373, 1) = 20.197189779899013, (1373, 2) = .6853353410453344, (1373, 3) = -.5874969843981115, (1374, 1) = 20.19957090827442, (1374, 2) = .6832911450305323, (1374, 3) = -.5874673054214499, (1375, 1) = 20.20193779891084, (1375, 2) = .681253195930413, (1375, 3) = -.5874378088673787, (1376, 1) = 20.20429055865475, (1376, 2) = .6792214556992792, (1376, 3) = -.5874084933141258, (1377, 1) = 20.206629293258636, (1377, 2) = .677195886642523, (1377, 3) = -.5873793573550125, (1378, 1) = 20.20895410740203, (1378, 2) = .6751764514064231, (1378, 3) = -.5873503995981693, (1379, 1) = 20.21126510470547, (1379, 2) = .6731631129740693, (1379, 3) = -.5873216186663353, (1380, 1) = 20.21356238774416, (1380, 2) = .6711558346613368, (1380, 3) = -.5872930131966638, (1381, 1) = 20.215846058061338, (1381, 2) = .6691545801129173, (1381, 3) = -.5872645818405308, (1382, 1) = 20.21811621618158, (1382, 2) = .6671593132984446, (1382, 3) = -.5872363232633444, (1383, 1) = 20.220372961624314, (1383, 2) = .6651699985081674, (1383, 3) = -.5872082361443577, (1384, 1) = 20.22261639307074, (1384, 2) = .6631866002127065, (1384, 3) = -.5871803191745617, (1385, 1) = 20.224846608183217, (1385, 2) = .6612090832289268, (1385, 3) = -.5871525710589186, (1386, 1) = 20.227063703529964, (1386, 2) = .6592374127948712, (1386, 3) = -.5871249905172703, (1387, 1) = 20.22926777472392, (1387, 2) = .6572715544546797, (1387, 3) = -.587097576282591, (1388, 1) = 20.231458916434793, (1388, 2) = .6553114740550101, (1388, 3) = -.5870703271008146, (1389, 1) = 20.233637222400883, (1389, 2) = .6533571377415338, (1389, 3) = -.5870432417306678, (1390, 1) = 20.2358027854408, (1390, 2) = .6514085119554676, (1390, 3) = -.5870163189435034, (1391, 1) = 20.23795569746495, (1391, 2) = .6494655634301458, (1391, 3) = -.5869895575231379, (1392, 1) = 20.240096049486805, (1392, 2) = .6475282591876764, (1392, 3) = -.5869629562656891, (1393, 1) = 20.242223931647754, (1393, 2) = .6455965665231956, (1393, 3) = -.586936513979251, (1394, 1) = 20.24433943337952, (1394, 2) = .6436704528633577, (1394, 3) = -.5869102294818551, (1395, 1) = 20.246442643119575, (1395, 2) = .6417498860309321, (1395, 3) = -.5868841016049873, (1396, 1) = 20.24853364839514, (1396, 2) = .6398348341762122, (1396, 3) = -.5868581291925283, (1397, 1) = 20.250612535890834, (1397, 2) = .6379252657219932, (1397, 3) = -.5868323110998899, (1398, 1) = 20.25267939145905, (1398, 2) = .6360211493604658, (1398, 3) = -.5868066461938722, (1399, 1) = 20.2547343001301, (1399, 2) = .6341224540501883, (1399, 3) = -.5867811333525184, (1400, 1) = 20.2567773461223, (1400, 2) = .6322291490130837, (1400, 3) = -.5867557714649736, (1401, 1) = 20.258808612851738, (1401, 2) = .6303412037314671, (1401, 3) = -.5867305594313454, (1402, 1) = 20.260828182942095, (1402, 2) = .6284585879451511, (1402, 3) = -.5867054961625646, (1403, 1) = 20.26283613827451, (1403, 2) = .6265812716108096, (1403, 3) = -.5866805805797521, (1404, 1) = 20.264832560079185, (1404, 2) = .6247092248214317, (1404, 3) = -.5866558116130667, (1405, 1) = 20.26681752866998, (1405, 2) = .6228424180605358, (1405, 3) = -.5866311882049798, (1406, 1) = 20.26879112358788, (1406, 2) = .6209808220747269, (1406, 3) = -.5866067093084841, (1407, 1) = 20.270753423628115, (1407, 2) = .6191244078539944, (1407, 3) = -.5865823738867365, (1408, 1) = 20.272704506849127, (1408, 2) = .6172731466290131, (1408, 3) = -.5865581809129337, (1409, 1) = 20.274644450581363, (1409, 2) = .6154270098685053, (1409, 3) = -.5865341293701924, (1410, 1) = 20.276573331435834, (1410, 2) = .613585969276635, (1410, 3) = -.5865102182514209, (1411, 1) = 20.278491225312756, (1411, 2) = .611749996790429, (1411, 3) = -.5864864465592075, (1412, 1) = 20.28039820740981, (1412, 2) = .6099190645772399, (1412, 3) = -.5864628133056945, (1413, 1) = 20.28229435230636, (1413, 2) = .6080931449591185, (1413, 3) = -.5864393175115287, (1414, 1) = 20.28417973393899, (1414, 2) = .606272210440719, (1414, 3) = -.586415958206146, (1415, 1) = 20.286054425442217, (1415, 2) = .6044562338686293, (1415, 3) = -.586392734429735, (1416, 1) = 20.28791849927892, (1416, 2) = .6026451883114908, (1416, 3) = -.5863696452316055, (1417, 1) = 20.289772027249903, (1417, 2) = .6008390470559912, (1417, 3) = -.5863466896700603, (1418, 1) = 20.291615080501572, (1418, 2) = .5990377836045139, (1418, 3) = -.5863238668122832, (1419, 1) = 20.293447729533508, (1419, 2) = .5972413716728343, (1419, 3) = -.5863011757342355, (1420, 1) = 20.295270044206013, (1420, 2) = .5954497851878452, (1420, 3) = -.5862786155205506, (1421, 1) = 20.297082093747395, (1421, 2) = .5936629982853113, (1421, 3) = -.5862561852644296, (1422, 1) = 20.29888394676307, (1422, 2) = .591880985305891, (1422, 3) = -.5862338840675205, (1423, 1) = 20.300675671350593, (1423, 2) = .5901037206857875, (1423, 3) = -.5862117110384786, (1424, 1) = 20.302457334947736, (1424, 2) = .588331179111376, (1424, 3) = -.5861896652948407, (1425, 1) = 20.304229004320884, (1425, 2) = .5865633355363294, (1425, 3) = -.5861677459631525, (1426, 1) = 20.305990745639946, (1426, 2) = .5848001651122938, (1426, 3) = -.5861459521780327, (1427, 1) = 20.30774262448526, (1427, 2) = .5830416431868294, (1427, 3) = -.5861242830820779, (1428, 1) = 20.30948470585415, (1428, 2) = .5812877453013613, (1428, 3) = -.5861027378257668, (1429, 1) = 20.311217054167543, (1429, 2) = .5795384471891574, (1429, 3) = -.5860813155673726, (1430, 1) = 20.312939733276483, (1430, 2) = .5777937247733392, (1430, 3) = -.5860600154728689, (1431, 1) = 20.31465280646856, (1431, 2) = .5760535541649161, (1431, 3) = -.5860388367158428, (1432, 1) = 20.3163563364879, (1432, 2) = .5743179116468576, (1432, 3) = -.5860177784772339, (1433, 1) = 20.318050385633256, (1433, 2) = .572586773577961, (1433, 3) = -.5859968399441151, (1434, 1) = 20.319735015562877, (1434, 2) = .5708601165960288, (1434, 3) = -.5859760203120964, (1435, 1) = 20.321410287367645, (1435, 2) = .5691379175482959, (1435, 3) = -.585955318784407, (1436, 1) = 20.323076261605884, (1436, 2) = .5674201534603284, (1436, 3) = -.5859347345714582, (1437, 1) = 20.32473299830924, (1437, 2) = .565706801534211, (1437, 3) = -.585914266890762, (1438, 1) = 20.32638055698856, (1438, 2) = .5639978391467516, (1438, 3) = -.5858939149668488, (1439, 1) = 20.328018996639525, (1439, 2) = .5622932438477037, (1439, 3) = -.585873678031188, (1440, 1) = 20.32964837574838, (1440, 2) = .5605929933580147, (1440, 3) = -.5858535553221078, (1441, 1) = 20.33126875229753, (1441, 2) = .5588970655681073, (1441, 3) = -.5858335460847216, (1442, 1) = 20.332880183804996, (1442, 2) = .557205438500507, (1442, 3) = -.5858136495704283, (1443, 1) = 20.334482727365014, (1443, 2) = .5555180902704633, (1443, 3) = -.5857938650364043, (1444, 1) = 20.336076439484206, (1444, 2) = .5538349992622114, (1444, 3) = -.585774191747618, (1445, 1) = 20.337661376179486, (1445, 2) = .552156144030651, (1445, 3) = -.5857546289756124, (1446, 1) = 20.339237592990926, (1446, 2) = .5504815032917467, (1446, 3) = -.5857351759983402, (1447, 1) = 20.340805144986827, (1447, 2) = .5488110559209254, (1447, 3) = -.5857158321000903, (1448, 1) = 20.342364086768935, (1448, 2) = .5471447809514967, (1448, 3) = -.5856965965714167, (1449, 1) = 20.343914472477334, (1449, 2) = .5454826575730887, (1449, 3) = -.5856774687090723, (1450, 1) = 20.3454563557955, (1450, 2) = .5438246651300985, (1450, 3) = -.585658447815938, (1451, 1) = 20.34698978995517, (1451, 2) = .5421707831201823, (1451, 3) = -.5856395332009535, (1452, 1) = 20.34851482780076, (1452, 2) = .5405209911281232, (1452, 3) = -.5856207241783197, (1453, 1) = 20.35003152174463, (1453, 2) = .5388752688772384, (1453, 3) = -.5856020200680387, (1454, 1) = 20.351539923688026, (1454, 2) = .5372335963189862, (1454, 3) = -.5855834201968859, (1455, 1) = 20.353040085099344, (1455, 2) = .5355959535522752, (1455, 3) = -.5855649238974334, (1456, 1) = 20.354532057018865, (1456, 2) = .5339623208218498, (1456, 3) = -.5855465305079921, (1457, 1) = 20.35601589006324, (1457, 2) = .532332678516871, (1457, 3) = -.5855282393725401, (1458, 1) = 20.357491634430016, (1458, 2) = .5307070071695205, (1458, 3) = -.5855100498406681, (1459, 1) = 20.358959339902004, (1459, 2) = .5290852874536198, (1459, 3) = -.5854919612675143, (1460, 1) = 20.36041905585165, (1460, 2) = .5274675001832565, (1460, 3) = -.5854739730137067, (1461, 1) = 20.361870831248222, (1461, 2) = .5258536263082028, (1461, 3) = -.5854560844452676, (1462, 1) = 20.363314714736255, (1462, 2) = .5242436468297053, (1462, 3) = -.5854382949326431, (1463, 1) = 20.36475075451591, (1463, 2) = .5226375429365053, (1463, 3) = -.585420603852166, (1464, 1) = 20.36617899835693, (1464, 2) = .5210352959933637, (1464, 3) = -.585403010585881, (1465, 1) = 20.367599493639673, (1465, 2) = .5194368874986673, (1465, 3) = -.5853855145210357, (1466, 1) = 20.369012287359197, (1466, 2) = .5178422990831658, (1466, 3) = -.585368115050019, (1467, 1) = 20.370417426129233, (1467, 2) = .5162515125087104, (1467, 3) = -.5853508115703094, (1468, 1) = 20.371814956186082, (1468, 2) = .514664509667018, (1468, 3) = -.5853336034844234, (1469, 1) = 20.373204923392557, (1469, 2) = .5130812725784484, (1469, 3) = -.5853164901998562, (1470, 1) = 20.374587373241702, (1470, 2) = .5115017833907849, (1470, 3) = -.5852994711290359, (1471, 1) = 20.375962350873767, (1471, 2) = .5099260243630338, (1471, 3) = -.5852825456891035, (1472, 1) = 20.377329901134154, (1472, 2) = .5083539778015767, (1472, 3) = -.5852657133012018, (1473, 1) = 20.37869006844031, (1473, 2) = .5067856262156953, (1473, 3) = -.5852489733921005, (1474, 1) = 20.38004289684064, (1474, 2) = .5052209522537047, (1474, 3) = -.585232325393472, (1475, 1) = 20.381388430032384, (1475, 2) = .5036599386854458, (1475, 3) = -.5852157687416626, (1476, 1) = 20.38272671136514, (1476, 2) = .5021025684011654, (1476, 3) = -.5851993028776461, (1477, 1) = 20.384057783844405, (1477, 2) = .5005488244104006, (1477, 3) = -.5851829272469752, (1478, 1) = 20.385381690135063, (1478, 2) = .49899868984087153, (1478, 3) = -.5851666412997308, (1479, 1) = 20.38669847256473, (1479, 2) = .49745214793739995, (1479, 3) = -.5851504444904816, (1480, 1) = 20.388008173127194, (1480, 2) = .49590918206082574, (1480, 3) = -.585134336278232, (1481, 1) = 20.389310833514237, (1481, 2) = .4943697756532494, (1481, 3) = -.5851183161260284, (1482, 1) = 20.390606495127578, (1482, 2) = .49283391222613593, (1482, 3) = -.5851023835008075, (1483, 1) = 20.39189519897927, (1483, 2) = .4913015754811207, (1483, 3) = -.5850865378746154, (1484, 1) = 20.3931769857579, (1484, 2) = .4897727492350041, (1484, 3) = -.5850707787237942, (1485, 1) = 20.39445189583452, (1485, 2) = .48824741741535344, (1485, 3) = -.5850551055288956, (1486, 1) = 20.395719969265894, (1486, 2) = .4867255640595053, (1486, 3) = -.5850395177746462, (1487, 1) = 20.39698124579756, (1487, 2) = .48520717331356933, (1487, 3) = -.5850240149498975, (1488, 1) = 20.39823576486689, (1488, 2) = .48369222943144485, (1488, 3) = -.5850085965475911, (1489, 1) = 20.39948356560614, (1489, 2) = .48218071677385194, (1489, 3) = -.5849932620647099, (1490, 1) = 20.40072468684546, (1490, 2) = .4806726198073213, (1490, 3) = -.5849780110022453, (1491, 1) = 20.40195916716302, (1491, 2) = .4791679230456629, (1491, 3) = -.5849628428645695, (1492, 1) = 20.4031870448336, (1492, 2) = .47766661111471376, (1492, 3) = -.5849477571600685, (1493, 1) = 20.404408357795887, (1493, 2) = .47616866879520303, (1493, 3) = -.5849327534015372, (1494, 1) = 20.405623143698133, (1494, 2) = .47467408096994806, (1494, 3) = -.5849178311056163, (1495, 1) = 20.406831439900934, (1495, 2) = .4731828326229401, (1495, 3) = -.5849029897927535, (1496, 1) = 20.408033283480062, (1496, 2) = .47169490883844656, (1496, 3) = -.5848882289871647, (1497, 1) = 20.40922871122918, (1497, 2) = .47021029480012827, (1497, 3) = -.5848735482167968, (1498, 1) = 20.410417759662604, (1498, 2) = .46872897579015627, (1498, 3) = -.5848589470132918, (1499, 1) = 20.411600465017955, (1499, 2) = .46725093718834526, (1499, 3) = -.5848444249119487, (1500, 1) = 20.412776863262508, (1500, 2) = .4657761644666621, (1500, 3) = -.5848299814516442, (1501, 1) = 20.413946990145835, (1501, 2) = .4643046431253481, (1501, 3) = -.5848156161741805, (1502, 1) = 20.4151108811091, (1502, 2) = .4628363588088537, (1502, 3) = -.5848013286253962, (1503, 1) = 20.416268571307146, (1503, 2) = .4613712972811138, (1503, 3) = -.5847871183548934, (1504, 1) = 20.417420095631098, (1504, 2) = .459909444399476, (1504, 3) = -.5847729849157542, (1505, 1) = 20.418565488710996, (1505, 2) = .45845078611388024, (1505, 3) = -.5847589278645096, (1506, 1) = 20.419704784918185, (1506, 2) = .45699530846605874, (1506, 3) = -.5847449467610988, (1507, 1) = 20.420838018367817, (1507, 2) = .45554299758873895, (1507, 3) = -.5847310411688456, (1508, 1) = 20.421965222921227, (1508, 2) = .4540938397048611, (1508, 3) = -.584717210654417, (1509, 1) = 20.42308643218837, (1509, 2) = .45264782112679397, (1509, 3) = -.5847034547877961, (1510, 1) = 20.424201679542207, (1510, 2) = .451204928239911, (1510, 3) = -.5846897731420989, (1511, 1) = 20.42531099815134, (1511, 2) = .44976514746230306, (1511, 3) = -.5846761652931752, (1512, 1) = 20.42641442089031, (1512, 2) = .4483284653630415, (1512, 3) = -.5846626308207006, (1513, 1) = 20.427511980384736, (1513, 2) = .4468948686064773, (1513, 3) = -.5846491693076239, (1514, 1) = 20.428603709020404, (1514, 2) = .44546434394259615, (1514, 3) = -.5846357803400531, (1515, 1) = 20.42968963894554, (1515, 2) = .4440368782062881, (1515, 3) = -.5846224635072187, (1516, 1) = 20.430769802073023, (1516, 2) = .44261245831662605, (1516, 3) = -.5846092184014523, (1517, 1) = 20.43184423008253, (1517, 2) = .4411910712761514, (1517, 3) = -.5845960446181513, (1518, 1) = 20.432912954422765, (1518, 2) = .4397727041701722, (1518, 3) = -.5845829417557514, (1519, 1) = 20.433976006313507, (1519, 2) = .4383573441660569, (1519, 3) = -.5845699094156973, (1520, 1) = 20.43503341677161, (1520, 2) = .4369449784806514, (1520, 3) = -.5845569472021231, (1521, 1) = 20.43608521660702, (1521, 2) = .4355355943872097, (1521, 3) = -.584544054721898, (1522, 1) = 20.43713143636437, (1522, 2) = .4341291792957724, (1522, 3) = -.5845312315853382, (1523, 1) = 20.438172106366878, (1523, 2) = .4327257206968405, (1523, 3) = -.5845184774056672, (1524, 1) = 20.439207256719218, (1524, 2) = .4313252061595644, (1524, 3) = -.5845057917989798, (1525, 1) = 20.44023691730957, (1525, 2) = .42992762333109025, (1525, 3) = -.5844931743842123, (1526, 1) = 20.441261117811482, (1526, 2) = .4285329599359113, (1526, 3) = -.5844806247831168, (1527, 1) = 20.44227988768597, (1527, 2) = .42714120377522274, (1527, 3) = -.5844681426202349, (1528, 1) = 20.443293256183274, (1528, 2) = .4257523427262928, (1528, 3) = -.5844557275228724, (1529, 1) = 20.44430125234534, (1529, 2) = .42436636474129835, (1529, 3) = -.5844433791210686, (1530, 1) = 20.44530390504348, (1530, 2) = .4229832577970211, (1530, 3) = -.5844310970471293, (1531, 1) = 20.446301242930197, (1531, 2) = .4216030099628953, (1531, 3) = -.584418880936217, (1532, 1) = 20.44729329443022, (1532, 2) = .42022560941583703, (1532, 3) = -.5844067304264594, (1533, 1) = 20.448280087766854, (1533, 2) = .4188510444057249, (1533, 3) = -.5843946451586215, (1534, 1) = 20.44926165096396, (1534, 2) = .4174793032547997, (1534, 3) = -.5843826247760809, (1535, 1) = 20.450238011847663, (1535, 2) = .41611037435707776, (1535, 3) = -.5843706689248042, (1536, 1) = 20.451209198048083, (1536, 2) = .41474424617776545, (1536, 3) = -.5843587772533254, (1537, 1) = 20.452175237001164, (1537, 2) = .4133809072526758, (1537, 3) = -.5843469494127181, (1538, 1) = 20.453136155950343, (1538, 2) = .4120203461876638, (1538, 3) = -.584335185056575, (1539, 1) = 20.454091981952352, (1539, 2) = .41066255165221727, (1539, 3) = -.5843234838409357, (1540, 1) = 20.45504274191177, (1540, 2) = .40930751233199625, (1540, 3) = -.5843118454238593, (1541, 1) = 20.455988462514036, (1541, 2) = .4079552170256255, (1541, 3) = -.5843002694662438, (1542, 1) = 20.456929170247953, (1542, 2) = .4066056546149601, (1542, 3) = -.5842887556315506, (1543, 1) = 20.45786489141825, (1543, 2) = .4052588140490894, (1543, 3) = -.5842773035856439, (1544, 1) = 20.45879565214717, (1544, 2) = .4039146843437955, (1544, 3) = -.5842659129967739, (1545, 1) = 20.459721478376085, (1545, 2) = .40257325458102083, (1545, 3) = -.5842545835355523, (1546, 1) = 20.460642395867055, (1546, 2) = .4012345139083406, (1546, 3) = -.5842433148749332, (1547, 1) = 20.461558430204438, (1547, 2) = .3998984515384377, (1547, 3) = -.5842321066901913, (1548, 1) = 20.46246960679638, (1548, 2) = .3985650567485869, (1548, 3) = -.5842209586588989, (1549, 1) = 20.46337595088735, (1549, 2) = .3972343188641055, (1549, 3) = -.5842098704607767, (1550, 1) = 20.46427748757444, (1550, 2) = .39590622723560454, (1550, 3) = -.584198841777486, (1551, 1) = 20.46517424174817, (1551, 2) = .3945807713278372, (1551, 3) = -.584187872293356, (1552, 1) = 20.46606623812577, (1552, 2) = .39325794067271763, (1552, 3) = -.5841769616949728, (1553, 1) = 20.466953501255844, (1553, 2) = .3919377248642176, (1553, 3) = -.5841661096711203, (1554, 1) = 20.46783605551984, (1554, 2) = .39062011355787485, (1554, 3) = -.584155315912761, (1555, 1) = 20.46871392513345, (1555, 2) = .38930509647031186, (1555, 3) = -.5841445801130195, (1556, 1) = 20.469587134148046, (1556, 2) = .38799266337875865, (1556, 3) = -.5841339019671586, (1557, 1) = 20.470455706452103, (1557, 2) = .386682804120576, (1557, 3) = -.5841232811725636, (1558, 1) = 20.47131966577256, (1558, 2) = .3853755085927874, (1558, 3) = -.584112717428724, (1559, 1) = 20.47217903569616, (1559, 2) = .3840707667213574, (1559, 3) = -.5841022104369701, (1560, 1) = 20.47303383965696, (1560, 2) = .3827685684812669, (1560, 3) = -.5840917599006239, (1561, 1) = 20.473884100904446, (1561, 2) = .38146890394681643, (1561, 3) = -.584081365525388, (1562, 1) = 20.474729842531918, (1562, 2) = .3801717632503338, (1562, 3) = -.5840710270189969, (1563, 1) = 20.475571087477945, (1563, 2) = .3788771365815163, (1563, 3) = -.5840607440911987, (1564, 1) = 20.476407858527686, (1564, 2) = .3775850141869826, (1564, 3) = -.5840505164537345, (1565, 1) = 20.477240178314197, (1565, 2) = .3762953863698377, (1565, 3) = -.5840403438203249, (1566, 1) = 20.47806806931966, (1566, 2) = .3750082434892382, (1566, 3) = -.5840302259066494, (1567, 1) = 20.478891553876725, (1567, 2) = .3737235759599638, (1567, 3) = -.5840201624303326, (1568, 1) = 20.479710654170496, (1568, 2) = .37244137425074453, (1568, 3) = -.5840101531109162, (1569, 1) = 20.480525392266234, (1569, 2) = .3711616288422991, (1569, 3) = -.5840001976695187, (1570, 1) = 20.481335790068382, (1570, 2) = .36988433029270146, (1570, 3) = -.5839902958293373, (1571, 1) = 20.482141869322586, (1571, 2) = .3686094692361805, (1571, 3) = -.5839804473156173, (1572, 1) = 20.482943651631132, (1572, 2) = .3673370363604796, (1572, 3) = -.583970651855468, (1573, 1) = 20.483741158454063, (1573, 2) = .3660670224064538, (1573, 3) = -.5839609091778425, (1574, 1) = 20.484534411110474, (1574, 2) = .3647994181676676, (1574, 3) = -.5839512190135238, (1575, 1) = 20.48532343077956, (1575, 2) = .3635342144899956, (1575, 3) = -.5839415810951105, (1576, 1) = 20.486108238501902, (1576, 2) = .36227140227123017, (1576, 3) = -.5839319951569951, (1577, 1) = 20.48688885518052, (1577, 2) = .36101097246069086, (1577, 3) = -.5839224609353586, (1578, 1) = 20.487665301586237, (1578, 2) = .35975291605201254, (1578, 3) = -.5839129781680956, (1579, 1) = 20.48843759837948, (1579, 2) = .3584972240489543, (1579, 3) = -.5839035465945515, (1580, 1) = 20.48920576606216, (1580, 2) = .3572438875449062, (1580, 3) = -.5838941659561073, (1581, 1) = 20.48996982499731, (1581, 2) = .35599289769254977, (1581, 3) = -.5838848359959397, (1582, 1) = 20.490729795416065, (1582, 2) = .35474424569417706, (1582, 3) = -.5838755564589315, (1583, 1) = 20.49148569741871, (1583, 2) = .35349792280132336, (1583, 3) = -.5838663270916624, (1584, 1) = 20.492237550975688, (1584, 2) = .3522539203144007, (1584, 3) = -.5838571476423912, (1585, 1) = 20.492985375928733, (1585, 2) = .3510122295823374, (1585, 3) = -.5838480178610443, (1586, 1) = 20.493729191991868, (1586, 2) = .3497728420022159, (1586, 3) = -.5838389374991996, (1587, 1) = 20.49446901875249, (1587, 2) = .34853574901892254, (1587, 3) = -.583829906310074, (1588, 1) = 20.495204875681967, (1588, 2) = .3473009421085809, (1588, 3) = -.583820924048392, (1589, 1) = 20.495936782141985, (1589, 2) = .3460684127690501, (1589, 3) = -.5838119904703079, (1590, 1) = 20.496664757346423, (1590, 2) = .34483815258535844, (1590, 3) = -.5838031053338689, (1591, 1) = 20.497388820385208, (1591, 2) = .343610153191112, (1591, 3) = -.5837942683987233, (1592, 1) = 20.498108990226743, (1592, 2) = .3423844062659731, (1592, 3) = -.5837854794260928, (1593, 1) = 20.49882528571877, (1593, 2) = .34116090353532375, (1593, 3) = -.5837767381787552, (1594, 1) = 20.499537725589345, (1594, 2) = .3399396367699336, (1594, 3) = -.5837680444210354, (1595, 1) = 20.50024632844789, (1595, 2) = .3387205977856291, (1595, 3) = -.5837593979187911, (1596, 1) = 20.500951112786044, (1596, 2) = .33750377844296503, (1596, 3) = -.5837507984394004, (1597, 1) = 20.50165209697864, (1597, 2) = .3362891706469044, (1597, 3) = -.5837422457517502, (1598, 1) = 20.50234929930115, (1598, 2) = .3350767663177297, (1598, 3) = -.5837337396260218, (1599, 1) = 20.50304273791334, (1599, 2) = .3338665574204037, (1599, 3) = -.5837252798338883, (1600, 1) = 20.50373243084428, (1600, 2) = .3326585359921372, (1600, 3) = -.5837168661486978, (1601, 1) = 20.504418396009942, (1601, 2) = .3314526941132651, (1601, 3) = -.5837084983452591, (1602, 1) = 20.505100651214022, (1602, 2) = .3302490239069362, (1602, 3) = -.5837001761998262, (1603, 1) = 20.50577921414893, (1603, 2) = .32904751753880607, (1603, 3) = -.58369189949009, (1604, 1) = 20.50645410239662, (1604, 2) = .3278481672167322, (1604, 3) = -.5836836679951665, (1605, 1) = 20.5071253334294, (1605, 2) = .3266509651904737, (1605, 3) = -.5836754814955822, (1606, 1) = 20.50779292461091, (1606, 2) = .3254559037513919, (1606, 3) = -.5836673397732658, (1607, 1) = 20.50845689319801, (1607, 2) = .3242629752301279, (1607, 3) = -.5836592426115235, (1608, 1) = 20.509117256360327, (1608, 2) = .3230721719625055, (1608, 3) = -.5836511897947962, (1609, 1) = 20.509774031147693, (1609, 2) = .32188348634930386, (1609, 3) = -.5836431811090622, (1610, 1) = 20.510427234496408, (1610, 2) = .3206969108462414, (1610, 3) = -.5836352163417518, (1611, 1) = 20.511076883238307, (1611, 2) = .3195124379491688, (1611, 3) = -.5836272952816438, (1612, 1) = 20.511722994101483, (1612, 2) = .3183300601937889, (1612, 3) = -.5836194177188503, (1613, 1) = 20.51236558371113, (1613, 2) = .31714977015537565, (1613, 3) = -.5836115834448096, (1614, 1) = 20.513004668590344, (1614, 2) = .3159715604484949, (1614, 3) = -.5836037922522714, (1615, 1) = 20.513640265160873, (1615, 2) = .3147954237267282, (1615, 3) = -.583596043935291, (1616, 1) = 20.514272389743947, (1616, 2) = .3136213526824013, (1616, 3) = -.5835883382892159, (1617, 1) = 20.51490105856512, (1617, 2) = .31244934003868924, (1617, 3) = -.5835806751106265, (1618, 1) = 20.515526287767294, (1618, 2) = .3112793785262039, (1618, 3) = -.5835730541971772, (1619, 1) = 20.51614809337689, (1619, 2) = .31011146094727554, (1619, 3) = -.5835654753480064, (1620, 1) = 20.516766491319924, (1620, 2) = .30894558014733786, (1620, 3) = -.5835579383635426, (1621, 1) = 20.517381497425728, (1621, 2) = .3077817290092228, (1621, 3) = -.5835504430454563, (1622, 1) = 20.51799312742764, (1622, 2) = .306619900452904, (1622, 3) = -.5835429891966502, (1623, 1) = 20.518601396963753, (1623, 2) = .30546008743523817, (1623, 3) = -.5835355766212511, (1624, 1) = 20.519206321577652, (1624, 2) = .3043022829497098, (1624, 3) = -.5835282051245994, (1625, 1) = 20.519807916719127, (1625, 2) = .30314648002617983, (1625, 3) = -.5835208745132402, (1626, 1) = 20.520406197744883, (1626, 2) = .3019926717306341, (1626, 3) = -.5835135845949136, (1627, 1) = 20.521001179927627, (1627, 2) = .30084085114869874, (1627, 3) = -.5835063351784411, (1628, 1) = 20.52159287845613, (1628, 2) = .2996910113862546, (1628, 3) = -.5834991260737298, (1629, 1) = 20.522181308411852, (1629, 2) = .29854314561609263, (1629, 3) = -.5834919570920498, (1630, 1) = 20.522766484785485, (1630, 2) = .29739724704700476, (1630, 3) = -.5834848280458373, (1631, 1) = 20.523348422478136, (1631, 2) = .29625330892267415, (1631, 3) = -.5834777387486771, (1632, 1) = 20.52392713630199, (1632, 2) = .29511132452144134, (1632, 3) = -.5834706890152942, (1633, 1) = 20.52450264098094, (1633, 2) = .2939712871560667, (1633, 3) = -.583463678661544, (1634, 1) = 20.525074951151332, (1634, 2) = .292833190173497, (1634, 3) = -.5834567075044067, (1635, 1) = 20.52564408136252, (1635, 2) = .2916970269546331, (1635, 3) = -.5834497753619741, (1636, 1) = 20.526210046077708, (1636, 2) = .29056279091394077, (1636, 3) = -.5834428820534456, (1637, 1) = 20.526772859687657, (1637, 2) = .28943047547263734, (1637, 3) = -.5834360273989548, (1638, 1) = 20.527332536494093, (1638, 2) = .2883000740930162, (1638, 3) = -.5834292112197738, (1639, 1) = 20.527889090704488, (1639, 2) = .28717158029024065, (1639, 3) = -.5834224333383745, (1640, 1) = 20.5284425364425, (1640, 2) = .28604498761229047, (1640, 3) = -.583415693578302, (1641, 1) = 20.52899288774876, (1641, 2) = .2849202896397382, (1641, 3) = -.583408991764167, (1642, 1) = 20.52954015858133, (1642, 2) = .2837974799855331, (1642, 3) = -.5834023277216328, (1643, 1) = 20.530084362816446, (1643, 2) = .28267655229478295, (1643, 3) = -.5833957012774136, (1644, 1) = 20.530625514249007, (1644, 2) = .2815575002445399, (1644, 3) = -.5833891122592618, (1645, 1) = 20.53116362659326, (1645, 2) = .2804403175435873, (1645, 3) = -.5833825604959628, (1646, 1) = 20.531698713484673, (1646, 2) = .27932499792944326, (1646, 3) = -.583376045817309, (1647, 1) = 20.5322307884933, (1647, 2) = .2782115351414112, (1647, 3) = -.5833695680539398, (1648, 1) = 20.532759865098786, (1648, 2) = .2770999229735108, (1648, 3) = -.583363127037641, (1649, 1) = 20.533285956697974, (1649, 2) = .2759901552600315, (1649, 3) = -.5833567226012578, (1650, 1) = 20.533809076609888, (1650, 2) = .2748822258659471, (1650, 3) = -.5833503545786256, (1651, 1) = 20.53432923807646, (1651, 2) = .2737761286867116, (1651, 3) = -.5833440228045687, (1652, 1) = 20.534846454262865, (1652, 2) = .2726718576480589, (1652, 3) = -.5833377271148887, (1653, 1) = 20.53536073825833, (1653, 2) = .2715694067058035, (1653, 3) = -.583331467346361, (1654, 1) = 20.53587210307652, (1654, 2) = .2704687698456427, (1654, 3) = -.5833252433367229, (1655, 1) = 20.536380561656134, (1655, 2) = .2693699410829605, (1655, 3) = -.583319054924671, (1656, 1) = 20.536886126865227, (1656, 2) = .2682729144543761, (1656, 3) = -.5833129019498036, (1657, 1) = 20.53738881150831, (1657, 2) = .2671776840031296, (1657, 3) = -.5833067842525401, (1658, 1) = 20.537888628303328, (1658, 2) = .2660842438301195, (1658, 3) = -.583300701674393, (1659, 1) = 20.538385589893945, (1659, 2) = .2649925880681822, (1659, 3) = -.5832946540578244, (1660, 1) = 20.53887970885157, (1660, 2) = .26390271087887607, (1660, 3) = -.5832886412462165, (1661, 1) = 20.53937099767587, (1661, 2) = .262814606452295, (1661, 3) = -.583282663083869, (1662, 1) = 20.539859468795225, (1662, 2) = .2617282690068839, (1662, 3) = -.5832767194159885, (1663, 1) = 20.54034513456726, (1663, 2) = .26064369278925403, (1663, 3) = -.5832708100886838, (1664, 1) = 20.540828007279405, (1664, 2) = .25956087207400336, (1664, 3) = -.5832649349489605, (1665, 1) = 20.541308099149322, (1665, 2) = .25847980116353225, (1665, 3) = -.5832590938447115, (1666, 1) = 20.541785422332598, (1666, 2) = .2574004743717047, (1666, 3) = -.583253286624627, (1667, 1) = 20.542259988919255, (1667, 2) = .2563228860322742, (1667, 3) = -.5832475131382339, (1668, 1) = 20.542731810920365, (1668, 2) = .2552470305303558, (1668, 3) = -.5832417732360566, (1669, 1) = 20.543200900279114, (1669, 2) = .25417290227838313, (1669, 3) = -.5832360667694872, (1670, 1) = 20.543667268871417, (1670, 2) = .2531004957157053, (1670, 3) = -.5832303935907736, (1671, 1) = 20.544130928506412, (1671, 2) = .25202980530841446, (1671, 3) = -.5832247535530136, (1672, 1) = 20.544591890926856, (1672, 2) = .2509608255491759, (1672, 3) = -.5832191465101505, (1673, 1) = 20.54505016780968, (1673, 2) = .24989355095705718, (1673, 3) = -.5832135723169648, (1674, 1) = 20.54550577076642, (1674, 2) = .24882797607736257, (1674, 3) = -.5832080308290711, (1675, 1) = 20.545958711343847, (1675, 2) = .24776409548094266, (1675, 3) = -.5832025219029072, (1676, 1) = 20.546409001034487, (1676, 2) = .24670190374050213, (1676, 3) = -.5831970453956061, (1677, 1) = 20.54685665126175, (1677, 2) = .24564139546600405, (1677, 3) = -.5831916011651789, (1678, 1) = 20.547301673379707, (1678, 2) = .24458256530660236, (1678, 3) = -.5831861890705132, (1679, 1) = 20.54774407867925, (1679, 2) = .24352540793685848, (1679, 3) = -.5831808089713025, (1680, 1) = 20.548183878388645, (1680, 2) = .24246991805658166, (1680, 3) = -.5831754607280348, (1681, 1) = 20.548621083673847, (1681, 2) = .24141609039067105, (1681, 3) = -.5831701442019919, (1682, 1) = 20.54905570563906, (1682, 2) = .2403639196889576, (1682, 3) = -.583164859255238, (1683, 1) = 20.549487755327036, (1683, 2) = .239313400726046, (1683, 3) = -.5831596057506218, (1684, 1) = 20.549917243719612, (1684, 2) = .2382645283011632, (1684, 3) = -.5831543835517627, (1685, 1) = 20.550344181739476, (1685, 2) = .23721729723451657, (1685, 3) = -.5831491925230338, (1686, 1) = 20.5507685802589, (1686, 2) = .23617170234671367, (1686, 3) = -.5831440325294543, (1687, 1) = 20.55119045008133, (1687, 2) = .23512773850450494, (1687, 3) = -.5831389034369119, (1688, 1) = 20.55160980194858, (1688, 2) = .23408540060459568, (1688, 3) = -.5831338051120758, (1689, 1) = 20.55202664654351, (1689, 2) = .23304468356754812, (1689, 3) = -.5831287374223642, (1690, 1) = 20.552440994490556, (1690, 2) = .2320055823376319, (1690, 3) = -.5831237002359361, (1691, 1) = 20.55285285635608, (1691, 2) = .23096809188267767, (1691, 3) = -.5831186934216882, (1692, 1) = 20.553262242648778, (1692, 2) = .22993220719393173, (1692, 3) = -.5831137168492485, (1693, 1) = 20.553669163820054, (1693, 2) = .22889792328591105, (1693, 3) = -.5831087703889734, (1694, 1) = 20.554073630264455, (1694, 2) = .22786523519625926, (1694, 3) = -.5831038539119382, (1695, 1) = 20.55447565232344, (1695, 2) = .22683413797684895, (1695, 3) = -.5830989672898954, (1696, 1) = 20.554875240288457, (1696, 2) = .2258046266863864, (1696, 3) = -.5830941103952345, (1697, 1) = 20.555272404385956, (1697, 2) = .2247766964299976, (1697, 3) = -.5830892831011639, (1698, 1) = 20.555667154786434, (1698, 2) = .22375034233691712, (1698, 3) = -.5830844852816008, (1699, 1) = 20.556059501605425, (1699, 2) = .2227255595588008, (1699, 3) = -.5830797168111611, (1700, 1) = 20.556449454903873, (1700, 2) = .2217023432695864, (1700, 3) = -.58307497756515, (1701, 1) = 20.55683702468848, (1701, 2) = .22068068866535992, (1701, 3) = -.5830702674195619, (1702, 1) = 20.557222220912116, (1702, 2) = .2196605909642198, (1702, 3) = -.5830655862510717, (1703, 1) = 20.557605053474145, (1703, 2) = .21864204540614318, (1703, 3) = -.5830609339370342, (1704, 1) = 20.557985532220815, (1704, 2) = .21762504725285242, (1704, 3) = -.5830563103554747, (1705, 1) = 20.55836366695155, (1705, 2) = .21660959177166808, (1705, 3) = -.5830517153850163, (1706, 1) = 20.558739467413773, (1706, 2) = .21559567425001128, (1706, 3) = -.5830471489049411, (1707, 1) = 20.55911294329609, (1707, 2) = .2145832900145154, (1707, 3) = -.5830426107952701, (1708, 1) = 20.559484104235462, (1708, 2) = .21357243441304247, (1708, 3) = -.5830381009366808, (1709, 1) = 20.559852959817448, (1709, 2) = .2125631028145455, (1709, 3) = -.5830336192104989, (1710, 1) = 20.560219519576588, (1710, 2) = .2115552906089415, (1710, 3) = -.5830291654986977, (1711, 1) = 20.56058379299678, (1711, 2) = .21054899320698497, (1711, 3) = -.5830247396838905, (1712, 1) = 20.56094578951154, (1712, 2) = .20954420604014434, (1712, 3) = -.5830203416493273, (1713, 1) = 20.561305518504376, (1713, 2) = .20854092456047682, (1713, 3) = -.5830159712788915, (1714, 1) = 20.561662989309497, (1714, 2) = .207539144239535, (1714, 3) = -.5830116284570908, (1715, 1) = 20.56201821121921, (1715, 2) = .20653886054811538, (1715, 3) = -.5830073130689641, (1716, 1) = 20.562371193472007, (1716, 2) = .20554006899046867, (1716, 3) = -.5830030250002318, (1717, 1) = 20.562721945254353, (1717, 2) = .20454276510022845, (1717, 3) = -.5829987641372677, (1718, 1) = 20.56307047570438, (1718, 2) = .20354694443100516, (1718, 3) = -.5829945303670563, (1719, 1) = 20.563416793912126, (1719, 2) = .2025526025562668, (1719, 3) = -.5829903235771914, (1720, 1) = 20.563760908919956, (1720, 2) = .2015597350692233, (1720, 3) = -.5829861436558694, (1721, 1) = 20.56410282972277, (1721, 2) = .2005683375827078, (1721, 3) = -.5829819904918856, (1722, 1) = 20.56444256526841, (1722, 2) = .19957840572906252, (1722, 3) = -.5829778639746293, (1723, 1) = 20.56478012445789, (1723, 2) = .19858993516002188, (1723, 3) = -.582973763994082, (1724, 1) = 20.56511551614712, (1724, 2) = .19760292154249012, (1724, 3) = -.5829696904407955, (1725, 1) = 20.56544874915224, (1725, 2) = .1966173605435724, (1725, 3) = -.5829656432058257, (1726, 1) = 20.565779832236682, (1726, 2) = .19563324786925657, (1726, 3) = -.5829616221808921, (1727, 1) = 20.566108774117033, (1727, 2) = .19465057924813106, (1727, 3) = -.5829576272583042, (1728, 1) = 20.56643558346462, (1728, 2) = .1936693504276085, (1728, 3) = -.5829536583309436, (1729, 1) = 20.566760268905774, (1729, 2) = .19268955717381717, (1729, 3) = -.5829497152922584, (1730, 1) = 20.567082839022163, (1730, 2) = .19171119527149008, (1730, 3) = -.5829457980362608, (1731, 1) = 20.567403302351003, (1731, 2) = .19073426052385836, (1731, 3) = -.5829419064575239, (1732, 1) = 20.567721667385456, (1732, 2) = .18975874875254048, (1732, 3) = -.5829380404511765, (1733, 1) = 20.568037942574804, (1733, 2) = .18878465579743978, (1733, 3) = -.5829341999129006, (1734, 1) = 20.56835213632775, (1734, 2) = .1878119775074915, (1734, 3) = -.5829303847388917, (1735, 1) = 20.568664257013047, (1735, 2) = .18684070973922104, (1735, 3) = -.582926594825851, (1736, 1) = 20.568974312950154, (1736, 2) = .18587084838645185, (1736, 3) = -.582922830071096, (1737, 1) = 20.569282312415606, (1737, 2) = .18490238936155381, (1737, 3) = -.5829190903724873, (1738, 1) = 20.569588263643503, (1738, 2) = .1839353285946513, (1738, 3) = -.5829153756284206, (1739, 1) = 20.569892174825792, (1739, 2) = .18296966203352077, (1739, 3) = -.5829116857378199, (1740, 1) = 20.570194054112537, (1740, 2) = .18200538564348936, (1740, 3) = -.5829080206001404, (1741, 1) = 20.570493909612196, (1741, 2) = .1810424954073346, (1741, 3) = -.5829043801153589, (1742, 1) = 20.570791749391862, (1742, 2) = .1800809873251827, (1742, 3) = -.5829007641839759, (1743, 1) = 20.57108758147755, (1743, 2) = .17912085741436704, (1743, 3) = -.5828971727070051, (1744, 1) = 20.571381413859243, (1744, 2) = .17816210169372657, (1744, 3) = -.5828936055859205, (1745, 1) = 20.571673254485248, (1745, 2) = .17720471620242959, (1745, 3) = -.5828900627227176, (1746, 1) = 20.571963111259624, (1746, 2) = .17624869700938786, (1746, 3) = -.5828865440199476, (1747, 1) = 20.572250992046392, (1747, 2) = .17529404020036804, (1747, 3) = -.5828830493806668, (1748, 1) = 20.572536904669768, (1748, 2) = .17434074187789655, (1748, 3) = -.5828795787084317, (1749, 1) = 20.572820856914447, (1749, 2) = .17338879816116332, (1749, 3) = -.5828761319072951, (1750, 1) = 20.5731028565258, (1750, 2) = .1724382051859276, (1750, 3) = -.5828727088818064, (1751, 1) = 20.573382911210157, (1751, 2) = .17148895910442422, (1751, 3) = -.5828693095370052, (1752, 1) = 20.57366102863511, (1752, 2) = .17054105608527068, (1752, 3) = -.5828659337784184, (1753, 1) = 20.573937216430064, (1753, 2) = .1695944923119247, (1753, 3) = -.582862581512053, (1754, 1) = 20.574211482191348, (1754, 2) = .1686492639659176, (1754, 3) = -.5828592526443359, (1755, 1) = 20.57448383347319, (1755, 2) = .16770536725856955, (1755, 3) = -.5828559470822182, (1756, 1) = 20.574754277790166, (1756, 2) = .16676279842345998, (1756, 3) = -.5828526647331532, (1757, 1) = 20.57502282261924, (1757, 2) = .1658215537100916, (1757, 3) = -.5828494055050631, (1758, 1) = 20.57528947540003, (1758, 2) = .16488162938379816, (1758, 3) = -.5828461693063415, (1759, 1) = 20.575554243535038, (1759, 2) = .16394302172565858, (1759, 3) = -.5828429560458477, (1760, 1) = 20.57581713438988, (1760, 2) = .163005727032406, (1760, 3) = -.5828397656329046, (1761, 1) = 20.576078155293516, (1761, 2) = .16206974161634372, (1761, 3) = -.5828365979772965, (1762, 1) = 20.576337313538474, (1762, 2) = .16113506180525483, (1762, 3) = -.5828334529892629, (1763, 1) = 20.576594616382362, (1763, 2) = .16020168393766543, (1763, 3) = -.5828303305794853, (1764, 1) = 20.57685007105076, (1764, 2) = .15926960435278034, (1764, 3) = -.5828272306590476, (1765, 1) = 20.577103684728655, (1765, 2) = .15833881942249634, (1765, 3) = -.5828241531395415, (1766, 1) = 20.577355464564878, (1766, 2) = .15740932553600015, (1766, 3) = -.5828210979330128, (1767, 1) = 20.577605417672974, (1767, 2) = .15648111909752943, (1767, 3) = -.5828180649519494, (1768, 1) = 20.5778535511314, (1768, 2) = .15555419652629182, (1768, 3) = -.5828150541092793, (1769, 1) = 20.5780998719837, (1769, 2) = .15462855425638092, (1769, 3) = -.5828120653183713, (1770, 1) = 20.578344387238786, (1770, 2) = .1537041887366945, (1770, 3) = -.5828090984930262, (1771, 1) = 20.57858710387114, (1771, 2) = .15278109643085228, (1771, 3) = -.5828061535474776, (1772, 1) = 20.57882802882098, (1772, 2) = .15185927381711684, (1772, 3) = -.582803230396388, (1773, 1) = 20.579067168996943, (1773, 2) = .15093871737887823, (1773, 3) = -.582800328954819, (1774, 1) = 20.579304531275305, (1774, 2) = .15001942360812567, (1774, 3) = -.582797449138237, (1775, 1) = 20.57954012249472, (1775, 2) = .14910138902665648, (1775, 3) = -.5827945908625788, (1776, 1) = 20.57977394946034, (1776, 2) = .14818461017081483, (1776, 3) = -.5827917540442022, (1777, 1) = 20.58000601894415, (1777, 2) = .1472690835911855, (1777, 3) = -.5827889385998796, (1778, 1) = 20.58023633768515, (1778, 2) = .14635480585251792, (1778, 3) = -.5827861444467974, (1779, 1) = 20.580464912389516, (1779, 2) = .14544177353364707, (1779, 3) = -.5827833715025535, (1780, 1) = 20.58069174973083, (1780, 2) = .14452998322741745, (1780, 3) = -.582780619685154, (1781, 1) = 20.5809168563503, (1781, 2) = .1436194315406074, (1781, 3) = -.5827778889130115, (1782, 1) = 20.58114023885699, (1782, 2) = .14271011509362852, (1782, 3) = -.5827751791049396, (1783, 1) = 20.581361903831517, (1783, 2) = .14180203050598542, (1783, 3) = -.5827724901801115, (1784, 1) = 20.581581857821114, (1784, 2) = .140895174417021, (1784, 3) = -.5827698220581163, (1785, 1) = 20.581800107339163, (1785, 2) = .1399895434887974, (1785, 3) = -.582767174658968, (1786, 1) = 20.582016658867623, (1786, 2) = .1390851343969337, (1786, 3) = -.5827645479030723, (1787, 1) = 20.58223151885722, (1787, 2) = .1381819438305339, (1787, 3) = -.5827619417112272, (1788, 1) = 20.582444693727627, (1788, 2) = .13727996849211263, (1788, 3) = -.5827593560046191, (1789, 1) = 20.582656189867638, (1789, 2) = .136379205097524, (1789, 3) = -.5827567907048206, (1790, 1) = 20.582866013635442, (1790, 2) = .13547965037589038, (1790, 3) = -.5827542457337876, (1791, 1) = 20.583074171358614, (1791, 2) = .13458130106952976, (1791, 3) = -.5827517210138587, (1792, 1) = 20.583280669335007, (1792, 2) = .1336841539319642, (1792, 3) = -.5827492164677457, (1793, 1) = 20.583485513835697, (1793, 2) = .13278820571452057, (1793, 3) = -.5827467320184964, (1794, 1) = 20.583688711098738, (1794, 2) = .13189345319485074, (1794, 3) = -.5827442675895688, (1795, 1) = 20.583890267331462, (1795, 2) = .1309998931676427, (1795, 3) = -.5827418231048065, (1796, 1) = 20.58409018871161, (1796, 2) = .13010752244042906, (1796, 3) = -.5827393984884243, (1797, 1) = 20.584288481387496, (1797, 2) = .1292163378335189, (1797, 3) = -.582736993665002, (1798, 1) = 20.584485151478216, (1798, 2) = .12832633617993003, (1798, 3) = -.5827346085594868, (1799, 1) = 20.584680205073802, (1799, 2) = .12743751432532113, (1799, 3) = -.5827322430971883, (1800, 1) = 20.58487364823538, (1800, 2) = .12654986912792518, (1800, 3) = -.5827298972037784, (1801, 1) = 20.58506548699536, (1801, 2) = .12566339745848276, (1801, 3) = -.5827275708052873, (1802, 1) = 20.585255727358742, (1802, 2) = .12477809619505278, (1802, 3) = -.5827252638280876, (1803, 1) = 20.58544437530433, (1803, 2) = .1238939622172292, (1803, 3) = -.5827229761988818, (1804, 1) = 20.58563143677952, (1804, 2) = .12301099243197787, (1804, 3) = -.5827207078447622, (1805, 1) = 20.585816917703365, (1805, 2) = .12212918375968353, (1805, 3) = -.582718458693175, (1806, 1) = 20.586000823967062, (1806, 2) = .12124853313290951, (1806, 3) = -.582716228671915, (1807, 1) = 20.586183161434054, (1807, 2) = .12036903749633401, (1807, 3) = -.5827140177091233, (1808, 1) = 20.586363935940273, (1808, 2) = .11949069380668594, (1808, 3) = -.5827118257332847, (1809, 1) = 20.58654315329425, (1809, 2) = .11861349903268223, (1809, 3) = -.5827096526732264, (1810, 1) = 20.586720819277268, (1810, 2) = .11773745015496562, (1810, 3) = -.5827074984581169, (1811, 1) = 20.58689693964356, (1811, 2) = .11686254416604214, (1811, 3) = -.5827053630174586, (1812, 1) = 20.58707152012233, (1812, 2) = .11598877806057148, (1812, 3) = -.582703246281071, (1813, 1) = 20.58724456641641, (1813, 2) = .11511614884291788, (1813, 3) = -.5827011481791007, (1814, 1) = 20.587416084199596, (1814, 2) = .11424465354103411, (1814, 3) = -.5826990686420573, (1815, 1) = 20.58758607911925, (1815, 2) = .11337428919451992, (1815, 3) = -.5826970076007787, (1816, 1) = 20.58775455679644, (1816, 2) = .1125050528545294, (1816, 3) = -.5826949649864319, (1817, 1) = 20.587921522826104, (1817, 2) = .11163694158371226, (1817, 3) = -.5826929407305086, (1818, 1) = 20.588086982777185, (1818, 2) = .11076995245615316, (1818, 3) = -.5826909347648269, (1819, 1) = 20.588250942192786, (1819, 2) = .10990408255731406, (1819, 3) = -.5826889470215254, (1820, 1) = 20.588413406590348, (1820, 2) = .10903932898397461, (1820, 3) = -.582686977433064, (1821, 1) = 20.588574381461825, (1821, 2) = .1081756888436849, (1821, 3) = -.5826850259322183, (1822, 1) = 20.58873387227629, (1822, 2) = .10731315924182026, (1822, 3) = -.5826830924520527, (1823, 1) = 20.58889188447605, (1823, 2) = .10645173730261398, (1823, 3) = -.5826811769259627, (1824, 1) = 20.589048423477102, (1824, 2) = .10559142016778221, (1824, 3) = -.5826792792876728, (1825, 1) = 20.58920349467056, (1825, 2) = .1047322049900698, (1825, 3) = -.5826773994712171, (1826, 1) = 20.58935710342265, (1826, 2) = .10387408893319071, (1826, 3) = -.5826755374109387, (1827, 1) = 20.589509255074983, (1827, 2) = .10301706917177492, (1827, 3) = -.5826736930414893, (1828, 1) = 20.589659954944622, (1828, 2) = .10216114289131031, (1828, 3) = -.5826718662978247, (1829, 1) = 20.58980920832426, (1829, 2) = .101306307288089, (1829, 3) = -.5826700571152064, (1830, 1) = 20.589957020482352, (1830, 2) = .10045255956915115, (1830, 3) = -.5826682654291966, (1831, 1) = 20.590103396663626, (1831, 2) = 0.9959989694985717e-1, (1831, 3) = -.5826664911756526, (1832, 1) = 20.59024834209096, (1832, 2) = 0.9874831664366499e-1, (1832, 3) = -.5826647342907045, (1833, 1) = 20.590391861961226, (1833, 2) = 0.9789781588712795e-1, (1833, 3) = -.5826629947108065, (1834, 1) = 20.590533961447147, (1834, 2) = 0.9704839192996935e-1, (1834, 3) = -.5826612723727141, (1835, 1) = 20.59067464569786, (1835, 2) = 0.962000420323893e-1, (1835, 3) = -.5826595672134737, (1836, 1) = 20.590813919839096, (1836, 2) = 0.9535276346501025e-1, (1836, 3) = -.5826578791704247, (1837, 1) = 20.590951788973307, (1837, 2) = 0.9450655350882531e-1, (1837, 3) = -.5826562081811971, (1838, 1) = 20.59108825817975, (1838, 2) = 0.9366140945514562e-1, (1838, 3) = -.5826545541837082, (1839, 1) = 20.591223332514662, (1839, 2) = 0.9281732860554859e-1, (1839, 3) = -.5826529171161619, (1840, 1) = 20.591357017011376, (1840, 2) = 0.9197430827182583e-1, (1840, 3) = -.5826512969170466, (1841, 1) = 20.591489316681372, (1841, 2) = 0.9113234577040732e-1, (1841, 3) = -.5826496935251256, (1842, 1) = 20.591620236514522, (1842, 2) = 0.9029143842030371e-1, (1842, 3) = -.5826481068794273, (1843, 1) = 20.59174978147625, (1843, 2) = 0.8945158356329756e-1, (1843, 3) = -.582646536919286, (1844, 1) = 20.591877956509443, (1844, 2) = 0.8861277855174932e-1, (1844, 3) = -.5826449835843168, (1845, 1) = 20.592004766534757, (1845, 2) = 0.8777502074797869e-1, (1845, 3) = -.5826434468144092, (1846, 1) = 20.5921302164507, (1846, 2) = 0.8693830752421451e-1, (1846, 3) = -.5826419265497307, (1847, 1) = 20.592254311133757, (1847, 2) = 0.8610263626254454e-1, (1847, 3) = -.5826404227307193, (1848, 1) = 20.592377055438558, (1848, 2) = 0.8526800435486738e-1, (1848, 3) = -.5826389352980865, (1849, 1) = 20.59249845419794, (1849, 2) = 0.8443440920284329e-1, (1849, 3) = -.5826374641928167, (1850, 1) = 20.592618512223083, (1850, 2) = 0.8360184821783842e-1, (1850, 3) = -.5826360093561589, (1851, 1) = 20.592737234305073, (1851, 2) = 0.8277031881111498e-1, (1851, 3) = -.5826345707296158, (1852, 1) = 20.592854625213338, (1852, 2) = 0.8193981840470038e-1, (1852, 3) = -.5826331482549588, (1853, 1) = 20.59297068969474, (1853, 2) = 0.8111034443903216e-1, (1853, 3) = -.5826317418742377, (1854, 1) = 20.593085432475, (1854, 2) = 0.8028189436406745e-1, (1854, 3) = -.5826303515297656, (1855, 1) = 20.593198858258788, (1855, 2) = 0.7945446563923697e-1, (1855, 3) = -.5826289771641179, (1856, 1) = 20.593310971729817, (1856, 2) = 0.786280557333969e-1, (1856, 3) = -.5826276187201295, (1857, 1) = 20.593421777551, (1857, 2) = 0.7780266212478379e-1, (1857, 3) = -.5826262761408942, (1858, 1) = 20.593531280364555, (1858, 2) = 0.7697828230096772e-1, (1858, 3) = -.5826249493697615, (1859, 1) = 20.593639484792128, (1859, 2) = 0.7615491375880669e-1, (1859, 3) = -.5826236383503387, (1860, 1) = 20.59374639543494, (1860, 2) = 0.7533255400360409e-1, (1860, 3) = -.5826223430264836, (1861, 1) = 20.593852016875424, (1861, 2) = 0.7451120053798402e-1, (1861, 3) = -.5826210633422908, (1862, 1) = 20.5939563536746, (1862, 2) = 0.736908508821558e-1, (1862, 3) = -.5826197992421182, (1863, 1) = 20.594059410372783, (1863, 2) = 0.728715025698773e-1, (1863, 3) = -.5826185506705798, (1864, 1) = 20.594161191490272, (1864, 2) = 0.7205315314396761e-1, (1864, 3) = -.5826173175725416, (1865, 1) = 20.594261701527433, (1865, 2) = 0.7123580015626188e-1, (1865, 3) = -.5826160998931141, (1866, 1) = 20.594360944964837, (1866, 2) = 0.7041944116756821e-1, (1866, 3) = -.5826148975776538, (1867, 1) = 20.594458926263343, (1867, 2) = 0.6960407374762274e-1, (1867, 3) = -.5826137105717616, (1868, 1) = 20.594555649864255, (1868, 2) = 0.687896954750481e-1, (1868, 3) = -.5826125388212824, (1869, 1) = 20.594651120189365, (1869, 2) = 0.6797630393730886e-1, (1869, 3) = -.5826113822723009, (1870, 1) = 20.59474534164141, (1870, 2) = 0.6716389672787584e-1, (1870, 3) = -.5826102408711397, (1871, 1) = 20.594838318605035, (1871, 2) = 0.6635247143894818e-1, (1871, 3) = -.5826091145643467, (1872, 1) = 20.594930055444305, (1872, 2) = 0.6554202568283361e-1, (1872, 3) = -.5826080032987225, (1873, 1) = 20.59502055650404, (1873, 2) = 0.6473255708213209e-1, (1873, 3) = -.5826069070213077, (1874, 1) = 20.59510982611016, (1874, 2) = 0.6392406326807264e-1, (1874, 3) = -.5826058256793769, (1875, 1) = 20.59519786856968, (1875, 2) = 0.6311654188047094e-1, (1875, 3) = -.5826047592204394, (1876, 1) = 20.59528468817089, (1876, 2) = 0.62309990567688496e-1, (1876, 3) = -.5826037075922359, (1877, 1) = 20.59537028918339, (1877, 2) = 0.61504406986591896e-1, (1877, 3) = -.5826026707427387, (1878, 1) = 20.59545467585831, (1878, 2) = 0.6069978880251108e-1, (1878, 3) = -.5826016486201505, (1879, 1) = 20.595537852428258, (1879, 2) = 0.59896133689199736e-1, (1879, 3) = -.5826006411729011, (1880, 1) = 20.5956198231081, (1880, 2) = 0.59093439322927724e-1, (1880, 3) = -.582599648349642, (1881, 1) = 20.595700592094946, (1881, 2) = 0.58291703383666967e-1, (1881, 3) = -.5825986700992442, (1882, 1) = 20.595780163566573, (1882, 2) = 0.57490923570164436e-1, (1882, 3) = -.5825977063708179, (1883, 1) = 20.595858541682748, (1883, 2) = 0.5669109758964873e-1, (1883, 3) = -.5825967571136973, (1884, 1) = 20.595935730585275, (1884, 2) = 0.5589222315757068e-1, (1884, 3) = -.5825958222774376, (1885, 1) = 20.596011734398058, (1885, 2) = 0.5509429799756351e-1, (1885, 3) = -.5825949018118146, (1886, 1) = 20.596086557227277, (1886, 2) = 0.54297319841404665e-1, (1886, 3) = -.5825939956668276, (1887, 1) = 20.596160203161425, (1887, 2) = 0.5350128642897746e-1, (1887, 3) = -.5825931037926918, (1888, 1) = 20.59623267627144, (1888, 2) = 0.5270619550823178e-1, (1888, 3) = -.5825922261398391, (1889, 1) = 20.59630398061078, (1889, 2) = 0.5191204483505122e-1, (1889, 3) = -.5825913626589209, (1890, 1) = 20.596374120216318, (1890, 2) = 0.51118832163791615e-1, (1890, 3) = -.5825905133007914, (1891, 1) = 20.59644309910734, (1891, 2) = 0.50326555260101886e-1, (1891, 3) = -.5825896780165233, (1892, 1) = 20.59651092128534, (1892, 2) = 0.49535211903996075e-1, (1892, 3) = -.5825888567574086, (1893, 1) = 20.59657759073466, (1893, 2) = 0.4874479988336369e-1, (1893, 3) = -.5825880494749529, (1894, 1) = 20.59664311142268, (1894, 2) = 0.4795531699393402e-1, (1894, 3) = -.5825872561208705, (1895, 1) = 20.59670748729981, (1895, 2) = 0.4716676103923851e-1, (1895, 3) = -.5825864766470864, (1896, 1) = 20.596770722299638, (1896, 2) = 0.46379129830574586e-1, (1896, 3) = -.5825857110057325, (1897, 1) = 20.596832820339014, (1897, 2) = 0.455924211869685e-1, (1897, 3) = -.5825849591491497, (1898, 1) = 20.5968937853181, (1898, 2) = 0.4480663293513974e-1, (1898, 3) = -.5825842210298829, (1899, 1) = 20.5969536211206, (1899, 2) = 0.4402176290834569e-1, (1899, 3) = -.5825834966006826, (1900, 1) = 20.597012331614465, (1900, 2) = 0.43237808937158506e-1, (1900, 3) = -.5825827858144935, (1901, 1) = 20.59706992065056, (1901, 2) = 0.4245476886830561e-1, (1901, 3) = -.5825820886244698, (1902, 1) = 20.597126392063252, (1902, 2) = 0.41672640559088196e-1, (1902, 3) = -.5825814049839729, (1903, 1) = 20.597181749670625, (1903, 2) = 0.4089142187432078e-1, (1903, 3) = -.5825807348465631, (1904, 1) = 20.597235997274655, (1904, 2) = 0.40111110686295616e-1, (1904, 3) = -.5825800781659995, (1905, 1) = 20.597289138661253, (1905, 2) = 0.3933170487474866e-1, (1905, 3) = -.5825794348962414, (1906, 1) = 20.597341177600374, (1906, 2) = 0.38553202326825575e-1, (1906, 3) = -.5825788049914445, (1907, 1) = 20.59739211784605, (1907, 2) = 0.377756009370458e-1, (1907, 3) = -.5825781884059608, (1908, 1) = 20.597441963136543, (1908, 2) = 0.3699889860726949e-1, (1908, 3) = -.5825775850943373, (1909, 1) = 20.59749071719459, (1909, 2) = 0.36223093243489615e-1, (1909, 3) = -.5825769950113138, (1910, 1) = 20.597538383727716, (1910, 2) = 0.3544818275124513e-1, (1910, 3) = -.582576418111817, (1911, 1) = 20.597584966427238, (1911, 2) = 0.3467416505344319e-1, (1911, 3) = -.5825758543509739, (1912, 1) = 20.59763046896895, (1912, 2) = 0.3390103808112818e-1, (1912, 3) = -.5825753036841036, (1913, 1) = 20.597674895013245, (1913, 2) = 0.33128799772515066e-1, (1913, 3) = -.5825747660667147, (1914, 1) = 20.5977182482052, (1914, 2) = 0.3235744807295663e-1, (1914, 3) = -.5825742414545059, (1915, 1) = 20.59776053217465, (1915, 2) = 0.315869809349115e-1, (1915, 3) = -.5825737298033629, (1916, 1) = 20.59780175053626, (1916, 2) = 0.30817396317909918e-1, (1916, 3) = -.5825732310693599, (1917, 1) = 20.597841906889645, (1917, 2) = 0.30048692188523674e-1, (1917, 3) = -.5825727452087568, (1918, 1) = 20.597881004819417, (1918, 2) = 0.2928086652033143e-1, (1918, 3) = -.5825722721779965, (1919, 1) = 20.597919047895545, (1919, 2) = 0.28513917287734364e-1, (1919, 3) = -.5825718119337057, (1920, 1) = 20.59795603967322, (1920, 2) = 0.27747842469960662e-1, (1920, 3) = -.5825713644326921, (1921, 1) = 20.597991983692484, (1921, 2) = 0.26982640061526685e-1, (1921, 3) = -.5825709296319497, (1922, 1) = 20.598026883478596, (1922, 2) = 0.26218308063876043e-1, (1922, 3) = -.5825705074886552, (1923, 1) = 20.598060742542284, (1923, 2) = 0.25454844485301213e-1, (1923, 3) = -.5825700979601663, (1924, 1) = 20.598093564379678, (1924, 2) = 0.24692247340910776e-1, (1924, 3) = -.5825697010040181, (1925, 1) = 20.598125352472476, (1925, 2) = 0.23930514652599006e-1, (1925, 3) = -.582569316577926, (1926, 1) = 20.598156110287956, (1926, 2) = 0.2316964444901524e-1, (1926, 3) = -.582568944639781, (1927, 1) = 20.598185841279093, (1927, 2) = 0.22409634765533093e-1, (1927, 3) = -.5825685851476534, (1928, 1) = 20.598214548884613, (1928, 2) = 0.21650483643967607e-1, (1928, 3) = -.582568238059785, (1929, 1) = 20.59824223652942, (1929, 2) = 0.20892189123851972e-1, (1929, 3) = -.5825679033345935, (1930, 1) = 20.59826890762407, (1930, 2) = 0.20134749256040203e-1, (1930, 3) = -.5825675809306694, (1931, 1) = 20.598294565564938, (1931, 2) = 0.19378162102647555e-1, (1931, 3) = -.5825672708067788, (1932, 1) = 20.598319213734428, (1932, 2) = 0.18622425732361857e-1, (1932, 3) = -.5825669729218611, (1933, 1) = 20.598342855501073, (1933, 2) = 0.1786753822041335e-1, (1933, 3) = -.5825666872350264, (1934, 1) = 20.59836549421958, (1934, 2) = 0.17113497648545997e-1, (1934, 3) = -.5825664137055535, (1935, 1) = 20.598387133230908, (1935, 2) = 0.16360302104987765e-1, (1935, 3) = -.5825661522928922, (1936, 1) = 20.59840777586236, (1936, 2) = 0.15607949684422114e-1, (1936, 3) = -.5825659029566614, (1937, 1) = 20.598427425427644, (1937, 2) = 0.14856438487958153e-1, (1937, 3) = -.5825656656566465, (1938, 1) = 20.598446085226904, (1938, 2) = 0.14105766621660082e-1, (1938, 3) = -.5825654403527991, (1939, 1) = 20.598463758547094, (1939, 2) = 0.13355932189230087e-1, (1939, 3) = -.5825652270052335, (1940, 1) = 20.59848044866147, (1940, 2) = 0.12606933309023637e-1, (1940, 3) = -.5825650255742354, (1941, 1) = 20.598496158829953, (1941, 2) = 0.11858768107707779e-1, (1941, 3) = -.5825648360202516, (1942, 1) = 20.598510892299156, (1942, 2) = 0.11111434718232688e-1, (1942, 3) = -.5825646583038938, (1943, 1) = 20.598524652302565, (1943, 2) = 0.1036493127980356e-1, (1943, 3) = -.5825644923859358, (1944, 1) = 20.598537442060426, (1944, 2) = 0.9619255937851531e-2, (1944, 3) = -.5825643382273141, (1945, 1) = 20.598549264780043, (1945, 2) = 0.8874406844007091e-2, (1945, 3) = -.5825641957891249, (1946, 1) = 20.59856012365563, (1946, 2) = 0.8130382156072051e-2, (1946, 3) = -.5825640650326249, (1947, 1) = 20.598570021868507, (1947, 2) = 0.73871800379924895e-2, (1947, 3) = -.5825639459192301, (1948, 1) = 20.598578962587172, (1948, 2) = 0.6644798656313258e-2, (1948, 3) = -.5825638384105141, (1949, 1) = 20.59858694896735, (1949, 2) = 0.5903236178042973e-2, (1949, 3) = -.582563742468207, (1950, 1) = 20.598593984151886, (1950, 2) = 0.5162490785048567e-2, (1950, 3) = -.5825636580541991, (1951, 1) = 20.598600071270962, (1951, 2) = 0.4422560665716391e-2, (1951, 3) = -.582563585130536, (1952, 1) = 20.598605213442138, (1952, 2) = 0.3683444014440907e-2, (1952, 3) = -.5825635236594168, (1953, 1) = 20.59860941377043, (1953, 2) = 0.29451390315987057e-2, (1953, 3) = -.5825634736031975, (1954, 1) = 20.59861267534836, (1954, 2) = 0.2207643923522031e-2, (1954, 3) = -.5825634349243857, (1955, 1) = 20.598615001256064, (1955, 2) = 0.14709569024722758e-2, (1955, 3) = -.5825634075856441, (1956, 1) = 20.598616394561244, (1956, 2) = 0.7350761866145509e-3, (1956, 3) = -.5825633915497845, (1957, 1) = 20.59861685831936, (1957, 2) = .0, (1957, 3) = -.5825633867797726}, datatype = float[8], order = C_order); YP := Matrix(1957, 3, {(1, 1) = .0, (1, 2) = 1652.0328791655768, (1, 3) = -209937.0188933394, (2, 1) = 1.9146552521461992, (2, 2) = 1381.8757650221012, (2, 3) = -221663.47589789648, (3, 1) = 3.476062665624943, (3, 2) = 1090.6708199728403, (3, 3) = -238852.9190820739, (4, 1) = 4.66019204710641, (4, 2) = 787.5690423219288, (4, 3) = -237116.26669570946, (5, 1) = 5.47146980271761, (5, 2) = 505.95533898027367, (5, 3) = -204374.65222504307, (6, 1) = 5.960887729053191, (6, 2) = 282.0665822935489, (6, 3) = -148369.76350516945, (7, 1) = 6.214695193503329, (7, 2) = 132.89570827255085, (7, 3) = -89449.32203328445, (8, 1) = 6.324298320427456, (8, 2) = 50.38616547512059, (8, 3) = -44503.60799809749, (9, 1) = 6.360593107747828, (9, 2) = 12.6895847652955, (9, 3) = -18172.970613345973, (10, 1) = 6.366100974953985, (10, 2) = -1.418164853243008, (10, 3) = -5990.295734081455, (11, 1) = 6.361081800836295, (11, 2) = -5.609038155709993, (11, 3) = -1477.7814232087144, (12, 1) = 6.353307795531636, (12, 2) = -6.446184099643742, (12, 3) = -142.30669423978702, (13, 1) = 6.345179178904462, (13, 2) = -6.384154302666129, (13, 3) = 158.7720489420986, (14, 1) = 6.337271126533362, (14, 2) = -6.150482737494599, (14, 3) = 194.1166714397284, (15, 1) = 6.329665933253567, (15, 2) = -5.914097023721733, (15, 3) = 178.33435142645098, (16, 1) = 6.32234396902743, (16, 2) = -5.702132142746637, (16, 3) = 158.11380999925913, (17, 1) = 6.315273873050254, (17, 2) = -5.514045013990423, (17, 3) = 140.71931258870882, (18, 1) = 6.30842797666957, (18, 2) = -5.345937462506289, (18, 3) = 126.33410277838483, (19, 1) = 6.301783316100545, (19, 2) = -5.194401058793858, (19, 3) = 114.33797440885073, (20, 1) = 6.295320742615864, (20, 2) = -5.05677289931709, (20, 3) = 104.2012225226141, (21, 1) = 6.2890240832645645, (21, 2) = -4.93096722801539, (21, 3) = 95.53303369199767, (22, 1) = 6.282879514066236, (22, 2) = -4.815323226514059, (22, 3) = 88.04419920947304, (23, 1) = 6.276875095996, (23, 2) = -4.708497474342716, (23, 3) = 81.51640086482094, (24, 1) = 6.271000425079112, (24, 2) = -4.609388372321973, (24, 3) = 75.78168797809332, (25, 1) = 6.2652463632739455, (25, 2) = -4.517081853338465, (25, 3) = 70.70872055019204, (26, 1) = 6.2596048280595165, (26, 2) = -4.430811530191452, (26, 3) = 66.19331268928322, (27, 1) = 6.2540686278330835, (27, 2) = -4.34992891586239, (27, 3) = 62.15177629621232, (28, 1) = 6.248631326065719, (28, 2) = -4.2738807200361135, (28, 3) = 58.51613322307514, (29, 1) = 6.2432871332200675, (29, 2) = -4.20219136569151, (29, 3) = 55.23061226337813, (30, 1) = 6.2380308185226365, (30, 2) = -4.134449327591535, (30, 3) = 52.24904345336286, (31, 1) = 6.232857634735667, (31, 2) = -4.07029630101403, (31, 3) = 49.53289054083344, (32, 1) = 6.227763257202543, (32, 2) = -4.009418571771668, (32, 3) = 47.04974820194327, (33, 1) = 6.22274373302986, (33, 2) = -3.95154005848754, (33, 3) = 44.77217999215322, (34, 1) = 6.217795436799169, (34, 2) = -3.8964166355986074, (34, 3) = 42.67680948676365, (35, 1) = 6.212915033294554, (35, 2) = -3.843831482825408, (35, 3) = 40.743603264959546, (36, 1) = 6.208099445566098, (36, 2) = -3.7935912426913614, (36, 3) = 38.95529997366068, (37, 1) = 6.20334582741694, (37, 2) = -3.7455228240544143, (37, 3) = 37.29695195530172, (38, 1) = 6.198651539581552, (38, 2) = -3.699470726226031, (38, 3) = 35.755554421276145, (39, 1) = 6.1940141290029835, (39, 2) = -3.655294785708912, (39, 3) = 34.319743316474394, (40, 1) = 6.189431310726767, (40, 2) = -3.61286826838284, (40, 3) = 32.97954752093635, (41, 1) = 6.184900952017666, (41, 2) = -3.572076245890509, (41, 3) = 31.72618435042357, (42, 1) = 6.18042105802784, (42, 2) = -3.5328142042406547, (42, 3) = 30.551889726964863, (43, 1) = 6.175989759840632, (43, 2) = -3.494986854939419, (43, 3) = 29.449776637523794, (44, 1) = 6.171605304301146, (44, 2) = -3.4585071125106386, (44, 3) = 28.41371647595679, (45, 1) = 6.167266042806563, (45, 2) = -3.4232951907538456, (45, 3) = 27.43823850457185, (46, 1) = 6.162970423148149, (46, 2) = -3.3892778327970436, (46, 3) = 26.518445186152388, (47, 1) = 6.158716981779321, (47, 2) = -3.3563876354530624, (47, 3) = 25.64994006438558, (48, 1) = 6.1545043373508435, (48, 2) = -3.3245624611269458, (48, 3) = 24.82876626539936, (49, 1) = 6.150331182834082, (49, 2) = -3.293744905743477, (49, 3) = 24.051353382323263, (50, 1) = 6.146196280921816, (50, 2) = -3.26388184906259, (50, 3) = 23.314472273653784, (51, 1) = 6.142098459101132, (51, 2) = -3.234924051079847, (51, 3) = 22.615195861597922, (52, 1) = 6.138036604692212, (52, 2) = -3.2068257908024167, (52, 3) = 21.950865084127674, (53, 1) = 6.134009660616544, (53, 2) = -3.1795445473171937, (53, 3) = 21.31905935666238, (54, 1) = 6.130016621544656, (54, 2) = -3.153040715658208, (54, 3) = 20.717570819438137, (55, 1) = 6.1260565303816845, (55, 2) = -3.1272773530507774, (55, 3) = 20.144381819508382, (56, 1) = 6.122128475055844, (56, 2) = -3.102219951758156, (56, 3) = 19.59764516862954, (57, 1) = 6.118231585550077, (57, 2) = -3.0778362351093365, (57, 3) = 19.075666783732284, (58, 1) = 6.114365030745584, (58, 2) = -3.0540959714782225, (58, 3) = 18.576890329376045, (59, 1) = 6.11052801723867, (59, 2) = -3.0309708171851, (59, 3) = 18.099883869720966, (60, 1) = 6.106719786237912, (60, 2) = -3.008434162170245, (60, 3) = 17.64332777855731, (61, 1) = 6.1029396112157475, (61, 2) = -2.986460993773385, (61, 3) = 17.20600408576771, (62, 1) = 6.099186796232928, (62, 2) = -2.965027776200467, (62, 3) = 16.786787054369302, (63, 1) = 6.095460674150228, (63, 2) = -2.944112339643578, (63, 3) = 16.38463475065476, (64, 1) = 6.091760604970707, (64, 2) = -2.92369377943623, (64, 3) = 15.998581512707828, (65, 1) = 6.088085974389836, (65, 2) = -2.903752364663692, (65, 3) = 15.627731215109977, (66, 1) = 6.084436192728461, (66, 2) = -2.8842694562237416, (66, 3) = 15.271251258312203, (67, 1) = 6.080810692161664, (67, 2) = -2.8652274225345327, (67, 3) = 14.928366991641699, (68, 1) = 6.077208926791676, (68, 2) = -2.8466095765837127, (68, 3) = 14.598356957711767, (69, 1) = 6.07363037135686, (69, 2) = -2.8284001108611583, (69, 3) = 14.280548464880106, (70, 1) = 6.070074520001881, (70, 2) = -2.810584037574359, (70, 3) = 13.974313590051093, (71, 1) = 6.066540885277362, (71, 2) = -2.793147134493486, (71, 3) = 13.67906557545435, (72, 1) = 6.063028997200141, (72, 2) = -2.7760758950984954, (72, 3) = 13.39425556615897, (73, 1) = 6.059538402233705, (73, 2) = -2.759357481984407, (73, 3) = 13.119369634988322, (74, 1) = 6.056068662394491, (74, 2) = -2.742979684215854, (74, 3) = 12.853926090839433, (75, 1) = 6.052619355558644, (75, 2) = -2.7269308832547807, (75, 3) = 12.597473107734348, (76, 1) = 6.049190073492816, (76, 2) = -2.711200010830909, (76, 3) = 12.349586398426462, (77, 1) = 6.045780421515482, (77, 2) = -2.695776517123072, (77, 3) = 12.109867203063278, (78, 1) = 6.042390017929428, (78, 2) = -2.6806503400665607, (78, 3) = 11.87794043796578, (79, 1) = 6.039018493424982, (79, 2) = -2.6658118765868344, (79, 3) = 11.653452989835237, (80, 1) = 6.035665490523924, (80, 2) = -2.6512519559115217, (80, 3) = 11.436072161348708, (81, 1) = 6.03233066304206, (81, 2) = -2.6369618147046663, (81, 3) = 11.225484239045818, (82, 1) = 6.029013675589112, (82, 2) = -2.622933073960856, (82, 3) = 11.021393181525879, (83, 1) = 6.025714203243766, (83, 2) = -2.6091577180961063, (83, 3) = 10.823519422758093, (84, 1) = 6.022431931236275, (84, 2) = -2.5956280753758922, (84, 3) = 10.631598769051962, (85, 1) = 6.019166553360999, (85, 2) = -2.5823367944138433, (85, 3) = 10.445381307486977, (86, 1) = 6.015917772879205, (86, 2) = -2.5692768321199706, (86, 3) = 10.264630543001106, (87, 1) = 6.01268530181874, (87, 2) = -2.556441435984486, (87, 3) = 10.089122508082593, (88, 1) = 6.0094688605379245, (88, 2) = -2.54382412846843, (88, 3) = 9.91864495291347, (89, 1) = 6.00626817738888, (89, 2) = -2.531418692704075, (89, 3) = 9.752996604067068, (90, 1) = 6.003082988130501, (90, 2) = -2.5192191580774486, (90, 3) = 9.591986460852059, (91, 1) = 5.99991303604269, (91, 2) = -2.5072197892946706, (91, 3) = 9.435433181814261, (92, 1) = 5.996758071985384, (92, 2) = -2.4954150758473586, (92, 3) = 9.283164507796746, (93, 1) = 5.993617853245436, (93, 2) = -2.4837997176002893, (93, 3) = 9.135016669775675, (94, 1) = 5.990492143646906, (94, 2) = -2.4723686158160385, (94, 3) = 8.990833897608153, (95, 1) = 5.987380713311361, (95, 2) = -2.4611168634001395, (95, 3) = 8.850467947844237, (96, 1) = 5.98428333842197, (96, 2) = -2.4500397356918566, (96, 3) = 8.713777660486507, (97, 1) = 5.9811998009988985, (97, 2) = -2.4391326817920205, (97, 3) = 8.58062854981479, (98, 1) = 5.978129888685299, (98, 2) = -2.4283913163910142, (98, 3) = 8.45089242089386, (99, 1) = 5.975073394546551, (99, 2) = -2.4178114120742142, (99, 3) = 8.324447012440043, (100, 1) = 5.972030116878856, (100, 2) = -2.4073888920618303, (100, 3) = 8.201175664020631, (101, 1) = 5.968999859217288, (101, 2) = -2.397119823996558, (101, 3) = 8.08096701157455, (102, 1) = 5.965982430015329, (102, 2) = -2.387000412946729, (102, 3) = 7.963714691351432, (103, 1) = 5.962977641704867, (103, 2) = -2.3770269927237297, (103, 3) = 7.849317036161757, (104, 1) = 5.95998531160612, (104, 2) = -2.3671960237092544, (104, 3) = 7.737676865225819, (105, 1) = 5.957005261121564, (105, 2) = -2.3575040851998086, (105, 3) = 7.628701218412978, (106, 1) = 5.954037316595756, (106, 2) = -2.3479478734876285, (106, 3) = 7.5223011713213355, (107, 1) = 5.95108130824967, (107, 2) = -2.3385241938934245, (107, 3) = 7.418391588122703, (108, 1) = 5.948137070135266, (108, 2) = -2.3292299564192933, (108, 3) = 7.316890930570981, (109, 1) = 5.945204440132894, (109, 2) = -2.3200621717398717, (109, 3) = 7.217721076973531, (110, 1) = 5.942283259821079, (110, 2) = -2.311017946985703, (110, 3) = 7.120807146967976, (111, 1) = 5.939373374348344, (111, 2) = -2.3020944817308755, (111, 3) = 7.0260773400447665, (112, 1) = 5.936474632326634, (112, 2) = -2.2932890642327677, (112, 3) = 6.933462779406478, (113, 1) = 5.933586885721727, (113, 2) = -2.2845990678355905, (113, 3) = 6.842897369322079, (114, 1) = 5.930709989748026, (114, 2) = -2.2760219475510755, (114, 3) = 6.754317657739536, (115, 1) = 5.9278438027675495, (115, 2) = -2.2675552368062313, (115, 3) = 6.667662707921387, (116, 1) = 5.924988186192971, (116, 2) = -2.2591965443482915, (116, 3) = 6.5828739767591635, (117, 1) = 5.9221430043944245, (117, 2) = -2.2509435512983877, (117, 3) = 6.499895202075098, (118, 1) = 5.919308124610447, (118, 2) = -2.242794008346546, (118, 3) = 6.418672292411758, (119, 1) = 5.916483417155086, (119, 2) = -2.234745733909237, (119, 3) = 6.339153235417413, (120, 1) = 5.913668754653405, (120, 2) = -2.226796609627033, (120, 3) = 6.261287980206856, (121, 1) = 5.9108640118949465, (121, 2) = -2.2189445777956514, (121, 3) = 6.185028347512824, (122, 1) = 5.908069067112131, (122, 2) = -2.2111876428454527, (122, 3) = 6.110327979268729, (123, 1) = 5.905283800672667, (123, 2) = -2.203523865638823, (123, 3) = 6.037142222512122, (124, 1) = 5.902508095324792, (124, 2) = -2.1959513622559554, (124, 3) = 5.965428062186261, (125, 1) = 5.899741836146032, (125, 2) = -2.188468302024161, (125, 3) = 5.895144048060703, (126, 1) = 5.896984910477207, (126, 2) = -2.1810729055884917, (126, 3) = 5.8262502253392805, (127, 1) = 5.894237207858807, (127, 2) = -2.173763443067436, (127, 3) = 5.758708069566593, (128, 1) = 5.891498619972251, (128, 2) = -2.1665382322958266, (128, 3) = 5.692480423561026, (129, 1) = 5.8887690405905495, (129, 2) = -2.159395637163025, (129, 3) = 5.627531439750322, (130, 1) = 5.886048365496941, (130, 2) = -2.1523340659340695, (130, 3) = 5.563826522031678, (131, 1) = 5.883336492439404, (131, 2) = -2.1453519697298318, (131, 3) = 5.501332274644002, (132, 1) = 5.8806333210797535, (132, 2) = -2.138447841052686, (132, 3) = 5.440016450007862, (133, 1) = 5.87793875294229, (133, 2) = -2.131620212368386, (133, 3) = 5.379847901253415, (134, 1) = 5.875252691330851, (134, 2) = -2.124867654663498, (134, 3) = 5.320796535303039, (135, 1) = 5.8725750410047866, (135, 2) = -2.118188775459944, (135, 3) = 5.262833264962541, (136, 1) = 5.869905709028272, (136, 2) = -2.111582219803254, (136, 3) = 5.205929985631844, (137, 1) = 5.8672446040330986, (137, 2) = -2.105046667313921, (137, 3) = 5.1500595202930715, (138, 1) = 5.864591636444744, (138, 2) = -2.098580831701887, (138, 3) = 5.095195589560673, (139, 1) = 5.861946718024315, (139, 2) = -2.092183458645504, (139, 3) = 5.041312765029196, (140, 1) = 5.8593097617092305, (140, 2) = -2.085853324471273, (140, 3) = 4.988386434576313, (141, 1) = 5.856680682269325, (141, 2) = -2.079589236819628, (141, 3) = 4.936392784282501, (142, 1) = 5.854059395947771, (142, 2) = -2.0733900328811794, (142, 3) = 4.88530875974149, (143, 1) = 5.851445820422087, (143, 2) = -2.0672545784515535, (143, 3) = 4.835112037346199, (144, 1) = 5.84883987476859, (144, 2) = -2.0611817670279864, (144, 3) = 4.785780995789258, (145, 1) = 5.846241479427939, (145, 2) = -2.055170518940728, (145, 3) = 4.737294689410853, (146, 1) = 5.843650556171752, (146, 2) = -2.0492197805175447, (146, 3) = 4.689632822328393, (147, 1) = 5.841067028070303, (147, 2) = -2.0433285232799805, (147, 3) = 4.642775723170424, (148, 1) = 5.838490819474692, (148, 2) = -2.0374957432003273, (148, 3) = 4.596704323368401, (149, 1) = 5.835921855970993, (149, 2) = -2.0317204599211878, (149, 3) = 4.551400133376476, (150, 1) = 5.833360064206767, (150, 2) = -2.0260017157183743, (150, 3) = 4.506845219085098, (151, 1) = 5.830805371928848, (151, 2) = -2.020338574968215, (151, 3) = 4.463022182409725, (152, 1) = 5.828257708575108, (152, 2) = -2.014730124847069, (152, 3) = 4.419914152772324, (153, 1) = 5.825717004410727, (153, 2) = -2.0091754728260662, (153, 3) = 4.377504752883324, (154, 1) = 5.823183190770669, (154, 2) = -2.0036737466569643, (154, 3) = 4.3357780862018505, (155, 1) = 5.8206562000724436, (155, 2) = -1.998224093860528, (155, 3) = 4.294718720319498, (156, 1) = 5.818135966117495, (156, 2) = -1.9928256818472507, (156, 3) = 4.25431167533377, (157, 1) = 5.815622423255624, (157, 2) = -1.9874776956181024, (157, 3) = 4.2145423956444015, (158, 1) = 5.813115506761993, (158, 2) = -1.982179338106988, (158, 3) = 4.175396740525782, (159, 1) = 5.81061515310337, (159, 2) = -1.9769298302742317, (159, 3) = 4.136860974474229, (160, 1) = 5.808121299697029, (160, 2) = -1.9717284101378396, (160, 3) = 4.098921750234144, (161, 1) = 5.805633884895562, (161, 2) = -1.9665743323057203, (161, 3) = 4.061566095366263, (162, 1) = 5.803152847966173, (162, 2) = -1.961466867511348, (162, 3) = 4.024781398671471, (163, 1) = 5.800678129036949, (163, 2) = -1.9564053020967154, (163, 3) = 3.9885553987314224, (164, 1) = 5.798209668836224, (164, 2) = -1.951388937092912, (164, 3) = 3.9528761673169917, (165, 1) = 5.795747409485525, (165, 2) = -1.9464170894533603, (165, 3) = 3.9177321103680227, (166, 1) = 5.793291293830979, (166, 2) = -1.9414890903142143, (166, 3) = 3.8831119482787506, (167, 1) = 5.790841265427183, (167, 2) = -1.9366042846143408, (167, 3) = 3.849004704490087, (168, 1) = 5.788397268647875, (168, 2) = -1.9317620309771621, (168, 3) = 3.8153996976524756, (169, 1) = 5.785959248632499, (169, 2) = -1.9269617012724076, (169, 3) = 3.7822865316228196, (170, 1) = 5.783527151286314, (170, 2) = -1.9222026802958747, (170, 3) = 3.749655085839563, (171, 1) = 5.781100923266672, (171, 2) = -1.9174843654318527, (171, 3) = 3.7174955074321385, (172, 1) = 5.778680511967268, (172, 2) = -1.9128061663217104, (172, 3) = 3.685798201482689, (173, 1) = 5.776265865535476, (173, 2) = -1.908167504605639, (173, 3) = 3.6545538248536427, (174, 1) = 5.773856933145518, (174, 2) = -1.9035678141586703, (174, 3) = 3.623753279414805, (175, 1) = 5.7714536640662, (175, 2) = -1.899006539035133, (175, 3) = 3.5933876944886234, (176, 1) = 5.769056008343184, (176, 2) = -1.8944831345215374, (176, 3) = 3.56344842849275, (177, 1) = 5.766663916842127, (177, 2) = -1.8899970669550907, (177, 3) = 3.5339270616776868, (178, 1) = 5.764277340916454, (178, 2) = -1.8855478128490304, (178, 3) = 3.5048153850805805, (179, 1) = 5.7618962325917655, (179, 2) = -1.8811348590016066, (179, 3) = 3.476105397940664, (180, 1) = 5.759520544914288, (180, 2) = -1.8767577029010338, (180, 3) = 3.447789304368249, (181, 1) = 5.757150231271227, (181, 2) = -1.8724158512367117, (181, 3) = 3.4198594990949394, (182, 1) = 5.754785245639776, (182, 2) = -1.8681088201469251, (182, 3) = 3.392308565556106, (183, 1) = 5.752425542584878, (183, 2) = -1.8638361350027421, (183, 3) = 3.365129269248342, (184, 1) = 5.750071077247675, (184, 2) = -1.859597330181133, (184, 3) = 3.3383145536756254, (185, 1) = 5.747721805334192, (185, 2) = -1.8553919488448674, (185, 3) = 3.3118575335252958, (186, 1) = 5.74537768310467, (186, 2) = -1.8512195427295013, (186, 3) = 3.2857514906856293, (187, 1) = 5.743038667384207, (187, 2) = -1.8470796719739284, (187, 3) = 3.259989869064998, (188, 1) = 5.740704715522624, (188, 2) = -1.842971904866192, (188, 3) = 3.2345662699575004, (189, 1) = 5.738375785379055, (189, 2) = -1.8388958176395631, (189, 3) = 3.209474446034055, (190, 1) = 5.736051835325034, (190, 2) = -1.8348509943064664, (190, 3) = 3.1847082991061915, (191, 1) = 5.73373282430186, (191, 2) = -1.8308370265901996, (191, 3) = 3.16026187496527, (192, 1) = 5.7314187119636735, (192, 2) = -1.8268535140050959, (192, 3) = 3.1361293617746404, (193, 1) = 5.729109457574927, (193, 2) = -1.8229000618061872, (193, 3) = 3.1123050737559157, (194, 1) = 5.726805021595408, (194, 2) = -1.8189762835682188, (194, 3) = 3.0887834646909544, (195, 1) = 5.724505364916487, (195, 2) = -1.8150817997132056, (195, 3) = 3.06555911654832, (196, 1) = 5.722210448789985, (196, 2) = -1.811216237248103, (196, 3) = 3.0426267335925155, (197, 1) = 5.719920234942051, (197, 2) = -1.8073792298188178, (197, 3) = 3.0199811428590775, (198, 1) = 5.717634685518084, (198, 2) = -1.803570417480954, (198, 3) = 2.997617287311765, (199, 1) = 5.7153537630890066, (199, 2) = -1.7997894465781732, (199, 3) = 2.9755302255256013, (200, 1) = 5.713077430650023, (200, 2) = -1.7960359696113752, (200, 3) = 2.953715126394388, (201, 1) = 5.710805651612892, (201, 2) = -1.7923096451003666, (201, 3) = 2.9321672670674293, (202, 1) = 5.708538389798341, (202, 2) = -1.7886101374493384, (202, 3) = 2.910882030460122, (203, 1) = 5.706275609428641, (203, 2) = -1.784937116815986, (203, 3) = 2.889854901130856, (204, 1) = 5.704017275120377, (204, 2) = -1.781290258984284, (204, 3) = 2.869081464141382, (205, 1) = 5.701763351877056, (205, 2) = -1.7776692452400362, (205, 3) = 2.848557399726168, (206, 1) = 5.699513804884339, (206, 2) = -1.7740737619350297, (206, 3) = 2.828278482494147, (207, 1) = 5.697268599916931, (207, 2) = -1.770503501033834, (207, 3) = 2.8082405797565633, (208, 1) = 5.69502770332508, (208, 2) = -1.7669581599799937, (208, 3) = 2.7884396504911977, (209, 1) = 5.692791081707858, (209, 2) = -1.7634374410737024, (209, 3) = 2.768871739661518, (210, 1) = 5.690558702158185, (210, 2) = -1.7599410517609093, (210, 3) = 2.749532977682581, (211, 1) = 5.688330531538575, (211, 2) = -1.7564687034063282, (211, 3) = 2.730419572545066, (212, 1) = 5.686106537337006, (212, 2) = -1.753020112546482, (212, 3) = 2.711527815616765, (213, 1) = 5.683886687418377, (213, 2) = -1.7495950004053247, (213, 3) = 2.6928540759597808, (214, 1) = 5.6816709499774545, (214, 2) = -1.7461930927319882, (214, 3) = 2.6743947999906803, (215, 1) = 5.679459293533094, (215, 2) = -1.7428141197058982, (215, 3) = 2.6561465076067106, (216, 1) = 5.677251686942779, (216, 2) = -1.7394578158746774, (216, 3) = 2.6381057918723987, (217, 1) = 5.675048099382309, (217, 2) = -1.736123920041005, (217, 3) = 2.620269315743312, (218, 1) = 5.672848500310911, (218, 2) = -1.7328121751301644, (218, 3) = 2.6026338115893632, (219, 1) = 5.670652859407827, (219, 2) = -1.7295223280184413, (219, 3) = 2.585196077438357, (220, 1) = 5.668461146517656, (220, 2) = -1.7262541293788531, (220, 3) = 2.5679529760290896, (221, 1) = 5.6662733322513725, (221, 2) = -1.7230073345017434, (221, 3) = 2.550901438017269, (222, 1) = 5.66408938728537, (222, 2) = -1.7197817021730382, (222, 3) = 2.534038453434732, (223, 1) = 5.661909282539989, (223, 2) = -1.716576994873566, (223, 3) = 2.517361073612955, (224, 1) = 5.659732989213105, (224, 2) = -1.7133929787609814, (224, 3) = 2.500866408533733, (225, 1) = 5.657560478776598, (225, 2) = -1.710229423597693, (225, 3) = 2.484551625904243, (226, 1) = 5.65539172300184, (226, 2) = -1.7070861027224382, (226, 3) = 2.4684139501024878, (227, 1) = 5.653226694074135, (227, 2) = -1.703962793150311, (227, 3) = 2.4524506612319716, (228, 1) = 5.651065364409886, (228, 2) = -1.7008592752437064, (228, 3) = 2.436659093160824, (229, 1) = 5.648907706221496, (229, 2) = -1.697775332032326, (229, 3) = 2.421036628646817, (230, 1) = 5.646753692263811, (230, 2) = -1.6947107502286707, (230, 3) = 2.405580703138465, (231, 1) = 5.644603295552859, (231, 2) = -1.6916653197632034, (231, 3) = 2.39028880248776, (232, 1) = 5.64245648933224, (232, 2) = -1.6886388336802753, (232, 3) = 2.3751584610888856, (233, 1) = 5.640313246849317, (233, 2) = -1.6856310877701728, (233, 3) = 2.3601872592604503, (234, 1) = 5.638173541978599, (234, 2) = -1.682641881391732, (234, 3) = 2.345372825963779, (235, 1) = 5.636037348813102, (235, 2) = -1.679671016840383, (235, 3) = 2.330712836034758, (236, 1) = 5.633904641581443, (236, 2) = -1.6767182991828535, (236, 3) = 2.316205007555537, (237, 1) = 5.631775394704577, (237, 2) = -1.6737835362880211, (237, 3) = 2.3018471014526907, (238, 1) = 5.629649582816445, (238, 2) = -1.6708665388073007, (238, 3) = 2.2876369213995336, (239, 1) = 5.627527180767106, (239, 2) = -1.6679671201313204, (239, 3) = 2.2735723115088966, (240, 1) = 5.625408163619222, (240, 2) = -1.6650850963384958, (240, 3) = 2.259651156793329, (241, 1) = 5.623292506644597, (241, 2) = -1.6622202861447963, (241, 3) = 2.2458713813522717, (242, 1) = 5.621180185320803, (242, 2) = -1.6593725108546291, (242, 3) = 2.232230948157514, (243, 1) = 5.619071175327836, (243, 2) = -1.6565415943128345, (243, 3) = 2.218727857311445, (244, 1) = 5.616965452545041, (244, 2) = -1.6537273628580342, (244, 3) = 2.205360145797121, (245, 1) = 5.614862993293312, (245, 2) = -1.6509296456026346, (245, 3) = 2.1921258883991324, (246, 1) = 5.612763773755767, (246, 2) = -1.64814827361923, (246, 3) = 2.179023192624628, (247, 1) = 5.610667770049588, (247, 2) = -1.6453830800048974, (247, 3) = 2.1660501989117438, (248, 1) = 5.608574959050236, (248, 2) = -1.6426339009298827, (248, 3) = 2.1532050846771917, (249, 1) = 5.606485317594049, (249, 2) = -1.639900574542703, (249, 3) = 2.1404860586819416, (250, 1) = 5.604398822690977, (250, 2) = -1.6371829412157568, (250, 3) = 2.127891362472184, (251, 1) = 5.60231545152882, (251, 2) = -1.6344808435146354, (251, 3) = 2.1154192681436097, (252, 1) = 5.600235181470396, (252, 2) = -1.6317941261589632, (252, 3) = 2.1030680794767247, (253, 1) = 5.598157990050733, (253, 2) = -1.6291226359840023, (253, 3) = 2.0908361290232906, (254, 1) = 5.596083854974375, (254, 2) = -1.6264662219031962, (254, 3) = 2.0787217800940927, (255, 1) = 5.594012754143375, (255, 2) = -1.6238247349105293, (255, 3) = 2.0667234241427357, (256, 1) = 5.59194466562156, (256, 2) = -1.6211980280018585, (256, 3) = 2.054839480927888, (257, 1) = 5.589879567607117, (257, 2) = -1.6185859561085185, (257, 3) = 2.04306839796876, (258, 1) = 5.58781743845717, (258, 2) = -1.6159883760977845, (258, 3) = 2.031408648921902, (259, 1) = 5.585758256635837, (259, 2) = -1.6134051466772732, (259, 3) = 2.0198587346599086, (260, 1) = 5.58370200058651, (260, 2) = -1.6108361282071726, (260, 3) = 2.0084171803397513, (261, 1) = 5.5816486493467385, (261, 2) = -1.6082811834388924, (261, 3) = 1.9970825385436128, (262, 1) = 5.579598181949425, (262, 2) = -1.6057401767347084, (262, 3) = 1.9858533865356358, (263, 1) = 5.577550577787058, (263, 2) = -1.603212974492282, (263, 3) = 1.9747283264183075, (264, 1) = 5.575505816015043, (264, 2) = -1.600699444380035, (264, 3) = 1.9637059823546075, (265, 1) = 5.573463875899329, (265, 2) = -1.598199455744519, (265, 3) = 1.952785001143459, (266, 1) = 5.571424736997547, (266, 2) = -1.5957128798052704, (266, 3) = 1.9419640533274818, (267, 1) = 5.56938837898994, (267, 2) = -1.593239589420417, (267, 3) = 1.9312418321614537, (268, 1) = 5.567354781692228, (268, 2) = -1.5907794590773534, (268, 3) = 1.920617052090628, (269, 1) = 5.565323925053464, (269, 2) = -1.5883323648654513, (269, 3) = 1.9100884491049757, (270, 1) = 5.5632957891539245, (270, 2) = -1.585898184449345, (270, 3) = 1.899654780560698, (271, 1) = 5.561270354190114, (271, 2) = -1.5834767970273242, (271, 3) = 1.8893148236110637, (272, 1) = 5.55924760027009, (272, 2) = -1.5810680830651702, (272, 3) = 1.8790673752250788, (273, 1) = 5.557227507981718, (273, 2) = -1.5786719249511219, (273, 3) = 1.8689112534614498, (274, 1) = 5.555210058036708, (274, 2) = -1.5762882065455603, (274, 3) = 1.85884529575302, (275, 1) = 5.553195231189987, (275, 2) = -1.5739168130645003, (275, 3) = 1.8488683578421776, (276, 1) = 5.55118300827378, (276, 2) = -1.5715576310998725, (276, 3) = 1.8389793142216853, (277, 1) = 5.549173370231577, (277, 2) = -1.5692105486390742, (277, 3) = 1.8291770576165152, (278, 1) = 5.547166298122265, (278, 2) = -1.5668754550493622, (278, 3) = 1.8194604979911644, (279, 1) = 5.545161773118307, (279, 2) = -1.564552241055589, (279, 3) = 1.8098285631881657, (280, 1) = 5.543159776531116, (280, 2) = -1.5622407987496727, (280, 3) = 1.8002801981576244, (281, 1) = 5.541160290045186, (281, 2) = -1.5599410218394434, (281, 3) = 1.7908143667270136, (282, 1) = 5.539163294962342, (282, 2) = -1.5576528047596254, (282, 3) = 1.7814300453454412, (283, 1) = 5.5371687727740015, (283, 2) = -1.555376043315872, (283, 3) = 1.7721262281240746, (284, 1) = 5.5351767050498175, (284, 2) = -1.553110634538304, (284, 3) = 1.7629019244442425, (285, 1) = 5.533187073627965, (285, 2) = -1.5508564768793032, (285, 3) = 1.7537561607794434, (286, 1) = 5.531199860619659, (286, 2) = -1.5486134701975365, (286, 3) = 1.7446879783176807, (287, 1) = 5.529215048045335, (287, 2) = -1.5463815153287648, (287, 3) = 1.7356964335866167, (288, 1) = 5.527232618022005, (288, 2) = -1.5441605142825228, (288, 3) = 1.726780597077842, (289, 1) = 5.525252552763179, (289, 2) = -1.5419503702254898, (289, 3) = 1.717939553708553, (290, 1) = 5.523274834577275, (290, 2) = -1.539750987463494, (290, 3) = 1.7091724025722537, (291, 1) = 5.5212994458660685, (291, 2) = -1.5375622714238566, (291, 3) = 1.7004782567249945, (292, 1) = 5.519326369123151, (292, 2) = -1.535384128638063, (292, 3) = 1.6918562427229933, (293, 1) = 5.5173555869328474, (293, 2) = -1.5332164667252586, (293, 3) = 1.6833055007642366, (294, 1) = 5.515387082011468, (294, 2) = -1.5310591944222793, (294, 3) = 1.6748251834631156, (295, 1) = 5.513420837148918, (295, 2) = -1.528912221504457, (295, 3) = 1.6664144571749817, (296, 1) = 5.511456835101093, (296, 2) = -1.5267754586544995, (296, 3) = 1.6580725000675718, (297, 1) = 5.5094950586489615, (297, 2) = -1.5246488175145705, (297, 3) = 1.6497985016136305, (298, 1) = 5.507535491087144, (298, 2) = -1.5225322112002924, (298, 3) = 1.6415916667430106, (299, 1) = 5.505578115801345, (299, 2) = -1.5204255538246791, (299, 3) = 1.6334512110085837, (300, 1) = 5.503622915711206, (300, 2) = -1.5183287598881878, (300, 3) = 1.625376360382544, (301, 1) = 5.501669874002504, (301, 2) = -1.5162417450570251, (301, 3) = 1.6173663522100759, (302, 1) = 5.499718974008059, (302, 2) = -1.5141644260200238, (302, 3) = 1.6094204358685527, (303, 1) = 5.497770199142392, (303, 2) = -1.5120967204053712, (303, 3) = 1.6015378719936348, (304, 1) = 5.495823532946003, (304, 2) = -1.5100385468148063, (304, 3) = 1.5937179319300143, (305, 1) = 5.49387895899222, (305, 2) = -1.5079898247124033, (305, 3) = 1.585959897620393, (306, 1) = 5.491936460912042, (306, 2) = -1.50595047443937, (306, 3) = 1.5782630616871758, (307, 1) = 5.489996022407449, (307, 2) = -1.5039204172164269, (307, 3) = 1.57062672672786, (308, 1) = 5.48805762721157, (308, 2) = -1.5018995750907247, (308, 3) = 1.563050205724129, (309, 1) = 5.486121258954552, (309, 2) = -1.4998878707860657, (309, 3) = 1.5555328202084389, (310, 1) = 5.484186901734546, (310, 2) = -1.4978852282849024, (310, 3) = 1.5480739039187568, (311, 1) = 5.482254539584282, (311, 2) = -1.4958915722607735, (311, 3) = 1.540672799195465, (312, 1) = 5.480324156542161, (312, 2) = -1.4939068281428327, (312, 3) = 1.5333288572960178, (313, 1) = 5.478395736727276, (313, 2) = -1.491930922183087, (313, 3) = 1.5260414392440318, (314, 1) = 5.476469264363312, (314, 2) = -1.4899637814700175, (314, 3) = 1.5188099152357655, (315, 1) = 5.474544723682428, (315, 2) = -1.4880053338200003, (315, 3) = 1.5116336642081698, (316, 1) = 5.472622099068961, (316, 2) = -1.4860555079136872, (316, 3) = 1.5045120741847229, (317, 1) = 5.4707013750858335, (317, 2) = -1.484114233311182, (317, 3) = 1.497444541860564, (318, 1) = 5.468782535859156, (318, 2) = -1.4821814398215398, (318, 3) = 1.490430471166233, (319, 1) = 5.466865565815372, (319, 2) = -1.4802570582403987, (319, 3) = 1.4834692749337886, (320, 1) = 5.464950449462899, (320, 2) = -1.4783410201183786, (320, 3) = 1.4765603745544418, (321, 1) = 5.463037171168111, (321, 2) = -1.4764332575284482, (321, 3) = 1.4697031986037785, (322, 1) = 5.461125715653986, (322, 2) = -1.4745337035548565, (322, 3) = 1.4628971844054823, (323, 1) = 5.459216067751513, (323, 2) = -1.472642292033424, (323, 3) = 1.4561417779601176, (324, 1) = 5.457308212239133, (324, 2) = -1.470758957383657, (324, 3) = 1.4494364314255532, (325, 1) = 5.455402133898138, (325, 2) = -1.4688836346563343, (325, 3) = 1.4427806055913892, (326, 1) = 5.453497817558926, (326, 2) = -1.467016259571155, (326, 3) = 1.4361737676257582, (327, 1) = 5.451595248100255, (327, 2) = -1.465156768507727, (327, 3) = 1.4296153923180848, (328, 1) = 5.449694410448235, (328, 2) = -1.4633050984964375, (328, 3) = 1.4231049619010678, (329, 1) = 5.4477952895753115, (329, 2) = -1.4614611872094754, (329, 3) = 1.4166419653043991, (330, 1) = 5.445897870499276, (330, 2) = -1.459624972952005, (330, 3) = 1.4102258980833067, (331, 1) = 5.444002138281004, (331, 2) = -1.4577963946522614, (331, 3) = 1.403856263625142, (332, 1) = 5.442108077852443, (332, 2) = -1.4559753916888525, (332, 3) = 1.3975325697724936, (333, 1) = 5.44021567444013, (333, 2) = -1.45416190429117, (333, 3) = 1.3912543336932033, (334, 1) = 5.438324913567228, (334, 2) = -1.452355873530059, (334, 3) = 1.3850210782940728, (335, 1) = 5.436435780597936, (335, 2) = -1.450557240873584, (335, 3) = 1.3788323328066199, (336, 1) = 5.434548260535948, (336, 2) = -1.448765947992104, (336, 3) = 1.372687631564017, (337, 1) = 5.432662338678379, (337, 2) = -1.4469819373749935, (337, 3) = 1.366586515453902, (338, 1) = 5.430778000372463, (338, 2) = -1.4452051520908207, (338, 3) = 1.3605285322045946, (339, 1) = 5.4288952310022065, (339, 2) = -1.443435535767898, (339, 3) = 1.3545132343194126, (340, 1) = 5.4270140159875115, (340, 2) = -1.4416730325867917, (340, 3) = 1.3485401814558984, (341, 1) = 5.425134340783249, (341, 2) = -1.4399175872729373, (341, 3) = 1.342608937939267, (342, 1) = 5.423256190888204, (342, 2) = -1.4381691450985508, (342, 3) = 1.3367190746486213, (343, 1) = 5.421379551761458, (343, 2) = -1.4364276517986536, (343, 3) = 1.3308701672052254, (344, 1) = 5.419504408912346, (344, 2) = -1.4346930536490465, (344, 3) = 1.3250617972186898, (345, 1) = 5.417630748117222, (345, 2) = -1.432965297659475, (345, 3) = 1.3192935520959066, (346, 1) = 5.415758554998054, (346, 2) = -1.4312443311774548, (346, 3) = 1.3135650237946246, (347, 1) = 5.413887815202354, (347, 2) = -1.4295301020496658, (347, 3) = 1.3078758104989447, (348, 1) = 5.412018514406469, (348, 2) = -1.427822558619192, (348, 3) = 1.302225514667326, (349, 1) = 5.4101506383147315, (349, 2) = -1.4261216497190308, (349, 3) = 1.2966137436715175, (350, 1) = 5.408284172658617, (350, 2) = -1.4244273246657064, (350, 3) = 1.2910401106130758, (351, 1) = 5.406419103196084, (351, 2) = -1.4227395332531252, (351, 3) = 1.285504232902422, (352, 1) = 5.404555415942798, (352, 2) = -1.4210582259554048, (352, 3) = 1.2800057339563615, (353, 1) = 5.4026930967939855, (353, 2) = -1.419383353578724, (353, 3) = 1.274544240727153, (354, 1) = 5.400832131267792, (354, 2) = -1.417714867028331, (354, 3) = 1.2691193850840108, (355, 1) = 5.398972505095823, (355, 2) = -1.4160527178359381, (355, 3) = 1.2637308025039307, (356, 1) = 5.3971142043596405, (356, 2) = -1.4143968582733752, (356, 3) = 1.2583781348650651, (357, 1) = 5.395257214973192, (357, 2) = -1.4127472408840203, (357, 3) = 1.2530610278804126, (358, 1) = 5.393401522856669, (358, 2) = -1.4111038186341829, (358, 3) = 1.2477791312079825, (359, 1) = 5.39154711395003, (359, 2) = -1.4094665449203652, (359, 3) = 1.2425320995576117, (360, 1) = 5.3896939742121965, (360, 2) = -1.4078353735637488, (360, 3) = 1.2373195911989272, (361, 1) = 5.38784208962027, (361, 2) = -1.4062102588048198, (361, 3) = 1.23214126916857, (362, 1) = 5.3859914462192915, (362, 2) = -1.4045911553421817, (362, 3) = 1.2269968003326144, (363, 1) = 5.38414203007124, (363, 2) = -1.402978018282912, (363, 3) = 1.2218858561815507, (364, 1) = 5.382293827204414, (364, 2) = -1.4013708030941632, (364, 3) = 1.2168081113168576, (365, 1) = 5.380446823600229, (365, 2) = -1.3997694655878858, (365, 3) = 1.2117632447594455, (366, 1) = 5.378601005149713, (366, 2) = -1.3981739618798195, (366, 3) = 1.2067509390430649, (367, 1) = 5.376756358122989, (367, 2) = -1.3965842487904865, (367, 3) = 1.2017708813393075, (368, 1) = 5.374912868653137, (368, 2) = -1.3950002833934874, (368, 3) = 1.1968227625256733, (369, 1) = 5.373070523104898, (369, 2) = -1.3934220233286594, (369, 3) = 1.1919062769176765, (370, 1) = 5.371229307422284, (370, 2) = -1.3918494262388226, (370, 3) = 1.1870211226635505, (371, 1) = 5.369389207602398, (371, 2) = -1.3902824501741653, (371, 3) = 1.1821670008821938, (372, 1) = 5.36755020984566, (372, 2) = -1.3887210537150816, (372, 3) = 1.1773436166866105, (373, 1) = 5.365712300317019, (373, 2) = -1.3871651957640034, (373, 3) = 1.1725506787262252, (374, 1) = 5.363875465162255, (374, 2) = -1.3856148355558655, (374, 3) = 1.167787899264912, (375, 1) = 5.36203969053459, (375, 2) = -1.384069932677045, (375, 3) = 1.1630549935531256, (376, 1) = 5.3602049625568755, (376, 2) = -1.3825304470299553, (376, 3) = 1.1583516806995768, (377, 1) = 5.358371267203893, (377, 2) = -1.3809963387315318, (377, 3) = 1.1536776823065897, (378, 1) = 5.356538590823606, (378, 2) = -1.3794675685456805, (378, 3) = 1.149032723972494, (379, 1) = 5.354706919643696, (379, 2) = -1.3779440974654193, (379, 3) = 1.14441653454701, (380, 1) = 5.352876239843521, (380, 2) = -1.376425886770502, (380, 3) = 1.1398288459135277, (381, 1) = 5.351046537621493, (381, 2) = -1.37491289808025, (381, 3) = 1.135269393231133, (382, 1) = 5.3492177992439105, (382, 2) = -1.373405093390196, (382, 3) = 1.1307379144583454, (383, 1) = 5.347390010909595, (383, 2) = -1.3719024349568378, (383, 3) = 1.1262341507211968, (384, 1) = 5.345563158806961, (384, 2) = -1.370404885341927, (384, 3) = 1.1217578462311844, (385, 1) = 5.343737229124512, (385, 2) = -1.3689124074179182, (385, 3) = 1.1173087475439307, (386, 1) = 5.341912208094454, (386, 2) = -1.3674249644003147, (386, 3) = 1.1128866054602846, (387, 1) = 5.340088082148028, (387, 2) = -1.365942519970056, (387, 3) = 1.1084911723937585, (388, 1) = 5.338264837042649, (388, 2) = -1.3644650375618328, (388, 3) = 1.10412220377159, (389, 1) = 5.3364424590196355, (389, 2) = -1.3629924813029692, (389, 3) = 1.099779457288737, (390, 1) = 5.334620934336437, (390, 2) = -1.3615248156284512, (390, 3) = 1.0954626948735444, (391, 1) = 5.332800249204164, (391, 2) = -1.3600620052276544, (391, 3) = 1.0911716801747704, (392, 1) = 5.330980389865674, (392, 2) = -1.3586040151043963, (392, 3) = 1.0869061799802529, (393, 1) = 5.329161342487354, (393, 2) = -1.3571508104873566, (393, 3) = 1.082665963318052, (394, 1) = 5.327343093227226, (394, 2) = -1.3557023568822526, (394, 3) = 1.0784508019474057, (395, 1) = 5.32552562823614, (395, 2) = -1.354258620070062, (395, 3) = 1.0742604698975273, (396, 1) = 5.323708933657079, (396, 2) = -1.3528195661037288, (396, 3) = 1.0700947446393514, (397, 1) = 5.321892995608798, (397, 2) = -1.3513851612926104, (397, 3) = 1.0659534049120032, (398, 1) = 5.320077800020898, (398, 2) = -1.349955372070276, (398, 3) = 1.0618362320726469, (399, 1) = 5.318263333134485, (399, 2) = -1.3485301653866022, (399, 3) = 1.0577430104179943, (400, 1) = 5.31644958113965, (400, 2) = -1.3471095084181046, (400, 3) = 1.053673527277271, (401, 1) = 5.3146365301965, (401, 2) = -1.3456933685823032, (401, 3) = 1.049627571103357, (402, 1) = 5.3128241664353615, (402, 2) = -1.3442817135355953, (402, 3) = 1.0456049339235096, (403, 1) = 5.311012476036725, (403, 2) = -1.3428745112330414, (403, 3) = 1.041605408425822, (404, 1) = 5.309201445238227, (404, 2) = -1.3414717299306769, (404, 3) = 1.037628791833515, (405, 1) = 5.307391059811311, (405, 2) = -1.3400733377787333, (405, 3) = 1.0336748811341332, (406, 1) = 5.305581305757582, (406, 2) = -1.338679303359808, (406, 3) = 1.0297434765750066, (407, 1) = 5.303772169074058, (407, 2) = -1.3372895955038409, (407, 3) = 1.0258343804259373, (408, 1) = 5.301963635561019, (408, 2) = -1.3359041831387886, (408, 3) = 1.0219473968256614, (409, 1) = 5.300155691308635, (409, 2) = -1.334523035661509, (409, 3) = 1.0180823325590536, (410, 1) = 5.298348322374104, (410, 2) = -1.3331461226867245, (410, 3) = 1.0142389968119494, (411, 1) = 5.296541514784559, (411, 2) = -1.3317734140472341, (411, 3) = 1.0104172003910366, (412, 1) = 5.29473525448568, (412, 2) = -1.3304048797530663, (412, 3) = 1.006616756163501, (413, 1) = 5.292929527377946, (413, 2) = -1.3290404900173733, (413, 3) = 1.0028374785398488, (414, 1) = 5.291124319340816, (414, 2) = -1.327680215272851, (414, 3) = .99907918504701, (415, 1) = 5.289319616231974, (415, 2) = -1.3263240261691458, (415, 3) = .9953416937708292, (416, 1) = 5.2875154038865935, (416, 2) = -1.3249718935703305, (416, 3) = .9916248255932891, (417, 1) = 5.285711668106359, (417, 2) = -1.3236237885447428, (417, 3) = .9879284031223, (418, 1) = 5.283908394489395, (418, 2) = -1.3222796822365739, (418, 3) = .9842522499438686, (419, 1) = 5.282105568901183, (419, 2) = -1.320939546215375, (419, 3) = .9805961932038901, (420, 1) = 5.280303177411348, (420, 2) = -1.3196033524244366, (420, 3) = .9769600612014052, (421, 1) = 5.27850120583418, (421, 2) = -1.318271072837428, (421, 3) = .9733436839016484, (422, 1) = 5.276699639645308, (422, 2) = -1.3169426793975376, (422, 3) = .9697468931133721, (423, 1) = 5.274898464501567, (423, 2) = -1.3156181444005555, (423, 3) = .9661695215044934, (424, 1) = 5.273097666032209, (424, 2) = -1.3142974403381582, (424, 3) = .9626114043948218, (425, 1) = 5.271297229837158, (425, 2) = -1.312980539894877, (425, 3) = .9590723790449825, (426, 1) = 5.269497141486213, (426, 2) = -1.3116674159458404, (426, 3) = .9555522834129947, (427, 1) = 5.267697386510289, (427, 2) = -1.3103580415487501, (427, 3) = .952050958245985, (428, 1) = 5.265897950230518, (428, 2) = -1.3090523898184692, (428, 3) = .9485682442365266, (429, 1) = 5.264098818210753, (429, 2) = -1.3077504342541681, (429, 3) = .9451039856975355, (430, 1) = 5.262299976049529, (430, 2) = -1.3064521485851184, (430, 3) = .9416580278802485, (431, 1) = 5.260501409231247, (431, 2) = -1.3051575066615178, (431, 3) = .9382302171234259, (432, 1) = 5.258703103130545, (432, 2) = -1.3038664824568849, (432, 3) = .9348204018141728, (433, 1) = 5.256905043085756, (433, 2) = -1.3025790501197658, (433, 3) = .9314284318512159, (434, 1) = 5.255107214398758, (434, 2) = -1.301295183972179, (434, 3) = .928054158289673, (435, 1) = 5.253309602334203, (435, 2) = -1.3000148585075835, (435, 3) = .9246974340865689, (436, 1) = 5.251512192139168, (436, 2) = -1.2987380484034248, (436, 3) = .9213581130437791, (437, 1) = 5.249714969266957, (437, 2) = -1.29746472867784, (437, 3) = .9180360518220079, (438, 1) = 5.247917918513948, (438, 2) = -1.296194874076905, (438, 3) = .914731106444741, (439, 1) = 5.246121024943674, (439, 2) = -1.2949284597294046, (439, 3) = .9114431357494225, (440, 1) = 5.244324273819503, (440, 2) = -1.2936654610953737, (440, 3) = .9081719999734038, (441, 1) = 5.242527650212247, (441, 2) = -1.2924058536878291, (441, 3) = .9049175603723745, (442, 1) = 5.240731139104044, (442, 2) = -1.291149613145416, (442, 3) = .9016796797621927, (443, 1) = 5.2389347254331575, (443, 2) = -1.2898967152627394, (443, 3) = .8984582220764057, (444, 1) = 5.237138394093105, (444, 2) = -1.2886471359885292, (444, 3) = .8952530528275916, (445, 1) = 5.235342129931802, (445, 2) = -1.287400851423823, (445, 3) = .8920640390359575, (446, 1) = 5.233545917738867, (446, 2) = -1.2861578378119742, (446, 3) = .8888910484070095, (447, 1) = 5.231749742078327, (447, 2) = -1.284918071422266, (447, 3) = .8857339498279898, (448, 1) = 5.2299535877654435, (448, 2) = -1.2836815288781718, (448, 3) = .8825926143539634, (449, 1) = 5.228157439562795, (449, 2) = -1.282448186945129, (449, 3) = .879466913656674, (450, 1) = 5.226361282178673, (450, 2) = -1.2812180225283534, (450, 3) = .8763567215155442, (451, 1) = 5.224565100191589, (451, 2) = -1.27999101262029, (451, 3) = .8732619117963426, (452, 1) = 5.222768878106853, (452, 2) = -1.2787671343387386, (452, 3) = .870182360606462, (453, 1) = 5.220972600449476, (453, 2) = -1.2775463649890249, (453, 3) = .867117944132788, (454, 1) = 5.2191762518623595, (454, 2) = -1.2763286821288118, (454, 3) = .8640685409924264, (455, 1) = 5.217379816425758, (455, 2) = -1.2751140631060607, (455, 3) = .8610340301291728, (456, 1) = 5.215583278368357, (456, 2) = -1.2739024855413794, (456, 3) = .8580142911543317, (457, 1) = 5.213786621735097, (457, 2) = -1.2726939271020836, (457, 3) = .8550092053406235, (458, 1) = 5.211989830798596, (458, 2) = -1.2714883657780496, (458, 3) = .8520186553726342, (459, 1) = 5.2101928898105, (459, 2) = -1.2702857797121092, (459, 3) = .8490425250624706, (460, 1) = 5.208395782927223, (460, 2) = -1.2690861471493184, (460, 3) = .846080698998232, (461, 1) = 5.206598494153216, (461, 2) = -1.2678894463986254, (461, 3) = .8431330636561778, (462, 1) = 5.204801007425737, (462, 2) = -1.266695655889012, (462, 3) = .8401995052706192, (463, 1) = 5.203003306619844, (463, 2) = -1.2655047541719726, (463, 3) = .8372799120736001, (464, 1) = 5.201205375547387, (464, 2) = -1.2643167199199907, (464, 3) = .8343741728382906, (465, 1) = 5.199407197939519, (465, 2) = -1.2631315319142102, (465, 3) = .831482177475257, (466, 1) = 5.197608757285996, (466, 2) = -1.2619491689382276, (466, 3) = .8286038171410474, (467, 1) = 5.1958100373308245, (467, 2) = -1.2607696101033898, (467, 3) = .8257389837406687, (468, 1) = 5.1940110217043385, (468, 2) = -1.2595928346049865, (468, 3) = .8228875703023675, (469, 1) = 5.19221169415581, (469, 2) = -1.2584188218734598, (469, 3) = .8200494714326648, (470, 1) = 5.19041203821345, (470, 2) = -1.2572475513511325, (470, 3) = .8172245824245317, (471, 1) = 5.188612036980153, (471, 2) = -1.2560790023602921, (471, 3) = .814412798814524, (472, 1) = 5.186811673723687, (472, 2) = -1.2549131544870884, (472, 3) = .8116140173109999, (473, 1) = 5.185010931641736, (473, 2) = -1.2537499874273326, (473, 3) = .8088281355511702, (474, 1) = 5.183209793832841, (474, 2) = -1.2525894809670892, (474, 3) = .8060550526568873, (475, 1) = 5.181408243154102, (475, 2) = -1.2514316148908964, (475, 3) = .8032946678239232, (476, 1) = 5.179606262731654, (476, 2) = -1.2502763693092955, (476, 3) = .8005468821749004, (477, 1) = 5.177803835526705, (477, 2) = -1.2491237243782827, (477, 3) = .7978115967971467, (478, 1) = 5.176000944361899, (478, 2) = -1.2479736603161902, (478, 3) = .7950887144588052, (479, 1) = 5.174197572075761, (479, 2) = -1.2468261575017396, (479, 3) = .7923781382189676, (480, 1) = 5.172393701368484, (480, 2) = -1.2456811963749228, (480, 3) = .7896797725335091, (481, 1) = 5.170589314817734, (481, 2) = -1.2445387574469402, (481, 3) = .7869935223384451, (482, 1) = 5.168784394918381, (482, 2) = -1.243398821324984, (482, 3) = .7843192932445715, (483, 1) = 5.166978924044774, (483, 2) = -1.2422613686880213, (483, 3) = .7816569918409155, (484, 1) = 5.165172884368865, (484, 2) = -1.2411263802351373, (484, 3) = .7790065251623526, (485, 1) = 5.163366258586906, (485, 2) = -1.239993837140951, (485, 3) = .7763678028484716, (486, 1) = 5.161559028689265, (486, 2) = -1.238863720282063, (486, 3) = .7737407332058109, (487, 1) = 5.15975117663463, (487, 2) = -1.2377360106614206, (487, 3) = .7711252258058994, (488, 1) = 5.157942684415296, (488, 2) = -1.2366106894480025, (488, 3) = .7685211918684532, (489, 1) = 5.156133534023104, (489, 2) = -1.2354877379542863, (489, 3) = .7659285428260931, (490, 1) = 5.154323707264188, (490, 2) = -1.2343671375205942, (490, 3) = .7633471905644529, (491, 1) = 5.152513185833563, (491, 2) = -1.2332488695613921, (491, 3) = .7607770483776322, (492, 1) = 5.150701951281278, (492, 2) = -1.232132915544195, (492, 3) = .7582180295685232, (493, 1) = 5.148889984936084, (493, 2) = -1.231019256942735, (493, 3) = .7556700488722107, (494, 1) = 5.147077268389242, (494, 2) = -1.2299078755337587, (494, 3) = .7531330215626866, (495, 1) = 5.145263782983709, (495, 2) = -1.2287987530819573, (495, 3) = .7506068632690486, (496, 1) = 5.143449509924273, (496, 2) = -1.2276918714078602, (496, 3) = .7480914909817282, (497, 1) = 5.1416344303135855, (497, 2) = -1.2265872124096813, (497, 3) = .745586821895921, (498, 1) = 5.139818525197176, (498, 2) = -1.2254847580903445, (498, 3) = .7430927741057254, (499, 1) = 5.138001775569114, (499, 2) = -1.224384490560253, (499, 3) = .7406092665710561, (500, 1) = 5.136184162263852, (500, 2) = -1.223286391971356, (500, 3) = .7381362188936275, (501, 1) = 5.134365666020841, (501, 2) = -1.2221904445561846, (501, 3) = .7356735506343627, (502, 1) = 5.132546267317584, (502, 2) = -1.221096630527276, (502, 3) = .7332211833016737, (503, 1) = 5.130725946607263, (503, 2) = -1.22000493222038, (503, 3) = .7307790377542331, (504, 1) = 5.128904684237542, (504, 2) = -1.2189153320451083, (504, 3) = .7283470362260682, (505, 1) = 5.127082460442179, (505, 2) = -1.2178278124796733, (505, 3) = .7259251013995313, (506, 1) = 5.1252592553394924, (506, 2) = -1.2167423560697745, (506, 3) = .723513156653256, (507, 1) = 5.12343504893103, (507, 2) = -1.2156589454276714, (507, 3) = .7211111260615866, (508, 1) = 5.1216098210439585, (508, 2) = -1.2145775631978946, (508, 3) = .7187189340501939, (509, 1) = 5.11978355147336, (509, 2) = -1.2134981921415087, (509, 3) = .7163365059544019, (510, 1) = 5.117956220031751, (510, 2) = -1.2124208151645322, (510, 3) = .7139637679338982, (511, 1) = 5.116127806238618, (511, 2) = -1.2113454151344154, (511, 3) = .7116006461646235, (512, 1) = 5.11429828948619, (512, 2) = -1.2102719749783235, (512, 3) = .7092470681175075, (513, 1) = 5.11246764903983, (513, 2) = -1.2092004776832772, (513, 3) = .7069029609959085, (514, 1) = 5.11063586403634, (514, 2) = -1.2081309062950998, (514, 3) = .7045682532976139, (515, 1) = 5.108802913490058, (515, 2) = -1.207063243921905, (515, 3) = .7022428739650621, (516, 1) = 5.106968776553893, (516, 2) = -1.2059974738854953, (516, 3) = .6999267521422534, (517, 1) = 5.1051334317111285, (517, 2) = -1.2049335792515106, (517, 3) = .6976198178932407, (518, 1) = 5.103296857504202, (518, 2) = -1.2038715432540923, (518, 3) = .6953220017336744, (519, 1) = 5.101459032588031, (519, 2) = -1.2028113493252524, (519, 3) = .6930332344050806, (520, 1) = 5.099619935291147, (520, 2) = -1.2017529808408685, (520, 3) = .6907534480005425, (521, 1) = 5.09777954380066, (521, 2) = -1.2006964212280975, (521, 3) = .6884825744103569, (522, 1) = 5.095937836160592, (522, 2) = -1.1996416539644583, (522, 3) = .6862205465288812, (523, 1) = 5.094094790269956, (523, 2) = -1.1985886625767892, (523, 3) = .6839672970106294, (524, 1) = 5.092250383869955, (524, 2) = -1.1975374306340383, (524, 3) = .6817227599340507, (525, 1) = 5.090404594366025, (525, 2) = -1.196487941646363, (525, 3) = .6794868691624002, (526, 1) = 5.088557399316994, (526, 2) = -1.1954401793436291, (526, 3) = .6772595595482195, (527, 1) = 5.086708776150951, (527, 2) = -1.1943941275128545, (527, 3) = .6750407665627309, (528, 1) = 5.0848587021245075, (528, 2) = -1.1933497699752516, (528, 3) = .6728304259586968, (529, 1) = 5.083007154236849, (529, 2) = -1.1923070905381163, (529, 3) = .6706284742307487, (530, 1) = 5.081154109424364, (530, 2) = -1.1912660731049016, (530, 3) = .6684348476334567, (531, 1) = 5.0792995445410085, (531, 2) = -1.1902267016637331, (531, 3) = .6662494841973384, (532, 1) = 5.07744343559944, (532, 2) = -1.1891889598633247, (532, 3) = .664072320526204, (533, 1) = 5.0755857590922835, (533, 2) = -1.1881528317537675, (533, 3) = .6619032952057617, (534, 1) = 5.073726491229098, (534, 2) = -1.187118301358382, (534, 3) = .6597423465581196, (535, 1) = 5.0718656080088, (535, 2) = -1.186085352714862, (535, 3) = .6575894139159559, (536, 1) = 5.0700030852578095, (536, 2) = -1.1850539698969107, (536, 3) = .6554444368930524, (537, 1) = 5.068138898684594, (537, 2) = -1.1840241370445912, (537, 3) = .6533073551590962, (538, 1) = 5.066273023855868, (538, 2) = -1.1829958383511403, (538, 3) = .651178109281858, (539, 1) = 5.064405435976295, (539, 2) = -1.181969057942045, (539, 3) = .6490566400998576, (540, 1) = 5.0625361100269775, (540, 2) = -1.1809437799524471, (540, 3) = .6469428887818266, (541, 1) = 5.060665021140678, (541, 2) = -1.179919988732785, (541, 3) = .644836796845744, (542, 1) = 5.058792144073831, (542, 2) = -1.178897668559084, (542, 3) = .6427383073528019, (543, 1) = 5.05691745337737, (543, 2) = -1.1778768037274694, (543, 3) = .6406473616422022, (544, 1) = 5.055040923420503, (544, 2) = -1.1768573785675511, (544, 3) = .6385639034967918, (545, 1) = 5.0531625286704145, (545, 2) = -1.1758393775941414, (545, 3) = .6364878762442542, (546, 1) = 5.051282242969952, (546, 2) = -1.1748227851157322, (546, 3) = .6344192236545405, (547, 1) = 5.049400039848564, (547, 2) = -1.1738075854051753, (547, 3) = .6323578896471748, (548, 1) = 5.047515892882768, (548, 2) = -1.1727937628945853, (548, 3) = .6303038186946387, (549, 1) = 5.045629775612743, (549, 2) = -1.1717813021294676, (549, 3) = .62825695585759, (550, 1) = 5.043741661189874, (550, 2) = -1.1707701875795924, (550, 3) = .6262172469176704, (551, 1) = 5.041851522551737, (551, 2) = -1.169760403734011, (551, 3) = .6241846369609411, (552, 1) = 5.03995933242176, (552, 2) = -1.16875193510141, (552, 3) = .6221590726152751, (553, 1) = 5.038065063293011, (553, 2) = -1.1677447662020162, (553, 3) = .6201404999834437, (554, 1) = 5.036168687242613, (554, 2) = -1.166738881469911, (554, 3) = .6181288657709918, (555, 1) = 5.034270176454381, (555, 2) = -1.165734265531053, (555, 3) = .6161241173330538, (556, 1) = 5.032369502878592, (556, 2) = -1.1647309030223871, (556, 3) = .6141262024217248, (557, 1) = 5.030466638230309, (557, 2) = -1.1637287785915968, (557, 3) = .6121350689012075, (558, 1) = 5.028561553908786, (558, 2) = -1.1627278768554763, (558, 3) = .6101506651394091, (559, 1) = 5.026654221176654, (559, 2) = -1.1617281824948853, (559, 3) = .6081729399783231, (560, 1) = 5.024744611122404, (560, 2) = -1.1607296802352045, (560, 3) = .606201842398276, (561, 1) = 5.02283269388217, (561, 2) = -1.1597323544411198, (561, 3) = .6042373211837933, (562, 1) = 5.020918440036599, (562, 2) = -1.158736189847798, (562, 3) = .6022793260561012, (563, 1) = 5.019001819786673, (563, 2) = -1.1577411711299292, (563, 3) = .6003278075323599, (564, 1) = 5.0170828030416486, (564, 2) = -1.1567472829487666, (564, 3) = .5983827150455318, (565, 1) = 5.015161359454717, (565, 2) = -1.1557545099715012, (565, 3) = .5964440001206578, (566, 1) = 5.013237458451486, (566, 2) = -1.1547628368867096, (566, 3) = .5945116131550874, (567, 1) = 5.011311069129441, (567, 2) = -1.153772248353287, (567, 3) = .5925855054707843, (568, 1) = 5.009382160279296, (568, 2) = -1.1527827290125965, (568, 3) = .5906656285066141, (569, 1) = 5.007450700693598, (569, 2) = -1.1517942636472913, (569, 3) = .5887519343770421, (570, 1) = 5.005516658693164, (570, 2) = -1.1508068369389826, (570, 3) = .5868443752426105, (571, 1) = 5.003580002314426, (571, 2) = -1.149820433565646, (571, 3) = .5849429036389905, (572, 1) = 5.001640699341523, (572, 2) = -1.1488350382188146, (572, 3) = .5830474726328271, (573, 1) = 4.99969871758096, (573, 2) = -1.1478506357433653, (573, 3) = .5811580353003677, (574, 1) = 4.997754023767456, (574, 2) = -1.1468672105839361, (574, 3) = .5792745441511359, (575, 1) = 4.995806584736146, (575, 2) = -1.145884747381257, (575, 3) = .5773969535491091, (576, 1) = 4.993856367251557, (576, 2) = -1.1449032308847646, (576, 3) = .5755252173307195, (577, 1) = 4.991903337664091, (577, 2) = -1.1439226457799498, (577, 3) = .5736592896873385, (578, 1) = 4.989947461942698, (578, 2) = -1.1429429767064028, (578, 3) = .5717991249662095, (579, 1) = 4.9879887057439465, (579, 2) = -1.1419642082937511, (579, 3) = .5699446781262997, (580, 1) = 4.986027034359568, (580, 2) = -1.1409863251366328, (580, 3) = .5680959042895799, (581, 1) = 4.984062412597348, (581, 2) = -1.1400093117368966, (581, 3) = .5662527581926557, (582, 1) = 4.9820948053559295, (582, 2) = -1.1390331527905024, (582, 3) = .5644151957831857, (583, 1) = 4.98012417704899, (583, 2) = -1.1380578329015372, (583, 3) = .5625831726940573, (584, 1) = 4.978150491703034, (584, 2) = -1.1370833366325284, (584, 3) = .5607566452798372, (585, 1) = 4.976173713007104, (585, 2) = -1.1361096485303874, (585, 3) = .5589355698922654, (586, 1) = 4.974193804630681, (586, 2) = -1.1351367532836203, (586, 3) = .5571199029102012, (587, 1) = 4.972210729560418, (587, 2) = -1.1341646353969106, (587, 3) = .5553096015913725, (588, 1) = 4.970224449992727, (588, 2) = -1.1331932791418835, (588, 3) = .5535046224280171, (589, 1) = 4.968234928414326, (589, 2) = -1.1322226690874384, (589, 3) = .5517049228894119, (590, 1) = 4.9662421267389885, (590, 2) = -1.1312527896776456, (590, 3) = .5499104607315854, (591, 1) = 4.96424600649816, (591, 2) = -1.1302836253267183, (591, 3) = .5481211932267642, (592, 1) = 4.962246528832281, (592, 2) = -1.129315160416264, (592, 3) = .5463370788289204, (593, 1) = 4.960243654282765, (593, 2) = -1.128347379196357, (593, 3) = .544558075202087, (594, 1) = 4.9582373433607545, (594, 2) = -1.1273802660620544, (594, 3) = .5427841410983089, (595, 1) = 4.956227556181316, (595, 2) = -1.1264138053770942, (595, 3) = .5410152352771572, (596, 1) = 4.9542142524124175, (596, 2) = -1.1254479814509137, (596, 3) = .5392513166614049, (597, 1) = 4.95219739124488, (597, 2) = -1.124482778526115, (597, 3) = .537492344146543, (598, 1) = 4.950176931581398, (598, 2) = -1.1235181808705241, (598, 3) = .5357382775343311, (599, 1) = 4.948152831993185, (599, 2) = -1.1225541727574406, (599, 3) = .5339890760580102, (600, 1) = 4.946125049808539, (600, 2) = -1.1215907380342391, (600, 3) = .5322446994471471, (601, 1) = 4.9440935426981305, (601, 2) = -1.1206278608791622, (601, 3) = .5305051071521112, (602, 1) = 4.942058267755807, (602, 2) = -1.119665525364461, (602, 3) = .5287702595121379, (603, 1) = 4.940019181585346, (603, 2) = -1.118703715499783, (603, 3) = .5270401171887961, (604, 1) = 4.937976240338464, (604, 2) = -1.1177424152520108, (604, 3) = .5253146404009458, (605, 1) = 4.935929399551741, (605, 2) = -1.1167816084706008, (605, 3) = .52359378956505, (606, 1) = 4.9338786144903315, (606, 2) = -1.115821279051014, (606, 3) = .5218775256913646, (607, 1) = 4.931823840104045, (607, 2) = -1.114861410914991, (607, 3) = .5201658101164637, (608, 1) = 4.929765030659833, (608, 2) = -1.1139019878404692, (608, 3) = .5184586040968341, (609, 1) = 4.9277021399349605, (609, 2) = -1.1129429935543322, (609, 3) = .516755868678714, (610, 1) = 4.925635121233647, (610, 2) = -1.1119844117420943, (610, 3) = .5150575659838301, (611, 1) = 4.923563927487346, (611, 2) = -1.1110262260960968, (611, 3) = .5133636571924991, (612, 1) = 4.921488510836717, (612, 2) = -1.1100684201241195, (612, 3) = .5116741048858144, (613, 1) = 4.919408822980023, (613, 2) = -1.109110977313217, (613, 3) = .5099888704959809, (614, 1) = 4.917324815135293, (614, 2) = -1.1081538811140486, (614, 3) = .5083079165276058, (615, 1) = 4.9152364380198295, (615, 2) = -1.1071971149333757, (615, 3) = .5066312058385706, (616, 1) = 4.9131436416565135, (616, 2) = -1.106240662047649, (616, 3) = .5049586998165629, (617, 1) = 4.911046375506059, (617, 2) = -1.1052845056662988, (617, 3) = .503290362200603, (618, 1) = 4.908944588820872, (618, 2) = -1.1043286290947991, (618, 3) = .5016261555747795, (619, 1) = 4.906838230049441, (619, 2) = -1.1033730154651307, (619, 3) = .49996604317247845, (620, 1) = 4.9047272470492755, (620, 2) = -1.102417647835702, (620, 3) = .4983099877247301, (621, 1) = 4.902611587069608, (621, 2) = -1.1014625091860102, (621, 3) = .4966579526958621, (622, 1) = 4.900491196532325, (622, 2) = -1.1005075823206734, (622, 3) = .4950099016211746, (623, 1) = 4.898366022046281, (623, 2) = -1.0995528503283154, (623, 3) = .4933657982583087, (624, 1) = 4.896236009021473, (624, 2) = -1.0985982959594223, (624, 3) = .4917256063829215, (625, 1) = 4.89410110203436, (625, 2) = -1.0976439017952873, (625, 3) = .4900892896258831, (626, 1) = 4.891961245251063, (626, 2) = -1.096689650440251, (626, 3) = .48845681208118324, (627, 1) = 4.889816382072326, (627, 2) = -1.0957355243654219, (627, 3) = .48682813765625793, (628, 1) = 4.887666455148533, (628, 2) = -1.0947815059187116, (628, 3) = .48520323050463854, (629, 1) = 4.885511406909684, (629, 2) = -1.09382757756244, (629, 3) = .48358205496936507, (630, 1) = 4.883351178864805, (630, 2) = -1.0928737215647537, (630, 3) = .48196457574390067, (631, 1) = 4.881185711784862, (631, 2) = -1.0919199200843364, (631, 3) = .4803507574179181, (632, 1) = 4.879014945483044, (632, 2) = -1.090966155077187, (632, 3) = .47874056452503055, (633, 1) = 4.876838819460391, (633, 2) = -1.090012408583646, (633, 3) = .4771339616068947, (634, 1) = 4.874657272477892, (634, 2) = -1.0890586625424379, (634, 3) = .4755309139529175, (635, 1) = 4.872470242700727, (635, 2) = -1.0881048988567021, (635, 3) = .4739313868453097, (636, 1) = 4.870277667390715, (636, 2) = -1.0871510992627949, (636, 3) = .47233534514290343, (637, 1) = 4.868079482370323, (637, 2) = -1.086197245102082, (637, 3) = .4707427541875513, (638, 1) = 4.865875622972399, (638, 2) = -1.0852433177384908, (638, 3) = .46915357911088623, (639, 1) = 4.8636660242281415, (639, 2) = -1.084289298641393, (639, 3) = .4675677845953785, (640, 1) = 4.861450620116037, (640, 2) = -1.0833351690633455, (640, 3) = .46598533718008417, (641, 1) = 4.859229343743696, (641, 2) = -1.0823809101229782, (641, 3) = .4644062015739691, (642, 1) = 4.857002127117909, (642, 2) = -1.0814265027104597, (642, 3) = .46283034417986485, (643, 1) = 4.854768901795597, (643, 2) = -1.080471927770494, (643, 3) = .4612577302129879, (644, 1) = 4.85252959846882, (644, 2) = -1.07951716612719, (644, 3) = .45968832547616795, (645, 1) = 4.850284146770868, (645, 2) = -1.078562198405552, (645, 3) = .45812209609901133, (646, 1) = 4.848032475669795, (646, 2) = -1.077607005203048, (646, 3) = .45655900806756905, (647, 1) = 4.845774513215008, (647, 2) = -1.0766515669852659, (647, 3) = .45499902750621435, (648, 1) = 4.843510185590083, (648, 2) = -1.0756958636907503, (648, 3) = .453442120199934, (649, 1) = 4.841239418992555, (649, 2) = -1.074739875530543, (649, 3) = .451888252081774, (650, 1) = 4.838962138443042, (650, 2) = -1.07378358248783, (650, 3) = .4503373898580604, (651, 1) = 4.836678267926839, (651, 2) = -1.0728269643826265, (651, 3) = .44878949925785155, (652, 1) = 4.834387730154185, (652, 2) = -1.0718700007764759, (652, 3) = .4472445465282514, (653, 1) = 4.8320904472132025, (653, 2) = -1.0709126712501356, (653, 3) = .44570249850165156, (654, 1) = 4.829786340143708, (654, 2) = -1.0699549552291516, (654, 3) = .44416332134725056, (655, 1) = 4.827475328757908, (655, 2) = -1.0689968319143779, (655, 3) = .4426269814174971, (656, 1) = 4.825157331912746, (656, 2) = -1.06803828040015, (656, 3) = .44109344550709123, (657, 1) = 4.822832267425531, (657, 2) = -1.067079279643769, (657, 3) = .43956267982229547, (658, 1) = 4.8205000516321475, (658, 2) = -1.0661198082886967, (658, 3) = .4380346512829445, (659, 1) = 4.81816059991967, (659, 2) = -1.0651598448898412, (659, 3) = .4365093261883982, (660, 1) = 4.815813826511424, (660, 2) = -1.0641993678299049, (660, 3) = .43498667119075274, (661, 1) = 4.8134596441574145, (661, 2) = -1.0632383551985212, (661, 3) = .4334666526646941, (662, 1) = 4.81109796488728, (662, 2) = -1.0622767851053956, (662, 3) = .4319492373149122, (663, 1) = 4.808728699458108, (663, 2) = -1.0613146354593361, (663, 3) = .43043439208108625, (664, 1) = 4.806351757104278, (664, 2) = -1.060351883872962, (664, 3) = .42892208367531287, (665, 1) = 4.803967045692836, (665, 2) = -1.0593885077326186, (665, 3) = .42741227815158567, (666, 1) = 4.801574472021985, (666, 2) = -1.058424484324876, (666, 3) = .4259049429518436, (667, 1) = 4.799173942242622, (667, 2) = -1.0574597910105266, (667, 3) = .4244000448849396, (668, 1) = 4.796765359896646, (668, 2) = -1.0564944044419355, (668, 3) = .4228975500657395, (669, 1) = 4.794348627584552, (669, 2) = -1.0555283012417342, (669, 3) = .421397425909706, (670, 1) = 4.791923646263236, (670, 2) = -1.0545614577273557, (670, 3) = .4198996380611235, (671, 1) = 4.7894903160177025, (671, 2) = -1.0535938502253321, (671, 3) = .41840415349471555, (672, 1) = 4.787048535358331, (672, 2) = -1.0526254547967275, (672, 3) = .4169109396811804, (673, 1) = 4.784598200866562, (673, 2) = -1.051656247104652, (673, 3) = .4154199621975249, (674, 1) = 4.782139207682747, (674, 2) = -1.0506862026157857, (674, 3) = .41393118813300744, (675, 1) = 4.779671449840455, (675, 2) = -1.0497152967384824, (675, 3) = .4124445843147848, (676, 1) = 4.777194819742489, (676, 2) = -1.048743504622459, (676, 3) = .4109601170474209, (677, 1) = 4.774709208349421, (677, 2) = -1.047770801240224, (677, 3) = .40947775322381347, (678, 1) = 4.772214503680899, (678, 2) = -1.046797160809721, (678, 3) = .40799745914897656, (679, 1) = 4.769710593224702, (679, 2) = -1.0458225577453764, (679, 3) = .4065192011126638, (680, 1) = 4.767197362554551, (680, 2) = -1.0448469661242827, (680, 3) = .4050429454352166, (681, 1) = 4.764674695093608, (681, 2) = -1.0438703596040029, (681, 3) = .403568658934285, (682, 1) = 4.762142472971435, (682, 2) = -1.0428927117634585, (682, 3) = .40209630719729544, (683, 1) = 4.759600576366173, (683, 2) = -1.041913995855998, (683, 3) = .4006258570692959, (684, 1) = 4.75704888329552, (684, 2) = -1.040934184738679, (684, 3) = .39915727460980716, (685, 1) = 4.754487269921957, (685, 2) = -1.0399532509995417, (685, 3) = .39769052593420173, (686, 1) = 4.751915610590181, (686, 2) = -1.038971166980825, (686, 3) = .3962255769101272, (687, 1) = 4.749333778581941, (687, 2) = -1.037987905074797, (687, 3) = .39476239429847604, (688, 1) = 4.74674164359228, (688, 2) = -1.0370034367713936, (688, 3) = .39330094303604535, (689, 1) = 4.744139073434006, (689, 2) = -1.0360177333208929, (689, 3) = .3918411893469596, (690, 1) = 4.741525934557369, (690, 2) = -1.0350307659390505, (690, 3) = .39038309904790663, (691, 1) = 4.738902091070962, (691, 2) = -1.0340425054452198, (691, 3) = .38892663748292344, (692, 1) = 4.736267404423987, (692, 2) = -1.0330529221547131, (692, 3) = .3874717705235019, (693, 1) = 4.733621733811125, (693, 2) = -1.032061986043421, (693, 3) = .3860184632507293, (694, 1) = 4.730964936479593, (694, 2) = -1.0310696668734487, (694, 3) = .3845666808329726, (695, 1) = 4.728296867333623, (695, 2) = -1.0300759340554806, (695, 3) = .38311638910190315, (696, 1) = 4.725617378954876, (696, 2) = -1.0290807566679336, (696, 3) = .381667552998538, (697, 1) = 4.722926320926308, (697, 2) = -1.0280841032183763, (697, 3) = .3802201370998179, (698, 1) = 4.7202235405328326, (698, 2) = -1.027085941916955, (698, 3) = .3787741068783852, (699, 1) = 4.717508882148559, (699, 2) = -1.026086240462427, (699, 3) = .3773294262729852, (700, 1) = 4.714782188208835, (700, 2) = -1.0250849664132091, (700, 3) = .3758860603078398, (701, 1) = 4.712043298287901, (701, 2) = -1.0240820868596425, (701, 3) = .3744439732759752, (702, 1) = 4.70929204865424, (702, 2) = -1.0230775682762567, (702, 3) = .37300312993345236, (703, 1) = 4.706528272573929, (703, 2) = -1.022071376648767, (703, 3) = .3715634934631058, (704, 1) = 4.703751801503974, (704, 2) = -1.0210634779218128, (704, 3) = .37012502840202927, (705, 1) = 4.700962463617727, (705, 2) = -1.0200538374748744, (705, 3) = .3686876987298629, (706, 1) = 4.698160082721507, (706, 2) = -1.0190424197485233, (706, 3) = .36725146729709196, (707, 1) = 4.6953444809577, (707, 2) = -1.018029189238132, (707, 3) = .3658162981931931, (708, 1) = 4.692515476913593, (708, 2) = -1.0170141098244998, (708, 3) = .3643821542653797, (709, 1) = 4.689672885479834, (709, 2) = -1.0159971447414766, (709, 3) = .3629489985850411, (710, 1) = 4.686816518959811, (710, 2) = -1.0149782569900512, (710, 3) = .3615167942137283, (711, 1) = 4.683946186108653, (711, 2) = -1.0139574090102084, (711, 3) = .36008550396812783, (712, 1) = 4.681061692061813, (712, 2) = -1.0129345626738897, (712, 3) = .3586550901763007, (713, 1) = 4.678162837602284, (713, 2) = -1.0119096790449342, (713, 3) = .3572255148958048, (714, 1) = 4.6752494199094015, (714, 2) = -1.0108827186651863, (714, 3) = .35579673977348264, (715, 1) = 4.672321232678235, (715, 2) = -1.0098536416150323, (715, 3) = .3543687264518865, (716, 1) = 4.6693780664836115, (716, 2) = -1.008822407658796, (716, 3) = .3529414365835087, (717, 1) = 4.666419707455343, (717, 2) = -1.0077889757988423, (717, 3) = .35151483154611557, (718, 1) = 4.663445937243632, (718, 2) = -1.0067533042867367, (718, 3) = .3500888716465346, (719, 1) = 4.66045653423651, (719, 2) = -1.005715351068771, (719, 3) = .34866351856125194, (720, 1) = 4.657451273149817, (720, 2) = -1.0046750736613075, (720, 3) = .3472387330293841, (721, 1) = 4.654429922528986, (721, 2) = -1.0036324283092404, (721, 3) = .34581447449038605, (722, 1) = 4.651392246185741, (722, 2) = -1.0025873705120916, (722, 3) = .3443907028374331, (723, 1) = 4.648338003641615, (723, 2) = -1.0015398552009143, (723, 3) = .34296737708063657, (724, 1) = 4.645266950096042, (724, 2) = -1.0004898367501334, (724, 3) = .3415444565053873, (725, 1) = 4.642178836603332, (725, 2) = -.9994372690607521, (725, 3) = .3401219000735288, (726, 1) = 4.639073408681834, (726, 2) = -.9983821051106139, (726, 3) = .33869966642997673, (727, 1) = 4.635950406482396, (727, 2) = -.9973242970409246, (727, 3) = .337277714081596, (728, 1) = 4.632809566695185, (728, 2) = -.996263796827856, (728, 3) = .335856000653175, (729, 1) = 4.629650618049507, (729, 2) = -.9952005547889262, (729, 3) = .33443448397416164, (730, 1) = 4.626473284904185, (730, 2) = -.9941345208284864, (730, 3) = .333013121063014, (731, 1) = 4.623277285710648, (731, 2) = -.9930656439482325, (731, 3) = .3315918684617863, (732, 1) = 4.620062332136707, (732, 2) = -.9919938719876041, (732, 3) = .3301706824281823, (733, 1) = 4.616828130790328, (733, 2) = -.9909191522324708, (733, 3) = .32874951829051974, (734, 1) = 4.613574382431326, (734, 2) = -.9898414311821647, (734, 3) = .3273283319916425, (735, 1) = 4.610300781657372, (735, 2) = -.9887606544780141, (735, 3) = .3259070790306788, (736, 1) = 4.607007015583487, (736, 2) = -.9876767665033435, (736, 3) = .3244857137895253, (737, 1) = 4.603692764629277, (737, 2) = -.9865897106823568, (737, 3) = .3230641896222371, (738, 1) = 4.600358158422904, (738, 2) = -.9854995783128372, (738, 3) = .32164265449246104, (739, 1) = 4.597010749318951, (739, 2) = -.9844088745878613, (739, 3) = .3202243862982543, (740, 1) = 4.593655804282284, (740, 2) = -.9833193310063892, (740, 3) = .318811629665859, (741, 1) = 4.590294641393454, (741, 2) = -.982231380234994, (741, 3) = .3174049228149714, (742, 1) = 4.586927217968427, (742, 2) = -.9811450109631822, (742, 3) = .3160042286308324, (743, 1) = 4.58355349124474, (743, 2) = -.9800602119971789, (743, 3) = .31460950772746993, (744, 1) = 4.5801734181738345, (744, 2) = -.9789769721928631, (744, 3) = .31322072301119547, (745, 1) = 4.5767869553594895, (745, 2) = -.9778952804365152, (745, 3) = .3118378361735579, (746, 1) = 4.57339405905353, (746, 2) = -.9768151256442543, (746, 3) = .3104608109570133, (747, 1) = 4.56999468515151, (747, 2) = -.9757364967613902, (747, 3) = .30908960928177903, (748, 1) = 4.566588789188308, (748, 2) = -.9746593827618737, (748, 3) = .30772419529281686, (749, 1) = 4.563176326333725, (749, 2) = -.9735837726476615, (749, 3) = .3063645317707833, (750, 1) = 4.559757251387896, (750, 2) = -.9725096554481294, (750, 3) = .30501058300689077, (751, 1) = 4.556331518643736, (751, 2) = -.9714370201778884, (751, 3) = .3036623127904434, (752, 1) = 4.552899081820372, (752, 2) = -.9703658558175982, (752, 3) = .30231968569436507, (753, 1) = 4.54945989455506, (753, 2) = -.9692961514685738, (753, 3) = .3009826656881651, (754, 1) = 4.546013910110568, (754, 2) = -.9682278962615622, (754, 3) = .2996512181077729, (755, 1) = 4.542561081356146, (755, 2) = -.9671610793516773, (755, 3) = .2983253079070615, (756, 1) = 4.539101360762603, (756, 2) = -.9660956899178207, (756, 3) = .2970049006146779, (757, 1) = 4.535634700397275, (757, 2) = -.9650317171620648, (757, 3) = .2956899612308706, (758, 1) = 4.532161051918934, (758, 2) = -.9639691503090674, (758, 3) = .2943804563207785, (759, 1) = 4.528680366572679, (759, 2) = -.9629079786054636, (759, 3) = .2930763514905653, (760, 1) = 4.525192595184458, (760, 2) = -.961848191319223, (760, 3) = .2917776137291565, (761, 1) = 4.521697687889862, (761, 2) = -.9607897776586319, (761, 3) = .29048420845047657, (762, 1) = 4.518195594408852, (762, 2) = -.9597327268574695, (762, 3) = .2891961034827013, (763, 1) = 4.51468626426474, (763, 2) = -.9586770282417175, (763, 3) = .2879132653264972, (764, 1) = 4.511169646539779, (764, 2) = -.9576226711562799, (764, 3) = .28663566114555633, (765, 1) = 4.50764568986947, (765, 2) = -.9565696449643533, (765, 3) = .28536325876415214, (766, 1) = 4.50411434243683, (766, 2) = -.955517939046837, (766, 3) = .2840960258833146, (767, 1) = 4.5005755519665565, (767, 2) = -.9544675428017152, (767, 3) = .2828339305045238, (768, 1) = 4.497029265719065, (768, 2) = -.9534184456434409, (768, 3) = .28157694071405115, (769, 1) = 4.493475430484522, (769, 2) = -.952370637002344, (769, 3) = .28032502460936287, (770, 1) = 4.489913992553027, (770, 2) = -.9513241063170615, (770, 3) = .27907815149387927, (771, 1) = 4.4863448973627, (771, 2) = -.9502788429329648, (771, 3) = .27783628970144036, (772, 1) = 4.4827680901045674, (772, 2) = -.9492348362814552, (772, 3) = .2765994083477075, (773, 1) = 4.479183515609973, (773, 2) = -.9481920758473156, (773, 3) = .2753674763228779, (774, 1) = 4.475591118208073, (774, 2) = -.9471505511280609, (774, 3) = .2741404637932248, (775, 1) = 4.471990841719092, (775, 2) = -.9461102516332808, (775, 3) = .27291834006721355, (776, 1) = 4.468382629447667, (776, 2) = -.945071166884036, (776, 3) = .27170107519088627, (777, 1) = 4.464766424175987, (777, 2) = -.9440332864122248, (777, 3) = .27048863930561556, (778, 1) = 4.46114216815681, (778, 2) = -.942996599759938, (778, 3) = .26928100232546404, (779, 1) = 4.457509803106458, (779, 2) = -.9419610964788456, (779, 3) = .2680781350706991, (780, 1) = 4.4538692701023255, (780, 2) = -.9409267661025309, (780, 3) = .2668800083003622, (781, 1) = 4.450220509311245, (781, 2) = -.9398935980715745, (781, 3) = .26568659284425555, (782, 1) = 4.446563460722672, (782, 2) = -.9388615819432733, (782, 3) = .2644978593849913, (783, 1) = 4.442898063816356, (783, 2) = -.9378307072979846, (783, 3) = .26331377945183176, (784, 1) = 4.4392242574980845, (784, 2) = -.9368009637223587, (784, 3) = .26213432489586985, (785, 1) = 4.435541980091756, (785, 2) = -.9357723408086617, (785, 3) = .26095946664355046, (786, 1) = 4.4318511693315354, (786, 2) = -.9347448281541311, (786, 3) = .25978917728600337, (787, 1) = 4.428151762353755, (787, 2) = -.9337184153603135, (787, 3) = .2586234283052813, (788, 1) = 4.424443695688727, (788, 2) = -.9326930920323925, (788, 3) = .25746219241493307, (789, 1) = 4.420726905252379, (789, 2) = -.9316688477785224, (789, 3) = .2563054416740363, (790, 1) = 4.417001326109398, (790, 2) = -.9306456721465308, (790, 3) = .25515314873513273, (791, 1) = 4.413266892490164, (791, 2) = -.929623554631291, (791, 3) = .2540052861766814, (792, 1) = 4.409523538387465, (792, 2) = -.9286024848398536, (792, 3) = .25286182732752743, (793, 1) = 4.405771197153363, (793, 2) = -.9275824523819013, (793, 3) = .2517227448152183, (794, 1) = 4.402009801481231, (794, 2) = -.926563446866609, (794, 3) = .2505880119789547, (795, 1) = 4.398239283396431, (795, 2) = -.9255454579019219, (795, 3) = .24945760236835354, (796, 1) = 4.39445957424693, (796, 2) = -.9245284750938586, (796, 3) = .24833148981045466, (797, 1) = 4.390670604693763, (797, 2) = -.9235124880458048, (797, 3) = .24720964790839275, (798, 1) = 4.3868723047013045, (798, 2) = -.9224974863578023, (798, 3) = .24609205064100378, (799, 1) = 4.383064603523487, (799, 2) = -.9214834596247942, (799, 3) = .24497867239242133, (800, 1) = 4.379247429272529, (800, 2) = -.9204703973243197, (800, 3) = .24386948687899757, (801, 1) = 4.375420709455535, (801, 2) = -.9194582889621093, (801, 3) = .24276446862277212, (802, 1) = 4.371584371126974, (802, 2) = -.9184471241136403, (802, 3) = .24166359262625617, (803, 1) = 4.367738340592666, (803, 2) = -.9174368923472634, (803, 3) = .240566833357428, (804, 1) = 4.363882543399108, (804, 2) = -.9164275832234875, (804, 3) = .23947416541996114, (805, 1) = 4.360016904322435, (805, 2) = -.9154191862942117, (805, 3) = .23838556443639802, (806, 1) = 4.356141347357188, (806, 2) = -.9144116911019547, (806, 3) = .23730100523198747, (807, 1) = 4.352255795704924, (807, 2) = -.9134050871790855, (807, 3) = .2362204634280334, (808, 1) = 4.348360171762686, (808, 2) = -.912399364047057, (808, 3) = .23514391451352026, (809, 1) = 4.344454397055877, (809, 2) = -.9113945112014317, (809, 3) = .23407133424248466, (810, 1) = 4.340538391748515, (810, 2) = -.9103905179890492, (810, 3) = .23300269789099964, (811, 1) = 4.3366120755729645, (811, 2) = -.9093873738498581, (811, 3) = .23193798197046386, (812, 1) = 4.332675367561429, (812, 2) = -.9083850682491956, (812, 3) = .2308771619813308, (813, 1) = 4.328728185879407, (813, 2) = -.9073835906373322, (813, 3) = .22982021461465518, (814, 1) = 4.324770447812782, (814, 2) = -.9063829304486521, (814, 3) = .22876711611279435, (815, 1) = 4.3208020697546266, (815, 2) = -.905383077100816, (815, 3) = .22771784297406938, (816, 1) = 4.316822967191742, (816, 2) = -.9043840199939162, (816, 3) = .22667237187595538, (817, 1) = 4.312833054690917, (817, 2) = -.9033857485095954, (817, 3) = .22563067952711416, (818, 1) = 4.308832245885122, (818, 2) = -.9023882520102335, (818, 3) = .22459274319421393, (819, 1) = 4.304820453277701, (819, 2) = -.9013915197930212, (819, 3) = .22355853937478265, (820, 1) = 4.300797587938624, (820, 2) = -.9003955410183838, (820, 3) = .22252804590433026, (821, 1) = 4.296763560527966, (821, 2) = -.8994003049668072, (821, 3) = .22150123905723362, (822, 1) = 4.292718280767673, (822, 2) = -.8984058009095313, (822, 3) = .22047809726226822, (823, 1) = 4.288661657370977, (823, 2) = -.8974120180938663, (823, 3) = .21945859737858642, (824, 1) = 4.284593598026719, (824, 2) = -.8964189457422715, (824, 3) = .21844271742375668, (825, 1) = 4.280514009383442, (825, 2) = -.8954265730514083, (825, 3) = .21743043521730718, (826, 1) = 4.276422797033144, (826, 2) = -.8944348891911942, (826, 3) = .21642172865788176, (827, 1) = 4.272319865494566, (827, 2) = -.8934438833038021, (827, 3) = .21541657585813118, (828, 1) = 4.268205118196548, (828, 2) = -.8924535445027405, (828, 3) = .21441495485343387, (829, 1) = 4.264078457053707, (829, 2) = -.891463861774402, (829, 3) = .21341684455624108, (830, 1) = 4.259939782677171, (830, 2) = -.8904748240332468, (830, 3) = .2124222220762685, (831, 1) = 4.255788995082733, (831, 2) = -.8894864202941329, (831, 3) = .2114310667182602, (832, 1) = 4.251625993127629, (832, 2) = -.8884986395398656, (832, 3) = .21044335711194825, (833, 1) = 4.247450674488323, (833, 2) = -.8875114707193014, (833, 3) = .20945907184180867, (834, 1) = 4.243262935641344, (834, 2) = -.8865249027462534, (834, 3) = .2084781897584851, (835, 1) = 4.2390626718439215, (835, 2) = -.8855389244984214, (835, 3) = .20750069000598925, (836, 1) = 4.234849777114218, (836, 2) = -.8845535248163109, (836, 3) = .2065265513739171, (837, 1) = 4.2306241442109345, (837, 2) = -.8835686925020769, (837, 3) = .20555575335418727, (838, 1) = 4.226385664594851, (838, 2) = -.8825844163142648, (838, 3) = .20458827523661685, (839, 1) = 4.22213422773428, (839, 2) = -.8816006848111849, (839, 3) = .20362409613036306, (840, 1) = 4.217869722089888, (840, 2) = -.8806174865842115, (840, 3) = .2026631955288246, (841, 1) = 4.213592035132105, (841, 2) = -.8796348102643123, (841, 3) = .2017055532460861, (842, 1) = 4.209301052963044, (842, 2) = -.8786526444380995, (842, 3) = .2007511484021907, (843, 1) = 4.204996660293884, (843, 2) = -.877670977646671, (843, 3) = .1997999614023524, (844, 1) = 4.20067874042131, (844, 2) = -.8766897983843285, (844, 3) = .1988519717603352, (845, 1) = 4.196347175203693, (845, 2) = -.8757090950973292, (845, 3) = .19790715979301737, (846, 1) = 4.192001845036856, (846, 2) = -.8747288561826292, (846, 3) = .1969655052958766, (847, 1) = 4.187642628829004, (847, 2) = -.8737490699865431, (847, 3) = .1960269887753025, (848, 1) = 4.1832694038511145, (848, 2) = -.8727697247756621, (848, 3) = .19509159014128485, (849, 1) = 4.178882045037736, (849, 2) = -.8717908085860705, (849, 3) = .19415928968580265, (850, 1) = 4.174480426454627, (850, 2) = -.8708123095567896, (850, 3) = .19323006796711253, (851, 1) = 4.17006442075271, (851, 2) = -.8698342158107925, (851, 3) = .19230390553978705, (852, 1) = 4.1656338989609365, (852, 2) = -.8688565154133435, (852, 3) = .1913807828302636, (853, 1) = 4.161188730458348, (853, 2) = -.8678791963706314, (853, 3) = .1904606804089803, (854, 1) = 4.156728782944967, (854, 2) = -.8669022466282771, (854, 3) = .1895435796526908, (855, 1) = 4.152253922412226, (855, 2) = -.86592565406983, (855, 3) = .18862946099146138, (856, 1) = 4.147764013112896, (856, 2) = -.864949406515289, (856, 3) = .18771830524538516, (857, 1) = 4.143258917530107, (857, 2) = -.8639734917195434, (857, 3) = .1868100940019619, (858, 1) = 4.138738495987889, (858, 2) = -.8629978972936987, (858, 3) = .1859048077440915, (859, 1) = 4.13420260634944, (859, 2) = -.862022610647092, (859, 3) = .18500242767393227, (860, 1) = 4.129651105489551, (860, 2) = -.8610476193100564, (860, 3) = .18410293542166092, (861, 1) = 4.125083848433031, (861, 2) = -.8600729107523869, (861, 3) = .18320631175212507, (862, 1) = 4.120500688267696, (862, 2) = -.8590984723703222, (862, 3) = .18231253833882524, (863, 1) = 4.11590147610936, (863, 2) = -.8581242914848907, (863, 3) = .18142159675442213, (864, 1) = 4.111286061065581, (864, 2) = -.8571503553401304, (864, 3) = .18053346834862152, (865, 1) = 4.106654290198627, (865, 2) = -.8561766511012953, (865, 3) = .1796481348005365, (866, 1) = 4.102006008487653, (866, 2) = -.855203165853038, (866, 3) = .17876557796038292, (867, 1) = 4.097341058790205, (867, 2) = -.8542298865975978, (867, 3) = .17788577937123676, (868, 1) = 4.09265928103487, (868, 2) = -.8532568000936427, (868, 3) = .17700872063272444, (869, 1) = 4.087960512883795, (869, 2) = -.8522838930026625, (869, 3) = .17613438389857689, (870, 1) = 4.083244590520871, (870, 2) = -.8513111520580603, (870, 3) = .17526275072334777, (871, 1) = 4.078511347841942, (871, 2) = -.8503385639027574, (871, 3) = .1743938032419346, (872, 1) = 4.073760616410592, (872, 2) = -.8493661150870124, (872, 3) = .17352752336923355, (873, 1) = 4.068992225413803, (873, 2) = -.8483937920663747, (873, 3) = .17266389345591354, (874, 1) = 4.064206001616206, (874, 2) = -.8474215811995447, (874, 3) = .17180289573602758, (875, 1) = 4.059401769313348, (875, 2) = -.8464494687461966, (875, 3) = .17094451202281447, (876, 1) = 4.054579350283528, (876, 2) = -.8454774408647032, (876, 3) = .1700887247179997, (877, 1) = 4.049738563678806, (877, 2) = -.8445054835978698, (877, 3) = .16923551651638213, (878, 1) = 4.044879224856194, (878, 2) = -.8435335826475612, (878, 3) = .16838486890954107, (879, 1) = 4.040001147195793, (879, 2) = -.8425617237486857, (879, 3) = .1675367647778009, (880, 1) = 4.0351041418240765, (880, 2) = -.8415898926197262, (880, 3) = .16669118642456437, (881, 1) = 4.030188017089763, (881, 2) = -.8406180748657339, (881, 3) = .16584811655883608, (882, 1) = 4.025252578507887, (882, 2) = -.8396462559757173, (882, 3) = .16500753738329887, (883, 1) = 4.02029762870287, (883, 2) = -.8386744213200715, (883, 3) = .1641694315288156, (884, 1) = 4.015322967350149, (884, 2) = -.8377025561479411, (884, 3) = .16333378199384865, (885, 1) = 4.010328391116506, (885, 2) = -.8367306455845566, (885, 3) = .16250057094680026, (886, 1) = 4.005313693598031, (886, 2) = -.8357586746283587, (886, 3) = .16166978136864749, (887, 1) = 4.0002786649715185, (887, 2) = -.8347866280931475, (887, 3) = .16084139601535827, (888, 1) = 3.9952230909498865, (888, 2) = -.8338144904182273, (888, 3) = .16001539728904424, (889, 1) = 3.9901467552217764, (889, 2) = -.8328422461492856, (889, 3) = .15919176814334593, (890, 1) = 3.9850494383573416, (890, 2) = -.8318698797352447, (890, 3) = .15837049118743238, (891, 1) = 3.9799309175207753, (891, 2) = -.8308973754830967, (891, 3) = .15755154930841792, (892, 1) = 3.974790966398588, (892, 2) = -.8299247175547391, (892, 3) = .15673492560505312, (893, 1) = 3.969629355125765, (893, 2) = -.8289518899636978, (893, 3) = .1559206027877565, (894, 1) = 3.964445850210091, (894, 2) = -.8279788765718085, (894, 3) = .1551085638564518, (895, 1) = 3.9592402144550465, (895, 2) = -.8270056610859189, (895, 3) = .1542987916412656, (896, 1) = 3.9540122068789962, (896, 2) = -.8260322270542233, (896, 3) = .15349126940712815, (897, 1) = 3.9487615818786863, (897, 2) = -.8250585577230493, (897, 3) = .1526859799973861, (898, 1) = 3.9434880890453643, (898, 2) = -.8240846360176922, (898, 3) = .15188290600346935, (899, 1) = 3.938191475381353, (899, 2) = -.8231104449646199, (899, 3) = .15108203039693585, (900, 1) = 3.932871483803468, (900, 2) = -.8221359674248423, (900, 3) = .15028333627758936, (901, 1) = 3.9275278530059285, (901, 2) = -.821161186081503, (901, 3) = .14948680695668753, (902, 1) = 3.922160317366879, (902, 2) = -.8201860834359451, (902, 3) = .14869242513544248, (903, 1) = 3.916768606851486, (903, 2) = -.8192106418035389, (903, 3) = .14790017403545896, (904, 1) = 3.9113524469123337, (904, 2) = -.8182348433094013, (904, 3) = .1471100366811566, (905, 1) = 3.905911558388191, (905, 2) = -.8172586698842333, (905, 3) = .1463219961404361, (906, 1) = 3.9004456573906245, (906, 2) = -.8162821032583853, (906, 3) = .14553603536944798, (907, 1) = 3.894954453649769, (907, 2) = -.81530512468282, (907, 3) = .14475213760335254, (908, 1) = 3.8894376522296352, (908, 2) = -.8143277152531607, (908, 3) = .1439702851393879, (909, 1) = 3.8838949542819803, (909, 2) = -.8133498560567232, (909, 3) = .1431904612232721, (910, 1) = 3.878326055781369, (910, 2) = -.8123715279622342, (910, 3) = .14241264907989867, (911, 1) = 3.8727306474025274, (911, 2) = -.8113927116145415, (911, 3) = .14163683171861347, (912, 1) = 3.8671084143961783, (912, 2) = -.8104133874295743, (912, 3) = .14086299173783612, (913, 1) = 3.8614590364600723, (913, 2) = -.8094335355889632, (913, 3) = .1400911127968976, (914, 1) = 3.855782187605831, (914, 2) = -.8084531360344552, (914, 3) = .1393211770727143, (915, 1) = 3.8500775360234987, (915, 2) = -.8074721684624876, (915, 3) = .13855316800743447, (916, 1) = 3.8443447437531124, (916, 2) = -.8064906122863301, (916, 3) = .13778706849815145, (917, 1) = 3.8385834645383103, (917, 2) = -.8055084462903815, (917, 3) = .13702286100532063, (918, 1) = 3.832793347379439, (918, 2) = -.8045256492592525, (918, 3) = .1362605283324531, (919, 1) = 3.8269740355381203, (919, 2) = -.8035421998240001, (919, 3) = .13550005319872194, (920, 1) = 3.8211251656975915, (920, 2) = -.8025580763388822, (920, 3) = .13474141837568285, (921, 1) = 3.815246367796579, (921, 2) = -.8015732568743681, (921, 3) = .1339846066869797, (922, 1) = 3.8093372648610275, (922, 2) = -.8005877192104665, (922, 3) = .13322960068748196, (923, 1) = 3.803397472829447, (923, 2) = -.7996014408296857, (923, 3) = .13247638347620844, (924, 1) = 3.7974266003719688, (924, 2) = -.7986143989096707, (924, 3) = .13172493716246222, (925, 1) = 3.7914242487051024, (925, 2) = -.7976265703158765, (925, 3) = .13097524459763768, (926, 1) = 3.785390010685219, (926, 2) = -.7966379314770964, (926, 3) = .13022728799154198, (927, 1) = 3.779323469113713, (927, 2) = -.7956484581366379, (927, 3) = .12948104939227062, (928, 1) = 3.7732242011541395, (928, 2) = -.7946581261010582, (928, 3) = .12873651155274313, (929, 1) = 3.7670917759804294, (929, 2) = -.7936669108777684, (929, 3) = .12799365645924227, (930, 1) = 3.760925754276727, (930, 2) = -.792674787620193, (930, 3) = .1272524660400948, (931, 1) = 3.754725688008792, (931, 2) = -.7916817311184817, (931, 3) = .1265129231330174, (932, 1) = 3.7484911201910176, (932, 2) = -.7906877157904519, (932, 3) = .12577500914754722, (933, 1) = 3.74222158464492, (933, 2) = -.7896927156721726, (933, 3) = .12503870662508362, (934, 1) = 3.7359166057488578, (934, 2) = -.7886967044081531, (934, 3) = .1243039974621551, (935, 1) = 3.729575698178729, (935, 2) = -.787699655241161, (935, 3) = .1235708629766687, (936, 1) = 3.7231983648451776, (936, 2) = -.786701540721536, (936, 3) = .12283928490461639, (937, 1) = 3.7167840972250312, (937, 2) = -.7857023327975633, (937, 3) = .12210924493859907, (938, 1) = 3.710332378913779, (938, 2) = -.784702003402593, (938, 3) = .12138072426417151, (939, 1) = 3.703842682691036, (939, 2) = -.7837005240278412, (939, 3) = .12065370400468049, (940, 1) = 3.697314470184231, (940, 2) = -.782697865706109, (940, 3) = .119928166106847, (941, 1) = 3.690747191547686, (941, 2) = -.7816939989992683, (941, 3) = .1192040914981859, (942, 1) = 3.6841402851326355, (942, 2) = -.7806888939857323, (942, 3) = .11848146097530513, (943, 1) = 3.6774931771449197, (943, 2) = -.7796825202474622, (943, 3) = .11776025566071609, (944, 1) = 3.6708052812915, (944, 2) = -.7786748468567414, (944, 3) = .11704045621176642, (945, 1) = 3.66407599834628, (945, 2) = -.7776658423523855, (945, 3) = .11632204341558726, (946, 1) = 3.6573047123166056, (946, 2) = -.7766554742118172, (946, 3) = .11560499753762693, (947, 1) = 3.6504907947841714, (947, 2) = -.7756437095506622, (947, 3) = .11488929833857825, (948, 1) = 3.643633605231083, (948, 2) = -.7746305152115801, (948, 3) = .11417492645745049, (949, 1) = 3.6367324886296455, (949, 2) = -.7736158574503107, (949, 3) = .11346186141779255, (950, 1) = 3.62978677500189, (950, 2) = -.7725997019196928, (950, 3) = .11275008321439788, (951, 1) = 3.6227957789577365, (951, 2) = -.7715820136524716, (951, 3) = .11203957179536377, (952, 1) = 3.6157587992158855, (952, 2) = -.7705627570436027, (952, 3) = .11133030628812245, (953, 1) = 3.6086751181048506, (953, 2) = -.7695418958317819, (953, 3) = .11062226595724992, (954, 1) = 3.601544001050187, (954, 2) = -.7685193930811595, (954, 3) = .10991543001982347, (955, 1) = 3.5943646954177133, (955, 2) = -.7674952110736497, (955, 3) = .10920977729082039, (956, 1) = 3.5871364258357032, (956, 2) = -.7664693107078298, (956, 3) = .10850528577292509, (957, 1) = 3.5798584020157915, (957, 2) = -.7654416526785766, (957, 3) = .10780193395450888, (958, 1) = 3.5725298155968956, (958, 2) = -.7644121970845492, (958, 3) = .10709969977420251, (959, 1) = 3.5651498383569136, (959, 2) = -.7633809032401232, (959, 3) = .10639856141580978, (960, 1) = 3.5577176215541018, (960, 2) = -.7623477296517932, (960, 3) = .10569849606657862, (961, 1) = 3.550232295241451, (961, 2) = -.7613126339937705, (961, 3) = .10499948168278399, (962, 1) = 3.542692967551032, (962, 2) = -.7602755730824827, (962, 3) = .10430149508421593, (963, 1) = 3.5350987239436207, (963, 2) = -.7592365028495268, (963, 3) = .10360451301714678, (964, 1) = 3.527448626439968, (964, 2) = -.7581953783154726, (964, 3) = .10290851200185698, (965, 1) = 3.519741710699545, (965, 2) = -.7571521532765059, (965, 3) = .10221346828594301, (966, 1) = 3.511976982703008, (966, 2) = -.7561067799507761, (966, 3) = .10151935695267195, (967, 1) = 3.5041534279504205, (967, 2) = -.7550592103106775, (967, 3) = .10082615359721192, (968, 1) = 3.4962700053964824, (968, 2) = -.7540093953479066, (968, 3) = .10013383335646323, (969, 1) = 3.488325646060507, (969, 2) = -.7529572849826484, (969, 3) = 0.9944237112912387e-1, (970, 1) = 3.480319252008333, (970, 2) = -.7519028280278632, (970, 3) = 0.9875174124511953e-1, (971, 1) = 3.4722496952960626, (971, 2) = -.7508459721532149, (971, 3) = 0.9806191772242444e-1, (972, 1) = 3.4641158168636377, (972, 2) = -.7497866638473107, (972, 3) = 0.9737287411166187e-1, (973, 1) = 3.455916425365824, (973, 2) = -.7487248483769302, (973, 3) = 0.966845837755455e-1, (974, 1) = 3.447650295972863, (974, 2) = -.7476604697477275, (974, 3) = 0.9599701965806805e-1, (975, 1) = 3.4393161638014718, (975, 2) = -.7465934699849848, (975, 3) = 0.9531015306231787e-1, (976, 1) = 3.430912726243072, (976, 2) = -.7455237895729435, (976, 3) = 0.9462395571560839e-1, (977, 1) = 3.4224386490159646, (977, 2) = -.7444513683540807, (977, 3) = 0.9393839867428519e-1, (978, 1) = 3.413892558793868, (978, 2) = -.7433761447179665, (978, 3) = 0.932534527814449e-1, (979, 1) = 3.4052730416629333, (979, 2) = -.742298055549961, (979, 3) = 0.925690881465148e-1, (980, 1) = 3.3965786414879373, (980, 2) = -.7412170361759102, (980, 3) = 0.918852747933986e-1, (981, 1) = 3.3878078582120703, (981, 2) = -.7401330203063489, (981, 3) = 0.9120198100705484e-1, (982, 1) = 3.378959146072118, (982, 2) = -.7390459399784055, (982, 3) = 0.905191758702132e-1, (983, 1) = 3.3700309117007734, (983, 2) = -.737955725492434, (983, 3) = 0.898368268148359e-1, (984, 1) = 3.3610215117853217, (984, 2) = -.7368623053040342, (984, 3) = 0.8915490106750378e-1, (985, 1) = 3.3519292412617836, (985, 2) = -.7357656047890863, (985, 3) = 0.8847336416769427e-1, (986, 1) = 3.3427523457981128, (986, 2) = -.7346655479649394, (986, 3) = 0.8779218174032176e-1, (987, 1) = 3.3334890191407585, (987, 2) = -.7335620573589823, (987, 3) = 0.8711131832095866e-1, (988, 1) = 3.324137396263096, (988, 2) = -.7324550533945144, (988, 3) = 0.8643073821435335e-1, (989, 1) = 3.3146955508088034, (989, 2) = -.7313444543118856, (989, 3) = 0.8575040432570097e-1, (990, 1) = 3.305161492344388, (990, 2) = -.7302301760799329, (990, 3) = 0.8507027918302915e-1, (991, 1) = 3.2955331634780425, (991, 2) = -.7291121323054557, (991, 3) = 0.8439032455256393e-1, (992, 1) = 3.285808436824046, (992, 2) = -.7279902341391515, (992, 3) = 0.8371050038399871e-1, (993, 1) = 3.2759851117656837, (993, 2) = -.7268643901736278, (993, 3) = 0.8303076665264408e-1, (994, 1) = 3.2660609085401235, (994, 2) = -.7257345060536596, (994, 3) = 0.8235108153007695e-1, (995, 1) = 3.2560334533121416, (995, 2) = -.7246004830993068, (995, 3) = 0.8167140140397555e-1, (996, 1) = 3.245900299555387, (996, 2) = -.7234622210636649, (996, 3) = 0.8099168210254895e-1, (997, 1) = 3.235658914992138, (997, 2) = -.7223196169654039, (997, 3) = 0.8031187879213024e-1, (998, 1) = 3.225306674623828, (998, 2) = -.7211725646555778, (998, 3) = 0.796319449737305e-1, (999, 1) = 3.2148408561839226, (999, 2) = -.7200209546842852, (999, 3) = 0.7895183305238608e-1, (1000, 1) = 3.2042586352341287, (1000, 2) = -.7188646741519209, (1000, 3) = 0.7827149443372045e-1, (1001, 1) = 3.1935570799686492, (1001, 2) = -.7177036065542065, (1001, 3) = 0.775908781100114e-1, (1002, 1) = 3.1827331456965684, (1002, 2) = -.7165376316197157, (1002, 3) = 0.7690993244661307e-1, (1003, 1) = 3.1717836689660137, (1003, 2) = -.7153666251380885, (1003, 3) = 0.7622860393773556e-1, (1004, 1) = 3.16070535263585, (1004, 2) = -.7141904578616121, (1004, 3) = 0.7554683676369392e-1, (1005, 1) = 3.149494754227805, (1005, 2) = -.7130089948250421, (1005, 3) = 0.7486457247802836e-1, (1006, 1) = 3.1381483097407883, (1006, 2) = -.7118220984203636, (1006, 3) = 0.7418175220554012e-1, (1007, 1) = 3.1266623090814156, (1007, 2) = -.7106296263600643, (1007, 3) = 0.7349831483035514e-1, (1008, 1) = 3.115032886899379, (1008, 2) = -.7094314313422542, (1008, 3) = 0.7281419707442047e-1, (1009, 1) = 3.1032560138419183, (1009, 2) = -.7082273608075482, (1009, 3) = 0.7212933425317367e-1, (1010, 1) = 3.091327487099076, (1010, 2) = -.7070172566720992, (1010, 3) = 0.7144365799193825e-1, (1011, 1) = 3.0792429202726743, (1011, 2) = -.70580095504485, (1011, 3) = 0.7075709883736417e-1, (1012, 1) = 3.0669977324738897, (1012, 2) = -.704578285924166, (1012, 3) = 0.700695839915531e-1, (1013, 1) = 3.054587136719516, (1013, 2) = -.7033490728860979, (1013, 3) = 0.6938103790604062e-1, (1014, 1) = 3.0420061033626933, (1014, 2) = -.7021131303954071, (1014, 3) = 0.6869138128447388e-1, (1015, 1) = 3.029249368430372, (1015, 2) = -.7008702656616782, (1015, 3) = 0.6800053139481475e-1, (1016, 1) = 3.0163114396197144, (1016, 2) = -.6996202802416656, (1016, 3) = 0.673084034718721e-1, (1017, 1) = 3.003186561049119, (1017, 2) = -.6983629676901879, (1017, 3) = 0.6661490890171046e-1, (1018, 1) = 2.989868695905927, (1018, 2) = -.6970981130899891, (1018, 3) = 0.6591995565603959e-1, (1019, 1) = 2.9763515078634617, (1019, 2) = -.6958254925674257, (1019, 3) = 0.6522344830476319e-1, (1020, 1) = 2.962628340832095, (1020, 2) = -.6945448727627999, (1020, 3) = 0.6452528614119238e-1, (1021, 1) = 2.948693761526925, (1021, 2) = -.6932561543027344, (1021, 3) = 0.6382544234382644e-1, (1022, 1) = 2.9345961171093253, (1022, 2) = -.6919641614144931, (1022, 3) = 0.6312654494571122e-1, (1023, 1) = 2.9204554415770803, (1023, 2) = -.6906800348793191, (1023, 3) = 0.62434579340688835e-1, (1024, 1) = 2.9063408882656208, (1024, 2) = -.6894099577071953, (1024, 3) = 0.6175278933903194e-1, (1025, 1) = 2.8922521719143797, (1025, 2) = -.6881537240279098, (1025, 3) = 0.6108095450864924e-1, (1026, 1) = 2.8781890114280695, (1026, 2) = -.6869111324199191, (1026, 3) = 0.6041885997057327e-1, (1027, 1) = 2.864151129786936, (1027, 2) = -.6856819857889158, (1027, 3) = 0.5976629756798894e-1, (1028, 1) = 2.8501382539594537, (1028, 2) = -.6844660912504317, (1028, 3) = 0.591230638753422e-1, (1029, 1) = 2.8361501148173796, (1029, 2) = -.6832632600163451, (1029, 3) = 0.5848896154701137e-1, (1030, 1) = 2.8221864470530984, (1030, 2) = -.6820733072851219, (1030, 3) = 0.57863798571488254e-1, (1031, 1) = 2.8082469890991635, (1031, 2) = -.6808960521356459, (1031, 3) = 0.5724738688720724e-1, (1032, 1) = 2.7943314830499935, (1032, 2) = -.6797313174245226, (1032, 3) = 0.5663954533231018e-1, (1033, 1) = 2.780439674585604, (1033, 2) = -.6785789296866873, (1033, 3) = 0.56040095634053835e-1, (1034, 1) = 2.7665713128973706, (1034, 2) = -.6774387190392258, (1034, 3) = 0.5544886564445204e-1, (1035, 1) = 2.7527261506157163, (1035, 2) = -.6763105190882629, (1035, 3) = 0.54865686538943595e-1, (1036, 1) = 2.738903943739664, (1036, 2) = -.6751941668388168, (1036, 3) = 0.54290394206803316e-1, (1037, 1) = 2.7251044515682126, (1037, 2) = -.674089502607508, (1037, 3) = 0.537228294702946e-1, (1038, 1) = 2.711327436633475, (1038, 2) = -.6729963699379985, (1038, 3) = 0.5316283610255445e-1, (1039, 1) = 2.6975726646355054, (1039, 2) = -.6719146155190918, (1039, 3) = 0.5261026214923877e-1, (1040, 1) = 2.6838399043787895, (1040, 2) = -.6708440891053701, (1040, 3) = 0.5206496022090164e-1, (1041, 1) = 2.6701289277103157, (1041, 2) = -.6697846434402797, (1041, 3) = 0.5152678529990072e-1, (1042, 1) = 2.656439509459221, (1042, 2) = -.6687361341815952, (1042, 3) = 0.50995597307187855e-1, (1043, 1) = 2.6427714273779017, (1043, 2) = -.6676984198291477, (1043, 3) = 0.50471258697419634e-1, (1044, 1) = 2.6291244620846217, (1044, 2) = -.6666713616547588, (1044, 3) = 0.4995363574842639e-1, (1045, 1) = 2.6154983970075003, (1045, 2) = -.6656548236342896, (1045, 3) = 0.4944259789786616e-1, (1046, 1) = 2.6018930183298785, (1046, 2) = -.6646486723817344, (1046, 3) = 0.4893801771976776e-1, (1047, 1) = 2.5883081149370155, (1047, 2) = -.6636527770852816, (1047, 3) = 0.4843977065302928e-1, (1048, 1) = 2.5747434783640815, (1048, 2) = -.662667009445288, (1048, 3) = 0.4794773608009967e-1, (1049, 1) = 2.5611989027453714, (1049, 2) = -.6616912436140676, (1049, 3) = 0.47461794570404114e-1, (1050, 1) = 2.547674184764775, (1050, 2) = -.6607253561374784, (1050, 3) = 0.46981831339693414e-1, (1051, 1) = 2.5341691236073847, (1051, 2) = -.6597692258981954, (1051, 3) = 0.4650773313933322e-1, (1052, 1) = 2.520683520912267, (1052, 2) = -.6588227340606521, (1052, 3) = 0.4603939008288285e-1, (1053, 1) = 2.5072171807263413, (1053, 2) = -.6578857640175657, (1053, 3) = 0.4557669399253443e-1, (1054, 1) = 2.4937699094593313, (1054, 2) = -.6569582013380137, (1054, 3) = 0.4511953976491535e-1, (1055, 1) = 2.480341515839774, (1055, 2) = -.6560399337169933, (1055, 3) = 0.4466782510358356e-1, (1056, 1) = 2.466931810872032, (1056, 2) = -.6551308509264155, (1056, 3) = 0.44221449221978286e-1, (1057, 1) = 2.453540607794301, (1057, 2) = -.6542308447675003, (1057, 3) = 0.437803141394999e-1, (1058, 1) = 2.440167722037579, (1058, 2) = -.6533398090245097, (1058, 3) = 0.4334432430872842e-1, (1059, 1) = 2.4268129711855653, (1059, 2) = -.6524576394197766, (1059, 3) = 0.4291338567477787e-1, (1060, 1) = 2.4134761749354645, (1060, 2) = -.6515842335700027, (1060, 3) = 0.4248740725670805e-1, (1061, 1) = 2.4001571550596847, (1061, 2) = -.650719490943756, (1061, 3) = 0.4206629875147623e-1, (1062, 1) = 2.3868557353683637, (1062, 2) = -.6498633128201632, (1062, 3) = 0.4164997321709974e-1, (1063, 1) = 2.3735717416727655, (1063, 2) = -.64901560224872, (1063, 3) = 0.41238344428720645e-1, (1064, 1) = 2.3603050017494644, (1064, 2) = -.6481762640102218, (1064, 3) = 0.4083132959799707e-1, (1065, 1) = 2.3470553453053187, (1065, 2) = -.6473452045787427, (1065, 3) = 0.40428846090548476e-1, (1066, 1) = 2.3338226039432213, (1066, 2) = -.6465223320846605, (1066, 3) = 0.4003081453670031e-1, (1067, 1) = 2.320606611128583, (1067, 2) = -.6457075562786679, (1067, 3) = 0.396371555850947e-1, (1068, 1) = 2.307407202156556, (1068, 2) = -.6449007884967682, (1068, 3) = 0.3924779351129752e-1, (1069, 1) = 2.294224214119955, (1069, 2) = -.6441019416261848, (1069, 3) = 0.3886265251031263e-1, (1070, 1) = 2.281057485877868, (1070, 2) = -.6433109300722026, (1070, 3) = 0.38481660128201915e-1, (1071, 1) = 2.267906858024934, (1071, 2) = -.6425276697258648, (1071, 3) = 0.3810474366173179e-1, (1072, 1) = 2.254772172861284, (1072, 2) = -.6417520779325442, (1072, 3) = 0.3773183288023407e-1, (1073, 1) = 2.241653274363096, (1073, 2) = -.6409840734613235, (1073, 3) = 0.3736285926711988e-1, (1074, 1) = 2.2285500081537912, (1074, 2) = -.6402235764751839, (1074, 3) = 0.3699775522614819e-1, (1075, 1) = 2.2154622214758093, (1075, 2) = -.639470508501964, (1075, 3) = 0.3663645442447335e-1, (1076, 1) = 2.2023897631629947, (1076, 2) = -.6387247924060816, (1076, 3) = 0.3627889305938215e-1, (1077, 1) = 2.1893324836135304, (1077, 2) = -.6379863523609682, (1077, 3) = 0.35925006685705474e-1, (1078, 1) = 2.1762902347634387, (1078, 2) = -.6372551138222293, (1078, 3) = 0.3557473407573792e-1, (1079, 1) = 2.163262870060627, (1079, 2) = -.6365310035014743, (1079, 3) = 0.3522801422470941e-1, (1080, 1) = 2.150250244439461, (1080, 2) = -.6358139493408247, (1080, 3) = 0.34884787689494594e-1, (1081, 1) = 2.137252214295845, (1081, 2) = -.6351038804880602, (1081, 3) = 0.3454499540586971e-1, (1082, 1) = 2.1242686374628126, (1082, 2) = -.634400727272399, (1082, 3) = 0.34208581057635905e-1, (1083, 1) = 2.111299373186601, (1083, 2) = -.6337044211808766, (1083, 3) = 0.3387548840261162e-1, (1084, 1) = 2.098344282103207, (1084, 2) = -.633014894835323, (1084, 3) = 0.33545662257027556e-1, (1085, 1) = 2.0854032262154094, (1085, 2) = -.6323320819699131, (1085, 3) = 0.3321904919599114e-1, (1086, 1) = 2.072476068870228, (1086, 2) = -.6316559174092681, (1086, 3) = 0.32895595945566375e-1, (1087, 1) = 2.0595626747368563, (1087, 2) = -.6309863370471035, (1087, 3) = 0.3257525129118939e-1, (1088, 1) = 2.0466629097849913, (1088, 2) = -.6303232778253981, (1088, 3) = 0.3225796365324438e-1, (1089, 1) = 2.033776641263616, (1089, 2) = -.6296666777140775, (1089, 3) = 0.31943684523050596e-1, (1090, 1) = 2.0209037376801597, (1090, 2) = -.6290164756911841, (1090, 3) = 0.31632363907807125e-1, (1091, 1) = 2.008044068780092, (1091, 2) = -.6283726117235416, (1091, 3) = 0.3132395444174183e-1, (1092, 1) = 1.99519750552688, (1092, 2) = -.6277350267478775, (1092, 3) = 0.3101840910445237e-1, (1093, 1) = 1.9823639200823444, (1093, 2) = -.6271036626524027, (1093, 3) = 0.30715681958316688e-1, (1094, 1) = 1.9695431857873797, (1094, 2) = -.6264784622588317, (1094, 3) = 0.30415727358853752e-1, (1095, 1) = 1.956735177143042, (1095, 2) = -.6258593693048417, (1095, 3) = 0.3011850150932851e-1, (1096, 1) = 1.9439397697919847, (1096, 2) = -.6252463284269335, (1096, 3) = 0.29823960747989774e-1, (1097, 1) = 1.9311568405002533, (1097, 2) = -.6246392851437106, (1097, 3) = 0.29532062037484336e-1, (1098, 1) = 1.918391850764444, (1098, 2) = -.624038447490266, (1098, 3) = 0.2924288956010215e-1, (1099, 1) = 1.9057289342999195, (1099, 2) = -.6234476691293935, (1099, 3) = 0.28958283927340556e-1, (1100, 1) = 1.893263007717996, (1100, 2) = -.6228711636788272, (1100, 3) = 0.28680270608598152e-1, (1101, 1) = 1.8810206634522373, (1101, 2) = -.6223098779953391, (1101, 3) = 0.2840930613382361e-1, (1102, 1) = 1.868994092311803, (1102, 2) = -.6217631674861644, (1102, 3) = 0.2814508178796085e-1, (1103, 1) = 1.8571759064419133, (1103, 2) = -.621230426203382, (1103, 3) = 0.2788730758982778e-1, (1104, 1) = 1.845559101556719, (1104, 2) = -.6207110835219171, (1104, 3) = 0.2763571163288412e-1, (1105, 1) = 1.8341370178361938, (1105, 2) = -.6202046009370928, (1105, 3) = 0.27390037183118218e-1, (1106, 1) = 1.8229033178096845, (1106, 2) = -.6197104697745819, (1106, 3) = 0.27150043340984958e-1, (1107, 1) = 1.8118519660566088, (1107, 2) = -.6192282091002057, (1107, 3) = 0.2691550186639886e-1, (1108, 1) = 1.8009772104189707, (1108, 2) = -.618757363803581, (1108, 3) = 0.2668619738760209e-1, (1109, 1) = 1.7902735645925736, (1109, 2) = -.6182975028388497, (1109, 3) = 0.2646192663925484e-1, (1110, 1) = 1.7797357921999775, (1110, 2) = -.617848217617023, (1110, 3) = 0.26242497661905066e-1, (1111, 1) = 1.7693588876177238, (1111, 2) = -.6174091203413785, (1111, 3) = 0.26027727714441083e-1, (1112, 1) = 1.7591380487060644, (1112, 2) = -.6169798420846798, (1112, 3) = 0.2581744435143715e-1, (1113, 1) = 1.7490687037366666, (1113, 2) = -.6165600332079432, (1113, 3) = 0.25611482849099722e-1, (1114, 1) = 1.7391464809336488, (1114, 2) = -.6161493613995339, (1114, 3) = 0.25409689181052762e-1, (1115, 1) = 1.7293671936478774, (1115, 2) = -.6157475104435222, (1115, 3) = 0.25211914895946357e-1, (1116, 1) = 1.7197268300626627, (1116, 2) = -.6153541792287269, (1116, 3) = 0.25018020333604594e-1, (1117, 1) = 1.7102215436783146, (1117, 2) = -.6149690808344402, (1117, 3) = 0.24827871462964366e-1, (1118, 1) = 1.7008476444099205, (1118, 2) = -.6145919416819586, (1118, 3) = 0.24641342133193234e-1, (1119, 1) = 1.6916015902315449, (1119, 2) = -.6142225007455989, (1119, 3) = 0.2445831030851392e-1, (1120, 1) = 1.6824799794547278, (1120, 2) = -.6138605088234644, (1120, 3) = 0.24278661927280683e-1, (1121, 1) = 1.673479537051113, (1121, 2) = -.6135057276058336, (1121, 3) = 0.2410228542023149e-1, (1122, 1) = 1.6645971078937816, (1122, 2) = -.6131579290526971, (1122, 3) = 0.23929076551224476e-1, (1123, 1) = 1.6558296711407474, (1123, 2) = -.6128168956172292, (1123, 3) = 0.23758934470645022e-1, (1124, 1) = 1.6471743200660955, (1124, 2) = -.6124824191312714, (1124, 3) = 0.2359176417249233e-1, (1125, 1) = 1.638628255995633, (1125, 2) = -.6121543002752555, (1125, 3) = 0.2342747289616831e-1, (1126, 1) = 1.6301887830167754, (1126, 2) = -.6118323480991774, (1126, 3) = 0.2326597410604933e-1, (1127, 1) = 1.621853303048242, (1127, 2) = -.6115163795764564, (1127, 3) = 0.23107182959521556e-1, (1128, 1) = 1.6136193111967145, (1128, 2) = -.611206219186382, (1128, 3) = 0.2295101949875242e-1, (1129, 1) = 1.6054843913604078, (1129, 2) = -.6109016985222121, (1129, 3) = 0.2279740637238685e-1, (1130, 1) = 1.59744621209884, (1130, 2) = -.6106026559244376, (1130, 3) = 0.22646270187668658e-1, (1131, 1) = 1.5895025148625919, (1131, 2) = -.6103089358465364, (1131, 3) = 0.2249753951126367e-1, (1132, 1) = 1.581651120616376, (1132, 2) = -.6100203889183039, (1132, 3) = 0.22351146576370235e-1, (1133, 1) = 1.5738899308939602, (1133, 2) = -.609736871804611, (1133, 3) = 0.22207025462600026e-1, (1134, 1) = 1.5662169174600893, (1134, 2) = -.6094582466572802, (1134, 3) = 0.22065114192319497e-1, (1135, 1) = 1.5586301192575107, (1135, 2) = -.6091843808490114, (1135, 3) = 0.21925351750570414e-1, (1136, 1) = 1.551127639474644, (1136, 2) = -.6089151467213715, (1136, 3) = 0.21787680874942032e-1, (1137, 1) = 1.5437076427878715, (1137, 2) = -.6086504213480931, (1137, 3) = 0.21652044953649103e-1, (1138, 1) = 1.53636835275081, (1138, 2) = -.6083900863120658, (1138, 3) = 0.2151839091796822e-1, (1139, 1) = 1.5291080493129146, (1139, 2) = -.6081340274947644, (1139, 3) = 0.21386666685150043e-1, (1140, 1) = 1.5219250659198866, (1140, 2) = -.6078821348584604, (1140, 3) = 0.21256822683754784e-1, (1141, 1) = 1.5148177809281833, (1141, 2) = -.6076343020382592, (1141, 3) = 0.21128810547045e-1, (1142, 1) = 1.5077846282229574, (1142, 2) = -.6073904266119984, (1142, 3) = 0.2100258440432004e-1, (1143, 1) = 1.500824091922289, (1143, 2) = -.6071504098140698, (1143, 3) = 0.2087809913990607e-1, (1144, 1) = 1.493934701842678, (1144, 2) = -.6069141562848885, (1144, 3) = 0.20755312033414e-1, (1145, 1) = 1.4871150317046835, (1145, 2) = -.606681573921879, (1145, 3) = 0.20634181243478305e-1, (1146, 1) = 1.48036369740643, (1146, 2) = -.6064525737377021, (1146, 3) = 0.20514666913337882e-1, (1147, 1) = 1.473679355385865, (1147, 2) = -.606227069726122, (1147, 3) = 0.2039673032559934e-1, (1148, 1) = 1.4670607010613803, (1148, 2) = -.6060049787348617, (1148, 3) = 0.20280333694426902e-1, (1149, 1) = 1.4605064673508363, (1149, 2) = -.605786220345176, (1149, 3) = 0.2016544119895435e-1, (1150, 1) = 1.454015421861142, (1150, 2) = -.6055707167112505, (1150, 3) = 0.20052018025237355e-1, (1151, 1) = 1.4475863626235927, (1151, 2) = -.605358392356772, (1151, 3) = 0.19940029565182992e-1, (1152, 1) = 1.441218126748924, (1152, 2) = -.6051491744012322, (1152, 3) = 0.1982944335680381e-1, (1153, 1) = 1.4349095842318884, (1153, 2) = -.6049429922950975, (1153, 3) = 0.19720228128982397e-1, (1154, 1) = 1.4286596360571069, (1154, 2) = -.6047397777026693, (1154, 3) = 0.1961235284614569e-1, (1155, 1) = 1.4224672130872882, (1155, 2) = -.6045394644137766, (1155, 3) = 0.19505787829159512e-1, (1156, 1) = 1.4163312749949548, (1156, 2) = -.6043419882595464, (1156, 3) = 0.1940050454527754e-1, (1157, 1) = 1.4102508092421444, (1157, 2) = -.6041472870322463, (1157, 3) = 0.19296474566291362e-1, (1158, 1) = 1.4042248301019635, (1158, 2) = -.6039553004088536, (1158, 3) = 0.19193671776651246e-1, (1159, 1) = 1.3982523777320124, (1159, 2) = -.6037659698785246, (1159, 3) = 0.19092069347418177e-1, (1160, 1) = 1.392332515020097, (1160, 2) = -.6035792386021103, (1160, 3) = 0.18991641969123525e-1, (1161, 1) = 1.3864643276700568, (1161, 2) = -.6033950513772408, (1161, 3) = 0.1889236485864192e-1, (1162, 1) = 1.380646928656804, (1162, 2) = -.6032133547405341, (1162, 3) = 0.18794214606483145e-1, (1163, 1) = 1.3748794535201176, (1163, 2) = -.6030340967827381, (1163, 3) = 0.18697167014100673e-1, (1164, 1) = 1.3691610595434804, (1164, 2) = -.6028572270891024, (1164, 3) = 0.186012007191677e-1, (1165, 1) = 1.3634909250352427, (1165, 2) = -.6026826966845622, (1165, 3) = 0.18506293015646234e-1, (1166, 1) = 1.3578682486391176, (1166, 2) = -.6025104579813726, (1166, 3) = 0.18412422967327997e-1, (1167, 1) = 1.352292248673003, (1167, 2) = -.6023404647290567, (1167, 3) = 0.18319569916394513e-1, (1168, 1) = 1.3467621624900161, (1168, 2) = -.602172671966411, (1168, 3) = 0.18227714132504267e-1, (1169, 1) = 1.3412772458371662, (1169, 2) = -.6020070359747569, (1169, 3) = 0.1813683547194123e-1, (1170, 1) = 1.33583676941031, (1170, 2) = -.6018435141484021, (1170, 3) = 0.1804691562770412e-1, (1171, 1) = 1.3304400225223432, (1171, 2) = -.6016820650809729, (1171, 3) = 0.17957935300413383e-1, (1172, 1) = 1.3250863131437318, (1172, 2) = -.6015226485415538, (1172, 3) = 0.17869877270130726e-1, (1173, 1) = 1.3197749654415907, (1173, 2) = -.6013652253774551, (1173, 3) = 0.17782723919094776e-1, (1174, 1) = 1.3145053192811733, (1174, 2) = -.601209757477403, (1174, 3) = 0.17696458473859537e-1, (1175, 1) = 1.3092767297448216, (1175, 2) = -.6010562077361947, (1175, 3) = 0.17611063697743002e-1, (1176, 1) = 1.304088566670594, (1176, 2) = -.6009045400208672, (1176, 3) = 0.17526524285438428e-1, (1177, 1) = 1.2989402142091564, (1177, 2) = -.6007547191382548, (1177, 3) = 0.1744282379592925e-1, (1178, 1) = 1.2938310703926597, (1178, 2) = -.6006067108037483, (1178, 3) = 0.17359947770417414e-1, (1179, 1) = 1.2887605464248577, (1179, 2) = -.6004604816028184, (1179, 3) = 0.17277881189994973e-1, (1180, 1) = 1.2837280640731117, (1180, 2) = -.6003159988991628, (1180, 3) = 0.1719660923826562e-1, (1181, 1) = 1.2787330601263542, (1181, 2) = -.6001732309467734, (1181, 3) = 0.17116117652661824e-1, (1182, 1) = 1.2737749844221469, (1182, 2) = -.6000321468163979, (1182, 3) = 0.17036393084915422e-1, (1183, 1) = 1.2688532987502195, (1183, 2) = -.5998927163486824, (1183, 3) = 0.16957421990991907e-1, (1184, 1) = 1.2639674765122366, (1184, 2) = -.5997549101297879, (1184, 3) = 0.1687919115982291e-1, (1185, 1) = 1.259117002390722, (1185, 2) = -.5996186994678689, (1185, 3) = 0.16801687819773137e-1, (1186, 1) = 1.254301372030724, (1186, 2) = -.5994840563704793, (1186, 3) = 0.16724900141258856e-1, (1187, 1) = 1.249520091733908, (1187, 2) = -.5993509535228686, (1187, 3) = 0.16648814938900598e-1, (1188, 1) = 1.244772678159806, (1188, 2) = -.5992193642670128, (1188, 3) = 0.16573421343516175e-1, (1189, 1) = 1.2400586573476549, (1189, 2) = -.5990892625624219, (1189, 3) = 0.16498707292210216e-1, (1190, 1) = 1.2353775636250808, (1190, 2) = -.5989606229448263, (1190, 3) = 0.1642466140390181e-1, (1191, 1) = 1.230728943057973, (1191, 2) = -.5988334206098752, (1191, 3) = 0.16351272968847547e-1, (1192, 1) = 1.2261123511582808, (1192, 2) = -.5987076313385485, (1192, 3) = 0.16278531035508807e-1, (1193, 1) = 1.2215273524478487, (1193, 2) = -.5985832314746752, (1193, 3) = 0.1620642479154726e-1, (1194, 1) = 1.2169735202193737, (1194, 2) = -.5984601979083045, (1194, 3) = 0.1613494473978339e-1, (1195, 1) = 1.2124504363029476, (1195, 2) = -.5983385080595998, (1195, 3) = 0.1606408011180786e-1, (1196, 1) = 1.207957690840683, (1196, 2) = -.5982181398633349, (1196, 3) = 0.15993821612534227e-1, (1197, 1) = 1.2034948820698508, (1197, 2) = -.5980990717539575, (1197, 3) = 0.15924159302648955e-1, (1198, 1) = 1.199061616111207, (1198, 2) = -.5979812826511423, (1198, 3) = 0.1585508431906971e-1, (1199, 1) = 1.194657505639672, (1199, 2) = -.5978647519161462, (1199, 3) = 0.15786586776987604e-1, (1200, 1) = 1.190282170570412, (1200, 2) = -.5977494593622229, (1200, 3) = 0.15718658159911525e-1, (1201, 1) = 1.1859352396191056, (1201, 2) = -.5976353852876322, (1201, 3) = 0.15651289645485813e-1, (1202, 1) = 1.1816163486072815, (1202, 2) = -.5975225104229283, (1202, 3) = 0.15584472834057367e-1, (1203, 1) = 1.1773251402753457, (1203, 2) = -.5974108159186575, (1203, 3) = 0.15518199100134097e-1, (1204, 1) = 1.173061264110328, (1204, 2) = -.5973002833337205, (1204, 3) = 0.15452460335306275e-1, (1205, 1) = 1.1688243761776524, (1205, 2) = -.5971908946240811, (1205, 3) = 0.15387248378786356e-1, (1206, 1) = 1.1646141389580993, (1206, 2) = -.5970826321318601, (1206, 3) = 0.1532255576428641e-1, (1207, 1) = 1.160430221190291, (1207, 2) = -.5969754785748044, (1207, 3) = 0.15258374444829161e-1, (1208, 1) = 1.1562722976736757, (1208, 2) = -.5968694170349785, (1208, 3) = 0.15194697164333585e-1, (1209, 1) = 1.152140047787942, (1209, 2) = -.5967644309151516, (1209, 3) = 0.1513151643123926e-1, (1210, 1) = 1.1480331575524796, (1210, 2) = -.5966605039856082, (1210, 3) = 0.15068825189644306e-1, (1211, 1) = 1.1439513193667301, (1211, 2) = -.5965576203714797, (1211, 3) = 0.15006616139560041e-1, (1212, 1) = 1.1398942311626183, (1212, 2) = -.5964557645256289, (1212, 3) = 0.14944882402982737e-1, (1213, 1) = 1.135861596272183, (1213, 2) = -.5963549212199905, (1213, 3) = 0.14883617218444757e-1, (1214, 1) = 1.1318531233007463, (1214, 2) = -.5962550755372367, (1214, 3) = 0.14822814277240777e-1, (1215, 1) = 1.1278685260032464, (1215, 2) = -.59615621286269, (1215, 3) = 0.1476246681793527e-1, (1216, 1) = 1.1239075231641298, (1216, 2) = -.5960583188764927, (1216, 3) = 0.1470256842718929e-1, (1217, 1) = 1.1199698384805228, (1217, 2) = -.5959613795460151, (1217, 3) = 0.14643112563402016e-1, (1218, 1) = 1.1160552002465338, (1218, 2) = -.5958653811135598, (1218, 3) = 0.14584094019406644e-1, (1219, 1) = 1.112163340306531, (1219, 2) = -.595770310066491, (1219, 3) = 0.14525506022418772e-1, (1220, 1) = 1.108293996262963, (1220, 2) = -.5956761531870935, (1220, 3) = 0.14467342922280224e-1, (1221, 1) = 1.104446910454498, (1221, 2) = -.5955828975231164, (1221, 3) = 0.14409599042389405e-1, (1222, 1) = 1.1006218295939585, (1222, 2) = -.5954905303748789, (1222, 3) = 0.14352268701829604e-1, (1223, 1) = 1.096818504669811, (1223, 2) = -.5953990392889753, (1223, 3) = 0.14295346208590357e-1, (1224, 1) = 1.0930366908510738, (1224, 2) = -.5953084120521923, (1224, 3) = 0.14238826315969363e-1, (1225, 1) = 1.0892761473946977, (1225, 2) = -.5952186366855974, (1225, 3) = 0.14182703507993227e-1, (1226, 1) = 1.0855366375556788, (1226, 2) = -.5951297014388188, (1226, 3) = 0.14126972635637084e-1, (1227, 1) = 1.0818179284988514, (1227, 2) = -.5950415947844659, (1227, 3) = 0.14071628736886787e-1, (1228, 1) = 1.0781197907889466, (1228, 2) = -.5949543054027301, (1228, 3) = 0.14016666604694753e-1, (1229, 1) = 1.0744419981204734, (1229, 2) = -.5948678221719418, (1229, 3) = 0.13962081168234256e-1, (1230, 1) = 1.0707843289094507, (1230, 2) = -.594782134202859, (1230, 3) = 0.1390786792769986e-1, (1231, 1) = 1.0671465652044176, (1231, 2) = -.5946972308097213, (1231, 3) = 0.13854021669866634e-1, (1232, 1) = 1.0635284925571629, (1232, 2) = -.5946131015042146, (1232, 3) = 0.13800538294960979e-1, (1233, 1) = 1.0599298999483098, (1233, 2) = -.5945297359908104, (1233, 3) = 0.13747412760270921e-1, (1234, 1) = 1.0563505797149122, (1234, 2) = -.5944471241622538, (1234, 3) = 0.13694640860399461e-1, (1235, 1) = 1.0527903274799213, (1235, 2) = -.5943652560951673, (1235, 3) = 0.13642217847354934e-1, (1236, 1) = 1.049248942083882, (1236, 2) = -.5942841220457966, (1236, 3) = 0.13590139502235232e-1, (1237, 1) = 1.045726225517333, (1237, 2) = -.5942037124458471, (1237, 3) = 0.13538401644489474e-1, (1238, 1) = 1.0422219821804066, (1238, 2) = -.5941240178831266, (1238, 3) = 0.13486999991606869e-1, (1239, 1) = 1.0387360195627184, (1239, 2) = -.5940450291147231, (1239, 3) = 0.13435930557579316e-1, (1240, 1) = 1.0352681487834066, (1240, 2) = -.5939667370767263, (1240, 3) = 0.13385189174439475e-1, (1241, 1) = 1.03181818385866, (1241, 2) = -.5938891328651595, (1241, 3) = 0.1333477206568325e-1, (1242, 1) = 1.0283859416430907, (1242, 2) = -.5938122077323774, (1242, 3) = 0.1328467479112041e-1, (1243, 1) = 1.0249712417726562, (1243, 2) = -.5937359530835754, (1243, 3) = 0.13234894495422075e-1, (1244, 1) = 1.0215739066088318, (1244, 2) = -.593660360473378, (1244, 3) = 0.13185426261470654e-1, (1245, 1) = 1.0181937611840928, (1245, 2) = -.5935854216025295, (1245, 3) = 0.13136267171347167e-1, (1246, 1) = 1.0148306331492476, (1246, 2) = -.5935111283146747, (1246, 3) = 0.13087413335851002e-1, (1247, 1) = 1.0114843526758592, (1247, 2) = -.5934374725922179, (1247, 3) = 0.13038861060164254e-1, (1248, 1) = 1.008154751698321, (1248, 2) = -.5933644465377972, (1248, 3) = 0.12990606838082789e-1, (1249, 1) = 1.0048416651624563, (1249, 2) = -.5932920423999207, (1249, 3) = 0.1294264728432677e-1, (1250, 1) = 1.0015449307361226, (1250, 2) = -.5932202525646114, (1250, 3) = 0.1289497950751818e-1, (1251, 1) = .9982643884569867, (1251, 2) = -.5931490695458538, (1251, 3) = 0.12847599360710114e-1, (1252, 1) = .9949998806866295, (1252, 2) = -.5930784859828526, (1252, 3) = 0.12800503836802464e-1, (1253, 1) = .9917512520661281, (1253, 2) = -.5930084946373658, (1253, 3) = 0.1275368980639396e-1, (1254, 1) = .9885183494725024, (1254, 2) = -.5929390883911011, (1254, 3) = 0.1270715392804915e-1, (1255, 1) = .9853010219760494, (1255, 2) = -.5928702602431819, (1255, 3) = 0.12660893233760519e-1, (1256, 1) = .9820991207991473, (1256, 2) = -.5928020033076803, (1256, 3) = 0.1261490404576578e-1, (1257, 1) = .9789124991239461, (1257, 2) = -.5927343108080002, (1257, 3) = 0.1256918416703438e-1, (1258, 1) = .9757410116230176, (1258, 2) = -.5926671760654999, (1258, 3) = 0.12523730619794568e-1, (1259, 1) = .9725845156741689, (1259, 2) = -.5926005925238197, (1259, 3) = 0.12478539740919512e-1, (1260, 1) = .9694428707522033, (1260, 2) = -.5925345537344326, (1260, 3) = 0.12433609016250808e-1, (1261, 1) = .9663159382889517, (1261, 2) = -.5924690533522811, (1261, 3) = 0.123889357419087e-1, (1262, 1) = .9632035816370259, (1262, 2) = -.5924040851336548, (1262, 3) = 0.12344517079762524e-1, (1263, 1) = .9601056660347675, (1263, 2) = -.5923396429341297, (1263, 3) = 0.12300349793765984e-1, (1264, 1) = .9570220585718978, (1264, 2) = -.5922757207065588, (1264, 3) = 0.12256431868966921e-1, (1265, 1) = .9539526281557708, (1265, 2) = -.5922123124991029, (1265, 3) = 0.12212760117413847e-1, (1266, 1) = .9508972454786961, (1266, 2) = -.5921494124533236, (1266, 3) = 0.1216933233063121e-1, (1267, 1) = .9478557826922435, (1267, 2) = -.5920870147962989, (1267, 3) = 0.12126145434989582e-1, (1268, 1) = .9448281134158305, (1268, 2) = -.5920251138397226, (1268, 3) = 0.1208319716466765e-1, (1269, 1) = .9418141135274875, (1269, 2) = -.5919637039949222, (1269, 3) = 0.12040485335675456e-1, (1270, 1) = .9388136605789199, (1270, 2) = -.5919027797596715, (1270, 3) = 0.11998006884379834e-1, (1271, 1) = .9358266337520086, (1271, 2) = -.5918423357162106, (1271, 3) = 0.1195575941155243e-1, (1272, 1) = .9328529138299407, (1272, 2) = -.5917823665295897, (1272, 3) = 0.11913741063425796e-1, (1273, 1) = .9298923831692298, (1273, 2) = -.5917228669460536, (1273, 3) = 0.11871948708338983e-1, (1274, 1) = .9269449256723139, (1274, 2) = -.5916638317914727, (1274, 3) = 0.1183038087284086e-1, (1275, 1) = .9240104267606407, (1275, 2) = -.5916052559697993, (1275, 3) = 0.1178903449813411e-1, (1276, 1) = .9210887733453194, (1276, 2) = -.5915471344615093, (1276, 3) = 0.11747907910858887e-1, (1277, 1) = .9181798533621388, (1277, 2) = -.5914894623134385, (1277, 3) = 0.11706998670044837e-1, (1278, 1) = .9152835563380114, (1278, 2) = -.5914322346491696, (1278, 3) = 0.11666304236513547e-1, (1279, 1) = .912399773543088, (1279, 2) = -.5913754466710575, (1279, 3) = 0.11625822997134726e-1, (1280, 1) = .9095283976395195, (1280, 2) = -.5913190936523403, (1280, 3) = 0.11585552409229307e-1, (1281, 1) = .9066693226581383, (1281, 2) = -.5912631709358135, (1281, 3) = 0.11545490695348938e-1, (1282, 1) = .9038224439752821, (1282, 2) = -.5912076739325212, (1282, 3) = 0.11505635341633085e-1, (1283, 1) = .9009876582902304, (1283, 2) = -.5911525981204834, (1283, 3) = 0.11465984934977974e-1, (1284, 1) = .8981648636031111, (1284, 2) = -.5910979390434506, (1284, 3) = 0.11426537164628003e-1, (1285, 1) = .8953539591932691, (1285, 2) = -.5910436923096866, (1285, 3) = 0.1138728970080031e-1, (1286, 1) = .8925548455537974, (1286, 2) = -.5909898535899301, (1286, 3) = 0.11348241232069699e-1, (1287, 1) = .8897674239672771, (1287, 2) = -.590936418608522, (1287, 3) = 0.11309389436354183e-1, (1288, 1) = .8869915973082401, (1288, 2) = -.5908833831581055, (1288, 3) = 0.11270732319916743e-1, (1289, 1) = .8842272697899564, (1289, 2) = -.5908307430939593, (1289, 3) = 0.11232268002098126e-1, (1290, 1) = .8814743468021662, (1290, 2) = -.5907784943301622, (1290, 3) = 0.1119399510736045e-1, (1291, 1) = .8787327348921077, (1291, 2) = -.5907266328385276, (1291, 3) = 0.11155911123383709e-1, (1292, 1) = .8760023417457574, (1292, 2) = -.5906751546475708, (1292, 3) = 0.11118014985714306e-1, (1293, 1) = .8732830761694881, (1293, 2) = -.5906240558414861, (1293, 3) = 0.11080304335120576e-1, (1294, 1) = .8705748480720642, (1294, 2) = -.5905733325591557, (1294, 3) = 0.1104277771188425e-1, (1295, 1) = .8678775684471258, (1295, 2) = -.5905229809931787, (1295, 3) = 0.11005433482785916e-1, (1296, 1) = .8651911492357387, (1296, 2) = -.5904729973866834, (1296, 3) = 0.10968269604507341e-1, (1297, 1) = .8625155031146637, (1297, 2) = -.5904233780288313, (1297, 3) = 0.10931284740285062e-1, (1298, 1) = .8598505442091299, (1298, 2) = -.5903741192674558, (1298, 3) = 0.10894476967700142e-1, (1299, 1) = .8571961877037549, (1299, 2) = -.59032521750119, (1299, 3) = 0.10857844712636447e-1, (1300, 1) = .8545523497842075, (1300, 2) = -.5902766691778022, (1300, 3) = 0.10821386440101255e-1, (1301, 1) = .8519189476216209, (1301, 2) = -.5902284707933447, (1301, 3) = 0.10785100896148857e-1, (1302, 1) = .8492958993572806, (1302, 2) = -.5901806188913145, (1302, 3) = 0.10748985716162887e-1, (1303, 1) = .8466831240876038, (1303, 2) = -.5901331100618401, (1303, 3) = 0.10713039940077811e-1, (1304, 1) = .8440805418493422, (1304, 2) = -.5900859409408761, (1304, 3) = 0.10677261946069423e-1, (1305, 1) = .8414880736052627, (1305, 2) = -.5900391082094216, (1305, 3) = 0.10641650154736736e-1, (1306, 1) = .8389056410116773, (1306, 2) = -.5899926085888292, (1306, 3) = 0.10606203000322877e-1, (1307, 1) = .8363331665334298, (1307, 2) = -.5899464388424248, (1307, 3) = 0.10570918944568797e-1, (1308, 1) = .8337705738428379, (1308, 2) = -.5899005957821679, (1308, 3) = 0.10535796967648387e-1, (1309, 1) = .8312177874852623, (1309, 2) = -.5898550762621159, (1309, 3) = 0.10500835181502901e-1, (1310, 1) = .8286747328631662, (1310, 2) = -.5898098771776725, (1310, 3) = 0.1046603263433733e-1, (1311, 1) = .8261413362232203, (1311, 2) = -.5897649954648904, (1311, 3) = 0.1043138720961145e-1, (1312, 1) = .8236175246436888, (1312, 2) = -.5897204280997987, (1312, 3) = 0.10396898355392939e-1, (1313, 1) = .821103226022046, (1313, 2) = -.589676172097735, (1313, 3) = 0.10362564095656205e-1, (1314, 1) = .8185983690627312, (1314, 2) = -.5896322245126968, (1314, 3) = 0.10328383369112574e-1, (1315, 1) = .8161028832583684, (1315, 2) = -.5895885824365826, (1315, 3) = 0.10294354636004263e-1, (1316, 1) = .8136166985830877, (1316, 2) = -.5895452429934379, (1316, 3) = 0.10260477167089952e-1, (1317, 1) = .8111397459376177, (1317, 2) = -.5895022033468447, (1317, 3) = 0.10226748997208625e-1, (1318, 1) = .8086719571531993, (1318, 2) = -.5894594606995444, (1318, 3) = 0.10193168880366163e-1, (1319, 1) = .8062132648100019, (1319, 2) = -.5894170122898638, (1319, 3) = 0.1015973599867331e-1, (1320, 1) = .803763602226281, (1320, 2) = -.5893748553911352, (1320, 3) = 0.10126448927711772e-1, (1321, 1) = .8013229034476501, (1321, 2) = -.5893329873111347, (1321, 3) = 0.10093306271225495e-1, (1322, 1) = .7988911032365966, (1322, 2) = -.5892914053915281, (1322, 3) = 0.10060306940750502e-1, (1323, 1) = .7964681370622089, (1323, 2) = -.5892501070073266, (1323, 3) = 0.10027449476391375e-1, (1324, 1) = .7940539410899786, (1324, 2) = -.5892090895663561, (1324, 3) = 0.999473328551973e-2, (1325, 1) = .7916484521297883, (1325, 2) = -.58916835050802, (1325, 3) = 0.996215659600282e-2, (1326, 1) = .7892516073886713, (1326, 2) = -.5891278872988005, (1326, 3) = 0.9929718942753425e-2, (1327, 1) = .7868633450070642, (1327, 2) = -.5890876974409966, (1327, 3) = 0.98974184856203e-2, (1328, 1) = .7844836038524168, (1328, 2) = -.5890477784688666, (1328, 3) = 0.9865254087279039e-2, (1329, 1) = .7821123234401952, (1329, 2) = -.5890081279469592, (1329, 3) = 0.9833224995182995e-2, (1330, 1) = .779749443924857, (1330, 2) = -.5889687434696426, (1330, 3) = 0.9801330198391408e-2, (1331, 1) = .7773949060908873, (1331, 2) = -.5889296226606354, (1331, 3) = 0.9769568210621945e-2, (1332, 1) = .7750486513440191, (1332, 2) = -.5888907631725575, (1332, 3) = 0.9737938380591064e-2, (1333, 1) = .7727106217026477, (1333, 2) = -.5888521626864771, (1333, 3) = 0.9706439219052907e-2, (1334, 1) = .7703807597893063, (1334, 2) = -.5888138189114739, (1334, 3) = 0.9675069673732795e-2, (1335, 1) = .7680590087233193, (1335, 2) = -.5887757295825885, (1335, 3) = 0.9643829260819936e-2, (1336, 1) = .7657453120383887, (1336, 2) = -.5887378924592097, (1336, 3) = 0.9612716608923638e-2, (1337, 1) = .7634396141155625, (1337, 2) = -.5887003053318842, (1337, 3) = 0.9581730355299356e-2, (1338, 1) = .761141859924152, (1338, 2) = -.5886629660177661, (1338, 3) = 0.955086992252259e-2, (1339, 1) = .7588519949970062, (1339, 2) = -.5886258723599375, (1339, 3) = 0.9520134264796384e-2, (1340, 1) = .7565699654229281, (1340, 2) = -.5885890222270183, (1340, 3) = 0.9489522397441845e-2, (1341, 1) = .7542957178391496, (1341, 2) = -.5885524135127798, (1341, 3) = 0.9459033109535999e-2, (1342, 1) = .752029199423936, (1342, 2) = -.5885160441357705, (1342, 3) = 0.9428665919681035e-2, (1343, 1) = .7497703578893541, (1343, 2) = -.5884799120389398, (1343, 3) = 0.9398419083976631e-2, (1344, 1) = .7475191414741205, (1344, 2) = -.5884440151892825, (1344, 3) = 0.9368292860465316e-2, (1345, 1) = .745275498765881, (1345, 2) = -.5884083515747607, (1345, 3) = 0.9338284993267635e-2, (1346, 1) = .7430393788574383, (1346, 2) = -.5883729192065885, (1346, 3) = 0.9308395751966363e-2, (1347, 1) = .7408107315364344, (1347, 2) = -.588337716121977, (1347, 3) = 0.9278623253838544e-2, (1348, 1) = .7385895070895991, (1348, 2) = -.5883027403807843, (1348, 3) = 0.9248967144556383e-2, (1349, 1) = .7363756562960401, (1349, 2) = -.5882679900651753, (1349, 3) = 0.9219426499833601e-2, (1350, 1) = .7341691304208259, (1350, 2) = -.5882334632792995, (1350, 3) = 0.919000035541751e-2, (1351, 1) = .7319698812086292, (1351, 2) = -.5881991581489678, (1351, 3) = 0.9160687846425741e-2, (1352, 1) = .7297778608774739, (1352, 2) = -.5881650728213399, (1352, 3) = 0.913148813362865e-2, (1353, 1) = .7275930221125885, (1353, 2) = -.588131205464613, (1353, 3) = 0.910240008116161e-2, (1354, 1) = .7254153180502801, (1354, 2) = -.5880975542675652, (1354, 3) = 0.9073423386128958e-2, (1355, 1) = .723244702070582, (1355, 2) = -.5880641174361585, (1355, 3) = 0.9044556891334689e-2, (1356, 1) = .7210811281412313, (1356, 2) = -.5880308931986615, (1356, 3) = 0.9015799798465044e-2, (1357, 1) = .7189245507661866, (1357, 2) = -.5879978798046304, (1357, 3) = 0.8987151503918331e-2, (1358, 1) = .7167749248871207, (1358, 2) = -.5879650755231852, (1358, 3) = 0.8958610917213818e-2, (1359, 1) = .7146322058778038, (1359, 2) = -.5879324786427352, (1359, 3) = 0.893017723994277e-2, (1360, 1) = .7124963495386349, (1360, 2) = -.5879000874707049, (1360, 3) = 0.8901849998936987e-2, (1361, 1) = .7103673120912442, (1361, 2) = -.5878679003332618, (1361, 3) = 0.8873628227072147e-2, (1362, 1) = .7082450501731798, (1362, 2) = -.5878359155750567, (1362, 3) = 0.8845511206832954e-2, (1363, 1) = .7061295208326606, (1363, 2) = -.5878041315589633, (1363, 3) = 0.8817497757730068e-2, (1364, 1) = .704020681483526, (1364, 2) = -.5877725466652254, (1364, 3) = 0.8789587921749331e-2, (1365, 1) = .7019184897609768, (1365, 2) = -.5877411592891387, (1365, 3) = 0.8761780237677024e-2, (1366, 1) = .699822903888587, (1366, 2) = -.5877099678463796, (1366, 3) = 0.8734074526897668e-2, (1367, 1) = .6977338825148868, (1367, 2) = -.5876789707703629, (1367, 3) = 0.870646926604333e-2, (1368, 1) = .6956513846739367, (1368, 2) = -.5876481665114918, (1368, 3) = 0.8678964588967332e-2, (1369, 1) = .6935753697805567, (1369, 2) = -.5876175535369169, (1369, 3) = 0.8651559443376944e-2, (1370, 1) = .6915057976256387, (1370, 2) = -.5875871303303115, (1370, 3) = 0.8624253151546227e-2, (1371, 1) = .6894426283715354, (1371, 2) = -.5875568953916412, (1371, 3) = 0.8597044982138348e-2, (1372, 1) = .6873858225475313, (1372, 2) = -.5875268472369444, (1372, 3) = 0.8569934219294032e-2, (1373, 1) = .6853353410453344, (1373, 2) = -.5874969843981115, (1373, 3) = 0.8542920231728764e-2, (1374, 1) = .6832911450305323, (1374, 2) = -.5874673054214499, (1374, 3) = 0.8516002221617407e-2, (1375, 1) = .681253195930413, (1375, 2) = -.5874378088673787, (1375, 3) = 0.8489179539013316e-2, (1376, 1) = .6792214556992792, (1376, 2) = -.5874084933141258, (1376, 3) = 0.8462451760245498e-2, (1377, 1) = .677195886642523, (1377, 2) = -.5873793573550125, (1377, 3) = 0.8435818044120663e-2, (1378, 1) = .6751764514064231, (1378, 2) = -.5873503995981693, (1378, 3) = 0.8409277589257004e-2, (1379, 1) = .6731631129740693, (1379, 2) = -.5873216186663353, (1379, 3) = 0.8382829845433128e-2, (1380, 1) = .6711558346613368, (1380, 2) = -.5872930131966638, (1380, 3) = 0.8356474476343237e-2, (1381, 1) = .6691545801129173, (1381, 2) = -.5872645818405308, (1381, 3) = 0.8330210576530465e-2, (1382, 1) = .6671593132984446, (1382, 2) = -.5872363232633444, (1382, 3) = 0.8304037273503425e-2, (1383, 1) = .6651699985081674, (1383, 2) = -.5872082361443577, (1383, 3) = 0.827795457827417e-2, (1384, 1) = .6631866002127065, (1384, 2) = -.5871803191745617, (1384, 3) = 0.8251961123122216e-2, (1385, 1) = .6612090832289268, (1385, 2) = -.5871525710589186, (1385, 3) = 0.8226056967581673e-2, (1386, 1) = .6592374127948712, (1386, 2) = -.5871249905172703, (1386, 3) = 0.820024121549345e-2, (1387, 1) = .6572715544546797, (1387, 2) = -.587097576282591, (1387, 3) = 0.8174513421770627e-2, (1388, 1) = .6553114740550101, (1388, 2) = -.5870703271008146, (1388, 3) = 0.814887288053221e-2, (1389, 1) = .6533571377415338, (1389, 2) = -.5870432417306678, (1389, 3) = 0.8123318801180725e-2, (1390, 1) = .6514085119554676, (1390, 2) = -.5870163189435034, (1390, 3) = 0.8097850768627556e-2, (1391, 1) = .6494655634301458, (1391, 2) = -.5869895575231379, (1391, 3) = 0.8072468457689446e-2, (1392, 1) = .6475282591876764, (1392, 2) = -.5869629562656891, (1392, 3) = 0.804717092132273e-2, (1393, 1) = .6455965665231956, (1393, 2) = -.586936513979251, (1393, 3) = 0.8021957649357977e-2, (1394, 1) = .6436704528633577, (1394, 2) = -.5869102294818551, (1394, 3) = 0.7996828543258203e-2, (1395, 1) = .6417498860309321, (1395, 2) = -.5868841016049873, (1395, 3) = 0.7971782360450074e-2, (1396, 1) = .6398348341762122, (1396, 2) = -.5868581291925283, (1396, 3) = 0.7946819242060709e-2, (1397, 1) = .6379252657219932, (1397, 2) = -.5868323110998899, (1397, 3) = 0.7921938167623358e-2, (1398, 1) = .6360211493604658, (1398, 2) = -.5868066461938722, (1398, 3) = 0.789713872956819e-2, (1399, 1) = .6341224540501883, (1399, 2) = -.5867811333525184, (1399, 3) = 0.787242013746025e-2, (1400, 1) = .6322291490130837, (1400, 2) = -.5867557714649736, (1400, 3) = 0.7847782495303868e-2, (1401, 1) = .6303412037314671, (1401, 2) = -.5867305594313454, (1401, 3) = 0.7823225024442177e-2, (1402, 1) = .6284585879451511, (1402, 2) = -.5867054961625646, (1402, 3) = 0.7798746985742725e-2, (1403, 1) = .6265812716108096, (1403, 2) = -.5866805805797521, (1403, 3) = 0.7774347839732727e-2, (1404, 1) = .6247092248214317, (1404, 2) = -.5866558116130667, (1404, 3) = 0.7750027425115161e-2, (1405, 1) = .6228424180605358, (1405, 2) = -.5866311882049798, (1405, 3) = 0.77257846472571995e-2, (1406, 1) = .6209808220747269, (1406, 2) = -.5866067093084841, (1406, 3) = 0.7701619874109444e-2, (1407, 1) = .6191244078539944, (1407, 2) = -.5865823738867365, (1407, 3) = 0.7677532228494128e-2, (1408, 1) = .6172731466290131, (1408, 2) = -.5865581809129337, (1408, 3) = 0.7653520794506828e-2, (1409, 1) = .6154270098685053, (1409, 2) = -.5865341293701924, (1409, 3) = 0.7629585859460374e-2, (1410, 1) = .613585969276635, (1410, 2) = -.5865102182514209, (1410, 3) = 0.7605725858349054e-2, (1411, 1) = .611749996790429, (1411, 2) = -.5864864465592075, (1411, 3) = 0.75819414926528534e-2, (1412, 1) = .6099190645772399, (1412, 2) = -.5864628133056945, (1412, 3) = 0.7558231538303535e-2, (1413, 1) = .6080931449591185, (1413, 2) = -.5864393175115287, (1413, 3) = 0.75345960096970515e-2, (1414, 1) = .606272210440719, (1414, 2) = -.586415958206146, (1414, 3) = 0.7511034218268051e-2, (1415, 1) = .6044562338686293, (1415, 2) = -.586392734429735, (1415, 3) = 0.7487545657778193e-2, (1416, 1) = .6026451883114908, (1416, 2) = -.5863696452316055, (1416, 3) = 0.746412966871318e-2, (1417, 1) = .6008390470559912, (1417, 2) = -.5863466896700603, (1417, 3) = 0.7440786253441384e-2, (1418, 1) = .5990377836045139, (1418, 2) = -.5863238668122832, (1418, 3) = 0.7417514832127761e-2, (1419, 1) = .5972413716728343, (1419, 2) = -.5863011757342355, (1419, 3) = 0.73943147034590045e-2, (1420, 1) = .5954497851878452, (1420, 2) = -.5862786155205506, (1420, 3) = 0.7371185931578857e-2, (1421, 1) = .5936629982853113, (1421, 2) = -.5862561852644296, (1421, 3) = 0.73481274982671735e-2, (1422, 1) = .591880985305891, (1422, 2) = -.5862338840675205, (1422, 3) = 0.7325139396704098e-2, (1423, 1) = .5901037206857875, (1423, 2) = -.5862117110384786, (1423, 3) = 0.7302220773180307e-2, (1424, 1) = .588331179111376, (1424, 2) = -.5861896652948407, (1424, 3) = 0.7279371840343561e-2, (1425, 1) = .5865633355363294, (1425, 2) = -.5861677459631525, (1425, 3) = 0.7256591824596119e-2, (1426, 1) = .5848001651122938, (1426, 2) = -.5861459521780327, (1426, 3) = 0.7233880037340556e-2, (1427, 1) = .5830416431868294, (1427, 2) = -.5861242830820779, (1427, 3) = 0.7211236726491447e-2, (1428, 1) = .5812877453013613, (1428, 2) = -.5861027378257668, (1428, 3) = 0.7188660873573769e-2, (1429, 1) = .5795384471891574, (1429, 2) = -.5860813155673726, (1429, 3) = 0.7166152323843318e-2, (1430, 1) = .5777937247733392, (1430, 2) = -.5860600154728689, (1430, 3) = 0.71437104713231525e-2, (1431, 1) = .5760535541649161, (1431, 2) = -.5860388367158428, (1431, 3) = 0.712133546551961e-2, (1432, 1) = .5743179116468576, (1432, 2) = -.5860177784772339, (1432, 3) = 0.70990265353093746e-2, (1433, 1) = .572586773577961, (1433, 2) = -.5859968399441151, (1433, 3) = 0.7076783013158948e-2, (1434, 1) = .5708601165960288, (1434, 2) = -.5859760203120964, (1434, 3) = 0.7054605132689416e-2, (1435, 1) = .5691379175482959, (1435, 2) = -.585955318784407, (1435, 3) = 0.7032492151947811e-2, (1436, 1) = .5674201534603284, (1436, 2) = -.5859347345714582, (1436, 3) = 0.7010443512097815e-2, (1437, 1) = .565706801534211, (1437, 2) = -.585914266890762, (1437, 3) = 0.6988458943190919e-2, (1438, 1) = .5639978391467516, (1438, 2) = -.5858939149668488, (1438, 3) = 0.6966538498911889e-2, (1439, 1) = .5622932438477037, (1439, 2) = -.585873678031188, (1439, 3) = 0.6944681667903775e-2, (1440, 1) = .5605929933580147, (1440, 2) = -.5858535553221078, (1440, 3) = 0.6922887550597944e-2, (1441, 1) = .5588970655681073, (1441, 2) = -.5858335460847216, (1441, 3) = 0.69011561370697395e-2, (1442, 1) = .557205438500507, (1442, 2) = -.5858136495704283, (1442, 3) = 0.6879487261014425e-2, (1443, 1) = .5555180902704633, (1443, 2) = -.5857938650364043, (1443, 3) = 0.6857880405257307e-2, (1444, 1) = .5538349992622114, (1444, 2) = -.585774191747618, (1444, 3) = 0.6836335061564224e-2, (1445, 1) = .552156144030651, (1445, 2) = -.5857546289756124, (1445, 3) = 0.6814850794976448e-2, (1446, 1) = .5504815032917467, (1446, 2) = -.5857351759983402, (1446, 3) = 0.6793427772436139e-2, (1447, 1) = .5488110559209254, (1447, 2) = -.5857158321000903, (1447, 3) = 0.677206530592276e-2, (1448, 1) = .5471447809514967, (1448, 2) = -.5856965965714167, (1448, 3) = 0.67507630238186804e-2, (1449, 1) = .5454826575730887, (1449, 2) = -.5856774687090723, (1449, 3) = 0.6729520550589104e-2, (1450, 1) = .5438246651300985, (1450, 2) = -.585658447815938, (1450, 3) = 0.6708337719215797e-2, (1451, 1) = .5421707831201823, (1451, 2) = -.5856395332009535, (1451, 3) = 0.66872141088345355e-2, (1452, 1) = .5405209911281232, (1452, 2) = -.5856207241783197, (1452, 3) = 0.6666149513571787e-2, (1453, 1) = .5388752688772384, (1453, 2) = -.5856020200680387, (1453, 3) = 0.6645143431869225e-2, (1454, 1) = .5372335963189862, (1454, 2) = -.5855834201968859, (1454, 3) = 0.6624195673220731e-2, (1455, 1) = .5355959535522752, (1455, 2) = -.5855649238974334, (1455, 3) = 0.66033052935492755e-2, (1456, 1) = .5339623208218498, (1456, 2) = -.5855465305079921, (1456, 3) = 0.6582473151700677e-2, (1457, 1) = .532332678516871, (1457, 2) = -.5855282393725401, (1457, 3) = 0.6561698073053983e-2, (1458, 1) = .5307070071695205, (1458, 2) = -.5855100498406681, (1458, 3) = 0.6540980222988094e-2, (1459, 1) = .5290852874536198, (1459, 2) = -.5854919612675143, (1459, 3) = 0.6520318975299944e-2, (1460, 1) = .5274675001832565, (1460, 2) = -.5854739730137067, (1460, 3) = 0.6499713835043093e-2, (1461, 1) = .5258536263082028, (1461, 2) = -.5854560844452676, (1461, 3) = 0.647916447207724e-2, (1462, 1) = .5242436468297053, (1462, 2) = -.5854382949326431, (1462, 3) = 0.6458671253176001e-2, (1463, 1) = .5226375429365053, (1463, 2) = -.585420603852166, (1463, 3) = 0.6438233453570566e-2, (1464, 1) = .5210352959933637, (1464, 2) = -.585403010585881, (1464, 3) = 0.6417850495099668e-2, (1465, 1) = .5194368874986673, (1465, 2) = -.5853855145210357, (1465, 3) = 0.63975227093704306e-2, (1466, 1) = .5178422990831658, (1466, 2) = -.585368115050019, (1466, 3) = 0.63772493127765605e-2, (1467, 1) = .5162515125087104, (1467, 2) = -.5853508115703094, (1467, 3) = 0.63570299686819464e-2, (1468, 1) = .514664509667018, (1468, 2) = -.5853336034844234, (1468, 3) = 0.6336864751373589e-2, (1469, 1) = .5130812725784484, (1469, 2) = -.5853164901998562, (1469, 3) = 0.63167531155585875e-2, (1470, 1) = .5115017833907849, (1470, 2) = -.5852994711290359, (1470, 3) = 0.6296694996851599e-2, (1471, 1) = .5099260243630338, (1471, 2) = -.5852825456891035, (1471, 3) = 0.62766894907092296e-2, (1472, 1) = .5083539778015767, (1472, 2) = -.5852657133012018, (1472, 3) = 0.6256737275653966e-2, (1473, 1) = .5067856262156953, (1473, 2) = -.5852489733921005, (1473, 3) = 0.623683737701669e-2, (1474, 1) = .5052209522537047, (1474, 2) = -.585232325393472, (1474, 3) = 0.62169898032511e-2, (1475, 1) = .5036599386854458, (1475, 2) = -.5852157687416626, (1475, 3) = 0.6197194117757922e-2, (1476, 1) = .5021025684011654, (1476, 2) = -.5851993028776461, (1476, 3) = 0.6177450042183821e-2, (1477, 1) = .5005488244104006, (1477, 2) = -.5851829272469752, (1477, 3) = 0.6157757562492183e-2, (1478, 1) = .49899868984087153, (1478, 2) = -.5851666412997308, (1478, 3) = 0.61381160050590355e-2, (1479, 1) = .49745214793739995, (1479, 2) = -.5851504444904816, (1479, 3) = 0.6118525492384464e-2, (1480, 1) = .49590918206082574, (1480, 2) = -.585134336278232, (1480, 3) = 0.6098985557484765e-2, (1481, 1) = .4943697756532494, (1481, 2) = -.5851183161260284, (1481, 3) = 0.6079496123430552e-2, (1482, 1) = .49283391222613593, (1482, 2) = -.5851023835008075, (1482, 3) = 0.60600567523929885e-2, (1483, 1) = .4913015754811207, (1483, 2) = -.5850865378746154, (1483, 3) = 0.60406667330287775e-2, (1484, 1) = .4897727492350041, (1484, 2) = -.5850707787237942, (1484, 3) = 0.6021326859616912e-2, (1485, 1) = .48824741741535344, (1485, 2) = -.5850551055288956, (1485, 3) = 0.60020358785220764e-2, (1486, 1) = .4867255640595053, (1486, 2) = -.5850395177746462, (1486, 3) = 0.5982794252513484e-2, (1487, 1) = .48520717331356933, (1487, 2) = -.5850240149498975, (1487, 3) = 0.59636011414361e-2, (1488, 1) = .48369222943144485, (1488, 2) = -.5850085965475911, (1488, 3) = 0.5944456958975123e-2, (1489, 1) = .48218071677385194, (1489, 2) = -.5849932620647099, (1489, 3) = 0.5925360637470955e-2, (1490, 1) = .4806726198073213, (1490, 2) = -.5849780110022453, (1490, 3) = 0.5906312752935838e-2, (1491, 1) = .4791679230456629, (1491, 2) = -.5849628428645695, (1491, 3) = 0.5887312516538752e-2, (1492, 1) = .47766661111471376, (1492, 2) = -.5849477571600685, (1492, 3) = 0.5868360004426901e-2, (1493, 1) = .47616866879520303, (1493, 2) = -.5849327534015372, (1493, 3) = 0.5849454577888464e-2, (1494, 1) = .47467408096994806, (1494, 2) = -.5849178311056163, (1494, 3) = 0.5830596423406107e-2, (1495, 1) = .4731828326229401, (1495, 2) = -.5849029897927535, (1495, 3) = 0.5811785131605173e-2, (1496, 1) = .47169490883844656, (1496, 2) = -.5848882289871647, (1496, 3) = 0.5793020620296827e-2, (1497, 1) = .47021029480012827, (1497, 2) = -.5848735482167968, (1497, 3) = 0.5774302175153993e-2, (1498, 1) = .46872897579015627, (1498, 2) = -.5848589470132918, (1498, 3) = 0.5755629941024367e-2, (1499, 1) = .46725093718834526, (1499, 2) = -.5848444249119487, (1499, 3) = 0.573700353641559e-2, (1500, 1) = .4657761644666621, (1500, 2) = -.5848299814516442, (1500, 3) = 0.5718423045598929e-2, (1501, 1) = .4643046431253481, (1501, 2) = -.5848156161741805, (1501, 3) = 0.56998881032711175e-2, (1502, 1) = .4628363588088537, (1502, 2) = -.5848013286253962, (1502, 3) = 0.5681398157430291e-2, (1503, 1) = .4613712972811138, (1503, 2) = -.5847871183548934, (1503, 3) = 0.5662953417705207e-2, (1504, 1) = .459909444399476, (1504, 2) = -.5847729849157542, (1504, 3) = 0.56445531748867215e-2, (1505, 1) = .45845078611388024, (1505, 2) = -.5847589278645096, (1505, 3) = 0.5626197967080952e-2, (1506, 1) = .45699530846605874, (1506, 2) = -.5847449467610988, (1506, 3) = 0.5607886667014148e-2, (1507, 1) = .45554299758873895, (1507, 2) = -.5847310411688456, (1507, 3) = 0.558961982023995e-2, (1508, 1) = .4540938397048611, (1508, 2) = -.584717210654417, (1508, 3) = 0.5571396803484708e-2, (1509, 1) = .45264782112679397, (1509, 2) = -.5847034547877961, (1509, 3) = 0.555321760013499e-2, (1510, 1) = .451204928239911, (1510, 2) = -.5846897731420989, (1510, 3) = 0.5535081621141951e-2, (1511, 1) = .44976514746230306, (1511, 2) = -.5846761652931752, (1511, 3) = 0.55169892149326905e-2, (1512, 1) = .4483284653630415, (1512, 2) = -.5846626308207006, (1512, 3) = 0.5498939693747279e-2, (1513, 1) = .4468948686064773, (1513, 2) = -.5846491693076239, (1513, 3) = 0.5480932978998231e-2, (1514, 1) = .44546434394259615, (1514, 2) = -.5846357803400531, (1514, 3) = 0.54629694195468415e-2, (1515, 1) = .4440368782062881, (1515, 2) = -.5846224635072187, (1515, 3) = 0.5445047766950275e-2, (1516, 1) = .44261245831662605, (1516, 2) = -.5846092184014523, (1516, 3) = 0.5427168513701008e-2, (1517, 1) = .4411910712761514, (1517, 2) = -.5845960446181513, (1517, 3) = 0.5409331229184087e-2, (1518, 1) = .4397727041701722, (1518, 2) = -.5845829417557514, (1518, 3) = 0.5391535980034882e-2, (1519, 1) = .4383573441660569, (1519, 2) = -.5845699094156973, (1519, 3) = 0.5373782299857932e-2, (1520, 1) = .4369449784806514, (1520, 2) = -.5845569472021231, (1520, 3) = 0.5356069992116662e-2, (1521, 1) = .4355355943872097, (1521, 2) = -.584544054721898, (1521, 3) = 0.5338399133108666e-2, (1522, 1) = .4341291792957724, (1522, 2) = -.5845312315853382, (1522, 3) = 0.5320769360630767e-2, (1523, 1) = .4327257206968405, (1523, 2) = -.5845184774056672, (1523, 3) = 0.5303180204959729e-2, (1524, 1) = .4313252061595644, (1524, 2) = -.5845057917989798, (1524, 3) = 0.5285631691854973e-2, (1525, 1) = .42992762333109025, (1525, 2) = -.5844931743842123, (1525, 3) = 0.5268123987113238e-2, (1526, 1) = .4285329599359113, (1526, 2) = -.5844806247831168, (1526, 3) = 0.5250656366311808e-2, (1527, 1) = .42714120377522274, (1527, 2) = -.5844681426202349, (1527, 3) = 0.5233228990355885e-2, (1528, 1) = .4257523427262928, (1528, 2) = -.5844557275228724, (1528, 3) = 0.5215841235933847e-2, (1529, 1) = .42436636474129835, (1529, 2) = -.5844433791210686, (1529, 3) = 0.5198493541874232e-2, (1530, 1) = .4229832577970211, (1530, 2) = -.5844310970471293, (1530, 3) = 0.51811853986248515e-2, (1531, 1) = .4216030099628953, (1531, 2) = -.584418880936217, (1531, 3) = 0.5163916229864688e-2, (1532, 1) = .42022560941583703, (1532, 2) = -.5844067304264594, (1532, 3) = 0.5146686606431424e-2, (1533, 1) = .4188510444057249, (1533, 2) = -.5843946451586215, (1533, 3) = 0.5129495851896047e-2, (1534, 1) = .4174793032547997, (1534, 2) = -.5843826247760809, (1534, 3) = 0.5112343818129319e-2, (1535, 1) = .41611037435707776, (1535, 2) = -.5843706689248042, (1535, 3) = 0.5095230316786102e-2, (1536, 1) = .41474424617776545, (1536, 2) = -.5843587772533254, (1536, 3) = 0.5078155545251712e-2, (1537, 1) = .4133809072526758, (1537, 2) = -.5843469494127181, (1537, 3) = 0.5061119020897157e-2, (1538, 1) = .4120203461876638, (1538, 2) = -.584335185056575, (1538, 3) = 0.5044120468748531e-2, (1539, 1) = .41066255165221727, (1539, 2) = -.5843234838409357, (1539, 3) = 0.50271599608012465e-2, (1540, 1) = .40930751233199625, (1540, 2) = -.5843118454238593, (1540, 3) = 0.5010237220829585e-2, (1541, 1) = .4079552170256255, (1541, 2) = -.5843002694662438, (1541, 3) = 0.4993351808010607e-2, (1542, 1) = .4066056546149601, (1542, 2) = -.5842887556315506, (1542, 3) = 0.49765041696523266e-2, (1543, 1) = .4052588140490894, (1543, 2) = -.5842773035856439, (1543, 3) = 0.495969368091892e-2, (1544, 1) = .4039146843437955, (1544, 2) = -.5842659129967739, (1544, 3) = 0.49429203493896335e-2, (1545, 1) = .40257325458102083, (1545, 2) = -.5842545835355523, (1545, 3) = 0.4926183820368597e-2, (1546, 1) = .4012345139083406, (1546, 2) = -.5842433148749332, (1546, 3) = 0.4909483980438444e-2, (1547, 1) = .3998984515384377, (1547, 2) = -.5842321066901913, (1547, 3) = 0.4892821028267905e-2, (1548, 1) = .3985650567485869, (1548, 2) = -.5842209586588989, (1548, 3) = 0.4876193947181562e-2, (1549, 1) = .3972343188641055, (1549, 2) = -.5842098704607767, (1549, 3) = 0.4859603516955357e-2, (1550, 1) = .39590622723560454, (1550, 2) = -.584198841777486, (1550, 3) = 0.4843049036532965e-2, (1551, 1) = .3945807713278372, (1551, 2) = -.584187872293356, (1551, 3) = 0.4826530599711444e-2, (1552, 1) = .39325794067271763, (1552, 2) = -.5841769616949728, (1552, 3) = 0.4810048044991865e-2, (1553, 1) = .3919377248642176, (1553, 2) = -.5841661096711203, (1553, 3) = 0.479360095338809e-2, (1554, 1) = .39062011355787485, (1554, 2) = -.584155315912761, (1554, 3) = 0.477718914544643e-2, (1555, 1) = .38930509647031186, (1555, 2) = -.5841445801130195, (1555, 3) = 0.4760812894137888e-2, (1556, 1) = .38799266337875865, (1556, 2) = -.5841339019671586, (1556, 3) = 0.4744471788125959e-2, (1557, 1) = .386682804120576, (1557, 2) = -.5841232811725636, (1557, 3) = 0.4728165512924437e-2, (1558, 1) = .3853755085927874, (1558, 2) = -.584112717428724, (1558, 3) = 0.4711893992762361e-2, (1559, 1) = .3840707667213574, (1559, 2) = -.5841022104369701, (1559, 3) = 0.4695657377393699e-2, (1560, 1) = .3827685684812669, (1560, 2) = -.5840917599006239, (1560, 3) = 0.4679455269353911e-2, (1561, 1) = .38146890394681643, (1561, 2) = -.584081365525388, (1561, 3) = 0.4663287526920724e-2, (1562, 1) = .3801717632503338, (1562, 2) = -.5840710270189969, (1562, 3) = 0.4647153891220075e-2, (1563, 1) = .3788771365815163, (1563, 2) = -.5840607440911987, (1563, 3) = 0.4631054554207496e-2, (1564, 1) = .3775850141869826, (1564, 2) = -.5840505164537345, (1564, 3) = 0.4614988986431827e-2, (1565, 1) = .3762953863698377, (1565, 2) = -.5840403438203249, (1565, 3) = 0.4598957464057076e-2, (1566, 1) = .3750082434892382, (1566, 2) = -.5840302259066494, (1566, 3) = 0.45829593638846465e-2, (1567, 1) = .3737235759599638, (1567, 2) = -.5840201624303326, (1567, 3) = 0.4566994761411113e-2, (1568, 1) = .37244137425074453, (1568, 2) = -.5840101531109162, (1568, 3) = 0.4551063577714444e-2, (1569, 1) = .3711616288422991, (1569, 2) = -.5840001976695187, (1569, 3) = 0.45351655259210175e-2, (1570, 1) = .36988433029270146, (1570, 2) = -.5839902958293373, (1570, 3) = 0.4519300778567794e-2, (1571, 1) = .3686094692361805, (1571, 2) = -.5839804473156173, (1571, 3) = 0.4503468617460593e-2, (1572, 1) = .3673370363604796, (1572, 2) = -.583970651855468, (1572, 3) = 0.44876695194257694e-2, (1573, 1) = .3660670224064538, (1573, 2) = -.5839609091778425, (1573, 3) = 0.4471902883082362e-2, (1574, 1) = .3647994181676676, (1574, 2) = -.5839512190135238, (1574, 3) = 0.44561688400101595e-2, (1575, 1) = .3635342144899956, (1575, 2) = -.5839415810951105, (1575, 3) = 0.4440467473215411e-2, (1576, 1) = .36227140227123017, (1576, 2) = -.5839319951569951, (1576, 3) = 0.4424797858017507e-2, (1577, 1) = .36101097246069086, (1577, 2) = -.5839224609353586, (1577, 3) = 0.4409160619067944e-2, (1578, 1) = .35975291605201254, (1578, 2) = -.5839129781680956, (1578, 3) = 0.43935552280012025e-2, (1579, 1) = .3584972240489543, (1579, 2) = -.5839035465945515, (1579, 3) = 0.4377981551480019e-2, (1580, 1) = .3572438875449062, (1580, 2) = -.5838941659561073, (1580, 3) = 0.4362439707749383e-2, (1581, 1) = .35599289769254977, (1581, 2) = -.5838848359959397, (1581, 3) = 0.43469295918958225e-2, (1582, 1) = .35474424569417706, (1582, 2) = -.5838755564589315, (1582, 3) = 0.4331450694108609e-2, (1583, 1) = .35349792280132336, (1583, 2) = -.5838663270916624, (1583, 3) = 0.4316003307082377e-2, (1584, 1) = .3522539203144007, (1584, 2) = -.5838571476423912, (1584, 3) = 0.4300586856585099e-2, (1585, 1) = .3510122295823374, (1585, 2) = -.5838480178610443, (1585, 3) = 0.4285201641610956e-2, (1586, 1) = .3497728420022159, (1586, 2) = -.5838389374991996, (1586, 3) = 0.4269847164950184e-2, (1587, 1) = .34853574901892254, (1587, 2) = -.583829906310074, (1587, 3) = 0.4254523589214446e-2, (1588, 1) = .3473009421085809, (1588, 2) = -.583820924048392, (1588, 3) = 0.4239230593196571e-2, (1589, 1) = .3460684127690501, (1589, 2) = -.5838119904703079, (1589, 3) = 0.4223968149153321e-2, (1590, 1) = .34483815258535844, (1590, 2) = -.5838031053338689, (1590, 3) = 0.4208736231251502e-2, (1591, 1) = .343610153191112, (1591, 2) = -.5837942683987233, (1591, 3) = 0.4193534124185281e-2, (1592, 1) = .3423844062659731, (1592, 2) = -.5837854794260928, (1592, 3) = 0.4178362659631963e-2, (1593, 1) = .34116090353532375, (1593, 2) = -.5837767381787552, (1593, 3) = 0.4163221303755923e-2, (1594, 1) = .3399396367699336, (1594, 2) = -.5837680444210354, (1594, 3) = 0.4148109684274875e-2, (1595, 1) = .3387205977856291, (1595, 2) = -.5837593979187911, (1595, 3) = 0.4133027874449557e-2, (1596, 1) = .33750377844296503, (1596, 2) = -.5837507984394004, (1596, 3) = 0.4117975682613188e-2, (1597, 1) = .3362891706469044, (1597, 2) = -.5837422457517502, (1597, 3) = 0.4102952971682218e-2, (1598, 1) = .3350767663177297, (1598, 2) = -.5837337396260218, (1598, 3) = 0.4087959895282497e-2, (1599, 1) = .3338665574204037, (1599, 2) = -.5837252798338883, (1599, 3) = 0.40729960224432545e-2, (1600, 1) = .3326585359921372, (1600, 2) = -.5837168661486978, (1600, 3) = 0.4058061166312579e-2, (1601, 1) = .3314526941132651, (1601, 2) = -.5837084983452591, (1601, 3) = 0.404315583336728e-2, (1602, 1) = .3302490239069362, (1602, 2) = -.5837001761998262, (1602, 3) = 0.4028279127807058e-2, (1603, 1) = .32904751753880607, (1603, 2) = -.58369189949009, (1603, 3) = 0.4013431131027131e-2, (1604, 1) = .3278481672167322, (1604, 2) = -.5836836679951665, (1604, 3) = 0.3998612262190612e-2, (1605, 1) = .3266509651904737, (1605, 2) = -.5836754814955822, (1605, 3) = 0.39838217508907986e-2, (1606, 1) = .3254559037513919, (1606, 2) = -.5836673397732658, (1606, 3) = 0.396905962594566e-2, (1607, 1) = .3242629752301279, (1607, 2) = -.5836592426115235, (1607, 3) = 0.3954326181653497e-2, (1608, 1) = .3230721719625055, (1608, 2) = -.5836511897947962, (1608, 3) = 0.3939620613526768e-2, (1609, 1) = .32188348634930386, (1609, 2) = -.5836431811090622, (1609, 3) = 0.3924943743208568e-2, (1610, 1) = .3206969108462414, (1610, 2) = -.5836352163417518, (1610, 3) = 0.3910294533556716e-2, (1611, 1) = .3195124379491688, (1611, 2) = -.5836272952816438, (1611, 3) = 0.3895673385319258e-2, (1612, 1) = .3183300601937889, (1612, 2) = -.5836194177188503, (1612, 3) = 0.38810798639594005e-2, (1613, 1) = .31714977015537565, (1613, 2) = -.5836115834448096, (1613, 3) = 0.3866514262259912e-2, (1614, 1) = .3159715604484949, (1614, 2) = -.5836037922522714, (1614, 3) = 0.3851976179544046e-2, (1615, 1) = .3147954237267282, (1615, 2) = -.583596043935291, (1615, 3) = 0.38374656225679295e-2, (1616, 1) = .3136213526824013, (1616, 2) = -.5835883382892159, (1616, 3) = 0.38229824726567006e-2, (1617, 1) = .31244934003868924, (1617, 2) = -.5835806751106265, (1617, 3) = 0.38085266598971925e-2, (1618, 1) = .3112793785262039, (1618, 2) = -.5835730541971772, (1618, 3) = 0.3794098153085806e-2, (1619, 1) = .31011146094727554, (1619, 2) = -.5835654753480064, (1619, 3) = 0.3779696454580717e-2, (1620, 1) = .30894558014733786, (1620, 2) = -.5835579383635426, (1620, 3) = 0.37653216890269196e-2, (1621, 1) = .3077817290092228, (1621, 2) = -.5835504430454563, (1621, 3) = 0.3750973961609968e-2, (1622, 1) = .306619900452904, (1622, 2) = -.5835429891966502, (1622, 3) = 0.37366529317481014e-2, (1623, 1) = .30546008743523817, (1623, 2) = -.5835355766212511, (1623, 3) = 0.3722358523310781e-2, (1624, 1) = .3043022829497098, (1624, 2) = -.5835282051245994, (1624, 3) = 0.3708090569344315e-2, (1625, 1) = .30314648002617983, (1625, 2) = -.5835208745132402, (1625, 3) = 0.36938491671287153e-2, (1626, 1) = .3019926717306341, (1626, 2) = -.5835135845949136, (1626, 3) = 0.36796343939378916e-2, (1627, 1) = .30084085114869874, (1627, 2) = -.5835063351784411, (1627, 3) = 0.3665445483082805e-2, (1628, 1) = .2996910113862546, (1628, 2) = -.5834991260737298, (1628, 3) = 0.36512829551641804e-2, (1629, 1) = .29854314561609263, (1629, 2) = -.5834919570920498, (1629, 3) = 0.36371462940164158e-2, (1630, 1) = .29739724704700476, (1630, 2) = -.5834848280458373, (1630, 3) = 0.36230355671947535e-2, (1631, 1) = .29625330892267415, (1631, 2) = -.5834777387486771, (1631, 3) = 0.36089507862021265e-2, (1632, 1) = .29511132452144134, (1632, 2) = -.5834706890152942, (1632, 3) = 0.359489190638878e-2, (1633, 1) = .2939712871560667, (1633, 2) = -.583463678661544, (1633, 3) = 0.35808584361689687e-2, (1634, 1) = .292833190173497, (1634, 2) = -.5834567075044067, (1634, 3) = 0.356685071551413e-2, (1635, 1) = .2916970269546331, (1635, 2) = -.5834497753619741, (1635, 3) = 0.35528679979629943e-2, (1636, 1) = .29056279091394077, (1636, 2) = -.5834428820534456, (1636, 3) = 0.3538910972124811e-2, (1637, 1) = .28943047547263734, (1637, 2) = -.5834360273989548, (1637, 3) = 0.35249791929802396e-2, (1638, 1) = .2883000740930162, (1638, 2) = -.5834292112197738, (1638, 3) = 0.351107269486034e-2, (1639, 1) = .28717158029024065, (1639, 2) = -.5834224333383745, (1639, 3) = 0.3497191392730116e-2, (1640, 1) = .28604498761229047, (1640, 2) = -.583415693578302, (1640, 3) = 0.34833346118642587e-2, (1641, 1) = .2849202896397382, (1641, 2) = -.583408991764167, (1641, 3) = 0.34695031832235293e-2, (1642, 1) = .2837974799855331, (1642, 2) = -.5834023277216328, (1642, 3) = 0.3455696104812695e-2, (1643, 1) = .28267655229478295, (1643, 2) = -.5833957012774136, (1643, 3) = 0.34419140222019936e-2, (1644, 1) = .2815575002445399, (1644, 2) = -.5833891122592618, (1644, 3) = 0.342815652918274e-2, (1645, 1) = .2804403175435873, (1645, 2) = -.5833825604959628, (1645, 3) = 0.3414423694884322e-2, (1646, 1) = .27932499792944326, (1646, 2) = -.583376045817309, (1646, 3) = 0.3400714996993403e-2, (1647, 1) = .2782115351414112, (1647, 2) = -.5833695680539398, (1647, 3) = 0.33870309439410743e-2, (1648, 1) = .2770999229735108, (1648, 2) = -.583363127037641, (1648, 3) = 0.3373370682508261e-2, (1649, 1) = .2759901552600315, (1649, 2) = -.5833567226012578, (1649, 3) = 0.33597351170734893e-2, (1650, 1) = .2748822258659471, (1650, 2) = -.5833503545786256, (1650, 3) = 0.33461232117832245e-2, (1651, 1) = .2737761286867116, (1651, 2) = -.5833440228045687, (1651, 3) = 0.33325356841782724e-2, (1652, 1) = .2726718576480589, (1652, 2) = -.5833377271148887, (1652, 3) = 0.33189715244926962e-2, (1653, 1) = .2715694067058035, (1653, 2) = -.583331467346361, (1653, 3) = 0.3305431511699808e-2, (1654, 1) = .2704687698456427, (1654, 2) = -.5833252433367229, (1654, 3) = 0.3291915123493402e-2, (1655, 1) = .2693699410829605, (1655, 2) = -.583319054924671, (1655, 3) = 0.32784226671923574e-2, (1656, 1) = .2682729144543761, (1656, 2) = -.5833129019498036, (1656, 3) = 0.3264953287189244e-2, (1657, 1) = .2671776840031296, (1657, 2) = -.5833067842525401, (1657, 3) = 0.32515076934443335e-2, (1658, 1) = .2660842438301195, (1658, 2) = -.583300701674393, (1658, 3) = 0.32380853065640744e-2, (1659, 1) = .2649925880681822, (1659, 2) = -.5832946540578244, (1659, 3) = 0.32246863422300343e-2, (1660, 1) = .26390271087887607, (1660, 2) = -.5832886412462165, (1660, 3) = 0.32113102470931413e-2, (1661, 1) = .262814606452295, (1661, 2) = -.583282663083869, (1661, 3) = 0.31979576876165323e-2, (1662, 1) = .2617282690068839, (1662, 2) = -.5832767194159885, (1662, 3) = 0.31846282059085065e-2, (1663, 1) = .26064369278925403, (1663, 2) = -.5832708100886838, (1663, 3) = 0.3171321391687185e-2, (1664, 1) = .25956087207400336, (1664, 2) = -.5832649349489605, (1664, 3) = 0.31580375925329574e-2, (1665, 1) = .25847980116353225, (1665, 2) = -.5832590938447115, (1665, 3) = 0.31447763866007394e-2, (1666, 1) = .2574004743717047, (1666, 2) = -.583253286624627, (1666, 3) = 0.31315380672969854e-2, (1667, 1) = .2563228860322742, (1667, 2) = -.5832475131382339, (1667, 3) = 0.31183225458864972e-2, (1668, 1) = .2552470305303558, (1668, 2) = -.5832417732360566, (1668, 3) = 0.31051293294885336e-2, (1669, 1) = .25417290227838313, (1669, 2) = -.5832360667694872, (1669, 3) = 0.30919585407319064e-2, (1670, 1) = .2531004957157053, (1670, 2) = -.5832303935907736, (1670, 3) = 0.30788102072522275e-2, (1671, 1) = .25202980530841446, (1671, 2) = -.5832247535530136, (1671, 3) = 0.3065684297134349e-2, (1672, 1) = .2509608255491759, (1672, 2) = -.5832191465101505, (1672, 3) = 0.3052580576773545e-2, (1673, 1) = .24989355095705718, (1673, 2) = -.5832135723169648, (1673, 3) = 0.30394987883844366e-2, (1674, 1) = .24882797607736257, (1674, 2) = -.5832080308290711, (1674, 3) = 0.30264393602597362e-2, (1675, 1) = .24776409548094266, (1675, 2) = -.5832025219029072, (1675, 3) = 0.30134018437484216e-2, (1676, 1) = .24670190374050213, (1676, 2) = -.5831970453956061, (1676, 3) = 0.30003862527098082e-2, (1677, 1) = .24564139546600405, (1677, 2) = -.5831916011651789, (1677, 3) = 0.2987392510450825e-2, (1678, 1) = .24458256530660236, (1678, 2) = -.5831861890705132, (1678, 3) = 0.29744204860721697e-2, (1679, 1) = .24352540793685848, (1679, 2) = -.5831808089713025, (1679, 3) = 0.29614701661327355e-2, (1680, 1) = .24246991805658166, (1680, 2) = -.5831754607280348, (1680, 3) = 0.29485413704492818e-2, (1681, 1) = .24141609039067105, (1681, 2) = -.5831701442019919, (1681, 3) = 0.2935634213742891e-2, (1682, 1) = .2403639196889576, (1682, 2) = -.583164859255238, (1682, 3) = 0.29227483242083704e-2, (1683, 1) = .239313400726046, (1683, 2) = -.5831596057506218, (1683, 3) = 0.29098841220399243e-2, (1684, 1) = .2382645283011632, (1684, 2) = -.5831543835517627, (1684, 3) = 0.28970412566407173e-2, (1685, 1) = .23721729723451657, (1685, 2) = -.5831491925230338, (1685, 3) = 0.28842193153890347e-2, (1686, 1) = .23617170234671367, (1686, 2) = -.5831440325294543, (1686, 3) = 0.28714188092634845e-2, (1687, 1) = .23512773850450494, (1687, 2) = -.5831389034369119, (1687, 3) = 0.2858639203559848e-2, (1688, 1) = .23408540060459568, (1688, 2) = -.5831338051120758, (1688, 3) = 0.28458807222812082e-2, (1689, 1) = .23304468356754812, (1689, 2) = -.5831287374223642, (1689, 3) = 0.2833143208992444e-2, (1690, 1) = .2320055823376319, (1690, 2) = -.5831237002359361, (1690, 3) = 0.28204265529537566e-2, (1691, 1) = .23096809188267767, (1691, 2) = -.5831186934216882, (1691, 3) = 0.2807730689057839e-2, (1692, 1) = .22993220719393173, (1692, 2) = -.5831137168492485, (1692, 3) = 0.2795055455701559e-2, (1693, 1) = .22889792328591105, (1693, 2) = -.5831087703889734, (1693, 3) = 0.27824010919543815e-2, (1694, 1) = .22786523519625926, (1694, 2) = -.5831038539119382, (1694, 3) = 0.2769767100969186e-2, (1695, 1) = .22683413797684895, (1695, 2) = -.5830989672898954, (1695, 3) = 0.2757153737854225e-2, (1696, 1) = .2258046266863864, (1696, 2) = -.5830941103952345, (1696, 3) = 0.27445607989375776e-2, (1697, 1) = .2247766964299976, (1697, 2) = -.5830892831011639, (1697, 3) = 0.27319882070271826e-2, (1698, 1) = .22375034233691712, (1698, 2) = -.5830844852816008, (1698, 3) = 0.27194357887326947e-2, (1699, 1) = .2227255595588008, (1699, 2) = -.5830797168111611, (1699, 3) = 0.27069038064881563e-2, (1700, 1) = .2217023432695864, (1700, 2) = -.58307497756515, (1700, 3) = 0.26943920705802204e-2, (1701, 1) = .22068068866535992, (1701, 2) = -.5830702674195619, (1701, 3) = 0.2681900471837865e-2, (1702, 1) = .2196605909642198, (1702, 2) = -.5830655862510717, (1702, 3) = 0.2669428732958829e-2, (1703, 1) = .21864204540614318, (1703, 2) = -.5830609339370342, (1703, 3) = 0.26569771187817362e-2, (1704, 1) = .21762504725285242, (1704, 2) = -.5830563103554747, (1704, 3) = 0.26445451576355234e-2, (1705, 1) = .21660959177166808, (1705, 2) = -.5830517153850163, (1705, 3) = 0.263213309058233e-2, (1706, 1) = .21559567425001128, (1706, 2) = -.5830471489049411, (1706, 3) = 0.2619741131798098e-2, (1707, 1) = .2145832900145154, (1707, 2) = -.5830426107952701, (1707, 3) = 0.2607368517833159e-2, (1708, 1) = .21357243441304247, (1708, 2) = -.5830381009366808, (1708, 3) = 0.2595015808462296e-2, (1709, 1) = .2125631028145455, (1709, 2) = -.5830336192104989, (1709, 3) = 0.2582682400471881e-2, (1710, 1) = .2115552906089415, (1710, 2) = -.5830291654986977, (1710, 3) = 0.2570368516528324e-2, (1711, 1) = .21054899320698497, (1711, 2) = -.5830247396838905, (1711, 3) = 0.2558074352728227e-2, (1712, 1) = .20954420604014434, (1712, 2) = -.5830203416493273, (1712, 3) = 0.25457993682156087e-2, (1713, 1) = .20854092456047682, (1713, 2) = -.5830159712788915, (1713, 3) = 0.25335436702710904e-2, (1714, 1) = .207539144239535, (1714, 2) = -.5830116284570908, (1714, 3) = 0.2521307410062169e-2, (1715, 1) = .20653886054811538, (1715, 2) = -.5830073130689641, (1715, 3) = 0.2509089992585585e-2, (1716, 1) = .20554006899046867, (1716, 2) = -.5830030250002318, (1716, 3) = 0.24968920802786324e-2, (1717, 1) = .20454276510022845, (1717, 2) = -.5829987641372677, (1717, 3) = 0.24847132116668216e-2, (1718, 1) = .20354694443100516, (1718, 2) = -.5829945303670563, (1718, 3) = 0.2472553075918749e-2, (1719, 1) = .2025526025562668, (1719, 2) = -.5829903235771914, (1719, 3) = 0.24604117614101723e-2, (1720, 1) = .2015597350692233, (1720, 2) = -.5829861436558694, (1720, 3) = 0.24482895070591015e-2, (1721, 1) = .2005683375827078, (1721, 2) = -.5829819904918856, (1721, 3) = 0.2436186134011029e-2, (1722, 1) = .19957840572906252, (1722, 2) = -.5829778639746293, (1722, 3) = 0.24241015428206787e-2, (1723, 1) = .19858993516002188, (1723, 2) = -.582973763994082, (1723, 3) = 0.2412035606852485e-2, (1724, 1) = .19760292154249012, (1724, 2) = -.5829696904407955, (1724, 3) = 0.23999883835664256e-2, (1725, 1) = .1966173605435724, (1725, 2) = -.5829656432058257, (1725, 3) = 0.23879595043109834e-2, (1726, 1) = .19563324786925657, (1726, 2) = -.5829616221808921, (1726, 3) = 0.2375949256425748e-2, (1727, 1) = .19465057924813106, (1727, 2) = -.5829576272583042, (1727, 3) = 0.2363957368690261e-2, (1728, 1) = .1936693504276085, (1728, 2) = -.5829536583309436, (1728, 3) = 0.2351983968647531e-2, (1729, 1) = .19268955717381717, (1729, 2) = -.5829497152922584, (1729, 3) = 0.2340028836711443e-2, (1730, 1) = .19171119527149008, (1730, 2) = -.5829457980362608, (1730, 3) = 0.23280920454157405e-2, (1731, 1) = .19073426052385836, (1731, 2) = -.5829419064575239, (1731, 3) = 0.2316173284555044e-2, (1732, 1) = .18975874875254048, (1732, 2) = -.5829380404511765, (1732, 3) = 0.23042727490494587e-2, (1733, 1) = .18878465579743978, (1733, 2) = -.5829341999129006, (1733, 3) = 0.2292390286504879e-2, (1734, 1) = .1878119775074915, (1734, 2) = -.5829303847388917, (1734, 3) = 0.22805257839216384e-2, (1735, 1) = .18684070973922104, (1735, 2) = -.582926594825851, (1735, 3) = 0.22686795222401335e-2, (1736, 1) = .18587084838645185, (1736, 2) = -.582922830071096, (1736, 3) = 0.22568510525687886e-2, (1737, 1) = .18490238936155381, (1737, 2) = -.5829190903724873, (1737, 3) = 0.22450403601767493e-2, (1738, 1) = .1839353285946513, (1738, 2) = -.5829153756284206, (1738, 3) = 0.2233247757604406e-2, (1739, 1) = .18296966203352077, (1739, 2) = -.5829116857378199, (1739, 3) = 0.22214726060261992e-2, (1740, 1) = .18200538564348936, (1740, 2) = -.5829080206001404, (1740, 3) = 0.22097151620640164e-2, (1741, 1) = .1810424954073346, (1741, 2) = -.5829043801153589, (1741, 3) = 0.21979753346673286e-2, (1742, 1) = .1800809873251827, (1742, 2) = -.5829007641839759, (1742, 3) = 0.2186253430915614e-2, (1743, 1) = .17912085741436704, (1743, 2) = -.5828971727070051, (1743, 3) = 0.2174548664265374e-2, (1744, 1) = .17816210169372657, (1744, 2) = -.5828936055859205, (1744, 3) = 0.216286163396235e-2, (1745, 1) = .17720471620242959, (1745, 2) = -.5828900627227176, (1745, 3) = 0.2151191918002771e-2, (1746, 1) = .17624869700938786, (1746, 2) = -.5828865440199476, (1746, 3) = 0.2139539391285154e-2, (1747, 1) = .17529404020036804, (1747, 2) = -.5828830493806668, (1747, 3) = 0.2127904326626068e-2, (1748, 1) = .17434074187789655, (1748, 2) = -.5828795787084317, (1748, 3) = 0.211628657784015e-2, (1749, 1) = .17338879816116332, (1749, 2) = -.5828761319072951, (1749, 3) = 0.2104685934863585e-2, (1750, 1) = .1724382051859276, (1750, 2) = -.5828727088818064, (1750, 3) = 0.20931024788785483e-2, (1751, 1) = .17148895910442422, (1751, 2) = -.5828693095370052, (1751, 3) = 0.20815359784927025e-2, (1752, 1) = .17054105608527068, (1752, 2) = -.5828659337784184, (1752, 3) = 0.2069986706578426e-2, (1753, 1) = .1695944923119247, (1753, 2) = -.582862581512053, (1753, 3) = 0.205845416101718e-2, (1754, 1) = .1686492639659176, (1754, 2) = -.5828592526443359, (1754, 3) = 0.20469389043577964e-2, (1755, 1) = .16770536725856955, (1755, 2) = -.5828559470822182, (1755, 3) = 0.20354400202468046e-2, (1756, 1) = .16676279842345998, (1756, 2) = -.5828526647331532, (1756, 3) = 0.2023958413228404e-2, (1757, 1) = .1658215537100916, (1757, 2) = -.5828494055050631, (1757, 3) = 0.20124934319583052e-2, (1758, 1) = .16488162938379816, (1758, 2) = -.5828461693063415, (1758, 3) = 0.20010451422189696e-2, (1759, 1) = .16394302172565858, (1759, 2) = -.5828429560458477, (1759, 3) = 0.1989613581036635e-2, (1760, 1) = .163005727032406, (1760, 2) = -.5828397656329046, (1760, 3) = 0.19781985080268554e-2, (1761, 1) = .16206974161634372, (1761, 2) = -.5828365979772965, (1761, 3) = 0.19668002577540133e-2, (1762, 1) = .16113506180525483, (1762, 2) = -.5828334529892629, (1762, 3) = 0.19554182480002696e-2, (1763, 1) = .16020168393766543, (1763, 2) = -.5828303305794853, (1763, 3) = 0.19440527890723636e-2, (1764, 1) = .15926960435278034, (1764, 2) = -.5828272306590476, (1764, 3) = 0.19327038008871617e-2, (1765, 1) = .15833881942249634, (1765, 2) = -.5828241531395415, (1765, 3) = 0.1921371146364969e-2, (1766, 1) = .15740932553600015, (1766, 2) = -.5828210979330128, (1766, 3) = 0.19100549444649709e-2, (1767, 1) = .15648111909752943, (1767, 2) = -.5828180649519494, (1767, 3) = 0.18987548944107125e-2, (1768, 1) = .15555419652629182, (1768, 2) = -.5828150541092793, (1768, 3) = 0.1887470772886162e-2, (1769, 1) = .15462855425638092, (1769, 2) = -.5828120653183713, (1769, 3) = 0.18762031088126981e-2, (1770, 1) = .1537041887366945, (1770, 2) = -.5828090984930262, (1770, 3) = 0.18649515495559234e-2, (1771, 1) = .15278109643085228, (1771, 2) = -.5828061535474776, (1771, 3) = 0.18537161039671503e-2, (1772, 1) = .15185927381711684, (1772, 2) = -.582803230396388, (1772, 3) = 0.18424965740857688e-2, (1773, 1) = .15093871737887823, (1773, 2) = -.582800328954819, (1773, 3) = 0.18312931548339767e-2, (1774, 1) = .15001942360812567, (1774, 2) = -.582797449138237, (1774, 3) = 0.182010551207881e-2, (1775, 1) = .14910138902665648, (1775, 2) = -.5827945908625788, (1775, 3) = 0.18089337151668294e-2, (1776, 1) = .14818461017081483, (1776, 2) = -.5827917540442022, (1776, 3) = 0.17977778752068347e-2, (1777, 1) = .1472690835911855, (1777, 2) = -.5827889385998796, (1777, 3) = 0.178663768322407e-2, (1778, 1) = .14635480585251792, (1778, 2) = -.5827861444467974, (1778, 3) = 0.17755132980397021e-2, (1779, 1) = .14544177353364707, (1779, 2) = -.5827833715025535, (1779, 3) = 0.17644045648742398e-2, (1780, 1) = .14452998322741745, (1780, 2) = -.582780619685154, (1780, 3) = 0.17533113704797168e-2, (1781, 1) = .1436194315406074, (1781, 2) = -.5827778889130115, (1781, 3) = 0.17422339627555202e-2, (1782, 1) = .14271011509362852, (1782, 2) = -.5827751791049396, (1782, 3) = 0.17311719561578427e-2, (1783, 1) = .14180203050598542, (1783, 2) = -.5827724901801115, (1783, 3) = 0.1720125604050166e-2, (1784, 1) = .140895174417021, (1784, 2) = -.5827698220581163, (1784, 3) = 0.17090945290169051e-2, (1785, 1) = .1399895434887974, (1785, 2) = -.582767174658968, (1785, 3) = 0.16980789671772623e-2, (1786, 1) = .1390851343969337, (1786, 2) = -.5827645479030723, (1786, 3) = 0.16870786632404015e-2, (1787, 1) = .1381819438305339, (1787, 2) = -.5827619417112272, (1787, 3) = 0.16760937583866209e-2, (1788, 1) = .13727996849211263, (1788, 2) = -.5827593560046191, (1788, 3) = 0.16651241864552044e-2, (1789, 1) = .136379205097524, (1789, 2) = -.5827567907048206, (1789, 3) = 0.16541697094303678e-2, (1790, 1) = .13547965037589038, (1790, 2) = -.5827542457337876, (1790, 3) = 0.16432306277403702e-2, (1791, 1) = .13458130106952976, (1791, 2) = -.5827517210138587, (1791, 3) = 0.16323062175010237e-2, (1792, 1) = .1336841539319642, (1792, 2) = -.5827492164677457, (1792, 3) = 0.16213971802979735e-2, (1793, 1) = .13278820571452057, (1793, 2) = -.5827467320184964, (1793, 3) = 0.16105033643787684e-2, (1794, 1) = .13189345319485074, (1794, 2) = -.5827442675895688, (1794, 3) = 0.15996243096453487e-2, (1795, 1) = .1309998931676427, (1795, 2) = -.5827418231048065, (1795, 3) = 0.15887600960614182e-2, (1796, 1) = .13010752244042906, (1796, 2) = -.5827393984884243, (1796, 3) = 0.15779111997868236e-2, (1797, 1) = .1292163378335189, (1797, 2) = -.582736993665002, (1797, 3) = 0.15670769304231814e-2, (1798, 1) = .12832633617993003, (1798, 2) = -.5827346085594868, (1798, 3) = 0.15562575974901076e-2, (1799, 1) = .12743751432532113, (1799, 2) = -.5827322430971883, (1799, 3) = 0.15454528766379746e-2, (1800, 1) = .12654986912792518, (1800, 2) = -.5827298972037784, (1800, 3) = 0.15346630171796467e-2, (1801, 1) = .12566339745848276, (1801, 2) = -.5827275708052873, (1801, 3) = 0.1523887776567456e-2, (1802, 1) = .12477809619505278, (1802, 2) = -.5827252638280876, (1802, 3) = 0.15131271995277222e-2, (1803, 1) = .1238939622172292, (1803, 2) = -.5827229761988818, (1803, 3) = 0.15023812248964109e-2, (1804, 1) = .12301099243197787, (1804, 2) = -.5827207078447622, (1804, 3) = 0.1491649980844112e-2, (1805, 1) = .12212918375968353, (1805, 2) = -.582718458693175, (1805, 3) = 0.14809332106215567e-2, (1806, 1) = .12124853313290951, (1806, 2) = -.582716228671915, (1806, 3) = 0.14702309113237774e-2, (1807, 1) = .12036903749633401, (1807, 2) = -.5827140177091233, (1807, 3) = 0.14595429076649557e-2, (1808, 1) = .11949069380668594, (1808, 2) = -.5827118257332847, (1808, 3) = 0.1448869207115689e-2, (1809, 1) = .11861349903268223, (1809, 2) = -.5827096526732264, (1809, 3) = 0.14382098933266576e-2, (1810, 1) = .11773745015496562, (1810, 2) = -.5827074984581169, (1810, 3) = 0.14275653392007677e-2, (1811, 1) = .11686254416604214, (1811, 2) = -.5827053630174586, (1811, 3) = 0.1416934715174096e-2, (1812, 1) = .11598877806057148, (1812, 2) = -.582703246281071, (1812, 3) = 0.14063184001677836e-2, (1813, 1) = .11511614884291788, (1813, 2) = -.5827011481791007, (1813, 3) = 0.1395716173489458e-2, (1814, 1) = .11424465354103411, (1814, 2) = -.5826990686420573, (1814, 3) = 0.13851283218053244e-2, (1815, 1) = .11337428919451992, (1815, 2) = -.5826970076007787, (1815, 3) = 0.13745545330020403e-2, (1816, 1) = .1125050528545294, (1816, 2) = -.5826949649864319, (1816, 3) = 0.1363994819575539e-2, (1817, 1) = .11163694158371226, (1817, 2) = -.5826929407305086, (1817, 3) = 0.13534488793090632e-2, (1818, 1) = .11076995245615316, (1818, 2) = -.5826909347648269, (1818, 3) = 0.13429171252251498e-2, (1819, 1) = .10990408255731406, (1819, 2) = -.5826889470215254, (1819, 3) = 0.13323993004180628e-2, (1820, 1) = .10903932898397461, (1820, 2) = -.582686977433064, (1820, 3) = 0.13218956145556128e-2, (1821, 1) = .1081756888436849, (1821, 2) = -.5826850259322183, (1821, 3) = 0.13114055005673368e-2, (1822, 1) = .10731315924182026, (1822, 2) = -.5826830924520527, (1822, 3) = 0.13009294204270202e-2, (1823, 1) = .10645173730261398, (1823, 2) = -.5826811769259627, (1823, 3) = 0.1290467062842552e-2, (1824, 1) = .10559142016778221, (1824, 2) = -.5826792792876728, (1824, 3) = 0.12800184081600326e-2, (1825, 1) = .1047322049900698, (1825, 2) = -.5826773994712171, (1825, 3) = 0.12695837611090873e-2, (1826, 1) = .10387408893319071, (1826, 2) = -.5826755374109387, (1826, 3) = 0.12591624366674978e-2, (1827, 1) = .10301706917177492, (1827, 2) = -.5826736930414893, (1827, 3) = 0.12487549620602487e-2, (1828, 1) = .10216114289131031, (1828, 2) = -.5826718662978247, (1828, 3) = 0.12383608036797339e-2, (1829, 1) = .101306307288089, (1829, 2) = -.5826700571152064, (1829, 3) = 0.122798028495277e-2, (1830, 1) = .10045255956915115, (1830, 2) = -.5826682654291966, (1830, 3) = 0.12176136628879264e-2, (1831, 1) = 0.9959989694985717e-1, (1831, 2) = -.5826664911756526, (1831, 3) = 0.12072604522199426e-2, (1832, 1) = 0.9874831664366499e-1, (1832, 2) = -.5826647342907045, (1832, 3) = 0.11969204865151012e-2, (1833, 1) = 0.9789781588712795e-1, (1833, 2) = -.5826629947108065, (1833, 3) = 0.11865938223546604e-2, (1834, 1) = 0.9704839192996935e-1, (1834, 2) = -.5826612723727141, (1834, 3) = 0.1176280912655724e-2, (1835, 1) = 0.962000420323893e-1, (1835, 2) = -.5826595672134737, (1835, 3) = 0.11659811138227422e-2, (1836, 1) = 0.9535276346501025e-1, (1836, 2) = -.5826578791704247, (1836, 3) = 0.11556944615481828e-2, (1837, 1) = 0.9450655350882531e-1, (1837, 2) = -.5826562081811971, (1837, 3) = 0.11454213866584826e-2, (1838, 1) = 0.9366140945514562e-1, (1838, 2) = -.5826545541837082, (1838, 3) = 0.11351615785640526e-2, (1839, 1) = 0.9281732860554859e-1, (1839, 2) = -.5826529171161619, (1839, 3) = 0.11249148376326146e-2, (1840, 1) = 0.9197430827182583e-1, (1840, 2) = -.5826512969170466, (1840, 3) = 0.11146810041338488e-2, (1841, 1) = 0.9113234577040732e-1, (1841, 2) = -.5826496935251256, (1841, 3) = 0.11044608792739764e-2, (1842, 1) = 0.9029143842030371e-1, (1842, 2) = -.5826481068794273, (1842, 3) = 0.10942533119607095e-2, (1843, 1) = 0.8945158356329756e-1, (1843, 2) = -.582646536919286, (1843, 3) = 0.1084058865670121e-2, (1844, 1) = 0.8861277855174932e-1, (1844, 2) = -.5826449835843168, (1844, 3) = 0.1073877575672682e-2, (1845, 1) = 0.8777502074797869e-1, (1845, 2) = -.5826434468144092, (1845, 3) = 0.10637091263501013e-2, (1846, 1) = 0.8693830752421451e-1, (1846, 2) = -.5826419265497307, (1846, 3) = 0.10535540232176834e-2, (1847, 1) = 0.8610263626254454e-1, (1847, 2) = -.5826404227307193, (1847, 3) = 0.10434115329468361e-2, (1848, 1) = 0.8526800435486738e-1, (1848, 2) = -.5826389352980865, (1848, 3) = 0.10332817077838901e-2, (1849, 1) = 0.8443440920284329e-1, (1849, 2) = -.5826374641928167, (1849, 3) = 0.1023165314496009e-2, (1850, 1) = 0.8360184821783842e-1, (1850, 2) = -.5826360093561589, (1850, 3) = 0.10130612061275985e-2, (1851, 1) = 0.8277031881111498e-1, (1851, 2) = -.5826345707296158, (1851, 3) = 0.10029698694366033e-2, (1852, 1) = 0.8193981840470038e-1, (1852, 2) = -.5826331482549588, (1852, 3) = 0.9928916537371166e-3, (1853, 1) = 0.8111034443903216e-1, (1853, 2) = -.5826317418742377, (1853, 3) = 0.9828258862697099e-3, (1854, 1) = 0.8028189436406745e-1, (1854, 2) = -.5826303515297656, (1854, 3) = 0.9727726797248258e-3, (1855, 1) = 0.7945446563923697e-1, (1855, 2) = -.5826289771641179, (1855, 3) = 0.9627321863769174e-3, (1856, 1) = 0.786280557333969e-1, (1856, 2) = -.5826276187201295, (1856, 3) = 0.9527042784154234e-3, (1857, 1) = 0.7780266212478379e-1, (1857, 2) = -.5826262761408942, (1857, 3) = 0.9426890806726564e-3, (1858, 1) = 0.7697828230096772e-1, (1858, 2) = -.5826249493697615, (1858, 3) = 0.9326861537246092e-3, (1859, 1) = 0.7615491375880669e-1, (1859, 2) = -.5826236383503387, (1859, 3) = 0.9226961631460069e-3, (1860, 1) = 0.7533255400360409e-1, (1860, 2) = -.5826223430264836, (1860, 3) = 0.9127182864453883e-3, (1861, 1) = 0.7451120053798402e-1, (1861, 2) = -.5826210633422908, (1861, 3) = 0.9027530496072619e-3, (1862, 1) = 0.736908508821558e-1, (1862, 2) = -.5826197992421182, (1862, 3) = 0.8928002048037887e-3, (1863, 1) = 0.728715025698773e-1, (1863, 2) = -.5826185506705798, (1863, 3) = 0.8828592258924092e-3, (1864, 1) = 0.7205315314396761e-1, (1864, 2) = -.5826173175725416, (1864, 3) = 0.8729309757638052e-3, (1865, 1) = 0.7123580015626188e-1, (1865, 2) = -.5826160998931141, (1865, 3) = 0.8630150425864084e-3, (1866, 1) = 0.7041944116756821e-1, (1866, 2) = -.5826148975776538, (1866, 3) = 0.8531114090625072e-3, (1867, 1) = 0.6960407374762274e-1, (1867, 2) = -.5826137105717616, (1867, 3) = 0.843219813112313e-3, (1868, 1) = 0.687896954750481e-1, (1868, 2) = -.5826125388212824, (1868, 3) = 0.8333406357681313e-3, (1869, 1) = 0.6797630393730886e-1, (1869, 2) = -.5826113822723009, (1869, 3) = 0.8234734804960223e-3, (1870, 1) = 0.6716389672787584e-1, (1870, 2) = -.5826102408711397, (1870, 3) = 0.8136183085056452e-3, (1871, 1) = 0.6635247143894818e-1, (1871, 2) = -.5826091145643467, (1871, 3) = 0.8037756487243612e-3, (1872, 1) = 0.6554202568283361e-1, (1872, 2) = -.5826080032987225, (1872, 3) = 0.7939449021858369e-3, (1873, 1) = 0.6473255708213209e-1, (1873, 2) = -.5826069070213077, (1873, 3) = 0.7841260426064231e-3, (1874, 1) = 0.6392406326807264e-1, (1874, 2) = -.5826058256793769, (1874, 3) = 0.7743192960227765e-3, (1875, 1) = 0.6311654188047094e-1, (1875, 2) = -.5826047592204394, (1875, 3) = 0.7645245369934541e-3, (1876, 1) = 0.62309990567688496e-1, (1876, 2) = -.5826037075922359, (1876, 3) = 0.754741750295615e-3, (1877, 1) = 0.61504406986591896e-1, (1877, 2) = -.5826026707427387, (1877, 3) = 0.7449706402262807e-3, (1878, 1) = 0.6069978880251108e-1, (1878, 2) = -.5826016486201505, (1878, 3) = 0.7352117671117854e-3, (1879, 1) = 0.59896133689199736e-1, (1879, 2) = -.5826006411729011, (1879, 3) = 0.7254645938842968e-3, (1880, 1) = 0.59093439322927724e-1, (1880, 2) = -.582599648349642, (1880, 3) = 0.7157290462705838e-3, (1881, 1) = 0.58291703383666967e-1, (1881, 2) = -.5825986700992442, (1881, 3) = 0.7060054777846822e-3, (1882, 1) = 0.57490923570164436e-1, (1882, 2) = -.5825977063708179, (1882, 3) = 0.6962935041556408e-3, (1883, 1) = 0.5669109758964873e-1, (1883, 2) = -.5825967571136973, (1883, 3) = 0.6865935261167286e-3, (1884, 1) = 0.5589222315757068e-1, (1884, 2) = -.5825958222774376, (1884, 3) = 0.6769054151842333e-3, (1885, 1) = 0.5509429799756351e-1, (1885, 2) = -.5825949018118146, (1885, 3) = 0.6672283360579519e-3, (1886, 1) = 0.54297319841404665e-1, (1886, 2) = -.5825939956668276, (1886, 3) = 0.6575632327585049e-3, (1887, 1) = 0.5350128642897746e-1, (1887, 2) = -.5825931037926918, (1887, 3) = 0.6479098452264291e-3, (1888, 1) = 0.5270619550823178e-1, (1888, 2) = -.5825922261398391, (1888, 3) = 0.6382677037667813e-3, (1889, 1) = 0.5191204483505122e-1, (1889, 2) = -.5825913626589209, (1889, 3) = 0.6286374075854274e-3, (1890, 1) = 0.51118832163791615e-1, (1890, 2) = -.5825905133007914, (1890, 3) = 0.6190185962872838e-3, (1891, 1) = 0.50326555260101886e-1, (1891, 2) = -.5825896780165233, (1891, 3) = 0.6094113405237809e-3, (1892, 1) = 0.49535211903996075e-1, (1892, 2) = -.5825888567574086, (1892, 3) = 0.599815397465713e-3, (1893, 1) = 0.4874479988336369e-1, (1893, 2) = -.5825880494749529, (1893, 3) = 0.5902309183465453e-3, (1894, 1) = 0.4795531699393402e-1, (1894, 2) = -.5825872561208705, (1894, 3) = 0.580657809150409e-3, (1895, 1) = 0.4716676103923851e-1, (1895, 2) = -.5825864766470864, (1895, 3) = 0.571096156793715e-3, (1896, 1) = 0.46379129830574586e-1, (1896, 2) = -.5825857110057325, (1896, 3) = 0.5615456608459392e-3, (1897, 1) = 0.455924211869685e-1, (1897, 2) = -.5825849591491497, (1897, 3) = 0.5520066990081035e-3, (1898, 1) = 0.4480663293513974e-1, (1898, 2) = -.5825842210298829, (1898, 3) = 0.542478764372312e-3, (1899, 1) = 0.4402176290834569e-1, (1899, 2) = -.5825834966006826, (1899, 3) = 0.532962311782727e-3, (1900, 1) = 0.43237808937158506e-1, (1900, 2) = -.5825827858144935, (1900, 3) = 0.5234571556339484e-3, (1901, 1) = 0.4245476886830561e-1, (1901, 2) = -.5825820886244698, (1901, 3) = 0.5139627620920644e-3, (1902, 1) = 0.41672640559088196e-1, (1902, 2) = -.5825814049839729, (1902, 3) = 0.5044798804564006e-3, (1903, 1) = 0.4089142187432078e-1, (1903, 2) = -.5825807348465631, (1903, 3) = 0.4950081977576948e-3, (1904, 1) = 0.40111110686295616e-1, (1904, 2) = -.5825800781659995, (1904, 3) = 0.4855474397537671e-3, (1905, 1) = 0.3933170487474866e-1, (1905, 2) = -.5825794348962414, (1905, 3) = 0.4760977971126761e-3, (1906, 1) = 0.38553202326825575e-1, (1906, 2) = -.5825788049914445, (1906, 3) = 0.466659357134419e-3, (1907, 1) = 0.377756009370458e-1, (1907, 2) = -.5825781884059608, (1907, 3) = 0.45723181960365323e-3, (1908, 1) = 0.3699889860726949e-1, (1908, 2) = -.5825775850943373, (1908, 3) = 0.447815207105126e-3, (1909, 1) = 0.36223093243489615e-1, (1909, 2) = -.5825769950113138, (1909, 3) = 0.43840968606396704e-3, (1910, 1) = 0.3544818275124513e-1, (1910, 2) = -.582576418111817, (1910, 3) = 0.4290151385784993e-3, (1911, 1) = 0.3467416505344319e-1, (1911, 2) = -.5825758543509739, (1911, 3) = 0.4196313831711941e-3, (1912, 1) = 0.3390103808112818e-1, (1912, 2) = -.5825753036841036, (1912, 3) = 0.4102585259901238e-3, (1913, 1) = 0.33128799772515066e-1, (1913, 2) = -.5825747660667147, (1913, 3) = 0.40089649867965755e-3, (1914, 1) = 0.3235744807295663e-1, (1914, 2) = -.5825742414545059, (1914, 3) = 0.3915454135312317e-3, (1915, 1) = 0.315869809349115e-1, (1915, 2) = -.5825737298033629, (1915, 3) = 0.3822050307223749e-3, (1916, 1) = 0.30817396317909918e-1, (1916, 2) = -.5825732310693599, (1916, 3) = 0.3728753975986977e-3, (1917, 1) = 0.30048692188523674e-1, (1917, 2) = -.5825727452087568, (1917, 3) = 0.36355681314449994e-3, (1918, 1) = 0.2928086652033143e-1, (1918, 2) = -.5825722721779965, (1918, 3) = 0.35424865592397257e-3, (1919, 1) = 0.28513917287734364e-1, (1919, 2) = -.5825718119337057, (1919, 3) = 0.3449512993159495e-3, (1920, 1) = 0.27747842469960662e-1, (1920, 2) = -.5825713644326921, (1920, 3) = 0.335664728090462e-3, (1921, 1) = 0.26982640061526685e-1, (1921, 2) = -.5825709296319497, (1921, 3) = 0.3263887559991612e-3, (1922, 1) = 0.26218308063876043e-1, (1922, 2) = -.5825705074886552, (1922, 3) = 0.3171230932184897e-3, (1923, 1) = 0.25454844485301213e-1, (1923, 2) = -.5825700979601663, (1923, 3) = 0.30786841181048755e-3, (1924, 1) = 0.24692247340910776e-1, (1924, 2) = -.5825697010040181, (1924, 3) = 0.29862400162092187e-3, (1925, 1) = 0.23930514652599006e-1, (1925, 2) = -.582569316577926, (1925, 3) = 0.28939046951884713e-3, (1926, 1) = 0.2316964444901524e-1, (1926, 2) = -.582568944639781, (1926, 3) = 0.28016721771324826e-3, (1927, 1) = 0.22409634765533093e-1, (1927, 2) = -.5825685851476534, (1927, 3) = 0.27095471679465386e-3, (1928, 1) = 0.21650483643967607e-1, (1928, 2) = -.582568238059785, (1928, 3) = 0.26175205497645375e-3, (1929, 1) = 0.20892189123851972e-1, (1929, 2) = -.5825679033345935, (1929, 3) = 0.2525603084152987e-3, (1930, 1) = 0.20134749256040203e-1, (1930, 2) = -.5825675809306694, (1930, 3) = 0.24337899540327428e-3, (1931, 1) = 0.19378162102647555e-1, (1931, 2) = -.5825672708067788, (1931, 3) = 0.23420788768289158e-3, (1932, 1) = 0.18622425732361857e-1, (1932, 2) = -.5825669729218611, (1932, 3) = 0.22504722153288614e-3, (1933, 1) = 0.1786753822041335e-1, (1933, 2) = -.5825666872350264, (1933, 3) = 0.21589712949155395e-3, (1934, 1) = 0.17113497648545997e-1, (1934, 2) = -.5825664137055535, (1934, 3) = 0.20675707208072449e-3, (1935, 1) = 0.16360302104987765e-1, (1935, 2) = -.5825661522928922, (1935, 3) = 0.1976271163863513e-3, (1936, 1) = 0.15607949684422114e-1, (1936, 2) = -.5825659029566614, (1936, 3) = 0.18850758088144714e-3, (1937, 1) = 0.14856438487958153e-1, (1937, 2) = -.5825656656566465, (1937, 3) = 0.17939860921549217e-3, (1938, 1) = 0.14105766621660082e-1, (1938, 2) = -.5825654403527991, (1938, 3) = 0.17029967235229697e-3, (1939, 1) = 0.13355932189230087e-1, (1939, 2) = -.5825652270052335, (1939, 3) = 0.16121055988986923e-3, (1940, 1) = 0.12606933309023637e-1, (1940, 2) = -.5825650255742354, (1940, 3) = 0.15213195562970407e-3, (1941, 1) = 0.11858768107707779e-1, (1941, 2) = -.5825648360202516, (1941, 3) = 0.14306348144744186e-3, (1942, 1) = 0.11111434718232688e-1, (1942, 2) = -.5825646583038938, (1942, 3) = 0.1340049750153034e-3, (1943, 1) = 0.1036493127980356e-1, (1943, 2) = -.5825644923859358, (1943, 3) = 0.12495670288890072e-3, (1944, 1) = 0.9619255937851531e-2, (1944, 2) = -.5825643382273141, (1944, 3) = 0.11591829500030761e-3, (1945, 1) = 0.8874406844007091e-2, (1945, 2) = -.5825641957891249, (1945, 3) = 0.10689012978942849e-3, (1946, 1) = 0.8130382156072051e-2, (1946, 2) = -.5825640650326249, (1946, 3) = 0.9787194904917219e-4, (1947, 1) = 0.73871800379924895e-2, (1947, 2) = -.5825639459192301, (1947, 3) = 0.8886374582588555e-4, (1948, 1) = 0.6644798656313258e-2, (1948, 2) = -.5825638384105141, (1948, 3) = 0.7986551428170698e-4, (1949, 1) = 0.5903236178042973e-2, (1949, 2) = -.582563742468207, (1949, 3) = 0.708770356790028e-4, (1950, 1) = 0.5162490785048567e-2, (1950, 2) = -.5825636580541991, (1950, 3) = 0.6189859489035609e-4, (1951, 1) = 0.4422560665716391e-2, (1951, 2) = -.582563585130536, (1951, 3) = 0.52930266488593206e-4, (1952, 1) = 0.3683444014440907e-2, (1952, 2) = -.5825635236594168, (1952, 3) = 0.43971523845955e-4, (1953, 1) = 0.29451390315987057e-2, (1953, 2) = -.5825634736031975, (1953, 3) = 0.3502273081517477e-4, (1954, 1) = 0.2207643923522031e-2, (1954, 2) = -.5825634349243857, (1954, 3) = 0.26083507959948664e-4, (1955, 1) = 0.14709569024722758e-2, (1955, 2) = -.5825634075856441, (1955, 3) = 0.17154614917092457e-4, (1956, 1) = 0.7350761866145509e-3, (1956, 2) = -.5825633915497845, (1956, 3) = 0.8235144583558052e-5, (1957, 1) = .0, (1957, 2) = -.5825633867797726, (1957, 3) = -0.6744935066858084e-6}, datatype = float[8], order = C_order); errproc := proc (x_bvp) local outpoint, X, Y, yout, L, V, i; option `Copyright (c) 2000 by Waterloo Maple Inc. All rights reserved.`; Digits := 15; outpoint := evalf(x_bvp); X := Vector(1957, {(1) = .0, (2) = 0.12611067409361687e-2, (3) = 0.252221348410468e-2, (4) = 0.37833202318279476e-2, (5) = 0.5044426986579459e-2, (6) = 0.6305533751061398e-2, (7) = 0.7566640528282259e-2, (8) = 0.882774733423159e-2, (9) = 0.10088854351906654e-1, (10) = 0.1134996147648832e-1, (11) = 0.1261106863000165e-1, (12) = 0.13872175694923246e-1, (13) = 0.15133282634239825e-1, (14) = 0.1639438961857501e-1, (15) = 0.17655496658894432e-1, (16) = 0.1891660376438843e-1, (17) = 0.201777109453215e-1, (18) = 0.21438818213109903e-1, (19) = 0.226999255803993e-1, (20) = 0.23961033061142355e-1, (21) = 0.2522214067063882e-1, (22) = 0.26483248425465494e-1, (23) = 0.27744356343855976e-1, (24) = 0.2900546444567761e-1, (25) = 0.30266572797350823e-1, (26) = 0.31527681581096964e-1, (27) = 0.32788790652269535e-1, (28) = 0.3404990000354026e-1, (29) = 0.3531100966151564e-1, (30) = 0.3657211949287879e-1, (31) = 0.378332295699809e-1, (32) = 0.3909434005519271e-1, (33) = 0.4035545098622824e-1, (34) = 0.4161656240318755e-1, (35) = 0.42877674348625425e-1, (36) = 0.44138786867628975e-1, (37) = 0.4539990000789529e-1, (38) = 0.4666101381980905e-1, (39) = 0.47922128356520176e-1, (40) = 0.4918324367401858e-1, (41) = 0.504443598306827e-1, (42) = 0.51705476983967505e-1, (43) = 0.52966595278259664e-1, (44) = 0.5422771461261201e-1, (45) = 0.5548883505110064e-1, (46) = 0.5674995666822384e-1, (47) = 0.580110795294846e-1, (48) = 0.59272203529788e-1, (49) = 0.60533328864054374e-1, (50) = 0.61794455708944755e-1, (51) = 0.6305558415556746e-1, (52) = 0.6431671429938847e-1, (53) = 0.6557784623998603e-1, (54) = 0.6683898008085187e-1, (55) = 0.68100115929469e-1, (56) = 0.693612538973893e-1, (57) = 0.7062239410947786e-1, (58) = 0.7188353685500615e-1, (59) = 0.7314468216696497e-1, (60) = 0.7440583008586295e-1, (61) = 0.7566698074321118e-1, (62) = 0.7692813427624462e-1, (63) = 0.7818929082693948e-1, (64) = 0.7945045054195449e-1, (65) = 0.807116135427864e-1, (66) = 0.8197277980036363e-1, (67) = 0.832339496347055e-1, (68) = 0.8449512326790203e-1, (69) = 0.8575630087119017e-1, (70) = 0.8701748261988461e-1, (71) = 0.8827866869383584e-1, (72) = 0.895398592796815e-1, (73) = 0.9080105462393903e-1, (74) = 0.9206225506242222e-1, (75) = 0.9332346062914834e-1, (76) = 0.9458467150848042e-1, (77) = 0.9584588791472444e-1, (78) = 0.9710711006795063e-1, (79) = 0.9836833819402642e-1, (80) = 0.9962957252253975e-1, (81) = .1008908132898561, (82) = .10215206073957839, (83) = .10341331506666945, (84) = .10467457636699808, (85) = .10593584508668905, (86) = .10719712152495582, (87) = .10845840595691103, (88) = .1097196986642039, (89) = .11098099993469157, (90) = .11224231016838984, (91) = .11350362971330877, (92) = .11476495872478397, (93) = .11602629751473549, (94) = .11728764640531733, (95) = .1185490057257598, (96) = .119810375812448, (97) = .12107175700900018, (98) = .12233314966634631, (99) = .1235945541414749, (100) = .12485597079617078, (101) = .12611739991624088, (102) = .12737884176983025, (103) = .12864029693125903, (104) = .12990176583465182, (105) = .131163249047175, (106) = .13242474684245334, (107) = .133686259589641, (108) = .13494778771667934, (109) = .1362093316565799, (110) = .1374708918499907, (111) = .13873246874918502, (112) = .13999406281483692, (113) = .14125567451609802, (114) = .14251730433067672, (115) = .14377895274491753, (116) = .1450406202538804, (117) = .1463023073614202, (118) = .14756401458003954, (119) = .1488257422997683, (120) = .150087491092016, (121) = .15134926174291038, (122) = .1526110546441241, (123) = .1538728703457476, (124) = .15513470941495439, (125) = .15639657242834248, (126) = .1576584599720143, (127) = .15892037264165687, (128) = .16018231104143174, (129) = .16144427577948042, (130) = .16270626747919442, (131) = .1639682867749143, (132) = .16523033431095888, (133) = .16649241074170598, (134) = .16775451674736963, (135) = .1690166531646737, (136) = .17027882056507174, (137) = .17154101957942045, (138) = .17280325077052744, (139) = .17406551483095545, (140) = .17532781264192865, (141) = .1765901449417591, (142) = .17785251247846706, (143) = .17911491601093577, (144) = .1803773563089933, (145) = .18163983415349455, (146) = .1829023503364033, (147) = .18416490566085716, (148) = .18542750093461638, (149) = .18669013697766493, (150) = .18795281469338615, (151) = .1892155350368082, (152) = .19047829870775293, (153) = .19174110656368865, (154) = .19300395948783355, (155) = .19426685837035146, (156) = .1955298039447872, (157) = .1967927971942831, (158) = .19805583915297661, (159) = .1993189307604995, (160) = .2005820729718022, (161) = .20184526675417563, (162) = .20310851308733593, (163) = .20437181298069768, (164) = .2056351675972105, (165) = .20689857783808083, (166) = .20816204467418448, (167) = .20942556914591465, (168) = .21068915229764512, (169) = .2119527951965759, (170) = .21321649892425545, (171) = .21448026457541763, (172) = .21574409325806815, (173) = .2170079860764664, (174) = .21827194397964692, (175) = .2195359682427611, (176) = .2208000601033214, (177) = .2220642207305169, (178) = .22332845139338106, (179) = .22459275335689927, (180) = .2258571276893751, (181) = .22712157561639934, (182) = .22838609838280816, (183) = .2296506972476664, (184) = .23091537348435695, (185) = .2321801283806699, (186) = .23344496323871786, (187) = .2347098793634386, (188) = .23597487807863357, (189) = .23723996072992215, (190) = .23850512867777438, (191) = .23977038326094285, (192) = .2410357257126104, (193) = .24230115775888914, (194) = .2435666807477072, (195) = .24483229606052834, (196) = .2460980051470993, (197) = .24736380945843944, (198) = .24862971047269325, (199) = .24989570968738709, (200) = .2511618086158113, (201) = .25242800878711696, (202) = .25369431174641277, (203) = .2549607190548624, (204) = .2562272322897695, (205) = .2574938530448408, (206) = .25876058304180316, (207) = .26002742389796646, (208) = .2612943771289748, (209) = .26256144432932166, (210) = .2638286270302309, (211) = .265095927107769, (212) = .2663633462944918, (213) = .26763088631657456, (214) = .2688985489173046, (215) = .27016633585718075, (216) = .2714342489024619, (217) = .27270228983366535, (218) = .27397046046268897, (219) = .2752387626666449, (220) = .27650719841710164, (221) = .27777576942913185, (222) = .27904447756352185, (223) = .28031332472127635, (224) = .2815823128215197, (225) = .2828514438009443, (226) = .28412071959629515, (227) = .28539014207450314, (228) = .28665971313690386, (229) = .2879294349732195, (230) = .2891993096211578, (231) = .2904693391287817, (232) = .29173952557201455, (233) = .29300987118523625, (234) = .29428037798980655, (235) = .29555104803310817, (236) = .29682188343590865, (237) = .2980928863568396, (238) = .2993640589781272, (239) = .3006354035017192, (240) = .3019069221494054, (241) = .3031786171629271, (242) = .3044504908040907, (243) = .305722545354889, (244) = .3069947831175016, (245) = .30826720626576226, (246) = .30953981719360346, (247) = .3108126184713257, (248) = .3120856123433916, (249) = .3133588012100643, (250) = .31463218749692895, (251) = .3159057736506831, (252) = .3171795621392577, (253) = .3184535554519378, (254) = .3197277560994727, (255) = .32100216659528064, (256) = .32227678947583327, (257) = .32355162731612075, (258) = .3248266827131019, (259) = .32610195831648564, (260) = .32737745690682285, (261) = .32865318101266594, (262) = .3299291332799342, (263) = .33120531624413657, (264) = .3324817327007616, (265) = .33375838548833214, (266) = .33503527737376965, (267) = .33631241115650806, (268) = .3375897896592342, (269) = .33886741572802737, (270) = .34014529223248985, (271) = .341423422074033, (272) = .34270180831424074, (273) = .3439804538147938, (274) = .3452593614604791, (275) = .34653853420930053, (276) = .3478179750700847, (277) = .34909768707996774, (278) = .35037767330072506, (279) = .3516579368189082, (280) = .35293848072858175, (281) = .354219307980101, (282) = .3555004218630613, (283) = .3567818256397334, (284) = .3580635226153957, (285) = .3593455160148289, (286) = .360627808977678, (287) = .36191040479203895, (288) = .363193306773095, (289) = .36447651826230404, (290) = .36576004262755546, (291) = .36704388326332654, (292) = .36832804359084353, (293) = .369612527057955, (294) = .3708973371113733, (295) = .3721824772338594, (296) = .37346795101397967, (297) = .3747537621071182, (298) = .376039913914085, (299) = .3773264098563199, (300) = .3786132537420681, (301) = .37990044928521455, (302) = .3811880001823728, (303) = .382475910155076, (304) = .38376418291972014, (305) = .38505282224842957, (306) = .3863418319520693, (307) = .3876312158707797, (308) = .38892097789986074, (309) = .3902111220787108, (310) = .39150165220977434, (311) = .39279257221271047, (312) = .3940838860767872, (313) = .39537559781024495, (314) = .3966677114235935, (315) = .3979602309934306, (316) = .3992531605653906, (317) = .4005465041353861, (318) = .40184026606371515, (319) = .40313445057870323, (320) = .4044290619227955, (321) = .40572410450363017, (322) = .4070195825562071, (323) = .40831550030984826, (324) = .4096118620966158, (325) = .41090867231356154, (326) = .4122059353908928, (327) = .41350365579200804, (328) = .41480183801371195, (329) = .4161004865864324, (330) = .4173996060744387, (331) = .41869920107694475, (332) = .4199992763457943, (333) = .4212998364945388, (334) = .42260088599548973, (335) = .42390242949230966, (336) = .4252044719395505, (337) = .4265070181520194, (338) = .4278100729716486, (339) = .4291136412762689, (340) = .4304177279798547, (341) = .4317223380327604, (342) = .43302747641512895, (343) = .4343331481946948, (344) = .4356393584640161, (345) = .43694611218877033, (346) = .43825341450084454, (347) = .43956127057290245, (348) = .44086968561575035, (349) = .44217866487859564, (350) = .4434882136493154, (351) = .44479833725459034, (352) = .4461090408968795, (353) = .44742032991954567, (354) = .448732209988207, (355) = .45004468667502473, (356) = .45135776536114214, (357) = .4526714516013852, (358) = .45398575100155253, (359) = .455300669208603, (360) = .45661621191094987, (361) = .4579323848387527, (362) = .4592491937282255, (363) = .4605666443575282, (364) = .46188474258261275, (365) = .4632034943466466, (366) = .4645229057111015, (367) = .4658429825197997, (368) = .4671637307671712, (369) = .468485156334031, (370) = .4698072654552027, (371) = .47113006438022614, (372) = .4724535592648016, (373) = .4737777563419347, (374) = .4751026619101525, (375) = .4764282823141786, (376) = .47775462397209983, (377) = .4790816934605408, (378) = .4804094971372353, (379) = .4817380414974867, (380) = .4830673331222092, (381) = .4843973786289643, (382) = .48572818463616174, (383) = .4870597578613152, (384) = .48839210507950326, (385) = .489725233115598, (386) = .49105914881222135, (387) = .4923938589156937, (388) = .4937293707148183, (389) = .4950656911939908, (390) = .49640282737471847, (391) = .4977407863613247, (392) = .4990795752835293, (393) = .5004192013759158, (394) = .5017596719278579, (395) = .5031009942825266, (396) = .5044431758373147, (397) = .5057862240558085, (398) = .5071301465899432, (399) = .5084749509093326, (400) = .5098206445690437, (401) = .5111672351940115, (402) = .5125147304789032, (403) = .5138631381285425, (404) = .5152124658524208, (405) = .5165627217548439, (406) = .5179139138164558, (407) = .5192660500687628, (408) = .520619138737851, (409) = .5219731878803903, (410) = .523328205624572, (411) = .5246842001679289, (412) = .5260411798159579, (413) = .5273991529550451, (414) = .528758128034316, (415) = .530118113566156, (416) = .5314791181267454, (417) = .5328411503643272, (418) = .5342042191278352, (419) = .535568333111073, (420) = .5369335008994703, (421) = .5382997313177438, (422) = .5396670334940468, (423) = .5410354164659953, (424) = .542404889338734, (425) = .543775461286273, (426) = .5451471415520872, (427) = .5465199394558277, (428) = .5478938645239059, (429) = .549268926144188, (430) = .5506451337242007, (431) = .5520224968049239, (432) = .5534010250577748, (433) = .5547807282285416, (434) = .5561616161375229, (435) = .5575436986801847, (436) = .5589269858120476, (437) = .5603114873762033, (438) = .561697213768329, (439) = .5630841752254755, (440) = .5644723818770011, (441) = .5658618440473392, (442) = .5672525721761802, (443) = .568644576783994, (444) = .570037868472779, (445) = .5714324579268066, (446) = .572828355922584, (447) = .5742255734591796, (448) = .5756241213875486, (449) = .5770240106464738, (450) = .5784252522639554, (451) = .5798278574162898, (452) = .581231837384252, (453) = .5826372034805568, (454) = .5840439669727922, (455) = .5854521396166025, (456) = .5868617330995154, (457) = .5882727593013376, (458) = .589685229971169, (459) = .5910991569222369, (460) = .5925145520904086, (461) = .5939314275792416, (462) = .595349795593525, (463) = .5967696684355408, (464) = .5981910585060156, (465) = .5996139783181326, (466) = .6010384406251165, (467) = .602464458027922, (468) = .603892043266328, (469) = .6053212090344611, (470) = .6067519682507145, (471) = .6081843342211287, (472) = .6096183201705917, (473) = .6110539394295806, (474) = .6124912054575696, (475) = .613930131957031, (476) = .6153707324659986, (477) = .6168130207044134, (478) = .6182570105535743, (479) = .6197027159327081, (480) = .6211501509226823, (481) = .6225993297537327, (482) = .6240502667739444, (483) = .6255029764798514, (484) = .6269574735828177, (485) = .628413772423688, (486) = .6298718879637916, (487) = .6313318352428073, (488) = .6327936293260322, (489) = .6342572853317894, (490) = .6357228185814568, (491) = .6371902445396497, (492) = .6386595788420484, (493) = .6401308373579022, (494) = .6416040357974403, (495) = .6430791901265656, (496) = .6445563164780391, (497) = .6460354311225756, (498) = .6475165504324425, (499) = .6489996908770286, (500) = .6504848691114168, (501) = .6519721019240693, (502) = .6534614063738786, (503) = .6549527995963177, (504) = .6564462988701254, (505) = .6579419216245554, (506) = .6594396854410469, (507) = .6609396080546993, (508) = .6624417074021354, (509) = .6639460015048627, (510) = .6654525084285169, (511) = .6669612465390978, (512) = .668472234367053, (513) = .6699854906074096, (514) = .6715010341216405, (515) = .673018883933066, (516) = .6745390590108507, (517) = .6760615789402452, (518) = .6775864633196618, (519) = .6791137317161112, (520) = .6806434040300106, (521) = .6821755003423066, (522) = .6837100409163962, (523) = .6852470462002591, (524) = .6867865368376921, (525) = .688328533817619, (526) = .6898730580661522, (527) = .6914201306839357, (528) = .6929697729807611, (529) = .694522006548319, (530) = .6960768530977596, (531) = .6976343344764709, (532) = .6991944733065091, (533) = .7007572918756999, (534) = .7023228127786497, (535) = .7038910588567705, (536) = .7054620531668778, (537) = .7070358189357963, (538) = .7086123795809504, (539) = .7101917588973115, (540) = .7117739809414831, (541) = .7133590697145655, (542) = .714947049609525, (543) = .7165379452675614, (544) = .7181317815587477, (545) = .7197285833448573, (546) = .721328376093886, (547) = .722931185617521, (548) = .7245370377649885, (549) = .7261459584941283, (550) = .7277579741726412, (551) = .729373111429995, (552) = .7309913971585825, (553) = .7326128585284616, (554) = .7342375231473551, (555) = .7358654186139303, (556) = .7374965728095968, (557) = .739131013900905, (558) = .7407687704098137, (559) = .7424098710607225, (560) = .7440543448133753, (561) = .7457022215346637, (562) = .7473535307967266, (563) = .7490083025873183, (564) = .7506665672352699, (565) = .7523283553808792, (566) = .7539936979522723, (567) = .7556626262535396, (568) = .7573351719475563, (569) = .7590113667893085, (570) = .7606912430375508, (571) = .7623748332937448, (572) = .7640621704753428, (573) = .7657532875775883, (574) = .7674482186276257, (575) = .7691469976657005, (576) = .7708496588943096, (577) = .772556236978943, (578) = .7742667670212104, (579) = .7759812844999804, (580) = .777699825318686, (581) = .7794224259113668, (582) = .7811491227400539, (583) = .7828799528005852, (584) = .7846149535386272, (585) = .7863541628075918, (586) = .7880976185900676, (587) = .7898453595829297, (588) = .7915974252949081, (589) = .7933538550954801, (590) = .795114688977085, (591) = .7968799673889012, (592) = .7986497312462352, (593) = .8004240221166192, (594) = .8022028817178726, (595) = .8039863522432215, (596) = .8057744764084547, (597) = .8075672974806, (598) = .8093648591118373, (599) = .8111672053794979, (600) = .812974381600286, (601) = .8147864329206979, (602) = .8166034051370209, (603) = .8184253446203109, (604) = .8202522982846338, (605) = .8220843137351672, (606) = .8239214389629238, (607) = .8257637223855393, (608) = .8276112131788197, (609) = .8294639611062096, (610) = .8313220165061233, (611) = .8331854302039179, (612) = .8350542538903757, (613) = .8369285398110552, (614) = .8388083408026233, (615) = .840693710313698, (616) = .8425847025823417, (617) = .8444813725196388, (618) = .8463837753919228, (619) = .8482919673619356, (620) = .8502060052993263, (621) = .8521259467992299, (622) = .854051850384263, (623) = .8559837745858576, (624) = .8579217792055737, (625) = .8598659249875767, (626) = .861816273236678, (627) = .8637728861445918, (628) = .8657358267799026, (629) = .8677051586071878, (630) = .8696809461296326, (631) = .871663254725857, (632) = .8736521508549832, (633) = .8756477014688805, (634) = .8776499744070785, (635) = .8796590382679299, (636) = .8816749626946874, (637) = .8836978188734109, (638) = .8857276786644668, (639) = .8877646144319902, (640) = .8898086997392983, (641) = .8918600091860152, (642) = .8939186186251947, (643) = .8959846045662448, (644) = .8980580445621817, (645) = .9001390173939156, (646) = .9022276027104215, (647) = .9043238812678798, (648) = .90642793581505, (649) = .9085398493529937, (650) = .9106597062452092, (651) = .91278759209166, (652) = .9149235939579059, (653) = .9170677997719477, (654) = .9192202987263707, (655) = .9213811814517402, (656) = .9235505397680545, (657) = .9257284667691787, (658) = .9279150572429801, (659) = .9301104071789709, (660) = .932314613975753, (661) = .9345277767386027, (662) = .9367499955784505, (663) = .9389813721368282, (664) = .9412220098288309, (665) = .9434720137046206, (666) = .9457314901750181, (667) = .9480005466191951, (668) = .9502792932460813, (669) = .9525678415276232, (670) = .9548663048706167, (671) = .9571747978933918, (672) = .9594934370992158, (673) = .9618223412221294, (674) = .9641616307732246, (675) = .966511427730694, (676) = .9688718560465621, (677) = .9712430414762713, (678) = .9736251130191248, (679) = .9760182006302932, (680) = .9784224365485599, (681) = .9808379555340243, (682) = .9832648940586692, (683) = .9857033909462815, (684) = .9881535875848481, (685) = .9906156276457148, (686) = .9930896570589608, (687) = .9955758232975214, (688) = .9980742778188616, (689) = 1.0005851744394576, (690) = 1.003108668844669, (691) = 1.0056449195453354, (692) = 1.008194088199706, (693) = 1.0107563392371248, (694) = 1.01333183957446, (695) = 1.015920759013064, (696) = 1.0185232702338711, (697) = 1.0211395494700761, (698) = 1.0237697758433364, (699) = 1.0264141319761662, (700) = 1.0290728030620218, (701) = 1.0317459777798217, (702) = 1.0344338487470177, (703) = 1.037136612243575, (704) = 1.0398544670628054, (705) = 1.042587615970961, (706) = 1.0453362667916655, (707) = 1.0481006297775455, (708) = 1.050880919483655, (709) = 1.0536773549301603, (710) = 1.0564901585336604, (711) = 1.0593195570740959, (712) = 1.0621657817893573, (713) = 1.0650290691242439, (714) = 1.0679096600184523, (715) = 1.070807799813666, (716) = 1.0737237379177533, (717) = 1.0766577291427584, (718) = 1.079610033769807, (719) = 1.082580916369677, (720) = 1.085570646236085, (721) = 1.0885794999025409, (722) = 1.0916077597503127, (723) = 1.0946557135995814, (724) = 1.0977236547734768, (725) = 1.1008118819536918, (726) = 1.1039207006057723, (727) = 1.1070504228502496, (728) = 1.1102013655882714, (729) = 1.113373855053497, (730) = 1.1165682232551088, (731) = 1.1197848095614078, (732) = 1.1230239616278663, (733) = 1.1262860337077871, (734) = 1.1295713874901159, (735) = 1.1328803924633883, (736) = 1.1362134273014926, (737) = 1.13957087912256, (738) = 1.1429526809301884, (739) = 1.146351225125599, (740) = 1.149761194445626, (741) = 1.153181268260847, (742) = 1.1566115069186653, (743) = 1.1600519710373027, (744) = 1.1635027217185883, (745) = 1.1669638206127884, (746) = 1.1704353299251888, (747) = 1.1739173124227644, (748) = 1.1774098314409451, (749) = 1.1809129508904554, (750) = 1.184426735264351, (751) = 1.1879512497819738, (752) = 1.1914865604607139, (753) = 1.1950327336120334, (754) = 1.1985898361444396, (755) = 1.2021579355855798, (756) = 1.2057371000898696, (757) = 1.209327398446267, (758) = 1.2129289000861665, (759) = 1.2165416750913507, (760) = 1.2201657942023478, (761) = 1.22380132910343, (762) = 1.2274483521406587, (763) = 1.2311069360961553, (764) = 1.2347771544448054, (765) = 1.2384590813631027, (766) = 1.2421527917380437, (767) = 1.2458583611762215, (768) = 1.2495758660130794, (769) = 1.253305383322216, (770) = 1.2570469909498445, (771) = 1.260800767888374, (772) = 1.2645667936445015, (773) = 1.2683451483597852, (774) = 1.2721359129636185, (775) = 1.2759391691836515, (776) = 1.2797549995562436, (777) = 1.2835834874371452, (778) = 1.287424717012392, (779) = 1.2912787733092783, (780) = 1.2951457423088562, (781) = 1.2990257112391563, (782) = 1.3029187678000465, (783) = 1.306825000519121, (784) = 1.3107444988237862, (785) = 1.3146773530535683, (786) = 1.3186236544724845, (787) = 1.322583495281658, (788) = 1.3265569686321916, (789) = 1.3305441686382202, (790) = 1.3345451906356258, (791) = 1.3385601311694078, (792) = 1.3425890873566015, (793) = 1.3466321573228714, (794) = 1.3506894402263099, (795) = 1.35476103627203, (796) = 1.358847046726896, (797) = 1.3629475739345267, (798) = 1.3670627213305648, (799) = 1.371192593462464, (800) = 1.3753372964629296, (801) = 1.3794969374738242, (802) = 1.3836716244844918, (803) = 1.3878614666578233, (804) = 1.3920665743471312, (805) = 1.3962870591135332, (806) = 1.4005230337435934, (807) = 1.404774612267304, (808) = 1.40904190997629, (809) = 1.4133250435031033, (810) = 1.4176241313652878, (811) = 1.4219392929520922, (812) = 1.426270648823522, (813) = 1.4306183208990293, (814) = 1.4349824324779015, (815) = 1.4393631082601077, (816) = 1.4437604743675403, (817) = 1.4481746583657338, (818) = 1.4526057892857267, (819) = 1.457053997848002, (820) = 1.4615194168077768, (821) = 1.4660021798268617, (822) = 1.47050242206523, (823) = 1.4750202802664978, (824) = 1.4795558927827341, (825) = 1.4841093995996755, (826) = 1.4886809423624516, (827) = 1.4932706644020037, (828) = 1.4978787107615803, (829) = 1.5025052286807106, (830) = 1.5071503673691935, (831) = 1.5118142772203798, (832) = 1.516497110450085, (833) = 1.521199021130172, (834) = 1.5259201652189134, (835) = 1.5306607005917725, (836) = 1.535420787072793, (837) = 1.5402005864669406, (838) = 1.545000262613062, (839) = 1.5498199821814014, (840) = 1.55465991356943, (841) = 1.5595202268899848, (842) = 1.5644010944094595, (843) = 1.5693026905839227, (844) = 1.5742251920964927, (845) = 1.5791687778952734, (846) = 1.584133629231994, (847) = 1.589119929701852, (848) = 1.5941278654262654, (849) = 1.5991576258673146, (850) = 1.6042094021592994, (851) = 1.6092833877440702, (852) = 1.6143797786205427, (853) = 1.6194987733894437, (854) = 1.6246405732996454, (855) = 1.6298053822953502, (856) = 1.6349934070641656, (857) = 1.6402048570865033, (858) = 1.6454399451007093, (859) = 1.6506988874695545, (860) = 1.6559819024887261, (861) = 1.661289211397524, (862) = 1.666621038494818, (863) = 1.671977611195165, (864) = 1.6773591600867659, (865) = 1.6827659189906854, (866) = 1.6881981250213913, (867) = 1.693656018648471, (868) = 1.6991398446598325, (869) = 1.7046498514068777, (870) = 1.710186289896821, (871) = 1.7157494147580357, (872) = 1.7213394843106173, (873) = 1.7269567606376166, (874) = 1.7326015096583287, (875) = 1.7382740012033069, (876) = 1.7439745090915395, (877) = 1.7497033112801517, (878) = 1.7554606912715403, (879) = 1.7612469359851675, (880) = 1.7670623361037363, (881) = 1.7729071867160648, (882) = 1.7787817874068212, (883) = 1.7846864423480238, (884) = 1.7906214603929205, (885) = 1.796587155172029, (886) = 1.8025838451926912, (887) = 1.8086118542825629, (888) = 1.8146715128709043, (889) = 1.8207631550953325, (890) = 1.8268871201363366, (891) = 1.8330437525901857, (892) = 1.8392334025845158, (893) = 1.8454564258972619, (894) = 1.8517131840786396, (895) = 1.858004044575701, (896) = 1.8643293808622583, (897) = 1.8706895734856477, (898) = 1.8770850103289585, (899) = 1.8835160839588245, (900) = 1.889983193470814, (901) = 1.8964867446923925, (902) = 1.9030271503341456, (903) = 1.9096048301462807, (904) = 1.9162202110795399, (905) = 1.9228737274492667, (906) = 1.9295658211155453, (907) = 1.9362969435545494, (908) = 1.943067553806978, (909) = 1.9498781175938333, (910) = 1.956729108910844, (911) = 1.9636210102266844, (912) = 1.9705543126844554, (913) = 1.9775295163106428, (914) = 1.9845471302307687, (915) = 1.9916076728894851, (916) = 1.9987116725115937, (917) = 2.0058596698233875, (918) = 2.013052213709676, (919) = 2.0202898624996006, (920) = 2.0275731850678467, (921) = 2.034902761103743, (922) = 2.0422791813850685, (923) = 2.0497030480619562, (924) = 2.0571749749508, (925) = 2.0646955878358395, (926) = 2.0722655256784437, (927) = 2.0798854428262894, (928) = 2.0875560035478373, (929) = 2.0952778850546445, (930) = 2.103051778210528, (931) = 2.1108783879031248, (932) = 2.1187584334239165, (933) = 2.126692648862061, (934) = 2.1346817835124354, (935) = 2.142726602298396, (936) = 2.1508278884903467, (937) = 2.1589864433980024, (938) = 2.167203081955676, (939) = 2.175478636551378, (940) = 2.1838139575658886, (941) = 2.192209913896489, (942) = 2.200667393496569, (943) = 2.209187303935464, (944) = 2.2177705729772317, (945) = 2.226418149267976, (946) = 2.2351310074056845, (947) = 2.243910142511183, (948) = 2.252756569939845, (949) = 2.261671328528324, (950) = 2.27065548131771, (951) = 2.2797101163104836, (952) = 2.2888363472563067, (953) = 2.298035314470298, (954) = 2.3073081856762894, (955) = 2.316656157696414, (956) = 2.3260804627486342, (957) = 2.335582358466814, (958) = 2.345163132200997, (959) = 2.3548241035612856, (960) = 2.3645666255011806, (961) = 2.374392085445935, (962) = 2.3843019064704145, (963) = 2.3942975485331863, (964) = 2.4043805097458124, (965) = 2.4145523304965404, (966) = 2.424814598133215, (967) = 2.4351689351105366, (968) = 2.445617007282089, (969) = 2.45616052605427, (970) = 2.4668012500648784, (971) = 2.47754098692811, (972) = 2.488381595062649, (973) = 2.499324985620466, (974) = 2.5103731244742726, (975) = 2.5215280414159587, (976) = 2.532791827501886, (977) = 2.544166627375325, (978) = 2.555654649582165, (979) = 2.567258169126425, (980) = 2.57897953017305, (981) = 2.590821148866759, (982) = 2.602785516293039, (983) = 2.61487520162125, (984) = 2.627092855880931, (985) = 2.6394412286388045, (986) = 2.651923151767844, (987) = 2.664541543709142, (988) = 2.6772994195077353, (989) = 2.6901998950712542, (990) = 2.7032461917337067, (991) = 2.7164416410497063, (992) = 2.7297896898507648, (993) = 2.743293905631671, (994) = 2.7569579856836675, (995) = 2.7707857787563195, (996) = 2.7847812567457098, (997) = 2.798948533805447, (998) = 2.8132918772015847, (999) = 2.8278157149163996, (1000) = 2.842524643831713, (1001) = 2.8574234384092683, (1002) = 2.872517059916759, (1003) = 2.8878106662578547, (1004) = 2.903309634588218, (1005) = 2.9190195795703486, (1006) = 2.934946322009636, (1007) = 2.95109592528016, (1008) = 2.9674747104214267, (1009) = 2.984089270817855, (1010) = 3.000946488054656, (1011) = 3.0180535489203595, (1012) = 3.0354179637079106, (1013) = 3.053047585733967, (1014) = 3.070950666653916, (1015) = 3.0891358483274356, (1016) = 3.1076121579864058, (1017) = 3.1263890624531356, (1018) = 3.1454764973176124, (1019) = 3.1648848982541593, (1020) = 3.184625235139038, (1021) = 3.2047067922964274, (1022) = 3.22506119857703, (1023) = 3.24551577350801, (1024) = 3.2659703484389895, (1025) = 3.286424923369969, (1026) = 3.306879498300949, (1027) = 3.3273340732319285, (1028) = 3.347788648162908, (1029) = 3.368243223093888, (1030) = 3.3886977980248676, (1031) = 3.4091523729558473, (1032) = 3.429606947886827, (1033) = 3.4500615228178066, (1034) = 3.4705160977487863, (1035) = 3.490970672679766, (1036) = 3.5114252476107457, (1037) = 3.5318798225417254, (1038) = 3.552334397472705, (1039) = 3.5727889724036848, (1040) = 3.5932435473346644, (1041) = 3.613698122265644, (1042) = 3.634152697196624, (1043) = 3.6546072721276035, (1044) = 3.675061847058583, (1045) = 3.695516421989563, (1046) = 3.7159709969205426, (1047) = 3.7364255718515222, (1048) = 3.756880146782502, (1049) = 3.7773347217134816, (1050) = 3.7977892966444613, (1051) = 3.818243871575441, (1052) = 3.8386984465064207, (1053) = 3.8591530214374004, (1054) = 3.87960759636838, (1055) = 3.9000621712993597, (1056) = 3.9205167462303394, (1057) = 3.940971321161319, (1058) = 3.961425896092299, (1059) = 3.9818804710232785, (1060) = 4.002335045954258, (1061) = 4.022789620885237, (1062) = 4.043244195816216, (1063) = 4.063698770747195, (1064) = 4.084153345678175, (1065) = 4.104607920609154, (1066) = 4.125062495540133, (1067) = 4.145517070471112, (1068) = 4.165971645402092, (1069) = 4.186426220333071, (1070) = 4.20688079526405, (1071) = 4.227335370195029, (1072) = 4.247789945126009, (1073) = 4.268244520056988, (1074) = 4.288699094987967, (1075) = 4.309153669918946, (1076) = 4.329608244849926, (1077) = 4.350062819780905, (1078) = 4.370517394711884, (1079) = 4.390971969642863, (1080) = 4.4114265445738425, (1081) = 4.431881119504822, (1082) = 4.452335694435801, (1083) = 4.47279026936678, (1084) = 4.4932448442977595, (1085) = 4.513699419228739, (1086) = 4.534153994159718, (1087) = 4.554608569090697, (1088) = 4.5750631440216765, (1089) = 4.595517718952656, (1090) = 4.615972293883635, (1091) = 4.636426868814614, (1092) = 4.656881443745593, (1093) = 4.677336018676573, (1094) = 4.697790593607552, (1095) = 4.718245168538531, (1096) = 4.73869974346951, (1097) = 4.75915431840049, (1098) = 4.779599945763837, (1099) = 4.799901456250844, (1100) = 4.819905865275028, (1101) = 4.839569436413305, (1102) = 4.858903637752792, (1103) = 4.877919332921822, (1104) = 4.8966268358625875, (1105) = 4.915035968411521, (1106) = 4.933156091085105, (1107) = 4.950996131374472, (1108) = 4.968564609995763, (1109) = 4.985869665271386, (1110) = 5.002919075439649, (1111) = 5.019720286516001, (1112) = 5.03628045357582, (1113) = 5.052606394464678, (1114) = 5.068704636604071, (1115) = 5.084581438735351, (1116) = 5.100242805508283, (1117) = 5.115694500970945, (1118) = 5.130942061214859, (1119) = 5.14599080627073, (1120) = 5.1608458510996975, (1121) = 5.1755121264101795, (1122) = 5.189994388334937, (1123) = 5.204297193705956, (1124) = 5.2184249317222235, (1125) = 5.232381832739384, (1126) = 5.246171975874328, (1127) = 5.259799296093475, (1128) = 5.273267590897954, (1129) = 5.286580526666074, (1130) = 5.299741644616874, (1131) = 5.312754379344769, (1132) = 5.325622047287863, (1133) = 5.338347844325197, (1134) = 5.350934862090099, (1135) = 5.363386092396628, (1136) = 5.3757044315042535, (1137) = 5.387892684129737, (1138) = 5.399953567249112, (1139) = 5.411889713716575, (1140) = 5.423703676598961, (1141) = 5.43539794289569, (1142) = 5.446974915691684, (1143) = 5.458436922492583, (1144) = 5.469786222340324, (1145) = 5.481025008442234, (1146) = 5.492155410706678, (1147) = 5.503179498149715, (1148) = 5.514099281188764, (1149) = 5.5249167138221695, (1150) = 5.535633698018511, (1151) = 5.546252090526589, (1152) = 5.556773688358335, (1153) = 5.567200238798176, (1154) = 5.577533442328313, (1155) = 5.587774954272949, (1156) = 5.59792638638053, (1157) = 5.6079893083360375, (1158) = 5.617965249212904, (1159) = 5.62785569884747, (1160) = 5.637662112912206, (1161) = 5.647385912633534, (1162) = 5.657028477270494, (1163) = 5.666591151776356, (1164) = 5.6760752480340635, (1165) = 5.6854820459281274, (1166) = 5.694812794373559, (1167) = 5.704068712303182, (1168) = 5.7132509896232175, (1169) = 5.722360788177643, (1170) = 5.731399247375848, (1171) = 5.740367478010054, (1172) = 5.749266562096297, (1173) = 5.758097556877604, (1174) = 5.766861495571976, (1175) = 5.775559388094928, (1176) = 5.7841922217526625, (1177) = 5.792760961908116, (1178) = 5.801266552630103, (1179) = 5.809709917809679, (1180) = 5.818091965441857, (1181) = 5.826413580142048, (1182) = 5.834675626371095, (1183) = 5.842878950205562, (1184) = 5.851024379851201, (1185) = 5.859112726143346, (1186) = 5.86714478302817, (1187) = 5.875121328025217, (1188) = 5.883043122679921, (1189) = 5.890910914152032, (1190) = 5.898725436996217, (1191) = 5.906487407362627, (1192) = 5.914197526781967, (1193) = 5.921856482855736, (1194) = 5.929464949618962, (1195) = 5.937023587894995, (1196) = 5.944533045638145, (1197) = 5.951993958263391, (1198) = 5.959406948968633, (1199) = 5.966772630927536, (1200) = 5.974091606114039, (1201) = 5.98136446266348, (1202) = 5.988591777678788, (1203) = 5.995774117516898, (1204) = 6.002912038051496, (1205) = 6.0100060849299375, (1206) = 6.017056793822384, (1207) = 6.024064690662507, (1208) = 6.031030291955222, (1209) = 6.037954107236152, (1210) = 6.044836635601078, (1211) = 6.051678366119732, (1212) = 6.058479779236215, (1213) = 6.0652413469720505, (1214) = 6.071963533120579, (1215) = 6.078646793436689, (1216) = 6.085291575821165, (1217) = 6.0918983205001025, (1218) = 6.098467460538646, (1219) = 6.104999423582587, (1220) = 6.1114946281383675, (1221) = 6.1179534852726105, (1222) = 6.124376399205603, (1223) = 6.130763767463012, (1224) = 6.137115981022318, (1225) = 6.14343342445549, (1226) = 6.149716476067508, (1227) = 6.155965508032449, (1228) = 6.162180887238813, (1229) = 6.1683629757326885, (1230) = 6.174512128031225, (1231) = 6.18062869294174, (1232) = 6.186713013768597, (1233) = 6.192765428428229, (1234) = 6.19878626956109, (1235) = 6.20477586464075, (1236) = 6.210734536079536, (1237) = 6.216662601333261, (1238) = 6.2225603741386655, (1239) = 6.228428163361127, (1240) = 6.234266272077085, (1241) = 6.240074998798581, (1242) = 6.245854637564159, (1243) = 6.251605478027394, (1244) = 6.257327805543525, (1245) = 6.263021901254106, (1246) = 6.268688042168734, (1247) = 6.274326501322674, (1248) = 6.279937549047608, (1249) = 6.285521450861425, (1250) = 6.291078467949223, (1251) = 6.296608857750708, (1252) = 6.302112874031623, (1253) = 6.307590766952877, (1254) = 6.313042783138349, (1255) = 6.318469165741376, (1256) = 6.32387015450889, (1257) = 6.329245986100661, (1258) = 6.334596894876298, (1259) = 6.3399231108408785, (1260) = 6.345224860666, (1261) = 6.350502367921233, (1262) = 6.355755853130734, (1263) = 6.360985533827964, (1264) = 6.366191624609341, (1265) = 6.371374337186983, (1266) = 6.376533880439764, (1267) = 6.381670460959367, (1268) = 6.386784283032106, (1269) = 6.3918755472994775, (1270) = 6.396944451742154, (1271) = 6.401991191749827, (1272) = 6.407015960166426, (1273) = 6.412018947333939, (1274) = 6.417000341135335, (1275) = 6.421960327036749, (1276) = 6.426899088133873, (1277) = 6.431816805934923, (1278) = 6.436713659400172, (1279) = 6.441589824681606, (1280) = 6.446445475713707, (1281) = 6.4512807842500335, (1282) = 6.45609591989962, (1283) = 6.460891050162418, (1284) = 6.465666340464004, (1285) = 6.470421954189564, (1286) = 6.475158052792133, (1287) = 6.479874796508076, (1288) = 6.484572342996931, (1289) = 6.489250847767304, (1290) = 6.49391046444911, (1291) = 6.49855134482342, (1292) = 6.503173638851996, (1293) = 6.507777494706181, (1294) = 6.512363058795258, (1295) = 6.516930475794041, (1296) = 6.521479888873619, (1297) = 6.526011440058072, (1298) = 6.530525269015419, (1299) = 6.5350215137145184, (1300) = 6.539500310522017, (1301) = 6.543961794226933, (1302) = 6.548406098064826, (1303) = 6.552833353741514, (1304) = 6.5572436914564385, (1305) = 6.5616372399252745, (1306) = 6.566014126772318, (1307) = 6.570374478334124, (1308) = 6.5747184189817105, (1309) = 6.579046071685795, (1310) = 6.583357558042312, (1311) = 6.587652998292814, (1312) = 6.591932511344431, (1313) = 6.5961962147894555, (1314) = 6.600444224924743, (1315) = 6.604676656782211, (1316) = 6.608893624647716, (1317) = 6.6130952413049195, (1318) = 6.617281618027283, (1319) = 6.62145286488479, (1320) = 6.625609090761132, (1321) = 6.629750403370714, (1322) = 6.633876909275285, (1323) = 6.637988713900222, (1324) = 6.642085921550715, (1325) = 6.646168635498953, (1326) = 6.65023695840274, (1327) = 6.654290991394288, (1328) = 6.658330834429409, (1329) = 6.662356586420574, (1330) = 6.666368345251244, (1331) = 6.670366207790113, (1332) = 6.674350269905061, (1333) = 6.678320626476797, (1334) = 6.682277371412413, (1335) = 6.6862205978268054, (1336) = 6.690150398181826, (1337) = 6.694066863550045, (1338) = 6.6979700840538685, (1339) = 6.701860148906706, (1340) = 6.705737146425027, (1341) = 6.709601164040352, (1342) = 6.713452288311022, (1343) = 6.717290604933719, (1344) = 6.7211161987548556, (1345) = 6.724929154071867, (1346) = 6.7287295543670425, (1347) = 6.732517481984405, (1348) = 6.736293018461649, (1349) = 6.740056244540853, (1350) = 6.743807240178715, (1351) = 6.747546084556683, (1352) = 6.751272856090944, (1353) = 6.75498763244222, (1354) = 6.758690490542566, (1355) = 6.762381506947353, (1356) = 6.7660607572497975, (1357) = 6.76972831616785, (1358) = 6.773384257711103, (1359) = 6.777028655189771, (1360) = 6.7806615812234226, (1361) = 6.784283107749609, (1362) = 6.787893306032351, (1363) = 6.791492246670539, (1364) = 6.79507999967404, (1365) = 6.798656634708655, (1366) = 6.802222220471203, (1367) = 6.805776824967014, (1368) = 6.809320515576505, (1369) = 6.8128533590628235, (1370) = 6.816375421579347, (1371) = 6.819886768677064, (1372) = 6.823387465311823, (1373) = 6.826877575851564, (1374) = 6.830357164226586, (1375) = 6.8338262939498895, (1376) = 6.83728502766511, (1377) = 6.84073342744554, (1378) = 6.844171554811073, (1379) = 6.847599470734747, (1380) = 6.851017235649192, (1381) = 6.854424909452998, (1382) = 6.857822551516926, (1383) = 6.861210220690897, (1384) = 6.86458797554246, (1385) = 6.867955874073978, (1386) = 6.871313973594621, (1387) = 6.874662330915987, (1388) = 6.878001002357847, (1389) = 6.881330043753768, (1390) = 6.884649510456689, (1391) = 6.887959457344422, (1392) = 6.891259938825025, (1393) = 6.894551008863304, (1394) = 6.897832721221617, (1395) = 6.9011051290087595, (1396) = 6.9043682847965, (1397) = 6.907622240713015, (1398) = 6.910867048447885, (1399) = 6.914102759256969, (1400) = 6.917329423967229, (1401) = 6.920547092981511, (1402) = 6.923755816283209, (1403) = 6.926955643505246, (1404) = 6.930146624067122, (1405) = 6.93332880674134, (1406) = 6.936502239870348, (1407) = 6.939666971399865, (1408) = 6.94282304888323, (1409) = 6.945970519485645, (1410) = 6.949109429988377, (1411) = 6.952239826792916, (1412) = 6.955361755925054, (1413) = 6.9584752631636215, (1414) = 6.961580393992686, (1415) = 6.964677193329635, (1416) = 6.9677657057293505, (1417) = 6.970845975390825, (1418) = 6.973918046160953, (1419) = 6.976981961538247, (1420) = 6.980037764676505, (1421) = 6.983085498388435, (1422) = 6.98612520515224, (1423) = 6.989156927297943, (1424) = 6.992180706743452, (1425) = 6.995196584965121, (1426) = 6.99820460311582, (1427) = 7.001204802028247, (1428) = 7.004197222218248, (1429) = 7.007181903888075, (1430) = 7.010158886929606, (1431) = 7.0131282109275155, (1432) = 7.0160899151862814, (1433) = 7.019044038894063, (1434) = 7.021990620775833, (1435) = 7.024929699211911, (1436) = 7.0278613122908675, (1437) = 7.030785497812457, (1438) = 7.0337022932905215, (1439) = 7.036611735955862, (1440) = 7.039513862759076, (1441) = 7.042408710373336, (1442) = 7.045296315258033, (1443) = 7.048176713725857, (1444) = 7.051049941641773, (1445) = 7.053916034590696, (1446) = 7.05677502789373, (1447) = 7.05962695661077, (1448) = 7.062471855543055, (1449) = 7.0653097592357, (1450) = 7.068140701980213, (1451) = 7.070964717816933, (1452) = 7.0737818406478254, (1453) = 7.076592104148589, (1454) = 7.079395541615503, (1455) = 7.082192186103086, (1456) = 7.0849820704267215, (1457) = 7.0877652271649625, (1458) = 7.090541688661798, (1459) = 7.093311487028882, (1460) = 7.096074654147772, (1461) = 7.098831221677635, (1462) = 7.1015812211989715, (1463) = 7.104324683981184, (1464) = 7.107061641002049, (1465) = 7.1097921230200205, (1466) = 7.112516160576278, (1467) = 7.115233783996771, (1468) = 7.117945023394232, (1469) = 7.1206499086701545, (1470) = 7.123348469516776, (1471) = 7.126040735444656, (1472) = 7.128726735891676, (1473) = 7.131406499957209, (1474) = 7.134080056511143, (1475) = 7.136747434223693, (1476) = 7.1394086615672165, (1477) = 7.142063766818034, (1478) = 7.1447127780582225, (1479) = 7.147355723177375, (1480) = 7.1499926298743635, (1481) = 7.152623525716651, (1482) = 7.155248438160543, (1483) = 7.157867394344638, (1484) = 7.1604804212179225, (1485) = 7.163087545547202, (1486) = 7.165688793918725, (1487) = 7.168284192739803, (1488) = 7.17087376824041, (1489) = 7.173457546474761, (1490) = 7.176035553322959, (1491) = 7.178607814590973, (1492) = 7.181174355899892, (1493) = 7.183735202612559, (1494) = 7.186290379923762, (1495) = 7.1888399128617255, (1496) = 7.1913838262895675, (1497) = 7.193922144906743, (1498) = 7.196454893250478, (1499) = 7.1989820956971835, (1500) = 7.201503776471775, (1501) = 7.204019959756831, (1502) = 7.206530669494298, (1503) = 7.209035929427687, (1504) = 7.21153576314659, (1505) = 7.214030194088018, (1506) = 7.216519245537704, (1507) = 7.219002940631403, (1508) = 7.221481302356167, (1509) = 7.223954353551624, (1510) = 7.226422116938011, (1511) = 7.228884615185013, (1512) = 7.231341870709448, (1513) = 7.2337939057704626, (1514) = 7.236240742485969, (1515) = 7.23868240283384, (1516) = 7.241118908653084, (1517) = 7.2435502816450095, (1518) = 7.2459765433743755, (1519) = 7.248397715270539, (1520) = 7.250813818683145, (1521) = 7.25322487487022, (1522) = 7.255630904860615, (1523) = 7.258031929550306, (1524) = 7.260427969705442, (1525) = 7.262819045963411, (1526) = 7.2652051788339005, (1527) = 7.267586388699949, (1528) = 7.269962695818978, (1529) = 7.272334120324731, (1530) = 7.274700682313303, (1531) = 7.27706240172666, (1532) = 7.27941929832722, (1533) = 7.281771391756866, (1534) = 7.2841187015379285, (1535) = 7.286461247074143, (1536) = 7.288799047651611, (1537) = 7.2911321224397465, (1538) = 7.29346049049221, (1539) = 7.295784170757824, (1540) = 7.298103182161762, (1541) = 7.300417543439858, (1542) = 7.302727273189446, (1543) = 7.305032389896698, (1544) = 7.307332911937505, (1545) = 7.3096288575783515, (1546) = 7.311920244977179, (1547) = 7.314207092184243, (1548) = 7.316489417142961, (1549) = 7.318767237718197, (1550) = 7.321040571735172, (1551) = 7.323309436827339, (1552) = 7.325573850516763, (1553) = 7.327833830222821, (1554) = 7.3300893932630045, (1555) = 7.332340556853709, (1556) = 7.334587338111018, (1557) = 7.33682975405148, (1558) = 7.339067821592876, (1559) = 7.341301557606788, (1560) = 7.343530978884189, (1561) = 7.345756102049298, (1562) = 7.347976943630229, (1563) = 7.350193520060094, (1564) = 7.352405847677727, (1565) = 7.354613942728409, (1566) = 7.35681782136457, (1567) = 7.359017499646498, (1568) = 7.3612129935451724, (1569) = 7.363404319014081, (1570) = 7.365591491877271, (1571) = 7.367774527831366, (1572) = 7.369953442484308, (1573) = 7.372128251356013, (1574) = 7.374298969879037, (1575) = 7.376465613399224, (1576) = 7.378628197176357, (1577) = 7.380786736384793, (1578) = 7.38294124612579, (1579) = 7.385091741486035, (1580) = 7.3872382374014585, (1581) = 7.3893807487091605, (1582) = 7.3915192901639655, (1583) = 7.393653876439024, (1584) = 7.395784522126417, (1585) = 7.397911241737744, (1586) = 7.400034049704722, (1587) = 7.402152960379757, (1588) = 7.404267988064298, (1589) = 7.4063791470250875, (1590) = 7.408486451382061, (1591) = 7.410589915174423, (1592) = 7.412689552364938, (1593) = 7.414785376840488, (1594) = 7.416877402412616, (1595) = 7.41896564281807, (1596) = 7.421050111719343, (1597) = 7.423130822705201, (1598) = 7.425207789340488, (1599) = 7.427281025115815, (1600) = 7.429350543400304, (1601) = 7.431416357491461, (1602) = 7.433478480615687, (1603) = 7.43553692592878, (1604) = 7.4375917065164385, (1605) = 7.439642835394755, (1606) = 7.441690325510709, (1607) = 7.443734189746125, (1608) = 7.445774440976072, (1609) = 7.447811091966438, (1610) = 7.449844155391067, (1611) = 7.451873643857108, (1612) = 7.453899569905478, (1613) = 7.4559219460113235, (1614) = 7.457940784584479, (1615) = 7.459956097969922, (1616) = 7.461967898448222, (1617) = 7.463976198249048, (1618) = 7.465981009591273, (1619) = 7.467982344572803, (1620) = 7.4699802152195955, (1621) = 7.471974633495413, (1622) = 7.4739656113022495, (1623) = 7.475953160480755, (1624) = 7.4779372928106564, (1625) = 7.479918020011169, (1626) = 7.4818953537414155, (1627) = 7.483869305628657, (1628) = 7.485839887267227, (1629) = 7.487807110138557, (1630) = 7.489770985664132, (1631) = 7.491731525207374, (1632) = 7.493688740074031, (1633) = 7.495642641512565, (1634) = 7.497593240714539, (1635) = 7.499540548814998, (1636) = 7.501484576893126, (1637) = 7.5034253360181795, (1638) = 7.505362837190654, (1639) = 7.5072970913220445, (1640) = 7.509228109269209, (1641) = 7.511155901834732, (1642) = 7.513080479767283, (1643) = 7.515001853761978, (1644) = 7.51692003446073, (1645) = 7.518835032452602, (1646) = 7.520746858278929, (1647) = 7.522655522479503, (1648) = 7.524561035501826, (1649) = 7.526463407725861, (1650) = 7.528362649480448, (1651) = 7.530258771043641, (1652) = 7.532151782643042, (1653) = 7.534041694456124, (1654) = 7.5359285166105625, (1655) = 7.537812259184558, (1656) = 7.539692932221311, (1657) = 7.541570545754068, (1658) = 7.543445109718608, (1659) = 7.545316633997329, (1660) = 7.547185128424748, (1661) = 7.549050602787806, (1662) = 7.550913066826175, (1663) = 7.552772530232565, (1664) = 7.554629002653015, (1665) = 7.556482493687204, (1666) = 7.5583330129164485, (1667) = 7.5601805698892495, (1668) = 7.562025174067318, (1669) = 7.56386683486679, (1670) = 7.565705561658902, (1671) = 7.56754136377028, (1672) = 7.569374250483219, (1673) = 7.5712042310359635, (1674) = 7.573031314622985, (1675) = 7.5748555103961515, (1676) = 7.576676827505345, (1677) = 7.578495275037745, (1678) = 7.580310862014501, (1679) = 7.582123597414363, (1680) = 7.583933490173936, (1681) = 7.5857405491879515, (1682) = 7.587544783309521, (1683) = 7.5893462013504, (1684) = 7.591144812081242, (1685) = 7.592940624237828, (1686) = 7.594733646556354, (1687) = 7.596523887694979, (1688) = 7.598311356261577, (1689) = 7.600096060824183, (1690) = 7.601878009911239, (1691) = 7.603657212011841, (1692) = 7.605433675575975, (1693) = 7.60720740901476, (1694) = 7.608978420700683, (1695) = 7.6107467189828535, (1696) = 7.612512312199677, (1697) = 7.614275208610958, (1698) = 7.6160354164361515, (1699) = 7.6177929438572525, (1700) = 7.619547799019024, (1701) = 7.62129999002922, (1702) = 7.623049524958809, (1703) = 7.624796411842196, (1704) = 7.626540658677444, (1705) = 7.6282822734539595, (1706) = 7.630021264127614, (1707) = 7.631757638587955, (1708) = 7.633491404689044, (1709) = 7.635222570249684, (1710) = 7.636951143053628, (1711) = 7.6386771308497945, (1712) = 7.640400541352466, (1713) = 7.642121382241498, (1714) = 7.643839661164192, (1715) = 7.645555385770016, (1716) = 7.647268563651927, (1717) = 7.6489792023533445, (1718) = 7.650687309384274, (1719) = 7.652392892221509, (1720) = 7.65409595830882, (1721) = 7.655796515057151, (1722) = 7.657494569844813, (1723) = 7.659190130017671, (1724) = 7.660883202896386, (1725) = 7.662573795802084, (1726) = 7.664261915989996, (1727) = 7.665947570677381, (1728) = 7.6676307670499995, (1729) = 7.669311512262291, (1730) = 7.670989813437558, (1731) = 7.672665677668145, (1732) = 7.674339112015621, (1733) = 7.676010123510948, (1734) = 7.677678719170351, (1735) = 7.679344905997785, (1736) = 7.681008690933963, (1737) = 7.682670080888522, (1738) = 7.684329082741375, (1739) = 7.685985703342876, (1740) = 7.687639949513995, (1741) = 7.689291828046482, (1742) = 7.690941345703033, (1743) = 7.692588509217531, (1744) = 7.694233325321977, (1745) = 7.69587580071419, (1746) = 7.697515942041653, (1747) = 7.699153755923615, (1748) = 7.700789248951255, (1749) = 7.702422427687834, (1750) = 7.704053298668859, (1751) = 7.705681868402233, (1752) = 7.707308143368413, (1753) = 7.70893213002305, (1754) = 7.710553834825748, (1755) = 7.712173264185651, (1756) = 7.713790424474351, (1757) = 7.715405322036758, (1758) = 7.717017963191249, (1759) = 7.718628354229814, (1760) = 7.720236501418206, (1761) = 7.721842410996081, (1762) = 7.723446089177147, (1763) = 7.725047542157286, (1764) = 7.7266467761318225, (1765) = 7.7282437972405855, (1766) = 7.729838611594334, (1767) = 7.731431225278593, (1768) = 7.733021644353786, (1769) = 7.734609874855379, (1770) = 7.736195922794012, (1771) = 7.737779794155639, (1772) = 7.739361494901656, (1773) = 7.740941030985229, (1774) = 7.742518408345327, (1775) = 7.744093632870331, (1776) = 7.745666710424213, (1777) = 7.747237646847059, (1778) = 7.748806447955194, (1779) = 7.750373119541314, (1780) = 7.751937667374614, (1781) = 7.75350009720091, (1782) = 7.755060414743156, (1783) = 7.756618625726384, (1784) = 7.75817473584211, (1785) = 7.759728750743381, (1786) = 7.761280676060495, (1787) = 7.762830517401119, (1788) = 7.764378280350417, (1789) = 7.765923970471164, (1790) = 7.767467593303865, (1791) = 7.769009154366878, (1792) = 7.770548659159828, (1793) = 7.772086113186593, (1794) = 7.773621521906366, (1795) = 7.775154890749582, (1796) = 7.776686225125118, (1797) = 7.778215530420398, (1798) = 7.7797428120015075, (1799) = 7.78126807521331, (1800) = 7.782791325379554, (1801) = 7.784312567802986, (1802) = 7.785831807774251, (1803) = 7.787349050581816, (1804) = 7.788864301467626, (1805) = 7.790377565651048, (1806) = 7.791888848330993, (1807) = 7.793398154686025, (1808) = 7.7949054898744645, (1809) = 7.796410859034498, (1810) = 7.797914267284275, (1811) = 7.7994157197220195, (1812) = 7.800915221442684, (1813) = 7.80241277752499, (1814) = 7.8039083930076, (1815) = 7.805402072909605, (1816) = 7.806893822230684, (1817) = 7.808383645951197, (1818) = 7.809871549032288, (1819) = 7.8113575364159855, (1820) = 7.812841613025294, (1821) = 7.814323783765137, (1822) = 7.815804053544567, (1823) = 7.817282427240667, (1824) = 7.81875890970091, (1825) = 7.820233505754229, (1826) = 7.8217062202111185, (1827) = 7.823177057863724, (1828) = 7.824646023485936, (1829) = 7.826113121833483, (1830) = 7.827578357644022, (1831) = 7.829041735641304, (1832) = 7.830503260552716, (1833) = 7.831962937066376, (1834) = 7.833420769848167, (1835) = 7.83487676354635, (1836) = 7.836330922791663, (1837) = 7.837783252197401, (1838) = 7.839233756359507, (1839) = 7.840682439856657, (1840) = 7.842129307250349, (1841) = 7.843574363094466, (1842) = 7.84501761193881, (1843) = 7.846459058294443, (1844) = 7.847898706654614, (1845) = 7.849336561495815, (1846) = 7.8507726272778715, (1847) = 7.852206908444019, (1848) = 7.853639409420989, (1849) = 7.855070134619086, (1850) = 7.856499088432286, (1851) = 7.857926275255067, (1852) = 7.859351699463754, (1853) = 7.860775365403395, (1854) = 7.862197277403018, (1855) = 7.863617439775707, (1856) = 7.865035856818683, (1857) = 7.86645253281338, (1858) = 7.86786747202552, (1859) = 7.869280678705195, (1860) = 7.870692157088304, (1861) = 7.872101911415651, (1862) = 7.873509945898158, (1863) = 7.874916264723793, (1864) = 7.876320872065268, (1865) = 7.877723772080116, (1866) = 7.879124968910763, (1867) = 7.880524466684603, (1868) = 7.8819222695140665, (1869) = 7.883318381496695, (1870) = 7.884712806720007, (1871) = 7.886105549273988, (1872) = 7.887496613214391, (1873) = 7.888886002579583, (1874) = 7.890273721393399, (1875) = 7.891659773665211, (1876) = 7.893044163389997, (1877) = 7.8944268945484115, (1878) = 7.8958079711068505, (1879) = 7.897187397017522, (1880) = 7.898565176228581, (1881) = 7.8999413126820945, (1882) = 7.9013158102881675, (1883) = 7.902688672942608, (1884) = 7.9040599045273705, (1885) = 7.905429508910625, (1886) = 7.9067974899468165, (1887) = 7.9081638514767345, (1888) = 7.909528597327574, (1889) = 7.910891731313164, (1890) = 7.912253257250207, (1891) = 7.913613178936267, (1892) = 7.914971500144501, (1893) = 7.916328224634791, (1894) = 7.9176833561538045, (1895) = 7.919036898435061, (1896) = 7.920388855198988, (1897) = 7.921739230152987, (1898) = 7.92308802699149, (1899) = 7.924435249397942, (1900) = 7.925780901060633, (1901) = 7.9271249856403525, (1902) = 7.928467506779973, (1903) = 7.929808468109699, (1904) = 7.931147873247127, (1905) = 7.932485725797304, (1906) = 7.933822029352781, (1907) = 7.935156787493677, (1908) = 7.936490003787731, (1909) = 7.9378216817958105, (1910) = 7.9391518250797795, (1911) = 7.9404804371719075, (1912) = 7.941807521590713, (1913) = 7.943133081842619, (1914) = 7.944457121422013, (1915) = 7.945779643811293, (1916) = 7.947100652480932, (1917) = 7.9484201508895245, (1918) = 7.949738142483844, (1919) = 7.951054630709461, (1920) = 7.952369619003862, (1921) = 7.953683110778499, (1922) = 7.954995109433132, (1923) = 7.956305618355968, (1924) = 7.957614640923712, (1925) = 7.958922180501621, (1926) = 7.960228240443554, (1927) = 7.961532824092022, (1928) = 7.962835934778676, (1929) = 7.964137575839275, (1930) = 7.965437750590339, (1931) = 7.966736462329248, (1932) = 7.9680337143422895, (1933) = 7.96932950990471, (1934) = 7.97062385228076, (1935) = 7.97191674472375, (1936) = 7.973208190476089, (1937) = 7.974498192769343, (1938) = 7.975786754826755, (1939) = 7.977073879875802, (1940) = 7.97835957111899, (1941) = 7.979643831744734, (1942) = 7.980926664930844, (1943) = 7.982208073844569, (1944) = 7.983488061642645, (1945) = 7.984766631471343, (1946) = 7.986043786466513, (1947) = 7.987319529753629, (1948) = 7.988593864453876, (1949) = 7.989866793687814, (1950) = 7.991138320550665, (1951) = 7.992408448126629, (1952) = 7.993677179489759, (1953) = 7.994944517704004, (1954) = 7.996210465823257, (1955) = 7.997475026891394, (1956) = 7.99873820394232, (1957) = 8.0}, datatype = float[8], order = C_order); Y := Matrix(1957, 3, {(1, 1) = .0, (1, 2) = .0, (1, 3) = -0.15087915185513387e-6, (2, 1) = -0.4703247921158766e-12, (2, 2) = 0.7752952440139635e-10, (2, 3) = -0.1159477863649019e-6, (3, 1) = 0.4851024694698007e-12, (3, 2) = 0.7841205395072432e-10, (3, 3) = -0.628334387449972e-8, (4, 1) = 0.14683936038935648e-11, (4, 2) = -0.2795080948312643e-9, (4, 3) = 0.11839188535019358e-6, (5, 1) = -0.505887684400247e-12, (5, 2) = 0.9108459647617881e-10, (5, 3) = 0.2519276398923896e-7, (6, 1) = -0.19103813762796647e-11, (6, 2) = 0.11727634502004799e-8, (6, 3) = -0.6060186042705624e-6, (7, 1) = 0.10884877821979604e-11, (7, 2) = 0.8784546203301721e-10, (7, 3) = -0.29002707780748434e-6, (8, 1) = 0.2708896050993958e-11, (8, 2) = -0.15073315860448254e-8, (8, 3) = 0.9505835417149998e-6, (9, 1) = 0.3104708120632991e-12, (9, 2) = -0.35828461787491705e-9, (9, 3) = 0.4358688033223136e-6, (10, 1) = -0.1084150430964179e-11, (10, 2) = 0.9579465194003937e-9, (10, 3) = -0.7647933044064127e-6, (11, 1) = -0.13052680548977818e-12, (11, 2) = 0.3865826694719873e-9, (11, 3) = -0.4032405181798882e-6, (12, 1) = 0.6183945499976991e-12, (12, 2) = -0.3118965677141622e-9, (12, 3) = 0.3210599998914348e-6, (13, 1) = 0.4901212441432779e-12, (13, 2) = -0.20700558818905446e-9, (13, 3) = 0.2346934056714839e-6, (14, 1) = 0.2734651389479414e-12, (14, 2) = 0.24448626890473073e-10, (14, 3) = -0.45697743055312414e-7, (15, 1) = 0.2431777974829105e-12, (15, 2) = 0.48445473375253233e-10, (15, 3) = -0.7225158548464218e-7, (16, 1) = 0.26686033752532294e-12, (16, 2) = 0.1038925957673894e-10, (16, 3) = -0.12706300348559341e-7, (17, 1) = 0.27562909674091005e-12, (17, 2) = -0.25448368517721356e-11, (17, 3) = 0.6761469339791668e-8, (18, 1) = 0.2759740271046751e-12, (18, 2) = -0.17518268120559878e-11, (18, 3) = 0.37926419360682896e-8, (19, 1) = 0.275333283454906e-12, (19, 2) = -0.504057413595652e-12, (19, 3) = 0.8644285889599315e-9, (20, 1) = 0.274991312192652e-12, (20, 2) = -0.19409575295277286e-12, (20, 3) = 0.1182202914849206e-9, (21, 1) = 0.27463616525209733e-12, (21, 2) = -0.15082763306876688e-12, (21, 3) = 0.1077520138053046e-10, (22, 1) = 0.27458720691948497e-12, (22, 2) = -0.14679486777519232e-12, (22, 3) = 0.7588492938311442e-12, (23, 1) = 0.27436572475087856e-12, (23, 2) = -0.14282149784589415e-12, (23, 3) = 0.31098255706318076e-12, (24, 1) = 0.27399293398872817e-12, (24, 2) = -0.14481592934250786e-12, (24, 3) = 0.39778249816521695e-12, (25, 1) = 0.2739443323362915e-12, (25, 2) = -0.13671237995492778e-12, (25, 3) = 0.4901596752766388e-12, (26, 1) = 0.27387876238719333e-12, (26, 2) = -0.1456248994316331e-12, (26, 3) = 0.6032588544656309e-12, (27, 1) = 0.27362272581946553e-12, (27, 2) = -0.14540283321182855e-12, (27, 3) = 0.6484892140586178e-12, (28, 1) = 0.27365358208558227e-12, (28, 2) = -0.14206613647928978e-12, (28, 3) = 0.6852860210567458e-12, (29, 1) = 0.27319527226370813e-12, (29, 2) = -0.1365089378103535e-12, (29, 3) = 0.665098690765951e-12, (30, 1) = 0.27326303442249924e-12, (30, 2) = -0.1402963415845188e-12, (30, 3) = 0.6463665904361823e-12, (31, 1) = 0.2728618274845604e-12, (31, 2) = -0.13197204802111333e-12, (31, 3) = 0.6919568038476178e-12, (32, 1) = 0.27271759141347967e-12, (32, 2) = -0.14172017376965222e-12, (32, 3) = 0.7525872656257651e-12, (33, 1) = 0.2726337123531653e-12, (33, 2) = -0.14157439019681408e-12, (33, 3) = 0.7235126968413634e-12, (34, 1) = 0.27238108406248937e-12, (34, 2) = -0.13174314137021718e-12, (34, 3) = 0.7337748148913058e-12, (35, 1) = 0.27223926956618583e-12, (35, 2) = -0.13548747324895517e-12, (35, 3) = 0.7527940351824018e-12, (36, 1) = 0.27182786404135115e-12, (36, 2) = -0.13382952371551483e-12, (36, 3) = 0.7370252894351462e-12, (37, 1) = 0.2720730221207122e-12, (37, 2) = -0.13220474201024676e-12, (37, 3) = 0.7256235369752867e-12, (38, 1) = 0.27162246417705e-12, (38, 2) = -0.14114344484635753e-12, (38, 3) = 0.7040402815538175e-12, (39, 1) = 0.27144088018136263e-12, (39, 2) = -0.1335697491639797e-12, (39, 3) = 0.6993636401437963e-12, (40, 1) = 0.27169779158433875e-12, (40, 2) = -0.13102743818261215e-12, (40, 3) = 0.7057124847288748e-12, (41, 1) = 0.27155623470159195e-12, (41, 2) = -0.13729287044377638e-12, (41, 3) = 0.7281439195173586e-12, (42, 1) = 0.27066046651843074e-12, (42, 2) = -0.13678854977603498e-12, (42, 3) = 0.6852648615104756e-12, (43, 1) = 0.2707445702736154e-12, (43, 2) = -0.12590356654755623e-12, (43, 3) = 0.6724201882472532e-12, (44, 1) = 0.2709788683724631e-12, (44, 2) = -0.12722860558467487e-12, (44, 3) = 0.7141223708626449e-12, (45, 1) = 0.27069027962822733e-12, (45, 2) = -0.1304149478156338e-12, (45, 3) = 0.6787829008657949e-12, (46, 1) = 0.27072331169546066e-12, (46, 2) = -0.12380899131684667e-12, (46, 3) = 0.6549770962099715e-12, (47, 1) = 0.27012693866153014e-12, (47, 2) = -0.12550212049228368e-12, (47, 3) = 0.6684445193768827e-12, (48, 1) = 0.26969168759347045e-12, (48, 2) = -0.1292899521571082e-12, (48, 3) = 0.6357394810033734e-12, (49, 1) = 0.270002091689851e-12, (49, 2) = -0.12381067483944021e-12, (49, 3) = 0.6287216438638598e-12, (50, 1) = 0.26943592244557396e-12, (50, 2) = -0.12150033420633601e-12, (50, 3) = 0.6285124092609015e-12, (51, 1) = 0.26966949080724127e-12, (51, 2) = -0.12537398393715837e-12, (51, 3) = 0.6120284851472317e-12, (52, 1) = 0.2694265351881389e-12, (52, 2) = -0.1264730430972577e-12, (52, 3) = 0.6157855896569775e-12, (53, 1) = 0.2692549867359133e-12, (53, 2) = -0.11865916074546515e-12, (53, 3) = 0.5844300642100009e-12, (54, 1) = 0.2692016876780419e-12, (54, 2) = -0.1221890722808861e-12, (54, 3) = 0.5885043202394661e-12, (55, 1) = 0.2693625332242363e-12, (55, 2) = -0.12168383256404255e-12, (55, 3) = 0.623311054680946e-12, (56, 1) = 0.2690177871303092e-12, (56, 2) = -0.1193264297911403e-12, (56, 3) = 0.5557814273573087e-12, (57, 1) = 0.26924617346857057e-12, (57, 2) = -0.1167894234146918e-12, (57, 3) = 0.5510266332151234e-12, (58, 1) = 0.26895384877766483e-12, (58, 2) = -0.11266361792188005e-12, (58, 3) = 0.5412729400554038e-12, (59, 1) = 0.26860743043348245e-12, (59, 2) = -0.12001595358751812e-12, (59, 3) = 0.5621894847081714e-12, (60, 1) = 0.26842374338889075e-12, (60, 2) = -0.11885801078831822e-12, (60, 3) = 0.5454199077865117e-12, (61, 1) = 0.2684047957109629e-12, (61, 2) = -0.11690174431866394e-12, (61, 3) = 0.5300631164990081e-12, (62, 1) = 0.26788358469352816e-12, (62, 2) = -0.11661602787836494e-12, (62, 3) = 0.5103562689389766e-12, (63, 1) = 0.26804855355741394e-12, (63, 2) = -0.111528325704832e-12, (63, 3) = 0.5065667756944198e-12, (64, 1) = 0.26779507704255184e-12, (64, 2) = -0.11643125673083307e-12, (64, 3) = 0.5311248284951109e-12, (65, 1) = 0.26759324757191843e-12, (65, 2) = -0.11206005030334152e-12, (65, 3) = 0.5107666971236273e-12, (66, 1) = 0.26768246930422306e-12, (66, 2) = -0.11446655290068057e-12, (66, 3) = 0.4981770065281522e-12, (67, 1) = 0.2673064082107369e-12, (67, 2) = -0.11457273122857032e-12, (67, 3) = 0.4906501021610063e-12, (68, 1) = 0.26726522530893444e-12, (68, 2) = -0.11027309985886519e-12, (68, 3) = 0.511997813591329e-12, (69, 1) = 0.26712136603188906e-12, (69, 2) = -0.11209113627090184e-12, (69, 3) = 0.4823175255792305e-12, (70, 1) = 0.26713077366348523e-12, (70, 2) = -0.1172352509782068e-12, (70, 3) = 0.482372869107608e-12, (71, 1) = 0.2668118147558638e-12, (71, 2) = -0.10812929087541627e-12, (71, 3) = 0.4853707435981408e-12, (72, 1) = 0.26668006245918155e-12, (72, 2) = -0.11674263490799855e-12, (72, 3) = 0.4634698064130993e-12, (73, 1) = 0.266659108288785e-12, (73, 2) = -0.11198995892887017e-12, (73, 3) = 0.4584698461520108e-12, (74, 1) = 0.2667681758939812e-12, (74, 2) = -0.11331264358475169e-12, (74, 3) = 0.4599235727269236e-12, (75, 1) = 0.26556578933316516e-12, (75, 2) = -0.1024828883019905e-12, (75, 3) = 0.4392223256193998e-12, (76, 1) = 0.26636144882811536e-12, (76, 2) = -0.11096781336721623e-12, (76, 3) = 0.4461360217876704e-12, (77, 1) = 0.2660790380914997e-12, (77, 2) = -0.10220378278036839e-12, (77, 3) = 0.4405732293223387e-12, (78, 1) = 0.2661518675212826e-12, (78, 2) = -0.1154223451259721e-12, (78, 3) = 0.43127099337514406e-12, (79, 1) = 0.2659207743035675e-12, (79, 2) = -0.10743981585149869e-12, (79, 3) = 0.41955189216341967e-12, (80, 1) = 0.266299929355256e-12, (80, 2) = -0.10600343108236077e-12, (80, 3) = 0.42457996644579407e-12, (81, 1) = 0.2647849714177146e-12, (81, 2) = -0.10712457607418126e-12, (81, 3) = 0.4265342254846519e-12, (82, 1) = 0.26489109570293296e-12, (82, 2) = -0.10349976816255758e-12, (82, 3) = 0.4349230190083018e-12, (83, 1) = 0.2647106595759988e-12, (83, 2) = -0.1043203420916074e-12, (83, 3) = 0.38148575757346156e-12, (84, 1) = 0.26511188443223444e-12, (84, 2) = -0.10667544861838707e-12, (84, 3) = 0.4080437100730308e-12, (85, 1) = 0.2640135178398355e-12, (85, 2) = -0.10608030737160487e-12, (85, 3) = 0.3997904632889758e-12, (86, 1) = 0.2648061926056494e-12, (86, 2) = -0.10019125485433196e-12, (86, 3) = 0.37950623350411595e-12, (87, 1) = 0.26457027924072085e-12, (87, 2) = -0.10721093587965642e-12, (87, 3) = 0.3717360324442272e-12, (88, 1) = 0.26451053757697107e-12, (88, 2) = -0.9845467168653614e-13, (88, 3) = 0.387864754525871e-12, (89, 1) = 0.26470759137929407e-12, (89, 2) = -0.9746262916189983e-13, (89, 3) = 0.41518255736770227e-12, (90, 1) = 0.26406086464839543e-12, (90, 2) = -0.10372162081095292e-12, (90, 3) = 0.3601570646093918e-12, (91, 1) = 0.26434940976032535e-12, (91, 2) = -0.9678023237767134e-13, (91, 3) = 0.3674808565920531e-12, (92, 1) = 0.2632087934037314e-12, (92, 2) = -0.9978825754555892e-13, (92, 3) = 0.3752655554055051e-12, (93, 1) = 0.2644227933754202e-12, (93, 2) = -0.10302828059169024e-12, (93, 3) = 0.36346439928953234e-12, (94, 1) = 0.26353325391804184e-12, (94, 2) = -0.9877351926173575e-13, (94, 3) = 0.3553882341013326e-12, (95, 1) = 0.2643756725201385e-12, (95, 2) = -0.10104903326649623e-12, (95, 3) = 0.37219006216221157e-12, (96, 1) = 0.26407627172868707e-12, (96, 2) = -0.10017722157860943e-12, (96, 3) = 0.3783510098468353e-12, (97, 1) = 0.26325347716046293e-12, (97, 2) = -0.9970053542372821e-13, (97, 3) = 0.35373689395230936e-12, (98, 1) = 0.26270807574463673e-12, (98, 2) = -0.9684881764073035e-13, (98, 3) = 0.3652391710485941e-12, (99, 1) = 0.26376263904072344e-12, (99, 2) = -0.9818562192591686e-13, (99, 3) = 0.33741576213003243e-12, (100, 1) = 0.26278544378560853e-12, (100, 2) = -0.9558240342712419e-13, (100, 3) = 0.3576537433896973e-12, (101, 1) = 0.26199882761566467e-12, (101, 2) = -0.9255978537264271e-13, (101, 3) = 0.34462174825474655e-12, (102, 1) = 0.2638323222368257e-12, (102, 2) = -0.9625103050626496e-13, (102, 3) = 0.354091006799014e-12, (103, 1) = 0.2629451114714572e-12, (103, 2) = -0.9939848281108754e-13, (103, 3) = 0.32975422178672836e-12, (104, 1) = 0.2626354605190023e-12, (104, 2) = -0.1009994692710708e-12, (104, 3) = 0.33476924577915817e-12, (105, 1) = 0.26252308048865637e-12, (105, 2) = -0.9725813052259642e-13, (105, 3) = 0.3094655331434889e-12, (106, 1) = 0.2614450759136197e-12, (106, 2) = -0.106039128326378e-12, (106, 3) = 0.31907380758561073e-12, (107, 1) = 0.2623894182568933e-12, (107, 2) = -0.9627487078405705e-13, (107, 3) = 0.33061200590375336e-12, (108, 1) = 0.26231726783909757e-12, (108, 2) = -0.9015460468802777e-13, (108, 3) = 0.3250406073271004e-12, (109, 1) = 0.261919865891662e-12, (109, 2) = -0.9686252323936583e-13, (109, 3) = 0.3129683587767592e-12, (110, 1) = 0.2618941963722864e-12, (110, 2) = -0.93897662199636e-13, (110, 3) = 0.3061491054176727e-12, (111, 1) = 0.26201887467368455e-12, (111, 2) = -0.996884093579159e-13, (111, 3) = 0.3231702158543201e-12, (112, 1) = 0.26202050000307675e-12, (112, 2) = -0.9377477414276085e-13, (112, 3) = 0.3176873611682805e-12, (113, 1) = 0.2608338152335562e-12, (113, 2) = -0.9319186772387417e-13, (113, 3) = 0.32071736229389704e-12, (114, 1) = 0.2615578833560192e-12, (114, 2) = -0.9744959294367251e-13, (114, 3) = 0.2833836673796264e-12, (115, 1) = 0.2615297523482611e-12, (115, 2) = -0.9566459363501658e-13, (115, 3) = 0.31136624875181896e-12, (116, 1) = 0.2614590687868646e-12, (116, 2) = -0.8899868738178905e-13, (116, 3) = 0.29685599532002194e-12, (117, 1) = 0.261425687529969e-12, (117, 2) = -0.8819338524218511e-13, (117, 3) = 0.3080449043575119e-12, (118, 1) = 0.26097725151175607e-12, (118, 2) = -0.8701697735774702e-13, (118, 3) = 0.30070022828453474e-12, (119, 1) = 0.2610712613668365e-12, (119, 2) = -0.9442881678104603e-13, (119, 3) = 0.2995025810098676e-12, (120, 1) = 0.2605278237103525e-12, (120, 2) = -0.8480600338233614e-13, (120, 3) = 0.3091049897799754e-12, (121, 1) = 0.2608636904142127e-12, (121, 2) = -0.8593818310761843e-13, (121, 3) = 0.27449530500784206e-12, (122, 1) = 0.26023902223061734e-12, (122, 2) = -0.8946091454264133e-13, (122, 3) = 0.279554985646951e-12, (123, 1) = 0.25984176948460257e-12, (123, 2) = -0.921411458160662e-13, (123, 3) = 0.2757283422398209e-12, (124, 1) = 0.26080834579080157e-12, (124, 2) = -0.8860118550927437e-13, (124, 3) = 0.2801943055036938e-12, (125, 1) = 0.2598300627145634e-12, (125, 2) = -0.8555881594914586e-13, (125, 3) = 0.2913287800535922e-12, (126, 1) = 0.25878200078464263e-12, (126, 2) = -0.9192534555839113e-13, (126, 3) = 0.2689390077049227e-12, (127, 1) = 0.2595749663573989e-12, (127, 2) = -0.8791897750552728e-13, (127, 3) = 0.2881129555889641e-12, (128, 1) = 0.2594184665172654e-12, (128, 2) = -0.8768300483163893e-13, (128, 3) = 0.2728527272410517e-12, (129, 1) = 0.2599423698939286e-12, (129, 2) = -0.89714628115182e-13, (129, 3) = 0.2877857531099665e-12, (130, 1) = 0.2590568079015536e-12, (130, 2) = -0.8520590605610388e-13, (130, 3) = 0.2659803433420808e-12, (131, 1) = 0.26038008040701495e-12, (131, 2) = -0.8406225671598492e-13, (131, 3) = 0.25257743776131284e-12, (132, 1) = 0.2590911808504256e-12, (132, 2) = -0.8803835609147506e-13, (132, 3) = 0.27027319815630347e-12, (133, 1) = 0.259132652043035e-12, (133, 2) = -0.918861407984903e-13, (133, 3) = 0.27797548858248757e-12, (134, 1) = 0.2585278066626474e-12, (134, 2) = -0.8834204112970716e-13, (134, 3) = 0.26888113073856884e-12, (135, 1) = 0.25851682477454626e-12, (135, 2) = -0.8046275197996397e-13, (135, 3) = 0.27466696074650513e-12, (136, 1) = 0.2579178137290646e-12, (136, 2) = -0.9290438720497358e-13, (136, 3) = 0.2621387167114593e-12, (137, 1) = 0.2588456185088568e-12, (137, 2) = -0.8395607321918779e-13, (137, 3) = 0.25361896867515625e-12, (138, 1) = 0.25885752141768196e-12, (138, 2) = -0.847188785516941e-13, (138, 3) = 0.25903753753975507e-12, (139, 1) = 0.2588376097413041e-12, (139, 2) = -0.9161331969946515e-13, (139, 3) = 0.25473872350424314e-12, (140, 1) = 0.25841342149976794e-12, (140, 2) = -0.8362780671406658e-13, (140, 3) = 0.24864536659332467e-12, (141, 1) = 0.2573324946032208e-12, (141, 2) = -0.8417006922235556e-13, (141, 3) = 0.24987866923883005e-12, (142, 1) = 0.2585760380420858e-12, (142, 2) = -0.9082257509945616e-13, (142, 3) = 0.24549354354685514e-12, (143, 1) = 0.25777320969977326e-12, (143, 2) = -0.8782647302087216e-13, (143, 3) = 0.24089282830534644e-12, (144, 1) = 0.2570651715974808e-12, (144, 2) = -0.8250220572239763e-13, (144, 3) = 0.24785407202305915e-12, (145, 1) = 0.2597626938440135e-12, (145, 2) = -0.7878717972808699e-13, (145, 3) = 0.2462821294038913e-12, (146, 1) = 0.2587185644022312e-12, (146, 2) = -0.8827791005023449e-13, (146, 3) = 0.24643366426042965e-12, (147, 1) = 0.25817715448708686e-12, (147, 2) = -0.8740657437522807e-13, (147, 3) = 0.2364355765719962e-12, (148, 1) = 0.2591989996614939e-12, (148, 2) = -0.8268793492991968e-13, (148, 3) = 0.2514704509912895e-12, (149, 1) = 0.2565821442020111e-12, (149, 2) = -0.8287019284930553e-13, (149, 3) = 0.24521412693523456e-12, (150, 1) = 0.2571416163663077e-12, (150, 2) = -0.8619568595575069e-13, (150, 3) = 0.235923815213155e-12, (151, 1) = 0.25605705433858386e-12, (151, 2) = -0.8406517578768382e-13, (151, 3) = 0.23008017513312833e-12, (152, 1) = 0.25689088624850697e-12, (152, 2) = -0.8860779001008963e-13, (152, 3) = 0.22601547341711113e-12, (153, 1) = 0.25595497242372375e-12, (153, 2) = -0.8356810591910455e-13, (153, 3) = 0.2373276844891034e-12, (154, 1) = 0.25799489931641756e-12, (154, 2) = -0.8422041929398255e-13, (154, 3) = 0.2399233089829565e-12, (155, 1) = 0.25678332025726544e-12, (155, 2) = -0.8331742163287023e-13, (155, 3) = 0.24512580486677856e-12, (156, 1) = 0.2559080350410583e-12, (156, 2) = -0.8359317426258902e-13, (156, 3) = 0.21513035878468473e-12, (157, 1) = 0.2569218595129958e-12, (157, 2) = -0.8137112614302452e-13, (157, 3) = 0.22701196917955123e-12, (158, 1) = 0.256871985205465e-12, (158, 2) = -0.8192156794931044e-13, (158, 3) = 0.2328477728865751e-12, (159, 1) = 0.25606972227556063e-12, (159, 2) = -0.805676397350046e-13, (159, 3) = 0.227411642410428e-12, (160, 1) = 0.2561433386785239e-12, (160, 2) = -0.7903125043234053e-13, (160, 3) = 0.22822607133237374e-12, (161, 1) = 0.25629452670380667e-12, (161, 2) = -0.8288943069605665e-13, (161, 3) = 0.22240938003258785e-12, (162, 1) = 0.2563413597848562e-12, (162, 2) = -0.7758985291198619e-13, (162, 3) = 0.21326890026051373e-12, (163, 1) = 0.25623421465732063e-12, (163, 2) = -0.8200284761105682e-13, (163, 3) = 0.22433940371762822e-12, (164, 1) = 0.2557188590126326e-12, (164, 2) = -0.8631821100129461e-13, (164, 3) = 0.23359057915286617e-12, (165, 1) = 0.2537728554231563e-12, (165, 2) = -0.7668784498148213e-13, (165, 3) = 0.221367884056024e-12, (166, 1) = 0.25481955998954326e-12, (166, 2) = -0.8036576869103736e-13, (166, 3) = 0.21384029936752053e-12, (167, 1) = 0.25610969108184995e-12, (167, 2) = -0.7551222161438662e-13, (167, 3) = 0.2231396740116489e-12, (168, 1) = 0.2543900794969416e-12, (168, 2) = -0.8120250895246888e-13, (168, 3) = 0.206450080233743e-12, (169, 1) = 0.25665807224595404e-12, (169, 2) = -0.8325511142121432e-13, (169, 3) = 0.21740636865369733e-12, (170, 1) = 0.2546004607928139e-12, (170, 2) = -0.8055181291935551e-13, (170, 3) = 0.21768222151668588e-12, (171, 1) = 0.2556579167639735e-12, (171, 2) = -0.8171122101656633e-13, (171, 3) = 0.21026742612306154e-12, (172, 1) = 0.2555052628347332e-12, (172, 2) = -0.7486723867641988e-13, (172, 3) = 0.20732831608127265e-12, (173, 1) = 0.2542878431866264e-12, (173, 2) = -0.7689353798887828e-13, (173, 3) = 0.2100496769686203e-12, (174, 1) = 0.2558625641792741e-12, (174, 2) = -0.8271338885627835e-13, (174, 3) = 0.2107825028665385e-12, (175, 1) = 0.25460889696166593e-12, (175, 2) = -0.7860928774719807e-13, (175, 3) = 0.2039280195062321e-12, (176, 1) = 0.2542410091050117e-12, (176, 2) = -0.755828991779457e-13, (176, 3) = 0.20123585519816116e-12, (177, 1) = 0.25563400408374634e-12, (177, 2) = -0.7875915789886947e-13, (177, 3) = 0.20979229123362739e-12, (178, 1) = 0.2551172606099154e-12, (178, 2) = -0.7694803180300774e-13, (178, 3) = 0.22281508399942423e-12, (179, 1) = 0.25355253061511415e-12, (179, 2) = -0.8177954683736804e-13, (179, 3) = 0.19166083477651868e-12, (180, 1) = 0.25649734871088107e-12, (180, 2) = -0.7997678426253142e-13, (180, 3) = 0.20194754875663004e-12, (181, 1) = 0.2535129669237558e-12, (181, 2) = -0.7681591698316338e-13, (181, 3) = 0.19240169531702727e-12, (182, 1) = 0.2535153949936747e-12, (182, 2) = -0.8103494500859217e-13, (182, 3) = 0.19545686756097343e-12, (183, 1) = 0.25456231100298394e-12, (183, 2) = -0.7809176590799399e-13, (183, 3) = 0.2053322438431001e-12, (184, 1) = 0.2537783823279589e-12, (184, 2) = -0.8359646828115604e-13, (184, 3) = 0.19253199354315035e-12, (185, 1) = 0.2532302030543211e-12, (185, 2) = -0.8005319445011785e-13, (185, 3) = 0.20293938602080173e-12, (186, 1) = 0.2539800015133203e-12, (186, 2) = -0.7479796042438959e-13, (186, 3) = 0.20304536500254563e-12, (187, 1) = 0.2530655466819548e-12, (187, 2) = -0.7740950229773452e-13, (187, 3) = 0.19425212029411418e-12, (188, 1) = 0.254288238387664e-12, (188, 2) = -0.8427941424030142e-13, (188, 3) = 0.2037528852138398e-12, (189, 1) = 0.2527078690983138e-12, (189, 2) = -0.7889390693916803e-13, (189, 3) = 0.19142981324977303e-12, (190, 1) = 0.2529094468253282e-12, (190, 2) = -0.7467692697295759e-13, (190, 3) = 0.20108129222272157e-12, (191, 1) = 0.2529874521453606e-12, (191, 2) = -0.7374304366197123e-13, (191, 3) = 0.19023813900623056e-12, (192, 1) = 0.2521248719197082e-12, (192, 2) = -0.7259086114979445e-13, (192, 3) = 0.19462468628763425e-12, (193, 1) = 0.25275868922951367e-12, (193, 2) = -0.8221541517140365e-13, (193, 3) = 0.17032608709647105e-12, (194, 1) = 0.2523208684293337e-12, (194, 2) = -0.6642756686092764e-13, (194, 3) = 0.1925298804077578e-12, (195, 1) = 0.25343013209127367e-12, (195, 2) = -0.7747517696231575e-13, (195, 3) = 0.195541108055382e-12, (196, 1) = 0.2519940702313882e-12, (196, 2) = -0.7096612977844665e-13, (196, 3) = 0.19313546811141254e-12, (197, 1) = 0.2522916691313944e-12, (197, 2) = -0.7855258736121758e-13, (197, 3) = 0.18696100523453378e-12, (198, 1) = 0.251914958749273e-12, (198, 2) = -0.69117598786082e-13, (198, 3) = 0.19096950849285549e-12, (199, 1) = 0.25168872060111397e-12, (199, 2) = -0.7209296718835217e-13, (199, 3) = 0.17842415207403536e-12, (200, 1) = 0.2517258606809001e-12, (200, 2) = -0.733828106918187e-13, (200, 3) = 0.1862807498114733e-12, (201, 1) = 0.25138620355763533e-12, (201, 2) = -0.7089170457873835e-13, (201, 3) = 0.1804650731695726e-12, (202, 1) = 0.2529669910156102e-12, (202, 2) = -0.7200251363968924e-13, (202, 3) = 0.183014784865819e-12, (203, 1) = 0.25321453872086005e-12, (203, 2) = -0.7349883821775555e-13, (203, 3) = 0.16691782836930845e-12, (204, 1) = 0.2510732738366851e-12, (204, 2) = -0.8041459251682468e-13, (204, 3) = 0.19197482995999745e-12, (205, 1) = 0.2518354158073617e-12, (205, 2) = -0.7422983536846196e-13, (205, 3) = 0.18271737368323467e-12, (206, 1) = 0.25047448819148337e-12, (206, 2) = -0.7752438922632961e-13, (206, 3) = 0.18142134871468221e-12, (207, 1) = 0.2523367312362094e-12, (207, 2) = -0.7381087004487524e-13, (207, 3) = 0.17600126955333927e-12, (208, 1) = 0.25100850042563173e-12, (208, 2) = -0.6712855842194557e-13, (208, 3) = 0.17482790665758626e-12, (209, 1) = 0.2514378313705099e-12, (209, 2) = -0.7216279650795249e-13, (209, 3) = 0.17328799046222088e-12, (210, 1) = 0.2505657833512719e-12, (210, 2) = -0.7691170111857477e-13, (210, 3) = 0.16791552226548256e-12, (211, 1) = 0.2523316317317736e-12, (211, 2) = -0.7205254470032536e-13, (211, 3) = 0.17300560948216982e-12, (212, 1) = 0.25000687796058597e-12, (212, 2) = -0.7848057985772577e-13, (212, 3) = 0.17074200953970334e-12, (213, 1) = 0.25168257049574844e-12, (213, 2) = -0.6603818899599296e-13, (213, 3) = 0.1779819798822482e-12, (214, 1) = 0.25134724823737663e-12, (214, 2) = -0.7445390452431393e-13, (214, 3) = 0.16702762250357561e-12, (215, 1) = 0.2488733476936824e-12, (215, 2) = -0.6664029263359198e-13, (215, 3) = 0.17678598717431695e-12, (216, 1) = 0.25029800716243945e-12, (216, 2) = -0.7033288535907872e-13, (216, 3) = 0.17613440488302355e-12, (217, 1) = 0.2512502122359298e-12, (217, 2) = -0.689194155324976e-13, (217, 3) = 0.1785557475487533e-12, (218, 1) = 0.2505637058950344e-12, (218, 2) = -0.7449954909140431e-13, (218, 3) = 0.17639496577999752e-12, (219, 1) = 0.2493965522840277e-12, (219, 2) = -0.664835295799844e-13, (219, 3) = 0.18380546684619748e-12, (220, 1) = 0.24955945452163533e-12, (220, 2) = -0.6794120698856677e-13, (220, 3) = 0.1756637063180593e-12, (221, 1) = 0.2501323456779898e-12, (221, 2) = -0.7768014305103213e-13, (221, 3) = 0.1577272605911614e-12, (222, 1) = 0.2504517205985074e-12, (222, 2) = -0.6746177626550413e-13, (222, 3) = 0.17290624347923236e-12, (223, 1) = 0.2501205136122978e-12, (223, 2) = -0.7177109503733524e-13, (223, 3) = 0.16267702666157307e-12, (224, 1) = 0.25114386672575307e-12, (224, 2) = -0.7330793118366891e-13, (224, 3) = 0.1685360641877906e-12, (225, 1) = 0.25011892201453536e-12, (225, 2) = -0.6831449815027278e-13, (225, 3) = 0.1634584238657741e-12, (226, 1) = 0.24998076505430384e-12, (226, 2) = -0.7333638787113981e-13, (226, 3) = 0.17336549762508063e-12, (227, 1) = 0.24816584132452875e-12, (227, 2) = -0.613739219209407e-13, (227, 3) = 0.1729871466215132e-12, (228, 1) = 0.25058868866067737e-12, (228, 2) = -0.6394503324342069e-13, (228, 3) = 0.16319003351123334e-12, (229, 1) = 0.250841137624948e-12, (229, 2) = -0.716811652107469e-13, (229, 3) = 0.1595766600970737e-12, (230, 1) = 0.25047450296284515e-12, (230, 2) = -0.7244231228463122e-13, (230, 3) = 0.16324292839504442e-12, (231, 1) = 0.24995828245657095e-12, (231, 2) = -0.6971775630169417e-13, (231, 3) = 0.164215435859744e-12, (232, 1) = 0.2492011688179484e-12, (232, 2) = -0.6502764375746034e-13, (232, 3) = 0.16821539999373085e-12, (233, 1) = 0.24758910799763997e-12, (233, 2) = -0.7448414338246662e-13, (233, 3) = 0.16045680248901055e-12, (234, 1) = 0.2509069622250333e-12, (234, 2) = -0.7253557726792575e-13, (234, 3) = 0.15485864623091194e-12, (235, 1) = 0.2482094327271171e-12, (235, 2) = -0.7194708908538927e-13, (235, 3) = 0.15548019035264462e-12, (236, 1) = 0.24820023005853395e-12, (236, 2) = -0.6927711253801239e-13, (236, 3) = 0.16848874111860865e-12, (237, 1) = 0.24813896312581964e-12, (237, 2) = -0.6851265578185419e-13, (237, 3) = 0.156812834541937e-12, (238, 1) = 0.24920675748534684e-12, (238, 2) = -0.7423461206455781e-13, (238, 3) = 0.15926899135085458e-12, (239, 1) = 0.24756332565841593e-12, (239, 2) = -0.7067768263318255e-13, (239, 3) = 0.15860456066575404e-12, (240, 1) = 0.2490886007569406e-12, (240, 2) = -0.7430723938167855e-13, (240, 3) = 0.15716139877196057e-12, (241, 1) = 0.2487310496692174e-12, (241, 2) = -0.7187480500662063e-13, (241, 3) = 0.15214460755332184e-12, (242, 1) = 0.2484218000168614e-12, (242, 2) = -0.7069245721428452e-13, (242, 3) = 0.1568274418702093e-12, (243, 1) = 0.248893796427308e-12, (243, 2) = -0.7182098450772516e-13, (243, 3) = 0.1562467533030406e-12, (244, 1) = 0.2478442787811461e-12, (244, 2) = -0.7001745958708953e-13, (244, 3) = 0.15404562668831164e-12, (245, 1) = 0.24659352089582583e-12, (245, 2) = -0.6773712246879657e-13, (245, 3) = 0.1528608934384823e-12, (246, 1) = 0.2476307583805692e-12, (246, 2) = -0.6663264955366014e-13, (246, 3) = 0.15307233557338224e-12, (247, 1) = 0.2471286989612759e-12, (247, 2) = -0.7183573569494048e-13, (247, 3) = 0.1567523011588688e-12, (248, 1) = 0.24920284458822594e-12, (248, 2) = -0.7357711800430693e-13, (248, 3) = 0.1591137334609105e-12, (249, 1) = 0.2476127037471681e-12, (249, 2) = -0.7238516752681864e-13, (249, 3) = 0.1470630108120198e-12, (250, 1) = 0.2478242904212449e-12, (250, 2) = -0.687819739174338e-13, (250, 3) = 0.15396017763589108e-12, (251, 1) = 0.247427812295083e-12, (251, 2) = -0.623594645627437e-13, (251, 3) = 0.15006380103822715e-12, (252, 1) = 0.2481586918137519e-12, (252, 2) = -0.6802346724694233e-13, (252, 3) = 0.15626936340714984e-12, (253, 1) = 0.2473953154904128e-12, (253, 2) = -0.6262058274340858e-13, (253, 3) = 0.1561004859707669e-12, (254, 1) = 0.24752003997544967e-12, (254, 2) = -0.6832288636946751e-13, (254, 3) = 0.1557602107641178e-12, (255, 1) = 0.2469108685120445e-12, (255, 2) = -0.6677863869089163e-13, (255, 3) = 0.1518001460724024e-12, (256, 1) = 0.24722928782195697e-12, (256, 2) = -0.6731758766113549e-13, (256, 3) = 0.15030886845841878e-12, (257, 1) = 0.24623134654905395e-12, (257, 2) = -0.7113873668930863e-13, (257, 3) = 0.14845893426269198e-12, (258, 1) = 0.24632726555173697e-12, (258, 2) = -0.6133254057779549e-13, (258, 3) = 0.15506139854167921e-12, (259, 1) = 0.24784564761510623e-12, (259, 2) = -0.6693994433072813e-13, (259, 3) = 0.14857188953983483e-12, (260, 1) = 0.2470188059212782e-12, (260, 2) = -0.6911418359277456e-13, (260, 3) = 0.14808199605176294e-12, (261, 1) = 0.2472533778168354e-12, (261, 2) = -0.6772405422455507e-13, (261, 3) = 0.15193379061099504e-12, (262, 1) = 0.2480325663821749e-12, (262, 2) = -0.650356431427318e-13, (262, 3) = 0.1526840017612524e-12, (263, 1) = 0.2465363356284058e-12, (263, 2) = -0.5941487775213556e-13, (263, 3) = 0.1495298244486527e-12, (264, 1) = 0.2450582525047234e-12, (264, 2) = -0.6748850063069003e-13, (264, 3) = 0.14637133561263261e-12, (265, 1) = 0.24736092576452067e-12, (265, 2) = -0.680539017537869e-13, (265, 3) = 0.14801019191584728e-12, (266, 1) = 0.24615868424953843e-12, (266, 2) = -0.6294768322303242e-13, (266, 3) = 0.14696972944738447e-12, (267, 1) = 0.2457459093367824e-12, (267, 2) = -0.6700653445968127e-13, (267, 3) = 0.14587244771188806e-12, (268, 1) = 0.248070970672124e-12, (268, 2) = -0.6737114614720836e-13, (268, 3) = 0.15050671568898273e-12, (269, 1) = 0.246730886519188e-12, (269, 2) = -0.7017622680835109e-13, (269, 3) = 0.14727591993260127e-12, (270, 1) = 0.24577488183552226e-12, (270, 2) = -0.675662417865441e-13, (270, 3) = 0.14951513197258742e-12, (271, 1) = 0.24546617437533806e-12, (271, 2) = -0.654568043560178e-13, (271, 3) = 0.14594289391152396e-12, (272, 1) = 0.24718800755370595e-12, (272, 2) = -0.6889735031584145e-13, (272, 3) = 0.14357059112058807e-12, (273, 1) = 0.2465630993132372e-12, (273, 2) = -0.6420112718882402e-13, (273, 3) = 0.1449621214636371e-12, (274, 1) = 0.24572992026365364e-12, (274, 2) = -0.6466617664658158e-13, (274, 3) = 0.14626477886394765e-12, (275, 1) = 0.24307411404424043e-12, (275, 2) = -0.6789888423447905e-13, (275, 3) = 0.1370204490106442e-12, (276, 1) = 0.24281922184469994e-12, (276, 2) = -0.6367985578253211e-13, (276, 3) = 0.13720297978486946e-12, (277, 1) = 0.24375159800714294e-12, (277, 2) = -0.7003773575326006e-13, (277, 3) = 0.14541109723031717e-12, (278, 1) = 0.245234848647308e-12, (278, 2) = -0.6548101481418957e-13, (278, 3) = 0.14147036740588183e-12, (279, 1) = 0.2457601590600119e-12, (279, 2) = -0.6518612136412626e-13, (279, 3) = 0.14342946698387707e-12, (280, 1) = 0.24738548297757003e-12, (280, 2) = -0.6055858985326228e-13, (280, 3) = 0.13638175729239436e-12, (281, 1) = 0.24414693692291745e-12, (281, 2) = -0.7064021966137313e-13, (281, 3) = 0.13681230051482033e-12, (282, 1) = 0.2453816646751576e-12, (282, 2) = -0.6770579259179701e-13, (282, 3) = 0.14826419451321617e-12, (283, 1) = 0.24282824537434966e-12, (283, 2) = -0.6809841573599572e-13, (283, 3) = 0.14712308504928768e-12, (284, 1) = 0.2454240227730242e-12, (284, 2) = -0.6036233166903553e-13, (284, 3) = 0.14291600785953833e-12, (285, 1) = 0.24919544330017403e-12, (285, 2) = -0.6726908959766275e-13, (285, 3) = 0.1365605562766095e-12, (286, 1) = 0.2463571798646117e-12, (286, 2) = -0.6186288145809581e-13, (286, 3) = 0.13572437912649787e-12, (287, 1) = 0.2449067100314187e-12, (287, 2) = -0.6038105325013729e-13, (287, 3) = 0.13694955309262892e-12, (288, 1) = 0.2436721311201033e-12, (288, 2) = -0.6292164686434369e-13, (288, 3) = 0.1402375133328412e-12, (289, 1) = 0.24275599538788176e-12, (289, 2) = -0.623109698830311e-13, (289, 3) = 0.13948980214922652e-12, (290, 1) = 0.2440663007670856e-12, (290, 2) = -0.5828261568719903e-13, (290, 3) = 0.1361233171852273e-12, (291, 1) = 0.246175350963902e-12, (291, 2) = -0.6278094025586108e-13, (291, 3) = 0.13667355659243295e-12, (292, 1) = 0.24626216664720247e-12, (292, 2) = -0.6372233444237408e-13, (292, 3) = 0.13320378662370869e-12, (293, 1) = 0.2434815831159693e-12, (293, 2) = -0.6558253991759813e-13, (293, 3) = 0.1422900609469975e-12, (294, 1) = 0.2469144002557192e-12, (294, 2) = -0.6990895444512363e-13, (294, 3) = 0.12927285041667408e-12, (295, 1) = 0.2444854981827494e-12, (295, 2) = -0.648385384034734e-13, (295, 3) = 0.12837499480754026e-12, (296, 1) = 0.2433803159294065e-12, (296, 2) = -0.6573772498529002e-13, (296, 3) = 0.14145972574673806e-12, (297, 1) = 0.2427776254700213e-12, (297, 2) = -0.6386857142071252e-13, (297, 3) = 0.13120302925554432e-12, (298, 1) = 0.24165032690328753e-12, (298, 2) = -0.653895059123339e-13, (298, 3) = 0.13291838823191656e-12, (299, 1) = 0.2427406426759389e-12, (299, 2) = -0.55886569366429615e-13, (299, 3) = 0.12895836121183816e-12, (300, 1) = 0.24619062362002367e-12, (300, 2) = -0.6090932255143888e-13, (300, 3) = 0.13792731458295222e-12, (301, 1) = 0.2408405470234118e-12, (301, 2) = -0.6328400215081623e-13, (301, 3) = 0.13205346791958108e-12, (302, 1) = 0.24511491376313727e-12, (302, 2) = -0.5916195739676858e-13, (302, 3) = 0.1337977183631306e-12, (303, 1) = 0.24436127354896224e-12, (303, 2) = -0.6340760581534314e-13, (303, 3) = 0.12818678763026446e-12, (304, 1) = 0.2455940036104349e-12, (304, 2) = -0.621415187023722e-13, (304, 3) = 0.1384223677967184e-12, (305, 1) = 0.24395192343286795e-12, (305, 2) = -0.5829733769428794e-13, (305, 3) = 0.13778174243654853e-12, (306, 1) = 0.24340126551120993e-12, (306, 2) = -0.6276491244015117e-13, (306, 3) = 0.13720046977390496e-12, (307, 1) = 0.2400417344107413e-12, (307, 2) = -0.5951118369134366e-13, (307, 3) = 0.13120530550371796e-12, (308, 1) = 0.2438942783893692e-12, (308, 2) = -0.6337471231787017e-13, (308, 3) = 0.13410946285404215e-12, (309, 1) = 0.24237524940182564e-12, (309, 2) = -0.6119324198432275e-13, (309, 3) = 0.1284038080620066e-12, (310, 1) = 0.24377841954510666e-12, (310, 2) = -0.6116827186741268e-13, (310, 3) = 0.1259344226130219e-12, (311, 1) = 0.240968497560952e-12, (311, 2) = -0.6395391262641046e-13, (311, 3) = 0.13470487987163284e-12, (312, 1) = 0.2426615806870184e-12, (312, 2) = -0.6535729886843385e-13, (312, 3) = 0.12755672995985635e-12, (313, 1) = 0.2457364868857641e-12, (313, 2) = -0.651955328170169e-13, (313, 3) = 0.12854816496208261e-12, (314, 1) = 0.24085672155377197e-12, (314, 2) = -0.598466232426132e-13, (314, 3) = 0.1268015940628056e-12, (315, 1) = 0.2447388175456443e-12, (315, 2) = -0.5974888828040247e-13, (315, 3) = 0.13038144151158216e-12, (316, 1) = 0.24363508814040334e-12, (316, 2) = -0.6387882066874401e-13, (316, 3) = 0.1358015521639332e-12, (317, 1) = 0.2408972278988918e-12, (317, 2) = -0.6349091193986723e-13, (317, 3) = 0.12979273444826322e-12, (318, 1) = 0.24413222776084026e-12, (318, 2) = -0.6322595649404467e-13, (318, 3) = 0.13006775212855125e-12, (319, 1) = 0.2404022424093365e-12, (319, 2) = -0.559918433081454e-13, (319, 3) = 0.1297431725074223e-12, (320, 1) = 0.2436416850911428e-12, (320, 2) = -0.5684932525917179e-13, (320, 3) = 0.12750147700018351e-12, (321, 1) = 0.24284373808822517e-12, (321, 2) = -0.6002187248906203e-13, (321, 3) = 0.12972726770984396e-12, (322, 1) = 0.2414169268840798e-12, (322, 2) = -0.5911769433126337e-13, (322, 3) = 0.12280137933605018e-12, (323, 1) = 0.24094727651071134e-12, (323, 2) = -0.6173690396707514e-13, (323, 3) = 0.12813504951941863e-12, (324, 1) = 0.24111754996486627e-12, (324, 2) = -0.5900433020381315e-13, (324, 3) = 0.127327953374659e-12, (325, 1) = 0.2444283086061669e-12, (325, 2) = -0.6377122838525634e-13, (325, 3) = 0.12828683892905495e-12, (326, 1) = 0.23872372021554846e-12, (326, 2) = -0.6200258582154124e-13, (326, 3) = 0.12359842822234894e-12, (327, 1) = 0.2425767724376089e-12, (327, 2) = -0.5730789201852643e-13, (327, 3) = 0.12327793304675382e-12, (328, 1) = 0.24078486277335077e-12, (328, 2) = -0.5588815090592967e-13, (328, 3) = 0.1247872556281289e-12, (329, 1) = 0.2381816292220266e-12, (329, 2) = -0.5844312627003909e-13, (329, 3) = 0.12672256641696249e-12, (330, 1) = 0.23982735438349687e-12, (330, 2) = -0.5195014008992264e-13, (330, 3) = 0.12310538252608203e-12, (331, 1) = 0.24103552460368814e-12, (331, 2) = -0.6260423616865094e-13, (331, 3) = 0.1296426079599553e-12, (332, 1) = 0.24035484385813155e-12, (332, 2) = -0.5392733584030267e-13, (332, 3) = 0.12632552145051836e-12, (333, 1) = 0.2421198261140578e-12, (333, 2) = -0.6354868960961821e-13, (333, 3) = 0.12323252441146636e-12, (334, 1) = 0.24228857654926805e-12, (334, 2) = -0.6583122657217493e-13, (334, 3) = 0.12597723019771494e-12, (335, 1) = 0.24123968704893116e-12, (335, 2) = -0.6589328655417755e-13, (335, 3) = 0.12258118840694099e-12, (336, 1) = 0.241425887032584e-12, (336, 2) = -0.6233333803902604e-13, (336, 3) = 0.1252675091873466e-12, (337, 1) = 0.2401275926154246e-12, (337, 2) = -0.5733866345649666e-13, (337, 3) = 0.12099120636706972e-12, (338, 1) = 0.240009030850993e-12, (338, 2) = -0.6615938980253938e-13, (338, 3) = 0.12184270637355032e-12, (339, 1) = 0.2404257160650256e-12, (339, 2) = -0.5845596308875185e-13, (339, 3) = 0.11858050385649322e-12, (340, 1) = 0.2418740796443201e-12, (340, 2) = -0.5724135792041143e-13, (340, 3) = 0.12124665736224864e-12, (341, 1) = 0.2421385735443035e-12, (341, 2) = -0.5766334061025603e-13, (341, 3) = 0.11909876138665416e-12, (342, 1) = 0.24185709205713664e-12, (342, 2) = -0.5772538102692832e-13, (342, 3) = 0.12380562274815131e-12, (343, 1) = 0.2412109847307176e-12, (343, 2) = -0.55481387816254154e-13, (343, 3) = 0.1200990918461073e-12, (344, 1) = 0.2393638088092435e-12, (344, 2) = -0.5760024535523341e-13, (344, 3) = 0.1249332566760693e-12, (345, 1) = 0.23905632984370566e-12, (345, 2) = -0.6309330877512132e-13, (345, 3) = 0.12336079465244854e-12, (346, 1) = 0.2397088037335161e-12, (346, 2) = -0.5742951069139699e-13, (346, 3) = 0.12007840011478735e-12, (347, 1) = 0.23972758522516724e-12, (347, 2) = -0.5670022335174499e-13, (347, 3) = 0.11580882098038255e-12, (348, 1) = 0.23660723235524356e-12, (348, 2) = -0.5427015227256137e-13, (348, 3) = 0.12542140605041119e-12, (349, 1) = 0.2388854304714937e-12, (349, 2) = -0.5211894133764604e-13, (349, 3) = 0.12249414955270891e-12, (350, 1) = 0.23942043036004e-12, (350, 2) = -0.5817959608993702e-13, (350, 3) = 0.12397392384375715e-12, (351, 1) = 0.23743910589623164e-12, (351, 2) = -0.5708310905994308e-13, (351, 3) = 0.118219575347836e-12, (352, 1) = 0.2415425636965284e-12, (352, 2) = -0.6361745723100983e-13, (352, 3) = 0.1192359670480112e-12, (353, 1) = 0.2400705233321519e-12, (353, 2) = -0.5103884005469765e-13, (353, 3) = 0.12130511473126924e-12, (354, 1) = 0.2407402602658795e-12, (354, 2) = -0.5857199129209973e-13, (354, 3) = 0.12024593318250466e-12, (355, 1) = 0.23891270608070094e-12, (355, 2) = -0.5799334997314522e-13, (355, 3) = 0.11931232074101076e-12, (356, 1) = 0.23946851197464745e-12, (356, 2) = -0.5953652430848917e-13, (356, 3) = 0.11936788506955973e-12, (357, 1) = 0.2371160520202739e-12, (357, 2) = -0.6017709767762136e-13, (357, 3) = 0.12408586968062092e-12, (358, 1) = 0.23841563592740466e-12, (358, 2) = -0.5684733484939259e-13, (358, 3) = 0.11581430464402503e-12, (359, 1) = 0.24071324517240153e-12, (359, 2) = -0.617843837742707e-13, (359, 3) = 0.1222996109712299e-12, (360, 1) = 0.23623048504951553e-12, (360, 2) = -0.54775782794889977e-13, (360, 3) = 0.11691806952478742e-12, (361, 1) = 0.2372264667676868e-12, (361, 2) = -0.5438710502971617e-13, (361, 3) = 0.11816214213854624e-12, (362, 1) = 0.23881044365807135e-12, (362, 2) = -0.4969627228645679e-13, (362, 3) = 0.12303736921086682e-12, (363, 1) = 0.239822747615841e-12, (363, 2) = -0.6377887501585027e-13, (363, 3) = 0.11303951281054948e-12, (364, 1) = 0.23603964955205173e-12, (364, 2) = -0.5786356995121355e-13, (364, 3) = 0.1180384034539282e-12, (365, 1) = 0.24074874478732906e-12, (365, 2) = -0.5656860362236832e-13, (365, 3) = 0.1149918522907131e-12, (366, 1) = 0.24050290119735973e-12, (366, 2) = -0.5562826017977558e-13, (366, 3) = 0.11975154608595232e-12, (367, 1) = 0.24045397415280713e-12, (367, 2) = -0.55496138629429016e-13, (367, 3) = 0.12125843346660088e-12, (368, 1) = 0.23470801627422695e-12, (368, 2) = -0.6191420953647525e-13, (368, 3) = 0.1215779039186545e-12, (369, 1) = 0.2384435329974179e-12, (369, 2) = -0.545830140900356e-13, (369, 3) = 0.11976826042146484e-12, (370, 1) = 0.23868336346851573e-12, (370, 2) = -0.5505220330798527e-13, (370, 3) = 0.1174542980230402e-12, (371, 1) = 0.23711727201089627e-12, (371, 2) = -0.5789550404893468e-13, (371, 3) = 0.11830189653991627e-12, (372, 1) = 0.23903059875547656e-12, (372, 2) = -0.598543678490794e-13, (372, 3) = 0.12180933455916604e-12, (373, 1) = 0.2376214276100976e-12, (373, 2) = -0.5726498320336045e-13, (373, 3) = 0.11756565199349706e-12, (374, 1) = 0.23722787258451697e-12, (374, 2) = -0.5880914627183853e-13, (374, 3) = 0.11176827550713992e-12, (375, 1) = 0.2375501515794464e-12, (375, 2) = -0.5420485429114877e-13, (375, 3) = 0.11171993386951872e-12, (376, 1) = 0.23930375423323643e-12, (376, 2) = -0.5746747698104438e-13, (376, 3) = 0.11896572456187489e-12, (377, 1) = 0.24076789169992296e-12, (377, 2) = -0.5885750412048937e-13, (377, 3) = 0.12187552469627027e-12, (378, 1) = 0.23656305671032647e-12, (378, 2) = -0.6057847841052243e-13, (378, 3) = 0.12145933462679144e-12, (379, 1) = 0.23937185103158326e-12, (379, 2) = -0.5873519737610904e-13, (379, 3) = 0.11758953545651749e-12, (380, 1) = 0.2353619027322489e-12, (380, 2) = -0.5790273695754133e-13, (380, 3) = 0.1177756714397963e-12, (381, 1) = 0.23925383893495557e-12, (381, 2) = -0.6183527396023715e-13, (381, 3) = 0.1169804984305577e-12, (382, 1) = 0.23655606202636196e-12, (382, 2) = -0.5843133689924689e-13, (382, 3) = 0.11550902036797302e-12, (383, 1) = 0.2391452378159612e-12, (383, 2) = -0.5931168663980234e-13, (383, 3) = 0.11293905300623835e-12, (384, 1) = 0.2374107726249776e-12, (384, 2) = -0.55934524067150725e-13, (384, 3) = 0.11902843911171841e-12, (385, 1) = 0.2395008021673467e-12, (385, 2) = -0.5020887256224097e-13, (385, 3) = 0.11448679192548574e-12, (386, 1) = 0.23556669035144624e-12, (386, 2) = -0.5263488085106577e-13, (386, 3) = 0.1189003841999327e-12, (387, 1) = 0.2345850070600166e-12, (387, 2) = -0.52600496684197646e-13, (387, 3) = 0.11108912693895111e-12, (388, 1) = 0.2404159753062854e-12, (388, 2) = -0.5810207349354532e-13, (388, 3) = 0.11755333369917054e-12, (389, 1) = 0.2373067547235357e-12, (389, 2) = -0.5202094885882697e-13, (389, 3) = 0.11455187965808958e-12, (390, 1) = 0.23387136989533543e-12, (390, 2) = -0.5327699643447892e-13, (390, 3) = 0.11436882581930753e-12, (391, 1) = 0.23495984422294435e-12, (391, 2) = -0.5330615688768512e-13, (391, 3) = 0.11376918396559862e-12, (392, 1) = 0.23621059564919533e-12, (392, 2) = -0.5244643801651585e-13, (392, 3) = 0.11552137059869054e-12, (393, 1) = 0.236106217579916e-12, (393, 2) = -0.5385699189078367e-13, (393, 3) = 0.11806818769613408e-12, (394, 1) = 0.2353820940134997e-12, (394, 2) = -0.6030242966060386e-13, (394, 3) = 0.11095431045800213e-12, (395, 1) = 0.23649538349838824e-12, (395, 2) = -0.472939129927772e-13, (395, 3) = 0.11115581864255983e-12, (396, 1) = 0.2374694174698116e-12, (396, 2) = -0.54068946001341484e-13, (396, 3) = 0.1161610153910116e-12, (397, 1) = 0.23791191264149987e-12, (397, 2) = -0.55828416488154684e-13, (397, 3) = 0.11426813685025588e-12, (398, 1) = 0.23773233139749727e-12, (398, 2) = -0.6027068893821124e-13, (398, 3) = 0.1141514296153381e-12, (399, 1) = 0.23827214863010185e-12, (399, 2) = -0.527133192375701e-13, (399, 3) = 0.11216358402155171e-12, (400, 1) = 0.2345025732884252e-12, (400, 2) = -0.5512679298678497e-13, (400, 3) = 0.1134286522325504e-12, (401, 1) = 0.23774830778455004e-12, (401, 2) = -0.50898622139047525e-13, (401, 3) = 0.11356454725488648e-12, (402, 1) = 0.23717711006566724e-12, (402, 2) = -0.6028372916201224e-13, (402, 3) = 0.11964148797654934e-12, (403, 1) = 0.2371890775063883e-12, (403, 2) = -0.4674550477638314e-13, (403, 3) = 0.11005878489529539e-12, (404, 1) = 0.23448519460230693e-12, (404, 2) = -0.49790039958868465e-13, (404, 3) = 0.11242519014455948e-12, (405, 1) = 0.2375832790338195e-12, (405, 2) = -0.5610288310033765e-13, (405, 3) = 0.11150484161823622e-12, (406, 1) = 0.23676816978978245e-12, (406, 2) = -0.52480306340854695e-13, (406, 3) = 0.11721762585955766e-12, (407, 1) = 0.23755030831657905e-12, (407, 2) = -0.54427886944415185e-13, (407, 3) = 0.1161155126846555e-12, (408, 1) = 0.23632005796703447e-12, (408, 2) = -0.5769902570578569e-13, (408, 3) = 0.11361265003311625e-12, (409, 1) = 0.23360494662784436e-12, (409, 2) = -0.54717143174459514e-13, (409, 3) = 0.11206566904459923e-12, (410, 1) = 0.23481871804784864e-12, (410, 2) = -0.4791420889059667e-13, (410, 3) = 0.11832243022119435e-12, (411, 1) = 0.2369669381674418e-12, (411, 2) = -0.5786877542240563e-13, (411, 3) = 0.11788932324507297e-12, (412, 1) = 0.23339724662421546e-12, (412, 2) = -0.5863959103725533e-13, (412, 3) = 0.11678423988128987e-12, (413, 1) = 0.2340471932095105e-12, (413, 2) = -0.51725977921958586e-13, (413, 3) = 0.11252084035122889e-12, (414, 1) = 0.23531644481920947e-12, (414, 2) = -0.559305823763606e-13, (414, 3) = 0.1152786625893797e-12, (415, 1) = 0.2371552820691656e-12, (415, 2) = -0.5507344679293319e-13, (415, 3) = 0.11125170826645042e-12, (416, 1) = 0.2337836057996269e-12, (416, 2) = -0.5049509254587681e-13, (416, 3) = 0.11363705944618492e-12, (417, 1) = 0.2361528765238522e-12, (417, 2) = -0.55504993300960174e-13, (417, 3) = 0.1146459955168705e-12, (418, 1) = 0.23768738679073915e-12, (418, 2) = -0.51008887217215394e-13, (418, 3) = 0.11175115223640275e-12, (419, 1) = 0.23637491562751425e-12, (419, 2) = -0.5015482766248448e-13, (419, 3) = 0.11164197345209912e-12, (420, 1) = 0.23457872261892584e-12, (420, 2) = -0.55923527201924826e-13, (420, 3) = 0.11231864541246543e-12, (421, 1) = 0.2374861252114509e-12, (421, 2) = -0.50564828134532727e-13, (421, 3) = 0.1102041450404775e-12, (422, 1) = 0.2339133229829449e-12, (422, 2) = -0.5688248607726586e-13, (422, 3) = 0.11787553672922198e-12, (423, 1) = 0.23389061780589564e-12, (423, 2) = -0.5785419475877349e-13, (423, 3) = 0.11223385626168483e-12, (424, 1) = 0.23482351702306515e-12, (424, 2) = -0.5362804135497011e-13, (424, 3) = 0.11423572194496704e-12, (425, 1) = 0.2354555909444223e-12, (425, 2) = -0.54143470872830614e-13, (425, 3) = 0.1149560810441083e-12, (426, 1) = 0.2335402956245092e-12, (426, 2) = -0.5163937661703349e-13, (426, 3) = 0.10739342049372348e-12, (427, 1) = 0.23076877501203464e-12, (427, 2) = -0.568540537066011e-13, (427, 3) = 0.1140541525357981e-12, (428, 1) = 0.2365494010257713e-12, (428, 2) = -0.5635133350061018e-13, (428, 3) = 0.10890699469792407e-12, (429, 1) = 0.23496401153943746e-12, (429, 2) = -0.5254985738036184e-13, (429, 3) = 0.10919238892076331e-12, (430, 1) = 0.2336528106256973e-12, (430, 2) = -0.54004178835914706e-13, (430, 3) = 0.1184205991246397e-12, (431, 1) = 0.23240593702986197e-12, (431, 2) = -0.53389329572471923e-13, (431, 3) = 0.11509407126876203e-12, (432, 1) = 0.2340291393636964e-12, (432, 2) = -0.4865823431861811e-13, (432, 3) = 0.11363273429222151e-12, (433, 1) = 0.2348611702870361e-12, (433, 2) = -0.5346859033800128e-13, (433, 3) = 0.1159933853707812e-12, (434, 1) = 0.2333784513527428e-12, (434, 2) = -0.47170182409403905e-13, (434, 3) = 0.11357476101553282e-12, (435, 1) = 0.23083107108750225e-12, (435, 2) = -0.6145723155507898e-13, (435, 3) = 0.10938188676787576e-12, (436, 1) = 0.2347694763698251e-12, (436, 2) = -0.52573514958782934e-13, (436, 3) = 0.1093626327005894e-12, (437, 1) = 0.2339435646592107e-12, (437, 2) = -0.5710451842317626e-13, (437, 3) = 0.111672122982852e-12, (438, 1) = 0.2324559517319005e-12, (438, 2) = -0.50850159980096947e-13, (438, 3) = 0.10847960527941663e-12, (439, 1) = 0.23010395425188476e-12, (439, 2) = -0.5268740775546783e-13, (439, 3) = 0.11237942418634657e-12, (440, 1) = 0.23130900233680904e-12, (440, 2) = -0.52196201980927006e-13, (440, 3) = 0.11301765698914435e-12, (441, 1) = 0.23077155058820824e-12, (441, 2) = -0.53583350278371696e-13, (441, 3) = 0.1091794716421572e-12, (442, 1) = 0.2314877668593177e-12, (442, 2) = -0.53964690405159225e-13, (442, 3) = 0.11422663839111617e-12, (443, 1) = 0.2306464035178551e-12, (443, 2) = -0.5005622902380507e-13, (443, 3) = 0.11366236001000271e-12, (444, 1) = 0.2314461639290284e-12, (444, 2) = -0.47721780904380193e-13, (444, 3) = 0.1098162067931063e-12, (445, 1) = 0.23071704158926834e-12, (445, 2) = -0.48055254752452016e-13, (445, 3) = 0.1095179697948542e-12, (446, 1) = 0.2340454484303101e-12, (446, 2) = -0.5582187883699876e-13, (446, 3) = 0.11432024672961503e-12, (447, 1) = 0.2334229082611222e-12, (447, 2) = -0.5124648848505328e-13, (447, 3) = 0.10951310721600062e-12, (448, 1) = 0.23081318116348755e-12, (448, 2) = -0.5488073473734715e-13, (448, 3) = 0.11197290417092653e-12, (449, 1) = 0.2321191440014903e-12, (449, 2) = -0.44529875564232716e-13, (449, 3) = 0.11223371563399519e-12, (450, 1) = 0.23314373514934585e-12, (450, 2) = -0.4850934065985899e-13, (450, 3) = 0.1115512388359133e-12, (451, 1) = 0.2329510873671966e-12, (451, 2) = -0.4858122978992393e-13, (451, 3) = 0.1082537770367827e-12, (452, 1) = 0.22944366047165466e-12, (452, 2) = -0.5401549195918235e-13, (452, 3) = 0.10800369792619699e-12, (453, 1) = 0.23114058793601415e-12, (453, 2) = -0.49557494622042e-13, (453, 3) = 0.11155828975549822e-12, (454, 1) = 0.23345865334676804e-12, (454, 2) = -0.4796585534374354e-13, (454, 3) = 0.1136431485041926e-12, (455, 1) = 0.22993926054606313e-12, (455, 2) = -0.5473018949843703e-13, (455, 3) = 0.10981863062169733e-12, (456, 1) = 0.2327732058086656e-12, (456, 2) = -0.4780374135571439e-13, (456, 3) = 0.1160214703434792e-12, (457, 1) = 0.2312511022661197e-12, (457, 2) = -0.5000341860359584e-13, (457, 3) = 0.11656252969586347e-12, (458, 1) = 0.23113005019524373e-12, (458, 2) = -0.5281343790158953e-13, (458, 3) = 0.11413926002940193e-12, (459, 1) = 0.2306142231124593e-12, (459, 2) = -0.5821072843427625e-13, (459, 3) = 0.11041275782508626e-12, (460, 1) = 0.2307453709255514e-12, (460, 2) = -0.4659376927165697e-13, (460, 3) = 0.1101010862900502e-12, (461, 1) = 0.23346780894153864e-12, (461, 2) = -0.53421121930762645e-13, (461, 3) = 0.1140692013788719e-12, (462, 1) = 0.23238929802133337e-12, (462, 2) = -0.51581929990580703e-13, (462, 3) = 0.10963154208971105e-12, (463, 1) = 0.2312424121311241e-12, (463, 2) = -0.5159441695704143e-13, (463, 3) = 0.11543973782843628e-12, (464, 1) = 0.23079491071481865e-12, (464, 2) = -0.51401490728614415e-13, (464, 3) = 0.11447324299121087e-12, (465, 1) = 0.23554040245740906e-12, (465, 2) = -0.4473402401584265e-13, (465, 3) = 0.10944096752879959e-12, (466, 1) = 0.22843682598865387e-12, (466, 2) = -0.53238540443986474e-13, (466, 3) = 0.10921769355082398e-12, (467, 1) = 0.2335639304943307e-12, (467, 2) = -0.5000722646341112e-13, (467, 3) = 0.11329886391880513e-12, (468, 1) = 0.2327638119970633e-12, (468, 2) = -0.4947332153722494e-13, (468, 3) = 0.11059033647841676e-12, (469, 1) = 0.23011573255972664e-12, (469, 2) = -0.4866576658620474e-13, (469, 3) = 0.10656456797353875e-12, (470, 1) = 0.2323500201882706e-12, (470, 2) = -0.46648996484225505e-13, (470, 3) = 0.11075362150998113e-12, (471, 1) = 0.23009700387394584e-12, (471, 2) = -0.5315748649263537e-13, (471, 3) = 0.11417222769968917e-12, (472, 1) = 0.227568469285379e-12, (472, 2) = -0.5812655110118572e-13, (472, 3) = 0.11414420553880136e-12, (473, 1) = 0.231791355820467e-12, (473, 2) = -0.5001899186223794e-13, (473, 3) = 0.11309673570976401e-12, (474, 1) = 0.23100576728889735e-12, (474, 2) = -0.48180594157910096e-13, (474, 3) = 0.11185598984599984e-12, (475, 1) = 0.2290094283959586e-12, (475, 2) = -0.4494140363484409e-13, (475, 3) = 0.11079223765956646e-12, (476, 1) = 0.2295166342932612e-12, (476, 2) = -0.4878395579238571e-13, (476, 3) = 0.11237021021030951e-12, (477, 1) = 0.23099415633993235e-12, (477, 2) = -0.4799368492493404e-13, (477, 3) = 0.11418859537490376e-12, (478, 1) = 0.23154340315112913e-12, (478, 2) = -0.5407814767602145e-13, (478, 3) = 0.10732807569815088e-12, (479, 1) = 0.2288105726252543e-12, (479, 2) = -0.49226673234091275e-13, (479, 3) = 0.11415692411312686e-12, (480, 1) = 0.2280309321056252e-12, (480, 2) = -0.5178942552190098e-13, (480, 3) = 0.10879720843704738e-12, (481, 1) = 0.22717873797598956e-12, (481, 2) = -0.5239946995872466e-13, (481, 3) = 0.11881348010865354e-12, (482, 1) = 0.22620218576186438e-12, (482, 2) = -0.5444599654238819e-13, (482, 3) = 0.11388528944303215e-12, (483, 1) = 0.22654466401897763e-12, (483, 2) = -0.565217168601605e-13, (483, 3) = 0.11412367766585163e-12, (484, 1) = 0.2299514799448639e-12, (484, 2) = -0.50691602410290645e-13, (484, 3) = 0.10879379140873645e-12, (485, 1) = 0.2280206290267102e-12, (485, 2) = -0.50657389058980756e-13, (485, 3) = 0.1153331285708772e-12, (486, 1) = 0.2289546877697484e-12, (486, 2) = -0.51231540069485715e-13, (486, 3) = 0.11615505668471126e-12, (487, 1) = 0.22854351737057714e-12, (487, 2) = -0.487965220495586e-13, (487, 3) = 0.10956754498861758e-12, (488, 1) = 0.23133701541905197e-12, (488, 2) = -0.48461478118021286e-13, (488, 3) = 0.11491484415870331e-12, (489, 1) = 0.22666088790476322e-12, (489, 2) = -0.54652830191991346e-13, (489, 3) = 0.11666620699654472e-12, (490, 1) = 0.2313219927182265e-12, (490, 2) = -0.5315405547928367e-13, (490, 3) = 0.11617606614029517e-12, (491, 1) = 0.2298089311205195e-12, (491, 2) = -0.4544279760270948e-13, (491, 3) = 0.12004506672446658e-12, (492, 1) = 0.22695496315314179e-12, (492, 2) = -0.46006405131008114e-13, (492, 3) = 0.11239691827964659e-12, (493, 1) = 0.22764514508528056e-12, (493, 2) = -0.463352537035797e-13, (493, 3) = 0.11465673977836646e-12, (494, 1) = 0.2279672013487214e-12, (494, 2) = -0.5504305226799211e-13, (494, 3) = 0.11577205625387667e-12, (495, 1) = 0.22873102953906744e-12, (495, 2) = -0.52534404612045654e-13, (495, 3) = 0.11233618258328768e-12, (496, 1) = 0.22627601418878918e-12, (496, 2) = -0.4763220616180004e-13, (496, 3) = 0.1212998609958744e-12, (497, 1) = 0.2287787924789972e-12, (497, 2) = -0.508475690019183e-13, (497, 3) = 0.11952556478052424e-12, (498, 1) = 0.2273257915618607e-12, (498, 2) = -0.48734312553356287e-13, (498, 3) = 0.11698259040867e-12, (499, 1) = 0.22903629748005796e-12, (499, 2) = -0.5019958785723336e-13, (499, 3) = 0.11759798497670967e-12, (500, 1) = 0.22895399743758544e-12, (500, 2) = -0.5326347089902054e-13, (500, 3) = 0.12034807352902085e-12, (501, 1) = 0.2310841535250731e-12, (501, 2) = -0.5341828132595589e-13, (501, 3) = 0.11257420854531171e-12, (502, 1) = 0.22664701819187065e-12, (502, 2) = -0.50240815288277436e-13, (502, 3) = 0.11724791720618087e-12, (503, 1) = 0.22778615974961127e-12, (503, 2) = -0.5180935967314703e-13, (503, 3) = 0.11740261497151523e-12, (504, 1) = 0.22764631751584455e-12, (504, 2) = -0.55884944850648086e-13, (504, 3) = 0.1174672465591146e-12, (505, 1) = 0.2288935112195495e-12, (505, 2) = -0.4806491772198127e-13, (505, 3) = 0.12007565011296043e-12, (506, 1) = 0.22757906613657985e-12, (506, 2) = -0.52979822252265915e-13, (506, 3) = 0.11569842409488556e-12, (507, 1) = 0.2283912518123962e-12, (507, 2) = -0.5236503142114037e-13, (507, 3) = 0.11513675382290453e-12, (508, 1) = 0.22651610071494673e-12, (508, 2) = -0.44277734609419106e-13, (508, 3) = 0.11752883490946428e-12, (509, 1) = 0.2277524180412672e-12, (509, 2) = -0.4731806388935256e-13, (509, 3) = 0.11558739591046805e-12, (510, 1) = 0.22661907275915143e-12, (510, 2) = -0.5027848869879109e-13, (510, 3) = 0.116673395466765e-12, (511, 1) = 0.2289667214720975e-12, (511, 2) = -0.4765039328951351e-13, (511, 3) = 0.11425664753689713e-12, (512, 1) = 0.22959617517128103e-12, (512, 2) = -0.4939153141214729e-13, (512, 3) = 0.1170984452811848e-12, (513, 1) = 0.23008741412063807e-12, (513, 2) = -0.4683532186005807e-13, (513, 3) = 0.1165611274978881e-12, (514, 1) = 0.2283900108059328e-12, (514, 2) = -0.4882241917151987e-13, (514, 3) = 0.11814669227955382e-12, (515, 1) = 0.22627317688214214e-12, (515, 2) = -0.5351818761376056e-13, (515, 3) = 0.11898531626282e-12, (516, 1) = 0.23044804583661214e-12, (516, 2) = -0.4616521965037464e-13, (516, 3) = 0.1190843568428693e-12, (517, 1) = 0.22622112526818084e-12, (517, 2) = -0.4424919311800689e-13, (517, 3) = 0.11801273418163084e-12, (518, 1) = 0.22746259613680154e-12, (518, 2) = -0.53466109910888106e-13, (518, 3) = 0.1168296948951524e-12, (519, 1) = 0.22734461524644646e-12, (519, 2) = -0.4451330657293059e-13, (519, 3) = 0.12034555933064362e-12, (520, 1) = 0.22835781724766517e-12, (520, 2) = -0.4425205043361009e-13, (520, 3) = 0.11855970699215512e-12, (521, 1) = 0.22701628416689393e-12, (521, 2) = -0.4911357331419931e-13, (521, 3) = 0.1174136943213166e-12, (522, 1) = 0.2276573236169647e-12, (522, 2) = -0.5207763242019787e-13, (522, 3) = 0.12044626147106128e-12, (523, 1) = 0.22846010660893704e-12, (523, 2) = -0.51830880395346596e-13, (523, 3) = 0.12308831800923058e-12, (524, 1) = 0.22600222866437527e-12, (524, 2) = -0.54579935339877135e-13, (524, 3) = 0.11922149367206216e-12, (525, 1) = 0.22823861897794713e-12, (525, 2) = -0.50353142980065015e-13, (525, 3) = 0.11958569620309232e-12, (526, 1) = 0.2288867212073827e-12, (526, 2) = -0.42207125595148446e-13, (526, 3) = 0.12155652020235525e-12, (527, 1) = 0.22739535099342813e-12, (527, 2) = -0.4550954051245635e-13, (527, 3) = 0.11722173531487347e-12, (528, 1) = 0.22822233207479883e-12, (528, 2) = -0.4574935012874453e-13, (528, 3) = 0.12100694096469583e-12, (529, 1) = 0.22846214347415495e-12, (529, 2) = -0.5195703151079249e-13, (529, 3) = 0.12114284688138597e-12, (530, 1) = 0.2291053243934898e-12, (530, 2) = -0.47376732766992006e-13, (530, 3) = 0.12246974035944572e-12, (531, 1) = 0.22336834613964678e-12, (531, 2) = -0.499170811193001e-13, (531, 3) = 0.12217699463333574e-12, (532, 1) = 0.22595231297729978e-12, (532, 2) = -0.45958991700396925e-13, (532, 3) = 0.12200401415200086e-12, (533, 1) = 0.22396738394403684e-12, (533, 2) = -0.4975301406844562e-13, (533, 3) = 0.12252243894214384e-12, (534, 1) = 0.22692774483956533e-12, (534, 2) = -0.4483152067841043e-13, (534, 3) = 0.12359859064046076e-12, (535, 1) = 0.22528291724417542e-12, (535, 2) = -0.43827946488067824e-13, (535, 3) = 0.1240118069995745e-12, (536, 1) = 0.2257427736632452e-12, (536, 2) = -0.4848586204755394e-13, (536, 3) = 0.1234783219884965e-12, (537, 1) = 0.22302396139760393e-12, (537, 2) = -0.53023545754219634e-13, (537, 3) = 0.12154326605207336e-12, (538, 1) = 0.22698362625794557e-12, (538, 2) = -0.4779734265217904e-13, (538, 3) = 0.12404153298534954e-12, (539, 1) = 0.2250925474032432e-12, (539, 2) = -0.477697586415658e-13, (539, 3) = 0.12270657297967798e-12, (540, 1) = 0.22572473917175555e-12, (540, 2) = -0.5010784481905833e-13, (540, 3) = 0.1229362082078411e-12, (541, 1) = 0.22397532527195489e-12, (541, 2) = -0.42925785544407377e-13, (541, 3) = 0.1242142999229026e-12, (542, 1) = 0.2214541931967635e-12, (542, 2) = -0.5005894453501172e-13, (542, 3) = 0.12796679067136124e-12, (543, 1) = 0.22569494831149405e-12, (543, 2) = -0.4843550213912026e-13, (543, 3) = 0.12703127536499882e-12, (544, 1) = 0.22252625691645602e-12, (544, 2) = -0.4599007841643082e-13, (544, 3) = 0.12707792526996091e-12, (545, 1) = 0.2294662804755628e-12, (545, 2) = -0.4857724478873535e-13, (545, 3) = 0.12586238180076124e-12, (546, 1) = 0.2266049719278102e-12, (546, 2) = -0.457031937320031e-13, (546, 3) = 0.12379939021675672e-12, (547, 1) = 0.22657642928894045e-12, (547, 2) = -0.4747896756027844e-13, (547, 3) = 0.12568224817187997e-12, (548, 1) = 0.22298730607409079e-12, (548, 2) = -0.47503193840364844e-13, (548, 3) = 0.12739613307999898e-12, (549, 1) = 0.2294216031271121e-12, (549, 2) = -0.4458659974839e-13, (549, 3) = 0.12602969103675936e-12, (550, 1) = 0.22504200566178935e-12, (550, 2) = -0.44144091977639224e-13, (550, 3) = 0.12633964255163518e-12, (551, 1) = 0.22606116412494498e-12, (551, 2) = -0.4385072643154928e-13, (551, 3) = 0.125475144295636e-12, (552, 1) = 0.2208984526992458e-12, (552, 2) = -0.50034596774958085e-13, (552, 3) = 0.12874519896004259e-12, (553, 1) = 0.22319375647582998e-12, (553, 2) = -0.4623867584187574e-13, (553, 3) = 0.13050713909326232e-12, (554, 1) = 0.2232859704501732e-12, (554, 2) = -0.4356086253979941e-13, (554, 3) = 0.13138923163334888e-12, (555, 1) = 0.2227078105304769e-12, (555, 2) = -0.4875561573171113e-13, (555, 3) = 0.12860711258168734e-12, (556, 1) = 0.2190981907756884e-12, (556, 2) = -0.4474093927707578e-13, (556, 3) = 0.12694153068894858e-12, (557, 1) = 0.23048119174300985e-12, (557, 2) = -0.4558205791997822e-13, (557, 3) = 0.13222699153668257e-12, (558, 1) = 0.22549311469561052e-12, (558, 2) = -0.4438547068104921e-13, (558, 3) = 0.13156338424860187e-12, (559, 1) = 0.22506949283724035e-12, (559, 2) = -0.48188564914029807e-13, (559, 3) = 0.13207981299898017e-12, (560, 1) = 0.22032761606451537e-12, (560, 2) = -0.46235872552459883e-13, (560, 3) = 0.13214989967978471e-12, (561, 1) = 0.2264944339894921e-12, (561, 2) = -0.5002779366805869e-13, (561, 3) = 0.1332751933261741e-12, (562, 1) = 0.2221270472400274e-12, (562, 2) = -0.410743902710138e-13, (562, 3) = 0.13015752506490678e-12, (563, 1) = 0.22929233758259584e-12, (563, 2) = -0.4686373817075945e-13, (563, 3) = 0.13419322355168374e-12, (564, 1) = 0.2300157314961048e-12, (564, 2) = -0.44324025727836735e-13, (564, 3) = 0.1313622551992469e-12, (565, 1) = 0.2254258162345105e-12, (565, 2) = -0.4568086745532288e-13, (565, 3) = 0.1343650515174201e-12, (566, 1) = 0.22473322742952555e-12, (566, 2) = -0.4860137363728237e-13, (566, 3) = 0.1374346923250691e-12, (567, 1) = 0.22094634246282787e-12, (567, 2) = -0.4639329957535705e-13, (567, 3) = 0.13746506270905263e-12, (568, 1) = 0.22392390327380025e-12, (568, 2) = -0.5373361304831559e-13, (568, 3) = 0.13432936123307621e-12, (569, 1) = 0.21660000524974324e-12, (569, 2) = -0.42841099227508465e-13, (569, 3) = 0.13807186422474496e-12, (570, 1) = 0.21625597760300524e-12, (570, 2) = -0.4021167344855287e-13, (570, 3) = 0.13336890086421238e-12, (571, 1) = 0.2241196948020629e-12, (571, 2) = -0.4666244073379579e-13, (571, 3) = 0.13369378515992114e-12, (572, 1) = 0.22003383058075582e-12, (572, 2) = -0.4846268221106163e-13, (572, 3) = 0.1373464900533295e-12, (573, 1) = 0.22390835104882262e-12, (573, 2) = -0.4848633069276629e-13, (573, 3) = 0.14114898973001366e-12, (574, 1) = 0.2287950819004711e-12, (574, 2) = -0.44292306240831644e-13, (574, 3) = 0.13848427903653663e-12, (575, 1) = 0.2212048220110033e-12, (575, 2) = -0.4372832073410767e-13, (575, 3) = 0.13683054893423309e-12, (576, 1) = 0.2228853209008067e-12, (576, 2) = -0.4620355102745409e-13, (576, 3) = 0.13858772894332545e-12, (577, 1) = 0.22207084462571885e-12, (577, 2) = -0.5027704139509894e-13, (577, 3) = 0.1388819631798925e-12, (578, 1) = 0.22286983232856182e-12, (578, 2) = -0.4142982065344466e-13, (578, 3) = 0.14146648443566814e-12, (579, 1) = 0.22064552055649356e-12, (579, 2) = -0.4113627560849588e-13, (579, 3) = 0.14250454142220306e-12, (580, 1) = 0.2294325361291249e-12, (580, 2) = -0.5243976200622718e-13, (580, 3) = 0.1422127871151166e-12, (581, 1) = 0.22350869011697933e-12, (581, 2) = -0.4806792092073815e-13, (581, 3) = 0.1449382344591751e-12, (582, 1) = 0.21772672057219063e-12, (582, 2) = -0.4127119710989359e-13, (582, 3) = 0.14583203051577258e-12, (583, 1) = 0.22571449947142849e-12, (583, 2) = -0.407839085541773e-13, (583, 3) = 0.14542445623238265e-12, (584, 1) = 0.2252809758299032e-12, (584, 2) = -0.4591504265689688e-13, (584, 3) = 0.1445706836448743e-12, (585, 1) = 0.22239915894134674e-12, (585, 2) = -0.4647310365266033e-13, (585, 3) = 0.15087895277967742e-12, (586, 1) = 0.22031312310284083e-12, (586, 2) = -0.4254203326753703e-13, (586, 3) = 0.14962237423936724e-12, (587, 1) = 0.21946098253924653e-12, (587, 2) = -0.5002228581381222e-13, (587, 3) = 0.14312473362794237e-12, (588, 1) = 0.2225504733745168e-12, (588, 2) = -0.4679786185581336e-13, (588, 3) = 0.14804088627954855e-12, (589, 1) = 0.2210518808390902e-12, (589, 2) = -0.4742429915051486e-13, (589, 3) = 0.1440281127555716e-12, (590, 1) = 0.21814915318673787e-12, (590, 2) = -0.5097484398516323e-13, (590, 3) = 0.14937368374322516e-12, (591, 1) = 0.2278238176735952e-12, (591, 2) = -0.4877755999937086e-13, (591, 3) = 0.14815401067722588e-12, (592, 1) = 0.22176304092116986e-12, (592, 2) = -0.4509130401330893e-13, (592, 3) = 0.14901789551057735e-12, (593, 1) = 0.22175208061914584e-12, (593, 2) = -0.3847329786163314e-13, (593, 3) = 0.15242305609365213e-12, (594, 1) = 0.22095117560524428e-12, (594, 2) = -0.4632763795694509e-13, (594, 3) = 0.1479774720252359e-12, (595, 1) = 0.22473407548317662e-12, (595, 2) = -0.38170885587775024e-13, (595, 3) = 0.15359069471861353e-12, (596, 1) = 0.2217696152857638e-12, (596, 2) = -0.4820512942388602e-13, (596, 3) = 0.152442506472694e-12, (597, 1) = 0.2213706025598709e-12, (597, 2) = -0.4381640713384648e-13, (597, 3) = 0.15337876514884582e-12, (598, 1) = 0.22094409286659317e-12, (598, 2) = -0.4443116386603141e-13, (598, 3) = 0.15605321751310974e-12, (599, 1) = 0.22174027978672296e-12, (599, 2) = -0.44226032145267555e-13, (599, 3) = 0.15628961222898333e-12, (600, 1) = 0.21908375579199587e-12, (600, 2) = -0.50062012498740496e-13, (600, 3) = 0.15779957909644003e-12, (601, 1) = 0.21584270823532398e-12, (601, 2) = -0.4126645055176445e-13, (601, 3) = 0.16000458701708977e-12, (602, 1) = 0.22645284179999793e-12, (602, 2) = -0.4475382600492977e-13, (602, 3) = 0.15550231613116175e-12, (603, 1) = 0.2222096008526445e-12, (603, 2) = -0.4573575754759336e-13, (603, 3) = 0.15956246884151942e-12, (604, 1) = 0.22281923030713279e-12, (604, 2) = -0.5057848397470466e-13, (604, 3) = 0.16020244207902795e-12, (605, 1) = 0.21876555422907126e-12, (605, 2) = -0.4060508007085992e-13, (605, 3) = 0.16216537481468126e-12, (606, 1) = 0.22477410625404115e-12, (606, 2) = -0.4305627305357372e-13, (606, 3) = 0.16333048465965567e-12, (607, 1) = 0.22354624536626648e-12, (607, 2) = -0.49517335486444255e-13, (607, 3) = 0.16124342013221528e-12, (608, 1) = 0.21848949546595937e-12, (608, 2) = -0.4579297830913245e-13, (608, 3) = 0.1643248260821727e-12, (609, 1) = 0.22049136291298363e-12, (609, 2) = -0.4426395777517162e-13, (609, 3) = 0.1666287732722129e-12, (610, 1) = 0.22008706294532674e-12, (610, 2) = -0.5012371539348817e-13, (610, 3) = 0.1689023139410585e-12, (611, 1) = 0.2175527140127889e-12, (611, 2) = -0.42268675236565746e-13, (611, 3) = 0.1645849138235246e-12, (612, 1) = 0.21733679513051608e-12, (612, 2) = -0.3965722519819963e-13, (612, 3) = 0.1697503344081302e-12, (613, 1) = 0.2206133836222608e-12, (613, 2) = -0.44849574806264654e-13, (613, 3) = 0.16768491322253467e-12, (614, 1) = 0.2280302501229934e-12, (614, 2) = -0.4100134220505002e-13, (614, 3) = 0.16918043275381366e-12, (615, 1) = 0.21468108499544586e-12, (615, 2) = -0.5091424638586168e-13, (615, 3) = 0.17350642991717716e-12, (616, 1) = 0.21719718821215093e-12, (616, 2) = -0.34723034276456026e-13, (616, 3) = 0.16925828055322662e-12, (617, 1) = 0.21725602047671221e-12, (617, 2) = -0.39947234163098484e-13, (617, 3) = 0.16991763199922393e-12, (618, 1) = 0.21881497968930557e-12, (618, 2) = -0.4149195997492658e-13, (618, 3) = 0.17279866445862287e-12, (619, 1) = 0.2152197607260469e-12, (619, 2) = -0.5156874845493562e-13, (619, 3) = 0.17716735120750225e-12, (620, 1) = 0.22044708719856728e-12, (620, 2) = -0.45040236400132104e-13, (620, 3) = 0.17644273091045174e-12, (621, 1) = 0.21736147108620434e-12, (621, 2) = -0.4063516063657858e-13, (621, 3) = 0.17308998997225634e-12, (622, 1) = 0.2165227605711237e-12, (622, 2) = -0.4454875680246982e-13, (622, 3) = 0.17598939071822485e-12, (623, 1) = 0.21593931090045185e-12, (623, 2) = -0.38666201581575456e-13, (623, 3) = 0.17907570201873209e-12, (624, 1) = 0.21485017464963117e-12, (624, 2) = -0.39368644039040396e-13, (624, 3) = 0.1780131521208954e-12, (625, 1) = 0.22229190947098157e-12, (625, 2) = -0.40010940682134644e-13, (625, 3) = 0.18047004700884702e-12, (626, 1) = 0.21449680537422027e-12, (626, 2) = -0.409892213579826e-13, (626, 3) = 0.18217067964422343e-12, (627, 1) = 0.2196765635598131e-12, (627, 2) = -0.4042291289594175e-13, (627, 3) = 0.18404115994384753e-12, (628, 1) = 0.2165573929416815e-12, (628, 2) = -0.44084302747179825e-13, (628, 3) = 0.18420728657201986e-12, (629, 1) = 0.21584709347500955e-12, (629, 2) = -0.3567521304305198e-13, (629, 3) = 0.19029122612338947e-12, (630, 1) = 0.22178427558294048e-12, (630, 2) = -0.3803820374576322e-13, (630, 3) = 0.18578781327583035e-12, (631, 1) = 0.22253296591261327e-12, (631, 2) = -0.45727730512483326e-13, (631, 3) = 0.1910094947420775e-12, (632, 1) = 0.22156470495915048e-12, (632, 2) = -0.4323206468395666e-13, (632, 3) = 0.1926217036959414e-12, (633, 1) = 0.21545898398881603e-12, (633, 2) = -0.43502196172266105e-13, (633, 3) = 0.1917340227204097e-12, (634, 1) = 0.21824140026996763e-12, (634, 2) = -0.3622259750330615e-13, (634, 3) = 0.1915049214127798e-12, (635, 1) = 0.2207693535554344e-12, (635, 2) = -0.4360634071215448e-13, (635, 3) = 0.19559173995411757e-12, (636, 1) = 0.22317758301147004e-12, (636, 2) = -0.36874981369164933e-13, (636, 3) = 0.19526704005908315e-12, (637, 1) = 0.21910117908337777e-12, (637, 2) = -0.38962342940030175e-13, (637, 3) = 0.19501359661746953e-12, (638, 1) = 0.2190150600957258e-12, (638, 2) = -0.49656470859698745e-13, (638, 3) = 0.1979103055976426e-12, (639, 1) = 0.22303979580609682e-12, (639, 2) = -0.4048381873552253e-13, (639, 3) = 0.19693633237382464e-12, (640, 1) = 0.22115789827026963e-12, (640, 2) = -0.4440732614090614e-13, (640, 3) = 0.20468176376800823e-12, (641, 1) = 0.21181258596708575e-12, (641, 2) = -0.3305453237964762e-13, (641, 3) = 0.1991271142577703e-12, (642, 1) = 0.21556525704237294e-12, (642, 2) = -0.38568245161724936e-13, (642, 3) = 0.20211901476461548e-12, (643, 1) = 0.2256134589919748e-12, (643, 2) = -0.3964036726234123e-13, (643, 3) = 0.20896190244237065e-12, (644, 1) = 0.2099790858235571e-12, (644, 2) = -0.38304607761861865e-13, (644, 3) = 0.20719114219819486e-12, (645, 1) = 0.21677257840577197e-12, (645, 2) = -0.43593304318373115e-13, (645, 3) = 0.20963884371426775e-12, (646, 1) = 0.2244403087691447e-12, (646, 2) = -0.3928909379613371e-13, (646, 3) = 0.21213853550555956e-12, (647, 1) = 0.21896306365447187e-12, (647, 2) = -0.4100191129141246e-13, (647, 3) = 0.21067019999033815e-12, (648, 1) = 0.22330330247343962e-12, (648, 2) = -0.45943402563459026e-13, (648, 3) = 0.21381950072679636e-12, (649, 1) = 0.21198367747226897e-12, (649, 2) = -0.4114457874413389e-13, (649, 3) = 0.21351897491646003e-12, (650, 1) = 0.21281366102494092e-12, (650, 2) = -0.4025166557690085e-13, (650, 3) = 0.22171372014394738e-12, (651, 1) = 0.22041031853408205e-12, (651, 2) = -0.4655914687868612e-13, (651, 3) = 0.21922300289026707e-12, (652, 1) = 0.2195866733312319e-12, (652, 2) = -0.4462360950522094e-13, (652, 3) = 0.21968728650296607e-12, (653, 1) = 0.21924083498784974e-12, (653, 2) = -0.408683245412626e-13, (653, 3) = 0.22364712913127617e-12, (654, 1) = 0.2127919519122255e-12, (654, 2) = -0.3894245439545303e-13, (654, 3) = 0.22524444309089119e-12, (655, 1) = 0.21213045328627746e-12, (655, 2) = -0.41913502584728387e-13, (655, 3) = 0.2229762397541465e-12, (656, 1) = 0.21713770803512297e-12, (656, 2) = -0.4375893782968666e-13, (656, 3) = 0.228446024445405e-12, (657, 1) = 0.2188890601711166e-12, (657, 2) = -0.4384575735637458e-13, (657, 3) = 0.22853040190068507e-12, (658, 1) = 0.22023973274071896e-12, (658, 2) = -0.4010116141326291e-13, (658, 3) = 0.23020075130852753e-12, (659, 1) = 0.2161703274374175e-12, (659, 2) = -0.3605637014588866e-13, (659, 3) = 0.2354611625367492e-12, (660, 1) = 0.21262056062847236e-12, (660, 2) = -0.3613458097488727e-13, (660, 3) = 0.24106692260962513e-12, (661, 1) = 0.2197875330460057e-12, (661, 2) = -0.44232361433519276e-13, (661, 3) = 0.24001318475405307e-12, (662, 1) = 0.2088544323416023e-12, (662, 2) = -0.37096531739554714e-13, (662, 3) = 0.23915934109132916e-12, (663, 1) = 0.21884451218559575e-12, (663, 2) = -0.390451601035144e-13, (663, 3) = 0.2433409955495569e-12, (664, 1) = 0.21547361842364075e-12, (664, 2) = -0.3872120472265055e-13, (664, 3) = 0.2484153635877697e-12, (665, 1) = 0.21448630454856523e-12, (665, 2) = -0.36112321412018424e-13, (665, 3) = 0.24613813456265654e-12, (666, 1) = 0.22009977452602333e-12, (666, 2) = -0.38932763474932514e-13, (666, 3) = 0.25331478741929273e-12, (667, 1) = 0.2132089732799766e-12, (667, 2) = -0.43223989159075404e-13, (667, 3) = 0.25426592951786664e-12, (668, 1) = 0.21698798170137438e-12, (668, 2) = -0.3580273178303049e-13, (668, 3) = 0.25406898796385987e-12, (669, 1) = 0.21790770453068792e-12, (669, 2) = -0.46857096540533305e-13, (669, 3) = 0.25950269600903863e-12, (670, 1) = 0.21252264344308598e-12, (670, 2) = -0.4529222255222826e-13, (670, 3) = 0.2625233129269032e-12, (671, 1) = 0.2166600849086315e-12, (671, 2) = -0.3573174779912764e-13, (671, 3) = 0.2629650339364714e-12, (672, 1) = 0.20511196095887158e-12, (672, 2) = -0.4433525993274737e-13, (672, 3) = 0.26632793307376367e-12, (673, 1) = 0.2153965809468868e-12, (673, 2) = -0.4456404877829844e-13, (673, 3) = 0.2663933198675058e-12, (674, 1) = 0.21628786080120065e-12, (674, 2) = -0.400709871694335e-13, (674, 3) = 0.2696105588551632e-12, (675, 1) = 0.20954743869164698e-12, (675, 2) = -0.41748776753888503e-13, (675, 3) = 0.2754995281403471e-12, (676, 1) = 0.21425395326415224e-12, (676, 2) = -0.4609562263924798e-13, (676, 3) = 0.27558012996209205e-12, (677, 1) = 0.21710614903357945e-12, (677, 2) = -0.399619990643695e-13, (677, 3) = 0.2763400289205473e-12, (678, 1) = 0.21070407929016506e-12, (678, 2) = -0.3639591902478194e-13, (678, 3) = 0.2839090516261581e-12, (679, 1) = 0.21187357740596897e-12, (679, 2) = -0.42558531718228486e-13, (679, 3) = 0.28459264440840665e-12, (680, 1) = 0.21621481254085042e-12, (680, 2) = -0.4200576425068962e-13, (680, 3) = 0.28738132204879985e-12, (681, 1) = 0.210726667631048e-12, (681, 2) = -0.41936099598559594e-13, (681, 3) = 0.29448580569919393e-12, (682, 1) = 0.21178973597151654e-12, (682, 2) = -0.4031594669420198e-13, (682, 3) = 0.29525599974123677e-12, (683, 1) = 0.20820647030839397e-12, (683, 2) = -0.36620755718112346e-13, (683, 3) = 0.29361857177102086e-12, (684, 1) = 0.21423683591105417e-12, (684, 2) = -0.3771916283006107e-13, (684, 3) = 0.2992939597864038e-12, (685, 1) = 0.21024656852072012e-12, (685, 2) = -0.3560394550092041e-13, (685, 3) = 0.30260426235751464e-12, (686, 1) = 0.21606101938754133e-12, (686, 2) = -0.36019529723365644e-13, (686, 3) = 0.30938358572884126e-12, (687, 1) = 0.20812709652790825e-12, (687, 2) = -0.4792874124345644e-13, (687, 3) = 0.31074375731301594e-12, (688, 1) = 0.2211933029020442e-12, (688, 2) = -0.3814463179590775e-13, (688, 3) = 0.31497161946793723e-12, (689, 1) = 0.21049078177354246e-12, (689, 2) = -0.36868014234988754e-13, (689, 3) = 0.3206559769970469e-12, (690, 1) = 0.21180988373076137e-12, (690, 2) = -0.4285095373259513e-13, (690, 3) = 0.32365252085543015e-12, (691, 1) = 0.21028884108541587e-12, (691, 2) = -0.41356333538370264e-13, (691, 3) = 0.3244976029704365e-12, (692, 1) = 0.2137944574913277e-12, (692, 2) = -0.3994618779971438e-13, (692, 3) = 0.3310200008232885e-12, (693, 1) = 0.2113348477882084e-12, (693, 2) = -0.4584927541453575e-13, (693, 3) = 0.3343682967124306e-12, (694, 1) = 0.21898406443857515e-12, (694, 2) = -0.4052591420486078e-13, (694, 3) = 0.33838030151838537e-12, (695, 1) = 0.21595294418770397e-12, (695, 2) = -0.41451964022920583e-13, (695, 3) = 0.3411804900548763e-12, (696, 1) = 0.20997447726078182e-12, (696, 2) = -0.45528448095777614e-13, (696, 3) = 0.3462065758124523e-12, (697, 1) = 0.20827734120248503e-12, (697, 2) = -0.36066962578035066e-13, (697, 3) = 0.3467578332061184e-12, (698, 1) = 0.2126733158045318e-12, (698, 2) = -0.403675684799229e-13, (698, 3) = 0.3550642049992498e-12, (699, 1) = 0.21517835609034383e-12, (699, 2) = -0.4352660204241252e-13, (699, 3) = 0.35701161508084136e-12, (700, 1) = 0.2106446210560821e-12, (700, 2) = -0.40530155616578817e-13, (700, 3) = 0.364258164690277e-12, (701, 1) = 0.21438941716380317e-12, (701, 2) = -0.39657728115591994e-13, (701, 3) = 0.36752785098140034e-12, (702, 1) = 0.21202683450626928e-12, (702, 2) = -0.3870500620532761e-13, (702, 3) = 0.37451866787863e-12, (703, 1) = 0.21462044330638512e-12, (703, 2) = -0.4698709301214019e-13, (703, 3) = 0.3763837384321621e-12, (704, 1) = 0.2128744487989034e-12, (704, 2) = -0.38442790838459923e-13, (704, 3) = 0.38466968192381594e-12, (705, 1) = 0.20975449606010233e-12, (705, 2) = -0.4211888844649634e-13, (705, 3) = 0.38752855089891873e-12, (706, 1) = 0.21171505094433449e-12, (706, 2) = -0.35131741893752464e-13, (706, 3) = 0.39464428217048084e-12, (707, 1) = 0.20766966457148507e-12, (707, 2) = -0.3647801459119563e-13, (707, 3) = 0.39969790268595845e-12, (708, 1) = 0.21101481362845394e-12, (708, 2) = -0.3688570327903805e-13, (708, 3) = 0.40303522541868187e-12, (709, 1) = 0.2116890639412909e-12, (709, 2) = -0.3943385176083e-13, (709, 3) = 0.4064051509115737e-12, (710, 1) = 0.20992347513166355e-12, (710, 2) = -0.36394104603998473e-13, (710, 3) = 0.4115784614130071e-12, (711, 1) = 0.20717602441417395e-12, (711, 2) = -0.41905573888847495e-13, (711, 3) = 0.4160768444004062e-12, (712, 1) = 0.21477173377812696e-12, (712, 2) = -0.3851067467188571e-13, (712, 3) = 0.42416748366592316e-12, (713, 1) = 0.206389585860977e-12, (713, 2) = -0.3692193147030786e-13, (713, 3) = 0.43331092596304915e-12, (714, 1) = 0.20859688173915188e-12, (714, 2) = -0.41785151948400513e-13, (714, 3) = 0.43805373834799243e-12, (715, 1) = 0.2057534670680336e-12, (715, 2) = -0.4185151297029078e-13, (715, 3) = 0.44692914108505364e-12, (716, 1) = 0.20780416854753042e-12, (716, 2) = -0.4094759457292339e-13, (716, 3) = 0.44977197092188875e-12, (717, 1) = 0.21241852221715333e-12, (717, 2) = -0.43823845367539306e-13, (717, 3) = 0.4607410650298433e-12, (718, 1) = 0.20303020226960092e-12, (718, 2) = -0.3243062223761647e-13, (718, 3) = 0.4653678140063528e-12, (719, 1) = 0.20735597596001904e-12, (719, 2) = -0.3773280104823325e-13, (719, 3) = 0.4682246806598122e-12, (720, 1) = 0.2049649765252359e-12, (720, 2) = -0.41607194818088744e-13, (720, 3) = 0.4761285327789377e-12, (721, 1) = 0.2109865521329305e-12, (721, 2) = -0.36186557056595144e-13, (721, 3) = 0.4816298382485065e-12, (722, 1) = 0.20653036028357547e-12, (722, 2) = -0.3843245269521382e-13, (722, 3) = 0.4914789930852076e-12, (723, 1) = 0.2077036919823938e-12, (723, 2) = -0.3682853426920801e-13, (723, 3) = 0.500463357219655e-12, (724, 1) = 0.20759238306038508e-12, (724, 2) = -0.3832159280701726e-13, (724, 3) = 0.5077160737556268e-12, (725, 1) = 0.21454378328768532e-12, (725, 2) = -0.398613696796469e-13, (725, 3) = 0.5140184137293929e-12, (726, 1) = 0.21203417319603123e-12, (726, 2) = -0.344673993161268e-13, (726, 3) = 0.5235086232039437e-12, (727, 1) = 0.20995117234229144e-12, (727, 2) = -0.43514791858187943e-13, (727, 3) = 0.5329878266341714e-12, (728, 1) = 0.21105807652861926e-12, (728, 2) = -0.3657487918332147e-13, (728, 3) = 0.5395462857815721e-12, (729, 1) = 0.2117029722850398e-12, (729, 2) = -0.3896551723165638e-13, (729, 3) = 0.5484931235665605e-12, (730, 1) = 0.20476568672923756e-12, (730, 2) = -0.32976134164125677e-13, (730, 3) = 0.558013003877472e-12, (731, 1) = 0.21470729615444176e-12, (731, 2) = -0.44757111411757637e-13, (731, 3) = 0.565133741282227e-12, (732, 1) = 0.2038271602029188e-12, (732, 2) = -0.41101518762132563e-13, (732, 3) = 0.5770391637033094e-12, (733, 1) = 0.21163977509405145e-12, (733, 2) = -0.4270109608632123e-13, (733, 3) = 0.5878057887560558e-12, (734, 1) = 0.20819179010256518e-12, (734, 2) = -0.3678207667837903e-13, (734, 3) = 0.5952075263881776e-12, (735, 1) = 0.21028648895471113e-12, (735, 2) = -0.3315882663370768e-13, (735, 3) = 0.6051946617940992e-12, (736, 1) = 0.20521923135667875e-12, (736, 2) = -0.41731030176848516e-13, (736, 3) = 0.6190622699973915e-12, (737, 1) = 0.2121528743671596e-12, (737, 2) = -0.3738022222358239e-13, (737, 3) = 0.6249114178395507e-12, (738, 1) = 0.20750803533846232e-12, (738, 2) = -0.33897595338262455e-13, (738, 3) = 0.6335310693030387e-12, (739, 1) = 0.2038067664425104e-12, (739, 2) = -0.4092076037331906e-13, (739, 3) = 0.5929317035439242e-12, (740, 1) = 0.2108137703096338e-12, (740, 2) = -0.38636850249908704e-13, (740, 3) = 0.5646344218723458e-12, (741, 1) = 0.2155156505877821e-12, (741, 2) = -0.3392515973798446e-13, (741, 3) = 0.530903692154074e-12, (742, 1) = 0.20800764794818374e-12, (742, 2) = -0.3493645019979264e-13, (742, 3) = 0.5110610989018319e-12, (743, 1) = 0.20277381072120922e-12, (743, 2) = -0.39638319587784964e-13, (743, 3) = 0.4853099702387256e-12, (744, 1) = 0.2037532050974727e-12, (744, 2) = -0.3804127291288205e-13, (744, 3) = 0.469673451926723e-12, (745, 1) = 0.20508030570656732e-12, (745, 2) = -0.3830407066798327e-13, (745, 3) = 0.4507740362709381e-12, (746, 1) = 0.20678443245905284e-12, (746, 2) = -0.3227423847913634e-13, (746, 3) = 0.44494369139354897e-12, (747, 1) = 0.2058458783438848e-12, (747, 2) = -0.38589891722587896e-13, (747, 3) = 0.4258958711134698e-12, (748, 1) = 0.20788734591035665e-12, (748, 2) = -0.37912563972419654e-13, (748, 3) = 0.4196177083673213e-12, (749, 1) = 0.2036584768209322e-12, (749, 2) = -0.3459678493753352e-13, (749, 3) = 0.410049090947455e-12, (750, 1) = 0.20914785092993523e-12, (750, 2) = -0.30197141855504433e-13, (750, 3) = 0.4037486385873828e-12, (751, 1) = 0.20135147263476078e-12, (751, 2) = -0.29483923615412674e-13, (751, 3) = 0.39685092153666727e-12, (752, 1) = 0.2088394270563248e-12, (752, 2) = -0.3335753043189554e-13, (752, 3) = 0.3931771021343976e-12, (753, 1) = 0.20830096127224724e-12, (753, 2) = -0.36537955611844945e-13, (753, 3) = 0.38175139698843134e-12, (754, 1) = 0.2062118451813244e-12, (754, 2) = -0.4064015234745696e-13, (754, 3) = 0.376116909680474e-12, (755, 1) = 0.20031046159181034e-12, (755, 2) = -0.3742739635980149e-13, (755, 3) = 0.37385723567141735e-12, (756, 1) = 0.20195934157170183e-12, (756, 2) = -0.40534853323094514e-13, (756, 3) = 0.37347130713716344e-12, (757, 1) = 0.20266595661722295e-12, (757, 2) = -0.38347955063474536e-13, (757, 3) = 0.36732852562033363e-12, (758, 1) = 0.20938314901953994e-12, (758, 2) = -0.3401986781116223e-13, (758, 3) = 0.3674017046247007e-12, (759, 1) = 0.2064797472069917e-12, (759, 2) = -0.3366048229955671e-13, (759, 3) = 0.36288659863593215e-12, (760, 1) = 0.2021319071244401e-12, (760, 2) = -0.4020043940608149e-13, (760, 3) = 0.36333476219382715e-12, (761, 1) = 0.19715980527312073e-12, (761, 2) = -0.3582619474762689e-13, (761, 3) = 0.35664997200748843e-12, (762, 1) = 0.20734749660755628e-12, (762, 2) = -0.3570315646671801e-13, (762, 3) = 0.3553220165896957e-12, (763, 1) = 0.20114261932964594e-12, (763, 2) = -0.4071577038634275e-13, (763, 3) = 0.35509254548304406e-12, (764, 1) = 0.2035779386288586e-12, (764, 2) = -0.3551777644484064e-13, (764, 3) = 0.35293264461580254e-12, (765, 1) = 0.20323981049468056e-12, (765, 2) = -0.342125707220916e-13, (765, 3) = 0.35103438873760096e-12, (766, 1) = 0.21161673938600898e-12, (766, 2) = -0.31922630031685e-13, (766, 3) = 0.3502346534039826e-12, (767, 1) = 0.2010662734833309e-12, (767, 2) = -0.3128777833340692e-13, (767, 3) = 0.3519253783262498e-12, (768, 1) = 0.20363402416572632e-12, (768, 2) = -0.3817681515589307e-13, (768, 3) = 0.3502285588509011e-12, (769, 1) = 0.2052014402827006e-12, (769, 2) = -0.34276159626578697e-13, (769, 3) = 0.34740599414781707e-12, (770, 1) = 0.19768054456460792e-12, (770, 2) = -0.3065347636062936e-13, (770, 3) = 0.3457111129165216e-12, (771, 1) = 0.20519442233290564e-12, (771, 2) = -0.3238668411757558e-13, (771, 3) = 0.3460479260801492e-12, (772, 1) = 0.20834769139068255e-12, (772, 2) = -0.3893106972447272e-13, (772, 3) = 0.3468972455187017e-12, (773, 1) = 0.20142132162036478e-12, (773, 2) = -0.2921223985962585e-13, (773, 3) = 0.3422433124891632e-12, (774, 1) = 0.2040736522162807e-12, (774, 2) = -0.3404729819131146e-13, (774, 3) = 0.34296085172001987e-12, (775, 1) = 0.20427854921321862e-12, (775, 2) = -0.298945517088794e-13, (775, 3) = 0.3435107113779701e-12, (776, 1) = 0.20476165338802367e-12, (776, 2) = -0.3567848859678719e-13, (776, 3) = 0.344264337963283e-12, (777, 1) = 0.1978782274228133e-12, (777, 2) = -0.38323501935541205e-13, (777, 3) = 0.34658147749191074e-12, (778, 1) = 0.21013202797659092e-12, (778, 2) = -0.32634733484641356e-13, (778, 3) = 0.3447731068734936e-12, (779, 1) = 0.2073821050919426e-12, (779, 2) = -0.3914050923946365e-13, (779, 3) = 0.34405294018135115e-12, (780, 1) = 0.20341153686051064e-12, (780, 2) = -0.3652537666735373e-13, (780, 3) = 0.34335156243542305e-12, (781, 1) = 0.20076427080774691e-12, (781, 2) = -0.3658040933984621e-13, (781, 3) = 0.34371786766147525e-12, (782, 1) = 0.19579859975956485e-12, (782, 2) = -0.3914215991974409e-13, (782, 3) = 0.34173387712119357e-12, (783, 1) = 0.20347856378173396e-12, (783, 2) = -0.33933848697391033e-13, (783, 3) = 0.3420014463694529e-12, (784, 1) = 0.201615249906459e-12, (784, 2) = -0.4103619086080249e-13, (784, 3) = 0.34192531929314243e-12, (785, 1) = 0.2032142021869721e-12, (785, 2) = -0.3060565245358872e-13, (785, 3) = 0.3419450640308432e-12, (786, 1) = 0.19959187968301072e-12, (786, 2) = -0.33552412265724585e-13, (786, 3) = 0.34309727928724123e-12, (787, 1) = 0.19926777445937282e-12, (787, 2) = -0.24169801330936995e-13, (787, 3) = 0.34281749477131165e-12, (788, 1) = 0.20207384022808542e-12, (788, 2) = -0.32650754720350956e-13, (788, 3) = 0.34232546613432987e-12, (789, 1) = 0.20387460655767943e-12, (789, 2) = -0.3503865433499607e-13, (789, 3) = 0.3426508852884298e-12, (790, 1) = 0.20744911285017084e-12, (790, 2) = -0.340106471042306e-13, (790, 3) = 0.3438000097512348e-12, (791, 1) = 0.20504642821168024e-12, (791, 2) = -0.2759637765669029e-13, (791, 3) = 0.34400946777095835e-12, (792, 1) = 0.2041018216893307e-12, (792, 2) = -0.350670644319605e-13, (792, 3) = 0.3443771092766612e-12, (793, 1) = 0.1965497583477491e-12, (793, 2) = -0.3806749549596312e-13, (793, 3) = 0.3455259812818135e-12, (794, 1) = 0.1976345857203948e-12, (794, 2) = -0.3490218428941571e-13, (794, 3) = 0.3462501515458136e-12, (795, 1) = 0.20365080983501555e-12, (795, 2) = -0.308982651422388e-13, (795, 3) = 0.34364298936392685e-12, (796, 1) = 0.19784618054106696e-12, (796, 2) = -0.3088809696337006e-13, (796, 3) = 0.34483546814513087e-12, (797, 1) = 0.20113567169432472e-12, (797, 2) = -0.3174972316840091e-13, (797, 3) = 0.3474677389630283e-12, (798, 1) = 0.2056903977123843e-12, (798, 2) = -0.3260328280464838e-13, (798, 3) = 0.34583632433449646e-12, (799, 1) = 0.20428531019677907e-12, (799, 2) = -0.32357097020356e-13, (799, 3) = 0.348469791263095e-12, (800, 1) = 0.20137165953986936e-12, (800, 2) = -0.2820742745512183e-13, (800, 3) = 0.34824255948006396e-12, (801, 1) = 0.20854280718493615e-12, (801, 2) = -0.25148041973742908e-13, (801, 3) = 0.34787554558984575e-12, (802, 1) = 0.19307590436871934e-12, (802, 2) = -0.30004452999300663e-13, (802, 3) = 0.3492509270904755e-12, (803, 1) = 0.20173489190572432e-12, (803, 2) = -0.3631485886777097e-13, (803, 3) = 0.3507209685510789e-12, (804, 1) = 0.19953968748988943e-12, (804, 2) = -0.3288414950193984e-13, (804, 3) = 0.34927093879890764e-12, (805, 1) = 0.2057525738941833e-12, (805, 2) = -0.3439993464371339e-13, (805, 3) = 0.3506477048227405e-12, (806, 1) = 0.20113562870152387e-12, (806, 2) = -0.37592205757931867e-13, (806, 3) = 0.34982500447374397e-12, (807, 1) = 0.19474219079870913e-12, (807, 2) = -0.2753153010509842e-13, (807, 3) = 0.3526288266869784e-12, (808, 1) = 0.1994559117400757e-12, (808, 2) = -0.3707689713937404e-13, (808, 3) = 0.35242649379115e-12, (809, 1) = 0.19569833867115622e-12, (809, 2) = -0.3693097638423182e-13, (809, 3) = 0.3549441736327757e-12, (810, 1) = 0.19347692209141256e-12, (810, 2) = -0.32993626054002884e-13, (810, 3) = 0.35378101589752836e-12, (811, 1) = 0.19899228718435567e-12, (811, 2) = -0.33697719552091863e-13, (811, 3) = 0.3567512783653657e-12, (812, 1) = 0.19802448381174787e-12, (812, 2) = -0.30178050192679505e-13, (812, 3) = 0.35608168253796974e-12, (813, 1) = 0.19585112559477347e-12, (813, 2) = -0.3057396093139538e-13, (813, 3) = 0.3586081504538014e-12, (814, 1) = 0.20059052346861036e-12, (814, 2) = -0.29376884399223625e-13, (814, 3) = 0.3592692953648572e-12, (815, 1) = 0.19865843064522817e-12, (815, 2) = -0.3702335431022438e-13, (815, 3) = 0.35934142285809333e-12, (816, 1) = 0.19750917239595689e-12, (816, 2) = -0.3061713638869318e-13, (816, 3) = 0.3604931794990822e-12, (817, 1) = 0.19423199125458124e-12, (817, 2) = -0.33025482315526595e-13, (817, 3) = 0.3597719647997012e-12, (818, 1) = 0.19513580247953193e-12, (818, 2) = -0.33422137111298787e-13, (818, 3) = 0.36257358910455796e-12, (819, 1) = 0.2007010493248361e-12, (819, 2) = -0.34115445188107786e-13, (819, 3) = 0.36079488048093005e-12, (820, 1) = 0.19642423322087876e-12, (820, 2) = -0.368951588986528e-13, (820, 3) = 0.36548059527104344e-12, (821, 1) = 0.1923264176042201e-12, (821, 2) = -0.3427562493006917e-13, (821, 3) = 0.36309680393816283e-12, (822, 1) = 0.19628211281567475e-12, (822, 2) = -0.3578111302135148e-13, (822, 3) = 0.3676821127010003e-12, (823, 1) = 0.19514617461969313e-12, (823, 2) = -0.37698332974244395e-13, (823, 3) = 0.36562591804496206e-12, (824, 1) = 0.19675956801604557e-12, (824, 2) = -0.360942106512677e-13, (824, 3) = 0.3679130891708207e-12, (825, 1) = 0.19132650129101508e-12, (825, 2) = -0.3244373487052285e-13, (825, 3) = 0.36882499505317493e-12, (826, 1) = 0.19465571760119562e-12, (826, 2) = -0.3045078165182404e-13, (826, 3) = 0.36956798727946494e-12, (827, 1) = 0.19191754346430825e-12, (827, 2) = -0.3296107251645034e-13, (827, 3) = 0.36991668847852867e-12, (828, 1) = 0.1991015593354748e-12, (828, 2) = -0.2946213965760939e-13, (828, 3) = 0.371403343891572e-12, (829, 1) = 0.196945306888455e-12, (829, 2) = -0.3021686118454328e-13, (829, 3) = 0.3782153124844966e-12, (830, 1) = 0.20127256231240143e-12, (830, 2) = -0.3168750990282286e-13, (830, 3) = 0.3746658088526101e-12, (831, 1) = 0.191050423277458e-12, (831, 2) = -0.32029839287387267e-13, (831, 3) = 0.3752745745159779e-12, (832, 1) = 0.1932789257552224e-12, (832, 2) = -0.30869453027600706e-13, (832, 3) = 0.378501651594908e-12, (833, 1) = 0.1900335203240069e-12, (833, 2) = -0.36031956452134113e-13, (833, 3) = 0.3783376950387045e-12, (834, 1) = 0.19602992322810888e-12, (834, 2) = -0.2938665913998865e-13, (834, 3) = 0.38008611521191404e-12, (835, 1) = 0.19548111073416051e-12, (835, 2) = -0.3392409772029476e-13, (835, 3) = 0.3832209497672765e-12, (836, 1) = 0.18735627475419947e-12, (836, 2) = -0.3028829904591e-13, (836, 3) = 0.3831698971608512e-12, (837, 1) = 0.19244525860054283e-12, (837, 2) = -0.304691450393569e-13, (837, 3) = 0.38403116138476974e-12, (838, 1) = 0.18639311008698713e-12, (838, 2) = -0.30484823042765705e-13, (838, 3) = 0.3855681235039915e-12, (839, 1) = 0.19232229855216344e-12, (839, 2) = -0.27705611442113498e-13, (839, 3) = 0.3879451421329141e-12, (840, 1) = 0.19978930165448658e-12, (840, 2) = -0.3167887832283122e-13, (840, 3) = 0.38713147113982544e-12, (841, 1) = 0.19442493939572774e-12, (841, 2) = -0.37872272091253083e-13, (841, 3) = 0.3911888706207745e-12, (842, 1) = 0.19850581775179282e-12, (842, 2) = -0.2851329318822519e-13, (842, 3) = 0.39259868266394894e-12, (843, 1) = 0.18866667140177743e-12, (843, 2) = -0.29915413734518195e-13, (843, 3) = 0.39469233458134177e-12, (844, 1) = 0.19414119114645268e-12, (844, 2) = -0.3312586203608536e-13, (844, 3) = 0.39513063865777505e-12, (845, 1) = 0.19620532517926394e-12, (845, 2) = -0.329198269281594e-13, (845, 3) = 0.3968035101711939e-12, (846, 1) = 0.19124160179923546e-12, (846, 2) = -0.2846827505614758e-13, (846, 3) = 0.39912951819537824e-12, (847, 1) = 0.19315124202634453e-12, (847, 2) = -0.33625655358444944e-13, (847, 3) = 0.40093803222862437e-12, (848, 1) = 0.1947101385692052e-12, (848, 2) = -0.3261604904465496e-13, (848, 3) = 0.4011707512505432e-12, (849, 1) = 0.18160346438865678e-12, (849, 2) = -0.2819835848116553e-13, (849, 3) = 0.4019502343361981e-12, (850, 1) = 0.19595931622055675e-12, (850, 2) = -0.25439289069430187e-13, (850, 3) = 0.40544144531671064e-12, (851, 1) = 0.18826847884968842e-12, (851, 2) = -0.31001466488628695e-13, (851, 3) = 0.40622448295653896e-12, (852, 1) = 0.1827848455520169e-12, (852, 2) = -0.3227311003585139e-13, (852, 3) = 0.4099562016801379e-12, (853, 1) = 0.19411650352348708e-12, (853, 2) = -0.35112702710406594e-13, (853, 3) = 0.4095966772933653e-12, (854, 1) = 0.19530340272638728e-12, (854, 2) = -0.3529386153894343e-13, (854, 3) = 0.4108443404687319e-12, (855, 1) = 0.18952554996187152e-12, (855, 2) = -0.3124547422403273e-13, (855, 3) = 0.4149455532889714e-12, (856, 1) = 0.18718888839129938e-12, (856, 2) = -0.28614974359997354e-13, (856, 3) = 0.4154837360105486e-12, (857, 1) = 0.1861060769360689e-12, (857, 2) = -0.3330077992958437e-13, (857, 3) = 0.4168772306071833e-12, (858, 1) = 0.18929961435366189e-12, (858, 2) = -0.289623124053769e-13, (858, 3) = 0.4216473526238722e-12, (859, 1) = 0.1948961941811484e-12, (859, 2) = -0.2761618775785765e-13, (859, 3) = 0.42204151210343314e-12, (860, 1) = 0.20012191456103172e-12, (860, 2) = -0.29039011894703726e-13, (860, 3) = 0.4254659749729919e-12, (861, 1) = 0.19185994524008463e-12, (861, 2) = -0.2814004800849388e-13, (861, 3) = 0.42525095169900613e-12, (862, 1) = 0.18728616615548458e-12, (862, 2) = -0.3112354605791543e-13, (862, 3) = 0.42654758895861175e-12, (863, 1) = 0.19064835732803183e-12, (863, 2) = -0.325574469650238e-13, (863, 3) = 0.42854650711233355e-12, (864, 1) = 0.19500940173702612e-12, (864, 2) = -0.28537285050102387e-13, (864, 3) = 0.43221295581908704e-12, (865, 1) = 0.199515714383918e-12, (865, 2) = -0.3235376026993567e-13, (865, 3) = 0.4367390913779576e-12, (866, 1) = 0.18265664197147086e-12, (866, 2) = -0.27248851970347e-13, (866, 3) = 0.4376441624916139e-12, (867, 1) = 0.19722913474248116e-12, (867, 2) = -0.32080107362455705e-13, (867, 3) = 0.43895171807770163e-12, (868, 1) = 0.19194067971558176e-12, (868, 2) = -0.2916652855046843e-13, (868, 3) = 0.4403017036024839e-12, (869, 1) = 0.2003194355541553e-12, (869, 2) = -0.28570025637633455e-13, (869, 3) = 0.4439815416740234e-12, (870, 1) = 0.19198552768884746e-12, (870, 2) = -0.2957961132227082e-13, (870, 3) = 0.4454942552064056e-12, (871, 1) = 0.1969209466929069e-12, (871, 2) = -0.3188152477633788e-13, (871, 3) = 0.4474571987839525e-12, (872, 1) = 0.17876497396463196e-12, (872, 2) = -0.22816430502476376e-13, (872, 3) = 0.44918202049675253e-12, (873, 1) = 0.18189065493374067e-12, (873, 2) = -0.2851721403306508e-13, (873, 3) = 0.45194201577918315e-12, (874, 1) = 0.1866936747387847e-12, (874, 2) = -0.3527132735999688e-13, (874, 3) = 0.4556770791812768e-12, (875, 1) = 0.19555169867306652e-12, (875, 2) = -0.27871387357741064e-13, (875, 3) = 0.4607138535725006e-12, (876, 1) = 0.18552169482550496e-12, (876, 2) = -0.2678069389546197e-13, (876, 3) = 0.460909311696532e-12, (877, 1) = 0.18614614743244513e-12, (877, 2) = -0.323274315451732e-13, (877, 3) = 0.465309923522992e-12, (878, 1) = 0.1932563297056393e-12, (878, 2) = -0.326662512415765e-13, (878, 3) = 0.4661815783770111e-12, (879, 1) = 0.17969819331572076e-12, (879, 2) = -0.28110243514614923e-13, (879, 3) = 0.4677495416713658e-12, (880, 1) = 0.1895169647342395e-12, (880, 2) = -0.29697579246775415e-13, (880, 3) = 0.469284446825698e-12, (881, 1) = 0.188687713298962e-12, (881, 2) = -0.2852720545025064e-13, (881, 3) = 0.4729719627979427e-12, (882, 1) = 0.18865265116103735e-12, (882, 2) = -0.28808846706669404e-13, (882, 3) = 0.4777673260183121e-12, (883, 1) = 0.18983592342230358e-12, (883, 2) = -0.28953087561659024e-13, (883, 3) = 0.4795880918361304e-12, (884, 1) = 0.18157387547442834e-12, (884, 2) = -0.3413605652843837e-13, (884, 3) = 0.4828491617073338e-12, (885, 1) = 0.1821712606815408e-12, (885, 2) = -0.27564468868633017e-13, (885, 3) = 0.4868317551005949e-12, (886, 1) = 0.18219331981594417e-12, (886, 2) = -0.2396824611007975e-13, (886, 3) = 0.489202241983345e-12, (887, 1) = 0.18413376726133884e-12, (887, 2) = -0.27479128906943553e-13, (887, 3) = 0.4931363863457783e-12, (888, 1) = 0.17702588181809453e-12, (888, 2) = -0.31044314651413365e-13, (888, 3) = 0.4932884980726043e-12, (889, 1) = 0.1885121315192778e-12, (889, 2) = -0.28785224155256584e-13, (889, 3) = 0.4989356628223636e-12, (890, 1) = 0.18361764009173135e-12, (890, 2) = -0.29201858641161043e-13, (890, 3) = 0.502113018839044e-12, (891, 1) = 0.17996100113770494e-12, (891, 2) = -0.27911791021846396e-13, (891, 3) = 0.5033526467913286e-12, (892, 1) = 0.1831799278425086e-12, (892, 2) = -0.2853179462168907e-13, (892, 3) = 0.5080483230951253e-12, (893, 1) = 0.17016205090473352e-12, (893, 2) = -0.28020857781208084e-13, (893, 3) = 0.5105957730633133e-12, (894, 1) = 0.18740751716379735e-12, (894, 2) = -0.27575862529507703e-13, (894, 3) = 0.5151012493874024e-12, (895, 1) = 0.18374212995168518e-12, (895, 2) = -0.29283395617086207e-13, (895, 3) = 0.5152963208146445e-12, (896, 1) = 0.1811043729887723e-12, (896, 2) = -0.26429399354025346e-13, (896, 3) = 0.5209998834414803e-12, (897, 1) = 0.17641895307581587e-12, (897, 2) = -0.27056997107966436e-13, (897, 3) = 0.5248902740229281e-12, (898, 1) = 0.1773222262121921e-12, (898, 2) = -0.25596350773392795e-13, (898, 3) = 0.5285877621723943e-12, (899, 1) = 0.18028142364444074e-12, (899, 2) = -0.2549233862652915e-13, (899, 3) = 0.5311902681556131e-12, (900, 1) = 0.18588304240542905e-12, (900, 2) = -0.27594441503780273e-13, (900, 3) = 0.5338950442808271e-12, (901, 1) = 0.19058562915537076e-12, (901, 2) = -0.2721543314292527e-13, (901, 3) = 0.5391440846854353e-12, (902, 1) = 0.18487766998681817e-12, (902, 2) = -0.2694341567289444e-13, (902, 3) = 0.5416349187043152e-12, (903, 1) = 0.18322598819527693e-12, (903, 2) = -0.25442938783757106e-13, (903, 3) = 0.5474174488484201e-12, (904, 1) = 0.1842367214030455e-12, (904, 2) = -0.252077115461769e-13, (904, 3) = 0.5495202217880708e-12, (905, 1) = 0.1818331442175075e-12, (905, 2) = -0.2733157860450629e-13, (905, 3) = 0.5549714909668936e-12, (906, 1) = 0.1897927039234151e-12, (906, 2) = -0.26688583739493593e-13, (906, 3) = 0.5589918599814531e-12, (907, 1) = 0.17387222618584834e-12, (907, 2) = -0.28938500188077175e-13, (907, 3) = 0.5627975243288418e-12, (908, 1) = 0.17795397985927714e-12, (908, 2) = -0.24346582929225995e-13, (908, 3) = 0.5681969120564351e-12, (909, 1) = 0.1886509520283369e-12, (909, 2) = -0.28203098883849742e-13, (909, 3) = 0.5691404704734381e-12, (910, 1) = 0.17699711531473346e-12, (910, 2) = -0.24002994361934703e-13, (910, 3) = 0.5755636873742783e-12, (911, 1) = 0.17480334911212856e-12, (911, 2) = -0.27446633802774808e-13, (911, 3) = 0.5792819041107437e-12, (912, 1) = 0.1818431748020541e-12, (912, 2) = -0.275634743417016e-13, (912, 3) = 0.5817428125884439e-12, (913, 1) = 0.1663865370811932e-12, (913, 2) = -0.27967229765555818e-13, (913, 3) = 0.5898504591912964e-12, (914, 1) = 0.18518415976759447e-12, (914, 2) = -0.2512404125021652e-13, (914, 3) = 0.5939861537830028e-12, (915, 1) = 0.18415361122700455e-12, (915, 2) = -0.28376727088547255e-13, (915, 3) = 0.5968356959918066e-12, (916, 1) = 0.18823184874038866e-12, (916, 2) = -0.27855585166259028e-13, (916, 3) = 0.6016083196867594e-12, (917, 1) = 0.17845607235443995e-12, (917, 2) = -0.26307388414368493e-13, (917, 3) = 0.6078057809913198e-12, (918, 1) = 0.17082652389842721e-12, (918, 2) = -0.29300916906344614e-13, (918, 3) = 0.6129045953035457e-12, (919, 1) = 0.18993647461812746e-12, (919, 2) = -0.2584192592526333e-13, (919, 3) = 0.6191466085195833e-12, (920, 1) = 0.1853922734041684e-12, (920, 2) = -0.25047342684851832e-13, (920, 3) = 0.6230674253494338e-12, (921, 1) = 0.17974298533669635e-12, (921, 2) = -0.27953425356451803e-13, (921, 3) = 0.6282475291015922e-12, (922, 1) = 0.1833897327522997e-12, (922, 2) = -0.233971386943806e-13, (922, 3) = 0.6315018047334647e-12, (923, 1) = 0.17137174349265376e-12, (923, 2) = -0.26124863939807895e-13, (923, 3) = 0.637443149220468e-12, (924, 1) = 0.18969722693017868e-12, (924, 2) = -0.2615944813935876e-13, (924, 3) = 0.6438221259713177e-12, (925, 1) = 0.19032804008279158e-12, (925, 2) = -0.2940904576499741e-13, (925, 3) = 0.6496573114785033e-12, (926, 1) = 0.1782859882514194e-12, (926, 2) = -0.25653241421193458e-13, (926, 3) = 0.6541525035143126e-12, (927, 1) = 0.18797639065983752e-12, (927, 2) = -0.25413154430483544e-13, (927, 3) = 0.6599353325339934e-12, (928, 1) = 0.1730369763384879e-12, (928, 2) = -0.26667543162005817e-13, (928, 3) = 0.6657345883327881e-12, (929, 1) = 0.16728985027824702e-12, (929, 2) = -0.25372447158630192e-13, (929, 3) = 0.6739619229106721e-12, (930, 1) = 0.1808268711156907e-12, (930, 2) = -0.2607267764720945e-13, (930, 3) = 0.676310132522783e-12, (931, 1) = 0.18224297006571294e-12, (931, 2) = -0.2685132551166893e-13, (931, 3) = 0.6843515424034323e-12, (932, 1) = 0.17642088980047872e-12, (932, 2) = -0.26565433436024803e-13, (932, 3) = 0.689163884810432e-12, (933, 1) = 0.1731320875720852e-12, (933, 2) = -0.25476946069947353e-13, (933, 3) = 0.6958668664817741e-12, (934, 1) = 0.18381324856989265e-12, (934, 2) = -0.22226261987830364e-13, (934, 3) = 0.7057341056353635e-12, (935, 1) = 0.17094067039460066e-12, (935, 2) = -0.28409026524761704e-13, (935, 3) = 0.7100650930411556e-12, (936, 1) = 0.1725914253344015e-12, (936, 2) = -0.22033275345922814e-13, (936, 3) = 0.7166800608393187e-12, (937, 1) = 0.17760731324777453e-12, (937, 2) = -0.23803952408502537e-13, (937, 3) = 0.724466644162229e-12, (938, 1) = 0.17045416539154352e-12, (938, 2) = -0.25144497639281968e-13, (938, 3) = 0.7314206725328056e-12, (939, 1) = 0.18079052142306583e-12, (939, 2) = -0.25607011444356253e-13, (939, 3) = 0.7360258087154677e-12, (940, 1) = 0.17654963272987885e-12, (940, 2) = -0.2456328542286411e-13, (940, 3) = 0.7440769209901498e-12, (941, 1) = 0.17294991650223182e-12, (941, 2) = -0.26198391182739872e-13, (941, 3) = 0.7526905696431315e-12, (942, 1) = 0.1753599150256404e-12, (942, 2) = -0.2294362113524267e-13, (942, 3) = 0.7605903652014279e-12, (943, 1) = 0.17212250140187137e-12, (943, 2) = -0.25352471049849636e-13, (943, 3) = 0.7677930055251987e-12, (944, 1) = 0.16490800493942376e-12, (944, 2) = -0.26199977543754794e-13, (944, 3) = 0.7734106491672226e-12, (945, 1) = 0.1743224112662821e-12, (945, 2) = -0.2607240522788848e-13, (945, 3) = 0.7804853293956238e-12, (946, 1) = 0.179318781225017e-12, (946, 2) = -0.23045812442269947e-13, (946, 3) = 0.790880394336034e-12, (947, 1) = 0.18569424576034935e-12, (947, 2) = -0.23829360265834336e-13, (947, 3) = 0.7969621490058126e-12, (948, 1) = 0.16527238277140396e-12, (948, 2) = -0.2514763855656993e-13, (948, 3) = 0.8067689603498004e-12, (949, 1) = 0.16920101368325117e-12, (949, 2) = -0.27734011787830217e-13, (949, 3) = 0.8143701459514813e-12, (950, 1) = 0.17871974037528319e-12, (950, 2) = -0.25688956925927606e-13, (950, 3) = 0.8232305444877602e-12, (951, 1) = 0.17603117764096604e-12, (951, 2) = -0.2425025875547975e-13, (951, 3) = 0.8333124657017928e-12, (952, 1) = 0.17156516196406204e-12, (952, 2) = -0.25864850212148932e-13, (952, 3) = 0.8432425777123152e-12, (953, 1) = 0.17904821248362666e-12, (953, 2) = -0.23256206800948717e-13, (953, 3) = 0.8503720132295479e-12, (954, 1) = 0.1645834059556454e-12, (954, 2) = -0.24862076052694362e-13, (954, 3) = 0.8591225611922099e-12, (955, 1) = 0.17158588163893175e-12, (955, 2) = -0.24408863792019858e-13, (955, 3) = 0.8697853754948484e-12, (956, 1) = 0.17368837278614046e-12, (956, 2) = -0.21374793557667253e-13, (956, 3) = 0.878391699672471e-12, (957, 1) = 0.1589378643604462e-12, (957, 2) = -0.2495510699737321e-13, (957, 3) = 0.8872208418567252e-12, (958, 1) = 0.17995132348172196e-12, (958, 2) = -0.27464643397304873e-13, (958, 3) = 0.8976532147394387e-12, (959, 1) = 0.16464680778959048e-12, (959, 2) = -0.22956540596034474e-13, (959, 3) = 0.9087901952728384e-12, (960, 1) = 0.17329835222308297e-12, (960, 2) = -0.21841880269803484e-13, (960, 3) = 0.9177004397333146e-12, (961, 1) = 0.17968758577571983e-12, (961, 2) = -0.2275098661599403e-13, (961, 3) = 0.930002458895439e-12, (962, 1) = 0.16877258291911812e-12, (962, 2) = -0.21057942302177608e-13, (962, 3) = 0.9414362894169648e-12, (963, 1) = 0.16343441191368673e-12, (963, 2) = -0.25224650304233644e-13, (963, 3) = 0.9518439467814604e-12, (964, 1) = 0.17852926151105325e-12, (964, 2) = -0.201044183473617e-13, (964, 3) = 0.9651227713499787e-12, (965, 1) = 0.1584537620382389e-12, (965, 2) = -0.23954390155489287e-13, (965, 3) = 0.976205931825354e-12, (966, 1) = 0.16648997576622952e-12, (966, 2) = -0.2212118135025909e-13, (966, 3) = 0.9868589054556391e-12, (967, 1) = 0.1764892854103083e-12, (967, 2) = -0.23777460278019922e-13, (967, 3) = 0.9992505793574099e-12, (968, 1) = 0.16947788147780232e-12, (968, 2) = -0.2073328902763396e-13, (968, 3) = 0.10119530919865688e-11, (969, 1) = 0.16780027122987804e-12, (969, 2) = -0.21963542051846193e-13, (969, 3) = 0.10242911802088243e-11, (970, 1) = 0.16387617355809385e-12, (970, 2) = -0.22618362480946965e-13, (970, 3) = 0.10376536611542056e-11, (971, 1) = 0.17390541223462928e-12, (971, 2) = -0.26530425286700547e-13, (971, 3) = 0.10505508754084116e-11, (972, 1) = 0.17295114272399444e-12, (972, 2) = -0.23214707336778075e-13, (972, 3) = 0.1062792761828431e-11, (973, 1) = 0.17703005338922575e-12, (973, 2) = -0.2034893410849115e-13, (973, 3) = 0.1077115893088093e-11, (974, 1) = 0.1574294917712553e-12, (974, 2) = -0.2210899706718615e-13, (974, 3) = 0.10917741674391038e-11, (975, 1) = 0.16766443972778758e-12, (975, 2) = -0.23111545218287567e-13, (975, 3) = 0.11065944294419578e-11, (976, 1) = 0.16452455221753613e-12, (976, 2) = -0.22044654617282776e-13, (976, 3) = 0.1121321083899602e-11, (977, 1) = 0.17164457395552068e-12, (977, 2) = -0.23801738689969217e-13, (977, 3) = 0.11356832398514537e-11, (978, 1) = 0.16736468558442392e-12, (978, 2) = -0.22977099637133893e-13, (978, 3) = 0.11503033367960953e-11, (979, 1) = 0.16958833936934807e-12, (979, 2) = -0.21411773202482693e-13, (979, 3) = 0.11657283932070418e-11, (980, 1) = 0.16642174982128084e-12, (980, 2) = -0.24792573196274988e-13, (980, 3) = 0.11844626391268931e-11, (981, 1) = 0.17072181223121658e-12, (981, 2) = -0.2087645936916084e-13, (981, 3) = 0.11991953566475509e-11, (982, 1) = 0.16284407222058728e-12, (982, 2) = -0.23413849397689672e-13, (982, 3) = 0.12173714930412158e-11, (983, 1) = 0.1597181109864357e-12, (983, 2) = -0.23827904564547417e-13, (983, 3) = 0.1234107810997764e-11, (984, 1) = 0.17449221406667444e-12, (984, 2) = -0.2042593558574315e-13, (984, 3) = 0.12521871018761697e-11, (985, 1) = 0.17051840638646337e-12, (985, 2) = -0.19648738255674597e-13, (985, 3) = 0.12690839286881677e-11, (986, 1) = 0.1691157872653268e-12, (986, 2) = -0.2098664431571789e-13, (986, 3) = 0.12879150335019931e-11, (987, 1) = 0.16195551549286089e-12, (987, 2) = -0.2141602045204086e-13, (987, 3) = 0.13071719043327895e-11, (988, 1) = 0.1630939235925163e-12, (988, 2) = -0.21194408951105856e-13, (988, 3) = 0.13278657803662642e-11, (989, 1) = 0.1661333674257733e-12, (989, 2) = -0.18008703234443592e-13, (989, 3) = 0.13477112123854858e-11, (990, 1) = 0.16921651587728455e-12, (990, 2) = -0.22801511347410828e-13, (990, 3) = 0.13662238278229627e-11, (991, 1) = 0.1584616711096469e-12, (991, 2) = -0.22725848206464325e-13, (991, 3) = 0.13889814954637587e-11, (992, 1) = 0.15801909225072517e-12, (992, 2) = -0.198178350743553e-13, (992, 3) = 0.14101132562895334e-11, (993, 1) = 0.17605162983191562e-12, (993, 2) = -0.22037343063082703e-13, (993, 3) = 0.14322992449012165e-11, (994, 1) = 0.15657787087123663e-12, (994, 2) = -0.21681146394405598e-13, (994, 3) = 0.14549879022188894e-11, (995, 1) = 0.15067946781343537e-12, (995, 2) = -0.2136519673095374e-13, (995, 3) = 0.14786445565583868e-11, (996, 1) = 0.17260744485559923e-12, (996, 2) = -0.20309014118563205e-13, (996, 3) = 0.15023460086801836e-11, (997, 1) = 0.16195532301844012e-12, (997, 2) = -0.22307516102623503e-13, (997, 3) = 0.15271535906515186e-11, (998, 1) = 0.15740058611072946e-12, (998, 2) = -0.19299645913032813e-13, (998, 3) = 0.15517540702195104e-11, (999, 1) = 0.15837356774877582e-12, (999, 2) = -0.2128510995368229e-13, (999, 3) = 0.1576551991687798e-11, (1000, 1) = 0.1640493246321609e-12, (1000, 2) = -0.2200055077571048e-13, (1000, 3) = 0.16049522064525246e-11, (1001, 1) = 0.16859556743603922e-12, (1001, 2) = -0.2108448870065429e-13, (1001, 3) = 0.16321578920043038e-11, (1002, 1) = 0.16369945849009856e-12, (1002, 2) = -0.21099364585493628e-13, (1002, 3) = 0.16596659235102901e-11, (1003, 1) = 0.15895588667963033e-12, (1003, 2) = -0.1916095238371302e-13, (1003, 3) = 0.16894811547223859e-11, (1004, 1) = 0.16675990552745186e-12, (1004, 2) = -0.23365443270567053e-13, (1004, 3) = 0.17189438337389856e-11, (1005, 1) = 0.17227198006905835e-12, (1005, 2) = -0.21368358873812358e-13, (1005, 3) = 0.17500271147415057e-11, (1006, 1) = 0.15241286081876643e-12, (1006, 2) = -0.21766239965062947e-13, (1006, 3) = 0.17819233764787843e-11, (1007, 1) = 0.1467551056270626e-12, (1007, 2) = -0.1925614174723049e-13, (1007, 3) = 0.18150577450116902e-11, (1008, 1) = 0.16380478473702764e-12, (1008, 2) = -0.18204559488196394e-13, (1008, 3) = 0.1847206924151689e-11, (1009, 1) = 0.16285336101231742e-12, (1009, 2) = -0.2022422489783078e-13, (1009, 3) = 0.18837124363661515e-11, (1010, 1) = 0.16399343203631532e-12, (1010, 2) = -0.1977595853714503e-13, (1010, 3) = 0.19184136587459646e-11, (1011, 1) = 0.16718857766872533e-12, (1011, 2) = -0.21587801873386263e-13, (1011, 3) = 0.19547361081080987e-11, (1012, 1) = 0.15461582203191576e-12, (1012, 2) = -0.2109276452505598e-13, (1012, 3) = 0.1993669195437845e-11, (1013, 1) = 0.16816486428119124e-12, (1013, 2) = -0.20180367131199227e-13, (1013, 3) = 0.2032238330008596e-11, (1014, 1) = 0.16478030955693143e-12, (1014, 2) = -0.2154319164179736e-13, (1014, 3) = 0.20725385316690487e-11, (1015, 1) = 0.17253205999589985e-12, (1015, 2) = -0.181895738591417e-13, (1015, 3) = 0.21154127662243126e-11, (1016, 1) = 0.15757725696988508e-12, (1016, 2) = -0.22256461711187535e-13, (1016, 3) = 0.21591395382718716e-11, (1017, 1) = 0.14913330831750147e-12, (1017, 2) = -0.19961343791823108e-13, (1017, 3) = 0.2203404600184188e-11, (1018, 1) = 0.1526305818861497e-12, (1018, 2) = -0.18739246426941642e-13, (1018, 3) = 0.22480064277679186e-11, (1019, 1) = 0.15626273026283978e-12, (1019, 2) = -0.18531407344334803e-13, (1019, 3) = 0.22972665110590768e-11, (1020, 1) = 0.1457897108235802e-12, (1020, 2) = -0.1986940282175912e-13, (1020, 3) = 0.23473171619952596e-11, (1021, 1) = 0.15875305364197047e-12, (1021, 2) = -0.19553679282109556e-13, (1021, 3) = 0.239716599559903e-11, (1022, 1) = 0.15762162040379609e-12, (1022, 2) = -0.1801299282632144e-13, (1022, 3) = 0.24094306406014743e-11, (1023, 1) = 0.15547829512963652e-12, (1023, 2) = -0.19220669217694758e-13, (1023, 3) = 0.2374174130527911e-11, (1024, 1) = 0.14247807691727505e-12, (1024, 2) = -0.18063222441712356e-13, (1024, 3) = 0.23391206043449546e-11, (1025, 1) = 0.15439913829431223e-12, (1025, 2) = -0.20811909429609306e-13, (1025, 3) = 0.2306470035588555e-11, (1026, 1) = 0.14264380575062125e-12, (1026, 2) = -0.173143363938574e-13, (1026, 3) = 0.2271955936878302e-11, (1027, 1) = 0.15056621887731624e-12, (1027, 2) = -0.1679228323342859e-13, (1027, 3) = 0.22402726654051044e-11, (1028, 1) = 0.15524517914204874e-12, (1028, 2) = -0.17596470929276512e-13, (1028, 3) = 0.22085376691054274e-11, (1029, 1) = 0.14255222774105085e-12, (1029, 2) = -0.18463945103830835e-13, (1029, 3) = 0.2176752634715621e-11, (1030, 1) = 0.15455688889168796e-12, (1030, 2) = -0.20052307543363225e-13, (1030, 3) = 0.21481134098429636e-11, (1031, 1) = 0.1602284853336316e-12, (1031, 2) = -0.13071960405656153e-13, (1031, 3) = 0.2116452321942526e-11, (1032, 1) = 0.1465688519329124e-12, (1032, 2) = -0.16026920434840157e-13, (1032, 3) = 0.20877027908165892e-11, (1033, 1) = 0.15643779579316085e-12, (1033, 2) = -0.17893426074198832e-13, (1033, 3) = 0.20573694949709134e-11, (1034, 1) = 0.1415383785355175e-12, (1034, 2) = -0.16070532522403792e-13, (1034, 3) = 0.20290951944485748e-11, (1035, 1) = 0.15075676731087702e-12, (1035, 2) = -0.16337429404577964e-13, (1035, 3) = 0.20035221265074288e-11, (1036, 1) = 0.15220444073355338e-12, (1036, 2) = -0.20628940820341742e-13, (1036, 3) = 0.197415863586637e-11, (1037, 1) = 0.15331774633514437e-12, (1037, 2) = -0.18413513789103738e-13, (1037, 3) = 0.19489546693409145e-11, (1038, 1) = 0.13757384445993916e-12, (1038, 2) = -0.18532479597104943e-13, (1038, 3) = 0.19235708064072987e-11, (1039, 1) = 0.14039610228479347e-12, (1039, 2) = -0.15043306133479944e-13, (1039, 3) = 0.189711800956803e-11, (1040, 1) = 0.1426971937807833e-12, (1040, 2) = -0.18115533702827365e-13, (1040, 3) = 0.1874259391189784e-11, (1041, 1) = 0.15058991150674058e-12, (1041, 2) = -0.14078408282101184e-13, (1041, 3) = 0.18484631537011342e-11, (1042, 1) = 0.15320145213724154e-12, (1042, 2) = -0.16384610135664072e-13, (1042, 3) = 0.18240556191136928e-11, (1043, 1) = 0.1402157948973841e-12, (1043, 2) = -0.16376660570591354e-13, (1043, 3) = 0.1800443969236986e-11, (1044, 1) = 0.14676264629434207e-12, (1044, 2) = -0.14256547094167526e-13, (1044, 3) = 0.17763884896805574e-11, (1045, 1) = 0.12735138647520145e-12, (1045, 2) = -0.16992031321093972e-13, (1045, 3) = 0.17536760648759347e-11, (1046, 1) = 0.15517392721713732e-12, (1046, 2) = -0.18273762799951e-13, (1046, 3) = 0.17322093510856283e-11, (1047, 1) = 0.1426355499376708e-12, (1047, 2) = -0.13825593874948568e-13, (1047, 3) = 0.17083245878495403e-11, (1048, 1) = 0.14046922502194675e-12, (1048, 2) = -0.1827361441544095e-13, (1048, 3) = 0.16885393361533261e-11, (1049, 1) = 0.13762506497094267e-12, (1049, 2) = -0.15674454170477402e-13, (1049, 3) = 0.16661267359291776e-11, (1050, 1) = 0.1443473379375501e-12, (1050, 2) = -0.11882989825820888e-13, (1050, 3) = 0.1645072570371396e-11, (1051, 1) = 0.147885589521612e-12, (1051, 2) = -0.13702147322516466e-13, (1051, 3) = 0.16246418462716697e-11, (1052, 1) = 0.148048596974682e-12, (1052, 2) = -0.1585730514994777e-13, (1052, 3) = 0.16073939967894674e-11, (1053, 1) = 0.14245140031613982e-12, (1053, 2) = -0.15693562032856486e-13, (1053, 3) = 0.15869725323201955e-11, (1054, 1) = 0.14348649564665052e-12, (1054, 2) = -0.13930217885854295e-13, (1054, 3) = 0.15673784058037613e-11, (1055, 1) = 0.1342039584719775e-12, (1055, 2) = -0.15329257904589666e-13, (1055, 3) = 0.1549671646104463e-11, (1056, 1) = 0.14629854378840476e-12, (1056, 2) = -0.1514800428843219e-13, (1056, 3) = 0.15311754690082281e-11, (1057, 1) = 0.1279543763571497e-12, (1057, 2) = -0.14568646476856615e-13, (1057, 3) = 0.15104979180612545e-11, (1058, 1) = 0.14083408680395334e-12, (1058, 2) = -0.1547945067594724e-13, (1058, 3) = 0.14934331005911104e-11, (1059, 1) = 0.15448445691136143e-12, (1059, 2) = -0.17139878551645243e-13, (1059, 3) = 0.14755260185733333e-11, (1060, 1) = 0.13785473070760678e-12, (1060, 2) = -0.11594715228893677e-13, (1060, 3) = 0.14603601876525217e-11, (1061, 1) = 0.14946677827212935e-12, (1061, 2) = -0.1499433107511309e-13, (1061, 3) = 0.14429541845812288e-11, (1062, 1) = 0.1417701789688407e-12, (1062, 2) = -0.17138074002412175e-13, (1062, 3) = 0.14268767634814882e-11, (1063, 1) = 0.14549934978101134e-12, (1063, 2) = -0.15147909245039557e-13, (1063, 3) = 0.14081058749752064e-11, (1064, 1) = 0.14055746515408812e-12, (1064, 2) = -0.15044742634246667e-13, (1064, 3) = 0.13916159485139811e-11, (1065, 1) = 0.14297397673987336e-12, (1065, 2) = -0.1149364208937441e-13, (1065, 3) = 0.13775697917390856e-11, (1066, 1) = 0.1297312132890414e-12, (1066, 2) = -0.13250871304073209e-13, (1066, 3) = 0.13638161692367798e-11, (1067, 1) = 0.13046380164091843e-12, (1067, 2) = -0.13025086318628004e-13, (1067, 3) = 0.13464567045030907e-11, (1068, 1) = 0.1375131237814086e-12, (1068, 2) = -0.12610545317133435e-13, (1068, 3) = 0.13321937624439383e-11, (1069, 1) = 0.13929099136347836e-12, (1069, 2) = -0.13960522765097705e-13, (1069, 3) = 0.13164031942301714e-11, (1070, 1) = 0.14706533992286912e-12, (1070, 2) = -0.1502046950038882e-13, (1070, 3) = 0.13037100010631544e-11, (1071, 1) = 0.12715764661914193e-12, (1071, 2) = -0.13667041056435285e-13, (1071, 3) = 0.12886782775791378e-11, (1072, 1) = 0.131437322970151e-12, (1072, 2) = -0.12345789979023221e-13, (1072, 3) = 0.12738213170198256e-11, (1073, 1) = 0.12514059864755632e-12, (1073, 2) = -0.12647107211149352e-13, (1073, 3) = 0.12601403467941177e-11, (1074, 1) = 0.15429938243187035e-12, (1074, 2) = -0.1523791259080445e-13, (1074, 3) = 0.1247690637627054e-11, (1075, 1) = 0.16734356324421482e-12, (1075, 2) = -0.8635404896969497e-14, (1075, 3) = 0.12319846255202021e-11, (1076, 1) = 0.1217215410891797e-12, (1076, 2) = -0.9777748351354569e-14, (1076, 3) = 0.12199594620022593e-11, (1077, 1) = 0.145654129608391e-12, (1077, 2) = -0.11949597813784709e-13, (1077, 3) = 0.12062079865481625e-11, (1078, 1) = 0.17327228404064143e-12, (1078, 2) = -0.13964212026041779e-13, (1078, 3) = 0.11949288547126107e-11, (1079, 1) = 0.14684578331129053e-12, (1079, 2) = -0.13222902336674824e-13, (1079, 3) = 0.1182603357880828e-11, (1080, 1) = 0.11189850884600195e-12, (1080, 2) = -0.13035123923896942e-13, (1080, 3) = 0.11707365165223016e-11, (1081, 1) = 0.11846202322176885e-12, (1081, 2) = -0.13432539197020792e-13, (1081, 3) = 0.11570979712142413e-11, (1082, 1) = 0.12790244885540634e-12, (1082, 2) = -0.1190451389080896e-13, (1082, 3) = 0.11456898282436915e-11, (1083, 1) = 0.14043235998924228e-12, (1083, 2) = -0.12920824357242317e-13, (1083, 3) = 0.11342942940999524e-11, (1084, 1) = 0.14694439138263705e-12, (1084, 2) = -0.9826399229966837e-14, (1084, 3) = 0.1122386524249908e-11, (1085, 1) = 0.12341188227131524e-12, (1085, 2) = -0.14083791606550189e-13, (1085, 3) = 0.11121127226583732e-11, (1086, 1) = 0.15655574909552312e-12, (1086, 2) = -0.13751152162835047e-13, (1086, 3) = 0.11008203034989285e-11, (1087, 1) = 0.11261211313374839e-12, (1087, 2) = -0.13491753788282788e-13, (1087, 3) = 0.1088574719897329e-11, (1088, 1) = 0.14296149332742527e-12, (1088, 2) = -0.10232068918501383e-13, (1088, 3) = 0.10772829856378445e-11, (1089, 1) = 0.11876925229633146e-12, (1089, 2) = -0.13208710163439856e-13, (1089, 3) = 0.1069537677721361e-11, (1090, 1) = 0.13900145425162648e-12, (1090, 2) = -0.10668419639869683e-13, (1090, 3) = 0.1058315033879156e-11, (1091, 1) = 0.11753469794175733e-12, (1091, 2) = -0.10114903824179022e-13, (1091, 3) = 0.10460440990320866e-11, (1092, 1) = 0.11076860124330544e-12, (1092, 2) = -0.12331922167761762e-13, (1092, 3) = 0.10357642664348696e-11, (1093, 1) = 0.1229859658445204e-12, (1093, 2) = -0.11834901082549404e-13, (1093, 3) = 0.10272820325958047e-11, (1094, 1) = 0.11878616157139202e-12, (1094, 2) = -0.12422788848385647e-13, (1094, 3) = 0.1015482415665157e-11, (1095, 1) = 0.11894583058615328e-12, (1095, 2) = -0.11482097121075088e-13, (1095, 3) = 0.10055829872549285e-11, (1096, 1) = 0.1346272915345843e-12, (1096, 2) = -0.10156602214559156e-13, (1096, 3) = 0.9970686164746052e-12, (1097, 1) = 0.1183972585428566e-12, (1097, 2) = -0.9697313283721412e-14, (1097, 3) = 0.9875173840646185e-12, (1098, 1) = 0.13528716589695565e-12, (1098, 2) = -0.10126500254276786e-13, (1098, 3) = 0.9770500504516356e-12, (1099, 1) = 0.12815115201537722e-12, (1099, 2) = -0.11395686207237961e-13, (1099, 3) = 0.9567193989387964e-12, (1100, 1) = 0.13217173729688493e-12, (1100, 2) = -0.10331918531438143e-13, (1100, 3) = 0.9341924923684845e-12, (1101, 1) = 0.11572399520574694e-12, (1101, 2) = -0.11218866728493204e-13, (1101, 3) = 0.9103716599461633e-12, (1102, 1) = 0.13854620308119556e-12, (1102, 2) = -0.11686469693566644e-13, (1102, 3) = 0.8896619039483891e-12, (1103, 1) = 0.135912405294414e-12, (1103, 2) = -0.10434428895341054e-13, (1103, 3) = 0.8690027690462668e-12, (1104, 1) = 0.13297319409948882e-12, (1104, 2) = -0.11268319074968287e-13, (1104, 3) = 0.8500931738170806e-12, (1105, 1) = 0.1404953887192104e-12, (1105, 2) = -0.9909095636899468e-14, (1105, 3) = 0.8299961002811076e-12, (1106, 1) = 0.10446903768338924e-12, (1106, 2) = -0.10506281371061024e-13, (1106, 3) = 0.8125244719038056e-12, (1107, 1) = 0.11264667221732158e-12, (1107, 2) = -0.10632942104308809e-13, (1107, 3) = 0.7980305230982503e-12, (1108, 1) = 0.14735054786235145e-12, (1108, 2) = -0.11055994937069316e-13, (1108, 3) = 0.7815398409429922e-12, (1109, 1) = 0.12343019177903037e-12, (1109, 2) = -0.11131317723243215e-13, (1109, 3) = 0.7657251235885353e-12, (1110, 1) = 0.10963116876312133e-12, (1110, 2) = -0.9724195159037016e-14, (1110, 3) = 0.7497569458320327e-12, (1111, 1) = 0.11842970420637842e-12, (1111, 2) = -0.9123553276166405e-14, (1111, 3) = 0.7352437249177496e-12, (1112, 1) = 0.12861318610967013e-12, (1112, 2) = -0.9417723726957795e-14, (1112, 3) = 0.7240385129918265e-12, (1113, 1) = 0.14234766444205075e-12, (1113, 2) = -0.8900899003251283e-14, (1113, 3) = 0.7086160054192291e-12, (1114, 1) = 0.1024246717593123e-12, (1114, 2) = -0.9802616336682159e-14, (1114, 3) = 0.69575681908104e-12, (1115, 1) = 0.1380356676078837e-12, (1115, 2) = -0.9665494700332241e-14, (1115, 3) = 0.6824644224405411e-12, (1116, 1) = 0.1194901148921049e-12, (1116, 2) = -0.9237684655394607e-14, (1116, 3) = 0.6717521846354743e-12, (1117, 1) = 0.12480067607195238e-12, (1117, 2) = -0.83388253207417e-14, (1117, 3) = 0.6576747866159516e-12, (1118, 1) = 0.11577039913506746e-12, (1118, 2) = -0.9560511290071812e-14, (1118, 3) = 0.6491068827479687e-12, (1119, 1) = 0.12737316791355006e-12, (1119, 2) = -0.7917548505735016e-14, (1119, 3) = 0.636194916253716e-12, (1120, 1) = 0.1169220914162596e-12, (1120, 2) = -0.9801091707930989e-14, (1120, 3) = 0.6278063896723698e-12, (1121, 1) = 0.134860150904012e-12, (1121, 2) = -0.9259693323322157e-14, (1121, 3) = 0.6165794476726598e-12, (1122, 1) = 0.14188448499962043e-12, (1122, 2) = -0.9945019115138695e-14, (1122, 3) = 0.6072500232196251e-12, (1123, 1) = 0.1345635378650625e-12, (1123, 2) = -0.9926529124823986e-14, (1123, 3) = 0.5950008625807587e-12, (1124, 1) = 0.1357090590217938e-12, (1124, 2) = -0.8679599675361372e-14, (1124, 3) = 0.5878550044671446e-12, (1125, 1) = 0.13089065434679255e-12, (1125, 2) = -0.8942091014544176e-14, (1125, 3) = 0.5771605761662572e-12, (1126, 1) = 0.14166675416305528e-12, (1126, 2) = -0.9976589335034388e-14, (1126, 3) = 0.5695478662185398e-12, (1127, 1) = 0.11024126242079082e-12, (1127, 2) = -0.8997190914743206e-14, (1127, 3) = 0.5597030381403753e-12, (1128, 1) = 0.12238485955297157e-12, (1128, 2) = -0.9088688747403753e-14, (1128, 3) = 0.5514803790224549e-12, (1129, 1) = 0.1108993892457529e-12, (1129, 2) = -0.9875162928941462e-14, (1129, 3) = 0.5423533384773439e-12, (1130, 1) = 0.1270743465808407e-12, (1130, 2) = -0.10271027773342818e-13, (1130, 3) = 0.5358098219171436e-12, (1131, 1) = 0.11259476088942785e-12, (1131, 2) = -0.9592467168880675e-14, (1131, 3) = 0.5268192830083158e-12, (1132, 1) = 0.12372916274351449e-12, (1132, 2) = -0.9429194676692303e-14, (1132, 3) = 0.5207879956165612e-12, (1133, 1) = 0.11352513142318511e-12, (1133, 2) = -0.965706094198559e-14, (1133, 3) = 0.5118993632413883e-12, (1134, 1) = 0.12179294710068764e-12, (1134, 2) = -0.9600224505676621e-14, (1134, 3) = 0.5042919108013537e-12, (1135, 1) = 0.1198868528347211e-12, (1135, 2) = -0.9154204734728014e-14, (1135, 3) = 0.4965695872979093e-12, (1136, 1) = 0.13565578479487809e-12, (1136, 2) = -0.9975085040342942e-14, (1136, 3) = 0.4909157287557428e-12, (1137, 1) = 0.12220542903273174e-12, (1137, 2) = -0.8712468825766351e-14, (1137, 3) = 0.4837353188298736e-12, (1138, 1) = 0.1393772880728424e-12, (1138, 2) = -0.8252845749048984e-14, (1138, 3) = 0.4772075665235024e-12, (1139, 1) = 0.1164856047698965e-12, (1139, 2) = -0.9651811032355265e-14, (1139, 3) = 0.4695350743829549e-12, (1140, 1) = 0.15257040736106485e-12, (1140, 2) = -0.9934203887678116e-14, (1140, 3) = 0.464365875481302e-12, (1141, 1) = 0.11234092903604052e-12, (1141, 2) = -0.8048649788348366e-14, (1141, 3) = 0.4558552287050965e-12, (1142, 1) = 0.11060875789351124e-12, (1142, 2) = -0.8573223050843807e-14, (1142, 3) = 0.45065254875706173e-12, (1143, 1) = 0.12885386447155668e-12, (1143, 2) = -0.8598081269126105e-14, (1143, 3) = 0.4450742556435247e-12, (1144, 1) = 0.13598025642437627e-12, (1144, 2) = -0.7948831071032494e-14, (1144, 3) = 0.4396748707771895e-12, (1145, 1) = 0.13468695832104413e-12, (1145, 2) = -0.7418971083013875e-14, (1145, 3) = 0.43332714482482023e-12, (1146, 1) = 0.11373191847385472e-12, (1146, 2) = -0.7595601272107685e-14, (1146, 3) = 0.4261212835224412e-12, (1147, 1) = 0.11536113958117574e-12, (1147, 2) = -0.8547350320795473e-14, (1147, 3) = 0.42169132642495573e-12, (1148, 1) = 0.13449804861296757e-12, (1148, 2) = -0.817406068619478e-14, (1148, 3) = 0.41625812085352157e-12, (1149, 1) = 0.11702282460570296e-12, (1149, 2) = -0.7927839762726537e-14, (1149, 3) = 0.40897585747758376e-12, (1150, 1) = 0.11116559017899998e-12, (1150, 2) = -0.861849893395423e-14, (1150, 3) = 0.4063828804411373e-12, (1151, 1) = 0.11041492523218247e-12, (1151, 2) = -0.8789328549018667e-14, (1151, 3) = 0.400349935806949e-12, (1152, 1) = 0.14630309521519858e-12, (1152, 2) = -0.7838056996331187e-14, (1152, 3) = 0.3942033246971213e-12, (1153, 1) = 0.12022298123627147e-12, (1153, 2) = -0.8106994142278167e-14, (1153, 3) = 0.3891457523681907e-12, (1154, 1) = 0.1214186680652318e-12, (1154, 2) = -0.9499487158290983e-14, (1154, 3) = 0.3835736305831908e-12, (1155, 1) = 0.12549542458259146e-12, (1155, 2) = -0.7638786473805435e-14, (1155, 3) = 0.3794750966483156e-12, (1156, 1) = 0.11265388987025576e-12, (1156, 2) = -0.7445485661462085e-14, (1156, 3) = 0.3744672107864902e-12, (1157, 1) = 0.12146692383981869e-12, (1157, 2) = -0.8083473320168007e-14, (1157, 3) = 0.36836426504265293e-12, (1158, 1) = 0.11453006797696565e-12, (1158, 2) = -0.8165257170497147e-14, (1158, 3) = 0.36473209807471057e-12, (1159, 1) = 0.12336848871785924e-12, (1159, 2) = -0.7912112418658641e-14, (1159, 3) = 0.36061793637559826e-12, (1160, 1) = 0.11239273658518222e-12, (1160, 2) = -0.7918863983169583e-14, (1160, 3) = 0.35545677096780384e-12, (1161, 1) = 0.11732584469148753e-12, (1161, 2) = -0.7899180724038639e-14, (1161, 3) = 0.3512557498168869e-12, (1162, 1) = 0.10318728819842377e-12, (1162, 2) = -0.8319924571470344e-14, (1162, 3) = 0.34880129303493904e-12, (1163, 1) = 0.1307041741418855e-12, (1163, 2) = -0.8629176360223901e-14, (1163, 3) = 0.34284795121259617e-12, (1164, 1) = 0.968735951755426e-13, (1164, 2) = -0.67541816302219264e-14, (1164, 3) = 0.3391398501810636e-12, (1165, 1) = 0.11219415924489417e-12, (1165, 2) = -0.6804171677159364e-14, (1165, 3) = 0.3345636099491925e-12, (1166, 1) = 0.11884931853888172e-12, (1166, 2) = -0.8864308196633266e-14, (1166, 3) = 0.3293588775202092e-12, (1167, 1) = 0.14133901955498736e-12, (1167, 2) = -0.7503366037517363e-14, (1167, 3) = 0.32591035475641305e-12, (1168, 1) = 0.12639917816812164e-12, (1168, 2) = -0.911982625377077e-14, (1168, 3) = 0.32334233417050706e-12, (1169, 1) = 0.10858645571301642e-12, (1169, 2) = -0.7718384897980883e-14, (1169, 3) = 0.31691515720359143e-12, (1170, 1) = 0.12641141411649832e-12, (1170, 2) = -0.6403266692295214e-14, (1170, 3) = 0.31599073706366376e-12, (1171, 1) = 0.11746661265919818e-12, (1171, 2) = -0.757553011567167e-14, (1171, 3) = 0.3104723375872137e-12, (1172, 1) = 0.1335818577396177e-12, (1172, 2) = -0.702093640409697e-14, (1172, 3) = 0.3071629557769086e-12, (1173, 1) = 0.12839983828044768e-12, (1173, 2) = -0.8453391333967577e-14, (1173, 3) = 0.3031743710806367e-12, (1174, 1) = 0.1246982704411873e-12, (1174, 2) = -0.7264600507483362e-14, (1174, 3) = 0.30098914349587483e-12, (1175, 1) = 0.10890141044517226e-12, (1175, 2) = -0.7827929058431795e-14, (1175, 3) = 0.2962358855147932e-12, (1176, 1) = 0.10469794008859504e-12, (1176, 2) = -0.62131507408413875e-14, (1176, 3) = 0.2931470130545022e-12, (1177, 1) = 0.13737198906022847e-12, (1177, 2) = -0.8285135617816525e-14, (1177, 3) = 0.2884994532509166e-12, (1178, 1) = 0.11302319130049413e-12, (1178, 2) = -0.5771933492695286e-14, (1178, 3) = 0.28488265797608795e-12, (1179, 1) = 0.1173535772283874e-12, (1179, 2) = -0.7490570171379014e-14, (1179, 3) = 0.28321506528679e-12, (1180, 1) = 0.9848973243740047e-13, (1180, 2) = -0.7288344096542178e-14, (1180, 3) = 0.2801038033740732e-12, (1181, 1) = 0.14533227192783644e-12, (1181, 2) = -0.6803283717781671e-14, (1181, 3) = 0.27699857584116853e-12, (1182, 1) = 0.12799881579468394e-12, (1182, 2) = -0.81268338189572e-14, (1182, 3) = 0.2725344153461187e-12, (1183, 1) = 0.10988784804346308e-12, (1183, 2) = -0.6776845491678224e-14, (1183, 3) = 0.27041945869314803e-12, (1184, 1) = 0.10597312741967928e-12, (1184, 2) = -0.6351378343330916e-14, (1184, 3) = 0.26666787350315387e-12, (1185, 1) = 0.13320663920457607e-12, (1185, 2) = -0.6920966621742796e-14, (1185, 3) = 0.2633661186469023e-12, (1186, 1) = 0.988032554365166e-13, (1186, 2) = -0.6538218712327324e-14, (1186, 3) = 0.26169232804508165e-12, (1187, 1) = 0.11973163038075484e-12, (1187, 2) = -0.6483957163532673e-14, (1187, 3) = 0.25620920726453013e-12, (1188, 1) = 0.10368825878533915e-12, (1188, 2) = -0.7470422738681299e-14, (1188, 3) = 0.25434171969687874e-12, (1189, 1) = 0.10615184604977762e-12, (1189, 2) = -0.57235057766653064e-14, (1189, 3) = 0.25116154814511725e-12, (1190, 1) = 0.12092352076372676e-12, (1190, 2) = -0.63842485058488e-14, (1190, 3) = 0.24897275589764744e-12, (1191, 1) = 0.12819657236533934e-12, (1191, 2) = -0.67540830815654295e-14, (1191, 3) = 0.2462338601946106e-12, (1192, 1) = 0.13030066162238251e-12, (1192, 2) = -0.6382962331738742e-14, (1192, 3) = 0.2438556447733127e-12, (1193, 1) = 0.12602584664816086e-12, (1193, 2) = -0.552673499790739e-14, (1193, 3) = 0.2406648772624544e-12, (1194, 1) = 0.12781898639861257e-12, (1194, 2) = -0.60452561043463955e-14, (1194, 3) = 0.2379791489831791e-12, (1195, 1) = 0.12459701660254595e-12, (1195, 2) = -0.793274076897875e-14, (1195, 3) = 0.23447206101475656e-12, (1196, 1) = 0.11889096222120137e-12, (1196, 2) = -0.662458062171094e-14, (1196, 3) = 0.23230000350014285e-12, (1197, 1) = 0.10039753288928783e-12, (1197, 2) = -0.5459980019628436e-14, (1197, 3) = 0.22939526191606123e-12, (1198, 1) = 0.1272289831239504e-12, (1198, 2) = -0.5638771338578123e-14, (1198, 3) = 0.2279867056177133e-12, (1199, 1) = 0.13885900203601668e-12, (1199, 2) = -0.7577915889795369e-14, (1199, 3) = 0.22504023432407293e-12, (1200, 1) = 0.12941329396623526e-12, (1200, 2) = -0.7330822585642677e-14, (1200, 3) = 0.2232321992568766e-12, (1201, 1) = 0.11836298686279193e-12, (1201, 2) = -0.7891877916075871e-14, (1201, 3) = 0.21927548445307917e-12, (1202, 1) = 0.1342719882246745e-12, (1202, 2) = -0.6342836927020295e-14, (1202, 3) = 0.2187116227627425e-12, (1203, 1) = 0.11261314101425796e-12, (1203, 2) = -0.63684310767056804e-14, (1203, 3) = 0.2157455789983478e-12, (1204, 1) = 0.997347854818297e-13, (1204, 2) = -0.7279216877989036e-14, (1204, 3) = 0.2131895554390014e-12, (1205, 1) = 0.14816632726896688e-12, (1205, 2) = -0.5753451298864112e-14, (1205, 3) = 0.21156580390982227e-12, (1206, 1) = 0.13183766529232606e-12, (1206, 2) = -0.7210584854170899e-14, (1206, 3) = 0.20867125716587168e-12, (1207, 1) = 0.13201023615393866e-12, (1207, 2) = -0.6816973041275503e-14, (1207, 3) = 0.20538922937539205e-12, (1208, 1) = 0.1367908774760525e-12, (1208, 2) = -0.6082642673973244e-14, (1208, 3) = 0.20380998817747312e-12, (1209, 1) = 0.10756128082686848e-12, (1209, 2) = -0.59335559913058015e-14, (1209, 3) = 0.2012124585845626e-12, (1210, 1) = 0.11285129254451031e-12, (1210, 2) = -0.7227598195054976e-14, (1210, 3) = 0.2005830204899726e-12, (1211, 1) = 0.9993524510670105e-13, (1211, 2) = -0.6478390106911012e-14, (1211, 3) = 0.19738265178796465e-12, (1212, 1) = 0.11848348661306436e-12, (1212, 2) = -0.5724012923108459e-14, (1212, 3) = 0.19557196382619558e-12, (1213, 1) = 0.13341671574695805e-12, (1213, 2) = -0.5989614002481264e-14, (1213, 3) = 0.19286106387178053e-12, (1214, 1) = 0.11806343088517293e-12, (1214, 2) = -0.6136615782277183e-14, (1214, 3) = 0.19155608398836781e-12, (1215, 1) = 0.10308221123174073e-12, (1215, 2) = -0.4397381010529198e-14, (1215, 3) = 0.19025071474615938e-12, (1216, 1) = 0.1185177550886631e-12, (1216, 2) = -0.6962628794954077e-14, (1216, 3) = 0.1891733831871051e-12, (1217, 1) = 0.10403353266602009e-12, (1217, 2) = -0.5396057996299153e-14, (1217, 3) = 0.1837581171888265e-12, (1218, 1) = 0.9798306552301797e-13, (1218, 2) = -0.64765786032593156e-14, (1218, 3) = 0.18243828165861412e-12, (1219, 1) = 0.1093353811944083e-12, (1219, 2) = -0.8016013010420425e-14, (1219, 3) = 0.1815013499431597e-12, (1220, 1) = 0.12537681941710698e-12, (1220, 2) = -0.57737179634659265e-14, (1220, 3) = 0.18046390541207662e-12, (1221, 1) = 0.139752616763522e-12, (1221, 2) = -0.5401708288659307e-14, (1221, 3) = 0.1780511743821214e-12, (1222, 1) = 0.10077162720273131e-12, (1222, 2) = -0.6368298112777023e-14, (1222, 3) = 0.1769082597700704e-12, (1223, 1) = 0.1138230780481594e-12, (1223, 2) = -0.5720756911628584e-14, (1223, 3) = 0.1738919078773825e-12, (1224, 1) = 0.13546097738867763e-12, (1224, 2) = -0.5767526961302473e-14, (1224, 3) = 0.1741087978178428e-12, (1225, 1) = 0.10270255774056148e-12, (1225, 2) = -0.5865371468612835e-14, (1225, 3) = 0.17013504515574116e-12, (1226, 1) = 0.12120996056985053e-12, (1226, 2) = -0.60747650794820466e-14, (1226, 3) = 0.16873855127741172e-12, (1227, 1) = 0.13256093279858462e-12, (1227, 2) = -0.6527312902475173e-14, (1227, 3) = 0.16748620328597415e-12, (1228, 1) = 0.9115654880920063e-13, (1228, 2) = -0.5975967215709702e-14, (1228, 3) = 0.16548109196283796e-12, (1229, 1) = 0.11748935251258687e-12, (1229, 2) = -0.63629204818773355e-14, (1229, 3) = 0.16228422814971084e-12, (1230, 1) = 0.110591933072154e-12, (1230, 2) = -0.4753702063058533e-14, (1230, 3) = 0.16164470830056223e-12, (1231, 1) = 0.10886663705297129e-12, (1231, 2) = -0.5679275116681838e-14, (1231, 3) = 0.15941298557778885e-12, (1232, 1) = 0.1475064000294048e-12, (1232, 2) = -0.6896010578626353e-14, (1232, 3) = 0.159109181199629e-12, (1233, 1) = 0.12654712910462492e-12, (1233, 2) = -0.6769548724594826e-14, (1233, 3) = 0.15707924183580093e-12, (1234, 1) = 0.10370079715059866e-12, (1234, 2) = -0.4991870512048898e-14, (1234, 3) = 0.15576952105803235e-12, (1235, 1) = 0.10978414439411809e-12, (1235, 2) = -0.4288337418703772e-14, (1235, 3) = 0.15471221007303064e-12, (1236, 1) = 0.1122128139984301e-12, (1236, 2) = -0.6021413153265521e-14, (1236, 3) = 0.15277188086981455e-12, (1237, 1) = 0.1277420706143254e-12, (1237, 2) = -0.62473761232926384e-14, (1237, 3) = 0.15170903215303426e-12, (1238, 1) = 0.11812072861298014e-12, (1238, 2) = -0.7248049009876725e-14, (1238, 3) = 0.1478870804794771e-12, (1239, 1) = 0.11076425983521747e-12, (1239, 2) = -0.5312858947560127e-14, (1239, 3) = 0.14695560013569657e-12, (1240, 1) = 0.11071443221240838e-12, (1240, 2) = -0.57095756075567455e-14, (1240, 3) = 0.14499928688011121e-12, (1241, 1) = 0.10233464472489218e-12, (1241, 2) = -0.6132610653656126e-14, (1241, 3) = 0.14551000566110317e-12, (1242, 1) = 0.13225424514156318e-12, (1242, 2) = -0.58254100925087545e-14, (1242, 3) = 0.14343252821215135e-12, (1243, 1) = 0.10348737835397158e-12, (1243, 2) = -0.6632417315843153e-14, (1243, 3) = 0.14330819688345108e-12, (1244, 1) = 0.11496802594845828e-12, (1244, 2) = -0.46876212042065424e-14, (1244, 3) = 0.14068122348690424e-12, (1245, 1) = 0.11491873236998488e-12, (1245, 2) = -0.5352932034713846e-14, (1245, 3) = 0.14054254930830675e-12, (1246, 1) = 0.1037284311340364e-12, (1246, 2) = -0.5657303070152537e-14, (1246, 3) = 0.1372971315289607e-12, (1247, 1) = 0.9824075826459224e-13, (1247, 2) = -0.6125456168322193e-14, (1247, 3) = 0.13610391226324276e-12, (1248, 1) = 0.1192782708184413e-12, (1248, 2) = -0.67095981355377416e-14, (1248, 3) = 0.13428645578664688e-12, (1249, 1) = 0.13154680102250545e-12, (1249, 2) = -0.7116780771482026e-14, (1249, 3) = 0.13205638384086423e-12, (1250, 1) = 0.9170539041123706e-13, (1250, 2) = -0.4173323165269192e-14, (1250, 3) = 0.1327074757841744e-12, (1251, 1) = 0.12327779073901877e-12, (1251, 2) = -0.5142018685811038e-14, (1251, 3) = 0.13131915570183463e-12, (1252, 1) = 0.1187062930247655e-12, (1252, 2) = -0.5115345985052374e-14, (1252, 3) = 0.13047272965210214e-12, (1253, 1) = 0.13196083467666718e-12, (1253, 2) = -0.57471290895663365e-14, (1253, 3) = 0.12930970455662842e-12, (1254, 1) = 0.10066027393917351e-12, (1254, 2) = -0.5519890314594882e-14, (1254, 3) = 0.12732696674698784e-12, (1255, 1) = 0.12172009072250486e-12, (1255, 2) = -0.56523437472010465e-14, (1255, 3) = 0.1277866235690602e-12, (1256, 1) = 0.13237610508929214e-12, (1256, 2) = -0.54131603526418e-14, (1256, 3) = 0.1242353973527933e-12, (1257, 1) = 0.14082568285696441e-12, (1257, 2) = -0.48434374900167405e-14, (1257, 3) = 0.12330238476280465e-12, (1258, 1) = 0.9458526337309888e-13, (1258, 2) = -0.5508180537377837e-14, (1258, 3) = 0.12228532164498048e-12, (1259, 1) = 0.13167941408557802e-12, (1259, 2) = -0.5331207437520155e-14, (1259, 3) = 0.12186180948203596e-12, (1260, 1) = 0.1370921648119611e-12, (1260, 2) = -0.4830232079125127e-14, (1260, 3) = 0.11960186621263383e-12, (1261, 1) = 0.1280710015320115e-12, (1261, 2) = -0.54356927159466245e-14, (1261, 3) = 0.11824804093797266e-12, (1262, 1) = 0.10028416068990285e-12, (1262, 2) = -0.5764128169968954e-14, (1262, 3) = 0.11803186127107224e-12, (1263, 1) = 0.10687137420895627e-12, (1263, 2) = -0.4657587352362222e-14, (1263, 3) = 0.11600670707995815e-12, (1264, 1) = 0.12560607697624113e-12, (1264, 2) = -0.45773580203576225e-14, (1264, 3) = 0.115199694483443e-12, (1265, 1) = 0.11978904111151936e-12, (1265, 2) = -0.5045810753616972e-14, (1265, 3) = 0.11339075472692908e-12, (1266, 1) = 0.9579110224728494e-13, (1266, 2) = -0.538893542426573e-14, (1266, 3) = 0.11305932222984741e-12, (1267, 1) = 0.11741212835924581e-12, (1267, 2) = -0.5574821643104759e-14, (1267, 3) = 0.11208129145704391e-12, (1268, 1) = 0.11858956946021693e-12, (1268, 2) = -0.5617762516861301e-14, (1268, 3) = 0.10951412656550626e-12, (1269, 1) = 0.10955936457518723e-12, (1269, 2) = -0.5507768547629674e-14, (1269, 3) = 0.11013896104199975e-12, (1270, 1) = 0.1211585350543035e-12, (1270, 2) = -0.5096653137253938e-14, (1270, 3) = 0.10980415548868604e-12, (1271, 1) = 0.11396408187921064e-12, (1271, 2) = -0.5497483627549363e-14, (1271, 3) = 0.10746978006689247e-12, (1272, 1) = 0.10542910302928903e-12, (1272, 2) = -0.4809847792237548e-14, (1272, 3) = 0.10617990872284125e-12, (1273, 1) = 0.1319400963064527e-12, (1273, 2) = -0.4899947270910257e-14, (1273, 3) = 0.1048816438370885e-12, (1274, 1) = 0.1092417276823203e-12, (1274, 2) = -0.5155224333599101e-14, (1274, 3) = 0.10414814828667496e-12, (1275, 1) = 0.1315077925262191e-12, (1275, 2) = -0.50014403243621975e-14, (1275, 3) = 0.10206155836836571e-12, (1276, 1) = 0.1373742787119702e-12, (1276, 2) = -0.4830965443806425e-14, (1276, 3) = 0.10279454580249388e-12, (1277, 1) = 0.10215319571682459e-12, (1277, 2) = -0.5825314371595773e-14, (1277, 3) = 0.10150929703435553e-12, (1278, 1) = 0.1103084086680754e-12, (1278, 2) = -0.5264495434872547e-14, (1278, 3) = 0.9980619082445427e-13, (1279, 1) = 0.11557259977879968e-12, (1279, 2) = -0.5091038203189627e-14, (1279, 3) = 0.9979806883972639e-13, (1280, 1) = 0.13362890106170818e-12, (1280, 2) = -0.5208541897572978e-14, (1280, 3) = 0.9712362290087774e-13, (1281, 1) = 0.10287908970063269e-12, (1281, 2) = -0.53616887777769466e-14, (1281, 3) = 0.971857926666126e-13, (1282, 1) = 0.14935339755560145e-12, (1282, 2) = -0.45478847598668915e-14, (1282, 3) = 0.9554158070344168e-13, (1283, 1) = 0.11449752336152033e-12, (1283, 2) = -0.4435993532576835e-14, (1283, 3) = 0.9544553013817757e-13, (1284, 1) = 0.9631504878997537e-13, (1284, 2) = -0.4838510197462369e-14, (1284, 3) = 0.9409437403733068e-13, (1285, 1) = 0.12286556641724665e-12, (1285, 2) = -0.4695298858155496e-14, (1285, 3) = 0.9320808624206344e-13, (1286, 1) = 0.10324059027226967e-12, (1286, 2) = -0.52232823352643515e-14, (1286, 3) = 0.9252943222867568e-13, (1287, 1) = 0.10042759376477483e-12, (1287, 2) = -0.4060821121504661e-14, (1287, 3) = 0.9274464762443928e-13, (1288, 1) = 0.11815472321036757e-12, (1288, 2) = -0.5371704648709243e-14, (1288, 3) = 0.9177311874044492e-13, (1289, 1) = 0.11964803122120037e-12, (1289, 2) = -0.4572959213080355e-14, (1289, 3) = 0.8918034017187942e-13, (1290, 1) = 0.11068904006578781e-12, (1290, 2) = -0.4909313084296348e-14, (1290, 3) = 0.8964010028255932e-13, (1291, 1) = 0.12013883722267603e-12, (1291, 2) = -0.52205210769833475e-14, (1291, 3) = 0.8757284233398513e-13, (1292, 1) = 0.12235172821203028e-12, (1292, 2) = -0.4982797321819795e-14, (1292, 3) = 0.8781273000057633e-13, (1293, 1) = 0.1316735648241137e-12, (1293, 2) = -0.5498032416731088e-14, (1293, 3) = 0.8628903928562872e-13, (1294, 1) = 0.10537946157907639e-12, (1294, 2) = -0.5304637788676397e-14, (1294, 3) = 0.8412182918785995e-13, (1295, 1) = 0.11358114038799885e-12, (1295, 2) = -0.5485289500468527e-14, (1295, 3) = 0.8493345253698028e-13, (1296, 1) = 0.11729143735958866e-12, (1296, 2) = -0.4673482564320985e-14, (1296, 3) = 0.8257069444988298e-13, (1297, 1) = 0.11778823867229e-12, (1297, 2) = -0.4282349015900078e-14, (1297, 3) = 0.8208362453678696e-13, (1298, 1) = 0.12172894595631571e-12, (1298, 2) = -0.4808640780728327e-14, (1298, 3) = 0.8056656056731763e-13, (1299, 1) = 0.13499783426210132e-12, (1299, 2) = -0.4180224697969877e-14, (1299, 3) = 0.808135713945044e-13, (1300, 1) = 0.13365127405646712e-12, (1300, 2) = -0.4968650497550104e-14, (1300, 3) = 0.7804296460852182e-13, (1301, 1) = 0.10197312577926124e-12, (1301, 2) = -0.44570198757145565e-14, (1301, 3) = 0.7909404797878668e-13, (1302, 1) = 0.11148257115327944e-12, (1302, 2) = -0.5012952749063242e-14, (1302, 3) = 0.7826553148400486e-13, (1303, 1) = 0.13048397578051227e-12, (1303, 2) = -0.5288870696323963e-14, (1303, 3) = 0.7670609327839895e-13, (1304, 1) = 0.1278982479829805e-12, (1304, 2) = -0.4695867595913507e-14, (1304, 3) = 0.7742696478258711e-13, (1305, 1) = 0.11655337269970853e-12, (1305, 2) = -0.4466737538784529e-14, (1305, 3) = 0.7678109979305884e-13, (1306, 1) = 0.12563635097971016e-12, (1306, 2) = -0.432376548479022e-14, (1306, 3) = 0.7593675560907804e-13, (1307, 1) = 0.1382110695087127e-12, (1307, 2) = -0.5369624659337211e-14, (1307, 3) = 0.7435311690210568e-13, (1308, 1) = 0.14274219854766253e-12, (1308, 2) = -0.476648060552439e-14, (1308, 3) = 0.7349223562246805e-13, (1309, 1) = 0.12406305348051656e-12, (1309, 2) = -0.4450946177075523e-14, (1309, 3) = 0.7190998194193562e-13, (1310, 1) = 0.10642435881336371e-12, (1310, 2) = -0.5333855284050253e-14, (1310, 3) = 0.7230186122720284e-13, (1311, 1) = 0.12395650880856315e-12, (1311, 2) = -0.43356545463057866e-14, (1311, 3) = 0.7012481193635028e-13, (1312, 1) = 0.10448588290066389e-12, (1312, 2) = -0.491941242726546e-14, (1312, 3) = 0.7126723970626875e-13, (1313, 1) = 0.11791832640215975e-12, (1313, 2) = -0.4141103385533242e-14, (1313, 3) = 0.7000317203354533e-13, (1314, 1) = 0.1157657827119203e-12, (1314, 2) = -0.40322960237443405e-14, (1314, 3) = 0.6909426702860478e-13, (1315, 1) = 0.11541688111454432e-12, (1315, 2) = -0.5167350179349457e-14, (1315, 3) = 0.6802807826536365e-13, (1316, 1) = 0.12945458458571175e-12, (1316, 2) = -0.4522994674733743e-14, (1316, 3) = 0.6775176903378259e-13, (1317, 1) = 0.10698658551663442e-12, (1317, 2) = -0.4307657500372506e-14, (1317, 3) = 0.6719202254864283e-13, (1318, 1) = 0.9189233450575107e-13, (1318, 2) = -0.4368583038548418e-14, (1318, 3) = 0.64624844693045e-13, (1319, 1) = 0.12161448957022463e-12, (1319, 2) = -0.4886475337811807e-14, (1319, 3) = 0.6447570611338053e-13, (1320, 1) = 0.8908009094383669e-13, (1320, 2) = -0.5296200608690303e-14, (1320, 3) = 0.6542588873580153e-13, (1321, 1) = 0.10378218518590642e-12, (1321, 2) = -0.4768200421247772e-14, (1321, 3) = 0.6373823607823744e-13, (1322, 1) = 0.1152187193698184e-12, (1322, 2) = -0.4204956312583045e-14, (1322, 3) = 0.6333604065415882e-13, (1323, 1) = 0.12102135117099732e-12, (1323, 2) = -0.441197711471452e-14, (1323, 3) = 0.6228367836983981e-13, (1324, 1) = 0.12444272678097073e-12, (1324, 2) = -0.41380147069826476e-14, (1324, 3) = 0.6120569456881197e-13, (1325, 1) = 0.11698320275795206e-12, (1325, 2) = -0.4029318852689777e-14, (1325, 3) = 0.6016126851096729e-13, (1326, 1) = 0.9659021620338814e-13, (1326, 2) = -0.4007140345840145e-14, (1326, 3) = 0.6129721146781599e-13, (1327, 1) = 0.9390810171359672e-13, (1327, 2) = -0.4128698345947494e-14, (1327, 3) = 0.6003588685328384e-13, (1328, 1) = 0.1033060352745232e-12, (1328, 2) = -0.48183750890822464e-14, (1328, 3) = 0.58579059536169e-13, (1329, 1) = 0.10370533594057414e-12, (1329, 2) = -0.4268465168898116e-14, (1329, 3) = 0.5816839297974163e-13, (1330, 1) = 0.12888202232427823e-12, (1330, 2) = -0.4615875792779952e-14, (1330, 3) = 0.5802053907768592e-13, (1331, 1) = 0.10409802630028443e-12, (1331, 2) = -0.4261577222692742e-14, (1331, 3) = 0.5687411510172341e-13, (1332, 1) = 0.10592613375168826e-12, (1332, 2) = -0.4672003610537084e-14, (1332, 3) = 0.5660196963678369e-13, (1333, 1) = 0.1207206855027848e-12, (1333, 2) = -0.39383651426571575e-14, (1333, 3) = 0.5716796813536515e-13, (1334, 1) = 0.13789327413058668e-12, (1334, 2) = -0.3761921012148203e-14, (1334, 3) = 0.5504736234368765e-13, (1335, 1) = 0.1174027902544967e-12, (1335, 2) = -0.46286419437913506e-14, (1335, 3) = 0.55042071657102893e-13, (1336, 1) = 0.1097319171614309e-12, (1336, 2) = -0.3514202188689882e-14, (1336, 3) = 0.5530818819220279e-13, (1337, 1) = 0.11146251452481625e-12, (1337, 2) = -0.410135066249845e-14, (1337, 3) = 0.5366051340233337e-13, (1338, 1) = 0.11208047455751789e-12, (1338, 2) = -0.297854248006965e-14, (1338, 3) = 0.533208189945097e-13, (1339, 1) = 0.11295176529554263e-12, (1339, 2) = -0.3719585845434827e-14, (1339, 3) = 0.5224586754734669e-13, (1340, 1) = 0.12447472757650504e-12, (1340, 2) = -0.36556570549664494e-14, (1340, 3) = 0.5176182248680105e-13, (1341, 1) = 0.1162510102041284e-12, (1341, 2) = -0.4089368293798262e-14, (1341, 3) = 0.5042398948299538e-13, (1342, 1) = 0.11250603405777613e-12, (1342, 2) = -0.4262917322716516e-14, (1342, 3) = 0.5107192496158752e-13, (1343, 1) = 0.11380074881806892e-12, (1343, 2) = -0.4367463755405135e-14, (1343, 3) = 0.48167376882524327e-13, (1344, 1) = 0.10531207798122839e-12, (1344, 2) = -0.38780436558420454e-14, (1344, 3) = 0.49842553907250676e-13, (1345, 1) = 0.1168971554108207e-12, (1345, 2) = -0.36372297424469615e-14, (1345, 3) = 0.47783109477245577e-13, (1346, 1) = 0.10195793911963952e-12, (1346, 2) = -0.43971673328279765e-14, (1346, 3) = 0.4835673252574505e-13, (1347, 1) = 0.10307908533449984e-12, (1347, 2) = -0.4105190246749532e-14, (1347, 3) = 0.4674906669126382e-13, (1348, 1) = 0.12937527655833247e-12, (1348, 2) = -0.4511951552368405e-14, (1348, 3) = 0.46375048889624376e-13, (1349, 1) = 0.10337423262840366e-12, (1349, 2) = -0.3594476730920352e-14, (1349, 3) = 0.45613562654667824e-13, (1350, 1) = 0.1197205266975918e-12, (1350, 2) = -0.38709673003836345e-14, (1350, 3) = 0.467992464044686e-13, (1351, 1) = 0.12010607754619434e-12, (1351, 2) = -0.33478189708013374e-14, (1351, 3) = 0.46695636988376313e-13, (1352, 1) = 0.9570849278342388e-13, (1352, 2) = -0.37729030586956056e-14, (1352, 3) = 0.4582021722594364e-13, (1353, 1) = 0.9568712613307396e-13, (1353, 2) = -0.4147462434862836e-14, (1353, 3) = 0.44434517293919376e-13, (1354, 1) = 0.10561965705661723e-12, (1354, 2) = -0.41126293717701795e-14, (1354, 3) = 0.4354275000186987e-13, (1355, 1) = 0.13562769814971502e-12, (1355, 2) = -0.3856440109840363e-14, (1355, 3) = 0.4316087182030382e-13, (1356, 1) = 0.12152371491332101e-12, (1356, 2) = -0.3609929239853172e-14, (1356, 3) = 0.423597932218391e-13, (1357, 1) = 0.11255210555659657e-12, (1357, 2) = -0.3996112906546424e-14, (1357, 3) = 0.4266132256136749e-13, (1358, 1) = 0.11909709592473516e-12, (1358, 2) = -0.39919527917242346e-14, (1358, 3) = 0.41635502493764274e-13, (1359, 1) = 0.9957857648651312e-13, (1359, 2) = -0.37304003669583196e-14, (1359, 3) = 0.40838167415912525e-13, (1360, 1) = 0.1263100073329224e-12, (1360, 2) = -0.31829340518195837e-14, (1360, 3) = 0.4074279803567293e-13, (1361, 1) = 0.12423061747492097e-12, (1361, 2) = -0.37847770912983385e-14, (1361, 3) = 0.41596960488440306e-13, (1362, 1) = 0.790880424828441e-13, (1362, 2) = -0.34601894191751422e-14, (1362, 3) = 0.4032349950569215e-13, (1363, 1) = 0.11977734618049312e-12, (1363, 2) = -0.44020720505529976e-14, (1363, 3) = 0.3984479081715186e-13, (1364, 1) = 0.13303670953855035e-12, (1364, 2) = -0.32782943482667963e-14, (1364, 3) = 0.4067887618539772e-13, (1365, 1) = 0.12853032052710494e-12, (1365, 2) = -0.3668702291722987e-14, (1365, 3) = 0.3851596012791618e-13, (1366, 1) = 0.10584364606966747e-12, (1366, 2) = -0.34819159641598824e-14, (1366, 3) = 0.39569693034644134e-13, (1367, 1) = 0.12303755859582664e-12, (1367, 2) = -0.4278710016062363e-14, (1367, 3) = 0.3697560531232818e-13, (1368, 1) = 0.14425909638727213e-12, (1368, 2) = -0.3792936002853793e-14, (1368, 3) = 0.36859682193160633e-13, (1369, 1) = 0.11202309846643562e-12, (1369, 2) = -0.3295453344210862e-14, (1369, 3) = 0.36664352537067325e-13, (1370, 1) = 0.12156611325802238e-12, (1370, 2) = -0.4124940282309982e-14, (1370, 3) = 0.3627939158911803e-13, (1371, 1) = 0.10277101823843255e-12, (1371, 2) = -0.40452780178793846e-14, (1371, 3) = 0.35826586073880086e-13, (1372, 1) = 0.11010962256586172e-12, (1372, 2) = -0.3225081948467178e-14, (1372, 3) = 0.35399512793740634e-13, (1373, 1) = 0.10330321754980303e-12, (1373, 2) = -0.3542619272365754e-14, (1373, 3) = 0.3560436452618478e-13, (1374, 1) = 0.10873326355446408e-12, (1374, 2) = -0.30469102327969667e-14, (1374, 3) = 0.34919038182046574e-13, (1375, 1) = 0.10078507606221186e-12, (1375, 2) = -0.3667090984585451e-14, (1375, 3) = 0.3372176347964678e-13, (1376, 1) = 0.123277631588336e-12, (1376, 2) = -0.2933310854980605e-14, (1376, 3) = 0.34816277676419415e-13, (1377, 1) = 0.11515777554477663e-12, (1377, 2) = -0.4077305640926551e-14, (1377, 3) = 0.34486583812917423e-13, (1378, 1) = 0.10007625694226771e-12, (1378, 2) = -0.34866468564181504e-14, (1378, 3) = 0.341205604201401e-13, (1379, 1) = 0.11907858560936307e-12, (1379, 2) = -0.32932553197448594e-14, (1379, 3) = 0.32562868823245815e-13, (1380, 1) = 0.931426885450759e-13, (1380, 2) = -0.3663857812924358e-14, (1380, 3) = 0.32282345177893583e-13, (1381, 1) = 0.10782724455195003e-12, (1381, 2) = -0.34850608165861655e-14, (1381, 3) = 0.3269638143973384e-13, (1382, 1) = 0.12968028000569235e-12, (1382, 2) = -0.36439216418843126e-14, (1382, 3) = 0.31642883566838594e-13, (1383, 1) = 0.11235537163352882e-12, (1383, 2) = -0.41866938760554236e-14, (1383, 3) = 0.31923423882274166e-13, (1384, 1) = 0.11075701464917252e-12, (1384, 2) = -0.3369287571232632e-14, (1384, 3) = 0.30692680877614374e-13, (1385, 1) = 0.12691408142122055e-12, (1385, 2) = -0.36698367732199065e-14, (1385, 3) = 0.29477334305022685e-13, (1386, 1) = 0.12099117036543884e-12, (1386, 2) = -0.3397447421216174e-14, (1386, 3) = 0.294233362475952e-13, (1387, 1) = 0.1141601075146169e-12, (1387, 2) = -0.2885505291200113e-14, (1387, 3) = 0.3011652150826608e-13, (1388, 1) = 0.9583907137337459e-13, (1388, 2) = -0.3676022321599413e-14, (1388, 3) = 0.29882851427955936e-13, (1389, 1) = 0.1173330232574394e-12, (1389, 2) = -0.34464124077118363e-14, (1389, 3) = 0.2954716895623634e-13, (1390, 1) = 0.1115637170524611e-12, (1390, 2) = -0.3780685578650796e-14, (1390, 3) = 0.28517724805875386e-13, (1391, 1) = 0.10535585667500638e-12, (1391, 2) = -0.4736830572739439e-14, (1391, 3) = 0.2812204067945727e-13, (1392, 1) = 0.11545548001396413e-12, (1392, 2) = -0.41605951695351936e-14, (1392, 3) = 0.27381496720425904e-13, (1393, 1) = 0.12769187355708443e-12, (1393, 2) = -0.2749518457585725e-14, (1393, 3) = 0.27282165112448234e-13, (1394, 1) = 0.9974005060207566e-13, (1394, 2) = -0.2970309746095225e-14, (1394, 3) = 0.26960573915006413e-13, (1395, 1) = 0.10854844052173222e-12, (1395, 2) = -0.29502043970568875e-14, (1395, 3) = 0.26040233586574973e-13, (1396, 1) = 0.10818191957279678e-12, (1396, 2) = -0.3749012602531565e-14, (1396, 3) = 0.26842033738826928e-13, (1397, 1) = 0.11092872708756149e-12, (1397, 2) = -0.4108369878063056e-14, (1397, 3) = 0.26291522340606806e-13, (1398, 1) = 0.12456627893906363e-12, (1398, 2) = -0.3485262191608959e-14, (1398, 3) = 0.25487327171406006e-13, (1399, 1) = 0.14877223717945947e-12, (1399, 2) = -0.24559840512995878e-14, (1399, 3) = 0.25232118916215778e-13, (1400, 1) = 0.12130550240184689e-12, (1400, 2) = -0.35079619572344895e-14, (1400, 3) = 0.24428908491195076e-13, (1401, 1) = 0.1146779256463792e-12, (1401, 2) = -0.35318609776401624e-14, (1401, 3) = 0.2530510108740333e-13, (1402, 1) = 0.11674021416976053e-12, (1402, 2) = -0.3807698453518033e-14, (1402, 3) = 0.2568340413144391e-13, (1403, 1) = 0.11172212733654978e-12, (1403, 2) = -0.3772174713716539e-14, (1403, 3) = 0.24582701838100143e-13, (1404, 1) = 0.1212387710622961e-12, (1404, 2) = -0.3717316002826477e-14, (1404, 3) = 0.24010578108721757e-13, (1405, 1) = 0.12868322758846804e-12, (1405, 2) = -0.361244166014241e-14, (1405, 3) = 0.2292506599222825e-13, (1406, 1) = 0.13093826229385154e-12, (1406, 2) = -0.39328698913399256e-14, (1406, 3) = 0.22852004615877543e-13, (1407, 1) = 0.934173078522443e-13, (1407, 2) = -0.3098732354863447e-14, (1407, 3) = 0.23207017368665883e-13, (1408, 1) = 0.11144900255211822e-12, (1408, 2) = -0.3735302337972478e-14, (1408, 3) = 0.22737186940167587e-13, (1409, 1) = 0.8102371198926309e-13, (1409, 2) = -0.35308341134962275e-14, (1409, 3) = 0.23752697495492966e-13, (1410, 1) = 0.12586572293429174e-12, (1410, 2) = -0.31110357086206666e-14, (1410, 3) = 0.2164393076250874e-13, (1411, 1) = 0.1211485199879963e-12, (1411, 2) = -0.41862351524102786e-14, (1411, 3) = 0.22657712475416623e-13, (1412, 1) = 0.12682640856642562e-12, (1412, 2) = -0.22995984815872205e-14, (1412, 3) = 0.2198328193249268e-13, (1413, 1) = 0.140934948622339e-12, (1413, 2) = -0.3525637129790273e-14, (1413, 3) = 0.216512149242081e-13, (1414, 1) = 0.13346206776374424e-12, (1414, 2) = -0.35338581957505492e-14, (1414, 3) = 0.22378244738270955e-13, (1415, 1) = 0.11063883941742918e-12, (1415, 2) = -0.3377739210280903e-14, (1415, 3) = 0.222740604330888e-13, (1416, 1) = 0.10151339107765637e-12, (1416, 2) = -0.3321924495409944e-14, (1416, 3) = 0.2034417571202123e-13, (1417, 1) = 0.1171009113115555e-12, (1417, 2) = -0.27803801191761527e-14, (1417, 3) = 0.20842602894617398e-13, (1418, 1) = 0.9365669277552295e-13, (1418, 2) = -0.3200229679906589e-14, (1418, 3) = 0.19822443932389262e-13, (1419, 1) = 0.10579898730180025e-12, (1419, 2) = -0.3774117143331035e-14, (1419, 3) = 0.20543741500301217e-13, (1420, 1) = 0.9988295761370963e-13, (1420, 2) = -0.31492432268399187e-14, (1420, 3) = 0.19483493272478828e-13, (1421, 1) = 0.886826863856912e-13, (1421, 2) = -0.30358053579447617e-14, (1421, 3) = 0.1871483944366005e-13, (1422, 1) = 0.115899635497535e-12, (1422, 2) = -0.2825495216854065e-14, (1422, 3) = 0.19601810326100705e-13, (1423, 1) = 0.13438952094003814e-12, (1423, 2) = -0.24473787561404737e-14, (1423, 3) = 0.1927099519645945e-13, (1424, 1) = 0.11953029964910563e-12, (1424, 2) = -0.33809308054869857e-14, (1424, 3) = 0.19605522935579715e-13, (1425, 1) = 0.8800079648192924e-13, (1425, 2) = -0.28972504245118196e-14, (1425, 3) = 0.1897972598159599e-13, (1426, 1) = 0.1134153673776273e-12, (1426, 2) = -0.40196731181447225e-14, (1426, 3) = 0.18424729410195165e-13, (1427, 1) = 0.13874981183433323e-12, (1427, 2) = -0.3777706129872085e-14, (1427, 3) = 0.1904952223773494e-13, (1428, 1) = 0.11862920836906098e-12, (1428, 2) = -0.33275492805115257e-14, (1428, 3) = 0.18299896832928362e-13, (1429, 1) = 0.9593930853555567e-13, (1429, 2) = -0.24981903881377846e-14, (1429, 3) = 0.1822517437279634e-13, (1430, 1) = 0.12737178990626077e-12, (1430, 2) = -0.2967912331935535e-14, (1430, 3) = 0.168693666011836e-13, (1431, 1) = 0.12478682998046247e-12, (1431, 2) = -0.30681610091843107e-14, (1431, 3) = 0.17452078506435416e-13, (1432, 1) = 0.10746942127645457e-12, (1432, 2) = -0.3602378109330004e-14, (1432, 3) = 0.17902844668768205e-13, (1433, 1) = 0.12763233481558143e-12, (1433, 2) = -0.32556510249457163e-14, (1433, 3) = 0.17231565342961133e-13, (1434, 1) = 0.10445166707384042e-12, (1434, 2) = -0.32671721628187544e-14, (1434, 3) = 0.16700319784881067e-13, (1435, 1) = 0.946509897347577e-13, (1435, 2) = -0.34708077203281532e-14, (1435, 3) = 0.17366118200298613e-13, (1436, 1) = 0.9110947910415847e-13, (1436, 2) = -0.3553572949114033e-14, (1436, 3) = 0.1593956101808021e-13, (1437, 1) = 0.14157146370555045e-12, (1437, 2) = -0.2562493860051747e-14, (1437, 3) = 0.15640578584084072e-13, (1438, 1) = 0.1224799872798389e-12, (1438, 2) = -0.32385164029195903e-14, (1438, 3) = 0.1551735345041641e-13, (1439, 1) = 0.10519066302692197e-12, (1439, 2) = -0.36135314274448195e-14, (1439, 3) = 0.16198452545509907e-13, (1440, 1) = 0.10455224469237696e-12, (1440, 2) = -0.28550172985871384e-14, (1440, 3) = 0.15088562139596904e-13, (1441, 1) = 0.12362887587956272e-12, (1441, 2) = -0.28406160373667657e-14, (1441, 3) = 0.15144628507843327e-13, (1442, 1) = 0.1181768603074694e-12, (1442, 2) = -0.34348865444312127e-14, (1442, 3) = 0.14652150092737917e-13, (1443, 1) = 0.9490264155834608e-13, (1443, 2) = -0.32477565141791835e-14, (1443, 3) = 0.15382166305241657e-13, (1444, 1) = 0.9792969593133828e-13, (1444, 2) = -0.3036789273571558e-14, (1444, 3) = 0.15531850512209045e-13, (1445, 1) = 0.128605884085954e-12, (1445, 2) = -0.30434393531371256e-14, (1445, 3) = 0.1434139067065701e-13, (1446, 1) = 0.10705046774362864e-12, (1446, 2) = -0.27540231986083728e-14, (1446, 3) = 0.1472887843759191e-13, (1447, 1) = 0.14122071768736573e-12, (1447, 2) = -0.26766343701254157e-14, (1447, 3) = 0.14800907488169868e-13, (1448, 1) = 0.11409200624294036e-12, (1448, 2) = -0.3498010382681089e-14, (1448, 3) = 0.14293523944333192e-13, (1449, 1) = 0.10524732169366534e-12, (1449, 2) = -0.28376662701490704e-14, (1449, 3) = 0.14012615711319838e-13, (1450, 1) = 0.12789335039075258e-12, (1450, 2) = -0.22200510366585328e-14, (1450, 3) = 0.13748533509475299e-13, (1451, 1) = 0.12068627234845908e-12, (1451, 2) = -0.26188100112147867e-14, (1451, 3) = 0.12776490731279772e-13, (1452, 1) = 0.11037602076863884e-12, (1452, 2) = -0.2440189309426483e-14, (1452, 3) = 0.13533494531303213e-13, (1453, 1) = 0.10932170267015985e-12, (1453, 2) = -0.3011143480769458e-14, (1453, 3) = 0.12482982209105678e-13, (1454, 1) = 0.1254036141172599e-12, (1454, 2) = -0.26552330553081872e-14, (1454, 3) = 0.13335852165961694e-13, (1455, 1) = 0.14345412709888323e-12, (1455, 2) = -0.26861164535788448e-14, (1455, 3) = 0.11106313641958392e-13, (1456, 1) = 0.12129362066124372e-12, (1456, 2) = -0.34522996682660543e-14, (1456, 3) = 0.11790885259230182e-13, (1457, 1) = 0.10957791326535978e-12, (1457, 2) = -0.19547892937165214e-14, (1457, 3) = 0.11388526148396548e-13, (1458, 1) = 0.11421886415867466e-12, (1458, 2) = -0.3098880640340007e-14, (1458, 3) = 0.12319300712999462e-13, (1459, 1) = 0.10573259966136498e-12, (1459, 2) = -0.36337863160270465e-14, (1459, 3) = 0.12973050706484432e-13, (1460, 1) = 0.9932599537731597e-13, (1460, 2) = -0.30182225304455915e-14, (1460, 3) = 0.12692740531513346e-13, (1461, 1) = 0.10461677043541164e-12, (1461, 2) = -0.27868225989520883e-14, (1461, 3) = 0.9561798197073857e-14, (1462, 1) = 0.8845766323920221e-13, (1462, 2) = -0.23999561601381563e-14, (1462, 3) = 0.1108946485262708e-13, (1463, 1) = 0.1315950003846812e-12, (1463, 2) = -0.32284592638692355e-14, (1463, 3) = 0.12423698355345866e-13, (1464, 1) = 0.10359903871598473e-12, (1464, 2) = -0.25568236579140827e-14, (1464, 3) = 0.1055293160403647e-13, (1465, 1) = 0.1023907243379885e-12, (1465, 2) = -0.25589001563123117e-14, (1465, 3) = 0.1217392189481526e-13, (1466, 1) = 0.11228147011166894e-12, (1466, 2) = -0.30543436275546034e-14, (1466, 3) = 0.12229323131703697e-13, (1467, 1) = 0.10550355959710137e-12, (1467, 2) = -0.28973223038108165e-14, (1467, 3) = 0.10875821365602979e-13, (1468, 1) = 0.1366707177002343e-12, (1468, 2) = -0.24904255644041573e-14, (1468, 3) = 0.12495248941707124e-13, (1469, 1) = 0.10432288136837726e-12, (1469, 2) = -0.313465875987479e-14, (1469, 3) = 0.11163810082866375e-13, (1470, 1) = 0.9742313587026591e-13, (1470, 2) = -0.27047491578465282e-14, (1470, 3) = 0.11089338056412848e-13, (1471, 1) = 0.1275787155801863e-12, (1471, 2) = -0.2546926471688021e-14, (1471, 3) = 0.10080208045064031e-13, (1472, 1) = 0.13636786422258432e-12, (1472, 2) = -0.2981762432098624e-14, (1472, 3) = 0.10720038120297355e-13, (1473, 1) = 0.12163452187347498e-12, (1473, 2) = -0.282762417793119e-14, (1473, 3) = 0.1018661586630344e-13, (1474, 1) = 0.12228182900966778e-12, (1474, 2) = -0.21893106841610357e-14, (1474, 3) = 0.9962993786243992e-14, (1475, 1) = 0.9733610057880124e-13, (1475, 2) = -0.31929095709658305e-14, (1475, 3) = 0.9213887154916277e-14, (1476, 1) = 0.9835369770043619e-13, (1476, 2) = -0.2280093374158519e-14, (1476, 3) = 0.9176774983757373e-14, (1477, 1) = 0.1415058924733696e-12, (1477, 2) = -0.29778525757717974e-14, (1477, 3) = 0.10344903166910681e-13, (1478, 1) = 0.12926930150599816e-12, (1478, 2) = -0.29431400991058194e-14, (1478, 3) = 0.9717900674708063e-14, (1479, 1) = 0.9974217475372498e-13, (1479, 2) = -0.25505440823997065e-14, (1479, 3) = 0.955752057554349e-14, (1480, 1) = 0.1272871555506716e-12, (1480, 2) = -0.2307644326483785e-14, (1480, 3) = 0.9447547638125867e-14, (1481, 1) = 0.1217288970648606e-12, (1481, 2) = -0.2709938136898509e-14, (1481, 3) = 0.9267389676282344e-14, (1482, 1) = 0.10203324863203618e-12, (1482, 2) = -0.2789958371152883e-14, (1482, 3) = 0.10560942013094495e-13, (1483, 1) = 0.1108198798974125e-12, (1483, 2) = -0.2809090484132121e-14, (1483, 3) = 0.8628654018321865e-14, (1484, 1) = 0.10063575191479108e-12, (1484, 2) = -0.28313429975327368e-14, (1484, 3) = 0.10105597763377414e-13, (1485, 1) = 0.10596896862867353e-12, (1485, 2) = -0.29098092914550697e-14, (1485, 3) = 0.7732896432032358e-14, (1486, 1) = 0.10753119229472261e-12, (1486, 2) = -0.26325161438953028e-14, (1486, 3) = 0.9886310243999488e-14, (1487, 1) = 0.12261452949253408e-12, (1487, 2) = -0.24853183023070196e-14, (1487, 3) = 0.876270977086482e-14, (1488, 1) = 0.12829920324750446e-12, (1488, 2) = -0.2687373508326641e-14, (1488, 3) = 0.10549779694299294e-13, (1489, 1) = 0.1236030245359103e-12, (1489, 2) = -0.22372438967934446e-14, (1489, 3) = 0.8183238988185489e-14, (1490, 1) = 0.10023842644589693e-12, (1490, 2) = -0.26393498346399665e-14, (1490, 3) = 0.7877258690549415e-14, (1491, 1) = 0.11009889997112654e-12, (1491, 2) = -0.21868127738732933e-14, (1491, 3) = 0.7839944647218707e-14, (1492, 1) = 0.10835895132573513e-12, (1492, 2) = -0.25443571563691895e-14, (1492, 3) = 0.7906298385926474e-14, (1493, 1) = 0.11877921867963288e-12, (1493, 2) = -0.26231586750930474e-14, (1493, 3) = 0.7594346324566903e-14, (1494, 1) = 0.11931930706371244e-12, (1494, 2) = -0.23462008500147967e-14, (1494, 3) = 0.8048013384627951e-14, (1495, 1) = 0.10561771699652905e-12, (1495, 2) = -0.2934142206858225e-14, (1495, 3) = 0.7933990584807322e-14, (1496, 1) = 0.9924649477289371e-13, (1496, 2) = -0.23258588186380207e-14, (1496, 3) = 0.9283232013844482e-14, (1497, 1) = 0.12032418626887144e-12, (1497, 2) = -0.2399459323058239e-14, (1497, 3) = 0.9022399242751958e-14, (1498, 1) = 0.12234090866800994e-12, (1498, 2) = -0.2392157391499182e-14, (1498, 3) = 0.8041632973201837e-14, (1499, 1) = 0.10180390262191543e-12, (1499, 2) = -0.23999300790825208e-14, (1499, 3) = 0.66586586211444576e-14, (1500, 1) = 0.11769185628917164e-12, (1500, 2) = -0.2743775983712254e-14, (1500, 3) = 0.7021235864817025e-14, (1501, 1) = 0.11815780257024054e-12, (1501, 2) = -0.24837033417336906e-14, (1501, 3) = 0.7330588423520814e-14, (1502, 1) = 0.12138383096440193e-12, (1502, 2) = -0.27294891503545617e-14, (1502, 3) = 0.820346926127962e-14, (1503, 1) = 0.10840800914099995e-12, (1503, 2) = -0.2803178541102481e-14, (1503, 3) = 0.7533688817134918e-14, (1504, 1) = 0.10926075211185069e-12, (1504, 2) = -0.2740182539126411e-14, (1504, 3) = 0.5930786866688395e-14, (1505, 1) = 0.1002065222121167e-12, (1505, 2) = -0.26779755613569455e-14, (1505, 3) = 0.7467590775421183e-14, (1506, 1) = 0.12589711319049098e-12, (1506, 2) = -0.2614565032983743e-14, (1506, 3) = 0.6213239433678991e-14, (1507, 1) = 0.1218324261435584e-12, (1507, 2) = -0.24918783761728844e-14, (1507, 3) = 0.7059197955810092e-14, (1508, 1) = 0.1298589515828681e-12, (1508, 2) = -0.2300774437565949e-14, (1508, 3) = 0.6782444461194405e-14, (1509, 1) = 0.10092431969166896e-12, (1509, 2) = -0.2187315899620248e-14, (1509, 3) = 0.7285006366419843e-14, (1510, 1) = 0.11233458301612956e-12, (1510, 2) = -0.2557611400468147e-14, (1510, 3) = 0.6258371369061684e-14, (1511, 1) = 0.11702693044550196e-12, (1511, 2) = -0.2280549395506631e-14, (1511, 3) = 0.7310898640892258e-14, (1512, 1) = 0.1304207866299666e-12, (1512, 2) = -0.2308813820459624e-14, (1512, 3) = 0.807289422162689e-14, (1513, 1) = 0.1225960411341074e-12, (1513, 2) = -0.2471959179392779e-14, (1513, 3) = 0.60162742567175295e-14, (1514, 1) = 0.10000353794076977e-12, (1514, 2) = -0.23452548131994316e-14, (1514, 3) = 0.7614964274249166e-14, (1515, 1) = 0.1100896021414239e-12, (1515, 2) = -0.2005886406332043e-14, (1515, 3) = 0.6499438846131813e-14, (1516, 1) = 0.10639740352150202e-12, (1516, 2) = -0.24990159946839283e-14, (1516, 3) = 0.60155525712130464e-14, (1517, 1) = 0.13837365024425192e-12, (1517, 2) = -0.2242819442802821e-14, (1517, 3) = 0.65095078077633694e-14, (1518, 1) = 0.12775470030469107e-12, (1518, 2) = -0.23148723185924458e-14, (1518, 3) = 0.6351130110767559e-14, (1519, 1) = 0.13019294743390483e-12, (1519, 2) = -0.24449291992842446e-14, (1519, 3) = 0.6282693040819334e-14, (1520, 1) = 0.10937425041709805e-12, (1520, 2) = -0.23230197603751725e-14, (1520, 3) = 0.52722417368249086e-14, (1521, 1) = 0.11556077460803635e-12, (1521, 2) = -0.2392426019608409e-14, (1521, 3) = 0.6365935056546458e-14, (1522, 1) = 0.11610165688692185e-12, (1522, 2) = -0.23459988582568585e-14, (1522, 3) = 0.7080600346410399e-14, (1523, 1) = 0.1101103192412985e-12, (1523, 2) = -0.21801322096651394e-14, (1523, 3) = 0.6199061740719741e-14, (1524, 1) = 0.11696401742212613e-12, (1524, 2) = -0.24158496184539932e-14, (1524, 3) = 0.55908059197556714e-14, (1525, 1) = 0.9216371796706327e-13, (1525, 2) = -0.21290554266432907e-14, (1525, 3) = 0.5145772294886293e-14, (1526, 1) = 0.12232117246467754e-12, (1526, 2) = -0.25585703330562617e-14, (1526, 3) = 0.5968106009043442e-14, (1527, 1) = 0.9123451874770457e-13, (1527, 2) = -0.2355623634345935e-14, (1527, 3) = 0.6041600964261834e-14, (1528, 1) = 0.12629084150288177e-12, (1528, 2) = -0.23212869367696904e-14, (1528, 3) = 0.5530075492984273e-14, (1529, 1) = 0.11495158176265832e-12, (1529, 2) = -0.18384968862561063e-14, (1529, 3) = 0.5976498339962847e-14, (1530, 1) = 0.8278935592761132e-13, (1530, 2) = -0.26364062275102174e-14, (1530, 3) = 0.5752685434553109e-14, (1531, 1) = 0.14199550004986826e-12, (1531, 2) = -0.23633549843609926e-14, (1531, 3) = 0.608465012239522e-14, (1532, 1) = 0.8610714592630481e-13, (1532, 2) = -0.205663402689446e-14, (1532, 3) = 0.60651210861167565e-14, (1533, 1) = 0.10918229898337723e-12, (1533, 2) = -0.2187728497492509e-14, (1533, 3) = 0.6288194827797631e-14, (1534, 1) = 0.12316260524656973e-12, (1534, 2) = -0.22619738815138387e-14, (1534, 3) = 0.6470301081477064e-14, (1535, 1) = 0.11002926586382453e-12, (1535, 2) = -0.22560331074379805e-14, (1535, 3) = 0.5078308267973965e-14, (1536, 1) = 0.11366096370620613e-12, (1536, 2) = -0.27580291958235295e-14, (1536, 3) = 0.51255018795086704e-14, (1537, 1) = 0.12249681912667176e-12, (1537, 2) = -0.19878162746187363e-14, (1537, 3) = 0.58179303721472914e-14, (1538, 1) = 0.9210161857438813e-13, (1538, 2) = -0.2372502587112557e-14, (1538, 3) = 0.445432664771925e-14, (1539, 1) = 0.11555562898021886e-12, (1539, 2) = -0.2133602679248811e-14, (1539, 3) = 0.5479100207938616e-14, (1540, 1) = 0.11662729607748445e-12, (1540, 2) = -0.227942309979777e-14, (1540, 3) = 0.5753992673828809e-14, (1541, 1) = 0.10743101781011378e-12, (1541, 2) = -0.23121345709324556e-14, (1541, 3) = 0.34728202885082087e-14, (1542, 1) = 0.1200078075405605e-12, (1542, 2) = -0.2125454357636935e-14, (1542, 3) = 0.4603270669164185e-14, (1543, 1) = 0.12090178370491488e-12, (1543, 2) = -0.22915976237288434e-14, (1543, 3) = 0.5423471649811573e-14, (1544, 1) = 0.11941138766232146e-12, (1544, 2) = -0.25783822202757916e-14, (1544, 3) = 0.5765665722232413e-14, (1545, 1) = 0.11690239094452025e-12, (1545, 2) = -0.2495571913565036e-14, (1545, 3) = 0.51521923959434975e-14, (1546, 1) = 0.10440959707755623e-12, (1546, 2) = -0.22129913117531186e-14, (1546, 3) = 0.5085595309170722e-14, (1547, 1) = 0.8757875608135841e-13, (1547, 2) = -0.2155576167934665e-14, (1547, 3) = 0.52370645053123825e-14, (1548, 1) = 0.12042038600175796e-12, (1548, 2) = -0.2138794550912719e-14, (1548, 3) = 0.457861866468461e-14, (1549, 1) = 0.11685504030992025e-12, (1549, 2) = -0.24921080592334387e-14, (1549, 3) = 0.51111517225704385e-14, (1550, 1) = 0.14526270136327705e-12, (1550, 2) = -0.2236387745105719e-14, (1550, 3) = 0.51813204223258715e-14, (1551, 1) = 0.11227969903580828e-12, (1551, 2) = -0.1988789976628631e-14, (1551, 3) = 0.4742237774751014e-14, (1552, 1) = 0.9724414828281526e-13, (1552, 2) = -0.2169261968533866e-14, (1552, 3) = 0.4788549486291152e-14, (1553, 1) = 0.11339120876264401e-12, (1553, 2) = -0.25042274683396795e-14, (1553, 3) = 0.6783105884758702e-14, (1554, 1) = 0.1289493673916802e-12, (1554, 2) = -0.23341653500672542e-14, (1554, 3) = 0.4830831451212549e-14, (1555, 1) = 0.12343178609226682e-12, (1555, 2) = -0.19580622099628057e-14, (1555, 3) = 0.5519117818972963e-14, (1556, 1) = 0.12159525444182682e-12, (1556, 2) = -0.23969059488938573e-14, (1556, 3) = 0.5658398841098158e-14, (1557, 1) = 0.1147586030544425e-12, (1557, 2) = -0.22193612881900498e-14, (1557, 3) = 0.57388245266525685e-14, (1558, 1) = 0.12039450497400154e-12, (1558, 2) = -0.1810293670642987e-14, (1558, 3) = 0.4942446601113352e-14, (1559, 1) = 0.12163687813896258e-12, (1559, 2) = -0.23277858481545422e-14, (1559, 3) = 0.4612746487709045e-14, (1560, 1) = 0.11234703804932779e-12, (1560, 2) = -0.21539233385529205e-14, (1560, 3) = 0.52063307805524024e-14, (1561, 1) = 0.119271424085345e-12, (1561, 2) = -0.22072417952590836e-14, (1561, 3) = 0.4401571260172424e-14, (1562, 1) = 0.9998560365726812e-13, (1562, 2) = -0.19563861093211932e-14, (1562, 3) = 0.3815821068701053e-14, (1563, 1) = 0.11667424632235326e-12, (1563, 2) = -0.23825661910584153e-14, (1563, 3) = 0.3921959760535193e-14, (1564, 1) = 0.13421837471433827e-12, (1564, 2) = -0.20025148966169146e-14, (1564, 3) = 0.4773300270918555e-14, (1565, 1) = 0.12285725207621861e-12, (1565, 2) = -0.2409563783577115e-14, (1565, 3) = 0.5189693816782404e-14, (1566, 1) = 0.11750092125759942e-12, (1566, 2) = -0.22401939435041145e-14, (1566, 3) = 0.5111636196982522e-14, (1567, 1) = 0.10130459342295017e-12, (1567, 2) = -0.21090085831517847e-14, (1567, 3) = 0.3586938831671804e-14, (1568, 1) = 0.11822127406321438e-12, (1568, 2) = -0.25042182141526496e-14, (1568, 3) = 0.4599346140174519e-14, (1569, 1) = 0.9851984558866956e-13, (1569, 2) = -0.20502216801661417e-14, (1569, 3) = 0.41467201604352245e-14, (1570, 1) = 0.10808031405059441e-12, (1570, 2) = -0.1978683490203819e-14, (1570, 3) = 0.4824763546263055e-14, (1571, 1) = 0.13737391475711943e-12, (1571, 2) = -0.2040951706918353e-14, (1571, 3) = 0.41953703390792085e-14, (1572, 1) = 0.1273968998308279e-12, (1572, 2) = -0.17650190329802031e-14, (1572, 3) = 0.459125077672e-14, (1573, 1) = 0.11420151068338884e-12, (1573, 2) = -0.17165013484066685e-14, (1573, 3) = 0.4013284124341222e-14, (1574, 1) = 0.10261765669380055e-12, (1574, 2) = -0.21233444447821725e-14, (1574, 3) = 0.34230794548686232e-14, (1575, 1) = 0.11662918104752087e-12, (1575, 2) = -0.2102105060379908e-14, (1575, 3) = 0.5341290970013256e-14, (1576, 1) = 0.1239328483705093e-12, (1576, 2) = -0.2097108389939755e-14, (1576, 3) = 0.4591747551234622e-14, (1577, 1) = 0.10123654939284578e-12, (1577, 2) = -0.20964207760419962e-14, (1577, 3) = 0.4091845787652745e-14, (1578, 1) = 0.10626723953864601e-12, (1578, 2) = -0.22771746995075783e-14, (1578, 3) = 0.4661229627744957e-14, (1579, 1) = 0.13291815343049962e-12, (1579, 2) = -0.221517405682208e-14, (1579, 3) = 0.4074147596187347e-14, (1580, 1) = 0.10077334145988474e-12, (1580, 2) = -0.170621141185731e-14, (1580, 3) = 0.28166772118396437e-14, (1581, 1) = 0.10751956684787e-12, (1581, 2) = -0.18659683346929108e-14, (1581, 3) = 0.3858182672316684e-14, (1582, 1) = 0.13438619223172477e-12, (1582, 2) = -0.2408005806275142e-14, (1582, 3) = 0.43005621267149775e-14, (1583, 1) = 0.11448984120541312e-12, (1583, 2) = -0.1706703861331216e-14, (1583, 3) = 0.4247431364661017e-14, (1584, 1) = 0.1201684481018639e-12, (1584, 2) = -0.15819664485170293e-14, (1584, 3) = 0.34731680511862933e-14, (1585, 1) = 0.12170376867918254e-12, (1585, 2) = -0.20613681493698147e-14, (1585, 3) = 0.4490210809459942e-14, (1586, 1) = 0.12506803193451376e-12, (1586, 2) = -0.15822928226352133e-14, (1586, 3) = 0.42078565864622266e-14, (1587, 1) = 0.9320566502392742e-13, (1587, 2) = -0.16542848548913086e-14, (1587, 3) = 0.3433211213261469e-14, (1588, 1) = 0.10043357598816157e-12, (1588, 2) = -0.20385542345215815e-14, (1588, 3) = 0.3654195591534632e-14, (1589, 1) = 0.13164447208609212e-12, (1589, 2) = -0.1929182885437601e-14, (1589, 3) = 0.3630806957005351e-14, (1590, 1) = 0.9889676649624833e-13, (1590, 2) = -0.1844074339622109e-14, (1590, 3) = 0.35943432793222345e-14, (1591, 1) = 0.12460936425255562e-12, (1591, 2) = -0.19464481602550177e-14, (1591, 3) = 0.282223670195996e-14, (1592, 1) = 0.12194032712203987e-12, (1592, 2) = -0.19331282789690493e-14, (1592, 3) = 0.27435581817409382e-14, (1593, 1) = 0.10026240761887218e-12, (1593, 2) = -0.1827362689236682e-14, (1593, 3) = 0.3592679635547881e-14, (1594, 1) = 0.1156288941866266e-12, (1594, 2) = -0.16836549736794543e-14, (1594, 3) = 0.35106961835117886e-14, (1595, 1) = 0.11299400234894615e-12, (1595, 2) = -0.2110395420305853e-14, (1595, 3) = 0.4095201029657718e-14, (1596, 1) = 0.11185178014935918e-12, (1596, 2) = -0.16862094490552014e-14, (1596, 3) = 0.28811908960268378e-14, (1597, 1) = 0.1345015355796409e-12, (1597, 2) = -0.21897744699287517e-14, (1597, 3) = 0.28105460104292005e-14, (1598, 1) = 0.11214479074807693e-12, (1598, 2) = -0.18576031839499905e-14, (1598, 3) = 0.3607664668571192e-14, (1599, 1) = 0.11092411473371967e-12, (1599, 2) = -0.1985796040241088e-14, (1599, 3) = 0.3555353025805108e-14, (1600, 1) = 0.13209123565732145e-12, (1600, 2) = -0.20822231674068718e-14, (1600, 3) = 0.28525398187172672e-14, (1601, 1) = 0.978152795184426e-13, (1601, 2) = -0.18091284902575652e-14, (1601, 3) = 0.44503144796657726e-14, (1602, 1) = 0.10606697976320248e-12, (1602, 2) = -0.18271540141086935e-14, (1602, 3) = 0.3942497215879406e-14, (1603, 1) = 0.12347536654682594e-12, (1603, 2) = -0.1974865355751427e-14, (1603, 3) = 0.29960736950787566e-14, (1604, 1) = 0.11327946796504812e-12, (1604, 2) = -0.1947087714612084e-14, (1604, 3) = 0.3356402285891045e-14, (1605, 1) = 0.12958549268028652e-12, (1605, 2) = -0.1825416466963566e-14, (1605, 3) = 0.46086599069329895e-14, (1606, 1) = 0.12102158110600302e-12, (1606, 2) = -0.20173751253692245e-14, (1606, 3) = 0.3233699358984341e-14, (1607, 1) = 0.10089721988819424e-12, (1607, 2) = -0.17970529278807746e-14, (1607, 3) = 0.3229206529597692e-14, (1608, 1) = 0.12416605096745228e-12, (1608, 2) = -0.1730283771253181e-14, (1608, 3) = 0.32111331910213903e-14, (1609, 1) = 0.9669122035059501e-13, (1609, 2) = -0.18036894267331503e-14, (1609, 3) = 0.4303877628398129e-14, (1610, 1) = 0.10719091479344108e-12, (1610, 2) = -0.2145685265503012e-14, (1610, 3) = 0.4095064940191702e-14, (1611, 1) = 0.10709852338467561e-12, (1611, 2) = -0.20756858819555976e-14, (1611, 3) = 0.42000470972142085e-14, (1612, 1) = 0.10326566375697053e-12, (1612, 2) = -0.15821396766488232e-14, (1612, 3) = 0.34561875860325644e-14, (1613, 1) = 0.11520755607352497e-12, (1613, 2) = -0.14535232855852155e-14, (1613, 3) = 0.3953699960307128e-14, (1614, 1) = 0.10703204347087613e-12, (1614, 2) = -0.18505022539873826e-14, (1614, 3) = 0.39134579813432115e-14, (1615, 1) = 0.11119166686951062e-12, (1615, 2) = -0.16416639429405753e-14, (1615, 3) = 0.3237599453538457e-14, (1616, 1) = 0.12076395228027165e-12, (1616, 2) = -0.19729970068987508e-14, (1616, 3) = 0.3074922259837492e-14, (1617, 1) = 0.10265129498960157e-12, (1617, 2) = -0.13583998858420317e-14, (1617, 3) = 0.4003570634687629e-14, (1618, 1) = 0.11829704729506116e-12, (1618, 2) = -0.15283403003440576e-14, (1618, 3) = 0.47026723827922536e-14, (1619, 1) = 0.1000236227363444e-12, (1619, 2) = -0.16965037483455078e-14, (1619, 3) = 0.3905073331703597e-14, (1620, 1) = 0.1182748440096256e-12, (1620, 2) = -0.1902594762084094e-14, (1620, 3) = 0.3216162739693801e-14, (1621, 1) = 0.11182031965845543e-12, (1621, 2) = -0.14623672211485178e-14, (1621, 3) = 0.4243407775436351e-14, (1622, 1) = 0.11201292346557275e-12, (1622, 2) = -0.1101738118092986e-14, (1622, 3) = 0.3810763942586462e-14, (1623, 1) = 0.10940893281464795e-12, (1623, 2) = -0.17724742609241945e-14, (1623, 3) = 0.3701357869572092e-14, (1624, 1) = 0.10634903013430138e-12, (1624, 2) = -0.1968751981129472e-14, (1624, 3) = 0.2981515849839806e-14, (1625, 1) = 0.11788018449245958e-12, (1625, 2) = -0.19352374155028337e-14, (1625, 3) = 0.3064775600621184e-14, (1626, 1) = 0.10727337021983933e-12, (1626, 2) = -0.13759517141291034e-14, (1626, 3) = 0.4616194501959471e-14, (1627, 1) = 0.10586019753696198e-12, (1627, 2) = -0.14892995647193973e-14, (1627, 3) = 0.29596123977398054e-14, (1628, 1) = 0.11433950521116762e-12, (1628, 2) = -0.16112054530487309e-14, (1628, 3) = 0.3963419850515151e-14, (1629, 1) = 0.10946163969368596e-12, (1629, 2) = -0.16354185754841517e-14, (1629, 3) = 0.389112017773216e-14, (1630, 1) = 0.1282112010639129e-12, (1630, 2) = -0.16241351875945654e-14, (1630, 3) = 0.3979174853321703e-14, (1631, 1) = 0.122900953637064e-12, (1631, 2) = -0.17712114304206883e-14, (1631, 3) = 0.3699948151868634e-14, (1632, 1) = 0.10575135898271384e-12, (1632, 2) = -0.17301883436301785e-14, (1632, 3) = 0.4484494051960937e-14, (1633, 1) = 0.10753061683787575e-12, (1633, 2) = -0.1326823939451407e-14, (1633, 3) = 0.41679040405233696e-14, (1634, 1) = 0.10136816005781055e-12, (1634, 2) = -0.20351356500766968e-14, (1634, 3) = 0.3725642398944007e-14, (1635, 1) = 0.11243235844771394e-12, (1635, 2) = -0.12775868742247003e-14, (1635, 3) = 0.24341397362207703e-14, (1636, 1) = 0.10397276984851896e-12, (1636, 2) = -0.17724028864115716e-14, (1636, 3) = 0.1839601160082824e-14, (1637, 1) = 0.11920117390586102e-12, (1637, 2) = -0.14393605800846947e-14, (1637, 3) = 0.2872819499731488e-14, (1638, 1) = 0.1258887559577039e-12, (1638, 2) = -0.14591320189017342e-14, (1638, 3) = 0.383578354789312e-14, (1639, 1) = 0.10388558414516636e-12, (1639, 2) = -0.1690221307157088e-14, (1639, 3) = 0.4040949173793515e-14, (1640, 1) = 0.10988288772217434e-12, (1640, 2) = -0.16096311668728896e-14, (1640, 3) = 0.3293826486348065e-14, (1641, 1) = 0.1054777456903956e-12, (1641, 2) = -0.14894525116405642e-14, (1641, 3) = 0.3976759743027541e-14, (1642, 1) = 0.14310259456023934e-12, (1642, 2) = -0.148846402252791e-14, (1642, 3) = 0.28597350477653514e-14, (1643, 1) = 0.11771554347218513e-12, (1643, 2) = -0.13303022058422247e-14, (1643, 3) = 0.27211714981828724e-14, (1644, 1) = 0.10989238204181235e-12, (1644, 2) = -0.13722797562281974e-14, (1644, 3) = 0.27157244553922905e-14, (1645, 1) = 0.1057104443164678e-12, (1645, 2) = -0.14660870046054057e-14, (1645, 3) = 0.34925875757411106e-14, (1646, 1) = 0.10754220649368538e-12, (1646, 2) = -0.17893421729963777e-14, (1646, 3) = 0.2923643841954978e-14, (1647, 1) = 0.9048561110417609e-13, (1647, 2) = -0.17373121711865372e-14, (1647, 3) = 0.4136635832389291e-14, (1648, 1) = 0.12699532775798005e-12, (1648, 2) = -0.1277329810200014e-14, (1648, 3) = 0.2499409647784814e-14, (1649, 1) = 0.993338211031585e-13, (1649, 2) = -0.15108233755070498e-14, (1649, 3) = 0.33271209910658214e-14, (1650, 1) = 0.12635231274615374e-12, (1650, 2) = -0.1583879909036441e-14, (1650, 3) = 0.33590466188135696e-14, (1651, 1) = 0.7400729180794919e-13, (1651, 2) = -0.16628652911224962e-14, (1651, 3) = 0.3920726527628245e-14, (1652, 1) = 0.11937336602186512e-12, (1652, 2) = -0.15754760642089065e-14, (1652, 3) = 0.2551472599210563e-14, (1653, 1) = 0.14193959270883782e-12, (1653, 2) = -0.16602963273381717e-14, (1653, 3) = 0.31426999350357807e-14, (1654, 1) = 0.12241435708592058e-12, (1654, 2) = -0.1534737639478805e-14, (1654, 3) = 0.393654305622556e-14, (1655, 1) = 0.8852962629542869e-13, (1655, 2) = -0.10983065126012262e-14, (1655, 3) = 0.4246462438648081e-14, (1656, 1) = 0.9469671012319833e-13, (1656, 2) = -0.13185600691175016e-14, (1656, 3) = 0.2576915762496814e-14, (1657, 1) = 0.1323512860962709e-12, (1657, 2) = -0.16995936759792225e-14, (1657, 3) = 0.42636576505518595e-14, (1658, 1) = 0.10095166533996059e-12, (1658, 2) = -0.1561701612383245e-14, (1658, 3) = 0.3635479787611727e-14, (1659, 1) = 0.10049005171432628e-12, (1659, 2) = -0.1332955377186498e-14, (1659, 3) = 0.3522112389377006e-14, (1660, 1) = 0.11958619130521315e-12, (1660, 2) = -0.15603455498403695e-14, (1660, 3) = 0.34311800634445543e-14, (1661, 1) = 0.1178795163360233e-12, (1661, 2) = -0.13937736746483261e-14, (1661, 3) = 0.3748896173787063e-14, (1662, 1) = 0.10423238227329858e-12, (1662, 2) = -0.1336729811109168e-14, (1662, 3) = 0.4087830425197939e-14, (1663, 1) = 0.10834527495060874e-12, (1663, 2) = -0.13967166335927236e-14, (1663, 3) = 0.33921761715086698e-14, (1664, 1) = 0.9801053829006737e-13, (1664, 2) = -0.15508160468276311e-14, (1664, 3) = 0.3719023365408307e-14, (1665, 1) = 0.10939709151761275e-12, (1665, 2) = -0.16093233168345287e-14, (1665, 3) = 0.33531684647084992e-14, (1666, 1) = 0.114797567146925e-12, (1666, 2) = -0.1237631108614862e-14, (1666, 3) = 0.29970221460254836e-14, (1667, 1) = 0.1194322577166191e-12, (1667, 2) = -0.14282352285064733e-14, (1667, 3) = 0.4769272479543347e-14, (1668, 1) = 0.11389993285295782e-12, (1668, 2) = -0.8942838685133099e-15, (1668, 3) = 0.35099295589703574e-14, (1669, 1) = 0.10424707781639214e-12, (1669, 2) = -0.12266561000747164e-14, (1669, 3) = 0.33926719305827075e-14, (1670, 1) = 0.1311428800785975e-12, (1670, 2) = -0.13275677142020698e-14, (1670, 3) = 0.3574809883994291e-14, (1671, 1) = 0.10052489948728952e-12, (1671, 2) = -0.10663796628759023e-14, (1671, 3) = 0.33959513387293786e-14, (1672, 1) = 0.11772236284815837e-12, (1672, 2) = -0.16091325073939902e-14, (1672, 3) = 0.38665838747061926e-14, (1673, 1) = 0.1168163108826176e-12, (1673, 2) = -0.13466775072216791e-14, (1673, 3) = 0.2780882320689011e-14, (1674, 1) = 0.9035253852293231e-13, (1674, 2) = -0.13400791530934404e-14, (1674, 3) = 0.289757621552151e-14, (1675, 1) = 0.11529664828000424e-12, (1675, 2) = -0.1319227948113191e-14, (1675, 3) = 0.3601695452724462e-14, (1676, 1) = 0.10769687158066598e-12, (1676, 2) = -0.1242392917893196e-14, (1676, 3) = 0.26078736046866333e-14, (1677, 1) = 0.12453889489120659e-12, (1677, 2) = -0.13035070254803387e-14, (1677, 3) = 0.47409728847117704e-14, (1678, 1) = 0.10184017157803202e-12, (1678, 2) = -0.13277408889660307e-14, (1678, 3) = 0.26185733122773965e-14, (1679, 1) = 0.1095236151299121e-12, (1679, 2) = -0.11690515381721383e-14, (1679, 3) = 0.33501488697901062e-14, (1680, 1) = 0.9797604992934986e-13, (1680, 2) = -0.1208883232251522e-14, (1680, 3) = 0.29897605433120516e-14, (1681, 1) = 0.13344635529734693e-12, (1681, 2) = -0.14097980458509763e-14, (1681, 3) = 0.38402992269556444e-14, (1682, 1) = 0.11371914305921978e-12, (1682, 2) = -0.13781755320268695e-14, (1682, 3) = 0.2331962810218297e-14, (1683, 1) = 0.11040167003838893e-12, (1683, 2) = -0.13557401862711653e-14, (1683, 3) = 0.31427706847277324e-14, (1684, 1) = 0.1141032156695018e-12, (1684, 2) = -0.14485693002396762e-14, (1684, 3) = 0.3906904882002055e-14, (1685, 1) = 0.1345443746662919e-12, (1685, 2) = -0.1415477577216533e-14, (1685, 3) = 0.27351666296466456e-14, (1686, 1) = 0.10691628461835939e-12, (1686, 2) = -0.13493837143556507e-14, (1686, 3) = 0.3398516539749847e-14, (1687, 1) = 0.1301222269930219e-12, (1687, 2) = -0.1229554021253061e-14, (1687, 3) = 0.3558379939238625e-14, (1688, 1) = 0.1145998152475944e-12, (1688, 2) = -0.12442704910890971e-14, (1688, 3) = 0.2916649725541654e-14, (1689, 1) = 0.1066394080269396e-12, (1689, 2) = -0.1296442476361953e-14, (1689, 3) = 0.33980827317471633e-14, (1690, 1) = 0.11851457849523038e-12, (1690, 2) = -0.12340440092862553e-14, (1690, 3) = 0.3342349042718729e-14, (1691, 1) = 0.12197573434297352e-12, (1691, 2) = -0.13166670181902218e-14, (1691, 3) = 0.4364791424279542e-14, (1692, 1) = 0.13575431079208645e-12, (1692, 2) = -0.1434810326069681e-14, (1692, 3) = 0.3347978722858218e-14, (1693, 1) = 0.12685914089371842e-12, (1693, 2) = -0.12395707140194737e-14, (1693, 3) = 0.43249572445295775e-14, (1694, 1) = 0.13227464679713222e-12, (1694, 2) = -0.13624331192035914e-14, (1694, 3) = 0.3077728628189589e-14, (1695, 1) = 0.917135294958836e-13, (1695, 2) = -0.10486881436975826e-14, (1695, 3) = 0.2866454389988329e-14, (1696, 1) = 0.9873128227110218e-13, (1696, 2) = -0.12441413130530586e-14, (1696, 3) = 0.30244381282794417e-14, (1697, 1) = 0.10372544698965024e-12, (1697, 2) = -0.11881267078601442e-14, (1697, 3) = 0.31473936317208884e-14, (1698, 1) = 0.12034252588439897e-12, (1698, 2) = -0.11526218758227216e-14, (1698, 3) = 0.24273230668027e-14, (1699, 1) = 0.1409081155455862e-12, (1699, 2) = -0.1225556406763195e-14, (1699, 3) = 0.34130232337062052e-14, (1700, 1) = 0.1205721339026282e-12, (1700, 2) = -0.1209323412598025e-14, (1700, 3) = 0.2458229504067738e-14, (1701, 1) = 0.11185189999028978e-12, (1701, 2) = -0.10867106670706847e-14, (1701, 3) = 0.32181859001890804e-14, (1702, 1) = 0.10815131809089339e-12, (1702, 2) = -0.12517917243674084e-14, (1702, 3) = 0.28466575658422297e-14, (1703, 1) = 0.11106993131004332e-12, (1703, 2) = -0.1347212626729164e-14, (1703, 3) = 0.3857744930521401e-14, (1704, 1) = 0.12582789068664434e-12, (1704, 2) = -0.11919062573632988e-14, (1704, 3) = 0.3825780250149309e-14, (1705, 1) = 0.13209769538438145e-12, (1705, 2) = -0.10551081510256439e-14, (1705, 3) = 0.211918373216646e-14, (1706, 1) = 0.9964005741009077e-13, (1706, 2) = -0.12195436601528738e-14, (1706, 3) = 0.2535066716077165e-14, (1707, 1) = 0.10827890090196447e-12, (1707, 2) = -0.10014565462888137e-14, (1707, 3) = 0.26822140187419624e-14, (1708, 1) = 0.10134776488986052e-12, (1708, 2) = -0.11479463640141125e-14, (1708, 3) = 0.37408893084254266e-14, (1709, 1) = 0.9956782597085511e-13, (1709, 2) = -0.11558166254906511e-14, (1709, 3) = 0.28269307710803985e-14, (1710, 1) = 0.139118645247548e-12, (1710, 2) = -0.12520470790571657e-14, (1710, 3) = 0.2781840996332358e-14, (1711, 1) = 0.11950105384404048e-12, (1711, 2) = -0.11270747141696065e-14, (1711, 3) = 0.3797226505457241e-14, (1712, 1) = 0.1207485524617193e-12, (1712, 2) = -0.9600611632173306e-15, (1712, 3) = 0.27821381467648674e-14, (1713, 1) = 0.12253359025693915e-12, (1713, 2) = -0.10882287011206516e-14, (1713, 3) = 0.2548690422530733e-14, (1714, 1) = 0.10000715084561655e-12, (1714, 2) = -0.12313819223476007e-14, (1714, 3) = 0.3493537400927609e-14, (1715, 1) = 0.10397030655342912e-12, (1715, 2) = -0.12569108641978854e-14, (1715, 3) = 0.2496010922101169e-14, (1716, 1) = 0.9129979094586924e-13, (1716, 2) = -0.1225923623852228e-14, (1716, 3) = 0.35057240358790066e-14, (1717, 1) = 0.11925459786140803e-12, (1717, 2) = -0.1307220334827957e-14, (1717, 3) = 0.4613541040432166e-14, (1718, 1) = 0.10929443237416275e-12, (1718, 2) = -0.12723040474500448e-14, (1718, 3) = 0.40380985834251656e-14, (1719, 1) = 0.129373837230393e-12, (1719, 2) = -0.10621769965842703e-14, (1719, 3) = 0.322829060163629e-14, (1720, 1) = 0.10374699643189729e-12, (1720, 2) = -0.11891620483681347e-14, (1720, 3) = 0.2398231786559001e-14, (1721, 1) = 0.13692759505495052e-12, (1721, 2) = -0.913397614592538e-15, (1721, 3) = 0.32780759835365255e-14, (1722, 1) = 0.1129687098979333e-12, (1722, 2) = -0.10818062793446392e-14, (1722, 3) = 0.3585114044535496e-14, (1723, 1) = 0.8547658233865168e-13, (1723, 2) = -0.1126411772659736e-14, (1723, 3) = 0.3020667777475254e-14, (1724, 1) = 0.11427406841184906e-12, (1724, 2) = -0.956107226953245e-15, (1724, 3) = 0.4539387327022595e-14, (1725, 1) = 0.12079957775794465e-12, (1725, 2) = -0.10842108208000085e-14, (1725, 3) = 0.437862578126702e-14, (1726, 1) = 0.10944709599092932e-12, (1726, 2) = -0.1129927676122986e-14, (1726, 3) = 0.4176229594905881e-14, (1727, 1) = 0.9449051776852415e-13, (1727, 2) = -0.9746092505545365e-15, (1727, 3) = 0.30173606258791043e-14, (1728, 1) = 0.10676160698927898e-12, (1728, 2) = -0.80697612819539e-15, (1728, 3) = 0.3647641154235065e-14, (1729, 1) = 0.11130072810063925e-12, (1729, 2) = -0.10798652166914698e-14, (1729, 3) = 0.3964007377996154e-14, (1730, 1) = 0.8804297967423492e-13, (1730, 2) = -0.10289231147589282e-14, (1730, 3) = 0.38040911848625824e-14, (1731, 1) = 0.1204225117214542e-12, (1731, 2) = -0.10153362495328095e-14, (1731, 3) = 0.35963433478244626e-14, (1732, 1) = 0.10626639215003982e-12, (1732, 2) = -0.11648760124741031e-14, (1732, 3) = 0.3300425511975216e-14, (1733, 1) = 0.10820269380289366e-12, (1733, 2) = -0.12348025897035275e-14, (1733, 3) = 0.2678171948168126e-14, (1734, 1) = 0.12417806347621716e-12, (1734, 2) = -0.9975039962955832e-15, (1734, 3) = 0.2778086087168607e-14, (1735, 1) = 0.124853863069173e-12, (1735, 2) = -0.12123775174418614e-14, (1735, 3) = 0.27389632030795067e-14, (1736, 1) = 0.1272878722332855e-12, (1736, 2) = -0.8635039263235882e-15, (1736, 3) = 0.32308329700915315e-14, (1737, 1) = 0.11311028913877868e-12, (1737, 2) = -0.11744051098860804e-14, (1737, 3) = 0.2688005000563406e-14, (1738, 1) = 0.9856329454926189e-13, (1738, 2) = -0.10155953202484932e-14, (1738, 3) = 0.4112210725910594e-14, (1739, 1) = 0.11701055920217246e-12, (1739, 2) = -0.11076587224492654e-14, (1739, 3) = 0.26673885074711305e-14, (1740, 1) = 0.13182928977261037e-12, (1740, 2) = -0.8333004231429322e-15, (1740, 3) = 0.37101302720353654e-14, (1741, 1) = 0.12743361717621564e-12, (1741, 2) = -0.9642221663567046e-15, (1741, 3) = 0.21505933739103507e-14, (1742, 1) = 0.9812813220265702e-13, (1742, 2) = -0.10613870106667222e-14, (1742, 3) = 0.3501759315098546e-14, (1743, 1) = 0.10458304895710368e-12, (1743, 2) = -0.9520959692827256e-15, (1743, 3) = 0.3650655166454249e-14, (1744, 1) = 0.9214275608932908e-13, (1744, 2) = -0.1157837383637507e-14, (1744, 3) = 0.2881452779969901e-14, (1745, 1) = 0.942029594995548e-13, (1745, 2) = -0.965430459518433e-15, (1745, 3) = 0.32591996792306652e-14, (1746, 1) = 0.10335188270553547e-12, (1746, 2) = -0.1176025192227818e-14, (1746, 3) = 0.22464102363070677e-14, (1747, 1) = 0.10828367850607534e-12, (1747, 2) = -0.927549408575641e-15, (1747, 3) = 0.2769014058556236e-14, (1748, 1) = 0.13362433869640076e-12, (1748, 2) = -0.993114813679378e-15, (1748, 3) = 0.34777509690342536e-14, (1749, 1) = 0.10985522179231665e-12, (1749, 2) = -0.9679035238370916e-15, (1749, 3) = 0.3624559445191361e-14, (1750, 1) = 0.9510417364939025e-13, (1750, 2) = -0.7573968895531706e-15, (1750, 3) = 0.34056121159065626e-14, (1751, 1) = 0.13372493233441796e-12, (1751, 2) = -0.8538580192428346e-15, (1751, 3) = 0.3638217980012215e-14, (1752, 1) = 0.11989174248666335e-12, (1752, 2) = -0.11431525619792244e-14, (1752, 3) = 0.4027257068018949e-14, (1753, 1) = 0.10273206410646025e-12, (1753, 2) = -0.979756970208034e-15, (1753, 3) = 0.26635947429724976e-14, (1754, 1) = 0.11283623826749291e-12, (1754, 2) = -0.6978692348014272e-15, (1754, 3) = 0.4087846604165845e-14, (1755, 1) = 0.11637600068663864e-12, (1755, 2) = -0.1131221302414393e-14, (1755, 3) = 0.2495805956161954e-14, (1756, 1) = 0.12956160187035242e-12, (1756, 2) = -0.8676470775505395e-15, (1756, 3) = 0.33605384691805714e-14, (1757, 1) = 0.12223884857065e-12, (1757, 2) = -0.8973020062515973e-15, (1757, 3) = 0.3243568451938372e-14, (1758, 1) = 0.10867095678336605e-12, (1758, 2) = -0.9179336592482036e-15, (1758, 3) = 0.329933341862122e-14, (1759, 1) = 0.11240547375006206e-12, (1759, 2) = -0.9685938947403732e-15, (1759, 3) = 0.2210368400347419e-14, (1760, 1) = 0.10776720169710233e-12, (1760, 2) = -0.7256115710348425e-15, (1760, 3) = 0.25362431062883887e-14, (1761, 1) = 0.11633532844681662e-12, (1761, 2) = -0.8193874066993711e-15, (1761, 3) = 0.443553191530527e-14, (1762, 1) = 0.10709754444332445e-12, (1762, 2) = -0.8276462705763227e-15, (1762, 3) = 0.2867044236576635e-14, (1763, 1) = 0.9432760274693998e-13, (1763, 2) = -0.948083266845929e-15, (1763, 3) = 0.24352262585890152e-14, (1764, 1) = 0.1133682207392596e-12, (1764, 2) = -0.89284947230579e-15, (1764, 3) = 0.2757629405520706e-14, (1765, 1) = 0.9862688143388094e-13, (1765, 2) = -0.7258771931140683e-15, (1765, 3) = 0.3235372388426228e-14, (1766, 1) = 0.1180792928323396e-12, (1766, 2) = -0.9792942062757632e-15, (1766, 3) = 0.3318891321467267e-14, (1767, 1) = 0.10867540209939974e-12, (1767, 2) = -0.8058206067925545e-15, (1767, 3) = 0.44838936261025425e-14, (1768, 1) = 0.9309403207339976e-13, (1768, 2) = -0.7685055466501956e-15, (1768, 3) = 0.2084931350036692e-14, (1769, 1) = 0.10305712596410399e-12, (1769, 2) = -0.7101871482732904e-15, (1769, 3) = 0.15182740814389643e-14, (1770, 1) = 0.11092098299122882e-12, (1770, 2) = -0.788108864590953e-15, (1770, 3) = 0.34899775392268512e-14, (1771, 1) = 0.11577438202997318e-12, (1771, 2) = -0.7550130681042736e-15, (1771, 3) = 0.3755983883532733e-14, (1772, 1) = 0.11274810898621834e-12, (1772, 2) = -0.676325489367486e-15, (1772, 3) = 0.3759541064248435e-14, (1773, 1) = 0.10544185505321989e-12, (1773, 2) = -0.8522221055244372e-15, (1773, 3) = 0.3580435864923064e-14, (1774, 1) = 0.1117821468258268e-12, (1774, 2) = -0.8075656583260752e-15, (1774, 3) = 0.37503969311850546e-14, (1775, 1) = 0.9794075413476038e-13, (1775, 2) = -0.8737849024038201e-15, (1775, 3) = 0.3669544295967991e-14, (1776, 1) = 0.13387233843013448e-12, (1776, 2) = -0.7894068349217388e-15, (1776, 3) = 0.34408325474511966e-14, (1777, 1) = 0.1329049681709068e-12, (1777, 2) = -0.7148055270819783e-15, (1777, 3) = 0.40019315729738514e-14, (1778, 1) = 0.12671786553640498e-12, (1778, 2) = -0.8523828178920946e-15, (1778, 3) = 0.34073549086206932e-14, (1779, 1) = 0.9246227881616154e-13, (1779, 2) = -0.7872058642590542e-15, (1779, 3) = 0.32194781014730545e-14, (1780, 1) = 0.12628918127275917e-12, (1780, 2) = -0.8229971400635996e-15, (1780, 3) = 0.26005901573298055e-14, (1781, 1) = 0.1344308156590571e-12, (1781, 2) = -0.8856287309211959e-15, (1781, 3) = 0.43693574257245705e-14, (1782, 1) = 0.13765075733475718e-12, (1782, 2) = -0.773915919338029e-15, (1782, 3) = 0.33374064419010232e-14, (1783, 1) = 0.10381580282249077e-12, (1783, 2) = -0.6862722287884614e-15, (1783, 3) = 0.4047338898874654e-14, (1784, 1) = 0.12116543480776232e-12, (1784, 2) = -0.6633827997451545e-15, (1784, 3) = 0.30580243230798845e-14, (1785, 1) = 0.12663907016426526e-12, (1785, 2) = -0.768012099105283e-15, (1785, 3) = 0.3629293096798329e-14, (1786, 1) = 0.11199883772696038e-12, (1786, 2) = -0.9005448583756068e-15, (1786, 3) = 0.3340460690840331e-14, (1787, 1) = 0.1041928081700279e-12, (1787, 2) = -0.7769007945015095e-15, (1787, 3) = 0.30078379923895097e-14, (1788, 1) = 0.10059366666709932e-12, (1788, 2) = -0.6535638591424864e-15, (1788, 3) = 0.34801094765082328e-14, (1789, 1) = 0.12901836321959842e-12, (1789, 2) = -0.8005920849455759e-15, (1789, 3) = 0.3270367497849594e-14, (1790, 1) = 0.8024060039825138e-13, (1790, 2) = -0.74977362583884125e-15, (1790, 3) = 0.3658064317544775e-14, (1791, 1) = 0.13506204530466847e-12, (1791, 2) = -0.6592382216031271e-15, (1791, 3) = 0.3377043233781894e-14, (1792, 1) = 0.13335971938929082e-12, (1792, 2) = -0.7225210422374107e-15, (1792, 3) = 0.23170527156341944e-14, (1793, 1) = 0.12121431090563286e-12, (1793, 2) = -0.6714172031235509e-15, (1793, 3) = 0.3510292296006678e-14, (1794, 1) = 0.1367948233475614e-12, (1794, 2) = -0.8558884937926551e-15, (1794, 3) = 0.348026943848037e-14, (1795, 1) = 0.12071474206819993e-12, (1795, 2) = -0.696124483389442e-15, (1795, 3) = 0.1910030388552787e-14, (1796, 1) = 0.9650030976187676e-13, (1796, 2) = -0.713889006823877e-15, (1796, 3) = 0.29447776020269944e-14, (1797, 1) = 0.995473781931897e-13, (1797, 2) = -0.5647043520842206e-15, (1797, 3) = 0.24604844169182467e-14, (1798, 1) = 0.10419129576193142e-12, (1798, 2) = -0.5574157147787541e-15, (1798, 3) = 0.4171246087940463e-14, (1799, 1) = 0.9744173515282002e-13, (1799, 2) = -0.789587940183809e-15, (1799, 3) = 0.26977468335734274e-14, (1800, 1) = 0.938459648158659e-13, (1800, 2) = -0.6099562850272315e-15, (1800, 3) = 0.26414446412212464e-14, (1801, 1) = 0.13046283216460087e-12, (1801, 2) = -0.7143049145320645e-15, (1801, 3) = 0.3483241368104193e-14, (1802, 1) = 0.9530337509544001e-13, (1802, 2) = -0.6271342773738819e-15, (1802, 3) = 0.263400770563531e-14, (1803, 1) = 0.12834070859651608e-12, (1803, 2) = -0.7334253573383839e-15, (1803, 3) = 0.34690503115959597e-14, (1804, 1) = 0.11649688199271206e-12, (1804, 2) = -0.7086749001062531e-15, (1804, 3) = 0.4050760383762664e-14, (1805, 1) = 0.11058358226730777e-12, (1805, 2) = -0.6866435498030307e-15, (1805, 3) = 0.33769649745211246e-14, (1806, 1) = 0.8325171869318472e-13, (1806, 2) = -0.6561640019588613e-15, (1806, 3) = 0.4228310943230572e-14, (1807, 1) = 0.10898811239858051e-12, (1807, 2) = -0.7589344838356611e-15, (1807, 3) = 0.36441799454926144e-14, (1808, 1) = 0.13653781443507254e-12, (1808, 2) = -0.6534538112805344e-15, (1808, 3) = 0.28140343597368854e-14, (1809, 1) = 0.11128763997783608e-12, (1809, 2) = -0.7343719979038895e-15, (1809, 3) = 0.19847767056388583e-14, (1810, 1) = 0.1349672316615374e-12, (1810, 2) = -0.6361950015340779e-15, (1810, 3) = 0.5133828579221238e-14, (1811, 1) = 0.11274094289217469e-12, (1811, 2) = -0.6549687042074859e-15, (1811, 3) = 0.28729875991580608e-14, (1812, 1) = 0.12105342126147963e-12, (1812, 2) = -0.6704625085970933e-15, (1812, 3) = 0.3100560372712505e-14, (1813, 1) = 0.9320175870755602e-13, (1813, 2) = -0.6305179672811856e-15, (1813, 3) = 0.2203076164746459e-14, (1814, 1) = 0.10728301802071962e-12, (1814, 2) = -0.58327194189577165e-15, (1814, 3) = 0.33245595210371054e-14, (1815, 1) = 0.9043115279360417e-13, (1815, 2) = -0.5979992557157448e-15, (1815, 3) = 0.3711750810730202e-14, (1816, 1) = 0.12439577794839024e-12, (1816, 2) = -0.63829284468933e-15, (1816, 3) = 0.4486719033219616e-14, (1817, 1) = 0.1180153562095958e-12, (1817, 2) = -0.738601704090678e-15, (1817, 3) = 0.29233533242153657e-14, (1818, 1) = 0.12577552445511404e-12, (1818, 2) = -0.6530363390269119e-15, (1818, 3) = 0.27900484758301845e-14, (1819, 1) = 0.12654373163073385e-12, (1819, 2) = -0.6797893598021674e-15, (1819, 3) = 0.2863551889363093e-14, (1820, 1) = 0.10842929892297088e-12, (1820, 2) = -0.5205662798119032e-15, (1820, 3) = 0.3623288975792663e-14, (1821, 1) = 0.13129750210311007e-12, (1821, 2) = -0.4419612492004534e-15, (1821, 3) = 0.2616863533578102e-14, (1822, 1) = 0.9496507725185926e-13, (1822, 2) = -0.6006326256631029e-15, (1822, 3) = 0.39626611700085735e-14, (1823, 1) = 0.8935586171498025e-13, (1823, 2) = -0.6382337941174823e-15, (1823, 3) = 0.23078480337466343e-14, (1824, 1) = 0.11978581839070387e-12, (1824, 2) = -0.5600821751314393e-15, (1824, 3) = 0.26846532551141038e-14, (1825, 1) = 0.8323449291297479e-13, (1825, 2) = -0.4982323171721581e-15, (1825, 3) = 0.4600461834929172e-14, (1826, 1) = 0.10256405191715974e-12, (1826, 2) = -0.5758751697977561e-15, (1826, 3) = 0.3533515457747349e-14, (1827, 1) = 0.9924487200902882e-13, (1827, 2) = -0.5780119675143824e-15, (1827, 3) = 0.39662310553616394e-14, (1828, 1) = 0.12413110758434732e-12, (1828, 2) = -0.6456616113809854e-15, (1828, 3) = 0.24846272073037768e-14, (1829, 1) = 0.1198044823549664e-12, (1829, 2) = -0.6069212733128985e-15, (1829, 3) = 0.2867630801010109e-14, (1830, 1) = 0.10980185804277771e-12, (1830, 2) = -0.5898995409154219e-15, (1830, 3) = 0.3170087007207262e-14, (1831, 1) = 0.1148975820582834e-12, (1831, 2) = -0.5789104916593214e-15, (1831, 3) = 0.4304511812172314e-14, (1832, 1) = 0.12126452660812188e-12, (1832, 2) = -0.5065583646763792e-15, (1832, 3) = 0.31643368640973477e-14, (1833, 1) = 0.1178701794193943e-12, (1833, 2) = -0.5221729556139782e-15, (1833, 3) = 0.2755609181741744e-14, (1834, 1) = 0.11647766869611047e-12, (1834, 2) = -0.5587729830414056e-15, (1834, 3) = 0.39018586969776294e-14, (1835, 1) = 0.1195552115072411e-12, (1835, 2) = -0.4846968305440372e-15, (1835, 3) = 0.31560628619059693e-14, (1836, 1) = 0.12536532998541233e-12, (1836, 2) = -0.5792568580454908e-15, (1836, 3) = 0.31599010291339527e-14, (1837, 1) = 0.12175457028228584e-12, (1837, 2) = -0.4912528072119076e-15, (1837, 3) = 0.27980518395742828e-14, (1838, 1) = 0.9406960943580718e-13, (1838, 2) = -0.5706444974948289e-15, (1838, 3) = 0.33142765591119277e-14, (1839, 1) = 0.10605930682469952e-12, (1839, 2) = -0.4355767500221313e-15, (1839, 3) = 0.35131337709702718e-14, (1840, 1) = 0.14280755741193504e-12, (1840, 2) = -0.4395270753684988e-15, (1840, 3) = 0.2792753134827449e-14, (1841, 1) = 0.10326224313578409e-12, (1841, 2) = -0.5173701444634102e-15, (1841, 3) = 0.30262518006046815e-14, (1842, 1) = 0.1192860534408706e-12, (1842, 2) = -0.5258930269274378e-15, (1842, 3) = 0.35227615943843364e-14, (1843, 1) = 0.11152302139561408e-12, (1843, 2) = -0.43219135225948906e-15, (1843, 3) = 0.28592154538678974e-14, (1844, 1) = 0.10719475807084472e-12, (1844, 2) = -0.5307575941650575e-15, (1844, 3) = 0.3133038409803901e-14, (1845, 1) = 0.10793254301898843e-12, (1845, 2) = -0.4910195424893646e-15, (1845, 3) = 0.19255345880789232e-14, (1846, 1) = 0.10187755500503587e-12, (1846, 2) = -0.42317230849761254e-15, (1846, 3) = 0.3181424151201601e-14, (1847, 1) = 0.11710958532390794e-12, (1847, 2) = -0.5231874718783168e-15, (1847, 3) = 0.30049727687079913e-14, (1848, 1) = 0.10968962945902362e-12, (1848, 2) = -0.538829380111927e-15, (1848, 3) = 0.2378610387143671e-14, (1849, 1) = 0.10516557177081239e-12, (1849, 2) = -0.41803566947095347e-15, (1849, 3) = 0.32431877361247253e-14, (1850, 1) = 0.12149582831747164e-12, (1850, 2) = -0.4394103547786952e-15, (1850, 3) = 0.2766177903004661e-14, (1851, 1) = 0.9674063663554744e-13, (1851, 2) = -0.44001236235853564e-15, (1851, 3) = 0.2660132005225925e-14, (1852, 1) = 0.9807054514180433e-13, (1852, 2) = -0.471259465258229e-15, (1852, 3) = 0.388099933826223e-14, (1853, 1) = 0.1262800671742553e-12, (1853, 2) = -0.42860099702684293e-15, (1853, 3) = 0.37817891306810895e-14, (1854, 1) = 0.13943050603503122e-12, (1854, 2) = -0.36713922790170353e-15, (1854, 3) = 0.34143232849668087e-14, (1855, 1) = 0.1228259549457938e-12, (1855, 2) = -0.3780766816887834e-15, (1855, 3) = 0.29100276291124543e-14, (1856, 1) = 0.1208626195770979e-12, (1856, 2) = -0.4430964051494906e-15, (1856, 3) = 0.2951132803120013e-14, (1857, 1) = 0.11352888369011828e-12, (1857, 2) = -0.38672014329819237e-15, (1857, 3) = 0.32739876171000797e-14, (1858, 1) = 0.1207301675119248e-12, (1858, 2) = -0.44010604684820298e-15, (1858, 3) = 0.262685810351652e-14, (1859, 1) = 0.948853992345607e-13, (1859, 2) = -0.4818714607969618e-15, (1859, 3) = 0.2767387997454156e-14, (1860, 1) = 0.10515500062717495e-12, (1860, 2) = -0.3522480074454537e-15, (1860, 3) = 0.2892221769655089e-14, (1861, 1) = 0.10676309836517264e-12, (1861, 2) = -0.3320275632473354e-15, (1861, 3) = 0.31426627746092965e-14, (1862, 1) = 0.10696214534631645e-12, (1862, 2) = -0.34292359842005745e-15, (1862, 3) = 0.5192905226111221e-14, (1863, 1) = 0.1301896281409729e-12, (1863, 2) = -0.3792660577574398e-15, (1863, 3) = 0.2750452439624034e-14, (1864, 1) = 0.11899537423553416e-12, (1864, 2) = -0.40259565047759564e-15, (1864, 3) = 0.2553197186575534e-14, (1865, 1) = 0.9588053506628589e-13, (1865, 2) = -0.4283392114345895e-15, (1865, 3) = 0.27198178631365903e-14, (1866, 1) = 0.8914497464415157e-13, (1866, 2) = -0.39400289787266496e-15, (1866, 3) = 0.3361805500351321e-14, (1867, 1) = 0.1049734321989004e-12, (1867, 2) = -0.4471143538771465e-15, (1867, 3) = 0.3019068878401709e-14, (1868, 1) = 0.9774252570672082e-13, (1868, 2) = -0.3902250744721606e-15, (1868, 3) = 0.3060720996879721e-14, (1869, 1) = 0.11099038094747436e-12, (1869, 2) = -0.3468284457137719e-15, (1869, 3) = 0.29931468944136593e-14, (1870, 1) = 0.1264216052755773e-12, (1870, 2) = -0.3932760745254037e-15, (1870, 3) = 0.18740291701723124e-14, (1871, 1) = 0.1093496742837868e-12, (1871, 2) = -0.3190843959947385e-15, (1871, 3) = 0.29714085085170758e-14, (1872, 1) = 0.10700795452352477e-12, (1872, 2) = -0.4150469545534295e-15, (1872, 3) = 0.34090026178093087e-14, (1873, 1) = 0.12385435618723688e-12, (1873, 2) = -0.35678135562670414e-15, (1873, 3) = 0.378304128159921e-14, (1874, 1) = 0.1224182762724833e-12, (1874, 2) = -0.33970452351763185e-15, (1874, 3) = 0.4082987697626282e-14, (1875, 1) = 0.12628999828557492e-12, (1875, 2) = -0.36372855608026017e-15, (1875, 3) = 0.3596480106366592e-14, (1876, 1) = 0.8985681419891012e-13, (1876, 2) = -0.3156024071890105e-15, (1876, 3) = 0.34888202488219002e-14, (1877, 1) = 0.13767589880835732e-12, (1877, 2) = -0.34113544086070566e-15, (1877, 3) = 0.28984697642805577e-14, (1878, 1) = 0.11304619974667282e-12, (1878, 2) = -0.30590215362412394e-15, (1878, 3) = 0.4468766034402218e-14, (1879, 1) = 0.10703371870788508e-12, (1879, 2) = -0.35301807243010926e-15, (1879, 3) = 0.3733242036940204e-14, (1880, 1) = 0.1311496672172377e-12, (1880, 2) = -0.3003901865754594e-15, (1880, 3) = 0.34676556666929484e-14, (1881, 1) = 0.11359548432237732e-12, (1881, 2) = -0.38189721389837932e-15, (1881, 3) = 0.2167490132690095e-14, (1882, 1) = 0.11511590318009677e-12, (1882, 2) = -0.32673255323131954e-15, (1882, 3) = 0.2072129804219457e-14, (1883, 1) = 0.13564717217860272e-12, (1883, 2) = -0.3041451019264556e-15, (1883, 3) = 0.35233561280099454e-14, (1884, 1) = 0.10679145957537428e-12, (1884, 2) = -0.3160067868474074e-15, (1884, 3) = 0.5033595982595507e-14, (1885, 1) = 0.12134176011729284e-12, (1885, 2) = -0.28242327172312634e-15, (1885, 3) = 0.2874898469798015e-14, (1886, 1) = 0.11004217111566294e-12, (1886, 2) = -0.2735262276166124e-15, (1886, 3) = 0.32160796264141034e-14, (1887, 1) = 0.13728996608320242e-12, (1887, 2) = -0.3095493807986855e-15, (1887, 3) = 0.39802255933618195e-14, (1888, 1) = 0.14113473396070334e-12, (1888, 2) = -0.324015016154369e-15, (1888, 3) = 0.21693571679710327e-14, (1889, 1) = 0.987701765468082e-13, (1889, 2) = -0.2719726692584602e-15, (1889, 3) = 0.23352883058231744e-14, (1890, 1) = 0.11112092752226348e-12, (1890, 2) = -0.24688165486297425e-15, (1890, 3) = 0.2910994452470094e-14, (1891, 1) = 0.12806336179574894e-12, (1891, 2) = -0.276975843427359e-15, (1891, 3) = 0.37194875451773025e-14, (1892, 1) = 0.9474292377787015e-13, (1892, 2) = -0.26976165230920213e-15, (1892, 3) = 0.27113347649700345e-14, (1893, 1) = 0.11403132700842712e-12, (1893, 2) = -0.291581993353691e-15, (1893, 3) = 0.3550319220247941e-14, (1894, 1) = 0.9111423354939152e-13, (1894, 2) = -0.2589401992925203e-15, (1894, 3) = 0.31053814986721847e-14, (1895, 1) = 0.9964149063618637e-13, (1895, 2) = -0.203166626032899e-15, (1895, 3) = 0.33627878016136043e-14, (1896, 1) = 0.10862201319577226e-12, (1896, 2) = -0.22607318296108117e-15, (1896, 3) = 0.264003566483268e-14, (1897, 1) = 0.11690303603786842e-12, (1897, 2) = -0.2169224545556162e-15, (1897, 3) = 0.32406785347465152e-14, (1898, 1) = 0.1154310803595552e-12, (1898, 2) = -0.2693953494891426e-15, (1898, 3) = 0.26828507896634416e-14, (1899, 1) = 0.11402212579920018e-12, (1899, 2) = -0.21962858592110278e-15, (1899, 3) = 0.28733637031018365e-14, (1900, 1) = 0.8900120963656914e-13, (1900, 2) = -0.225635738208936e-15, (1900, 3) = 0.3942648054221572e-14, (1901, 1) = 0.1266713310066008e-12, (1901, 2) = -0.2550159932803001e-15, (1901, 3) = 0.2513073968816299e-14, (1902, 1) = 0.12321771379883383e-12, (1902, 2) = -0.24628553256468775e-15, (1902, 3) = 0.23288765985268144e-14, (1903, 1) = 0.11853638008019804e-12, (1903, 2) = -0.23154221681514824e-15, (1903, 3) = 0.4353879985380899e-14, (1904, 1) = 0.11708505736737435e-12, (1904, 2) = -0.201146043345254e-15, (1904, 3) = 0.318228291391209e-14, (1905, 1) = 0.11797379265908072e-12, (1905, 2) = -0.2642026645862864e-15, (1905, 3) = 0.26793485428474856e-14, (1906, 1) = 0.9361197856634262e-13, (1906, 2) = -0.2156504995372045e-15, (1906, 3) = 0.4145126980448692e-14, (1907, 1) = 0.11875981467310364e-12, (1907, 2) = -0.19007057449593368e-15, (1907, 3) = 0.4167626537517038e-14, (1908, 1) = 0.11576696600589116e-12, (1908, 2) = -0.19078884289402646e-15, (1908, 3) = 0.33420796735335854e-14, (1909, 1) = 0.111018149318339e-12, (1909, 2) = -0.24040703716998866e-15, (1909, 3) = 0.390985984838866e-14, (1910, 1) = 0.9631788118906269e-13, (1910, 2) = -0.2038616482892988e-15, (1910, 3) = 0.3820539562547552e-14, (1911, 1) = 0.9780949207505019e-13, (1911, 2) = -0.24125044119923773e-15, (1911, 3) = 0.3548981822039701e-14, (1912, 1) = 0.1154291278576074e-12, (1912, 2) = -0.1771635782202839e-15, (1912, 3) = 0.3495821158075905e-14, (1913, 1) = 0.13002328878807399e-12, (1913, 2) = -0.22902180625054603e-15, (1913, 3) = 0.3229955082157946e-14, (1914, 1) = 0.10694802534645031e-12, (1914, 2) = -0.19132646683122238e-15, (1914, 3) = 0.33476125202235122e-14, (1915, 1) = 0.9061020998698689e-13, (1915, 2) = -0.20200397595182485e-15, (1915, 3) = 0.25031794138211344e-14, (1916, 1) = 0.11191606608204875e-12, (1916, 2) = -0.13175706169157895e-15, (1916, 3) = 0.1977772893885042e-14, (1917, 1) = 0.12440537244144484e-12, (1917, 2) = -0.18079025232072453e-15, (1917, 3) = 0.3783808185188886e-14, (1918, 1) = 0.1024666254856718e-12, (1918, 2) = -0.1515845004793551e-15, (1918, 3) = 0.2829114989511107e-14, (1919, 1) = 0.10145414511075076e-12, (1919, 2) = -0.16938727371849677e-15, (1919, 3) = 0.2638508840827943e-14, (1920, 1) = 0.12865221675790352e-12, (1920, 2) = -0.1584420006338947e-15, (1920, 3) = 0.3631894155032771e-14, (1921, 1) = 0.10384671151619934e-12, (1921, 2) = -0.15826801984983014e-15, (1921, 3) = 0.3847495359366502e-14, (1922, 1) = 0.13615776732038072e-12, (1922, 2) = -0.1603568925404111e-15, (1922, 3) = 0.27394033092441814e-14, (1923, 1) = 0.1290653073950909e-12, (1923, 2) = -0.12550959198476829e-15, (1923, 3) = 0.4227176061592647e-14, (1924, 1) = 0.1297708838450826e-12, (1924, 2) = -0.14950486835820765e-15, (1924, 3) = 0.2937382986597397e-14, (1925, 1) = 0.1044993078226719e-12, (1925, 2) = -0.13397835850888697e-15, (1925, 3) = 0.4266952727013601e-14, (1926, 1) = 0.10777871773649674e-12, (1926, 2) = -0.1182309161486689e-15, (1926, 3) = 0.27547902751513125e-14, (1927, 1) = 0.10862860885497426e-12, (1927, 2) = -0.15430127764525353e-15, (1927, 3) = 0.4650490208476233e-14, (1928, 1) = 0.11601763943327184e-12, (1928, 2) = -0.918561807219244e-16, (1928, 3) = 0.25596598892878553e-14, (1929, 1) = 0.11443418095466796e-12, (1929, 2) = -0.11702207580637891e-15, (1929, 3) = 0.29333778707772354e-14, (1930, 1) = 0.11454185864757997e-12, (1930, 2) = -0.13144160740877455e-15, (1930, 3) = 0.38092061672934965e-14, (1931, 1) = 0.12022433171375375e-12, (1931, 2) = -0.11112542232199495e-15, (1931, 3) = 0.2989199705443404e-14, (1932, 1) = 0.12921856495243782e-12, (1932, 2) = -0.9936070203342478e-16, (1932, 3) = 0.3346320014701115e-14, (1933, 1) = 0.11080680619566244e-12, (1933, 2) = -0.10824133556294351e-15, (1933, 3) = 0.3912096539630456e-14, (1934, 1) = 0.928273116997034e-13, (1934, 2) = -0.1235653325069175e-15, (1934, 3) = 0.3173133218062715e-14, (1935, 1) = 0.1191020816861468e-12, (1935, 2) = -0.8394076890674465e-16, (1935, 3) = 0.25178082965036333e-14, (1936, 1) = 0.125754904770401e-12, (1936, 2) = -0.8970403606440377e-16, (1936, 3) = 0.3086274042451718e-14, (1937, 1) = 0.981110642999922e-13, (1937, 2) = -0.7368671416190543e-16, (1937, 3) = 0.30508413385387885e-14, (1938, 1) = 0.12447395425076897e-12, (1938, 2) = -0.8127949532893343e-16, (1938, 3) = 0.4429810416134269e-14, (1939, 1) = 0.11001851037135865e-12, (1939, 2) = -0.7297808858471728e-16, (1939, 3) = 0.17032300405261997e-14, (1940, 1) = 0.1247419958938715e-12, (1940, 2) = -0.5857675268845569e-16, (1940, 3) = 0.24901396364397535e-14, (1941, 1) = 0.11038910583687554e-12, (1941, 2) = -0.49767499817718416e-16, (1941, 3) = 0.2860441209083803e-14, (1942, 1) = 0.13414123816764742e-12, (1942, 2) = -0.6200505583115275e-16, (1942, 3) = 0.3524511349517058e-14, (1943, 1) = 0.8036720126124724e-13, (1943, 2) = -0.3940409728513473e-16, (1943, 3) = 0.2969952820560273e-14, (1944, 1) = 0.11189972982491996e-12, (1944, 2) = -0.4658980072570897e-16, (1944, 3) = 0.2645330415417912e-14, (1945, 1) = 0.10126995360493773e-12, (1945, 2) = -0.5239350731964244e-16, (1945, 3) = 0.23478337640592757e-14, (1946, 1) = 0.10021159152624479e-12, (1946, 2) = -0.3917564993731032e-16, (1946, 3) = 0.3103135758207413e-14, (1947, 1) = 0.13146718819297824e-12, (1947, 2) = -0.3563153462758805e-16, (1947, 3) = 0.3822062126839218e-14, (1948, 1) = 0.13482384687624347e-12, (1948, 2) = -0.3830239513102516e-16, (1948, 3) = 0.461643795334359e-14, (1949, 1) = 0.12204470932673524e-12, (1949, 2) = -0.26417791687958373e-16, (1949, 3) = 0.34371592055448147e-14, (1950, 1) = 0.11673050511396304e-12, (1950, 2) = -0.23390767130764655e-16, (1950, 3) = 0.28405659347651544e-14, (1951, 1) = 0.11519663551103592e-12, (1951, 2) = -0.18566832192882986e-16, (1951, 3) = 0.3249219198025729e-14, (1952, 1) = 0.9462622427391398e-13, (1952, 2) = -0.21753747239076382e-16, (1952, 3) = 0.31824282100831852e-14, (1953, 1) = 0.10307875973150959e-12, (1953, 2) = -0.1450651812539639e-16, (1953, 3) = 0.27818239665523418e-14, (1954, 1) = 0.12955361694869502e-12, (1954, 2) = -0.11845860715922346e-16, (1954, 3) = 0.2379643795758272e-14, (1955, 1) = 0.921735893978701e-13, (1955, 2) = -0.8186020115678531e-17, (1955, 3) = 0.25198148150849167e-14, (1956, 1) = 0.1228013207095443e-12, (1956, 2) = -0.29891293117282096e-17, (1956, 3) = 0.3112013080209554e-14, (1957, 1) = 0.11483808844206168e-12, (1957, 2) = .0, (1957, 3) = 0.26448429633256436e-14}, datatype = float[8], order = C_order); if not type(outpoint, 'numeric') then if outpoint = "start" or outpoint = "left" then return X[1] elif outpoint = "right" then return X[1957] elif outpoint = "order" then return 8 elif outpoint = "error" then return HFloat(9.505835417149998e-7) elif outpoint = "errorproc" then error "this is already the error procedure" elif outpoint = "rawdata" then return [3, 1957, [f(x), diff(f(x), x), diff(diff(f(x), x), x)], X, Y] else return ('procname')(x_bvp) end if end if; if outpoint < X[1] or X[1957] < outpoint then error "solution is only defined in the range %1..%2", X[1], X[1957] end if; V := array([1 = 4, 2 = 0]); if Digits <= trunc(evalhf(Digits)) then L := Vector(4, 'datatype' = 'float'[8]); yout := Vector(3, 'datatype' = 'float'[8]); evalhf(`dsolve/numeric/lagrange`(1957, 3, X, Y, outpoint, var(yout), var(L), var(V))) else L := Vector(4, 'datatype' = 'sfloat'); yout := Vector(3, 'datatype' = 'sfloat'); `dsolve/numeric/lagrange`(1957, 3, X, Y, outpoint, yout, L, V) end if; [x = outpoint, seq('[f(x), diff(f(x), x), diff(diff(f(x), x), x)]'[i] = yout[i], i = 1 .. 3)] end proc; if not type(outpoint, 'numeric') then if outpoint = "start" or outpoint = "left" then return X[1] elif outpoint = "method" then return "bvp" elif outpoint = "right" then return X[1957] elif outpoint = "order" then return 8 elif outpoint = "error" then return HFloat(9.505835417149998e-7) elif outpoint = "errorproc" then return eval(errproc) elif outpoint = "rawdata" then return [3, 1957, "depnames", X, Y, YP] else error "non-numeric value" end if end if; if outpoint < X[1] or X[1957] < outpoint then error "solution is only defined in the range %1..%2", X[1], X[1957] end if; if Digits <= trunc(evalhf(Digits)) and (_EnvInFsolve <> true or _EnvDSNumericSaveDigits <= trunc(evalhf(Digits))) then V := array( 1 .. 6, [( 1 ) = (7), ( 2 ) = (0), ( 3 ) = (false), ( 4 ) = (false), ( 5 ) = (false), ( 6 ) = (false)  ] ); L := Matrix(7, 2, {(1, 1) = .0, (1, 2) = .0, (2, 1) = .0, (2, 2) = .0, (3, 1) = .0, (3, 2) = .0, (4, 1) = .0, (4, 2) = .0, (5, 1) = .0, (5, 2) = .0, (6, 1) = .0, (6, 2) = .0, (7, 1) = .0, (7, 2) = .0}, datatype = float[8], order = C_order); yout := Vector(3, {(1) = .0, (2) = .0, (3) = .0}, datatype = float[8]); evalhf(`dsolve/numeric/hermite`(1957, 3, X, Y, YP, outpoint, var(yout), var(L), var(V))) else if _EnvInFsolve = true then Digits := _EnvDSNumericSaveDigits end if; V := array( 1 .. 6, [( 1 ) = (7), ( 2 ) = (0), ( 3 ) = (false), ( 4 ) = (false), ( 5 ) = (false), ( 6 ) = (false)  ] ); L := Matrix(7, 2, {(1, 1) = 0., (1, 2) = 0., (2, 1) = 0., (2, 2) = 0., (3, 1) = 0., (3, 2) = 0., (4, 1) = 0., (4, 2) = 0., (5, 1) = 0., (5, 2) = 0., (6, 1) = 0., (6, 2) = 0., (7, 1) = 0., (7, 2) = 0.}, order = C_order); yout := Vector(3, {(1) = 0., (2) = 0., (3) = 0.}); `dsolve/numeric/hermite`(1957, 3, X, Y, YP, outpoint, yout, L, V) end if; [outpoint, seq(yout[i], i = 1 .. 3)] end proc, (2) = Array(0..0, {}), (3) = [x, f(x), diff(f(x), x), diff(diff(f(x), x), x)], (4) = 0}); solnproc := data[1]; if not type(outpoint, 'numeric') then if outpoint = "solnprocedure" then return eval(solnproc) elif member(outpoint, ["start", "left", "right", "errorproc", "rawdata", "order", "error"]) then return solnproc(x_bvp) elif outpoint = "sysvars" then return data[3] elif procname <> unknown then return ('procname')(x_bvp) else _ndsol := pointto(data[2][0]); return ('_ndsol')(x_bvp) end if end if; try res := solnproc(outpoint); [x = res[1], seq('[f(x), diff(f(x), x), diff(diff(f(x), x), x)]'[i] = res[i+1], i = 1 .. 3)] catch: error  end try end proc

(8)

p1 := odeplot(c1, [x, diff(f(x), x)], 0 .. 8, colour = blue, legend="c1"):

b2_bcs := select(has, {bcs}, f);

eval({b2}, theta = 1);

new_ode := {
(10*(1-lambda) + 0.0001143232223) * (diff(f(x), x, x, x))
+(7/4)*f(x)*(diff(f(x), x, x))-(1/2)*(diff(f(x), x))^2+20.13175426-0.4592983151e-4*(diff(f(x), x)) = 0
};

c2 := dsolve(new_ode union b2_bcs, numeric, continuation=lambda, maxmesh=2^13, abserr=1e-4);

{f(0) = 0, (D(f))(0) = 0, (D(f))(8) = 0}

 

{0.1143232223e-3*(diff(diff(diff(f(x), x), x), x))+(7/4)*f(x)*(diff(diff(f(x), x), x))-(1/2)*(diff(f(x), x))^2+20.13175426-0.4592983151e-4*(diff(f(x), x)) = 0}

 

{(10.00011432-10*lambda)*(diff(diff(diff(f(x), x), x), x))+(7/4)*f(x)*(diff(diff(f(x), x), x))-(1/2)*(diff(f(x), x))^2+20.13175426-0.4592983151e-4*(diff(f(x), x)) = 0}

 

proc (x_bvp) local res, data, solnproc, _ndsol, outpoint, i; option `Copyright (c) 2000 by Waterloo Maple Inc. All rights reserved.`; _EnvDSNumericSaveDigits := Digits; Digits := 15; if _EnvInFsolve = true then outpoint := evalf[_EnvDSNumericSaveDigits](x_bvp) else outpoint := evalf(x_bvp) end if; data := Array(1..4, {(1) = proc (outpoint) local X, Y, YP, yout, errproc, L, V, i; option `Copyright (c) 2000 by Waterloo Maple Inc. All rights reserved.`; X := Vector(1791, {(1) = .0, (2) = 0.13780910576779305e-2, (3) = 0.2756182285295886e-2, (4) = 0.4134273522094749e-2, (5) = 0.5512364769041556e-2, (6) = 0.68904560300836705e-2, (7) = 0.8268547294826728e-2, (8) = 0.9646638332109363e-2, (9) = 0.11024729277096055e-1, (10) = 0.12402820257259096e-1, (11) = 0.1378091128001533e-1, (12) = 0.15159002353934477e-1, (13) = 0.165370935468978e-1, (14) = 0.17915185082806383e-1, (15) = 0.19293276752929477e-1, (16) = 0.2067136852104325e-1, (17) = 0.22049460402933745e-1, (18) = 0.23427552416048065e-1, (19) = 0.24805644579522845e-1, (20) = 0.26183736914762428e-1, (21) = 0.27561829445338217e-1, (22) = 0.2893992219710348e-1, (23) = 0.30318015198316225e-1, (24) = 0.316961084740268e-1, (25) = 0.3307420183436217e-1, (26) = 0.34452295385793356e-1, (27) = 0.3583038932453301e-1, (28) = 0.37208483692418505e-1, (29) = 0.38586578534445005e-1, (30) = 0.3996467393623458e-1, (31) = 0.4134277017591114e-1, (32) = 0.4272086711600315e-1, (33) = 0.4409896474324095e-1, (34) = 0.4547706311978528e-1, (35) = 0.46855162310664604e-1, (36) = 0.482332623857293e-1, (37) = 0.49611363419024807e-1, (38) = 0.5098946548880248e-1, (39) = 0.5236756867764251e-1, (40) = 0.53745673072576806e-1, (41) = 0.5512377876521192e-1, (42) = 0.5650188585155023e-1, (43) = 0.57879994280840716e-1, (44) = 0.59258104069112125e-1, (45) = 0.60636215557912605e-1, (46) = 0.620143289121972e-1, (47) = 0.633924444733533e-1, (48) = 0.64770562171008e-1, (49) = 0.6614868207217643e-1, (50) = 0.6752680431437187e-1, (51) = 0.6890492903856206e-1, (52) = 0.7028305639320886e-1, (53) = 0.7166118653333377e-1, (54) = 0.7303931962008942e-1, (55) = 0.744174558208827e-1, (56) = 0.7579559530949781e-1, (57) = 0.7717373826621926e-1, (58) = 0.7855188487774013e-1, (59) = 0.7993003533438571e-1, (60) = 0.8130818983512587e-1, (61) = 0.826863485073297e-1, (62) = 0.8406451136297463e-1, (63) = 0.8544267889075058e-1, (64) = 0.8682085158123777e-1, (65) = 0.8819902951034393e-1, (66) = 0.8957721283272431e-1, (67) = 0.90955401795762e-1, (68) = 0.9233359665632915e-1, (69) = 0.9371179768095969e-1, (70) = 0.9509000514424754e-1, (71) = 0.9646821932896991e-1, (72) = 0.9784644052621079e-1, (73) = 0.9922466903548428e-1, (74) = .10060290516481113, (75) = .10198114922644372, (76) = .103359401542488, (77) = .10473766244670896, (78) = .10611593228189846, (79) = .10749421142759201, (80) = .10887250045129801, (81) = .11025079931499142, (82) = .11162910844293791, (83) = .11300742834952478, (84) = .11438575942935489, (85) = .11576410209109542, (86) = .11714245675340994, (87) = .11852082384508242, (88) = .11989920380514138, (89) = .121277597082984, (90) = .12265600413850036, (91) = .12403442543757354, (92) = .1254128614546062, (93) = .1267913126808266, (94) = .12816977961846934, (95) = .12954826281174694, (96) = .13092676300047246, (97) = .13230528054771656, (98) = .13368381592680326, (99) = .1350623695097624, (100) = .13644094182901542, (101) = .13781953367491465, (102) = .139198145643306, (103) = .14057677833979948, (104) = .14195543238220282, (105) = .1433341084006469, (106) = .14471280703771133, (107) = .14609152894460492, (108) = .14747027477802674, (109) = .14884904521707965, (110) = .1502278410121005, (111) = .15160666305779405, (112) = .15298551186744477, (113) = .15436438813146264, (114) = .15574329259545164, (115) = .1571222260151808, (116) = .1585011891501231, (117) = .15988018268155932, (118) = .16125920724349538, (119) = .16263826389382915, (120) = .16401735348389193, (121) = .16539647685573886, (122) = .16677563486585678, (123) = .16815482838253765, (124) = .1695340582760073, (125) = .1709133254434342, (126) = .17229263086123217, (127) = .17367197563875142, (128) = .1750513605148447, (129) = .1764307864124936, (130) = .17781025430701144, (131) = .17918976518721827, (132) = .18056932004230086, (133) = .1819489198897447, (134) = .18332856576667705, (135) = .18470825868008023, (136) = .18608799946502727, (137) = .1874677894201098, (138) = .18884762971441693, (139) = .19022752146533345, (140) = .1916074657894623, (141) = .19298746392963345, (142) = .19436751717941733, (143) = .19574762651615907, (144) = .19712779312630466, (145) = .19850801822953515, (146) = .19988830306302235, (147) = .20126864888081342, (148) = .20264905693569074, (149) = .20402952850831516, (150) = .20541006490577954, (151) = .20679066745331492, (152) = .20817133749442512, (153) = .2095520763910215, (154) = .21093288552096795, (155) = .21231376607366872, (156) = .21369471962054387, (157) = .21507574781106298, (158) = .21645685191495417, (159) = .21783803340226265, (160) = .2192192937660698, (161) = .22060063451893547, (162) = .2219820571930361, (163) = .22336356334028548, (164) = .2247451545134966, (165) = .22612683228668032, (166) = .2275085982703512, (167) = .22889045409531378, (168) = .23027240141281022, (169) = .231654441906859, (170) = .233036577470208, (171) = .23441880970749102, (172) = .23580114023175774, (173) = .23718357064565926, (174) = .23856610260391953, (175) = .23994873813981263, (176) = .24133147908425276, (177) = .2427143272771222, (178) = .2440972845801502, (179) = .24548035287705183, (180) = .24686353405863765, (181) = .24824683002457545, (182) = .24963024272318582, (183) = .25101377412593184, (184) = .2523974262570498, (185) = .2537812013319773, (186) = .25516510122789876, (187) = .2565491279418952, (188) = .25793328354769857, (189) = .25931757012170775, (190) = .2607019897941404, (191) = .26208654465574116, (192) = .26347123667131855, (193) = .264856068275624, (194) = .2662410417438673, (195) = .2676261593281407, (196) = .26901142329464117, (197) = .2703968359064426, (198) = .271782399567847, (199) = .27316811676327185, (200) = .27455398966775013, (201) = .2759400206615168, (202) = .27732621216974207, (203) = .27871256664321076, (204) = .28009908655041044, (205) = .2814857743516166, (206) = .2828726325677525, (207) = .28425966375180295, (208) = .28564687048316406, (209) = .2870342553455162, (210) = .2884218207290383, (211) = .2898095694539269, (212) = .291197504465008, (213) = .29258562842648966, (214) = .2939739439126719, (215) = .2953624536900747, (216) = .29675116055351025, (217) = .2981400673257212, (218) = .29952917685755026, (219) = .3009184920281223, (220) = .3023080157412286, (221) = .3036977508857413, (222) = .3050877004109137, (223) = .3064778673087488, (224) = .307868254600403, (225) = .30925886535717767, (226) = .3106497028543532, (227) = .31204077006164993, (228) = .31343206983375443, (229) = .3148236053149538, (230) = .31621537986644616, (231) = .3176073967167804, (232) = .31899965912493106, (233) = .32039217038069967, (234) = .32178493380490375, (235) = .32317795274957556, (236) = .32457123059736265, (237) = .3259647707165327, (238) = .3273585766214344, (239) = .32875265189626823, (240) = .33014699985823515, (241) = .33154162403605797, (242) = .33293652800361623, (243) = .33433171536759054, (244) = .33572718976758076, (245) = .33712295483288307, (246) = .33851901410695084, (247) = .33991537119878207, (248) = .34131203011859057, (249) = .34270899468632393, (250) = .3441062687418857, (251) = .3455038561626409, (252) = .3469017610279619, (253) = .3482999872041916, (254) = .3496985384880963, (255) = .35109741889183893, (256) = .35249663246327473, (257) = .3538961832860718, (258) = .3552960754799457, (259) = .356696313200888, (260) = .3580969006414026, (261) = .35949784199790774, (262) = .36089914147854607, (263) = .36230080338344023, (264) = .36370283203762066, (265) = .3651052317690989, (266) = .36650800704159514, (267) = .36791116231844617, (268) = .3693147020904748, (269) = .3707186308599255, (270) = .3721229531280667, (271) = .37352767349724386, (272) = .3749327966121515, (273) = .37633832715718907, (274) = .3777442698567237, (275) = .3791506294753571, (276) = .3805574108185097, (277) = .38196461885713745, (278) = .3833722584139882, (279) = .38478033425154035, (280) = .3861888513359993, (281) = .38759781467658155, (282) = .38900722930401976, (283) = .3904171000664265, (284) = .39182743225521977, (285) = .3932382311435085, (286) = .3946495018726076, (287) = .39606124969587797, (288) = .3974734799759377, (289) = .3988861982272953, (290) = .40029940966242683, (291) = .4017131196888151, (292) = .4031273337927712, (293) = .40454205749407635, (294) = .4059572962841466, (295) = .40737305576734034, (296) = .4087893416109362, (297) = .41020615952889505, (298) = .41162351528218827, (299) = .4130414146791273, (300) = .41445986357535675, (301) = .4158788678180189, (302) = .41729843327349553, (303) = .4187185659613521, (304) = .42013927192914574, (305) = .4215605572737128, (306) = .42298242814163095, (307) = .42440489072957766, (308) = .42582795128469103, (309) = .4272516161006165, (310) = .4286758914383154, (311) = .4301007836616941, (312) = .4315262992826486, (313) = .4329524449559828, (314) = .4343792270503913, (315) = .4358066521457503, (316) = .4372347269036484, (317) = .43866345803778706, (318) = .4400928520636025, (319) = .4415229156946559, (320) = .44295365603301334, (321) = .4443850800157253, (322) = .4458171946310065, (323) = .44725000693331257, (324) = .4486835242079084, (325) = .45011775351981, (326) = .4515527019059028, (327) = .45298837657728963, (328) = .45442478486398064, (329) = .45586193415495607, (330) = .4572998318986233, (331) = .45873848560327724, (332) = .4601779028375639, (333) = .4616180912309586, (334) = .46305905840562883, (335) = .4645008121337585, (336) = .4659433602285095, (337) = .46738671018834305, (338) = .46883087019398845, (339) = .4702758482786178, (340) = .47172165250826464, (341) = .4731682910137464, (342) = .4746157719332567, (343) = .4760641034328381, (344) = .47751329383663793, (345) = .47896335153700836, (346) = .48041428502137185, (347) = .48186610300430677, (348) = .48331881393069215, (349) = .484772426403006, (350) = .4862269491087825, (351) = .487682390743389, (352) = .48913876017598795, (353) = .49059606628342994, (354) = .4920543178523452, (355) = .4935135242172139, (356) = .49497369459220125, (357) = .4964348382141258, (358) = .4978969645019361, (359) = .49936008273232524, (360) = .500824202198264, (361) = .5022893324339758, (362) = .5037554830519564, (363) = .5052226637424283, (364) = .506690884274013, (365) = .5081601544944155, (366) = .5096304843024101, (367) = .5111018835750254, (368) = .5125743624641982, (369) = .5140479312646583, (370) = .5155226000369081, (371) = .5169983790736371, (372) = .5184752785284998, (373) = .5199533090757009, (374) = .521432481398389, (375) = .5229128060345933, (376) = .5243942937186765, (377) = .5258769552977011, (378) = .5273608017426483, (379) = .5288458442634547, (380) = .5303320938100232, (381) = .5318195615353087, (382) = .5333082587247504, (383) = .5347981966307829, (384) = .536289386699657, (385) = .5377818405085106, (386) = .5392755697299612, (387) = .5407705861329885, (388) = .5422669015805849, (389) = .543764527961876, (390) = .545263477365434, (391) = .5467637618613239, (392) = .5482653936607933, (393) = .5497683851275443, (394) = .551272748728233, (395) = .5527784970334476, (396) = .5542856427187114, (397) = .5557941985654986, (398) = .5573041774589537, (399) = .558815592394124, (400) = .5603284564554106, (401) = .5618427826803531, (402) = .5633585843892897, (403) = .5648758750186976, (404) = .566394668118497, (405) = .5679149773498916, (406) = .5694368162508282, (407) = .5709601986389904, (408) = .5724851387395672, (409) = .5740116507898338, (410) = .5755397488491126, (411) = .5770694472791744, (412) = .5786007605766442, (413) = .5801337033623044, (414) = .5816682903823618, (415) = .5832045364047945, (416) = .5847424563170843, (417) = .586282065246859, (418) = .58782337849944, (419) = .5893664116468487, (420) = .5909111800290712, (421) = .5924576992556688, (422) = .5940059848650031, (423) = .595556052765468, (424) = .5971079190890182, (425) = .5986616000441246, (426) = .600217111982876, (427) = .6017744714299743, (428) = .6033336952246159, (429) = .6048947999951, (430) = .606457802610358, (431) = .6080227200853281, (432) = .609589569503278, (433) = .6111583682475985, (434) = .6127291338618207, (435) = .6143018840461325, (436) = .6158766366742684, (437) = .6174534099593932, (438) = .6190322216885424, (439) = .6206130901405787, (440) = .6221960338475004, (441) = .6237810714730007, (442) = .6253682218614497, (443) = .6269575040284355, (444) = .6285489371627027, (445) = .6301425406338298, (446) = .6317383341740271, (447) = .6333363373944011, (448) = .6349365698875126, (449) = .6365390517158668, (450) = .6381438031475619, (451) = .6397508446382816, (452) = .6413601968334754, (453) = .6429718805673719, (454) = .6445859167771804, (455) = .6462023266960789, (456) = .6478211316264219, (457) = .6494423531629924, (458) = .6510660131358385, (459) = .652692133581037, (460) = .6543207367431518, (461) = .6559518450777253, (462) = .6575854812549036, (463) = .6592216683138356, (464) = .6608604291658834, (465) = .6625017869232076, (466) = .66414576513338, (467) = .6657923875713, (468) = .6674416782415113, (469) = .6690936613678595, (470) = .6707483611138996, (471) = .672405802493762, (472) = .6740660104491418, (473) = .6757290099473455, (474) = .6773948264305508, (475) = .6790634855916671, (476) = .6807350133772224, (477) = .6824094359905607, (478) = .6840867798970816, (479) = .6857670720051414, (480) = .6874503391163014, (481) = .6891366082474315, (482) = .6908259069354937, (483) = .6925182629948505, (484) = .6942137044807658, (485) = .6959122594338173, (486) = .6976139567713288, (487) = .6993188257735151, (488) = .7010268955127374, (489) = .7027381952770186, (490) = .7044527549257371, (491) = .706170604626134, (492) = .7078917748573701, (493) = .7096162964146812, (494) = .7113442004168106, (495) = .7130755185048315, (496) = .7148102822788062, (497) = .7165485235515298, (498) = .7182902747646922, (499) = .7200355686185916, (500) = .7217844379154315, (501) = .723536916482575, (502) = .7252930384712135, (503) = .7270528379593667, (504) = .7288163492959338, (505) = .7305836072740864, (506) = .732354647213996, (507) = .7341295048199068, (508) = .7359082162183557, (509) = .7376908181319417, (510) = .7394773472574493, (511) = .741267840804561, (512) = .7430623363938905, (513) = .7448608719797472, (514) = .7466634859508446, (515) = .7484702170042878, (516) = .7502811049610979, (517) = .7520961899529082, (518) = .7539155120782861, (519) = .7557391120085242, (520) = .7575670308953559, (521) = .7593993102483234, (522) = .7612359922152636, (523) = .7630771195046661, (524) = .7649227354678392, (525) = .7667728834927938, (526) = .7686276076619638, (527) = .7704869526167853, (528) = .7723509631610739, (529) = .7742196849459169, (530) = .7760931646141989, (531) = .7779714486994097, (532) = .7798545845185458, (533) = .7817426199585538, (534) = .7836356034757072, (535) = .7855335841053139, (536) = .7874366116511778, (537) = .7893447361741838, (538) = .7912580082687206, (539) = .793176479381276, (540) = .7951002015847367, (541) = .7970292275466542, (542) = .7989636101966553, (543) = .800903404084347, (544) = .8028486639494362, (545) = .8047994448412038, (546) = .8067558027753247, (547) = .8087177945028123, (548) = .8106854775387432, (549) = .8126589103350321, (550) = .8146381515701361, (551) = .816623260834965, (552) = .8186142985471522, (553) = .8206113257854117, (554) = .8226144044187839, (555) = .8246235971321669, (556) = .8266389677056196, (557) = .8286605805839081, (558) = .8306885010383055, (559) = .8327227951966105, (560) = .834763530297551, (561) = .8368107741016577, (562) = .8388645951377812, (563) = .8409250631137491, (564) = .8429922486686715, (565) = .8450662234241797, (566) = .8471470602073182, (567) = .849234831843875, (568) = .851329612980924, (569) = .8534314793787522, (570) = .8555405075961428, (571) = .8576567753950551, (572) = .8597803617461065, (573) = .8619113461612615, (574) = .864049809528383, (575) = .8661958339093787, (576) = .86834950251868, (577) = .870510899952233, (578) = .8726801118581982, (579) = .8748572245868883, (580) = .8770423257851381, (581) = .8792355053231928, (582) = .8814368539134266, (583) = .8836464638181912, (584) = .8858644281365953, (585) = .8880908413514121, (586) = .8903257995279702, (587) = .8925694002702192, (588) = .8948217427531803, (589) = .8970829270321606, (590) = .8993530549212665, (591) = .9016322292657546, (592) = .9039205556919382, (593) = .9062181410187112, (594) = .9085250933121275, (595) = .9108415224712023, (596) = .9131675401763487, (597) = .9155032600650711, (598) = .9178487968689286, (599) = .9202042673798935, (600) = .9225697902944803, (601) = .924945486031647, (602) = .9273314772237826, (603) = .929727888570931, (604) = .9321348465367949, (605) = .9345524796762584, (606) = .9369809189357857, (607) = .9394202966845232, (608) = .9418707476489216, (609) = .9443324089505253, (610) = .9468054204316313, (611) = .9492899236674592, (612) = .9517860618390919, (613) = .9542939820654285, (614) = .9568138333542432, (615) = .9593457675388172, (616) = .9618899383499553, (617) = .9644465022912234, (618) = .9670156190977974, (619) = .9695974511495477, (620) = .9721921636713603, (621) = .9747999239186468, (622) = .9774209019030415, (623) = .9800552724788522, (624) = .9827032124186408, (625) = .9853649015860059, (626) = .988040524066292, (627) = .9907302667539597, (628) = .9934343192186098, (629) = .9961528748954874, (630) = .9988861308208321, (631) = 1.0016342880478035, (632) = 1.0043975497625073, (633) = 1.0071761242851285, (634) = 1.009970225205045, (635) = 1.0127800690536646, (636) = 1.015605875620496, (637) = 1.0184478694239976, (638) = 1.0213062796743257, (639) = 1.0241813390236154, (640) = 1.0270732840962247, (641) = 1.0299823580383793, (642) = 1.0329088092950969, (643) = 1.035852889965972, (644) = 1.038814857300214, (645) = 1.0417949739375465, (646) = 1.044793506823198, (647) = 1.0478107287831842, (648) = 1.050846918771745, (649) = 1.0539023597607569, (650) = 1.0569773426503382, (651) = 1.0600721653632827, (652) = 1.063187130576185, (653) = 1.066322546554366, (654) = 1.0694787290345305, (655) = 1.0726559993947236, (656) = 1.0758546862810943, (657) = 1.0790751250930546, (658) = 1.0823176602829447, (659) = 1.0855826442669294, (660) = 1.0888704358701204, (661) = 1.092181402107478, (662) = 1.0955159171112951, (663) = 1.0988743645228756, (664) = 1.1022571355315258, (665) = 1.1056646299517416, (666) = 1.1090972589316914, (667) = 1.1125554441875172, (668) = 1.1160396152401666, (669) = 1.119550211880781, (670) = 1.1230876831012677, (671) = 1.1266524896728969, (672) = 1.1302451008339673, (673) = 1.1338660002729686, (674) = 1.1375156839951497, (675) = 1.1411946612235118, (676) = 1.144899811654508, (677) = 1.1486215201081762, (678) = 1.1523556695546873, (679) = 1.156101939565587, (680) = 1.1598604089679339, (681) = 1.163631157357081, (682) = 1.1674142653250532, (683) = 1.171209814710945, (684) = 1.1750178875523059, (685) = 1.1788385666523737, (686) = 1.1826719356359061, (687) = 1.1865180789599994, (688) = 1.190377081925106, (689) = 1.194249030686321, (690) = 1.198134012437506, (691) = 1.2020321158345684, (692) = 1.2059434297823985, (693) = 1.2098680440037457, (694) = 1.213806049135844, (695) = 1.217757536742776, (696) = 1.2217225993280851, (697) = 1.225701330347687, (698) = 1.229693824352706, (699) = 1.2337001775717953, (700) = 1.2377204865738245, (701) = 1.241754848794014, (702) = 1.245803362688565, (703) = 1.2498661277488397, (704) = 1.253943244515854, (705) = 1.2580348145951035, (706) = 1.26214094076149, (707) = 1.2662617276806323, (708) = 1.2703972805004395, (709) = 1.2745477052784862, (710) = 1.2787131092157866, (711) = 1.282893600673123, (712) = 1.2870892891877654, (713) = 1.2913002854905606, (714) = 1.29552670157795, (715) = 1.299768651544287, (716) = 1.3040262501716942, (717) = 1.3082996131882167, (718) = 1.3125888576067257, (719) = 1.3168941017437907, (720) = 1.3212154652390533, (721) = 1.3255530690750084, (722) = 1.3299070356231832, (723) = 1.3342774895493952, (724) = 1.3386645564917188, (725) = 1.3430683630610136, (726) = 1.3474890373168915, (727) = 1.3519267087896336, (728) = 1.3563815085027329, (729) = 1.3608535689958963, (730) = 1.3653430243551377, (731) = 1.3698500111400114, (732) = 1.3743746672653114, (733) = 1.3789171316331488, (734) = 1.383477544785311, (735) = 1.388056048928832, (736) = 1.3926527879623487, (737) = 1.3972679075029717, (738) = 1.401901554913477, (739) = 1.4065538801841713, (740) = 1.4112250351663775, (741) = 1.4159151726973331, (742) = 1.4206244474773722, (743) = 1.4253530160999244, (744) = 1.4301010370824825, (745) = 1.434868670898153, (746) = 1.4396560800076672, (747) = 1.444463429656994, (748) = 1.4492908875529293, (749) = 1.454138622405888, (750) = 1.4590068050422649, (751) = 1.463895608449737, (752) = 1.4688052078138407, (753) = 1.473735780555223, (754) = 1.4786875063675227, (755) = 1.4836605679268406, (756) = 1.488655151028267, (757) = 1.493671442551222, (758) = 1.4987096317696607, (759) = 1.5037699104362283, (760) = 1.508852472825708, (761) = 1.5139575157792533, (762) = 1.519085238749478, (763) = 1.5242358444188846, (764) = 1.5294095393117049, (765) = 1.5346065312017068, (766) = 1.5398270305651562, (767) = 1.5450712507348858, (768) = 1.5503394079522146, (769) = 1.555631721419805, (770) = 1.5609484133556542, (771) = 1.5662897095191526, (772) = 1.571655840305661, (773) = 1.5770470376380896, (774) = 1.5824635364837751, (775) = 1.5879055751193332, (776) = 1.5933733951931073, (777) = 1.5988672417887506, (778) = 1.604387363490307, (779) = 1.6099340128169315, (780) = 1.6155074477971847, (781) = 1.6211079284154652, (782) = 1.6267357180821482, (783) = 1.632391084062948, (784) = 1.6380742975545548, (785) = 1.6437856337616725, (786) = 1.6495253719760223, (787) = 1.6552937959242657, (788) = 1.6610911958036205, (789) = 1.666917864395583, (790) = 1.6727740983359285, (791) = 1.6786601987792606, (792) = 1.6845764714913098, (793) = 1.6905232269430073, (794) = 1.6965007804071246, (795) = 1.7025094522290694, (796) = 1.7085495702830715, (797) = 1.714621465923076, (798) = 1.720725474841508, (799) = 1.7268619380621908, (800) = 1.7330312020538947, (801) = 1.7392336188461879, (802) = 1.7454695461486343, (803) = 1.75173934756159, (804) = 1.7580433953799333, (805) = 1.7643820666309495, (806) = 1.7707557432324716, (807) = 1.7771648134374503, (808) = 1.783609671974877, (809) = 1.790090720193776, (810) = 1.7966083662115546, (811) = 1.8031630250927506, (812) = 1.809755121880793, (813) = 1.8163850880844192, (814) = 1.8230533607388288, (815) = 1.8297603844657964, (816) = 1.836506611650262, (817) = 1.8432925026210967, (818) = 1.8501185258375723, (819) = 1.8569851580797119, (820) = 1.8638928875215928, (821) = 1.8708422111848393, (822) = 1.8778336323591163, (823) = 1.884867663497001, (824) = 1.8919448264376069, (825) = 1.8990656526360192, (826) = 1.9062306834002287, (827) = 1.9134404701330905, (828) = 1.9206955772966228, (829) = 1.9279965813078315, (830) = 1.9353440658357468, (831) = 1.9427386256936352, (832) = 1.9501808671520542, (833) = 1.9576714082335904, (834) = 1.9652108790175236, (835) = 1.9727999219515, (836) = 1.9804391946930398, (837) = 1.9881293706853667, (838) = 1.9958711321159286, (839) = 2.003665174797045, (840) = 2.0115122086729227, (841) = 2.0194129582033384, (842) = 2.027368162760606, (843) = 2.0353785770365613, (844) = 2.0434449737524933, (845) = 2.051568146188454, (846) = 2.0597488986026797, (847) = 2.067988052030137, (848) = 2.076286445140284, (849) = 2.0846449347439577, (850) = 2.0930643963182676, (851) = 2.1015457245461526, (852) = 2.1100898358947373, (853) = 2.1186976734134326, (854) = 2.127370194454674, (855) = 2.136108377219933, (856) = 2.1449132222033547, (857) = 2.1537857528724897, (858) = 2.162727016373893, (859) = 2.1717380842606344, (860) = 2.180820054956229, (861) = 2.189974061181317, (862) = 2.1992012549078557, (863) = 2.2085028143191905, (864) = 2.2178799461943024, (865) = 2.2273338868390584, (866) = 2.2368659030525166, (867) = 2.246477293126729, (868) = 2.2561693892454824, (869) = 2.2659435679424913, (870) = 2.2758012324033503, (871) = 2.285743819240173, (872) = 2.295772802357273, (873) = 2.305889694252036, (874) = 2.3160960473665173, (875) = 2.3263934554914436, (876) = 2.336783556208281, (877) = 2.347268044814795, (878) = 2.357848654433577, (879) = 2.368527161564203, (880) = 2.3793053922671215, (881) = 2.390185224024763, (882) = 2.4011685876783524, (883) = 2.412257469448854, (884) = 2.4234539136406643, (885) = 2.4347600404744036, (886) = 2.446178025101051, (887) = 2.4577101001656905, (888) = 2.469358565629604, (889) = 2.481125791507235, (890) = 2.4930142207203474, (891) = 2.5050263720913337, (892) = 2.5171648437330707, (893) = 2.529432335165457, (894) = 2.5418316275254136, (895) = 2.554365580139517, (896) = 2.5670371461186656, (897) = 2.579849376514387, (898) = 2.5928054246647703, (899) = 2.605908550778625, (900) = 2.619162126833561, (901) = 2.632569663142517, (902) = 2.6461347943000617, (903) = 2.659861264611737, (904) = 2.6737529530211117, (905) = 2.6878138796655566, (906) = 2.702048212755224, (907) = 2.7164602758773446, (908) = 2.7310545558218275, (909) = 2.745835734226222, (910) = 2.760808686195202, (911) = 2.7759784475562936, (912) = 2.7913502543066806, (913) = 2.8069295536324446, (914) = 2.8227220153170425, (915) = 2.838733543949099, (916) = 2.854970292064218, (917) = 2.871438699788678, (918) = 2.888145514922433, (919) = 2.905097734808061, (920) = 2.9223026670722483, (921) = 2.939767949801446, (922) = 2.9575015715764073, (923) = 2.975511893108498, (924) = 2.9938076706819507, (925) = 3.0123981097115156, (926) = 3.0312929226153376, (927) = 3.0505022354749176, (928) = 3.0700366817846065, (929) = 3.089907442192935, (930) = 3.1101262823047593, (931) = 3.1307055939682473, (932) = 3.151658440403262, (933) = 3.17299863689639, (934) = 3.1947408808148308, (935) = 3.2168540510167594, (936) = 3.2391870390111195, (937) = 3.2615380304579773, (938) = 3.283889021904835, (939) = 3.306240013351693, (940) = 3.3285910047985507, (941) = 3.3509419962454086, (942) = 3.373292987692266, (943) = 3.3956439791391237, (944) = 3.4179949705859816, (945) = 3.4403459620328394, (946) = 3.462696953479697, (947) = 3.485047944926555, (948) = 3.507398936373413, (949) = 3.52974992782027, (950) = 3.552100919267128, (951) = 3.574451910713986, (952) = 3.5968029021608436, (953) = 3.6191538936077015, (954) = 3.6415048850545593, (955) = 3.663855876501417, (956) = 3.686206867948275, (957) = 3.7085578593951327, (958) = 3.73090885084199, (959) = 3.7532598422888475, (960) = 3.7756108337357053, (961) = 3.797961825182563, (962) = 3.820312816629421, (963) = 3.8426638080762787, (964) = 3.8650147995231365, (965) = 3.8873657909699944, (966) = 3.9097167824168517, (967) = 3.9320677738637095, (968) = 3.9544187653105674, (969) = 3.976769756757425, (970) = 3.999120748204283, (971) = 4.02147173965114, (972) = 4.043822731097998, (973) = 4.066173722544855, (974) = 4.0885247139917125, (975) = 4.11087570543857, (976) = 4.133226696885427, (977) = 4.155577688332285, (978) = 4.177928679779142, (979) = 4.200279671225999, (980) = 4.222630662672857, (981) = 4.244981654119714, (982) = 4.267332645566571, (983) = 4.289683637013429, (984) = 4.312034628460286, (985) = 4.3343856199071435, (986) = 4.356736611354001, (987) = 4.379087602800858, (988) = 4.401438594247716, (989) = 4.423789585694573, (990) = 4.44614057714143, (991) = 4.468491568588288, (992) = 4.490842560035145, (993) = 4.5131935514820025, (994) = 4.53554454292886, (995) = 4.557895534375717, (996) = 4.580246525822575, (997) = 4.602597517269432, (998) = 4.624948508716289, (999) = 4.647299500163147, (1000) = 4.669650491610004, (1001) = 4.6920014830568615, (1002) = 4.714352474503719, (1003) = 4.736703465950576, (1004) = 4.759054457397434, (1005) = 4.781404799216934, (1006) = 4.803555857025029, (1007) = 4.825329686230723, (1008) = 4.846700636344939, (1009) = 4.8676831083435275, (1010) = 4.888290952653194, (1011) = 4.908537294095524, (1012) = 4.928434581450934, (1013) = 4.947994633123792, (1014) = 4.967228691727494, (1015) = 4.986147518163103, (1016) = 5.004761276508341, (1017) = 5.023079633398372, (1018) = 5.041111804609516, (1019) = 5.058866582531506, (1020) = 5.076352361588239, (1021) = 5.09357716190287, (1022) = 5.1105486565984455, (1023) = 5.127274237201391, (1024) = 5.143760931874562, (1025) = 5.160015457547712, (1026) = 5.176044252673672, (1027) = 5.19185349232541, (1028) = 5.207449102305179, (1029) = 5.222836772381203, (1030) = 5.23802197066452, (1031) = 5.253009989797105, (1032) = 5.267805891412894, (1033) = 5.282414530558621, (1034) = 5.2968405811234165, (1035) = 5.311088544681818, (1036) = 5.325162758827864, (1037) = 5.339067405039756, (1038) = 5.35280651662894, (1039) = 5.366384011238592, (1040) = 5.379803655242292, (1041) = 5.393069071006316, (1042) = 5.40618375802217, (1043) = 5.419151098359772, (1044) = 5.431974361844646, (1045) = 5.444656710965365, (1046) = 5.4572012055466255, (1047) = 5.4696108251174795, (1048) = 5.481888448354184, (1049) = 5.494036849299753, (1050) = 5.506058715740416, (1051) = 5.517956652713927, (1052) = 5.529733185862249, (1053) = 5.541390764620423, (1054) = 5.552931765213083, (1055) = 5.564358505380218, (1056) = 5.575673235101015, (1057) = 5.5868781256059545, (1058) = 5.597975285797476, (1059) = 5.60896676459784, (1060) = 5.6198545531974125, (1061) = 5.6306405871987, (1062) = 5.641326748641649, (1063) = 5.651914875558652, (1064) = 5.662406759797797, (1065) = 5.672804132667184, (1066) = 5.683108679173514, (1067) = 5.693322039792036, (1068) = 5.703445812019707, (1069) = 5.713481551859294, (1070) = 5.7234307752280085, (1071) = 5.73329496415095, (1072) = 5.743075568601532, (1073) = 5.752773991399771, (1074) = 5.762391600059989, (1075) = 5.771929728345036, (1076) = 5.78138967736705, (1077) = 5.790772716640899, (1078) = 5.800080085088443, (1079) = 5.809312995024561, (1080) = 5.818472636114437, (1081) = 5.827560160964602, (1082) = 5.836576694603791, (1083) = 5.845523336015868, (1084) = 5.854401158937535, (1085) = 5.86321121262265, (1086) = 5.871954522573818, (1087) = 5.8806320930735545, (1088) = 5.88924491207937, (1089) = 5.897793938267356, (1090) = 5.9062801082831475, (1091) = 5.914704338354773, (1092) = 5.923067524882176, (1093) = 5.9313705450025465, (1094) = 5.9396142571335035, (1095) = 5.9477995025488, (1096) = 5.955927110480759, (1097) = 5.963997886982035, (1098) = 5.972012620132422, (1099) = 5.97997208178041, (1100) = 5.987877027986439, (1101) = 5.9957281994482905, (1102) = 6.003526321911202, (1103) = 6.01127210712413, (1104) = 6.018966257702434, (1105) = 6.02660945794393, (1106) = 6.034202377192057, (1107) = 6.041745671725249, (1108) = 6.049239985095399, (1109) = 6.056685948452867, (1110) = 6.0640841808608235, (1111) = 6.071435289860439, (1112) = 6.0787398758276145, (1113) = 6.085998524747034, (1114) = 6.0932118099292065, (1115) = 6.100380294050164, (1116) = 6.10750452941349, (1117) = 6.1145850582020875, (1118) = 6.121622412722367, (1119) = 6.128617115734664, (1120) = 6.135569684154111, (1121) = 6.142480623711917, (1122) = 6.149350429212049, (1123) = 6.156179586714717, (1124) = 6.162968573741763, (1125) = 6.169717859474135, (1126) = 6.176427904943899, (1127) = 6.183099163237174, (1128) = 6.189732082464176, (1129) = 6.196327102197348, (1130) = 6.202884652437874, (1131) = 6.209405155931775, (1132) = 6.215889028332733, (1133) = 6.22233667835873, (1134) = 6.228748507944705, (1135) = 6.235124912390897, (1136) = 6.241466282578786, (1137) = 6.247773003049917, (1138) = 6.25404544984294, (1139) = 6.260283992925494, (1140) = 6.266488996325331, (1141) = 6.272660818255867, (1142) = 6.278799811238757, (1143) = 6.28490632222301, (1144) = 6.290980694174713, (1145) = 6.297023265413213, (1146) = 6.3030343667041295, (1147) = 6.309014323669091, (1148) = 6.314963456917427, (1149) = 6.320882082147755, (1150) = 6.326770510247313, (1151) = 6.33262904738849, (1152) = 6.338457996150776, (1153) = 6.344257655709279, (1154) = 6.350028318576862, (1155) = 6.355770272842545, (1156) = 6.3614838023364255, (1157) = 6.3671691867126, (1158) = 6.372826701530332, (1159) = 6.3784566183329705, (1160) = 6.384059205422717, (1161) = 6.389634728600404, (1162) = 6.395183447837537, (1163) = 6.400705619244085, (1164) = 6.406201495288093, (1165) = 6.411671324863907, (1166) = 6.417115353359028, (1167) = 6.422533822719128, (1168) = 6.427926971967931, (1169) = 6.433295038274226, (1170) = 6.4386382537527265, (1171) = 6.443956847097584, (1172) = 6.449251043870226, (1173) = 6.4545210665559125, (1174) = 6.459767134619187, (1175) = 6.46498946455784, (1176) = 6.470188270238767, (1177) = 6.475363764125736, (1178) = 6.48051615434806, (1179) = 6.485645645961562, (1180) = 6.490752441312572, (1181) = 6.49583674008514, (1182) = 6.500898739347333, (1183) = 6.505938633596336, (1184) = 6.5109566149648295, (1185) = 6.515952874486294, (1186) = 6.520927599526407, (1187) = 6.525880974651328, (1188) = 6.530813182071833, (1189) = 6.53572440168298, (1190) = 6.540614811103008, (1191) = 6.545484585711258, (1192) = 6.550333898767153, (1193) = 6.555162922622411, (1194) = 6.559971826577668, (1195) = 6.564760777350811, (1196) = 6.56952993960244, (1197) = 6.574279475969404, (1198) = 6.579009547097664, (1199) = 6.583720311674378, (1200) = 6.588411926491902, (1201) = 6.593084547541017, (1202) = 6.597738328331403, (1203) = 6.602373419961777, (1204) = 6.606989971725969, (1205) = 6.6115881311414215, (1206) = 6.616168043977115, (1207) = 6.620729854280856, (1208) = 6.625273704413289, (1209) = 6.629799735975012, (1210) = 6.634308088611934, (1211) = 6.6387988996953045, (1212) = 6.643272305006327, (1213) = 6.647728438760528, (1214) = 6.652167433631586, (1215) = 6.656589420774672, (1216) = 6.660994529849638, (1217) = 6.665382889749256, (1218) = 6.6697546278974835, (1219) = 6.674109869551884, (1220) = 6.678448738563764, (1221) = 6.682771357399121, (1222) = 6.687077847159084, (1223) = 6.691368327599973, (1224) = 6.695642917153209, (1225) = 6.699901733468242, (1226) = 6.704144893131508, (1227) = 6.708372510677416, (1228) = 6.712584699384995, (1229) = 6.716781571303092, (1230) = 6.720963237267985, (1231) = 6.725129806920699, (1232) = 6.729281388724179, (1233) = 6.733418090360076, (1234) = 6.737540018754783, (1235) = 6.741647278921578, (1236) = 6.7457399747370745, (1237) = 6.749818208981715, (1238) = 6.753882083355008, (1239) = 6.757931698490542, (1240) = 6.7619671539708595, (1241) = 6.765988548610135, (1242) = 6.769995980695763, (1243) = 6.7739895467583455, (1244) = 6.777969342284508, (1245) = 6.781935461780951, (1246) = 6.785887998787692, (1247) = 6.789827045891132, (1248) = 6.793752694736986, (1249) = 6.797665036225105, (1250) = 6.801564160892885, (1251) = 6.805450157689099, (1252) = 6.809323114590128, (1253) = 6.813183118693667, (1254) = 6.817030256230274, (1255) = 6.820864612574783, (1256) = 6.824686272257596, (1257) = 6.8284953190931565, (1258) = 6.83229183664588, (1259) = 6.8360759070672295, (1260) = 6.839847611590734, (1261) = 6.843607030659735, (1262) = 6.847354243937489, (1263) = 6.851089330317182, (1264) = 6.854812367931811, (1265) = 6.858523434233982, (1266) = 6.862222606496749, (1267) = 6.865909960759993, (1268) = 6.869585572186223, (1269) = 6.873249515225388, (1270) = 6.876901863623755, (1271) = 6.880542690432713, (1272) = 6.884172068017467, (1273) = 6.887790068102617, (1274) = 6.891396762269854, (1275) = 6.8949922210489545, (1276) = 6.898576514121605, (1277) = 6.902149710525259, (1278) = 6.905711878660958, (1279) = 6.909263086301105, (1280) = 6.912803400597128, (1281) = 6.916332888102726, (1282) = 6.919851615238103, (1283) = 6.923359647552258, (1284) = 6.926857049766241, (1285) = 6.9303438860172, (1286) = 6.933820219865289, (1287) = 6.937286114300557, (1288) = 6.940741631749719, (1289) = 6.94418683408679, (1290) = 6.947621783039892, (1291) = 6.951046539644554, (1292) = 6.954461164121096, (1293) = 6.9578657161593656, (1294) = 6.961260254924866, (1295) = 6.9646448390648645, (1296) = 6.968019526714407, (1297) = 6.971384375502257, (1298) = 6.974739442881528, (1299) = 6.97808478578806, (1300) = 6.981420460349267, (1301) = 6.984746522209545, (1302) = 6.9880630265357215, (1303) = 6.991370028022493, (1304) = 6.9946675808977785, (1305) = 6.997955738927988, (1306) = 7.001234555670139, (1307) = 7.004504084320527, (1308) = 7.0077643772787495, (1309) = 7.011015486501217, (1310) = 7.014257463508445, (1311) = 7.017490359389909, (1312) = 7.020714224808822, (1313) = 7.023929110006838, (1314) = 7.027135064992245, (1315) = 7.030332139533606, (1316) = 7.03352038263119, (1317) = 7.036699842872261, (1318) = 7.039870568445417, (1319) = 7.043032607144927, (1320) = 7.046186006375012, (1321) = 7.049330813154053, (1322) = 7.0524670742513935, (1323) = 7.055594836287542, (1324) = 7.058714145156649, (1325) = 7.061825046361948, (1326) = 7.064927585041339, (1327) = 7.068021805971287, (1328) = 7.071107753570649, (1329) = 7.074185471904463, (1330) = 7.07725500478003, (1331) = 7.080316395921317, (1332) = 7.083369688378713, (1333) = 7.086414924827, (1334) = 7.089452147605552, (1335) = 7.092481398721838, (1336) = 7.095502719854859, (1337) = 7.098516152358561, (1338) = 7.101521737326306, (1339) = 7.1045195158122345, (1340) = 7.107509528258274, (1341) = 7.1104918147404, (1342) = 7.113466415026105, (1343) = 7.116433368577546, (1344) = 7.119392714554652, (1345) = 7.1223444918181915, (1346) = 7.12528873897039, (1347) = 7.12822549460038, (1348) = 7.13115479675314, (1349) = 7.134076683112648, (1350) = 7.136991191078665, (1351) = 7.139898357769592, (1352) = 7.142798220025263, (1353) = 7.14569081440972, (1354) = 7.148576177234588, (1355) = 7.151454344809409, (1356) = 7.1543253529727675, (1357) = 7.157189237203273, (1358) = 7.160046032717258, (1359) = 7.162895774471349, (1360) = 7.165738497165003, (1361) = 7.168574235243016, (1362) = 7.171403022907273, (1363) = 7.1742248943559295, (1364) = 7.177039883393203, (1365) = 7.179848023461118, (1366) = 7.182649347759282, (1367) = 7.185443889247211, (1368) = 7.1882316806466315, (1369) = 7.191012754443754, (1370) = 7.1937871428941795, (1371) = 7.196554878237562, (1372) = 7.199315992399363, (1373) = 7.202070516937965, (1374) = 7.204818483187344, (1375) = 7.207559922259183, (1376) = 7.210294865044963, (1377) = 7.213023342218031, (1378) = 7.2157453842357135, (1379) = 7.218461021518386, (1380) = 7.221170284253794, (1381) = 7.223873202255523, (1382) = 7.226569805129124, (1383) = 7.2292601222740345, (1384) = 7.231944182885482, (1385) = 7.234622015956365, (1386) = 7.237293650279094, (1387) = 7.239959114584527, (1388) = 7.242618437448007, (1389) = 7.245271647065528, (1390) = 7.247918771439038, (1391) = 7.250559838379105, (1392) = 7.253194875506651, (1393) = 7.255823910254669, (1394) = 7.258446969869904, (1395) = 7.261064081518126, (1396) = 7.26367527227041, (1397) = 7.266280568823011, (1398) = 7.268879997688027, (1399) = 7.271473585199616, (1400) = 7.27406135751558, (1401) = 7.276643340618936, (1402) = 7.279219560319442, (1403) = 7.281790042331292, (1404) = 7.284354812320185, (1405) = 7.286913895590076, (1406) = 7.289467317267056, (1407) = 7.2920151023115585, (1408) = 7.2945572755198045, (1409) = 7.2970938615252425, (1410) = 7.299624884799947, (1411) = 7.30215036971002, (1412) = 7.304670340606602, (1413) = 7.307184821499381, (1414) = 7.309693836223392, (1415) = 7.312197408459251, (1416) = 7.314695561734483, (1417) = 7.317188319424837, (1418) = 7.319675704755567, (1419) = 7.32215774083919, (1420) = 7.324634450795812, (1421) = 7.327105857430445, (1422) = 7.329571983374029, (1423) = 7.332032851113382, (1424) = 7.334488482992429, (1425) = 7.336938901213396, (1426) = 7.339384127838003, (1427) = 7.341824184811611, (1428) = 7.344259094100232, (1429) = 7.346688877386205, (1430) = 7.34911355617613, (1431) = 7.351533151841944, (1432) = 7.353947685622046, (1433) = 7.356357178622401, (1434) = 7.3587616518176295, (1435) = 7.361161126065112, (1436) = 7.363555622247729, (1437) = 7.365945161000321, (1438) = 7.368329762778409, (1439) = 7.370709447911547, (1440) = 7.373084236604355, (1441) = 7.375454148937537, (1442) = 7.377819204868879, (1443) = 7.3801794242404055, (1444) = 7.382534826917414, (1445) = 7.384885432556255, (1446) = 7.387231260628763, (1447) = 7.389572330488806, (1448) = 7.391908661373247, (1449) = 7.394240272402868, (1450) = 7.396567182583302, (1451) = 7.398889410807933, (1452) = 7.401206975985099, (1453) = 7.403519896856096, (1454) = 7.405828191971147, (1455) = 7.408131879769888, (1456) = 7.41043097858225, (1457) = 7.412725506629318, (1458) = 7.41501548202419, (1459) = 7.417300922772969, (1460) = 7.4195818468831805, (1461) = 7.421858272239463, (1462) = 7.424130216527683, (1463) = 7.426397697329928, (1464) = 7.428660732125325, (1465) = 7.430919338290835, (1466) = 7.43317353310204, (1467) = 7.435423333733933, (1468) = 7.4376687573463425, (1469) = 7.439909821020014, (1470) = 7.442146541629687, (1471) = 7.444378935952264, (1472) = 7.446607020667917, (1473) = 7.448830812360828, (1474) = 7.451050327519912, (1475) = 7.453265582539552, (1476) = 7.455476593785075, (1477) = 7.457683377578142, (1478) = 7.4598859500328825, (1479) = 7.462084327169436, (1480) = 7.464278524916985, (1481) = 7.466468559114427, (1482) = 7.468654445511061, (1483) = 7.470836199767254, (1484) = 7.473013837503344, (1485) = 7.475187374323214, (1486) = 7.477356825627181, (1487) = 7.4795222067234635, (1488) = 7.481683532834661, (1489) = 7.48384081909839, (1490) = 7.48599408056791, (1491) = 7.488143332212749, (1492) = 7.490288588954009, (1493) = 7.492429865716297, (1494) = 7.494567177229397, (1495) = 7.4967005381311695, (1496) = 7.498829962978815, (1497) = 7.500955466249461, (1498) = 7.503077062340749, (1499) = 7.5051947655714075, (1500) = 7.507308590205645, (1501) = 7.509418550524714, (1502) = 7.511524660627934, (1503) = 7.513626934521385, (1504) = 7.515725386135089, (1505) = 7.517820029323561, (1506) = 7.519910877866347, (1507) = 7.521997945468563, (1508) = 7.524081245776739, (1509) = 7.526160792462326, (1510) = 7.528236599031322, (1511) = 7.530308678893864, (1512) = 7.532377045388315, (1513) = 7.534441711781771, (1514) = 7.536502691270563, (1515) = 7.538559996980762, (1516) = 7.540613641977586, (1517) = 7.5426636393540525, (1518) = 7.5447100020573, (1519) = 7.546752742934862, (1520) = 7.548791874766476, (1521) = 7.5508274102645645, (1522) = 7.5528593620747, (1523) = 7.55488774277607, (1524) = 7.55691256488634, (1525) = 7.558933840949454, (1526) = 7.560951583385703, (1527) = 7.562965804511047, (1528) = 7.56497651657737, (1529) = 7.566983731772911, (1530) = 7.568987462222709, (1531) = 7.570987719989034, (1532) = 7.572984517073371, (1533) = 7.574977865498086, (1534) = 7.576967777186391, (1535) = 7.578954263951601, (1536) = 7.580937337546414, (1537) = 7.582917009663318, (1538) = 7.584893291935, (1539) = 7.58686619593475, (1540) = 7.588835733177049, (1541) = 7.590801915188476, (1542) = 7.5927647534228635, (1543) = 7.594724259217868, (1544) = 7.596680443853756, (1545) = 7.598633318553786, (1546) = 7.600582894484596, (1547) = 7.602529182756572, (1548) = 7.604472194424234, (1549) = 7.606411940542953, (1550) = 7.60834843212261, (1551) = 7.610281680050527, (1552) = 7.612211695159525, (1553) = 7.614138488228412, (1554) = 7.616062069982338, (1555) = 7.617982451093149, (1556) = 7.6198996421797425, (1557) = 7.6218136538519525, (1558) = 7.623724496696834, (1559) = 7.625632181175908, (1560) = 7.627536717697904, (1561) = 7.6294381166203395, (1562) = 7.63133638824985, (1563) = 7.633231542842519, (1564) = 7.63512359060421, (1565) = 7.637012541723672, (1566) = 7.638898406384515, (1567) = 7.640781194645519, (1568) = 7.642660916513175, (1569) = 7.644537581945381, (1570) = 7.646411200851751, (1571) = 7.648281783093926, (1572) = 7.650149338485883, (1573) = 7.652013876818102, (1574) = 7.653875407889021, (1575) = 7.655733941376214, (1576) = 7.657589486904393, (1577) = 7.659442054052134, (1578) = 7.661291652352162, (1579) = 7.663138291291645, (1580) = 7.664981980312485, (1581) = 7.666822728828208, (1582) = 7.668660546269317, (1583) = 7.670495441952304, (1584) = 7.672327425139284, (1585) = 7.674156505048531, (1586) = 7.675982690854755, (1587) = 7.6778059916893735, (1588) = 7.679626416640785, (1589) = 7.681443974765498, (1590) = 7.683258675142344, (1591) = 7.685070526745568, (1592) = 7.686879538492669, (1593) = 7.688685719259472, (1594) = 7.6904890778803745, (1595) = 7.692289623148611, (1596) = 7.694087363816504, (1597) = 7.695882308602196, (1598) = 7.697674466248216, (1599) = 7.699463845404192, (1600) = 7.701250454659897, (1601) = 7.703034302565456, (1602) = 7.704815397631581, (1603) = 7.7065937483298175, (1604) = 7.708369363092783, (1605) = 7.710142250317718, (1606) = 7.71191241842538, (1607) = 7.713679875757298, (1608) = 7.715444630591383, (1609) = 7.717206691167804, (1610) = 7.718966065689209, (1611) = 7.720722762320957, (1612) = 7.722476789191341, (1613) = 7.724228154393074, (1614) = 7.725976866038884, (1615) = 7.727722932177695, (1616) = 7.72946636079047, (1617) = 7.731207159822223, (1618) = 7.732945337182231, (1619) = 7.7346809007442445, (1620) = 7.736413858346703, (1621) = 7.7381442177931445, (1622) = 7.739871986901281, (1623) = 7.741597173441966, (1624) = 7.743319785113253, (1625) = 7.745039829578932, (1626) = 7.746757314468729, (1627) = 7.748472247378511, (1628) = 7.750184635870482, (1629) = 7.75189448747338, (1630) = 7.753601809722344, (1631) = 7.755306610123695, (1632) = 7.757008896105828, (1633) = 7.758708675064425, (1634) = 7.760405954362687, (1635) = 7.762100741331517, (1636) = 7.763793043269714, (1637) = 7.765482867444154, (1638) = 7.76717022112089, (1639) = 7.768855111552736, (1640) = 7.770537545911486, (1641) = 7.772217531337076, (1642) = 7.773895074938449, (1643) = 7.775570183793728, (1644) = 7.777242864950399, (1645) = 7.77891312542548, (1646) = 7.780580972229186, (1647) = 7.782246412370729, (1648) = 7.783909452777763, (1649) = 7.785570100346137, (1650) = 7.787228361942106, (1651) = 7.788884244402507, (1652) = 7.790537754534915, (1653) = 7.792188899117819, (1654) = 7.793837684918052, (1655) = 7.795484118710641, (1656) = 7.797128207190828, (1657) = 7.798769957021372, (1658) = 7.80040937483677, (1659) = 7.8020464672434064, (1660) = 7.803681240819721, (1661) = 7.805313702116356, (1662) = 7.806943857668493, (1663) = 7.808571714025932, (1664) = 7.810197277662543, (1665) = 7.811820555018388, (1666) = 7.813441552506511, (1667) = 7.815060276513095, (1668) = 7.816676733397606, (1669) = 7.818290929492943, (1670) = 7.8199028711136735, (1671) = 7.821512564592903, (1672) = 7.823120016193532, (1673) = 7.824725232142737, (1674) = 7.826328218641861, (1675) = 7.827928981866561, (1676) = 7.829527527966944, (1677) = 7.831123863067707, (1678) = 7.832717993273207, (1679) = 7.834309924707983, (1680) = 7.835899663433771, (1681) = 7.837487215474144, (1682) = 7.839072586827959, (1683) = 7.840655783469499, (1684) = 7.8422368113486005, (1685) = 7.84381567639079, (1686) = 7.845392384500022, (1687) = 7.846966941600013, (1688) = 7.848539353560586, (1689) = 7.850109626210489, (1690) = 7.851677765354815, (1691) = 7.853243776775132, (1692) = 7.854807666229612, (1693) = 7.8563694394531485, (1694) = 7.857929102158551, (1695) = 7.859486660076099, (1696) = 7.861042118892433, (1697) = 7.8625954842497885, (1698) = 7.864146761767749, (1699) = 7.865695957043372, (1700) = 7.867243075651303, (1701) = 7.868788123143899, (1702) = 7.870331105051558, (1703) = 7.871872026918169, (1704) = 7.873410894255436, (1705) = 7.874947712526955, (1706) = 7.8764824871746235, (1707) = 7.878015223618752, (1708) = 7.8795459272581825, (1709) = 7.881074603470395, (1710) = 7.8826012576116256, (1711) = 7.884125895046118, (1712) = 7.885648521118413, (1713) = 7.887169141120937, (1714) = 7.888687760325311, (1715) = 7.890204383982467, (1716) = 7.891719017322754, (1717) = 7.893231665556047, (1718) = 7.89474233387185, (1719) = 7.896251027462283, (1720) = 7.897757751510996, (1721) = 7.899262511146688, (1722) = 7.900765311477734, (1723) = 7.9022661575926705, (1724) = 7.903765054560294, (1725) = 7.905262007429767, (1726) = 7.906757021230713, (1727) = 7.908250100990842, (1728) = 7.909741251738308, (1729) = 7.9112304784453205, (1730) = 7.912717786063682, (1731) = 7.914203179526162, (1732) = 7.915686663746589, (1733) = 7.9171682436199555, (1734) = 7.918647924022506, (1735) = 7.92012570982484, (1736) = 7.9216016059047805, (1737) = 7.923075617084903, (1738) = 7.92454774816677, (1739) = 7.926018003933675, (1740) = 7.927486389150736, (1741) = 7.928952908564986, (1742) = 7.930417566905462, (1743) = 7.93188036889257, (1744) = 7.933341319258748, (1745) = 7.934800422683425, (1746) = 7.936257683823942, (1747) = 7.937713107320096, (1748) = 7.939166697794234, (1749) = 7.940618459851334, (1750) = 7.942068398079093, (1751) = 7.943516517054262, (1752) = 7.9449628213686445, (1753) = 7.946407315564672, (1754) = 7.94785000416118, (1755) = 7.949290891660152, (1756) = 7.950729982546811, (1757) = 7.952167281289691, (1758) = 7.953602792340728, (1759) = 7.955036520139217, (1760) = 7.956468469140881, (1761) = 7.9578986437569785, (1762) = 7.959327048373279, (1763) = 7.960753687359359, (1764) = 7.962178565068684, (1765) = 7.963601685838685, (1766) = 7.965023053990839, (1767) = 7.966442673832862, (1768) = 7.967860549688768, (1769) = 7.969276685844168, (1770) = 7.970691086556938, (1771) = 7.972103756069388, (1772) = 7.973514698608339, (1773) = 7.974923918385197, (1774) = 7.976331419596026, (1775) = 7.977737206422542, (1776) = 7.9791412830612405, (1777) = 7.980543653677328, (1778) = 7.981944322405713, (1779) = 7.9833432933663335, (1780) = 7.984740570664231, (1781) = 7.986136158389621, (1782) = 7.987530060617963, (1783) = 7.988922281410255, (1784) = 7.990312824839511, (1785) = 7.991701694955506, (1786) = 7.9930888957748705, (1787) = 7.994474431299832, (1788) = 7.9958583055182855, (1789) = 7.997240522403863, (1790) = 7.998621085915997, (1791) = 8.0}, datatype = float[8], order = C_order); Y := Matrix(1791, 3, {(1, 1) = .0, (1, 2) = .0, (1, 3) = 1496.6554270565039, (2, 1) = 0.13438388863496384e-2, (2, 2) = 1.8934761815356111, (2, 3) = 1248.9250438661759, (3, 1) = 0.5056214014581393e-2, (3, 2) = 3.432812525787684, (3, 3) = 981.6879715002915, (4, 1) = 0.10631099721222706e-1, (4, 2) = 4.59401251708704, (4, 3) = 704.0004621409932, (5, 1) = 0.1754631376045389e-1, (5, 2) = 5.382864779125461, (5, 3) = 447.49257605537383, (6, 1) = 0.25320200977717557e-1, (6, 2) = 5.852832041578828, (6, 3) = 245.67770323297668, (7, 1) = 0.3357184412005473e-1, (7, 2) = 6.092252030464993, (7, 3) = 113.22487311501561, (8, 1) = 0.4204820495389212e-1, (8, 2) = 6.192932263555478, (8, 3) = 41.38938710034982, (9, 1) = 0.5060944946765297e-1, (9, 2) = 6.2245778439647665, (9, 3) = 9.365429687797283, (10, 1) = 0.5919164481315353e-1, (10, 2) = 6.227993325316952, (10, 3) = -2.252945497722564, (11, 1) = 0.6777082580448017e-1, (11, 2) = 6.222088409303044, (11, 3) = -5.550740072252773, (12, 1) = 0.7633986787387578e-1, (12, 2) = 6.213888629906588, (12, 3) = -6.134061090395822, (13, 1) = 0.8489736085226861e-1, (13, 2) = 6.205480678273424, (13, 3) = -6.023512334019606, (14, 1) = 0.9344343247855638e-1, (14, 2) = 6.197335940254046, (14, 3) = -5.793375641020516, (15, 1) = .10197850082882143, (15, 2) = 6.189508767350574, (15, 3) = -5.569842792636483, (16, 1) = .11050298791678816, (16, 2) = 6.181972991572695, (16, 3) = -5.3707667433309645, (17, 1) = .11901727231252278, (17, 2) = 6.174695580742049, (17, 3) = -5.194235269808101, (18, 1) = .12752168999823907, (18, 2) = 6.167648144207494, (18, 3) = -5.0364083600879805, (19, 1) = .1360165413295086, (19, 2) = 6.160807199775164, (19, 3) = -4.89408775819985, (20, 1) = .1445020971129769, (20, 2) = 6.154153161424117, (20, 3) = -4.764789770515279, (21, 1) = .15297860335175817, (21, 2) = 6.147669476093151, (21, 3) = -4.646568424638854, (22, 1) = .16144628496428717, (22, 2) = 6.141341986671258, (22, 3) = -4.537872709372964, (23, 1) = .16990534874625243, (23, 2) = 6.135158460496693, (23, 3) = -4.437446940831619, (24, 1) = .17835598573186673, (24, 2) = 6.129108233389189, (24, 3) = -4.344260721825413, (25, 1) = .18679837186239814, (25, 2) = 6.123181936640065, (25, 3) = -4.257458564640426, (26, 1) = .19523267275058617, (26, 2) = 6.117371280554031, (26, 3) = -4.176322815909817, (27, 1) = .2036590437765643, (27, 2) = 6.111668885451486, (27, 3) = -4.100245930804556, (28, 1) = .21207762975198058, (28, 2) = 6.1060681461295525, (28, 3) = -4.028709366869804, (29, 1) = .22048856687282287, (29, 2) = 6.1005631202478545, (29, 3) = -3.961267263931053, (30, 1) = .22889198379649658, (30, 2) = 6.095148437161211, (30, 3) = -3.8975336847761963, (31, 1) = .23728800330019167, (31, 2) = 6.08981922198714, (31, 3) = -3.837172514807474, (32, 1) = .24567673921545669, (32, 2) = 6.084571035050418, (32, 3) = -3.779889418321687, (33, 1) = .2540583002808136, (33, 2) = 6.079399816847632, (33, 3) = -3.725425299899447, (34, 1) = .2624327903351134, (34, 2) = 6.07430184346647, (34, 3) = -3.673551005404761, (35, 1) = .2708003083110896, (35, 2) = 6.0692736886969625, (35, 3) = -3.624062974564998, (36, 1) = .27916094863432106, (36, 2) = 6.064312191308945, (36, 3) = -3.5767796448481812, (37, 1) = .28751480156462367, (37, 2) = 6.05941442686373, (37, 3) = -3.531538459022915, (38, 1) = .2958619535051549, (38, 2) = 6.054577683300168, (38, 3) = -3.4881933592915653, (39, 1) = .304202487280801, (39, 2) = 6.049799439691998, (39, 3) = -3.446612676598134, (40, 1) = .3125364823891833, (40, 2) = 6.0450773476839705, (40, 3) = -3.4066773430685857, (41, 1) = .32086401522769126, (41, 2) = 6.040409215202303, (41, 3) = -3.368279370361981, (42, 1) = .3291851592976154, (42, 2) = 6.035792992106712, (42, 3) = -3.331320548161476, (43, 1) = .3374999844791504, (43, 2) = 6.0312267580035135, (43, 3) = -3.2957113297514, (44, 1) = .3458085584918633, (44, 2) = 6.026708710270447, (44, 3) = -3.2613698612233435, (45, 1) = .35411094860693637, (45, 2) = 6.022237153219092, (45, 3) = -3.228221139795118, (46, 1) = .3624072187608794, (46, 2) = 6.017810490812262, (46, 3) = -3.196196299676962, (47, 1) = .3706974318133106, (47, 2) = 6.013427217512542, (47, 3) = -3.1652319690773885, (48, 1) = .3789816461291077, (48, 2) = 6.009085912966727, (48, 3) = -3.135269727813143, (49, 1) = .38725991899593204, (49, 2) = 6.004785233770544, (49, 3) = -3.1062556063641593, (50, 1) = .39553230632244407, (50, 2) = 6.0005239078598, (50, 3) = -3.0781396575762874, (51, 1) = .40379886232972223, (51, 2) = 5.996300729446622, (51, 3) = -3.050875578008328, (52, 1) = .4120596396634183, (52, 2) = 5.992114554222663, (52, 3) = -3.024420370886235, (53, 1) = .42031468946974054, (53, 2) = 5.987964295015799, (53, 3) = -2.9987340466659314, (54, 1) = .4285640614687747, (54, 2) = 5.983848917834764, (54, 3) = -2.973779356232074, (55, 1) = .4368078040259067, (55, 2) = 5.979767438259741, (55, 3) = -2.949521552593183, (56, 1) = .4450459642184868, (56, 2) = 5.975718918143751, (56, 3) = -2.9259281775399986, (57, 1) = .4532785878981419, (57, 2) = 5.971702462592634, (57, 3) = -2.9029688702226992, (58, 1) = .46150571974781956, (58, 2) = 5.9677172171958475, (58, 3) = -2.880615195028473, (59, 1) = .46972740331916396, (59, 2) = 5.963762365490184, (59, 3) = -2.858840486531465, (60, 1) = .4779436811130167, (60, 2) = 5.9598371266041115, (60, 3) = -2.837619709385249, (61, 1) = .4861545941489095, (61, 2) = 5.955940753326546, (61, 3) = -2.8169293328529568, (62, 1) = .4943601817505468, (62, 2) = 5.9520725302300965, (62, 3) = -2.7967472165111436, (63, 1) = .5025604851120772, (63, 2) = 5.94823177017456, (63, 3) = -2.7770524974792066, (64, 1) = .5107555445060707, (64, 2) = 5.944417813958921, (64, 3) = -2.7578255030034047, (65, 1) = .5189453968463147, (65, 2) = 5.940630029881715, (65, 3) = -2.7390476696940325, (66, 1) = .5271300786603582, (66, 2) = 5.936867810893517, (66, 3) = -2.7207014575903323, (67, 1) = .5353096262043053, (67, 2) = 5.933130573204804, (67, 3) = -2.7027702781368377, (68, 1) = .5434840749990676, (68, 2) = 5.92941775525079, (68, 3) = -2.685238429500356, (69, 1) = .551653459861078, (69, 2) = 5.925728816511479, (69, 3) = -2.6680910362121266, (70, 1) = .5598178149209225, (70, 2) = 5.922063236416146, (70, 3) = -2.651313993797165, (71, 1) = .5679771736507583, (71, 2) = 5.918420513316286, (71, 3) = -2.634893917869224, (72, 1) = .5761315688903565, (72, 2) = 5.914800163525867, (72, 3) = -2.618818097289703, (73, 1) = .5842810328718713, (73, 2) = 5.911201720423554, (73, 3) = -2.6030744510115724, (74, 1) = .5924255972431269, (74, 2) = 5.9076247336121686, (74, 3) = -2.5876514882697865, (75, 1) = .6005652930640955, (75, 2) = 5.9040687681421105, (75, 3) = -2.5725382718618492, (76, 1) = .6087001508608096, (76, 2) = 5.9005334037577715, (76, 3) = -2.557724384088549, (77, 1) = .6168302006556661, (77, 2) = 5.89701823419924, (77, 3) = -2.5431998952684522, (78, 1) = .6249554719706105, (78, 2) = 5.893522866557148, (78, 3) = -2.528955334607138, (79, 1) = .6330759940082635, (79, 2) = 5.8900469205896275, (79, 3) = -2.5149816628674784, (80, 1) = .6411917965587217, (80, 2) = 5.886590027768544, (80, 3) = -2.501270245784571, (81, 1) = .6493029053444536, (81, 2) = 5.883151832721548, (81, 3) = -2.487812838551523, (82, 1) = .6574093483249174, (82, 2) = 5.879731990035539, (82, 3) = -2.4746015533984136, (83, 1) = .6655111535166625, (83, 2) = 5.876330164719097, (83, 3) = -2.4616288432366535, (84, 1) = .6736083477734202, (84, 2) = 5.872946032264418, (84, 3) = -2.4488874847824387, (85, 1) = .6817009575875408, (85, 2) = 5.869579277880757, (85, 3) = -2.4363705596410443, (86, 1) = .6897890090790774, (86, 2) = 5.86622959609601, (86, 3) = -2.424071437909661, (87, 1) = .6978725280089839, (87, 2) = 5.862896690369723, (87, 3) = -2.4119837628135885, (88, 1) = .7059515397917914, (88, 2) = 5.859580272726587, (88, 3) = -2.4001014363340585, (89, 1) = .7140260695077918, (89, 2) = 5.856280063409131, (89, 3) = -2.388418605752969, (90, 1) = .7220961419147575, (90, 2) = 5.852995790548329, (90, 3) = -2.376929651045676, (91, 1) = .7301617814321614, (91, 2) = 5.849727189861993, (91, 3) = -2.365629173097162, (92, 1) = .7382230121661555, (92, 2) = 5.846474004352089, (92, 3) = -2.3545119825865393, (93, 1) = .7462798579678653, (93, 2) = 5.84323598400351, (93, 3) = -2.343573089503809, (94, 1) = .7543323424086552, (94, 2) = 5.84001288553022, (94, 3) = -2.3328076934098054, (95, 1) = .7623804889698913, (95, 2) = 5.836804472048697, (95, 3) = -2.322211173994044, (96, 1) = .7704243219472666, (96, 2) = 5.833610512482034, (96, 3) = -2.3117790812758368, (97, 1) = .7784638631191833, (97, 2) = 5.830430782655868, (97, 3) = -2.3015071317827096, (98, 1) = .786499134598785, (98, 2) = 5.827265063942656, (98, 3) = -2.291391197092542, (99, 1) = .7945301576080057, (99, 2) = 5.8241131435399565, (99, 3) = -2.2814272981607338, (100, 1) = .8025569540100236, (100, 2) = 5.820974813670692, (100, 3) = -2.271611596572895, (101, 1) = .8105795468815356, (101, 2) = 5.817849871179293, (101, 3) = -2.261940387489663, (102, 1) = .8185979578850145, (102, 2) = 5.814738118380509, (102, 3) = -2.252410096776161, (103, 1) = .8266122084657367, (103, 2) = 5.811639362417367, (103, 3) = -2.2430172737465868, (104, 1) = .8346223198723641, (104, 2) = 5.808553415089493, (104, 3) = -2.233758585692688, (105, 1) = .8426283131638667, (105, 2) = 5.805480092694011, (105, 3) = -2.2246308127216157, (106, 1) = .8506302092162235, (106, 2) = 5.802419215873371, (106, 3) = -2.2156308428679465, (107, 1) = .8586280287060424, (107, 2) = 5.799370609478414, (107, 3) = -2.206755667488201, (108, 1) = .8666217920979973, (108, 2) = 5.7963341024359964, (108, 3) = -2.1980023768902215, (109, 1) = .874611519748305, (109, 2) = 5.793309527578389, (109, 3) = -2.1893681560628497, (110, 1) = .8825972321925243, (110, 2) = 5.790296721409582, (110, 3) = -2.180850280431259, (111, 1) = .8905789505729567, (111, 2) = 5.787295523826469, (111, 3) = -2.172446111688642, (112, 1) = .898556693600234, (112, 2) = 5.784305779144842, (112, 3) = -2.164153097427925, (113, 1) = .9065304807930564, (113, 2) = 5.781327334766281, (113, 3) = -2.155968764306866, (114, 1) = .9145003317757254, (114, 2) = 5.778360041338923, (114, 3) = -2.147890715606657, (115, 1) = .9224662660218637, (115, 2) = 5.775403752751862, (115, 3) = -2.1399166284466715, (116, 1) = .930428302821432, (116, 2) = 5.772458326049272, (116, 3) = -2.1320442509077853, (117, 1) = .9383864608125022, (117, 2) = 5.769523621508351, (117, 3) = -2.1242713997151443, (118, 1) = .9463407581648852, (118, 2) = 5.766599502478471, (118, 3) = -2.116595957394453, (119, 1) = .9542912153005372, (119, 2) = 5.763685834296925, (119, 3) = -2.109015867162674, (120, 1) = .9622378512594155, (120, 2) = 5.760782485544398, (120, 3) = -2.101529134070802, (121, 1) = .9701806848423059, (121, 2) = 5.757889327541684, (121, 3) = -2.094133821588752, (122, 1) = .9781197347511268, (122, 2) = 5.7550062342206925, (122, 3) = -2.086828049290282, (123, 1) = .9860550195772388, (123, 2) = 5.752133082054202, (123, 3) = -2.0796099907835854, (124, 1) = .9939865577480442, (124, 2) = 5.7492697500033145, (124, 3) = -2.072477871772196, (125, 1) = 1.0019143676740911, (125, 2) = 5.746416119395137, (125, 3) = -2.0654299680243304, (126, 1) = 1.009838468052423, (126, 2) = 5.7435720737478855, (126, 3) = -2.058464603298602, (127, 1) = 1.0177588781769162, (127, 2) = 5.740737498597747, (127, 3) = -2.0515801473609003, (128, 1) = 1.0256756150508963, (128, 2) = 5.7379122824693445, (128, 3) = -2.0447750168271557, (129, 1) = 1.0335886965762704, (129, 2) = 5.735096315671677, (129, 3) = -2.038047670776281, (130, 1) = 1.0414981407984054, (130, 2) = 5.732289490513079, (130, 3) = -2.031396609911422, (131, 1) = 1.0494039656858463, (131, 2) = 5.729491701324662, (131, 3) = -2.024820375299793, (132, 1) = 1.0573061890577014, (132, 2) = 5.726702844432268, (132, 3) = -2.018317547040835, (133, 1) = 1.0652048287462743, (133, 2) = 5.723922818047176, (133, 3) = -2.0118867427984264, (134, 1) = 1.0730999025498196, (134, 2) = 5.721151522233062, (134, 3) = -2.005526616565183, (135, 1) = 1.0809914279501827, (135, 2) = 5.718388858956575, (135, 3) = -1.9992358576633575, (136, 1) = 1.0888794213054853, (136, 2) = 5.715634732321018, (136, 3) = -1.9930131901939372, (137, 1) = 1.0967639014850954, (137, 2) = 5.712889047252239, (137, 3) = -1.9868573690445404, (138, 1) = 1.1046448864794371, (138, 2) = 5.710151710642709, (138, 3) = -1.9807671815186811, (139, 1) = 1.112522393848165, (139, 2) = 5.707422631150527, (139, 3) = -1.9747414459235282, (140, 1) = 1.1203964410136653, (140, 2) = 5.704701719055607, (140, 3) = -1.9687790103378373, (141, 1) = 1.1282670459875215, (141, 2) = 5.701988885969769, (141, 3) = -1.9628787511101875, (142, 1) = 1.1361342269407684, (142, 2) = 5.699284044948848, (142, 3) = -1.9570395722808847, (143, 1) = 1.1439980001149062, (143, 2) = 5.696587111172111, (143, 3) = -1.9512604062332028, (144, 1) = 1.1518583828193985, (144, 2) = 5.693898000874224, (144, 3) = -1.945540210605538, (145, 1) = 1.1597153924299977, (145, 2) = 5.6912166316567365, (145, 3) = -1.9398779682336644, (146, 1) = 1.1675690463007313, (146, 2) = 5.688542922484886, (146, 3) = -1.93427268643168, (147, 1) = 1.1754193617621074, (147, 2) = 5.685876793655718, (147, 3) = -1.9287233962382762, (148, 1) = 1.1832663560196968, (148, 2) = 5.6832181668009145, (148, 3) = -1.923229151760637, (149, 1) = 1.1911100463215558, (149, 2) = 5.680566964799352, (149, 3) = -1.9177890293559257, (150, 1) = 1.1989504499514492, (150, 2) = 5.677923111750038, (150, 3) = -1.9124021269644524, (151, 1) = 1.2067875841832103, (151, 2) = 5.675286532958965, (151, 3) = -1.9070675634935177, (152, 1) = 1.2146214662829962, (152, 2) = 5.672657154910566, (152, 3) = -1.901784478191123, (153, 1) = 1.2224521135115018, (153, 2) = 5.670034905239958, (153, 3) = -1.8965520300423386, (154, 1) = 1.2302795431114653, (154, 2) = 5.667419712710983, (154, 3) = -1.8913693971972492, (155, 1) = 1.2381037711511234, (155, 2) = 5.664811507575823, (155, 3) = -1.8862357771664178, (156, 1) = 1.245924815758397, (156, 2) = 5.662210220471501, (156, 3) = -1.8811503841535537, (157, 1) = 1.253742695397143, (157, 2) = 5.659615782975026, (157, 3) = -1.8761124497013257, (158, 1) = 1.2615574262779332, (158, 2) = 5.657028128437714, (158, 3) = -1.8711212238443677, (159, 1) = 1.2693690256443668, (159, 2) = 5.6544471908697735, (159, 3) = -1.866175972489318, (160, 1) = 1.2771775107699626, (160, 2) = 5.651872905252459, (160, 3) = -1.8612759776030117, (161, 1) = 1.2849828989391938, (161, 2) = 5.6493052075230725, (161, 3) = -1.8564205367733182, (162, 1) = 1.2927852074494046, (162, 2) = 5.646744034553648, (162, 3) = -1.8516089627719348, (163, 1) = 1.3005844536126137, (163, 2) = 5.644189324130237, (163, 3) = -1.8468405831321844, (164, 1) = 1.3083806546503218, (164, 2) = 5.641641014967708, (164, 3) = -1.842114739805621, (165, 1) = 1.3161738278092738, (165, 2) = 5.639099046652629, (165, 3) = -1.8374307886968726, (166, 1) = 1.3239639904487497, (166, 2) = 5.636563359596427, (166, 3) = -1.8327880992321302, (167, 1) = 1.3317511599500087, (167, 2) = 5.634033895047126, (167, 3) = -1.828186054047408, (168, 1) = 1.339535353718103, (168, 2) = 5.631510595071247, (168, 3) = -1.8236240486323472, (169, 1) = 1.347316589252281, (169, 2) = 5.628993402514032, (169, 3) = -1.819101490945906, (170, 1) = 1.3550948851367606, (170, 2) = 5.626482260663591, (170, 3) = -1.8146178005169846, (171, 1) = 1.3628702582450414, (171, 2) = 5.623977114138018, (171, 3) = -1.8101724097394127, (172, 1) = 1.3706427254115954, (172, 2) = 5.6214779083270905, (172, 3) = -1.805764762575912, (173, 1) = 1.3784123033271583, (173, 2) = 5.618984589410361, (173, 3) = -1.8013943143144227, (174, 1) = 1.386179008890814, (174, 2) = 5.616497104229131, (174, 3) = -1.797060531077443, (175, 1) = 1.3939428610432754, (175, 2) = 5.614015399687117, (175, 3) = -1.792762888533384, (176, 1) = 1.4017038775034398, (176, 2) = 5.611539423782712, (176, 3) = -1.7885008734524068, (177, 1) = 1.4094620759572984, (177, 2) = 5.609069125213111, (177, 3) = -1.7842739827685106, (178, 1) = 1.417217474131052, (178, 2) = 5.606604453337475, (178, 3) = -1.7800817232821664, (179, 1) = 1.4249700897926143, (179, 2) = 5.604145358163434, (179, 3) = -1.7759236114108672, (180, 1) = 1.4327199406689224, (180, 2) = 5.601691790360509, (180, 3) = -1.7717991729921152, (181, 1) = 1.4404670444566732, (181, 2) = 5.59924370124408, (181, 3) = -1.7677079430425056, (182, 1) = 1.4482114190458903, (182, 2) = 5.596801042692655, (182, 3) = -1.7636494654131925, (183, 1) = 1.4559530823775475, (183, 2) = 5.594363767181291, (183, 3) = -1.759623292647073, (184, 1) = 1.463692052609891, (184, 2) = 5.591931827717908, (184, 3) = -1.755628985680456, (185, 1) = 1.4714283488924476, (185, 2) = 5.589505177590017, (185, 3) = -1.7516661132447708, (186, 1) = 1.4791619884064817, (186, 2) = 5.587083771282231, (186, 3) = -1.7477342531830689, (187, 1) = 1.486892988928576, (187, 2) = 5.584667563659395, (187, 3) = -1.7438329909282348, (188, 1) = 1.4946213685886236, (188, 2) = 5.582256510033174, (188, 3) = -1.7399619194455904, (189, 1) = 1.5023471454569177, (189, 2) = 5.579850566281219, (189, 3) = -1.7361206392599096, (190, 1) = 1.510070337830243, (190, 2) = 5.577449688748096, (190, 3) = -1.7323087581348804, (191, 1) = 1.5177909637119282, (191, 2) = 5.575053834397298, (191, 3) = -1.7285258911573815, (192, 1) = 1.5255090403312919, (192, 2) = 5.572662960949595, (192, 3) = -1.7247716607965369, (193, 1) = 1.5332245874651311, (193, 2) = 5.570277025845346, (193, 3) = -1.7210456951282551, (194, 1) = 1.5409376239279828, (194, 2) = 5.567895987324738, (194, 3) = -1.7173476293970682, (195, 1) = 1.5486481683340647, (195, 2) = 5.565519804181606, (195, 3) = -1.7136771054830273, (196, 1) = 1.556356239305365, (196, 2) = 5.563148435690204, (196, 3) = -1.7100337716498044, (197, 1) = 1.5640618553764156, (197, 2) = 5.560781841625899, (197, 3) = -1.7064172824431427, (198, 1) = 1.571765035797409, (198, 2) = 5.558419982010541, (198, 3) = -1.7028272981742776, (199, 1) = 1.5794658001937034, (199, 2) = 5.5560628172102975, (199, 3) = -1.6992634849504042, (200, 1) = 1.5871641664024128, (200, 2) = 5.553710308589139, (200, 3) = -1.6957255155367914, (201, 1) = 1.5948601533333875, (201, 2) = 5.55136241762439, (201, 3) = -1.6922130678962932, (202, 1) = 1.6025537800781602, (202, 2) = 5.549019106173, (202, 3) = -1.6887258254817252, (203, 1) = 1.610245065802919, (203, 2) = 5.5466803364970225, (203, 3) = -1.6852634771629413, (204, 1) = 1.617934029705003, (204, 2) = 5.544346071269708, (204, 3) = -1.6818257171268851, (205, 1) = 1.625620690869722, (205, 2) = 5.54201627361177, (205, 3) = -1.6784122448241627, (206, 1) = 1.6333050686525519, (206, 2) = 5.539690906968568, (206, 3) = -1.6750227646852562, (207, 1) = 1.6409871825207696, (207, 2) = 5.537369935151718, (207, 3) = -1.6716569860825918, (208, 1) = 1.64866705202242, (208, 2) = 5.535053322342002, (208, 3) = -1.6683146232374682, (209, 1) = 1.656344696664203, (209, 2) = 5.53274103311977, (209, 3) = -1.6649953951684857, (210, 1) = 1.664020134818185, (210, 2) = 5.530433032786876, (210, 3) = -1.6616990260563125, (211, 1) = 1.671693387171508, (211, 2) = 5.528129286322875, (211, 3) = -1.6584252436609013, (212, 1) = 1.679364475034505, (212, 2) = 5.525829758891033, (212, 3) = -1.6551737799713986, (213, 1) = 1.6870334181014468, (213, 2) = 5.523534416503395, (213, 3) = -1.6519443720594564, (214, 1) = 1.694700235507299, (214, 2) = 5.521243225695594, (214, 3) = -1.64873676152371, (215, 1) = 1.7023649473863516, (215, 2) = 5.518956153055052, (215, 3) = -1.6455506937464863, (216, 1) = 1.7100275739662394, (216, 2) = 5.516673165487336, (216, 3) = -1.6423859181924692, (217, 1) = 1.7176881355661706, (217, 2) = 5.5143942302113205, (217, 3) = -1.6392421883250665, (218, 1) = 1.7253466525980747, (218, 2) = 5.51211931475362, (218, 3) = -1.6361192615236373, (219, 1) = 1.7330031455678223, (219, 2) = 5.509848386943087, (219, 3) = -1.633016899002804, (220, 1) = 1.7406576350555096, (220, 2) = 5.507581414911632, (220, 3) = -1.629934865742205, (221, 1) = 1.7483101414977678, (221, 2) = 5.505318367153595, (221, 3) = -1.6268729304968246, (222, 1) = 1.7559606856028136, (222, 2) = 5.503059212397918, (222, 3) = -1.623830865555191, (223, 1) = 1.7636092882532917, (223, 2) = 5.5008039196324745, (223, 3) = -1.6208084467073969, (224, 1) = 1.7712559704315183, (224, 2) = 5.498552458121568, (224, 3) = -1.617805453204613, (225, 1) = 1.7789007533350243, (225, 2) = 5.496304797367492, (225, 3) = -1.6148216676452114, (226, 1) = 1.7865436592216484, (226, 2) = 5.494060906858389, (226, 3) = -1.611856875582043, (227, 1) = 1.794184708609427, (227, 2) = 5.491820756886247, (227, 3) = -1.6089108665443754, (228, 1) = 1.8018239213264036, (228, 2) = 5.489584318231654, (228, 3) = -1.6059834335510847, (229, 1) = 1.8094613187327409, (229, 2) = 5.48735156150888, (229, 3) = -1.6030743721954306, (230, 1) = 1.8170969233192262, (230, 2) = 5.4851224572818635, (230, 3) = -1.6001834807522508, (231, 1) = 1.8247307567887123, (231, 2) = 5.482896976621213, (231, 3) = -1.597310560849904, (232, 1) = 1.8323628409518007, (232, 2) = 5.48067509083788, (232, 3) = -1.5944554170679583, (233, 1) = 1.8399931977291422, (233, 2) = 5.478456771478657, (233, 3) = -1.591617856879594, (234, 1) = 1.84762184915257, (234, 2) = 5.4762419903220625, (234, 3) = -1.5887976905958578, (235, 1) = 1.8552488173662727, (235, 2) = 5.474030719374303, (235, 3) = -1.5859947313111833, (236, 1) = 1.8628741246235963, (236, 2) = 5.47182293086661, (236, 3) = -1.5832087948517914, (237, 1) = 1.8704977930410183, (237, 2) = 5.469618597322719, (237, 3) = -1.5804396998131989, (238, 1) = 1.8781198454760282, (238, 2) = 5.467417691301615, (238, 3) = -1.5776872671911486, (239, 1) = 1.8857403051093236, (239, 2) = 5.465220185515712, (239, 3) = -1.5749513204885623, (240, 1) = 1.893359193604219, (240, 2) = 5.463026053357614, (240, 3) = -1.5722316863246726, (241, 1) = 1.900976533723107, (241, 2) = 5.46083526814168, (241, 3) = -1.569528193445355, (242, 1) = 1.9085923484173999, (242, 2) = 5.458647803363914, (242, 3) = -1.56684067300764, (243, 1) = 1.9162066607600121, (243, 2) = 5.456463632718297, (243, 3) = -1.5641689585591751, (244, 1) = 1.9238194939460327, (244, 2) = 5.454282730093473, (244, 3) = -1.5615128859942429, (245, 1) = 1.9314308710570927, (245, 2) = 5.452105069637089, (245, 3) = -1.558872293592471, (246, 1) = 1.9390408146501745, (246, 2) = 5.449930625869816, (246, 3) = -1.556247022116135, (247, 1) = 1.9466493475836344, (247, 2) = 5.447759373445621, (247, 3) = -1.5536369144805247, (248, 1) = 1.954256494844787, (248, 2) = 5.445591286628736, (248, 3) = -1.5510418150940524, (249, 1) = 1.9618622803262327, (249, 2) = 5.443426340211469, (249, 3) = -1.5484615709287484, (250, 1) = 1.96946672797216, (250, 2) = 5.441264509183543, (250, 3) = -1.5458960310847298, (251, 1) = 1.9770698618737008, (251, 2) = 5.439105768702185, (251, 3) = -1.5433450467201766, (252, 1) = 1.984671707163506, (252, 2) = 5.436950093835974, (252, 3) = -1.5408084707172642, (253, 1) = 1.992272287758281, (253, 2) = 5.43479746020279, (253, 3) = -1.538286158401771, (254, 1) = 1.9998716271407566, (254, 2) = 5.432647843743811, (254, 3) = -1.5357779672384426, (255, 1) = 2.0074697499083207, (255, 2) = 5.430501220282754, (255, 3) = -1.5332837562848325, (256, 1) = 2.0150666807955457, (256, 2) = 5.428357565800783, (256, 3) = -1.530803386484906, (257, 1) = 2.022662444674792, (257, 2) = 5.426216856433891, (257, 3) = -1.528336720636108, (258, 1) = 2.0302570665574287, (258, 2) = 5.424079068470184, (258, 3) = -1.5258836233569604, (259, 1) = 2.037850571595021, (259, 2) = 5.421944178347206, (259, 3) = -1.523443961055319, (260, 1) = 2.045442985080543, (260, 2) = 5.4198121626493, (260, 3) = -1.5210176018973132, (261, 1) = 2.0530343322717073, (261, 2) = 5.417682998154868, (261, 3) = -1.5186044158333492, (262, 1) = 2.0606246384335347, (262, 2) = 5.4155566618219595, (262, 3) = -1.5162042745538047, (263, 1) = 2.068213929273003, (263, 2) = 5.413433130664293, (263, 3) = -1.5138170513228102, (264, 1) = 2.0758022305754342, (264, 2) = 5.411312381851206, (264, 3) = -1.5114426210660739, (265, 1) = 2.0833895680859276, (265, 2) = 5.409194392738515, (265, 3) = -1.5090808603795325, (266, 1) = 2.090975968227309, (266, 2) = 5.4070791406660765, (266, 3) = -1.5067316472791707, (267, 1) = 2.0985614573634144, (267, 2) = 5.404966603161679, (267, 3) = -1.5043948614051719, (268, 1) = 2.10614606194998, (268, 2) = 5.402856757896779, (268, 3) = -1.5020703839482685, (269, 1) = 2.1137298084478826, (269, 2) = 5.4007495827085235, (269, 3) = -1.4997580976502936, (270, 1) = 2.1213127232563807, (270, 2) = 5.398645055616125, (270, 3) = -1.497457886798426, (271, 1) = 2.128894833264151, (271, 2) = 5.396543154665959, (271, 3) = -1.4951696370333705, (272, 1) = 2.136476165531708, (272, 2) = 5.3944438580181435, (272, 3) = -1.4928932354232698, (273, 1) = 2.144056747276985, (273, 2) = 5.392347143948714, (273, 3) = -1.4906285704448, (274, 1) = 2.1516366058766176, (274, 2) = 5.390252990847495, (274, 3) = -1.4883755319599332, (275, 1) = 2.15921576886724, (275, 2) = 5.388161377215971, (275, 3) = -1.486134011193188, (276, 1) = 2.1667942639484923, (276, 2) = 5.386072281664734, (276, 3) = -1.4839039007088057, (277, 1) = 2.1743721196543357, (277, 2) = 5.3839856827270465, (277, 3) = -1.4816850941932185, (278, 1) = 2.1819493636630662, (278, 2) = 5.381901559322764, (278, 3) = -1.4794774869299783, (279, 1) = 2.18952602327222, (279, 2) = 5.37981989062474, (279, 3) = -1.477280975634417, (280, 1) = 2.1971021268191717, (280, 2) = 5.377740655666721, (280, 3) = -1.475095458020757, (281, 1) = 2.2046777028153235, (281, 2) = 5.3756638335803295, (281, 3) = -1.472920833036501, (282, 1) = 2.212252779830405, (282, 2) = 5.373589403625186, (282, 3) = -1.47075700087603, (283, 1) = 2.2198273853960067, (283, 2) = 5.37151734548697, (283, 3) = -1.4686038632716745, (284, 1) = 2.227401549368581, (284, 2) = 5.369447638355693, (284, 3) = -1.46646132251778, (285, 1) = 2.2349753014474603, (285, 2) = 5.367380261604506, (285, 3) = -1.4643292821642409, (286, 1) = 2.2425486705664124, (286, 2) = 5.365315194953573, (286, 3) = -1.462207647166253, (287, 1) = 2.2501216862030278, (287, 2) = 5.363252418110813, (287, 3) = -1.4600963234961932, (288, 1) = 2.2576943783628587, (288, 2) = 5.361191910775339, (288, 3) = -1.457995218133254, (289, 1) = 2.26526677780702, (289, 2) = 5.359133652574747, (289, 3) = -1.4559042389861447, (290, 1) = 2.2728389136191636, (290, 2) = 5.357077623724858, (290, 3) = -1.4538232955473183, (291, 1) = 2.280410815870489, (291, 2) = 5.355023804303253, (291, 3) = -1.4517522981373403, (292, 1) = 2.2879825149960724, (292, 2) = 5.352972174418025, (292, 3) = -1.4496911580636076, (293, 1) = 2.2955540415515863, (293, 2) = 5.350922714272537, (293, 3) = -1.4476397876716525, (294, 1) = 2.303125425882441, (294, 2) = 5.348875404253513, (294, 3) = -1.4455981004183776, (295, 1) = 2.3106966988798563, (295, 2) = 5.346830224725084, (295, 3) = -1.4435660106520734, (296, 1) = 2.318267891712575, (296, 2) = 5.344787156100445, (296, 3) = -1.4415434336714392, (297, 1) = 2.3258390357396936, (297, 2) = 5.342746178864241, (297, 3) = -1.4395302857347725, (298, 1) = 2.333410162512167, (298, 2) = 5.340707273570993, (298, 3) = -1.4375264840453592, (299, 1) = 2.340981303774306, (299, 2) = 5.33867042084351, (299, 3) = -1.4355319467371241, (300, 1) = 2.3485524914634905, (300, 2) = 5.336635601371836, (300, 3) = -1.4335465928610487, (301, 1) = 2.356123757412039, (301, 2) = 5.3346027959921045, (301, 3) = -1.431570342449343, (302, 1) = 2.3636951334954546, (302, 2) = 5.332571985645316, (302, 3) = -1.4296031164620564, (303, 1) = 2.371266652346433, (303, 2) = 5.330543151184776, (303, 3) = -1.4276448365890375, (304, 1) = 2.3788383466864387, (304, 2) = 5.328516273554645, (304, 3) = -1.4256954254122116, (305, 1) = 2.386410249439021, (305, 2) = 5.32649133375843, (305, 3) = -1.4237548063635221, (306, 1) = 2.3939823937319895, (306, 2) = 5.32446831285736, (306, 3) = -1.4218229037121393, (307, 1) = 2.401554812899016, (307, 2) = 5.322447191968944, (307, 3) = -1.4198996425520691, (308, 1) = 2.409127540481275, (308, 2) = 5.320427952265535, (308, 3) = -1.4179849487899479, (309, 1) = 2.41670061020609, (309, 2) = 5.318410574979019, (309, 3) = -1.4160787491388562, (310, 1) = 2.424274055565672, (310, 2) = 5.316395041511885, (310, 3) = -1.4141809712121673, (311, 1) = 2.431847910538428, (311, 2) = 5.314381333244004, (311, 3) = -1.4122915433303886, (312, 1) = 2.439422209827416, (312, 2) = 5.312369431468733, (312, 3) = -1.4104103944526878, (313, 1) = 2.44699698883207, (313, 2) = 5.310359317400153, (313, 3) = -1.4085374541759297, (314, 1) = 2.45457228136959, (314, 2) = 5.308350972776562, (314, 3) = -1.40667265328644, (315, 1) = 2.4621481223167967, (315, 2) = 5.306344379157913, (315, 3) = -1.404815923093772, (316, 1) = 2.4697245469214666, (316, 2) = 5.304339518108142, (316, 3) = -1.4029671955928469, (317, 1) = 2.47730159064475, (317, 2) = 5.30233637123614, (317, 3) = -1.4011264034929523, (318, 1) = 2.4848792878337482, (318, 2) = 5.300334920545315, (318, 3) = -1.3992934805282917, (319, 1) = 2.4924576738238957, (319, 2) = 5.298335147876621, (319, 3) = -1.3974683609361178, (320, 1) = 2.5000367859454813, (320, 2) = 5.296337034643445, (320, 3) = -1.395650979210523, (321, 1) = 2.5076166605894143, (321, 2) = 5.294340562605431, (321, 3) = -1.393841270801368, (322, 1) = 2.5151973343531635, (322, 2) = 5.292345713564864, (322, 3) = -1.392039171827248, (323, 1) = 2.5227788441201846, (323, 2) = 5.290352469344965, (323, 3) = -1.3902446190476523, (324, 1) = 2.53036122792974, (324, 2) = 5.28836081156084, (324, 3) = -1.388457549649869, (325, 1) = 2.5379445225903154, (325, 2) = 5.286370722245823, (325, 3) = -1.3866779018038415, (326, 1) = 2.54552876469721, (326, 2) = 5.2843821835823155, (326, 3) = -1.3849056144090293, (327, 1) = 2.553113991701882, (327, 2) = 5.282395177620527, (327, 3) = -1.3831406268355815, (328, 1) = 2.5607002416183153, (328, 2) = 5.280409686355292, (328, 3) = -1.381382878987102, (329, 1) = 2.56828755270564, (329, 2) = 5.278425691808717, (329, 3) = -1.3796323113672881, (330, 1) = 2.575875963470136, (330, 2) = 5.276443176028947, (330, 3) = -1.3778888650715553, (331, 1) = 2.583465512667225, (331, 2) = 5.274462121088968, (331, 3) = -1.3761524817788284, (332, 1) = 2.5910562393035006, (332, 2) = 5.272482509085398, (332, 3) = -1.3744231037434584, (333, 1) = 2.5986481826388084, (333, 2) = 5.270504322137297, (333, 3) = -1.372700673787247, (334, 1) = 2.6062413818268215, (334, 2) = 5.26852754247904, (334, 3) = -1.370985135373135, (335, 1) = 2.6138358767438428, (335, 2) = 5.266552152243802, (335, 3) = -1.3692764324101878, (336, 1) = 2.6214317074134286, (336, 2) = 5.264578133612887, (336, 3) = -1.3675745093773362, (337, 1) = 2.6290289121343466, (337, 2) = 5.262605469300906, (337, 3) = -1.3658793117327146, (338, 1) = 2.636627532728529, (338, 2) = 5.260634141192019, (338, 3) = -1.3641907847339343, (339, 1) = 2.644227610170725, (339, 2) = 5.2586641314753475, (339, 3) = -1.3625088744114708, (340, 1) = 2.65182918553851, (340, 2) = 5.2566954223972004, (340, 3) = -1.3608335273479928, (341, 1) = 2.6594323001798656, (341, 2) = 5.25472799621698, (341, 3) = -1.3591646906343968, (342, 1) = 2.6670369954111375, (342, 2) = 5.252761835284655, (342, 3) = -1.3575023119292906, (343, 1) = 2.6746433126246125, (343, 2) = 5.250796922012133, (343, 3) = -1.3558463394279927, (344, 1) = 2.6822512939720817, (344, 2) = 5.248833238696092, (344, 3) = -1.3541967217075959, (345, 1) = 2.689860981891735, (345, 2) = 5.2468707676399715, (345, 3) = -1.352553407824987, (346, 1) = 2.6974724192485464, (346, 2) = 5.244909491117269, (346, 3) = -1.3509163472807801, (347, 1) = 2.705085650026001, (347, 2) = 5.242949391193174, (347, 3) = -1.3492854898662077, (348, 1) = 2.712700716719995, (348, 2) = 5.240990450395075, (348, 3) = -1.3476607862158339, (349, 1) = 2.7203176625802494, (349, 2) = 5.239032651134288, (349, 3) = -1.3460421873189339, (350, 1) = 2.7279365312289845, (350, 2) = 5.237075975803947, (350, 3) = -1.3444296445964976, (351, 1) = 2.7355573662559585, (351, 2) = 5.2351204068825, (351, 3) = -1.3428231099813173, (352, 1) = 2.7431802120870237, (352, 2) = 5.233165926710281, (352, 3) = -1.3412225357292529, (353, 1) = 2.750805113113625, (353, 2) = 5.231212517712542, (353, 3) = -1.3396278745979289, (354, 1) = 2.758432113180857, (354, 2) = 5.22926016252964, (354, 3) = -1.3380390799465929, (355, 1) = 2.766061258923871, (355, 2) = 5.2273088431626995, (355, 3) = -1.3364561050366692, (356, 1) = 2.7736925962712524, (356, 2) = 5.22535854186901, (356, 3) = -1.3348789037581446, (357, 1) = 2.781326171193102, (357, 2) = 5.223409240969577, (357, 3) = -1.3333074304667976, (358, 1) = 2.7889620305336407, (358, 2) = 5.221460922636084, (358, 3) = -1.3317416398078679, (359, 1) = 2.796600220316426, (359, 2) = 5.219513569322948, (359, 3) = -1.3301814870590272, (360, 1) = 2.8042407865730157, (360, 2) = 5.2175671635547465, (360, 3) = -1.3286269279529157, (361, 1) = 2.811883776516303, (361, 2) = 5.215621687626951, (361, 3) = -1.3270779184340002, (362, 1) = 2.819529237688564, (362, 2) = 5.213677123823037, (362, 3) = -1.3255344148291612, (363, 1) = 2.8271772179579804, (363, 2) = 5.211733454414964, (363, 3) = -1.3239963738439515, (364, 1) = 2.834827765521476, (364, 2) = 5.209790661662094, (364, 3) = -1.3224637525576934, (365, 1) = 2.8424809289076522, (365, 2) = 5.207848727810075, (365, 3) = -1.3209365084185891, (366, 1) = 2.850136756830282, (366, 2) = 5.2059076351276, (366, 3) = -1.319414599268592, (367, 1) = 2.857795297808997, (367, 2) = 5.2039673660019865, (367, 3) = -1.3178979834136637, (368, 1) = 2.8654566017128045, (368, 2) = 5.202027902547697, (368, 3) = -1.3163866193138019, (369, 1) = 2.8731207190705215, (369, 2) = 5.200089226781372, (369, 3) = -1.314880465718113, (370, 1) = 2.8807876991096752, (370, 2) = 5.198151321117278, (370, 3) = -1.313379482045242, (371, 1) = 2.8884575921824758, (371, 2) = 5.196214167752913, (371, 3) = -1.311883627901157, (372, 1) = 2.8961304478354206, (372, 2) = 5.194277749156419, (372, 3) = -1.3103928634525852, (373, 1) = 2.9038063182355396, (373, 2) = 5.192342047201485, (373, 3) = -1.308907148757147, (374, 1) = 2.9114852555100046, (374, 2) = 5.190407043839323, (374, 3) = -1.3074264442800294, (375, 1) = 2.9191673109467837, (375, 2) = 5.188472721299184, (375, 3) = -1.30595071104216, (376, 1) = 2.926852536767096, (376, 2) = 5.186539061641152, (376, 3) = -1.3044799102737636, (377, 1) = 2.934540985689993, (377, 2) = 5.184606046865786, (377, 3) = -1.303014003495817, (378, 1) = 2.942232710989502, (378, 2) = 5.182673658899663, (378, 3) = -1.3015529525062601, (379, 1) = 2.949927767089489, (379, 2) = 5.180741879445954, (379, 3) = -1.3000967192649262, (380, 1) = 2.9576262069772747, (380, 2) = 5.1788106906334725, (380, 3) = -1.2986452663797012, (381, 1) = 2.9653280846035543, (381, 2) = 5.17688007441334, (381, 3) = -1.297198556646932, (382, 1) = 2.973033454515333, (382, 2) = 5.1749500126511965, (382, 3) = -1.2957565531188897, (383, 1) = 2.98074237099866, (383, 2) = 5.1730204873416366, (383, 3) = -1.2943192192609236, (384, 1) = 2.988454889251919, (384, 2) = 5.171091480314027, (384, 3) = -1.2928865187286098, (385, 1) = 2.996171065058754, (385, 2) = 5.169162973314458, (385, 3) = -1.2914584154269706, (386, 1) = 3.0038909546039094, (386, 2) = 5.167234948051673, (386, 3) = -1.2900348735420666, (387, 1) = 3.011614614476945, (387, 2) = 5.165307386195916, (387, 3) = -1.2886158575374096, (388, 1) = 3.0193421016592445, (388, 2) = 5.16338026938195, (388, 3) = -1.2872013321535007, (389, 1) = 3.027073473172806, (389, 2) = 5.161453579296319, (389, 3) = -1.2857912624689019, (390, 1) = 3.0348087869742852, (390, 2) = 5.159527297454268, (390, 3) = -1.2843856137341074, (391, 1) = 3.042548100829006, (391, 2) = 5.157601405480081, (391, 3) = -1.282984351574066, (392, 1) = 3.050291473134508, (392, 2) = 5.155675884901647, (392, 3) = -1.2815874418352322, (393, 1) = 3.0580389629773332, (393, 2) = 5.153750717136346, (393, 3) = -1.2801948505734677, (394, 1) = 3.0657906298766027, (394, 2) = 5.151825883554744, (394, 3) = -1.278806544098205, (395, 1) = 3.073546533788108, (395, 2) = 5.1499013654794075, (395, 3) = -1.2774224889692225, (396, 1) = 3.081306735108523, (396, 2) = 5.147977144183691, (396, 3) = -1.2760426519934256, (397, 1) = 3.08907129467967, (397, 2) = 5.146053200890503, (397, 3) = -1.2746670002217106, (398, 1) = 3.0968402737758174, (398, 2) = 5.144129516775309, (398, 3) = -1.273295500948833, (399, 1) = 3.104613734134767, (399, 2) = 5.142206072958262, (399, 3) = -1.271928121705583, (400, 1) = 3.112391737851208, (400, 2) = 5.140282850530416, (400, 3) = -1.2705648302752064, (401, 1) = 3.12017434667598, (401, 2) = 5.138359830726591, (401, 3) = -1.2692055948130319, (402, 1) = 3.1279616237098287, (402, 2) = 5.136436994506474, (402, 3) = -1.2678503835475554, (403, 1) = 3.1357536325450015, (403, 2) = 5.1345143227669645, (403, 3) = -1.266499164929642, (404, 1) = 3.143550437250331, (404, 2) = 5.132591796345755, (404, 3) = -1.2651519076330646, (405, 1) = 3.1513521023590756, (405, 2) = 5.130669396024201, (405, 3) = -1.2638085805545471, (406, 1) = 3.1591586916649974, (406, 2) = 5.128747102823543, (406, 3) = -1.2624691530178902, (407, 1) = 3.166970270289619, (407, 2) = 5.1268248974952435, (407, 3) = -1.2611335944154778, (408, 1) = 3.1747869053343796, (408, 2) = 5.1249027603612785, (408, 3) = -1.2598018740980101, (409, 1) = 3.182608663850988, (409, 2) = 5.1229806718138695, (409, 3) = -1.2584739617209943, (410, 1) = 3.1904356118681325, (410, 2) = 5.121058612553847, (410, 3) = -1.2571498274056143, (411, 1) = 3.1982678168524354, (411, 2) = 5.119136562985573, (411, 3) = -1.2558294413182167, (412, 1) = 3.206105346847929, (412, 2) = 5.117214503428585, (412, 3) = -1.2545127738156165, (413, 1) = 3.21394827042006, (413, 2) = 5.115292414131292, (413, 3) = -1.2531997954528877, (414, 1) = 3.2217966566609615, (414, 2) = 5.1133702752696015, (414, 3) = -1.2518904769807877, (415, 1) = 3.229650574658434, (415, 2) = 5.111448067076772, (415, 3) = -1.2505847894322315, (416, 1) = 3.2375100939950943, (416, 2) = 5.109525769720884, (416, 3) = -1.249282704036556, (417, 1) = 3.2453752853634144, (417, 2) = 5.107603363154451, (417, 3) = -1.247984192116474, (418, 1) = 3.2532462202445283, (418, 2) = 5.1056808271932566, (418, 3) = -1.246689225140902, (419, 1) = 3.261122971360786, (419, 2) = 5.103758141406092, (419, 3) = -1.2453977746500486, (420, 1) = 3.2690056101286964, (420, 2) = 5.1018352857363505, (420, 3) = -1.2441098126713093, (421, 1) = 3.2768942092193094, (421, 2) = 5.099912239876547, (421, 3) = -1.242825311296377, (422, 1) = 3.284788840818329, (422, 2) = 5.097988983692558, (422, 3) = -1.2415442429636312, (423, 1) = 3.292689578875312, (423, 2) = 5.0960654966753705, (423, 3) = -1.2402665800907182, (424, 1) = 3.300596498353936, (424, 2) = 5.094141758124321, (424, 3) = -1.2389922951971382, (425, 1) = 3.30850967448102, (425, 2) = 5.092217747329988, (425, 3) = -1.2377213610245408, (426, 1) = 3.3164291830873216, (426, 2) = 5.090293443491095, (426, 3) = -1.2364537504800708, (427, 1) = 3.324355100753644, (427, 2) = 5.088368825679088, (427, 3) = -1.235189436611898, (428, 1) = 3.3322875055307972, (428, 2) = 5.08644387266355, (428, 3) = -1.2339283924941227, (429, 1) = 3.340226474265156, (429, 2) = 5.084518563561282, (429, 3) = -1.2326705916509355, (430, 1) = 3.348172084895573, (430, 2) = 5.08259287727838, (430, 3) = -1.2314160076884915, (431, 1) = 3.3561244159702333, (431, 2) = 5.080666792627588, (431, 3) = -1.2301646143709688, (432, 1) = 3.364083546250697, (432, 2) = 5.0787402884241475, (432, 3) = -1.2289163856814456, (433, 1) = 3.372049555887923, (433, 2) = 5.076813343201061, (433, 3) = -1.2276712956362288, (434, 1) = 3.3800225257089243, (434, 2) = 5.074885935382132, (434, 3) = -1.2264293183967587, (435, 1) = 3.3880025371974622, (435, 2) = 5.072958043286649, (435, 3) = -1.2251904282716664, (436, 1) = 3.3959896725781133, (436, 2) = 5.07102964510915, (436, 3) = -1.2239545997028478, (437, 1) = 3.40398401565538, (437, 2) = 5.069100718717104, (437, 3) = -1.2227218071355304, (438, 1) = 3.4119856479311066, (438, 2) = 5.067171242587595, (438, 3) = -1.2214920256154513, (439, 1) = 3.419994653258162, (439, 2) = 5.0652411946840035, (439, 3) = -1.2202652300686676, (440, 1) = 3.42801111662703, (440, 2) = 5.063310552749454, (440, 3) = -1.219041395489948, (441, 1) = 3.4360351235485895, (441, 2) = 5.061379294455735, (441, 3) = -1.2178204970368565, (442, 1) = 3.4440667603005672, (442, 2) = 5.059447397343952, (442, 3) = -1.2166025099912054, (443, 1) = 3.4521061138778233, (443, 2) = 5.057514838836609, (443, 3) = -1.2153874097659523, (444, 1) = 3.460153272000381, (444, 2) = 5.055581596235741, (444, 3) = -1.2141751719032556, (445, 1) = 3.468208323150427, (445, 2) = 5.053647646714122, (445, 3) = -1.2129657720682572, (446, 1) = 3.4762713574888147, (446, 2) = 5.0517129670955345, (446, 3) = -1.2117591859115542, (447, 1) = 3.484342464408662, (447, 2) = 5.049777534442011, (447, 3) = -1.2105553894351493, (448, 1) = 3.492421733054078, (448, 2) = 5.047841325928535, (448, 3) = -1.2093543589111204, (449, 1) = 3.5005092547850647, (449, 2) = 5.045904318252252, (449, 3) = -1.208156070513959, (450, 1) = 3.5086051218394325, (450, 2) = 5.043966487953797, (450, 3) = -1.206960500520875, (451, 1) = 3.51670942723985, (451, 2) = 5.042027811439748, (451, 3) = -1.2057676253251806, (452, 1) = 3.5248222648028564, (452, 2) = 5.040088264980558, (452, 3) = -1.2045774214344716, (453, 1) = 3.532943729131862, (453, 2) = 5.0381478247123725, (453, 3) = -1.2033898654711852, (454, 1) = 3.541073915183044, (454, 2) = 5.0362064667407545, (454, 3) = -1.2022049342352874, (455, 1) = 3.549212919235716, (455, 2) = 5.034264166909019, (455, 3) = -1.201022604562033, (456, 1) = 3.5573608377479684, (456, 2) = 5.032320901071551, (456, 3) = -1.1998428534882064, (457, 1) = 3.5655177684788306, (457, 2) = 5.030376644826109, (457, 3) = -1.1986656580885364, (458, 1) = 3.5736838101977852, (458, 2) = 5.028431373583476, (458, 3) = -1.197490995518179, (459, 1) = 3.5818590625353184, (459, 2) = 5.026485062603311, (459, 3) = -1.196318843034188, (460, 1) = 3.5900436259930286, (460, 2) = 5.02453768699188, (460, 3) = -1.1951491779938033, (461, 1) = 3.598237601953891, (461, 2) = 5.022589221699818, (461, 3) = -1.193981977852726, (462, 1) = 3.606441092698169, (462, 2) = 5.020639641518499, (462, 3) = -1.1928172201626626, (463, 1) = 3.6146542021759562, (463, 2) = 5.018688920896789, (463, 3) = -1.1916548824619793, (464, 1) = 3.6228770335110605, (464, 2) = 5.016737034534111, (464, 3) = -1.190494942628835, (465, 1) = 3.6311096906497795, (465, 2) = 5.014783956988376, (465, 3) = -1.1893373786456158, (466, 1) = 3.6393522795347515, (466, 2) = 5.012829662397907, (466, 3) = -1.1881821684343432, (467, 1) = 3.6476049070577354, (467, 2) = 5.010874124730417, (467, 3) = -1.1870292900050854, (468, 1) = 3.6558676810687247, (468, 2) = 5.008917317781093, (468, 3) = -1.1858787214546298, (469, 1) = 3.664140710321605, (469, 2) = 5.006959215185641, (469, 3) = -1.1847304409739807, (470, 1) = 3.672424103072365, (470, 2) = 5.004999790751974, (470, 3) = -1.183584427041846, (471, 1) = 3.680717971636463, (471, 2) = 5.0030390173823225, (471, 3) = -1.18244065779388, (472, 1) = 3.6890224277641246, (472, 2) = 5.001076868167926, (472, 3) = -1.1812991116642733, (473, 1) = 3.6973375831308806, (473, 2) = 4.999113316272432, (473, 3) = -1.1801597673152089, (474, 1) = 3.7056635515819782, (474, 2) = 4.997148334401833, (474, 3) = -1.1790226033285374, (475, 1) = 3.714000448007772, (475, 2) = 4.995181895070676, (475, 3) = -1.1778875983612656, (476, 1) = 3.7223483883552992, (476, 2) = 4.993213970599612, (476, 3) = -1.176754731144169, (477, 1) = 3.730707489641387, (477, 2) = 4.991244533112553, (477, 3) = -1.1756239804801858, (478, 1) = 3.739077869975881, (478, 2) = 4.989273554531464, (478, 3) = -1.1744953252415262, (479, 1) = 3.74745964946089, (479, 2) = 4.987301006365103, (479, 3) = -1.1733687442492522, (480, 1) = 3.7558529474453155, (480, 2) = 4.9853268603554355, (480, 3) = -1.1722442166427078, (481, 1) = 3.76425788413066, (481, 2) = 4.983351088099342, (481, 3) = -1.1711217216617167, (482, 1) = 3.7726745820867142, (482, 2) = 4.981373660692707, (482, 3) = -1.1700012384448932, (483, 1) = 3.781103165037536, (483, 2) = 4.979394549016535, (483, 3) = -1.16888274619345, (484, 1) = 3.7895437576765816, (484, 2) = 4.9774137237806295, (484, 3) = -1.1677662241960067, (485, 1) = 3.7979964843922156, (485, 2) = 4.975431155822612, (485, 3) = -1.1666516519963661, (486, 1) = 3.8064614737008626, (486, 2) = 4.973446815068372, (486, 3) = -1.1655390088090603, (487, 1) = 3.8149388556832458, (487, 2) = 4.9714606711347775, (487, 3) = -1.1644282738613416, (488, 1) = 3.8234287591439595, (488, 2) = 4.969472693995166, (488, 3) = -1.163319426764764, (489, 1) = 3.831931313716844, (489, 2) = 4.967482853485473, (489, 3) = -1.1622124472368305, (490, 1) = 3.840446651628518, (490, 2) = 4.965491118891951, (490, 3) = -1.1611073148721902, (491, 1) = 3.8489749063843073, (491, 2) = 4.963497459259479, (491, 3) = -1.1600040093157078, (492, 1) = 3.857516212784758, (492, 2) = 4.9615018433880795, (492, 3) = -1.158902510260938, (493, 1) = 3.866070706942578, (493, 2) = 4.95950423982933, (493, 3) = -1.1578027974485963, (494, 1) = 3.8746385263157337, (494, 2) = 4.957504616879017, (494, 3) = -1.1567048506629787, (495, 1) = 3.883219810688905, (495, 2) = 4.95550294234866, (495, 3) = -1.155608649607531, (496, 1) = 3.89181469937713, (496, 2) = 4.953499184218265, (496, 3) = -1.154514174263056, (497, 1) = 3.900423332482014, (497, 2) = 4.9514933103429595, (497, 3) = -1.1534214047255835, (498, 1) = 3.909045852948737, (498, 2) = 4.9494852879740865, (498, 3) = -1.1523303209460856, (499, 1) = 3.9176824047271124, (499, 2) = 4.947475084188467, (499, 3) = -1.1512409029657897, (500, 1) = 3.926333131993349, (500, 2) = 4.945462666069545, (500, 3) = -1.1501531310138968, (501, 1) = 3.934998183712403, (501, 2) = 4.94344799964657, (501, 3) = -1.1490669849351067, (502, 1) = 3.943677710161357, (502, 2) = 4.941431050704809, (502, 3) = -1.1479824446308153, (503, 1) = 3.9523718609644836, (503, 2) = 4.939411785242134, (503, 3) = -1.1468994903040814, (504, 1) = 3.961080786791959, (504, 2) = 4.937390169073915, (504, 3) = -1.145818102245788, (505, 1) = 3.9698046402121157, (505, 2) = 4.935366167635511, (505, 3) = -1.1447382607293894, (506, 1) = 3.9785435760943018, (506, 2) = 4.933339745889589, (506, 3) = -1.1436599459630448, (507, 1) = 3.9872977508979224, (507, 2) = 4.93131086849178, (507, 3) = -1.1425831381794276, (508, 1) = 3.9960673228561254, (508, 2) = 4.929279499748647, (508, 3) = -1.1415078176143603, (509, 1) = 4.004852452826874, (509, 2) = 4.927245603421299, (509, 3) = -1.1404339644044008, (510, 1) = 4.013653301223145, (510, 2) = 4.925209143436644, (510, 3) = -1.1393615589634005, (511, 1) = 4.022470030664492, (511, 2) = 4.923170083273586, (511, 3) = -1.1382905816581088, (512, 1) = 4.031302805469121, (512, 2) = 4.921128386081218, (512, 3) = -1.1372210128718558, (513, 1) = 4.0401517912688405, (513, 2) = 4.919084014768326, (513, 3) = -1.1361528330522312, (514, 1) = 4.049017155499893, (514, 2) = 4.9170369318903635, (514, 3) = -1.1350860226526633, (515, 1) = 4.057899066778184, (515, 2) = 4.914987099794205, (515, 3) = -1.134020562208715, (516, 1) = 4.066797698901767, (516, 2) = 4.9129344796953704, (516, 3) = -1.1329564318604888, (517, 1) = 4.075713226844237, (517, 2) = 4.910879032604075, (517, 3) = -1.1318936118372405, (518, 1) = 4.08464582506342, (518, 2) = 4.908820719715083, (518, 3) = -1.1308320826583023, (519, 1) = 4.093595670473123, (519, 2) = 4.906759501722618, (519, 3) = -1.1297718247786683, (520, 1) = 4.102562941983511, (520, 2) = 4.904695338927114, (520, 3) = -1.1287128186457984, (521, 1) = 4.1115478198938025, (521, 2) = 4.902628191375568, (521, 3) = -1.1276550447727631, (522, 1) = 4.120550487261947, (522, 2) = 4.900558018546968, (522, 3) = -1.1265984835783474, (523, 1) = 4.1295711295165285, (523, 2) = 4.8984847794425805, (523, 3) = -1.125543115435531, (524, 1) = 4.138609934852051, (524, 2) = 4.8964084324960675, (524, 3) = -1.1244889206278186, (525, 1) = 4.1476670912544895, (525, 2) = 4.894328936257308, (525, 3) = -1.1234358796976263, (526, 1) = 4.156742789717369, (526, 2) = 4.892246248653934, (526, 3) = -1.1223839730717786, (527, 1) = 4.165837223571005, (527, 2) = 4.890160327146358, (527, 3) = -1.121333181142392, (528, 1) = 4.174950586536607, (528, 2) = 4.888071129174579, (528, 3) = -1.1202834844929264, (529, 1) = 4.184083076069617, (529, 2) = 4.885978611392023, (529, 3) = -1.1192348635136553, (530, 1) = 4.193234894055264, (530, 2) = 4.883882729507919, (530, 3) = -1.118187298326908, (531, 1) = 4.202406241420979, (531, 2) = 4.8817834395222075, (531, 3) = -1.1171407694068496, (532, 1) = 4.211597322493104, (532, 2) = 4.879680696727955, (532, 3) = -1.1160952570809808, (533, 1) = 4.2208083439455555, (533, 2) = 4.8775744559531065, (533, 3) = -1.1150507416532731, (534, 1) = 4.230039514789211, (534, 2) = 4.875464671563721, (534, 3) = -1.1140072034075257, (535, 1) = 4.239291046411632, (535, 2) = 4.873351297455675, (535, 3) = -1.1129646226050902, (536, 1) = 4.248563153492252, (536, 2) = 4.871234286846535, (536, 3) = -1.111922979384402, (537, 1) = 4.257856051502406, (537, 2) = 4.869113592847269, (537, 3) = -1.110882254044327, (538, 1) = 4.267169958046295, (538, 2) = 4.866989168156317, (538, 3) = -1.1098424268941034, (539, 1) = 4.276505094403447, (539, 2) = 4.864860964708678, (539, 3) = -1.1088034780836635, (540, 1) = 4.285861684420394, (540, 2) = 4.862728933929895, (540, 3) = -1.10776538773085, (541, 1) = 4.2952399543478865, (541, 2) = 4.860593026774005, (541, 3) = -1.106728135941832, (542, 1) = 4.304640131216811, (542, 2) = 4.858453194093888, (542, 3) = -1.1056917029920608, (543, 1) = 4.314062449427859, (543, 2) = 4.8563093851422074, (543, 3) = -1.1046560686024685, (544, 1) = 4.323507143791334, (544, 2) = 4.854161549157366, (544, 3) = -1.1036212127115725, (545, 1) = 4.332974450102759, (545, 2) = 4.852009635232349, (545, 3) = -1.1025871154113542, (546, 1) = 4.342464608322953, (546, 2) = 4.84985359159235, (546, 3) = -1.10155375660124, (547, 1) = 4.351977861445413, (547, 2) = 4.847693365853622, (547, 3) = -1.1005211161159216, (548, 1) = 4.361514455625388, (548, 2) = 4.845528904995263, (548, 3) = -1.0994891737145365, (549, 1) = 4.371074641006177, (549, 2) = 4.843360155172925, (549, 3) = -1.0984579089950128, (550, 1) = 4.380658668268, (550, 2) = 4.8411870625027404, (550, 3) = -1.0974273017692766, (551, 1) = 4.390266791942336, (551, 2) = 4.839009572310032, (551, 3) = -1.0963973317074018, (552, 1) = 4.399899269984912, (552, 2) = 4.836827629227485, (552, 3) = -1.09536797838759, (553, 1) = 4.409556362963396, (553, 2) = 4.834641177380259, (553, 3) = -1.0943392213862544, (554, 1) = 4.419238334672245, (554, 2) = 4.832450160247679, (554, 3) = -1.0933110402151405, (555, 1) = 4.428945452244752, (555, 2) = 4.83025452063899, (555, 3) = -1.09228341431279, (556, 1) = 4.438677987489947, (556, 2) = 4.82805420039235, (556, 3) = -1.091256322907161, (557, 1) = 4.448436214800525, (557, 2) = 4.825849140849356, (557, 3) = -1.0902297452410392, (558, 1) = 4.458220411923154, (558, 2) = 4.823639282681805, (558, 3) = -1.0892036604935487, (559, 1) = 4.468030860091247, (559, 2) = 4.821424565862886, (559, 3) = -1.0881780477697318, (560, 1) = 4.477867845238529, (560, 2) = 4.819204929394593, (560, 3) = -1.0871528859779054, (561, 1) = 4.487731655145911, (561, 2) = 4.816980311952897, (561, 3) = -1.0861281541311867, (562, 1) = 4.497622580619484, (562, 2) = 4.814750651622554, (562, 3) = -1.085103831226597, (563, 1) = 4.507540917455102, (563, 2) = 4.812515885455455, (563, 3) = -1.0840798960453768, (564, 1) = 4.517486965230478, (564, 2) = 4.810275949744558, (564, 3) = -1.083056327283078, (565, 1) = 4.527461027537791, (565, 2) = 4.8080307799728565, (565, 3) = -1.0820331035297392, (566, 1) = 4.537463413040386, (566, 2) = 4.805780310577068, (566, 3) = -1.0810102031663327, (567, 1) = 4.547494429659434, (567, 2) = 4.8035244762566425, (567, 3) = -1.0799876049624686, (568, 1) = 4.557554393320868, (568, 2) = 4.801263210006938, (568, 3) = -1.0789652871855828, (569, 1) = 4.567643624533073, (569, 2) = 4.798996443891431, (569, 3) = -1.0779432279577414, (570, 1) = 4.577762446860847, (570, 2) = 4.7967241093860125, (570, 3) = -1.0769214054146528, (571, 1) = 4.587911188852667, (571, 2) = 4.794446136947305, (571, 3) = -1.0758997975146558, (572, 1) = 4.598090184049257, (572, 2) = 4.792162456012591, (572, 3) = -1.0748783820435803, (573, 1) = 4.608299767769348, (573, 2) = 4.789872995722275, (573, 3) = -1.0738571369414804, (574, 1) = 4.618540281094751, (574, 2) = 4.787577684026962, (574, 3) = -1.0728360399064998, (575, 1) = 4.6288120698843445, (575, 2) = 4.785276447910554, (575, 3) = -1.0718150684995973, (576, 1) = 4.6391154846532, (576, 2) = 4.782969213418947, (576, 3) = -1.0707942001618105, (577, 1) = 4.649450881649464, (577, 2) = 4.780655905420676, (577, 3) = -1.0697734121131206, (578, 1) = 4.65981862126021, (578, 2) = 4.778336447965614, (578, 3) = -1.068752681515903, (579, 1) = 4.670219066322523, (579, 2) = 4.776010764663815, (579, 3) = -1.0677319856445924, (580, 1) = 4.6806525849477545, (580, 2) = 4.773678778054828, (580, 3) = -1.066711301611404, (581, 1) = 4.69111955492391, (581, 2) = 4.7713404086262505, (581, 3) = -1.065690605943627, (582, 1) = 4.701620357097091, (582, 2) = 4.768995576295461, (582, 3) = -1.0646698752387225, (583, 1) = 4.712155378730379, (583, 2) = 4.76664419966073, (583, 3) = -1.063649085841763, (584, 1) = 4.722725010082111, (584, 2) = 4.764286196766824, (584, 3) = -1.062628214183021, (585, 1) = 4.73332964699473, (585, 2) = 4.761921484528423, (585, 3) = -1.0616072365313745, (586, 1) = 4.7439696918193, (586, 2) = 4.759549978526042, (586, 3) = -1.0605861289119867, (587, 1) = 4.754645553181799, (587, 2) = 4.75717159306046, (587, 3) = -1.0595648671362683, (588, 1) = 4.765357646113015, (588, 2) = 4.7547862411260375, (588, 3) = -1.058543426796752, (589, 1) = 4.776106388740672, (589, 2) = 4.75239383514906, (589, 3) = -1.0575217835883979, (590, 1) = 4.786892206445357, (590, 2) = 4.749994286063963, (590, 3) = -1.0564999129178023, (591, 1) = 4.797715528378295, (591, 2) = 4.747587504090144, (591, 3) = -1.0554777902401624, (592, 1) = 4.808576795745731, (592, 2) = 4.745173396891912, (592, 3) = -1.054455390284005, (593, 1) = 4.819476454234654, (593, 2) = 4.742751871265924, (593, 3) = -1.0534326877765874, (594, 1) = 4.830414954249861, (594, 2) = 4.740322833089743, (594, 3) = -1.0524096574260733, (595, 1) = 4.841392753666892, (595, 2) = 4.737886186712216, (595, 3) = -1.0513862736699509, (596, 1) = 4.852410317557915, (596, 2) = 4.735441835016926, (596, 3) = -1.050362510709247, (597, 1) = 4.8634681189937305, (597, 2) = 4.732989679246897, (597, 3) = -1.0493383424427007, (598, 1) = 4.8745666349290975, (598, 2) = 4.730529619919304, (598, 3) = -1.0483137428554885, (599, 1) = 4.885706350750019, (599, 2) = 4.7280615558189885, (599, 3) = -1.0472886856047652, (600, 1) = 4.896887759503282, (600, 2) = 4.725585384172092, (600, 3) = -1.0462631441002774, (601, 1) = 4.90811136100406, (601, 2) = 4.723101000846174, (601, 3) = -1.0452370915947014, (602, 1) = 4.919377664123302, (602, 2) = 4.720608299846379, (602, 3) = -1.0442105009830505, (603, 1) = 4.930687186063132, (603, 2) = 4.7181071734789235, (603, 3) = -1.0431833448792789, (604, 1) = 4.942040450887926, (604, 2) = 4.715597512678595, (604, 3) = -1.0421555957587811, (605, 1) = 4.953437991036029, (605, 2) = 4.713079206676932, (605, 3) = -1.0411272258297581, (606, 1) = 4.964880348698394, (606, 2) = 4.710552142700637, (606, 3) = -1.0400982069191844, (607, 1) = 4.97636807121639, (607, 2) = 4.708016206990787, (607, 3) = -1.0390685108963915, (608, 1) = 4.987901715450914, (608, 2) = 4.705471283840152, (608, 3) = -1.0380381092882736, (609, 1) = 4.999481847919163, (609, 2) = 4.702917255566337, (609, 3) = -1.0370069732784561, (610, 1) = 5.011109046283444, (610, 2) = 4.700354002187005, (610, 3) = -1.0359750735868702, (611, 1) = 5.022783894664024, (611, 2) = 4.697781402456478, (611, 3) = -1.034942380897285, (612, 1) = 5.034506983008245, (612, 2) = 4.695199334006366, (612, 3) = -1.033908865919515, (613, 1) = 5.046278918000426, (613, 2) = 4.692607670945548, (613, 3) = -1.032874498438152, (614, 1) = 5.058100313388561, (614, 2) = 4.690006285995051, (614, 3) = -1.0318392481799594, (615, 1) = 5.06997179433696, (615, 2) = 4.68739504953274, (615, 3) = -1.0308030844420768, (616, 1) = 5.0818939930284435, (616, 2) = 4.684773830563972, (616, 3) = -1.0297659764877358, (617, 1) = 5.093867552723504, (617, 2) = 4.682142495831491, (617, 3) = -1.0287278932022554, (618, 1) = 5.10589312985669, (618, 2) = 4.679500909358776, (618, 3) = -1.0276888029254394, (619, 1) = 5.117971391234192, (619, 2) = 4.676848933069881, (619, 3) = -1.0266486737086973, (620, 1) = 5.130103014919858, (620, 2) = 4.674186426598336, (620, 3) = -1.0256074732512555, (621, 1) = 5.1422886863766095, (621, 2) = 4.671513248137051, (621, 3) = -1.0245651692429478, (622, 1) = 5.1545291018113, (622, 2) = 4.66882925370679, (622, 3) = -1.0235217290872964, (623, 1) = 5.166824977856712, (623, 2) = 4.666134295037888, (623, 3) = -1.0224771190928728, (624, 1) = 5.17917703785123, (624, 2) = 4.6634282225833905, (624, 3) = -1.0214313056594524, (625, 1) = 5.191586017261014, (625, 2) = 4.660710884333192, (625, 3) = -1.0203842548278554, (626, 1) = 5.204052668886502, (626, 2) = 4.657982124678503, (626, 3) = -1.0193359318572655, (627, 1) = 5.216577756209697, (627, 2) = 4.6552417858733195, (627, 3) = -1.0182863018036161, (628, 1) = 5.229162052712723, (628, 2) = 4.652489708186453, (628, 3) = -1.0172353295885903, (629, 1) = 5.241806347356355, (629, 2) = 4.649725728706799, (629, 3) = -1.016182979555637, (630, 1) = 5.254511443275985, (630, 2) = 4.6469496816334255, (630, 3) = -1.0151292155969511, (631, 1) = 5.267278159641743, (631, 2) = 4.644161397873893, (631, 3) = -1.0140740010170868, (632, 1) = 5.280107322836043, (632, 2) = 4.641360706975177, (632, 3) = -1.0130172992780733, (633, 1) = 5.29299978032174, (633, 2) = 4.638547434099148, (633, 3) = -1.0119590728701264, (634, 1) = 5.30595640117259, (634, 2) = 4.635721399914518, (634, 3) = -1.0108992832951607, (635, 1) = 5.318978065192786, (635, 2) = 4.632882422976244, (635, 3) = -1.0098378919796258, (636, 1) = 5.3320656643131406, (636, 2) = 4.630030319423796, (636, 3) = -1.008774860173219, (637, 1) = 5.345220109324369, (637, 2) = 4.627164901517893, (637, 3) = -1.0077101484187614, (638, 1) = 5.358442329610048, (638, 2) = 4.624285977704805, (638, 3) = -1.0066437165971396, (639, 1) = 5.371733267275677, (639, 2) = 4.621393353899841, (639, 3) = -1.0055755244213214, (640, 1) = 5.385093879518918, (640, 2) = 4.618486832974922, (640, 3) = -1.0045055312614988, (641, 1) = 5.398525150310162, (641, 2) = 4.615566212223373, (641, 3) = -1.00343369523255, (642, 1) = 5.412028084624814, (642, 2) = 4.612631284622865, (642, 3) = -1.002359973686355, (643, 1) = 5.425603700754106, (643, 2) = 4.609681840512344, (643, 3) = -1.0012843238461777, (644, 1) = 5.4392530371052334, (644, 2) = 4.606717666118617, (644, 3) = -1.0002067022860377, (645, 1) = 5.4529771531998295, (645, 2) = 4.603738543345765, (645, 3) = -.9991270648771922, (646, 1) = 5.466777124566314, (646, 2) = 4.600744250889638, (646, 3) = -.9980453672140247, (647, 1) = 5.480654049881509, (647, 2) = 4.597734562693222, (647, 3) = -.9969615640762607, (648, 1) = 5.4946090519810875, (648, 2) = 4.5947092477348415, (648, 3) = -.9958756093795265, (649, 1) = 5.508643268036406, (649, 2) = 4.59166807216388, (649, 3) = -.9947874569660199, (650, 1) = 5.5227578673969475, (650, 2) = 4.588610795439689, (650, 3) = -.9936970592451512, (651, 1) = 5.536954047274458, (651, 2) = 4.585537171276824, (651, 3) = -.9926043675667784, (652, 1) = 5.551233022194042, (652, 2) = 4.582446949936367, (652, 3) = -.9915093330641961, (653, 1) = 5.565596027698597, (653, 2) = 4.579339877428528, (653, 3) = -.9904119063922233, (654, 1) = 5.580044328830429, (654, 2) = 4.5762156936844, (654, 3) = -.9893120371084814, (655, 1) = 5.59457921159687, (655, 2) = 4.57307413440933, (655, 3) = -.9882096743571737, (656, 1) = 5.609201990265286, (656, 2) = 4.569914929512208, (656, 3) = -.9871047663445133, (657, 1) = 5.623914004844756, (657, 2) = 4.5667378036574435, (657, 3) = -.9859972605638155, (658, 1) = 5.63871663141907, (658, 2) = 4.563542474041792, (658, 3) = -.9848871030542772, (659, 1) = 5.653611276978917, (659, 2) = 4.560328651520651, (659, 3) = -.983774238833183, (660, 1) = 5.66859937214931, (660, 2) = 4.557096042185125, (660, 3) = -.9826586124756679, (661, 1) = 5.683682379134924, (661, 2) = 4.553844345654815, (661, 3) = -.9815401675559052, (662, 1) = 5.698861786643096, (662, 2) = 4.5505732561803995, (662, 3) = -.9804188470617862, (663, 1) = 5.7141391205774275, (663, 2) = 4.547282460346926, (663, 3) = -.9792945926427001, (664, 1) = 5.729515934902347, (664, 2) = 4.54397163905121, (664, 3) = -.9781673453261645, (665, 1) = 5.744993816338431, (665, 2) = 4.540640466498021, (665, 3) = -.977037045210941, (666, 1) = 5.760574396434375, (666, 2) = 4.53728860761188, (666, 3) = -.9759036306324845, (667, 1) = 5.77625934782885, (667, 2) = 4.533915718854358, (667, 3) = -.9747670384922008, (668, 1) = 5.792050371473622, (668, 2) = 4.530521450981398, (668, 3) = -.9736272052315245, (669, 1) = 5.807949207579053, (669, 2) = 4.527105446697613, (669, 3) = -.9724840660821179, (670, 1) = 5.823957630514634, (670, 2) = 4.523667341761385, (670, 3) = -.9713375554813892, (671, 1) = 5.840077460216859, (671, 2) = 4.520206762543884, (671, 3) = -.9701876063041287, (672, 1) = 5.856310546931151, (672, 2) = 4.516723329314938, (672, 3) = -.9690341510044512, (673, 1) = 5.872658797970589, (673, 2) = 4.513216650509617, (673, 3) = -.9678771197641408, (674, 1) = 5.889124167740271, (674, 2) = 4.509686324883459, (674, 3) = -.9667164412705831, (675, 1) = 5.905708661474049, (675, 2) = 4.506131940723635, (675, 3) = -.9655520425170279, (676, 1) = 5.922397933233134, (676, 2) = 4.5025565889419354, (676, 3) = -.9643849935190772, (677, 1) = 5.939148459946577, (677, 2) = 4.498969601812808, (677, 3) = -.9632183757569802, (678, 1) = 5.955941572008561, (678, 2) = 4.495374977108196, (678, 3) = -.9620535010117893, (679, 1) = 5.972775712208062, (679, 2) = 4.49177304517857, (679, 3) = -.9608904801752594, (680, 1) = 5.989651119684001, (680, 2) = 4.488163751600108, (680, 3) = -.9597292989679569, (681, 1) = 6.006568035694936, (681, 2) = 4.484547041473079, (681, 3) = -.9585699431545749, (682, 1) = 6.023526704623321, (682, 2) = 4.480922859206395, (682, 3) = -.9574123984764116, (683, 1) = 6.040527375073235, (683, 2) = 4.477291148282701, (683, 3) = -.9562566505790331, (684, 1) = 6.0575702951512005, (684, 2) = 4.473651852265853, (684, 3) = -.9551026853348764, (685, 1) = 6.074655714992619, (685, 2) = 4.470004914259706, (685, 3) = -.9539504886703701, (686, 1) = 6.091783886991562, (686, 2) = 4.466350276858042, (686, 3) = -.9528000465512231, (687, 1) = 6.1089550658284155, (687, 2) = 4.46268788213776, (687, 3) = -.9516513449814977, (688, 1) = 6.126169508497974, (688, 2) = 4.459017671651897, (688, 3) = -.9505043700027324, (689, 1) = 6.143427474338375, (689, 2) = 4.455339586422466, (689, 3) = -.9493591076929873, (690, 1) = 6.1607292258290896, (690, 2) = 4.451653566769467, (690, 3) = -.9482155441152639, (691, 1) = 6.17807503044841, (691, 2) = 4.447959551914672, (691, 3) = -.9470736651974797, (692, 1) = 6.195465155249053, (692, 2) = 4.444257481136114, (692, 3) = -.9459334570919163, (693, 1) = 6.212899869373351, (693, 2) = 4.4405472932307335, (693, 3) = -.9447949060085631, (694, 1) = 6.2303794444603895, (694, 2) = 4.436828926426525, (694, 3) = -.9436579981893294, (695, 1) = 6.247904154677264, (695, 2) = 4.433102318374752, (695, 3) = -.9425227199071354, (696, 1) = 6.265474276751064, (696, 2) = 4.429367406142012, (696, 3) = -.9413890574650168, (697, 1) = 6.283090090001685, (697, 2) = 4.42562412620207, (697, 3) = -.9402569971951833, (698, 1) = 6.300751876948746, (698, 2) = 4.421872414305751, (698, 3) = -.9391265254214644, (699, 1) = 6.318459925856772, (699, 2) = 4.418112204939574, (699, 3) = -.9379976282993263, (700, 1) = 6.336214524793139, (700, 2) = 4.414343432586721, (700, 3) = -.9368702921975812, (701, 1) = 6.354015963934908, (701, 2) = 4.410566031235238, (701, 3) = -.9357445035503634, (702, 1) = 6.37186453622646, (702, 2) = 4.406779934237029, (702, 3) = -.9346202488163006, (703, 1) = 6.389760537415086, (703, 2) = 4.402985074298942, (703, 3) = -.9334975144775992, (704, 1) = 6.407704266087437, (704, 2) = 4.399181383473677, (704, 3) = -.9323762870391464, (705, 1) = 6.425696023706888, (705, 2) = 4.395368793150455, (705, 3) = -.9312565530275368, (706, 1) = 6.443736115046099, (706, 2) = 4.391547233961953, (706, 3) = -.9301382989657446, (707, 1) = 6.461824851321469, (707, 2) = 4.387716635119316, (707, 3) = -.9290215111818835, (708, 1) = 6.47996254397424, (708, 2) = 4.383876925728146, (708, 3) = -.9279061761966266, (709, 1) = 6.498149506524708, (709, 2) = 4.380028034393649, (709, 3) = -.9267922806079084, (710, 1) = 6.5163860555691695, (710, 2) = 4.376169889007855, (710, 3) = -.9256798110305745, (711, 1) = 6.534672510820519, (711, 2) = 4.372302416739404, (711, 3) = -.92456875409545, (712, 1) = 6.55300919514996, (712, 2) = 4.36842554402308, (712, 3) = -.9234590964483996, (713, 1) = 6.571396434629754, (713, 2) = 4.364539196549093, (713, 3) = -.922350824749349, (714, 1) = 6.589834558814806, (714, 2) = 4.360643299201855, (714, 3) = -.9212439256570341, (715, 1) = 6.6083239043348, (715, 2) = 4.356737775299623, (715, 3) = -.9201383856165922, (716, 1) = 6.626864808705499, (716, 2) = 4.352822547900551, (716, 3) = -.9190341912335768, (717, 1) = 6.645457611428123, (717, 2) = 4.348897539568001, (717, 3) = -.9179313292076525, (718, 1) = 6.664102655433325, (718, 2) = 4.344962672063476, (718, 3) = -.91682978624754, (719, 1) = 6.68280028712771, (719, 2) = 4.341017866334888, (719, 3) = -.9157295490700458, (720, 1) = 6.701550856441751, (720, 2) = 4.337063042504462, (720, 3) = -.9146306043990902, (721, 1) = 6.7203547168788225, (721, 2) = 4.333098119856356, (721, 3) = -.9135329389646752, (722, 1) = 6.739212225677733, (722, 2) = 4.329123016800313, (722, 3) = -.91243653949533, (723, 1) = 6.758123747689502, (723, 2) = 4.325137650052712, (723, 3) = -.9113413924960934, (724, 1) = 6.777089649607727, (724, 2) = 4.321141935850883, (724, 3) = -.9102474845871105, (725, 1) = 6.796110299939967, (725, 2) = 4.317135789956326, (725, 3) = -.9091548025050419, (726, 1) = 6.815186071029505, (726, 2) = 4.313119127226219, (726, 3) = -.9080633329873498, (727, 1) = 6.834317339108824, (727, 2) = 4.309091861599773, (727, 3) = -.9069730627713007, (728, 1) = 6.853504484354968, (728, 2) = 4.305053906084228, (728, 3) = -.905883978592901, (729, 1) = 6.872747890945967, (729, 2) = 4.301005172740474, (729, 3) = -.9047960671858325, (730, 1) = 6.892047947146879, (730, 2) = 4.296945572662466, (730, 3) = -.9037093152787529, (731, 1) = 6.911405049246074, (731, 2) = 4.292875015146987, (731, 3) = -.9026237093772064, (732, 1) = 6.930819596695575, (732, 2) = 4.288793408713584, (732, 3) = -.901539236041117, (733, 1) = 6.950291990493524, (733, 2) = 4.284700661441488, (733, 3) = -.9004558819757034, (734, 1) = 6.96982263594279, (734, 2) = 4.280596680386528, (734, 3) = -.8993736338782012, (735, 1) = 6.989411942712778, (735, 2) = 4.276481371565318, (735, 3) = -.8982924784367988, (736, 1) = 7.009060324903551, (736, 2) = 4.272354639938854, (736, 3) = -.8972124023295013, (737, 1) = 7.028768201111152, (737, 2) = 4.268216389395825, (737, 3) = -.8961333922229703, (738, 1) = 7.048535994493192, (738, 2) = 4.264066522735779, (738, 3) = -.8950554347714239, (739, 1) = 7.068364136474229, (739, 2) = 4.259904940888366, (739, 3) = -.8939785164182811, (740, 1) = 7.088253063413539, (740, 2) = 4.255731543610144, (740, 3) = -.8929026235825535, (741, 1) = 7.1082032128299355, (741, 2) = 4.251546230273179, (741, 3) = -.8918277428646433, (742, 1) = 7.128215027090736, (742, 2) = 4.247348899087184, (742, 3) = -.8907538608474889, (743, 1) = 7.148288953483549, (743, 2) = 4.243139447080992, (743, 3) = -.8896809640954167, (744, 1) = 7.168425444290962, (744, 2) = 4.2389177700833525, (744, 3) = -.8886090391528899, (745, 1) = 7.188624956866461, (745, 2) = 4.234683762703364, (745, 3) = -.8875380725432584, (746, 1) = 7.208887953710981, (746, 2) = 4.2304373183107105, (746, 3) = -.8864680507675444, (747, 1) = 7.229214905783743, (747, 2) = 4.226178328338178, (747, 3) = -.8853989601335098, (748, 1) = 7.249606291055066, (748, 2) = 4.221906682581536, (748, 3) = -.8843307868376312, (749, 1) = 7.27006258828915, (749, 2) = 4.217622270497847, (749, 3) = -.883263517293549, (750, 1) = 7.2905842816902195, (750, 2) = 4.213324980227557, (750, 3) = -.882197137889263, (751, 1) = 7.311171861028338, (751, 2) = 4.209014698563898, (751, 3) = -.8811316349836762, (752, 1) = 7.331825821726802, (752, 2) = 4.204691310930284, (752, 3) = -.8800669949052085, (753, 1) = 7.352546664950815, (753, 2) = 4.2003547013572256, (753, 3) = -.8790032039504116, (754, 1) = 7.373334897697288, (754, 2) = 4.196004752459023, (754, 3) = -.8779402483826191, (755, 1) = 7.394191035698062, (755, 2) = 4.1916413448216865, (755, 3) = -.8768781142876612, (756, 1) = 7.415115603904882, (756, 2) = 4.187264356897167, (756, 3) = -.8758167875555287, (757, 1) = 7.4361091278881295, (757, 2) = 4.1828736667976925, (757, 3) = -.8747562543206368, (758, 1) = 7.457172139264996, (758, 2) = 4.178469151154745, (758, 3) = -.8736965006870845, (759, 1) = 7.478305175974886, (759, 2) = 4.174050685056209, (759, 3) = -.872637512718205, (760, 1) = 7.499508782382202, (760, 2) = 4.169618142019554, (760, 3) = -.8715792764350312, (761, 1) = 7.520783509380517, (761, 2) = 4.165171393964542, (761, 3) = -.8705217778147443, (762, 1) = 7.542129914498428, (762, 2) = 4.160710311185497, (762, 3) = -.8694650027891551, (763, 1) = 7.563548564386353, (763, 2) = 4.156234761825885, (763, 3) = -.8684089371260784, (764, 1) = 7.5850400372586115, (764, 2) = 4.151744611362526, (764, 3) = -.8673535663158561, (765, 1) = 7.606604912030119, (765, 2) = 4.147239724869308, (765, 3) = -.8662988761101121, (766, 1) = 7.628243774280277, (766, 2) = 4.142719965764393, (766, 3) = -.8652448522295627, (767, 1) = 7.649957216801798, (767, 2) = 4.138185195689101, (767, 3) = -.8641914803410419, (768, 1) = 7.67174583972222, (768, 2) = 4.133635274475915, (768, 3) = -.8631387460557522, (769, 1) = 7.693610250627037, (769, 2) = 4.129070060115962, (769, 3) = -.8620866349275217, (770, 1) = 7.715551064685143, (770, 2) = 4.124489408725845, (770, 3) = -.8610351324510525, (771, 1) = 7.737568906716709, (771, 2) = 4.119893174108797, (771, 3) = -.8599842239677434, (772, 1) = 7.75966441558524, (772, 2) = 4.1152812068308195, (772, 3) = -.8589338944636089, (773, 1) = 7.7818382312810055, (773, 2) = 4.110653356909363, (773, 3) = -.8578841291899797, (774, 1) = 7.804091001081304, (774, 2) = 4.106009472519266, (774, 3) = -.8568349133715588, (775, 1) = 7.826423380532648, (775, 2) = 4.101349399779727, (775, 3) = -.8557862321642148, (776, 1) = 7.84883603359537, (776, 2) = 4.096672982715881, (776, 3) = -.8547380706529717, (777, 1) = 7.871329632789969, (777, 2) = 4.091980063219799, (777, 3) = -.8536904138500117, (778, 1) = 7.893904859346723, (778, 2) = 4.087270481010552, (778, 3) = -.852643246692655, (779, 1) = 7.91656240486134, (779, 2) = 4.082544073279906, (779, 3) = -.851596553972013, (780, 1) = 7.93930297758402, (780, 2) = 4.077800673371439, (780, 3) = -.8505503200507336, (781, 1) = 7.962127287776246, (781, 2) = 4.0730401138256385, (781, 3) = -.8495045295448984, (782, 1) = 7.985036053605474, (782, 2) = 4.068262225140251, (782, 3) = -.8484591670540823, (783, 1) = 8.0080300027675, (783, 2) = 4.0634668354218535, (783, 3) = -.8474142170917822, (784, 1) = 8.031109872659567, (784, 2) = 4.058653770339398, (784, 3) = -.8463696640830691, (785, 1) = 8.054276410555573, (785, 2) = 4.053822853077089, (785, 3) = -.8453254923622789, (786, 1) = 8.077530373785606, (786, 2) = 4.048973904285988, (786, 3) = -.8442816861706453, (787, 1) = 8.100872530999213, (787, 2) = 4.044106741809378, (787, 3) = -.8432382296057185, (788, 1) = 8.124303670234028, (788, 2) = 4.039221178988882, (788, 3) = -.8421951062697888, (789, 1) = 8.147824583031984, (789, 2) = 4.034317027964498, (789, 3) = -.8411522999868294, (790, 1) = 8.171436069444871, (790, 2) = 4.029394098618467, (790, 3) = -.8401097945815104, (791, 1) = 8.195138940564421, (791, 2) = 4.024452198035067, (791, 3) = -.8390675737722817, (792, 1) = 8.218934018730971, (792, 2) = 4.019491130444085, (792, 3) = -.8380256211686156, (793, 1) = 8.242822137744723, (793, 2) = 4.014510697163388, (793, 3) = -.836983920268298, (794, 1) = 8.266804143082705, (794, 2) = 4.009510696539857, (794, 3) = -.8359424544546232, (795, 1) = 8.290880892808346, (795, 2) = 4.004490923745536, (795, 3) = -.8349012069638748, (796, 1) = 8.315053267211344, (796, 2) = 3.999451168753123, (796, 3) = -.8338601604784965, (797, 1) = 8.339322152386277, (797, 2) = 3.994391219744506, (797, 3) = -.8328192978459278, (798, 1) = 8.36368844351081, (798, 2) = 3.9893108624117053, (798, 3) = -.8317786019401182, (799, 1) = 8.388153048630539, (799, 2) = 3.984209879151734, (799, 3) = -.8307380555050103, (800, 1) = 8.412716888912378, (800, 2) = 3.9790880489972236, (800, 3) = -.8296976411512607, (801, 1) = 8.437380898901308, (801, 2) = 3.973945147545834, (801, 3) = -.8286573413530145, (802, 1) = 8.46214602678453, (802, 2) = 3.968780946887587, (802, 3) = -.8276171384445604, (803, 1) = 8.487013235012608, (803, 2) = 3.963595215457206, (803, 3) = -.8265770146022908, (804, 1) = 8.511983511175385, (804, 2) = 3.958387715747184, (804, 3) = -.8255369514009927, (805, 1) = 8.53705785204092, (805, 2) = 3.9531582076167386, (805, 3) = -.8244969304922323, (806, 1) = 8.562237263982098, (806, 2) = 3.9479064481831734, (806, 3) = -.8234569335904777, (807, 1) = 8.58752276846791, (807, 2) = 3.942632190656208, (807, 3) = -.8224169422517611, (808, 1) = 8.6129154023735, (808, 2) = 3.937335184252098, (808, 3) = -.8213769378697409, (809, 1) = 8.638416218295, (809, 2) = 3.932015174106092, (809, 3) = -.8203369016718166, (810, 1) = 8.664026284873726, (810, 2) = 3.926671901182188, (810, 3) = -.8192968147150921, (811, 1) = 8.689746687231846, (811, 2) = 3.9213051021589287, (811, 3) = -.8182566578780882, (812, 1) = 8.715578538571103, (812, 2) = 3.9159145069847683, (812, 3) = -.8172164114042351, (813, 1) = 8.741522966074232, (813, 2) = 3.9104998417944774, (813, 3) = -.8161760554853719, (814, 1) = 8.767581106971052, (814, 2) = 3.9050608297048632, (814, 3) = -.8151355704257189, (815, 1) = 8.793754116326758, (815, 2) = 3.899597189163163, (815, 3) = -.8140949363366891, (816, 1) = 8.820043167424812, (816, 2) = 3.894108633839686, (816, 3) = -.8130541331321075, (817, 1) = 8.84644945215639, (817, 2) = 3.888594872518157, (817, 3) = -.8120131405234736, (818, 1) = 8.872974181422057, (818, 2) = 3.8830556089825428, (818, 3) = -.8109719380150308, (819, 1) = 8.899618585538178, (819, 2) = 3.8774905419019063, (819, 3) = -.8099305048989524, (820, 1) = 8.926383925795253, (820, 2) = 3.8718993623844185, (820, 3) = -.8088888198177447, (821, 1) = 8.953271484180533, (821, 2) = 3.866281756090561, (821, 3) = -.8078468611824647, (822, 1) = 8.980282553053724, (822, 2) = 3.860637405356994, (822, 3) = -.8068046075823211, (823, 1) = 9.007418446009401, (823, 2) = 3.8549659868932666, (823, 3) = -.8057620373716613, (824, 1) = 9.03468049835416, (824, 2) = 3.849267171646213, (824, 3) = -.8047191286641101, (825, 1) = 9.062070067593465, (825, 2) = 3.8435406246610793, (825, 3) = -.8036758593267134, (826, 1) = 9.089588533934087, (826, 2) = 3.8377860049380663, (826, 3) = -.8026322069738399, (827, 1) = 9.117237300792175, (827, 2) = 3.832002965286341, (827, 3) = -.8015881489612675, (828, 1) = 9.14501780570343, (828, 2) = 3.8261911500001986, (828, 3) = -.800543661990392, (829, 1) = 9.172931515580562, (829, 2) = 3.820350195806568, (829, 3) = -.7994987223076714, (830, 1) = 9.200979908274883, (830, 2) = 3.8144797356790825, (830, 3) = -.7984533064086123, (831, 1) = 9.229164487032891, (831, 2) = 3.808579395768804, (831, 3) = -.7974073905056122, (832, 1) = 9.257486781199164, (832, 2) = 3.802648795209663, (832, 3) = -.7963609505168525, (833, 1) = 9.285948346831685, (833, 2) = 3.79668754594047, (833, 3) = -.795313962058948, (834, 1) = 9.314550767337176, (834, 2) = 3.7906952525209046, (834, 3) = -.7942664004393398, (835, 1) = 9.34329565411465, (835, 2) = 3.784671511943884, (835, 3) = -.7932182406488627, (836, 1) = 9.372184656739165, (836, 2) = 3.778615911445869, (836, 3) = -.7921694570092125, (837, 1) = 9.40121946448667, (837, 2) = 3.7725280281275215, (837, 3) = -.7911200231423148, (838, 1) = 9.430401779138228, (838, 2) = 3.766407434596251, (838, 3) = -.7900699129721676, (839, 1) = 9.459733332864552, (839, 2) = 3.7602536951576524, (839, 3) = -.7890191000891039, (840, 1) = 9.48921588950377, (840, 2) = 3.7540663654840207, (840, 3) = -.7879675577220208, (841, 1) = 9.518851245348845, (841, 2) = 3.747844992383169, (841, 3) = -.7869152587290525, (842, 1) = 9.548641229960602, (842, 2) = 3.741589113559276, (842, 3) = -.7858621755879269, (843, 1) = 9.578587706993083, (843, 2) = 3.735298257368467, (843, 3) = -.7848082803865131, (844, 1) = 9.608692583580625, (844, 2) = 3.7289719407720727, (844, 3) = -.7837535445146949, (845, 1) = 9.638957818938136, (845, 2) = 3.722609667448519, (845, 3) = -.782697938392284, (846, 1) = 9.669385387848775, (846, 2) = 3.7162109353869424, (846, 3) = -.7816414327676888, (847, 1) = 9.69997730156025, (847, 2) = 3.709775232415469, (847, 3) = -.7805839980022324, (848, 1) = 9.730735610149566, (848, 2) = 3.7033020356178223, (848, 3) = -.7795256040101818, (849, 1) = 9.761662403544262, (849, 2) = 3.696790811028613, (849, 3) = -.7784662202467166, (850, 1) = 9.792759812576811, (850, 2) = 3.69024101331797, (850, 3) = -.7774058156955531, (851, 1) = 9.824030010058081, (851, 2) = 3.6836520854682595, (851, 3) = -.7763443588567197, (852, 1) = 9.855475219311415, (852, 2) = 3.6770234568737328, (852, 3) = -.7752818174836223, (853, 1) = 9.887097730735421, (853, 2) = 3.670354539738215, (853, 3) = -.7742181580583709, (854, 1) = 9.918899855590874, (854, 2) = 3.663644738707032, (854, 3) = -.7731533473792167, (855, 1) = 9.950883949106485, (855, 2) = 3.6568934458859568, (855, 3) = -.7720873518001669, (856, 1) = 9.98305241468014, (856, 2) = 3.650100039836146, (856, 3) = -.7710201371174549, (857, 1) = 10.015407705223705, (857, 2) = 3.6432638851659127, (857, 3) = -.7699516685537903, (858, 1) = 10.047952324550874, (858, 2) = 3.636384332107975, (858, 3) = -.7688819107422202, (859, 1) = 10.080688828795182, (859, 2) = 3.6294607160846093, (859, 3) = -.7678108277100569, (860, 1) = 10.113619834066725, (860, 2) = 3.6224923559463766, (860, 3) = -.7667383826611992, (861, 1) = 10.146748041925909, (861, 2) = 3.615478548427149, (861, 3) = -.7656645371889894, (862, 1) = 10.180076183428184, (862, 2) = 3.6084185798296127, (862, 3) = -.7645892531329826, (863, 1) = 10.213607043030397, (863, 2) = 3.6013117208122525, (863, 3) = -.7635124918261615, (864, 1) = 10.247343465731987, (864, 2) = 3.594157224710308, (864, 3) = -.7624342138982272, (865, 1) = 10.281288358875821, (865, 2) = 3.5869543269787156, (865, 3) = -.7613543792546068, (866, 1) = 10.315444694006002, (866, 2) = 3.579702244614791, (866, 3) = -.7602729470550398, (867, 1) = 10.349815508773789, (867, 2) = 3.5724001755621777, (867, 3) = -.7591898756920787, (868, 1) = 10.384403913755897, (868, 2) = 3.565047297061133, (868, 3) = -.758105122617362, (869, 1) = 10.419213127806586, (869, 2) = 3.5576427579137757, (869, 3) = -.7570186432852515, (870, 1) = 10.454246412946972, (870, 2) = 3.5501856921022457, (870, 3) = -.7559303932410282, (871, 1) = 10.489507096706419, (871, 2) = 3.542675213818972, (871, 3) = -.7548403274535482, (872, 1) = 10.524998583841818, (872, 2) = 3.5351104147342407, (872, 3) = -.7537483999936534, (873, 1) = 10.5607243587954, (873, 2) = 3.527490363220069, (873, 3) = -.7526545640056443, (874, 1) = 10.596687988229588, (874, 2) = 3.519814103545111, (874, 3) = -.7515587716783168, (875, 1) = 10.63289312363938, (875, 2) = 3.512080655039807, (875, 3) = -.7504609742156239, (876, 1) = 10.669343507490643, (876, 2) = 3.504289010493605, (876, 3) = -.7493611217032186, (877, 1) = 10.706043019346108, (877, 2) = 3.49643812597645, (877, 3) = -.7482591617823898, (878, 1) = 10.742995603306573, (878, 2) = 3.488526936019927, (878, 3) = -.7471550419018939, (879, 1) = 10.78020528489527, (879, 2) = 3.4805543496854603, (879, 3) = -.7460487088526041, (880, 1) = 10.81767618981849, (880, 2) = 3.472519246199509, (880, 3) = -.7449401082614152, (881, 1) = 10.855412547393602, (881, 2) = 3.4644204738462028, (881, 3) = -.7438291845516463, (882, 1) = 10.893418694083717, (882, 2) = 3.456256848817235, (882, 3) = -.7427158809029898, (883, 1) = 10.931699077159465, (883, 2) = 3.4480271540134524, (883, 3) = -.7416001392105535, (884, 1) = 10.970258260537356, (884, 2) = 3.4397301373556206, (884, 3) = -.7404818999838102, (885, 1) = 11.009100982320422, (885, 2) = 3.431364498928781, (885, 3) = -.7393611007622033, (886, 1) = 11.048232078482535, (886, 2) = 3.4229289069055993, (886, 3) = -.7382376784138434, (887, 1) = 11.087656487930191, (887, 2) = 3.414421995971318, (887, 3) = -.7371115690486033, (888, 1) = 11.127379282071029, (888, 2) = 3.405842360425351, (888, 3) = -.7359827072406874, (889, 1) = 11.167405669715405, (889, 2) = 3.397188552557463, (889, 3) = -.7348510259722459, (890, 1) = 11.207741002130671, (890, 2) = 3.388459080958368, (890, 3) = -.7337164565766211, (891, 1) = 11.248390778307742, (891, 2) = 3.3796524087498083, (891, 3) = -.7325789286796657, (892, 1) = 11.289360651290771, (892, 2) = 3.370766951547103, (892, 3) = -.7314383701157663, (893, 1) = 11.330656497158822, (893, 2) = 3.361801061771162, (893, 3) = -.730294705118356, (894, 1) = 11.372284342175629, (894, 2) = 3.352753043671116, (894, 3) = -.7291478564670484, (895, 1) = 11.41425034557318, (895, 2) = 3.343621156301864, (895, 3) = -.7279977460505542, (896, 1) = 11.456560845810936, (896, 2) = 3.3344036026543677, (896, 3) = -.7268442936884701, (897, 1) = 11.499222367789764, (897, 2) = 3.325098527197197, (897, 3) = -.7256874170487188, (898, 1) = 11.542241630294027, (898, 2) = 3.315704013312761, (898, 3) = -.7245270315646876, (899, 1) = 11.585625553796506, (899, 2) = 3.3062180805949137, (899, 3) = -.7233630503486789, (900, 1) = 11.629381268845268, (900, 2) = 3.2966386819555806, (900, 3) = -.7221953840962092, (901, 1) = 11.67351619518718, (901, 2) = 3.286963685146219, (901, 3) = -.721023939124689, (902, 1) = 11.718037985996858, (902, 2) = 3.2771908837111887, (902, 3) = -.7198486190312461, (903, 1) = 11.762954470985209, (903, 2) = 3.267318008218975, (903, 3) = -.7186693263314036, (904, 1) = 11.808273728785482, (904, 2) = 3.257342709055872, (904, 3) = -.7174859606820034, (905, 1) = 11.85400409793714, (905, 2) = 3.2472625525606866, (905, 3) = -.7162984187561912, (906, 1) = 11.900154188228942, (906, 2) = 3.2370750169808176, (906, 3) = -.7151065941182221, (907, 1) = 11.946732892681933, (907, 2) = 3.2267774881801405, (907, 3) = -.7139103770912567, (908, 1) = 11.993749400422493, (908, 2) = 3.2163672550345086, (908, 3) = -.7127096546124335, (909, 1) = 12.04121328506698, (909, 2) = 3.205841487943343, (909, 3) = -.7115043081864374, (910, 1) = 12.089134485179821, (910, 2) = 3.1951972410364022, (910, 3) = -.7102942146323363, (911, 1) = 12.137523184490322, (911, 2) = 3.184431476619831, (911, 3) = -.7090792493230282, (912, 1) = 12.186389922879721, (912, 2) = 3.1735410382913387, (912, 3) = -.7078592835767195, (913, 1) = 12.23574561443085, (913, 2) = 3.1625226444407692, (913, 3) = -.7066341844437944, (914, 1) = 12.285601565447047, (914, 2) = 3.1513728815679123, (914, 3) = -.7054038145097162, (915, 1) = 12.33596949364528, (915, 2) = 3.1400881971334833, (915, 3) = -.7041680316845084, (916, 1) = 12.386861548824772, (916, 2) = 3.128664891856846, (916, 3) = -.7029266889727046, (917, 1) = 12.438290414571522, (917, 2) = 3.1170990935296485, (917, 3) = -.7016796323018012, (918, 1) = 12.490269345715674, (918, 2) = 3.1053867448429355, (918, 3) = -.700426699982318, (919, 1) = 12.542811961564713, (919, 2) = 3.093523646068882, (919, 3) = -.6991677280345898, (920, 1) = 12.595932408712994, (920, 2) = 3.0815054143600267, (920, 3) = -.6979025465616095, (921, 1) = 12.649645394078542, (921, 2) = 3.069327471786196, (921, 3) = -.6966309793252394, (922, 1) = 12.703966215006057, (922, 2) = 3.0569850336448483, (922, 3) = -.695352843420019, (923, 1) = 12.75891079163747, (923, 2) = 3.04447309583675, (923, 3) = -.6940679489204847, (924, 1) = 12.814495701902867, (924, 2) = 3.031786421182951, (924, 3) = -.6927760984962691, (925, 1) = 12.870738304295346, (925, 2) = 3.0189195051273985, (925, 3) = -.6914770850369469, (926, 1) = 12.927656867972484, (926, 2) = 3.005866538910731, (926, 3) = -.6901706892165655, (927, 1) = 12.985270244062171, (927, 2) = 2.9926214774001014, (927, 3) = -.6888566876031296, (928, 1) = 13.043598099941251, (928, 2) = 2.9791779775908465, (928, 3) = -.6875348477661639, (929, 1) = 13.102660983931743, (929, 2) = 2.9655293749487974, (929, 3) = -.6862049273955008, (930, 1) = 13.162480378845766, (930, 2) = 2.9516686614427847, (930, 3) = -.6848666737268071, (931, 1) = 13.22307876021262, (931, 2) = 2.937588461548715, (931, 3) = -.6835198229121776, (932, 1) = 13.284479659578263, (932, 2) = 2.9232810060220853, (932, 3) = -.6821640993324065, (933, 1) = 13.346707824424334, (933, 2) = 2.908738081884897, (933, 3) = -.680799212855363, (934, 1) = 13.409789510436392, (934, 2) = 2.8939509496344984, (934, 3) = -.6794248533644707, (935, 1) = 13.473617936490388, (935, 2) = 2.878942014731358, (935, 3) = -.6780435935558053, (936, 1) = 13.537744337554457, (936, 2) = 2.863814697285353, (936, 3) = -.6766652670676123, (937, 1) = 13.601584529422432, (937, 2) = 2.848705819719916, (937, 3) = -.6753023261119279, (938, 1) = 13.665087361979692, (938, 2) = 2.833627223272698, (938, 3) = -.6739556239437225, (939, 1) = 13.72825350800473, (939, 2) = 2.8185785478891803, (939, 3) = -.6726249022282895, (940, 1) = 13.791083632292448, (940, 2) = 2.803559439220781, (940, 3) = -.6713099086942074, (941, 1) = 13.853578391780243, (941, 2) = 2.7885695484913553, (941, 3) = -.6700103969535767, (942, 1) = 13.91573843567108, (942, 2) = 2.773608532367641, (942, 3) = -.6687261263290604, (943, 1) = 13.97756440555374, (943, 2) = 2.7586760528334895, (943, 3) = -.6674568616868563, (944, 1) = 14.039056935520275, (944, 2) = 2.743771777067778, (944, 3) = -.666202373275904, (945, 1) = 14.100216652280839, (945, 2) = 2.728895377325849, (945, 3) = -.6649624365725288, (946, 1) = 14.161044175275785, (946, 2) = 2.7140465308243495, (946, 3) = -.6637368321308308, (947, 1) = 14.221540116785352, (947, 2) = 2.699224919629365, (947, 3) = -.6625253454380425, (948, 1) = 14.281705082036831, (948, 2) = 2.6844302305477235, (948, 3) = -.6613277667751881, (949, 1) = 14.341539669309325, (949, 2) = 2.66966215502137, (949, 3) = -.6601438910822984, (950, 1) = 14.401044470036194, (950, 2) = 2.654920389024691, (950, 3) = -.6589735178285174, (951, 1) = 14.460220068905235, (951, 2) = 2.640204632964692, (951, 3) = -.6578164508863892, (952, 1) = 14.519067043956692, (952, 2) = 2.6255145915839457, (952, 3) = -.6566724984106584, (953, 1) = 14.577585966679083, (953, 2) = 2.610849973866199, (953, 3) = -.655541472720922, (954, 1) = 14.635777402102942, (954, 2) = 2.5962104929445555, (954, 3) = -.6544231901884516, (955, 1) = 14.693641908892621, (955, 2) = 2.5815958660121447, (955, 3) = -.6533174711265469, (956, 1) = 14.751180039435976, (956, 2) = 2.56700581423521, (956, 3) = -.6522241396847626, (957, 1) = 14.808392339932285, (957, 2) = 2.5524400626685075, (957, 3) = -.6511430237463823, (958, 1) = 14.865279350478207, (958, 2) = 2.5378983401729767, (958, 3) = -.6500739548294807, (959, 1) = 14.921841605151982, (959, 2) = 2.523380379335568, (959, 3) = -.6490167679909716, (960, 1) = 14.978079632095788, (960, 2) = 2.50888591639119, (960, 3) = -.6479713017339946, (961, 1) = 15.033993953596461, (961, 2) = 2.4944146911466936, (961, 3) = -.6469373979180505, (962, 1) = 15.08958508616449, (962, 2) = 2.4799664469068263, (962, 3) = -.6459149016722335, (963, 1) = 15.144853540611381, (963, 2) = 2.4655409304021068, (963, 3) = -.6449036613110052, (964, 1) = 15.19979982212546, (964, 2) = 2.45113789171853, (964, 3) = -.6439035282528436, (965, 1) = 15.254424430346067, (965, 2) = 2.4367570842290918, (965, 3) = -.6429143569412377, (966, 1) = 15.308727859436303, (966, 2) = 2.4223982645270223, (966, 3) = -.6419360047683672, (967, 1) = 15.362710598154274, (967, 2) = 2.408061192360721, (967, 3) = -.6409683320009335, (968, 1) = 15.416373129922892, (968, 2) = 2.393745630570306, (968, 3) = -.6400112017085083, (969, 1) = 15.469715932898268, (969, 2) = 2.3794513450257604, (969, 3) = -.6390644796938585, (970, 1) = 15.522739480036785, (970, 2) = 2.365178104566586, (970, 3) = -.638128034425626, (971, 1) = 15.575444239160788, (971, 2) = 2.350925680942963, (971, 3) = -.6372017369728363, (972, 1) = 15.627830673023016, (972, 2) = 2.336693848758339, (972, 3) = -.6362854609415951, (973, 1) = 15.67989923936974, (973, 2) = 2.3224823854134087, (973, 3) = -.6353790824134903, (974, 1) = 15.731650391002638, (974, 2) = 2.3082910710514626, (974, 3) = -.6344824798860332, (975, 1) = 15.78308457583955, (975, 2) = 2.294119688505028, (975, 3) = -.6335955342146764, (976, 1) = 15.834202236973976, (976, 2) = 2.2799680232438115, (976, 3) = -.632718128556743, (977, 1) = 15.885003812733414, (977, 2) = 2.265835863323851, (977, 3) = -.631850148316813, (978, 1) = 15.93548973673671, (978, 2) = 2.251722999337883, (978, 3) = -.6309914810939036, (979, 1) = 15.98566043795007, (979, 2) = 2.237629224366877, (979, 3) = -.6301420166299972, (980, 1) = 16.035516340742284, (980, 2) = 2.2235543339326957, (980, 3) = -.6293016467602516, (981, 1) = 16.085057864938644, (981, 2) = 2.2094981259518516, (981, 3) = -.6284702653644576, (982, 1) = 16.13428542587406, (982, 2) = 2.1954604006903367, (982, 3) = -.6276477683200766, (983, 1) = 16.183199434445037, (983, 2) = 2.1814409607194944, (983, 3) = -.6268340534564387, (984, 1) = 16.23180029716065, (984, 2) = 2.1674396108728775, (984, 3) = -.6260290205104191, (985, 1) = 16.280088416192772, (985, 2) = 2.153456158204109, (985, 3) = -.6252325710831913, (986, 1) = 16.328064189425145, (986, 2) = 2.139490411945679, (986, 3) = -.6244446085983753, (987, 1) = 16.375728010501582, (987, 2) = 2.125542183468671, (987, 3) = -.623665038261178, (988, 1) = 16.423080268873456, (988, 2) = 2.111611286243382, (988, 3) = -.6228937670188528, (989, 1) = 16.4701213498461, (989, 2) = 2.0976975358008274, (989, 3) = -.6221307035220768, (990, 1) = 16.516851634624434, (990, 2) = 2.0838007496950803, (990, 3) = -.6213757580875713, (991, 1) = 16.563271500357832, (991, 2) = 2.0699207474664454, (991, 3) = -.6206288426615711, (992, 1) = 16.609381320184035, (992, 2) = 2.0560573506054367, (992, 3) = -.619889870784472, (993, 1) = 16.655181463272402, (993, 2) = 2.042210382517535, (993, 3) = -.6191587575562613, (994, 1) = 16.700672294866347, (994, 2) = 2.0283796684887023, (994, 3) = -.6184354196030611, (995, 1) = 16.74585417632489, (995, 2) = 2.0145650356516382, (995, 3) = -.6177197750444032, (996, 1) = 16.79072746516367, (996, 2) = 2.000766312952763, (996, 3) = -.6170117434615465, (997, 1) = 16.835292515095045, (997, 2) = 1.9869833311198837, (997, 3) = -.6163112458664797, (998, 1) = 16.879549676067615, (998, 2) = 1.9732159226305632, (998, 3) = -.6156182046719093, (999, 1) = 16.923499294304932, (999, 2) = 1.959463921681136, (999, 3) = -.6149325436618822, (1000, 1) = 16.96714171234359, (1000, 2) = 1.945727164156378, (1000, 3) = -.6142541879633425, (1001, 1) = 17.010477269070677, (1001, 2) = 1.932005487599807, (1001, 3) = -.6135830640182763, (1002, 1) = 17.053506299760436, (1002, 2) = 1.9182987311845887, (1002, 3) = -.6129190995567414, (1003, 1) = 17.096229136110427, (1003, 2) = 1.9046067356850473, (1003, 3) = -.6122622235704411, (1004, 1) = 17.138646106277022, (1004, 2) = 1.8909293434487524, (1004, 3) = -.6116123662871469, (1005, 1) = 17.180756315386486, (1005, 2) = 1.877266795271651, (1005, 3) = -.610969477731241, (1006, 1) = 17.22218992037559, (1006, 2) = 1.8637401691020319, (1006, 3) = -.6103391121992404, (1007, 1) = 17.26262604829794, (1007, 2) = 1.8504574360159747, (1007, 3) = -.609726007690624, (1008, 1) = 17.302032891028176, (1008, 2) = 1.8374333863604064, (1008, 3) = -.6091304803899124, (1009, 1) = 17.340452739030695, (1009, 2) = 1.8246584051706969, (1009, 3) = -.6085517314807694, (1010, 1) = 17.377925834429476, (1010, 2) = 1.8121232737520008, (1010, 3) = -.6079890063534745, (1011, 1) = 17.414490126749058, (1011, 2) = 1.7998192713196135, (1011, 3) = -.6074415970658215, (1012, 1) = 17.45018143953161, (1012, 2) = 1.7877381400677796, (1012, 3) = -.6069088386995339, (1013, 1) = 17.485033622752855, (1013, 2) = 1.775872053081982, (1013, 3) = -.6063901060514865, (1014, 1) = 17.519078714413276, (1014, 2) = 1.764213577274833, (1014, 3) = -.6058848102987133, (1015, 1) = 17.552347164569614, (1015, 2) = 1.7527556128327069, (1015, 3) = -.6053923948429779, (1016, 1) = 17.584867686012444, (1016, 2) = 1.7414914597037032, (1016, 3) = -.6049123367681186, (1017, 1) = 17.61666748147861, (1017, 2) = 1.7304147543091903, (1017, 3) = -.6044441427750465, (1018, 1) = 17.64777237111802, (1018, 2) = 1.7195194386174206, (1018, 3) = -.6039873466773344, (1019, 1) = 17.678206882246446, (1019, 2) = 1.7087997410461815, (1019, 3) = -.6035415075164069, (1020, 1) = 17.707994332047498, (1020, 2) = 1.6982501588249534, (1020, 3) = -.6031062078343202, (1021, 1) = 17.737156904065674, (1021, 2) = 1.687865441615835, (1021, 3) = -.602681052085796, (1022, 1) = 17.76571572783387, (1022, 2) = 1.6776405731266943, (1022, 3) = -.6022656650488237, (1023, 1) = 17.793691019011643, (1023, 2) = 1.6675707299694356, (1023, 3) = -.6018596893993652, (1024, 1) = 17.82110197042721, (1024, 2) = 1.6576513292916415, (1024, 3) = -.6014627869388894, (1025, 1) = 17.847966867520324, (1025, 2) = 1.6478779958204082, (1025, 3) = -.6010746365827556, (1026, 1) = 17.874303167868366, (1026, 2) = 1.63824654075293, (1026, 3) = -.6006949329068576, (1027, 1) = 17.90012754908667, (1027, 2) = 1.6287529513990386, (1027, 3) = -.600323385180238, (1028, 1) = 17.925455953398313, (1028, 2) = 1.619393381518348, (1028, 3) = -.5999597164693401, (1029, 1) = 17.950303629206594, (1029, 2) = 1.6101641422736608, (1029, 3) = -.5996036628066583, (1030, 1) = 17.974685173023662, (1030, 2) = 1.6010616925863972, (1030, 3) = -.5992549723740264, (1031, 1) = 17.998614620583528, (1031, 2) = 1.592082610522007, (1031, 3) = -.5989134040028197, (1032, 1) = 18.022105373813595, (1032, 2) = 1.5832236257078882, (1032, 3) = -.5985787280356306, (1033, 1) = 18.045170256093847, (1033, 2) = 1.5744816038466543, (1033, 3) = -.5982507253628784, (1034, 1) = 18.06782156723835, (1034, 2) = 1.5658535307170973, (1034, 3) = -.5979291864810723, (1035, 1) = 18.090071110820624, (1035, 2) = 1.5573365061745437, (1035, 3) = -.5976139109589449, (1036, 1) = 18.11193021980352, (1036, 2) = 1.54892773850597, (1036, 3) = -.5973047069389591, (1037, 1) = 18.133409780603337, (1037, 2) = 1.540624539112239, (1037, 3) = -.5970013906711985, (1038, 1) = 18.154520256499765, (1038, 2) = 1.5324243171832281, (1038, 3) = -.5967037860660811, (1039, 1) = 18.175271747712955, (1039, 2) = 1.5243245597723376, (1039, 3) = -.5964117237402221, (1040, 1) = 18.195673946317708, (1040, 2) = 1.516322852547812, (1040, 3) = -.5961250415521855, (1041, 1) = 18.21573615722205, (1041, 2) = 1.5084168749649607, (1041, 3) = -.5958435842105881, (1042, 1) = 18.235467339299447, (1042, 2) = 1.5006043872124437, (1042, 3) = -.5955672026074952, (1043, 1) = 18.254876121837746, (1043, 2) = 1.4928832265477794, (1043, 3) = -.5952957535061183, (1044, 1) = 18.273970820071956, (1044, 2) = 1.4852513038241335, (1044, 3) = -.5950290992471764, (1045, 1) = 18.292759449844787, (1045, 2) = 1.4777066002027244, (1045, 3) = -.5947671074726701, (1046, 1) = 18.31124974147918, (1046, 2) = 1.4702471640279673, (1046, 3) = -.5945096508656538, (1047, 1) = 18.329449179120942, (1047, 2) = 1.4628710972089765, (1047, 3) = -.594256606540631, (1048, 1) = 18.347364976425716, (1048, 2) = 1.455576567146166, (1048, 3) = -.594007856324529, (1049, 1) = 18.365004077273216, (1049, 2) = 1.4483618086779273, (1049, 3) = -.5937632866904438, (1050, 1) = 18.382373188396564, (1050, 2) = 1.441225112883574, (1050, 3) = -.5935227882523226, (1051, 1) = 18.39947878973233, (1051, 2) = 1.4341648247454164, (1051, 3) = -.5932862555733245, (1052, 1) = 18.416327144251184, (1052, 2) = 1.4271793409183786, (1052, 3) = -.5930535869845577, (1053, 1) = 18.432924307275577, (1053, 2) = 1.4202671076109925, (1053, 3) = -.5928246844137343, (1054, 1) = 18.44927613526239, (1054, 2) = 1.4134266185937303, (1054, 3) = -.5925994532239811, (1055, 1) = 18.46538831083808, (1055, 2) = 1.4066564062716413, (1055, 3) = -.5923778018316692, (1056, 1) = 18.48126633352313, (1056, 2) = 1.3999550469971458, (1056, 3) = -.5921596417994808, (1057, 1) = 18.49691550834241, (1057, 2) = 1.3933211673909474, (1057, 3) = -.5919448879588324, (1058, 1) = 18.512340972773114, (1058, 2) = 1.3867534344374342, (1058, 3) = -.5917334580073953, (1059, 1) = 18.5275477035165, (1059, 2) = 1.3802505539322136, (1059, 3) = -.5915252723865173, (1060, 1) = 18.542540522950286, (1060, 2) = 1.373811268997535, (1060, 3) = -.5913202541648631, (1061, 1) = 18.557324105265597, (1061, 2) = 1.3674343586678044, (1061, 3) = -.5911183289279666, (1062, 1) = 18.57190298227908, (1062, 2) = 1.3611186365532124, (1062, 3) = -.5909194246738427, (1063, 1) = 18.58628155929361, (1063, 2) = 1.3548629450628527, (1063, 3) = -.590723471573136, (1064, 1) = 18.600464114708267, (1064, 2) = 1.3486661565716354, (1064, 3) = -.5905304019527176, (1065, 1) = 18.61445478329556, (1065, 2) = 1.3425271817786144, (1065, 3) = -.590340150501969, (1066, 1) = 18.628257578154603, (1066, 2) = 1.3364449611782692, (1066, 3) = -.5901526539533305, (1067, 1) = 18.641876395488527, (1067, 2) = 1.330418463908194, (1067, 3) = -.5899678509984009, (1068, 1) = 18.65531501897277, (1068, 2) = 1.3244466867303353, (1068, 3) = -.589785682210711, (1069, 1) = 18.66857712392174, (1069, 2) = 1.318528653058179, (1069, 3) = -.5896060899721706, (1070, 1) = 18.68166628125188, (1070, 2) = 1.3126634120333305, (1070, 3) = -.5894290184032605, (1071, 1) = 18.6945859675989, (1071, 2) = 1.3068500347872725, (1071, 3) = -.5892544132109271, (1072, 1) = 18.707339569509998, (1072, 2) = 1.3010876132767915, (1072, 3) = -.5890822216178093, (1073, 1) = 18.71993036558545, (1073, 2) = 1.2953752691013718, (1073, 3) = -.5889123925895097, (1074, 1) = 18.732361543851766, (1074, 2) = 1.2897121464415628, (1074, 3) = -.588744876586464, (1075, 1) = 18.744636205469362, (1075, 2) = 1.284097411070556, (1075, 3) = -.5885796255014422, (1076, 1) = 18.75675736776989, (1076, 2) = 1.2785302496364883, (1076, 3) = -.5884165926068137, (1077, 1) = 18.768727967160565, (1077, 2) = 1.273009868975932, (1077, 3) = -.5882557325041603, (1078, 1) = 18.78055086189695, (1078, 2) = 1.2675354954594324, (1078, 3) = -.5880970010762907, (1079, 1) = 18.792228838553307, (1079, 2) = 1.262106372586945, (1079, 3) = -.5879403553901794, (1080, 1) = 18.803764618296793, (1080, 2) = 1.2567217586057782, (1080, 3) = -.5877857536033665, (1081, 1) = 18.815160840023744, (1081, 2) = 1.2513809349265232, (1081, 3) = -.587633155180745, (1082, 1) = 18.826420073698056, (1082, 2) = 1.2460832004926667, (1082, 3) = -.5874825207066171, (1083, 1) = 18.837544823495563, (1083, 2) = 1.2408278708286902, (1083, 3) = -.5873338118341292, (1084, 1) = 18.848537529965654, (1084, 2) = 1.235614277522801, (1084, 3) = -.587186991248351, (1085, 1) = 18.859400572102583, (1085, 2) = 1.2304417677314574, (1085, 3) = -.5870420226309061, (1086, 1) = 18.87013626932954, (1086, 2) = 1.225309703705169, (1086, 3) = -.5868988706261805, (1087, 1) = 18.88074688563395, (1087, 2) = 1.2202174612603551, (1087, 3) = -.5867575007791975, (1088, 1) = 18.89123463647709, (1088, 2) = 1.2151644268678785, (1088, 3) = -.5866178794370824, (1089, 1) = 18.901601673934177, (1089, 2) = 1.2101500052163587, (1089, 3) = -.5864799739405934, (1090, 1) = 18.911850096558474, (1090, 2) = 1.2051736149174277, (1090, 3) = -.5863437524864478, (1091, 1) = 18.921981952240632, (1091, 2) = 1.2002346875232588, (1091, 3) = -.5862091840834127, (1092, 1) = 18.931999239778772, (1092, 2) = 1.1953326671462086, (1092, 3) = -.5860762385258854, (1093, 1) = 18.941903910385818, (1093, 2) = 1.190467010094094, (1093, 3) = -.5859448863685247, (1094, 1) = 18.951697869137572, (1094, 2) = 1.1856371845198512, (1094, 3) = -.5858150989019488, (1095, 1) = 18.96138297760914, (1095, 2) = 1.1808426694677847, (1095, 3) = -.5856868481129038, (1096, 1) = 18.970961060598903, (1096, 2) = 1.1760829518567775, (1096, 3) = -.5855601065906806, (1097, 1) = 18.98043389367056, (1097, 2) = 1.1713575329759942, (1097, 3) = -.5854348476875737, (1098, 1) = 18.989803210066967, (1098, 2) = 1.16666592540606, (1098, 3) = -.5853110454229074, (1099, 1) = 18.999070703435844, (1099, 2) = 1.1620076519727596, (1099, 3) = -.5851886744428226, (1100, 1) = 19.00823802899096, (1100, 2) = 1.1573822454623663, (1100, 3) = -.5850677100010078, (1101, 1) = 19.017306804628795, (1101, 2) = 1.152789248348418, (1101, 3) = -.5849481279401552, (1102, 1) = 19.026278612004305, (1102, 2) = 1.148228212528394, (1102, 3) = -.5848299046741491, (1103, 1) = 19.035154998209098, (1103, 2) = 1.1436986987419775, (1103, 3) = -.584713017162452, (1104, 1) = 19.043937481863484, (1104, 2) = 1.1392002737068958, (1104, 3) = -.5845974428266415, (1105, 1) = 19.052627543128807, (1105, 2) = 1.1347325154686878, (1105, 3) = -.5844831596787085, (1106, 1) = 19.061226628139032, (1106, 2) = 1.1302950114125412, (1106, 3) = -.5843701462595186, (1107, 1) = 19.06973615167237, (1107, 2) = 1.1258873571390868, (1107, 3) = -.5842583816006632, (1108, 1) = 19.07815749802417, (1108, 2) = 1.121509156247935, (1108, 3) = -.5841478452101574, (1109, 1) = 19.086492021847448, (1109, 2) = 1.117160020129785, (1109, 3) = -.5840385170586482, (1110, 1) = 19.094741048964657, (1110, 2) = 1.1128395677654412, (1110, 3) = -.5839303775661464, (1111, 1) = 19.102905877441408, (1111, 2) = 1.108547425379023, (1111, 3) = -.5838234075854052, (1112, 1) = 19.11098778282506, (1112, 2) = 1.10428322387878, (1112, 3) = -.5837175883309272, (1113, 1) = 19.11898801052359, (1113, 2) = 1.1000466030608431, (1113, 3) = -.583612901476476, (1114, 1) = 19.126907778161897, (1114, 2) = 1.095837210590503, (1114, 3) = -.5835093291218788, (1115, 1) = 19.134748278238817, (1115, 2) = 1.0916547007967243, (1115, 3) = -.5834068537560336, (1116, 1) = 19.142510678792913, (1116, 2) = 1.0874987345052292, (1116, 3) = -.5833054582461353, (1117, 1) = 19.150196124044157, (1117, 2) = 1.0833689788780634, (1117, 3) = -.5832051258272604, (1118, 1) = 19.157805735015298, (1118, 2) = 1.0792651072580708, (1118, 3) = -.5831058400923339, (1119, 1) = 19.165340610233837, (1119, 2) = 1.0751867989635648, (1119, 3) = -.583007584981086, (1120, 1) = 19.17280183003072, (1120, 2) = 1.0711337371188225, (1120, 3) = -.5829103447222539, (1121, 1) = 19.180190451097783, (1121, 2) = 1.0671056117554198, (1121, 3) = -.5828141039028368, (1122, 1) = 19.187507507117957, (1122, 2) = 1.0631021196502002, (1122, 3) = -.5827188474581447, (1123, 1) = 19.19475401142444, (1123, 2) = 1.0591229630410917, (1123, 3) = -.5826245606355029, (1124, 1) = 19.20193095751482, (1124, 2) = 1.055167849496738, (1124, 3) = -.582531228986017, (1125, 1) = 19.20903931954772, (1125, 2) = 1.0512364917911174, (1125, 3) = -.5824388383566035, (1126, 1) = 19.216080052824243, (1126, 2) = 1.0473286077816875, (1126, 3) = -.582347374882295, (1127, 1) = 19.223054094272012, (1127, 2) = 1.043443920281506, (1127, 3) = -.5822568249785441, (1128, 1) = 19.229962365796926, (1128, 2) = 1.039582155320786, (1128, 3) = -.5821671752963962, (1129, 1) = 19.23680577079704, (1129, 2) = 1.0357430442123106, (1129, 3) = -.5820784127664714, (1130, 1) = 19.243585193363987, (1130, 2) = 1.0319263241436722, (1130, 3) = -.5819905246080318, (1131, 1) = 19.250301500947728, (1131, 2) = 1.028131736820034, (1131, 3) = -.5819034982931562, (1132, 1) = 19.256955544758615, (1132, 2) = 1.0243590283611408, (1132, 3) = -.5818173215403708, (1133, 1) = 19.263548160155988, (1133, 2) = 1.0206079492021842, (1133, 3) = -.581731982308468, (1134, 1) = 19.2700801670258, (1134, 2) = 1.0168782539972545, (1134, 3) = -.581647468790542, (1135, 1) = 19.276552370146998, (1135, 2) = 1.0131697015255423, (1135, 3) = -.5815637694081693, (1136, 1) = 19.282965561638772, (1136, 2) = 1.0094820533955284, (1136, 3) = -.5814808727787758, (1137, 1) = 19.28932051919465, (1137, 2) = 1.0058150751557315, (1137, 3) = -.5813987677375002, (1138, 1) = 19.29561800411398, (1138, 2) = 1.0021685375452043, (1138, 3) = -.5813174433616652, (1139, 1) = 19.301858763965694, (1139, 2) = .9985422150724486, (1139, 3) = -.5812368889353865, (1140, 1) = 19.30804353290679, (1140, 2) = .9949358859327685, (1140, 3) = -.5811570939445775, (1141, 1) = 19.31417303198981, (1141, 2) = .991349331929061, (1141, 3) = -.5810780480721126, (1142, 1) = 19.320247969462056, (1142, 2) = .987782338394534, (1142, 3) = -.5809997411931338, (1143, 1) = 19.326269041056076, (1143, 2) = .9842346941176248, (1143, 3) = -.5809221633704865, (1144, 1) = 19.33223693171761, (1144, 2) = .9807061904128982, (1144, 3) = -.5808453048316968, (1145, 1) = 19.338152315095442, (1145, 2) = .9771966215015844, (1145, 3) = -.5807691559748027, (1146, 1) = 19.34401585085894, (1146, 2) = .9737057861945164, (1146, 3) = -.5806937074021502, (1147, 1) = 19.349828187232728, (1147, 2) = .9702334864868738, (1147, 3) = -.5806189498870139, (1148, 1) = 19.35558996127616, (1148, 2) = .9667795274766444, (1148, 3) = -.5805448743693177, (1149, 1) = 19.36130179912898, (1149, 2) = .9633437173007249, (1149, 3) = -.5804714719518033, (1150, 1) = 19.36696431625063, (1150, 2) = .9599258670724756, (1150, 3) = -.5803987338963085, (1151, 1) = 19.372578117652985, (1151, 2) = .9565257908210462, (1151, 3) = -.5803266516201476, (1152, 1) = 19.378143799106475, (1152, 2) = .9531433048358353, (1152, 3) = -.5802552166800263, (1153, 1) = 19.383661947435233, (1153, 2) = .9497782275530798, (1153, 3) = -.5801844207676865, (1154, 1) = 19.38913313754508, (1154, 2) = .9464303814419002, (1154, 3) = -.5801142557474684, (1155, 1) = 19.394557934698724, (1155, 2) = .9430995917009867, (1155, 3) = -.5800447136265341, (1156, 1) = 19.399936894795545, (1156, 2) = .9397856861588811, (1156, 3) = -.5799757865507449, (1157, 1) = 19.405270564569637, (1157, 2) = .9364884952219663, (1157, 3) = -.5799074668015998, (1158, 1) = 19.410559481783046, (1158, 2) = .933207851823576, (1158, 3) = -.5798397467932549, (1159, 1) = 19.41580417541369, (1159, 2) = .9299435913745339, (1159, 3) = -.5797726190696225, (1160, 1) = 19.421005166485198, (1160, 2) = .926695551310391, (1160, 3) = -.5797060762932851, (1161, 1) = 19.426162968847787, (1161, 2) = .9234635706593411, (1161, 3) = -.5796401112350521, (1162, 1) = 19.431278086200457, (1162, 2) = .9202474919680367, (1162, 3) = -.579574716811611, (1163, 1) = 19.4363510140324, (1163, 2) = .9170471601572282, (1163, 3) = -.5795098860602318, (1164, 1) = 19.441382239927353, (1164, 2) = .9138624223912263, (1164, 3) = -.5794456121344536, (1165, 1) = 19.446372243724706, (1165, 2) = .9106931280352155, (1165, 3) = -.5793818883016155, (1166, 1) = 19.451321497676627, (1166, 2) = .9075391286134549, (1166, 3) = -.5793187079404496, (1167, 1) = 19.45623046660128, (1167, 2) = .9044002777686271, (1167, 3) = -.5792560645387397, (1168, 1) = 19.461099608443355, (1168, 2) = .901276430957812, (1168, 3) = -.5791939516857931, (1169, 1) = 19.465929375315298, (1169, 2) = .8981674448318506, (1169, 3) = -.5791323630588053, (1170, 1) = 19.470720210699195, (1170, 2) = .8950731790855527, (1170, 3) = -.5790712924581995, (1171, 1) = 19.475472551017607, (1171, 2) = .8919934955086325, (1171, 3) = -.5790107337872232, (1172, 1) = 19.480186825976734, (1172, 2) = .888928257816371, (1172, 3) = -.5789506810472436, (1173, 1) = 19.484863458698385, (1173, 2) = .8858773316143209, (1173, 3) = -.5788911283357323, (1174, 1) = 19.48950286584893, (1174, 2) = .8828405843637237, (1174, 3) = -.5788320698443132, (1175, 1) = 19.494105457764807, (1175, 2) = .8798178853478478, (1175, 3) = -.5787734998568468, (1176, 1) = 19.498671638823556, (1176, 2) = .8768091054752608, (1176, 3) = -.578715412744421, (1177, 1) = 19.503201808587004, (1177, 2) = .8738141165671429, (1177, 3) = -.5786578029505204, (1178, 1) = 19.507696359299853, (1178, 2) = .8708327930515278, (1178, 3) = -.5786006650225651, (1179, 1) = 19.512155677078336, (1179, 2) = .8678650112311441, (1179, 3) = -.5785439935964992, (1180, 1) = 19.516580142299368, (1180, 2) = .8649106490706222, (1180, 3) = -.5784877833915792, (1181, 1) = 19.520970129709454, (1181, 2) = .8619695861671, (1181, 3) = -.5784320292087202, (1182, 1) = 19.525326008531188, (1182, 2) = .8590417037214152, (1182, 3) = -.5783767259288948, (1183, 1) = 19.52964814256702, (1183, 2) = .8561268845100397, (1183, 3) = -.5783218685115669, (1184, 1) = 19.53393689043919, (1184, 2) = .8532250127638021, (1184, 3) = -.578267451991404, (1185, 1) = 19.538192606725747, (1185, 2) = .8503359734344303, (1185, 3) = -.5782134714636398, (1186, 1) = 19.542415639824906, (1186, 2) = .8474596536781404, (1186, 3) = -.5781599221109428, (1187, 1) = 19.546606332765958, (1187, 2) = .8445959423515466, (1187, 3) = -.5781067991928978, (1188, 1) = 19.550765023647358, (1188, 2) = .8417447297530674, (1188, 3) = -.5780540980402268, (1189, 1) = 19.55489204572709, (1189, 2) = .8389059075982844, (1189, 3) = -.5780018140534339, (1190, 1) = 19.558987727511234, (1190, 2) = .8360793689957944, (1190, 3) = -.5779499427014828, (1191, 1) = 19.563052392840326, (1191, 2) = .8332650084236563, (1191, 3) = -.5778984795204957, (1192, 1) = 19.567086361041742, (1192, 2) = .8304627216590553, (1192, 3) = -.5778474201116338, (1193, 1) = 19.571089947984408, (1193, 2) = .8276724050763496, (1193, 3) = -.5777967601275646, (1194, 1) = 19.57506346434473, (1194, 2) = .8248939568841958, (1194, 3) = -.5777464952942262, (1195, 1) = 19.57900721605476, (1195, 2) = .8221272768532777, (1195, 3) = -.5776966214049636, (1196, 1) = 19.58292150478891, (1196, 2) = .8193722660112024, (1196, 3) = -.5776471343141985, (1197, 1) = 19.586806628039525, (1197, 2) = .8166288266217138, (1197, 3) = -.5775980299362967, (1198, 1) = 19.590662879190887, (1198, 2) = .8138968621643337, (1198, 3) = -.5775493042444689, (1199, 1) = 19.594490547591477, (1199, 2) = .8111762773144776, (1199, 3) = -.577500953269694, (1200, 1) = 19.598289918651115, (1200, 2) = .8084669779051816, (1200, 3) = -.5774529730993342, (1201, 1) = 19.60206127476575, (1201, 2) = .8057688702945812, (1201, 3) = -.5774053598653042, (1202, 1) = 19.60580489399753, (1202, 2) = .8030818623346014, (1202, 3) = -.5773581097605966, (1203, 1) = 19.6095210501819, (1203, 2) = .8004058633290803, (1203, 3) = -.5773112190377696, (1204, 1) = 19.6132100134606, (1204, 2) = .7977407836825694, (1204, 3) = -.5772646840020763, (1205, 1) = 19.616872050345258, (1205, 2) = .7950865348826976, (1205, 3) = -.5772185010105199, (1206, 1) = 19.620507423779575, (1206, 2) = .792443029482911, (1206, 3) = -.5771726664709331, (1207, 1) = 19.624116393200236, (1207, 2) = .7898101810855964, (1207, 3) = -.5771271768410793, (1208, 1) = 19.627699214602167, (1208, 2) = .7871879043213503, (1208, 3) = -.5770820286276994, (1209, 1) = 19.631256141303634, (1209, 2) = .7845761143129325, (1209, 3) = -.5770372183767426, (1210, 1) = 19.63478742303727, (1210, 2) = .7819747273637054, (1210, 3) = -.5769927426847086, (1211, 1) = 19.63829330574119, (1211, 2) = .7793836611411493, (1211, 3) = -.5769485982011453, (1212, 1) = 19.641774032134908, (1212, 2) = .7768028342807479, (1212, 3) = -.5769047816212775, (1213, 1) = 19.64522984177311, (1213, 2) = .7742321663709459, (1213, 3) = -.5768612896852123, (1214, 1) = 19.648660971098295, (1214, 2) = .7716715779384445, (1214, 3) = -.5768181191771663, (1215, 1) = 19.652067653492217, (1215, 2) = .7691209904337936, (1215, 3) = -.5767752669247069, (1216, 1) = 19.655450119326638, (1216, 2) = .7665803262171, (1216, 3) = -.5767327297980086, (1217, 1) = 19.658808596551996, (1217, 2) = .7640495081371521, (1217, 3) = -.5766905047023454, (1218, 1) = 19.662143310185794, (1218, 2) = .7615284599353445, (1218, 3) = -.5766485885844298, (1219, 1) = 19.665454481814525, (1219, 2) = .7590171066470316, (1219, 3) = -.5766069784385687, (1220, 1) = 19.668742330208456, (1220, 2) = .7565153741622654, (1220, 3) = -.576565671298833, (1221, 1) = 19.6720070713674, (1221, 2) = .7540231892128834, (1221, 3) = -.576524664238392, (1222, 1) = 19.675248918565316, (1222, 2) = .7515404793599192, (1222, 3) = -.5764839543688538, (1223, 1) = 19.678468082394225, (1223, 2) = .749067172981247, (1223, 3) = -.576443538839629, (1224, 1) = 19.68166477080727, (1224, 2) = .7466031992593261, (1224, 3) = -.576403414837299, (1225, 1) = 19.684839189550452, (1225, 2) = .7441484878675174, (1225, 3) = -.5763635795801088, (1226, 1) = 19.687991541975084, (1226, 2) = .7417029691314159, (1226, 3) = -.5763240303202459, (1227, 1) = 19.691122028330625, (1227, 2) = .7392665745981143, (1227, 3) = -.5762847643526249, (1228, 1) = 19.69423084638749, (1228, 2) = .7368392365762706, (1228, 3) = -.5762457790069903, (1229, 1) = 19.69731819148145, (1229, 2) = .7344208881208886, (1229, 3) = -.5762070716472791, (1230, 1) = 19.70038425655175, (1230, 2) = .7320114630224849, (1230, 3) = -.5761686396710686, (1231, 1) = 19.703429232178532, (1231, 2) = .7296108957964393, (1231, 3) = -.5761304805090263, (1232, 1) = 19.706453306619746, (1232, 2) = .7272191216724491, (1232, 3) = -.5760925916243786, (1233, 1) = 19.709456666122666, (1233, 2) = .7248360763653081, (1233, 3) = -.5760549705089363, (1234, 1) = 19.712439494961664, (1234, 2) = .7224616960593556, (1234, 3) = -.5760176146825506, (1235, 1) = 19.715401974622935, (1235, 2) = .7200959180748272, (1235, 3) = -.5759805217032573, (1236, 1) = 19.718344284393847, (1236, 2) = .7177386804199135, (1236, 3) = -.5759436891598254, (1237, 1) = 19.72126660141436, (1237, 2) = .7153899217668418, (1237, 3) = -.5759071146710449, (1238, 1) = 19.724169100709823, (1238, 2) = .7130495814425167, (1238, 3) = -.575870795885253, (1239, 1) = 19.72705195522308, (1239, 2) = .7107175994193076, (1239, 3) = -.5758347304798679, (1240, 1) = 19.72991533584613, (1240, 2) = .7083939163059227, (1240, 3) = -.5757989161609338, (1241, 1) = 19.73275941164045, (1241, 2) = .7060784731841073, (1241, 3) = -.5757633506603022, (1242, 1) = 19.735584350024283, (1242, 2) = .7037712114690645, (1242, 3) = -.5757280317332346, (1243, 1) = 19.73839031592416, (1243, 2) = .7014720736171216, (1243, 3) = -.5756929571689554, (1244, 1) = 19.741177472301626, (1244, 2) = .6991810027147479, (1244, 3) = -.5756581247840034, (1245, 1) = 19.743945980217767, (1245, 2) = .6968979424411659, (1245, 3) = -.5756235324213724, (1246, 1) = 19.746695998861345, (1246, 2) = .6946228370602345, (1246, 3) = -.5755891779501031, (1247, 1) = 19.749427685576617, (1247, 2) = .6923556314124445, (1247, 3) = -.5755550592648846, (1248, 1) = 19.7521411958905, (1248, 2) = .6900962709069925, (1248, 3) = -.575521174285661, (1249, 1) = 19.754836683664664, (1249, 2) = .6878447014092017, (1249, 3) = -.5754875209556827, (1250, 1) = 19.757514301374066, (1250, 2) = .6856008690194563, (1250, 3) = -.5754540972379824, (1251, 1) = 19.760174199280343, (1251, 2) = .6833647207784044, (1251, 3) = -.5754209011256437, (1252, 1) = 19.762816525876264, (1252, 2) = .6811362043118298, (1252, 3) = -.5753879306362065, (1253, 1) = 19.76544142796725, (1253, 2) = .6789152677762916, (1253, 3) = -.5753551838105968, (1254, 1) = 19.76804905069562, (1254, 2) = .6767018598520539, (1254, 3) = -.575322658712782, (1255, 1) = 19.770639537564637, (1255, 2) = .6744959297361027, (1255, 3) = -.575290353429428, (1256, 1) = 19.773213030462095, (1256, 2) = .6722974271352407, (1256, 3) = -.5752582660695553, (1257, 1) = 19.77576966976219, (1257, 2) = .6701063021917848, (1257, 3) = -.5752263947632317, (1258, 1) = 19.778309594650846, (1258, 2) = .6679225052151884, (1258, 3) = -.5751947376574748, (1259, 1) = 19.780832942360625, (1259, 2) = .6657459873506175, (1259, 3) = -.5751632929257471, (1260, 1) = 19.783339848520686, (1260, 2) = .6635767002937719, (1260, 3) = -.5751320587635511, (1261, 1) = 19.785830447257336, (1261, 2) = .6614145962170305, (1261, 3) = -.57510103338714, (1262, 1) = 19.788304871215114, (1262, 2) = .6592596277632726, (1262, 3) = -.575070215033211, (1263, 1) = 19.790763251577715, (1263, 2) = .657111748039763, (1263, 3) = -.5750396019586099, (1264, 1) = 19.793205718088423, (1264, 2) = .6549709106121143, (1264, 3) = -.5750091924400391, (1265, 1) = 19.795632399116034, (1265, 2) = .6528370694580623, (1265, 3) = -.5749789847732006, (1266, 1) = 19.798043421993558, (1266, 2) = .6507101786791781, (1266, 3) = -.5749489772685433, (1267, 1) = 19.800438912342358, (1267, 2) = .6485901931063636, (1267, 3) = -.5749191682596465, (1268, 1) = 19.802818994320525, (1268, 2) = .6464770680949055, (1268, 3) = -.5748895561000856, (1269, 1) = 19.805183790743754, (1269, 2) = .6443707594293834, (1269, 3) = -.574860139161899, (1270, 1) = 19.807533423103752, (1270, 2) = .6422712233182536, (1270, 3) = -.5748309158353249, (1271, 1) = 19.809868011586374, (1271, 2) = .6401784163884761, (1271, 3) = -.5748018845285386, (1272, 1) = 19.812187675089532, (1272, 2) = .6380922956802146, (1272, 3) = -.5747730436674086, (1273, 1) = 19.81449253126429, (1273, 2) = .6360128186203398, (1273, 3) = -.5747443916949428, (1274, 1) = 19.81678269684196, (1274, 2) = .6339399427361084, (1274, 3) = -.5747159270672016, (1275, 1) = 19.819058287066017, (1275, 2) = .6318736261773432, (1275, 3) = -.5746876482603269, (1276, 1) = 19.821319415836147, (1276, 2) = .6298138275989611, (1276, 3) = -.5746595537687212, (1277, 1) = 19.823566195849615, (1277, 2) = .6277605060435298, (1277, 3) = -.5746316421032616, (1278, 1) = 19.825798738617305, (1278, 2) = .6257136209364933, (1278, 3) = -.5746039117910717, (1279, 1) = 19.828017154479767, (1279, 2) = .6236731320814426, (1279, 3) = -.5745763613752962, (1280, 1) = 19.83022155262267, (1280, 2) = .6216389996554471, (1280, 3) = -.574548989414881, (1281, 1) = 19.832412041102053, (1281, 2) = .6196111841954364, (1281, 3) = -.5745217944842321, (1282, 1) = 19.834588727141316, (1282, 2) = .6175896463312537, (1282, 3) = -.5744947751695065, (1283, 1) = 19.836751716682777, (1283, 2) = .6155743472092521, (1283, 3) = -.5744679300741503, (1284, 1) = 19.838901114427202, (1284, 2) = .6135652484671701, (1284, 3) = -.5744412578183866, (1285, 1) = 19.841037023995458, (1285, 2) = .6115623120936701, (1285, 3) = -.5744147570371789, (1286, 1) = 19.843159547942683, (1286, 2) = .6095655004241314, (1286, 3) = -.5743884263800344, (1287, 1) = 19.84526878777224, (1287, 2) = .6075747761364644, (1287, 3) = -.5743622645108071, (1288, 1) = 19.847364843949357, (1288, 2) = .6055901022469871, (1288, 3) = -.5743362701075042, (1289, 1) = 19.849447815917095, (1289, 2) = .6036114421040958, (1289, 3) = -.5743104418620663, (1290, 1) = 19.85151780235039, (1290, 2) = .6016387591544183, (1290, 3) = -.5742847784771944, (1291, 1) = 19.85357490083335, (1291, 2) = .5996720172565969, (1291, 3) = -.5742592786703307, (1292, 1) = 19.85561920779659, (1292, 2) = .5977111807514615, (1292, 3) = -.5742339411744154, (1293, 1) = 19.85765081869849, (1293, 2) = .5957562142982876, (1293, 3) = -.5742087647356142, (1294, 1) = 19.85966982803759, (1294, 2) = .5938070828710703, (1294, 3) = -.5741837481131463, (1295, 1) = 19.861676329364922, (1295, 2) = .5918637517548128, (1295, 3) = -.5741588900791096, (1296, 1) = 19.86367041529605, (1296, 2) = .5899261865418716, (1296, 3) = -.5741341894183142, (1297, 1) = 19.865652177522932, (1297, 2) = .5879943531283507, (1297, 3) = -.5741096449281121, (1298, 1) = 19.867621707016063, (1298, 2) = .5860682175240985, (1298, 3) = -.5740852554158792, (1299, 1) = 19.869579093829884, (1299, 2) = .5841477460486655, (1299, 3) = -.5740610197014043, (1300, 1) = 19.871524426941583, (1300, 2) = .5822329054982487, (1300, 3) = -.5740369366188668, (1301, 1) = 19.873457794450896, (1301, 2) = .5803236629586795, (1301, 3) = -.5740130050143437, (1302, 1) = 19.875379283591116, (1302, 2) = .5784199858021141, (1302, 3) = -.5739892237456559, (1303, 1) = 19.877288980739905, (1303, 2) = .5765218416837343, (1303, 3) = -.5739655916822174, (1304, 1) = 19.879186971429917, (1304, 2) = .5746291985384988, (1304, 3) = -.5739421077048841, (1305, 1) = 19.881073340359336, (1305, 2) = .5727420245779484, (1305, 3) = -.5739187707058098, (1306, 1) = 19.882948171543223, (1306, 2) = .5708602881453474, (1306, 3) = -.5738955795865558, (1307, 1) = 19.88481154823225, (1307, 2) = .5689839578023878, (1307, 3) = -.5738725332590796, (1308, 1) = 19.886663552671855, (1308, 2) = .5671130025792203, (1308, 3) = -.5738496306487026, (1309, 1) = 19.88850426631243, (1309, 2) = .5652473917713979, (1309, 3) = -.5738268706914856, (1310, 1) = 19.890333769820344, (1310, 2) = .5633870949355332, (1310, 3) = -.5738042523340858, (1311, 1) = 19.892152143087632, (1311, 2) = .5615320818863546, (1311, 3) = -.5737817745336163, (1312, 1) = 19.89395946524135, (1312, 2) = .559682322693814, (1312, 3) = -.5737594362575164, (1313, 1) = 19.89575581465289, (1313, 2) = .5578377876802327, (1313, 3) = -.5737372364834238, (1314, 1) = 19.897541269049242, (1314, 2) = .5559984473121872, (1314, 3) = -.5737151741977838, (1315, 1) = 19.899315905514236, (1315, 2) = .5541642722040276, (1315, 3) = -.5736932483958208, (1316, 1) = 19.90107980020141, (1316, 2) = .5523352334209779, (1316, 3) = -.573671458085074, (1317, 1) = 19.90283302853929, (1317, 2) = .550511302275143, (1317, 3) = -.5736498022828419, (1318, 1) = 19.90457566524549, (1318, 2) = .5486924503171431, (1318, 3) = -.5736282800160021, (1319, 1) = 19.906307784335254, (1319, 2) = .5468786493334858, (1319, 3) = -.5736068903208844, (1320, 1) = 19.908029459129835, (1320, 2) = .5450698713439792, (1320, 3) = -.5735856322431613, (1321, 1) = 19.90974076226477, (1321, 2) = .543266088599179, (1321, 3) = -.5735645048377285, (1322, 1) = 19.911441765769833, (1322, 2) = .5414672735018017, (1322, 3) = -.5735435071677101, (1323, 1) = 19.913132541127712, (1323, 2) = .5396733985491358, (1323, 3) = -.5735226383037157, (1324, 1) = 19.91481315896707, (1324, 2) = .5378844366641508, (1324, 3) = -.5735018973276246, (1325, 1) = 19.916483689251205, (1325, 2) = .5361003610029645, (1325, 3) = -.5734812833302413, (1326, 1) = 19.918144201297487, (1326, 2) = .5343211449400488, (1326, 3) = -.5734607954110419, (1327, 1) = 19.91979476378493, (1327, 2) = .532546762065869, (1327, 3) = -.5734404326780733, (1328, 1) = 19.921435444761592, (1328, 2) = .5307771861845735, (1328, 3) = -.5734201942478477, (1329, 1) = 19.92306631165203, (1329, 2) = .5290123913117012, (1329, 3) = -.5734000792452398, (1330, 1) = 19.924687431313203, (1330, 2) = .527252351618974, (1330, 3) = -.5733800868027903, (1331, 1) = 19.92629887013047, (1331, 2) = .5254970413341968, (1331, 3) = -.5733602160595042, (1332, 1) = 19.927900693711383, (1332, 2) = .5237464350795807, (1332, 3) = -.5733404661646263, (1333, 1) = 19.92949296704913, (1333, 2) = .5220005077007696, (1333, 3) = -.5733208362756056, (1334, 1) = 19.931075754548843, (1334, 2) = .5202592342436756, (1334, 3) = -.5733013255577678, (1335, 1) = 19.93264912003427, (1335, 2) = .5185225899523683, (1335, 3) = -.5732819331842178, (1336, 1) = 19.93421312675453, (1336, 2) = .5167905502669967, (1336, 3) = -.5732626583357503, (1337, 1) = 19.935767837390596, (1337, 2) = .5150630908217282, (1337, 3) = -.5732435002007586, (1338, 1) = 19.937313314093164, (1338, 2) = .5133401874076926, (1338, 3) = -.5732244579747585, (1339, 1) = 19.93884961860011, (1339, 2) = .5116218158459948, (1339, 3) = -.5732055308589333, (1340, 1) = 19.940376811946493, (1340, 2) = .5099079523160774, (1340, 3) = -.5731867180636958, (1341, 1) = 19.941894954596876, (1341, 2) = .5081985732144444, (1341, 3) = -.5731680188070509, (1342, 1) = 19.943404106479313, (1342, 2) = .5064936551216199, (1342, 3) = -.5731494323141656, (1343, 1) = 19.94490432699154, (1343, 2) = .5047931748002501, (1343, 3) = -.5731309578172866, (1344, 1) = 19.946395675006798, (1344, 2) = .5030971091932277, (1344, 3) = -.5731125945556588, (1345, 1) = 19.94787820887973, (1345, 2) = .5014054354218421, (1345, 3) = -.5730943417754409, (1346, 1) = 19.949351986470976, (1346, 2) = .4997181307624112, (1346, 3) = -.5730761987294014, (1347, 1) = 19.950817065273377, (1347, 2) = .4980351725055381, (1347, 3) = -.5730581646753513, (1348, 1) = 19.952273502150078, (1348, 2) = .49635653826036585, (1348, 3) = -.5730402388793623, (1349, 1) = 19.953721353431487, (1349, 2) = .494682205849519, (1349, 3) = -.5730224206145664, (1350, 1) = 19.955160674957767, (1350, 2) = .4930121532650103, (1350, 3) = -.5730047091606206, (1351, 1) = 19.95659152208427, (1351, 2) = .49134635866652193, (1351, 3) = -.5729871038036375, (1352, 1) = 19.958013949686887, (1352, 2) = .48968480037972084, (1352, 3) = -.5729696038361092, (1353, 1) = 19.95942801216726, (1353, 2) = .4880274568945852, (1353, 3) = -.5729522085568352, (1354, 1) = 19.96083376346807, (1354, 2) = .48637430685193395, (1354, 3) = -.5729349172707306, (1355, 1) = 19.96223125719797, (1355, 2) = .4847253288999255, (1355, 3) = -.5729177292872769, (1356, 1) = 19.963620546406702, (1356, 2) = .48308050196262103, (1356, 3) = -.5729006439232864, (1357, 1) = 19.965001683643905, (1357, 2) = .4814398051763105, (1357, 3) = -.5728836605021689, (1358, 1) = 19.96637472101043, (1358, 2) = .47980321783345836, (1358, 3) = -.5728667783532949, (1359, 1) = 19.967739710163162, (1359, 2) = .47817071938115635, (1359, 3) = -.5728499968119279, (1360, 1) = 19.969096702319966, (1360, 2) = .47654228941959703, (1360, 3) = -.5728333152191597, (1361, 1) = 19.970445748264186, (1361, 2) = .47491790770056136, (1361, 3) = -.5728167329218445, (1362, 1) = 19.97178689835392, (1362, 2) = .4732975541206186, (1362, 3) = -.5728002492724832, (1363, 1) = 19.97312020263809, (1363, 2) = .47168120858405516, (1363, 3) = -.5727838636277879, (1364, 1) = 19.97444571067443, (1364, 2) = .4700688512263239, (1364, 3) = -.5727675753509127, (1365, 1) = 19.975763471549044, (1365, 2) = .4684604623957792, (1365, 3) = -.5727513838112097, (1366, 1) = 19.977073533936448, (1366, 2) = .4668560225850026, (1366, 3) = -.5727352883834802, (1367, 1) = 19.97837594610403, (1367, 2) = .4652555124294005, (1367, 3) = -.5727192884479193, (1368, 1) = 19.979670755916313, (1368, 2) = .46365891270582044, (1368, 3) = -.5727033833900536, (1369, 1) = 19.980958010839288, (1369, 2) = .4620662043311844, (1369, 3) = -.572687572600686, (1370, 1) = 19.982237757945754, (1370, 2) = .46047736835961445, (1370, 3) = -.5726718554758199, (1371, 1) = 19.983510044016967, (1371, 2) = .45889238585944025, (1371, 3) = -.5726562314154096, (1372, 1) = 19.984774915407694, (1372, 2) = .457311238083942, (1372, 3) = -.5726406998250096, (1373, 1) = 19.986032418025733, (1373, 2) = .4557339065015658, (1373, 3) = -.5726252601160218, (1374, 1) = 19.98728259740097, (1374, 2) = .4541603727141553, (1374, 3) = -.5726099117048429, (1375, 1) = 19.988525498689217, (1375, 2) = .45259061845568205, (1375, 3) = -.5725946540128096, (1376, 1) = 19.98976116667617, (1376, 2) = .4510246255909879, (1376, 3) = -.5725794864661462, (1377, 1) = 19.990989645781223, (1377, 2) = .44946237611454476, (1377, 3) = -.5725644084959143, (1378, 1) = 19.992210980061262, (1378, 2) = .44790385214918477, (1378, 3) = -.5725494195379581, (1379, 1) = 19.993425213293488, (1379, 2) = .44634903584352, (1379, 3) = -.5725345190318842, (1380, 1) = 19.994632388889805, (1380, 2) = .4447979094839302, (1380, 3) = -.5725197064221106, (1381, 1) = 19.99583254983699, (1381, 2) = .4432504555755322, (1381, 3) = -.5725049811585924, (1382, 1) = 19.997025738774184, (1382, 2) = .44170665674700815, (1382, 3) = -.5724903426958662, (1383, 1) = 19.998211997996314, (1383, 2) = .4401664957494519, (1383, 3) = -.5724757904930069, (1384, 1) = 19.99939136945769, (1384, 2) = .4386299554552252, (1384, 3) = -.5724613240135742, (1385, 1) = 20.000563894775542, (1385, 2) = .43709701885683033, (1385, 3) = -.5724469427255685, (1386, 1) = 20.001729615233284, (1386, 2) = .43556766906580235, (1386, 3) = -.5724326461013861, (1387, 1) = 20.002888571843513, (1387, 2) = .43404188923313025, (1387, 3) = -.5724184336170397, (1388, 1) = 20.00404080530889, (1388, 2) = .43251966260300045, (1388, 3) = -.5724043047526367, (1389, 1) = 20.005186355927837, (1389, 2) = .43100097264087084, (1389, 3) = -.5723902589935312, (1390, 1) = 20.006325263678026, (1390, 2) = .4294858029273448, (1390, 3) = -.5723762958292933, (1391, 1) = 20.007457568220048, (1391, 2) = .4279741371565978, (1391, 3) = -.5723624147536637, (1392, 1) = 20.008583308900562, (1392, 2) = .42646595913533514, (1392, 3) = -.5723486152645079, (1393, 1) = 20.009702524755433, (1393, 2) = .4249612527817654, (1393, 3) = -.5723348968637765, (1394, 1) = 20.010815254512842, (1394, 2) = .42346000212459023, (1394, 3) = -.5723212590574602, (1395, 1) = 20.011921536640067, (1395, 2) = .4219621912427086, (1395, 3) = -.5723077013550162, (1396, 1) = 20.013021409339267, (1396, 2) = .42046780427303226, (1396, 3) = -.5722942232694119, (1397, 1) = 20.014114910431815, (1397, 2) = .4189768255707575, (1397, 3) = -.5722808243185442, (1398, 1) = 20.015202077441515, (1398, 2) = .4174892396001956, (1398, 3) = -.5722675040242095, (1399, 1) = 20.016282947599613, (1399, 2) = .4160050309311739, (1399, 3) = -.5722542619120442, (1400, 1) = 20.017357557847575, (1400, 2) = .4145241842380836, (1400, 3) = -.5722410975114834, (1401, 1) = 20.018425944840004, (1401, 2) = .4130466842989419, (1401, 3) = -.5722280103557246, (1402, 1) = 20.019488144947395, (1402, 2) = .41157251599447275, (1402, 3) = -.5722149999816872, (1403, 1) = 20.020544194290263, (1403, 2) = .4101016642636123, (1403, 3) = -.5722020659295944, (1404, 1) = 20.021594128759777, (1404, 2) = .4086341140765387, (1404, 3) = -.5721892077427145, (1405, 1) = 20.02263798389156, (1405, 2) = .4071698506138738, (1405, 3) = -.5721764249689048, (1406, 1) = 20.023675794943824, (1406, 2) = .4057088591614203, (1406, 3) = -.5721637171596518, (1407, 1) = 20.024707596904264, (1407, 2) = .4042511251031413, (1407, 3) = -.5721510838699811, (1408, 1) = 20.025733424492866, (1408, 2) = .40279663392028997, (1408, 3) = -.5721385246584219, (1409, 1) = 20.02675331216446, (1409, 2) = .40134537119055197, (1409, 3) = -.572126039086974, (1410, 1) = 20.02776729411115, (1410, 2) = .3998973225872055, (1410, 3) = -.5721136267210696, (1411, 1) = 20.028775404286524, (1411, 2) = .3984524738473885, (1411, 3) = -.57210128712928, (1412, 1) = 20.02977767644324, (1412, 2) = .39701081072000066, (1412, 3) = -.5720890198828489, (1413, 1) = 20.030774144004813, (1413, 2) = .3955723191524524, (1413, 3) = -.5720768245572608, (1414, 1) = 20.031764840134592, (1414, 2) = .3941369851951964, (1414, 3) = -.5720647007313918, (1415, 1) = 20.03274979774574, (1415, 2) = .39270479499012, (1415, 3) = -.5720526479873871, (1416, 1) = 20.03372904950359, (1416, 2) = .39127573476974636, (1416, 3) = -.5720406659106261, (1417, 1) = 20.034702627827986, (1417, 2) = .3898497908564519, (1417, 3) = -.5720287540896942, (1418, 1) = 20.035670564895682, (1418, 2) = .3884269496616944, (1418, 3) = -.5720169121163484, (1419, 1) = 20.036632892656712, (1419, 2) = .38700719766438757, (1419, 3) = -.5720051395853158, (1420, 1) = 20.03758964288229, (1420, 2) = .3855905213420392, (1420, 3) = -.5719934360937043, (1421, 1) = 20.03854084704157, (1421, 2) = .3841769073552995, (1421, 3) = -.5719818012425072, (1422, 1) = 20.039486536358535, (1422, 2) = .3827663424672572, (1422, 3) = -.5719702346359057, (1423, 1) = 20.040426741825332, (1423, 2) = .38135881352627526, (1423, 3) = -.571958735881102, (1424, 1) = 20.041361494204505, (1424, 2) = .37995430746525866, (1424, 3) = -.5719473045882911, (1425, 1) = 20.0422908240311, (1425, 2) = .37855281130093565, (1425, 3) = -.5719359403706311, (1426, 1) = 20.043214761614788, (1426, 2) = .37715431213315137, (1426, 3) = -.5719246428442153, (1427, 1) = 20.044133337050603, (1427, 2) = .37575879713102134, (1427, 3) = -.5719134116279382, (1428, 1) = 20.04504658027174, (1428, 2) = .37436625345455044, (1428, 3) = -.5719022463428478, (1429, 1) = 20.045954520936526, (1429, 2) = .372976668428649, (1429, 3) = -.571891146613526, (1430, 1) = 20.04685718847117, (1430, 2) = .3715900294813734, (1430, 3) = -.5718801120675631, (1431, 1) = 20.04775461208686, (1431, 2) = .37020632412040205, (1431, 3) = -.5718691423353447, (1432, 1) = 20.048646820781723, (1432, 2) = .3688255399323657, (1432, 3) = -.5718582370500284, (1433, 1) = 20.04953384334279, (1433, 2) = .3674476645821852, (1433, 3) = -.5718473958475162, (1434, 1) = 20.050415708347934, (1434, 2) = .366072685812424, (1434, 3) = -.5718366183664276, (1435, 1) = 20.051292444172557, (1435, 2) = .36470059143519196, (1435, 3) = -.571825904248018, (1436, 1) = 20.0521640790428, (1436, 2) = .3633313692505006, (1436, 3) = -.5718152531355244, (1437, 1) = 20.053030640937088, (1437, 2) = .3619650072026537, (1437, 3) = -.5718046646753665, (1438, 1) = 20.053892157613095, (1438, 2) = .36060149334092195, (1438, 3) = -.5717941385168177, (1439, 1) = 20.05474865662877, (1439, 2) = .3592408157890074, (1439, 3) = -.5717836743117423, (1440, 1) = 20.055600165344185, (1440, 2) = .3578829627444267, (1440, 3) = -.5717732717145736, (1441, 1) = 20.056446710923268, (1441, 2) = .35652792247790377, (1441, 3) = -.57176293038229, (1442, 1) = 20.057288320335623, (1442, 2) = .3551756833327739, (1442, 3) = -.5717526499743898, (1443, 1) = 20.05812502036042, (1443, 2) = .35382623372086586, (1443, 3) = -.5717424301528441, (1444, 1) = 20.05895683763678, (1444, 2) = .35247956204298875, (1444, 3) = -.5717322705814761, (1445, 1) = 20.059783798582654, (1445, 2) = .3511356568216801, (1445, 3) = -.5717221709269549, (1446, 1) = 20.060605929405256, (1446, 2) = .34979450668720863, (1446, 3) = -.5717121308586602, (1447, 1) = 20.061423256126137, (1447, 2) = .3484561003395004, (1447, 3) = -.5717021500483798, (1448, 1) = 20.06223580458276, (1448, 2) = .3471204265475682, (1448, 3) = -.5716922281702845, (1449, 1) = 20.063043600430177, (1449, 2) = .3457874741489562, (1449, 3) = -.5716823649009083, (1450, 1) = 20.063846669142677, (1450, 2) = .34445723204918804, (1450, 3) = -.5716725599191245, (1451, 1) = 20.06464503601601, (1451, 2) = .3431296892200832, (1451, 3) = -.5716628129061196, (1452, 1) = 20.065438726212246, (1452, 2) = .3418048346270206, (1452, 3) = -.5716531235448411, (1453, 1) = 20.066227764698027, (1453, 2) = .34048265733295874, (1453, 3) = -.5716434915207511, (1454, 1) = 20.067012176238265, (1454, 2) = .3391631465121482, (1454, 3) = -.5716339165219025, (1455, 1) = 20.067791985424943, (1455, 2) = .3378462914040979, (1455, 3) = -.5716243982385824, (1456, 1) = 20.068567216678666, (1456, 2) = .3365320813130506, (1456, 3) = -.5716149363632954, (1457, 1) = 20.06933789425023, (1457, 2) = .335220505607469, (1457, 3) = -.57160553059074, (1458, 1) = 20.07010404222203, (1458, 2) = .33391155371952713, (1458, 3) = -.5715961806177929, (1459, 1) = 20.070865684509645, (1459, 2) = .3326052151445177, (1459, 3) = -.5715868861434837, (1460, 1) = 20.071622844898872, (1460, 2) = .3313014793788682, (1460, 3) = -.5715776468685458, (1461, 1) = 20.072375547005233, (1461, 2) = .3300003359911721, (1461, 3) = -.5715684624959064, (1462, 1) = 20.073123814250287, (1462, 2) = .3287017746655452, (1462, 3) = -.5715593327309754, (1463, 1) = 20.073867669894444, (1463, 2) = .32740578514730456, (1463, 3) = -.5715502572812424, (1464, 1) = 20.074607137038416, (1464, 2) = .32611235724248344, (1464, 3) = -.5715412358562577, (1465, 1) = 20.075342238624593, (1465, 2) = .32482148081735773, (1465, 3) = -.5715322681676157, (1466, 1) = 20.07607299743839, (1466, 2) = .3235331457979765, (1466, 3) = -.5715233539289352, (1467, 1) = 20.0767994361096, (1467, 2) = .322247342169692, (1467, 3) = -.5715144928558414, (1468, 1) = 20.077521577140903, (1468, 2) = .32096405992832083, (1468, 3) = -.5715056846656177, (1469, 1) = 20.078239442888034, (1469, 2) = .3196832891166581, (1469, 3) = -.571496929077448, (1470, 1) = 20.078953055520195, (1470, 2) = .3184050198969944, (1470, 3) = -.5714882258128933, (1471, 1) = 20.07966243705617, (1471, 2) = .3171292424892785, (1471, 3) = -.5714795745954538, (1472, 1) = 20.08036760936578, (1472, 2) = .3158559471704651, (1472, 3) = -.571470975150552, (1473, 1) = 20.081068594171033, (1473, 2) = .3145851242740769, (1473, 3) = -.5714624272055082, (1474, 1) = 20.081765413047467, (1474, 2) = .3133167641897702, (1474, 3) = -.5714539304895339, (1475, 1) = 20.082458087425408, (1475, 2) = .3120508573629022, (1475, 3) = -.5714454847337076, (1476, 1) = 20.083146638611208, (1476, 2) = .310787394257094, (1476, 3) = -.5714370896707185, (1477, 1) = 20.083831087783505, (1477, 2) = .30952636536256994, (1477, 3) = -.5714287450349089, (1478, 1) = 20.084511455943186, (1478, 2) = .30826776128977534, (1478, 3) = -.5714204505628837, (1479, 1) = 20.085187763950085, (1479, 2) = .30701157270447665, (1479, 3) = -.5714122059930631, (1480, 1) = 20.08586003252486, (1480, 2) = .3057577903260154, (1480, 3) = -.5714040110656544, (1481, 1) = 20.086528282250146, (1481, 2) = .30450640492690334, (1481, 3) = -.5713958655226425, (1482, 1) = 20.087192533571717, (1482, 2) = .3032574073324185, (1482, 3) = -.5713877691077711, (1483, 1) = 20.08785280679963, (1483, 2) = .30201078842020684, (1483, 3) = -.5713797215665263, (1484, 1) = 20.088509122123906, (1484, 2) = .30076653909232415, (1484, 3) = -.5713717226459485, (1485, 1) = 20.089161499622108, (1485, 2) = .2995246502617549, (1485, 3) = -.5713637720945361, (1486, 1) = 20.089809959204185, (1486, 2) = .2982851129593067, (1486, 3) = -.5713558696629161, (1487, 1) = 20.090454520647036, (1487, 2) = .2970479182699032, (1487, 3) = -.5713480151034247, (1488, 1) = 20.091095203597423, (1488, 2) = .29581305732886637, (1488, 3) = -.5713402081700681, (1489, 1) = 20.091732027573126, (1489, 2) = .2945805213215408, (1489, 3) = -.5713324486185078, (1490, 1) = 20.092365011963885, (1490, 2) = .2933503014829191, (1490, 3) = -.5713247362060488, (1491, 1) = 20.092994176032555, (1491, 2) = .29212238909727256, (1491, 3) = -.5713170706916254, (1492, 1) = 20.093619538926184, (1492, 2) = .29089677547796383, (1492, 3) = -.5713094518356617, (1493, 1) = 20.094241119691713, (1493, 2) = .2896734519377679, (1493, 3) = -.5713018793998837, (1494, 1) = 20.094858937219104, (1494, 2) = .2884524099021657, (1494, 3) = -.5712943531480078, (1495, 1) = 20.095473010272457, (1495, 2) = .28723364085053915, (1495, 3) = -.5712868728453633, (1496, 1) = 20.09608335749405, (1496, 2) = .28601713630972303, (1496, 3) = -.5712794382588404, (1497, 1) = 20.096689997405434, (1497, 2) = .284802887853657, (1497, 3) = -.571272049156876, (1498, 1) = 20.097292948408302, (1498, 2) = .2835908871030366, (1498, 3) = -.571264705309444, (1499, 1) = 20.09789222878559, (1499, 2) = .28238112572497276, (1499, 3) = -.571257406488038, (1500, 1) = 20.09848785670904, (1500, 2) = .2811735954190444, (1500, 3) = -.5712501524655802, (1501, 1) = 20.099079850259923, (1501, 2) = .2799682878764064, (1501, 3) = -.5712429430161705, (1502, 1) = 20.099668227373822, (1502, 2) = .2787651948934412, (1502, 3) = -.571235777915751, (1503, 1) = 20.100253005866563, (1503, 2) = .2775643083210815, (1503, 3) = -.5712286569417975, (1504, 1) = 20.100834203440012, (1504, 2) = .2763656200549795, (1504, 3) = -.571221579873242, (1505, 1) = 20.10141183768281, (1505, 2) = .2751691220351818, (1505, 3) = -.5712145464904668, (1506, 1) = 20.101985926071368, (1506, 2) = .2739748062458093, (1506, 3) = -.571207556575288, (1507, 1) = 20.102556485970794, (1507, 2) = .27278266471473805, (1507, 3) = -.5712006099109477, (1508, 1) = 20.103123534639916, (1508, 2) = .2715926895045352, (1508, 3) = -.5711937062820479, (1509, 1) = 20.103687089254443, (1509, 2) = .27040487266475366, (1509, 3) = -.5711868454742692, (1510, 1) = 20.104247166855984, (1510, 2) = .2692192063406563, (1510, 3) = -.5711800272749917, (1511, 1) = 20.10480378437191, (1511, 2) = .26803568273345746, (1511, 3) = -.5711732514730508, (1512, 1) = 20.10535695862265, (1512, 2) = .26685429408654876, (1512, 3) = -.57116651785865, (1513, 1) = 20.105906706322525, (1513, 2) = .2656750326852013, (1513, 3) = -.5711598262233457, (1514, 1) = 20.106453044080645, (1514, 2) = .2644978908562658, (1514, 3) = -.5711531763600414, (1515, 1) = 20.10699598840166, (1515, 2) = .2633228609678747, (1515, 3) = -.5711465680629709, (1516, 1) = 20.10753555568899, (1516, 2) = .2621499354240572, (1516, 3) = -.5711400011276646, (1517, 1) = 20.108071762268565, (1517, 2) = .26097910661409723, (1517, 3) = -.5711334753506564, (1518, 1) = 20.108604624343833, (1518, 2) = .2598103670117172, (1518, 3) = -.5711269905300301, (1519, 1) = 20.109134158008853, (1519, 2) = .25864370914863954, (1519, 3) = -.5711205464652624, (1520, 1) = 20.109660379257313, (1520, 2) = .2574791255964045, (1520, 3) = -.5711141429571093, (1521, 1) = 20.11018330398335, (1521, 2) = .25631660896608877, (1521, 3) = -.5711077798075966, (1522, 1) = 20.110702947982322, (1522, 2) = .2551561519080284, (1522, 3) = -.5711014568200105, (1523, 1) = 20.11121932695156, (1523, 2) = .2539977471115423, (1523, 3) = -.5710951737988853, (1524, 1) = 20.111732456492277, (1524, 2) = .2528413873021465, (1524, 3) = -.5710889305499851, (1525, 1) = 20.11224235213227, (1525, 2) = .25168706519140194, (1525, 3) = -.5710827268800185, (1526, 1) = 20.112749029288405, (1526, 2) = .2505347735625297, (1526, 3) = -.5710765625971023, (1527, 1) = 20.113252503272527, (1527, 2) = .24938450525936565, (1527, 3) = -.5710704375106843, (1528, 1) = 20.11375278930218, (1528, 2) = .24823625316336284, (1528, 3) = -.5710643514314141, (1529, 1) = 20.114249902501424, (1529, 2) = .24709001019333246, (1529, 3) = -.5710583041711306, (1530, 1) = 20.114743857901523, (1530, 2) = .24594576930518394, (1530, 3) = -.5710522955428564, (1531, 1) = 20.115234670441644, (1531, 2) = .24480352349166629, (1531, 3) = -.5710463253607856, (1532, 1) = 20.115722354969993, (1532, 2) = .24366326578122938, (1532, 3) = -.5710403934402702, (1533, 1) = 20.116206926264116, (1533, 2) = .24252498919137638, (1533, 3) = -.5710344995975738, (1534, 1) = 20.11668839900218, (1534, 2) = .241388686797206, (1534, 3) = -.5710286436502169, (1535, 1) = 20.117166787761064, (1535, 2) = .24025435173753068, (1535, 3) = -.5710228254170047, (1536, 1) = 20.117642107029106, (1536, 2) = .23912197718673314, (1536, 3) = -.5710170447178677, (1537, 1) = 20.11811437120671, (1537, 2) = .23799155635451996, (1537, 3) = -.5710113013738543, (1538, 1) = 20.11858359460704, (1538, 2) = .23686308248568202, (1538, 3) = -.5710055952071231, (1539, 1) = 20.119049791456675, (1539, 2) = .23573654885985407, (1539, 3) = -.5709999260409314, (1540, 1) = 20.119512975896345, (1540, 2) = .2346119487911714, (1540, 3) = -.5709942936996304, (1541, 1) = 20.119973161997994, (1541, 2) = .23348927558777438, (1541, 3) = -.5709886980084524, (1542, 1) = 20.120430363745257, (1542, 2) = .23236852260024574, (1542, 3) = -.5709831387937522, (1543, 1) = 20.120884595023984, (1543, 2) = .23124968324640033, (1543, 3) = -.5709776158831168, (1544, 1) = 20.1213358696368, (1544, 2) = .23013275097770958, (1544, 3) = -.5709721291051918, (1545, 1) = 20.121784201303495, (1545, 2) = .22901771927907494, (1545, 3) = -.5709666782896748, (1546, 1) = 20.122229603661864, (1546, 2) = .22790458166860122, (1546, 3) = -.5709612632673036, (1547, 1) = 20.12267209026821, (1547, 2) = .2267933316973735, (1547, 3) = -.5709558838698517, (1548, 1) = 20.123111674597954, (1548, 2) = .22568396294923365, (1548, 3) = -.5709505399301184, (1549, 1) = 20.123548370058945, (1549, 2) = .2245764690083878, (1549, 3) = -.5709452312817678, (1550, 1) = 20.12398218998125, (1550, 2) = .22347084348585863, (1550, 3) = -.5709399577594514, (1551, 1) = 20.12441314760057, (1551, 2) = .22236708006347908, (1551, 3) = -.5709347191990102, (1552, 1) = 20.12484125607406, (1552, 2) = .22126517245502691, (1552, 3) = -.5709295154372815, (1553, 1) = 20.125266528481017, (1553, 2) = .22016511440593944, (1553, 3) = -.5709243463120904, (1554, 1) = 20.12568897782346, (1554, 2) = .2190668996931027, (1554, 3) = -.5709192116622407, (1555, 1) = 20.12610861702668, (1555, 2) = .21797052212464108, (1555, 3) = -.5709141113275096, (1556, 1) = 20.12652545893981, (1556, 2) = .21687597553970978, (1556, 3) = -.5709090451486402, (1557, 1) = 20.126939516345786, (1557, 2) = .21578325378343094, (1557, 3) = -.570904012967219, (1558, 1) = 20.12735080195864, (1558, 2) = .21469235071471926, (1558, 3) = -.5708990146257071, (1559, 1) = 20.127759328401883, (1559, 2) = .21360326026493778, (1559, 3) = -.5708940499677078, (1560, 1) = 20.12816510822487, (1560, 2) = .21251597639636005, (1560, 3) = -.5708891188377604, (1561, 1) = 20.128568153903537, (1561, 2) = .21143049310126344, (1561, 3) = -.570884221081335, (1562, 1) = 20.128968477840985, (1562, 2) = .21034680440173262, (1562, 3) = -.5708793565448247, (1563, 1) = 20.12936609236803, (1563, 2) = .20926490434946482, (1563, 3) = -.5708745250755368, (1564, 1) = 20.1297610097437, (1564, 2) = .20818478702557325, (1564, 3) = -.570869726521688, (1565, 1) = 20.130153242162528, (1565, 2) = .20710644652168286, (1565, 3) = -.570864960732315, (1566, 1) = 20.13054280175738, (1566, 2) = .20602987693308636, (1566, 3) = -.5708602275572378, (1567, 1) = 20.130929700575038, (1567, 2) = .20495507242706704, (1567, 3) = -.5708555268473581, (1568, 1) = 20.13131395059192, (1568, 2) = .20388202720147952, (1568, 3) = -.5708508584544696, (1569, 1) = 20.13169556371518, (1569, 2) = .2028107354826332, (1569, 3) = -.5708462222312392, (1570, 1) = 20.13207455178336, (1570, 2) = .20174119152511089, (1570, 3) = -.5708416180312039, (1571, 1) = 20.132450926566758, (1571, 2) = .20067338961158265, (1571, 3) = -.5708370457087605, (1572, 1) = 20.132824699767983, (1572, 2) = .1996073240526255, (1572, 3) = -.5708325051191647, (1573, 1) = 20.133195883027184, (1573, 2) = .19854298917292176, (1573, 3) = -.570827996118462, (1574, 1) = 20.13356448792848, (1574, 2) = .19748037929329712, (1574, 3) = -.5708235185634115, (1575, 1) = 20.133930525974947, (1575, 2) = .1964194888042521, (1575, 3) = -.5708190723117901, (1576, 1) = 20.134294008602502, (1576, 2) = .1953603121271345, (1576, 3) = -.5708146572222217, (1577, 1) = 20.13465494718184, (1577, 2) = .194302843710298, (1577, 3) = -.5708102731541537, (1578, 1) = 20.135013353018813, (1578, 2) = .19324707802893026, (1578, 3) = -.5708059199678536, (1579, 1) = 20.135369237354897, (1579, 2) = .19219300958488242, (1579, 3) = -.5708015975244004, (1580, 1) = 20.13572261136766, (1580, 2) = .19114063290649516, (1580, 3) = -.5707973056856819, (1581, 1) = 20.136073486174418, (1581, 2) = .19008994253895217, (1581, 3) = -.5707930443143452, (1582, 1) = 20.136421872841005, (1582, 2) = .18904093301839087, (1582, 3) = -.5707888132736963, (1583, 1) = 20.136767782357342, (1583, 2) = .18799359894665998, (1583, 3) = -.5707846124279884, (1584, 1) = 20.137111225649292, (1584, 2) = .1869479349572778, (1584, 3) = -.5707804416422869, (1585, 1) = 20.137452213581017, (1585, 2) = .18590393570941152, (1585, 3) = -.5707763007824315, (1586, 1) = 20.137790756955496, (1586, 2) = .18486159588771386, (1586, 3) = -.5707721897150354, (1587, 1) = 20.138126866514888, (1587, 2) = .18382091020216315, (1587, 3) = -.5707681083074789, (1588, 1) = 20.13846055294102, (1588, 2) = .18278187338790172, (1588, 3) = -.5707640564279037, (1589, 1) = 20.13879182685773, (1589, 2) = .181744480198878, (1589, 3) = -.5707600339451817, (1590, 1) = 20.13912069884102, (1590, 2) = .18070872537690127, (1590, 3) = -.5707560407287946, (1591, 1) = 20.139447179396228, (1591, 2) = .17967460372406935, (1591, 3) = -.5707520766491081, (1592, 1) = 20.13977127896738, (1592, 2) = .17864211007545752, (1592, 3) = -.5707481415772608, (1593, 1) = 20.14009300794018, (1593, 2) = .17761123929051403, (1593, 3) = -.5707442353851253, (1594, 1) = 20.14041237664251, (1594, 2) = .17658198625291002, (1594, 3) = -.5707403579453033, (1595, 1) = 20.140729395344756, (1595, 2) = .17555434587038704, (1595, 3) = -.5707365091311202, (1596, 1) = 20.14104407426029, (1596, 2) = .17452831307460673, (1596, 3) = -.5707326888166189, (1597, 1) = 20.141356423546895, (1597, 2) = .1735038828173053, (1597, 3) = -.5707288968765435, (1598, 1) = 20.141666453317313, (1598, 2) = .17248105003686368, (1598, 3) = -.5707251331862101, (1599, 1) = 20.141974173618976, (1599, 2) = .17145980972524066, (1599, 3) = -.5707213976217529, (1600, 1) = 20.142279594440453, (1600, 2) = .170440156909108, (1600, 3) = -.5707176900600457, (1601, 1) = 20.14258272571514, (1601, 2) = .1694220866383151, (1601, 3) = -.5707140103786543, (1602, 1) = 20.142883577321758, (1602, 2) = .16840559398574667, (1602, 3) = -.570710358455836, (1603, 1) = 20.14318215908466, (1603, 2) = .16739067404718036, (1603, 3) = -.5707067341705296, (1604, 1) = 20.14347848077426, (1604, 2) = .1663773219411448, (1604, 3) = -.5707031374023535, (1605, 1) = 20.143772552107887, (1605, 2) = .16536553280688843, (1605, 3) = -.5706995680315928, (1606, 1) = 20.144064382759876, (1606, 2) = .16435530177076613, (1606, 3) = -.5706960259390796, (1607, 1) = 20.144353982344654, (1607, 2) = .16334662400486902, (1607, 3) = -.5706925110063943, (1608, 1) = 20.144641360419946, (1608, 2) = .162339494718114, (1608, 3) = -.5706890231158289, (1609, 1) = 20.144926526491354, (1609, 2) = .16133390914147017, (1609, 3) = -.5706855621503317, (1610, 1) = 20.145209490012636, (1610, 2) = .16032986252782788, (1610, 3) = -.5706821279935, (1611, 1) = 20.145490260386175, (1611, 2) = .15932735015186283, (1611, 3) = -.5706787205295802, (1612, 1) = 20.14576884696325, (1612, 2) = .1583263673099055, (1612, 3) = -.5706753396434566, (1613, 1) = 20.146045259044648, (1613, 2) = .15732690931908738, (1613, 3) = -.5706719852206514, (1614, 1) = 20.14631950588957, (1614, 2) = .15632897148561156, (1614, 3) = -.5706686571472112, (1615, 1) = 20.14659159670271, (1615, 2) = .15533254915258204, (1615, 3) = -.570665355309865, (1616, 1) = 20.146861540634017, (1616, 2) = .15433763770237033, (1616, 3) = -.5706620795960283, (1617, 1) = 20.147129346784098, (1617, 2) = .15334423253834475, (1617, 3) = -.5706588298937351, (1618, 1) = 20.147395024204517, (1618, 2) = .15235232908474497, (1618, 3) = -.5706556060916353, (1619, 1) = 20.14765858189811, (1619, 2) = .1513619227865573, (1619, 3) = -.5706524080789903, (1620, 1) = 20.1479200288194, (1620, 2) = .1503730091093879, (1620, 3) = -.5706492357456681, (1621, 1) = 20.148179373874843, (1621, 2) = .1493855835392256, (1621, 3) = -.570646088982139, (1622, 1) = 20.148436625930444, (1622, 2) = .1483996415544341, (1622, 3) = -.5706429676793846, (1623, 1) = 20.14869179380286, (1623, 2) = .14741517866057446, (1623, 3) = -.5706398717290051, (1624, 1) = 20.14894488625586, (1624, 2) = .14643219040520747, (1624, 3) = -.5706368010232603, (1625, 1) = 20.14919591200648, (1625, 2) = .14545067235589604, (1625, 3) = -.5706337554549977, (1626, 1) = 20.149444879725248, (1626, 2) = .14447062010008924, (1626, 3) = -.570630734917646, (1627, 1) = 20.149691798036596, (1627, 2) = .14349202924500137, (1627, 3) = -.570627739305213, (1628, 1) = 20.149936675519058, (1628, 2) = .142514895417497, (1628, 3) = -.5706247685122816, (1629, 1) = 20.15017952070573, (1629, 2) = .14153921426397328, (1629, 3) = -.5706218224340057, (1630, 1) = 20.150420342089934, (1630, 2) = .1405649814276101, (1630, 3) = -.5706189009660358, (1631, 1) = 20.15065914812057, (1631, 2) = .13959219256846173, (1631, 3) = -.5706160040045841, (1632, 1) = 20.150895947195455, (1632, 2) = .13862084339147518, (1632, 3) = -.5706131314464968, (1633, 1) = 20.151130747668084, (1633, 2) = .1376509296206877, (1633, 3) = -.5706102831891754, (1634, 1) = 20.151363557847883, (1634, 2) = .13668244699909146, (1634, 3) = -.570607459130576, (1635, 1) = 20.15159438600055, (1635, 2) = .13571539128852422, (1635, 3) = -.570604659169199, (1636, 1) = 20.151823240348296, (1636, 2) = .13474975826955676, (1636, 3) = -.5706018832040929, (1637, 1) = 20.152050129070144, (1637, 2) = .13378554374138432, (1637, 3) = -.5705991311348425, (1638, 1) = 20.152275060306362, (1638, 2) = .132822743504081, (1638, 3) = -.5705964028615237, (1639, 1) = 20.152498042156868, (1639, 2) = .1318613533656773, (1639, 3) = -.5705936982847154, (1640, 1) = 20.15271908267253, (1640, 2) = .13090136918083636, (1640, 3) = -.5705910173056084, (1641, 1) = 20.152938189862123, (1641, 2) = .12994278682279536, (1641, 3) = -.5705883598259204, (1642, 1) = 20.153155371692602, (1642, 2) = .12898560218287136, (1642, 3) = -.5705857257478925, (1643, 1) = 20.153370636089427, (1643, 2) = .12802981117035753, (1643, 3) = -.5705831149742853, (1644, 1) = 20.153583990936784, (1644, 2) = .12707540971241746, (1644, 3) = -.5705805274083736, (1645, 1) = 20.153795444077947, (1645, 2) = .12612239375398324, (1645, 3) = -.5705779629539458, (1646, 1) = 20.15400500331837, (1646, 2) = .12517075924425258, (1646, 3) = -.5705754215152639, (1647, 1) = 20.15421267642661, (1647, 2) = .12422050213337361, (1647, 3) = -.5705729029970523, (1648, 1) = 20.154418471124483, (1648, 2) = .12327161841840802, (1648, 3) = -.5705704073046167, (1649, 1) = 20.15462239509364, (1649, 2) = .12232410411493687, (1649, 3) = -.5705679343437663, (1650, 1) = 20.154824455976023, (1650, 2) = .12137795525579641, (1650, 3) = -.5705654840208041, (1651, 1) = 20.15502466137425, (1651, 2) = .12043316789097826, (1651, 3) = -.5705630562425266, (1652, 1) = 20.1552230188517, (1652, 2) = .11948973808753148, (1652, 3) = -.5705606509162202, (1653, 1) = 20.15541953593296, (1653, 2) = .1185476619294655, (1653, 3) = -.5705582679496559, (1654, 1) = 20.155614220105868, (1654, 2) = .11760693550779756, (1654, 3) = -.5705559072510622, (1655, 1) = 20.15580707882423, (1655, 2) = .11666755490922745, (1655, 3) = -.5705535687290987, (1656, 1) = 20.155998119497486, (1656, 2) = .11572951626633125, (1656, 3) = -.5705512522929722, (1657, 1) = 20.15618734949671, (1657, 2) = .11479281573056764, (1657, 3) = -.570548957852371, (1658, 1) = 20.156374776155342, (1658, 2) = .11385744946987074, (1658, 3) = -.5705466853174528, (1659, 1) = 20.156560406769344, (1659, 2) = .11292341366855765, (1659, 3) = -.5705444345988426, (1660, 1) = 20.156744248597537, (1660, 2) = .11199070452723407, (1660, 3) = -.5705422056076305, (1661, 1) = 20.156926308861745, (1661, 2) = .1110593182627042, (1661, 3) = -.570539998255364, (1662, 1) = 20.157106594748473, (1662, 2) = .11012925110093238, (1662, 3) = -.570537812454038, (1663, 1) = 20.157285113412243, (1663, 2) = .10920049925987686, (1663, 3) = -.5705356481160426, (1664, 1) = 20.15746187196589, (1664, 2) = .10827305900115043, (1664, 3) = -.5705335051542899, (1665, 1) = 20.157636877485473, (1665, 2) = .10734692660598454, (1665, 3) = -.5705313834821486, (1666, 1) = 20.157810137011282, (1666, 2) = .1064220983713517, (1666, 3) = -.570529283013432, (1667, 1) = 20.157981657548014, (1667, 2) = .10549857060987583, (1667, 3) = -.570527203662401, (1668, 1) = 20.15815144606504, (1668, 2) = .10457633964974576, (1668, 3) = -.5705251453437535, (1669, 1) = 20.15831950949661, (1669, 2) = .10365540183462717, (1669, 3) = -.5705231079726274, (1670, 1) = 20.15848585474291, (1670, 2) = .10273575351896286, (1670, 3) = -.5705210914645839, (1671, 1) = 20.158650488673953, (1671, 2) = .10181739104693353, (1671, 3) = -.5705190957355635, (1672, 1) = 20.15881341812069, (1672, 2) = .10090031080308776, (1672, 3) = -.5705171207019901, (1673, 1) = 20.158974649878775, (1673, 2) = 0.999845091926647e-1, (1673, 3) = -.5705151662807287, (1674, 1) = 20.159134190709857, (1674, 2) = 0.9906998263595025e-1, (1674, 3) = -.5705132323890669, (1675, 1) = 20.159292047341754, (1675, 2) = 0.9815672756819084e-1, (1675, 3) = -.5705113189447137, (1676, 1) = 20.159448226468704, (1676, 2) = 0.97244740439513e-1, (1676, 3) = -.5705094258657978, (1677, 1) = 20.15960273475151, (1677, 2) = 0.963340177148396e-1, (1677, 3) = -.5705075530708629, (1678, 1) = 20.15975557881827, (1678, 2) = 0.9542455587099818e-1, (1678, 3) = -.5705057004788584, (1679, 1) = 20.15990676526838, (1679, 2) = 0.9451635137359898e-1, (1679, 3) = -.5705038680090975, (1680, 1) = 20.16005630066472, (1680, 2) = 0.9360940072437536e-1, (1680, 3) = -.5705020555813423, (1681, 1) = 20.16020419153629, (1681, 2) = 0.9270370044712627e-1, (1681, 3) = -.5705002631157776, (1682, 1) = 20.16035044437978, (1682, 2) = 0.9179924708003909e-1, (1682, 3) = -.5704984905329907, (1683, 1) = 20.160495065659642, (1683, 2) = 0.9089603717561114e-1, (1683, 3) = -.5704967377539704, (1684, 1) = 20.160638061808395, (1684, 2) = 0.8999406730056976e-1, (1684, 3) = -.5704950047001007, (1685, 1) = 20.160779439226772, (1685, 2) = 0.8909333403579577e-1, (1685, 3) = -.5704932912931643, (1686, 1) = 20.16091920428415, (1686, 2) = 0.881938339747571e-1, (1686, 3) = -.5704915974553318, (1687, 1) = 20.161057363322346, (1687, 2) = 0.8729556369992836e-1, (1687, 3) = -.5704899231091185, (1688, 1) = 20.16119392264922, (1688, 2) = 0.8639851982480606e-1, (1688, 3) = -.5704882681774609, (1689, 1) = 20.161328888540066, (1689, 2) = 0.85502698986595e-1, (1689, 3) = -.5704866325837, (1690, 1) = 20.161462267239425, (1690, 2) = 0.8460809783626767e-1, (1690, 3) = -.5704850162515603, (1691, 1) = 20.161594064961164, (1691, 2) = 0.8371471303848847e-1, (1691, 3) = -.5704834191051457, (1692, 1) = 20.16172428788875, (1692, 2) = 0.8282254127153839e-1, (1692, 3) = -.5704818410689402, (1693, 1) = 20.16185294217535, (1693, 2) = 0.819315792272442e-1, (1693, 3) = -.5704802820678021, (1694, 1) = 20.16198003394423, (1694, 2) = 0.8104182361029644e-1, (1694, 3) = -.5704787420269629, (1695, 1) = 20.162105569291956, (1695, 2) = 0.8015327111568321e-1, (1695, 3) = -.570477220871987, (1696, 1) = 20.162229554283606, (1696, 2) = 0.7926591846354776e-1, (1696, 3) = -.5704757185288283, (1697, 1) = 20.162351994953003, (1697, 2) = 0.7837976239962534e-1, (1697, 3) = -.57047423492383, (1698, 1) = 20.1624728973046, (1698, 2) = 0.7749479968283016e-1, (1698, 3) = -.5704727699836989, (1699, 1) = 20.162592267313702, (1699, 2) = 0.7661102708518261e-1, (1699, 3) = -.5704713236355042, (1700, 1) = 20.162710110926618, (1700, 2) = 0.7572844139174156e-1, (1700, 3) = -.5704698958066753, (1701, 1) = 20.162826434060864, (1701, 2) = 0.7484703940053249e-1, (1701, 3) = -.5704684864249994, (1702, 1) = 20.16294124260531, (1702, 2) = 0.7396681792235704e-1, (1702, 3) = -.5704670954186192, (1703, 1) = 20.163054542422994, (1703, 2) = 0.7308777376056866e-1, (1703, 3) = -.5704657227159978, (1704, 1) = 20.163166339347768, (1704, 2) = 0.7220990373712748e-1, (1704, 3) = -.5704643682459629, (1705, 1) = 20.163276639183408, (1705, 2) = 0.7133320470168117e-1, (1705, 3) = -.5704630319377123, (1706, 1) = 20.163385447705732, (1706, 2) = 0.7045767351649938e-1, (1706, 3) = -.5704617137207928, (1707, 1) = 20.16349277066277, (1707, 2) = 0.695833070564048e-1, (1707, 3) = -.570460413525094, (1708, 1) = 20.16359861377495, (1708, 2) = 0.6871010220870757e-1, (1708, 3) = -.5704591312808502, (1709, 1) = 20.163702982735252, (1709, 2) = 0.678380558731394e-1, (1709, 3) = -.5704578669186345, (1710, 1) = 20.163805883209328, (1710, 2) = 0.6696716496178758e-1, (1710, 3) = -.5704566203693598, (1711, 1) = 20.16390732083767, (1711, 2) = 0.660974263824033e-1, (1711, 3) = -.5704553915642512, (1712, 1) = 20.164007301233788, (1712, 2) = 0.6522883705421069e-1, (1712, 3) = -.5704541804348692, (1713, 1) = 20.16410582998224, (1713, 2) = 0.6436139392639208e-1, (1713, 3) = -.570452986913132, (1714, 1) = 20.164202912640977, (1714, 2) = 0.634950939602272e-1, (1714, 3) = -.5704518109312877, (1715, 1) = 20.16429855474142, (1715, 2) = 0.6262993412902444e-1, (1715, 3) = -.5704506524219137, (1716, 1) = 20.16439276178874, (1716, 2) = 0.61765911418058414e-1, (1716, 3) = -.5704495113179135, (1717, 1) = 20.16448553926186, (1717, 2) = 0.609030228245073e-1, (1717, 3) = -.5704483875525136, (1718, 1) = 20.1645768926137, (1718, 2) = 0.6004126535739065e-1, (1718, 3) = -.5704472810592657, (1719, 1) = 20.16466682727273, (1719, 2) = 0.591806360244573e-1, (1719, 3) = -.5704461917720222, (1720, 1) = 20.164755348642224, (1720, 2) = 0.58321131838504535e-1, (1720, 3) = -.5704451196249498, (1721, 1) = 20.16484246209785, (1721, 2) = 0.57462749843895204e-1, (1721, 3) = -.5704440645525575, (1722, 1) = 20.164928172989768, (1722, 2) = 0.5660548709679972e-1, (1722, 3) = -.5704430264896657, (1723, 1) = 20.165012486642937, (1723, 2) = 0.5574934066491998e-1, (1723, 3) = -.5704420053714131, (1724, 1) = 20.165095408357217, (1724, 2) = 0.5489430762743e-1, (1724, 3) = -.5704410011332436, (1725, 1) = 20.165176943407438, (1725, 2) = 0.5404038507491508e-1, (1725, 3) = -.5704400137109154, (1726, 1) = 20.165257097043682, (1726, 2) = 0.53187570109314436e-1, (1726, 3) = -.5704390430404911, (1727, 1) = 20.16533587449223, (1727, 2) = 0.523358598338679e-1, (1727, 3) = -.5704380890583278, (1728, 1) = 20.16541328095584, (1728, 2) = 0.5148525135176756e-1, (1728, 3) = -.5704371517010765, (1729, 1) = 20.165489321610842, (1729, 2) = 0.5063574179832269e-1, (1729, 3) = -.5704362309057119, (1730, 1) = 20.165564001609294, (1730, 2) = 0.49787328320686906e-1, (1730, 3) = -.57043532660951, (1731, 1) = 20.165637326079164, (1731, 2) = 0.4894000807707357e-1, (1731, 3) = -.5704344387500467, (1732, 1) = 20.165709300124416, (1732, 2) = 0.4809377823669837e-1, (1732, 3) = -.5704335672651925, (1733, 1) = 20.16577992882526, (1733, 2) = 0.4724863597972331e-1, (1733, 3) = -.5704327120931133, (1734, 1) = 20.165849217238154, (1734, 2) = 0.4640457849720046e-1, (1734, 3) = -.5704318731722681, (1735, 1) = 20.16591717039665, (1735, 2) = 0.455616029835976e-1, (1735, 3) = -.5704310504414009, (1736, 1) = 20.165983793311973, (1736, 2) = 0.44719706629458386e-1, (1736, 3) = -.5704302438395291, (1737, 1) = 20.16604909097036, (1737, 2) = 0.43878886657032524e-1, (1737, 3) = -.5704294533059825, (1738, 1) = 20.166113068334745, (1738, 2) = 0.4303914030074901e-1, (1738, 3) = -.570428678780376, (1739, 1) = 20.1661757303451, (1739, 2) = 0.4220046480564781e-1, (1739, 3) = -.5704279202026096, (1740, 1) = 20.166237081918485, (1740, 2) = 0.4136285742732569e-1, (1740, 3) = -.5704271775128673, (1741, 1) = 20.166297127949278, (1741, 2) = 0.40526315431883175e-1, (1741, 3) = -.5704264506516132, (1742, 1) = 20.166355873309165, (1742, 2) = 0.39690836095872165e-1, (1742, 3) = -.5704257395595899, (1743, 1) = 20.166413322847777, (1743, 2) = 0.3885641670095389e-1, (1743, 3) = -.5704250441778151, (1744, 1) = 20.166469481393467, (1744, 2) = 0.3802305452210874e-1, (1744, 3) = -.5704243644475692, (1745, 1) = 20.166524353750948, (1745, 2) = 0.3719074686473663e-1, (1745, 3) = -.5704237003104239, (1746, 1) = 20.16657794470262, (1746, 2) = 0.3635949104701953e-1, (1746, 3) = -.5704230517082266, (1747, 1) = 20.16663025900896, (1747, 2) = 0.3552928439732455e-1, (1747, 3) = -.5704224185830972, (1748, 1) = 20.16668130140856, (1748, 2) = 0.34700124254153204e-1, (1748, 3) = -.5704218008774216, (1749, 1) = 20.16673107661831, (1749, 2) = 0.3387200796609015e-1, (1749, 3) = -.5704211985338593, (1750, 1) = 20.16677958933353, (1750, 2) = 0.3304493289175304e-1, (1750, 3) = -.5704206114953319, (1751, 1) = 20.166826844228208, (1751, 2) = 0.3221889639617935e-1, (1751, 3) = -.5704200397050275, (1752, 1) = 20.16687284595605, (1752, 2) = 0.31393895835992926e-1, (1752, 3) = -.5704194831063825, (1753, 1) = 20.166917599148338, (1753, 2) = 0.3056992859615203e-1, (1753, 3) = -.5704189416431121, (1754, 1) = 20.16696110841507, (1754, 2) = 0.2974699207524597e-1, (1754, 3) = -.5704184152591919, (1755, 1) = 20.16700337834522, (1755, 2) = 0.28925083681645515e-1, (1755, 3) = -.570417903898859, (1756, 1) = 20.16704441350694, (1756, 2) = 0.2810420083345203e-1, (1756, 3) = -.5704174075066065, (1757, 1) = 20.1670842184476, (1757, 2) = 0.2728434095845168e-1, (1757, 3) = -.5704169260271836, (1758, 1) = 20.167122797693942, (1758, 2) = 0.26465501494066058e-1, (1758, 3) = -.5704164594055968, (1759, 1) = 20.167160155752267, (1759, 2) = 0.25647679885091486e-1, (1759, 3) = -.5704160075870994, (1760, 1) = 20.167196297109303, (1760, 2) = 0.24830873567116808e-1, (1760, 3) = -.5704155705171933, (1761, 1) = 20.16723122623068, (1761, 2) = 0.24015080001257367e-1, (1761, 3) = -.5704151481416343, (1762, 1) = 20.167264947561613, (1762, 2) = 0.2320029666332913e-1, (1762, 3) = -.5704147404064339, (1763, 1) = 20.16729746552723, (1763, 2) = 0.22386521038544105e-1, (1763, 3) = -.57041434725785, (1764, 1) = 20.167328784532753, (1764, 2) = 0.2157375062146466e-1, (1764, 3) = -.5704139686423857, (1765, 1) = 20.16735890896355, (1765, 2) = 0.20761982915956226e-1, (1765, 3) = -.5704136045067897, (1766, 1) = 20.167387843185246, (1766, 2) = 0.1995121543514215e-1, (1766, 3) = -.5704132547980537, (1767, 1) = 20.167415591543904, (1767, 2) = 0.19141445700150153e-1, (1767, 3) = -.5704129194634107, (1768, 1) = 20.167442158366654, (1768, 2) = 0.18332671222966963e-1, (1768, 3) = -.5704125984503274, (1769, 1) = 20.167467547960708, (1769, 2) = 0.17524889537637905e-1, (1769, 3) = -.5704122917065152, (1770, 1) = 20.167491764613793, (1770, 2) = 0.16718098194180717e-1, (1770, 3) = -.5704119991799264, (1771, 1) = 20.167514812594394, (1771, 2) = 0.15912294751644126e-1, (1771, 3) = -.5704117208187512, (1772, 1) = 20.167536696151956, (1772, 2) = 0.15107476778062207e-1, (1772, 3) = -.5704114565714125, (1773, 1) = 20.167557419516932, (1773, 2) = 0.14303641850410765e-1, (1773, 3) = -.5704112063865676, (1774, 1) = 20.167576986900915, (1774, 2) = 0.13500787554564724e-1, (1774, 3) = -.5704109702131082, (1775, 1) = 20.167595402496765, (1775, 2) = 0.12698911484732211e-1, (1775, 3) = -.5704107480001548, (1776, 1) = 20.16761267047901, (1776, 2) = 0.1189801122683412e-1, (1776, 3) = -.5704105396970541, (1777, 1) = 20.167628795003367, (1777, 2) = 0.110980843847864e-1, (1777, 3) = -.5704103452533853, (1778, 1) = 20.167643780206877, (1778, 2) = 0.10299128579930553e-1, (1778, 3) = -.5704101646189565, (1779, 1) = 20.16765763020823, (1779, 2) = 0.9501141442290284e-2, (1779, 3) = -.5704099977438021, (1780, 1) = 20.167670349107897, (1780, 2) = 0.8704120610528434e-2, (1780, 3) = -.5704098445781814, (1781, 1) = 20.167681940988142, (1781, 2) = 0.7908063731905977e-2, (1781, 3) = -.5704097050725776, (1782, 1) = 20.16769240991325, (1782, 2) = 0.7112968462240464e-2, (1782, 3) = -.5704095791776951, (1783, 1) = 20.1677017599295, (1783, 2) = 0.6318832465737883e-2, (1783, 3) = -.5704094668444597, (1784, 1) = 20.167709995065476, (1784, 2) = 0.5525653399888163e-2, (1784, 3) = -.5704093680240159, (1785, 1) = 20.1677171193319, (1785, 2) = 0.473342893557368e-2, (1785, 3) = -.570409282667727, (1786, 1) = 20.167723136721687, (1786, 2) = 0.3942156762720216e-2, (1786, 3) = -.5704092107271764, (1787, 1) = 20.16772805121019, (1787, 2) = 0.31518345796026502e-2, (1787, 3) = -.5704091521541624, (1788, 1) = 20.167731866755293, (1788, 2) = 0.2362460092806018e-2, (1788, 3) = -.5704091069006991, (1789, 1) = 20.167734587297538, (1789, 2) = 0.1574031017185059e-2, (1789, 3) = -.5704090749190147, (1790, 1) = 20.167736216760137, (1790, 2) = 0.7865450758257885e-3, (1790, 3) = -.570409056161549, (1791, 1) = 20.16773675904918, (1791, 2) = .0, (1791, 3) = -.5704090505809531}, datatype = float[8], order = C_order); YP := Matrix(1791, 3, {(1, 1) = .0, (1, 2) = 1496.6554270565039, (1, 3) = -176100.01976940964, (2, 1) = 1.8934761815356111, (2, 2) = 1248.9250438661759, (2, 3) = -186110.57416133277, (3, 1) = 3.432812525787684, (3, 2) = 981.6879715002915, (3, 3) = -200540.92470233605, (4, 1) = 4.59401251708704, (4, 2) = 704.0004621409932, (4, 3) = -198360.66487631528, (5, 1) = 5.382864779125461, (5, 2) = 447.49257605537383, (5, 3) = -169564.5505111775, (6, 1) = 5.852832041578828, (6, 2) = 245.67770323297668, (6, 3) = -121498.68286193763, (7, 1) = 6.092252030464993, (7, 2) = 113.22487311501561, (7, 3) = -71953.73229821725, (8, 1) = 6.192932263555478, (8, 2) = 41.38938710034982, (8, 3) = -34997.168602818674, (9, 1) = 6.2245778439647665, (9, 2) = 9.365429687797283, (9, 3) = -13892.996582627318, (10, 1) = 6.227993325316952, (10, 2) = -2.252945497722564, (10, 3) = -4409.950728416913, (11, 1) = 6.222088409303044, (11, 2) = -5.550740072252773, (11, 3) = -1014.3848541092601, (12, 1) = 6.213888629906588, (12, 2) = -6.134061090395822, (12, 3) = -50.598597372352685, (13, 1) = 6.205480678273424, (13, 2) = -6.023512334019606, (13, 3) = 152.5674097121177, (14, 1) = 6.197335940254046, (14, 2) = -5.793375641020516, (14, 3) = 169.56215415856767, (15, 1) = 6.189508767350574, (15, 2) = -5.569842792636483, (15, 3) = 153.48840866785352, (16, 1) = 6.181972991572695, (16, 2) = -5.3707667433309645, (16, 3) = 135.8013750340372, (17, 1) = 6.174695580742049, (17, 2) = -5.194235269808101, (17, 3) = 120.87647724786373, (18, 1) = 6.167648144207494, (18, 2) = -5.0364083600879805, (18, 3) = 108.56035000532526, (19, 1) = 6.160807199775164, (19, 2) = -4.89408775819985, (19, 3) = 98.28497590908219, (20, 1) = 6.154153161424117, (20, 2) = -4.764789770515279, (20, 3) = 89.59644943484773, (21, 1) = 6.147669476093151, (21, 2) = -4.646568424638854, (21, 3) = 82.16238655796774, (22, 1) = 6.141341986671258, (22, 2) = -4.537872709372964, (22, 3) = 75.73668583148324, (23, 1) = 6.135158460496693, (23, 2) = -4.437446940831619, (23, 3) = 70.13332785334867, (24, 1) = 6.129108233389189, (24, 2) = -4.344260721825413, (24, 3) = 65.20904490473168, (25, 1) = 6.123181936640065, (25, 2) = -4.257458564640426, (25, 3) = 60.85169321683833, (26, 1) = 6.117371280554031, (26, 2) = -4.176322815909817, (26, 3) = 56.9722422994184, (27, 1) = 6.111668885451486, (27, 2) = -4.100245930804556, (27, 3) = 53.499127657275025, (28, 1) = 6.1060681461295525, (28, 2) = -4.028709366869804, (28, 3) = 50.37418535258798, (29, 1) = 6.1005631202478545, (29, 2) = -3.961267263931053, (29, 3) = 47.549671475103985, (30, 1) = 6.095148437161211, (30, 2) = -3.8975336847761963, (30, 3) = 44.986043070320704, (31, 1) = 6.08981922198714, (31, 2) = -3.837172514807474, (31, 3) = 42.65028199485314, (32, 1) = 6.084571035050418, (32, 2) = -3.779889418321687, (32, 3) = 40.51461392765562, (33, 1) = 6.079399816847632, (33, 2) = -3.725425299899447, (33, 3) = 38.55551526483572, (34, 1) = 6.07430184346647, (34, 2) = -3.673551005404761, (34, 3) = 36.75293743069888, (35, 1) = 6.0692736886969625, (35, 2) = -3.624062974564998, (35, 3) = 35.08969438236376, (36, 1) = 6.064312191308945, (36, 2) = -3.5767796448481812, (36, 3) = 33.55097456162402, (37, 1) = 6.05941442686373, (37, 2) = -3.531538459022915, (37, 3) = 32.123948893505016, (38, 1) = 6.054577683300168, (38, 2) = -3.4881933592915653, (38, 3) = 30.797453530187056, (39, 1) = 6.049799439691998, (39, 2) = -3.446612676598134, (39, 3) = 29.561731267099887, (40, 1) = 6.0450773476839705, (40, 2) = -3.4066773430685857, (40, 3) = 28.40821939081684, (41, 1) = 6.040409215202303, (41, 2) = -3.368279370361981, (41, 3) = 27.329374546132353, (42, 1) = 6.035792992106712, (42, 2) = -3.331320548161476, (42, 3) = 26.31852732532799, (43, 1) = 6.0312267580035135, (43, 2) = -3.2957113297514, (43, 3) = 25.36976098307235, (44, 1) = 6.026708710270447, (44, 2) = -3.2613698612233435, (44, 3) = 24.47780941878663, (45, 1) = 6.022237153219092, (45, 2) = -3.228221139795118, (45, 3) = 23.63797116986224, (46, 1) = 6.017810490812262, (46, 2) = -3.196196299676962, (46, 3) = 22.8460370146109, (47, 1) = 6.013427217512542, (47, 2) = -3.1652319690773885, (47, 3) = 22.098227889950834, (48, 1) = 6.009085912966727, (48, 2) = -3.135269727813143, (48, 3) = 21.39114236806163, (49, 1) = 6.004785233770544, (49, 2) = -3.1062556063641593, (49, 3) = 20.72171103575959, (50, 1) = 6.0005239078598, (50, 2) = -3.0781396575762874, (50, 3) = 20.087157558672896, (51, 1) = 5.996300729446622, (51, 2) = -3.050875578008328, (51, 3) = 19.48496504990688, (52, 1) = 5.992114554222663, (52, 2) = -3.024420370886235, (52, 3) = 18.91284689509177, (53, 1) = 5.987964295015799, (53, 2) = -2.9987340466659314, (53, 3) = 18.36872139578536, (54, 1) = 5.983848917834764, (54, 2) = -2.973779356232074, (54, 3) = 17.850689657493213, (55, 1) = 5.979767438259741, (55, 2) = -2.949521552593183, (55, 3) = 17.357016256477596, (56, 1) = 5.975718918143751, (56, 2) = -2.9259281775399986, (56, 3) = 16.88611228525672, (57, 1) = 5.971702462592634, (57, 2) = -2.9029688702226992, (57, 3) = 16.436520445408064, (58, 1) = 5.9677172171958475, (58, 2) = -2.880615195028473, (58, 3) = 16.00690190582817, (59, 1) = 5.963762365490184, (59, 2) = -2.858840486531465, (59, 3) = 15.596024692649834, (60, 1) = 5.9598371266041115, (60, 2) = -2.837619709385249, (60, 3) = 15.202753400032215, (61, 1) = 5.955940753326546, (61, 2) = -2.8169293328529568, (61, 3) = 14.826040080770255, (62, 1) = 5.9520725302300965, (62, 2) = -2.7967472165111436, (62, 3) = 14.464916127316451, (63, 1) = 5.94823177017456, (63, 2) = -2.7770524974792066, (63, 3) = 14.118484875591495, (64, 1) = 5.944417813958921, (64, 2) = -2.7578255030034047, (64, 3) = 13.785915267296758, (65, 1) = 5.940630029881715, (65, 2) = -2.7390476696940325, (65, 3) = 13.466436149857314, (66, 1) = 5.936867810893517, (66, 2) = -2.7207014575903323, (66, 3) = 13.159330949936624, (67, 1) = 5.933130573204804, (67, 2) = -2.7027702781368377, (67, 3) = 12.863933004098055, (68, 1) = 5.92941775525079, (68, 2) = -2.685238429500356, (68, 3) = 12.579621376585177, (69, 1) = 5.925728816511479, (69, 2) = -2.6680910362121266, (69, 3) = 12.305817067836204, (70, 1) = 5.922063236416146, (70, 2) = -2.651313993797165, (70, 3) = 12.041979591200613, (71, 1) = 5.918420513316286, (71, 2) = -2.634893917869224, (71, 3) = 11.787603876146356, (72, 1) = 5.914800163525867, (72, 2) = -2.618818097289703, (72, 3) = 11.542217461472857, (73, 1) = 5.911201720423554, (73, 2) = -2.6030744510115724, (73, 3) = 11.30537794978152, (74, 1) = 5.9076247336121686, (74, 2) = -2.5876514882697865, (74, 3) = 11.07667069215597, (75, 1) = 5.9040687681421105, (75, 2) = -2.5725382718618492, (75, 3) = 10.855706683787094, (76, 1) = 5.9005334037577715, (76, 2) = -2.557724384088549, (76, 3) = 10.642120644359577, (77, 1) = 5.89701823419924, (77, 2) = -2.5431998952684522, (77, 3) = 10.435569265281599, (78, 1) = 5.893522866557148, (78, 2) = -2.528955334607138, (78, 3) = 10.235729612040783, (79, 1) = 5.8900469205896275, (79, 2) = -2.5149816628674784, (79, 3) = 10.042297655700612, (80, 1) = 5.886590027768544, (80, 2) = -2.501270245784571, (80, 3) = 9.854986911969604, (81, 1) = 5.883151832721548, (81, 2) = -2.487812838551523, (81, 3) = 9.673527319561975, (82, 1) = 5.879731990035539, (82, 2) = -2.4746015533984136, (82, 3) = 9.497663963920505, (83, 1) = 5.876330164719097, (83, 2) = -2.4616288432366535, (83, 3) = 9.327156094283916, (84, 1) = 5.872946032264418, (84, 2) = -2.4488874847824387, (84, 3) = 9.161776195723808, (85, 1) = 5.869579277880757, (85, 2) = -2.4363705596410443, (85, 3) = 9.001309091148709, (86, 1) = 5.86622959609601, (86, 2) = -2.424071437909661, (86, 3) = 8.845551131683441, (87, 1) = 5.862896690369723, (87, 2) = -2.4119837628135885, (87, 3) = 8.694309448243512, (88, 1) = 5.859580272726587, (88, 2) = -2.4001014363340585, (88, 3) = 8.547401258279294, (89, 1) = 5.856280063409131, (89, 2) = -2.388418605752969, (89, 3) = 8.404653228621736, (90, 1) = 5.852995790548329, (90, 2) = -2.376929651045676, (90, 3) = 8.265900881283605, (91, 1) = 5.849727189861993, (91, 2) = -2.365629173097162, (91, 3) = 8.130988046322326, (92, 1) = 5.846474004352089, (92, 2) = -2.3545119825865393, (92, 3) = 7.999766352554092, (93, 1) = 5.84323598400351, (93, 2) = -2.343573089503809, (93, 3) = 7.872094754411022, (94, 1) = 5.84001288553022, (94, 2) = -2.3328076934098054, (94, 3) = 7.747839093437036, (95, 1) = 5.836804472048697, (95, 2) = -2.322211173994044, (95, 3) = 7.62687168831421, (96, 1) = 5.833610512482034, (96, 2) = -2.3117790812758368, (96, 3) = 7.50907094168677, (97, 1) = 5.830430782655868, (97, 2) = -2.3015071317827096, (97, 3) = 7.394321036544796, (98, 1) = 5.827265063942656, (98, 2) = -2.291391197092542, (98, 3) = 7.28251156257002, (99, 1) = 5.8241131435399565, (99, 2) = -2.2814272981607338, (99, 3) = 7.173537227170105, (100, 1) = 5.820974813670692, (100, 2) = -2.271611596572895, (100, 3) = 7.067297547433656, (101, 1) = 5.817849871179293, (101, 2) = -2.261940387489663, (101, 3) = 6.963696575558753, (102, 1) = 5.814738118380509, (102, 2) = -2.252410096776161, (102, 3) = 6.862642684328135, (103, 1) = 5.811639362417367, (103, 2) = -2.2430172737465868, (103, 3) = 6.764048316060489, (104, 1) = 5.808553415089493, (104, 2) = -2.233758585692688, (104, 3) = 6.667829762547956, (105, 1) = 5.805480092694011, (105, 2) = -2.2246308127216157, (105, 3) = 6.573906960133133, (106, 1) = 5.802419215873371, (106, 2) = -2.2156308428679465, (106, 3) = 6.482203296846719, (107, 1) = 5.799370609478414, (107, 2) = -2.206755667488201, (107, 3) = 6.392645431360508, (108, 1) = 5.7963341024359964, (108, 2) = -2.1980023768902215, (108, 3) = 6.30516312468375, (109, 1) = 5.793309527578389, (109, 2) = -2.1893681560628497, (109, 3) = 6.219689078308155, (110, 1) = 5.790296721409582, (110, 2) = -2.180850280431259, (110, 3) = 6.136158784105702, (111, 1) = 5.787295523826469, (111, 2) = -2.172446111688642, (111, 3) = 6.0545103761350925, (112, 1) = 5.784305779144842, (112, 2) = -2.164153097427925, (112, 3) = 5.974684532384728, (113, 1) = 5.781327334766281, (113, 2) = -2.155968764306866, (113, 3) = 5.896624314501738, (114, 1) = 5.778360041338923, (114, 2) = -2.147890715606657, (114, 3) = 5.820275059335961, (115, 1) = 5.775403752751862, (115, 2) = -2.1399166284466715, (115, 3) = 5.745584269422624, (116, 1) = 5.772458326049272, (116, 2) = -2.1320442509077853, (116, 3) = 5.672501510331845, (117, 1) = 5.769523621508351, (117, 2) = -2.1242713997151443, (117, 3) = 5.600978316132869, (118, 1) = 5.766599502478471, (118, 2) = -2.116595957394453, (118, 3) = 5.530968093519305, (119, 1) = 5.763685834296925, (119, 2) = -2.109015867162674, (119, 3) = 5.4624260115165875, (120, 1) = 5.760782485544398, (120, 2) = -2.101529134070802, (120, 3) = 5.395308951486385, (121, 1) = 5.757889327541684, (121, 2) = -2.094133821588752, (121, 3) = 5.329575416366244, (122, 1) = 5.7550062342206925, (122, 2) = -2.086828049290282, (122, 3) = 5.265185457338387, (123, 1) = 5.752133082054202, (123, 2) = -2.0796099907835854, (123, 3) = 5.202100603101499, (124, 1) = 5.7492697500033145, (124, 2) = -2.072477871772196, (124, 3) = 5.140283793096375, (125, 1) = 5.746416119395137, (125, 2) = -2.0654299680243304, (125, 3) = 5.07969931477464, (126, 1) = 5.7435720737478855, (126, 2) = -2.058464603298602, (126, 3) = 5.020312740597701, (127, 1) = 5.740737498597747, (127, 2) = -2.0515801473609003, (127, 3) = 4.962090870568127, (128, 1) = 5.7379122824693445, (128, 2) = -2.0447750168271557, (128, 3) = 4.905001698838925, (129, 1) = 5.735096315671677, (129, 2) = -2.038047670776281, (129, 3) = 4.849014339795026, (130, 1) = 5.732289490513079, (130, 2) = -2.031396609911422, (130, 3) = 4.794098984787345, (131, 1) = 5.729491701324662, (131, 2) = -2.024820375299793, (131, 3) = 4.74022685878989, (132, 1) = 5.726702844432268, (132, 2) = -2.018317547040835, (132, 3) = 4.687370176880809, (133, 1) = 5.723922818047176, (133, 2) = -2.0118867427984264, (133, 3) = 4.635502101902781, (134, 1) = 5.721151522233062, (134, 2) = -2.005526616565183, (134, 3) = 4.584596705261754, (135, 1) = 5.718388858956575, (135, 2) = -1.9992358576633575, (135, 3) = 4.534628931084486, (136, 1) = 5.715634732321018, (136, 2) = -1.9930131901939372, (136, 3) = 4.485574566198902, (137, 1) = 5.712889047252239, (137, 2) = -1.9868573690445404, (137, 3) = 4.4374101832636645, (138, 1) = 5.710151710642709, (138, 2) = -1.9807671815186811, (138, 3) = 4.3901131295118345, (139, 1) = 5.707422631150527, (139, 2) = -1.9747414459235282, (139, 3) = 4.343661493666417, (140, 1) = 5.704701719055607, (140, 2) = -1.9687790103378373, (140, 3) = 4.298034074339511, (141, 1) = 5.701988885969769, (141, 2) = -1.9628787511101875, (141, 3) = 4.253210348403838, (142, 1) = 5.699284044948848, (142, 2) = -1.9570395722808847, (142, 3) = 4.209170445865476, (143, 1) = 5.696587111172111, (143, 2) = -1.9512604062332028, (143, 3) = 4.1658951375506685, (144, 1) = 5.693898000874224, (144, 2) = -1.945540210605538, (144, 3) = 4.123365792691811, (145, 1) = 5.6912166316567365, (145, 2) = -1.9398779682336644, (145, 3) = 4.081564361618432, (146, 1) = 5.688542922484886, (146, 2) = -1.93427268643168, (146, 3) = 4.040473354965463, (147, 1) = 5.685876793655718, (147, 2) = -1.9287233962382762, (147, 3) = 4.000075822279495, (148, 1) = 5.6832181668009145, (148, 2) = -1.923229151760637, (148, 3) = 3.960355331260537, (149, 1) = 5.680566964799352, (149, 2) = -1.9177890293559257, (149, 3) = 3.921295948863194, (150, 1) = 5.677923111750038, (150, 2) = -1.9124021269644524, (150, 3) = 3.882882222795023, (151, 1) = 5.675286532958965, (151, 2) = -1.9070675634935177, (151, 3) = 3.8450991629272524, (152, 1) = 5.672657154910566, (152, 2) = -1.901784478191123, (152, 3) = 3.8079322267393194, (153, 1) = 5.670034905239958, (153, 2) = -1.8965520300423386, (153, 3) = 3.7713672999157106, (154, 1) = 5.667419712710983, (154, 2) = -1.8913693971972492, (154, 3) = 3.7353906839685327, (155, 1) = 5.664811507575823, (155, 2) = -1.8862357771664178, (155, 3) = 3.6999890846970667, (156, 1) = 5.662210220471501, (156, 2) = -1.8811503841535537, (156, 3) = 3.6651495843035, (157, 1) = 5.659615782975026, (157, 2) = -1.8761124497013257, (157, 3) = 3.6308596353384255, (158, 1) = 5.657028128437714, (158, 2) = -1.8711212238443677, (158, 3) = 3.5971070591092738, (159, 1) = 5.6544471908697735, (159, 2) = -1.866175972489318, (159, 3) = 3.563880018910026, (160, 1) = 5.651872905252459, (160, 2) = -1.8612759776030117, (160, 3) = 3.531167012222011, (161, 1) = 5.6493052075230725, (161, 2) = -1.8564205367733182, (161, 3) = 3.498956859178342, (162, 1) = 5.646744034553648, (162, 2) = -1.8516089627719348, (162, 3) = 3.4672386914298143, (163, 1) = 5.644189324130237, (163, 2) = -1.8468405831321844, (163, 3) = 3.4360019422851984, (164, 1) = 5.641641014967708, (164, 2) = -1.842114739805621, (164, 3) = 3.405236336523957, (165, 1) = 5.639099046652629, (165, 2) = -1.8374307886968726, (165, 3) = 3.3749318796828347, (166, 1) = 5.636563359596427, (166, 2) = -1.8327880992321302, (166, 3) = 3.345078848776118, (167, 1) = 5.634033895047126, (167, 2) = -1.828186054047408, (167, 3) = 3.315667784096042, (168, 1) = 5.631510595071247, (168, 2) = -1.8236240486323472, (168, 3) = 3.2866894802242888, (169, 1) = 5.628993402514032, (169, 2) = -1.819101490945906, (169, 3) = 3.2581349764443166, (170, 1) = 5.626482260663591, (170, 2) = -1.8146178005169846, (170, 3) = 3.2299955472522694, (171, 1) = 5.623977114138018, (171, 2) = -1.8101724097394127, (171, 3) = 3.202262702651238, (172, 1) = 5.6214779083270905, (172, 2) = -1.805764762575912, (172, 3) = 3.1749281766149546, (173, 1) = 5.618984589410361, (173, 2) = -1.8013943143144227, (173, 3) = 3.1479839183002896, (174, 1) = 5.616497104229131, (174, 2) = -1.797060531077443, (174, 3) = 3.1214220854385895, (175, 1) = 5.614015399687117, (175, 2) = -1.792762888533384, (175, 3) = 3.0952350307007275, (176, 1) = 5.611539423782712, (176, 2) = -1.7885008734524068, (176, 3) = 3.069415307674601, (177, 1) = 5.609069125213111, (177, 2) = -1.7842739827685106, (177, 3) = 3.043955659207625, (178, 1) = 5.606604453337475, (178, 2) = -1.7800817232821664, (178, 3) = 3.018849012326389, (179, 1) = 5.604145358163434, (179, 2) = -1.7759236114108672, (179, 3) = 2.9940884721090844, (180, 1) = 5.601691790360509, (180, 2) = -1.7717991729921152, (180, 3) = 2.9696673168118197, (181, 1) = 5.59924370124408, (181, 2) = -1.7677079430425056, (181, 3) = 2.9455789916467943, (182, 1) = 5.596801042692655, (182, 2) = -1.7636494654131925, (182, 3) = 2.9218171047712143, (183, 1) = 5.594363767181291, (183, 2) = -1.759623292647073, (183, 3) = 2.898375420898876, (184, 1) = 5.591931827717908, (184, 2) = -1.755628985680456, (184, 3) = 2.8752478570481137, (185, 1) = 5.589505177590017, (185, 2) = -1.7516661132447708, (185, 3) = 2.8524284761625096, (186, 1) = 5.587083771282231, (186, 2) = -1.7477342531830689, (186, 3) = 2.8299114901832083, (187, 1) = 5.584667563659395, (187, 2) = -1.7438329909282348, (187, 3) = 2.8076912492788813, (188, 1) = 5.582256510033174, (188, 2) = -1.7399619194455904, (188, 3) = 2.785762238236478, (189, 1) = 5.579850566281219, (189, 2) = -1.7361206392599096, (189, 3) = 2.7641190733392613, (190, 1) = 5.577449688748096, (190, 2) = -1.7323087581348804, (190, 3) = 2.7427564981937693, (191, 1) = 5.575053834397298, (191, 2) = -1.7285258911573815, (191, 3) = 2.7216693811182737, (192, 1) = 5.572662960949595, (192, 2) = -1.7247716607965369, (192, 3) = 2.7008527133959053, (193, 1) = 5.570277025845346, (193, 2) = -1.7210456951282551, (193, 3) = 2.680301595525745, (194, 1) = 5.567895987324738, (194, 2) = -1.7173476293970682, (194, 3) = 2.660011245612519, (195, 1) = 5.565519804181606, (195, 2) = -1.7136771054830273, (195, 3) = 2.6399769921821545, (196, 1) = 5.563148435690204, (196, 2) = -1.7100337716498044, (196, 3) = 2.6201942713243582, (197, 1) = 5.560781841625899, (197, 2) = -1.7064172824431427, (197, 3) = 2.6006586241837, (198, 1) = 5.558419982010541, (198, 2) = -1.7028272981742776, (198, 3) = 2.581365690517621, (199, 1) = 5.5560628172102975, (199, 2) = -1.6992634849504042, (199, 3) = 2.5623112092951223, (200, 1) = 5.553710308589139, (200, 2) = -1.6957255155367914, (200, 3) = 2.5434910191146987, (201, 1) = 5.55136241762439, (201, 2) = -1.6922130678962932, (201, 3) = 2.524901049489306, (202, 1) = 5.549019106173, (202, 2) = -1.6887258254817252, (202, 3) = 2.506537320269645, (203, 1) = 5.5466803364970225, (203, 2) = -1.6852634771629413, (203, 3) = 2.488395939230402, (204, 1) = 5.544346071269708, (204, 2) = -1.6818257171268851, (204, 3) = 2.4704731007363865, (205, 1) = 5.54201627361177, (205, 2) = -1.6784122448241627, (205, 3) = 2.4527650823697167, (206, 1) = 5.539690906968568, (206, 2) = -1.6750227646852562, (206, 3) = 2.4352682431712487, (207, 1) = 5.537369935151718, (207, 2) = -1.6716569860825918, (207, 3) = 2.4179790207982115, (208, 1) = 5.535053322342002, (208, 2) = -1.6683146232374682, (208, 3) = 2.400893929598613, (209, 1) = 5.53274103311977, (209, 2) = -1.6649953951684857, (209, 3) = 2.384009560157296, (210, 1) = 5.530433032786876, (210, 2) = -1.6616990260563125, (210, 3) = 2.367322577560669, (211, 1) = 5.528129286322875, (211, 2) = -1.6584252436609013, (211, 3) = 2.3508297140471863, (212, 1) = 5.525829758891033, (212, 2) = -1.6551737799713986, (212, 3) = 2.334527769366031, (213, 1) = 5.523534416503395, (213, 2) = -1.6519443720594564, (213, 3) = 2.3184136147424703, (214, 1) = 5.521243225695594, (214, 2) = -1.64873676152371, (214, 3) = 2.3024841884896654, (215, 1) = 5.518956153055052, (215, 2) = -1.6455506937464863, (215, 3) = 2.2867364907846595, (216, 1) = 5.516673165487336, (216, 2) = -1.6423859181924692, (216, 3) = 2.2711675843036954, (217, 1) = 5.5143942302113205, (217, 2) = -1.6392421883250665, (217, 3) = 2.255774592666431, (218, 1) = 5.51211931475362, (218, 2) = -1.6361192615236373, (218, 3) = 2.2405546988176956, (219, 1) = 5.509848386943087, (219, 2) = -1.633016899002804, (219, 3) = 2.225505143036363, (220, 1) = 5.507581414911632, (220, 2) = -1.629934865742205, (220, 3) = 2.2106232223452134, (221, 1) = 5.505318367153595, (221, 2) = -1.6268729304968246, (221, 3) = 2.195906289416023, (222, 1) = 5.503059212397918, (222, 2) = -1.623830865555191, (222, 3) = 2.1813517494105126, (223, 1) = 5.5008039196324745, (223, 2) = -1.6208084467073969, (223, 3) = 2.1669570605805824, (224, 1) = 5.498552458121568, (224, 2) = -1.617805453204613, (224, 3) = 2.152719731136577, (225, 1) = 5.496304797367492, (225, 2) = -1.6148216676452114, (225, 3) = 2.138637319387223, (226, 1) = 5.494060906858389, (226, 2) = -1.611856875582043, (226, 3) = 2.124707430250944, (227, 1) = 5.491820756886247, (227, 2) = -1.6089108665443754, (227, 3) = 2.1109277196866563, (228, 1) = 5.489584318231654, (228, 2) = -1.6059834335510847, (228, 3) = 2.09729589040281, (229, 1) = 5.48735156150888, (229, 2) = -1.6030743721954306, (229, 3) = 2.083809688455491, (230, 1) = 5.4851224572818635, (230, 2) = -1.6001834807522508, (230, 3) = 2.0704669019276407, (231, 1) = 5.482896976621213, (231, 2) = -1.597310560849904, (231, 3) = 2.057265362799913, (232, 1) = 5.48067509083788, (232, 2) = -1.5944554170679583, (232, 3) = 2.0442029456006, (233, 1) = 5.478456771478657, (233, 2) = -1.591617856879594, (233, 3) = 2.031277565849974, (234, 1) = 5.4762419903220625, (234, 2) = -1.5887976905958578, (234, 3) = 2.018487178846637, (235, 1) = 5.474030719374303, (235, 2) = -1.5859947313111833, (235, 3) = 2.005829778422819, (236, 1) = 5.47182293086661, (236, 2) = -1.5832087948517914, (236, 3) = 1.9933033978134636, (237, 1) = 5.469618597322719, (237, 2) = -1.5804396998131989, (237, 3) = 1.9809061066999547, (238, 1) = 5.467417691301615, (238, 2) = -1.5776872671911486, (238, 3) = 1.9686360106406042, (239, 1) = 5.465220185515712, (239, 2) = -1.5749513204885623, (239, 3) = 1.9564912503412117, (240, 1) = 5.463026053357614, (240, 2) = -1.5722316863246726, (240, 3) = 1.9444700042906984, (241, 1) = 5.46083526814168, (241, 2) = -1.569528193445355, (241, 3) = 1.9325704823963936, (242, 1) = 5.458647803363914, (242, 2) = -1.56684067300764, (242, 3) = 1.9207909284192193, (243, 1) = 5.456463632718297, (243, 2) = -1.5641689585591751, (243, 3) = 1.909129618333174, (244, 1) = 5.454282730093473, (244, 2) = -1.5615128859942429, (244, 3) = 1.897584859578158, (245, 1) = 5.452105069637089, (245, 2) = -1.558872293592471, (245, 3) = 1.886154991054741, (246, 1) = 5.449930625869816, (246, 2) = -1.556247022116135, (246, 3) = 1.874838383294285, (247, 1) = 5.447759373445621, (247, 2) = -1.5536369144805247, (247, 3) = 1.8636334353170876, (248, 1) = 5.445591286628736, (248, 2) = -1.5510418150940524, (248, 3) = 1.852538572619787, (249, 1) = 5.443426340211469, (249, 2) = -1.5484615709287484, (249, 3) = 1.8415522509936428, (250, 1) = 5.441264509183543, (250, 2) = -1.5458960310847298, (250, 3) = 1.8306729539987685, (251, 1) = 5.439105768702185, (251, 2) = -1.5433450467201766, (251, 3) = 1.8198991919576488, (252, 1) = 5.436950093835974, (252, 2) = -1.5408084707172642, (252, 3) = 1.8092295003605365, (253, 1) = 5.43479746020279, (253, 2) = -1.538286158401771, (253, 3) = 1.798662442949759, (254, 1) = 5.432647843743811, (254, 2) = -1.5357779672384426, (254, 3) = 1.788196609298146, (255, 1) = 5.430501220282754, (255, 2) = -1.5332837562848325, (255, 3) = 1.7778306123944128, (256, 1) = 5.428357565800783, (256, 2) = -1.530803386484906, (256, 3) = 1.7675630899034522, (257, 1) = 5.426216856433891, (257, 2) = -1.528336720636108, (257, 3) = 1.7573927024871312, (258, 1) = 5.424079068470184, (258, 2) = -1.5258836233569604, (258, 3) = 1.7473181347665825, (259, 1) = 5.421944178347206, (259, 2) = -1.523443961055319, (259, 3) = 1.7373380938294392, (260, 1) = 5.4198121626493, (260, 2) = -1.5210176018973132, (260, 3) = 1.7274513089490793, (261, 1) = 5.417682998154868, (261, 2) = -1.5186044158333492, (261, 3) = 1.7176565316036185, (262, 1) = 5.4155566618219595, (262, 2) = -1.5162042745538047, (262, 3) = 1.707952534879652, (263, 1) = 5.413433130664293, (263, 2) = -1.5138170513228102, (263, 3) = 1.6983381116199883, (264, 1) = 5.411312381851206, (264, 2) = -1.5114426210660739, (264, 3) = 1.6888120763905718, (265, 1) = 5.409194392738515, (265, 2) = -1.5090808603795325, (265, 3) = 1.6793732632242668, (266, 1) = 5.4070791406660765, (266, 2) = -1.5067316472791707, (266, 3) = 1.6700205257259864, (267, 1) = 5.404966603161679, (267, 2) = -1.5043948614051719, (267, 3) = 1.6607527359115313, (268, 1) = 5.402856757896779, (268, 2) = -1.5020703839482685, (268, 3) = 1.6515687858990384, (269, 1) = 5.4007495827085235, (269, 2) = -1.4997580976502936, (269, 3) = 1.6424675858045965, (270, 1) = 5.398645055616125, (270, 2) = -1.497457886798426, (270, 3) = 1.633448064246057, (271, 1) = 5.396543154665959, (271, 2) = -1.4951696370333705, (271, 3) = 1.624509166820183, (272, 1) = 5.3944438580181435, (272, 2) = -1.4928932354232698, (272, 3) = 1.6156498570386657, (273, 1) = 5.392347143948714, (273, 2) = -1.4906285704448, (273, 3) = 1.6068691149926908, (274, 1) = 5.390252990847495, (274, 2) = -1.4883755319599332, (274, 3) = 1.5981659375385435, (275, 1) = 5.388161377215971, (275, 2) = -1.486134011193188, (275, 3) = 1.5895393378616771, (276, 1) = 5.386072281664734, (276, 2) = -1.4839039007088057, (276, 3) = 1.580988344823073, (277, 1) = 5.3839856827270465, (277, 2) = -1.4816850941932185, (277, 3) = 1.572512002884335, (278, 1) = 5.381901559322764, (278, 2) = -1.4794774869299783, (278, 3) = 1.5641093723251547, (279, 1) = 5.37981989062474, (279, 2) = -1.477280975634417, (279, 3) = 1.5557795298422543, (280, 1) = 5.377740655666721, (280, 2) = -1.475095458020757, (280, 3) = 1.5475215650666214, (281, 1) = 5.3756638335803295, (281, 2) = -1.472920833036501, (281, 3) = 1.5393345824611802, (282, 1) = 5.373589403625186, (282, 2) = -1.47075700087603, (282, 3) = 1.5312177016125865, (283, 1) = 5.37151734548697, (283, 2) = -1.4686038632716745, (283, 3) = 1.5231700558282122, (284, 1) = 5.369447638355693, (284, 2) = -1.46646132251778, (284, 3) = 1.5151907907402844, (285, 1) = 5.367380261604506, (285, 2) = -1.4643292821642409, (285, 3) = 1.5072790656352248, (286, 1) = 5.365315194953573, (286, 2) = -1.462207647166253, (286, 3) = 1.4994340536748711, (287, 1) = 5.363252418110813, (287, 2) = -1.4600963234961932, (287, 3) = 1.4916549406644506, (288, 1) = 5.361191910775339, (288, 2) = -1.457995218133254, (288, 3) = 1.4839409248674962, (289, 1) = 5.359133652574747, (289, 2) = -1.4559042389861447, (289, 3) = 1.4762912158618853, (290, 1) = 5.357077623724858, (290, 2) = -1.4538232955473183, (290, 3) = 1.4687050378504385, (291, 1) = 5.355023804303253, (291, 2) = -1.4517522981373403, (291, 3) = 1.4611816257641277, (292, 1) = 5.352972174418025, (292, 2) = -1.4496911580636076, (292, 3) = 1.4537202262621822, (293, 1) = 5.350922714272537, (293, 2) = -1.4476397876716525, (293, 3) = 1.446320097291955, (294, 1) = 5.348875404253513, (294, 2) = -1.4455981004183776, (294, 3) = 1.438980509025542, (295, 1) = 5.346830224725084, (295, 2) = -1.4435660106520734, (295, 3) = 1.4317007415084242, (296, 1) = 5.344787156100445, (296, 2) = -1.4415434336714392, (296, 3) = 1.4244800863042546, (297, 1) = 5.342746178864241, (297, 2) = -1.4395302857347725, (297, 3) = 1.4173178451053927, (298, 1) = 5.340707273570993, (298, 2) = -1.4375264840453592, (298, 3) = 1.4102133306956561, (299, 1) = 5.33867042084351, (299, 2) = -1.4355319467371241, (299, 3) = 1.4031658653026045, (300, 1) = 5.336635601371836, (300, 2) = -1.4335465928610487, (300, 3) = 1.3961747821509647, (301, 1) = 5.3346027959921045, (301, 2) = -1.431570342449343, (301, 3) = 1.389239423598617, (302, 1) = 5.332571985645316, (302, 2) = -1.4296031164620564, (302, 3) = 1.3823591427981896, (303, 1) = 5.330543151184776, (303, 2) = -1.4276448365890375, (303, 3) = 1.3755333015064617, (304, 1) = 5.328516273554645, (304, 2) = -1.4256954254122116, (304, 3) = 1.3687612709019454, (305, 1) = 5.32649133375843, (305, 2) = -1.4237548063635221, (305, 3) = 1.362042431665457, (306, 1) = 5.32446831285736, (306, 2) = -1.4218229037121393, (306, 3) = 1.355376173140388, (307, 1) = 5.322447191968944, (307, 2) = -1.4198996425520691, (307, 3) = 1.3487618937982793, (308, 1) = 5.320427952265535, (308, 2) = -1.4179849487899479, (308, 3) = 1.34219900077209, (309, 1) = 5.318410574979019, (309, 2) = -1.4160787491388562, (309, 3) = 1.3356869095783903, (310, 1) = 5.316395041511885, (310, 2) = -1.4141809712121673, (310, 3) = 1.329225044938906, (311, 1) = 5.314381333244004, (311, 2) = -1.4122915433303886, (311, 3) = 1.3228128393355087, (312, 1) = 5.312369431468733, (312, 2) = -1.4104103944526878, (312, 3) = 1.3164497327980786, (313, 1) = 5.310359317400153, (313, 2) = -1.4085374541759297, (313, 3) = 1.310135172938492, (314, 1) = 5.308350972776562, (314, 2) = -1.40667265328644, (314, 3) = 1.3038686175238519, (315, 1) = 5.306344379157913, (315, 2) = -1.404815923093772, (315, 3) = 1.2976495300609936, (316, 1) = 5.304339518108142, (316, 2) = -1.4029671955928469, (316, 3) = 1.2914773822315826, (317, 1) = 5.30233637123614, (317, 2) = -1.4011264034929523, (317, 3) = 1.2853516531938067, (318, 1) = 5.300334920545315, (318, 2) = -1.3992934805282917, (318, 3) = 1.2792718300335881, (319, 1) = 5.298335147876621, (319, 2) = -1.3974683609361178, (319, 3) = 1.2732374067328105, (320, 1) = 5.296337034643445, (320, 2) = -1.395650979210523, (320, 3) = 1.2672478829129603, (321, 1) = 5.294340562605431, (321, 2) = -1.393841270801368, (321, 3) = 1.2613027658863303, (322, 1) = 5.292345713564864, (322, 2) = -1.392039171827248, (322, 3) = 1.2554015701611134, (323, 1) = 5.290352469344965, (323, 2) = -1.3902446190476523, (323, 3) = 1.2495438163139139, (324, 1) = 5.28836081156084, (324, 2) = -1.388457549649869, (324, 3) = 1.2437290314881837, (325, 1) = 5.286370722245823, (325, 2) = -1.3866779018038415, (325, 3) = 1.2379567498634043, (326, 1) = 5.2843821835823155, (326, 2) = -1.3849056144090293, (326, 3) = 1.2322265124847929, (327, 1) = 5.282395177620527, (327, 2) = -1.3831406268355815, (327, 3) = 1.2265378668395335, (328, 1) = 5.280409686355292, (328, 2) = -1.381382878987102, (328, 3) = 1.2208903650230225, (329, 1) = 5.278425691808717, (329, 2) = -1.3796323113672881, (329, 3) = 1.2152835661960764, (330, 1) = 5.276443176028947, (330, 2) = -1.3778888650715553, (330, 3) = 1.2097170351548943, (331, 1) = 5.274462121088968, (331, 2) = -1.3761524817788284, (331, 3) = 1.2041903426413476, (332, 1) = 5.272482509085398, (332, 2) = -1.3744231037434584, (332, 3) = 1.1987030651560342, (333, 1) = 5.270504322137297, (333, 2) = -1.372700673787247, (333, 3) = 1.1932547845848744, (334, 1) = 5.26852754247904, (334, 2) = -1.370985135373135, (334, 3) = 1.187845088733657, (335, 1) = 5.266552152243802, (335, 2) = -1.3692764324101878, (335, 3) = 1.182473571023511, (336, 1) = 5.264578133612887, (336, 2) = -1.3675745093773362, (336, 3) = 1.1771398295875184, (337, 1) = 5.262605469300906, (337, 2) = -1.3658793117327146, (337, 3) = 1.1718434699517937, (338, 1) = 5.260634141192019, (338, 2) = -1.3641907847339343, (338, 3) = 1.1665841002300352, (339, 1) = 5.2586641314753475, (339, 2) = -1.3625088744114708, (339, 3) = 1.1613613343766185, (340, 1) = 5.2566954223972004, (340, 2) = -1.3608335273479928, (340, 3) = 1.1561747914655094, (341, 1) = 5.25472799621698, (341, 2) = -1.3591646906343968, (341, 3) = 1.151024096076551, (342, 1) = 5.252761835284655, (342, 2) = -1.3575023119292906, (342, 3) = 1.1459088769281243, (343, 1) = 5.250796922012133, (343, 2) = -1.3558463394279927, (343, 3) = 1.1408287686681111, (344, 1) = 5.248833238696092, (344, 2) = -1.3541967217075959, (344, 3) = 1.1357834096584067, (345, 1) = 5.2468707676399715, (345, 2) = -1.352553407824987, (345, 3) = 1.1307724433602369, (346, 1) = 5.244909491117269, (346, 2) = -1.3509163472807801, (346, 3) = 1.1257955172627974, (347, 1) = 5.242949391193174, (347, 2) = -1.3492854898662077, (347, 3) = 1.120852283122362, (348, 1) = 5.240990450395075, (348, 2) = -1.3476607862158339, (348, 3) = 1.1159423984125936, (349, 1) = 5.239032651134288, (349, 2) = -1.3460421873189339, (349, 3) = 1.1110655244762113, (350, 1) = 5.237075975803947, (350, 2) = -1.3444296445964976, (350, 3) = 1.1062213268129384, (351, 1) = 5.2351204068825, (351, 2) = -1.3428231099813173, (351, 3) = 1.1014094755561579, (352, 1) = 5.233165926710281, (352, 2) = -1.3412225357292529, (352, 3) = 1.0966296442333014, (353, 1) = 5.231212517712542, (353, 2) = -1.3396278745979289, (353, 3) = 1.0918815114714575, (354, 1) = 5.22926016252964, (354, 2) = -1.3380390799465929, (354, 3) = 1.087164759744442, (355, 1) = 5.2273088431626995, (355, 2) = -1.3364561050366692, (355, 3) = 1.0824790743769424, (356, 1) = 5.22535854186901, (356, 2) = -1.3348789037581446, (356, 3) = 1.077824145023026, (357, 1) = 5.223409240969577, (357, 2) = -1.3333074304667976, (357, 3) = 1.0731996650605118, (358, 1) = 5.221460922636084, (358, 2) = -1.3317416398078679, (358, 3) = 1.0686053320647655, (359, 1) = 5.219513569322948, (359, 2) = -1.3301814870590272, (359, 3) = 1.0640408474539753, (360, 1) = 5.2175671635547465, (360, 2) = -1.3286269279529157, (360, 3) = 1.05950591699421, (361, 1) = 5.215621687626951, (361, 2) = -1.3270779184340002, (361, 3) = 1.0550002485970302, (362, 1) = 5.213677123823037, (362, 2) = -1.3255344148291612, (362, 3) = 1.0505235550171754, (363, 1) = 5.211733454414964, (363, 2) = -1.3239963738439515, (363, 3) = 1.0460755514909135, (364, 1) = 5.209790661662094, (364, 2) = -1.3224637525576934, (364, 3) = 1.0416559573826807, (365, 1) = 5.207848727810075, (365, 2) = -1.3209365084185891, (365, 3) = 1.0372644951280197, (366, 1) = 5.2059076351276, (366, 2) = -1.319414599268592, (366, 3) = 1.0329008905280384, (367, 1) = 5.2039673660019865, (367, 2) = -1.3178979834136637, (367, 3) = 1.0285648731918118, (368, 1) = 5.202027902547697, (368, 2) = -1.3163866193138019, (368, 3) = 1.0242561752603296, (369, 1) = 5.200089226781372, (369, 2) = -1.314880465718113, (369, 3) = 1.0199745322226643, (370, 1) = 5.198151321117278, (370, 2) = -1.313379482045242, (370, 3) = 1.0157196832704107, (371, 1) = 5.196214167752913, (371, 2) = -1.311883627901157, (371, 3) = 1.0114913706468414, (372, 1) = 5.194277749156419, (372, 2) = -1.3103928634525852, (372, 3) = 1.0072893395941178, (373, 1) = 5.192342047201485, (373, 2) = -1.308907148757147, (373, 3) = 1.0031133379746497, (374, 1) = 5.190407043839323, (374, 2) = -1.3074264442800294, (374, 3) = .9989631165410667, (375, 1) = 5.188472721299184, (375, 2) = -1.30595071104216, (375, 3) = .9948384292653999, (376, 1) = 5.186539061641152, (376, 2) = -1.3044799102737636, (376, 3) = .9907390334390975, (377, 1) = 5.184606046865786, (377, 2) = -1.303014003495817, (377, 3) = .9866646881943084, (378, 1) = 5.182673658899663, (378, 2) = -1.3015529525062601, (378, 3) = .9826151564248422, (379, 1) = 5.180741879445954, (379, 2) = -1.3000967192649262, (379, 3) = .9785902023642912, (380, 1) = 5.1788106906334725, (380, 2) = -1.2986452663797012, (380, 3) = .9745895949544856, (381, 1) = 5.17688007441334, (381, 2) = -1.297198556646932, (381, 3) = .9706131044332503, (382, 1) = 5.1749500126511965, (382, 2) = -1.2957565531188897, (382, 3) = .9666605042360661, (383, 1) = 5.1730204873416366, (383, 2) = -1.2943192192609236, (383, 3) = .9627315708336079, (384, 1) = 5.171091480314027, (384, 2) = -1.2928865187286098, (384, 3) = .9588260827744756, (385, 1) = 5.169162973314458, (385, 2) = -1.2914584154269706, (385, 3) = .954943820873503, (386, 1) = 5.167234948051673, (386, 2) = -1.2900348735420666, (386, 3) = .9510845687274427, (387, 1) = 5.165307386195916, (387, 2) = -1.2886158575374096, (387, 3) = .9472481122483488, (388, 1) = 5.16338026938195, (388, 2) = -1.2872013321535007, (388, 3) = .9434342400998667, (389, 1) = 5.161453579296319, (389, 2) = -1.2857912624689019, (389, 3) = .9396427428310598, (390, 1) = 5.159527297454268, (390, 2) = -1.2843856137341074, (390, 3) = .9358734138123238, (391, 1) = 5.157601405480081, (391, 2) = -1.282984351574066, (391, 3) = .9321260485089395, (392, 1) = 5.155675884901647, (392, 2) = -1.2815874418352322, (392, 3) = .928400445113305, (393, 1) = 5.153750717136346, (393, 2) = -1.2801948505734677, (393, 3) = .9246964035137287, (394, 1) = 5.151825883554744, (394, 2) = -1.278806544098205, (394, 3) = .9210137257861698, (395, 1) = 5.1499013654794075, (395, 2) = -1.2774224889692225, (395, 3) = .9173522167531513, (396, 1) = 5.147977144183691, (396, 2) = -1.2760426519934256, (396, 3) = .9137116828023463, (397, 1) = 5.146053200890503, (397, 2) = -1.2746670002217106, (397, 3) = .9100919325697758, (398, 1) = 5.144129516775309, (398, 2) = -1.273295500948833, (398, 3) = .9064927771585544, (399, 1) = 5.142206072958262, (399, 2) = -1.271928121705583, (399, 3) = .9029140296384953, (400, 1) = 5.140282850530416, (400, 2) = -1.2705648302752064, (400, 3) = .899355504870184, (401, 1) = 5.138359830726591, (401, 2) = -1.2692055948130319, (401, 3) = .8958170201959653, (402, 1) = 5.136436994506474, (402, 2) = -1.2678503835475554, (402, 3) = .8922983949919526, (403, 1) = 5.1345143227669645, (403, 2) = -1.266499164929642, (403, 3) = .888799449945341, (404, 1) = 5.132591796345755, (404, 2) = -1.2651519076330646, (404, 3) = .8853200079260003, (405, 1) = 5.130669396024201, (405, 2) = -1.2638085805545471, (405, 3) = .8818598939876265, (406, 1) = 5.128747102823543, (406, 2) = -1.2624691530178902, (406, 3) = .8784189355178325, (407, 1) = 5.1268248974952435, (407, 2) = -1.2611335944154778, (407, 3) = .8749969608213815, (408, 1) = 5.1249027603612785, (408, 2) = -1.2598018740980101, (408, 3) = .8715938002369454, (409, 1) = 5.1229806718138695, (409, 2) = -1.2584739617209943, (409, 3) = .8682092855609569, (410, 1) = 5.121058612553847, (410, 2) = -1.2571498274056143, (410, 3) = .864843251417529, (411, 1) = 5.119136562985573, (411, 2) = -1.2558294413182167, (411, 3) = .8614955334304333, (412, 1) = 5.117214503428585, (412, 2) = -1.2545127738156165, (412, 3) = .8581659692093615, (413, 1) = 5.115292414131292, (413, 2) = -1.2531997954528877, (413, 3) = .8548543981068134, (414, 1) = 5.1133702752696015, (414, 2) = -1.2518904769807877, (414, 3) = .851560660813544, (415, 1) = 5.111448067076772, (415, 2) = -1.2505847894322315, (415, 3) = .848284600311966, (416, 1) = 5.109525769720884, (416, 2) = -1.249282704036556, (416, 3) = .8450260611121513, (417, 1) = 5.107603363154451, (417, 2) = -1.247984192116474, (417, 3) = .8417848890981797, (418, 1) = 5.1056808271932566, (418, 2) = -1.246689225140902, (418, 3) = .8385609314044293, (419, 1) = 5.103758141406092, (419, 2) = -1.2453977746500486, (419, 3) = .8353540370860439, (420, 1) = 5.1018352857363505, (420, 2) = -1.2441098126713093, (420, 3) = .8321640569957468, (421, 1) = 5.099912239876547, (421, 2) = -1.242825311296377, (421, 3) = .8289908432217749, (422, 1) = 5.097988983692558, (422, 2) = -1.2415442429636312, (422, 3) = .8258342499730922, (423, 1) = 5.0960654966753705, (423, 2) = -1.2402665800907182, (423, 3) = .8226941328929684, (424, 1) = 5.094141758124321, (424, 2) = -1.2389922951971382, (424, 3) = .8195703479516747, (425, 1) = 5.092217747329988, (425, 2) = -1.2377213610245408, (425, 3) = .8164627539750398, (426, 1) = 5.090293443491095, (426, 2) = -1.2364537504800708, (426, 3) = .8133712097209121, (427, 1) = 5.088368825679088, (427, 2) = -1.235189436611898, (427, 3) = .810295576724003, (428, 1) = 5.08644387266355, (428, 2) = -1.2339283924941227, (428, 3) = .8072357164909784, (429, 1) = 5.084518563561282, (429, 2) = -1.2326705916509355, (429, 3) = .8041914934960024, (430, 1) = 5.08259287727838, (430, 2) = -1.2314160076884915, (430, 3) = .8011627731541243, (431, 1) = 5.080666792627588, (431, 2) = -1.2301646143709688, (431, 3) = .7981494215576576, (432, 1) = 5.0787402884241475, (432, 2) = -1.2289163856814456, (432, 3) = .7951513074725329, (433, 1) = 5.076813343201061, (433, 2) = -1.2276712956362288, (433, 3) = .7921682994891349, (434, 1) = 5.074885935382132, (434, 2) = -1.2264293183967587, (434, 3) = .7892002683915128, (435, 1) = 5.072958043286649, (435, 2) = -1.2251904282716664, (435, 3) = .7862470856054183, (436, 1) = 5.07102964510915, (436, 2) = -1.2239545997028478, (436, 3) = .7833086245575598, (437, 1) = 5.069100718717104, (437, 2) = -1.2227218071355304, (437, 3) = .7803847586675471, (438, 1) = 5.067171242587595, (438, 2) = -1.2214920256154513, (438, 3) = .7774753642103747, (439, 1) = 5.0652411946840035, (439, 2) = -1.2202652300686676, (439, 3) = .7745803183423405, (440, 1) = 5.063310552749454, (440, 2) = -1.219041395489948, (440, 3) = .7716994985974057, (441, 1) = 5.061379294455735, (441, 2) = -1.2178204970368565, (441, 3) = .7688327841901014, (442, 1) = 5.059447397343952, (442, 2) = -1.2166025099912054, (442, 3) = .7659800550904544, (443, 1) = 5.057514838836609, (443, 2) = -1.2153874097659523, (443, 3) = .7631411932097649, (444, 1) = 5.055581596235741, (444, 2) = -1.2141751719032556, (444, 3) = .7603160806595479, (445, 1) = 5.053647646714122, (445, 2) = -1.2129657720682572, (445, 3) = .757504601239694, (446, 1) = 5.0517129670955345, (446, 2) = -1.2117591859115542, (446, 3) = .7547066394489572, (447, 1) = 5.049777534442011, (447, 2) = -1.2105553894351493, (447, 3) = .7519220813113509, (448, 1) = 5.047841325928535, (448, 2) = -1.2093543589111204, (448, 3) = .7491508143879604, (449, 1) = 5.045904318252252, (449, 2) = -1.208156070513959, (449, 3) = .7463927268869696, (450, 1) = 5.043966487953797, (450, 2) = -1.206960500520875, (450, 3) = .7436477073887576, (451, 1) = 5.042027811439748, (451, 2) = -1.2057676253251806, (451, 3) = .7409156465952305, (452, 1) = 5.040088264980558, (452, 2) = -1.2045774214344716, (452, 3) = .7381964353711401, (453, 1) = 5.0381478247123725, (453, 2) = -1.2033898654711852, (453, 3) = .7354899660500486, (454, 1) = 5.0362064667407545, (454, 2) = -1.2022049342352874, (454, 3) = .7327961317301547, (455, 1) = 5.034264166909019, (455, 2) = -1.201022604562033, (455, 3) = .7301148268959863, (456, 1) = 5.032320901071551, (456, 2) = -1.1998428534882064, (456, 3) = .7274459468134418, (457, 1) = 5.030376644826109, (457, 2) = -1.1986656580885364, (457, 3) = .7247893877019324, (458, 1) = 5.028431373583476, (458, 2) = -1.197490995518179, (458, 3) = .7221450463583621, (459, 1) = 5.026485062603311, (459, 2) = -1.196318843034188, (459, 3) = .719512821197075, (460, 1) = 5.02453768699188, (460, 2) = -1.1951491779938033, (460, 3) = .7168926110058624, (461, 1) = 5.022589221699818, (461, 2) = -1.193981977852726, (461, 3) = .7142843155976808, (462, 1) = 5.020639641518499, (462, 2) = -1.1928172201626626, (462, 3) = .7116878359024248, (463, 1) = 5.018688920896789, (463, 2) = -1.1916548824619793, (463, 3) = .7091030732096111, (464, 1) = 5.016737034534111, (464, 2) = -1.190494942628835, (464, 3) = .7065299304943451, (465, 1) = 5.014783956988376, (465, 2) = -1.1893373786456158, (465, 3) = .7039683115450315, (466, 1) = 5.012829662397907, (466, 2) = -1.1881821684343432, (466, 3) = .7014181207584209, (467, 1) = 5.010874124730417, (467, 2) = -1.1870292900050854, (467, 3) = .6988792629910282, (468, 1) = 5.008917317781093, (468, 2) = -1.1858787214546298, (468, 3) = .6963516446460515, (469, 1) = 5.006959215185641, (469, 2) = -1.1847304409739807, (469, 3) = .6938351722180004, (470, 1) = 5.004999790751974, (470, 2) = -1.183584427041846, (470, 3) = .6913297541662637, (471, 1) = 5.0030390173823225, (471, 2) = -1.18244065779388, (471, 3) = .6888352982755886, (472, 1) = 5.001076868167926, (472, 2) = -1.1812991116642733, (472, 3) = .6863517138361984, (473, 1) = 4.999113316272432, (473, 2) = -1.1801597673152089, (473, 3) = .6838789113483295, (474, 1) = 4.997148334401833, (474, 2) = -1.1790226033285374, (474, 3) = .6814168018431186, (475, 1) = 4.995181895070676, (475, 2) = -1.1778875983612656, (475, 3) = .67896529633694, (476, 1) = 4.993213970599612, (476, 2) = -1.176754731144169, (476, 3) = .6765243079436509, (477, 1) = 4.991244533112553, (477, 2) = -1.1756239804801858, (477, 3) = .6740937494805277, (478, 1) = 4.989273554531464, (478, 2) = -1.1744953252415262, (478, 3) = .6716735346781729, (479, 1) = 4.987301006365103, (479, 2) = -1.1733687442492522, (479, 3) = .669263578219946, (480, 1) = 4.9853268603554355, (480, 2) = -1.1722442166427078, (480, 3) = .666863795286901, (481, 1) = 4.983351088099342, (481, 2) = -1.1711217216617167, (481, 3) = .6644741025867248, (482, 1) = 4.981373660692707, (482, 2) = -1.1700012384448932, (482, 3) = .6620944169676677, (483, 1) = 4.979394549016535, (483, 2) = -1.16888274619345, (483, 3) = .6597246556578021, (484, 1) = 4.9774137237806295, (484, 2) = -1.1677662241960067, (484, 3) = .6573647370284177, (485, 1) = 4.975431155822612, (485, 2) = -1.1666516519963661, (485, 3) = .655014580465542, (486, 1) = 4.973446815068372, (486, 2) = -1.1655390088090603, (486, 3) = .6526741048645923, (487, 1) = 4.9714606711347775, (487, 2) = -1.1644282738613416, (487, 3) = .6503432301156008, (488, 1) = 4.969472693995166, (488, 2) = -1.163319426764764, (488, 3) = .6480218774016626, (489, 1) = 4.967482853485473, (489, 2) = -1.1622124472368305, (489, 3) = .6457099684722087, (490, 1) = 4.965491118891951, (490, 2) = -1.1611073148721902, (490, 3) = .6434074253530561, (491, 1) = 4.963497459259479, (491, 2) = -1.1600040093157078, (491, 3) = .6411141708432009, (492, 1) = 4.9615018433880795, (492, 2) = -1.158902510260938, (492, 3) = .6388301283580333, (493, 1) = 4.95950423982933, (493, 2) = -1.1578027974485963, (493, 3) = .6365552220832803, (494, 1) = 4.957504616879017, (494, 2) = -1.1567048506629787, (494, 3) = .6342893764126709, (495, 1) = 4.95550294234866, (495, 2) = -1.155608649607531, (495, 3) = .6320325164466017, (496, 1) = 4.953499184218265, (496, 2) = -1.154514174263056, (496, 3) = .6297845678503939, (497, 1) = 4.9514933103429595, (497, 2) = -1.1534214047255835, (497, 3) = .6275454577930414, (498, 1) = 4.9494852879740865, (498, 2) = -1.1523303209460856, (498, 3) = .6253151130144977, (499, 1) = 4.947475084188467, (499, 2) = -1.1512409029657897, (499, 3) = .6230934613344448, (500, 1) = 4.945462666069545, (500, 2) = -1.1501531310138968, (500, 3) = .620880431258919, (501, 1) = 4.94344799964657, (501, 2) = -1.1490669849351067, (501, 3) = .6186759509947234, (502, 1) = 4.941431050704809, (502, 2) = -1.1479824446308153, (502, 3) = .6164799492721779, (503, 1) = 4.939411785242134, (503, 2) = -1.1468994903040814, (503, 3) = .6142923559014799, (504, 1) = 4.937390169073915, (504, 2) = -1.145818102245788, (504, 3) = .6121131019247344, (505, 1) = 4.935366167635511, (505, 2) = -1.1447382607293894, (505, 3) = .6099421179206032, (506, 1) = 4.933339745889589, (506, 2) = -1.1436599459630448, (506, 3) = .6077793355209125, (507, 1) = 4.93131086849178, (507, 2) = -1.1425831381794276, (507, 3) = .6056246864205929, (508, 1) = 4.929279499748647, (508, 2) = -1.1415078176143603, (508, 3) = .6034781031066415, (509, 1) = 4.927245603421299, (509, 2) = -1.1404339644044008, (509, 3) = .6013395180644471, (510, 1) = 4.925209143436644, (510, 2) = -1.1393615589634005, (510, 3) = .5992088647472423, (511, 1) = 4.923170083273586, (511, 2) = -1.1382905816581088, (511, 3) = .5970860775470369, (512, 1) = 4.921128386081218, (512, 2) = -1.1372210128718558, (512, 3) = .5949710906611787, (513, 1) = 4.919084014768326, (513, 2) = -1.1361528330522312, (513, 3) = .592863839340316, (514, 1) = 4.9170369318903635, (514, 2) = -1.1350860226526633, (514, 3) = .5907642587863704, (515, 1) = 4.914987099794205, (515, 2) = -1.134020562208715, (515, 3) = .5886722849876174, (516, 1) = 4.9129344796953704, (516, 2) = -1.1329564318604888, (516, 3) = .5865878544101014, (517, 1) = 4.910879032604075, (517, 2) = -1.1318936118372405, (517, 3) = .5845109026915359, (518, 1) = 4.908820719715083, (518, 2) = -1.1308320826583023, (518, 3) = .5824413675016256, (519, 1) = 4.906759501722618, (519, 2) = -1.1297718247786683, (519, 3) = .5803791865575917, (520, 1) = 4.904695338927114, (520, 2) = -1.1287128186457984, (520, 3) = .5783242977292123, (521, 1) = 4.902628191375568, (521, 2) = -1.1276550447727631, (521, 3) = .5762766401518287, (522, 1) = 4.900558018546968, (522, 2) = -1.1265984835783474, (522, 3) = .5742361521731904, (523, 1) = 4.8984847794425805, (523, 2) = -1.125543115435531, (523, 3) = .5722027732543469, (524, 1) = 4.8964084324960675, (524, 2) = -1.1244889206278186, (524, 3) = .570176443001225, (525, 1) = 4.894328936257308, (525, 2) = -1.1234358796976263, (525, 3) = .5681571016569068, (526, 1) = 4.892246248653934, (526, 2) = -1.1223839730717786, (526, 3) = .5661446897738602, (527, 1) = 4.890160327146358, (527, 2) = -1.121333181142392, (527, 3) = .564139148276226, (528, 1) = 4.888071129174579, (528, 2) = -1.1202834844929264, (528, 3) = .5621404187636355, (529, 1) = 4.885978611392023, (529, 2) = -1.1192348635136553, (529, 3) = .560148443358779, (530, 1) = 4.883882729507919, (530, 2) = -1.118187298326908, (530, 3) = .5581631634320773, (531, 1) = 4.8817834395222075, (531, 2) = -1.1171407694068496, (531, 3) = .556184521900289, (532, 1) = 4.879680696727955, (532, 2) = -1.1160952570809808, (532, 3) = .5542124613029424, (533, 1) = 4.8775744559531065, (533, 2) = -1.1150507416532731, (533, 3) = .552246925173621, (534, 1) = 4.875464671563721, (534, 2) = -1.1140072034075257, (534, 3) = .5502878566117216, (535, 1) = 4.873351297455675, (535, 2) = -1.1129646226050902, (535, 3) = .5483352002058922, (536, 1) = 4.871234286846535, (536, 2) = -1.111922979384402, (536, 3) = .5463888995264136, (537, 1) = 4.869113592847269, (537, 2) = -1.110882254044327, (537, 3) = .5444488992816606, (538, 1) = 4.866989168156317, (538, 2) = -1.1098424268941034, (538, 3) = .5425151452262703, (539, 1) = 4.864860964708678, (539, 2) = -1.1088034780836635, (539, 3) = .5405875820623081, (540, 1) = 4.862728933929895, (540, 2) = -1.10776538773085, (540, 3) = .5386661556545429, (541, 1) = 4.860593026774005, (541, 2) = -1.106728135941832, (541, 3) = .5367508122376922, (542, 1) = 4.858453194093888, (542, 2) = -1.1056917029920608, (542, 3) = .534841497974757, (543, 1) = 4.8563093851422074, (543, 2) = -1.1046560686024685, (543, 3) = .5329381591938241, (544, 1) = 4.854161549157366, (544, 2) = -1.1036212127115725, (544, 3) = .5310407429941763, (545, 1) = 4.852009635232349, (545, 2) = -1.1025871154113542, (545, 3) = .5291491964166708, (546, 1) = 4.84985359159235, (546, 2) = -1.10155375660124, (546, 3) = .5272634670858246, (547, 1) = 4.847693365853622, (547, 2) = -1.1005211161159216, (547, 3) = .5253835030341191, (548, 1) = 4.845528904995263, (548, 2) = -1.0994891737145365, (548, 3) = .5235092522245095, (549, 1) = 4.843360155172925, (549, 2) = -1.0984579089950128, (549, 3) = .5216406627863501, (550, 1) = 4.8411870625027404, (550, 2) = -1.0974273017692766, (550, 3) = .5197776832371168, (551, 1) = 4.839009572310032, (551, 2) = -1.0963973317074018, (551, 3) = .5179202631128744, (552, 1) = 4.836827629227485, (552, 2) = -1.09536797838759, (552, 3) = .5160683515471006, (553, 1) = 4.834641177380259, (553, 2) = -1.0943392213862544, (553, 3) = .5142218979044455, (554, 1) = 4.832450160247679, (554, 2) = -1.0933110402151405, (554, 3) = .5123808523156215, (555, 1) = 4.83025452063899, (555, 2) = -1.09228341431279, (555, 3) = .5105451647353585, (556, 1) = 4.82805420039235, (556, 2) = -1.091256322907161, (556, 3) = .5087147849457746, (557, 1) = 4.825849140849356, (557, 2) = -1.0902297452410392, (557, 3) = .5068896640833338, (558, 1) = 4.823639282681805, (558, 2) = -1.0892036604935487, (558, 3) = .5050697525181658, (559, 1) = 4.821424565862886, (559, 2) = -1.0881780477697318, (559, 3) = .50325500148957, (560, 1) = 4.819204929394593, (560, 2) = -1.0871528859779054, (560, 3) = .501445361877731, (561, 1) = 4.816980311952897, (561, 2) = -1.0861281541311867, (561, 3) = .499640785053386, (562, 1) = 4.814750651622554, (562, 2) = -1.085103831226597, (562, 3) = .49784122326851177, (563, 1) = 4.812515885455455, (563, 2) = -1.0840798960453768, (563, 3) = .49604662854657755, (564, 1) = 4.810275949744558, (564, 2) = -1.083056327283078, (564, 3) = .49425695257506264, (565, 1) = 4.8080307799728565, (565, 2) = -1.0820331035297392, (565, 3) = .49247214808341405, (566, 1) = 4.805780310577068, (566, 2) = -1.0810102031663327, (566, 3) = .49069216738072224, (567, 1) = 4.8035244762566425, (567, 2) = -1.0799876049624686, (567, 3) = .488916963565327, (568, 1) = 4.801263210006938, (568, 2) = -1.0789652871855828, (568, 3) = .4871464898589211, (569, 1) = 4.798996443891431, (569, 2) = -1.0779432279577414, (569, 3) = .48538069889126334, (570, 1) = 4.7967241093860125, (570, 2) = -1.0769214054146528, (570, 3) = .48361954439234645, (571, 1) = 4.794446136947305, (571, 2) = -1.0758997975146558, (571, 3) = .4818629801177342, (572, 1) = 4.792162456012591, (572, 2) = -1.0748783820435803, (572, 3) = .4801109588851472, (573, 1) = 4.789872995722275, (573, 2) = -1.0738571369414804, (573, 3) = .4783634353508765, (574, 1) = 4.787577684026962, (574, 2) = -1.0728360399064998, (574, 3) = .4766203635067306, (575, 1) = 4.785276447910554, (575, 2) = -1.0718150684995973, (575, 3) = .4748816978262849, (576, 1) = 4.782969213418947, (576, 2) = -1.0707942001618105, (576, 3) = .4731473926859486, (577, 1) = 4.780655905420676, (577, 2) = -1.0697734121131206, (577, 3) = .4714174021755683, (578, 1) = 4.778336447965614, (578, 2) = -1.068752681515903, (578, 3) = .46969168170315917, (579, 1) = 4.776010764663815, (579, 2) = -1.0677319856445924, (579, 3) = .46797018587849143, (580, 1) = 4.773678778054828, (580, 2) = -1.066711301611404, (580, 3) = .4662528707147838, (581, 1) = 4.7713404086262505, (581, 2) = -1.065690605943627, (581, 3) = .4645396904063891, (582, 1) = 4.768995576295461, (582, 2) = -1.0646698752387225, (582, 3) = .46283060115610464, (583, 1) = 4.76664419966073, (583, 2) = -1.063649085841763, (583, 3) = .4611255572072173, (584, 1) = 4.764286196766824, (584, 2) = -1.062628214183021, (584, 3) = .45942451500463477, (585, 1) = 4.761921484528423, (585, 2) = -1.0616072365313745, (585, 3) = .4577274301663115, (586, 1) = 4.759549978526042, (586, 2) = -1.0605861289119867, (586, 3) = .4560342585511047, (587, 1) = 4.75717159306046, (587, 2) = -1.0595648671362683, (587, 3) = .4543449561874087, (588, 1) = 4.7547862411260375, (588, 2) = -1.058543426796752, (588, 3) = .45265947920028377, (589, 1) = 4.75239383514906, (589, 2) = -1.0575217835883979, (589, 3) = .45097778361086377, (590, 1) = 4.749994286063963, (590, 2) = -1.0564999129178023, (590, 3) = .44929982614614006, (591, 1) = 4.747587504090144, (591, 2) = -1.0554777902401624, (591, 3) = .44762556374305723, (592, 1) = 4.745173396891912, (592, 2) = -1.054455390284005, (592, 3) = .44595495231201243, (593, 1) = 4.742751871265924, (593, 2) = -1.0534326877765874, (593, 3) = .44428794812958095, (594, 1) = 4.740322833089743, (594, 2) = -1.0524096574260733, (594, 3) = .4426245083461538, (595, 1) = 4.737886186712216, (595, 2) = -1.0513862736699509, (595, 3) = .4409645899330134, (596, 1) = 4.735441835016926, (596, 2) = -1.050362510709247, (596, 3) = .439308149210596, (597, 1) = 4.732989679246897, (597, 2) = -1.0493383424427007, (597, 3) = .4376551432697566, (598, 1) = 4.730529619919304, (598, 2) = -1.0483137428554885, (598, 3) = .4360055291272672, (599, 1) = 4.7280615558189885, (599, 2) = -1.0472886856047652, (599, 3) = .43435926422267684, (600, 1) = 4.725585384172092, (600, 2) = -1.0462631441002774, (600, 3) = .43271630552468804, (601, 1) = 4.723101000846174, (601, 2) = -1.0452370915947014, (601, 3) = .43107661063709424, (602, 1) = 4.720608299846379, (602, 2) = -1.0442105009830505, (602, 3) = .42944013632220535, (603, 1) = 4.7181071734789235, (603, 2) = -1.0431833448792789, (603, 3) = .427806840027143, (604, 1) = 4.715597512678595, (604, 2) = -1.0421555957587811, (604, 3) = .4261766788966534, (605, 1) = 4.713079206676932, (605, 2) = -1.0411272258297581, (605, 3) = .42454961041671285, (606, 1) = 4.710552142700637, (606, 2) = -1.0400982069191844, (606, 3) = .4229255915785943, (607, 1) = 4.708016206990787, (607, 2) = -1.0390685108963915, (607, 3) = .4213045803449645, (608, 1) = 4.705471283840152, (608, 2) = -1.0380381092882736, (608, 3) = .41968653417541935, (609, 1) = 4.702917255566337, (609, 2) = -1.0370069732784561, (609, 3) = .4180714102332335, (610, 1) = 4.700354002187005, (610, 2) = -1.0359750735868702, (610, 3) = .4164591660939506, (611, 1) = 4.697781402456478, (611, 2) = -1.034942380897285, (611, 3) = .41484975926062534, (612, 1) = 4.695199334006366, (612, 2) = -1.033908865919515, (612, 3) = .41324314740678336, (613, 1) = 4.692607670945548, (613, 2) = -1.032874498438152, (613, 3) = .41163928803371547, (614, 1) = 4.690006285995051, (614, 2) = -1.0318392481799594, (614, 3) = .41003813824050683, (615, 1) = 4.68739504953274, (615, 2) = -1.0308030844420768, (615, 3) = .40843965524145487, (616, 1) = 4.684773830563972, (616, 2) = -1.0297659764877358, (616, 3) = .40684379706681656, (617, 1) = 4.682142495831491, (617, 2) = -1.0287278932022554, (617, 3) = .40525052068242357, (618, 1) = 4.679500909358776, (618, 2) = -1.0276888029254394, (618, 3) = .4036597839816006, (619, 1) = 4.676848933069881, (619, 2) = -1.0266486737086973, (619, 3) = .40207154305081183, (620, 1) = 4.674186426598336, (620, 2) = -1.0256074732512555, (620, 3) = .4004857561018065, (621, 1) = 4.671513248137051, (621, 2) = -1.0245651692429478, (621, 3) = .39890237999061817, (622, 1) = 4.66882925370679, (622, 2) = -1.0235217290872964, (622, 3) = .3973213727516649, (623, 1) = 4.666134295037888, (623, 2) = -1.0224771190928728, (623, 3) = .39574269054023314, (624, 1) = 4.6634282225833905, (624, 2) = -1.0214313056594524, (624, 3) = .3941662909252085, (625, 1) = 4.660710884333192, (625, 2) = -1.0203842548278554, (625, 3) = .3925921305480207, (626, 1) = 4.657982124678503, (626, 2) = -1.0193359318572655, (626, 3) = .39102016609596435, (627, 1) = 4.6552417858733195, (627, 2) = -1.0182863018036161, (627, 3) = .38945035408136863, (628, 1) = 4.652489708186453, (628, 2) = -1.0172353295885903, (628, 3) = .38788265164852076, (629, 1) = 4.649725728706799, (629, 2) = -1.016182979555637, (629, 3) = .38631701519243644, (630, 1) = 4.6469496816334255, (630, 2) = -1.0151292155969511, (630, 3) = .3847534012523285, (631, 1) = 4.644161397873893, (631, 2) = -1.0140740010170868, (631, 3) = .38319176600837995, (632, 1) = 4.641360706975177, (632, 2) = -1.0130172992780733, (632, 3) = .3816320666479841, (633, 1) = 4.638547434099148, (633, 2) = -1.0119590728701264, (633, 3) = .3800742590318276, (634, 1) = 4.635721399914518, (634, 2) = -1.0108992832951607, (634, 3) = .3785182980234008, (635, 1) = 4.632882422976244, (635, 2) = -1.0098378919796258, (635, 3) = .3769641399055751, (636, 1) = 4.630030319423796, (636, 2) = -1.008774860173219, (636, 3) = .37541173992860905, (637, 1) = 4.627164901517893, (637, 2) = -1.0077101484187614, (637, 3) = .3738610541151818, (638, 1) = 4.624285977704805, (638, 2) = -1.0066437165971396, (638, 3) = .37231203739053564, (639, 1) = 4.621393353899841, (639, 2) = -1.0055755244213214, (639, 3) = .37076464521690655, (640, 1) = 4.618486832974922, (640, 2) = -1.0045055312614988, (640, 3) = .36921883332549327, (641, 1) = 4.615566212223373, (641, 2) = -1.00343369523255, (641, 3) = .3676745558899009, (642, 1) = 4.612631284622865, (642, 2) = -1.002359973686355, (642, 3) = .3661317670901597, (643, 1) = 4.609681840512344, (643, 2) = -1.0012843238461777, (643, 3) = .3645904211959986, (644, 1) = 4.606717666118617, (644, 2) = -1.0002067022860377, (644, 3) = .3630504722856455, (645, 1) = 4.603738543345765, (645, 2) = -.9991270648771922, (645, 3) = .36151187400583784, (646, 1) = 4.600744250889638, (646, 2) = -.9980453672140247, (646, 3) = .3599745807343555, (647, 1) = 4.597734562693222, (647, 2) = -.9969615640762607, (647, 3) = .3584385456542112, (648, 1) = 4.5947092477348415, (648, 2) = -.9958756093795265, (648, 3) = .3569037219737876, (649, 1) = 4.59166807216388, (649, 2) = -.9947874569660199, (649, 3) = .3553700629458197, (650, 1) = 4.588610795439689, (650, 2) = -.9936970592451512, (650, 3) = .35383752121737255, (651, 1) = 4.585537171276824, (651, 2) = -.9926043675667784, (651, 3) = .35230604837052665, (652, 1) = 4.582446949936367, (652, 2) = -.9915093330641961, (652, 3) = .35077559565649147, (653, 1) = 4.579339877428528, (653, 2) = -.9904119063922233, (653, 3) = .3492461159749307, (654, 1) = 4.5762156936844, (654, 2) = -.9893120371084814, (654, 3) = .34771756006282023, (655, 1) = 4.57307413440933, (655, 2) = -.9882096743571737, (655, 3) = .34618987944553165, (656, 1) = 4.569914929512208, (656, 2) = -.9871047663445133, (656, 3) = .3446630248734656, (657, 1) = 4.5667378036574435, (657, 2) = -.9859972605638155, (657, 3) = .34313694750720164, (658, 1) = 4.563542474041792, (658, 2) = -.9848871030542772, (658, 3) = .3416115962839976, (659, 1) = 4.560328651520651, (659, 2) = -.983774238833183, (659, 3) = .340086920763218, (660, 1) = 4.557096042185125, (660, 2) = -.9826586124756679, (660, 3) = .3385628695845606, (661, 1) = 4.553844345654815, (661, 2) = -.9815401675559052, (661, 3) = .3370393920507721, (662, 1) = 4.5505732561803995, (662, 2) = -.9804188470617862, (662, 3) = .3355164362398603, (663, 1) = 4.547282460346926, (663, 2) = -.9792945926427001, (663, 3) = .3339939503820464, (664, 1) = 4.54397163905121, (664, 2) = -.9781673453261645, (664, 3) = .33247188210037, (665, 1) = 4.540640466498021, (665, 2) = -.977037045210941, (665, 3) = .3309501793747751, (666, 1) = 4.53728860761188, (666, 2) = -.9759036306324845, (666, 3) = .32942878763764644, (667, 1) = 4.533915718854358, (667, 2) = -.9747670384922008, (667, 3) = .3279076530233997, (668, 1) = 4.530521450981398, (668, 2) = -.9736272052315245, (668, 3) = .3263867199645893, (669, 1) = 4.527105446697613, (669, 2) = -.9724840660821179, (669, 3) = .32486593379225154, (670, 1) = 4.523667341761385, (670, 2) = -.9713375554813892, (670, 3) = .3233452395949766, (671, 1) = 4.520206762543884, (671, 2) = -.9701876063041287, (671, 3) = .321824580834202, (672, 1) = 4.516723329314938, (672, 2) = -.9690341510044512, (672, 3) = .32030390240467405, (673, 1) = 4.513216650509617, (673, 2) = -.9678771197641408, (673, 3) = .3187831459691093, (674, 1) = 4.509686324883459, (674, 2) = -.9667164412705831, (674, 3) = .3172622534034765, (675, 1) = 4.506131940723635, (675, 2) = -.9655520425170279, (675, 3) = .31574116533022295, (676, 1) = 4.5025565889419354, (676, 2) = -.9643849935190772, (676, 3) = .3142213083544336, (677, 1) = 4.498969601812808, (677, 2) = -.9632183757569802, (677, 3) = .3127066998382767, (678, 1) = 4.495374977108196, (678, 2) = -.9620535010117893, (678, 3) = .31119902376519126, (679, 1) = 4.49177304517857, (679, 2) = -.9608904801752594, (679, 3) = .30969839315582975, (680, 1) = 4.488163751600108, (680, 2) = -.9597292989679569, (680, 3) = .308204759977811, (681, 1) = 4.484547041473079, (681, 2) = -.9585699431545749, (681, 3) = .30671807473339513, (682, 1) = 4.480922859206395, (682, 2) = -.9574123984764116, (682, 3) = .30523829047507917, (683, 1) = 4.477291148282701, (683, 2) = -.9562566505790331, (683, 3) = .3037653580496793, (684, 1) = 4.473651852265853, (684, 2) = -.9551026853348764, (684, 3) = .30229923125787084, (685, 1) = 4.470004914259706, (685, 2) = -.9539504886703701, (685, 3) = .3008398625345934, (686, 1) = 4.466350276858042, (686, 2) = -.9528000465512231, (686, 3) = .29938720563262566, (687, 1) = 4.46268788213776, (687, 2) = -.9516513449814977, (687, 3) = .2979412142524651, (688, 1) = 4.459017671651897, (688, 2) = -.9505043700027324, (688, 3) = .29650184340690905, (689, 1) = 4.455339586422466, (689, 2) = -.9493591076929873, (689, 3) = .2950690464037152, (690, 1) = 4.451653566769467, (690, 2) = -.9482155441152639, (690, 3) = .29364277915875076, (691, 1) = 4.447959551914672, (691, 2) = -.9470736651974797, (691, 3) = .2922229962143444, (692, 1) = 4.444257481136114, (692, 2) = -.9459334570919163, (692, 3) = .2908096538446601, (693, 1) = 4.4405472932307335, (693, 2) = -.9447949060085631, (693, 3) = .28940270732257467, (694, 1) = 4.436828926426525, (694, 2) = -.9436579981893294, (694, 3) = .2880021135569981, (695, 1) = 4.433102318374752, (695, 2) = -.9425227199071354, (695, 3) = .2866078287900527, (696, 1) = 4.429367406142012, (696, 2) = -.9413890574650168, (696, 3) = .2852198106449612, (697, 1) = 4.42562412620207, (697, 2) = -.9402569971951833, (697, 3) = .2838380161338451, (698, 1) = 4.421872414305751, (698, 2) = -.9391265254214644, (698, 3) = .2824624030349877, (699, 1) = 4.418112204939574, (699, 2) = -.9379976282993263, (699, 3) = .281092929115949, (700, 1) = 4.414343432586721, (700, 2) = -.9368702921975812, (700, 3) = .2797295528266407, (701, 1) = 4.410566031235238, (701, 2) = -.9357445035503634, (701, 3) = .27837223254235327, (702, 1) = 4.406779934237029, (702, 2) = -.9346202488163006, (702, 3) = .27702092790556715, (703, 1) = 4.402985074298942, (703, 2) = -.9334975144775992, (703, 3) = .2756755973362154, (704, 1) = 4.399181383473677, (704, 2) = -.9323762870391464, (704, 3) = .27433620141541853, (705, 1) = 4.395368793150455, (705, 2) = -.9312565530275368, (705, 3) = .27300269927681053, (706, 1) = 4.391547233961953, (706, 2) = -.9301382989657446, (706, 3) = .27167505170791756, (707, 1) = 4.387716635119316, (707, 2) = -.9290215111818835, (707, 3) = .27035321870760626, (708, 1) = 4.383876925728146, (708, 2) = -.9279061761966266, (708, 3) = .2690371611646451, (709, 1) = 4.380028034393649, (709, 2) = -.9267922806079084, (709, 3) = .26772684004645564, (710, 1) = 4.376169889007855, (710, 2) = -.9256798110305745, (710, 3) = .26642221715269726, (711, 1) = 4.372302416739404, (711, 2) = -.92456875409545, (711, 3) = .26512325380593543, (712, 1) = 4.36842554402308, (712, 2) = -.9234590964483996, (712, 3) = .2638299119662046, (713, 1) = 4.364539196549093, (713, 2) = -.922350824749349, (713, 3) = .26254215419562676, (714, 1) = 4.360643299201855, (714, 2) = -.9212439256570341, (714, 3) = .2612599428879657, (715, 1) = 4.356737775299623, (715, 2) = -.9201383856165922, (715, 3) = .2599832407400665, (716, 1) = 4.352822547900551, (716, 2) = -.9190341912335768, (716, 3) = .25871201043750514, (717, 1) = 4.348897539568001, (717, 2) = -.9179313292076525, (717, 3) = .257446215679065, (718, 1) = 4.344962672063476, (718, 2) = -.91682978624754, (718, 3) = .2561858203386034, (719, 1) = 4.341017866334888, (719, 2) = -.9157295490700458, (719, 3) = .25493078759018045, (720, 1) = 4.337063042504462, (720, 2) = -.9146306043990902, (720, 3) = .2536810820475083, (721, 1) = 4.333098119856356, (721, 2) = -.9135329389646752, (721, 3) = .25243666814297794, (722, 1) = 4.329123016800313, (722, 2) = -.91243653949533, (722, 3) = .25119751042382427, (723, 1) = 4.325137650052712, (723, 2) = -.9113413924960934, (723, 3) = .2499635736270999, (724, 1) = 4.321141935850883, (724, 2) = -.9102474845871105, (724, 3) = .24873482295000837, (725, 1) = 4.317135789956326, (725, 2) = -.9091548025050419, (725, 3) = .24751122333642678, (726, 1) = 4.313119127226219, (726, 2) = -.9080633329873498, (726, 3) = .24629274098290763, (727, 1) = 4.309091861599773, (727, 2) = -.9069730627713007, (727, 3) = .24507934134427165, (728, 1) = 4.305053906084228, (728, 2) = -.905883978592901, (728, 3) = .24387099083721403, (729, 1) = 4.301005172740474, (729, 2) = -.9047960671858325, (729, 3) = .24266765593329662, (730, 1) = 4.296945572662466, (730, 2) = -.9037093152787529, (730, 3) = .241469302964214, (731, 1) = 4.292875015146987, (731, 2) = -.9026237093772064, (731, 3) = .24027589872054403, (732, 1) = 4.288793408713584, (732, 2) = -.901539236041117, (732, 3) = .23908741002244246, (733, 1) = 4.284700661441488, (733, 2) = -.9004558819757034, (733, 3) = .23790380432116237, (734, 1) = 4.280596680386528, (734, 2) = -.8993736338782012, (734, 3) = .23672504890540355, (735, 1) = 4.276481371565318, (735, 2) = -.8982924784367988, (735, 3) = .23555111160973063, (736, 1) = 4.272354639938854, (736, 2) = -.8972124023295013, (736, 3) = .23438196055936622, (737, 1) = 4.268216389395825, (737, 2) = -.8961333922229703, (737, 3) = .23321756357302423, (738, 1) = 4.264066522735779, (738, 2) = -.8950554347714239, (738, 3) = .23205788943030123, (739, 1) = 4.259904940888366, (739, 2) = -.8939785164182811, (739, 3) = .23090290600414845, (740, 1) = 4.255731543610144, (740, 2) = -.8929026235825535, (740, 3) = .22975258246759403, (741, 1) = 4.251546230273179, (741, 2) = -.8918277428646433, (741, 3) = .2286068874662668, (742, 1) = 4.247348899087184, (742, 2) = -.8907538608474889, (742, 3) = .22746579020434177, (743, 1) = 4.243139447080992, (743, 2) = -.8896809640954167, (743, 3) = .2263292602195561, (744, 1) = 4.2389177700833525, (744, 2) = -.8886090391528899, (744, 3) = .22519726718903363, (745, 1) = 4.234683762703364, (745, 2) = -.8875380725432584, (745, 3) = .2240697806106537, (746, 1) = 4.2304373183107105, (746, 2) = -.8864680507675444, (746, 3) = .22294677100711063, (747, 1) = 4.226178328338178, (747, 2) = -.8853989601335098, (747, 3) = .22182820793645858, (748, 1) = 4.221906682581536, (748, 2) = -.8843307868376312, (748, 3) = .22071406132459373, (749, 1) = 4.217622270497847, (749, 2) = -.883263517293549, (749, 3) = .21960430257733085, (750, 1) = 4.213324980227557, (750, 2) = -.882197137889263, (750, 3) = .2184989016702832, (751, 1) = 4.209014698563898, (751, 2) = -.8811316349836762, (751, 3) = .2173978293741074, (752, 1) = 4.204691310930284, (752, 2) = -.8800669949052085, (752, 3) = .21630105783588355, (753, 1) = 4.2003547013572256, (753, 2) = -.8790032039504116, (753, 3) = .21520855736891784, (754, 1) = 4.196004752459023, (754, 2) = -.8779402483826191, (754, 3) = .21412029989291623, (755, 1) = 4.1916413448216865, (755, 2) = -.8768781142876612, (755, 3) = .21303625679237964, (756, 1) = 4.187264356897167, (756, 2) = -.8758167875555287, (756, 3) = .21195639958887988, (757, 1) = 4.1828736667976925, (757, 2) = -.8747562543206368, (757, 3) = .21088070007149937, (758, 1) = 4.178469151154745, (758, 2) = -.8736965006870845, (758, 3) = .20980913086394645, (759, 1) = 4.174050685056209, (759, 2) = -.872637512718205, (759, 3) = .20874166365899552, (760, 1) = 4.169618142019554, (760, 2) = -.8715792764350312, (760, 3) = .2076782714763289, (761, 1) = 4.165171393964542, (761, 2) = -.8705217778147443, (761, 3) = .20661892619649458, (762, 1) = 4.160710311185497, (762, 2) = -.8694650027891551, (762, 3) = .20556360140884122, (763, 1) = 4.156234761825885, (763, 2) = -.8684089371260784, (763, 3) = .20451226958996227, (764, 1) = 4.151744611362526, (764, 2) = -.8673535663158561, (764, 3) = .20346490357462246, (765, 1) = 4.147239724869308, (765, 2) = -.8662988761101121, (765, 3) = .20242147640862562, (766, 1) = 4.142719965764393, (766, 2) = -.8652448522295627, (766, 3) = .20138196180887022, (767, 1) = 4.138185195689101, (767, 2) = -.8641914803410419, (767, 3) = .20034633299591817, (768, 1) = 4.133635274475915, (768, 2) = -.8631387460557522, (768, 3) = .19931456386206572, (769, 1) = 4.129070060115962, (769, 2) = -.8620866349275217, (769, 3) = .19828662815027667, (770, 1) = 4.124489408725845, (770, 2) = -.8610351324510525, (770, 3) = .19726249993808861, (771, 1) = 4.119893174108797, (771, 2) = -.8599842239677434, (771, 3) = .19624215315052945, (772, 1) = 4.1152812068308195, (772, 2) = -.8589338944636089, (772, 3) = .19522556165509586, (773, 1) = 4.110653356909363, (773, 2) = -.8578841291899797, (773, 3) = .19421269968935723, (774, 1) = 4.106009472519266, (774, 2) = -.8568349133715588, (774, 3) = .19320354205581655, (775, 1) = 4.101349399779727, (775, 2) = -.8557862321642148, (775, 3) = .19219806310401372, (776, 1) = 4.096672982715881, (776, 2) = -.8547380706529717, (776, 3) = .19119623789601276, (777, 1) = 4.091980063219799, (777, 2) = -.8536904138500117, (777, 3) = .1901980412584241, (778, 1) = 4.087270481010552, (778, 2) = -.852643246692655, (778, 3) = .18920344813928344, (779, 1) = 4.082544073279906, (779, 2) = -.851596553972013, (779, 3) = .18821243352785882, (780, 1) = 4.077800673371439, (780, 2) = -.8505503200507336, (780, 3) = .1872249723901165, (781, 1) = 4.0730401138256385, (781, 2) = -.8495045295448984, (781, 3) = .1862410402395237, (782, 1) = 4.068262225140251, (782, 2) = -.8484591670540823, (782, 3) = .18526061229715243, (783, 1) = 4.0634668354218535, (783, 2) = -.8474142170917822, (783, 3) = .1842836643461538, (784, 1) = 4.058653770339398, (784, 2) = -.8463696640830691, (784, 3) = .18331017190509555, (785, 1) = 4.053822853077089, (785, 2) = -.8453254923622789, (785, 3) = .1823401111724123, (786, 1) = 4.048973904285988, (786, 2) = -.8442816861706453, (786, 3) = .18137345798142446, (787, 1) = 4.044106741809378, (787, 2) = -.8432382296057185, (787, 3) = .1804101880007703, (788, 1) = 4.039221178988882, (788, 2) = -.8421951062697888, (788, 3) = .17945027745232037, (789, 1) = 4.034317027964498, (789, 2) = -.8411522999868294, (789, 3) = .17849370207517493, (790, 1) = 4.029394098618467, (790, 2) = -.8401097945815104, (790, 3) = .1775404385348832, (791, 1) = 4.024452198035067, (791, 2) = -.8390675737722817, (791, 3) = .17659046318086952, (792, 1) = 4.019491130444085, (792, 2) = -.8380256211686156, (792, 3) = .17564375233449184, (793, 1) = 4.014510697163388, (793, 2) = -.836983920268298, (793, 3) = .17470028307396762, (794, 1) = 4.009510696539857, (794, 2) = -.8359424544546232, (794, 3) = .17376003193649017, (795, 1) = 4.004490923745536, (795, 2) = -.8349012069638748, (795, 3) = .17282297561325174, (796, 1) = 3.999451168753123, (796, 2) = -.8338601604784965, (796, 3) = .17188909066437236, (797, 1) = 3.994391219744506, (797, 2) = -.8328192978459278, (797, 3) = .17095835404925533, (798, 1) = 3.9893108624117053, (798, 2) = -.8317786019401182, (798, 3) = .1700307427835771, (799, 1) = 3.984209879151734, (799, 2) = -.8307380555050103, (799, 3) = .16910623392657761, (800, 1) = 3.9790880489972236, (800, 2) = -.8296976411512607, (800, 3) = .1681848046774975, (801, 1) = 3.973945147545834, (801, 2) = -.8286573413530145, (801, 3) = .1672664324715234, (802, 1) = 3.968780946887587, (802, 2) = -.8276171384445604, (802, 3) = .16635109467090212, (803, 1) = 3.963595215457206, (803, 2) = -.8265770146022908, (803, 3) = .16543876869207677, (804, 1) = 3.958387715747184, (804, 2) = -.8255369514009927, (804, 3) = .1645294315841072, (805, 1) = 3.9531582076167386, (805, 2) = -.8244969304922323, (805, 3) = .1636230607987092, (806, 1) = 3.9479064481831734, (806, 2) = -.8234569335904777, (806, 3) = .16271963399122327, (807, 1) = 3.942632190656208, (807, 2) = -.8224169422517611, (807, 3) = .1618191290184416, (808, 1) = 3.937335184252098, (808, 2) = -.8213769378697409, (808, 3) = .16092152328256643, (809, 1) = 3.932015174106092, (809, 2) = -.8203369016718166, (809, 3) = .1600267947837309, (810, 1) = 3.926671901182188, (810, 2) = -.8192968147150921, (810, 3) = .1591349214311261, (811, 1) = 3.9213051021589287, (811, 2) = -.8182566578780882, (811, 3) = .15824588105927254, (812, 1) = 3.9159145069847683, (812, 2) = -.8172164114042351, (812, 3) = .1573596515956959, (813, 1) = 3.9104998417944774, (813, 2) = -.8161760554853719, (813, 3) = .1564762103369461, (814, 1) = 3.9050608297048632, (814, 2) = -.8151355704257189, (814, 3) = .15559553551136698, (815, 1) = 3.899597189163163, (815, 2) = -.8140949363366891, (815, 3) = .15471760542907656, (816, 1) = 3.894108633839686, (816, 2) = -.8130541331321075, (816, 3) = .15384239797268076, (817, 1) = 3.888594872518157, (817, 2) = -.8120131405234736, (817, 3) = .1529698913922924, (818, 1) = 3.8830556089825428, (818, 2) = -.8109719380150308, (818, 3) = .15210006398037154, (819, 1) = 3.8774905419019063, (819, 2) = -.8099305048989524, (819, 3) = .1512328941186944, (820, 1) = 3.8718993623844185, (820, 2) = -.8088888198177447, (820, 3) = .15036835929563866, (821, 1) = 3.866281756090561, (821, 2) = -.8078468611824647, (821, 3) = .14950643785642664, (822, 1) = 3.860637405356994, (822, 2) = -.8068046075823211, (822, 3) = .1486471078674995, (823, 1) = 3.8549659868932666, (823, 2) = -.8057620373716613, (823, 3) = .14779034793144238, (824, 1) = 3.849267171646213, (824, 2) = -.8047191286641101, (824, 3) = .1469361360758877, (825, 1) = 3.8435406246610793, (825, 2) = -.8036758593267134, (825, 3) = .1460844510651057, (826, 1) = 3.8377860049380663, (826, 2) = -.8026322069738399, (826, 3) = .14523527085067628, (827, 1) = 3.832002965286341, (827, 2) = -.8015881489612675, (827, 3) = .14438857403560398, (828, 1) = 3.8261911500001986, (828, 2) = -.800543661990392, (828, 3) = .14354433869206565, (829, 1) = 3.820350195806568, (829, 2) = -.7994987223076714, (829, 3) = .14270254283531622, (830, 1) = 3.8144797356790825, (830, 2) = -.7984533064086123, (830, 3) = .14186316477512687, (831, 1) = 3.808579395768804, (831, 2) = -.7974073905056122, (831, 3) = .14102618275281092, (832, 1) = 3.802648795209663, (832, 2) = -.7963609505168525, (832, 3) = .14019157532920887, (833, 1) = 3.79668754594047, (833, 2) = -.795313962058948, (833, 3) = .13935932072271845, (834, 1) = 3.7906952525209046, (834, 2) = -.7942664004393398, (834, 3) = .13852939726367153, (835, 1) = 3.784671511943884, (835, 2) = -.7932182406488627, (835, 3) = .13770178353649054, (836, 1) = 3.778615911445869, (836, 2) = -.7921694570092125, (836, 3) = .13687645722025152, (837, 1) = 3.7725280281275215, (837, 2) = -.7911200231423148, (837, 3) = .13605339608612332, (838, 1) = 3.766407434596251, (838, 2) = -.7900699129721676, (838, 3) = .13523257849296447, (839, 1) = 3.7602536951576524, (839, 2) = -.7890191000891039, (839, 3) = .13441398266517374, (840, 1) = 3.7540663654840207, (840, 2) = -.7879675577220208, (840, 3) = .13359758643520248, (841, 1) = 3.747844992383169, (841, 2) = -.7869152587290525, (841, 3) = .13278336826944415, (842, 1) = 3.741589113559276, (842, 2) = -.7858621755879269, (842, 3) = .1319713058669196, (843, 1) = 3.735298257368467, (843, 2) = -.7848082803865131, (843, 3) = .13116137739738576, (844, 1) = 3.7289719407720727, (844, 2) = -.7837535445146949, (844, 3) = .1303535608033329, (845, 1) = 3.722609667448519, (845, 2) = -.782697938392284, (845, 3) = .1295478328549466, (846, 1) = 3.7162109353869424, (846, 2) = -.7816414327676888, (846, 3) = .12874417195234347, (847, 1) = 3.709775232415469, (847, 2) = -.7805839980022324, (847, 3) = .12794255508591304, (848, 1) = 3.7033020356178223, (848, 2) = -.7795256040101818, (848, 3) = .12714296030562117, (849, 1) = 3.696790811028613, (849, 2) = -.7784662202467166, (849, 3) = .12634536510689742, (850, 1) = 3.69024101331797, (850, 2) = -.7774058156955531, (850, 3) = .12554974701869812, (851, 1) = 3.6836520854682595, (851, 2) = -.7763443588567197, (851, 3) = .12475608341147125, (852, 1) = 3.6770234568737328, (852, 2) = -.7752818174836223, (852, 3) = .12396435123088984, (853, 1) = 3.670354539738215, (853, 2) = -.7742181580583709, (853, 3) = .12317452710441468, (854, 1) = 3.663644738707032, (854, 2) = -.7731533473792167, (854, 3) = .12238658779260776, (855, 1) = 3.6568934458859568, (855, 2) = -.7720873518001669, (855, 3) = .12160051061191775, (856, 1) = 3.650100039836146, (856, 2) = -.7710201371174549, (856, 3) = .12081627209857197, (857, 1) = 3.6432638851659127, (857, 2) = -.7699516685537903, (857, 3) = .12003384874579508, (858, 1) = 3.636384332107975, (858, 2) = -.7688819107422202, (858, 3) = .1192532174865791, (859, 1) = 3.6294607160846093, (859, 2) = -.7678108277100569, (859, 3) = .11847435427589809, (860, 1) = 3.6224923559463766, (860, 2) = -.7667383826611992, (860, 3) = .11769723562062852, (861, 1) = 3.615478548427149, (861, 2) = -.7656645371889894, (861, 3) = .11692183650715554, (862, 1) = 3.6084185798296127, (862, 2) = -.7645892531329826, (862, 3) = .11614813288974211, (863, 1) = 3.6013117208122525, (863, 2) = -.7635124918261615, (863, 3) = .11537610046627349, (864, 1) = 3.594157224710308, (864, 2) = -.7624342138982272, (864, 3) = .11460571450090683, (865, 1) = 3.5869543269787156, (865, 2) = -.7613543792546068, (865, 3) = .11383695056364782, (866, 1) = 3.579702244614791, (866, 2) = -.7602729470550398, (866, 3) = .11306978361471377, (867, 1) = 3.5724001755621777, (867, 2) = -.7591898756920787, (867, 3) = .11230418869736684, (868, 1) = 3.565047297061133, (868, 2) = -.758105122617362, (868, 3) = .11154014036834671, (869, 1) = 3.5576427579137757, (869, 2) = -.7570186432852515, (869, 3) = .1107776124183156, (870, 1) = 3.5501856921022457, (870, 2) = -.7559303932410282, (870, 3) = .11001657837085493, (871, 1) = 3.542675213818972, (871, 2) = -.7548403274535482, (871, 3) = .10925701231380071, (872, 1) = 3.5351104147342407, (872, 2) = -.7537483999936534, (872, 3) = .10849888801898314, (873, 1) = 3.527490363220069, (873, 2) = -.7526545640056443, (873, 3) = .10774217903440737, (874, 1) = 3.519814103545111, (874, 2) = -.7515587716783168, (874, 3) = .10698685805002431, (875, 1) = 3.512080655039807, (875, 2) = -.7504609742156239, (875, 3) = .10623289830262458, (876, 1) = 3.504289010493605, (876, 2) = -.7493611217032186, (876, 3) = .10548027190635906, (877, 1) = 3.49643812597645, (877, 2) = -.7482591617823898, (877, 3) = .10472895017628636, (878, 1) = 3.488526936019927, (878, 2) = -.7471550419018939, (878, 3) = .10397890441347991, (879, 1) = 3.4805543496854603, (879, 2) = -.7460487088526041, (879, 3) = .10323010643859629, (880, 1) = 3.472519246199509, (880, 2) = -.7449401082614152, (880, 3) = .10248252674501648, (881, 1) = 3.4644204738462028, (881, 2) = -.7438291845516463, (881, 3) = .1017361365090223, (882, 1) = 3.456256848817235, (882, 2) = -.7427158809029898, (882, 3) = .1009909056981837, (883, 1) = 3.4480271540134524, (883, 2) = -.7416001392105535, (883, 3) = .10024680389511173, (884, 1) = 3.4397301373556206, (884, 2) = -.7404818999838102, (884, 3) = 0.9950380111047179e-1, (885, 1) = 3.431364498928781, (885, 2) = -.7393611007622033, (885, 3) = 0.9876186457587827e-1, (886, 1) = 3.4229289069055993, (886, 2) = -.7382376784138434, (886, 3) = 0.9802096277949934e-1, (887, 1) = 3.414421995971318, (887, 2) = -.7371115690486033, (887, 3) = 0.9728106296864222e-1, (888, 1) = 3.405842360425351, (888, 2) = -.7359827072406874, (888, 3) = 0.9654213288436571e-1, (889, 1) = 3.397188552557463, (889, 2) = -.7348510259722459, (889, 3) = 0.9580413911462261e-1, (890, 1) = 3.388459080958368, (890, 2) = -.7337164565766211, (890, 3) = 0.9506704843551804e-1, (891, 1) = 3.3796524087498083, (891, 2) = -.7325789286796657, (891, 3) = 0.9433082567067656e-1, (892, 1) = 3.370766951547103, (892, 2) = -.7314383701157663, (892, 3) = 0.9359543644651105e-1, (893, 1) = 3.361801061771162, (893, 2) = -.730294705118356, (893, 3) = 0.9286084384163848e-1, (894, 1) = 3.352753043671116, (894, 2) = -.7291478564670484, (894, 3) = 0.9212701053783952e-1, (895, 1) = 3.343621156301864, (895, 2) = -.7279977460505542, (895, 3) = 0.9139389967448751e-1, (896, 1) = 3.3344036026543677, (896, 2) = -.7268442936884701, (896, 3) = 0.9066147324732261e-1, (897, 1) = 3.325098527197197, (897, 2) = -.7256874170487188, (897, 3) = 0.8992969255026755e-1, (898, 1) = 3.315704013312761, (898, 2) = -.7245270315646876, (898, 3) = 0.8919851823308621e-1, (899, 1) = 3.3062180805949137, (899, 2) = -.7233630503486789, (899, 3) = 0.8846790989934693e-1, (900, 1) = 3.2966386819555806, (900, 2) = -.7221953840962092, (900, 3) = 0.8773782646673381e-1, (901, 1) = 3.286963685146219, (901, 2) = -.721023939124689, (901, 3) = 0.8700822461654628e-1, (902, 1) = 3.2771908837111887, (902, 2) = -.7198486190312461, (902, 3) = 0.8627905999346107e-1, (903, 1) = 3.267318008218975, (903, 2) = -.7186693263314036, (903, 3) = 0.8555028829938961e-1, (904, 1) = 3.257342709055872, (904, 2) = -.7174859606820034, (904, 3) = 0.848218642230355e-1, (905, 1) = 3.2472625525606866, (905, 2) = -.7162984187561912, (905, 3) = 0.8409374128541197e-1, (906, 1) = 3.2370750169808176, (906, 2) = -.7151065941182221, (906, 3) = 0.833658717689809e-1, (907, 1) = 3.2267774881801405, (907, 2) = -.7139103770912567, (907, 3) = 0.8263820685784484e-1, (908, 1) = 3.2163672550345086, (908, 2) = -.7127096546124335, (908, 3) = 0.8191069627950892e-1, (909, 1) = 3.205841487943343, (909, 2) = -.7115043081864374, (909, 3) = 0.8118328722327318e-1, (910, 1) = 3.1951972410364022, (910, 2) = -.7102942146323363, (910, 3) = 0.8045592507144979e-1, (911, 1) = 3.184431476619831, (911, 2) = -.7090792493230282, (911, 3) = 0.797285552652513e-1, (912, 1) = 3.1735410382913387, (912, 2) = -.7078592835767195, (912, 3) = 0.7900112095631952e-1, (913, 1) = 3.1625226444407692, (913, 2) = -.7066341844437944, (913, 3) = 0.7827356465301667e-1, (914, 1) = 3.1513728815679123, (914, 2) = -.7054038145097162, (914, 3) = 0.7754582621944497e-1, (915, 1) = 3.1400881971334833, (915, 2) = -.7041680316845084, (915, 3) = 0.7681784391890875e-1, (916, 1) = 3.128664891856846, (916, 2) = -.7029266889727046, (916, 3) = 0.7608955452032878e-1, (917, 1) = 3.1170990935296485, (917, 2) = -.7016796323018012, (917, 3) = 0.7536089116823387e-1, (918, 1) = 3.1053867448429355, (918, 2) = -.700426699982318, (918, 3) = 0.7463178318472773e-1, (919, 1) = 3.093523646068882, (919, 2) = -.6991677280345898, (919, 3) = 0.7390216038277089e-1, (920, 1) = 3.0815054143600267, (920, 2) = -.6979025465616095, (920, 3) = 0.731719497352456e-1, (921, 1) = 3.069327471786196, (921, 2) = -.6966309793252394, (921, 3) = 0.7244107541660433e-1, (922, 1) = 3.0569850336448483, (922, 2) = -.695352843420019, (922, 3) = 0.7170945920298595e-1, (923, 1) = 3.04447309583675, (923, 2) = -.6940679489204847, (923, 3) = 0.7097702003065773e-1, (924, 1) = 3.031786421182951, (924, 2) = -.6927760984962691, (924, 3) = 0.7024367347095614e-1, (925, 1) = 3.0189195051273985, (925, 2) = -.6914770850369469, (925, 3) = 0.6950933087878036e-1, (926, 1) = 3.005866538910731, (926, 2) = -.6901706892165655, (926, 3) = 0.6877389758724671e-1, (927, 1) = 2.9926214774001014, (927, 2) = -.6888566876031296, (927, 3) = 0.6803727843660153e-1, (928, 1) = 2.9791779775908465, (928, 2) = -.6875348477661639, (928, 3) = 0.6729937388785323e-1, (929, 1) = 2.9655293749487974, (929, 2) = -.6862049273955008, (929, 3) = 0.6656008074223471e-1, (930, 1) = 2.9516686614427847, (930, 2) = -.6848666737268071, (930, 3) = 0.6581929077388374e-1, (931, 1) = 2.937588461548715, (931, 2) = -.6835198229121776, (931, 3) = 0.650768911269547e-1, (932, 1) = 2.9232810060220853, (932, 2) = -.6821640993324065, (932, 3) = 0.6433276418908823e-1, (933, 1) = 2.908738081884897, (933, 2) = -.680799212855363, (933, 3) = 0.6358678508741623e-1, (934, 1) = 2.8939509496344984, (934, 2) = -.6794248533644707, (934, 3) = 0.6283881981362337e-1, (935, 1) = 2.878942014731358, (935, 2) = -.6780435935558053, (935, 3) = 0.62090292218852206e-1, (936, 1) = 2.863814697285353, (936, 2) = -.6766652670676123, (936, 3) = 0.61346509102096325e-1, (937, 1) = 2.848705819719916, (937, 2) = -.6753023261119279, (937, 3) = 0.6061409723568671e-1, (938, 1) = 2.833627223272698, (938, 2) = -.6739556239437225, (938, 3) = 0.59893385869781796e-1, (939, 1) = 2.8185785478891803, (939, 2) = -.6726249022282895, (939, 3) = 0.5918409146413624e-1, (940, 1) = 2.803559439220781, (940, 2) = -.6713099086942074, (940, 3) = 0.58485954990952736e-1, (941, 1) = 2.7885695484913553, (941, 2) = -.6700103969535767, (941, 3) = 0.577987093747857e-1, (942, 1) = 2.773608532367641, (942, 2) = -.6687261263290604, (942, 3) = 0.57122110299874004e-1, (943, 1) = 2.7586760528334895, (943, 2) = -.6674568616868563, (943, 3) = 0.5645590613930535e-1, (944, 1) = 2.743771777067778, (944, 2) = -.666202373275904, (944, 3) = 0.5579986671427102e-1, (945, 1) = 2.728895377325849, (945, 2) = -.6649624365725288, (945, 3) = 0.5515375440705102e-1, (946, 1) = 2.7140465308243495, (946, 2) = -.6637368321308308, (946, 3) = 0.54517352550127435e-1, (947, 1) = 2.699224919629365, (947, 2) = -.6625253454380425, (947, 3) = 0.5389043632432008e-1, (948, 1) = 2.6844302305477235, (948, 2) = -.6613277667751881, (948, 3) = 0.53272801492345985e-1, (949, 1) = 2.66966215502137, (949, 2) = -.6601438910822984, (949, 3) = 0.5266423536161382e-1, (950, 1) = 2.654920389024691, (950, 2) = -.6589735178285174, (950, 3) = 0.5206454527158678e-1, (951, 1) = 2.640204632964692, (951, 2) = -.6578164508863892, (951, 3) = 0.51473530149371796e-1, (952, 1) = 2.6255145915839457, (952, 2) = -.6566724984106584, (952, 3) = 0.5089100760087872e-1, (953, 1) = 2.610849973866199, (953, 2) = -.655541472720922, (953, 3) = 0.5031678714674483e-1, (954, 1) = 2.5962104929445555, (954, 2) = -.6544231901884516, (954, 3) = 0.49750696818367066e-1, (955, 1) = 2.5815958660121447, (955, 2) = -.6533174711265469, (955, 3) = 0.49192556054013965e-1, (956, 1) = 2.56700581423521, (956, 2) = -.6522241396847626, (956, 3) = 0.48642201892828314e-1, (957, 1) = 2.5524400626685075, (957, 2) = -.6511430237463823, (957, 3) = 0.4809946296053159e-1, (958, 1) = 2.5378983401729767, (958, 2) = -.6500739548294807, (958, 3) = 0.4756418560311417e-1, (959, 1) = 2.523380379335568, (959, 2) = -.6490167679909716, (959, 3) = 0.4703620697308848e-1, (960, 1) = 2.50888591639119, (960, 2) = -.6479713017339946, (960, 3) = 0.4651538128920525e-1, (961, 1) = 2.4944146911466936, (961, 2) = -.6469373979180505, (961, 3) = 0.4600155401206774e-1, (962, 1) = 2.4799664469068263, (962, 2) = -.6459149016722335, (962, 3) = 0.454945869556131e-1, (963, 1) = 2.4655409304021068, (963, 2) = -.6449036613110052, (963, 3) = 0.4499433336551988e-1, (964, 1) = 2.45113789171853, (964, 2) = -.6439035282528436, (964, 3) = 0.44500662410657546e-1, (965, 1) = 2.4367570842290918, (965, 2) = -.6429143569412377, (965, 3) = 0.440134339832693e-1, (966, 1) = 2.4223982645270223, (966, 2) = -.6419360047683672, (966, 3) = 0.4353252443491437e-1, (967, 1) = 2.408061192360721, (967, 2) = -.6409683320009335, (967, 3) = 0.43057800166021974e-1, (968, 1) = 2.393745630570306, (968, 2) = -.6400112017085083, (968, 3) = 0.4258914401578154e-1, (969, 1) = 2.3794513450257604, (969, 2) = -.6390644796938585, (969, 3) = 0.4212642851113986e-1, (970, 1) = 2.365178104566586, (970, 2) = -.638128034425626, (970, 3) = 0.4166954222686275e-1, (971, 1) = 2.350925680942963, (971, 2) = -.6372017369728363, (971, 3) = 0.4121836427881894e-1, (972, 1) = 2.336693848758339, (972, 2) = -.6362854609415951, (972, 3) = 0.40772788447681764e-1, (973, 1) = 2.3224823854134087, (973, 2) = -.6353790824134903, (973, 3) = 0.4033269947580916e-1, (974, 1) = 2.3082910710514626, (974, 2) = -.6344824798860332, (974, 3) = 0.39897996321900435e-1, (975, 1) = 2.294119688505028, (975, 2) = -.6335955342146764, (975, 3) = 0.3946856889402072e-1, (976, 1) = 2.2799680232438115, (976, 2) = -.632718128556743, (976, 3) = 0.3904432158499301e-1, (977, 1) = 2.265835863323851, (977, 2) = -.631850148316813, (977, 3) = 0.3862514879443178e-1, (978, 1) = 2.251722999337883, (978, 2) = -.6309914810939036, (978, 3) = 0.3821095961495499e-1, (979, 1) = 2.237629224366877, (979, 2) = -.6301420166299972, (979, 3) = 0.3780165326194434e-1, (980, 1) = 2.2235543339326957, (980, 2) = -.6293016467602516, (980, 3) = 0.3739714329452425e-1, (981, 1) = 2.2094981259518516, (981, 2) = -.6284702653644576, (981, 3) = 0.369973333259074e-1, (982, 1) = 2.1954604006903367, (982, 2) = -.6276477683200766, (982, 3) = 0.3660214056155373e-1, (983, 1) = 2.1814409607194944, (983, 2) = -.6268340534564387, (983, 3) = 0.3621147343713371e-1, (984, 1) = 2.1674396108728775, (984, 2) = -.6260290205104191, (984, 3) = 0.3582525270242603e-1, (985, 1) = 2.153456158204109, (985, 2) = -.6252325710831913, (985, 3) = 0.3544339058284972e-1, (986, 1) = 2.139490411945679, (986, 2) = -.6244446085983753, (986, 3) = 0.3506581233029351e-1, (987, 1) = 2.125542183468671, (987, 2) = -.623665038261178, (987, 3) = 0.3469243299247589e-1, (988, 1) = 2.111611286243382, (988, 2) = -.6228937670188528, (988, 3) = 0.34323181202043494e-1, (989, 1) = 2.0976975358008274, (989, 2) = -.6221307035220768, (989, 3) = 0.339579761641857e-1, (990, 1) = 2.0838007496950803, (990, 2) = -.6213757580875713, (990, 3) = 0.3359674989257737e-1, (991, 1) = 2.0699207474664454, (991, 2) = -.6206288426615711, (991, 3) = 0.33239424477355145e-1, (992, 1) = 2.0560573506054367, (992, 2) = -.619889870784472, (992, 3) = 0.32885935036489844e-1, (993, 1) = 2.042210382517535, (993, 2) = -.6191587575562613, (993, 3) = 0.3253620676685833e-1, (994, 1) = 2.0283796684887023, (994, 2) = -.6184354196030611, (994, 3) = 0.3219017786515743e-1, (995, 1) = 2.0145650356516382, (995, 2) = -.6177197750444032, (995, 3) = 0.31847776672809046e-1, (996, 1) = 2.000766312952763, (996, 2) = -.6170117434615465, (996, 3) = 0.31508944038078406e-1, (997, 1) = 1.9869833311198837, (997, 2) = -.6163112458664797, (997, 3) = 0.31173611145239453e-1, (998, 1) = 1.9732159226305632, (998, 2) = -.6156182046719093, (998, 3) = 0.3084172144217173e-1, (999, 1) = 1.959463921681136, (999, 2) = -.6149325436618822, (999, 3) = 0.305132088119141e-1, (1000, 1) = 1.945727164156378, (1000, 2) = -.6142541879633425, (1000, 3) = 0.30188018879246974e-1, (1001, 1) = 1.932005487599807, (1001, 2) = -.6135830640182763, (1001, 3) = 0.29866088643376452e-1, (1002, 1) = 1.9182987311845887, (1002, 2) = -.6129190995567414, (1002, 3) = 0.295473660136292e-1, (1003, 1) = 1.9046067356850473, (1003, 2) = -.6122622235704411, (1003, 3) = 0.2923178944262241e-1, (1004, 1) = 1.8909293434487524, (1004, 2) = -.6116123662871469, (1004, 3) = 0.2891931032150989e-1, (1005, 1) = 1.877266795271651, (1005, 2) = -.610969477731241, (1005, 3) = 0.28609878431032625e-1, (1006, 1) = 1.8637401691020319, (1006, 2) = -.6103391121992404, (1006, 3) = 0.28306153632851848e-1, (1007, 1) = 1.8504574360159747, (1007, 2) = -.609726007690624, (1007, 3) = 0.28010411058460645e-1, (1008, 1) = 1.8374333863604064, (1008, 2) = -.6091304803899124, (1008, 3) = 0.2772280774135571e-1, (1009, 1) = 1.8246584051706969, (1009, 2) = -.6085517314807694, (1009, 3) = 0.27442957575415757e-1, (1010, 1) = 1.8121232737520008, (1010, 2) = -.6079890063534745, (1010, 3) = 0.27170503760513928e-1, (1011, 1) = 1.7998192713196135, (1011, 2) = -.6074415970658215, (1011, 3) = 0.2690510506703167e-1, (1012, 1) = 1.7877381400677796, (1012, 2) = -.6069088386995339, (1012, 3) = 0.2664644918047834e-1, (1013, 1) = 1.775872053081982, (1013, 2) = -.6063901060514865, (1013, 3) = 0.2639423620483425e-1, (1014, 1) = 1.764213577274833, (1014, 2) = -.6058848102987133, (1014, 3) = 0.26148190870545287e-1, (1015, 1) = 1.7527556128327069, (1015, 2) = -.6053923948429779, (1015, 3) = 0.25908047715807944e-1, (1016, 1) = 1.7414914597037032, (1016, 2) = -.6049123367681186, (1016, 3) = 0.2567356306867752e-1, (1017, 1) = 1.7304147543091903, (1017, 2) = -.6044441427750465, (1017, 3) = 0.25444502143949898e-1, (1018, 1) = 1.7195194386174206, (1018, 2) = -.6039873466773344, (1018, 3) = 0.2522064977031316e-1, (1019, 1) = 1.7087997410461815, (1019, 2) = -.6035415075164069, (1019, 3) = 0.25001796129385082e-1, (1020, 1) = 1.6982501588249534, (1020, 2) = -.6031062078343202, (1020, 3) = 0.2478774971405075e-1, (1021, 1) = 1.687865441615835, (1021, 2) = -.602681052085796, (1021, 3) = 0.24578322667915792e-1, (1022, 1) = 1.6776405731266943, (1022, 2) = -.6022656650488237, (1022, 3) = 0.2437334381564275e-1, (1023, 1) = 1.6675707299694356, (1023, 2) = -.6018596893993652, (1023, 3) = 0.24172643842852712e-1, (1024, 1) = 1.6576513292916415, (1024, 2) = -.6014627869388894, (1024, 3) = 0.23976068714722132e-1, (1025, 1) = 1.6478779958204082, (1025, 2) = -.6010746365827556, (1025, 3) = 0.23783467119025136e-1, (1026, 1) = 1.63824654075293, (1026, 2) = -.6006949329068576, (1026, 3) = 0.23594701004174864e-1, (1027, 1) = 1.6287529513990386, (1027, 2) = -.600323385180238, (1027, 3) = 0.2340963284072283e-1, (1028, 1) = 1.619393381518348, (1028, 2) = -.5999597164693401, (1028, 3) = 0.23228138054540867e-1, (1029, 1) = 1.6101641422736608, (1029, 2) = -.5996036628066583, (1029, 3) = 0.23050092410981424e-1, (1030, 1) = 1.6010616925863972, (1030, 2) = -.5992549723740264, (1030, 3) = 0.22875383056944514e-1, (1031, 1) = 1.592082610522007, (1031, 2) = -.5989134040028197, (1031, 3) = 0.22703895936831087e-1, (1032, 1) = 1.5832236257078882, (1032, 2) = -.5985787280356306, (1032, 3) = 0.22535529345251566e-1, (1033, 1) = 1.5744816038466543, (1033, 2) = -.5982507253628784, (1033, 3) = 0.2237017943853047e-1, (1034, 1) = 1.5658535307170973, (1034, 2) = -.5979291864810723, (1034, 3) = 0.2220775397576689e-1, (1035, 1) = 1.5573365061745437, (1035, 2) = -.5976139109589449, (1035, 3) = 0.220481581613086e-1, (1036, 1) = 1.54892773850597, (1036, 2) = -.5973047069389591, (1036, 3) = 0.21891307231600494e-1, (1037, 1) = 1.540624539112239, (1037, 2) = -.5970013906711985, (1037, 3) = 0.217371149645374e-1, (1038, 1) = 1.5324243171832281, (1038, 2) = -.5967037860660811, (1038, 3) = 0.21585503691190548e-1, (1039, 1) = 1.5243245597723376, (1039, 2) = -.5964117237402221, (1039, 3) = 0.21436393773202157e-1, (1040, 1) = 1.516322852547812, (1040, 2) = -.5961250415521855, (1040, 3) = 0.2128971445718035e-1, (1041, 1) = 1.5084168749649607, (1041, 2) = -.5958435842105881, (1041, 3) = 0.21145392145834538e-1, (1042, 1) = 1.5006043872124437, (1042, 2) = -.5955672026074952, (1042, 3) = 0.21003362338980605e-1, (1043, 1) = 1.4928832265477794, (1043, 2) = -.5952957535061183, (1043, 3) = 0.20863557097890013e-1, (1044, 1) = 1.4852513038241335, (1044, 2) = -.5950290992471764, (1044, 3) = 0.20725916981873354e-1, (1045, 1) = 1.4777066002027244, (1045, 2) = -.5947671074726701, (1045, 3) = 0.20590379658515547e-1, (1046, 1) = 1.4702471640279673, (1046, 2) = -.5945096508656538, (1046, 3) = 0.20456890115600368e-1, (1047, 1) = 1.4628710972089765, (1047, 2) = -.594256606540631, (1047, 3) = 0.20325390124129764e-1, (1048, 1) = 1.455576567146166, (1048, 2) = -.594007856324529, (1048, 3) = 0.20195828872482047e-1, (1049, 1) = 1.4483618086779273, (1049, 2) = -.5937632866904438, (1049, 3) = 0.20068152902674132e-1, (1050, 1) = 1.441225112883574, (1050, 2) = -.5935227882523226, (1050, 3) = 0.19942315441000752e-1, (1051, 1) = 1.4341648247454164, (1051, 2) = -.5932862555733245, (1051, 3) = 0.19818266322122084e-1, (1052, 1) = 1.4271793409183786, (1052, 2) = -.5930535869845577, (1052, 3) = 0.19695962560357147e-1, (1053, 1) = 1.4202671076109925, (1053, 2) = -.5928246844137343, (1053, 3) = 0.19575357460493898e-1, (1054, 1) = 1.4134266185937303, (1054, 2) = -.5925994532239811, (1054, 3) = 0.1945641081883723e-1, (1055, 1) = 1.4066564062716413, (1055, 2) = -.5923778018316692, (1055, 3) = 0.19339079462963205e-1, (1056, 1) = 1.3999550469971458, (1056, 2) = -.5921596417994808, (1056, 3) = 0.1922332553944751e-1, (1057, 1) = 1.3933211673909474, (1057, 2) = -.5919448879588324, (1057, 3) = 0.19109108922313312e-1, (1058, 1) = 1.3867534344374342, (1058, 2) = -.5917334580073953, (1058, 3) = 0.1899639510508926e-1, (1059, 1) = 1.3802505539322136, (1059, 2) = -.5915252723865173, (1059, 3) = 0.18885145720159723e-1, (1060, 1) = 1.373811268997535, (1060, 2) = -.5913202541648631, (1060, 3) = 0.1877532875708174e-1, (1061, 1) = 1.3674343586678044, (1061, 2) = -.5911183289279666, (1061, 3) = 0.1866690898198643e-1, (1062, 1) = 1.3611186365532124, (1062, 2) = -.5909194246738427, (1062, 3) = 0.18559856008977665e-1, (1063, 1) = 1.3548629450628527, (1063, 2) = -.590723471573136, (1063, 3) = 0.18454136820412068e-1, (1064, 1) = 1.3486661565716354, (1064, 2) = -.5905304019527176, (1064, 3) = 0.18349722606493014e-1, (1065, 1) = 1.3425271817786144, (1065, 2) = -.590340150501969, (1065, 3) = 0.1824658298674314e-1, (1066, 1) = 1.3364449611782692, (1066, 2) = -.5901526539533305, (1066, 3) = 0.18144691160690268e-1, (1067, 1) = 1.330418463908194, (1067, 2) = -.5899678509984009, (1067, 3) = 0.18044017851062973e-1, (1068, 1) = 1.3244466867303353, (1068, 2) = -.589785682210711, (1068, 3) = 0.1794453869479366e-1, (1069, 1) = 1.318528653058179, (1069, 2) = -.5896060899721706, (1069, 3) = 0.17846225865407506e-1, (1070, 1) = 1.3126634120333305, (1070, 2) = -.5894290184032605, (1070, 3) = 0.1774905624817767e-1, (1071, 1) = 1.3068500347872725, (1071, 2) = -.5892544132109271, (1071, 3) = 0.17653003971459556e-1, (1072, 1) = 1.3010876132767915, (1072, 2) = -.5890822216178093, (1072, 3) = 0.17558047428343177e-1, (1073, 1) = 1.2953752691013718, (1073, 2) = -.5889123925895097, (1073, 3) = 0.17464161817948173e-1, (1074, 1) = 1.2897121464415628, (1074, 2) = -.588744876586464, (1074, 3) = 0.17371326905533033e-1, (1075, 1) = 1.284097411070556, (1075, 2) = -.5885796255014422, (1075, 3) = 0.17279519446612573e-1, (1076, 1) = 1.2785302496364883, (1076, 2) = -.5884165926068137, (1076, 3) = 0.1718872069891888e-1, (1077, 1) = 1.273009868975932, (1077, 2) = -.5882557325041603, (1077, 3) = 0.17098908594893977e-1, (1078, 1) = 1.2675354954594324, (1078, 2) = -.5880970010762907, (1078, 3) = 0.17010064999364072e-1, (1079, 1) = 1.262106372586945, (1079, 2) = -.5879403553901794, (1079, 3) = 0.16922169305007683e-1, (1080, 1) = 1.2567217586057782, (1080, 2) = -.5877857536033665, (1080, 3) = 0.16835204250096568e-1, (1081, 1) = 1.2513809349265232, (1081, 2) = -.587633155180745, (1081, 3) = 0.16749150567110987e-1, (1082, 1) = 1.2460832004926667, (1082, 2) = -.5874825207066171, (1082, 3) = 0.1666399230341272e-1, (1083, 1) = 1.2408278708286902, (1083, 2) = -.5873338118341292, (1083, 3) = 0.16579710689574267e-1, (1084, 1) = 1.235614277522801, (1084, 2) = -.587186991248351, (1084, 3) = 0.16496290675249856e-1, (1085, 1) = 1.2304417677314574, (1085, 2) = -.5870420226309061, (1085, 3) = 0.1641371479441852e-1, (1086, 1) = 1.225309703705169, (1086, 2) = -.5868988706261805, (1086, 3) = 0.1633196835117463e-1, (1087, 1) = 1.2202174612603551, (1087, 2) = -.5867575007791975, (1087, 3) = 0.16251035014388883e-1, (1088, 1) = 1.2151644268678785, (1088, 2) = -.5866178794370824, (1088, 3) = 0.16170901148596803e-1, (1089, 1) = 1.2101500052163587, (1089, 2) = -.5864799739405934, (1089, 3) = 0.16091550959138917e-1, (1090, 1) = 1.2051736149174277, (1090, 2) = -.5863437524864478, (1090, 3) = 0.16012971417141683e-1, (1091, 1) = 1.2002346875232588, (1091, 2) = -.5862091840834127, (1091, 3) = 0.15935147576179778e-1, (1092, 1) = 1.1953326671462086, (1092, 2) = -.5860762385258854, (1092, 3) = 0.15858067236383784e-1, (1093, 1) = 1.190467010094094, (1093, 2) = -.5859448863685247, (1093, 3) = 0.15781716322830566e-1, (1094, 1) = 1.1856371845198512, (1094, 2) = -.5858150989019488, (1094, 3) = 0.15706082815865167e-1, (1095, 1) = 1.1808426694677847, (1095, 2) = -.5856868481129038, (1095, 3) = 0.15631153695300902e-1, (1096, 1) = 1.1760829518567775, (1096, 2) = -.5855601065906806, (1096, 3) = 0.15556917395454603e-1, (1097, 1) = 1.1713575329759942, (1097, 2) = -.5854348476875737, (1097, 3) = 0.1548336100751126e-1, (1098, 1) = 1.16666592540606, (1098, 2) = -.5853110454229074, (1098, 3) = 0.15410474418867507e-1, (1099, 1) = 1.1620076519727596, (1099, 2) = -.5851886744428226, (1099, 3) = 0.15338245231225638e-1, (1100, 1) = 1.1573822454623663, (1100, 2) = -.5850677100010078, (1100, 3) = 0.1526666327668432e-1, (1101, 1) = 1.152789248348418, (1101, 2) = -.5849481279401552, (1101, 3) = 0.15195717058427717e-1, (1102, 1) = 1.148228212528394, (1102, 2) = -.5848299046741491, (1102, 3) = 0.15125397125547257e-1, (1103, 1) = 1.1436986987419775, (1103, 2) = -.584713017162452, (1103, 3) = 0.15055691706088222e-1, (1104, 1) = 1.1392002737068958, (1104, 2) = -.5845974428266415, (1104, 3) = 0.14986592455406424e-1, (1105, 1) = 1.1347325154686878, (1105, 2) = -.5844831596787085, (1105, 3) = 0.14918088152597146e-1, (1106, 1) = 1.1302950114125412, (1106, 2) = -.5843701462595186, (1106, 3) = 0.14850170427873665e-1, (1107, 1) = 1.1258873571390868, (1107, 2) = -.5842583816006632, (1107, 3) = 0.14782828960130985e-1, (1108, 1) = 1.121509156247935, (1108, 2) = -.5841478452101574, (1108, 3) = 0.14716055833978158e-1, (1109, 1) = 1.117160020129785, (1109, 2) = -.5840385170586482, (1109, 3) = 0.14649840918984592e-1, (1110, 1) = 1.1128395677654412, (1110, 2) = -.5839303775661464, (1110, 3) = 0.14584176450469324e-1, (1111, 1) = 1.108547425379023, (1111, 2) = -.5838234075854052, (1111, 3) = 0.14519052974481575e-1, (1112, 1) = 1.10428322387878, (1112, 2) = -.5837175883309272, (1112, 3) = 0.14454463509453633e-1, (1113, 1) = 1.1000466030608431, (1113, 2) = -.583612901476476, (1113, 3) = 0.1439039833604685e-1, (1114, 1) = 1.095837210590503, (1114, 2) = -.5835093291218788, (1114, 3) = 0.14326850927556317e-1, (1115, 1) = 1.0916547007967243, (1115, 2) = -.5834068537560336, (1115, 3) = 0.1426381212035793e-1, (1116, 1) = 1.0874987345052292, (1116, 2) = -.5833054582461353, (1116, 3) = 0.14201275796077356e-1, (1117, 1) = 1.0833689788780634, (1117, 2) = -.5832051258272604, (1117, 3) = 0.14139232974672171e-1, (1118, 1) = 1.0792651072580708, (1118, 2) = -.5831058400923339, (1118, 3) = 0.14077677718715972e-1, (1119, 1) = 1.0751867989635648, (1119, 2) = -.583007584981086, (1119, 3) = 0.14016601736750718e-1, (1120, 1) = 1.0711337371188225, (1120, 2) = -.5829103447222539, (1120, 3) = 0.13955998981192626e-1, (1121, 1) = 1.0671056117554198, (1121, 2) = -.5828141039028368, (1121, 3) = 0.13895861922033912e-1, (1122, 1) = 1.0631021196502002, (1122, 2) = -.5827188474581447, (1122, 3) = 0.13836184309744034e-1, (1123, 1) = 1.0591229630410917, (1123, 2) = -.5826245606355029, (1123, 3) = 0.13776959167637371e-1, (1124, 1) = 1.055167849496738, (1124, 2) = -.582531228986017, (1124, 3) = 0.1371818047980284e-1, (1125, 1) = 1.0512364917911174, (1125, 2) = -.5824388383566035, (1125, 3) = 0.13659841307191766e-1, (1126, 1) = 1.0473286077816875, (1126, 2) = -.582347374882295, (1126, 3) = 0.13601936318045073e-1, (1127, 1) = 1.043443920281506, (1127, 2) = -.5822568249785441, (1127, 3) = 0.13544458628824033e-1, (1128, 1) = 1.039582155320786, (1128, 2) = -.5821671752963962, (1128, 3) = 0.13487403238993117e-1, (1129, 1) = 1.0357430442123106, (1129, 2) = -.5820784127664714, (1129, 3) = 0.13430763354679177e-1, (1130, 1) = 1.0319263241436722, (1130, 2) = -.5819905246080318, (1130, 3) = 0.1337453410722805e-1, (1131, 1) = 1.028131736820034, (1131, 2) = -.5819034982931562, (1131, 3) = 0.13318709055604776e-1, (1132, 1) = 1.0243590283611408, (1132, 2) = -.5818173215403708, (1132, 3) = 0.13263283781016644e-1, (1133, 1) = 1.0206079492021842, (1133, 2) = -.581731982308468, (1133, 3) = 0.13208251496314844e-1, (1134, 1) = 1.0168782539972545, (1134, 2) = -.581647468790542, (1134, 3) = 0.13153608632127552e-1, (1135, 1) = 1.0131697015255423, (1135, 2) = -.5815637694081693, (1135, 3) = 0.13099348552713953e-1, (1136, 1) = 1.0094820533955284, (1136, 2) = -.5814808727787758, (1136, 3) = 0.13045467406121185e-1, (1137, 1) = 1.0058150751557315, (1137, 2) = -.5813987677375002, (1137, 3) = 0.12991958759060217e-1, (1138, 1) = 1.0021685375452043, (1138, 2) = -.5813174433616652, (1138, 3) = 0.1293881925808096e-1, (1139, 1) = .9985422150724486, (1139, 2) = -.5812368889353865, (1139, 3) = 0.12886043241706537e-1, (1140, 1) = .9949358859327685, (1140, 2) = -.5811570939445775, (1140, 3) = 0.1283362618784392e-1, (1141, 1) = .991349331929061, (1141, 2) = -.5810780480721126, (1141, 3) = 0.12781563283498798e-1, (1142, 1) = .987782338394534, (1142, 2) = -.5809997411931338, (1142, 3) = 0.12729850823264728e-1, (1143, 1) = .9842346941176248, (1143, 2) = -.5809221633704865, (1143, 3) = 0.12678483133619713e-1, (1144, 1) = .9807061904128982, (1144, 2) = -.5808453048316968, (1144, 3) = 0.1262745673687569e-1, (1145, 1) = .9771966215015844, (1145, 2) = -.5807691559748027, (1145, 3) = 0.12576767023450194e-1, (1146, 1) = .9737057861945164, (1146, 2) = -.5806937074021502, (1146, 3) = 0.12526410108935722e-1, (1147, 1) = .9702334864868738, (1147, 2) = -.5806189498870139, (1147, 3) = 0.12476381306131422e-1, (1148, 1) = .9667795274766444, (1148, 2) = -.5805448743693177, (1148, 3) = 0.12426676894745718e-1, (1149, 1) = .9633437173007249, (1149, 2) = -.5804714719518033, (1149, 3) = 0.12377292945877034e-1, (1150, 1) = .9599258670724756, (1150, 2) = -.5803987338963085, (1150, 3) = 0.1232822560769533e-1, (1151, 1) = .9565257908210462, (1151, 2) = -.5803266516201476, (1151, 3) = 0.12279470708141596e-1, (1152, 1) = .9531433048358353, (1152, 2) = -.5802552166800263, (1152, 3) = 0.1223102473463173e-1, (1153, 1) = .9497782275530798, (1153, 2) = -.5801844207676865, (1153, 3) = 0.12182883794030172e-1, (1154, 1) = .9464303814419002, (1154, 2) = -.5801142557474684, (1154, 3) = 0.12135044494705625e-1, (1155, 1) = .9430995917009867, (1155, 2) = -.5800447136265341, (1155, 3) = 0.12087502925674024e-1, (1156, 1) = .9397856861588811, (1156, 2) = -.5799757865507449, (1156, 3) = 0.1204025576638086e-1, (1157, 1) = .9364884952219663, (1157, 2) = -.5799074668015998, (1157, 3) = 0.11993299488882461e-1, (1158, 1) = .933207851823576, (1158, 2) = -.5798397467932549, (1158, 3) = 0.11946630958938319e-1, (1159, 1) = .9299435913745339, (1159, 2) = -.5797726190696225, (1159, 3) = 0.1190024611090895e-1, (1160, 1) = .926695551310391, (1160, 2) = -.5797060762932851, (1160, 3) = 0.11854142593850975e-1, (1161, 1) = .9234635706593411, (1161, 2) = -.5796401112350521, (1161, 3) = 0.11808316334843987e-1, (1162, 1) = .9202474919680367, (1162, 2) = -.579574716811611, (1162, 3) = 0.1176276458133202e-1, (1163, 1) = .9170471601572282, (1163, 2) = -.5795098860602318, (1163, 3) = 0.11717484229359284e-1, (1164, 1) = .9138624223912263, (1164, 2) = -.5794456121344536, (1164, 3) = 0.11672472112970199e-1, (1165, 1) = .9106931280352155, (1165, 2) = -.5793818883016155, (1165, 3) = 0.1162772535998303e-1, (1166, 1) = .9075391286134549, (1166, 2) = -.5793187079404496, (1166, 3) = 0.11583240442888526e-1, (1167, 1) = .9044002777686271, (1167, 2) = -.5792560645387397, (1167, 3) = 0.11539014902825318e-1, (1168, 1) = .901276430957812, (1168, 2) = -.5791939516857931, (1168, 3) = 0.11495045922202029e-1, (1169, 1) = .8981674448318506, (1169, 2) = -.5791323630588053, (1169, 3) = 0.11451330292885578e-1, (1170, 1) = .8950731790855527, (1170, 2) = -.5790712924581995, (1170, 3) = 0.11407865718935192e-1, (1171, 1) = .8919934955086325, (1171, 2) = -.5790107337872232, (1171, 3) = 0.11364648881455105e-1, (1172, 1) = .888928257816371, (1172, 2) = -.5789506810472436, (1172, 3) = 0.11321677545945133e-1, (1173, 1) = .8858773316143209, (1173, 2) = -.5788911283357323, (1173, 3) = 0.11278948652428044e-1, (1174, 1) = .8828405843637237, (1174, 2) = -.5788320698443132, (1174, 3) = 0.11236460383708987e-1, (1175, 1) = .8798178853478478, (1175, 2) = -.5787734998568468, (1175, 3) = 0.11194208826620875e-1, (1176, 1) = .8768091054752608, (1176, 2) = -.578715412744421, (1176, 3) = 0.11152192399139586e-1, (1177, 1) = .8738141165671429, (1177, 2) = -.5786578029505204, (1177, 3) = 0.1111040851851247e-1, (1178, 1) = .8708327930515278, (1178, 2) = -.5786006650225651, (1178, 3) = 0.1106885465486947e-1, (1179, 1) = .8678650112311441, (1179, 2) = -.5785439935964992, (1179, 3) = 0.11027527881681886e-1, (1180, 1) = .8649106490706222, (1180, 2) = -.5784877833915792, (1180, 3) = 0.10986426623808249e-1, (1181, 1) = .8619695861671, (1181, 2) = -.5784320292087202, (1181, 3) = 0.10945547941992373e-1, (1182, 1) = .8590417037214152, (1182, 2) = -.5783767259288948, (1182, 3) = 0.1090488972775082e-1, (1183, 1) = .8561268845100397, (1183, 2) = -.5783218685115669, (1183, 3) = 0.10864449853020187e-1, (1184, 1) = .8532250127638021, (1184, 2) = -.578267451991404, (1184, 3) = 0.10824225841739891e-1, (1185, 1) = .8503359734344303, (1185, 2) = -.5782134714636398, (1185, 3) = 0.1078421560071245e-1, (1186, 1) = .8474596536781404, (1186, 2) = -.5781599221109428, (1186, 3) = 0.1074441661719708e-1, (1187, 1) = .8445959423515466, (1187, 2) = -.5781067991928978, (1187, 3) = 0.1070482715484494e-1, (1188, 1) = .8417447297530674, (1188, 2) = -.5780540980402268, (1188, 3) = 0.1066544518642072e-1, (1189, 1) = .8389059075982844, (1189, 2) = -.5780018140534339, (1189, 3) = 0.10626267948825594e-1, (1190, 1) = .8360793689957944, (1190, 2) = -.5779499427014828, (1190, 3) = 0.10587294108779852e-1, (1191, 1) = .8332650084236563, (1191, 2) = -.5778984795204957, (1191, 3) = 0.10548521360437475e-1, (1192, 1) = .8304627216590553, (1192, 2) = -.5778474201116338, (1192, 3) = 0.10509947515896529e-1, (1193, 1) = .8276724050763496, (1193, 2) = -.5777967601275646, (1193, 3) = 0.10471570906870682e-1, (1194, 1) = .8248939568841958, (1194, 2) = -.5777464952942262, (1194, 3) = 0.10433389794031597e-1, (1195, 1) = .8221272768532777, (1195, 2) = -.5776966214049636, (1195, 3) = 0.10395401636081268e-1, (1196, 1) = .8193722660112024, (1196, 2) = -.5776471343141985, (1196, 3) = 0.10357604925017598e-1, (1197, 1) = .8166288266217138, (1197, 2) = -.5775980299362967, (1197, 3) = 0.10319997748244996e-1, (1198, 1) = .8138968621643337, (1198, 2) = -.5775493042444689, (1198, 3) = 0.10282578215471625e-1, (1199, 1) = .8111762773144776, (1199, 2) = -.577500953269694, (1199, 3) = 0.10245344450720567e-1, (1200, 1) = .8084669779051816, (1200, 2) = -.5774529730993342, (1200, 3) = 0.10208295012030138e-1, (1201, 1) = .8057688702945812, (1201, 2) = -.5774053598653042, (1201, 3) = 0.10171427611790008e-1, (1202, 1) = .8030818623346014, (1202, 2) = -.5773581097605966, (1202, 3) = 0.1013474109085064e-1, (1203, 1) = .8004058633290803, (1203, 2) = -.5773112190377696, (1203, 3) = 0.10098233288468157e-1, (1204, 1) = .7977407836825694, (1204, 2) = -.5772646840020763, (1204, 3) = 0.10061902827973479e-1, (1205, 1) = .7950865348826976, (1205, 2) = -.5772185010105199, (1205, 3) = 0.10025748021994347e-1, (1206, 1) = .792443029482911, (1206, 2) = -.5771726664709331, (1206, 3) = 0.9989766834444226e-2, (1207, 1) = .7898101810855964, (1207, 2) = -.5771271768410793, (1207, 3) = 0.9953957868203203e-2, (1208, 1) = .7871879043213503, (1208, 2) = -.5770820286276994, (1208, 3) = 0.9918320014942774e-2, (1209, 1) = .7845761143129325, (1209, 2) = -.5770372183767426, (1209, 3) = 0.9882850903453358e-2, (1210, 1) = .7819747273637054, (1210, 2) = -.5769927426847086, (1210, 3) = 0.9847549507004652e-2, (1211, 1) = .7793836611411493, (1211, 2) = -.5769485982011453, (1211, 3) = 0.981241407276801e-2, (1212, 1) = .7768028342807479, (1212, 2) = -.5769047816212775, (1212, 3) = 0.9777443267902123e-2, (1213, 1) = .7742321663709459, (1213, 2) = -.5768612896852123, (1213, 3) = 0.9742635334432486e-2, (1214, 1) = .7716715779384445, (1214, 2) = -.5768181191771663, (1214, 3) = 0.9707989046728328e-2, (1215, 1) = .7691209904337936, (1215, 2) = -.5767752669247069, (1215, 3) = 0.9673502742329405e-2, (1216, 1) = .7665803262171, (1216, 2) = -.5767327297980086, (1216, 3) = 0.9639175217435042e-2, (1217, 1) = .7640495081371521, (1217, 2) = -.5766905047023454, (1217, 3) = 0.960500474981049e-2, (1218, 1) = .7615284599353445, (1218, 2) = -.5766485885844298, (1218, 3) = 0.957099022445477e-2, (1219, 1) = .7590171066470316, (1219, 2) = -.5766069784385687, (1219, 3) = 0.9537130238235578e-2, (1220, 1) = .7565153741622654, (1220, 2) = -.576565671298833, (1220, 3) = 0.9503423047716144e-2, (1221, 1) = .7540231892128834, (1221, 2) = -.576524664238392, (1221, 3) = 0.9469867962429228e-2, (1222, 1) = .7515404793599192, (1222, 2) = -.5764839543688538, (1222, 3) = 0.9436462915819474e-2, (1223, 1) = .749067172981247, (1223, 2) = -.576443538839629, (1223, 3) = 0.9403207008586604e-2, (1224, 1) = .7466031992593261, (1224, 2) = -.576403414837299, (1224, 3) = 0.9370099353915697e-2, (1225, 1) = .7441484878675174, (1225, 2) = -.5763635795801088, (1225, 3) = 0.9337137894834716e-2, (1226, 1) = .7417029691314159, (1226, 2) = -.5763240303202459, (1226, 3) = 0.9304321799801164e-2, (1227, 1) = .7392665745981143, (1227, 2) = -.5762847643526249, (1227, 3) = 0.927164970248996e-2, (1228, 1) = .7368392365762706, (1228, 2) = -.5762457790069903, (1228, 3) = 0.9239120325008048e-2, (1229, 1) = .7344208881208886, (1229, 2) = -.5762070716472791, (1229, 3) = 0.9206732409626136e-2, (1230, 1) = .7320114630224849, (1230, 2) = -.5761686396710686, (1230, 3) = 0.9174485180580238e-2, (1231, 1) = .7296108957964393, (1231, 2) = -.5761304805090263, (1231, 3) = 0.9142376848100523e-2, (1232, 1) = .7272191216724491, (1232, 2) = -.5760925916243786, (1232, 3) = 0.9110406406636068e-2, (1233, 1) = .7248360763653081, (1233, 2) = -.5760549705089363, (1233, 3) = 0.9078573076608037e-2, (1234, 1) = .7224616960593556, (1234, 2) = -.5760176146825506, (1234, 3) = 0.9046875552315379e-2, (1235, 1) = .7200959180748272, (1235, 2) = -.5759805217032573, (1235, 3) = 0.9015312331805731e-2, (1236, 1) = .7177386804199135, (1236, 2) = -.5759436891598254, (1236, 3) = 0.8983882811061798e-2, (1237, 1) = .7153899217668418, (1237, 2) = -.5759071146710449, (1237, 3) = 0.8952585565160952e-2, (1238, 1) = .7130495814425167, (1238, 2) = -.575870795885253, (1238, 3) = 0.8921419711899704e-2, (1239, 1) = .7107175994193076, (1239, 2) = -.5758347304798679, (1239, 3) = 0.8890383758246155e-2, (1240, 1) = .7083939163059227, (1240, 2) = -.5757989161609338, (1240, 3) = 0.8859477026212077e-2, (1241, 1) = .7060784731841073, (1241, 2) = -.5757633506603022, (1241, 3) = 0.8828698499551462e-2, (1242, 1) = .7037712114690645, (1242, 2) = -.5757280317332346, (1242, 3) = 0.879804689199019e-2, (1243, 1) = .7014720736171216, (1243, 2) = -.5756929571689554, (1243, 3) = 0.876752136661881e-2, (1244, 1) = .6991810027147479, (1244, 2) = -.5756581247840034, (1244, 3) = 0.8737120687081951e-2, (1245, 1) = .6968979424411659, (1245, 2) = -.5756235324213724, (1245, 3) = 0.870684419701805e-2, (1246, 1) = .6946228370602345, (1246, 2) = -.5755891779501031, (1246, 3) = 0.8676690511567772e-2, (1247, 1) = .6923556314124445, (1247, 2) = -.5755550592648846, (1247, 3) = 0.8646659005850137e-2, (1248, 1) = .6900962709069925, (1248, 2) = -.575521174285661, (1248, 3) = 0.8616748661932247e-2, (1249, 1) = .6878447014092017, (1249, 2) = -.5754875209556827, (1249, 3) = 0.8586958272214045e-2, (1250, 1) = .6856008690194563, (1250, 2) = -.5754540972379824, (1250, 3) = 0.8557287065380812e-2, (1251, 1) = .6833647207784044, (1251, 2) = -.5754209011256437, (1251, 3) = 0.852773387096075e-2, (1252, 1) = .6811362043118298, (1252, 2) = -.5753879306362065, (1252, 3) = 0.8498298250799778e-2, (1253, 1) = .6789152677762916, (1253, 2) = -.5753551838105968, (1253, 3) = 0.8468978985529835e-2, (1254, 1) = .6767018598520539, (1254, 2) = -.575322658712782, (1254, 3) = 0.8439774972958338e-2, (1255, 1) = .6744959297361027, (1255, 2) = -.575290353429428, (1255, 3) = 0.8410685908955644e-2, (1256, 1) = .6722974271352407, (1256, 2) = -.5752582660695553, (1256, 3) = 0.838171026468016e-2, (1257, 1) = .6701063021917848, (1257, 2) = -.5752263947632317, (1257, 3) = 0.8352847463188167e-2, (1258, 1) = .6679225052151884, (1258, 2) = -.5751947376574748, (1258, 3) = 0.832409671499297e-2, (1259, 1) = .6657459873506175, (1259, 2) = -.5751632929257471, (1259, 3) = 0.8295457131291938e-2, (1260, 1) = .6635767002937719, (1260, 2) = -.5751320587635511, (1260, 3) = 0.8266927485082893e-2, (1261, 1) = .6614145962170305, (1261, 2) = -.57510103338714, (1261, 3) = 0.8238507579954004e-2, (1262, 1) = .6592596277632726, (1262, 2) = -.575070215033211, (1262, 3) = 0.8210196196524322e-2, (1263, 1) = .657111748039763, (1263, 2) = -.5750396019586099, (1263, 3) = 0.8181992550602238e-2, (1264, 1) = .6549709106121143, (1264, 2) = -.5750091924400391, (1264, 3) = 0.8153895886759873e-2, (1265, 1) = .6528370694580623, (1265, 2) = -.5749789847732006, (1265, 3) = 0.8125905615146338e-2, (1266, 1) = .6507101786791781, (1266, 2) = -.5749489772685433, (1266, 3) = 0.8098020232278829e-2, (1267, 1) = .6485901931063636, (1267, 2) = -.5749191682596465, (1267, 3) = 0.8070239926155956e-2, (1268, 1) = .6464770680949055, (1268, 2) = -.5748895561000856, (1268, 3) = 0.8042563261917773e-2, (1269, 1) = .6443707594293834, (1269, 2) = -.574860139161899, (1269, 3) = 0.8014989567640848e-2, (1270, 1) = .6422712233182536, (1270, 2) = -.5748309158353249, (1270, 3) = 0.7987518559239216e-2, (1271, 1) = .6401784163884761, (1271, 2) = -.5748018845285386, (1271, 3) = 0.7960148629075051e-2, (1272, 1) = .6380922956802146, (1272, 2) = -.5747730436674086, (1272, 3) = 0.79328798582907e-2, (1273, 1) = .6360128186203398, (1273, 2) = -.5747443916949428, (1273, 3) = 0.7905711022778598e-2, (1274, 1) = .6339399427361084, (1274, 2) = -.5747159270672016, (1274, 3) = 0.7878641498147638e-2, (1275, 1) = .6318736261773432, (1275, 2) = -.5746876482603269, (1275, 3) = 0.7851670630439749e-2, (1276, 1) = .6298138275989611, (1276, 2) = -.5746595537687212, (1276, 3) = 0.782479765785718e-2, (1277, 1) = .6277605060435298, (1277, 2) = -.5746316421032616, (1277, 3) = 0.7798022067577614e-2, (1278, 1) = .6257136209364933, (1278, 2) = -.5746039117910717, (1278, 3) = 0.7771342785835995e-2, (1279, 1) = .6236731320814426, (1279, 2) = -.5745763613752962, (1279, 3) = 0.7744759481255251e-2, (1280, 1) = .6216389996554471, (1280, 2) = -.574548989414881, (1280, 3) = 0.7718271382047474e-2, (1281, 1) = .6196111841954364, (1281, 2) = -.5745217944842321, (1281, 3) = 0.76918776745426775e-2, (1282, 1) = .6175896463312537, (1282, 2) = -.5744947751695065, (1282, 3) = 0.7665577893169617e-2, (1283, 1) = .6155743472092521, (1283, 2) = -.5744679300741503, (1283, 3) = 0.76393710651035725e-2, (1284, 1) = .6135652484671701, (1284, 2) = -.5744412578183866, (1284, 3) = 0.7613257005403169e-2, (1285, 1) = .6115623120936701, (1285, 2) = -.5744147570371789, (1285, 3) = 0.758723467565456e-2, (1286, 1) = .6095655004241314, (1286, 2) = -.5743884263800344, (1286, 3) = 0.75613033942812736e-2, (1287, 1) = .6075747761364644, (1287, 2) = -.5743622645108071, (1287, 3) = 0.7535462865939428e-2, (1288, 1) = .6055901022469871, (1288, 2) = -.5743362701075042, (1288, 3) = 0.7509712309707147e-2, (1289, 1) = .6036114421040958, (1289, 2) = -.5743104418620663, (1289, 3) = 0.7484051171310964e-2, (1290, 1) = .6016387591544183, (1290, 2) = -.5742847784771944, (1290, 3) = 0.7458478842712636e-2, (1291, 1) = .5996720172565969, (1291, 2) = -.5742592786703307, (1291, 3) = 0.7432994290945643e-2, (1292, 1) = .5977111807514615, (1292, 2) = -.5742339411744154, (1292, 3) = 0.7407597391538938e-2, (1293, 1) = .5957562142982876, (1293, 2) = -.5742087647356142, (1293, 3) = 0.7382287339962165e-2, (1294, 1) = .5938070828710703, (1294, 2) = -.5741837481131463, (1294, 3) = 0.7357063644589694e-2, (1295, 1) = .5918637517548128, (1295, 2) = -.5741588900791096, (1295, 3) = 0.7331925596902294e-2, (1296, 1) = .5899261865418716, (1296, 2) = -.5741341894183142, (1296, 3) = 0.73068729847876514e-2, (1297, 1) = .5879943531283507, (1297, 2) = -.5741096449281121, (1297, 3) = 0.7281904723707271e-2, (1298, 1) = .5860682175240985, (1298, 2) = -.5740852554158792, (1298, 3) = 0.7257020551744249e-2, (1299, 1) = .5841477460486655, (1299, 2) = -.5740610197014043, (1299, 3) = 0.723221986525543e-2, (1300, 1) = .5822329054982487, (1300, 2) = -.5740369366188668, (1300, 3) = 0.7207502096713237e-2, (1301, 1) = .5803236629586795, (1301, 2) = -.5740130050143437, (1301, 3) = 0.7182866577416784e-2, (1302, 1) = .5784199858021141, (1302, 2) = -.5739892237456559, (1302, 3) = 0.71583127847773265e-2, (1303, 1) = .5765218416837343, (1303, 2) = -.5739655916822174, (1303, 3) = 0.7133840527454833e-2, (1304, 1) = .5746291985384988, (1304, 2) = -.5739421077048841, (1304, 3) = 0.7109448856359824e-2, (1305, 1) = .5727420245779484, (1305, 2) = -.5739187707058098, (1305, 3) = 0.7085137275370343e-2, (1306, 1) = .5708602881453474, (1306, 2) = -.5738955795865558, (1306, 3) = 0.7060905589901641e-2, (1307, 1) = .5689839578023878, (1307, 2) = -.5738725332590796, (1307, 3) = 0.7036752729741134e-2, (1308, 1) = .5671130025792203, (1308, 2) = -.5738496306487026, (1308, 3) = 0.7012678838425253e-2, (1309, 1) = .5652473917713979, (1309, 2) = -.5738268706914856, (1309, 3) = 0.6988682798735324e-2, (1310, 1) = .5633870949355332, (1310, 2) = -.5738042523340858, (1310, 3) = 0.696476437526038e-2, (1311, 1) = .5615320818863546, (1311, 2) = -.5737817745336163, (1311, 3) = 0.6940923249830101e-2, (1312, 1) = .559682322693814, (1312, 2) = -.5737594362575164, (1312, 3) = 0.6917158647429433e-2, (1313, 1) = .5578377876802327, (1313, 2) = -.5737372364834238, (1313, 3) = 0.6893470205205909e-2, (1314, 1) = .5559984473121872, (1314, 2) = -.5737151741977838, (1314, 3) = 0.68698574007253765e-2, (1315, 1) = .5541642722040276, (1315, 2) = -.5736932483958208, (1315, 3) = 0.6846319646616393e-2, (1316, 1) = .5523352334209779, (1316, 2) = -.573671458085074, (1316, 3) = 0.6822856754191405e-2, (1317, 1) = .550511302275143, (1317, 2) = -.5736498022828419, (1317, 3) = 0.6799467794874302e-2, (1318, 1) = .5486924503171431, (1318, 2) = -.5736282800160021, (1318, 3) = 0.6776152930377633e-2, (1319, 1) = .5468786493334858, (1319, 2) = -.5736068903208844, (1319, 3) = 0.6752911174108599e-2, (1320, 1) = .5450698713439792, (1320, 2) = -.5735856322431613, (1320, 3) = 0.6729742285821688e-2, (1321, 1) = .543266088599179, (1321, 2) = -.5735645048377285, (1321, 3) = 0.67066455585933354e-2, (1322, 1) = .5414672735018017, (1322, 2) = -.5735435071677101, (1322, 3) = 0.668362112355595e-2, (1323, 1) = .5396733985491358, (1323, 2) = -.5735226383037157, (1323, 3) = 0.66606678446070305e-2, (1324, 1) = .5378844366641508, (1324, 2) = -.5735018973276246, (1324, 3) = 0.6637785471437138e-2, (1325, 1) = .5361003610029645, (1325, 2) = -.5734812833302413, (1325, 3) = 0.6614973785254016e-2, (1326, 1) = .5343211449400488, (1326, 2) = -.5734607954110419, (1326, 3) = 0.6592232188838593e-2, (1327, 1) = .532546762065869, (1327, 2) = -.5734404326780733, (1327, 3) = 0.6569560544673734e-2, (1328, 1) = .5307771861845735, (1328, 2) = -.5734201942478477, (1328, 3) = 0.654695811740038e-2, (1329, 1) = .5290123913117012, (1329, 2) = -.5734000792452398, (1329, 3) = 0.6524424256588981e-2, (1330, 1) = .527252351618974, (1330, 2) = -.5733800868027903, (1330, 3) = 0.6501959337943404e-2, (1331, 1) = .5254970413341968, (1331, 2) = -.5733602160595042, (1331, 3) = 0.6479561926161457e-2, (1332, 1) = .5237464350795807, (1332, 2) = -.5733404661646263, (1332, 3) = 0.64572324536303445e-2, (1333, 1) = .5220005077007696, (1333, 2) = -.5733208362756056, (1333, 3) = 0.6434969888658779e-2, (1334, 1) = .5202592342436756, (1334, 2) = -.5733013255577678, (1334, 3) = 0.6412774398785668e-2, (1335, 1) = .5185225899523683, (1335, 2) = -.5732819331842178, (1335, 3) = 0.6390645112393365e-2, (1336, 1) = .5167905502669967, (1336, 2) = -.5732626583357503, (1336, 3) = 0.6368581796026903e-2, (1337, 1) = .5150630908217282, (1337, 2) = -.5732435002007586, (1337, 3) = 0.6346584232027237e-2, (1338, 1) = .5133401874076926, (1338, 2) = -.5732244579747585, (1338, 3) = 0.63246516753360975e-2, (1339, 1) = .5116218158459948, (1339, 2) = -.5732055308589333, (1339, 3) = 0.6302784076630172e-2, (1340, 1) = .5099079523160774, (1340, 2) = -.5731867180636958, (1340, 3) = 0.6280980815784995e-2, (1341, 1) = .5081985732144444, (1341, 2) = -.5731680188070509, (1341, 3) = 0.6259241763883514e-2, (1342, 1) = .5064936551216199, (1342, 2) = -.5731494323141656, (1342, 3) = 0.6237566026865027e-2, (1343, 1) = .5047931748002501, (1343, 2) = -.5731309578172866, (1343, 3) = 0.6215953747223592e-2, (1344, 1) = .5030971091932277, (1344, 2) = -.5731125945556588, (1344, 3) = 0.619440476694711e-2, (1345, 1) = .5014054354218421, (1345, 2) = -.5730943417754409, (1345, 3) = 0.6172917974158696e-2, (1346, 1) = .4997181307624112, (1346, 2) = -.5730761987294014, (1346, 3) = 0.6151493344804927e-2, (1347, 1) = .4980351725055381, (1347, 2) = -.5730581646753513, (1347, 3) = 0.6130130643033301e-2, (1348, 1) = .49635653826036585, (1348, 2) = -.5730402388793623, (1348, 3) = 0.6108829294815874e-2, (1349, 1) = .494682205849519, (1349, 2) = -.5730224206145664, (1349, 3) = 0.6087589340201743e-2, (1350, 1) = .4930121532650103, (1350, 2) = -.5730047091606206, (1350, 3) = 0.6066409923909852e-2, (1351, 1) = .49134635866652193, (1351, 2) = -.5729871038036375, (1351, 3) = 0.6045290848484523e-2, (1352, 1) = .48968480037972084, (1352, 2) = -.5729696038361092, (1352, 3) = 0.6024231983156848e-2, (1353, 1) = .4880274568945852, (1353, 2) = -.5729522085568352, (1353, 3) = 0.6003232579480426e-2, (1354, 1) = .48637430685193395, (1354, 2) = -.5729349172707306, (1354, 3) = 0.5982293006226608e-2, (1355, 1) = .4847253288999255, (1355, 2) = -.5729177292872769, (1355, 3) = 0.5961412174500341e-2, (1356, 1) = .48308050196262103, (1356, 2) = -.5729006439232864, (1356, 3) = 0.5940590038562378e-2, (1357, 1) = .4814398051763105, (1357, 2) = -.5728836605021689, (1357, 3) = 0.5919826233939657e-2, (1358, 1) = .47980321783345836, (1358, 2) = -.5728667783532949, (1358, 3) = 0.5899120614289219e-2, (1359, 1) = .47817071938115635, (1359, 2) = -.5728499968119279, (1359, 3) = 0.5878472473853728e-2, (1360, 1) = .47654228941959703, (1360, 2) = -.5728333152191597, (1360, 3) = 0.5857882131770865e-2, (1361, 1) = .47491790770056136, (1361, 2) = -.5728167329218445, (1361, 3) = 0.5837348476389197e-2, (1362, 1) = .4732975541206186, (1362, 2) = -.5728002492724832, (1362, 3) = 0.5816871604074281e-2, (1363, 1) = .47168120858405516, (1363, 2) = -.5727838636277879, (1363, 3) = 0.5796451303522932e-2, (1364, 1) = .4700688512263239, (1364, 2) = -.5727675753509127, (1364, 3) = 0.5776086927999027e-2, (1365, 1) = .4684604623957792, (1365, 2) = -.5727513838112097, (1365, 3) = 0.57557786310720995e-2, (1366, 1) = .4668560225850026, (1366, 2) = -.5727352883834802, (1366, 3) = 0.5735525629795722e-2, (1367, 1) = .4652555124294005, (1367, 2) = -.5727192884479193, (1367, 3) = 0.571532794445162e-2, (1368, 1) = .46365891270582044, (1368, 2) = -.5727033833900536, (1368, 3) = 0.5695184813070916e-2, (1369, 1) = .4620662043311844, (1369, 2) = -.572687572600686, (1369, 3) = 0.567509661765394e-2, (1370, 1) = .46047736835961445, (1370, 2) = -.5726718554758199, (1370, 3) = 0.5655062614400375e-2, (1371, 1) = .45889238585944025, (1371, 2) = -.5726562314154096, (1371, 3) = 0.5635082624602539e-2, (1372, 1) = .457311238083942, (1372, 2) = -.5726406998250096, (1372, 3) = 0.5615156357397943e-2, (1373, 1) = .4557339065015658, (1373, 2) = -.5726252601160218, (1373, 3) = 0.5595283204370497e-2, (1374, 1) = .4541603727141553, (1374, 2) = -.5726099117048429, (1374, 3) = 0.55754633565445934e-2, (1375, 1) = .45259061845568205, (1375, 2) = -.5725946540128096, (1375, 3) = 0.5555696343259886e-2, (1376, 1) = .4510246255909879, (1376, 2) = -.5725794864661462, (1376, 3) = 0.5535981653204581e-2, (1377, 1) = .44946237611454476, (1377, 2) = -.5725644084959143, (1377, 3) = 0.5516319541916781e-2, (1378, 1) = .44790385214918477, (1378, 2) = -.5725494195379581, (1378, 3) = 0.5496709415274714e-2, (1379, 1) = .44634903584352, (1379, 2) = -.5725345190318842, (1379, 3) = 0.5477150658437051e-2, (1380, 1) = .4447979094839302, (1380, 2) = -.5725197064221106, (1380, 3) = 0.54576434577589825e-2, (1381, 1) = .4432504555755322, (1381, 2) = -.5725049811585924, (1381, 3) = 0.5438187465938241e-2, (1382, 1) = .44170665674700815, (1382, 2) = -.5724903426958662, (1382, 3) = 0.54187822299322e-2, (1383, 1) = .4401664957494519, (1383, 2) = -.5724757904930069, (1383, 3) = 0.5399427874186773e-2, (1384, 1) = .4386299554552252, (1384, 2) = -.5724613240135742, (1384, 3) = 0.5380123546330663e-2, (1385, 1) = .43709701885683033, (1385, 2) = -.5724469427255685, (1385, 3) = 0.5360869312414684e-2, (1386, 1) = .43556766906580235, (1386, 2) = -.5724326461013861, (1386, 3) = 0.534166500662067e-2, (1387, 1) = .43404188923313025, (1387, 2) = -.5724184336170397, (1387, 3) = 0.53225101371355355e-2, (1388, 1) = .43251966260300045, (1388, 2) = -.5724043047526367, (1388, 3) = 0.5303404467128098e-2, (1389, 1) = .43100097264087084, (1389, 2) = -.5723902589935312, (1389, 3) = 0.5284348128358778e-2, (1390, 1) = .4294858029273448, (1390, 2) = -.5723762958292933, (1390, 3) = 0.5265340304387959e-2, (1391, 1) = .4279741371565978, (1391, 2) = -.5723624147536637, (1391, 3) = 0.5246381063482287e-2, (1392, 1) = .42646595913533514, (1392, 2) = -.5723486152645079, (1392, 3) = 0.522747002188824e-2, (1393, 1) = .4249612527817654, (1393, 2) = -.5723348968637765, (1393, 3) = 0.5208607182496578e-2, (1394, 1) = .42346000212459023, (1394, 2) = -.5723212590574602, (1394, 3) = 0.5189791908898136e-2, (1395, 1) = .4219621912427086, (1395, 2) = -.5723077013550162, (1395, 3) = 0.517102436177432e-2, (1396, 1) = .42046780427303226, (1396, 2) = -.5722942232694119, (1396, 3) = 0.5152303792806408e-2, (1397, 1) = .4189768255707575, (1397, 2) = -.5722808243185442, (1397, 3) = 0.5133630629067164e-2, (1398, 1) = .4174892396001956, (1398, 2) = -.5722675040242095, (1398, 3) = 0.5115003943006493e-2, (1399, 1) = .4160050309311739, (1399, 2) = -.5722542619120442, (1399, 3) = 0.5096424030390013e-2, (1400, 1) = .4145241842380836, (1400, 2) = -.5722410975114834, (1400, 3) = 0.50778902345320785e-2, (1401, 1) = .4130466842989419, (1401, 2) = -.5722280103557246, (1401, 3) = 0.5059402624072586e-2, (1402, 1) = .41157251599447275, (1402, 2) = -.5722149999816872, (1402, 3) = 0.5040960718454004e-2, (1403, 1) = .4101016642636123, (1403, 2) = -.5722020659295944, (1403, 3) = 0.5022564713121746e-2, (1404, 1) = .4086341140765387, (1404, 2) = -.5721892077427145, (1404, 3) = 0.5004213945919482e-2, (1405, 1) = .4071698506138738, (1405, 2) = -.5721764249689048, (1405, 3) = 0.4985908150008983e-2, (1406, 1) = .4057088591614203, (1406, 2) = -.5721637171596518, (1406, 3) = 0.496764762911786e-2, (1407, 1) = .4042511251031413, (1407, 2) = -.5721510838699811, (1407, 3) = 0.49494316387188216e-2, (1408, 1) = .40279663392028997, (1408, 2) = -.5721385246584219, (1408, 3) = 0.49312598152185605e-2, (1409, 1) = .40134537119055197, (1409, 2) = -.572126039086974, (1409, 3) = 0.4913132890382324e-2, (1410, 1) = .3998973225872055, (1410, 2) = -.5721136267210696, (1410, 3) = 0.4895049614381287e-2, (1411, 1) = .3984524738473885, (1411, 2) = -.57210128712928, (1411, 3) = 0.4877010285812404e-2, (1412, 1) = .39701081072000066, (1412, 2) = -.5720890198828489, (1412, 3) = 0.4859014462151909e-2, (1413, 1) = .3955723191524524, (1413, 2) = -.5720768245572608, (1413, 3) = 0.4841062091400097e-2, (1414, 1) = .3941369851951964, (1414, 2) = -.5720647007313918, (1414, 3) = 0.4823152727879173e-2, (1415, 1) = .39270479499012, (1415, 2) = -.5720526479873871, (1415, 3) = 0.4805286553108091e-2, (1416, 1) = .39127573476974636, (1416, 2) = -.5720406659106261, (1416, 3) = 0.4787463070251022e-2, (1417, 1) = .3898497908564519, (1417, 2) = -.5720287540896942, (1417, 3) = 0.4769682098264305e-2, (1418, 1) = .3884269496616944, (1418, 2) = -.5720169121163484, (1418, 3) = 0.4751943398663412e-2, (1419, 1) = .38700719766438757, (1419, 2) = -.5720051395853158, (1419, 3) = 0.4734246946526726e-2, (1420, 1) = .3855905213420392, (1420, 2) = -.5719934360937043, (1420, 3) = 0.4716592436675568e-2, (1421, 1) = .3841769073552995, (1421, 2) = -.5719818012425072, (1421, 3) = 0.4698979637511449e-2, (1422, 1) = .3827663424672572, (1422, 2) = -.5719702346359057, (1422, 3) = 0.46814084207461035e-2, (1423, 1) = .38135881352627526, (1423, 2) = -.571958735881102, (1423, 3) = 0.4663878288351483e-2, (1424, 1) = .37995430746525866, (1424, 2) = -.5719473045882911, (1424, 3) = 0.4646389366727072e-2, (1425, 1) = .37855281130093565, (1425, 2) = -.5719359403706311, (1425, 3) = 0.4628941380872838e-2, (1426, 1) = .37715431213315137, (1426, 2) = -.5719246428442153, (1426, 3) = 0.4611534275643733e-2, (1427, 1) = .37575879713102134, (1427, 2) = -.5719134116279382, (1427, 3) = 0.4594167588648206e-2, (1428, 1) = .37436625345455044, (1428, 2) = -.5719022463428478, (1428, 3) = 0.45768412578344264e-2, (1429, 1) = .372976668428649, (1429, 2) = -.571891146613526, (1429, 3) = 0.4559555007711536e-2, (1430, 1) = .3715900294813734, (1430, 2) = -.5718801120675631, (1430, 3) = 0.4542308821767697e-2, (1431, 1) = .37020632412040205, (1431, 2) = -.5718691423353447, (1431, 3) = 0.4525102280403506e-2, (1432, 1) = .3688255399323657, (1432, 2) = -.5718582370500284, (1432, 3) = 0.4507935306509147e-2, (1433, 1) = .3674476645821852, (1433, 2) = -.5718473958475162, (1433, 3) = 0.4490807823352091e-2, (1434, 1) = .366072685812424, (1434, 2) = -.5718366183664276, (1434, 3) = 0.4473719474624756e-2, (1435, 1) = .36470059143519196, (1435, 2) = -.571825904248018, (1435, 3) = 0.4456670273807e-2, (1436, 1) = .3633313692505006, (1436, 2) = -.5718152531355244, (1436, 3) = 0.443965985659499e-2, (1437, 1) = .3619650072026537, (1437, 2) = -.5718046646753665, (1437, 3) = 0.4422688009887269e-2, (1438, 1) = .36060149334092195, (1438, 2) = -.5717941385168177, (1438, 3) = 0.44057547802929375e-2, (1439, 1) = .3592408157890074, (1439, 2) = -.5717836743117423, (1439, 3) = 0.4388859747094226e-2, (1440, 1) = .3578829627444267, (1440, 2) = -.5717732717145736, (1440, 3) = 0.4372002892152717e-2, (1441, 1) = .35652792247790377, (1441, 2) = -.57176293038229, (1441, 3) = 0.435518404028045e-2, (1442, 1) = .3551756833327739, (1442, 2) = -.5717526499743898, (1442, 3) = 0.433840285900084e-2, (1443, 1) = .35382623372086586, (1443, 2) = -.5717424301528441, (1443, 3) = 0.4321659385201699e-2, (1444, 1) = .35247956204298875, (1444, 2) = -.5717322705814761, (1444, 3) = 0.4304953060881934e-2, (1445, 1) = .3511356568216801, (1445, 2) = -.5717221709269549, (1445, 3) = 0.42882842471006315e-2, (1446, 1) = .34979450668720863, (1446, 2) = -.5717121308586602, (1446, 3) = 0.4271652353738057e-2, (1447, 1) = .3484561003395004, (1447, 2) = -.5717021500483798, (1447, 3) = 0.42550575023525975e-2, (1448, 1) = .3471204265475682, (1448, 2) = -.5716922281702845, (1448, 3) = 0.4238499376105531e-2, (1449, 1) = .3457874741489562, (1449, 2) = -.5716823649009083, (1449, 3) = 0.4221977841076327e-2, (1450, 1) = .34445723204918804, (1450, 2) = -.5716725599191245, (1450, 3) = 0.4205492542040765e-2, (1451, 1) = .3431296892200832, (1451, 2) = -.5716628129061196, (1451, 3) = 0.4189043585487009e-2, (1452, 1) = .3418048346270206, (1452, 2) = -.5716531235448411, (1452, 3) = 0.4172630764546436e-2, (1453, 1) = .34048265733295874, (1453, 2) = -.5716434915207511, (1453, 3) = 0.4156253662939045e-2, (1454, 1) = .3391631465121482, (1454, 2) = -.5716339165219025, (1454, 3) = 0.4139912592790519e-2, (1455, 1) = .3378462914040979, (1455, 2) = -.5716243982385824, (1455, 3) = 0.412360699121433e-2, (1456, 1) = .3365320813130506, (1456, 2) = -.5716149363632954, (1456, 3) = 0.41073368807163935e-2, (1457, 1) = .335220505607469, (1457, 2) = -.57160553059074, (1457, 3) = 0.409110184345008e-2, (1458, 1) = .33391155371952713, (1458, 2) = -.5715961806177929, (1458, 3) = 0.40749021397812266e-2, (1459, 1) = .3326052151445177, (1459, 2) = -.5715868861434837, (1459, 3) = 0.4058737340665327e-2, (1460, 1) = .3313014793788682, (1460, 2) = -.5715776468685458, (1460, 3) = 0.4042607328283019e-2, (1461, 1) = .3300003359911721, (1461, 2) = -.5715684624959064, (1461, 3) = 0.4026511920577936e-2, (1462, 1) = .3287017746655452, (1462, 2) = -.5715593327309754, (1462, 3) = 0.40104511062143446e-2, (1463, 1) = .32740578514730456, (1463, 2) = -.5715502572812424, (1463, 3) = 0.3994424680906599e-2, (1464, 1) = .32611235724248344, (1464, 2) = -.5715412358562577, (1464, 3) = 0.39784322472242615e-2, (1465, 1) = .32482148081735773, (1465, 2) = -.5715322681676157, (1465, 3) = 0.3962473929171029e-2, (1466, 1) = .3235331457979765, (1466, 2) = -.5715233539289352, (1466, 3) = 0.3946549595073172e-2, (1467, 1) = .322247342169692, (1467, 2) = -.5715144928558414, (1467, 3) = 0.39306589506213395e-2, (1468, 1) = .32096405992832083, (1468, 2) = -.5715056846656177, (1468, 3) = 0.391480161247966e-2, (1469, 1) = .3196832891166581, (1469, 2) = -.571496929077448, (1469, 3) = 0.38989781484942625e-2, (1470, 1) = .3184050198969944, (1470, 2) = -.5714882258128933, (1470, 3) = 0.3883187807135818e-2, (1471, 1) = .3171292424892785, (1471, 2) = -.5714795745954538, (1471, 3) = 0.3867430388347858e-2, (1472, 1) = .3158559471704651, (1472, 2) = -.571470975150552, (1472, 3) = 0.3851706585130626e-2, (1473, 1) = .3145851242740769, (1473, 2) = -.5714624272055082, (1473, 3) = 0.38360152485961796e-2, (1474, 1) = .3133167641897702, (1474, 2) = -.5714539304895339, (1474, 3) = 0.382035668194752e-2, (1475, 1) = .3120508573629022, (1475, 2) = -.5714454847337076, (1475, 3) = 0.38047308067663344e-2, (1476, 1) = .310787394257094, (1476, 2) = -.5714370896707185, (1476, 3) = 0.37891372412029384e-2, (1477, 1) = .30952636536256994, (1477, 2) = -.5714287450349089, (1477, 3) = 0.3773576111326642e-2, (1478, 1) = .30826776128977534, (1478, 2) = -.5714204505628837, (1478, 3) = 0.3758047063199735e-2, (1479, 1) = .30701157270447665, (1479, 2) = -.5714122059930631, (1479, 3) = 0.3742550169110581e-2, (1480, 1) = .3057577903260154, (1480, 2) = -.5714040110656544, (1480, 3) = 0.3727084932410703e-2, (1481, 1) = .30450640492690334, (1481, 2) = -.5713958655226425, (1481, 3) = 0.3711651561505815e-2, (1482, 1) = .3032574073324185, (1482, 2) = -.5713877691077711, (1482, 3) = 0.36962499752321125e-2, (1483, 1) = .30201078842020684, (1483, 2) = -.5713797215665263, (1483, 3) = 0.36808796473115457e-2, (1484, 1) = .30076653909232415, (1484, 2) = -.5713717226459485, (1484, 3) = 0.36655408381962105e-2, (1485, 1) = .2995246502617549, (1485, 2) = -.5713637720945361, (1485, 3) = 0.3650233191190471e-2, (1486, 1) = .2982851129593067, (1486, 2) = -.5713558696629161, (1486, 3) = 0.36349565833975373e-2, (1487, 1) = .2970479182699032, (1487, 2) = -.5713480151034247, (1487, 3) = 0.3619711069047138e-2, (1488, 1) = .29581305732886637, (1488, 2) = -.5713402081700681, (1488, 3) = 0.3604496349694312e-2, (1489, 1) = .2945805213215408, (1489, 2) = -.5713324486185078, (1489, 3) = 0.35893123334529223e-2, (1490, 1) = .2933503014829191, (1490, 2) = -.5713247362060488, (1490, 3) = 0.3574158699768374e-2, (1491, 1) = .29212238909727256, (1491, 2) = -.5713170706916254, (1491, 3) = 0.35590358004998863e-2, (1492, 1) = .29089677547796383, (1492, 2) = -.5713094518356617, (1492, 3) = 0.35439431290407437e-2, (1493, 1) = .2896734519377679, (1493, 2) = -.5713018793998837, (1493, 3) = 0.35288806447019796e-2, (1494, 1) = .2884524099021657, (1494, 2) = -.5712943531480078, (1494, 3) = 0.3513848041306804e-2, (1495, 1) = .28723364085053915, (1495, 2) = -.5712868728453633, (1495, 3) = 0.349884550048774e-2, (1496, 1) = .28601713630972303, (1496, 2) = -.5712794382588404, (1496, 3) = 0.34838728189422992e-2, (1497, 1) = .284802887853657, (1497, 2) = -.571272049156876, (1497, 3) = 0.34689298433699953e-2, (1498, 1) = .2835908871030366, (1498, 2) = -.571264705309444, (1498, 3) = 0.34540165014091567e-2, (1499, 1) = .28238112572497276, (1499, 2) = -.571257406488038, (1499, 3) = 0.34391326150384266e-2, (1500, 1) = .2811735954190444, (1500, 2) = -.5712501524655802, (1500, 3) = 0.34242777706656796e-2, (1501, 1) = .2799682878764064, (1501, 2) = -.5712429430161705, (1501, 3) = 0.3409452607929566e-2, (1502, 1) = .2787651948934412, (1502, 2) = -.571235777915751, (1502, 3) = 0.33946562548995253e-2, (1503, 1) = .2775643083210815, (1503, 2) = -.5712286569417975, (1503, 3) = 0.33798888249459247e-2, (1504, 1) = .2763656200549795, (1504, 2) = -.571221579873242, (1504, 3) = 0.33651502629444044e-2, (1505, 1) = .2751691220351818, (1505, 2) = -.5712145464904668, (1505, 3) = 0.33504406248374315e-2, (1506, 1) = .2739748062458093, (1506, 2) = -.571207556575288, (1506, 3) = 0.33357592384289786e-2, (1507, 1) = .27278266471473805, (1507, 2) = -.5712006099109477, (1507, 3) = 0.3321106598948388e-2, (1508, 1) = .2715926895045352, (1508, 2) = -.5711937062820479, (1508, 3) = 0.3306482562947281e-2, (1509, 1) = .27040487266475366, (1509, 2) = -.5711868454742692, (1509, 3) = 0.329188663990258e-2, (1510, 1) = .2692192063406563, (1510, 2) = -.5711800272749917, (1510, 3) = 0.3277318843897897e-2, (1511, 1) = .26803568273345746, (1511, 2) = -.5711732514730508, (1511, 3) = 0.32627789628808445e-2, (1512, 1) = .26685429408654876, (1512, 2) = -.57116651785865, (1512, 3) = 0.32482672678983216e-2, (1513, 1) = .2656750326852013, (1513, 2) = -.5711598262233457, (1513, 3) = 0.32337831145152437e-2, (1514, 1) = .2644978908562658, (1514, 2) = -.5711531763600414, (1514, 3) = 0.32193269937709243e-2, (1515, 1) = .2633228609678747, (1515, 2) = -.5711465680629709, (1515, 3) = 0.32048982634442576e-2, (1516, 1) = .2621499354240572, (1516, 2) = -.5711400011276646, (1516, 3) = 0.3190497041582206e-2, (1517, 1) = .26097910661409723, (1517, 2) = -.5711334753506564, (1517, 3) = 0.31761233160000173e-2, (1518, 1) = .2598103670117172, (1518, 2) = -.5711269905300301, (1518, 3) = 0.31617766733604462e-2, (1519, 1) = .25864370914863954, (1519, 2) = -.5711205464652624, (1519, 3) = 0.31474573451670818e-2, (1520, 1) = .2574791255964045, (1520, 2) = -.5711141429571093, (1520, 3) = 0.31331651127671557e-2, (1521, 1) = .25631660896608877, (1521, 2) = -.5711077798075966, (1521, 3) = 0.3118899804469149e-2, (1522, 1) = .2551561519080284, (1522, 2) = -.5711014568200105, (1522, 3) = 0.3104661419739236e-2, (1523, 1) = .2539977471115423, (1523, 2) = -.5710951737988853, (1523, 3) = 0.30904494143210197e-2, (1524, 1) = .2528413873021465, (1524, 2) = -.5710889305499851, (1524, 3) = 0.3076264439423743e-2, (1525, 1) = .25168706519140194, (1525, 2) = -.5710827268800185, (1525, 3) = 0.3062105835419388e-2, (1526, 1) = .2505347735625297, (1526, 2) = -.5710765625971023, (1526, 3) = 0.3047973655162736e-2, (1527, 1) = .24938450525936565, (1527, 2) = -.5710704375106843, (1527, 3) = 0.3033867882630771e-2, (1528, 1) = .24823625316336284, (1528, 2) = -.5710643514314141, (1528, 3) = 0.3019788330452175e-2, (1529, 1) = .24709001019333246, (1529, 2) = -.5710583041711306, (1529, 3) = 0.30057347019571985e-2, (1530, 1) = .24594576930518394, (1530, 2) = -.5710522955428564, (1530, 3) = 0.29917072126116116e-2, (1531, 1) = .24480352349166629, (1531, 2) = -.5710463253607856, (1531, 3) = 0.2977705657605174e-2, (1532, 1) = .24366326578122938, (1532, 2) = -.5710403934402702, (1532, 3) = 0.296372997077867e-2, (1533, 1) = .24252498919137638, (1533, 2) = -.5710344995975738, (1533, 3) = 0.2949780143728751e-2, (1534, 1) = .241388686797206, (1534, 2) = -.5710286436502169, (1534, 3) = 0.2935855631807363e-2, (1535, 1) = .24025435173753068, (1535, 2) = -.5710228254170047, (1535, 3) = 0.29219567239644295e-2, (1536, 1) = .23912197718673314, (1536, 2) = -.5710170447178677, (1536, 3) = 0.2908083350517665e-2, (1537, 1) = .23799155635451996, (1537, 2) = -.5710113013738543, (1537, 3) = 0.2894235269515204e-2, (1538, 1) = .23686308248568202, (1538, 2) = -.5710055952071231, (1538, 3) = 0.2880412626023903e-2, (1539, 1) = .23573654885985407, (1539, 2) = -.5709999260409314, (1539, 3) = 0.2866614833263539e-2, (1540, 1) = .2346119487911714, (1540, 2) = -.5709942936996304, (1540, 3) = 0.28528421573919133e-2, (1541, 1) = .23348927558777438, (1541, 2) = -.5709886980084524, (1541, 3) = 0.28390942716967865e-2, (1542, 1) = .23236852260024574, (1542, 2) = -.5709831387937522, (1542, 3) = 0.28253715191331e-2, (1543, 1) = .23124968324640033, (1543, 2) = -.5709776158831168, (1543, 3) = 0.2811673275205882e-2, (1544, 1) = .23013275097770958, (1544, 2) = -.5709721291051918, (1544, 3) = 0.27979998301729484e-2, (1545, 1) = .22901771927907494, (1545, 2) = -.5709666782896748, (1545, 3) = 0.27843509594154465e-2, (1546, 1) = .22790458166860122, (1546, 2) = -.5709612632673036, (1546, 3) = 0.2770726451654522e-2, (1547, 1) = .2267933316973735, (1547, 2) = -.5709558838698517, (1547, 3) = 0.27571265439385257e-2, (1548, 1) = .22568396294923365, (1548, 2) = -.5709505399301184, (1548, 3) = 0.2743550771707168e-2, (1549, 1) = .2245764690083878, (1549, 2) = -.5709452312817678, (1549, 3) = 0.272999932316188e-2, (1550, 1) = .22347084348585863, (1550, 2) = -.5709399577594514, (1550, 3) = 0.2716471806816539e-2, (1551, 1) = .22236708006347908, (1551, 2) = -.5709347191990102, (1551, 3) = 0.27029684190186887e-2, (1552, 1) = .22126517245502691, (1552, 2) = -.5709295154372815, (1552, 3) = 0.26894889027964473e-2, (1553, 1) = .22016511440593944, (1553, 2) = -.5709243463120904, (1553, 3) = 0.26760333246668272e-2, (1554, 1) = .2190668996931027, (1554, 2) = -.5709192116622407, (1554, 3) = 0.26626014219356736e-2, (1555, 1) = .21797052212464108, (1555, 2) = -.5709141113275096, (1555, 3) = 0.26491931309209574e-2, (1556, 1) = .21687597553970978, (1556, 2) = -.5709090451486402, (1556, 3) = 0.26358085247153236e-2, (1557, 1) = .21578325378343094, (1557, 2) = -.570904012967219, (1557, 3) = 0.26224475855780712e-2, (1558, 1) = .21469235071471926, (1558, 2) = -.5708990146257071, (1558, 3) = 0.26091096797713734e-2, (1559, 1) = .21360326026493778, (1559, 2) = -.5708940499677078, (1559, 3) = 0.25957952592799986e-2, (1560, 1) = .21251597639636005, (1560, 2) = -.5708891188377604, (1560, 3) = 0.25825041669690655e-2, (1561, 1) = .21143049310126344, (1561, 2) = -.570884221081335, (1561, 3) = 0.25692360712966456e-2, (1562, 1) = .21034680440173262, (1562, 2) = -.5708793565448247, (1562, 3) = 0.25559911188502227e-2, (1563, 1) = .20926490434946482, (1563, 2) = -.5708745250755368, (1563, 3) = 0.2542769126268398e-2, (1564, 1) = .20818478702557325, (1564, 2) = -.570869726521688, (1564, 3) = 0.2529570015238886e-2, (1565, 1) = .20710644652168286, (1565, 2) = -.570864960732315, (1565, 3) = 0.2516393929211118e-2, (1566, 1) = .20602987693308636, (1566, 2) = -.5708602275572378, (1566, 3) = 0.2503240422646563e-2, (1567, 1) = .20495507242706704, (1567, 2) = -.5708555268473581, (1567, 3) = 0.24901092964684872e-2, (1568, 1) = .20388202720147952, (1568, 2) = -.5708508584544696, (1568, 3) = 0.2477001109728802e-2, (1569, 1) = .2028107354826332, (1569, 2) = -.5708462222312392, (1569, 3) = 0.24639150966039025e-2, (1570, 1) = .20174119152511089, (1570, 2) = -.5708416180312039, (1570, 3) = 0.24508519010909683e-2, (1571, 1) = .20067338961158265, (1571, 2) = -.5708370457087605, (1571, 3) = 0.24378106557024952e-2, (1572, 1) = .1996073240526255, (1572, 2) = -.5708325051191647, (1572, 3) = 0.2424791840470637e-2, (1573, 1) = .19854298917292176, (1573, 2) = -.570827996118462, (1573, 3) = 0.24117952574023464e-2, (1574, 1) = .19748037929329712, (1574, 2) = -.5708235185634115, (1574, 3) = 0.23988204894166295e-2, (1575, 1) = .1964194888042521, (1575, 2) = -.5708190723117901, (1575, 3) = 0.23858679554253958e-2, (1576, 1) = .1953603121271345, (1576, 2) = -.5708146572222217, (1576, 3) = 0.23729373098108995e-2, (1577, 1) = .194302843710298, (1577, 2) = -.5708102731541537, (1577, 3) = 0.23600284042669477e-2, (1578, 1) = .19324707802893026, (1578, 2) = -.5708059199678536, (1578, 3) = 0.2347141380960612e-2, (1579, 1) = .19219300958488242, (1579, 2) = -.5708015975244004, (1579, 3) = 0.2334275864463773e-2, (1580, 1) = .19114063290649516, (1580, 2) = -.5707973056856819, (1580, 3) = 0.23214322047600856e-2, (1581, 1) = .19008994253895217, (1581, 2) = -.5707930443143452, (1581, 3) = 0.2308609857369392e-2, (1582, 1) = .18904093301839087, (1582, 2) = -.5707888132736963, (1582, 3) = 0.22958092686385786e-2, (1583, 1) = .18799359894665998, (1583, 2) = -.5707846124279884, (1583, 3) = 0.22830296371612927e-2, (1584, 1) = .1869479349572778, (1584, 2) = -.5707804416422869, (1584, 3) = 0.22702718213317035e-2, (1585, 1) = .18590393570941152, (1585, 2) = -.5707763007824315, (1585, 3) = 0.22575349495413052e-2, (1586, 1) = .18486159588771386, (1586, 2) = -.5707721897150354, (1586, 3) = 0.2244819217036038e-2, (1587, 1) = .18382091020216315, (1587, 2) = -.5707681083074789, (1587, 3) = 0.22321244873907244e-2, (1588, 1) = .18278187338790172, (1588, 2) = -.5707640564279037, (1588, 3) = 0.22194510072132577e-2, (1589, 1) = .181744480198878, (1589, 2) = -.5707600339451817, (1589, 3) = 0.2206798440205669e-2, (1590, 1) = .18070872537690127, (1590, 2) = -.5707560407287946, (1590, 3) = 0.2194166880269741e-2, (1591, 1) = .17967460372406935, (1591, 2) = -.5707520766491081, (1591, 3) = 0.218155582399078e-2, (1592, 1) = .17864211007545752, (1592, 2) = -.5707481415772608, (1592, 3) = 0.21689655581262623e-2, (1593, 1) = .17761123929051403, (1593, 2) = -.5707442353851253, (1593, 3) = 0.21563958198413313e-2, (1594, 1) = .17658198625291002, (1594, 2) = -.5707403579453033, (1594, 3) = 0.21438468532637596e-2, (1595, 1) = .17555434587038704, (1595, 2) = -.5707365091311202, (1595, 3) = 0.2131318414961287e-2, (1596, 1) = .17452831307460673, (1596, 2) = -.5707326888166189, (1596, 3) = 0.21188103643426403e-2, (1597, 1) = .1735038828173053, (1597, 2) = -.5707288968765435, (1597, 3) = 0.2106322568881825e-2, (1598, 1) = .17248105003686368, (1598, 2) = -.5707251331862101, (1598, 3) = 0.20938552014563984e-2, (1599, 1) = .17145980972524066, (1599, 2) = -.5707213976217529, (1599, 3) = 0.20814079592388784e-2, (1600, 1) = .170440156909108, (1600, 2) = -.5707176900600457, (1600, 3) = 0.20689811438097732e-2, (1601, 1) = .1694220866383151, (1601, 2) = -.5707140103786543, (1601, 3) = 0.20565740716000846e-2, (1602, 1) = .16840559398574667, (1602, 2) = -.570710358455836, (1602, 3) = 0.20441871559878674e-2, (1603, 1) = .16739067404718036, (1603, 2) = -.5707067341705296, (1603, 3) = 0.2031820229087235e-2, (1604, 1) = .1663773219411448, (1604, 2) = -.5707031374023535, (1604, 3) = 0.201947319430672e-2, (1605, 1) = .16536553280688843, (1605, 2) = -.5706995680315928, (1605, 3) = 0.20071458079947467e-2, (1606, 1) = .16435530177076613, (1606, 2) = -.5706960259390796, (1606, 3) = 0.1994838473934921e-2, (1607, 1) = .16334662400486902, (1607, 2) = -.5706925110063943, (1607, 3) = 0.19825505887476505e-2, (1608, 1) = .162339494718114, (1608, 2) = -.5706890231158289, (1608, 3) = 0.1970282309694827e-2, (1609, 1) = .16133390914147017, (1609, 2) = -.5706855621503317, (1609, 3) = 0.19580338650519403e-2, (1610, 1) = .16032986252782788, (1610, 2) = -.5706821279935, (1610, 3) = 0.19458045285171866e-2, (1611, 1) = .15932735015186283, (1611, 2) = -.5706787205295802, (1611, 3) = 0.19335950431566206e-2, (1612, 1) = .1583263673099055, (1612, 2) = -.5706753396434566, (1612, 3) = 0.19214044825827037e-2, (1613, 1) = .15732690931908738, (1613, 2) = -.5706719852206514, (1613, 3) = 0.19092333893803205e-2, (1614, 1) = .15632897148561156, (1614, 2) = -.5706686571472112, (1614, 3) = 0.18970815248206816e-2, (1615, 1) = .15533254915258204, (1615, 2) = -.570665355309865, (1615, 3) = 0.1884948758231261e-2, (1616, 1) = .15433763770237033, (1616, 2) = -.5706620795960283, (1616, 3) = 0.1872835099023557e-2, (1617, 1) = .15334423253834475, (1617, 2) = -.5706588298937351, (1617, 3) = 0.18607404718141041e-2, (1618, 1) = .15235232908474497, (1618, 2) = -.5706556060916353, (1618, 3) = 0.18486649028355542e-2, (1619, 1) = .1513619227865573, (1619, 2) = -.5706524080789903, (1619, 3) = 0.18366081469636043e-2, (1620, 1) = .1503730091093879, (1620, 2) = -.5706492357456681, (1620, 3) = 0.18245703092043771e-2, (1621, 1) = .1493855835392256, (1621, 2) = -.570646088982139, (1621, 3) = 0.18125511609069674e-2, (1622, 1) = .1483996415544341, (1622, 2) = -.5706429676793846, (1622, 3) = 0.18005506257415178e-2, (1623, 1) = .14741517866057446, (1623, 2) = -.5706398717290051, (1623, 3) = 0.17885688558435854e-2, (1624, 1) = .14643219040520747, (1624, 2) = -.5706368010232603, (1624, 3) = 0.17766056783766675e-2, (1625, 1) = .14545067235589604, (1625, 2) = -.5706337554549977, (1625, 3) = 0.17646612082326924e-2, (1626, 1) = .14447062010008924, (1626, 2) = -.570630734917646, (1626, 3) = 0.17527350710624188e-2, (1627, 1) = .14349202924500137, (1627, 2) = -.570627739305213, (1627, 3) = 0.1740827304457572e-2, (1628, 1) = .142514895417497, (1628, 2) = -.5706247685122816, (1628, 3) = 0.17289377052893075e-2, (1629, 1) = .14153921426397328, (1629, 2) = -.5706218224340057, (1629, 3) = 0.1717066917353175e-2, (1630, 1) = .1405649814276101, (1630, 2) = -.5706189009660358, (1630, 3) = 0.17052139049983863e-2, (1631, 1) = .13959219256846173, (1631, 2) = -.5706160040045841, (1631, 3) = 0.16933793796613027e-2, (1632, 1) = .13862084339147518, (1632, 2) = -.5706131314464968, (1632, 3) = 0.16815629209685338e-2, (1633, 1) = .1376509296206877, (1633, 2) = -.5706102831891754, (1633, 3) = 0.16697642405241737e-2, (1634, 1) = .13668244699909146, (1634, 2) = -.570607459130576, (1634, 3) = 0.1657983741240034e-2, (1635, 1) = .13571539128852422, (1635, 2) = -.570604659169199, (1635, 3) = 0.1646220994522541e-2, (1636, 1) = .13474975826955676, (1636, 2) = -.5706018832040929, (1636, 3) = 0.163447644945822e-2, (1637, 1) = .13378554374138432, (1637, 2) = -.5705991311348425, (1637, 3) = 0.16227492884624628e-2, (1638, 1) = .132822743504081, (1638, 2) = -.5705964028615237, (1638, 3) = 0.16110401859959975e-2, (1639, 1) = .1318613533656773, (1639, 2) = -.5705936982847154, (1639, 3) = 0.15993488563316048e-2, (1640, 1) = .13090136918083636, (1640, 2) = -.5705910173056084, (1640, 3) = 0.15876749703235733e-2, (1641, 1) = .12994278682279536, (1641, 2) = -.5705883598259204, (1641, 3) = 0.1576018703519385e-2, (1642, 1) = .12898560218287136, (1642, 2) = -.5705857257478925, (1642, 3) = 0.156437999011499e-2, (1643, 1) = .12802981117035753, (1643, 2) = -.5705831149742853, (1643, 3) = 0.15527590201439045e-2, (1644, 1) = .12707540971241746, (1644, 2) = -.5705805274083736, (1644, 3) = 0.15411551517424914e-2, (1645, 1) = .12612239375398324, (1645, 2) = -.5705779629539458, (1645, 3) = 0.15295687757242696e-2, (1646, 1) = .12517075924425258, (1646, 2) = -.5705754215152639, (1646, 3) = 0.15179996941550582e-2, (1647, 1) = .12422050213337361, (1647, 2) = -.5705729029970523, (1647, 3) = 0.15064479580978742e-2, (1648, 1) = .12327161841840802, (1648, 2) = -.5705704073046167, (1648, 3) = 0.14949132956178354e-2, (1649, 1) = .12232410411493687, (1649, 2) = -.5705679343437663, (1649, 3) = 0.14833960326820497e-2, (1650, 1) = .12137795525579641, (1650, 2) = -.5705654840208041, (1650, 3) = 0.1471895538805566e-2, (1651, 1) = .12043316789097826, (1651, 2) = -.5705630562425266, (1651, 3) = 0.14604120916266016e-2, (1652, 1) = .11948973808753148, (1652, 2) = -.5705606509162202, (1652, 3) = 0.14489456648672633e-2, (1653, 1) = .1185476619294655, (1653, 2) = -.5705582679496559, (1653, 3) = 0.14374965187560263e-2, (1654, 1) = .11760693550779756, (1654, 2) = -.5705559072510622, (1654, 3) = 0.14260636732599957e-2, (1655, 1) = .11666755490922745, (1655, 2) = -.5705535687290987, (1655, 3) = 0.1414648135534673e-2, (1656, 1) = .11572951626633125, (1656, 2) = -.5705512522929722, (1656, 3) = 0.14032491597825373e-2, (1657, 1) = .11479281573056764, (1657, 2) = -.570548957852371, (1657, 3) = 0.13918669090231478e-2, (1658, 1) = .11385744946987074, (1658, 2) = -.5705466853174528, (1658, 3) = 0.13805013664338318e-2, (1659, 1) = .11292341366855765, (1659, 2) = -.5705444345988426, (1659, 3) = 0.13691523663893956e-2, (1660, 1) = .11199070452723407, (1660, 2) = -.5705422056076305, (1660, 3) = 0.13578203091934463e-2, (1661, 1) = .1110593182627042, (1661, 2) = -.570539998255364, (1661, 3) = 0.13465041410422691e-2, (1662, 1) = .11012925110093238, (1662, 2) = -.570537812454038, (1662, 3) = 0.13352048939661344e-2, (1663, 1) = .10920049925987686, (1663, 2) = -.5705356481160426, (1663, 3) = 0.13239217010865103e-2, (1664, 1) = .10827305900115043, (1664, 2) = -.5705335051542899, (1664, 3) = 0.13126551115252316e-2, (1665, 1) = .10734692660598454, (1665, 2) = -.5705313834821486, (1665, 3) = 0.1301404936440111e-2, (1666, 1) = .1064220983713517, (1666, 2) = -.570529283013432, (1666, 3) = 0.12901707446978247e-2, (1667, 1) = .10549857060987583, (1667, 2) = -.570527203662401, (1667, 3) = 0.12789529816070065e-2, (1668, 1) = .10457633964974576, (1668, 2) = -.5705251453437535, (1668, 3) = 0.12677512285759693e-2, (1669, 1) = .10365540183462717, (1669, 2) = -.5705231079726274, (1669, 3) = 0.125656566369259e-2, (1670, 1) = .10273575351896286, (1670, 2) = -.5705210914645839, (1670, 3) = 0.12453960342977068e-2, (1671, 1) = .10181739104693353, (1671, 2) = -.5705190957355635, (1671, 3) = 0.1234242549763045e-2, (1672, 1) = .10090031080308776, (1672, 2) = -.5705171207019901, (1672, 3) = 0.12231049695248907e-2, (1673, 1) = 0.999845091926647e-1, (1673, 2) = -.5705151662807287, (1673, 3) = 0.12119833099477097e-2, (1674, 1) = 0.9906998263595025e-1, (1674, 2) = -.5705132323890669, (1674, 3) = 0.1200877500210427e-2, (1675, 1) = 0.9815672756819084e-1, (1675, 2) = -.5705113189447137, (1675, 3) = 0.11897874133487611e-2, (1676, 1) = 0.97244740439513e-1, (1676, 2) = -.5705094258657978, (1676, 3) = 0.1178713301299814e-2, (1677, 1) = 0.963340177148396e-1, (1677, 2) = -.5705075530708629, (1677, 3) = 0.11676549868684274e-2, (1678, 1) = 0.9542455587099818e-1, (1678, 2) = -.5705057004788584, (1678, 3) = 0.11566118625654322e-2, (1679, 1) = 0.9451635137359898e-1, (1679, 2) = -.5705038680090975, (1679, 3) = 0.11455847770102503e-2, (1680, 1) = 0.9360940072437536e-1, (1680, 2) = -.5705020555813423, (1680, 3) = 0.11345732570277088e-2, (1681, 1) = 0.9270370044712627e-1, (1681, 2) = -.5705002631157776, (1681, 3) = 0.11235771180000936e-2, (1682, 1) = 0.9179924708003909e-1, (1682, 2) = -.5704984905329907, (1682, 3) = 0.11125965229366282e-2, (1683, 1) = 0.9089603717561114e-1, (1683, 2) = -.5704967377539704, (1683, 3) = 0.11016314852111712e-2, (1684, 1) = 0.8999406730056976e-1, (1684, 2) = -.5704950047001007, (1684, 3) = 0.1090681557760867e-2, (1685, 1) = 0.8909333403579577e-1, (1685, 2) = -.5704932912931643, (1685, 3) = 0.10797471072092047e-2, (1686, 1) = 0.881938339747571e-1, (1686, 2) = -.5704915974553318, (1686, 3) = 0.10688279769291e-2, (1687, 1) = 0.8729556369992836e-1, (1687, 2) = -.5704899231091185, (1687, 3) = 0.1057924130184382e-2, (1688, 1) = 0.8639851982480606e-1, (1688, 2) = -.5704882681774609, (1688, 3) = 0.10470354805485933e-2, (1689, 1) = 0.85502698986595e-1, (1689, 2) = -.5704866325837, (1689, 3) = 0.1036161764658904e-2, (1690, 1) = 0.8460809783626767e-1, (1690, 2) = -.5704850162515603, (1690, 3) = 0.10253035016069118e-2, (1691, 1) = 0.8371471303848847e-1, (1691, 2) = -.5704834191051457, (1691, 3) = 0.10144600350621286e-2, (1692, 1) = 0.8282254127153839e-1, (1692, 2) = -.5704818410689402, (1692, 3) = 0.10036318950877622e-2, (1693, 1) = 0.819315792272442e-1, (1693, 2) = -.5704802820678021, (1693, 3) = 0.9928184984200822e-3, (1694, 1) = 0.8104182361029644e-1, (1694, 2) = -.5704787420269629, (1694, 3) = 0.982019981732759e-3, (1695, 1) = 0.8015327111568321e-1, (1695, 2) = -.570477220871987, (1695, 3) = 0.9712365088782893e-3, (1696, 1) = 0.7926591846354776e-1, (1696, 2) = -.5704757185288283, (1696, 3) = 0.9604676944310381e-3, (1697, 1) = 0.7837976239962534e-1, (1697, 2) = -.57047423492383, (1697, 3) = 0.949713846939646e-3, (1698, 1) = 0.7749479968283016e-1, (1698, 2) = -.5704727699836989, (1698, 3) = 0.9389747830168456e-3, (1699, 1) = 0.7661102708518261e-1, (1699, 2) = -.5704713236355042, (1699, 3) = 0.9282504488486782e-3, (1700, 1) = 0.7572844139174156e-1, (1700, 2) = -.5704698958066753, (1700, 3) = 0.9175406715518962e-3, (1701, 1) = 0.7484703940053249e-1, (1701, 2) = -.5704684864249994, (1701, 3) = 0.906845594222017e-3, (1702, 1) = 0.7396681792235704e-1, (1702, 2) = -.5704670954186192, (1702, 3) = 0.8961651164722031e-3, (1703, 1) = 0.7308777376056866e-1, (1703, 2) = -.5704657227159978, (1703, 3) = 0.8854990416924151e-3, (1704, 1) = 0.7220990373712748e-1, (1704, 2) = -.5704643682459629, (1704, 3) = 0.8748476158250562e-3, (1705, 1) = 0.7133320470168117e-1, (1705, 2) = -.5704630319377123, (1705, 3) = 0.8642105365518272e-3, (1706, 1) = 0.7045767351649938e-1, (1706, 2) = -.5704617137207928, (1706, 3) = 0.8535880970870198e-3, (1707, 1) = 0.695833070564048e-1, (1707, 2) = -.570460413525094, (1707, 3) = 0.842979756611411e-3, (1708, 1) = 0.6871010220870757e-1, (1708, 2) = -.5704591312808502, (1708, 3) = 0.8323859116304742e-3, (1709, 1) = 0.678380558731394e-1, (1709, 2) = -.5704578669186345, (1709, 3) = 0.8218063421017798e-3, (1710, 1) = 0.6696716496178758e-1, (1710, 2) = -.5704566203693598, (1710, 3) = 0.8112410194084953e-3, (1711, 1) = 0.660974263824033e-1, (1711, 2) = -.5704553915642512, (1711, 3) = 0.8006898199609303e-3, (1712, 1) = 0.6522883705421069e-1, (1712, 2) = -.5704541804348692, (1712, 3) = 0.7901529355480197e-3, (1713, 1) = 0.6436139392639208e-1, (1713, 2) = -.570452986913132, (1713, 3) = 0.7796301659949098e-3, (1714, 1) = 0.634950939602272e-1, (1714, 2) = -.5704518109312877, (1714, 3) = 0.7691214092178224e-3, (1715, 1) = 0.6262993412902444e-1, (1715, 2) = -.5704506524219137, (1715, 3) = 0.7586265990425975e-3, (1716, 1) = 0.61765911418058414e-1, (1716, 2) = -.5704495113179135, (1716, 3) = 0.7481460781026757e-3, (1717, 1) = 0.609030228245073e-1, (1717, 2) = -.5704483875525136, (1717, 3) = 0.7376792615062916e-3, (1718, 1) = 0.6004126535739065e-1, (1718, 2) = -.5704472810592657, (1718, 3) = 0.7272264392729404e-3, (1719, 1) = 0.591806360244573e-1, (1719, 2) = -.5704461917720222, (1719, 3) = 0.7167874036808391e-3, (1720, 1) = 0.58321131838504535e-1, (1720, 2) = -.5704451196249498, (1720, 3) = 0.7063621976518748e-3, (1721, 1) = 0.57462749843895204e-1, (1721, 2) = -.5704440645525575, (1721, 3) = 0.6959512807898625e-3, (1722, 1) = 0.5660548709679972e-1, (1722, 2) = -.5704430264896657, (1722, 3) = 0.6855535635964104e-3, (1723, 1) = 0.5574934066491998e-1, (1723, 2) = -.5704420053714131, (1723, 3) = 0.6751699501290733e-3, (1724, 1) = 0.5489430762743e-1, (1724, 2) = -.5704410011332436, (1724, 3) = 0.6647997641314904e-3, (1725, 1) = 0.5404038507491508e-1, (1725, 2) = -.5704400137109154, (1725, 3) = 0.6544432973165372e-3, (1726, 1) = 0.53187570109314436e-1, (1726, 2) = -.5704390430404911, (1726, 3) = 0.644100504112563e-3, (1727, 1) = 0.523358598338679e-1, (1727, 2) = -.5704380890583278, (1727, 3) = 0.6337710287012467e-3, (1728, 1) = 0.5148525135176756e-1, (1728, 2) = -.5704371517010765, (1728, 3) = 0.623455509706576e-3, (1729, 1) = 0.5063574179832269e-1, (1729, 2) = -.5704362309057119, (1729, 3) = 0.6131533866561669e-3, (1730, 1) = 0.49787328320686906e-1, (1730, 2) = -.57043532660951, (1730, 3) = 0.6028644146055031e-3, (1731, 1) = 0.4894000807707357e-1, (1731, 2) = -.5704344387500467, (1731, 3) = 0.5925891921303774e-3, (1732, 1) = 0.4809377823669837e-1, (1732, 2) = -.5704335672651925, (1732, 3) = 0.5823271413039182e-3, (1733, 1) = 0.4724863597972331e-1, (1733, 2) = -.5704327120931133, (1733, 3) = 0.5720785587509028e-3, (1734, 1) = 0.4640457849720046e-1, (1734, 2) = -.5704318731722681, (1734, 3) = 0.5618431239329437e-3, (1735, 1) = 0.455616029835976e-1, (1735, 2) = -.5704310504414009, (1735, 3) = 0.5516212324531447e-3, (1736, 1) = 0.44719706629458386e-1, (1736, 2) = -.5704302438395291, (1736, 3) = 0.5414122527996384e-3, (1737, 1) = 0.43878886657032524e-1, (1737, 2) = -.5704294533059825, (1737, 3) = 0.531216747121963e-3, (1738, 1) = 0.4303914030074901e-1, (1738, 2) = -.570428678780376, (1738, 3) = 0.5210342258475485e-3, (1739, 1) = 0.4220046480564781e-1, (1739, 2) = -.5704279202026096, (1739, 3) = 0.510864763051523e-3, (1740, 1) = 0.4136285742732569e-1, (1740, 2) = -.5704271775128673, (1740, 3) = 0.5007084992042333e-3, (1741, 1) = 0.40526315431883175e-1, (1741, 2) = -.5704264506516132, (1741, 3) = 0.4905655789960614e-3, (1742, 1) = 0.39690836095872165e-1, (1742, 2) = -.5704257395595899, (1742, 3) = 0.4804352811625891e-3, (1743, 1) = 0.3885641670095389e-1, (1743, 2) = -.5704250441778151, (1743, 3) = 0.47031800526133136e-3, (1744, 1) = 0.3802305452210874e-1, (1744, 2) = -.5704243644475692, (1744, 3) = 0.46021365093492316e-3, (1745, 1) = 0.3719074686473663e-1, (1745, 2) = -.5704237003104239, (1745, 3) = 0.4501222854321271e-3, (1746, 1) = 0.3635949104701953e-1, (1746, 2) = -.5704230517082266, (1746, 3) = 0.44004370144478956e-3, (1747, 1) = 0.3552928439732455e-1, (1747, 2) = -.5704224185830972, (1747, 3) = 0.4299783172952446e-3, (1748, 1) = 0.34700124254153204e-1, (1748, 2) = -.5704218008774216, (1748, 3) = 0.41992521906983267e-3, (1749, 1) = 0.3387200796609015e-1, (1749, 2) = -.5704211985338593, (1749, 3) = 0.4098851439828125e-3, (1750, 1) = 0.3304493289175304e-1, (1750, 2) = -.5704206114953319, (1750, 3) = 0.3998576523563244e-3, (1751, 1) = 0.3221889639617935e-1, (1751, 2) = -.5704200397050275, (1751, 3) = 0.3898429597071286e-3, (1752, 1) = 0.31393895835992926e-1, (1752, 2) = -.5704194831063825, (1752, 3) = 0.3798408741717007e-3, (1753, 1) = 0.3056992859615203e-1, (1753, 2) = -.5704189416431121, (1753, 3) = 0.3698516192702842e-3, (1754, 1) = 0.2974699207524597e-1, (1754, 2) = -.5704184152591919, (1754, 3) = 0.35987477138425323e-3, (1755, 1) = 0.28925083681645515e-1, (1755, 2) = -.570417903898859, (1755, 3) = 0.34991053236327075e-3, (1756, 1) = 0.2810420083345203e-1, (1756, 2) = -.5704174075066065, (1756, 3) = 0.3399587971971977e-3, (1757, 1) = 0.2728434095845168e-1, (1757, 2) = -.5704169260271836, (1757, 3) = 0.33001937153615246e-3, (1758, 1) = 0.26465501494066058e-1, (1758, 2) = -.5704164594055968, (1758, 3) = 0.32009287290139403e-3, (1759, 1) = 0.25647679885091486e-1, (1759, 2) = -.5704160075870994, (1759, 3) = 0.3101782125464055e-3, (1760, 1) = 0.24830873567116808e-1, (1760, 2) = -.5704155705171933, (1760, 3) = 0.3002763491022493e-3, (1761, 1) = 0.24015080001257367e-1, (1761, 2) = -.5704151481416343, (1761, 3) = 0.2903866354557331e-3, (1762, 1) = 0.2320029666332913e-1, (1762, 2) = -.5704147404064339, (1762, 3) = 0.2805093316305936e-3, (1763, 1) = 0.22386521038544105e-1, (1763, 2) = -.57041434725785, (1763, 3) = 0.27064432850251003e-3, (1764, 1) = 0.2157375062146466e-1, (1764, 2) = -.5704139686423857, (1764, 3) = 0.26079145854997275e-3, (1765, 1) = 0.20761982915956226e-1, (1765, 2) = -.5704136045067897, (1765, 3) = 0.2509508998352606e-3, (1766, 1) = 0.1995121543514215e-1, (1766, 2) = -.5704132547980537, (1766, 3) = 0.2411225233709476e-3, (1767, 1) = 0.19141445700150153e-1, (1767, 2) = -.5704129194634107, (1767, 3) = 0.23130626553933027e-3, (1768, 1) = 0.18332671222966963e-1, (1768, 2) = -.5704125984503274, (1768, 3) = 0.22150224551170005e-3, (1769, 1) = 0.17524889537637905e-1, (1769, 2) = -.5704122917065152, (1769, 3) = 0.21171012516790747e-3, (1770, 1) = 0.16718098194180717e-1, (1770, 2) = -.5704119991799264, (1770, 3) = 0.20193003895879275e-3, (1771, 1) = 0.15912294751644126e-1, (1771, 2) = -.5704117208187512, (1771, 3) = 0.1921622803481423e-3, (1772, 1) = 0.15107476778062207e-1, (1772, 2) = -.5704114565714125, (1772, 3) = 0.1824063694867059e-3, (1773, 1) = 0.14303641850410765e-1, (1773, 2) = -.5704112063865676, (1773, 3) = 0.1726622341176923e-3, (1774, 1) = 0.13500787554564724e-1, (1774, 2) = -.5704109702131082, (1774, 3) = 0.16293011632888596e-3, (1775, 1) = 0.12698911484732211e-1, (1775, 2) = -.5704107480001548, (1775, 3) = 0.1532100440176128e-3, (1776, 1) = 0.1189801122683412e-1, (1776, 2) = -.5704105396970541, (1776, 3) = 0.14350169990553694e-3, (1777, 1) = 0.110980843847864e-1, (1777, 2) = -.5704103452533853, (1777, 3) = 0.13380533332870575e-3, (1778, 1) = 0.10299128579930553e-1, (1778, 2) = -.5704101646189565, (1778, 3) = 0.12412073447032405e-3, (1779, 1) = 0.9501141442290284e-2, (1779, 2) = -.5704099977438021, (1779, 3) = 0.11444769700181024e-3, (1780, 1) = 0.8704120610528434e-2, (1780, 2) = -.5704098445781814, (1780, 3) = 0.10478657745007672e-3, (1781, 1) = 0.7908063731905977e-2, (1781, 2) = -.5704097050725776, (1781, 3) = 0.9513708318111515e-4, (1782, 1) = 0.7112968462240464e-2, (1782, 2) = -.5704095791776951, (1782, 3) = 0.8549936007555782e-4, (1783, 1) = 0.6318832465737883e-2, (1783, 2) = -.5704094668444597, (1783, 3) = 0.7587321553808388e-4, (1784, 1) = 0.5525653399888163e-2, (1784, 2) = -.5704093680240159, (1784, 3) = 0.6625870289046346e-4, (1785, 1) = 0.473342893557368e-2, (1785, 2) = -.570409282667727, (1785, 3) = 0.56655818681247766e-4, (1786, 1) = 0.3942156762720216e-2, (1786, 2) = -.5704092107271764, (1786, 3) = 0.47064567109970836e-4, (1787, 1) = 0.31518345796026502e-2, (1787, 2) = -.5704091521541624, (1787, 3) = 0.3748473819209523e-4, (1788, 1) = 0.2362460092806018e-2, (1788, 2) = -.5704091069006991, (1788, 3) = 0.27916280666424738e-4, (1789, 1) = 0.1574031017185059e-2, (1789, 2) = -.5704090749190147, (1789, 3) = 0.1835951951730489e-4, (1790, 1) = 0.7865450758257885e-3, (1790, 2) = -.570409056161549, (1790, 3) = 0.8814099343848219e-5, (1791, 1) = .0, (1791, 2) = -.5704090505809531, (1791, 3) = -0.7198658122453977e-6}, datatype = float[8], order = C_order); errproc := proc (x_bvp) local outpoint, X, Y, yout, L, V, i; option `Copyright (c) 2000 by Waterloo Maple Inc. All rights reserved.`; Digits := 15; outpoint := evalf(x_bvp); X := Vector(1791, {(1) = .0, (2) = 0.13780910576779305e-2, (3) = 0.2756182285295886e-2, (4) = 0.4134273522094749e-2, (5) = 0.5512364769041556e-2, (6) = 0.68904560300836705e-2, (7) = 0.8268547294826728e-2, (8) = 0.9646638332109363e-2, (9) = 0.11024729277096055e-1, (10) = 0.12402820257259096e-1, (11) = 0.1378091128001533e-1, (12) = 0.15159002353934477e-1, (13) = 0.165370935468978e-1, (14) = 0.17915185082806383e-1, (15) = 0.19293276752929477e-1, (16) = 0.2067136852104325e-1, (17) = 0.22049460402933745e-1, (18) = 0.23427552416048065e-1, (19) = 0.24805644579522845e-1, (20) = 0.26183736914762428e-1, (21) = 0.27561829445338217e-1, (22) = 0.2893992219710348e-1, (23) = 0.30318015198316225e-1, (24) = 0.316961084740268e-1, (25) = 0.3307420183436217e-1, (26) = 0.34452295385793356e-1, (27) = 0.3583038932453301e-1, (28) = 0.37208483692418505e-1, (29) = 0.38586578534445005e-1, (30) = 0.3996467393623458e-1, (31) = 0.4134277017591114e-1, (32) = 0.4272086711600315e-1, (33) = 0.4409896474324095e-1, (34) = 0.4547706311978528e-1, (35) = 0.46855162310664604e-1, (36) = 0.482332623857293e-1, (37) = 0.49611363419024807e-1, (38) = 0.5098946548880248e-1, (39) = 0.5236756867764251e-1, (40) = 0.53745673072576806e-1, (41) = 0.5512377876521192e-1, (42) = 0.5650188585155023e-1, (43) = 0.57879994280840716e-1, (44) = 0.59258104069112125e-1, (45) = 0.60636215557912605e-1, (46) = 0.620143289121972e-1, (47) = 0.633924444733533e-1, (48) = 0.64770562171008e-1, (49) = 0.6614868207217643e-1, (50) = 0.6752680431437187e-1, (51) = 0.6890492903856206e-1, (52) = 0.7028305639320886e-1, (53) = 0.7166118653333377e-1, (54) = 0.7303931962008942e-1, (55) = 0.744174558208827e-1, (56) = 0.7579559530949781e-1, (57) = 0.7717373826621926e-1, (58) = 0.7855188487774013e-1, (59) = 0.7993003533438571e-1, (60) = 0.8130818983512587e-1, (61) = 0.826863485073297e-1, (62) = 0.8406451136297463e-1, (63) = 0.8544267889075058e-1, (64) = 0.8682085158123777e-1, (65) = 0.8819902951034393e-1, (66) = 0.8957721283272431e-1, (67) = 0.90955401795762e-1, (68) = 0.9233359665632915e-1, (69) = 0.9371179768095969e-1, (70) = 0.9509000514424754e-1, (71) = 0.9646821932896991e-1, (72) = 0.9784644052621079e-1, (73) = 0.9922466903548428e-1, (74) = .10060290516481113, (75) = .10198114922644372, (76) = .103359401542488, (77) = .10473766244670896, (78) = .10611593228189846, (79) = .10749421142759201, (80) = .10887250045129801, (81) = .11025079931499142, (82) = .11162910844293791, (83) = .11300742834952478, (84) = .11438575942935489, (85) = .11576410209109542, (86) = .11714245675340994, (87) = .11852082384508242, (88) = .11989920380514138, (89) = .121277597082984, (90) = .12265600413850036, (91) = .12403442543757354, (92) = .1254128614546062, (93) = .1267913126808266, (94) = .12816977961846934, (95) = .12954826281174694, (96) = .13092676300047246, (97) = .13230528054771656, (98) = .13368381592680326, (99) = .1350623695097624, (100) = .13644094182901542, (101) = .13781953367491465, (102) = .139198145643306, (103) = .14057677833979948, (104) = .14195543238220282, (105) = .1433341084006469, (106) = .14471280703771133, (107) = .14609152894460492, (108) = .14747027477802674, (109) = .14884904521707965, (110) = .1502278410121005, (111) = .15160666305779405, (112) = .15298551186744477, (113) = .15436438813146264, (114) = .15574329259545164, (115) = .1571222260151808, (116) = .1585011891501231, (117) = .15988018268155932, (118) = .16125920724349538, (119) = .16263826389382915, (120) = .16401735348389193, (121) = .16539647685573886, (122) = .16677563486585678, (123) = .16815482838253765, (124) = .1695340582760073, (125) = .1709133254434342, (126) = .17229263086123217, (127) = .17367197563875142, (128) = .1750513605148447, (129) = .1764307864124936, (130) = .17781025430701144, (131) = .17918976518721827, (132) = .18056932004230086, (133) = .1819489198897447, (134) = .18332856576667705, (135) = .18470825868008023, (136) = .18608799946502727, (137) = .1874677894201098, (138) = .18884762971441693, (139) = .19022752146533345, (140) = .1916074657894623, (141) = .19298746392963345, (142) = .19436751717941733, (143) = .19574762651615907, (144) = .19712779312630466, (145) = .19850801822953515, (146) = .19988830306302235, (147) = .20126864888081342, (148) = .20264905693569074, (149) = .20402952850831516, (150) = .20541006490577954, (151) = .20679066745331492, (152) = .20817133749442512, (153) = .2095520763910215, (154) = .21093288552096795, (155) = .21231376607366872, (156) = .21369471962054387, (157) = .21507574781106298, (158) = .21645685191495417, (159) = .21783803340226265, (160) = .2192192937660698, (161) = .22060063451893547, (162) = .2219820571930361, (163) = .22336356334028548, (164) = .2247451545134966, (165) = .22612683228668032, (166) = .2275085982703512, (167) = .22889045409531378, (168) = .23027240141281022, (169) = .231654441906859, (170) = .233036577470208, (171) = .23441880970749102, (172) = .23580114023175774, (173) = .23718357064565926, (174) = .23856610260391953, (175) = .23994873813981263, (176) = .24133147908425276, (177) = .2427143272771222, (178) = .2440972845801502, (179) = .24548035287705183, (180) = .24686353405863765, (181) = .24824683002457545, (182) = .24963024272318582, (183) = .25101377412593184, (184) = .2523974262570498, (185) = .2537812013319773, (186) = .25516510122789876, (187) = .2565491279418952, (188) = .25793328354769857, (189) = .25931757012170775, (190) = .2607019897941404, (191) = .26208654465574116, (192) = .26347123667131855, (193) = .264856068275624, (194) = .2662410417438673, (195) = .2676261593281407, (196) = .26901142329464117, (197) = .2703968359064426, (198) = .271782399567847, (199) = .27316811676327185, (200) = .27455398966775013, (201) = .2759400206615168, (202) = .27732621216974207, (203) = .27871256664321076, (204) = .28009908655041044, (205) = .2814857743516166, (206) = .2828726325677525, (207) = .28425966375180295, (208) = .28564687048316406, (209) = .2870342553455162, (210) = .2884218207290383, (211) = .2898095694539269, (212) = .291197504465008, (213) = .29258562842648966, (214) = .2939739439126719, (215) = .2953624536900747, (216) = .29675116055351025, (217) = .2981400673257212, (218) = .29952917685755026, (219) = .3009184920281223, (220) = .3023080157412286, (221) = .3036977508857413, (222) = .3050877004109137, (223) = .3064778673087488, (224) = .307868254600403, (225) = .30925886535717767, (226) = .3106497028543532, (227) = .31204077006164993, (228) = .31343206983375443, (229) = .3148236053149538, (230) = .31621537986644616, (231) = .3176073967167804, (232) = .31899965912493106, (233) = .32039217038069967, (234) = .32178493380490375, (235) = .32317795274957556, (236) = .32457123059736265, (237) = .3259647707165327, (238) = .3273585766214344, (239) = .32875265189626823, (240) = .33014699985823515, (241) = .33154162403605797, (242) = .33293652800361623, (243) = .33433171536759054, (244) = .33572718976758076, (245) = .33712295483288307, (246) = .33851901410695084, (247) = .33991537119878207, (248) = .34131203011859057, (249) = .34270899468632393, (250) = .3441062687418857, (251) = .3455038561626409, (252) = .3469017610279619, (253) = .3482999872041916, (254) = .3496985384880963, (255) = .35109741889183893, (256) = .35249663246327473, (257) = .3538961832860718, (258) = .3552960754799457, (259) = .356696313200888, (260) = .3580969006414026, (261) = .35949784199790774, (262) = .36089914147854607, (263) = .36230080338344023, (264) = .36370283203762066, (265) = .3651052317690989, (266) = .36650800704159514, (267) = .36791116231844617, (268) = .3693147020904748, (269) = .3707186308599255, (270) = .3721229531280667, (271) = .37352767349724386, (272) = .3749327966121515, (273) = .37633832715718907, (274) = .3777442698567237, (275) = .3791506294753571, (276) = .3805574108185097, (277) = .38196461885713745, (278) = .3833722584139882, (279) = .38478033425154035, (280) = .3861888513359993, (281) = .38759781467658155, (282) = .38900722930401976, (283) = .3904171000664265, (284) = .39182743225521977, (285) = .3932382311435085, (286) = .3946495018726076, (287) = .39606124969587797, (288) = .3974734799759377, (289) = .3988861982272953, (290) = .40029940966242683, (291) = .4017131196888151, (292) = .4031273337927712, (293) = .40454205749407635, (294) = .4059572962841466, (295) = .40737305576734034, (296) = .4087893416109362, (297) = .41020615952889505, (298) = .41162351528218827, (299) = .4130414146791273, (300) = .41445986357535675, (301) = .4158788678180189, (302) = .41729843327349553, (303) = .4187185659613521, (304) = .42013927192914574, (305) = .4215605572737128, (306) = .42298242814163095, (307) = .42440489072957766, (308) = .42582795128469103, (309) = .4272516161006165, (310) = .4286758914383154, (311) = .4301007836616941, (312) = .4315262992826486, (313) = .4329524449559828, (314) = .4343792270503913, (315) = .4358066521457503, (316) = .4372347269036484, (317) = .43866345803778706, (318) = .4400928520636025, (319) = .4415229156946559, (320) = .44295365603301334, (321) = .4443850800157253, (322) = .4458171946310065, (323) = .44725000693331257, (324) = .4486835242079084, (325) = .45011775351981, (326) = .4515527019059028, (327) = .45298837657728963, (328) = .45442478486398064, (329) = .45586193415495607, (330) = .4572998318986233, (331) = .45873848560327724, (332) = .4601779028375639, (333) = .4616180912309586, (334) = .46305905840562883, (335) = .4645008121337585, (336) = .4659433602285095, (337) = .46738671018834305, (338) = .46883087019398845, (339) = .4702758482786178, (340) = .47172165250826464, (341) = .4731682910137464, (342) = .4746157719332567, (343) = .4760641034328381, (344) = .47751329383663793, (345) = .47896335153700836, (346) = .48041428502137185, (347) = .48186610300430677, (348) = .48331881393069215, (349) = .484772426403006, (350) = .4862269491087825, (351) = .487682390743389, (352) = .48913876017598795, (353) = .49059606628342994, (354) = .4920543178523452, (355) = .4935135242172139, (356) = .49497369459220125, (357) = .4964348382141258, (358) = .4978969645019361, (359) = .49936008273232524, (360) = .500824202198264, (361) = .5022893324339758, (362) = .5037554830519564, (363) = .5052226637424283, (364) = .506690884274013, (365) = .5081601544944155, (366) = .5096304843024101, (367) = .5111018835750254, (368) = .5125743624641982, (369) = .5140479312646583, (370) = .5155226000369081, (371) = .5169983790736371, (372) = .5184752785284998, (373) = .5199533090757009, (374) = .521432481398389, (375) = .5229128060345933, (376) = .5243942937186765, (377) = .5258769552977011, (378) = .5273608017426483, (379) = .5288458442634547, (380) = .5303320938100232, (381) = .5318195615353087, (382) = .5333082587247504, (383) = .5347981966307829, (384) = .536289386699657, (385) = .5377818405085106, (386) = .5392755697299612, (387) = .5407705861329885, (388) = .5422669015805849, (389) = .543764527961876, (390) = .545263477365434, (391) = .5467637618613239, (392) = .5482653936607933, (393) = .5497683851275443, (394) = .551272748728233, (395) = .5527784970334476, (396) = .5542856427187114, (397) = .5557941985654986, (398) = .5573041774589537, (399) = .558815592394124, (400) = .5603284564554106, (401) = .5618427826803531, (402) = .5633585843892897, (403) = .5648758750186976, (404) = .566394668118497, (405) = .5679149773498916, (406) = .5694368162508282, (407) = .5709601986389904, (408) = .5724851387395672, (409) = .5740116507898338, (410) = .5755397488491126, (411) = .5770694472791744, (412) = .5786007605766442, (413) = .5801337033623044, (414) = .5816682903823618, (415) = .5832045364047945, (416) = .5847424563170843, (417) = .586282065246859, (418) = .58782337849944, (419) = .5893664116468487, (420) = .5909111800290712, (421) = .5924576992556688, (422) = .5940059848650031, (423) = .595556052765468, (424) = .5971079190890182, (425) = .5986616000441246, (426) = .600217111982876, (427) = .6017744714299743, (428) = .6033336952246159, (429) = .6048947999951, (430) = .606457802610358, (431) = .6080227200853281, (432) = .609589569503278, (433) = .6111583682475985, (434) = .6127291338618207, (435) = .6143018840461325, (436) = .6158766366742684, (437) = .6174534099593932, (438) = .6190322216885424, (439) = .6206130901405787, (440) = .6221960338475004, (441) = .6237810714730007, (442) = .6253682218614497, (443) = .6269575040284355, (444) = .6285489371627027, (445) = .6301425406338298, (446) = .6317383341740271, (447) = .6333363373944011, (448) = .6349365698875126, (449) = .6365390517158668, (450) = .6381438031475619, (451) = .6397508446382816, (452) = .6413601968334754, (453) = .6429718805673719, (454) = .6445859167771804, (455) = .6462023266960789, (456) = .6478211316264219, (457) = .6494423531629924, (458) = .6510660131358385, (459) = .652692133581037, (460) = .6543207367431518, (461) = .6559518450777253, (462) = .6575854812549036, (463) = .6592216683138356, (464) = .6608604291658834, (465) = .6625017869232076, (466) = .66414576513338, (467) = .6657923875713, (468) = .6674416782415113, (469) = .6690936613678595, (470) = .6707483611138996, (471) = .672405802493762, (472) = .6740660104491418, (473) = .6757290099473455, (474) = .6773948264305508, (475) = .6790634855916671, (476) = .6807350133772224, (477) = .6824094359905607, (478) = .6840867798970816, (479) = .6857670720051414, (480) = .6874503391163014, (481) = .6891366082474315, (482) = .6908259069354937, (483) = .6925182629948505, (484) = .6942137044807658, (485) = .6959122594338173, (486) = .6976139567713288, (487) = .6993188257735151, (488) = .7010268955127374, (489) = .7027381952770186, (490) = .7044527549257371, (491) = .706170604626134, (492) = .7078917748573701, (493) = .7096162964146812, (494) = .7113442004168106, (495) = .7130755185048315, (496) = .7148102822788062, (497) = .7165485235515298, (498) = .7182902747646922, (499) = .7200355686185916, (500) = .7217844379154315, (501) = .723536916482575, (502) = .7252930384712135, (503) = .7270528379593667, (504) = .7288163492959338, (505) = .7305836072740864, (506) = .732354647213996, (507) = .7341295048199068, (508) = .7359082162183557, (509) = .7376908181319417, (510) = .7394773472574493, (511) = .741267840804561, (512) = .7430623363938905, (513) = .7448608719797472, (514) = .7466634859508446, (515) = .7484702170042878, (516) = .7502811049610979, (517) = .7520961899529082, (518) = .7539155120782861, (519) = .7557391120085242, (520) = .7575670308953559, (521) = .7593993102483234, (522) = .7612359922152636, (523) = .7630771195046661, (524) = .7649227354678392, (525) = .7667728834927938, (526) = .7686276076619638, (527) = .7704869526167853, (528) = .7723509631610739, (529) = .7742196849459169, (530) = .7760931646141989, (531) = .7779714486994097, (532) = .7798545845185458, (533) = .7817426199585538, (534) = .7836356034757072, (535) = .7855335841053139, (536) = .7874366116511778, (537) = .7893447361741838, (538) = .7912580082687206, (539) = .793176479381276, (540) = .7951002015847367, (541) = .7970292275466542, (542) = .7989636101966553, (543) = .800903404084347, (544) = .8028486639494362, (545) = .8047994448412038, (546) = .8067558027753247, (547) = .8087177945028123, (548) = .8106854775387432, (549) = .8126589103350321, (550) = .8146381515701361, (551) = .816623260834965, (552) = .8186142985471522, (553) = .8206113257854117, (554) = .8226144044187839, (555) = .8246235971321669, (556) = .8266389677056196, (557) = .8286605805839081, (558) = .8306885010383055, (559) = .8327227951966105, (560) = .834763530297551, (561) = .8368107741016577, (562) = .8388645951377812, (563) = .8409250631137491, (564) = .8429922486686715, (565) = .8450662234241797, (566) = .8471470602073182, (567) = .849234831843875, (568) = .851329612980924, (569) = .8534314793787522, (570) = .8555405075961428, (571) = .8576567753950551, (572) = .8597803617461065, (573) = .8619113461612615, (574) = .864049809528383, (575) = .8661958339093787, (576) = .86834950251868, (577) = .870510899952233, (578) = .8726801118581982, (579) = .8748572245868883, (580) = .8770423257851381, (581) = .8792355053231928, (582) = .8814368539134266, (583) = .8836464638181912, (584) = .8858644281365953, (585) = .8880908413514121, (586) = .8903257995279702, (587) = .8925694002702192, (588) = .8948217427531803, (589) = .8970829270321606, (590) = .8993530549212665, (591) = .9016322292657546, (592) = .9039205556919382, (593) = .9062181410187112, (594) = .9085250933121275, (595) = .9108415224712023, (596) = .9131675401763487, (597) = .9155032600650711, (598) = .9178487968689286, (599) = .9202042673798935, (600) = .9225697902944803, (601) = .924945486031647, (602) = .9273314772237826, (603) = .929727888570931, (604) = .9321348465367949, (605) = .9345524796762584, (606) = .9369809189357857, (607) = .9394202966845232, (608) = .9418707476489216, (609) = .9443324089505253, (610) = .9468054204316313, (611) = .9492899236674592, (612) = .9517860618390919, (613) = .9542939820654285, (614) = .9568138333542432, (615) = .9593457675388172, (616) = .9618899383499553, (617) = .9644465022912234, (618) = .9670156190977974, (619) = .9695974511495477, (620) = .9721921636713603, (621) = .9747999239186468, (622) = .9774209019030415, (623) = .9800552724788522, (624) = .9827032124186408, (625) = .9853649015860059, (626) = .988040524066292, (627) = .9907302667539597, (628) = .9934343192186098, (629) = .9961528748954874, (630) = .9988861308208321, (631) = 1.0016342880478035, (632) = 1.0043975497625073, (633) = 1.0071761242851285, (634) = 1.009970225205045, (635) = 1.0127800690536646, (636) = 1.015605875620496, (637) = 1.0184478694239976, (638) = 1.0213062796743257, (639) = 1.0241813390236154, (640) = 1.0270732840962247, (641) = 1.0299823580383793, (642) = 1.0329088092950969, (643) = 1.035852889965972, (644) = 1.038814857300214, (645) = 1.0417949739375465, (646) = 1.044793506823198, (647) = 1.0478107287831842, (648) = 1.050846918771745, (649) = 1.0539023597607569, (650) = 1.0569773426503382, (651) = 1.0600721653632827, (652) = 1.063187130576185, (653) = 1.066322546554366, (654) = 1.0694787290345305, (655) = 1.0726559993947236, (656) = 1.0758546862810943, (657) = 1.0790751250930546, (658) = 1.0823176602829447, (659) = 1.0855826442669294, (660) = 1.0888704358701204, (661) = 1.092181402107478, (662) = 1.0955159171112951, (663) = 1.0988743645228756, (664) = 1.1022571355315258, (665) = 1.1056646299517416, (666) = 1.1090972589316914, (667) = 1.1125554441875172, (668) = 1.1160396152401666, (669) = 1.119550211880781, (670) = 1.1230876831012677, (671) = 1.1266524896728969, (672) = 1.1302451008339673, (673) = 1.1338660002729686, (674) = 1.1375156839951497, (675) = 1.1411946612235118, (676) = 1.144899811654508, (677) = 1.1486215201081762, (678) = 1.1523556695546873, (679) = 1.156101939565587, (680) = 1.1598604089679339, (681) = 1.163631157357081, (682) = 1.1674142653250532, (683) = 1.171209814710945, (684) = 1.1750178875523059, (685) = 1.1788385666523737, (686) = 1.1826719356359061, (687) = 1.1865180789599994, (688) = 1.190377081925106, (689) = 1.194249030686321, (690) = 1.198134012437506, (691) = 1.2020321158345684, (692) = 1.2059434297823985, (693) = 1.2098680440037457, (694) = 1.213806049135844, (695) = 1.217757536742776, (696) = 1.2217225993280851, (697) = 1.225701330347687, (698) = 1.229693824352706, (699) = 1.2337001775717953, (700) = 1.2377204865738245, (701) = 1.241754848794014, (702) = 1.245803362688565, (703) = 1.2498661277488397, (704) = 1.253943244515854, (705) = 1.2580348145951035, (706) = 1.26214094076149, (707) = 1.2662617276806323, (708) = 1.2703972805004395, (709) = 1.2745477052784862, (710) = 1.2787131092157866, (711) = 1.282893600673123, (712) = 1.2870892891877654, (713) = 1.2913002854905606, (714) = 1.29552670157795, (715) = 1.299768651544287, (716) = 1.3040262501716942, (717) = 1.3082996131882167, (718) = 1.3125888576067257, (719) = 1.3168941017437907, (720) = 1.3212154652390533, (721) = 1.3255530690750084, (722) = 1.3299070356231832, (723) = 1.3342774895493952, (724) = 1.3386645564917188, (725) = 1.3430683630610136, (726) = 1.3474890373168915, (727) = 1.3519267087896336, (728) = 1.3563815085027329, (729) = 1.3608535689958963, (730) = 1.3653430243551377, (731) = 1.3698500111400114, (732) = 1.3743746672653114, (733) = 1.3789171316331488, (734) = 1.383477544785311, (735) = 1.388056048928832, (736) = 1.3926527879623487, (737) = 1.3972679075029717, (738) = 1.401901554913477, (739) = 1.4065538801841713, (740) = 1.4112250351663775, (741) = 1.4159151726973331, (742) = 1.4206244474773722, (743) = 1.4253530160999244, (744) = 1.4301010370824825, (745) = 1.434868670898153, (746) = 1.4396560800076672, (747) = 1.444463429656994, (748) = 1.4492908875529293, (749) = 1.454138622405888, (750) = 1.4590068050422649, (751) = 1.463895608449737, (752) = 1.4688052078138407, (753) = 1.473735780555223, (754) = 1.4786875063675227, (755) = 1.4836605679268406, (756) = 1.488655151028267, (757) = 1.493671442551222, (758) = 1.4987096317696607, (759) = 1.5037699104362283, (760) = 1.508852472825708, (761) = 1.5139575157792533, (762) = 1.519085238749478, (763) = 1.5242358444188846, (764) = 1.5294095393117049, (765) = 1.5346065312017068, (766) = 1.5398270305651562, (767) = 1.5450712507348858, (768) = 1.5503394079522146, (769) = 1.555631721419805, (770) = 1.5609484133556542, (771) = 1.5662897095191526, (772) = 1.571655840305661, (773) = 1.5770470376380896, (774) = 1.5824635364837751, (775) = 1.5879055751193332, (776) = 1.5933733951931073, (777) = 1.5988672417887506, (778) = 1.604387363490307, (779) = 1.6099340128169315, (780) = 1.6155074477971847, (781) = 1.6211079284154652, (782) = 1.6267357180821482, (783) = 1.632391084062948, (784) = 1.6380742975545548, (785) = 1.6437856337616725, (786) = 1.6495253719760223, (787) = 1.6552937959242657, (788) = 1.6610911958036205, (789) = 1.666917864395583, (790) = 1.6727740983359285, (791) = 1.6786601987792606, (792) = 1.6845764714913098, (793) = 1.6905232269430073, (794) = 1.6965007804071246, (795) = 1.7025094522290694, (796) = 1.7085495702830715, (797) = 1.714621465923076, (798) = 1.720725474841508, (799) = 1.7268619380621908, (800) = 1.7330312020538947, (801) = 1.7392336188461879, (802) = 1.7454695461486343, (803) = 1.75173934756159, (804) = 1.7580433953799333, (805) = 1.7643820666309495, (806) = 1.7707557432324716, (807) = 1.7771648134374503, (808) = 1.783609671974877, (809) = 1.790090720193776, (810) = 1.7966083662115546, (811) = 1.8031630250927506, (812) = 1.809755121880793, (813) = 1.8163850880844192, (814) = 1.8230533607388288, (815) = 1.8297603844657964, (816) = 1.836506611650262, (817) = 1.8432925026210967, (818) = 1.8501185258375723, (819) = 1.8569851580797119, (820) = 1.8638928875215928, (821) = 1.8708422111848393, (822) = 1.8778336323591163, (823) = 1.884867663497001, (824) = 1.8919448264376069, (825) = 1.8990656526360192, (826) = 1.9062306834002287, (827) = 1.9134404701330905, (828) = 1.9206955772966228, (829) = 1.9279965813078315, (830) = 1.9353440658357468, (831) = 1.9427386256936352, (832) = 1.9501808671520542, (833) = 1.9576714082335904, (834) = 1.9652108790175236, (835) = 1.9727999219515, (836) = 1.9804391946930398, (837) = 1.9881293706853667, (838) = 1.9958711321159286, (839) = 2.003665174797045, (840) = 2.0115122086729227, (841) = 2.0194129582033384, (842) = 2.027368162760606, (843) = 2.0353785770365613, (844) = 2.0434449737524933, (845) = 2.051568146188454, (846) = 2.0597488986026797, (847) = 2.067988052030137, (848) = 2.076286445140284, (849) = 2.0846449347439577, (850) = 2.0930643963182676, (851) = 2.1015457245461526, (852) = 2.1100898358947373, (853) = 2.1186976734134326, (854) = 2.127370194454674, (855) = 2.136108377219933, (856) = 2.1449132222033547, (857) = 2.1537857528724897, (858) = 2.162727016373893, (859) = 2.1717380842606344, (860) = 2.180820054956229, (861) = 2.189974061181317, (862) = 2.1992012549078557, (863) = 2.2085028143191905, (864) = 2.2178799461943024, (865) = 2.2273338868390584, (866) = 2.2368659030525166, (867) = 2.246477293126729, (868) = 2.2561693892454824, (869) = 2.2659435679424913, (870) = 2.2758012324033503, (871) = 2.285743819240173, (872) = 2.295772802357273, (873) = 2.305889694252036, (874) = 2.3160960473665173, (875) = 2.3263934554914436, (876) = 2.336783556208281, (877) = 2.347268044814795, (878) = 2.357848654433577, (879) = 2.368527161564203, (880) = 2.3793053922671215, (881) = 2.390185224024763, (882) = 2.4011685876783524, (883) = 2.412257469448854, (884) = 2.4234539136406643, (885) = 2.4347600404744036, (886) = 2.446178025101051, (887) = 2.4577101001656905, (888) = 2.469358565629604, (889) = 2.481125791507235, (890) = 2.4930142207203474, (891) = 2.5050263720913337, (892) = 2.5171648437330707, (893) = 2.529432335165457, (894) = 2.5418316275254136, (895) = 2.554365580139517, (896) = 2.5670371461186656, (897) = 2.579849376514387, (898) = 2.5928054246647703, (899) = 2.605908550778625, (900) = 2.619162126833561, (901) = 2.632569663142517, (902) = 2.6461347943000617, (903) = 2.659861264611737, (904) = 2.6737529530211117, (905) = 2.6878138796655566, (906) = 2.702048212755224, (907) = 2.7164602758773446, (908) = 2.7310545558218275, (909) = 2.745835734226222, (910) = 2.760808686195202, (911) = 2.7759784475562936, (912) = 2.7913502543066806, (913) = 2.8069295536324446, (914) = 2.8227220153170425, (915) = 2.838733543949099, (916) = 2.854970292064218, (917) = 2.871438699788678, (918) = 2.888145514922433, (919) = 2.905097734808061, (920) = 2.9223026670722483, (921) = 2.939767949801446, (922) = 2.9575015715764073, (923) = 2.975511893108498, (924) = 2.9938076706819507, (925) = 3.0123981097115156, (926) = 3.0312929226153376, (927) = 3.0505022354749176, (928) = 3.0700366817846065, (929) = 3.089907442192935, (930) = 3.1101262823047593, (931) = 3.1307055939682473, (932) = 3.151658440403262, (933) = 3.17299863689639, (934) = 3.1947408808148308, (935) = 3.2168540510167594, (936) = 3.2391870390111195, (937) = 3.2615380304579773, (938) = 3.283889021904835, (939) = 3.306240013351693, (940) = 3.3285910047985507, (941) = 3.3509419962454086, (942) = 3.373292987692266, (943) = 3.3956439791391237, (944) = 3.4179949705859816, (945) = 3.4403459620328394, (946) = 3.462696953479697, (947) = 3.485047944926555, (948) = 3.507398936373413, (949) = 3.52974992782027, (950) = 3.552100919267128, (951) = 3.574451910713986, (952) = 3.5968029021608436, (953) = 3.6191538936077015, (954) = 3.6415048850545593, (955) = 3.663855876501417, (956) = 3.686206867948275, (957) = 3.7085578593951327, (958) = 3.73090885084199, (959) = 3.7532598422888475, (960) = 3.7756108337357053, (961) = 3.797961825182563, (962) = 3.820312816629421, (963) = 3.8426638080762787, (964) = 3.8650147995231365, (965) = 3.8873657909699944, (966) = 3.9097167824168517, (967) = 3.9320677738637095, (968) = 3.9544187653105674, (969) = 3.976769756757425, (970) = 3.999120748204283, (971) = 4.02147173965114, (972) = 4.043822731097998, (973) = 4.066173722544855, (974) = 4.0885247139917125, (975) = 4.11087570543857, (976) = 4.133226696885427, (977) = 4.155577688332285, (978) = 4.177928679779142, (979) = 4.200279671225999, (980) = 4.222630662672857, (981) = 4.244981654119714, (982) = 4.267332645566571, (983) = 4.289683637013429, (984) = 4.312034628460286, (985) = 4.3343856199071435, (986) = 4.356736611354001, (987) = 4.379087602800858, (988) = 4.401438594247716, (989) = 4.423789585694573, (990) = 4.44614057714143, (991) = 4.468491568588288, (992) = 4.490842560035145, (993) = 4.5131935514820025, (994) = 4.53554454292886, (995) = 4.557895534375717, (996) = 4.580246525822575, (997) = 4.602597517269432, (998) = 4.624948508716289, (999) = 4.647299500163147, (1000) = 4.669650491610004, (1001) = 4.6920014830568615, (1002) = 4.714352474503719, (1003) = 4.736703465950576, (1004) = 4.759054457397434, (1005) = 4.781404799216934, (1006) = 4.803555857025029, (1007) = 4.825329686230723, (1008) = 4.846700636344939, (1009) = 4.8676831083435275, (1010) = 4.888290952653194, (1011) = 4.908537294095524, (1012) = 4.928434581450934, (1013) = 4.947994633123792, (1014) = 4.967228691727494, (1015) = 4.986147518163103, (1016) = 5.004761276508341, (1017) = 5.023079633398372, (1018) = 5.041111804609516, (1019) = 5.058866582531506, (1020) = 5.076352361588239, (1021) = 5.09357716190287, (1022) = 5.1105486565984455, (1023) = 5.127274237201391, (1024) = 5.143760931874562, (1025) = 5.160015457547712, (1026) = 5.176044252673672, (1027) = 5.19185349232541, (1028) = 5.207449102305179, (1029) = 5.222836772381203, (1030) = 5.23802197066452, (1031) = 5.253009989797105, (1032) = 5.267805891412894, (1033) = 5.282414530558621, (1034) = 5.2968405811234165, (1035) = 5.311088544681818, (1036) = 5.325162758827864, (1037) = 5.339067405039756, (1038) = 5.35280651662894, (1039) = 5.366384011238592, (1040) = 5.379803655242292, (1041) = 5.393069071006316, (1042) = 5.40618375802217, (1043) = 5.419151098359772, (1044) = 5.431974361844646, (1045) = 5.444656710965365, (1046) = 5.4572012055466255, (1047) = 5.4696108251174795, (1048) = 5.481888448354184, (1049) = 5.494036849299753, (1050) = 5.506058715740416, (1051) = 5.517956652713927, (1052) = 5.529733185862249, (1053) = 5.541390764620423, (1054) = 5.552931765213083, (1055) = 5.564358505380218, (1056) = 5.575673235101015, (1057) = 5.5868781256059545, (1058) = 5.597975285797476, (1059) = 5.60896676459784, (1060) = 5.6198545531974125, (1061) = 5.6306405871987, (1062) = 5.641326748641649, (1063) = 5.651914875558652, (1064) = 5.662406759797797, (1065) = 5.672804132667184, (1066) = 5.683108679173514, (1067) = 5.693322039792036, (1068) = 5.703445812019707, (1069) = 5.713481551859294, (1070) = 5.7234307752280085, (1071) = 5.73329496415095, (1072) = 5.743075568601532, (1073) = 5.752773991399771, (1074) = 5.762391600059989, (1075) = 5.771929728345036, (1076) = 5.78138967736705, (1077) = 5.790772716640899, (1078) = 5.800080085088443, (1079) = 5.809312995024561, (1080) = 5.818472636114437, (1081) = 5.827560160964602, (1082) = 5.836576694603791, (1083) = 5.845523336015868, (1084) = 5.854401158937535, (1085) = 5.86321121262265, (1086) = 5.871954522573818, (1087) = 5.8806320930735545, (1088) = 5.88924491207937, (1089) = 5.897793938267356, (1090) = 5.9062801082831475, (1091) = 5.914704338354773, (1092) = 5.923067524882176, (1093) = 5.9313705450025465, (1094) = 5.9396142571335035, (1095) = 5.9477995025488, (1096) = 5.955927110480759, (1097) = 5.963997886982035, (1098) = 5.972012620132422, (1099) = 5.97997208178041, (1100) = 5.987877027986439, (1101) = 5.9957281994482905, (1102) = 6.003526321911202, (1103) = 6.01127210712413, (1104) = 6.018966257702434, (1105) = 6.02660945794393, (1106) = 6.034202377192057, (1107) = 6.041745671725249, (1108) = 6.049239985095399, (1109) = 6.056685948452867, (1110) = 6.0640841808608235, (1111) = 6.071435289860439, (1112) = 6.0787398758276145, (1113) = 6.085998524747034, (1114) = 6.0932118099292065, (1115) = 6.100380294050164, (1116) = 6.10750452941349, (1117) = 6.1145850582020875, (1118) = 6.121622412722367, (1119) = 6.128617115734664, (1120) = 6.135569684154111, (1121) = 6.142480623711917, (1122) = 6.149350429212049, (1123) = 6.156179586714717, (1124) = 6.162968573741763, (1125) = 6.169717859474135, (1126) = 6.176427904943899, (1127) = 6.183099163237174, (1128) = 6.189732082464176, (1129) = 6.196327102197348, (1130) = 6.202884652437874, (1131) = 6.209405155931775, (1132) = 6.215889028332733, (1133) = 6.22233667835873, (1134) = 6.228748507944705, (1135) = 6.235124912390897, (1136) = 6.241466282578786, (1137) = 6.247773003049917, (1138) = 6.25404544984294, (1139) = 6.260283992925494, (1140) = 6.266488996325331, (1141) = 6.272660818255867, (1142) = 6.278799811238757, (1143) = 6.28490632222301, (1144) = 6.290980694174713, (1145) = 6.297023265413213, (1146) = 6.3030343667041295, (1147) = 6.309014323669091, (1148) = 6.314963456917427, (1149) = 6.320882082147755, (1150) = 6.326770510247313, (1151) = 6.33262904738849, (1152) = 6.338457996150776, (1153) = 6.344257655709279, (1154) = 6.350028318576862, (1155) = 6.355770272842545, (1156) = 6.3614838023364255, (1157) = 6.3671691867126, (1158) = 6.372826701530332, (1159) = 6.3784566183329705, (1160) = 6.384059205422717, (1161) = 6.389634728600404, (1162) = 6.395183447837537, (1163) = 6.400705619244085, (1164) = 6.406201495288093, (1165) = 6.411671324863907, (1166) = 6.417115353359028, (1167) = 6.422533822719128, (1168) = 6.427926971967931, (1169) = 6.433295038274226, (1170) = 6.4386382537527265, (1171) = 6.443956847097584, (1172) = 6.449251043870226, (1173) = 6.4545210665559125, (1174) = 6.459767134619187, (1175) = 6.46498946455784, (1176) = 6.470188270238767, (1177) = 6.475363764125736, (1178) = 6.48051615434806, (1179) = 6.485645645961562, (1180) = 6.490752441312572, (1181) = 6.49583674008514, (1182) = 6.500898739347333, (1183) = 6.505938633596336, (1184) = 6.5109566149648295, (1185) = 6.515952874486294, (1186) = 6.520927599526407, (1187) = 6.525880974651328, (1188) = 6.530813182071833, (1189) = 6.53572440168298, (1190) = 6.540614811103008, (1191) = 6.545484585711258, (1192) = 6.550333898767153, (1193) = 6.555162922622411, (1194) = 6.559971826577668, (1195) = 6.564760777350811, (1196) = 6.56952993960244, (1197) = 6.574279475969404, (1198) = 6.579009547097664, (1199) = 6.583720311674378, (1200) = 6.588411926491902, (1201) = 6.593084547541017, (1202) = 6.597738328331403, (1203) = 6.602373419961777, (1204) = 6.606989971725969, (1205) = 6.6115881311414215, (1206) = 6.616168043977115, (1207) = 6.620729854280856, (1208) = 6.625273704413289, (1209) = 6.629799735975012, (1210) = 6.634308088611934, (1211) = 6.6387988996953045, (1212) = 6.643272305006327, (1213) = 6.647728438760528, (1214) = 6.652167433631586, (1215) = 6.656589420774672, (1216) = 6.660994529849638, (1217) = 6.665382889749256, (1218) = 6.6697546278974835, (1219) = 6.674109869551884, (1220) = 6.678448738563764, (1221) = 6.682771357399121, (1222) = 6.687077847159084, (1223) = 6.691368327599973, (1224) = 6.695642917153209, (1225) = 6.699901733468242, (1226) = 6.704144893131508, (1227) = 6.708372510677416, (1228) = 6.712584699384995, (1229) = 6.716781571303092, (1230) = 6.720963237267985, (1231) = 6.725129806920699, (1232) = 6.729281388724179, (1233) = 6.733418090360076, (1234) = 6.737540018754783, (1235) = 6.741647278921578, (1236) = 6.7457399747370745, (1237) = 6.749818208981715, (1238) = 6.753882083355008, (1239) = 6.757931698490542, (1240) = 6.7619671539708595, (1241) = 6.765988548610135, (1242) = 6.769995980695763, (1243) = 6.7739895467583455, (1244) = 6.777969342284508, (1245) = 6.781935461780951, (1246) = 6.785887998787692, (1247) = 6.789827045891132, (1248) = 6.793752694736986, (1249) = 6.797665036225105, (1250) = 6.801564160892885, (1251) = 6.805450157689099, (1252) = 6.809323114590128, (1253) = 6.813183118693667, (1254) = 6.817030256230274, (1255) = 6.820864612574783, (1256) = 6.824686272257596, (1257) = 6.8284953190931565, (1258) = 6.83229183664588, (1259) = 6.8360759070672295, (1260) = 6.839847611590734, (1261) = 6.843607030659735, (1262) = 6.847354243937489, (1263) = 6.851089330317182, (1264) = 6.854812367931811, (1265) = 6.858523434233982, (1266) = 6.862222606496749, (1267) = 6.865909960759993, (1268) = 6.869585572186223, (1269) = 6.873249515225388, (1270) = 6.876901863623755, (1271) = 6.880542690432713, (1272) = 6.884172068017467, (1273) = 6.887790068102617, (1274) = 6.891396762269854, (1275) = 6.8949922210489545, (1276) = 6.898576514121605, (1277) = 6.902149710525259, (1278) = 6.905711878660958, (1279) = 6.909263086301105, (1280) = 6.912803400597128, (1281) = 6.916332888102726, (1282) = 6.919851615238103, (1283) = 6.923359647552258, (1284) = 6.926857049766241, (1285) = 6.9303438860172, (1286) = 6.933820219865289, (1287) = 6.937286114300557, (1288) = 6.940741631749719, (1289) = 6.94418683408679, (1290) = 6.947621783039892, (1291) = 6.951046539644554, (1292) = 6.954461164121096, (1293) = 6.9578657161593656, (1294) = 6.961260254924866, (1295) = 6.9646448390648645, (1296) = 6.968019526714407, (1297) = 6.971384375502257, (1298) = 6.974739442881528, (1299) = 6.97808478578806, (1300) = 6.981420460349267, (1301) = 6.984746522209545, (1302) = 6.9880630265357215, (1303) = 6.991370028022493, (1304) = 6.9946675808977785, (1305) = 6.997955738927988, (1306) = 7.001234555670139, (1307) = 7.004504084320527, (1308) = 7.0077643772787495, (1309) = 7.011015486501217, (1310) = 7.014257463508445, (1311) = 7.017490359389909, (1312) = 7.020714224808822, (1313) = 7.023929110006838, (1314) = 7.027135064992245, (1315) = 7.030332139533606, (1316) = 7.03352038263119, (1317) = 7.036699842872261, (1318) = 7.039870568445417, (1319) = 7.043032607144927, (1320) = 7.046186006375012, (1321) = 7.049330813154053, (1322) = 7.0524670742513935, (1323) = 7.055594836287542, (1324) = 7.058714145156649, (1325) = 7.061825046361948, (1326) = 7.064927585041339, (1327) = 7.068021805971287, (1328) = 7.071107753570649, (1329) = 7.074185471904463, (1330) = 7.07725500478003, (1331) = 7.080316395921317, (1332) = 7.083369688378713, (1333) = 7.086414924827, (1334) = 7.089452147605552, (1335) = 7.092481398721838, (1336) = 7.095502719854859, (1337) = 7.098516152358561, (1338) = 7.101521737326306, (1339) = 7.1045195158122345, (1340) = 7.107509528258274, (1341) = 7.1104918147404, (1342) = 7.113466415026105, (1343) = 7.116433368577546, (1344) = 7.119392714554652, (1345) = 7.1223444918181915, (1346) = 7.12528873897039, (1347) = 7.12822549460038, (1348) = 7.13115479675314, (1349) = 7.134076683112648, (1350) = 7.136991191078665, (1351) = 7.139898357769592, (1352) = 7.142798220025263, (1353) = 7.14569081440972, (1354) = 7.148576177234588, (1355) = 7.151454344809409, (1356) = 7.1543253529727675, (1357) = 7.157189237203273, (1358) = 7.160046032717258, (1359) = 7.162895774471349, (1360) = 7.165738497165003, (1361) = 7.168574235243016, (1362) = 7.171403022907273, (1363) = 7.1742248943559295, (1364) = 7.177039883393203, (1365) = 7.179848023461118, (1366) = 7.182649347759282, (1367) = 7.185443889247211, (1368) = 7.1882316806466315, (1369) = 7.191012754443754, (1370) = 7.1937871428941795, (1371) = 7.196554878237562, (1372) = 7.199315992399363, (1373) = 7.202070516937965, (1374) = 7.204818483187344, (1375) = 7.207559922259183, (1376) = 7.210294865044963, (1377) = 7.213023342218031, (1378) = 7.2157453842357135, (1379) = 7.218461021518386, (1380) = 7.221170284253794, (1381) = 7.223873202255523, (1382) = 7.226569805129124, (1383) = 7.2292601222740345, (1384) = 7.231944182885482, (1385) = 7.234622015956365, (1386) = 7.237293650279094, (1387) = 7.239959114584527, (1388) = 7.242618437448007, (1389) = 7.245271647065528, (1390) = 7.247918771439038, (1391) = 7.250559838379105, (1392) = 7.253194875506651, (1393) = 7.255823910254669, (1394) = 7.258446969869904, (1395) = 7.261064081518126, (1396) = 7.26367527227041, (1397) = 7.266280568823011, (1398) = 7.268879997688027, (1399) = 7.271473585199616, (1400) = 7.27406135751558, (1401) = 7.276643340618936, (1402) = 7.279219560319442, (1403) = 7.281790042331292, (1404) = 7.284354812320185, (1405) = 7.286913895590076, (1406) = 7.289467317267056, (1407) = 7.2920151023115585, (1408) = 7.2945572755198045, (1409) = 7.2970938615252425, (1410) = 7.299624884799947, (1411) = 7.30215036971002, (1412) = 7.304670340606602, (1413) = 7.307184821499381, (1414) = 7.309693836223392, (1415) = 7.312197408459251, (1416) = 7.314695561734483, (1417) = 7.317188319424837, (1418) = 7.319675704755567, (1419) = 7.32215774083919, (1420) = 7.324634450795812, (1421) = 7.327105857430445, (1422) = 7.329571983374029, (1423) = 7.332032851113382, (1424) = 7.334488482992429, (1425) = 7.336938901213396, (1426) = 7.339384127838003, (1427) = 7.341824184811611, (1428) = 7.344259094100232, (1429) = 7.346688877386205, (1430) = 7.34911355617613, (1431) = 7.351533151841944, (1432) = 7.353947685622046, (1433) = 7.356357178622401, (1434) = 7.3587616518176295, (1435) = 7.361161126065112, (1436) = 7.363555622247729, (1437) = 7.365945161000321, (1438) = 7.368329762778409, (1439) = 7.370709447911547, (1440) = 7.373084236604355, (1441) = 7.375454148937537, (1442) = 7.377819204868879, (1443) = 7.3801794242404055, (1444) = 7.382534826917414, (1445) = 7.384885432556255, (1446) = 7.387231260628763, (1447) = 7.389572330488806, (1448) = 7.391908661373247, (1449) = 7.394240272402868, (1450) = 7.396567182583302, (1451) = 7.398889410807933, (1452) = 7.401206975985099, (1453) = 7.403519896856096, (1454) = 7.405828191971147, (1455) = 7.408131879769888, (1456) = 7.41043097858225, (1457) = 7.412725506629318, (1458) = 7.41501548202419, (1459) = 7.417300922772969, (1460) = 7.4195818468831805, (1461) = 7.421858272239463, (1462) = 7.424130216527683, (1463) = 7.426397697329928, (1464) = 7.428660732125325, (1465) = 7.430919338290835, (1466) = 7.43317353310204, (1467) = 7.435423333733933, (1468) = 7.4376687573463425, (1469) = 7.439909821020014, (1470) = 7.442146541629687, (1471) = 7.444378935952264, (1472) = 7.446607020667917, (1473) = 7.448830812360828, (1474) = 7.451050327519912, (1475) = 7.453265582539552, (1476) = 7.455476593785075, (1477) = 7.457683377578142, (1478) = 7.4598859500328825, (1479) = 7.462084327169436, (1480) = 7.464278524916985, (1481) = 7.466468559114427, (1482) = 7.468654445511061, (1483) = 7.470836199767254, (1484) = 7.473013837503344, (1485) = 7.475187374323214, (1486) = 7.477356825627181, (1487) = 7.4795222067234635, (1488) = 7.481683532834661, (1489) = 7.48384081909839, (1490) = 7.48599408056791, (1491) = 7.488143332212749, (1492) = 7.490288588954009, (1493) = 7.492429865716297, (1494) = 7.494567177229397, (1495) = 7.4967005381311695, (1496) = 7.498829962978815, (1497) = 7.500955466249461, (1498) = 7.503077062340749, (1499) = 7.5051947655714075, (1500) = 7.507308590205645, (1501) = 7.509418550524714, (1502) = 7.511524660627934, (1503) = 7.513626934521385, (1504) = 7.515725386135089, (1505) = 7.517820029323561, (1506) = 7.519910877866347, (1507) = 7.521997945468563, (1508) = 7.524081245776739, (1509) = 7.526160792462326, (1510) = 7.528236599031322, (1511) = 7.530308678893864, (1512) = 7.532377045388315, (1513) = 7.534441711781771, (1514) = 7.536502691270563, (1515) = 7.538559996980762, (1516) = 7.540613641977586, (1517) = 7.5426636393540525, (1518) = 7.5447100020573, (1519) = 7.546752742934862, (1520) = 7.548791874766476, (1521) = 7.5508274102645645, (1522) = 7.5528593620747, (1523) = 7.55488774277607, (1524) = 7.55691256488634, (1525) = 7.558933840949454, (1526) = 7.560951583385703, (1527) = 7.562965804511047, (1528) = 7.56497651657737, (1529) = 7.566983731772911, (1530) = 7.568987462222709, (1531) = 7.570987719989034, (1532) = 7.572984517073371, (1533) = 7.574977865498086, (1534) = 7.576967777186391, (1535) = 7.578954263951601, (1536) = 7.580937337546414, (1537) = 7.582917009663318, (1538) = 7.584893291935, (1539) = 7.58686619593475, (1540) = 7.588835733177049, (1541) = 7.590801915188476, (1542) = 7.5927647534228635, (1543) = 7.594724259217868, (1544) = 7.596680443853756, (1545) = 7.598633318553786, (1546) = 7.600582894484596, (1547) = 7.602529182756572, (1548) = 7.604472194424234, (1549) = 7.606411940542953, (1550) = 7.60834843212261, (1551) = 7.610281680050527, (1552) = 7.612211695159525, (1553) = 7.614138488228412, (1554) = 7.616062069982338, (1555) = 7.617982451093149, (1556) = 7.6198996421797425, (1557) = 7.6218136538519525, (1558) = 7.623724496696834, (1559) = 7.625632181175908, (1560) = 7.627536717697904, (1561) = 7.6294381166203395, (1562) = 7.63133638824985, (1563) = 7.633231542842519, (1564) = 7.63512359060421, (1565) = 7.637012541723672, (1566) = 7.638898406384515, (1567) = 7.640781194645519, (1568) = 7.642660916513175, (1569) = 7.644537581945381, (1570) = 7.646411200851751, (1571) = 7.648281783093926, (1572) = 7.650149338485883, (1573) = 7.652013876818102, (1574) = 7.653875407889021, (1575) = 7.655733941376214, (1576) = 7.657589486904393, (1577) = 7.659442054052134, (1578) = 7.661291652352162, (1579) = 7.663138291291645, (1580) = 7.664981980312485, (1581) = 7.666822728828208, (1582) = 7.668660546269317, (1583) = 7.670495441952304, (1584) = 7.672327425139284, (1585) = 7.674156505048531, (1586) = 7.675982690854755, (1587) = 7.6778059916893735, (1588) = 7.679626416640785, (1589) = 7.681443974765498, (1590) = 7.683258675142344, (1591) = 7.685070526745568, (1592) = 7.686879538492669, (1593) = 7.688685719259472, (1594) = 7.6904890778803745, (1595) = 7.692289623148611, (1596) = 7.694087363816504, (1597) = 7.695882308602196, (1598) = 7.697674466248216, (1599) = 7.699463845404192, (1600) = 7.701250454659897, (1601) = 7.703034302565456, (1602) = 7.704815397631581, (1603) = 7.7065937483298175, (1604) = 7.708369363092783, (1605) = 7.710142250317718, (1606) = 7.71191241842538, (1607) = 7.713679875757298, (1608) = 7.715444630591383, (1609) = 7.717206691167804, (1610) = 7.718966065689209, (1611) = 7.720722762320957, (1612) = 7.722476789191341, (1613) = 7.724228154393074, (1614) = 7.725976866038884, (1615) = 7.727722932177695, (1616) = 7.72946636079047, (1617) = 7.731207159822223, (1618) = 7.732945337182231, (1619) = 7.7346809007442445, (1620) = 7.736413858346703, (1621) = 7.7381442177931445, (1622) = 7.739871986901281, (1623) = 7.741597173441966, (1624) = 7.743319785113253, (1625) = 7.745039829578932, (1626) = 7.746757314468729, (1627) = 7.748472247378511, (1628) = 7.750184635870482, (1629) = 7.75189448747338, (1630) = 7.753601809722344, (1631) = 7.755306610123695, (1632) = 7.757008896105828, (1633) = 7.758708675064425, (1634) = 7.760405954362687, (1635) = 7.762100741331517, (1636) = 7.763793043269714, (1637) = 7.765482867444154, (1638) = 7.76717022112089, (1639) = 7.768855111552736, (1640) = 7.770537545911486, (1641) = 7.772217531337076, (1642) = 7.773895074938449, (1643) = 7.775570183793728, (1644) = 7.777242864950399, (1645) = 7.77891312542548, (1646) = 7.780580972229186, (1647) = 7.782246412370729, (1648) = 7.783909452777763, (1649) = 7.785570100346137, (1650) = 7.787228361942106, (1651) = 7.788884244402507, (1652) = 7.790537754534915, (1653) = 7.792188899117819, (1654) = 7.793837684918052, (1655) = 7.795484118710641, (1656) = 7.797128207190828, (1657) = 7.798769957021372, (1658) = 7.80040937483677, (1659) = 7.8020464672434064, (1660) = 7.803681240819721, (1661) = 7.805313702116356, (1662) = 7.806943857668493, (1663) = 7.808571714025932, (1664) = 7.810197277662543, (1665) = 7.811820555018388, (1666) = 7.813441552506511, (1667) = 7.815060276513095, (1668) = 7.816676733397606, (1669) = 7.818290929492943, (1670) = 7.8199028711136735, (1671) = 7.821512564592903, (1672) = 7.823120016193532, (1673) = 7.824725232142737, (1674) = 7.826328218641861, (1675) = 7.827928981866561, (1676) = 7.829527527966944, (1677) = 7.831123863067707, (1678) = 7.832717993273207, (1679) = 7.834309924707983, (1680) = 7.835899663433771, (1681) = 7.837487215474144, (1682) = 7.839072586827959, (1683) = 7.840655783469499, (1684) = 7.8422368113486005, (1685) = 7.84381567639079, (1686) = 7.845392384500022, (1687) = 7.846966941600013, (1688) = 7.848539353560586, (1689) = 7.850109626210489, (1690) = 7.851677765354815, (1691) = 7.853243776775132, (1692) = 7.854807666229612, (1693) = 7.8563694394531485, (1694) = 7.857929102158551, (1695) = 7.859486660076099, (1696) = 7.861042118892433, (1697) = 7.8625954842497885, (1698) = 7.864146761767749, (1699) = 7.865695957043372, (1700) = 7.867243075651303, (1701) = 7.868788123143899, (1702) = 7.870331105051558, (1703) = 7.871872026918169, (1704) = 7.873410894255436, (1705) = 7.874947712526955, (1706) = 7.8764824871746235, (1707) = 7.878015223618752, (1708) = 7.8795459272581825, (1709) = 7.881074603470395, (1710) = 7.8826012576116256, (1711) = 7.884125895046118, (1712) = 7.885648521118413, (1713) = 7.887169141120937, (1714) = 7.888687760325311, (1715) = 7.890204383982467, (1716) = 7.891719017322754, (1717) = 7.893231665556047, (1718) = 7.89474233387185, (1719) = 7.896251027462283, (1720) = 7.897757751510996, (1721) = 7.899262511146688, (1722) = 7.900765311477734, (1723) = 7.9022661575926705, (1724) = 7.903765054560294, (1725) = 7.905262007429767, (1726) = 7.906757021230713, (1727) = 7.908250100990842, (1728) = 7.909741251738308, (1729) = 7.9112304784453205, (1730) = 7.912717786063682, (1731) = 7.914203179526162, (1732) = 7.915686663746589, (1733) = 7.9171682436199555, (1734) = 7.918647924022506, (1735) = 7.92012570982484, (1736) = 7.9216016059047805, (1737) = 7.923075617084903, (1738) = 7.92454774816677, (1739) = 7.926018003933675, (1740) = 7.927486389150736, (1741) = 7.928952908564986, (1742) = 7.930417566905462, (1743) = 7.93188036889257, (1744) = 7.933341319258748, (1745) = 7.934800422683425, (1746) = 7.936257683823942, (1747) = 7.937713107320096, (1748) = 7.939166697794234, (1749) = 7.940618459851334, (1750) = 7.942068398079093, (1751) = 7.943516517054262, (1752) = 7.9449628213686445, (1753) = 7.946407315564672, (1754) = 7.94785000416118, (1755) = 7.949290891660152, (1756) = 7.950729982546811, (1757) = 7.952167281289691, (1758) = 7.953602792340728, (1759) = 7.955036520139217, (1760) = 7.956468469140881, (1761) = 7.9578986437569785, (1762) = 7.959327048373279, (1763) = 7.960753687359359, (1764) = 7.962178565068684, (1765) = 7.963601685838685, (1766) = 7.965023053990839, (1767) = 7.966442673832862, (1768) = 7.967860549688768, (1769) = 7.969276685844168, (1770) = 7.970691086556938, (1771) = 7.972103756069388, (1772) = 7.973514698608339, (1773) = 7.974923918385197, (1774) = 7.976331419596026, (1775) = 7.977737206422542, (1776) = 7.9791412830612405, (1777) = 7.980543653677328, (1778) = 7.981944322405713, (1779) = 7.9833432933663335, (1780) = 7.984740570664231, (1781) = 7.986136158389621, (1782) = 7.987530060617963, (1783) = 7.988922281410255, (1784) = 7.990312824839511, (1785) = 7.991701694955506, (1786) = 7.9930888957748705, (1787) = 7.994474431299832, (1788) = 7.9958583055182855, (1789) = 7.997240522403863, (1790) = 7.998621085915997, (1791) = 8.0}, datatype = float[8], order = C_order); Y := Matrix(1791, 3, {(1, 1) = .0, (1, 2) = .0, (1, 3) = -0.14963775224023504e-6, (2, 1) = -0.5418386985390472e-12, (2, 2) = 0.8522623350409266e-10, (2, 3) = -0.11379957977091474e-6, (3, 1) = 0.6046794121198039e-12, (3, 2) = 0.8003381464846338e-10, (3, 3) = -0.394120570706336e-8, (4, 1) = 0.16886956763090499e-11, (4, 2) = -0.3094957924488312e-9, (4, 3) = 0.12123085098111355e-6, (5, 1) = -0.7319118306987269e-12, (5, 2) = 0.1513267698841792e-9, (5, 3) = 0.57637345992522404e-8, (6, 1) = -0.2134267539761196e-11, (6, 2) = 0.12735861343642414e-8, (6, 3) = -0.6274161007535308e-6, (7, 1) = 0.15372300291573057e-11, (7, 2) = -0.6034960963440175e-10, (7, 3) = -0.20720818830968433e-6, (8, 1) = 0.3043285367787174e-11, (8, 2) = -0.16285958023280263e-8, (8, 3) = 0.986969376412382e-6, (9, 1) = 0.9052208671559472e-13, (9, 2) = -0.2000752782493883e-9, (9, 3) = 0.3059865750265559e-6, (10, 1) = -0.12251702197538065e-11, (10, 2) = 0.1046236641926867e-8, (10, 3) = -0.7990720808777463e-6, (11, 1) = 0.3850282624107069e-14, (11, 2) = 0.2969548661726987e-9, (11, 3) = -0.2995011625035631e-6, (12, 1) = 0.7414548708094379e-12, (12, 2) = -0.36008444332384304e-9, (12, 3) = 0.350675525123059e-6, (13, 1) = 0.5271433232861109e-12, (13, 2) = -0.18022787858641965e-9, (13, 3) = 0.1885836739249211e-6, (14, 1) = 0.30325287617139593e-12, (14, 2) = 0.4250859671220033e-10, (14, 3) = -0.6469529877956383e-7, (15, 1) = 0.28846382126649173e-12, (15, 2) = 0.45697230995208626e-10, (15, 3) = -0.6260733294359489e-7, (16, 1) = 0.3152848001563164e-12, (16, 2) = 0.66395815168985825e-11, (16, 3) = -0.6089643119745108e-8, (17, 1) = 0.3228496399818951e-12, (17, 2) = -0.30512737956507186e-11, (17, 3) = 0.6871876623232397e-8, (18, 1) = 0.3222995337219767e-12, (18, 2) = -0.15432577023845724e-11, (18, 3) = 0.29778828010284114e-8, (19, 1) = 0.3218354098266503e-12, (19, 2) = -0.4306171451732717e-12, (19, 3) = 0.5865944156861141e-9, (20, 1) = 0.3214420363831904e-12, (20, 2) = -0.18957850540772264e-12, (20, 3) = 0.7122812817851334e-10, (21, 1) = 0.321266317414609e-12, (21, 2) = -0.16633608659357127e-12, (21, 3) = 0.5787880923402036e-11, (22, 1) = 0.32091604533484756e-12, (22, 2) = -0.15925788938336183e-12, (22, 3) = 0.522981160519851e-12, (23, 1) = 0.3208014438691882e-12, (23, 2) = -0.1654355000729735e-12, (23, 3) = 0.3780359831221665e-12, (24, 1) = 0.32037730830730633e-12, (24, 2) = -0.16376464241456815e-12, (24, 3) = 0.45026287428201327e-12, (25, 1) = 0.320261113674567e-12, (25, 2) = -0.16584579944072856e-12, (25, 3) = 0.5580668912986555e-12, (26, 1) = 0.3203266829242142e-12, (26, 2) = -0.16440270282115005e-12, (26, 3) = 0.6301908212356995e-12, (27, 1) = 0.3200375628984564e-12, (27, 2) = -0.1582002682747466e-12, (27, 3) = 0.6888529852708624e-12, (28, 1) = 0.3196681730386845e-12, (28, 2) = -0.15684391192332145e-12, (28, 3) = 0.6835573081939043e-12, (29, 1) = 0.3195018948407289e-12, (29, 2) = -0.1625872096125309e-12, (29, 3) = 0.7338497467759497e-12, (30, 1) = 0.31931704068663e-12, (30, 2) = -0.16384125439649313e-12, (30, 3) = 0.7671586684430103e-12, (31, 1) = 0.3191130268538349e-12, (31, 2) = -0.15304845246911411e-12, (31, 3) = 0.8500723815766464e-12, (32, 1) = 0.31879925447361347e-12, (32, 2) = -0.15625100028757924e-12, (32, 3) = 0.7676654884416166e-12, (33, 1) = 0.31875057543285685e-12, (33, 2) = -0.15213266747764004e-12, (33, 3) = 0.7623025881441118e-12, (34, 1) = 0.31835495551563233e-12, (34, 2) = -0.15881927692875076e-12, (34, 3) = 0.7490868138930585e-12, (35, 1) = 0.3182497808576087e-12, (35, 2) = -0.15579781290962167e-12, (35, 3) = 0.790242325676242e-12, (36, 1) = 0.31822806454222017e-12, (36, 2) = -0.15347584401376315e-12, (36, 3) = 0.7974375011121494e-12, (37, 1) = 0.3176175417558953e-12, (37, 2) = -0.14697881986171898e-12, (37, 3) = 0.7888812652032895e-12, (38, 1) = 0.3178704693947807e-12, (38, 2) = -0.14793494115951105e-12, (38, 3) = 0.7648101907539494e-12, (39, 1) = 0.3170606333851603e-12, (39, 2) = -0.15024457842975624e-12, (39, 3) = 0.7589334358374633e-12, (40, 1) = 0.31714490692679197e-12, (40, 2) = -0.14733111603902106e-12, (40, 3) = 0.7259962259361634e-12, (41, 1) = 0.3169556599230606e-12, (41, 2) = -0.15197210036236951e-12, (41, 3) = 0.7426072890284119e-12, (42, 1) = 0.3163913165858281e-12, (42, 2) = -0.14822767425372467e-12, (42, 3) = 0.7145955990155218e-12, (43, 1) = 0.3166898968353373e-12, (43, 2) = -0.15412959886157884e-12, (43, 3) = 0.7189381882822302e-12, (44, 1) = 0.316500263055478e-12, (44, 2) = -0.14569030272056846e-12, (44, 3) = 0.7054723987274941e-12, (45, 1) = 0.3160245307728411e-12, (45, 2) = -0.1442679356107506e-12, (45, 3) = 0.7247866632413868e-12, (46, 1) = 0.31560598599727133e-12, (46, 2) = -0.1414142505480161e-12, (46, 3) = 0.7081973278811797e-12, (47, 1) = 0.3156329489692411e-12, (47, 2) = -0.13997123466357195e-12, (47, 3) = 0.6914863831685296e-12, (48, 1) = 0.315569659836361e-12, (48, 2) = -0.14506761092277664e-12, (48, 3) = 0.6677511794611944e-12, (49, 1) = 0.31542445007643234e-12, (49, 2) = -0.13867582552399053e-12, (49, 3) = 0.6449555328093215e-12, (50, 1) = 0.3152131585652587e-12, (50, 2) = -0.13547104334038328e-12, (50, 3) = 0.6663749363802926e-12, (51, 1) = 0.31503832683680254e-12, (51, 2) = -0.1410904599754305e-12, (51, 3) = 0.6520059764115689e-12, (52, 1) = 0.31483457532264295e-12, (52, 2) = -0.13509680714513867e-12, (52, 3) = 0.6177253833853399e-12, (53, 1) = 0.31440623570397563e-12, (53, 2) = -0.13949318196734405e-12, (53, 3) = 0.6116486662045181e-12, (54, 1) = 0.3142706674509257e-12, (54, 2) = -0.14207834808296197e-12, (54, 3) = 0.6363397008978541e-12, (55, 1) = 0.31412953302498907e-12, (55, 2) = -0.14160407248885006e-12, (55, 3) = 0.6190795495188426e-12, (56, 1) = 0.31371060222632443e-12, (56, 2) = -0.13301365906118686e-12, (56, 3) = 0.6193874568418041e-12, (57, 1) = 0.31392994726098545e-12, (57, 2) = -0.13446083357924338e-12, (57, 3) = 0.6095605458430023e-12, (58, 1) = 0.31371046199618127e-12, (58, 2) = -0.13311588098486757e-12, (58, 3) = 0.6185797285440412e-12, (59, 1) = 0.3136622415752117e-12, (59, 2) = -0.13552673532476047e-12, (59, 3) = 0.5920240670127634e-12, (60, 1) = 0.31320426629011067e-12, (60, 2) = -0.13121470155070981e-12, (60, 3) = 0.5845985284313e-12, (61, 1) = 0.3128930781766674e-12, (61, 2) = -0.12980844288581456e-12, (61, 3) = 0.5940081648520662e-12, (62, 1) = 0.31287936228377755e-12, (62, 2) = -0.133518518621895e-12, (62, 3) = 0.5645087248191024e-12, (63, 1) = 0.3124810195854977e-12, (63, 2) = -0.13777929988981842e-12, (63, 3) = 0.5656647189861114e-12, (64, 1) = 0.3127354805906522e-12, (64, 2) = -0.13292457217564973e-12, (64, 3) = 0.5081707177892588e-12, (65, 1) = 0.31278298461106233e-12, (65, 2) = -0.13122153702415143e-12, (65, 3) = 0.5319132424381083e-12, (66, 1) = 0.31220276805140115e-12, (66, 2) = -0.13180839991949257e-12, (66, 3) = 0.5296490494326611e-12, (67, 1) = 0.31175519049439677e-12, (67, 2) = -0.12576487487797296e-12, (67, 3) = 0.5416341784385397e-12, (68, 1) = 0.3125143637325811e-12, (68, 2) = -0.118665579117965e-12, (68, 3) = 0.5500329352388425e-12, (69, 1) = 0.31140821071004296e-12, (69, 2) = -0.1243482140887413e-12, (69, 3) = 0.5294800615533976e-12, (70, 1) = 0.3120109587688655e-12, (70, 2) = -0.12807209200590674e-12, (70, 3) = 0.5028401728833831e-12, (71, 1) = 0.3113113071501574e-12, (71, 2) = -0.12570502732872904e-12, (71, 3) = 0.5129130999526052e-12, (72, 1) = 0.3112722571498772e-12, (72, 2) = -0.12438415709834697e-12, (72, 3) = 0.4995082901614816e-12, (73, 1) = 0.31122759379270875e-12, (73, 2) = -0.12452775676339774e-12, (73, 3) = 0.4709029948188276e-12, (74, 1) = 0.3106855273692911e-12, (74, 2) = -0.12237803874742109e-12, (74, 3) = 0.4860625689053388e-12, (75, 1) = 0.3103895520516962e-12, (75, 2) = -0.12212627342835744e-12, (75, 3) = 0.4777080004248694e-12, (76, 1) = 0.3100963423659928e-12, (76, 2) = -0.12277435279882548e-12, (76, 3) = 0.4937800036336797e-12, (77, 1) = 0.31057611305556846e-12, (77, 2) = -0.11785657274176745e-12, (77, 3) = 0.478400595763549e-12, (78, 1) = 0.3099619060793446e-12, (78, 2) = -0.11872147182966475e-12, (78, 3) = 0.43464759951734814e-12, (79, 1) = 0.3090529678963486e-12, (79, 2) = -0.1183517586971112e-12, (79, 3) = 0.4500780497482066e-12, (80, 1) = 0.30962535427363576e-12, (80, 2) = -0.11687291418836545e-12, (80, 3) = 0.45231543797353876e-12, (81, 1) = 0.3094187735361241e-12, (81, 2) = -0.11626448573355802e-12, (81, 3) = 0.4418512235792883e-12, (82, 1) = 0.30883428376642787e-12, (82, 2) = -0.12020636147395876e-12, (82, 3) = 0.44600862674515485e-12, (83, 1) = 0.30899276299545585e-12, (83, 2) = -0.1150505130505289e-12, (83, 3) = 0.4528961118812945e-12, (84, 1) = 0.30925921153691083e-12, (84, 2) = -0.11368714111016986e-12, (84, 3) = 0.4496477347007578e-12, (85, 1) = 0.3086251648682863e-12, (85, 2) = -0.11632110926201052e-12, (85, 3) = 0.4340041167143403e-12, (86, 1) = 0.30870734431353485e-12, (86, 2) = -0.10826706425745102e-12, (86, 3) = 0.4111264655891828e-12, (87, 1) = 0.3093142415541322e-12, (87, 2) = -0.11611820110109327e-12, (87, 3) = 0.42928830043544886e-12, (88, 1) = 0.3084707064485228e-12, (88, 2) = -0.11397591653183292e-12, (88, 3) = 0.4144917552544892e-12, (89, 1) = 0.3094224213692222e-12, (89, 2) = -0.1150625563351103e-12, (89, 3) = 0.4233823910288903e-12, (90, 1) = 0.3076484266401064e-12, (90, 2) = -0.1168157988413012e-12, (90, 3) = 0.41873070268177945e-12, (91, 1) = 0.3083146888901188e-12, (91, 2) = -0.11736015095655625e-12, (91, 3) = 0.4048586848426129e-12, (92, 1) = 0.3080299585194438e-12, (92, 2) = -0.1139929636055427e-12, (92, 3) = 0.4074561820231275e-12, (93, 1) = 0.3079852229097772e-12, (93, 2) = -0.11228844964924374e-12, (93, 3) = 0.40667499309925415e-12, (94, 1) = 0.30724014131613605e-12, (94, 2) = -0.11148510038048027e-12, (94, 3) = 0.3799730058031577e-12, (95, 1) = 0.30756253144040967e-12, (95, 2) = -0.11722382227136453e-12, (95, 3) = 0.3903100933937045e-12, (96, 1) = 0.30680257198243895e-12, (96, 2) = -0.11681010601218102e-12, (96, 3) = 0.37901671563879333e-12, (97, 1) = 0.30690569275069033e-12, (97, 2) = -0.11526131114486698e-12, (97, 3) = 0.38704351173803993e-12, (98, 1) = 0.3067826979794171e-12, (98, 2) = -0.10982531292105935e-12, (98, 3) = 0.3914272304005773e-12, (99, 1) = 0.306728195693935e-12, (99, 2) = -0.10782304817323953e-12, (99, 3) = 0.369804481914257e-12, (100, 1) = 0.3072834783601972e-12, (100, 2) = -0.10674592564017158e-12, (100, 3) = 0.3751115410751904e-12, (101, 1) = 0.30621547687713286e-12, (101, 2) = -0.10884580234544484e-12, (101, 3) = 0.3871119821084412e-12, (102, 1) = 0.30702927988380413e-12, (102, 2) = -0.10825305623631756e-12, (102, 3) = 0.3679204147700452e-12, (103, 1) = 0.30594274668834776e-12, (103, 2) = -0.10927837940842349e-12, (103, 3) = 0.36749475648123616e-12, (104, 1) = 0.30625100674863043e-12, (104, 2) = -0.10945375183180652e-12, (104, 3) = 0.34791148078978165e-12, (105, 1) = 0.30574701784432304e-12, (105, 2) = -0.10279437036489326e-12, (105, 3) = 0.3533646186872695e-12, (106, 1) = 0.3053007977998748e-12, (106, 2) = -0.10994867162064448e-12, (106, 3) = 0.35904668900254337e-12, (107, 1) = 0.30543459176526996e-12, (107, 2) = -0.10929971933481243e-12, (107, 3) = 0.36155233670824593e-12, (108, 1) = 0.305209293217744e-12, (108, 2) = -0.11112163132966872e-12, (108, 3) = 0.353355915012028e-12, (109, 1) = 0.30510631392492644e-12, (109, 2) = -0.9856190979082061e-13, (109, 3) = 0.3374412506562754e-12, (110, 1) = 0.3050168932493536e-12, (110, 2) = -0.11220170243355249e-12, (110, 3) = 0.346672906688127e-12, (111, 1) = 0.3045044573187938e-12, (111, 2) = -0.10576967126937616e-12, (111, 3) = 0.36060479041438614e-12, (112, 1) = 0.30415842334570485e-12, (112, 2) = -0.10656759295486412e-12, (112, 3) = 0.3608680974194067e-12, (113, 1) = 0.3044981681047098e-12, (113, 2) = -0.10245928434013517e-12, (113, 3) = 0.333017903305078e-12, (114, 1) = 0.30432337100272127e-12, (114, 2) = -0.1059525835868591e-12, (114, 3) = 0.33209706414360307e-12, (115, 1) = 0.3040192527598617e-12, (115, 2) = -0.9886640359078241e-13, (115, 3) = 0.3395131319483895e-12, (116, 1) = 0.3042296099559268e-12, (116, 2) = -0.10072841830258134e-12, (116, 3) = 0.3187804477421362e-12, (117, 1) = 0.3050773000367887e-12, (117, 2) = -0.9989804910013213e-13, (117, 3) = 0.32464045852221297e-12, (118, 1) = 0.3029160736828369e-12, (118, 2) = -0.10679278376752445e-12, (118, 3) = 0.3234693845295479e-12, (119, 1) = 0.30326614074917506e-12, (119, 2) = -0.10181648083593206e-12, (119, 3) = 0.2960804339488941e-12, (120, 1) = 0.30352535716052327e-12, (120, 2) = -0.10206257825882082e-12, (120, 3) = 0.3230977938403146e-12, (121, 1) = 0.3029803007914766e-12, (121, 2) = -0.10148175627864006e-12, (121, 3) = 0.3196789579707782e-12, (122, 1) = 0.303112515233292e-12, (122, 2) = -0.972205268990653e-13, (122, 3) = 0.3096626408562462e-12, (123, 1) = 0.30337716335903554e-12, (123, 2) = -0.10296877410577338e-12, (123, 3) = 0.3222661346326595e-12, (124, 1) = 0.3025449124885908e-12, (124, 2) = -0.10096039718096245e-12, (124, 3) = 0.30738219940206545e-12, (125, 1) = 0.30402293064381467e-12, (125, 2) = -0.10167024598416377e-12, (125, 3) = 0.30541912355233853e-12, (126, 1) = 0.30218855403411206e-12, (126, 2) = -0.9774058928842418e-13, (126, 3) = 0.31510251471416856e-12, (127, 1) = 0.30214474461562353e-12, (127, 2) = -0.10767527715304049e-12, (127, 3) = 0.2973458283481195e-12, (128, 1) = 0.30191409133718747e-12, (128, 2) = -0.9954336332948437e-13, (128, 3) = 0.3077293185533828e-12, (129, 1) = 0.3024155560329465e-12, (129, 2) = -0.1028452085123307e-12, (129, 3) = 0.31631908726947676e-12, (130, 1) = 0.30279672156741645e-12, (130, 2) = -0.10376752718761538e-12, (130, 3) = 0.30945930397082835e-12, (131, 1) = 0.3007281078776246e-12, (131, 2) = -0.10140776086536906e-12, (131, 3) = 0.3073082633439494e-12, (132, 1) = 0.30057968568504415e-12, (132, 2) = -0.10092607694144607e-12, (132, 3) = 0.2951393644536319e-12, (133, 1) = 0.30104714917627415e-12, (133, 2) = -0.9887171164588312e-13, (133, 3) = 0.29282803988025094e-12, (134, 1) = 0.30198880954885523e-12, (134, 2) = -0.100537749117513e-12, (134, 3) = 0.3045055749982567e-12, (135, 1) = 0.3008782623640447e-12, (135, 2) = -0.9906097321899804e-13, (135, 3) = 0.30324638447596297e-12, (136, 1) = 0.30038891526437573e-12, (136, 2) = -0.9427331393876217e-13, (136, 3) = 0.2845658826805577e-12, (137, 1) = 0.30177161305880343e-12, (137, 2) = -0.10151257017999523e-12, (137, 3) = 0.27821802869998496e-12, (138, 1) = 0.30254823263424495e-12, (138, 2) = -0.935472936096851e-13, (138, 3) = 0.28592692531898856e-12, (139, 1) = 0.30114278816341376e-12, (139, 2) = -0.9700095644798972e-13, (139, 3) = 0.30088118974812464e-12, (140, 1) = 0.30024832333565753e-12, (140, 2) = -0.9476009657005852e-13, (140, 3) = 0.27522796187612564e-12, (141, 1) = 0.2996548541068017e-12, (141, 2) = -0.9675887921503586e-13, (141, 3) = 0.2767044424646884e-12, (142, 1) = 0.30099552787991717e-12, (142, 2) = -0.9373071370204486e-13, (142, 3) = 0.2731066969407301e-12, (143, 1) = 0.3001615722116983e-12, (143, 2) = -0.9595257073069192e-13, (143, 3) = 0.28061125369936553e-12, (144, 1) = 0.29888655915985846e-12, (144, 2) = -0.10254643119590118e-12, (144, 3) = 0.28001814778135937e-12, (145, 1) = 0.3004014998348829e-12, (145, 2) = -0.9388581229789526e-13, (145, 3) = 0.28439017087061943e-12, (146, 1) = 0.2992061192168023e-12, (146, 2) = -0.9247090063364188e-13, (146, 3) = 0.2737209311507018e-12, (147, 1) = 0.29971009425275107e-12, (147, 2) = -0.9825081318174836e-13, (147, 3) = 0.27127374464939484e-12, (148, 1) = 0.30068094801749716e-12, (148, 2) = -0.9655867879075274e-13, (148, 3) = 0.2735904823974127e-12, (149, 1) = 0.2985195414148458e-12, (149, 2) = -0.9622451108629008e-13, (149, 3) = 0.26588228232715706e-12, (150, 1) = 0.29868736150742684e-12, (150, 2) = -0.9657189616652013e-13, (150, 3) = 0.2779993959092702e-12, (151, 1) = 0.29961522296823596e-12, (151, 2) = -0.8802304982976414e-13, (151, 3) = 0.258158350717264e-12, (152, 1) = 0.29980337288013276e-12, (152, 2) = -0.9940265628700382e-13, (152, 3) = 0.25750846906223443e-12, (153, 1) = 0.29864999960113026e-12, (153, 2) = -0.9191610200080736e-13, (153, 3) = 0.25745555887690924e-12, (154, 1) = 0.2990954927183086e-12, (154, 2) = -0.9579270535052762e-13, (154, 3) = 0.2615337281466067e-12, (155, 1) = 0.29857281986553037e-12, (155, 2) = -0.937865478508076e-13, (155, 3) = 0.2536260309285638e-12, (156, 1) = 0.299291301426674e-12, (156, 2) = -0.9339816164170895e-13, (156, 3) = 0.2659036602901904e-12, (157, 1) = 0.29863469625056073e-12, (157, 2) = -0.9607395866695037e-13, (157, 3) = 0.2631146137484541e-12, (158, 1) = 0.2988442907553399e-12, (158, 2) = -0.9450814986738825e-13, (158, 3) = 0.26568361323137625e-12, (159, 1) = 0.29744987233074904e-12, (159, 2) = -0.8905359116709074e-13, (159, 3) = 0.2625895530380818e-12, (160, 1) = 0.2992730513217426e-12, (160, 2) = -0.9124406230108688e-13, (160, 3) = 0.2560468115593471e-12, (161, 1) = 0.2974219347089419e-12, (161, 2) = -0.9885217144511642e-13, (161, 3) = 0.2583572008272685e-12, (162, 1) = 0.2977590982322984e-12, (162, 2) = -0.9439198618941291e-13, (162, 3) = 0.24360287695737594e-12, (163, 1) = 0.29908711502843197e-12, (163, 2) = -0.8554875482049e-13, (163, 3) = 0.2502958924711042e-12, (164, 1) = 0.2971420620865936e-12, (164, 2) = -0.8688882848547976e-13, (164, 3) = 0.25126288977374137e-12, (165, 1) = 0.2969786136151563e-12, (165, 2) = -0.9679624659917506e-13, (165, 3) = 0.23836307859010276e-12, (166, 1) = 0.29628535997299265e-12, (166, 2) = -0.8612618889942891e-13, (166, 3) = 0.24472870840477093e-12, (167, 1) = 0.2983213436337964e-12, (167, 2) = -0.8401717811795752e-13, (167, 3) = 0.24225905429630565e-12, (168, 1) = 0.29845103656509915e-12, (168, 2) = -0.9355060437391394e-13, (168, 3) = 0.2499109689837983e-12, (169, 1) = 0.29895783850059504e-12, (169, 2) = -0.8897150786888014e-13, (169, 3) = 0.2470039889127447e-12, (170, 1) = 0.29871080613563133e-12, (170, 2) = -0.9026572249188237e-13, (170, 3) = 0.2459058203114494e-12, (171, 1) = 0.29701284924371836e-12, (171, 2) = -0.8595126166640051e-13, (171, 3) = 0.2370310456559729e-12, (172, 1) = 0.29790388600342044e-12, (172, 2) = -0.8940988809087812e-13, (172, 3) = 0.2433815762028236e-12, (173, 1) = 0.29652348564386964e-12, (173, 2) = -0.8759663631693057e-13, (173, 3) = 0.2405764462437933e-12, (174, 1) = 0.2959735536304775e-12, (174, 2) = -0.875533148500044e-13, (174, 3) = 0.2407477786717762e-12, (175, 1) = 0.2966943694337027e-12, (175, 2) = -0.8593883286249421e-13, (175, 3) = 0.22977834504769427e-12, (176, 1) = 0.2964971985891406e-12, (176, 2) = -0.818115137602541e-13, (176, 3) = 0.24418047217120734e-12, (177, 1) = 0.29741182219806854e-12, (177, 2) = -0.9346452483518325e-13, (177, 3) = 0.22662072547899724e-12, (178, 1) = 0.29508538203182e-12, (178, 2) = -0.9067009501569708e-13, (178, 3) = 0.23613135242773506e-12, (179, 1) = 0.2950429605877249e-12, (179, 2) = -0.8320953397430885e-13, (179, 3) = 0.2335860378374798e-12, (180, 1) = 0.2959337668347836e-12, (180, 2) = -0.9023056632965187e-13, (180, 3) = 0.23873730136898377e-12, (181, 1) = 0.29712455212373054e-12, (181, 2) = -0.8477847678310107e-13, (181, 3) = 0.22433146338455688e-12, (182, 1) = 0.2971087571917162e-12, (182, 2) = -0.8578044825729647e-13, (182, 3) = 0.23070500512539306e-12, (183, 1) = 0.2958830178537265e-12, (183, 2) = -0.8688256475653389e-13, (183, 3) = 0.22688071678549636e-12, (184, 1) = 0.29682387057407603e-12, (184, 2) = -0.8102663781301176e-13, (184, 3) = 0.236274767314348e-12, (185, 1) = 0.29525075906945745e-12, (185, 2) = -0.8668767688127659e-13, (185, 3) = 0.2325534162464443e-12, (186, 1) = 0.2940925653059648e-12, (186, 2) = -0.8788969537998477e-13, (186, 3) = 0.2350017191065243e-12, (187, 1) = 0.2952625671492106e-12, (187, 2) = -0.9185017231958652e-13, (187, 3) = 0.2289479488510044e-12, (188, 1) = 0.29450009532464635e-12, (188, 2) = -0.855875206176499e-13, (188, 3) = 0.22283760855998453e-12, (189, 1) = 0.29544167215713797e-12, (189, 2) = -0.8282962179701345e-13, (189, 3) = 0.22002693595113315e-12, (190, 1) = 0.2942670851833531e-12, (190, 2) = -0.8641976654873634e-13, (190, 3) = 0.2259846787418922e-12, (191, 1) = 0.2946917354129698e-12, (191, 2) = -0.8018910993162227e-13, (191, 3) = 0.2195006011851266e-12, (192, 1) = 0.29573996420181106e-12, (192, 2) = -0.9068386336183665e-13, (192, 3) = 0.22421116713175104e-12, (193, 1) = 0.29432611080938737e-12, (193, 2) = -0.8348362088832068e-13, (193, 3) = 0.21046168200633773e-12, (194, 1) = 0.2947184639785346e-12, (194, 2) = -0.8500738716826545e-13, (194, 3) = 0.2133097351775885e-12, (195, 1) = 0.2939315976803236e-12, (195, 2) = -0.8366981887270092e-13, (195, 3) = 0.2197190946909834e-12, (196, 1) = 0.29495359485796625e-12, (196, 2) = -0.7900132983410055e-13, (196, 3) = 0.21639094377767015e-12, (197, 1) = 0.2923671120122162e-12, (197, 2) = -0.8726534937286402e-13, (197, 3) = 0.22292123687267876e-12, (198, 1) = 0.2917900128046267e-12, (198, 2) = -0.8465967015240597e-13, (198, 3) = 0.2096769079953133e-12, (199, 1) = 0.29387938659750203e-12, (199, 2) = -0.8269972319996471e-13, (199, 3) = 0.2114138136639905e-12, (200, 1) = 0.2932599168723236e-12, (200, 2) = -0.8316073754248874e-13, (200, 3) = 0.2083921092660785e-12, (201, 1) = 0.2934628615779793e-12, (201, 2) = -0.8349288685004926e-13, (201, 3) = 0.22011595453433968e-12, (202, 1) = 0.29305190992972945e-12, (202, 2) = -0.8232547023063034e-13, (202, 3) = 0.22001743987680246e-12, (203, 1) = 0.293600825186966e-12, (203, 2) = -0.78620831857774e-13, (203, 3) = 0.2130696198004792e-12, (204, 1) = 0.29324735483784293e-12, (204, 2) = -0.8902487402100791e-13, (204, 3) = 0.2024721809632662e-12, (205, 1) = 0.2919487544827127e-12, (205, 2) = -0.8339762340514572e-13, (205, 3) = 0.19835153596154033e-12, (206, 1) = 0.29361855403886523e-12, (206, 2) = -0.8061261679854011e-13, (206, 3) = 0.20947531921940935e-12, (207, 1) = 0.29274881420165573e-12, (207, 2) = -0.8337546247381585e-13, (207, 3) = 0.2158736750357251e-12, (208, 1) = 0.2913258063741585e-12, (208, 2) = -0.805947514157799e-13, (208, 3) = 0.20102938423918786e-12, (209, 1) = 0.2930796943398729e-12, (209, 2) = -0.8093892313483629e-13, (209, 3) = 0.20261264940526933e-12, (210, 1) = 0.2920218623204154e-12, (210, 2) = -0.8338761421207894e-13, (210, 3) = 0.20040797391497276e-12, (211, 1) = 0.2914182352201559e-12, (211, 2) = -0.8439821168928971e-13, (211, 3) = 0.203700666367535e-12, (212, 1) = 0.2910561043842781e-12, (212, 2) = -0.8641044815970613e-13, (212, 3) = 0.19821635269720099e-12, (213, 1) = 0.2936019954631732e-12, (213, 2) = -0.8237922248986568e-13, (213, 3) = 0.19855034650418135e-12, (214, 1) = 0.29166667921745336e-12, (214, 2) = -0.8660463963415623e-13, (214, 3) = 0.19998628103164564e-12, (215, 1) = 0.29145893918395307e-12, (215, 2) = -0.7924355524915377e-13, (215, 3) = 0.20464420454772622e-12, (216, 1) = 0.2928009044225149e-12, (216, 2) = -0.8036123536501495e-13, (216, 3) = 0.200158936396967e-12, (217, 1) = 0.2908039700293668e-12, (217, 2) = -0.7725912254880197e-13, (217, 3) = 0.19870062588562385e-12, (218, 1) = 0.2902783268175315e-12, (218, 2) = -0.7933840070377748e-13, (218, 3) = 0.20288164384504916e-12, (219, 1) = 0.29091545393854797e-12, (219, 2) = -0.7944323871779457e-13, (219, 3) = 0.19615220759317755e-12, (220, 1) = 0.2929492881912933e-12, (220, 2) = -0.7740652935020097e-13, (220, 3) = 0.19800804963610108e-12, (221, 1) = 0.290671538232307e-12, (221, 2) = -0.7990631242892039e-13, (221, 3) = 0.19480019520369278e-12, (222, 1) = 0.29219851593685816e-12, (222, 2) = -0.7350937105743251e-13, (222, 3) = 0.19132775787398137e-12, (223, 1) = 0.2910314876248846e-12, (223, 2) = -0.8156558110049355e-13, (223, 3) = 0.19520668413007122e-12, (224, 1) = 0.29103802043798357e-12, (224, 2) = -0.8050704277911037e-13, (224, 3) = 0.19527406224347183e-12, (225, 1) = 0.29120297778554143e-12, (225, 2) = -0.786788654135909e-13, (225, 3) = 0.19196001917115492e-12, (226, 1) = 0.29049809849312415e-12, (226, 2) = -0.7515171424425892e-13, (226, 3) = 0.19540567218719722e-12, (227, 1) = 0.2906599520634504e-12, (227, 2) = -0.8065365887308857e-13, (227, 3) = 0.20022260082415001e-12, (228, 1) = 0.29011946088632473e-12, (228, 2) = -0.830539810572758e-13, (228, 3) = 0.19118380490649985e-12, (229, 1) = 0.28994538053577437e-12, (229, 2) = -0.7652811109980958e-13, (229, 3) = 0.18546316339173683e-12, (230, 1) = 0.2902931494066244e-12, (230, 2) = -0.7843454493760106e-13, (230, 3) = 0.1899370767156346e-12, (231, 1) = 0.29059342489152356e-12, (231, 2) = -0.8207431239318263e-13, (231, 3) = 0.18607504032669553e-12, (232, 1) = 0.2889642577214039e-12, (232, 2) = -0.7766219171468833e-13, (232, 3) = 0.18789139009083e-12, (233, 1) = 0.2885266319441547e-12, (233, 2) = -0.808150761172037e-13, (233, 3) = 0.19006523785246504e-12, (234, 1) = 0.2883096002188181e-12, (234, 2) = -0.8084676997961074e-13, (234, 3) = 0.19492096398119719e-12, (235, 1) = 0.2892293609678903e-12, (235, 2) = -0.728958105887679e-13, (235, 3) = 0.18547814598810037e-12, (236, 1) = 0.2895716585522142e-12, (236, 2) = -0.8304485547104805e-13, (236, 3) = 0.18944887851390315e-12, (237, 1) = 0.2895164282526697e-12, (237, 2) = -0.8245817130342803e-13, (237, 3) = 0.19143350700719525e-12, (238, 1) = 0.2898817486127378e-12, (238, 2) = -0.8372287296075015e-13, (238, 3) = 0.1830868116470318e-12, (239, 1) = 0.2878959470222211e-12, (239, 2) = -0.7326283211497927e-13, (239, 3) = 0.18422807914921453e-12, (240, 1) = 0.28945362323564896e-12, (240, 2) = -0.768172669647837e-13, (240, 3) = 0.1922468812362486e-12, (241, 1) = 0.28788971878536544e-12, (241, 2) = -0.816140351666971e-13, (241, 3) = 0.18118881121107926e-12, (242, 1) = 0.28812576894274014e-12, (242, 2) = -0.6849405006060011e-13, (242, 3) = 0.191715973279004e-12, (243, 1) = 0.28812674848787163e-12, (243, 2) = -0.7430771288011044e-13, (243, 3) = 0.18780397975561077e-12, (244, 1) = 0.2882492579693027e-12, (244, 2) = -0.7692843786207447e-13, (244, 3) = 0.17784853816705723e-12, (245, 1) = 0.2898105573830144e-12, (245, 2) = -0.7043073363818895e-13, (245, 3) = 0.18458947759762314e-12, (246, 1) = 0.28865934341942894e-12, (246, 2) = -0.8204897555672933e-13, (246, 3) = 0.18175534358941065e-12, (247, 1) = 0.28834285063888256e-12, (247, 2) = -0.7854564425842868e-13, (247, 3) = 0.18357914013859924e-12, (248, 1) = 0.2882422429759492e-12, (248, 2) = -0.7640071632011183e-13, (248, 3) = 0.17839002681741054e-12, (249, 1) = 0.28852844471819784e-12, (249, 2) = -0.7224540062762875e-13, (249, 3) = 0.17306700119169208e-12, (250, 1) = 0.2884095470273105e-12, (250, 2) = -0.7024048286240128e-13, (250, 3) = 0.1848017474308862e-12, (251, 1) = 0.2878125607085974e-12, (251, 2) = -0.7782446622254091e-13, (251, 3) = 0.1851127850502158e-12, (252, 1) = 0.28591974676292845e-12, (252, 2) = -0.7886944877627694e-13, (252, 3) = 0.18102137547479511e-12, (253, 1) = 0.28606519003682623e-12, (253, 2) = -0.7814072571370973e-13, (253, 3) = 0.17703157140523023e-12, (254, 1) = 0.28779850366443524e-12, (254, 2) = -0.7613548870289777e-13, (254, 3) = 0.1736282426112106e-12, (255, 1) = 0.28906101807801366e-12, (255, 2) = -0.7209006578619462e-13, (255, 3) = 0.17493445433300125e-12, (256, 1) = 0.28719346461671504e-12, (256, 2) = -0.7168987862283257e-13, (256, 3) = 0.1864630440777422e-12, (257, 1) = 0.2848134437484217e-12, (257, 2) = -0.7230306333925856e-13, (257, 3) = 0.17180074081844925e-12, (258, 1) = 0.28544567589700057e-12, (258, 2) = -0.7294511754062707e-13, (258, 3) = 0.168246871768614e-12, (259, 1) = 0.28820337531387385e-12, (259, 2) = -0.7619894595576327e-13, (259, 3) = 0.17515752404582007e-12, (260, 1) = 0.2864176246345327e-12, (260, 2) = -0.758048231132427e-13, (260, 3) = 0.16986911458041125e-12, (261, 1) = 0.28566819291951824e-12, (261, 2) = -0.7152973867420256e-13, (261, 3) = 0.1760910948328101e-12, (262, 1) = 0.28417334358750364e-12, (262, 2) = -0.7681355899382838e-13, (262, 3) = 0.18239782334483521e-12, (263, 1) = 0.28448454992429906e-12, (263, 2) = -0.7859621191828223e-13, (263, 3) = 0.17010953614751467e-12, (264, 1) = 0.28431171181837456e-12, (264, 2) = -0.7032322923795337e-13, (264, 3) = 0.17450270083458708e-12, (265, 1) = 0.28515406806894266e-12, (265, 2) = -0.6865790630905163e-13, (265, 3) = 0.1709430691548734e-12, (266, 1) = 0.2848799991745058e-12, (266, 2) = -0.800721931058138e-13, (266, 3) = 0.17445944193722294e-12, (267, 1) = 0.2860634087928457e-12, (267, 2) = -0.7393382563124113e-13, (267, 3) = 0.17114623065854264e-12, (268, 1) = 0.2872078022708402e-12, (268, 2) = -0.7749691905065612e-13, (268, 3) = 0.1690121322722716e-12, (269, 1) = 0.28732788060927954e-12, (269, 2) = -0.7632690048707975e-13, (269, 3) = 0.17189271560859047e-12, (270, 1) = 0.28651130226009074e-12, (270, 2) = -0.7773068029838422e-13, (270, 3) = 0.17296105525176423e-12, (271, 1) = 0.28734841107426225e-12, (271, 2) = -0.70872116652826e-13, (271, 3) = 0.1715415479866362e-12, (272, 1) = 0.28663941800817494e-12, (272, 2) = -0.7627252961269796e-13, (272, 3) = 0.16515402379983856e-12, (273, 1) = 0.28717040274802825e-12, (273, 2) = -0.6671439088073844e-13, (273, 3) = 0.16902537391199655e-12, (274, 1) = 0.28432793403349823e-12, (274, 2) = -0.6833710729348169e-13, (274, 3) = 0.17321765999225145e-12, (275, 1) = 0.2855975470772229e-12, (275, 2) = -0.7620366090938203e-13, (275, 3) = 0.1713052720211442e-12, (276, 1) = 0.2839279351179479e-12, (276, 2) = -0.7594475269647167e-13, (276, 3) = 0.16288124254052025e-12, (277, 1) = 0.28329725880732625e-12, (277, 2) = -0.7664273177202815e-13, (277, 3) = 0.17113056509260113e-12, (278, 1) = 0.28526060981659337e-12, (278, 2) = -0.72013749521463e-13, (278, 3) = 0.16849727619081462e-12, (279, 1) = 0.2870050728865598e-12, (279, 2) = -0.7713070241162293e-13, (279, 3) = 0.17033744929699286e-12, (280, 1) = 0.28739356354108307e-12, (280, 2) = -0.813086736955545e-13, (280, 3) = 0.1713207600577542e-12, (281, 1) = 0.2817828105989456e-12, (281, 2) = -0.7052915883649682e-13, (281, 3) = 0.16261292030607735e-12, (282, 1) = 0.2850192675057999e-12, (282, 2) = -0.7450142682729679e-13, (282, 3) = 0.17056835097292488e-12, (283, 1) = 0.2823560153267099e-12, (283, 2) = -0.7013102878453799e-13, (283, 3) = 0.16932249339891025e-12, (284, 1) = 0.2863524792734517e-12, (284, 2) = -0.7396765928974259e-13, (284, 3) = 0.16125145663252724e-12, (285, 1) = 0.28413192690120024e-12, (285, 2) = -0.7400166600536437e-13, (285, 3) = 0.16237964062792515e-12, (286, 1) = 0.2844020838212691e-12, (286, 2) = -0.7264083040049062e-13, (286, 3) = 0.1620949401848667e-12, (287, 1) = 0.28391972592709974e-12, (287, 2) = -0.7005790129549393e-13, (287, 3) = 0.16293279902192955e-12, (288, 1) = 0.28604837606694005e-12, (288, 2) = -0.6935833034238675e-13, (288, 3) = 0.16966815242504247e-12, (289, 1) = 0.28367343338284487e-12, (289, 2) = -0.7027681788500675e-13, (289, 3) = 0.1639691375768407e-12, (290, 1) = 0.28481687605237064e-12, (290, 2) = -0.7264816726448677e-13, (290, 3) = 0.15916746044279832e-12, (291, 1) = 0.2830403518878465e-12, (291, 2) = -0.6857707270563891e-13, (291, 3) = 0.1620238686757323e-12, (292, 1) = 0.2834036780340676e-12, (292, 2) = -0.7494894354080662e-13, (292, 3) = 0.1591679945504665e-12, (293, 1) = 0.28050479269519907e-12, (293, 2) = -0.6817862769903543e-13, (293, 3) = 0.16228248530662677e-12, (294, 1) = 0.2815407448024423e-12, (294, 2) = -0.6839812739411167e-13, (294, 3) = 0.16465331196034137e-12, (295, 1) = 0.28217999066570604e-12, (295, 2) = -0.7161646129261981e-13, (295, 3) = 0.16177712317671402e-12, (296, 1) = 0.28322984593240286e-12, (296, 2) = -0.7290553112659914e-13, (296, 3) = 0.1573258592228613e-12, (297, 1) = 0.2831471632235247e-12, (297, 2) = -0.6917862345083088e-13, (297, 3) = 0.15764188410858766e-12, (298, 1) = 0.2785716070528854e-12, (298, 2) = -0.6756859188803525e-13, (298, 3) = 0.163023191219404e-12, (299, 1) = 0.2815124150689918e-12, (299, 2) = -0.677086614607731e-13, (299, 3) = 0.16021262786232286e-12, (300, 1) = 0.2803611386587441e-12, (300, 2) = -0.7241578144674146e-13, (300, 3) = 0.16058798122287787e-12, (301, 1) = 0.2814901607436508e-12, (301, 2) = -0.6625299744685538e-13, (301, 3) = 0.16595464654160352e-12, (302, 1) = 0.28094606841684274e-12, (302, 2) = -0.7388693802115646e-13, (302, 3) = 0.15375736871444854e-12, (303, 1) = 0.27821221897572625e-12, (303, 2) = -0.7258676002462795e-13, (303, 3) = 0.1521851008856253e-12, (304, 1) = 0.2805902196423949e-12, (304, 2) = -0.6369840161992837e-13, (304, 3) = 0.15756805398835261e-12, (305, 1) = 0.2792863260028235e-12, (305, 2) = -0.6263599942970728e-13, (305, 3) = 0.1607448884359306e-12, (306, 1) = 0.27823488615109376e-12, (306, 2) = -0.6893332621103012e-13, (306, 3) = 0.15220979686950344e-12, (307, 1) = 0.28401991742986684e-12, (307, 2) = -0.6766127178712938e-13, (307, 3) = 0.15410322808545804e-12, (308, 1) = 0.2815014368889521e-12, (308, 2) = -0.7145538412445562e-13, (308, 3) = 0.15223853611534909e-12, (309, 1) = 0.2799103954603894e-12, (309, 2) = -0.6968380661957073e-13, (309, 3) = 0.15420239131842692e-12, (310, 1) = 0.2810063868531239e-12, (310, 2) = -0.6785033289578464e-13, (310, 3) = 0.15730283960917151e-12, (311, 1) = 0.2793769264094955e-12, (311, 2) = -0.700420241493365e-13, (311, 3) = 0.15741138366765584e-12, (312, 1) = 0.2808529983023112e-12, (312, 2) = -0.7091445936291638e-13, (312, 3) = 0.16213831384169712e-12, (313, 1) = 0.28387464177561806e-12, (313, 2) = -0.6849492074142071e-13, (313, 3) = 0.15107807783732298e-12, (314, 1) = 0.28071082954156194e-12, (314, 2) = -0.6767890833873482e-13, (314, 3) = 0.15918138853758693e-12, (315, 1) = 0.28126436383355444e-12, (315, 2) = -0.680016647446592e-13, (315, 3) = 0.15603706199253884e-12, (316, 1) = 0.2811986631804172e-12, (316, 2) = -0.6898690185574291e-13, (316, 3) = 0.1547725681219422e-12, (317, 1) = 0.27720560719943065e-12, (317, 2) = -0.7207236254631911e-13, (317, 3) = 0.1527787206053736e-12, (318, 1) = 0.27919312406867817e-12, (318, 2) = -0.7512913486348251e-13, (318, 3) = 0.1542399298405825e-12, (319, 1) = 0.2832110136499974e-12, (319, 2) = -0.6567569394779384e-13, (319, 3) = 0.15922308861880537e-12, (320, 1) = 0.27911260254574e-12, (320, 2) = -0.678860629496482e-13, (320, 3) = 0.15735542094133612e-12, (321, 1) = 0.27981163827992437e-12, (321, 2) = -0.6820588925750236e-13, (321, 3) = 0.15329874109889949e-12, (322, 1) = 0.2771730465601395e-12, (322, 2) = -0.700188677057999e-13, (322, 3) = 0.15009608365653669e-12, (323, 1) = 0.28081507086880763e-12, (323, 2) = -0.7078636931612236e-13, (323, 3) = 0.15329847470981409e-12, (324, 1) = 0.28314773641645617e-12, (324, 2) = -0.7098497991496486e-13, (324, 3) = 0.1527638577725361e-12, (325, 1) = 0.28031084192705057e-12, (325, 2) = -0.6652976448740388e-13, (325, 3) = 0.15481445842441317e-12, (326, 1) = 0.2837208390406566e-12, (326, 2) = -0.6312365817710042e-13, (326, 3) = 0.14788340769906046e-12, (327, 1) = 0.28122304204393754e-12, (327, 2) = -0.7108064027151443e-13, (327, 3) = 0.1570709848730765e-12, (328, 1) = 0.27919026663759665e-12, (328, 2) = -0.694743140978753e-13, (328, 3) = 0.1591557988105821e-12, (329, 1) = 0.28094067062508804e-12, (329, 2) = -0.6501023376422975e-13, (329, 3) = 0.15645483909565932e-12, (330, 1) = 0.2794533390959507e-12, (330, 2) = -0.6409688503507707e-13, (330, 3) = 0.15514150120116232e-12, (331, 1) = 0.2811169724155431e-12, (331, 2) = -0.6967991303980572e-13, (331, 3) = 0.14980539375811763e-12, (332, 1) = 0.27881386643935266e-12, (332, 2) = -0.7225101048080005e-13, (332, 3) = 0.15417557503555877e-12, (333, 1) = 0.27942232915656225e-12, (333, 2) = -0.7205518642296514e-13, (333, 3) = 0.15445223416704732e-12, (334, 1) = 0.2802782818255122e-12, (334, 2) = -0.6561020316123695e-13, (334, 3) = 0.15485059331071078e-12, (335, 1) = 0.2816545646139542e-12, (335, 2) = -0.6973384213051505e-13, (335, 3) = 0.15260501119110986e-12, (336, 1) = 0.27876654948382154e-12, (336, 2) = -0.661911768138831e-13, (336, 3) = 0.1486688703367122e-12, (337, 1) = 0.28006988292701e-12, (337, 2) = -0.6717727471519434e-13, (337, 3) = 0.14922194656865985e-12, (338, 1) = 0.2821978127491818e-12, (338, 2) = -0.6235311014304559e-13, (338, 3) = 0.1527560941682877e-12, (339, 1) = 0.27939056054136117e-12, (339, 2) = -0.6451654916312665e-13, (339, 3) = 0.1535639401445337e-12, (340, 1) = 0.27791349399733414e-12, (340, 2) = -0.6682698255702668e-13, (340, 3) = 0.14514095732411046e-12, (341, 1) = 0.27876329699462903e-12, (341, 2) = -0.7207898817190464e-13, (341, 3) = 0.14885038305906294e-12, (342, 1) = 0.27809758733651775e-12, (342, 2) = -0.60032101986331e-13, (342, 3) = 0.15434950187787749e-12, (343, 1) = 0.2800204501818057e-12, (343, 2) = -0.6403157707800223e-13, (343, 3) = 0.15304513423152436e-12, (344, 1) = 0.28022788453309e-12, (344, 2) = -0.6309298711223101e-13, (344, 3) = 0.15080555002402655e-12, (345, 1) = 0.2786006628581717e-12, (345, 2) = -0.6806643396766231e-13, (345, 3) = 0.1547271759572728e-12, (346, 1) = 0.2807132572492153e-12, (346, 2) = -0.7113850336215376e-13, (346, 3) = 0.1514314897848301e-12, (347, 1) = 0.2780225372318522e-12, (347, 2) = -0.6621580142546488e-13, (347, 3) = 0.14668545563634905e-12, (348, 1) = 0.2794354006851041e-12, (348, 2) = -0.624061265614002e-13, (348, 3) = 0.14896187836274132e-12, (349, 1) = 0.2764761214840607e-12, (349, 2) = -0.6596610140450534e-13, (349, 3) = 0.14451518233097147e-12, (350, 1) = 0.27691863633437753e-12, (350, 2) = -0.6365200609266617e-13, (350, 3) = 0.14965013599880255e-12, (351, 1) = 0.27707673646686505e-12, (351, 2) = -0.6398824869076996e-13, (351, 3) = 0.15486130115838148e-12, (352, 1) = 0.2771979459988124e-12, (352, 2) = -0.621136255436204e-13, (352, 3) = 0.15369672349927406e-12, (353, 1) = 0.2758776267289135e-12, (353, 2) = -0.5968073499163011e-13, (353, 3) = 0.14837081655776016e-12, (354, 1) = 0.27560500190069133e-12, (354, 2) = -0.6099909448393773e-13, (354, 3) = 0.1445401937924168e-12, (355, 1) = 0.2774759653749249e-12, (355, 2) = -0.6326352672414129e-13, (355, 3) = 0.1506643240474289e-12, (356, 1) = 0.2752621610656551e-12, (356, 2) = -0.645181027768599e-13, (356, 3) = 0.14838436737785617e-12, (357, 1) = 0.27437755477952333e-12, (357, 2) = -0.6178202967078652e-13, (357, 3) = 0.14665482937543753e-12, (358, 1) = 0.2772004751571194e-12, (358, 2) = -0.6146338936513437e-13, (358, 3) = 0.14691151807602803e-12, (359, 1) = 0.27858245587375825e-12, (359, 2) = -0.601149924316314e-13, (359, 3) = 0.14927724437891396e-12, (360, 1) = 0.27657342232520457e-12, (360, 2) = -0.6805115258214188e-13, (360, 3) = 0.14862216816593038e-12, (361, 1) = 0.2730433892496548e-12, (361, 2) = -0.5988357066398768e-13, (361, 3) = 0.14196716459177549e-12, (362, 1) = 0.2798770597242594e-12, (362, 2) = -0.6018542232072898e-13, (362, 3) = 0.14629010748272132e-12, (363, 1) = 0.27401650386315553e-12, (363, 2) = -0.5833525638866461e-13, (363, 3) = 0.1431396997942463e-12, (364, 1) = 0.2758895474318237e-12, (364, 2) = -0.6083767484804398e-13, (364, 3) = 0.14775323457922433e-12, (365, 1) = 0.27530502101228856e-12, (365, 2) = -0.6319576292614207e-13, (365, 3) = 0.14571313668743458e-12, (366, 1) = 0.27606527782758404e-12, (366, 2) = -0.6228672833967667e-13, (366, 3) = 0.15145562487103991e-12, (367, 1) = 0.2763276284292386e-12, (367, 2) = -0.6199617379266414e-13, (367, 3) = 0.15080003381798942e-12, (368, 1) = 0.2761210760942195e-12, (368, 2) = -0.5960558501394026e-13, (368, 3) = 0.1481212703617864e-12, (369, 1) = 0.2755725517649936e-12, (369, 2) = -0.6179061506301618e-13, (369, 3) = 0.15142352899693467e-12, (370, 1) = 0.27590342668555283e-12, (370, 2) = -0.6473073824084063e-13, (370, 3) = 0.14568358530113602e-12, (371, 1) = 0.2747972623375499e-12, (371, 2) = -0.6984414431561687e-13, (371, 3) = 0.14461318433699682e-12, (372, 1) = 0.27270902031012847e-12, (372, 2) = -0.6297891841897409e-13, (372, 3) = 0.14951366962489711e-12, (373, 1) = 0.27348479398623004e-12, (373, 2) = -0.6162255141313006e-13, (373, 3) = 0.14697703904647477e-12, (374, 1) = 0.27419156267460146e-12, (374, 2) = -0.6374885365562733e-13, (374, 3) = 0.14974132171489633e-12, (375, 1) = 0.2761446241116803e-12, (375, 2) = -0.5677247610504666e-13, (375, 3) = 0.14707687572529387e-12, (376, 1) = 0.2768808062816919e-12, (376, 2) = -0.6595703278460385e-13, (376, 3) = 0.14590333794135965e-12, (377, 1) = 0.27165132867427117e-12, (377, 2) = -0.6448929259829349e-13, (377, 3) = 0.14298801226774945e-12, (378, 1) = 0.27162106054518275e-12, (378, 2) = -0.6545661822412689e-13, (378, 3) = 0.1474237684761626e-12, (379, 1) = 0.2773260537920426e-12, (379, 2) = -0.6402583153724711e-13, (379, 3) = 0.14424720291188827e-12, (380, 1) = 0.2778035220811719e-12, (380, 2) = -0.6548585740184957e-13, (380, 3) = 0.1515920964640818e-12, (381, 1) = 0.27386071778485816e-12, (381, 2) = -0.6543444620931109e-13, (381, 3) = 0.15034117050395093e-12, (382, 1) = 0.27406183825982915e-12, (382, 2) = -0.6471070298263849e-13, (382, 3) = 0.14305220641331349e-12, (383, 1) = 0.2713776296760628e-12, (383, 2) = -0.6227874318458486e-13, (383, 3) = 0.14267664750944724e-12, (384, 1) = 0.27493623734081195e-12, (384, 2) = -0.6318888277162354e-13, (384, 3) = 0.14647849903498857e-12, (385, 1) = 0.2752942997176875e-12, (385, 2) = -0.6398571211377591e-13, (385, 3) = 0.14631780859480177e-12, (386, 1) = 0.2754921429430574e-12, (386, 2) = -0.6259059784485111e-13, (386, 3) = 0.14407191341075827e-12, (387, 1) = 0.2770157256812931e-12, (387, 2) = -0.6088705966167285e-13, (387, 3) = 0.14236109867468128e-12, (388, 1) = 0.27266532429843847e-12, (388, 2) = -0.6696819207990196e-13, (388, 3) = 0.1434692798905398e-12, (389, 1) = 0.2724466159260078e-12, (389, 2) = -0.5985791929108133e-13, (389, 3) = 0.14434909954626172e-12, (390, 1) = 0.27392831207767473e-12, (390, 2) = -0.6415033325875768e-13, (390, 3) = 0.14334367946218032e-12, (391, 1) = 0.27403186445653575e-12, (391, 2) = -0.6672794549928788e-13, (391, 3) = 0.14237252174509957e-12, (392, 1) = 0.2699834886528745e-12, (392, 2) = -0.6025383770459937e-13, (392, 3) = 0.1486410924179654e-12, (393, 1) = 0.2733463924454009e-12, (393, 2) = -0.5787897733775645e-13, (393, 3) = 0.1493000942158882e-12, (394, 1) = 0.27335288728645805e-12, (394, 2) = -0.6031828766365351e-13, (394, 3) = 0.1451907750627199e-12, (395, 1) = 0.2758647856390984e-12, (395, 2) = -0.6629098007714701e-13, (395, 3) = 0.1493349427019784e-12, (396, 1) = 0.27169191092880877e-12, (396, 2) = -0.6728715224852777e-13, (396, 3) = 0.14654650560619034e-12, (397, 1) = 0.27417653991778423e-12, (397, 2) = -0.6009323427235116e-13, (397, 3) = 0.14361120749484187e-12, (398, 1) = 0.27243305825183103e-12, (398, 2) = -0.5748339184398993e-13, (398, 3) = 0.1436570740362324e-12, (399, 1) = 0.271571769222715e-12, (399, 2) = -0.5931699399751152e-13, (399, 3) = 0.1469154229386833e-12, (400, 1) = 0.2729747464859874e-12, (400, 2) = -0.5887044008099828e-13, (400, 3) = 0.14454182127557797e-12, (401, 1) = 0.2728315462598592e-12, (401, 2) = -0.5915224037304468e-13, (401, 3) = 0.14379750249219e-12, (402, 1) = 0.2719140689256569e-12, (402, 2) = -0.5946313773044804e-13, (402, 3) = 0.1463988466170204e-12, (403, 1) = 0.27440633875517413e-12, (403, 2) = -0.6417509568540482e-13, (403, 3) = 0.14978988375240017e-12, (404, 1) = 0.2722087292618614e-12, (404, 2) = -0.611635940842106e-13, (404, 3) = 0.14434107481087345e-12, (405, 1) = 0.27607110206396384e-12, (405, 2) = -0.6511589675626237e-13, (405, 3) = 0.14262357950021796e-12, (406, 1) = 0.27123274755754605e-12, (406, 2) = -0.6200127008236839e-13, (406, 3) = 0.14943787353080238e-12, (407, 1) = 0.27424563081304085e-12, (407, 2) = -0.6254669682024402e-13, (407, 3) = 0.14733234481824124e-12, (408, 1) = 0.27088665875937634e-12, (408, 2) = -0.581348095747048e-13, (408, 3) = 0.1482174409918215e-12, (409, 1) = 0.27159491649424905e-12, (409, 2) = -0.6232964584850292e-13, (409, 3) = 0.14412811879814125e-12, (410, 1) = 0.272484901116297e-12, (410, 2) = -0.634959547484969e-13, (410, 3) = 0.1475310191826867e-12, (411, 1) = 0.26887871790706633e-12, (411, 2) = -0.6505170716377823e-13, (411, 3) = 0.14538811709876297e-12, (412, 1) = 0.27250807801522537e-12, (412, 2) = -0.6297648509259086e-13, (412, 3) = 0.1463443931680413e-12, (413, 1) = 0.27070150650853686e-12, (413, 2) = -0.5960308822259232e-13, (413, 3) = 0.14814244890734776e-12, (414, 1) = 0.2691331133621491e-12, (414, 2) = -0.6121305877434413e-13, (414, 3) = 0.14328302797539507e-12, (415, 1) = 0.27119845131505805e-12, (415, 2) = -0.53446705017621343e-13, (415, 3) = 0.14755542131307773e-12, (416, 1) = 0.27322400066457773e-12, (416, 2) = -0.56137875495443144e-13, (416, 3) = 0.15080771336344295e-12, (417, 1) = 0.27000530610498974e-12, (417, 2) = -0.645168989570402e-13, (417, 3) = 0.1471305330672057e-12, (418, 1) = 0.2704568438770673e-12, (418, 2) = -0.5842407193276365e-13, (418, 3) = 0.14057162154213034e-12, (419, 1) = 0.2694125918617675e-12, (419, 2) = -0.6067387756944781e-13, (419, 3) = 0.14557019804543943e-12, (420, 1) = 0.27056451403590006e-12, (420, 2) = -0.6101138113111764e-13, (420, 3) = 0.15097148584551159e-12, (421, 1) = 0.27220746823985035e-12, (421, 2) = -0.6556658293958041e-13, (421, 3) = 0.14920062814664896e-12, (422, 1) = 0.2714186245607097e-12, (422, 2) = -0.5188964612338478e-13, (422, 3) = 0.14501014231421192e-12, (423, 1) = 0.27009811024143903e-12, (423, 2) = -0.5686589863849966e-13, (423, 3) = 0.14733520453642348e-12, (424, 1) = 0.26931489264505784e-12, (424, 2) = -0.5080577691309144e-13, (424, 3) = 0.1445187651994121e-12, (425, 1) = 0.26818099881380417e-12, (425, 2) = -0.6247885031821984e-13, (425, 3) = 0.15353470843598448e-12, (426, 1) = 0.2692342530193075e-12, (426, 2) = -0.6089044625385677e-13, (426, 3) = 0.14941551389979785e-12, (427, 1) = 0.2701943780963815e-12, (427, 2) = -0.6034920514011648e-13, (427, 3) = 0.15186910413197923e-12, (428, 1) = 0.26952458511378984e-12, (428, 2) = -0.6285530311036441e-13, (428, 3) = 0.14679360734450413e-12, (429, 1) = 0.26917028973236076e-12, (429, 2) = -0.56681228232061047e-13, (429, 3) = 0.14452193782506475e-12, (430, 1) = 0.26796002516214574e-12, (430, 2) = -0.6124667067710582e-13, (430, 3) = 0.14657112850459635e-12, (431, 1) = 0.2729136615305688e-12, (431, 2) = -0.5372501354164523e-13, (431, 3) = 0.14637321366720473e-12, (432, 1) = 0.2704428300032073e-12, (432, 2) = -0.6314994090293347e-13, (432, 3) = 0.15132642876413478e-12, (433, 1) = 0.2702499270428605e-12, (433, 2) = -0.5722088274164628e-13, (433, 3) = 0.14652134593652743e-12, (434, 1) = 0.2665237603274059e-12, (434, 2) = -0.6068582751319574e-13, (434, 3) = 0.1541267986302767e-12, (435, 1) = 0.26912592188752646e-12, (435, 2) = -0.5928340139948383e-13, (435, 3) = 0.14865656123503749e-12, (436, 1) = 0.26733621399524e-12, (436, 2) = -0.6506397270553548e-13, (436, 3) = 0.15031582846690905e-12, (437, 1) = 0.26911586086916395e-12, (437, 2) = -0.6446743304392036e-13, (437, 3) = 0.15025739171085077e-12, (438, 1) = 0.2661668874084509e-12, (438, 2) = -0.5927319489136277e-13, (438, 3) = 0.1482231925086023e-12, (439, 1) = 0.27071443011587217e-12, (439, 2) = -0.5987910744356414e-13, (439, 3) = 0.14915226361710327e-12, (440, 1) = 0.27067029643120424e-12, (440, 2) = -0.5757453726538665e-13, (440, 3) = 0.15365064269309413e-12, (441, 1) = 0.2712429433890547e-12, (441, 2) = -0.6235752757622613e-13, (441, 3) = 0.15276041235051296e-12, (442, 1) = 0.2699936861301347e-12, (442, 2) = -0.5605146254629269e-13, (442, 3) = 0.14734105629950165e-12, (443, 1) = 0.2699313391492552e-12, (443, 2) = -0.5732594176173041e-13, (443, 3) = 0.15148985021515348e-12, (444, 1) = 0.26969367056662124e-12, (444, 2) = -0.5646144278249406e-13, (444, 3) = 0.1526724110356276e-12, (445, 1) = 0.26734488307391784e-12, (445, 2) = -0.5471782486451515e-13, (445, 3) = 0.15129564012826992e-12, (446, 1) = 0.26861808829960807e-12, (446, 2) = -0.52153633931803025e-13, (446, 3) = 0.15478155466905008e-12, (447, 1) = 0.26984921512027004e-12, (447, 2) = -0.54846352488771276e-13, (447, 3) = 0.1494544831450091e-12, (448, 1) = 0.26900080307673804e-12, (448, 2) = -0.55532282271831614e-13, (448, 3) = 0.15062581829049665e-12, (449, 1) = 0.26927271399920607e-12, (449, 2) = -0.600929732689031e-13, (449, 3) = 0.1521242444934063e-12, (450, 1) = 0.2661132815491606e-12, (450, 2) = -0.53522211403478764e-13, (450, 3) = 0.14844073604593908e-12, (451, 1) = 0.2712033023336326e-12, (451, 2) = -0.5971951367290809e-13, (451, 3) = 0.1516088714750894e-12, (452, 1) = 0.27082998546210557e-12, (452, 2) = -0.5779972204249884e-13, (452, 3) = 0.15287663527718733e-12, (453, 1) = 0.26582703581944273e-12, (453, 2) = -0.6352532861911567e-13, (453, 3) = 0.1508140417968258e-12, (454, 1) = 0.26795615477986686e-12, (454, 2) = -0.5245070819425669e-13, (454, 3) = 0.15175582431680315e-12, (455, 1) = 0.2721592091304229e-12, (455, 2) = -0.5695096579222704e-13, (455, 3) = 0.1503512724724226e-12, (456, 1) = 0.2660270160767352e-12, (456, 2) = -0.5562416505922821e-13, (456, 3) = 0.15571165779515134e-12, (457, 1) = 0.26645165643035596e-12, (457, 2) = -0.55905122579083226e-13, (457, 3) = 0.15728988923369884e-12, (458, 1) = 0.2692193615182581e-12, (458, 2) = -0.53841371824418464e-13, (458, 3) = 0.15543201928947643e-12, (459, 1) = 0.26682741029103225e-12, (459, 2) = -0.6264833719624014e-13, (459, 3) = 0.1509989664988505e-12, (460, 1) = 0.2661466719443689e-12, (460, 2) = -0.6045579954727906e-13, (460, 3) = 0.15640573940083116e-12, (461, 1) = 0.26858580918277206e-12, (461, 2) = -0.5635557800616083e-13, (461, 3) = 0.16063455343154478e-12, (462, 1) = 0.27040519534617884e-12, (462, 2) = -0.5907607477671093e-13, (462, 3) = 0.15978996556695193e-12, (463, 1) = 0.26629175965689393e-12, (463, 2) = -0.5837279821143613e-13, (463, 3) = 0.15755915674466926e-12, (464, 1) = 0.26730262124600097e-12, (464, 2) = -0.621008030680184e-13, (464, 3) = 0.15320193324697684e-12, (465, 1) = 0.268386638161209e-12, (465, 2) = -0.560446278353647e-13, (465, 3) = 0.1589861793778716e-12, (466, 1) = 0.26431034269413904e-12, (466, 2) = -0.5692157204582673e-13, (466, 3) = 0.1593491383287297e-12, (467, 1) = 0.26688153303841567e-12, (467, 2) = -0.54171513381955365e-13, (467, 3) = 0.15574084483353038e-12, (468, 1) = 0.26567493385466693e-12, (468, 2) = -0.5475232279717867e-13, (468, 3) = 0.1594471787576903e-12, (469, 1) = 0.2686735749376798e-12, (469, 2) = -0.5542789670998071e-13, (469, 3) = 0.15573761106254842e-12, (470, 1) = 0.26376987311099587e-12, (470, 2) = -0.5391524277357022e-13, (470, 3) = 0.16107803634252702e-12, (471, 1) = 0.2624374376678456e-12, (471, 2) = -0.5990640775431e-13, (471, 3) = 0.15604672902513463e-12, (472, 1) = 0.2670956828521221e-12, (472, 2) = -0.5381233901880797e-13, (472, 3) = 0.15963363528228342e-12, (473, 1) = 0.2657274513470291e-12, (473, 2) = -0.53670477540865304e-13, (473, 3) = 0.15664197308015642e-12, (474, 1) = 0.2692305115248246e-12, (474, 2) = -0.56711017253748443e-13, (474, 3) = 0.15947966835851757e-12, (475, 1) = 0.2655655487899123e-12, (475, 2) = -0.5023720557534563e-13, (475, 3) = 0.15508741825373437e-12, (476, 1) = 0.26736048463611363e-12, (476, 2) = -0.4885629151610915e-13, (476, 3) = 0.16062805041481437e-12, (477, 1) = 0.26525218689838464e-12, (477, 2) = -0.53747322565300445e-13, (477, 3) = 0.1586704858579937e-12, (478, 1) = 0.26610493802696324e-12, (478, 2) = -0.5996401660707971e-13, (478, 3) = 0.15805271137131631e-12, (479, 1) = 0.26577706220388683e-12, (479, 2) = -0.5730354559892691e-13, (479, 3) = 0.1623631091558932e-12, (480, 1) = 0.26426953719766955e-12, (480, 2) = -0.5272280793351902e-13, (480, 3) = 0.16338007472973918e-12, (481, 1) = 0.2637428665152528e-12, (481, 2) = -0.565858380660432e-13, (481, 3) = 0.15808994490018255e-12, (482, 1) = 0.2638290550685205e-12, (482, 2) = -0.5399624839122339e-13, (482, 3) = 0.15851123098456267e-12, (483, 1) = 0.26473044698090177e-12, (483, 2) = -0.5373998783925529e-13, (483, 3) = 0.15761540961276878e-12, (484, 1) = 0.2678405700364257e-12, (484, 2) = -0.5704130060417496e-13, (484, 3) = 0.15775123603175582e-12, (485, 1) = 0.26116595332979417e-12, (485, 2) = -0.5275670366826838e-13, (485, 3) = 0.16390656654901728e-12, (486, 1) = 0.2662123213440427e-12, (486, 2) = -0.4961711972630587e-13, (486, 3) = 0.16396314726296097e-12, (487, 1) = 0.26550076459683607e-12, (487, 2) = -0.5183729794834974e-13, (487, 3) = 0.1615577092908474e-12, (488, 1) = 0.26518468009468376e-12, (488, 2) = -0.55736062005535746e-13, (488, 3) = 0.16276563396462093e-12, (489, 1) = 0.2669703156706494e-12, (489, 2) = -0.56303259555155186e-13, (489, 3) = 0.16694643555078322e-12, (490, 1) = 0.2666522912371107e-12, (490, 2) = -0.55546025693199975e-13, (490, 3) = 0.16423970066220074e-12, (491, 1) = 0.26506392796648463e-12, (491, 2) = -0.5659386320795228e-13, (491, 3) = 0.16309413935226944e-12, (492, 1) = 0.26678557592888797e-12, (492, 2) = -0.55553724240775336e-13, (492, 3) = 0.16041896074867252e-12, (493, 1) = 0.2632563466731662e-12, (493, 2) = -0.5331298920510108e-13, (493, 3) = 0.1661372046703644e-12, (494, 1) = 0.26383330367017997e-12, (494, 2) = -0.566725176187055e-13, (494, 3) = 0.16572495388247303e-12, (495, 1) = 0.2621849999505341e-12, (495, 2) = -0.5898374733586932e-13, (495, 3) = 0.17183497771546288e-12, (496, 1) = 0.26616238765199425e-12, (496, 2) = -0.55035269690603614e-13, (496, 3) = 0.1663373813041429e-12, (497, 1) = 0.26649038750246123e-12, (497, 2) = -0.5692969007122485e-13, (497, 3) = 0.16879574292220644e-12, (498, 1) = 0.2635824033320587e-12, (498, 2) = -0.498840801801126e-13, (498, 3) = 0.16915221287756305e-12, (499, 1) = 0.26303987253293674e-12, (499, 2) = -0.4935759625182966e-13, (499, 3) = 0.17267606091142157e-12, (500, 1) = 0.2639950706415982e-12, (500, 2) = -0.5817748293777347e-13, (500, 3) = 0.16868917714042282e-12, (501, 1) = 0.26342214943392364e-12, (501, 2) = -0.5964221113620768e-13, (501, 3) = 0.16857491291397683e-12, (502, 1) = 0.2636104338326919e-12, (502, 2) = -0.551259455090341e-13, (502, 3) = 0.1731986118876171e-12, (503, 1) = 0.2655114671906359e-12, (503, 2) = -0.5144812044392422e-13, (503, 3) = 0.16852288505817863e-12, (504, 1) = 0.2631280374112542e-12, (504, 2) = -0.54382064833578746e-13, (504, 3) = 0.17294625604034896e-12, (505, 1) = 0.2632325164268254e-12, (505, 2) = -0.55492689252345756e-13, (505, 3) = 0.17421997616778533e-12, (506, 1) = 0.26306553636511825e-12, (506, 2) = -0.55756974170252373e-13, (506, 3) = 0.17264943326927142e-12, (507, 1) = 0.26230462633002413e-12, (507, 2) = -0.5403998539521802e-13, (507, 3) = 0.17235944582823302e-12, (508, 1) = 0.26376133923935115e-12, (508, 2) = -0.5511495491303884e-13, (508, 3) = 0.17410085262979147e-12, (509, 1) = 0.2582859229130043e-12, (509, 2) = -0.6057055090090597e-13, (509, 3) = 0.17316188854148357e-12, (510, 1) = 0.2622678946351396e-12, (510, 2) = -0.510792114157985e-13, (510, 3) = 0.17544085095233742e-12, (511, 1) = 0.26664226648581745e-12, (511, 2) = -0.54686042359241e-13, (511, 3) = 0.17370583259382313e-12, (512, 1) = 0.27103682294305956e-12, (512, 2) = -0.55006926047325705e-13, (512, 3) = 0.17967215813046642e-12, (513, 1) = 0.26775014186976513e-12, (513, 2) = -0.5527425409522122e-13, (513, 3) = 0.18049428664354646e-12, (514, 1) = 0.263109984831761e-12, (514, 2) = -0.5639927888144012e-13, (514, 3) = 0.17891422573228237e-12, (515, 1) = 0.26344144083035865e-12, (515, 2) = -0.5141790610717544e-13, (515, 3) = 0.17558278458213257e-12, (516, 1) = 0.26637495146882673e-12, (516, 2) = -0.5681945063474995e-13, (516, 3) = 0.18042836285001832e-12, (517, 1) = 0.2615920231329248e-12, (517, 2) = -0.5322323672186561e-13, (517, 3) = 0.18097877615649458e-12, (518, 1) = 0.2574276829663529e-12, (518, 2) = -0.5384362060430289e-13, (518, 3) = 0.17803091744561544e-12, (519, 1) = 0.2623835000079412e-12, (519, 2) = -0.52545400669808134e-13, (519, 3) = 0.17983122306499236e-12, (520, 1) = 0.269392083958398e-12, (520, 2) = -0.5063969052333675e-13, (520, 3) = 0.18434539804850094e-12, (521, 1) = 0.2608852726789663e-12, (521, 2) = -0.5043243560015202e-13, (521, 3) = 0.18365187153577848e-12, (522, 1) = 0.2617239632520256e-12, (522, 2) = -0.5892039822700494e-13, (522, 3) = 0.18315866192438848e-12, (523, 1) = 0.259597539131181e-12, (523, 2) = -0.51458366078757336e-13, (523, 3) = 0.18371994963164098e-12, (524, 1) = 0.25980894016505226e-12, (524, 2) = -0.5435814541817825e-13, (524, 3) = 0.18770258653353351e-12, (525, 1) = 0.26477800635051084e-12, (525, 2) = -0.52828876784605424e-13, (525, 3) = 0.18957288941927359e-12, (526, 1) = 0.26492921325160815e-12, (526, 2) = -0.5561475560451373e-13, (526, 3) = 0.19222916867047846e-12, (527, 1) = 0.2624527925727296e-12, (527, 2) = -0.5971730506219248e-13, (527, 3) = 0.18877947905741752e-12, (528, 1) = 0.2656723598360307e-12, (528, 2) = -0.5553392640943197e-13, (528, 3) = 0.18650472329133782e-12, (529, 1) = 0.26181005262827113e-12, (529, 2) = -0.486375348186965e-13, (529, 3) = 0.19211279233538302e-12, (530, 1) = 0.26683983449469775e-12, (530, 2) = -0.48643020291333515e-13, (530, 3) = 0.1919885909534229e-12, (531, 1) = 0.25535011268626557e-12, (531, 2) = -0.5408480374462224e-13, (531, 3) = 0.1899827451185592e-12, (532, 1) = 0.26234174962587715e-12, (532, 2) = -0.5730361960070583e-13, (532, 3) = 0.18567793956140663e-12, (533, 1) = 0.2571758974437643e-12, (533, 2) = -0.50896515507522725e-13, (533, 3) = 0.1974523280701734e-12, (534, 1) = 0.25417838507822147e-12, (534, 2) = -0.4624435301118089e-13, (534, 3) = 0.1940218361781921e-12, (535, 1) = 0.26102041148868493e-12, (535, 2) = -0.5457653161547749e-13, (535, 3) = 0.2001838422064814e-12, (536, 1) = 0.25354682888577206e-12, (536, 2) = -0.5131168980638679e-13, (536, 3) = 0.20208687449025973e-12, (537, 1) = 0.2654569389906035e-12, (537, 2) = -0.53092613764176684e-13, (537, 3) = 0.19872950692463657e-12, (538, 1) = 0.2554695043764798e-12, (538, 2) = -0.5152420438265847e-13, (538, 3) = 0.20411520760514518e-12, (539, 1) = 0.25725828343985195e-12, (539, 2) = -0.5843961351968034e-13, (539, 3) = 0.2004870252697176e-12, (540, 1) = 0.25819362063771744e-12, (540, 2) = -0.52619369839519136e-13, (540, 3) = 0.20139207574452132e-12, (541, 1) = 0.2626292084070066e-12, (541, 2) = -0.5882735673711265e-13, (541, 3) = 0.20132374233576706e-12, (542, 1) = 0.25809416342652634e-12, (542, 2) = -0.5746388139628302e-13, (542, 3) = 0.20424931359642504e-12, (543, 1) = 0.25858102495116856e-12, (543, 2) = -0.5861823235159924e-13, (543, 3) = 0.19900537633563775e-12, (544, 1) = 0.26428290742458453e-12, (544, 2) = -0.5509484522976758e-13, (544, 3) = 0.2080468930103837e-12, (545, 1) = 0.25915686102307895e-12, (545, 2) = -0.5089747466574649e-13, (545, 3) = 0.2082097907657547e-12, (546, 1) = 0.2632198684944747e-12, (546, 2) = -0.50209835752929704e-13, (546, 3) = 0.20956574799127552e-12, (547, 1) = 0.25855305743519173e-12, (547, 2) = -0.4989164480297936e-13, (547, 3) = 0.207580643896045e-12, (548, 1) = 0.25923693146057993e-12, (548, 2) = -0.5586876162550319e-13, (548, 3) = 0.20676608053690932e-12, (549, 1) = 0.2550268478772354e-12, (549, 2) = -0.6151488024458963e-13, (549, 3) = 0.20969925404876746e-12, (550, 1) = 0.25825946438069907e-12, (550, 2) = -0.4772328532388501e-13, (550, 3) = 0.21129671964332426e-12, (551, 1) = 0.2624253012050018e-12, (551, 2) = -0.49282439270521586e-13, (551, 3) = 0.21181121267251717e-12, (552, 1) = 0.2538577052732244e-12, (552, 2) = -0.4789863910118877e-13, (552, 3) = 0.21576741411943288e-12, (553, 1) = 0.26378620366194544e-12, (553, 2) = -0.5126298047393225e-13, (553, 3) = 0.21837714650844912e-12, (554, 1) = 0.2567281929403492e-12, (554, 2) = -0.4943329719794362e-13, (554, 3) = 0.22173695350112482e-12, (555, 1) = 0.2614095543211465e-12, (555, 2) = -0.52337561061035195e-13, (555, 3) = 0.2236139760014863e-12, (556, 1) = 0.26225928350970383e-12, (556, 2) = -0.4857253924857575e-13, (556, 3) = 0.21871021721866244e-12, (557, 1) = 0.25631177325185274e-12, (557, 2) = -0.5022408345394368e-13, (557, 3) = 0.2189479631783403e-12, (558, 1) = 0.2566635269818293e-12, (558, 2) = -0.4706378901337895e-13, (558, 3) = 0.21997251349509589e-12, (559, 1) = 0.25264637022843263e-12, (559, 2) = -0.5016677619221043e-13, (559, 3) = 0.22498480458567208e-12, (560, 1) = 0.26221267629325956e-12, (560, 2) = -0.5715082145311747e-13, (560, 3) = 0.22539722351505143e-12, (561, 1) = 0.263058902745902e-12, (561, 2) = -0.48123773066602785e-13, (561, 3) = 0.22504833376341213e-12, (562, 1) = 0.2554926330248944e-12, (562, 2) = -0.5009001157143257e-13, (562, 3) = 0.22693186195304478e-12, (563, 1) = 0.25511874141146373e-12, (563, 2) = -0.54169526836225863e-13, (563, 3) = 0.2285812299490425e-12, (564, 1) = 0.2564041417921839e-12, (564, 2) = -0.49493841462474964e-13, (564, 3) = 0.2317928275060752e-12, (565, 1) = 0.2544401097228977e-12, (565, 2) = -0.55344260954232326e-13, (565, 3) = 0.23052809748308326e-12, (566, 1) = 0.2547163587206234e-12, (566, 2) = -0.52085840917612036e-13, (566, 3) = 0.24000659416123595e-12, (567, 1) = 0.25852936754722966e-12, (567, 2) = -0.517707480117983e-13, (567, 3) = 0.23738130940989915e-12, (568, 1) = 0.26155455784113056e-12, (568, 2) = -0.56255499536175423e-13, (568, 3) = 0.24108277752638933e-12, (569, 1) = 0.2570612231158136e-12, (569, 2) = -0.45582452194938795e-13, (569, 3) = 0.24044579867602983e-12, (570, 1) = 0.25298109446973243e-12, (570, 2) = -0.4865237268983766e-13, (570, 3) = 0.2402050056830662e-12, (571, 1) = 0.2561028827032022e-12, (571, 2) = -0.48793192684158684e-13, (571, 3) = 0.24311647778043966e-12, (572, 1) = 0.26146026636561774e-12, (572, 2) = -0.4636852929371979e-13, (572, 3) = 0.24875847901785355e-12, (573, 1) = 0.25654315595316387e-12, (573, 2) = -0.5401128662046396e-13, (573, 3) = 0.2470360743808946e-12, (574, 1) = 0.25722338182916615e-12, (574, 2) = -0.483735564144685e-13, (574, 3) = 0.2511950462140409e-12, (575, 1) = 0.26059520536127514e-12, (575, 2) = -0.56302792605885905e-13, (575, 3) = 0.2508671401424641e-12, (576, 1) = 0.25235838373342023e-12, (576, 2) = -0.55962718554485066e-13, (576, 3) = 0.25944664710139925e-12, (577, 1) = 0.25832005654371655e-12, (577, 2) = -0.4629661477475313e-13, (577, 3) = 0.2586388442155534e-12, (578, 1) = 0.2549587481787171e-12, (578, 2) = -0.49940772272873544e-13, (578, 3) = 0.26075661334431165e-12, (579, 1) = 0.2537172640222347e-12, (579, 2) = -0.51062757864306263e-13, (579, 3) = 0.25753483954112166e-12, (580, 1) = 0.26287574628907906e-12, (580, 2) = -0.5357431643567348e-13, (580, 3) = 0.26184714284765804e-12, (581, 1) = 0.2548117167690145e-12, (581, 2) = -0.49843925871786316e-13, (581, 3) = 0.258377036864332e-12, (582, 1) = 0.2593821519757949e-12, (582, 2) = -0.56370126128040695e-13, (582, 3) = 0.2671796414621468e-12, (583, 1) = 0.25999538419746945e-12, (583, 2) = -0.49245562922020136e-13, (583, 3) = 0.2675178928310093e-12, (584, 1) = 0.2515613689303832e-12, (584, 2) = -0.51744940966509594e-13, (584, 3) = 0.2684832622745991e-12, (585, 1) = 0.2563098572484733e-12, (585, 2) = -0.48526995271911273e-13, (585, 3) = 0.2712712965564302e-12, (586, 1) = 0.25524230533783016e-12, (586, 2) = -0.4930357797130949e-13, (586, 3) = 0.2727111944753403e-12, (587, 1) = 0.2528019879725431e-12, (587, 2) = -0.46820013757349156e-13, (587, 3) = 0.2744366900739629e-12, (588, 1) = 0.26092671341880783e-12, (588, 2) = -0.56006471583596985e-13, (588, 3) = 0.2758531342424659e-12, (589, 1) = 0.24932457881463943e-12, (589, 2) = -0.5093343239066751e-13, (589, 3) = 0.28026544699050945e-12, (590, 1) = 0.2557160109906369e-12, (590, 2) = -0.4917309504008175e-13, (590, 3) = 0.28281499517603483e-12, (591, 1) = 0.2525894925294318e-12, (591, 2) = -0.4971770130483535e-13, (591, 3) = 0.28684614443655474e-12, (592, 1) = 0.24835960734847706e-12, (592, 2) = -0.4852200123614157e-13, (592, 3) = 0.29040375581629e-12, (593, 1) = 0.2510234431380212e-12, (593, 2) = -0.51373856081067657e-13, (593, 3) = 0.2914622314033784e-12, (594, 1) = 0.2577546004147154e-12, (594, 2) = -0.45349907360621485e-13, (594, 3) = 0.2932030503993703e-12, (595, 1) = 0.24970289658921076e-12, (595, 2) = -0.50667100385221554e-13, (595, 3) = 0.2974299584675494e-12, (596, 1) = 0.2543940131140176e-12, (596, 2) = -0.4990002205095025e-13, (596, 3) = 0.29876159142435464e-12, (597, 1) = 0.25399562345243805e-12, (597, 2) = -0.47368408511514646e-13, (597, 3) = 0.30660456592025207e-12, (598, 1) = 0.2519337263537864e-12, (598, 2) = -0.46695994536473013e-13, (598, 3) = 0.3056369846115702e-12, (599, 1) = 0.25219913164256574e-12, (599, 2) = -0.4639278163018808e-13, (599, 3) = 0.30803332927949837e-12, (600, 1) = 0.25485778819892755e-12, (600, 2) = -0.46969802025911025e-13, (600, 3) = 0.30935558084469637e-12, (601, 1) = 0.25108239238627865e-12, (601, 2) = -0.46095719097549676e-13, (601, 3) = 0.3161333688198078e-12, (602, 1) = 0.2560126455995941e-12, (602, 2) = -0.53351217219292675e-13, (602, 3) = 0.3177784538900923e-12, (603, 1) = 0.2503411720177713e-12, (603, 2) = -0.53726101361676673e-13, (603, 3) = 0.3217496300030594e-12, (604, 1) = 0.25071754013218267e-12, (604, 2) = -0.49831695314420284e-13, (604, 3) = 0.3253478796315772e-12, (605, 1) = 0.25179350862395594e-12, (605, 2) = -0.48742444586120735e-13, (605, 3) = 0.32946086172637503e-12, (606, 1) = 0.25446090073148325e-12, (606, 2) = -0.5037812242808298e-13, (606, 3) = 0.3293672980862806e-12, (607, 1) = 0.25172600816106807e-12, (607, 2) = -0.4775820409267512e-13, (607, 3) = 0.3339994372036002e-12, (608, 1) = 0.25121336491697976e-12, (608, 2) = -0.51570859024943004e-13, (608, 3) = 0.33865968940997817e-12, (609, 1) = 0.2506115173102331e-12, (609, 2) = -0.4439883323828234e-13, (609, 3) = 0.34181490923862313e-12, (610, 1) = 0.2564961186431672e-12, (610, 2) = -0.49398326847407266e-13, (610, 3) = 0.3418038356861744e-12, (611, 1) = 0.2561387147614215e-12, (611, 2) = -0.5075676635962681e-13, (611, 3) = 0.35118308184622676e-12, (612, 1) = 0.25383991387198356e-12, (612, 2) = -0.4517397976170347e-13, (612, 3) = 0.3530104780033165e-12, (613, 1) = 0.2548493939308742e-12, (613, 2) = -0.5270754235022784e-13, (613, 3) = 0.35793537006564403e-12, (614, 1) = 0.25005250282302093e-12, (614, 2) = -0.4994349723222837e-13, (614, 3) = 0.358846048043567e-12, (615, 1) = 0.25946027939004996e-12, (615, 2) = -0.4898595708859995e-13, (615, 3) = 0.36239403972625397e-12, (616, 1) = 0.25728426075248127e-12, (616, 2) = -0.4898442426770501e-13, (616, 3) = 0.36775433638040175e-12, (617, 1) = 0.25403696298242543e-12, (617, 2) = -0.4325736946549718e-13, (617, 3) = 0.37101998528057487e-12, (618, 1) = 0.2496133262506635e-12, (618, 2) = -0.4650399008285597e-13, (618, 3) = 0.379385321094267e-12, (619, 1) = 0.25605086562294e-12, (619, 2) = -0.48332456325013716e-13, (619, 3) = 0.3775900823245087e-12, (620, 1) = 0.2499657353222632e-12, (620, 2) = -0.47301001383296155e-13, (620, 3) = 0.38340727472161654e-12, (621, 1) = 0.25014512904620916e-12, (621, 2) = -0.5193917366173816e-13, (621, 3) = 0.3888436817360684e-12, (622, 1) = 0.25008400340253295e-12, (622, 2) = -0.48364732987195704e-13, (622, 3) = 0.3951812604847301e-12, (623, 1) = 0.2555200775616852e-12, (623, 2) = -0.4533337406167672e-13, (623, 3) = 0.39962352694843866e-12, (624, 1) = 0.24748411860293146e-12, (624, 2) = -0.49763836643065284e-13, (624, 3) = 0.4050336599678384e-12, (625, 1) = 0.2431003966551845e-12, (625, 2) = -0.43208983936698576e-13, (625, 3) = 0.41045323733252156e-12, (626, 1) = 0.2494996945790688e-12, (626, 2) = -0.56054382153318044e-13, (626, 3) = 0.4140479694440756e-12, (627, 1) = 0.2497973433475624e-12, (627, 2) = -0.4628241422178244e-13, (627, 3) = 0.4187218066506347e-12, (628, 1) = 0.24511239943559027e-12, (628, 2) = -0.47087374158844663e-13, (628, 3) = 0.42673639145482093e-12, (629, 1) = 0.2473491630858115e-12, (629, 2) = -0.49378294188996146e-13, (629, 3) = 0.4300356377577937e-12, (630, 1) = 0.2542491079853882e-12, (630, 2) = -0.4956008405900061e-13, (630, 3) = 0.433827050832783e-12, (631, 1) = 0.24425111935917377e-12, (631, 2) = -0.4337630883563019e-13, (631, 3) = 0.43830815743878165e-12, (632, 1) = 0.2531255671689383e-12, (632, 2) = -0.4479241984055245e-13, (632, 3) = 0.44469908685570263e-12, (633, 1) = 0.2450100815372262e-12, (633, 2) = -0.46741566278267744e-13, (633, 3) = 0.4518528407515332e-12, (634, 1) = 0.2508142947728476e-12, (634, 2) = -0.4294955862089207e-13, (634, 3) = 0.4564370662294091e-12, (635, 1) = 0.2500315144039895e-12, (635, 2) = -0.4826233119717269e-13, (635, 3) = 0.4647497979632248e-12, (636, 1) = 0.25087063770454513e-12, (636, 2) = -0.4346251158035998e-13, (636, 3) = 0.4689147032643833e-12, (637, 1) = 0.24442697581726653e-12, (637, 2) = -0.49439931263591386e-13, (637, 3) = 0.4747063168043469e-12, (638, 1) = 0.2558751402923024e-12, (638, 2) = -0.43322834125244694e-13, (638, 3) = 0.4834993653267164e-12, (639, 1) = 0.2528216499703891e-12, (639, 2) = -0.49935682762141077e-13, (639, 3) = 0.4883741152502892e-12, (640, 1) = 0.25122696980101e-12, (640, 2) = -0.41378098119021047e-13, (640, 3) = 0.4987546970955758e-12, (641, 1) = 0.2514029570960838e-12, (641, 2) = -0.39421277209157944e-13, (641, 3) = 0.5021969699101706e-12, (642, 1) = 0.25106910818388127e-12, (642, 2) = -0.43017652814696866e-13, (642, 3) = 0.5101330182676489e-12, (643, 1) = 0.24761602223164044e-12, (643, 2) = -0.5121274017904363e-13, (643, 3) = 0.5161726638966935e-12, (644, 1) = 0.2527163859713723e-12, (644, 2) = -0.5015335644739042e-13, (644, 3) = 0.5237142537906086e-12, (645, 1) = 0.24881697294074186e-12, (645, 2) = -0.42255862574083996e-13, (645, 3) = 0.5311038832497521e-12, (646, 1) = 0.24504521570332535e-12, (646, 2) = -0.4071038749629346e-13, (646, 3) = 0.542108367717497e-12, (647, 1) = 0.24142811780619165e-12, (647, 2) = -0.4478957826293464e-13, (647, 3) = 0.5483572896192012e-12, (648, 1) = 0.24892414025812736e-12, (648, 2) = -0.5047959917002842e-13, (648, 3) = 0.5583382238431714e-12, (649, 1) = 0.24726409625844494e-12, (649, 2) = -0.4570143280569733e-13, (649, 3) = 0.5636046124506046e-12, (650, 1) = 0.24828009001199013e-12, (650, 2) = -0.4954024141018158e-13, (650, 3) = 0.5699324322628695e-12, (651, 1) = 0.2527761641816437e-12, (651, 2) = -0.51311709137668325e-13, (651, 3) = 0.5858077815880546e-12, (652, 1) = 0.2506216285901189e-12, (652, 2) = -0.46819514263430894e-13, (652, 3) = 0.5895373230893902e-12, (653, 1) = 0.24098584433602933e-12, (653, 2) = -0.4323422763907375e-13, (653, 3) = 0.6012996662043899e-12, (654, 1) = 0.24821746310577603e-12, (654, 2) = -0.46427601592603905e-13, (654, 3) = 0.6107869457266908e-12, (655, 1) = 0.24769222541243254e-12, (655, 2) = -0.48412462470375087e-13, (655, 3) = 0.6217026835340966e-12, (656, 1) = 0.24939808915268983e-12, (656, 2) = -0.3879371112006612e-13, (656, 3) = 0.6313947954303465e-12, (657, 1) = 0.25392637452319564e-12, (657, 2) = -0.4326890434447907e-13, (657, 3) = 0.6418924104962462e-12, (658, 1) = 0.24656979447655287e-12, (658, 2) = -0.4245054447137558e-13, (658, 3) = 0.6477233615095779e-12, (659, 1) = 0.2478343854903075e-12, (659, 2) = -0.3929824952932019e-13, (659, 3) = 0.6594185995860271e-12, (660, 1) = 0.24432616179171164e-12, (660, 2) = -0.4130385182093193e-13, (660, 3) = 0.6692625837917082e-12, (661, 1) = 0.2449230819004669e-12, (661, 2) = -0.42865434973164637e-13, (661, 3) = 0.6852074496766649e-12, (662, 1) = 0.24451662636316045e-12, (662, 2) = -0.4100529107291408e-13, (662, 3) = 0.6942863539435457e-12, (663, 1) = 0.24132934862501486e-12, (663, 2) = -0.4821047307060606e-13, (663, 3) = 0.7045447538075169e-12, (664, 1) = 0.2502995180314806e-12, (664, 2) = -0.38452401140882025e-13, (664, 3) = 0.7185943761291063e-12, (665, 1) = 0.24118991577673767e-12, (665, 2) = -0.4601826236827892e-13, (665, 3) = 0.7286614495244916e-12, (666, 1) = 0.24863290256661263e-12, (666, 2) = -0.4114450526232779e-13, (666, 3) = 0.7411714909605554e-12, (667, 1) = 0.2401948416432466e-12, (667, 2) = -0.48758895418133857e-13, (667, 3) = 0.7589192951833986e-12, (668, 1) = 0.24194677159623836e-12, (668, 2) = -0.5007468976010621e-13, (668, 3) = 0.7704454230581672e-12, (669, 1) = 0.2471192404955095e-12, (669, 2) = -0.41087207643562864e-13, (669, 3) = 0.7849877825796605e-12, (670, 1) = 0.24214385854061167e-12, (670, 2) = -0.40340086246653504e-13, (670, 3) = 0.7993509902870975e-12, (671, 1) = 0.24787301681815993e-12, (671, 2) = -0.3968581853482884e-13, (671, 3) = 0.8100915756979994e-12, (672, 1) = 0.24566312694917995e-12, (672, 2) = -0.5020055949626577e-13, (672, 3) = 0.8279146331861334e-12, (673, 1) = 0.24160023994659e-12, (673, 2) = -0.4393782116300327e-13, (673, 3) = 0.8436853413395606e-12, (674, 1) = 0.24500131863350013e-12, (674, 2) = -0.42202493001707895e-13, (674, 3) = 0.8567897046795566e-12, (675, 1) = 0.24523044119822815e-12, (675, 2) = -0.3965160002478753e-13, (675, 3) = 0.8731050921634773e-12, (676, 1) = 0.24341841609672143e-12, (676, 2) = -0.4163570515111855e-13, (676, 3) = 0.860581585545486e-12, (677, 1) = 0.245593910894131e-12, (677, 2) = -0.46315567342069155e-13, (677, 3) = 0.8023950289378962e-12, (678, 1) = 0.2449049877020555e-12, (678, 2) = -0.3592873471245668e-13, (678, 3) = 0.7588426165596235e-12, (679, 1) = 0.24431802040148445e-12, (679, 2) = -0.4499097046305473e-13, (679, 3) = 0.7123278665827033e-12, (680, 1) = 0.24448506271341364e-12, (680, 2) = -0.4468297043703051e-13, (680, 3) = 0.686514420483409e-12, (681, 1) = 0.24912398726106964e-12, (681, 2) = -0.427620404411167e-13, (681, 3) = 0.6507988290189708e-12, (682, 1) = 0.241798890851164e-12, (682, 2) = -0.43863961330216704e-13, (682, 3) = 0.632988225121404e-12, (683, 1) = 0.2423563788129276e-12, (683, 2) = -0.417966133152443e-13, (683, 3) = 0.608371344545937e-12, (684, 1) = 0.2467645874754946e-12, (684, 2) = -0.3958925270849384e-13, (684, 3) = 0.5953829229598135e-12, (685, 1) = 0.2368909376391544e-12, (685, 2) = -0.41616081451954356e-13, (685, 3) = 0.5775566472629095e-12, (686, 1) = 0.2454203610176539e-12, (686, 2) = -0.4471528300799872e-13, (686, 3) = 0.563060170059519e-12, (687, 1) = 0.24629326809449503e-12, (687, 2) = -0.4031972171299218e-13, (687, 3) = 0.5527549036866301e-12, (688, 1) = 0.23591515077617945e-12, (688, 2) = -0.4025254161095534e-13, (688, 3) = 0.548136546325493e-12, (689, 1) = 0.2390698980427821e-12, (689, 2) = -0.4071902591498312e-13, (689, 3) = 0.5348664043518011e-12, (690, 1) = 0.24238833047772465e-12, (690, 2) = -0.426285782928786e-13, (690, 3) = 0.5281559491775589e-12, (691, 1) = 0.2402944805510137e-12, (691, 2) = -0.4229816688428587e-13, (691, 3) = 0.5175968313428871e-12, (692, 1) = 0.2407300375493834e-12, (692, 2) = -0.4155302804763536e-13, (692, 3) = 0.5181046800998059e-12, (693, 1) = 0.2444480440669118e-12, (693, 2) = -0.4087884369425258e-13, (693, 3) = 0.5129326408597664e-12, (694, 1) = 0.2396391459891681e-12, (694, 2) = -0.4392724480434889e-13, (694, 3) = 0.5085238327074528e-12, (695, 1) = 0.2476606157443637e-12, (695, 2) = -0.41122925574113046e-13, (695, 3) = 0.501961230787435e-12, (696, 1) = 0.2406044328966459e-12, (696, 2) = -0.3723995375357203e-13, (696, 3) = 0.5020694915192052e-12, (697, 1) = 0.24032090843416844e-12, (697, 2) = -0.48217047070965937e-13, (697, 3) = 0.4967917413899167e-12, (698, 1) = 0.23808768935162676e-12, (698, 2) = -0.40992561872033764e-13, (698, 3) = 0.4931867483218121e-12, (699, 1) = 0.2342466339282053e-12, (699, 2) = -0.3596831304522713e-13, (699, 3) = 0.4920028330853573e-12, (700, 1) = 0.24193751970359774e-12, (700, 2) = -0.4401709690194217e-13, (700, 3) = 0.4894921054259459e-12, (701, 1) = 0.2353313793288683e-12, (701, 2) = -0.38241701273163744e-13, (701, 3) = 0.4852845542999239e-12, (702, 1) = 0.23200982767008226e-12, (702, 2) = -0.3879825486975155e-13, (702, 3) = 0.4865166760562243e-12, (703, 1) = 0.24691583403579026e-12, (703, 2) = -0.4043630497681137e-13, (703, 3) = 0.4810703882737388e-12, (704, 1) = 0.24095998736753433e-12, (704, 2) = -0.4122023851139094e-13, (704, 3) = 0.4847073475466499e-12, (705, 1) = 0.23871270721144973e-12, (705, 2) = -0.44965726236908135e-13, (705, 3) = 0.4780089445253753e-12, (706, 1) = 0.2421235094769941e-12, (706, 2) = -0.412827363878098e-13, (706, 3) = 0.4811577143111844e-12, (707, 1) = 0.23849192001646837e-12, (707, 2) = -0.40708104504827805e-13, (707, 3) = 0.4807772828365968e-12, (708, 1) = 0.2374868166613081e-12, (708, 2) = -0.3992675975841097e-13, (708, 3) = 0.4783980302109133e-12, (709, 1) = 0.23918176638392787e-12, (709, 2) = -0.3557126157876796e-13, (709, 3) = 0.4795998955863148e-12, (710, 1) = 0.2364458318127353e-12, (710, 2) = -0.3889034370280767e-13, (710, 3) = 0.4793261918920378e-12, (711, 1) = 0.2311743873245326e-12, (711, 2) = -0.4108189897744794e-13, (711, 3) = 0.4798337364337331e-12, (712, 1) = 0.23906968870828124e-12, (712, 2) = -0.42624492106429615e-13, (712, 3) = 0.4774112707678318e-12, (713, 1) = 0.23311474575408057e-12, (713, 2) = -0.3857264149276403e-13, (713, 3) = 0.4771269840492476e-12, (714, 1) = 0.2322204565444117e-12, (714, 2) = -0.3937626769569904e-13, (714, 3) = 0.4744612385854176e-12, (715, 1) = 0.2390224334145949e-12, (715, 2) = -0.4384629783306088e-13, (715, 3) = 0.4770675803753926e-12, (716, 1) = 0.2361818820203038e-12, (716, 2) = -0.3441947695750554e-13, (716, 3) = 0.4749417854582709e-12, (717, 1) = 0.23748875550033573e-12, (717, 2) = -0.379093307797243e-13, (717, 3) = 0.4710458813541529e-12, (718, 1) = 0.245650562204091e-12, (718, 2) = -0.3991585586091911e-13, (718, 3) = 0.4774401605603157e-12, (719, 1) = 0.23441935827556343e-12, (719, 2) = -0.3720647498675994e-13, (719, 3) = 0.4753703469635504e-12, (720, 1) = 0.23066480601708953e-12, (720, 2) = -0.3196466901815173e-13, (720, 3) = 0.4745690830995293e-12, (721, 1) = 0.23582477824353425e-12, (721, 2) = -0.3795973733276358e-13, (721, 3) = 0.4762500465264098e-12, (722, 1) = 0.24129713119599294e-12, (722, 2) = -0.3822949806789256e-13, (722, 3) = 0.4756944010667953e-12, (723, 1) = 0.23379288527581585e-12, (723, 2) = -0.37570250731929644e-13, (723, 3) = 0.4765513901015317e-12, (724, 1) = 0.2305189732137712e-12, (724, 2) = -0.4416137193216476e-13, (724, 3) = 0.4791535231540757e-12, (725, 1) = 0.23839885626081476e-12, (725, 2) = -0.3509801405302549e-13, (725, 3) = 0.4789775630727094e-12, (726, 1) = 0.23027944209331974e-12, (726, 2) = -0.4246709774734996e-13, (726, 3) = 0.4789322559917344e-12, (727, 1) = 0.23856979853955356e-12, (727, 2) = -0.32590906604987984e-13, (727, 3) = 0.4810161488234436e-12, (728, 1) = 0.23656986867571096e-12, (728, 2) = -0.40701062332312886e-13, (728, 3) = 0.4788179328645018e-12, (729, 1) = 0.2311358134553918e-12, (729, 2) = -0.40341057779833e-13, (729, 3) = 0.4815574029232837e-12, (730, 1) = 0.2344707872456415e-12, (730, 2) = -0.44428229276497435e-13, (730, 3) = 0.4790535164990704e-12, (731, 1) = 0.23271955887389464e-12, (731, 2) = -0.37290392262937945e-13, (731, 3) = 0.4820110911863791e-12, (732, 1) = 0.23040486731797375e-12, (732, 2) = -0.3355781201161166e-13, (732, 3) = 0.4814405163348603e-12, (733, 1) = 0.23112036824580246e-12, (733, 2) = -0.3851967027671347e-13, (733, 3) = 0.4842127746207965e-12, (734, 1) = 0.2380580870488877e-12, (734, 2) = -0.3607737910466716e-13, (734, 3) = 0.4844926057975016e-12, (735, 1) = 0.23585480556117493e-12, (735, 2) = -0.3487144766928553e-13, (735, 3) = 0.4843308635024521e-12, (736, 1) = 0.2322134748374177e-12, (736, 2) = -0.41064392760250026e-13, (736, 3) = 0.4897350576157746e-12, (737, 1) = 0.2283127369585476e-12, (737, 2) = -0.38875893146698867e-13, (737, 3) = 0.486422834572131e-12, (738, 1) = 0.236801005575464e-12, (738, 2) = -0.4555694008242106e-13, (738, 3) = 0.4888278211920331e-12, (739, 1) = 0.23130829297732564e-12, (739, 2) = -0.3655537924715432e-13, (739, 3) = 0.4889540669936042e-12, (740, 1) = 0.22836453015223494e-12, (740, 2) = -0.42002508028183224e-13, (740, 3) = 0.4891635379024916e-12, (741, 1) = 0.2291686945112081e-12, (741, 2) = -0.3594357517464929e-13, (741, 3) = 0.4920402390897436e-12, (742, 1) = 0.23344576773120046e-12, (742, 2) = -0.40981899249260077e-13, (742, 3) = 0.4912808051714289e-12, (743, 1) = 0.23009178228934805e-12, (743, 2) = -0.331744238412366e-13, (743, 3) = 0.4941671010583988e-12, (744, 1) = 0.2371180380569226e-12, (744, 2) = -0.3980736452452992e-13, (744, 3) = 0.4961140497965063e-12, (745, 1) = 0.2335116575773434e-12, (745, 2) = -0.3486491176685824e-13, (745, 3) = 0.4948873054697442e-12, (746, 1) = 0.229475813800965e-12, (746, 2) = -0.42097543435197736e-13, (746, 3) = 0.4981323367188393e-12, (747, 1) = 0.2265087072179397e-12, (747, 2) = -0.4266813652638681e-13, (747, 3) = 0.5009011986948505e-12, (748, 1) = 0.2331106160710917e-12, (748, 2) = -0.3515989840849525e-13, (748, 3) = 0.4982746499933807e-12, (749, 1) = 0.23028730263469857e-12, (749, 2) = -0.3525547960449154e-13, (749, 3) = 0.5068462747226413e-12, (750, 1) = 0.2282253534112832e-12, (750, 2) = -0.4153544698962643e-13, (750, 3) = 0.5067998422997249e-12, (751, 1) = 0.2304975608898314e-12, (751, 2) = -0.28230515279420972e-13, (751, 3) = 0.5044031484264921e-12, (752, 1) = 0.2282858739759443e-12, (752, 2) = -0.42543923019606016e-13, (752, 3) = 0.5066692806579791e-12, (753, 1) = 0.2330173702945298e-12, (753, 2) = -0.32380229230272505e-13, (753, 3) = 0.5079169341139401e-12, (754, 1) = 0.22475285656532788e-12, (754, 2) = -0.3512210352291975e-13, (754, 3) = 0.5108550487811103e-12, (755, 1) = 0.23467495054420995e-12, (755, 2) = -0.3743979815991564e-13, (755, 3) = 0.5133279176494205e-12, (756, 1) = 0.2258366233564404e-12, (756, 2) = -0.4239830237678497e-13, (756, 3) = 0.5116510288625281e-12, (757, 1) = 0.22521537707037565e-12, (757, 2) = -0.3550560016569668e-13, (757, 3) = 0.5132844976392363e-12, (758, 1) = 0.2202645736557224e-12, (758, 2) = -0.4275532862950611e-13, (758, 3) = 0.5179653115473236e-12, (759, 1) = 0.2264639374924802e-12, (759, 2) = -0.3774165962359846e-13, (759, 3) = 0.5195132098377993e-12, (760, 1) = 0.22624165030367966e-12, (760, 2) = -0.4275239046531491e-13, (760, 3) = 0.5240077648232728e-12, (761, 1) = 0.2353221324221251e-12, (761, 2) = -0.3513277164024698e-13, (761, 3) = 0.5222234309565662e-12, (762, 1) = 0.22321445305907926e-12, (762, 2) = -0.38187522285562136e-13, (762, 3) = 0.5261609881405017e-12, (763, 1) = 0.22806484096944944e-12, (763, 2) = -0.3960656955085927e-13, (763, 3) = 0.5255163720215537e-12, (764, 1) = 0.22729586974049882e-12, (764, 2) = -0.3672847129012266e-13, (764, 3) = 0.5301794180778009e-12, (765, 1) = 0.22295776908135974e-12, (765, 2) = -0.3359084880217326e-13, (765, 3) = 0.5308914301369699e-12, (766, 1) = 0.232051757154091e-12, (766, 2) = -0.36601060417302384e-13, (766, 3) = 0.5336712028314347e-12, (767, 1) = 0.22113569248066426e-12, (767, 2) = -0.3420623138157279e-13, (767, 3) = 0.5343295857262801e-12, (768, 1) = 0.2215638069954832e-12, (768, 2) = -0.3818201136963134e-13, (768, 3) = 0.5354658419850735e-12, (769, 1) = 0.2266853994709735e-12, (769, 2) = -0.3819367807974861e-13, (769, 3) = 0.5383623232474966e-12, (770, 1) = 0.2204646117011783e-12, (770, 2) = -0.39772745178226166e-13, (770, 3) = 0.5418157460625682e-12, (771, 1) = 0.22955156217136843e-12, (771, 2) = -0.4060536849053364e-13, (771, 3) = 0.5459654448184055e-12, (772, 1) = 0.2277715601414031e-12, (772, 2) = -0.35288955959957e-13, (772, 3) = 0.548573695563141e-12, (773, 1) = 0.22785297527114443e-12, (773, 2) = -0.4276272521279639e-13, (773, 3) = 0.5491914902307988e-12, (774, 1) = 0.22519243374393532e-12, (774, 2) = -0.39407532640844834e-13, (774, 3) = 0.5524152771395873e-12, (775, 1) = 0.22793735376791737e-12, (775, 2) = -0.3539616192793069e-13, (775, 3) = 0.5528262035798977e-12, (776, 1) = 0.22231914506814655e-12, (776, 2) = -0.27441392396791077e-13, (776, 3) = 0.5584453334032874e-12, (777, 1) = 0.21814936223020606e-12, (777, 2) = -0.34438150720505604e-13, (777, 3) = 0.5582676818296484e-12, (778, 1) = 0.22427162017304905e-12, (778, 2) = -0.3706909823492538e-13, (778, 3) = 0.5619627049775983e-12, (779, 1) = 0.2237140520636446e-12, (779, 2) = -0.33991188856015596e-13, (779, 3) = 0.5656179184687767e-12, (780, 1) = 0.21753013239836146e-12, (780, 2) = -0.32198977930857054e-13, (780, 3) = 0.5678802726263977e-12, (781, 1) = 0.2240631270013068e-12, (781, 2) = -0.4138478681035528e-13, (781, 3) = 0.5703586764046919e-12, (782, 1) = 0.22315958995297015e-12, (782, 2) = -0.41184173165518487e-13, (782, 3) = 0.5717913680665842e-12, (783, 1) = 0.22076048955513444e-12, (783, 2) = -0.4228246714306135e-13, (783, 3) = 0.5765398645732083e-12, (784, 1) = 0.2242824929137669e-12, (784, 2) = -0.3415717135563197e-13, (784, 3) = 0.5782167415843762e-12, (785, 1) = 0.22785746288759526e-12, (785, 2) = -0.40993551261182186e-13, (785, 3) = 0.5804598267820153e-12, (786, 1) = 0.2164068034025884e-12, (786, 2) = -0.3497196442319131e-13, (786, 3) = 0.5857006057399589e-12, (787, 1) = 0.22039209287864752e-12, (787, 2) = -0.3673858005265507e-13, (787, 3) = 0.5881368479972826e-12, (788, 1) = 0.21499121052960943e-12, (788, 2) = -0.3929594721673186e-13, (788, 3) = 0.5928985545297002e-12, (789, 1) = 0.21809947725928468e-12, (789, 2) = -0.3866369967950808e-13, (789, 3) = 0.5937585928875756e-12, (790, 1) = 0.20953360049216825e-12, (790, 2) = -0.3534047593691839e-13, (790, 3) = 0.5977626205482103e-12, (791, 1) = 0.22154788650556027e-12, (791, 2) = -0.370195371975028e-13, (791, 3) = 0.6021147826420883e-12, (792, 1) = 0.21452707556716973e-12, (792, 2) = -0.27169247773736686e-13, (792, 3) = 0.6047741755934449e-12, (793, 1) = 0.2309390705248485e-12, (793, 2) = -0.32380327796600244e-13, (793, 3) = 0.6079148811972393e-12, (794, 1) = 0.22084718432038735e-12, (794, 2) = -0.39552225242769535e-13, (794, 3) = 0.6101129374329787e-12, (795, 1) = 0.21443490668223914e-12, (795, 2) = -0.38618303382331636e-13, (795, 3) = 0.6135747710320908e-12, (796, 1) = 0.22973803971856335e-12, (796, 2) = -0.33855033137859323e-13, (796, 3) = 0.6162330021320227e-12, (797, 1) = 0.2236734747467615e-12, (797, 2) = -0.34173920422753994e-13, (797, 3) = 0.6216413231324346e-12, (798, 1) = 0.21873629252386707e-12, (798, 2) = -0.3316330039067724e-13, (798, 3) = 0.6258218654312399e-12, (799, 1) = 0.21528241605302073e-12, (799, 2) = -0.3512007556699321e-13, (799, 3) = 0.6293562685133795e-12, (800, 1) = 0.22684570244505353e-12, (800, 2) = -0.35433246273384924e-13, (800, 3) = 0.6318157510116045e-12, (801, 1) = 0.21545166714447728e-12, (801, 2) = -0.35197434492988726e-13, (801, 3) = 0.6363275485702716e-12, (802, 1) = 0.21562144601765296e-12, (802, 2) = -0.3500367509692332e-13, (802, 3) = 0.6390992822257537e-12, (803, 1) = 0.22483139218705936e-12, (803, 2) = -0.34078599766022263e-13, (803, 3) = 0.6440987722271606e-12, (804, 1) = 0.22288330083597505e-12, (804, 2) = -0.35326419304097114e-13, (804, 3) = 0.6472773232908569e-12, (805, 1) = 0.2198289853751798e-12, (805, 2) = -0.3307902201257097e-13, (805, 3) = 0.6509732336174916e-12, (806, 1) = 0.21984045911721625e-12, (806, 2) = -0.32370602545852257e-13, (806, 3) = 0.6563792278660632e-12, (807, 1) = 0.20758160538658228e-12, (807, 2) = -0.3391159796275462e-13, (807, 3) = 0.660909318505976e-12, (808, 1) = 0.2153540451241278e-12, (808, 2) = -0.3381905113001412e-13, (808, 3) = 0.6670772305465819e-12, (809, 1) = 0.21035439065155956e-12, (809, 2) = -0.3510586478073975e-13, (809, 3) = 0.6689634321208018e-12, (810, 1) = 0.21655420711861366e-12, (810, 2) = -0.3414535788864126e-13, (810, 3) = 0.6744069874855565e-12, (811, 1) = 0.22094224556797037e-12, (811, 2) = -0.297729440050126e-13, (811, 3) = 0.6777433551498913e-12, (812, 1) = 0.21994954689470943e-12, (812, 2) = -0.3299586135632766e-13, (812, 3) = 0.6847894514768973e-12, (813, 1) = 0.2141634706744054e-12, (813, 2) = -0.337793473955271e-13, (813, 3) = 0.6886787588047292e-12, (814, 1) = 0.21191837649744628e-12, (814, 2) = -0.3341115940101125e-13, (814, 3) = 0.690303548918552e-12, (815, 1) = 0.21018813250500234e-12, (815, 2) = -0.3170688023887958e-13, (815, 3) = 0.6971073449298335e-12, (816, 1) = 0.2156634962631317e-12, (816, 2) = -0.2948932307959822e-13, (816, 3) = 0.7032695722286072e-12, (817, 1) = 0.2212722244315327e-12, (817, 2) = -0.32707912825425975e-13, (817, 3) = 0.7061612224185108e-12, (818, 1) = 0.2096842951354695e-12, (818, 2) = -0.30745077421623597e-13, (818, 3) = 0.7116183433095511e-12, (819, 1) = 0.21798806152559094e-12, (819, 2) = -0.34309067808871156e-13, (819, 3) = 0.7183933128234309e-12, (820, 1) = 0.2238979185289449e-12, (820, 2) = -0.32445030569076585e-13, (820, 3) = 0.7233896978967245e-12, (821, 1) = 0.20900440426107442e-12, (821, 2) = -0.33340285624207256e-13, (821, 3) = 0.7271146501039532e-12, (822, 1) = 0.2204979373663407e-12, (822, 2) = -0.3319784399737278e-13, (822, 3) = 0.7317986083155175e-12, (823, 1) = 0.21620183557179767e-12, (823, 2) = -0.33089418275345075e-13, (823, 3) = 0.7399244506694177e-12, (824, 1) = 0.2108897830896878e-12, (824, 2) = -0.3216547360895811e-13, (824, 3) = 0.7441026852283285e-12, (825, 1) = 0.2063295303173903e-12, (825, 2) = -0.33556869027260344e-13, (825, 3) = 0.7509272634312945e-12, (826, 1) = 0.21215288743391616e-12, (826, 2) = -0.3185714455978118e-13, (826, 3) = 0.7553728401064957e-12, (827, 1) = 0.22032221447252193e-12, (827, 2) = -0.3189503078097656e-13, (827, 3) = 0.7622594364742479e-12, (828, 1) = 0.21161690517434114e-12, (828, 2) = -0.3158926123791507e-13, (828, 3) = 0.7680130661062491e-12, (829, 1) = 0.2053222074568161e-12, (829, 2) = -0.3325301733297896e-13, (829, 3) = 0.7735116969790109e-12, (830, 1) = 0.20766425474798307e-12, (830, 2) = -0.28733815116123805e-13, (830, 3) = 0.7823323481449557e-12, (831, 1) = 0.21353162961013436e-12, (831, 2) = -0.32262687666901105e-13, (831, 3) = 0.7871089103629476e-12, (832, 1) = 0.2105307481691115e-12, (832, 2) = -0.32889219161208164e-13, (832, 3) = 0.792565856468754e-12, (833, 1) = 0.2054237155837371e-12, (833, 2) = -0.3177503579982129e-13, (833, 3) = 0.7979311053670805e-12, (834, 1) = 0.21345705992579589e-12, (834, 2) = -0.3330672021569794e-13, (834, 3) = 0.8061803659425204e-12, (835, 1) = 0.20626696631800196e-12, (835, 2) = -0.35093899948418585e-13, (835, 3) = 0.8123266426193841e-12, (836, 1) = 0.21497724816410574e-12, (836, 2) = -0.33400015384963256e-13, (836, 3) = 0.8203360783423356e-12, (837, 1) = 0.20879688395194573e-12, (837, 2) = -0.326743253445576e-13, (837, 3) = 0.8254893361146555e-12, (838, 1) = 0.21668325700543974e-12, (838, 2) = -0.33525465457524115e-13, (838, 3) = 0.8320856714995984e-12, (839, 1) = 0.20232759047370557e-12, (839, 2) = -0.3146475567712871e-13, (839, 3) = 0.8397977334627925e-12, (840, 1) = 0.19884378383404983e-12, (840, 2) = -0.30509351341280884e-13, (840, 3) = 0.847710588415642e-12, (841, 1) = 0.21229653941887955e-12, (841, 2) = -0.3273446333258771e-13, (841, 3) = 0.8571472594558748e-12, (842, 1) = 0.22391399195705953e-12, (842, 2) = -0.29511673596640324e-13, (842, 3) = 0.8645366101083636e-12, (843, 1) = 0.21051294466225138e-12, (843, 2) = -0.2956075964082704e-13, (843, 3) = 0.8703946619620672e-12, (844, 1) = 0.21655990497585803e-12, (844, 2) = -0.29160626542850814e-13, (844, 3) = 0.8795093040683325e-12, (845, 1) = 0.21545002268430926e-12, (845, 2) = -0.28301522967233034e-13, (845, 3) = 0.8875527339069036e-12, (846, 1) = 0.2023012566564312e-12, (846, 2) = -0.3173732585426116e-13, (846, 3) = 0.8971786250072008e-12, (847, 1) = 0.20713141230391029e-12, (847, 2) = -0.3220034752364293e-13, (847, 3) = 0.904359604306919e-12, (848, 1) = 0.205101972091467e-12, (848, 2) = -0.28812590612836483e-13, (848, 3) = 0.9115422145261796e-12, (849, 1) = 0.20918741401635783e-12, (849, 2) = -0.2992717549217806e-13, (849, 3) = 0.9211598071803901e-12, (850, 1) = 0.21146932827337794e-12, (850, 2) = -0.2929134234687524e-13, (850, 3) = 0.9308053552408165e-12, (851, 1) = 0.2023201250380089e-12, (851, 2) = -0.31234619302651584e-13, (851, 3) = 0.940380144397898e-12, (852, 1) = 0.21870222744880117e-12, (852, 2) = -0.26166433463121938e-13, (852, 3) = 0.9490569291718614e-12, (853, 1) = 0.20854112706777372e-12, (853, 2) = -0.2883871238132306e-13, (853, 3) = 0.95764211045615e-12, (854, 1) = 0.21158185850925099e-12, (854, 2) = -0.30003699901293604e-13, (854, 3) = 0.9669380853317339e-12, (855, 1) = 0.20446467069021916e-12, (855, 2) = -0.2800774298153337e-13, (855, 3) = 0.9769034610283007e-12, (856, 1) = 0.20588420312122092e-12, (856, 2) = -0.2981877834623053e-13, (856, 3) = 0.9876819970484308e-12, (857, 1) = 0.2045174846860829e-12, (857, 2) = -0.28516138039436825e-13, (857, 3) = 0.996894736778172e-12, (858, 1) = 0.21219746759517077e-12, (858, 2) = -0.3137648964459015e-13, (858, 3) = 0.10090910892024618e-11, (859, 1) = 0.20986026753105251e-12, (859, 2) = -0.30365376990263185e-13, (859, 3) = 0.10179972368781358e-11, (860, 1) = 0.21073665388506173e-12, (860, 2) = -0.28890626650770234e-13, (860, 3) = 0.10291143538885881e-11, (861, 1) = 0.2140411925394705e-12, (861, 2) = -0.27730200919836003e-13, (861, 3) = 0.10391326002938548e-11, (862, 1) = 0.20342200385174145e-12, (862, 2) = -0.28340792724946683e-13, (862, 3) = 0.10494848693390383e-11, (863, 1) = 0.19979583571417733e-12, (863, 2) = -0.310873769797312e-13, (863, 3) = 0.10630264601651193e-11, (864, 1) = 0.20308536525652453e-12, (864, 2) = -0.2784025258156724e-13, (864, 3) = 0.10739111251988861e-11, (865, 1) = 0.19016802830601918e-12, (865, 2) = -0.32360855787250024e-13, (865, 3) = 0.10851888857666484e-11, (866, 1) = 0.20246637248991333e-12, (866, 2) = -0.2960439125091644e-13, (866, 3) = 0.10972370636113404e-11, (867, 1) = 0.21837987105284533e-12, (867, 2) = -0.31846215417875005e-13, (867, 3) = 0.1110087894033572e-11, (868, 1) = 0.2073256284594237e-12, (868, 2) = -0.26052547548323725e-13, (868, 3) = 0.1122454378305261e-11, (869, 1) = 0.1919833983938986e-12, (869, 2) = -0.2902462082203567e-13, (869, 3) = 0.11366903012040442e-11, (870, 1) = 0.19497842265058814e-12, (870, 2) = -0.2903713382651381e-13, (870, 3) = 0.11497202275379085e-11, (871, 1) = 0.2036164566744198e-12, (871, 2) = -0.2853112660209966e-13, (871, 3) = 0.11621750774104721e-11, (872, 1) = 0.20934959613521324e-12, (872, 2) = -0.2907805466462878e-13, (872, 3) = 0.11758698031400867e-11, (873, 1) = 0.20520490069929528e-12, (873, 2) = -0.2907294721944863e-13, (873, 3) = 0.1190810852402043e-11, (874, 1) = 0.20108488104408598e-12, (874, 2) = -0.2650222000057089e-13, (874, 3) = 0.12032723800529062e-11, (875, 1) = 0.19657109095829009e-12, (875, 2) = -0.27037832148975902e-13, (875, 3) = 0.12192058233086204e-11, (876, 1) = 0.19699247604380105e-12, (876, 2) = -0.2843786323608494e-13, (876, 3) = 0.12338622383636406e-11, (877, 1) = 0.20015335345101226e-12, (877, 2) = -0.2665467046722603e-13, (877, 3) = 0.1248950181426025e-11, (878, 1) = 0.2110432649195015e-12, (878, 2) = -0.2827839376558568e-13, (878, 3) = 0.12623519811478284e-11, (879, 1) = 0.20256703849844312e-12, (879, 2) = -0.2730372228493663e-13, (879, 3) = 0.12809915702827524e-11, (880, 1) = 0.2103199292058569e-12, (880, 2) = -0.29116277488787135e-13, (880, 3) = 0.12954982084751506e-11, (881, 1) = 0.19810622388505352e-12, (881, 2) = -0.303146384106918e-13, (881, 3) = 0.13124176101003993e-11, (882, 1) = 0.20085398906461382e-12, (882, 2) = -0.27485555466765757e-13, (882, 3) = 0.13321339534073764e-11, (883, 1) = 0.20605275852907872e-12, (883, 2) = -0.2595996052937941e-13, (883, 3) = 0.13473021760651398e-11, (884, 1) = 0.1904458360293802e-12, (884, 2) = -0.2669905404017259e-13, (884, 3) = 0.13651791289503797e-11, (885, 1) = 0.20409562139942914e-12, (885, 2) = -0.2492736887592229e-13, (885, 3) = 0.1382757612702682e-11, (886, 1) = 0.18831395167105982e-12, (886, 2) = -0.2741024374679524e-13, (886, 3) = 0.1403267793978555e-11, (887, 1) = 0.1928859910440734e-12, (887, 2) = -0.2871432387583864e-13, (887, 3) = 0.14193642055253576e-11, (888, 1) = 0.20923440298356784e-12, (888, 2) = -0.27110300833162006e-13, (888, 3) = 0.14402037009118363e-11, (889, 1) = 0.19487616603749477e-12, (889, 2) = -0.26512189681989497e-13, (889, 3) = 0.14584559047760674e-11, (890, 1) = 0.2096812671710285e-12, (890, 2) = -0.2648256837087812e-13, (890, 3) = 0.14812698124876409e-11, (891, 1) = 0.2017050411744103e-12, (891, 2) = -0.23639578811778082e-13, (891, 3) = 0.15008283574060272e-11, (892, 1) = 0.1908575001804398e-12, (892, 2) = -0.25316911521013125e-13, (892, 3) = 0.15217870494303882e-11, (893, 1) = 0.18976589372186714e-12, (893, 2) = -0.25636466231874506e-13, (893, 3) = 0.15449304897867316e-11, (894, 1) = 0.1942169242082111e-12, (894, 2) = -0.24196035000401932e-13, (894, 3) = 0.15668643438088216e-11, (895, 1) = 0.18516717533177313e-12, (895, 2) = -0.2370916588790633e-13, (895, 3) = 0.1589224637953908e-11, (896, 1) = 0.18895516199779499e-12, (896, 2) = -0.2360107168094039e-13, (896, 3) = 0.16156909527259926e-11, (897, 1) = 0.19339999538973384e-12, (897, 2) = -0.24512893175808136e-13, (897, 3) = 0.16396095261309718e-11, (898, 1) = 0.19656757226058847e-12, (898, 2) = -0.2442028310233919e-13, (898, 3) = 0.16635429864298126e-11, (899, 1) = 0.1924378986201646e-12, (899, 2) = -0.26680502404410225e-13, (899, 3) = 0.16867103044093145e-11, (900, 1) = 0.18932267636169716e-12, (900, 2) = -0.2562547682108023e-13, (900, 3) = 0.17142368115854637e-11, (901, 1) = 0.18854931798829272e-12, (901, 2) = -0.2520453557510514e-13, (901, 3) = 0.1741790373723096e-11, (902, 1) = 0.18523899907650723e-12, (902, 2) = -0.23572031785386403e-13, (902, 3) = 0.1770354981766114e-11, (903, 1) = 0.1921299689052196e-12, (903, 2) = -0.24646428041481926e-13, (903, 3) = 0.1797893416783429e-11, (904, 1) = 0.19784564729984688e-12, (904, 2) = -0.2358610504458467e-13, (904, 3) = 0.18275808761649884e-11, (905, 1) = 0.19160491119255894e-12, (905, 2) = -0.24878230980955598e-13, (905, 3) = 0.185732919786937e-11, (906, 1) = 0.18744201700062638e-12, (906, 2) = -0.22303044373748796e-13, (906, 3) = 0.18870399447921464e-11, (907, 1) = 0.1839167857057884e-12, (907, 2) = -0.25082626534052212e-13, (907, 3) = 0.19190572578409324e-11, (908, 1) = 0.20152151507256048e-12, (908, 2) = -0.27642806829140344e-13, (908, 3) = 0.19534926378668157e-11, (909, 1) = 0.18909573202694053e-12, (909, 2) = -0.2469325770972426e-13, (909, 3) = 0.19846041843250726e-11, (910, 1) = 0.1790520815555613e-12, (910, 2) = -0.2153743560475257e-13, (910, 3) = 0.20188109933191543e-11, (911, 1) = 0.190844771621922e-12, (911, 2) = -0.2850643920690222e-13, (911, 3) = 0.2056190355201345e-11, (912, 1) = 0.18399941787689422e-12, (912, 2) = -0.25978872449192878e-13, (912, 3) = 0.209121750955588e-11, (913, 1) = 0.18857154348683934e-12, (913, 2) = -0.2707086454097709e-13, (913, 3) = 0.2129116859943832e-11, (914, 1) = 0.19293570134961656e-12, (914, 2) = -0.23982614165100354e-13, (914, 3) = 0.2166605777763535e-11, (915, 1) = 0.1845013069360164e-12, (915, 2) = -0.21449514612035324e-13, (915, 3) = 0.22044757439200778e-11, (916, 1) = 0.18843266018041306e-12, (916, 2) = -0.22582260824167694e-13, (916, 3) = 0.22462359617863754e-11, (917, 1) = 0.18312379692869338e-12, (917, 2) = -0.2228242850386454e-13, (917, 3) = 0.22905918206483604e-11, (918, 1) = 0.18101712355498237e-12, (918, 2) = -0.21584829372771598e-13, (918, 3) = 0.2333018088811081e-11, (919, 1) = 0.19570130345437448e-12, (919, 2) = -0.21663424416010243e-13, (919, 3) = 0.2378663995417554e-11, (920, 1) = 0.17641022702906128e-12, (920, 2) = -0.24375536865856644e-13, (920, 3) = 0.24254988406587304e-11, (921, 1) = 0.17737743637127937e-12, (921, 2) = -0.24818860278728153e-13, (921, 3) = 0.24716785298268806e-11, (922, 1) = 0.19289554162292638e-12, (922, 2) = -0.26706451278234213e-13, (922, 3) = 0.2520919177563273e-11, (923, 1) = 0.1942406698198549e-12, (923, 2) = -0.21984169239171152e-13, (923, 3) = 0.25729013004555386e-11, (924, 1) = 0.18459279183797958e-12, (924, 2) = -0.20170204137337833e-13, (924, 3) = 0.26250433300940947e-11, (925, 1) = 0.17951423134633628e-12, (925, 2) = -0.235397567360253e-13, (925, 3) = 0.2681600709575805e-11, (926, 1) = 0.18982512438717114e-12, (926, 2) = -0.2208116866482768e-13, (926, 3) = 0.2736641869796879e-11, (927, 1) = 0.18815302700224597e-12, (927, 2) = -0.22020567831980376e-13, (927, 3) = 0.27956881091333174e-11, (928, 1) = 0.18625272462099376e-12, (928, 2) = -0.20999236889216556e-13, (928, 3) = 0.2855400948170467e-11, (929, 1) = 0.18333004242956565e-12, (929, 2) = -0.20385693499010378e-13, (929, 3) = 0.29183673981924366e-11, (930, 1) = 0.19185937130262653e-12, (930, 2) = -0.2345899286740493e-13, (930, 3) = 0.2983322676075509e-11, (931, 1) = 0.18416456226217596e-12, (931, 2) = -0.18621153193708725e-13, (931, 3) = 0.30510228651279735e-11, (932, 1) = 0.18207358993758707e-12, (932, 2) = -0.24875086396223933e-13, (932, 3) = 0.31214538223822815e-11, (933, 1) = 0.1697054590552508e-12, (933, 2) = -0.22029549761376885e-13, (933, 3) = 0.31963879313526767e-11, (934, 1) = 0.17430181673893745e-12, (934, 2) = -0.2294877495560448e-13, (934, 3) = 0.32702888429289624e-11, (935, 1) = 0.17577503129991833e-12, (935, 2) = -0.2156349812395072e-13, (935, 3) = 0.33207740643135504e-11, (936, 1) = 0.18145805797470326e-12, (936, 2) = -0.2211510947793652e-13, (936, 3) = 0.32986169255334097e-11, (937, 1) = 0.17443060938846026e-12, (937, 2) = -0.22001614661460242e-13, (937, 3) = 0.32259089642291703e-11, (938, 1) = 0.18569343555064698e-12, (938, 2) = -0.21514582171937245e-13, (938, 3) = 0.31982815735412505e-11, (939, 1) = 0.17858812964243166e-12, (939, 2) = -0.20350251478187957e-13, (939, 3) = 0.31259377106059594e-11, (940, 1) = 0.1833269160937611e-12, (940, 2) = -0.2068869622185471e-13, (940, 3) = 0.3097792937892302e-11, (941, 1) = 0.1717954160953027e-12, (941, 2) = -0.16369553502959228e-13, (941, 3) = 0.3032975768645401e-11, (942, 1) = 0.1711300990380087e-12, (942, 2) = -0.19895423862580815e-13, (942, 3) = 0.300378421368855e-11, (943, 1) = 0.16639378376222825e-12, (943, 2) = -0.23367537274778575e-13, (943, 3) = 0.29404557062484582e-11, (944, 1) = 0.19010733531297055e-12, (944, 2) = -0.19308757826582945e-13, (944, 3) = 0.291534615434555e-11, (945, 1) = 0.16697245338952906e-12, (945, 2) = -0.2039576187808748e-13, (945, 3) = 0.2851774896553105e-11, (946, 1) = 0.1662737287956084e-12, (946, 2) = -0.17202506852363437e-13, (946, 3) = 0.28287607026013083e-11, (947, 1) = 0.1795141159693235e-12, (947, 2) = -0.2225298068438678e-13, (947, 3) = 0.2768331195306991e-11, (948, 1) = 0.185769845078914e-12, (948, 2) = -0.19348820231445307e-13, (948, 3) = 0.274643959103364e-11, (949, 1) = 0.16827286707102027e-12, (949, 2) = -0.18340827300184616e-13, (949, 3) = 0.2689007744239135e-11, (950, 1) = 0.16387001764380408e-12, (950, 2) = -0.1865245997738001e-13, (950, 3) = 0.26660353158122884e-11, (951, 1) = 0.17021716263561108e-12, (951, 2) = -0.215248135421097e-13, (951, 3) = 0.2613181658218762e-11, (952, 1) = 0.17326890367985053e-12, (952, 2) = -0.1870481117724951e-13, (952, 3) = 0.2592453103210346e-11, (953, 1) = 0.1581159358648438e-12, (953, 2) = -0.17850063690270075e-13, (953, 3) = 0.25388079320387878e-11, (954, 1) = 0.17885096744317261e-12, (954, 2) = -0.17820439456280325e-13, (954, 3) = 0.25198465526890588e-11, (955, 1) = 0.16488687078751064e-12, (955, 2) = -0.17376243625488123e-13, (955, 3) = 0.24700384019194832e-11, (956, 1) = 0.17001953609580268e-12, (956, 2) = -0.1854015403018783e-13, (956, 3) = 0.2450815657868779e-11, (957, 1) = 0.16198451377571992e-12, (957, 2) = -0.18027549226311922e-13, (957, 3) = 0.2401658387065062e-11, (958, 1) = 0.17730829180341739e-12, (958, 2) = -0.16303371124471973e-13, (958, 3) = 0.23850199068870947e-11, (959, 1) = 0.16585410847408171e-12, (959, 2) = -0.16966845275032324e-13, (959, 3) = 0.23384258881148846e-11, (960, 1) = 0.1558105343178799e-12, (960, 2) = -0.1772787868212317e-13, (960, 3) = 0.23208453125887966e-11, (961, 1) = 0.16488990313331657e-12, (961, 2) = -0.1673236228939651e-13, (961, 3) = 0.22761329784705352e-11, (962, 1) = 0.16502696298146485e-12, (962, 2) = -0.15725066110225702e-13, (962, 3) = 0.2258626561394707e-11, (963, 1) = 0.16353218516115433e-12, (963, 2) = -0.1703258931891633e-13, (963, 3) = 0.22151072106274338e-11, (964, 1) = 0.16758984754648194e-12, (964, 2) = -0.15341681143782857e-13, (964, 3) = 0.2199770605624033e-11, (965, 1) = 0.1667022652595224e-12, (965, 2) = -0.16359116603470487e-13, (965, 3) = 0.21570719319408484e-11, (966, 1) = 0.17104105672845939e-12, (966, 2) = -0.16230580821103654e-13, (966, 3) = 0.2144584279989833e-11, (967, 1) = 0.17656396205260197e-12, (967, 2) = -0.17734547065856562e-13, (967, 3) = 0.21022149155074508e-11, (968, 1) = 0.1612096069113961e-12, (968, 2) = -0.13602610265574057e-13, (968, 3) = 0.2090957662491484e-11, (969, 1) = 0.16417907627268213e-12, (969, 2) = -0.1583241096746028e-13, (969, 3) = 0.20499575812407866e-11, (970, 1) = 0.14925716011235335e-12, (970, 2) = -0.16116164393719e-13, (970, 3) = 0.20363148589748137e-11, (971, 1) = 0.1563837802128173e-12, (971, 2) = -0.14422102876975804e-13, (971, 3) = 0.19986018079914232e-11, (972, 1) = 0.16788001270118058e-12, (972, 2) = -0.159487029211205e-13, (972, 3) = 0.19861416745180574e-11, (973, 1) = 0.1519290971803922e-12, (973, 2) = -0.14319523324237398e-13, (973, 3) = 0.19490181964752763e-11, (974, 1) = 0.15142440489655967e-12, (974, 2) = -0.19930744573407377e-13, (974, 3) = 0.1938387995041085e-11, (975, 1) = 0.17255124572276224e-12, (975, 2) = -0.14990978798233786e-13, (975, 3) = 0.1901651289559829e-11, (976, 1) = 0.15262873796894522e-12, (976, 2) = -0.14211543189221232e-13, (976, 3) = 0.1891320876421162e-11, (977, 1) = 0.1736777939533896e-12, (977, 2) = -0.1611646450490119e-13, (977, 3) = 0.18562951286617837e-11, (978, 1) = 0.16072739838693374e-12, (978, 2) = -0.16317228371565913e-13, (978, 3) = 0.18454850598644927e-11, (979, 1) = 0.16609790878780683e-12, (979, 2) = -0.1446224634255821e-13, (979, 3) = 0.18123198574696261e-11, (980, 1) = 0.15415697257340586e-12, (980, 2) = -0.1701269176777936e-13, (980, 3) = 0.18017422775176283e-11, (981, 1) = 0.16967971146741697e-12, (981, 2) = -0.18486982483668805e-13, (981, 3) = 0.17701758892214344e-11, (982, 1) = 0.17130986194115185e-12, (982, 2) = -0.14747468898455418e-13, (982, 3) = 0.17611725747413917e-11, (983, 1) = 0.1475615665368332e-12, (983, 2) = -0.17862150592575222e-13, (983, 3) = 0.17304085063069683e-11, (984, 1) = 0.16540392548653914e-12, (984, 2) = -0.1798666534346015e-13, (984, 3) = 0.17199111650086554e-11, (985, 1) = 0.15552453617241583e-12, (985, 2) = -0.1794977421563827e-13, (985, 3) = 0.16883318423120953e-11, (986, 1) = 0.12618634576986368e-12, (986, 2) = -0.1535461890552715e-13, (986, 3) = 0.1681475926558816e-11, (987, 1) = 0.14235800527689367e-12, (987, 2) = -0.17789752429039004e-13, (987, 3) = 0.16515047173521763e-11, (988, 1) = 0.16060740059515034e-12, (988, 2) = -0.1248648955160338e-13, (988, 3) = 0.16431222341984033e-11, (989, 1) = 0.1534006660673249e-12, (989, 2) = -0.15174651742493178e-13, (989, 3) = 0.1613220438616187e-11, (990, 1) = 0.16059442839466917e-12, (990, 2) = -0.15942340815260973e-13, (990, 3) = 0.16069214805688023e-11, (991, 1) = 0.1392136399072897e-12, (991, 2) = -0.15152996428729428e-13, (991, 3) = 0.15785821453497683e-11, (992, 1) = 0.1347531369848121e-12, (992, 2) = -0.1651019022658796e-13, (992, 3) = 0.15724772285384286e-11, (993, 1) = 0.18184175406969634e-12, (993, 2) = -0.14273068536806784e-13, (993, 3) = 0.15453137335328979e-11, (994, 1) = 0.1630846666932404e-12, (994, 2) = -0.1579770613878964e-13, (994, 3) = 0.1537401778903461e-11, (995, 1) = 0.1687662205832716e-12, (995, 2) = -0.13417031262679236e-13, (995, 3) = 0.15108946446968014e-11, (996, 1) = 0.1562371063033129e-12, (996, 2) = -0.1467356010416477e-13, (996, 3) = 0.1503987072712628e-11, (997, 1) = 0.15103268239898138e-12, (997, 2) = -0.13549750515172195e-13, (997, 3) = 0.14783403006097813e-11, (998, 1) = 0.15511595061456966e-12, (998, 2) = -0.13563332110353273e-13, (998, 3) = 0.14728285522444571e-11, (999, 1) = 0.13768895313784124e-12, (999, 2) = -0.15122299840117665e-13, (999, 3) = 0.14475388392174417e-11, (1000, 1) = 0.15687015878493627e-12, (1000, 2) = -0.13832412258561713e-13, (1000, 3) = 0.14411777230836562e-11, (1001, 1) = 0.14906503612528659e-12, (1001, 2) = -0.14029935081865767e-13, (1001, 3) = 0.14173374626217222e-11, (1002, 1) = 0.14583350256096064e-12, (1002, 2) = -0.13024050672292759e-13, (1002, 3) = 0.14130456637964338e-11, (1003, 1) = 0.1661424785992609e-12, (1003, 2) = -0.13064092215796564e-13, (1003, 3) = 0.13874173820075166e-11, (1004, 1) = 0.17245896850792198e-12, (1004, 2) = -0.1242569094107426e-13, (1004, 3) = 0.13839595037519218e-11, (1005, 1) = 0.12356534130611398e-12, (1005, 2) = -0.11847677613316522e-13, (1005, 3) = 0.13608112603694453e-11, (1006, 1) = 0.17243805968420372e-12, (1006, 2) = -0.12128397555218836e-13, (1006, 3) = 0.13341368239129423e-11, (1007, 1) = 0.15063913653019155e-12, (1007, 2) = -0.1243381584149534e-13, (1007, 3) = 0.12934353414653953e-11, (1008, 1) = 0.13550629702167257e-12, (1008, 2) = -0.106041128568768e-13, (1008, 3) = 0.12664025735638994e-11, (1009, 1) = 0.16200694895226687e-12, (1009, 2) = -0.11848649752814698e-13, (1009, 3) = 0.12292421879648042e-11, (1010, 1) = 0.15501353757868367e-12, (1010, 2) = -0.1263507575769093e-13, (1010, 3) = 0.120560263848935e-11, (1011, 1) = 0.15846211876157503e-12, (1011, 2) = -0.12736326995595482e-13, (1011, 3) = 0.11713382422234108e-11, (1012, 1) = 0.13240574179271008e-12, (1012, 2) = -0.1281216120334529e-13, (1012, 3) = 0.11486469095748385e-11, (1013, 1) = 0.15135063722703744e-12, (1013, 2) = -0.11462191997353789e-13, (1013, 3) = 0.11183051520195933e-11, (1014, 1) = 0.1510822088877251e-12, (1014, 2) = -0.121489983748927e-13, (1014, 3) = 0.10977568616561015e-11, (1015, 1) = 0.14945006134167355e-12, (1015, 2) = -0.11738549394581769e-13, (1015, 3) = 0.10726559280522396e-11, (1016, 1) = 0.15671310107524545e-12, (1016, 2) = -0.11945093781432695e-13, (1016, 3) = 0.10539460773247258e-11, (1017, 1) = 0.15456086328816524e-12, (1017, 2) = -0.1168074526003606e-13, (1017, 3) = 0.10267331460648726e-11, (1018, 1) = 0.15349441101494285e-12, (1018, 2) = -0.11394966258500486e-13, (1018, 3) = 0.10116384102445212e-11, (1019, 1) = 0.14585191860815292e-12, (1019, 2) = -0.11922018004137103e-13, (1019, 3) = 0.9859915677042113e-12, (1020, 1) = 0.14640121887121075e-12, (1020, 2) = -0.11580323563888374e-13, (1020, 3) = 0.9722679676625387e-12, (1021, 1) = 0.147893662927429e-12, (1021, 2) = -0.10991431133782815e-13, (1021, 3) = 0.948893422924654e-12, (1022, 1) = 0.15459562491891708e-12, (1022, 2) = -0.12878960891525646e-13, (1022, 3) = 0.9367922199914632e-12, (1023, 1) = 0.15116348252628922e-12, (1023, 2) = -0.1171368478145785e-13, (1023, 3) = 0.9152622318643867e-12, (1024, 1) = 0.14867395349605785e-12, (1024, 2) = -0.1073832091293799e-13, (1024, 3) = 0.9016100575035867e-12, (1025, 1) = 0.1590562528360986e-12, (1025, 2) = -0.10856056153283711e-13, (1025, 3) = 0.8805031588488975e-12, (1026, 1) = 0.14156812373081618e-12, (1026, 2) = -0.10674414192586093e-13, (1026, 3) = 0.8702060848294861e-12, (1027, 1) = 0.13488860840172076e-12, (1027, 2) = -0.1098611455453533e-13, (1027, 3) = 0.8502110164643774e-12, (1028, 1) = 0.15918110756394696e-12, (1028, 2) = -0.11313752712843573e-13, (1028, 3) = 0.8406552190317778e-12, (1029, 1) = 0.16349002126629062e-12, (1029, 2) = -0.10934554702335461e-13, (1029, 3) = 0.8225727419644413e-12, (1030, 1) = 0.12876556699231116e-12, (1030, 2) = -0.10254437913215167e-13, (1030, 3) = 0.8130769495228454e-12, (1031, 1) = 0.1544724165288172e-12, (1031, 2) = -0.9642593450170379e-14, (1031, 3) = 0.7941594424720733e-12, (1032, 1) = 0.12633471011147814e-12, (1032, 2) = -0.10415208955871478e-13, (1032, 3) = 0.7861091586213378e-12, (1033, 1) = 0.14037699022124088e-12, (1033, 2) = -0.1125403728887944e-13, (1033, 3) = 0.7672714795262146e-12, (1034, 1) = 0.1355934176322289e-12, (1034, 2) = -0.10985043533747115e-13, (1034, 3) = 0.760391700983186e-12, (1035, 1) = 0.13950541164365153e-12, (1035, 2) = -0.10429653852333651e-13, (1035, 3) = 0.7442635057780954e-12, (1036, 1) = 0.15861246402993991e-12, (1036, 2) = -0.9139294098675467e-14, (1036, 3) = 0.7366697081388917e-12, (1037, 1) = 0.1199703068264029e-12, (1037, 2) = -0.962221282606409e-14, (1037, 3) = 0.720868838720631e-12, (1038, 1) = 0.13177136778360077e-12, (1038, 2) = -0.10563888097469571e-13, (1038, 3) = 0.7131477857553933e-12, (1039, 1) = 0.14413585390627043e-12, (1039, 2) = -0.10280326562114628e-13, (1039, 3) = 0.6981755081871518e-12, (1040, 1) = 0.13214376707704214e-12, (1040, 2) = -0.10051550909647867e-13, (1040, 3) = 0.6928886137907912e-12, (1041, 1) = 0.15028622005186535e-12, (1041, 2) = -0.11038748495118881e-13, (1041, 3) = 0.6775816836668385e-12, (1042, 1) = 0.16648651140177166e-12, (1042, 2) = -0.9806737652311396e-14, (1042, 3) = 0.6732205926738419e-12, (1043, 1) = 0.14061201775976348e-12, (1043, 2) = -0.9453383038547818e-14, (1043, 3) = 0.657407965349028e-12, (1044, 1) = 0.15377049860684806e-12, (1044, 2) = -0.9485828310162666e-14, (1044, 3) = 0.6514150215396753e-12, (1045, 1) = 0.14037785859743622e-12, (1045, 2) = -0.1068693611032121e-13, (1045, 3) = 0.6378252160777573e-12, (1046, 1) = 0.1497559967779843e-12, (1046, 2) = -0.10171095204705457e-13, (1046, 3) = 0.6331735047531128e-12, (1047, 1) = 0.14138345879398466e-12, (1047, 2) = -0.10433601294351333e-13, (1047, 3) = 0.6207486751223488e-12, (1048, 1) = 0.17074651432263203e-12, (1048, 2) = -0.8685940890242355e-14, (1048, 3) = 0.6143460039627628e-12, (1049, 1) = 0.15087787604003971e-12, (1049, 2) = -0.8484401466610738e-14, (1049, 3) = 0.6017670295353424e-12, (1050, 1) = 0.15271606616562158e-12, (1050, 2) = -0.10330406608682406e-13, (1050, 3) = 0.5973676463027546e-12, (1051, 1) = 0.15050087865999935e-12, (1051, 2) = -0.9918167220516996e-14, (1051, 3) = 0.5846007023441305e-12, (1052, 1) = 0.1461498137965022e-12, (1052, 2) = -0.8590854232859482e-14, (1052, 3) = 0.5792029203275852e-12, (1053, 1) = 0.16070453537804215e-12, (1053, 2) = -0.8869103315462603e-14, (1053, 3) = 0.568873409970437e-12, (1054, 1) = 0.1514467242175437e-12, (1054, 2) = -0.9185653821791189e-14, (1054, 3) = 0.5635691705487999e-12, (1055, 1) = 0.14269655441831735e-12, (1055, 2) = -0.8636809826229275e-14, (1055, 3) = 0.5534309581942533e-12, (1056, 1) = 0.14850983107201152e-12, (1056, 2) = -0.9151423159137985e-14, (1056, 3) = 0.5479252780833369e-12, (1057, 1) = 0.14548223412093272e-12, (1057, 2) = -0.9634556218166983e-14, (1057, 3) = 0.5366275893697149e-12, (1058, 1) = 0.11747089997840982e-12, (1058, 2) = -0.10288972814738129e-13, (1058, 3) = 0.532586732631146e-12, (1059, 1) = 0.12040055869923324e-12, (1059, 2) = -0.884007142140651e-14, (1059, 3) = 0.5224896155373739e-12, (1060, 1) = 0.16008929204202026e-12, (1060, 2) = -0.8657642576177492e-14, (1060, 3) = 0.5183982290982297e-12, (1061, 1) = 0.13087233694792602e-12, (1061, 2) = -0.8554004817360937e-14, (1061, 3) = 0.5072051903199448e-12, (1062, 1) = 0.1248870770499348e-12, (1062, 2) = -0.8693500050998087e-14, (1062, 3) = 0.5037752176035609e-12, (1063, 1) = 0.138480683105014e-12, (1063, 2) = -0.9369496253740993e-14, (1063, 3) = 0.4951819426367861e-12, (1064, 1) = 0.16422999520720499e-12, (1064, 2) = -0.8917167354924373e-14, (1064, 3) = 0.4895853705250332e-12, (1065, 1) = 0.16206720169214202e-12, (1065, 2) = -0.9984214609233089e-14, (1065, 3) = 0.4811051425098712e-12, (1066, 1) = 0.1426293286837059e-12, (1066, 2) = -0.9235513763772593e-14, (1066, 3) = 0.4774818381858301e-12, (1067, 1) = 0.1702470644625055e-12, (1067, 2) = -0.9529410247050904e-14, (1067, 3) = 0.46945962784449e-12, (1068, 1) = 0.14316646366980364e-12, (1068, 2) = -0.9280300780107533e-14, (1068, 3) = 0.4662005297595286e-12, (1069, 1) = 0.1377784160504765e-12, (1069, 2) = -0.789097577993567e-14, (1069, 3) = 0.4567301335980919e-12, (1070, 1) = 0.14761367773007742e-12, (1070, 2) = -0.7926480327567603e-14, (1070, 3) = 0.4527561133764618e-12, (1071, 1) = 0.1410377093338115e-12, (1071, 2) = -0.8827415918200714e-14, (1071, 3) = 0.44472728692949995e-12, (1072, 1) = 0.14228074755632601e-12, (1072, 2) = -0.7552492649408868e-14, (1072, 3) = 0.44098316661615373e-12, (1073, 1) = 0.134555869559494e-12, (1073, 2) = -0.8691265883238643e-14, (1073, 3) = 0.4332034291300172e-12, (1074, 1) = 0.16589884933612326e-12, (1074, 2) = -0.8741108315393109e-14, (1074, 3) = 0.43042326956259056e-12, (1075, 1) = 0.1615286507818468e-12, (1075, 2) = -0.9343444315924919e-14, (1075, 3) = 0.4210485237044788e-12, (1076, 1) = 0.14791877972510927e-12, (1076, 2) = -0.8060597194751794e-14, (1076, 3) = 0.41834144506421045e-12, (1077, 1) = 0.13666149310941677e-12, (1077, 2) = -0.9029689265030528e-14, (1077, 3) = 0.4110910389077808e-12, (1078, 1) = 0.1302561957475586e-12, (1078, 2) = -0.9174921555901189e-14, (1078, 3) = 0.40870976664369266e-12, (1079, 1) = 0.14262105587575508e-12, (1079, 2) = -0.8343465207176853e-14, (1079, 3) = 0.40181628725285983e-12, (1080, 1) = 0.14246898217073102e-12, (1080, 2) = -0.8243762831696568e-14, (1080, 3) = 0.3976645308037591e-12, (1081, 1) = 0.1420327077592924e-12, (1081, 2) = -0.7917077286245969e-14, (1081, 3) = 0.3899913226256358e-12, (1082, 1) = 0.15059453868452457e-12, (1082, 2) = -0.8398041598581784e-14, (1082, 3) = 0.38830014956787064e-12, (1083, 1) = 0.12543621428340734e-12, (1083, 2) = -0.6756407428153688e-14, (1083, 3) = 0.38105974856646323e-12, (1084, 1) = 0.1509822435137408e-12, (1084, 2) = -0.8812584121956928e-14, (1084, 3) = 0.3789824165069569e-12, (1085, 1) = 0.15050476081445013e-12, (1085, 2) = -0.8775597833274545e-14, (1085, 3) = 0.37154679170169864e-12, (1086, 1) = 0.15943878403053522e-12, (1086, 2) = -0.6545996006917526e-14, (1086, 3) = 0.3684415779399344e-12, (1087, 1) = 0.14309052707358937e-12, (1087, 2) = -0.8577602280357667e-14, (1087, 3) = 0.3616691442952751e-12, (1088, 1) = 0.14732739820166972e-12, (1088, 2) = -0.7847095590078332e-14, (1088, 3) = 0.35927988951399546e-12, (1089, 1) = 0.1457039920739725e-12, (1089, 2) = -0.9457433485171144e-14, (1089, 3) = 0.3530265758711631e-12, (1090, 1) = 0.1532876279536088e-12, (1090, 2) = -0.9221718435128543e-14, (1090, 3) = 0.35060804249057065e-12, (1091, 1) = 0.1368798948875523e-12, (1091, 2) = -0.8028844093670128e-14, (1091, 3) = 0.343778578784463e-12, (1092, 1) = 0.13932250084198402e-12, (1092, 2) = -0.7425483576813837e-14, (1092, 3) = 0.34156964680871067e-12, (1093, 1) = 0.11857915364824276e-12, (1093, 2) = -0.8287995659527671e-14, (1093, 3) = 0.33585496750774745e-12, (1094, 1) = 0.12155877426425616e-12, (1094, 2) = -0.9309230833213958e-14, (1094, 3) = 0.3330063528885588e-12, (1095, 1) = 0.14257784885695676e-12, (1095, 2) = -0.7104296678458613e-14, (1095, 3) = 0.32878118195162684e-12, (1096, 1) = 0.14550784992771323e-12, (1096, 2) = -0.7757120827782192e-14, (1096, 3) = 0.3265135816476988e-12, (1097, 1) = 0.11034151175355351e-12, (1097, 2) = -0.7123552530700112e-14, (1097, 3) = 0.31916929908264185e-12, (1098, 1) = 0.1838509366659497e-12, (1098, 2) = -0.7319271710817436e-14, (1098, 3) = 0.31771301077233533e-12, (1099, 1) = 0.15023997977022224e-12, (1099, 2) = -0.7047477347902417e-14, (1099, 3) = 0.3125706197926124e-12, (1100, 1) = 0.15139350620483695e-12, (1100, 2) = -0.792814495889652e-14, (1100, 3) = 0.3092494370191136e-12, (1101, 1) = 0.12777637267299626e-12, (1101, 2) = -0.9270774174523551e-14, (1101, 3) = 0.30512502136323075e-12, (1102, 1) = 0.12266074372552404e-12, (1102, 2) = -0.8912872167583426e-14, (1102, 3) = 0.3038289951693812e-12, (1103, 1) = 0.15591664421572468e-12, (1103, 2) = -0.752140444119679e-14, (1103, 3) = 0.29858250540883634e-12, (1104, 1) = 0.10348995879198523e-12, (1104, 2) = -0.7143711344621017e-14, (1104, 3) = 0.2955473524230711e-12, (1105, 1) = 0.14135227845048537e-12, (1105, 2) = -0.8063226016939141e-14, (1105, 3) = 0.29154073293083954e-12, (1106, 1) = 0.1804266203923666e-12, (1106, 2) = -0.6518535738861926e-14, (1106, 3) = 0.28950181807556827e-12, (1107, 1) = 0.15283937077571844e-12, (1107, 2) = -0.8033760331451157e-14, (1107, 3) = 0.2837132973098316e-12, (1108, 1) = 0.1435948380199723e-12, (1108, 2) = -0.8412522337361728e-14, (1108, 3) = 0.2821933175628401e-12, (1109, 1) = 0.15480208041191341e-12, (1109, 2) = -0.7388396948075669e-14, (1109, 3) = 0.2787095473110515e-12, (1110, 1) = 0.1568766320085514e-12, (1110, 2) = -0.7748942460840316e-14, (1110, 3) = 0.2761139215814417e-12, (1111, 1) = 0.15015425589171435e-12, (1111, 2) = -0.6871134510134848e-14, (1111, 3) = 0.27199215160323553e-12, (1112, 1) = 0.12200865769138076e-12, (1112, 2) = -0.8786111730310883e-14, (1112, 3) = 0.2693005517263474e-12, (1113, 1) = 0.12887785772963187e-12, (1113, 2) = -0.8457494117276142e-14, (1113, 3) = 0.263916938883956e-12, (1114, 1) = 0.13640368184221703e-12, (1114, 2) = -0.8860652322621862e-14, (1114, 3) = 0.26326485890706585e-12, (1115, 1) = 0.1271471106028145e-12, (1115, 2) = -0.6778378466136961e-14, (1115, 3) = 0.2581228482261278e-12, (1116, 1) = 0.12728868211733873e-12, (1116, 2) = -0.770207513599826e-14, (1116, 3) = 0.2578187102815079e-12, (1117, 1) = 0.14647959148990337e-12, (1117, 2) = -0.7412660805890715e-14, (1117, 3) = 0.25328567105319934e-12, (1118, 1) = 0.14229677997304629e-12, (1118, 2) = -0.6492241374133606e-14, (1118, 3) = 0.2518426398337746e-12, (1119, 1) = 0.1475023456099886e-12, (1119, 2) = -0.6721358836628598e-14, (1119, 3) = 0.2468330111988672e-12, (1120, 1) = 0.1637999419960416e-12, (1120, 2) = -0.746414758014649e-14, (1120, 3) = 0.2460596329005411e-12, (1121, 1) = 0.11055095617663893e-12, (1121, 2) = -0.6846603941021971e-14, (1121, 3) = 0.2408890542998933e-12, (1122, 1) = 0.15827044978168283e-12, (1122, 2) = -0.7032829627349866e-14, (1122, 3) = 0.24072670702068206e-12, (1123, 1) = 0.1213772370736789e-12, (1123, 2) = -0.7314387223246757e-14, (1123, 3) = 0.236798380507877e-12, (1124, 1) = 0.1259366344645188e-12, (1124, 2) = -0.6830759099448973e-14, (1124, 3) = 0.2355046651344612e-12, (1125, 1) = 0.14044035780976298e-12, (1125, 2) = -0.57500499233090305e-14, (1125, 3) = 0.23160092793628304e-12, (1126, 1) = 0.13925626689772071e-12, (1126, 2) = -0.8358507351614015e-14, (1126, 3) = 0.2292714130481501e-12, (1127, 1) = 0.1357761013033898e-12, (1127, 2) = -0.51631293955275216e-14, (1127, 3) = 0.22520166704425883e-12, (1128, 1) = 0.15265758096308507e-12, (1128, 2) = -0.7060890415638929e-14, (1128, 3) = 0.22510150487652082e-12, (1129, 1) = 0.15785690313145748e-12, (1129, 2) = -0.4580465904727779e-14, (1129, 3) = 0.22170432612441182e-12, (1130, 1) = 0.1635134096734786e-12, (1130, 2) = -0.7917710608912572e-14, (1130, 3) = 0.22074331521493392e-12, (1131, 1) = 0.1448457254891657e-12, (1131, 2) = -0.7452086388118033e-14, (1131, 3) = 0.21693402778689068e-12, (1132, 1) = 0.14052311074235721e-12, (1132, 2) = -0.6513722604096296e-14, (1132, 3) = 0.215985941533161e-12, (1133, 1) = 0.14954207019537725e-12, (1133, 2) = -0.5524542593836685e-14, (1133, 3) = 0.2102954186558326e-12, (1134, 1) = 0.12688235390680847e-12, (1134, 2) = -0.7307726557301362e-14, (1134, 3) = 0.2103050287485171e-12, (1135, 1) = 0.12702939396620417e-12, (1135, 2) = -0.711351448606436e-14, (1135, 3) = 0.20618782530955256e-12, (1136, 1) = 0.13963532940550455e-12, (1136, 2) = -0.6602976964997667e-14, (1136, 3) = 0.20617933658127642e-12, (1137, 1) = 0.13602761273732752e-12, (1137, 2) = -0.7231030602797822e-14, (1137, 3) = 0.20148846826879677e-12, (1138, 1) = 0.14418340989956657e-12, (1138, 2) = -0.7042123387073249e-14, (1138, 3) = 0.20053891967280745e-12, (1139, 1) = 0.11750021753046833e-12, (1139, 2) = -0.6060630491040159e-14, (1139, 3) = 0.198248589785145e-12, (1140, 1) = 0.13528727616918967e-12, (1140, 2) = -0.6317356122039609e-14, (1140, 3) = 0.196059918265146e-12, (1141, 1) = 0.17290828254480921e-12, (1141, 2) = -0.6553206762548066e-14, (1141, 3) = 0.19339096144310897e-12, (1142, 1) = 0.13670450775561062e-12, (1142, 2) = -0.6510681560407997e-14, (1142, 3) = 0.19329108478603121e-12, (1143, 1) = 0.12557871376496728e-12, (1143, 2) = -0.7360988135843713e-14, (1143, 3) = 0.18977839529278076e-12, (1144, 1) = 0.1530418021496964e-12, (1144, 2) = -0.70365300594274195e-14, (1144, 3) = 0.18843997949579826e-12, (1145, 1) = 0.13659167904951632e-12, (1145, 2) = -0.619116897058782e-14, (1145, 3) = 0.18577737013545602e-12, (1146, 1) = 0.132522021878745e-12, (1146, 2) = -0.6624864341076611e-14, (1146, 3) = 0.18456318717107564e-12, (1147, 1) = 0.11996198393232691e-12, (1147, 2) = -0.6516880079311827e-14, (1147, 3) = 0.181593974494246e-12, (1148, 1) = 0.1658866396723439e-12, (1148, 2) = -0.5805108397655457e-14, (1148, 3) = 0.17964821964352543e-12, (1149, 1) = 0.1563448093776637e-12, (1149, 2) = -0.6378669937492677e-14, (1149, 3) = 0.17805752680028942e-12, (1150, 1) = 0.14255521857880703e-12, (1150, 2) = -0.5790969891903346e-14, (1150, 3) = 0.17624001357029616e-12, (1151, 1) = 0.13060962974643182e-12, (1151, 2) = -0.6190983588266499e-14, (1151, 3) = 0.17370582247351663e-12, (1152, 1) = 0.14304380649311132e-12, (1152, 2) = -0.60518029706148766e-14, (1152, 3) = 0.17160743364890346e-12, (1153, 1) = 0.14088634980732014e-12, (1153, 2) = -0.6849349657023358e-14, (1153, 3) = 0.16987910451613451e-12, (1154, 1) = 0.12922164794938172e-12, (1154, 2) = -0.6466223994393765e-14, (1154, 3) = 0.16850956453851708e-12, (1155, 1) = 0.14807243206862503e-12, (1155, 2) = -0.6576911803076733e-14, (1155, 3) = 0.16691685243298197e-12, (1156, 1) = 0.1274119018209394e-12, (1156, 2) = -0.62126601418820346e-14, (1156, 3) = 0.1645558683290629e-12, (1157, 1) = 0.12520726458795872e-12, (1157, 2) = -0.6594882533870226e-14, (1157, 3) = 0.16280764772443767e-12, (1158, 1) = 0.1228246147911493e-12, (1158, 2) = -0.6132308721721301e-14, (1158, 3) = 0.1623073322004892e-12, (1159, 1) = 0.14783206146458822e-12, (1159, 2) = -0.6529965189879855e-14, (1159, 3) = 0.15985721926828325e-12, (1160, 1) = 0.14775346346369046e-12, (1160, 2) = -0.5918939261196738e-14, (1160, 3) = 0.15922307759887172e-12, (1161, 1) = 0.15119556449067216e-12, (1161, 2) = -0.57937873471843435e-14, (1161, 3) = 0.15617155909231854e-12, (1162, 1) = 0.15174886255837206e-12, (1162, 2) = -0.7503196772764995e-14, (1162, 3) = 0.15401172979250635e-12, (1163, 1) = 0.13604602170060407e-12, (1163, 2) = -0.6470061851617645e-14, (1163, 3) = 0.15220273373365557e-12, (1164, 1) = 0.1561026917818453e-12, (1164, 2) = -0.6076527532735288e-14, (1164, 3) = 0.1505417667787758e-12, (1165, 1) = 0.1199973092242801e-12, (1165, 2) = -0.6132476523345742e-14, (1165, 3) = 0.1499707869715478e-12, (1166, 1) = 0.14490201420477902e-12, (1166, 2) = -0.60994744623344134e-14, (1166, 3) = 0.1477553722685499e-12, (1167, 1) = 0.1399550524537015e-12, (1167, 2) = -0.5048195607715716e-14, (1167, 3) = 0.14575340463967557e-12, (1168, 1) = 0.1465263000309049e-12, (1168, 2) = -0.55894231945369736e-14, (1168, 3) = 0.1440699525508046e-12, (1169, 1) = 0.15070566347174925e-12, (1169, 2) = -0.60464344412125225e-14, (1169, 3) = 0.14299476812012014e-12, (1170, 1) = 0.1448525038767166e-12, (1170, 2) = -0.618052015339396e-14, (1170, 3) = 0.14182523832539942e-12, (1171, 1) = 0.12841577747525655e-12, (1171, 2) = -0.5763715455814682e-14, (1171, 3) = 0.1393039178389977e-12, (1172, 1) = 0.14964815906919846e-12, (1172, 2) = -0.6169316303351183e-14, (1172, 3) = 0.13768182881842776e-12, (1173, 1) = 0.16376192131243456e-12, (1173, 2) = -0.6273338060915436e-14, (1173, 3) = 0.13605948480846926e-12, (1174, 1) = 0.1212378677227677e-12, (1174, 2) = -0.6376737407720334e-14, (1174, 3) = 0.13638878659920318e-12, (1175, 1) = 0.12680068769405177e-12, (1175, 2) = -0.544982483743448e-14, (1175, 3) = 0.1335567887078643e-12, (1176, 1) = 0.14038559264356672e-12, (1176, 2) = -0.5872456701684285e-14, (1176, 3) = 0.13158133758098347e-12, (1177, 1) = 0.13153891408954136e-12, (1177, 2) = -0.59929938182070956e-14, (1177, 3) = 0.13121819179205414e-12, (1178, 1) = 0.1478536103174738e-12, (1178, 2) = -0.6200794135995364e-14, (1178, 3) = 0.13110311361651565e-12, (1179, 1) = 0.1373815839971706e-12, (1179, 2) = -0.6354927708796407e-14, (1179, 3) = 0.12750985708526008e-12, (1180, 1) = 0.1399529431940599e-12, (1180, 2) = -0.579458504218834e-14, (1180, 3) = 0.12688439416853435e-12, (1181, 1) = 0.13668547019957597e-12, (1181, 2) = -0.5251424582136315e-14, (1181, 3) = 0.12603409402118212e-12, (1182, 1) = 0.1222716911369609e-12, (1182, 2) = -0.5285893643195006e-14, (1182, 3) = 0.12339711756997946e-12, (1183, 1) = 0.13084302771360993e-12, (1183, 2) = -0.5426327516857798e-14, (1183, 3) = 0.12284464580469477e-12, (1184, 1) = 0.1411764020142837e-12, (1184, 2) = -0.5448748692596198e-14, (1184, 3) = 0.12098338860995654e-12, (1185, 1) = 0.1239488654257341e-12, (1185, 2) = -0.56426174512630395e-14, (1185, 3) = 0.12141645108134044e-12, (1186, 1) = 0.1399420465280873e-12, (1186, 2) = -0.63604331573457175e-14, (1186, 3) = 0.11791891539951515e-12, (1187, 1) = 0.1411227655209079e-12, (1187, 2) = -0.5966983661268806e-14, (1187, 3) = 0.11726362669881034e-12, (1188, 1) = 0.11776485130363464e-12, (1188, 2) = -0.59205495673545696e-14, (1188, 3) = 0.11688047122150464e-12, (1189, 1) = 0.1249193319636691e-12, (1189, 2) = -0.51868864484545655e-14, (1189, 3) = 0.11437041546021358e-12, (1190, 1) = 0.1366817028408563e-12, (1190, 2) = -0.62229880534294885e-14, (1190, 3) = 0.11286493490277335e-12, (1191, 1) = 0.1409745871207816e-12, (1191, 2) = -0.5500213942312485e-14, (1191, 3) = 0.11285213770931946e-12, (1192, 1) = 0.12777406836981322e-12, (1192, 2) = -0.5308867888290902e-14, (1192, 3) = 0.1092518876100398e-12, (1193, 1) = 0.14699566883645348e-12, (1193, 2) = -0.5058309850767317e-14, (1193, 3) = 0.1092193673554976e-12, (1194, 1) = 0.1425453301090981e-12, (1194, 2) = -0.5464371492335916e-14, (1194, 3) = 0.10916499657089088e-12, (1195, 1) = 0.1391598298647061e-12, (1195, 2) = -0.596289213857793e-14, (1195, 3) = 0.10676400203964543e-12, (1196, 1) = 0.13742222861882244e-12, (1196, 2) = -0.556812175597607e-14, (1196, 3) = 0.10517432116967899e-12, (1197, 1) = 0.12587901399648936e-12, (1197, 2) = -0.5103375657059984e-14, (1197, 3) = 0.10568797181743746e-12, (1198, 1) = 0.11981966733886032e-12, (1198, 2) = -0.5374014074019389e-14, (1198, 3) = 0.10409388139388841e-12, (1199, 1) = 0.1492403146846071e-12, (1199, 2) = -0.5004511819399018e-14, (1199, 3) = 0.10262117010752044e-12, (1200, 1) = 0.13476477398675634e-12, (1200, 2) = -0.527120295790756e-14, (1200, 3) = 0.10162376192469172e-12, (1201, 1) = 0.14302257471850358e-12, (1201, 2) = -0.5569329748151055e-14, (1201, 3) = 0.9990482062757173e-13, (1202, 1) = 0.14422941732667788e-12, (1202, 2) = -0.596470563188112e-14, (1202, 3) = 0.989863228677869e-13, (1203, 1) = 0.12861287876588975e-12, (1203, 2) = -0.53460963220581244e-14, (1203, 3) = 0.967171450062053e-13, (1204, 1) = 0.1340026295777195e-12, (1204, 2) = -0.5624391217655465e-14, (1204, 3) = 0.9548445352390858e-13, (1205, 1) = 0.11442534205761365e-12, (1205, 2) = -0.5190858305820795e-14, (1205, 3) = 0.9676112704374085e-13, (1206, 1) = 0.13620190498097022e-12, (1206, 2) = -0.488582927475881e-14, (1206, 3) = 0.9449309949828346e-13, (1207, 1) = 0.14896497340086338e-12, (1207, 2) = -0.5046607007368209e-14, (1207, 3) = 0.9189858817516774e-13, (1208, 1) = 0.14820137440346874e-12, (1208, 2) = -0.50207360675604125e-14, (1208, 3) = 0.9234808349177279e-13, (1209, 1) = 0.14750501415283287e-12, (1209, 2) = -0.6133384464854515e-14, (1209, 3) = 0.9081838507795609e-13, (1210, 1) = 0.14890569028555472e-12, (1210, 2) = -0.53119488818290885e-14, (1210, 3) = 0.902630649346976e-13, (1211, 1) = 0.14440736263262545e-12, (1211, 2) = -0.4443224665849536e-14, (1211, 3) = 0.8836975396403419e-13, (1212, 1) = 0.1487991220235255e-12, (1212, 2) = -0.6189771521977136e-14, (1212, 3) = 0.8787525097686742e-13, (1213, 1) = 0.1353111238705997e-12, (1213, 2) = -0.5308181494181944e-14, (1213, 3) = 0.8692743037080289e-13, (1214, 1) = 0.12274336955939506e-12, (1214, 2) = -0.5824440531766067e-14, (1214, 3) = 0.8571106720996343e-13, (1215, 1) = 0.14150273549940466e-12, (1215, 2) = -0.4523856452704864e-14, (1215, 3) = 0.8486278170192013e-13, (1216, 1) = 0.13959783896772e-12, (1216, 2) = -0.4946889916381807e-14, (1216, 3) = 0.8422955506943056e-13, (1217, 1) = 0.12975048026534773e-12, (1217, 2) = -0.44346103473884086e-14, (1217, 3) = 0.8280584362392738e-13, (1218, 1) = 0.13713656271145677e-12, (1218, 2) = -0.6010492265139088e-14, (1218, 3) = 0.8124197840707108e-13, (1219, 1) = 0.13010285531188836e-12, (1219, 2) = -0.4407830656865708e-14, (1219, 3) = 0.812160904725466e-13, (1220, 1) = 0.14597872223769133e-12, (1220, 2) = -0.5394167702604011e-14, (1220, 3) = 0.79489416483284e-13, (1221, 1) = 0.12310536597260397e-12, (1221, 2) = -0.4859766212493121e-14, (1221, 3) = 0.7967637296687116e-13, (1222, 1) = 0.15006706726851446e-12, (1222, 2) = -0.42779085799949525e-14, (1222, 3) = 0.7738931081190334e-13, (1223, 1) = 0.16075793380587594e-12, (1223, 2) = -0.4686110188986801e-14, (1223, 3) = 0.7584167667040978e-13, (1224, 1) = 0.12738987904924772e-12, (1224, 2) = -0.438978180638099e-14, (1224, 3) = 0.7611712460956483e-13, (1225, 1) = 0.13692659415020896e-12, (1225, 2) = -0.5382499538003893e-14, (1225, 3) = 0.7623464209313625e-13, (1226, 1) = 0.14981672986878619e-12, (1226, 2) = -0.4501495388536086e-14, (1226, 3) = 0.7525957902708232e-13, (1227, 1) = 0.11584552378501685e-12, (1227, 2) = -0.5101783754131035e-14, (1227, 3) = 0.7369345455202523e-13, (1228, 1) = 0.12939888235127261e-12, (1228, 2) = -0.50821589076167265e-14, (1228, 3) = 0.7268640746424047e-13, (1229, 1) = 0.13947819687337315e-12, (1229, 2) = -0.4776947270099958e-14, (1229, 3) = 0.7161001330101156e-13, (1230, 1) = 0.12324949567480565e-12, (1230, 2) = -0.53135176558939735e-14, (1230, 3) = 0.7101984551903332e-13, (1231, 1) = 0.1389085709828796e-12, (1231, 2) = -0.45402217916267266e-14, (1231, 3) = 0.6989305906895249e-13, (1232, 1) = 0.16844815003784677e-12, (1232, 2) = -0.5309483433870152e-14, (1232, 3) = 0.6854164100655567e-13, (1233, 1) = 0.1564756043153448e-12, (1233, 2) = -0.46856920690115055e-14, (1233, 3) = 0.675984400298546e-13, (1234, 1) = 0.11768040535844671e-12, (1234, 2) = -0.48131123994081494e-14, (1234, 3) = 0.6657839762891418e-13, (1235, 1) = 0.12890154156226908e-12, (1235, 2) = -0.4940769565306139e-14, (1235, 3) = 0.6578045337934703e-13, (1236, 1) = 0.13401564294304334e-12, (1236, 2) = -0.43355221756352905e-14, (1236, 3) = 0.6529593635448496e-13, (1237, 1) = 0.1261224128666019e-12, (1237, 2) = -0.5278712609474766e-14, (1237, 3) = 0.6492343687339895e-13, (1238, 1) = 0.14392345190290396e-12, (1238, 2) = -0.5315237498348482e-14, (1238, 3) = 0.6492504566206964e-13, (1239, 1) = 0.12880611498165209e-12, (1239, 2) = -0.4862843260124455e-14, (1239, 3) = 0.6239450172050047e-13, (1240, 1) = 0.14791003172308702e-12, (1240, 2) = -0.4892826722756349e-14, (1240, 3) = 0.6258701132430283e-13, (1241, 1) = 0.13343371193569873e-12, (1241, 2) = -0.4317734960054302e-14, (1241, 3) = 0.6206226317415688e-13, (1242, 1) = 0.14633218526710888e-12, (1242, 2) = -0.4937930102711402e-14, (1242, 3) = 0.6106905293770398e-13, (1243, 1) = 0.1453161785427485e-12, (1243, 2) = -0.5051436591171062e-14, (1243, 3) = 0.5998268487674883e-13, (1244, 1) = 0.14585549540131026e-12, (1244, 2) = -0.50029576357253544e-14, (1244, 3) = 0.589761512645731e-13, (1245, 1) = 0.13336135686997025e-12, (1245, 2) = -0.4354671056781028e-14, (1245, 3) = 0.5851341456991655e-13, (1246, 1) = 0.15881624954179364e-12, (1246, 2) = -0.39683579897516895e-14, (1246, 3) = 0.5692482522658253e-13, (1247, 1) = 0.1604404727903728e-12, (1247, 2) = -0.5011795893931604e-14, (1247, 3) = 0.5709237224051304e-13, (1248, 1) = 0.15100490282360986e-12, (1248, 2) = -0.4680311359451763e-14, (1248, 3) = 0.5596101820751863e-13, (1249, 1) = 0.1225061644570524e-12, (1249, 2) = -0.4488987318356324e-14, (1249, 3) = 0.55508111243156726e-13, (1250, 1) = 0.15998582333513309e-12, (1250, 2) = -0.4164229478871682e-14, (1250, 3) = 0.5500964364962159e-13, (1251, 1) = 0.12332570224302686e-12, (1251, 2) = -0.4938844027567059e-14, (1251, 3) = 0.532982763032161e-13, (1252, 1) = 0.14404884917655505e-12, (1252, 2) = -0.39136262149570516e-14, (1252, 3) = 0.52975330708848454e-13, (1253, 1) = 0.14418645794920012e-12, (1253, 2) = -0.4260543581879773e-14, (1253, 3) = 0.534193785939909e-13, (1254, 1) = 0.12875731286622262e-12, (1254, 2) = -0.4455701165908648e-14, (1254, 3) = 0.5144138634370872e-13, (1255, 1) = 0.13825020399635615e-12, (1255, 2) = -0.471498164658349e-14, (1255, 3) = 0.5170470880558666e-13, (1256, 1) = 0.14959355321745763e-12, (1256, 2) = -0.3914771812506907e-14, (1256, 3) = 0.51083475980410773e-13, (1257, 1) = 0.11864680011687132e-12, (1257, 2) = -0.4322278052824901e-14, (1257, 3) = 0.5026751476335208e-13, (1258, 1) = 0.13713259572599052e-12, (1258, 2) = -0.4119685712389615e-14, (1258, 3) = 0.49827872704571495e-13, (1259, 1) = 0.14548386374182343e-12, (1259, 2) = -0.4786588978539822e-14, (1259, 3) = 0.49865028114850195e-13, (1260, 1) = 0.1564150028608978e-12, (1260, 2) = -0.43132143286443265e-14, (1260, 3) = 0.47453023902364535e-13, (1261, 1) = 0.1205227203976594e-12, (1261, 2) = -0.387561637470933e-14, (1261, 3) = 0.471869549975965e-13, (1262, 1) = 0.14593107116261178e-12, (1262, 2) = -0.3769789941074441e-14, (1262, 3) = 0.47372328491601665e-13, (1263, 1) = 0.1334717058961698e-12, (1263, 2) = -0.4112975937759754e-14, (1263, 3) = 0.47313908585969774e-13, (1264, 1) = 0.12126081553249468e-12, (1264, 2) = -0.4439047289802299e-14, (1264, 3) = 0.4521425549357683e-13, (1265, 1) = 0.12379267999399036e-12, (1265, 2) = -0.3839800034752753e-14, (1265, 3) = 0.4546831055256733e-13, (1266, 1) = 0.161246515549086e-12, (1266, 2) = -0.4484796194395642e-14, (1266, 3) = 0.43862590313326896e-13, (1267, 1) = 0.1280277037089013e-12, (1267, 2) = -0.3385244400132908e-14, (1267, 3) = 0.44371138154330786e-13, (1268, 1) = 0.13994529676407516e-12, (1268, 2) = -0.4114818266050339e-14, (1268, 3) = 0.4340782964286915e-13, (1269, 1) = 0.1379075406398075e-12, (1269, 2) = -0.41720169920896855e-14, (1269, 3) = 0.4224840804271741e-13, (1270, 1) = 0.14125652934096556e-12, (1270, 2) = -0.39961135066162974e-14, (1270, 3) = 0.43541060711857474e-13, (1271, 1) = 0.12468624626461515e-12, (1271, 2) = -0.4584487429139872e-14, (1271, 3) = 0.4114230737472992e-13, (1272, 1) = 0.11684452317844638e-12, (1272, 2) = -0.5377123464201411e-14, (1272, 3) = 0.41825696361693724e-13, (1273, 1) = 0.1478646026872523e-12, (1273, 2) = -0.4552298554644778e-14, (1273, 3) = 0.4175229567555024e-13, (1274, 1) = 0.15445962524110108e-12, (1274, 2) = -0.4667094290812277e-14, (1274, 3) = 0.41218086031460193e-13, (1275, 1) = 0.15244658778047127e-12, (1275, 2) = -0.50617611548054056e-14, (1275, 3) = 0.4013857767446274e-13, (1276, 1) = 0.14241486720123073e-12, (1276, 2) = -0.3262369809833372e-14, (1276, 3) = 0.3924218127055287e-13, (1277, 1) = 0.11543848704839404e-12, (1277, 2) = -0.4236940675634477e-14, (1277, 3) = 0.3816413570984081e-13, (1278, 1) = 0.14137357903274318e-12, (1278, 2) = -0.4378840574661377e-14, (1278, 3) = 0.3782777878940095e-13, (1279, 1) = 0.12690624810605045e-12, (1279, 2) = -0.33832586706884006e-14, (1279, 3) = 0.36541817858612304e-13, (1280, 1) = 0.14360876738692954e-12, (1280, 2) = -0.4545571010619838e-14, (1280, 3) = 0.37218510633396106e-13, (1281, 1) = 0.14378003696155683e-12, (1281, 2) = -0.4036380461128828e-14, (1281, 3) = 0.3666337064020767e-13, (1282, 1) = 0.14529037731274377e-12, (1282, 2) = -0.4568353655246609e-14, (1282, 3) = 0.3657693534549461e-13, (1283, 1) = 0.14714041927285606e-12, (1283, 2) = -0.4148081336189079e-14, (1283, 3) = 0.3548898745727403e-13, (1284, 1) = 0.12982562588750604e-12, (1284, 2) = -0.3752410960224209e-14, (1284, 3) = 0.3516356775496242e-13, (1285, 1) = 0.14499137414851965e-12, (1285, 2) = -0.4290927365070337e-14, (1285, 3) = 0.34595592329324914e-13, (1286, 1) = 0.1571007331716123e-12, (1286, 2) = -0.4120525966308538e-14, (1286, 3) = 0.3400466184449327e-13, (1287, 1) = 0.13401714474205248e-12, (1287, 2) = -0.4054480394216049e-14, (1287, 3) = 0.31999825365225165e-13, (1288, 1) = 0.12770198237399722e-12, (1288, 2) = -0.4287334892473756e-14, (1288, 3) = 0.31956897929418047e-13, (1289, 1) = 0.14514159451791218e-12, (1289, 2) = -0.386541268789143e-14, (1289, 3) = 0.32653704943683227e-13, (1290, 1) = 0.12356671488743936e-12, (1290, 2) = -0.31122539412891093e-14, (1290, 3) = 0.32957489225636985e-13, (1291, 1) = 0.13127637657883432e-12, (1291, 2) = -0.3875654964187026e-14, (1291, 3) = 0.32287717867042696e-13, (1292, 1) = 0.12637121028341734e-12, (1292, 2) = -0.39763438078330854e-14, (1292, 3) = 0.3085957732044193e-13, (1293, 1) = 0.10967418876183034e-12, (1293, 2) = -0.37787558638997574e-14, (1293, 3) = 0.3028915214941376e-13, (1294, 1) = 0.14421106660759235e-12, (1294, 2) = -0.37929329056533505e-14, (1294, 3) = 0.2973059805628722e-13, (1295, 1) = 0.14897011862909614e-12, (1295, 2) = -0.3608998163865858e-14, (1295, 3) = 0.2944598316903023e-13, (1296, 1) = 0.12680648964205017e-12, (1296, 2) = -0.4526715480557915e-14, (1296, 3) = 0.29672415967432163e-13, (1297, 1) = 0.13795123634247046e-12, (1297, 2) = -0.3252603496007535e-14, (1297, 3) = 0.28906120885765795e-13, (1298, 1) = 0.1388524005786131e-12, (1298, 2) = -0.4651907861994169e-14, (1298, 3) = 0.27983085478537207e-13, (1299, 1) = 0.12703871441030203e-12, (1299, 2) = -0.4311735076570647e-14, (1299, 3) = 0.2847530208631345e-13, (1300, 1) = 0.12900842813408874e-12, (1300, 2) = -0.32227526065860333e-14, (1300, 3) = 0.28126709453508995e-13, (1301, 1) = 0.1386800843760288e-12, (1301, 2) = -0.364378376622588e-14, (1301, 3) = 0.28046157914135543e-13, (1302, 1) = 0.1417979001338089e-12, (1302, 2) = -0.31272467849130224e-14, (1302, 3) = 0.2678449704445296e-13, (1303, 1) = 0.11677931478745733e-12, (1303, 2) = -0.39399277540039966e-14, (1303, 3) = 0.2741168712062277e-13, (1304, 1) = 0.1149505873422173e-12, (1304, 2) = -0.4361794827691931e-14, (1304, 3) = 0.26231645102572917e-13, (1305, 1) = 0.14656791068598982e-12, (1305, 2) = -0.3810391465588281e-14, (1305, 3) = 0.2694591548790618e-13, (1306, 1) = 0.133836239815743e-12, (1306, 2) = -0.4385614260211984e-14, (1306, 3) = 0.2733678193479558e-13, (1307, 1) = 0.12247128407349445e-12, (1307, 2) = -0.386683287313548e-14, (1307, 3) = 0.25480230263022712e-13, (1308, 1) = 0.14495080782649413e-12, (1308, 2) = -0.406302969228894e-14, (1308, 3) = 0.26008353668348838e-13, (1309, 1) = 0.1159647479886404e-12, (1309, 2) = -0.32898471293618215e-14, (1309, 3) = 0.2435901861500315e-13, (1310, 1) = 0.14534663518703916e-12, (1310, 2) = -0.33112659212077912e-14, (1310, 3) = 0.23346830713077183e-13, (1311, 1) = 0.14694945054185596e-12, (1311, 2) = -0.38818384875282324e-14, (1311, 3) = 0.24405468653293744e-13, (1312, 1) = 0.12686628726307806e-12, (1312, 2) = -0.38809531336159076e-14, (1312, 3) = 0.23361420696238718e-13, (1313, 1) = 0.12015985507191427e-12, (1313, 2) = -0.33066385723832362e-14, (1313, 3) = 0.2341587866518885e-13, (1314, 1) = 0.130986736235257e-12, (1314, 2) = -0.34423511114409556e-14, (1314, 3) = 0.2335072971121436e-13, (1315, 1) = 0.12440183124433588e-12, (1315, 2) = -0.3579398190296447e-14, (1315, 3) = 0.21989020992853793e-13, (1316, 1) = 0.16475347193416168e-12, (1316, 2) = -0.41117776818314356e-14, (1316, 3) = 0.2249178158106609e-13, (1317, 1) = 0.14428353957474504e-12, (1317, 2) = -0.37851052088956505e-14, (1317, 3) = 0.21581308987773188e-13, (1318, 1) = 0.15011471080955822e-12, (1318, 2) = -0.3176009113004158e-14, (1318, 3) = 0.21998401154853208e-13, (1319, 1) = 0.1245912583992722e-12, (1319, 2) = -0.3603285273798973e-14, (1319, 3) = 0.2191524393406242e-13, (1320, 1) = 0.13489854493375857e-12, (1320, 2) = -0.4067558086145103e-14, (1320, 3) = 0.21595745718611923e-13, (1321, 1) = 0.14164435766727172e-12, (1321, 2) = -0.32286626234285818e-14, (1321, 3) = 0.20293721243135407e-13, (1322, 1) = 0.14369062282335353e-12, (1322, 2) = -0.3371773397107723e-14, (1322, 3) = 0.22095576225266164e-13, (1323, 1) = 0.11349336398419066e-12, (1323, 2) = -0.30733802610976252e-14, (1323, 3) = 0.20219394643135444e-13, (1324, 1) = 0.14019671509704253e-12, (1324, 2) = -0.3981983829158354e-14, (1324, 3) = 0.1861127683184514e-13, (1325, 1) = 0.1543711421749266e-12, (1325, 2) = -0.3733640677556582e-14, (1325, 3) = 0.19822556336107434e-13, (1326, 1) = 0.16503166497360035e-12, (1326, 2) = -0.409697070536846e-14, (1326, 3) = 0.18925670201913784e-13, (1327, 1) = 0.10835910756659276e-12, (1327, 2) = -0.38031749564833335e-14, (1327, 3) = 0.18954025819828803e-13, (1328, 1) = 0.13346917354984996e-12, (1328, 2) = -0.3642094209142589e-14, (1328, 3) = 0.19991117574309046e-13, (1329, 1) = 0.13748360469784836e-12, (1329, 2) = -0.34930469725719705e-14, (1329, 3) = 0.18162690053334567e-13, (1330, 1) = 0.1249277787860727e-12, (1330, 2) = -0.32723641470297456e-14, (1330, 3) = 0.19890488933550407e-13, (1331, 1) = 0.1403189344167242e-12, (1331, 2) = -0.4039182109244479e-14, (1331, 3) = 0.18090741418607598e-13, (1332, 1) = 0.13534929624485457e-12, (1332, 2) = -0.2507620381949646e-14, (1332, 3) = 0.1836133626762725e-13, (1333, 1) = 0.1528409488425251e-12, (1333, 2) = -0.35329149182845797e-14, (1333, 3) = 0.18083639674750826e-13, (1334, 1) = 0.12173306242871755e-12, (1334, 2) = -0.34479574485657426e-14, (1334, 3) = 0.17916535220215965e-13, (1335, 1) = 0.12591775356122312e-12, (1335, 2) = -0.34825449430226932e-14, (1335, 3) = 0.17053320815391073e-13, (1336, 1) = 0.1179666150893511e-12, (1336, 2) = -0.3675350263136357e-14, (1336, 3) = 0.17066054445316923e-13, (1337, 1) = 0.12441706954312713e-12, (1337, 2) = -0.2905624688454136e-14, (1337, 3) = 0.17096732318995735e-13, (1338, 1) = 0.13442130279442923e-12, (1338, 2) = -0.3159192135045552e-14, (1338, 3) = 0.1643445924677796e-13, (1339, 1) = 0.14162088226069968e-12, (1339, 2) = -0.3721912027984249e-14, (1339, 3) = 0.17048434372003397e-13, (1340, 1) = 0.15346340236391745e-12, (1340, 2) = -0.3657324793435594e-14, (1340, 3) = 0.1634909689935896e-13, (1341, 1) = 0.11097750778576737e-12, (1341, 2) = -0.34370913968668067e-14, (1341, 3) = 0.16473425550881336e-13, (1342, 1) = 0.15610100434281323e-12, (1342, 2) = -0.32189009033624716e-14, (1342, 3) = 0.14841066236592535e-13, (1343, 1) = 0.1525387396867252e-12, (1343, 2) = -0.333909317513488e-14, (1343, 3) = 0.1509218864238667e-13, (1344, 1) = 0.12605497319415097e-12, (1344, 2) = -0.34589876973395424e-14, (1344, 3) = 0.1589617684867923e-13, (1345, 1) = 0.12488322640814026e-12, (1345, 2) = -0.31277489438748704e-14, (1345, 3) = 0.15469450267078528e-13, (1346, 1) = 0.1593294559807656e-12, (1346, 2) = -0.30265934724256498e-14, (1346, 3) = 0.15549615634925738e-13, (1347, 1) = 0.14770097977096593e-12, (1347, 2) = -0.3349060186481335e-14, (1347, 3) = 0.14977467384636086e-13, (1348, 1) = 0.14753701825536512e-12, (1348, 2) = -0.3650522306027308e-14, (1348, 3) = 0.14445335341491747e-13, (1349, 1) = 0.13260557174378847e-12, (1349, 2) = -0.28744385735646385e-14, (1349, 3) = 0.14755792155218893e-13, (1350, 1) = 0.1078648567538647e-12, (1350, 2) = -0.317418790389384e-14, (1350, 3) = 0.14271128413963637e-13, (1351, 1) = 0.13987572210353468e-12, (1351, 2) = -0.30357556972993038e-14, (1351, 3) = 0.1478688080830367e-13, (1352, 1) = 0.13433487875584236e-12, (1352, 2) = -0.3386101940304983e-14, (1352, 3) = 0.13956299645295011e-13, (1353, 1) = 0.14067104167052526e-12, (1353, 2) = -0.34454079838667485e-14, (1353, 3) = 0.12983580366340919e-13, (1354, 1) = 0.12731511260405296e-12, (1354, 2) = -0.3309631587399992e-14, (1354, 3) = 0.13954746677918185e-13, (1355, 1) = 0.1282268735361134e-12, (1355, 2) = -0.31893746986313515e-14, (1355, 3) = 0.13722999276889982e-13, (1356, 1) = 0.14389609372312273e-12, (1356, 2) = -0.31584266645708503e-14, (1356, 3) = 0.14127124862213216e-13, (1357, 1) = 0.13350110797431124e-12, (1357, 2) = -0.33410017781487597e-14, (1357, 3) = 0.13235703124268827e-13, (1358, 1) = 0.11750085738941142e-12, (1358, 2) = -0.34680588857815004e-14, (1358, 3) = 0.12377961451340705e-13, (1359, 1) = 0.1481932483696175e-12, (1359, 2) = -0.33739548443977586e-14, (1359, 3) = 0.12047391270654577e-13, (1360, 1) = 0.1158163720269731e-12, (1360, 2) = -0.359726607965083e-14, (1360, 3) = 0.12854967129496071e-13, (1361, 1) = 0.13991315854002833e-12, (1361, 2) = -0.33827173843340424e-14, (1361, 3) = 0.12542249360030084e-13, (1362, 1) = 0.14361753565892387e-12, (1362, 2) = -0.32910483720809078e-14, (1362, 3) = 0.12546392585889054e-13, (1363, 1) = 0.13283077781956333e-12, (1363, 2) = -0.29287610067618156e-14, (1363, 3) = 0.12253443965681468e-13, (1364, 1) = 0.13878182072626833e-12, (1364, 2) = -0.3162963683881594e-14, (1364, 3) = 0.11967957747911377e-13, (1365, 1) = 0.1411647976667125e-12, (1365, 2) = -0.28455674650486793e-14, (1365, 3) = 0.12842490763651418e-13, (1366, 1) = 0.128454298675244e-12, (1366, 2) = -0.28525985102446144e-14, (1366, 3) = 0.12219974589301139e-13, (1367, 1) = 0.10205133228438015e-12, (1367, 2) = -0.3283329488836991e-14, (1367, 3) = 0.11367447145896169e-13, (1368, 1) = 0.14267042265577378e-12, (1368, 2) = -0.28460439855142995e-14, (1368, 3) = 0.10879930070892863e-13, (1369, 1) = 0.12040279699159965e-12, (1369, 2) = -0.29140263862057333e-14, (1369, 3) = 0.10962773683859064e-13, (1370, 1) = 0.12238902044309178e-12, (1370, 2) = -0.30427401787204374e-14, (1370, 3) = 0.10936100211432733e-13, (1371, 1) = 0.13633051533437143e-12, (1371, 2) = -0.27484197321400477e-14, (1371, 3) = 0.11636845897316271e-13, (1372, 1) = 0.10454671016337984e-12, (1372, 2) = -0.29296962184367105e-14, (1372, 3) = 0.11781694632761235e-13, (1373, 1) = 0.13225349713458665e-12, (1373, 2) = -0.3397920910374022e-14, (1373, 3) = 0.10413586957024735e-13, (1374, 1) = 0.12246978830294848e-12, (1374, 2) = -0.30561974184499237e-14, (1374, 3) = 0.9696229237556741e-14, (1375, 1) = 0.12779855725482575e-12, (1375, 2) = -0.30199825316790803e-14, (1375, 3) = 0.11096477915779404e-13, (1376, 1) = 0.13591975963259659e-12, (1376, 2) = -0.28549295588774207e-14, (1376, 3) = 0.9633869145529468e-14, (1377, 1) = 0.14206046653588137e-12, (1377, 2) = -0.31969055630516407e-14, (1377, 3) = 0.10160435709802916e-13, (1378, 1) = 0.13307459371276413e-12, (1378, 2) = -0.29113921763459586e-14, (1378, 3) = 0.10376072158793112e-13, (1379, 1) = 0.1213957122126453e-12, (1379, 2) = -0.28820544588493733e-14, (1379, 3) = 0.9718790911169064e-14, (1380, 1) = 0.12222001432959047e-12, (1380, 2) = -0.3286452842268105e-14, (1380, 3) = 0.859599383547163e-14, (1381, 1) = 0.14437087273022674e-12, (1381, 2) = -0.31404497587276534e-14, (1381, 3) = 0.9785454131013462e-14, (1382, 1) = 0.1155993299566924e-12, (1382, 2) = -0.2858652954718302e-14, (1382, 3) = 0.8817922012116186e-14, (1383, 1) = 0.10122525624422515e-12, (1383, 2) = -0.29325823040186432e-14, (1383, 3) = 0.9068399499688506e-14, (1384, 1) = 0.14014133051974066e-12, (1384, 2) = -0.2716218319127471e-14, (1384, 3) = 0.954935037826777e-14, (1385, 1) = 0.14549819694916151e-12, (1385, 2) = -0.3047007276810963e-14, (1385, 3) = 0.9020788254470008e-14, (1386, 1) = 0.13904585907773526e-12, (1386, 2) = -0.3317110748862461e-14, (1386, 3) = 0.8376844125516656e-14, (1387, 1) = 0.1459029040171819e-12, (1387, 2) = -0.2932926323897768e-14, (1387, 3) = 0.8795224511609301e-14, (1388, 1) = 0.16220746195966198e-12, (1388, 2) = -0.28402304223703017e-14, (1388, 3) = 0.8603844468035817e-14, (1389, 1) = 0.14780147164556712e-12, (1389, 2) = -0.27962848336508767e-14, (1389, 3) = 0.904947875664148e-14, (1390, 1) = 0.13150940080932504e-12, (1390, 2) = -0.27315640762552096e-14, (1390, 3) = 0.8259886920595676e-14, (1391, 1) = 0.15137630765606176e-12, (1391, 2) = -0.3008308814372765e-14, (1391, 3) = 0.8440445945865545e-14, (1392, 1) = 0.14900163795049156e-12, (1392, 2) = -0.2469549341264518e-14, (1392, 3) = 0.8096054597919973e-14, (1393, 1) = 0.12506650597172478e-12, (1393, 2) = -0.2421340893626101e-14, (1393, 3) = 0.8211159710200035e-14, (1394, 1) = 0.13309550424682664e-12, (1394, 2) = -0.24258410219628033e-14, (1394, 3) = 0.8425252368002855e-14, (1395, 1) = 0.1265257935975924e-12, (1395, 2) = -0.2771148628055692e-14, (1395, 3) = 0.8192113732932855e-14, (1396, 1) = 0.14429241547863385e-12, (1396, 2) = -0.2436599974176388e-14, (1396, 3) = 0.8260669606610667e-14, (1397, 1) = 0.12799477647745739e-12, (1397, 2) = -0.2601638335698876e-14, (1397, 3) = 0.8673713180560058e-14, (1398, 1) = 0.13766885587006712e-12, (1398, 2) = -0.2469241466441961e-14, (1398, 3) = 0.8114454471173854e-14, (1399, 1) = 0.13124112809752272e-12, (1399, 2) = -0.2869759154686242e-14, (1399, 3) = 0.775928145128595e-14, (1400, 1) = 0.12770939794852168e-12, (1400, 2) = -0.24291163249512285e-14, (1400, 3) = 0.7461692292073625e-14, (1401, 1) = 0.12325441111953053e-12, (1401, 2) = -0.24372409489179546e-14, (1401, 3) = 0.6947521726603671e-14, (1402, 1) = 0.15063727617910335e-12, (1402, 2) = -0.26383678361119447e-14, (1402, 3) = 0.7687936201773627e-14, (1403, 1) = 0.12956229737194122e-12, (1403, 2) = -0.29320987484464216e-14, (1403, 3) = 0.802039119721861e-14, (1404, 1) = 0.11557573905071875e-12, (1404, 2) = -0.2312071725174694e-14, (1404, 3) = 0.7790838783421528e-14, (1405, 1) = 0.16310300306557472e-12, (1405, 2) = -0.3159421338326981e-14, (1405, 3) = 0.7963128287868283e-14, (1406, 1) = 0.12098239991616355e-12, (1406, 2) = -0.24722586010017314e-14, (1406, 3) = 0.7779105259390426e-14, (1407, 1) = 0.12576878095538828e-12, (1407, 2) = -0.31789627453553568e-14, (1407, 3) = 0.7886326334466766e-14, (1408, 1) = 0.16637984499601658e-12, (1408, 2) = -0.30494064902149976e-14, (1408, 3) = 0.7366735713197621e-14, (1409, 1) = 0.13355023662333434e-12, (1409, 2) = -0.2869881055259262e-14, (1409, 3) = 0.67210450044889325e-14, (1410, 1) = 0.1455710210886134e-12, (1410, 2) = -0.26097017546340544e-14, (1410, 3) = 0.6709377216300443e-14, (1411, 1) = 0.1323103821601103e-12, (1411, 2) = -0.25034246297317726e-14, (1411, 3) = 0.7268252556653486e-14, (1412, 1) = 0.12288731977309975e-12, (1412, 2) = -0.2635841868991428e-14, (1412, 3) = 0.6392767882380956e-14, (1413, 1) = 0.12732032689746558e-12, (1413, 2) = -0.3064140681801078e-14, (1413, 3) = 0.783240052550569e-14, (1414, 1) = 0.13735368725096037e-12, (1414, 2) = -0.26286819439048307e-14, (1414, 3) = 0.6093128656494148e-14, (1415, 1) = 0.14386286924692342e-12, (1415, 2) = -0.25180409311481236e-14, (1415, 3) = 0.6453766032641757e-14, (1416, 1) = 0.10767529154289176e-12, (1416, 2) = -0.24719009836692784e-14, (1416, 3) = 0.589195326146105e-14, (1417, 1) = 0.12541780307159786e-12, (1417, 2) = -0.236259905335684e-14, (1417, 3) = 0.64505069370928e-14, (1418, 1) = 0.12502211327076768e-12, (1418, 2) = -0.23928362980940224e-14, (1418, 3) = 0.5028610564106033e-14, (1419, 1) = 0.11565909926078442e-12, (1419, 2) = -0.2705793995208034e-14, (1419, 3) = 0.6016057070479434e-14, (1420, 1) = 0.1256534917300269e-12, (1420, 2) = -0.256911043645097e-14, (1420, 3) = 0.6032096806320403e-14, (1421, 1) = 0.12312750634786874e-12, (1421, 2) = -0.29011723357015543e-14, (1421, 3) = 0.70570356589162455e-14, (1422, 1) = 0.1262738313362864e-12, (1422, 2) = -0.23624708107461557e-14, (1422, 3) = 0.6897682880926561e-14, (1423, 1) = 0.13700055682531653e-12, (1423, 2) = -0.2335075518670295e-14, (1423, 3) = 0.5662232177784725e-14, (1424, 1) = 0.14986774298857945e-12, (1424, 2) = -0.280890456107122e-14, (1424, 3) = 0.5762931029494389e-14, (1425, 1) = 0.14314023070648626e-12, (1425, 2) = -0.26499111788072883e-14, (1425, 3) = 0.622734358565881e-14, (1426, 1) = 0.13137919611003177e-12, (1426, 2) = -0.2522645628954677e-14, (1426, 3) = 0.6454126774299015e-14, (1427, 1) = 0.1347563602564112e-12, (1427, 2) = -0.24067689688531604e-14, (1427, 3) = 0.6270211316014793e-14, (1428, 1) = 0.12508909522770746e-12, (1428, 2) = -0.25014353649389496e-14, (1428, 3) = 0.5811771229324105e-14, (1429, 1) = 0.1242335224285732e-12, (1429, 2) = -0.249001896113742e-14, (1429, 3) = 0.5047367724077332e-14, (1430, 1) = 0.1251078948905667e-12, (1430, 2) = -0.24518735974668397e-14, (1430, 3) = 0.63644236697055075e-14, (1431, 1) = 0.1332623242320791e-12, (1431, 2) = -0.2164298600516031e-14, (1431, 3) = 0.5801402143316039e-14, (1432, 1) = 0.14414678308884912e-12, (1432, 2) = -0.23462532097564735e-14, (1432, 3) = 0.5553121884058949e-14, (1433, 1) = 0.13606870967103787e-12, (1433, 2) = -0.22980579669064355e-14, (1433, 3) = 0.5780746451903075e-14, (1434, 1) = 0.1364945379457602e-12, (1434, 2) = -0.22046197079555462e-14, (1434, 3) = 0.5576510327792193e-14, (1435, 1) = 0.11277337066841136e-12, (1435, 2) = -0.21806936450163248e-14, (1435, 3) = 0.4363390089806779e-14, (1436, 1) = 0.14051631146099217e-12, (1436, 2) = -0.255281154114902e-14, (1436, 3) = 0.6041534979754952e-14, (1437, 1) = 0.14880770246763937e-12, (1437, 2) = -0.24617708914194534e-14, (1437, 3) = 0.5401332281351427e-14, (1438, 1) = 0.12240218177682167e-12, (1438, 2) = -0.23249194622565875e-14, (1438, 3) = 0.5202120136973887e-14, (1439, 1) = 0.13521585159027142e-12, (1439, 2) = -0.2226039372975405e-14, (1439, 3) = 0.5867386971651433e-14, (1440, 1) = 0.1472922956279781e-12, (1440, 2) = -0.25048527588215984e-14, (1440, 3) = 0.6631990598304038e-14, (1441, 1) = 0.14593929231588077e-12, (1441, 2) = -0.2109095451088294e-14, (1441, 3) = 0.6093059652828325e-14, (1442, 1) = 0.13869660771186638e-12, (1442, 2) = -0.2320644699111536e-14, (1442, 3) = 0.5338959431781528e-14, (1443, 1) = 0.12021993164105817e-12, (1443, 2) = -0.2576741933542803e-14, (1443, 3) = 0.6129584378704951e-14, (1444, 1) = 0.13263973822592266e-12, (1444, 2) = -0.21294976843936354e-14, (1444, 3) = 0.47391682484332745e-14, (1445, 1) = 0.13964176740775303e-12, (1445, 2) = -0.23779251741694703e-14, (1445, 3) = 0.5036560994487374e-14, (1446, 1) = 0.1468612484836325e-12, (1446, 2) = -0.2282617934867437e-14, (1446, 3) = 0.488750863621809e-14, (1447, 1) = 0.1472056004689056e-12, (1447, 2) = -0.22553860446260536e-14, (1447, 3) = 0.574282917378973e-14, (1448, 1) = 0.11087182248135278e-12, (1448, 2) = -0.18567012559198518e-14, (1448, 3) = 0.5328972545962339e-14, (1449, 1) = 0.1244396215586806e-12, (1449, 2) = -0.17859008915127673e-14, (1449, 3) = 0.5720792508404808e-14, (1450, 1) = 0.10804612736105107e-12, (1450, 2) = -0.25320359378813535e-14, (1450, 3) = 0.530313372255897e-14, (1451, 1) = 0.16486102224203514e-12, (1451, 2) = -0.20271570870563148e-14, (1451, 3) = 0.56069352347317995e-14, (1452, 1) = 0.10195400619182004e-12, (1452, 2) = -0.18560145454433236e-14, (1452, 3) = 0.3822596189607336e-14, (1453, 1) = 0.1389733683013694e-12, (1453, 2) = -0.2127315031006174e-14, (1453, 3) = 0.4185566757277677e-14, (1454, 1) = 0.12685338101180878e-12, (1454, 2) = -0.21601081475973366e-14, (1454, 3) = 0.5735204301229607e-14, (1455, 1) = 0.12967271402493426e-12, (1455, 2) = -0.2408197577227144e-14, (1455, 3) = 0.568315416338646e-14, (1456, 1) = 0.14917232295848613e-12, (1456, 2) = -0.2548641142084685e-14, (1456, 3) = 0.5283995303200373e-14, (1457, 1) = 0.13581067219303665e-12, (1457, 2) = -0.2144344579470072e-14, (1457, 3) = 0.4483028884820831e-14, (1458, 1) = 0.14613011339327026e-12, (1458, 2) = -0.26405361910959605e-14, (1458, 3) = 0.50182435221107695e-14, (1459, 1) = 0.12304216898185908e-12, (1459, 2) = -0.2336355013462475e-14, (1459, 3) = 0.4558867905977598e-14, (1460, 1) = 0.1286997038651608e-12, (1460, 2) = -0.2594135244074262e-14, (1460, 3) = 0.45351428821800566e-14, (1461, 1) = 0.13331019234649016e-12, (1461, 2) = -0.22720071678707797e-14, (1461, 3) = 0.5279899815313012e-14, (1462, 1) = 0.12081259124981711e-12, (1462, 2) = -0.20229236842493526e-14, (1462, 3) = 0.5305330674645747e-14, (1463, 1) = 0.11684313174019095e-12, (1463, 2) = -0.22629049552601612e-14, (1463, 3) = 0.5937233717575771e-14, (1464, 1) = 0.12535259220745116e-12, (1464, 2) = -0.2112450045816898e-14, (1464, 3) = 0.5170358373639981e-14, (1465, 1) = 0.12749592171141757e-12, (1465, 2) = -0.21607920980553527e-14, (1465, 3) = 0.4848607638721192e-14, (1466, 1) = 0.12272362621508016e-12, (1466, 2) = -0.23863640812285543e-14, (1466, 3) = 0.5296434192183515e-14, (1467, 1) = 0.12570315963758553e-12, (1467, 2) = -0.20443169578632628e-14, (1467, 3) = 0.4947075733488402e-14, (1468, 1) = 0.15780145501636071e-12, (1468, 2) = -0.1812706007814041e-14, (1468, 3) = 0.364157621634556e-14, (1469, 1) = 0.13550267268885344e-12, (1469, 2) = -0.2001657011776459e-14, (1469, 3) = 0.47888731728679995e-14, (1470, 1) = 0.12100218355348067e-12, (1470, 2) = -0.19253834665605687e-14, (1470, 3) = 0.4476901770150714e-14, (1471, 1) = 0.13457793884948043e-12, (1471, 2) = -0.20580863168392112e-14, (1471, 3) = 0.27036019664492243e-14, (1472, 1) = 0.12476244988458176e-12, (1472, 2) = -0.22034846303282143e-14, (1472, 3) = 0.5085746758864261e-14, (1473, 1) = 0.12000786756375375e-12, (1473, 2) = -0.2094482076575019e-14, (1473, 3) = 0.39658840627742184e-14, (1474, 1) = 0.13329717274334022e-12, (1474, 2) = -0.19536540391721948e-14, (1474, 3) = 0.3686223228920244e-14, (1475, 1) = 0.11230478524795965e-12, (1475, 2) = -0.20998751803077017e-14, (1475, 3) = 0.4356856372076512e-14, (1476, 1) = 0.1563913200782012e-12, (1476, 2) = -0.21452547630426498e-14, (1476, 3) = 0.44795281305226274e-14, (1477, 1) = 0.1322332607686167e-12, (1477, 2) = -0.19705889400056227e-14, (1477, 3) = 0.4822399906112541e-14, (1478, 1) = 0.11922193226955817e-12, (1478, 2) = -0.21872153522236685e-14, (1478, 3) = 0.3665135796019631e-14, (1479, 1) = 0.14688766788175322e-12, (1479, 2) = -0.2268932567640534e-14, (1479, 3) = 0.5504520497015022e-14, (1480, 1) = 0.13543139195217134e-12, (1480, 2) = -0.2375922818754118e-14, (1480, 3) = 0.46567482054952935e-14, (1481, 1) = 0.13801594477169042e-12, (1481, 2) = -0.1798848996069031e-14, (1481, 3) = 0.3517529620891876e-14, (1482, 1) = 0.11843341291540608e-12, (1482, 2) = -0.18375866995544866e-14, (1482, 3) = 0.45157082621268255e-14, (1483, 1) = 0.13548913501713534e-12, (1483, 2) = -0.22145663250769048e-14, (1483, 3) = 0.42637156176940544e-14, (1484, 1) = 0.1175049181783077e-12, (1484, 2) = -0.22134726707497594e-14, (1484, 3) = 0.3977679410284918e-14, (1485, 1) = 0.15679860419548006e-12, (1485, 2) = -0.20406394150549174e-14, (1485, 3) = 0.51570714042703515e-14, (1486, 1) = 0.14540615833675624e-12, (1486, 2) = -0.18205037118280522e-14, (1486, 3) = 0.36396893761957095e-14, (1487, 1) = 0.12190103190530108e-12, (1487, 2) = -0.1964199697210341e-14, (1487, 3) = 0.3972961951503449e-14, (1488, 1) = 0.14035747356040705e-12, (1488, 2) = -0.2118021884166484e-14, (1488, 3) = 0.4642680576765088e-14, (1489, 1) = 0.12374955462809458e-12, (1489, 2) = -0.16703783386140904e-14, (1489, 3) = 0.4474173900034803e-14, (1490, 1) = 0.145262679406792e-12, (1490, 2) = -0.1934499639024137e-14, (1490, 3) = 0.4342450975106772e-14, (1491, 1) = 0.14251373730263331e-12, (1491, 2) = -0.17331543656777528e-14, (1491, 3) = 0.4928684221522419e-14, (1492, 1) = 0.11950659343022663e-12, (1492, 2) = -0.19409924602854836e-14, (1492, 3) = 0.47967822813020325e-14, (1493, 1) = 0.12128318479559674e-12, (1493, 2) = -0.1978670061891094e-14, (1493, 3) = 0.4460798626355931e-14, (1494, 1) = 0.13440994287358454e-12, (1494, 2) = -0.19843109689548215e-14, (1494, 3) = 0.39963770768187024e-14, (1495, 1) = 0.13112640890084062e-12, (1495, 2) = -0.2039627809972997e-14, (1495, 3) = 0.33978054922322503e-14, (1496, 1) = 0.1592691427599294e-12, (1496, 2) = -0.18135745229106423e-14, (1496, 3) = 0.50191245273506905e-14, (1497, 1) = 0.1207858787355022e-12, (1497, 2) = -0.16616511011566842e-14, (1497, 3) = 0.32558846324378996e-14, (1498, 1) = 0.14171641497745155e-12, (1498, 2) = -0.18121320489062224e-14, (1498, 3) = 0.4495830261871967e-14, (1499, 1) = 0.14789316253361792e-12, (1499, 2) = -0.18260884010463206e-14, (1499, 3) = 0.5102835282332422e-14, (1500, 1) = 0.14416754085719084e-12, (1500, 2) = -0.1832049787804829e-14, (1500, 3) = 0.3696101129716629e-14, (1501, 1) = 0.12554291081170781e-12, (1501, 2) = -0.1892006906321807e-14, (1501, 3) = 0.4770092066803804e-14, (1502, 1) = 0.11344978081942379e-12, (1502, 2) = -0.1569019849224107e-14, (1502, 3) = 0.4763145604364912e-14, (1503, 1) = 0.14820975632051633e-12, (1503, 2) = -0.1937547659370069e-14, (1503, 3) = 0.4698214404035893e-14, (1504, 1) = 0.12834860889132533e-12, (1504, 2) = -0.20390124404710426e-14, (1504, 3) = 0.4028557351939499e-14, (1505, 1) = 0.11525666162448968e-12, (1505, 2) = -0.18549964005739482e-14, (1505, 3) = 0.3997542550763944e-14, (1506, 1) = 0.14670237676485232e-12, (1506, 2) = -0.17504158893004037e-14, (1506, 3) = 0.3126976437460238e-14, (1507, 1) = 0.14936566738396054e-12, (1507, 2) = -0.2138620583493694e-14, (1507, 3) = 0.3028489557997002e-14, (1508, 1) = 0.13005546469354087e-12, (1508, 2) = -0.1451893112118438e-14, (1508, 3) = 0.4184996943053783e-14, (1509, 1) = 0.13386702266723308e-12, (1509, 2) = -0.21786742022719612e-14, (1509, 3) = 0.4691524774121572e-14, (1510, 1) = 0.13472412345626715e-12, (1510, 2) = -0.16750527129552354e-14, (1510, 3) = 0.49619325986960296e-14, (1511, 1) = 0.1467731522303747e-12, (1511, 2) = -0.15523104159665148e-14, (1511, 3) = 0.4145056171234058e-14, (1512, 1) = 0.13044800250608614e-12, (1512, 2) = -0.18706000635636926e-14, (1512, 3) = 0.42548196559541636e-14, (1513, 1) = 0.1434862102468923e-12, (1513, 2) = -0.18119221944893373e-14, (1513, 3) = 0.32975828930421495e-14, (1514, 1) = 0.12718933182240437e-12, (1514, 2) = -0.16663851297055225e-14, (1514, 3) = 0.448337594529837e-14, (1515, 1) = 0.1193363005476154e-12, (1515, 2) = -0.1798683921755198e-14, (1515, 3) = 0.3716488113036665e-14, (1516, 1) = 0.1248102838282538e-12, (1516, 2) = -0.17483293046485572e-14, (1516, 3) = 0.3715990780164398e-14, (1517, 1) = 0.1442464120214029e-12, (1517, 2) = -0.16654615574762294e-14, (1517, 3) = 0.3920200819426631e-14, (1518, 1) = 0.15440568292986622e-12, (1518, 2) = -0.14637850673560934e-14, (1518, 3) = 0.4260558473306243e-14, (1519, 1) = 0.1210696821873343e-12, (1519, 2) = -0.17081906729144107e-14, (1519, 3) = 0.3718793945743418e-14, (1520, 1) = 0.11941327229460616e-12, (1520, 2) = -0.15488734887915061e-14, (1520, 3) = 0.41341607096748615e-14, (1521, 1) = 0.11073918028370495e-12, (1521, 2) = -0.17231069984584311e-14, (1521, 3) = 0.3803161151385869e-14, (1522, 1) = 0.13281566993465997e-12, (1522, 2) = -0.16502691897859446e-14, (1522, 3) = 0.5619196999427507e-14, (1523, 1) = 0.15706668413533228e-12, (1523, 2) = -0.1734398283768751e-14, (1523, 3) = 0.34397831660125545e-14, (1524, 1) = 0.14477361341907505e-12, (1524, 2) = -0.1962832837860159e-14, (1524, 3) = 0.5082379468317014e-14, (1525, 1) = 0.12555171906374585e-12, (1525, 2) = -0.17731291457536835e-14, (1525, 3) = 0.4631129196566929e-14, (1526, 1) = 0.13355923086117738e-12, (1526, 2) = -0.16676170106458842e-14, (1526, 3) = 0.3619873545936161e-14, (1527, 1) = 0.12556661546391867e-12, (1527, 2) = -0.179713104298472e-14, (1527, 3) = 0.35516377246787777e-14, (1528, 1) = 0.13207925420151567e-12, (1528, 2) = -0.16938646314730254e-14, (1528, 3) = 0.43690736668054446e-14, (1529, 1) = 0.1427634755627747e-12, (1529, 2) = -0.15956734878490222e-14, (1529, 3) = 0.33115497101171443e-14, (1530, 1) = 0.14256502545153017e-12, (1530, 2) = -0.16618381575371579e-14, (1530, 3) = 0.3706889277805834e-14, (1531, 1) = 0.1492936426904705e-12, (1531, 2) = -0.16936040430772293e-14, (1531, 3) = 0.3559136050420674e-14, (1532, 1) = 0.14337364415785523e-12, (1532, 2) = -0.17304797425202738e-14, (1532, 3) = 0.26712987028836543e-14, (1533, 1) = 0.14628880084755152e-12, (1533, 2) = -0.16091157337417584e-14, (1533, 3) = 0.465470432520896e-14, (1534, 1) = 0.1449319656259127e-12, (1534, 2) = -0.16639774150582133e-14, (1534, 3) = 0.3671378428313461e-14, (1535, 1) = 0.13519656217716248e-12, (1535, 2) = -0.17399962179462888e-14, (1535, 3) = 0.34801618208121546e-14, (1536, 1) = 0.14756658951344826e-12, (1536, 2) = -0.16145065240073788e-14, (1536, 3) = 0.3569434219640949e-14, (1537, 1) = 0.14896587042783877e-12, (1537, 2) = -0.14609163969055601e-14, (1537, 3) = 0.3024199705667054e-14, (1538, 1) = 0.13446148516935773e-12, (1538, 2) = -0.14923137552136783e-14, (1538, 3) = 0.51726129826578535e-14, (1539, 1) = 0.1345375515031075e-12, (1539, 2) = -0.15292215579020902e-14, (1539, 3) = 0.4440601707640681e-14, (1540, 1) = 0.13242366229281958e-12, (1540, 2) = -0.17219443484707578e-14, (1540, 3) = 0.4835321484934627e-14, (1541, 1) = 0.145113814072535e-12, (1541, 2) = -0.1493623827405009e-14, (1541, 3) = 0.32857355433518456e-14, (1542, 1) = 0.10383078976590821e-12, (1542, 2) = -0.14871432208426472e-14, (1542, 3) = 0.3719882607664551e-14, (1543, 1) = 0.1602790162739051e-12, (1543, 2) = -0.14347556476892594e-14, (1543, 3) = 0.3939660472073792e-14, (1544, 1) = 0.10281778212929711e-12, (1544, 2) = -0.14970979692589381e-14, (1544, 3) = 0.34145068189425577e-14, (1545, 1) = 0.12868992482567667e-12, (1545, 2) = -0.14531371185009687e-14, (1545, 3) = 0.45514341046856326e-14, (1546, 1) = 0.13821191507774919e-12, (1546, 2) = -0.1620765356826809e-14, (1546, 3) = 0.3886740277312808e-14, (1547, 1) = 0.13652966345238486e-12, (1547, 2) = -0.15664465260743237e-14, (1547, 3) = 0.3782009554615894e-14, (1548, 1) = 0.13054784921101228e-12, (1548, 2) = -0.153401766052055e-14, (1548, 3) = 0.4148845749761728e-14, (1549, 1) = 0.11617042371182956e-12, (1549, 2) = -0.14025430328875113e-14, (1549, 3) = 0.4361064608518765e-14, (1550, 1) = 0.164104018810606e-12, (1550, 2) = -0.15304225979832091e-14, (1550, 3) = 0.45935907178245295e-14, (1551, 1) = 0.11838889270879656e-12, (1551, 2) = -0.14309241390016137e-14, (1551, 3) = 0.4387018579060053e-14, (1552, 1) = 0.11865035443658297e-12, (1552, 2) = -0.14000809896644407e-14, (1552, 3) = 0.3661829933390819e-14, (1553, 1) = 0.142812849737572e-12, (1553, 2) = -0.1358376983451569e-14, (1553, 3) = 0.4147694707121546e-14, (1554, 1) = 0.13866766826420494e-12, (1554, 2) = -0.13344874398981531e-14, (1554, 3) = 0.4227203594634823e-14, (1555, 1) = 0.1375888809695891e-12, (1555, 2) = -0.1484808461285073e-14, (1555, 3) = 0.40457246639972305e-14, (1556, 1) = 0.14390679060586787e-12, (1556, 2) = -0.14982052328430098e-14, (1556, 3) = 0.3429854716262766e-14, (1557, 1) = 0.11980337150885677e-12, (1557, 2) = -0.1454635363482401e-14, (1557, 3) = 0.5055478495979701e-14, (1558, 1) = 0.12333205335741833e-12, (1558, 2) = -0.13772310720181325e-14, (1558, 3) = 0.3431714022668547e-14, (1559, 1) = 0.15577642171883245e-12, (1559, 2) = -0.12987111784805483e-14, (1559, 3) = 0.3880774554500134e-14, (1560, 1) = 0.13230532394327888e-12, (1560, 2) = -0.1331199489758952e-14, (1560, 3) = 0.4074880601646399e-14, (1561, 1) = 0.14081058745596154e-12, (1561, 2) = -0.1380771336480213e-14, (1561, 3) = 0.3439150257492679e-14, (1562, 1) = 0.13363699363366915e-12, (1562, 2) = -0.15670009482181577e-14, (1562, 3) = 0.385616761515366e-14, (1563, 1) = 0.12946285243336868e-12, (1563, 2) = -0.1416261398548647e-14, (1563, 3) = 0.27379752010751686e-14, (1564, 1) = 0.10622314886851295e-12, (1564, 2) = -0.15325310792251892e-14, (1564, 3) = 0.25038602602624615e-14, (1565, 1) = 0.13267747143974964e-12, (1565, 2) = -0.1427385739511825e-14, (1565, 3) = 0.4265673831576765e-14, (1566, 1) = 0.1493328017390753e-12, (1566, 2) = -0.12739834709943773e-14, (1566, 3) = 0.50378952080960126e-14, (1567, 1) = 0.1512882165446986e-12, (1567, 2) = -0.11673229483853615e-14, (1567, 3) = 0.36817898427854515e-14, (1568, 1) = 0.1119358168498055e-12, (1568, 2) = -0.12421632930518142e-14, (1568, 3) = 0.33908598002056388e-14, (1569, 1) = 0.13184203725273458e-12, (1569, 2) = -0.1403082090227557e-14, (1569, 3) = 0.3079668603750523e-14, (1570, 1) = 0.12059707150733868e-12, (1570, 2) = -0.14934296894808932e-14, (1570, 3) = 0.4289687022629531e-14, (1571, 1) = 0.14161270875013703e-12, (1571, 2) = -0.15631831382935463e-14, (1571, 3) = 0.35792890460076254e-14, (1572, 1) = 0.13626485079645617e-12, (1572, 2) = -0.13005963754691917e-14, (1572, 3) = 0.39673156045757135e-14, (1573, 1) = 0.10974179804459538e-12, (1573, 2) = -0.13824857881876933e-14, (1573, 3) = 0.44886950314652096e-14, (1574, 1) = 0.14911988190656634e-12, (1574, 2) = -0.1340928473287114e-14, (1574, 3) = 0.4235491806115628e-14, (1575, 1) = 0.1220505538220535e-12, (1575, 2) = -0.13857910790106477e-14, (1575, 3) = 0.3578709703834286e-14, (1576, 1) = 0.13473193144083707e-12, (1576, 2) = -0.10942261441246529e-14, (1576, 3) = 0.4826147226430033e-14, (1577, 1) = 0.1203869139916641e-12, (1577, 2) = -0.14457063281957529e-14, (1577, 3) = 0.4219560452387082e-14, (1578, 1) = 0.13061081351817676e-12, (1578, 2) = -0.12294922699721936e-14, (1578, 3) = 0.3933995381669313e-14, (1579, 1) = 0.13320676633460057e-12, (1579, 2) = -0.13420793506222746e-14, (1579, 3) = 0.362087342000375e-14, (1580, 1) = 0.1652018628686141e-12, (1580, 2) = -0.1313713451347815e-14, (1580, 3) = 0.4709841463613938e-14, (1581, 1) = 0.12800153966169803e-12, (1581, 2) = -0.14153789819245342e-14, (1581, 3) = 0.29922796492455593e-14, (1582, 1) = 0.12133520035870598e-12, (1582, 2) = -0.14125713424835889e-14, (1582, 3) = 0.51014964012065955e-14, (1583, 1) = 0.14955436067109665e-12, (1583, 2) = -0.122313963301559e-14, (1583, 3) = 0.31552164275964354e-14, (1584, 1) = 0.11945470370783593e-12, (1584, 2) = -0.1099283018596686e-14, (1584, 3) = 0.4358812665340242e-14, (1585, 1) = 0.11640691533479162e-12, (1585, 2) = -0.13068583689536699e-14, (1585, 3) = 0.43015254226975654e-14, (1586, 1) = 0.1180725038617907e-12, (1586, 2) = -0.11558833145424312e-14, (1586, 3) = 0.33320346270380823e-14, (1587, 1) = 0.1369878748922347e-12, (1587, 2) = -0.11194235626999055e-14, (1587, 3) = 0.23054194676536027e-14, (1588, 1) = 0.1474033393027704e-12, (1588, 2) = -0.11829008403052907e-14, (1588, 3) = 0.4268658051551178e-14, (1589, 1) = 0.1362862413797162e-12, (1589, 2) = -0.1268125873829142e-14, (1589, 3) = 0.3959654863515599e-14, (1590, 1) = 0.12149928565516966e-12, (1590, 2) = -0.12244572526526328e-14, (1590, 3) = 0.5110606638516535e-14, (1591, 1) = 0.14006966979734194e-12, (1591, 2) = -0.13170609453127092e-14, (1591, 3) = 0.39976325544623445e-14, (1592, 1) = 0.14347317254394434e-12, (1592, 2) = -0.1227371546512212e-14, (1592, 3) = 0.42652661801670325e-14, (1593, 1) = 0.14510434555224419e-12, (1593, 2) = -0.12079761835205496e-14, (1593, 3) = 0.34720690765364906e-14, (1594, 1) = 0.12824582028338843e-12, (1594, 2) = -0.1246206132830844e-14, (1594, 3) = 0.3471238818175687e-14, (1595, 1) = 0.13637197357665669e-12, (1595, 2) = -0.12701336601751854e-14, (1595, 3) = 0.35177931907810545e-14, (1596, 1) = 0.12546951269401348e-12, (1596, 2) = -0.10699644365994347e-14, (1596, 3) = 0.3546396206538431e-14, (1597, 1) = 0.15620882506198448e-12, (1597, 2) = -0.12203063792297735e-14, (1597, 3) = 0.34295531293358893e-14, (1598, 1) = 0.12184231051062811e-12, (1598, 2) = -0.10367993927631937e-14, (1598, 3) = 0.3470854401787872e-14, (1599, 1) = 0.14772169376777297e-12, (1599, 2) = -0.11011687052289605e-14, (1599, 3) = 0.27509910255452314e-14, (1600, 1) = 0.12430474956599372e-12, (1600, 2) = -0.9321101049342998e-15, (1600, 3) = 0.3816254720496807e-14, (1601, 1) = 0.14963658601510115e-12, (1601, 2) = -0.10200308457447184e-14, (1601, 3) = 0.3732257350450335e-14, (1602, 1) = 0.12151242976366367e-12, (1602, 2) = -0.1011512425617561e-14, (1602, 3) = 0.33337467044589148e-14, (1603, 1) = 0.12615041367806643e-12, (1603, 2) = -0.10941985117062752e-14, (1603, 3) = 0.3728917780072522e-14, (1604, 1) = 0.12772200215691326e-12, (1604, 2) = -0.10296483862924293e-14, (1604, 3) = 0.4187814531029604e-14, (1605, 1) = 0.15510142232661227e-12, (1605, 2) = -0.10563719492812725e-14, (1605, 3) = 0.29450096568872245e-14, (1606, 1) = 0.12883700512231543e-12, (1606, 2) = -0.11340503645257979e-14, (1606, 3) = 0.3224799399273071e-14, (1607, 1) = 0.13883157103950817e-12, (1607, 2) = -0.9279389604882018e-15, (1607, 3) = 0.3719008251524089e-14, (1608, 1) = 0.15742021324221034e-12, (1608, 2) = -0.11106655134081929e-14, (1608, 3) = 0.34425701921484716e-14, (1609, 1) = 0.1161307543422422e-12, (1609, 2) = -0.8933623937484317e-15, (1609, 3) = 0.3926242564388085e-14, (1610, 1) = 0.12117183753687954e-12, (1610, 2) = -0.11709949776459375e-14, (1610, 3) = 0.28223961279999207e-14, (1611, 1) = 0.11309303727775615e-12, (1611, 2) = -0.8566655435607146e-15, (1611, 3) = 0.4254486170040648e-14, (1612, 1) = 0.13172670625574157e-12, (1612, 2) = -0.10543528318511792e-14, (1612, 3) = 0.4021369890155315e-14, (1613, 1) = 0.13953863385519526e-12, (1613, 2) = -0.1082240242713705e-14, (1613, 3) = 0.3713991098070819e-14, (1614, 1) = 0.14347603959539636e-12, (1614, 2) = -0.97847206829547e-15, (1614, 3) = 0.3772343858170855e-14, (1615, 1) = 0.13330080384445572e-12, (1615, 2) = -0.12503022967381022e-14, (1615, 3) = 0.3256185182033688e-14, (1616, 1) = 0.13787641570967925e-12, (1616, 2) = -0.9197702408694437e-15, (1616, 3) = 0.38804059832990725e-14, (1617, 1) = 0.13149566500146684e-12, (1617, 2) = -0.10571061884935867e-14, (1617, 3) = 0.4080392389665263e-14, (1618, 1) = 0.12840053877180018e-12, (1618, 2) = -0.9793060235007867e-15, (1618, 3) = 0.4041362622816453e-14, (1619, 1) = 0.13298510942928088e-12, (1619, 2) = -0.7550428991246617e-15, (1619, 3) = 0.4239261490972167e-14, (1620, 1) = 0.13670610782487356e-12, (1620, 2) = -0.930273575668064e-15, (1620, 3) = 0.4462567392978045e-14, (1621, 1) = 0.13215200378833056e-12, (1621, 2) = -0.9722128511805557e-15, (1621, 3) = 0.32876300516601287e-14, (1622, 1) = 0.12626998050859173e-12, (1622, 2) = -0.9938626981383812e-15, (1622, 3) = 0.35112943248922214e-14, (1623, 1) = 0.15884960148959034e-12, (1623, 2) = -0.11088071235331326e-14, (1623, 3) = 0.33409880021056128e-14, (1624, 1) = 0.15783000060699913e-12, (1624, 2) = -0.10486264720851979e-14, (1624, 3) = 0.2390190291125677e-14, (1625, 1) = 0.13208404281346003e-12, (1625, 2) = -0.1050389348225081e-14, (1625, 3) = 0.4156985554669341e-14, (1626, 1) = 0.14311892969054083e-12, (1626, 2) = -0.11013678874585534e-14, (1626, 3) = 0.37040417303797756e-14, (1627, 1) = 0.1070359796377345e-12, (1627, 2) = -0.9711830959350668e-15, (1627, 3) = 0.31920392060596112e-14, (1628, 1) = 0.15926562679220106e-12, (1628, 2) = -0.10185018484901251e-14, (1628, 3) = 0.29144569998419898e-14, (1629, 1) = 0.13208484583156745e-12, (1629, 2) = -0.969694037245299e-15, (1629, 3) = 0.4153159847389187e-14, (1630, 1) = 0.1289289253869112e-12, (1630, 2) = -0.8519592176707829e-15, (1630, 3) = 0.27959989915716206e-14, (1631, 1) = 0.11873237787202682e-12, (1631, 2) = -0.9453892553278296e-15, (1631, 3) = 0.4671095113839738e-14, (1632, 1) = 0.12026925893565055e-12, (1632, 2) = -0.8517643023243973e-15, (1632, 3) = 0.57546297421458005e-14, (1633, 1) = 0.1252378478553148e-12, (1633, 2) = -0.9551301139114644e-15, (1633, 3) = 0.4164368703962634e-14, (1634, 1) = 0.1141900579350306e-12, (1634, 2) = -0.8840816764316545e-15, (1634, 3) = 0.4377670385810303e-14, (1635, 1) = 0.11512050360940427e-12, (1635, 2) = -0.10167086531444439e-14, (1635, 3) = 0.30696241844297924e-14, (1636, 1) = 0.11782305256204914e-12, (1636, 2) = -0.8566841046773339e-15, (1636, 3) = 0.4551137150628685e-14, (1637, 1) = 0.1312025207986587e-12, (1637, 2) = -0.10241319953136807e-14, (1637, 3) = 0.32924714813900894e-14, (1638, 1) = 0.1303991837185299e-12, (1638, 2) = -0.9439843284915173e-15, (1638, 3) = 0.33834533623473006e-14, (1639, 1) = 0.12432857214276438e-12, (1639, 2) = -0.1045530683843474e-14, (1639, 3) = 0.3960964678051564e-14, (1640, 1) = 0.1610078210904205e-12, (1640, 2) = -0.8551056982083626e-15, (1640, 3) = 0.33414280821727816e-14, (1641, 1) = 0.15369052821877486e-12, (1641, 2) = -0.967594832347472e-15, (1641, 3) = 0.35353508235815023e-14, (1642, 1) = 0.1568623577136731e-12, (1642, 2) = -0.8309241181779989e-15, (1642, 3) = 0.3166905461126154e-14, (1643, 1) = 0.12009457434028785e-12, (1643, 2) = -0.6292722081085643e-15, (1643, 3) = 0.4080481119959011e-14, (1644, 1) = 0.1344001933693164e-12, (1644, 2) = -0.7867172862008176e-15, (1644, 3) = 0.35893286032552706e-14, (1645, 1) = 0.13472880165175848e-12, (1645, 2) = -0.8463830570792436e-15, (1645, 3) = 0.31424267434177516e-14, (1646, 1) = 0.12830098348567162e-12, (1646, 2) = -0.7445383162746227e-15, (1646, 3) = 0.28403163700748107e-14, (1647, 1) = 0.14484898399383562e-12, (1647, 2) = -0.7276676519062737e-15, (1647, 3) = 0.4184614329127787e-14, (1648, 1) = 0.13871760946374816e-12, (1648, 2) = -0.7074766216749081e-15, (1648, 3) = 0.3751380692070564e-14, (1649, 1) = 0.10867977922545428e-12, (1649, 2) = -0.7486194799616876e-15, (1649, 3) = 0.4894746683943179e-14, (1650, 1) = 0.14015925201474358e-12, (1650, 2) = -0.6996055253544773e-15, (1650, 3) = 0.3876473477733318e-14, (1651, 1) = 0.1110032411232837e-12, (1651, 2) = -0.9144323105105172e-15, (1651, 3) = 0.3875364395626164e-14, (1652, 1) = 0.15836903026246265e-12, (1652, 2) = -0.7367006935729115e-15, (1652, 3) = 0.4597212968929839e-14, (1653, 1) = 0.1182075463967043e-12, (1653, 2) = -0.7317890098172717e-15, (1653, 3) = 0.4704708679990688e-14, (1654, 1) = 0.1597350776778801e-12, (1654, 2) = -0.7674746614014865e-15, (1654, 3) = 0.3128764185400965e-14, (1655, 1) = 0.13240320945694122e-12, (1655, 2) = -0.7534399342596382e-15, (1655, 3) = 0.34799574122307814e-14, (1656, 1) = 0.1207775589703614e-12, (1656, 2) = -0.7370366046587295e-15, (1656, 3) = 0.31880034917180183e-14, (1657, 1) = 0.15009012161115452e-12, (1657, 2) = -0.8329960726913444e-15, (1657, 3) = 0.4069484928507548e-14, (1658, 1) = 0.13727917338425368e-12, (1658, 2) = -0.6837662436500545e-15, (1658, 3) = 0.3861871184001185e-14, (1659, 1) = 0.12671967042291132e-12, (1659, 2) = -0.7110007655320712e-15, (1659, 3) = 0.32494748033147563e-14, (1660, 1) = 0.1137945293651783e-12, (1660, 2) = -0.6508206940174907e-15, (1660, 3) = 0.4723053122255494e-14, (1661, 1) = 0.12460459974866722e-12, (1661, 2) = -0.7012116068859828e-15, (1661, 3) = 0.3754042319419197e-14, (1662, 1) = 0.1224950278085817e-12, (1662, 2) = -0.8129023718891035e-15, (1662, 3) = 0.4997453965352889e-14, (1663, 1) = 0.13379750784926823e-12, (1663, 2) = -0.7498564669662572e-15, (1663, 3) = 0.30449143204638723e-14, (1664, 1) = 0.1309002627653291e-12, (1664, 2) = -0.6412671260924385e-15, (1664, 3) = 0.3518905471275328e-14, (1665, 1) = 0.14548258808368395e-12, (1665, 2) = -0.7231611002986747e-15, (1665, 3) = 0.5193939137070188e-14, (1666, 1) = 0.12095245936772247e-12, (1666, 2) = -0.6878555266736659e-15, (1666, 3) = 0.29610053900982037e-14, (1667, 1) = 0.13172222478159288e-12, (1667, 2) = -0.6619386279176271e-15, (1667, 3) = 0.31977030486489847e-14, (1668, 1) = 0.13753763352542256e-12, (1668, 2) = -0.7621505138564887e-15, (1668, 3) = 0.3748431047969672e-14, (1669, 1) = 0.13097639724410146e-12, (1669, 2) = -0.6924717159267666e-15, (1669, 3) = 0.3940832293986253e-14, (1670, 1) = 0.13361772661125354e-12, (1670, 2) = -0.7304036477554423e-15, (1670, 3) = 0.3465932592826427e-14, (1671, 1) = 0.15355089580772108e-12, (1671, 2) = -0.6303796720812946e-15, (1671, 3) = 0.3893416355490827e-14, (1672, 1) = 0.12233569200945374e-12, (1672, 2) = -0.6451727111114167e-15, (1672, 3) = 0.3163223428867432e-14, (1673, 1) = 0.13524368618209552e-12, (1673, 2) = -0.6517993002459873e-15, (1673, 3) = 0.34347110193807055e-14, (1674, 1) = 0.12835613785456807e-12, (1674, 2) = -0.605696332939122e-15, (1674, 3) = 0.3668600329520827e-14, (1675, 1) = 0.14715828455716734e-12, (1675, 2) = -0.6589554081413664e-15, (1675, 3) = 0.24461366790487372e-14, (1676, 1) = 0.12856821140164355e-12, (1676, 2) = -0.6497627197112146e-15, (1676, 3) = 0.319317947954417e-14, (1677, 1) = 0.1279190616528792e-12, (1677, 2) = -0.5888833045774601e-15, (1677, 3) = 0.4939355195990566e-14, (1678, 1) = 0.13865736440875388e-12, (1678, 2) = -0.5971844409151046e-15, (1678, 3) = 0.26718579316355066e-14, (1679, 1) = 0.12331271744157424e-12, (1679, 2) = -0.6557849268691951e-15, (1679, 3) = 0.3243485494209531e-14, (1680, 1) = 0.11807528278484934e-12, (1680, 2) = -0.6484754762164417e-15, (1680, 3) = 0.4050585462144357e-14, (1681, 1) = 0.148198344359481e-12, (1681, 2) = -0.618740578171982e-15, (1681, 3) = 0.3955669058052592e-14, (1682, 1) = 0.10896648306848871e-12, (1682, 2) = -0.6110904116596493e-15, (1682, 3) = 0.27194864743884527e-14, (1683, 1) = 0.11843646644866639e-12, (1683, 2) = -0.5814464318604367e-15, (1683, 3) = 0.4521686453959155e-14, (1684, 1) = 0.1318218613576084e-12, (1684, 2) = -0.5495487467769214e-15, (1684, 3) = 0.3744697587488362e-14, (1685, 1) = 0.1335581009637671e-12, (1685, 2) = -0.5363303170672506e-15, (1685, 3) = 0.40321287284766715e-14, (1686, 1) = 0.14245110040431047e-12, (1686, 2) = -0.6585566226083638e-15, (1686, 3) = 0.4433030434963767e-14, (1687, 1) = 0.1384147179746258e-12, (1687, 2) = -0.6351142033561654e-15, (1687, 3) = 0.3862875378086498e-14, (1688, 1) = 0.11943816363253975e-12, (1688, 2) = -0.6115541546104822e-15, (1688, 3) = 0.43316674447323814e-14, (1689, 1) = 0.13803876533962726e-12, (1689, 2) = -0.6424714320195074e-15, (1689, 3) = 0.4157661967609525e-14, (1690, 1) = 0.12410249267376772e-12, (1690, 2) = -0.5508961852373224e-15, (1690, 3) = 0.44128604583470615e-14, (1691, 1) = 0.14196296119499122e-12, (1691, 2) = -0.5203373994965702e-15, (1691, 3) = 0.3983925720367042e-14, (1692, 1) = 0.9958983445840469e-13, (1692, 2) = -0.5564198027372913e-15, (1692, 3) = 0.4453086338023618e-14, (1693, 1) = 0.1296614072521583e-12, (1693, 2) = -0.57940596598218815e-15, (1693, 3) = 0.43737691785795094e-14, (1694, 1) = 0.13196246020390498e-12, (1694, 2) = -0.5392051163872674e-15, (1694, 3) = 0.3701321218611432e-14, (1695, 1) = 0.10982992752126129e-12, (1695, 2) = -0.5625838525630595e-15, (1695, 3) = 0.37411061983280184e-14, (1696, 1) = 0.15148209480616265e-12, (1696, 2) = -0.4612696294882481e-15, (1696, 3) = 0.3630831102610036e-14, (1697, 1) = 0.1347980533967352e-12, (1697, 2) = -0.4483451855706367e-15, (1697, 3) = 0.4596405027292745e-14, (1698, 1) = 0.14237507717936677e-12, (1698, 2) = -0.5183396734855684e-15, (1698, 3) = 0.4344587799755588e-14, (1699, 1) = 0.1286004946524494e-12, (1699, 2) = -0.5012643006075068e-15, (1699, 3) = 0.45568786418968084e-14, (1700, 1) = 0.13419655919316328e-12, (1700, 2) = -0.4699848839100317e-15, (1700, 3) = 0.3712587038272267e-14, (1701, 1) = 0.1199660486566376e-12, (1701, 2) = -0.4337969224458183e-15, (1701, 3) = 0.3573996386515454e-14, (1702, 1) = 0.14746925590143592e-12, (1702, 2) = -0.5582126514795382e-15, (1702, 3) = 0.45010711591184844e-14, (1703, 1) = 0.12663355928051236e-12, (1703, 2) = -0.4615180881805217e-15, (1703, 3) = 0.3649659252610763e-14, (1704, 1) = 0.13639275611161132e-12, (1704, 2) = -0.4950480118354728e-15, (1704, 3) = 0.33673184534010266e-14, (1705, 1) = 0.12187110721197616e-12, (1705, 2) = -0.434704997880283e-15, (1705, 3) = 0.3595191101523717e-14, (1706, 1) = 0.12319545202048658e-12, (1706, 2) = -0.4686227840738495e-15, (1706, 3) = 0.3728093090666616e-14, (1707, 1) = 0.12540719754408243e-12, (1707, 2) = -0.509265797838455e-15, (1707, 3) = 0.3056974218453682e-14, (1708, 1) = 0.14671684488818757e-12, (1708, 2) = -0.3615301781871573e-15, (1708, 3) = 0.4096177368415094e-14, (1709, 1) = 0.12771646566528226e-12, (1709, 2) = -0.450238993493937e-15, (1709, 3) = 0.32898467490731466e-14, (1710, 1) = 0.13921888993944804e-12, (1710, 2) = -0.4498788499055066e-15, (1710, 3) = 0.4470122915347106e-14, (1711, 1) = 0.15021171210580888e-12, (1711, 2) = -0.4579167761667861e-15, (1711, 3) = 0.4309114627480545e-14, (1712, 1) = 0.1350302304567684e-12, (1712, 2) = -0.4302034332797474e-15, (1712, 3) = 0.3818638850394466e-14, (1713, 1) = 0.11443817106526242e-12, (1713, 2) = -0.4723930327669381e-15, (1713, 3) = 0.3819984482687756e-14, (1714, 1) = 0.11198304885993874e-12, (1714, 2) = -0.37820286385178706e-15, (1714, 3) = 0.3284076966886945e-14, (1715, 1) = 0.13831796844196892e-12, (1715, 2) = -0.3887808836947373e-15, (1715, 3) = 0.33412818538559582e-14, (1716, 1) = 0.12696025159723653e-12, (1716, 2) = -0.3750186232827948e-15, (1716, 3) = 0.3990519488381547e-14, (1717, 1) = 0.1150114003799894e-12, (1717, 2) = -0.4634945708295025e-15, (1717, 3) = 0.3741645364191253e-14, (1718, 1) = 0.15244627164050378e-12, (1718, 2) = -0.365556851230953e-15, (1718, 3) = 0.466983306197917e-14, (1719, 1) = 0.1289495246250802e-12, (1719, 2) = -0.3842621477808991e-15, (1719, 3) = 0.357927535999649e-14, (1720, 1) = 0.1389772298050197e-12, (1720, 2) = -0.36229660232419235e-15, (1720, 3) = 0.2263216167418908e-14, (1721, 1) = 0.9693575414100671e-13, (1721, 2) = -0.3746165082194637e-15, (1721, 3) = 0.4065919084687933e-14, (1722, 1) = 0.12458768185866756e-12, (1722, 2) = -0.37377485283204706e-15, (1722, 3) = 0.2869784814288981e-14, (1723, 1) = 0.13522917151673315e-12, (1723, 2) = -0.3586270568571398e-15, (1723, 3) = 0.42431807582456305e-14, (1724, 1) = 0.11976405288658198e-12, (1724, 2) = -0.357244591194106e-15, (1724, 3) = 0.3430401358180003e-14, (1725, 1) = 0.127120855747682e-12, (1725, 2) = -0.3709834302911045e-15, (1725, 3) = 0.3925550949993924e-14, (1726, 1) = 0.13076597167267064e-12, (1726, 2) = -0.305677690675496e-15, (1726, 3) = 0.3478958300023766e-14, (1727, 1) = 0.15963738340843677e-12, (1727, 2) = -0.34463993666469745e-15, (1727, 3) = 0.3534618385765216e-14, (1728, 1) = 0.1208358889597638e-12, (1728, 2) = -0.3311722049907221e-15, (1728, 3) = 0.3910904979800436e-14, (1729, 1) = 0.12427592731668048e-12, (1729, 2) = -0.3467347871917627e-15, (1729, 3) = 0.48377703635990316e-14, (1730, 1) = 0.1434666312688828e-12, (1730, 2) = -0.2714364870169833e-15, (1730, 3) = 0.3602065749673631e-14, (1731, 1) = 0.11365232744862672e-12, (1731, 2) = -0.3452060223638192e-15, (1731, 3) = 0.4327487377047081e-14, (1732, 1) = 0.1593795146502421e-12, (1732, 2) = -0.3390826842474101e-15, (1732, 3) = 0.4274404373011351e-14, (1733, 1) = 0.14024247620093077e-12, (1733, 2) = -0.3191630135431764e-15, (1733, 3) = 0.4236627654082261e-14, (1734, 1) = 0.12817492264202575e-12, (1734, 2) = -0.27752837308109056e-15, (1734, 3) = 0.3098742832702244e-14, (1735, 1) = 0.12564489963808547e-12, (1735, 2) = -0.3304639765231118e-15, (1735, 3) = 0.4213891287021953e-14, (1736, 1) = 0.1343156287999231e-12, (1736, 2) = -0.28333591669619046e-15, (1736, 3) = 0.33634074653104862e-14, (1737, 1) = 0.11048960154018308e-12, (1737, 2) = -0.27304267859505377e-15, (1737, 3) = 0.3732320251255386e-14, (1738, 1) = 0.13766472814966756e-12, (1738, 2) = -0.25537087674586015e-15, (1738, 3) = 0.3889589742431673e-14, (1739, 1) = 0.12833210311008093e-12, (1739, 2) = -0.2752773685196471e-15, (1739, 3) = 0.3293616115512817e-14, (1740, 1) = 0.13977201117600003e-12, (1740, 2) = -0.33550996006457444e-15, (1740, 3) = 0.30452108838620822e-14, (1741, 1) = 0.1162504278602941e-12, (1741, 2) = -0.25764216074117534e-15, (1741, 3) = 0.49913310577743934e-14, (1742, 1) = 0.1131536859770769e-12, (1742, 2) = -0.2655677439848054e-15, (1742, 3) = 0.3633532681276713e-14, (1743, 1) = 0.1185592446377259e-12, (1743, 2) = -0.27714395896223615e-15, (1743, 3) = 0.3807209707887314e-14, (1744, 1) = 0.1349883982858533e-12, (1744, 2) = -0.27615385160633923e-15, (1744, 3) = 0.33706210719015426e-14, (1745, 1) = 0.1187543237747243e-12, (1745, 2) = -0.24180900056564296e-15, (1745, 3) = 0.3741281026518156e-14, (1746, 1) = 0.14153854105333232e-12, (1746, 2) = -0.2495626466052232e-15, (1746, 3) = 0.26976628015027126e-14, (1747, 1) = 0.11497407609738412e-12, (1747, 2) = -0.1711707224080458e-15, (1747, 3) = 0.5384239781143227e-14, (1748, 1) = 0.12619020549379221e-12, (1748, 2) = -0.21586288087552454e-15, (1748, 3) = 0.28029073131294713e-14, (1749, 1) = 0.15237007800317648e-12, (1749, 2) = -0.24305112965548504e-15, (1749, 3) = 0.52213513461905505e-14, (1750, 1) = 0.13154191428287854e-12, (1750, 2) = -0.2231714364452298e-15, (1750, 3) = 0.3757278195876073e-14, (1751, 1) = 0.16184641299045218e-12, (1751, 2) = -0.20975492610583257e-15, (1751, 3) = 0.4441861854334069e-14, (1752, 1) = 0.14477388380258508e-12, (1752, 2) = -0.19083724733018126e-15, (1752, 3) = 0.3480322576590523e-14, (1753, 1) = 0.12949428617926982e-12, (1753, 2) = -0.19381964992408528e-15, (1753, 3) = 0.4171838341753566e-14, (1754, 1) = 0.11848627598819952e-12, (1754, 2) = -0.20171945750135075e-15, (1754, 3) = 0.30991045379901597e-14, (1755, 1) = 0.13081863732488132e-12, (1755, 2) = -0.1831639061239458e-15, (1755, 3) = 0.3921014094991923e-14, (1756, 1) = 0.14534803797984168e-12, (1756, 2) = -0.17771742934266075e-15, (1756, 3) = 0.4135769805692614e-14, (1757, 1) = 0.14289968954612505e-12, (1757, 2) = -0.18033095541900738e-15, (1757, 3) = 0.29708208685656192e-14, (1758, 1) = 0.13155213743752853e-12, (1758, 2) = -0.17588121164374598e-15, (1758, 3) = 0.53962255639192674e-14, (1759, 1) = 0.13380656731539849e-12, (1759, 2) = -0.1724066279884594e-15, (1759, 3) = 0.28179182151231275e-14, (1760, 1) = 0.13520859117530778e-12, (1760, 2) = -0.1600065460808296e-15, (1760, 3) = 0.4335541205341043e-14, (1761, 1) = 0.1472692266344695e-12, (1761, 2) = -0.15790543887364975e-15, (1761, 3) = 0.3341626979303551e-14, (1762, 1) = 0.11622293405096483e-12, (1762, 2) = -0.15282919884599481e-15, (1762, 3) = 0.299396711930093e-14, (1763, 1) = 0.12385131585803272e-12, (1763, 2) = -0.1406636149401565e-15, (1763, 3) = 0.3911043719886811e-14, (1764, 1) = 0.14645799049666083e-12, (1764, 2) = -0.13719785466540606e-15, (1764, 3) = 0.3809817706459171e-14, (1765, 1) = 0.14465740409629265e-12, (1765, 2) = -0.11932205861291398e-15, (1765, 3) = 0.3659424338413532e-14, (1766, 1) = 0.1301915104442326e-12, (1766, 2) = -0.11127185443880055e-15, (1766, 3) = 0.3339744605676067e-14, (1767, 1) = 0.12944503324524156e-12, (1767, 2) = -0.10911657331317465e-15, (1767, 3) = 0.3354117106964522e-14, (1768, 1) = 0.11846953081094295e-12, (1768, 2) = -0.9974466454218617e-16, (1768, 3) = 0.3872557042539242e-14, (1769, 1) = 0.1582405237428053e-12, (1769, 2) = -0.11338644670235392e-15, (1769, 3) = 0.4808065433493688e-14, (1770, 1) = 0.1612277748516762e-12, (1770, 2) = -0.10692170237410969e-15, (1770, 3) = 0.31947085263075737e-14, (1771, 1) = 0.13641062105012314e-12, (1771, 2) = -0.9167833602952252e-16, (1771, 3) = 0.3973819918092991e-14, (1772, 1) = 0.1382746100180153e-12, (1772, 2) = -0.9530992526728067e-16, (1772, 3) = 0.4360676970483607e-14, (1773, 1) = 0.1212284362406138e-12, (1773, 2) = -0.9145455117636647e-16, (1773, 3) = 0.27513247139917646e-14, (1774, 1) = 0.1442685167054747e-12, (1774, 2) = -0.8641837880415406e-16, (1774, 3) = 0.34715158877205233e-14, (1775, 1) = 0.1263651855401713e-12, (1775, 2) = -0.8194155797854313e-16, (1775, 3) = 0.3641405411235834e-14, (1776, 1) = 0.12736250506547368e-12, (1776, 2) = -0.7320472614489265e-16, (1776, 3) = 0.34829812948192923e-14, (1777, 1) = 0.1435545401900319e-12, (1777, 2) = -0.7428220173303591e-16, (1777, 3) = 0.3306981502262829e-14, (1778, 1) = 0.12203386564774835e-12, (1778, 2) = -0.6539531375270791e-16, (1778, 3) = 0.4302537347325511e-14, (1779, 1) = 0.14459272546400756e-12, (1779, 2) = -0.6477905432928703e-16, (1779, 3) = 0.3623837997891108e-14, (1780, 1) = 0.11468985702108534e-12, (1780, 2) = -0.46542236479102295e-16, (1780, 3) = 0.3366647313182018e-14, (1781, 1) = 0.1614039644263468e-12, (1781, 2) = -0.4231374704681557e-16, (1781, 3) = 0.32775156391767436e-14, (1782, 1) = 0.1280233511934228e-12, (1782, 2) = -0.4493646484585226e-16, (1782, 3) = 0.34305832701726233e-14, (1783, 1) = 0.11657223796300797e-12, (1783, 2) = -0.3893278092629942e-16, (1783, 3) = 0.27727021928857588e-14, (1784, 1) = 0.154030678343621e-12, (1784, 2) = -0.33185318572151705e-16, (1784, 3) = 0.3320515405171303e-14, (1785, 1) = 0.13656271052157954e-12, (1785, 2) = -0.3047796673450342e-16, (1785, 3) = 0.3247328684803938e-14, (1786, 1) = 0.12965460556425666e-12, (1786, 2) = -0.17225664713047112e-16, (1786, 3) = 0.3831269754566773e-14, (1787, 1) = 0.12143697786424263e-12, (1787, 2) = -0.1867319643745792e-16, (1787, 3) = 0.3501416708683609e-14, (1788, 1) = 0.14619540670881723e-12, (1788, 2) = -0.13497368710539094e-16, (1788, 3) = 0.27090500059503996e-14, (1789, 1) = 0.11386789412423884e-12, (1789, 2) = -0.1254914370270259e-16, (1789, 3) = 0.364390463643708e-14, (1790, 1) = 0.12623715596534332e-12, (1790, 2) = -0.5025191430563113e-17, (1790, 3) = 0.3912115551034473e-14, (1791, 1) = 0.13852732089744764e-12, (1791, 2) = .0, (1791, 3) = 0.433098497667854e-14}, datatype = float[8], order = C_order); if not type(outpoint, 'numeric') then if outpoint = "start" or outpoint = "left" then return X[1] elif outpoint = "right" then return X[1791] elif outpoint = "order" then return 8 elif outpoint = "error" then return HFloat(9.86969376412382e-7) elif outpoint = "errorproc" then error "this is already the error procedure" elif outpoint = "rawdata" then return [3, 1791, [f(x), diff(f(x), x), diff(diff(f(x), x), x)], X, Y] else return ('procname')(x_bvp) end if end if; if outpoint < X[1] or X[1791] < outpoint then error "solution is only defined in the range %1..%2", X[1], X[1791] end if; V := array([1 = 4, 2 = 0]); if Digits <= trunc(evalhf(Digits)) then L := Vector(4, 'datatype' = 'float'[8]); yout := Vector(3, 'datatype' = 'float'[8]); evalhf(`dsolve/numeric/lagrange`(1791, 3, X, Y, outpoint, var(yout), var(L), var(V))) else L := Vector(4, 'datatype' = 'sfloat'); yout := Vector(3, 'datatype' = 'sfloat'); `dsolve/numeric/lagrange`(1791, 3, X, Y, outpoint, yout, L, V) end if; [x = outpoint, seq('[f(x), diff(f(x), x), diff(diff(f(x), x), x)]'[i] = yout[i], i = 1 .. 3)] end proc; if not type(outpoint, 'numeric') then if outpoint = "start" or outpoint = "left" then return X[1] elif outpoint = "method" then return "bvp" elif outpoint = "right" then return X[1791] elif outpoint = "order" then return 8 elif outpoint = "error" then return HFloat(9.86969376412382e-7) elif outpoint = "errorproc" then return eval(errproc) elif outpoint = "rawdata" then return [3, 1791, "depnames", X, Y, YP] else error "non-numeric value" end if end if; if outpoint < X[1] or X[1791] < outpoint then error "solution is only defined in the range %1..%2", X[1], X[1791] end if; if Digits <= trunc(evalhf(Digits)) and (_EnvInFsolve <> true or _EnvDSNumericSaveDigits <= trunc(evalhf(Digits))) then V := array( 1 .. 6, [( 1 ) = (7), ( 2 ) = (0), ( 3 ) = (false), ( 4 ) = (false), ( 5 ) = (false), ( 6 ) = (false)  ] ); L := Matrix(7, 2, {(1, 1) = .0, (1, 2) = .0, (2, 1) = .0, (2, 2) = .0, (3, 1) = .0, (3, 2) = .0, (4, 1) = .0, (4, 2) = .0, (5, 1) = .0, (5, 2) = .0, (6, 1) = .0, (6, 2) = .0, (7, 1) = .0, (7, 2) = .0}, datatype = float[8], order = C_order); yout := Vector(3, {(1) = .0, (2) = .0, (3) = .0}, datatype = float[8]); evalhf(`dsolve/numeric/hermite`(1791, 3, X, Y, YP, outpoint, var(yout), var(L), var(V))) else if _EnvInFsolve = true then Digits := _EnvDSNumericSaveDigits end if; V := array( 1 .. 6, [( 1 ) = (7), ( 2 ) = (0), ( 3 ) = (false), ( 4 ) = (false), ( 5 ) = (false), ( 6 ) = (false)  ] ); L := Matrix(7, 2, {(1, 1) = 0., (1, 2) = 0., (2, 1) = 0., (2, 2) = 0., (3, 1) = 0., (3, 2) = 0., (4, 1) = 0., (4, 2) = 0., (5, 1) = 0., (5, 2) = 0., (6, 1) = 0., (6, 2) = 0., (7, 1) = 0., (7, 2) = 0.}, order = C_order); yout := Vector(3, {(1) = 0., (2) = 0., (3) = 0.}); `dsolve/numeric/hermite`(1791, 3, X, Y, YP, outpoint, yout, L, V) end if; [outpoint, seq(yout[i], i = 1 .. 3)] end proc, (2) = Array(0..0, {}), (3) = [x, f(x), diff(f(x), x), diff(diff(f(x), x), x)], (4) = 0}); solnproc := data[1]; if not type(outpoint, 'numeric') then if outpoint = "solnprocedure" then return eval(solnproc) elif member(outpoint, ["start", "left", "right", "errorproc", "rawdata", "order", "error"]) then return solnproc(x_bvp) elif outpoint = "sysvars" then return data[3] elif procname <> unknown then return ('procname')(x_bvp) else _ndsol := pointto(data[2][0]); return ('_ndsol')(x_bvp) end if end if; try res := solnproc(outpoint); [x = res[1], seq('[f(x), diff(f(x), x), diff(diff(f(x), x), x)]'[i] = res[i+1], i = 1 .. 3)] catch: error  end try end proc

(9)

p2 := odeplot(c2, [x, diff(f(x), x)], 0 .. 8, colour = green, legend="c2"):

display(p1, p2)

 

# A method to get the coefficient of diff(f(x), x$3) and apply it the continuation term.
#
# Example

ini_ode := lhs(eval(b1, theta = 1));
s, r := selectremove(has, [op(ini_ode)], diff(f(x), x$3));

c3 := eval(s, diff(f(x), x$3)=1)[];

new_ode := {eval(s[], c3 = (10*(1-lambda) + c3)) + add(r) = 0};

c1 := dsolve(new_ode union b1_bcs, numeric, continuation=lambda, maxmesh=2^13, abserr=1e-4);

 

0.1000290084e-3*(diff(diff(diff(f(x), x), x), x))+(7/4)*f(x)*(diff(diff(f(x), x), x))-(1/2)*(diff(f(x), x))^2+21.00000000-0.4294823481e-4*(diff(f(x), x))

 

[0.1000290084e-3*(diff(diff(diff(f(x), x), x), x))], [(7/4)*f(x)*(diff(diff(f(x), x), x)), -(1/2)*(diff(f(x), x))^2, 21.00000000, -0.4294823481e-4*(diff(f(x), x))]

 

0.1000290084e-3

 

{(diff(diff(diff(f(x), x), x), x))*(10.00010003-10*lambda)+21.00000000+(7/4)*f(x)*(diff(diff(f(x), x), x))-(1/2)*(diff(f(x), x))^2-0.4294823481e-4*(diff(f(x), x)) = 0}

 

proc (x_bvp) local res, data, solnproc, _ndsol, outpoint, i; option `Copyright (c) 2000 by Waterloo Maple Inc. All rights reserved.`; _EnvDSNumericSaveDigits := Digits; Digits := 15; if _EnvInFsolve = true then outpoint := evalf[_EnvDSNumericSaveDigits](x_bvp) else outpoint := evalf(x_bvp) end if; data := Array(1..4, {(1) = proc (outpoint) local X, Y, YP, yout, errproc, L, V, i; option `Copyright (c) 2000 by Waterloo Maple Inc. All rights reserved.`; X := Vector(1957, {(1) = .0, (2) = 0.12611067409361687e-2, (3) = 0.252221348410468e-2, (4) = 0.37833202318279476e-2, (5) = 0.5044426986579459e-2, (6) = 0.6305533751061398e-2, (7) = 0.7566640528282259e-2, (8) = 0.882774733423159e-2, (9) = 0.10088854351906654e-1, (10) = 0.1134996147648832e-1, (11) = 0.1261106863000165e-1, (12) = 0.13872175694923246e-1, (13) = 0.15133282634239825e-1, (14) = 0.1639438961857501e-1, (15) = 0.17655496658894432e-1, (16) = 0.1891660376438843e-1, (17) = 0.201777109453215e-1, (18) = 0.21438818213109903e-1, (19) = 0.226999255803993e-1, (20) = 0.23961033061142355e-1, (21) = 0.2522214067063882e-1, (22) = 0.26483248425465494e-1, (23) = 0.27744356343855976e-1, (24) = 0.2900546444567761e-1, (25) = 0.30266572797350823e-1, (26) = 0.31527681581096964e-1, (27) = 0.32788790652269535e-1, (28) = 0.3404990000354026e-1, (29) = 0.3531100966151564e-1, (30) = 0.3657211949287879e-1, (31) = 0.378332295699809e-1, (32) = 0.3909434005519271e-1, (33) = 0.4035545098622824e-1, (34) = 0.4161656240318755e-1, (35) = 0.42877674348625425e-1, (36) = 0.44138786867628975e-1, (37) = 0.4539990000789529e-1, (38) = 0.4666101381980905e-1, (39) = 0.47922128356520176e-1, (40) = 0.4918324367401858e-1, (41) = 0.504443598306827e-1, (42) = 0.51705476983967505e-1, (43) = 0.52966595278259664e-1, (44) = 0.5422771461261201e-1, (45) = 0.5548883505110064e-1, (46) = 0.5674995666822384e-1, (47) = 0.580110795294846e-1, (48) = 0.59272203529788e-1, (49) = 0.60533328864054374e-1, (50) = 0.61794455708944755e-1, (51) = 0.6305558415556746e-1, (52) = 0.6431671429938847e-1, (53) = 0.6557784623998603e-1, (54) = 0.6683898008085187e-1, (55) = 0.68100115929469e-1, (56) = 0.693612538973893e-1, (57) = 0.7062239410947786e-1, (58) = 0.7188353685500615e-1, (59) = 0.7314468216696497e-1, (60) = 0.7440583008586295e-1, (61) = 0.7566698074321118e-1, (62) = 0.7692813427624462e-1, (63) = 0.7818929082693948e-1, (64) = 0.7945045054195449e-1, (65) = 0.807116135427864e-1, (66) = 0.8197277980036363e-1, (67) = 0.832339496347055e-1, (68) = 0.8449512326790203e-1, (69) = 0.8575630087119017e-1, (70) = 0.8701748261988461e-1, (71) = 0.8827866869383584e-1, (72) = 0.895398592796815e-1, (73) = 0.9080105462393903e-1, (74) = 0.9206225506242222e-1, (75) = 0.9332346062914834e-1, (76) = 0.9458467150848042e-1, (77) = 0.9584588791472444e-1, (78) = 0.9710711006795063e-1, (79) = 0.9836833819402642e-1, (80) = 0.9962957252253975e-1, (81) = .1008908132898561, (82) = .10215206073957839, (83) = .10341331506666945, (84) = .10467457636699808, (85) = .10593584508668905, (86) = .10719712152495582, (87) = .10845840595691103, (88) = .1097196986642039, (89) = .11098099993469157, (90) = .11224231016838984, (91) = .11350362971330877, (92) = .11476495872478397, (93) = .11602629751473549, (94) = .11728764640531733, (95) = .1185490057257598, (96) = .119810375812448, (97) = .12107175700900018, (98) = .12233314966634631, (99) = .1235945541414749, (100) = .12485597079617078, (101) = .12611739991624088, (102) = .12737884176983025, (103) = .12864029693125903, (104) = .12990176583465182, (105) = .131163249047175, (106) = .13242474684245334, (107) = .133686259589641, (108) = .13494778771667934, (109) = .1362093316565799, (110) = .1374708918499907, (111) = .13873246874918502, (112) = .13999406281483692, (113) = .14125567451609802, (114) = .14251730433067672, (115) = .14377895274491753, (116) = .1450406202538804, (117) = .1463023073614202, (118) = .14756401458003954, (119) = .1488257422997683, (120) = .150087491092016, (121) = .15134926174291038, (122) = .1526110546441241, (123) = .1538728703457476, (124) = .15513470941495439, (125) = .15639657242834248, (126) = .1576584599720143, (127) = .15892037264165687, (128) = .16018231104143174, (129) = .16144427577948042, (130) = .16270626747919442, (131) = .1639682867749143, (132) = .16523033431095888, (133) = .16649241074170598, (134) = .16775451674736963, (135) = .1690166531646737, (136) = .17027882056507174, (137) = .17154101957942045, (138) = .17280325077052744, (139) = .17406551483095545, (140) = .17532781264192865, (141) = .1765901449417591, (142) = .17785251247846706, (143) = .17911491601093577, (144) = .1803773563089933, (145) = .18163983415349455, (146) = .1829023503364033, (147) = .18416490566085716, (148) = .18542750093461638, (149) = .18669013697766493, (150) = .18795281469338615, (151) = .1892155350368082, (152) = .19047829870775293, (153) = .19174110656368865, (154) = .19300395948783355, (155) = .19426685837035146, (156) = .1955298039447872, (157) = .1967927971942831, (158) = .19805583915297661, (159) = .1993189307604995, (160) = .2005820729718022, (161) = .20184526675417563, (162) = .20310851308733593, (163) = .20437181298069768, (164) = .2056351675972105, (165) = .20689857783808083, (166) = .20816204467418448, (167) = .20942556914591465, (168) = .21068915229764512, (169) = .2119527951965759, (170) = .21321649892425545, (171) = .21448026457541763, (172) = .21574409325806815, (173) = .2170079860764664, (174) = .21827194397964692, (175) = .2195359682427611, (176) = .2208000601033214, (177) = .2220642207305169, (178) = .22332845139338106, (179) = .22459275335689927, (180) = .2258571276893751, (181) = .22712157561639934, (182) = .22838609838280816, (183) = .2296506972476664, (184) = .23091537348435695, (185) = .2321801283806699, (186) = .23344496323871786, (187) = .2347098793634386, (188) = .23597487807863357, (189) = .23723996072992215, (190) = .23850512867777438, (191) = .23977038326094285, (192) = .2410357257126104, (193) = .24230115775888914, (194) = .2435666807477072, (195) = .24483229606052834, (196) = .2460980051470993, (197) = .24736380945843944, (198) = .24862971047269325, (199) = .24989570968738709, (200) = .2511618086158113, (201) = .25242800878711696, (202) = .25369431174641277, (203) = .2549607190548624, (204) = .2562272322897695, (205) = .2574938530448408, (206) = .25876058304180316, (207) = .26002742389796646, (208) = .2612943771289748, (209) = .26256144432932166, (210) = .2638286270302309, (211) = .265095927107769, (212) = .2663633462944918, (213) = .26763088631657456, (214) = .2688985489173046, (215) = .27016633585718075, (216) = .2714342489024619, (217) = .27270228983366535, (218) = .27397046046268897, (219) = .2752387626666449, (220) = .27650719841710164, (221) = .27777576942913185, (222) = .27904447756352185, (223) = .28031332472127635, (224) = .2815823128215197, (225) = .2828514438009443, (226) = .28412071959629515, (227) = .28539014207450314, (228) = .28665971313690386, (229) = .2879294349732195, (230) = .2891993096211578, (231) = .2904693391287817, (232) = .29173952557201455, (233) = .29300987118523625, (234) = .29428037798980655, (235) = .29555104803310817, (236) = .29682188343590865, (237) = .2980928863568396, (238) = .2993640589781272, (239) = .3006354035017192, (240) = .3019069221494054, (241) = .3031786171629271, (242) = .3044504908040907, (243) = .305722545354889, (244) = .3069947831175016, (245) = .30826720626576226, (246) = .30953981719360346, (247) = .3108126184713257, (248) = .3120856123433916, (249) = .3133588012100643, (250) = .31463218749692895, (251) = .3159057736506831, (252) = .3171795621392577, (253) = .3184535554519378, (254) = .3197277560994727, (255) = .32100216659528064, (256) = .32227678947583327, (257) = .32355162731612075, (258) = .3248266827131019, (259) = .32610195831648564, (260) = .32737745690682285, (261) = .32865318101266594, (262) = .3299291332799342, (263) = .33120531624413657, (264) = .3324817327007616, (265) = .33375838548833214, (266) = .33503527737376965, (267) = .33631241115650806, (268) = .3375897896592342, (269) = .33886741572802737, (270) = .34014529223248985, (271) = .341423422074033, (272) = .34270180831424074, (273) = .3439804538147938, (274) = .3452593614604791, (275) = .34653853420930053, (276) = .3478179750700847, (277) = .34909768707996774, (278) = .35037767330072506, (279) = .3516579368189082, (280) = .35293848072858175, (281) = .354219307980101, (282) = .3555004218630613, (283) = .3567818256397334, (284) = .3580635226153957, (285) = .3593455160148289, (286) = .360627808977678, (287) = .36191040479203895, (288) = .363193306773095, (289) = .36447651826230404, (290) = .36576004262755546, (291) = .36704388326332654, (292) = .36832804359084353, (293) = .369612527057955, (294) = .3708973371113733, (295) = .3721824772338594, (296) = .37346795101397967, (297) = .3747537621071182, (298) = .376039913914085, (299) = .3773264098563199, (300) = .3786132537420681, (301) = .37990044928521455, (302) = .3811880001823728, (303) = .382475910155076, (304) = .38376418291972014, (305) = .38505282224842957, (306) = .3863418319520693, (307) = .3876312158707797, (308) = .38892097789986074, (309) = .3902111220787108, (310) = .39150165220977434, (311) = .39279257221271047, (312) = .3940838860767872, (313) = .39537559781024495, (314) = .3966677114235935, (315) = .3979602309934306, (316) = .3992531605653906, (317) = .4005465041353861, (318) = .40184026606371515, (319) = .40313445057870323, (320) = .4044290619227955, (321) = .40572410450363017, (322) = .4070195825562071, (323) = .40831550030984826, (324) = .4096118620966158, (325) = .41090867231356154, (326) = .4122059353908928, (327) = .41350365579200804, (328) = .41480183801371195, (329) = .4161004865864324, (330) = .4173996060744387, (331) = .41869920107694475, (332) = .4199992763457943, (333) = .4212998364945388, (334) = .42260088599548973, (335) = .42390242949230966, (336) = .4252044719395505, (337) = .4265070181520194, (338) = .4278100729716486, (339) = .4291136412762689, (340) = .4304177279798547, (341) = .4317223380327604, (342) = .43302747641512895, (343) = .4343331481946948, (344) = .4356393584640161, (345) = .43694611218877033, (346) = .43825341450084454, (347) = .43956127057290245, (348) = .44086968561575035, (349) = .44217866487859564, (350) = .4434882136493154, (351) = .44479833725459034, (352) = .4461090408968795, (353) = .44742032991954567, (354) = .448732209988207, (355) = .45004468667502473, (356) = .45135776536114214, (357) = .4526714516013852, (358) = .45398575100155253, (359) = .455300669208603, (360) = .45661621191094987, (361) = .4579323848387527, (362) = .4592491937282255, (363) = .4605666443575282, (364) = .46188474258261275, (365) = .4632034943466466, (366) = .4645229057111015, (367) = .4658429825197997, (368) = .4671637307671712, (369) = .468485156334031, (370) = .4698072654552027, (371) = .47113006438022614, (372) = .4724535592648016, (373) = .4737777563419347, (374) = .4751026619101525, (375) = .4764282823141786, (376) = .47775462397209983, (377) = .4790816934605408, (378) = .4804094971372353, (379) = .4817380414974867, (380) = .4830673331222092, (381) = .4843973786289643, (382) = .48572818463616174, (383) = .4870597578613152, (384) = .48839210507950326, (385) = .489725233115598, (386) = .49105914881222135, (387) = .4923938589156937, (388) = .4937293707148183, (389) = .4950656911939908, (390) = .49640282737471847, (391) = .4977407863613247, (392) = .4990795752835293, (393) = .5004192013759158, (394) = .5017596719278579, (395) = .5031009942825266, (396) = .5044431758373147, (397) = .5057862240558085, (398) = .5071301465899432, (399) = .5084749509093326, (400) = .5098206445690437, (401) = .5111672351940115, (402) = .5125147304789032, (403) = .5138631381285425, (404) = .5152124658524208, (405) = .5165627217548439, (406) = .5179139138164558, (407) = .5192660500687628, (408) = .520619138737851, (409) = .5219731878803903, (410) = .523328205624572, (411) = .5246842001679289, (412) = .5260411798159579, (413) = .5273991529550451, (414) = .528758128034316, (415) = .530118113566156, (416) = .5314791181267454, (417) = .5328411503643272, (418) = .5342042191278352, (419) = .535568333111073, (420) = .5369335008994703, (421) = .5382997313177438, (422) = .5396670334940468, (423) = .5410354164659953, (424) = .542404889338734, (425) = .543775461286273, (426) = .5451471415520872, (427) = .5465199394558277, (428) = .5478938645239059, (429) = .549268926144188, (430) = .5506451337242007, (431) = .5520224968049239, (432) = .5534010250577748, (433) = .5547807282285416, (434) = .5561616161375229, (435) = .5575436986801847, (436) = .5589269858120476, (437) = .5603114873762033, (438) = .561697213768329, (439) = .5630841752254755, (440) = .5644723818770011, (441) = .5658618440473392, (442) = .5672525721761802, (443) = .568644576783994, (444) = .570037868472779, (445) = .5714324579268066, (446) = .572828355922584, (447) = .5742255734591796, (448) = .5756241213875486, (449) = .5770240106464738, (450) = .5784252522639554, (451) = .5798278574162898, (452) = .581231837384252, (453) = .5826372034805568, (454) = .5840439669727922, (455) = .5854521396166025, (456) = .5868617330995154, (457) = .5882727593013376, (458) = .589685229971169, (459) = .5910991569222369, (460) = .5925145520904086, (461) = .5939314275792416, (462) = .595349795593525, (463) = .5967696684355408, (464) = .5981910585060156, (465) = .5996139783181326, (466) = .6010384406251165, (467) = .602464458027922, (468) = .603892043266328, (469) = .6053212090344611, (470) = .6067519682507145, (471) = .6081843342211287, (472) = .6096183201705917, (473) = .6110539394295806, (474) = .6124912054575696, (475) = .613930131957031, (476) = .6153707324659986, (477) = .6168130207044134, (478) = .6182570105535743, (479) = .6197027159327081, (480) = .6211501509226823, (481) = .6225993297537327, (482) = .6240502667739444, (483) = .6255029764798514, (484) = .6269574735828177, (485) = .628413772423688, (486) = .6298718879637916, (487) = .6313318352428073, (488) = .6327936293260322, (489) = .6342572853317894, (490) = .6357228185814568, (491) = .6371902445396497, (492) = .6386595788420484, (493) = .6401308373579022, (494) = .6416040357974403, (495) = .6430791901265656, (496) = .6445563164780391, (497) = .6460354311225756, (498) = .6475165504324425, (499) = .6489996908770286, (500) = .6504848691114168, (501) = .6519721019240693, (502) = .6534614063738786, (503) = .6549527995963177, (504) = .6564462988701254, (505) = .6579419216245554, (506) = .6594396854410469, (507) = .6609396080546993, (508) = .6624417074021354, (509) = .6639460015048627, (510) = .6654525084285169, (511) = .6669612465390978, (512) = .668472234367053, (513) = .6699854906074096, (514) = .6715010341216405, (515) = .673018883933066, (516) = .6745390590108507, (517) = .6760615789402452, (518) = .6775864633196618, (519) = .6791137317161112, (520) = .6806434040300106, (521) = .6821755003423066, (522) = .6837100409163962, (523) = .6852470462002591, (524) = .6867865368376921, (525) = .688328533817619, (526) = .6898730580661522, (527) = .6914201306839357, (528) = .6929697729807611, (529) = .694522006548319, (530) = .6960768530977596, (531) = .6976343344764709, (532) = .6991944733065091, (533) = .7007572918756999, (534) = .7023228127786497, (535) = .7038910588567705, (536) = .7054620531668778, (537) = .7070358189357963, (538) = .7086123795809504, (539) = .7101917588973115, (540) = .7117739809414831, (541) = .7133590697145655, (542) = .714947049609525, (543) = .7165379452675614, (544) = .7181317815587477, (545) = .7197285833448573, (546) = .721328376093886, (547) = .722931185617521, (548) = .7245370377649885, (549) = .7261459584941283, (550) = .7277579741726412, (551) = .729373111429995, (552) = .7309913971585825, (553) = .7326128585284616, (554) = .7342375231473551, (555) = .7358654186139303, (556) = .7374965728095968, (557) = .739131013900905, (558) = .7407687704098137, (559) = .7424098710607225, (560) = .7440543448133753, (561) = .7457022215346637, (562) = .7473535307967266, (563) = .7490083025873183, (564) = .7506665672352699, (565) = .7523283553808792, (566) = .7539936979522723, (567) = .7556626262535396, (568) = .7573351719475563, (569) = .7590113667893085, (570) = .7606912430375508, (571) = .7623748332937448, (572) = .7640621704753428, (573) = .7657532875775883, (574) = .7674482186276257, (575) = .7691469976657005, (576) = .7708496588943096, (577) = .772556236978943, (578) = .7742667670212104, (579) = .7759812844999804, (580) = .777699825318686, (581) = .7794224259113668, (582) = .7811491227400539, (583) = .7828799528005852, (584) = .7846149535386272, (585) = .7863541628075918, (586) = .7880976185900676, (587) = .7898453595829297, (588) = .7915974252949081, (589) = .7933538550954801, (590) = .795114688977085, (591) = .7968799673889012, (592) = .7986497312462352, (593) = .8004240221166192, (594) = .8022028817178726, (595) = .8039863522432215, (596) = .8057744764084547, (597) = .8075672974806, (598) = .8093648591118373, (599) = .8111672053794979, (600) = .812974381600286, (601) = .8147864329206979, (602) = .8166034051370209, (603) = .8184253446203109, (604) = .8202522982846338, (605) = .8220843137351672, (606) = .8239214389629238, (607) = .8257637223855393, (608) = .8276112131788197, (609) = .8294639611062096, (610) = .8313220165061233, (611) = .8331854302039179, (612) = .8350542538903757, (613) = .8369285398110552, (614) = .8388083408026233, (615) = .840693710313698, (616) = .8425847025823417, (617) = .8444813725196388, (618) = .8463837753919228, (619) = .8482919673619356, (620) = .8502060052993263, (621) = .8521259467992299, (622) = .854051850384263, (623) = .8559837745858576, (624) = .8579217792055737, (625) = .8598659249875767, (626) = .861816273236678, (627) = .8637728861445918, (628) = .8657358267799026, (629) = .8677051586071878, (630) = .8696809461296326, (631) = .871663254725857, (632) = .8736521508549832, (633) = .8756477014688805, (634) = .8776499744070785, (635) = .8796590382679299, (636) = .8816749626946874, (637) = .8836978188734109, (638) = .8857276786644668, (639) = .8877646144319902, (640) = .8898086997392983, (641) = .8918600091860152, (642) = .8939186186251947, (643) = .8959846045662448, (644) = .8980580445621817, (645) = .9001390173939156, (646) = .9022276027104215, (647) = .9043238812678798, (648) = .90642793581505, (649) = .9085398493529937, (650) = .9106597062452092, (651) = .91278759209166, (652) = .9149235939579059, (653) = .9170677997719477, (654) = .9192202987263707, (655) = .9213811814517402, (656) = .9235505397680545, (657) = .9257284667691787, (658) = .9279150572429801, (659) = .9301104071789709, (660) = .932314613975753, (661) = .9345277767386027, (662) = .9367499955784505, (663) = .9389813721368282, (664) = .9412220098288309, (665) = .9434720137046206, (666) = .9457314901750181, (667) = .9480005466191951, (668) = .9502792932460813, (669) = .9525678415276232, (670) = .9548663048706167, (671) = .9571747978933918, (672) = .9594934370992158, (673) = .9618223412221294, (674) = .9641616307732246, (675) = .966511427730694, (676) = .9688718560465621, (677) = .9712430414762713, (678) = .9736251130191248, (679) = .9760182006302932, (680) = .9784224365485599, (681) = .9808379555340243, (682) = .9832648940586692, (683) = .9857033909462815, (684) = .9881535875848481, (685) = .9906156276457148, (686) = .9930896570589608, (687) = .9955758232975214, (688) = .9980742778188616, (689) = 1.0005851744394576, (690) = 1.003108668844669, (691) = 1.0056449195453354, (692) = 1.008194088199706, (693) = 1.0107563392371248, (694) = 1.01333183957446, (695) = 1.015920759013064, (696) = 1.0185232702338711, (697) = 1.0211395494700761, (698) = 1.0237697758433364, (699) = 1.0264141319761662, (700) = 1.0290728030620218, (701) = 1.0317459777798217, (702) = 1.0344338487470177, (703) = 1.037136612243575, (704) = 1.0398544670628054, (705) = 1.042587615970961, (706) = 1.0453362667916655, (707) = 1.0481006297775455, (708) = 1.050880919483655, (709) = 1.0536773549301603, (710) = 1.0564901585336604, (711) = 1.0593195570740959, (712) = 1.0621657817893573, (713) = 1.0650290691242439, (714) = 1.0679096600184523, (715) = 1.070807799813666, (716) = 1.0737237379177533, (717) = 1.0766577291427584, (718) = 1.079610033769807, (719) = 1.082580916369677, (720) = 1.085570646236085, (721) = 1.0885794999025409, (722) = 1.0916077597503127, (723) = 1.0946557135995814, (724) = 1.0977236547734768, (725) = 1.1008118819536918, (726) = 1.1039207006057723, (727) = 1.1070504228502496, (728) = 1.1102013655882714, (729) = 1.113373855053497, (730) = 1.1165682232551088, (731) = 1.1197848095614078, (732) = 1.1230239616278663, (733) = 1.1262860337077871, (734) = 1.1295713874901159, (735) = 1.1328803924633883, (736) = 1.1362134273014926, (737) = 1.13957087912256, (738) = 1.1429526809301884, (739) = 1.146351225125599, (740) = 1.149761194445626, (741) = 1.153181268260847, (742) = 1.1566115069186653, (743) = 1.1600519710373027, (744) = 1.1635027217185883, (745) = 1.1669638206127884, (746) = 1.1704353299251888, (747) = 1.1739173124227644, (748) = 1.1774098314409451, (749) = 1.1809129508904554, (750) = 1.184426735264351, (751) = 1.1879512497819738, (752) = 1.1914865604607139, (753) = 1.1950327336120334, (754) = 1.1985898361444396, (755) = 1.2021579355855798, (756) = 1.2057371000898696, (757) = 1.209327398446267, (758) = 1.2129289000861665, (759) = 1.2165416750913507, (760) = 1.2201657942023478, (761) = 1.22380132910343, (762) = 1.2274483521406587, (763) = 1.2311069360961553, (764) = 1.2347771544448054, (765) = 1.2384590813631027, (766) = 1.2421527917380437, (767) = 1.2458583611762215, (768) = 1.2495758660130794, (769) = 1.253305383322216, (770) = 1.2570469909498445, (771) = 1.260800767888374, (772) = 1.2645667936445015, (773) = 1.2683451483597852, (774) = 1.2721359129636185, (775) = 1.2759391691836515, (776) = 1.2797549995562436, (777) = 1.2835834874371452, (778) = 1.287424717012392, (779) = 1.2912787733092783, (780) = 1.2951457423088562, (781) = 1.2990257112391563, (782) = 1.3029187678000465, (783) = 1.306825000519121, (784) = 1.3107444988237862, (785) = 1.3146773530535683, (786) = 1.3186236544724845, (787) = 1.322583495281658, (788) = 1.3265569686321916, (789) = 1.3305441686382202, (790) = 1.3345451906356258, (791) = 1.3385601311694078, (792) = 1.3425890873566015, (793) = 1.3466321573228714, (794) = 1.3506894402263099, (795) = 1.35476103627203, (796) = 1.358847046726896, (797) = 1.3629475739345267, (798) = 1.3670627213305648, (799) = 1.371192593462464, (800) = 1.3753372964629296, (801) = 1.3794969374738242, (802) = 1.3836716244844918, (803) = 1.3878614666578233, (804) = 1.3920665743471312, (805) = 1.3962870591135332, (806) = 1.4005230337435934, (807) = 1.404774612267304, (808) = 1.40904190997629, (809) = 1.4133250435031033, (810) = 1.4176241313652878, (811) = 1.4219392929520922, (812) = 1.426270648823522, (813) = 1.4306183208990293, (814) = 1.4349824324779015, (815) = 1.4393631082601077, (816) = 1.4437604743675403, (817) = 1.4481746583657338, (818) = 1.4526057892857267, (819) = 1.457053997848002, (820) = 1.4615194168077768, (821) = 1.4660021798268617, (822) = 1.47050242206523, (823) = 1.4750202802664978, (824) = 1.4795558927827341, (825) = 1.4841093995996755, (826) = 1.4886809423624516, (827) = 1.4932706644020037, (828) = 1.4978787107615803, (829) = 1.5025052286807106, (830) = 1.5071503673691935, (831) = 1.5118142772203798, (832) = 1.516497110450085, (833) = 1.521199021130172, (834) = 1.5259201652189134, (835) = 1.5306607005917725, (836) = 1.535420787072793, (837) = 1.5402005864669406, (838) = 1.545000262613062, (839) = 1.5498199821814014, (840) = 1.55465991356943, (841) = 1.5595202268899848, (842) = 1.5644010944094595, (843) = 1.5693026905839227, (844) = 1.5742251920964927, (845) = 1.5791687778952734, (846) = 1.584133629231994, (847) = 1.589119929701852, (848) = 1.5941278654262654, (849) = 1.5991576258673146, (850) = 1.6042094021592994, (851) = 1.6092833877440702, (852) = 1.6143797786205427, (853) = 1.6194987733894437, (854) = 1.6246405732996454, (855) = 1.6298053822953502, (856) = 1.6349934070641656, (857) = 1.6402048570865033, (858) = 1.6454399451007093, (859) = 1.6506988874695545, (860) = 1.6559819024887261, (861) = 1.661289211397524, (862) = 1.666621038494818, (863) = 1.671977611195165, (864) = 1.6773591600867659, (865) = 1.6827659189906854, (866) = 1.6881981250213913, (867) = 1.693656018648471, (868) = 1.6991398446598325, (869) = 1.7046498514068777, (870) = 1.710186289896821, (871) = 1.7157494147580357, (872) = 1.7213394843106173, (873) = 1.7269567606376166, (874) = 1.7326015096583287, (875) = 1.7382740012033069, (876) = 1.7439745090915395, (877) = 1.7497033112801517, (878) = 1.7554606912715403, (879) = 1.7612469359851675, (880) = 1.7670623361037363, (881) = 1.7729071867160648, (882) = 1.7787817874068212, (883) = 1.7846864423480238, (884) = 1.7906214603929205, (885) = 1.796587155172029, (886) = 1.8025838451926912, (887) = 1.8086118542825629, (888) = 1.8146715128709043, (889) = 1.8207631550953325, (890) = 1.8268871201363366, (891) = 1.8330437525901857, (892) = 1.8392334025845158, (893) = 1.8454564258972619, (894) = 1.8517131840786396, (895) = 1.858004044575701, (896) = 1.8643293808622583, (897) = 1.8706895734856477, (898) = 1.8770850103289585, (899) = 1.8835160839588245, (900) = 1.889983193470814, (901) = 1.8964867446923925, (902) = 1.9030271503341456, (903) = 1.9096048301462807, (904) = 1.9162202110795399, (905) = 1.9228737274492667, (906) = 1.9295658211155453, (907) = 1.9362969435545494, (908) = 1.943067553806978, (909) = 1.9498781175938333, (910) = 1.956729108910844, (911) = 1.9636210102266844, (912) = 1.9705543126844554, (913) = 1.9775295163106428, (914) = 1.9845471302307687, (915) = 1.9916076728894851, (916) = 1.9987116725115937, (917) = 2.0058596698233875, (918) = 2.013052213709676, (919) = 2.0202898624996006, (920) = 2.0275731850678467, (921) = 2.034902761103743, (922) = 2.0422791813850685, (923) = 2.0497030480619562, (924) = 2.0571749749508, (925) = 2.0646955878358395, (926) = 2.0722655256784437, (927) = 2.0798854428262894, (928) = 2.0875560035478373, (929) = 2.0952778850546445, (930) = 2.103051778210528, (931) = 2.1108783879031248, (932) = 2.1187584334239165, (933) = 2.126692648862061, (934) = 2.1346817835124354, (935) = 2.142726602298396, (936) = 2.1508278884903467, (937) = 2.1589864433980024, (938) = 2.167203081955676, (939) = 2.175478636551378, (940) = 2.1838139575658886, (941) = 2.192209913896489, (942) = 2.200667393496569, (943) = 2.209187303935464, (944) = 2.2177705729772317, (945) = 2.226418149267976, (946) = 2.2351310074056845, (947) = 2.243910142511183, (948) = 2.252756569939845, (949) = 2.261671328528324, (950) = 2.27065548131771, (951) = 2.2797101163104836, (952) = 2.2888363472563067, (953) = 2.298035314470298, (954) = 2.3073081856762894, (955) = 2.316656157696414, (956) = 2.3260804627486342, (957) = 2.335582358466814, (958) = 2.345163132200997, (959) = 2.3548241035612856, (960) = 2.3645666255011806, (961) = 2.374392085445935, (962) = 2.3843019064704145, (963) = 2.3942975485331863, (964) = 2.4043805097458124, (965) = 2.4145523304965404, (966) = 2.424814598133215, (967) = 2.4351689351105366, (968) = 2.445617007282089, (969) = 2.45616052605427, (970) = 2.4668012500648784, (971) = 2.47754098692811, (972) = 2.488381595062649, (973) = 2.499324985620466, (974) = 2.5103731244742726, (975) = 2.5215280414159587, (976) = 2.532791827501886, (977) = 2.544166627375325, (978) = 2.555654649582165, (979) = 2.567258169126425, (980) = 2.57897953017305, (981) = 2.590821148866759, (982) = 2.602785516293039, (983) = 2.61487520162125, (984) = 2.627092855880931, (985) = 2.6394412286388045, (986) = 2.651923151767844, (987) = 2.664541543709142, (988) = 2.6772994195077353, (989) = 2.6901998950712542, (990) = 2.7032461917337067, (991) = 2.7164416410497063, (992) = 2.7297896898507648, (993) = 2.743293905631671, (994) = 2.7569579856836675, (995) = 2.7707857787563195, (996) = 2.7847812567457098, (997) = 2.798948533805447, (998) = 2.8132918772015847, (999) = 2.8278157149163996, (1000) = 2.842524643831713, (1001) = 2.8574234384092683, (1002) = 2.872517059916759, (1003) = 2.8878106662578547, (1004) = 2.903309634588218, (1005) = 2.9190195795703486, (1006) = 2.934946322009636, (1007) = 2.95109592528016, (1008) = 2.9674747104214267, (1009) = 2.984089270817855, (1010) = 3.000946488054656, (1011) = 3.0180535489203595, (1012) = 3.0354179637079106, (1013) = 3.053047585733967, (1014) = 3.070950666653916, (1015) = 3.0891358483274356, (1016) = 3.1076121579864058, (1017) = 3.1263890624531356, (1018) = 3.1454764973176124, (1019) = 3.1648848982541593, (1020) = 3.184625235139038, (1021) = 3.2047067922964274, (1022) = 3.22506119857703, (1023) = 3.24551577350801, (1024) = 3.2659703484389895, (1025) = 3.286424923369969, (1026) = 3.306879498300949, (1027) = 3.3273340732319285, (1028) = 3.347788648162908, (1029) = 3.368243223093888, (1030) = 3.3886977980248676, (1031) = 3.4091523729558473, (1032) = 3.429606947886827, (1033) = 3.4500615228178066, (1034) = 3.4705160977487863, (1035) = 3.490970672679766, (1036) = 3.5114252476107457, (1037) = 3.5318798225417254, (1038) = 3.552334397472705, (1039) = 3.5727889724036848, (1040) = 3.5932435473346644, (1041) = 3.613698122265644, (1042) = 3.634152697196624, (1043) = 3.6546072721276035, (1044) = 3.675061847058583, (1045) = 3.695516421989563, (1046) = 3.7159709969205426, (1047) = 3.7364255718515222, (1048) = 3.756880146782502, (1049) = 3.7773347217134816, (1050) = 3.7977892966444613, (1051) = 3.818243871575441, (1052) = 3.8386984465064207, (1053) = 3.8591530214374004, (1054) = 3.87960759636838, (1055) = 3.9000621712993597, (1056) = 3.9205167462303394, (1057) = 3.940971321161319, (1058) = 3.961425896092299, (1059) = 3.9818804710232785, (1060) = 4.002335045954258, (1061) = 4.022789620885237, (1062) = 4.043244195816216, (1063) = 4.063698770747195, (1064) = 4.084153345678175, (1065) = 4.104607920609154, (1066) = 4.125062495540133, (1067) = 4.145517070471112, (1068) = 4.165971645402092, (1069) = 4.186426220333071, (1070) = 4.20688079526405, (1071) = 4.227335370195029, (1072) = 4.247789945126009, (1073) = 4.268244520056988, (1074) = 4.288699094987967, (1075) = 4.309153669918946, (1076) = 4.329608244849926, (1077) = 4.350062819780905, (1078) = 4.370517394711884, (1079) = 4.390971969642863, (1080) = 4.4114265445738425, (1081) = 4.431881119504822, (1082) = 4.452335694435801, (1083) = 4.47279026936678, (1084) = 4.4932448442977595, (1085) = 4.513699419228739, (1086) = 4.534153994159718, (1087) = 4.554608569090697, (1088) = 4.5750631440216765, (1089) = 4.595517718952656, (1090) = 4.615972293883635, (1091) = 4.636426868814614, (1092) = 4.656881443745593, (1093) = 4.677336018676573, (1094) = 4.697790593607552, (1095) = 4.718245168538531, (1096) = 4.73869974346951, (1097) = 4.75915431840049, (1098) = 4.779599945763837, (1099) = 4.799901456250844, (1100) = 4.819905865275028, (1101) = 4.839569436413305, (1102) = 4.858903637752792, (1103) = 4.877919332921822, (1104) = 4.8966268358625875, (1105) = 4.915035968411521, (1106) = 4.933156091085105, (1107) = 4.950996131374472, (1108) = 4.968564609995763, (1109) = 4.985869665271386, (1110) = 5.002919075439649, (1111) = 5.019720286516001, (1112) = 5.03628045357582, (1113) = 5.052606394464678, (1114) = 5.068704636604071, (1115) = 5.084581438735351, (1116) = 5.100242805508283, (1117) = 5.115694500970945, (1118) = 5.130942061214859, (1119) = 5.14599080627073, (1120) = 5.1608458510996975, (1121) = 5.1755121264101795, (1122) = 5.189994388334937, (1123) = 5.204297193705956, (1124) = 5.2184249317222235, (1125) = 5.232381832739384, (1126) = 5.246171975874328, (1127) = 5.259799296093475, (1128) = 5.273267590897954, (1129) = 5.286580526666074, (1130) = 5.299741644616874, (1131) = 5.312754379344769, (1132) = 5.325622047287863, (1133) = 5.338347844325197, (1134) = 5.350934862090099, (1135) = 5.363386092396628, (1136) = 5.3757044315042535, (1137) = 5.387892684129737, (1138) = 5.399953567249112, (1139) = 5.411889713716575, (1140) = 5.423703676598961, (1141) = 5.43539794289569, (1142) = 5.446974915691684, (1143) = 5.458436922492583, (1144) = 5.469786222340324, (1145) = 5.481025008442234, (1146) = 5.492155410706678, (1147) = 5.503179498149715, (1148) = 5.514099281188764, (1149) = 5.5249167138221695, (1150) = 5.535633698018511, (1151) = 5.546252090526589, (1152) = 5.556773688358335, (1153) = 5.567200238798176, (1154) = 5.577533442328313, (1155) = 5.587774954272949, (1156) = 5.59792638638053, (1157) = 5.6079893083360375, (1158) = 5.617965249212904, (1159) = 5.62785569884747, (1160) = 5.637662112912206, (1161) = 5.647385912633534, (1162) = 5.657028477270494, (1163) = 5.666591151776356, (1164) = 5.6760752480340635, (1165) = 5.6854820459281274, (1166) = 5.694812794373559, (1167) = 5.704068712303182, (1168) = 5.7132509896232175, (1169) = 5.722360788177643, (1170) = 5.731399247375848, (1171) = 5.740367478010054, (1172) = 5.749266562096297, (1173) = 5.758097556877604, (1174) = 5.766861495571976, (1175) = 5.775559388094928, (1176) = 5.7841922217526625, (1177) = 5.792760961908116, (1178) = 5.801266552630103, (1179) = 5.809709917809679, (1180) = 5.818091965441857, (1181) = 5.826413580142048, (1182) = 5.834675626371095, (1183) = 5.842878950205562, (1184) = 5.851024379851201, (1185) = 5.859112726143346, (1186) = 5.86714478302817, (1187) = 5.875121328025217, (1188) = 5.883043122679921, (1189) = 5.890910914152032, (1190) = 5.898725436996217, (1191) = 5.906487407362627, (1192) = 5.914197526781967, (1193) = 5.921856482855736, (1194) = 5.929464949618962, (1195) = 5.937023587894995, (1196) = 5.944533045638145, (1197) = 5.951993958263391, (1198) = 5.959406948968633, (1199) = 5.966772630927536, (1200) = 5.974091606114039, (1201) = 5.98136446266348, (1202) = 5.988591777678788, (1203) = 5.995774117516898, (1204) = 6.002912038051496, (1205) = 6.0100060849299375, (1206) = 6.017056793822384, (1207) = 6.024064690662507, (1208) = 6.031030291955222, (1209) = 6.037954107236152, (1210) = 6.044836635601078, (1211) = 6.051678366119732, (1212) = 6.058479779236215, (1213) = 6.0652413469720505, (1214) = 6.071963533120579, (1215) = 6.078646793436689, (1216) = 6.085291575821165, (1217) = 6.0918983205001025, (1218) = 6.098467460538646, (1219) = 6.104999423582587, (1220) = 6.1114946281383675, (1221) = 6.1179534852726105, (1222) = 6.124376399205603, (1223) = 6.130763767463012, (1224) = 6.137115981022318, (1225) = 6.14343342445549, (1226) = 6.149716476067508, (1227) = 6.155965508032449, (1228) = 6.162180887238813, (1229) = 6.1683629757326885, (1230) = 6.174512128031225, (1231) = 6.18062869294174, (1232) = 6.186713013768597, (1233) = 6.192765428428229, (1234) = 6.19878626956109, (1235) = 6.20477586464075, (1236) = 6.210734536079536, (1237) = 6.216662601333261, (1238) = 6.2225603741386655, (1239) = 6.228428163361127, (1240) = 6.234266272077085, (1241) = 6.240074998798581, (1242) = 6.245854637564159, (1243) = 6.251605478027394, (1244) = 6.257327805543525, (1245) = 6.263021901254106, (1246) = 6.268688042168734, (1247) = 6.274326501322674, (1248) = 6.279937549047608, (1249) = 6.285521450861425, (1250) = 6.291078467949223, (1251) = 6.296608857750708, (1252) = 6.302112874031623, (1253) = 6.307590766952877, (1254) = 6.313042783138349, (1255) = 6.318469165741376, (1256) = 6.32387015450889, (1257) = 6.329245986100661, (1258) = 6.334596894876298, (1259) = 6.3399231108408785, (1260) = 6.345224860666, (1261) = 6.350502367921233, (1262) = 6.355755853130734, (1263) = 6.360985533827964, (1264) = 6.366191624609341, (1265) = 6.371374337186983, (1266) = 6.376533880439764, (1267) = 6.381670460959367, (1268) = 6.386784283032106, (1269) = 6.3918755472994775, (1270) = 6.396944451742154, (1271) = 6.401991191749827, (1272) = 6.407015960166426, (1273) = 6.412018947333939, (1274) = 6.417000341135335, (1275) = 6.421960327036749, (1276) = 6.426899088133873, (1277) = 6.431816805934923, (1278) = 6.436713659400172, (1279) = 6.441589824681606, (1280) = 6.446445475713707, (1281) = 6.4512807842500335, (1282) = 6.45609591989962, (1283) = 6.460891050162418, (1284) = 6.465666340464004, (1285) = 6.470421954189564, (1286) = 6.475158052792133, (1287) = 6.479874796508076, (1288) = 6.484572342996931, (1289) = 6.489250847767304, (1290) = 6.49391046444911, (1291) = 6.49855134482342, (1292) = 6.503173638851996, (1293) = 6.507777494706181, (1294) = 6.512363058795258, (1295) = 6.516930475794041, (1296) = 6.521479888873619, (1297) = 6.526011440058072, (1298) = 6.530525269015419, (1299) = 6.5350215137145184, (1300) = 6.539500310522017, (1301) = 6.543961794226933, (1302) = 6.548406098064826, (1303) = 6.552833353741514, (1304) = 6.5572436914564385, (1305) = 6.5616372399252745, (1306) = 6.566014126772318, (1307) = 6.570374478334124, (1308) = 6.5747184189817105, (1309) = 6.579046071685795, (1310) = 6.583357558042312, (1311) = 6.587652998292814, (1312) = 6.591932511344431, (1313) = 6.5961962147894555, (1314) = 6.600444224924743, (1315) = 6.604676656782211, (1316) = 6.608893624647716, (1317) = 6.6130952413049195, (1318) = 6.617281618027283, (1319) = 6.62145286488479, (1320) = 6.625609090761132, (1321) = 6.629750403370714, (1322) = 6.633876909275285, (1323) = 6.637988713900222, (1324) = 6.642085921550715, (1325) = 6.646168635498953, (1326) = 6.65023695840274, (1327) = 6.654290991394288, (1328) = 6.658330834429409, (1329) = 6.662356586420574, (1330) = 6.666368345251244, (1331) = 6.670366207790113, (1332) = 6.674350269905061, (1333) = 6.678320626476797, (1334) = 6.682277371412413, (1335) = 6.6862205978268054, (1336) = 6.690150398181826, (1337) = 6.694066863550045, (1338) = 6.6979700840538685, (1339) = 6.701860148906706, (1340) = 6.705737146425027, (1341) = 6.709601164040352, (1342) = 6.713452288311022, (1343) = 6.717290604933719, (1344) = 6.7211161987548556, (1345) = 6.724929154071867, (1346) = 6.7287295543670425, (1347) = 6.732517481984405, (1348) = 6.736293018461649, (1349) = 6.740056244540853, (1350) = 6.743807240178715, (1351) = 6.747546084556683, (1352) = 6.751272856090944, (1353) = 6.75498763244222, (1354) = 6.758690490542566, (1355) = 6.762381506947353, (1356) = 6.7660607572497975, (1357) = 6.76972831616785, (1358) = 6.773384257711103, (1359) = 6.777028655189771, (1360) = 6.7806615812234226, (1361) = 6.784283107749609, (1362) = 6.787893306032351, (1363) = 6.791492246670539, (1364) = 6.79507999967404, (1365) = 6.798656634708655, (1366) = 6.802222220471203, (1367) = 6.805776824967014, (1368) = 6.809320515576505, (1369) = 6.8128533590628235, (1370) = 6.816375421579347, (1371) = 6.819886768677064, (1372) = 6.823387465311823, (1373) = 6.826877575851564, (1374) = 6.830357164226586, (1375) = 6.8338262939498895, (1376) = 6.83728502766511, (1377) = 6.84073342744554, (1378) = 6.844171554811073, (1379) = 6.847599470734747, (1380) = 6.851017235649192, (1381) = 6.854424909452998, (1382) = 6.857822551516926, (1383) = 6.861210220690897, (1384) = 6.86458797554246, (1385) = 6.867955874073978, (1386) = 6.871313973594621, (1387) = 6.874662330915987, (1388) = 6.878001002357847, (1389) = 6.881330043753768, (1390) = 6.884649510456689, (1391) = 6.887959457344422, (1392) = 6.891259938825025, (1393) = 6.894551008863304, (1394) = 6.897832721221617, (1395) = 6.9011051290087595, (1396) = 6.9043682847965, (1397) = 6.907622240713015, (1398) = 6.910867048447885, (1399) = 6.914102759256969, (1400) = 6.917329423967229, (1401) = 6.920547092981511, (1402) = 6.923755816283209, (1403) = 6.926955643505246, (1404) = 6.930146624067122, (1405) = 6.93332880674134, (1406) = 6.936502239870348, (1407) = 6.939666971399865, (1408) = 6.94282304888323, (1409) = 6.945970519485645, (1410) = 6.949109429988377, (1411) = 6.952239826792916, (1412) = 6.955361755925054, (1413) = 6.9584752631636215, (1414) = 6.961580393992686, (1415) = 6.964677193329635, (1416) = 6.9677657057293505, (1417) = 6.970845975390825, (1418) = 6.973918046160953, (1419) = 6.976981961538247, (1420) = 6.980037764676505, (1421) = 6.983085498388435, (1422) = 6.98612520515224, (1423) = 6.989156927297943, (1424) = 6.992180706743452, (1425) = 6.995196584965121, (1426) = 6.99820460311582, (1427) = 7.001204802028247, (1428) = 7.004197222218248, (1429) = 7.007181903888075, (1430) = 7.010158886929606, (1431) = 7.0131282109275155, (1432) = 7.0160899151862814, (1433) = 7.019044038894063, (1434) = 7.021990620775833, (1435) = 7.024929699211911, (1436) = 7.0278613122908675, (1437) = 7.030785497812457, (1438) = 7.0337022932905215, (1439) = 7.036611735955862, (1440) = 7.039513862759076, (1441) = 7.042408710373336, (1442) = 7.045296315258033, (1443) = 7.048176713725857, (1444) = 7.051049941641773, (1445) = 7.053916034590696, (1446) = 7.05677502789373, (1447) = 7.05962695661077, (1448) = 7.062471855543055, (1449) = 7.0653097592357, (1450) = 7.068140701980213, (1451) = 7.070964717816933, (1452) = 7.0737818406478254, (1453) = 7.076592104148589, (1454) = 7.079395541615503, (1455) = 7.082192186103086, (1456) = 7.0849820704267215, (1457) = 7.0877652271649625, (1458) = 7.090541688661798, (1459) = 7.093311487028882, (1460) = 7.096074654147772, (1461) = 7.098831221677635, (1462) = 7.1015812211989715, (1463) = 7.104324683981184, (1464) = 7.107061641002049, (1465) = 7.1097921230200205, (1466) = 7.112516160576278, (1467) = 7.115233783996771, (1468) = 7.117945023394232, (1469) = 7.1206499086701545, (1470) = 7.123348469516776, (1471) = 7.126040735444656, (1472) = 7.128726735891676, (1473) = 7.131406499957209, (1474) = 7.134080056511143, (1475) = 7.136747434223693, (1476) = 7.1394086615672165, (1477) = 7.142063766818034, (1478) = 7.1447127780582225, (1479) = 7.147355723177375, (1480) = 7.1499926298743635, (1481) = 7.152623525716651, (1482) = 7.155248438160543, (1483) = 7.157867394344638, (1484) = 7.1604804212179225, (1485) = 7.163087545547202, (1486) = 7.165688793918725, (1487) = 7.168284192739803, (1488) = 7.17087376824041, (1489) = 7.173457546474761, (1490) = 7.176035553322959, (1491) = 7.178607814590973, (1492) = 7.181174355899892, (1493) = 7.183735202612559, (1494) = 7.186290379923762, (1495) = 7.1888399128617255, (1496) = 7.1913838262895675, (1497) = 7.193922144906743, (1498) = 7.196454893250478, (1499) = 7.1989820956971835, (1500) = 7.201503776471775, (1501) = 7.204019959756831, (1502) = 7.206530669494298, (1503) = 7.209035929427687, (1504) = 7.21153576314659, (1505) = 7.214030194088018, (1506) = 7.216519245537704, (1507) = 7.219002940631403, (1508) = 7.221481302356167, (1509) = 7.223954353551624, (1510) = 7.226422116938011, (1511) = 7.228884615185013, (1512) = 7.231341870709448, (1513) = 7.2337939057704626, (1514) = 7.236240742485969, (1515) = 7.23868240283384, (1516) = 7.241118908653084, (1517) = 7.2435502816450095, (1518) = 7.2459765433743755, (1519) = 7.248397715270539, (1520) = 7.250813818683145, (1521) = 7.25322487487022, (1522) = 7.255630904860615, (1523) = 7.258031929550306, (1524) = 7.260427969705442, (1525) = 7.262819045963411, (1526) = 7.2652051788339005, (1527) = 7.267586388699949, (1528) = 7.269962695818978, (1529) = 7.272334120324731, (1530) = 7.274700682313303, (1531) = 7.27706240172666, (1532) = 7.27941929832722, (1533) = 7.281771391756866, (1534) = 7.2841187015379285, (1535) = 7.286461247074143, (1536) = 7.288799047651611, (1537) = 7.2911321224397465, (1538) = 7.29346049049221, (1539) = 7.295784170757824, (1540) = 7.298103182161762, (1541) = 7.300417543439858, (1542) = 7.302727273189446, (1543) = 7.305032389896698, (1544) = 7.307332911937505, (1545) = 7.3096288575783515, (1546) = 7.311920244977179, (1547) = 7.314207092184243, (1548) = 7.316489417142961, (1549) = 7.318767237718197, (1550) = 7.321040571735172, (1551) = 7.323309436827339, (1552) = 7.325573850516763, (1553) = 7.327833830222821, (1554) = 7.3300893932630045, (1555) = 7.332340556853709, (1556) = 7.334587338111018, (1557) = 7.33682975405148, (1558) = 7.339067821592876, (1559) = 7.341301557606788, (1560) = 7.343530978884189, (1561) = 7.345756102049298, (1562) = 7.347976943630229, (1563) = 7.350193520060094, (1564) = 7.352405847677727, (1565) = 7.354613942728409, (1566) = 7.35681782136457, (1567) = 7.359017499646498, (1568) = 7.3612129935451724, (1569) = 7.363404319014081, (1570) = 7.365591491877271, (1571) = 7.367774527831366, (1572) = 7.369953442484308, (1573) = 7.372128251356013, (1574) = 7.374298969879037, (1575) = 7.376465613399224, (1576) = 7.378628197176357, (1577) = 7.380786736384793, (1578) = 7.38294124612579, (1579) = 7.385091741486035, (1580) = 7.3872382374014585, (1581) = 7.3893807487091605, (1582) = 7.3915192901639655, (1583) = 7.393653876439024, (1584) = 7.395784522126417, (1585) = 7.397911241737744, (1586) = 7.400034049704722, (1587) = 7.402152960379757, (1588) = 7.404267988064298, (1589) = 7.4063791470250875, (1590) = 7.408486451382061, (1591) = 7.410589915174423, (1592) = 7.412689552364938, (1593) = 7.414785376840488, (1594) = 7.416877402412616, (1595) = 7.41896564281807, (1596) = 7.421050111719343, (1597) = 7.423130822705201, (1598) = 7.425207789340488, (1599) = 7.427281025115815, (1600) = 7.429350543400304, (1601) = 7.431416357491461, (1602) = 7.433478480615687, (1603) = 7.43553692592878, (1604) = 7.4375917065164385, (1605) = 7.439642835394755, (1606) = 7.441690325510709, (1607) = 7.443734189746125, (1608) = 7.445774440976072, (1609) = 7.447811091966438, (1610) = 7.449844155391067, (1611) = 7.451873643857108, (1612) = 7.453899569905478, (1613) = 7.4559219460113235, (1614) = 7.457940784584479, (1615) = 7.459956097969922, (1616) = 7.461967898448222, (1617) = 7.463976198249048, (1618) = 7.465981009591273, (1619) = 7.467982344572803, (1620) = 7.4699802152195955, (1621) = 7.471974633495413, (1622) = 7.4739656113022495, (1623) = 7.475953160480755, (1624) = 7.4779372928106564, (1625) = 7.479918020011169, (1626) = 7.4818953537414155, (1627) = 7.483869305628657, (1628) = 7.485839887267227, (1629) = 7.487807110138557, (1630) = 7.489770985664132, (1631) = 7.491731525207374, (1632) = 7.493688740074031, (1633) = 7.495642641512565, (1634) = 7.497593240714539, (1635) = 7.499540548814998, (1636) = 7.501484576893126, (1637) = 7.5034253360181795, (1638) = 7.505362837190654, (1639) = 7.5072970913220445, (1640) = 7.509228109269209, (1641) = 7.511155901834732, (1642) = 7.513080479767283, (1643) = 7.515001853761978, (1644) = 7.51692003446073, (1645) = 7.518835032452602, (1646) = 7.520746858278929, (1647) = 7.522655522479503, (1648) = 7.524561035501826, (1649) = 7.526463407725861, (1650) = 7.528362649480448, (1651) = 7.530258771043641, (1652) = 7.532151782643042, (1653) = 7.534041694456124, (1654) = 7.5359285166105625, (1655) = 7.537812259184558, (1656) = 7.539692932221311, (1657) = 7.541570545754068, (1658) = 7.543445109718608, (1659) = 7.545316633997329, (1660) = 7.547185128424748, (1661) = 7.549050602787806, (1662) = 7.550913066826175, (1663) = 7.552772530232565, (1664) = 7.554629002653015, (1665) = 7.556482493687204, (1666) = 7.5583330129164485, (1667) = 7.5601805698892495, (1668) = 7.562025174067318, (1669) = 7.56386683486679, (1670) = 7.565705561658902, (1671) = 7.56754136377028, (1672) = 7.569374250483219, (1673) = 7.5712042310359635, (1674) = 7.573031314622985, (1675) = 7.5748555103961515, (1676) = 7.576676827505345, (1677) = 7.578495275037745, (1678) = 7.580310862014501, (1679) = 7.582123597414363, (1680) = 7.583933490173936, (1681) = 7.5857405491879515, (1682) = 7.587544783309521, (1683) = 7.5893462013504, (1684) = 7.591144812081242, (1685) = 7.592940624237828, (1686) = 7.594733646556354, (1687) = 7.596523887694979, (1688) = 7.598311356261577, (1689) = 7.600096060824183, (1690) = 7.601878009911239, (1691) = 7.603657212011841, (1692) = 7.605433675575975, (1693) = 7.60720740901476, (1694) = 7.608978420700683, (1695) = 7.6107467189828535, (1696) = 7.612512312199677, (1697) = 7.614275208610958, (1698) = 7.6160354164361515, (1699) = 7.6177929438572525, (1700) = 7.619547799019024, (1701) = 7.62129999002922, (1702) = 7.623049524958809, (1703) = 7.624796411842196, (1704) = 7.626540658677444, (1705) = 7.6282822734539595, (1706) = 7.630021264127614, (1707) = 7.631757638587955, (1708) = 7.633491404689044, (1709) = 7.635222570249684, (1710) = 7.636951143053628, (1711) = 7.6386771308497945, (1712) = 7.640400541352466, (1713) = 7.642121382241498, (1714) = 7.643839661164192, (1715) = 7.645555385770016, (1716) = 7.647268563651927, (1717) = 7.6489792023533445, (1718) = 7.650687309384274, (1719) = 7.652392892221509, (1720) = 7.65409595830882, (1721) = 7.655796515057151, (1722) = 7.657494569844813, (1723) = 7.659190130017671, (1724) = 7.660883202896386, (1725) = 7.662573795802084, (1726) = 7.664261915989996, (1727) = 7.665947570677381, (1728) = 7.6676307670499995, (1729) = 7.669311512262291, (1730) = 7.670989813437558, (1731) = 7.672665677668145, (1732) = 7.674339112015621, (1733) = 7.676010123510948, (1734) = 7.677678719170351, (1735) = 7.679344905997785, (1736) = 7.681008690933963, (1737) = 7.682670080888522, (1738) = 7.684329082741375, (1739) = 7.685985703342876, (1740) = 7.687639949513995, (1741) = 7.689291828046482, (1742) = 7.690941345703033, (1743) = 7.692588509217531, (1744) = 7.694233325321977, (1745) = 7.69587580071419, (1746) = 7.697515942041653, (1747) = 7.699153755923615, (1748) = 7.700789248951255, (1749) = 7.702422427687834, (1750) = 7.704053298668859, (1751) = 7.705681868402233, (1752) = 7.707308143368413, (1753) = 7.70893213002305, (1754) = 7.710553834825748, (1755) = 7.712173264185651, (1756) = 7.713790424474351, (1757) = 7.715405322036758, (1758) = 7.717017963191249, (1759) = 7.718628354229814, (1760) = 7.720236501418206, (1761) = 7.721842410996081, (1762) = 7.723446089177147, (1763) = 7.725047542157286, (1764) = 7.7266467761318225, (1765) = 7.7282437972405855, (1766) = 7.729838611594334, (1767) = 7.731431225278593, (1768) = 7.733021644353786, (1769) = 7.734609874855379, (1770) = 7.736195922794012, (1771) = 7.737779794155639, (1772) = 7.739361494901656, (1773) = 7.740941030985229, (1774) = 7.742518408345327, (1775) = 7.744093632870331, (1776) = 7.745666710424213, (1777) = 7.747237646847059, (1778) = 7.748806447955194, (1779) = 7.750373119541314, (1780) = 7.751937667374614, (1781) = 7.75350009720091, (1782) = 7.755060414743156, (1783) = 7.756618625726384, (1784) = 7.75817473584211, (1785) = 7.759728750743381, (1786) = 7.761280676060495, (1787) = 7.762830517401119, (1788) = 7.764378280350417, (1789) = 7.765923970471164, (1790) = 7.767467593303865, (1791) = 7.769009154366878, (1792) = 7.770548659159828, (1793) = 7.772086113186593, (1794) = 7.773621521906366, (1795) = 7.775154890749582, (1796) = 7.776686225125118, (1797) = 7.778215530420398, (1798) = 7.7797428120015075, (1799) = 7.78126807521331, (1800) = 7.782791325379554, (1801) = 7.784312567802986, (1802) = 7.785831807774251, (1803) = 7.787349050581816, (1804) = 7.788864301467626, (1805) = 7.790377565651048, (1806) = 7.791888848330993, (1807) = 7.793398154686025, (1808) = 7.7949054898744645, (1809) = 7.796410859034498, (1810) = 7.797914267284275, (1811) = 7.7994157197220195, (1812) = 7.800915221442684, (1813) = 7.80241277752499, (1814) = 7.8039083930076, (1815) = 7.805402072909605, (1816) = 7.806893822230684, (1817) = 7.808383645951197, (1818) = 7.809871549032288, (1819) = 7.8113575364159855, (1820) = 7.812841613025294, (1821) = 7.814323783765137, (1822) = 7.815804053544567, (1823) = 7.817282427240667, (1824) = 7.81875890970091, (1825) = 7.820233505754229, (1826) = 7.8217062202111185, (1827) = 7.823177057863724, (1828) = 7.824646023485936, (1829) = 7.826113121833483, (1830) = 7.827578357644022, (1831) = 7.829041735641304, (1832) = 7.830503260552716, (1833) = 7.831962937066376, (1834) = 7.833420769848167, (1835) = 7.83487676354635, (1836) = 7.836330922791663, (1837) = 7.837783252197401, (1838) = 7.839233756359507, (1839) = 7.840682439856657, (1840) = 7.842129307250349, (1841) = 7.843574363094466, (1842) = 7.84501761193881, (1843) = 7.846459058294443, (1844) = 7.847898706654614, (1845) = 7.849336561495815, (1846) = 7.8507726272778715, (1847) = 7.852206908444019, (1848) = 7.853639409420989, (1849) = 7.855070134619086, (1850) = 7.856499088432286, (1851) = 7.857926275255067, (1852) = 7.859351699463754, (1853) = 7.860775365403395, (1854) = 7.862197277403018, (1855) = 7.863617439775707, (1856) = 7.865035856818683, (1857) = 7.86645253281338, (1858) = 7.86786747202552, (1859) = 7.869280678705195, (1860) = 7.870692157088304, (1861) = 7.872101911415651, (1862) = 7.873509945898158, (1863) = 7.874916264723793, (1864) = 7.876320872065268, (1865) = 7.877723772080116, (1866) = 7.879124968910763, (1867) = 7.880524466684603, (1868) = 7.8819222695140665, (1869) = 7.883318381496695, (1870) = 7.884712806720007, (1871) = 7.886105549273988, (1872) = 7.887496613214391, (1873) = 7.888886002579583, (1874) = 7.890273721393399, (1875) = 7.891659773665211, (1876) = 7.893044163389997, (1877) = 7.8944268945484115, (1878) = 7.8958079711068505, (1879) = 7.897187397017522, (1880) = 7.898565176228581, (1881) = 7.8999413126820945, (1882) = 7.9013158102881675, (1883) = 7.902688672942608, (1884) = 7.9040599045273705, (1885) = 7.905429508910625, (1886) = 7.9067974899468165, (1887) = 7.9081638514767345, (1888) = 7.909528597327574, (1889) = 7.910891731313164, (1890) = 7.912253257250207, (1891) = 7.913613178936267, (1892) = 7.914971500144501, (1893) = 7.916328224634791, (1894) = 7.9176833561538045, (1895) = 7.919036898435061, (1896) = 7.920388855198988, (1897) = 7.921739230152987, (1898) = 7.92308802699149, (1899) = 7.924435249397942, (1900) = 7.925780901060633, (1901) = 7.9271249856403525, (1902) = 7.928467506779973, (1903) = 7.929808468109699, (1904) = 7.931147873247127, (1905) = 7.932485725797304, (1906) = 7.933822029352781, (1907) = 7.935156787493677, (1908) = 7.936490003787731, (1909) = 7.9378216817958105, (1910) = 7.9391518250797795, (1911) = 7.9404804371719075, (1912) = 7.941807521590713, (1913) = 7.943133081842619, (1914) = 7.944457121422013, (1915) = 7.945779643811293, (1916) = 7.947100652480932, (1917) = 7.9484201508895245, (1918) = 7.949738142483844, (1919) = 7.951054630709461, (1920) = 7.952369619003862, (1921) = 7.953683110778499, (1922) = 7.954995109433132, (1923) = 7.956305618355968, (1924) = 7.957614640923712, (1925) = 7.958922180501621, (1926) = 7.960228240443554, (1927) = 7.961532824092022, (1928) = 7.962835934778676, (1929) = 7.964137575839275, (1930) = 7.965437750590339, (1931) = 7.966736462329248, (1932) = 7.9680337143422895, (1933) = 7.96932950990471, (1934) = 7.97062385228076, (1935) = 7.97191674472375, (1936) = 7.973208190476089, (1937) = 7.974498192769343, (1938) = 7.975786754826755, (1939) = 7.977073879875802, (1940) = 7.97835957111899, (1941) = 7.979643831744734, (1942) = 7.980926664930844, (1943) = 7.982208073844569, (1944) = 7.983488061642645, (1945) = 7.984766631471343, (1946) = 7.986043786466513, (1947) = 7.987319529753629, (1948) = 7.988593864453876, (1949) = 7.989866793687814, (1950) = 7.991138320550665, (1951) = 7.992408448126629, (1952) = 7.993677179489759, (1953) = 7.994944517704004, (1954) = 7.996210465823257, (1955) = 7.997475026891394, (1956) = 7.99873820394232, (1957) = 8.0}, datatype = float[8], order = C_order); Y := Matrix(1957, 3, {(1, 1) = .0, (1, 2) = .0, (1, 3) = 1652.0328791655768, (2, 1) = 0.12430441779039468e-2, (2, 2) = 1.9146552521461992, (2, 3) = 1381.8757650221012, (3, 1) = 0.4680795630263913e-2, (3, 2) = 3.476062665624943, (3, 3) = 1090.6708199728403, (4, 1) = 0.9851388646064057e-2, (4, 2) = 4.66019204710641, (4, 3) = 787.5690423219288, (5, 1) = 0.16277351257591964e-1, (5, 2) = 5.47146980271761, (5, 3) = 505.95533898027367, (6, 1) = 0.23515774422379395e-1, (6, 2) = 5.960887729053191, (6, 3) = 282.0665822935489, (7, 1) = 0.3121287839337445e-1, (7, 2) = 6.214695193503329, (7, 3) = 132.89570827255085, (8, 1) = 0.39130266536634616e-1, (8, 2) = 6.324298320427456, (8, 3) = 50.38616547512059, (9, 1) = 0.47133716901666727e-1, (9, 2) = 6.360593107747828, (9, 3) = 12.6895847652955, (10, 1) = 0.551604190441362e-1, (10, 2) = 6.366100974953985, (10, 3) = -1.418164853243008, (11, 1) = 0.6318613141533373e-1, (11, 2) = 6.361081800836295, (11, 3) = -5.609038155709993, (12, 1) = 0.7120334078690195e-1, (12, 2) = 6.353307795531636, (12, 3) = -6.446184099643742, (13, 1) = 0.7921040623429978e-1, (13, 2) = 6.345179178904462, (13, 3) = -6.384154302666129, (14, 1) = 0.8720733830412002e-1, (14, 2) = 6.337271126533362, (14, 3) = -6.150482737494599, (15, 1) = 0.9519448868861896e-1, (15, 2) = 6.329665933253567, (15, 3) = -5.914097023721733, (16, 1) = .10317223039473729, (16, 2) = 6.32234396902743, (16, 3) = -5.702132142746637, (17, 1) = .11114090078144184, (17, 2) = 6.315273873050254, (17, 3) = -5.514045013990423, (18, 1) = .11910079958376645, (18, 2) = 6.30842797666957, (18, 3) = -5.345937462506289, (19, 1) = .12705219468827422, (19, 2) = 6.301783316100545, (19, 3) = -5.194401058793858, (20, 1) = .13499532753469057, (20, 2) = 6.295320742615864, (20, 3) = -5.05677289931709, (21, 1) = .14293041737519155, (21, 2) = 6.2890240832645645, (21, 3) = -4.93096722801539, (22, 1) = .15085766461128972, (22, 2) = 6.282879514066236, (22, 3) = -4.815323226514059, (23, 1) = .1587772534516935, (23, 2) = 6.276875095996, (23, 3) = -4.708497474342716, (24, 1) = .1666893540586348, (24, 2) = 6.271000425079112, (24, 3) = -4.609388372321973, (25, 1) = .1745941245883883, (25, 2) = 6.2652463632739455, (25, 3) = -4.517081853338465, (26, 1) = .18249171308240722, (26, 2) = 6.2596048280595165, (26, 3) = -4.430811530191452, (27, 1) = .19038225591846794, (27, 2) = 6.2540686278330835, (27, 3) = -4.34992891586239, (28, 1) = .19826588175461154, (28, 2) = 6.248631326065719, (28, 3) = -4.2738807200361135, (29, 1) = .20614271176212665, (29, 2) = 6.2432871332200675, (29, 3) = -4.20219136569151, (30, 1) = .2140128591735052, (30, 2) = 6.2380308185226365, (30, 3) = -4.134449327591535, (31, 1) = .22187643222119963, (31, 2) = 6.232857634735667, (31, 3) = -4.07029630101403, (32, 1) = .22973353398301782, (32, 2) = 6.227763257202543, (32, 3) = -4.009418571771668, (33, 1) = .23758426154387807, (33, 2) = 6.22274373302986, (33, 3) = -3.95154005848754, (34, 1) = .2454287072287564, (34, 2) = 6.217795436799169, (34, 3) = -3.8964166355986074, (35, 1) = .2532669589919399, (35, 2) = 6.212915033294554, (35, 3) = -3.843831482825408, (36, 1) = .261099100762803, (36, 2) = 6.208099445566098, (36, 3) = -3.7935912426913614, (37, 1) = .2689252127541802, (37, 2) = 6.20334582741694, (37, 3) = -3.7455228240544143, (38, 1) = .2767453717384405, (38, 2) = 6.198651539581552, (38, 3) = -3.699470726226031, (39, 1) = .28455965129552535, (39, 2) = 6.1940141290029835, (39, 3) = -3.655294785708912, (40, 1) = .2923681220365337, (40, 2) = 6.189431310726767, (40, 3) = -3.61286826838284, (41, 1) = .3001708518026526, (41, 2) = 6.184900952017666, (41, 3) = -3.572076245890509, (42, 1) = .3079679064456592, (42, 2) = 6.18042105802784, (42, 3) = -3.5328142042406547, (43, 1) = .3157593492995074, (43, 2) = 6.175989759840632, (43, 3) = -3.494986854939419, (44, 1) = .323545239898906, (44, 2) = 6.171605304301146, (44, 3) = -3.4585071125106386, (45, 1) = .33132563665410125, (45, 2) = 6.167266042806563, (45, 3) = -3.4232951907538456, (46, 1) = .3391005960214657, (46, 2) = 6.162970423148149, (46, 3) = -3.3892778327970436, (47, 1) = .3468701725003023, (47, 2) = 6.158716981779321, (47, 3) = -3.3563876354530624, (48, 1) = .3546344177457444, (48, 2) = 6.1545043373508435, (48, 3) = -3.3245624611269458, (49, 1) = .3623933835656557, (49, 2) = 6.150331182834082, (49, 3) = -3.293744905743477, (50, 1) = .3701471200495495, (50, 2) = 6.146196280921816, (50, 3) = -3.26388184906259, (51, 1) = .3778956752402318, (51, 2) = 6.142098459101132, (51, 3) = -3.234924051079847, (52, 1) = .38563909576582595, (52, 2) = 6.138036604692212, (52, 3) = -3.2068257908024167, (53, 1) = .3933774269109529, (53, 2) = 6.134009660616544, (53, 3) = -3.1795445473171937, (54, 1) = .40111071268311477, (54, 2) = 6.130016621544656, (54, 3) = -3.153040715658208, (55, 1) = .4088389958761341, (55, 2) = 6.1260565303816845, (55, 3) = -3.1272773530507774, (56, 1) = .4165623181293551, (56, 2) = 6.122128475055844, (56, 3) = -3.102219951758156, (57, 1) = .42428072003905126, (57, 2) = 6.118231585550077, (57, 3) = -3.0778362351093365, (58, 1) = .43199424213338483, (58, 2) = 6.114365030745584, (58, 3) = -3.0540959714782225, (59, 1) = .439702922346753, (59, 2) = 6.11052801723867, (59, 3) = -3.0309708171851, (60, 1) = .44740679768078123, (60, 2) = 6.106719786237912, (60, 3) = -3.008434162170245, (61, 1) = .45510590475601936, (61, 2) = 6.1029396112157475, (61, 3) = -2.986460993773385, (62, 1) = .46280027932989654, (62, 2) = 6.099186796232928, (62, 3) = -2.965027776200467, (63, 1) = .4704899563280923, (63, 2) = 6.095460674150228, (63, 3) = -2.944112339643578, (64, 1) = .4781749698793859, (64, 2) = 6.091760604970707, (64, 3) = -2.92369377943623, (65, 1) = .4858553531671546, (65, 2) = 6.088085974389836, (65, 3) = -2.903752364663692, (66, 1) = .4935311376982211, (66, 2) = 6.084436192728461, (66, 3) = -2.8842694562237416, (67, 1) = .5012023563735892, (67, 2) = 6.080810692161664, (67, 3) = -2.8652274225345327, (68, 1) = .5088690407935473, (68, 2) = 6.077208926791676, (68, 3) = -2.8466095765837127, (69, 1) = .5165312215719521, (69, 2) = 6.07363037135686, (69, 3) = -2.8284001108611583, (70, 1) = .5241889286957501, (70, 2) = 6.070074520001881, (70, 3) = -2.810584037574359, (71, 1) = .5318421915515524, (71, 2) = 6.066540885277362, (71, 3) = -2.793147134493486, (72, 1) = .5394910389618546, (72, 2) = 6.063028997200141, (72, 3) = -2.7760758950984954, (73, 1) = .5471354995281439, (73, 2) = 6.059538402233705, (73, 3) = -2.759357481984407, (74, 1) = .5547756018284556, (74, 2) = 6.056068662394491, (74, 3) = -2.742979684215854, (75, 1) = .5624113720681552, (75, 2) = 6.052619355558644, (75, 3) = -2.7269308832547807, (76, 1) = .5700428368387432, (76, 2) = 6.049190073492816, (76, 3) = -2.711200010830909, (77, 1) = .5776700224049666, (77, 2) = 6.045780421515482, (77, 3) = -2.695776517123072, (78, 1) = .5852929545750114, (78, 2) = 6.042390017929428, (78, 3) = -2.6806503400665607, (79, 1) = .5929116587166399, (79, 2) = 6.039018493424982, (79, 3) = -2.6658118765868344, (80, 1) = .6005261597598589, (80, 2) = 6.035665490523924, (80, 3) = -2.6512519559115217, (81, 1) = .6081364822299141, (81, 2) = 6.03233066304206, (81, 3) = -2.6369618147046663, (82, 1) = .6157426502639131, (82, 2) = 6.029013675589112, (82, 3) = -2.622933073960856, (83, 1) = .6233446872873616, (83, 2) = 6.025714203243766, (83, 3) = -2.6091577180961063, (84, 1) = .6309426157238823, (84, 2) = 6.022431931236275, (84, 3) = -2.5956280753758922, (85, 1) = .638536459713769, (85, 2) = 6.019166553360999, (85, 3) = -2.5823367944138433, (86, 1) = .6461262421290683, (86, 2) = 6.015917772879205, (86, 3) = -2.5692768321199706, (87, 1) = .6537119853256386, (87, 2) = 6.01268530181874, (87, 3) = -2.556441435984486, (88, 1) = .6612937113384212, (88, 2) = 6.0094688605379245, (88, 3) = -2.54382412846843, (89, 1) = .6688714418896946, (89, 2) = 6.00626817738888, (89, 3) = -2.531418692704075, (90, 1) = .6764451990349236, (90, 2) = 6.003082988130501, (90, 3) = -2.5192191580774486, (91, 1) = .6840150041855294, (91, 2) = 5.99991303604269, (91, 3) = -2.5072197892946706, (92, 1) = .6915808772753225, (92, 2) = 5.996758071985384, (92, 3) = -2.4954150758473586, (93, 1) = .6991428388656513, (93, 2) = 5.993617853245436, (93, 3) = -2.4837997176002893, (94, 1) = .7067009092746833, (94, 2) = 5.990492143646906, (94, 3) = -2.4723686158160385, (95, 1) = .7142551085664725, (95, 2) = 5.987380713311361, (95, 3) = -2.4611168634001395, (96, 1) = .7218054565591581, (96, 2) = 5.98428333842197, (96, 3) = -2.4500397356918566, (97, 1) = .7293519728328633, (97, 2) = 5.9811998009988985, (97, 3) = -2.4391326817920205, (98, 1) = .7368946767373217, (98, 2) = 5.978129888685299, (98, 3) = -2.4283913163910142, (99, 1) = .7444335873912821, (99, 2) = 5.975073394546551, (99, 3) = -2.4178114120742142, (100, 1) = .7519687236816331, (100, 2) = 5.972030116878856, (100, 3) = -2.4073888920618303, (101, 1) = .759500103787699, (101, 2) = 5.968999859217288, (101, 3) = -2.397119823996558, (102, 1) = .7670277455365856, (102, 2) = 5.965982430015329, (102, 3) = -2.387000412946729, (103, 1) = .7745516683405353, (103, 2) = 5.962977641704867, (103, 3) = -2.3770269927237297, (104, 1) = .7820718905378246, (104, 2) = 5.95998531160612, (104, 3) = -2.3671960237092544, (105, 1) = .7895884310282141, (105, 2) = 5.957005261121564, (105, 3) = -2.3575040851998086, (106, 1) = .7971013067365555, (106, 2) = 5.954037316595756, (106, 3) = -2.3479478734876285, (107, 1) = .8046105349378256, (107, 2) = 5.95108130824967, (107, 3) = -2.3385241938934245, (108, 1) = .8121161330422723, (108, 2) = 5.948137070135266, (108, 3) = -2.3292299564192933, (109, 1) = .8196181182801299, (109, 2) = 5.945204440132894, (109, 3) = -2.3200621717398717, (110, 1) = .8271165077215814, (110, 2) = 5.942283259821079, (110, 3) = -2.311017946985703, (111, 1) = .8346113183049693, (111, 2) = 5.939373374348344, (111, 3) = -2.3020944817308755, (112, 1) = .8421025668219715, (112, 2) = 5.936474632326634, (112, 3) = -2.2932890642327677, (113, 1) = .8495902699222774, (113, 2) = 5.933586885721727, (113, 3) = -2.2845990678355905, (114, 1) = .8570744441181447, (114, 2) = 5.930709989748026, (114, 3) = -2.2760219475510755, (115, 1) = .8645551057888299, (115, 2) = 5.9278438027675495, (115, 3) = -2.2675552368062313, (116, 1) = .8720322711848846, (116, 2) = 5.924988186192971, (116, 3) = -2.2591965443482915, (117, 1) = .879505956432341, (117, 2) = 5.9221430043944245, (117, 3) = -2.2509435512983877, (118, 1) = .8869761775354345, (118, 2) = 5.919308124610447, (118, 3) = -2.242794008346546, (119, 1) = .8944429496043188, (119, 2) = 5.916483417155086, (119, 3) = -2.234745733909237, (120, 1) = .9019062886571757, (120, 2) = 5.913668754653405, (120, 3) = -2.226796609627033, (121, 1) = .9093662118181194, (121, 2) = 5.9108640118949465, (121, 3) = -2.2189445777956514, (122, 1) = .9168227337184643, (122, 2) = 5.908069067112131, (122, 3) = -2.2111876428454527, (123, 1) = .9242758697703213, (123, 2) = 5.905283800672667, (123, 3) = -2.203523865638823, (124, 1) = .9317256353332727, (124, 2) = 5.902508095324792, (124, 3) = -2.1959513622559554, (125, 1) = .9391720456719809, (125, 2) = 5.899741836146032, (125, 3) = -2.188468302024161, (126, 1) = .9466151159594725, (126, 2) = 5.896984910477207, (126, 3) = -2.1810729055884917, (127, 1) = .9540548612803447, (127, 2) = 5.894237207858807, (127, 3) = -2.173763443067436, (128, 1) = .9614912966268809, (128, 2) = 5.891498619972251, (128, 3) = -2.1665382322958266, (129, 1) = .9689244368751723, (129, 2) = 5.8887690405905495, (129, 3) = -2.159395637163025, (130, 1) = .9763542968540393, (130, 2) = 5.886048365496941, (130, 3) = -2.1523340659340695, (131, 1) = .9837808913220822, (131, 2) = 5.883336492439404, (131, 3) = -2.1453519697298318, (132, 1) = .9912042349643259, (132, 2) = 5.8806333210797535, (132, 3) = -2.138447841052686, (133, 1) = .9986243423949863, (133, 2) = 5.87793875294229, (133, 3) = -2.131620212368386, (134, 1) = 1.0060412282524032, (134, 2) = 5.875252691330851, (134, 3) = -2.124867654663498, (135, 1) = 1.0134549079683892, (135, 2) = 5.8725750410047866, (135, 3) = -2.118188775459944, (136, 1) = 1.020865395292582, (136, 2) = 5.869905709028272, (136, 3) = -2.111582219803254, (137, 1) = 1.0282727042031146, (137, 2) = 5.8672446040330986, (137, 3) = -2.105046667313921, (138, 1) = 1.0356768481605, (138, 2) = 5.864591636444744, (138, 3) = -2.098580831701887, (139, 1) = 1.0430778412701247, (139, 2) = 5.861946718024315, (139, 3) = -2.092183458645504, (140, 1) = 1.0504756986277046, (140, 2) = 5.8593097617092305, (140, 3) = -2.085853324471273, (141, 1) = 1.0578704343768675, (141, 2) = 5.856680682269325, (141, 3) = -2.079589236819628, (142, 1) = 1.0652620626064129, (142, 2) = 5.854059395947771, (142, 3) = -2.0733900328811794, (143, 1) = 1.072650597358833, (143, 2) = 5.851445820422087, (143, 3) = -2.0672545784515535, (144, 1) = 1.080036052632485, (144, 2) = 5.84883987476859, (144, 3) = -2.0611817670279864, (145, 1) = 1.0874184423837239, (145, 2) = 5.846241479427939, (145, 3) = -2.055170518940728, (146, 1) = 1.0947977805289968, (146, 2) = 5.843650556171752, (146, 3) = -2.0492197805175447, (147, 1) = 1.1021740809467833, (147, 2) = 5.841067028070303, (147, 3) = -2.0433285232799805, (148, 1) = 1.10954735744088, (148, 2) = 5.838490819474692, (148, 3) = -2.0374957432003273, (149, 1) = 1.1169176237863327, (149, 2) = 5.835921855970993, (149, 3) = -2.0317204599211878, (150, 1) = 1.1242848941460644, (150, 2) = 5.833360064206767, (150, 3) = -2.0260017157183743, (151, 1) = 1.1316491828862187, (151, 2) = 5.830805371928848, (151, 3) = -2.020338574968215, (152, 1) = 1.1390105027886208, (152, 2) = 5.828257708575108, (152, 3) = -2.014730124847069, (153, 1) = 1.146368867460681, (153, 2) = 5.825717004410727, (153, 3) = -2.0091754728260662, (154, 1) = 1.1537242905667824, (154, 2) = 5.823183190770669, (154, 3) = -2.0036737466569643, (155, 1) = 1.1610767857199307, (155, 2) = 5.8206562000724436, (155, 3) = -1.998224093860528, (156, 1) = 1.1684263655314135, (156, 2) = 5.818135966117495, (156, 3) = -1.9928256818472507, (157, 1) = 1.1757730439765326, (157, 2) = 5.815622423255624, (157, 3) = -1.9874776956181024, (158, 1) = 1.1831168352383046, (158, 2) = 5.813115506761993, (158, 3) = -1.982179338106988, (159, 1) = 1.1904577528626754, (159, 2) = 5.81061515310337, (159, 3) = -1.9769298302742317, (160, 1) = 1.197795810398859, (160, 2) = 5.808121299697029, (160, 3) = -1.9717284101378396, (161, 1) = 1.2051310213831075, (161, 2) = 5.805633884895562, (161, 3) = -1.9665743323057203, (162, 1) = 1.212463399340269, (162, 2) = 5.803152847966173, (162, 3) = -1.961466867511348, (163, 1) = 1.219792957885031, (163, 2) = 5.800678129036949, (163, 3) = -1.9564053020967154, (164, 1) = 1.227119711440758, (164, 2) = 5.798209668836224, (164, 3) = -1.951388937092912, (165, 1) = 1.2344436728319002, (165, 2) = 5.795747409485525, (165, 3) = -1.9464170894533603, (166, 1) = 1.241764855208315, (166, 2) = 5.793291293830979, (166, 3) = -1.9414890903142143, (167, 1) = 1.24908327204463, (167, 2) = 5.790841265427183, (167, 3) = -1.9366042846143408, (168, 1) = 1.2563989367611161, (168, 2) = 5.788397268647875, (168, 3) = -1.9317620309771621, (169, 1) = 1.263711862833733, (169, 2) = 5.785959248632499, (169, 3) = -1.9269617012724076, (170, 1) = 1.271022063745867, (170, 2) = 5.783527151286314, (170, 3) = -1.9222026802958747, (171, 1) = 1.278329552982441, (171, 2) = 5.781100923266672, (171, 3) = -1.9174843654318527, (172, 1) = 1.2856343440312594, (172, 2) = 5.778680511967268, (172, 3) = -1.9128061663217104, (173, 1) = 1.2929364502855192, (173, 2) = 5.776265865535476, (173, 3) = -1.908167504605639, (174, 1) = 1.300235884170201, (174, 2) = 5.773856933145518, (174, 3) = -1.9035678141586703, (175, 1) = 1.3075326599229173, (175, 2) = 5.7714536640662, (175, 3) = -1.899006539035133, (176, 1) = 1.3148267914923846, (176, 2) = 5.769056008343184, (176, 3) = -1.8944831345215374, (177, 1) = 1.3221182923628392, (177, 2) = 5.766663916842127, (177, 3) = -1.8899970669550907, (178, 1) = 1.3294071765251165, (178, 2) = 5.764277340916454, (178, 3) = -1.8855478128490304, (179, 1) = 1.3366934578777097, (179, 2) = 5.7618962325917655, (179, 3) = -1.8811348590016066, (180, 1) = 1.3439771491182018, (180, 2) = 5.759520544914288, (180, 3) = -1.8767577029010338, (181, 1) = 1.351258263784298, (181, 2) = 5.757150231271227, (181, 3) = -1.8724158512367117, (182, 1) = 1.3585368154583726, (182, 2) = 5.754785245639776, (182, 3) = -1.8681088201469251, (183, 1) = 1.3658128177391997, (183, 2) = 5.752425542584878, (183, 3) = -1.8638361350027421, (184, 1) = 1.3730862842430949, (184, 2) = 5.750071077247675, (184, 3) = -1.859597330181133, (185, 1) = 1.3803572286050356, (185, 2) = 5.747721805334192, (185, 3) = -1.8553919488448674, (186, 1) = 1.3876256644787779, (186, 2) = 5.74537768310467, (186, 3) = -1.8512195427295013, (187, 1) = 1.3948916054714113, (187, 2) = 5.743038667384207, (187, 3) = -1.8470796719739284, (188, 1) = 1.4021550652361368, (188, 2) = 5.740704715522624, (188, 3) = -1.842971904866192, (189, 1) = 1.4094160574897303, (189, 2) = 5.738375785379055, (189, 3) = -1.8388958176395631, (190, 1) = 1.4166745959730347, (190, 2) = 5.736051835325034, (190, 3) = -1.8348509943064664, (191, 1) = 1.4239306942418233, (191, 2) = 5.73373282430186, (191, 3) = -1.8308370265901996, (192, 1) = 1.431184365187146, (192, 2) = 5.7314187119636735, (192, 3) = -1.8268535140050959, (193, 1) = 1.4384356244660925, (193, 2) = 5.729109457574927, (193, 3) = -1.8229000618061872, (194, 1) = 1.4456844855080788, (194, 2) = 5.726805021595408, (194, 3) = -1.8189762835682188, (195, 1) = 1.452930961876755, (195, 2) = 5.724505364916487, (195, 3) = -1.8150817997132056, (196, 1) = 1.4601750674690994, (196, 2) = 5.722210448789985, (196, 3) = -1.811216237248103, (197, 1) = 1.4674168161319692, (197, 2) = 5.719920234942051, (197, 3) = -1.8073792298188178, (198, 1) = 1.47465622181053, (198, 2) = 5.717634685518084, (198, 3) = -1.803570417480954, (199, 1) = 1.4818932985043036, (199, 2) = 5.7153537630890066, (199, 3) = -1.7997894465781732, (200, 1) = 1.489128060246882, (200, 2) = 5.713077430650023, (200, 3) = -1.7960359696113752, (201, 1) = 1.4963605211068944, (201, 2) = 5.710805651612892, (201, 3) = -1.7923096451003666, (202, 1) = 1.503590695188969, (202, 2) = 5.708538389798341, (202, 3) = -1.7886101374493384, (203, 1) = 1.5108185966346814, (203, 2) = 5.706275609428641, (203, 3) = -1.784937116815986, (204, 1) = 1.5180442396234262, (204, 2) = 5.704017275120377, (204, 3) = -1.781290258984284, (205, 1) = 1.5252676383742911, (205, 2) = 5.701763351877056, (205, 3) = -1.7776692452400362, (206, 1) = 1.5324888077825907, (206, 2) = 5.699513804884339, (206, 3) = -1.7740737619350297, (207, 1) = 1.5397077620947053, (207, 2) = 5.697268599916931, (207, 3) = -1.770503501033834, (208, 1) = 1.5469245149254647, (208, 2) = 5.69502770332508, (208, 3) = -1.7669581599799937, (209, 1) = 1.5541390802874389, (209, 2) = 5.692791081707858, (209, 3) = -1.7634374410737024, (210, 1) = 1.5613514717818355, (210, 2) = 5.690558702158185, (210, 3) = -1.7599410517609093, (211, 1) = 1.5685617049211862, (211, 2) = 5.688330531538575, (211, 3) = -1.7564687034063282, (212, 1) = 1.5757697943491822, (212, 2) = 5.686106537337006, (212, 3) = -1.753020112546482, (213, 1) = 1.5829757546221939, (213, 2) = 5.683886687418377, (213, 3) = -1.7495950004053247, (214, 1) = 1.5901796003433155, (214, 2) = 5.6816709499774545, (214, 3) = -1.7461930927319882, (215, 1) = 1.5973813461632134, (215, 2) = 5.679459293533094, (215, 3) = -1.7428141197058982, (216, 1) = 1.6045810067153967, (216, 2) = 5.677251686942779, (216, 3) = -1.7394578158746774, (217, 1) = 1.6117785966648508, (217, 2) = 5.675048099382309, (217, 3) = -1.736123920041005, (218, 1) = 1.6189741308054706, (218, 2) = 5.672848500310911, (218, 3) = -1.7328121751301644, (219, 1) = 1.6261676242520242, (219, 2) = 5.670652859407827, (219, 3) = -1.7295223280184413, (220, 1) = 1.6333590926056434, (220, 2) = 5.668461146517656, (220, 3) = -1.7262541293788531, (221, 1) = 1.640548549964642, (221, 2) = 5.6662733322513725, (221, 3) = -1.7230073345017434, (222, 1) = 1.6477360112059045, (222, 2) = 5.66408938728537, (222, 3) = -1.7197817021730382, (223, 1) = 1.6549214913864172, (223, 2) = 5.661909282539989, (223, 3) = -1.716576994873566, (224, 1) = 1.662105005618174, (224, 2) = 5.659732989213105, (224, 3) = -1.7133929787609814, (225, 1) = 1.6692865690652812, (225, 2) = 5.657560478776598, (225, 3) = -1.710229423597693, (226, 1) = 1.6764661968451142, (226, 2) = 5.65539172300184, (226, 3) = -1.7070861027224382, (227, 1) = 1.6836439036337547, (227, 2) = 5.653226694074135, (227, 3) = -1.703962793150311, (228, 1) = 1.6908197042560864, (228, 2) = 5.651065364409886, (228, 3) = -1.7008592752437064, (229, 1) = 1.6979936151205401, (229, 2) = 5.648907706221496, (229, 3) = -1.697775332032326, (230, 1) = 1.7051656517295328, (230, 2) = 5.646753692263811, (230, 3) = -1.6947107502286707, (231, 1) = 1.7123358295980045, (231, 2) = 5.644603295552859, (231, 3) = -1.6916653197632034, (232, 1) = 1.7195041643524602, (232, 2) = 5.64245648933224, (232, 3) = -1.6886388336802753, (233, 1) = 1.7266706724676495, (233, 2) = 5.640313246849317, (233, 3) = -1.6856310877701728, (234, 1) = 1.7338353691707848, (234, 2) = 5.638173541978599, (234, 3) = -1.682641881391732, (235, 1) = 1.7409982697914526, (235, 2) = 5.636037348813102, (235, 3) = -1.679671016840383, (236, 1) = 1.7481593900285117, (236, 2) = 5.633904641581443, (236, 3) = -1.6767182991828535, (237, 1) = 1.7553187457496284, (237, 2) = 5.631775394704577, (237, 3) = -1.6737835362880211, (238, 1) = 1.7624763529108902, (238, 2) = 5.629649582816445, (238, 3) = -1.6708665388073007, (239, 1) = 1.769632227535104, (239, 2) = 5.627527180767106, (239, 3) = -1.6679671201313204, (240, 1) = 1.776786385712606, (240, 2) = 5.625408163619222, (240, 3) = -1.6650850963384958, (241, 1) = 1.7839388436020098, (241, 2) = 5.623292506644597, (241, 3) = -1.6622202861447963, (242, 1) = 1.7910896174309627, (242, 2) = 5.621180185320803, (242, 3) = -1.6593725108546291, (243, 1) = 1.7982387234969472, (243, 2) = 5.619071175327836, (243, 3) = -1.6565415943128345, (244, 1) = 1.8053861781673965, (244, 2) = 5.616965452545041, (244, 3) = -1.6537273628580342, (245, 1) = 1.8125319970458131, (245, 2) = 5.614862993293312, (245, 3) = -1.6509296456026346, (246, 1) = 1.8196761969291693, (246, 2) = 5.612763773755767, (246, 3) = -1.64814827361923, (247, 1) = 1.826818795560555, (247, 2) = 5.610667770049588, (247, 3) = -1.6453830800048974, (248, 1) = 1.8339598088109799, (248, 2) = 5.608574959050236, (248, 3) = -1.6426339009298827, (249, 1) = 1.8410992533833956, (249, 2) = 5.606485317594049, (249, 3) = -1.639900574542703, (250, 1) = 1.8482371460801064, (250, 2) = 5.604398822690977, (250, 3) = -1.6371829412157568, (251, 1) = 1.855373503779231, (251, 2) = 5.60231545152882, (251, 3) = -1.6344808435146354, (252, 1) = 1.8625083434354504, (252, 2) = 5.600235181470396, (252, 3) = -1.6317941261589632, (253, 1) = 1.8696416820807589, (253, 2) = 5.598157990050733, (253, 3) = -1.6291226359840023, (254, 1) = 1.8767735368251457, (254, 2) = 5.596083854974375, (254, 3) = -1.6264662219031962, (255, 1) = 1.8839039247515204, (255, 2) = 5.594012754143375, (255, 3) = -1.6238247349105293, (256, 1) = 1.8910328630299544, (256, 2) = 5.59194466562156, (256, 3) = -1.6211980280018585, (257, 1) = 1.8981603690041726, (257, 2) = 5.589879567607117, (257, 3) = -1.6185859561085185, (258, 1) = 1.9052864600989523, (258, 2) = 5.58781743845717, (258, 3) = -1.6159883760977845, (259, 1) = 1.9124111539921107, (259, 2) = 5.585758256635837, (259, 3) = -1.6134051466772732, (260, 1) = 1.919534469050275, (260, 2) = 5.58370200058651, (260, 3) = -1.6108361282071726, (261, 1) = 1.926656422190922, (261, 2) = 5.5816486493467385, (261, 3) = -1.6082811834388924, (262, 1) = 1.9337770309461473, (262, 2) = 5.579598181949425, (262, 3) = -1.6057401767347084, (263, 1) = 1.9408963121912788, (263, 2) = 5.577550577787058, (263, 3) = -1.603212974492282, (264, 1) = 1.948014284211376, (264, 2) = 5.575505816015043, (264, 3) = -1.600699444380035, (265, 1) = 1.9551309654896876, (265, 2) = 5.573463875899329, (265, 3) = -1.598199455744519, (266, 1) = 1.9622463740687908, (266, 2) = 5.571424736997547, (266, 3) = -1.5957128798052704, (267, 1) = 1.9693605281314166, (267, 2) = 5.56938837898994, (267, 3) = -1.593239589420417, (268, 1) = 1.9764734459488198, (268, 2) = 5.567354781692228, (268, 3) = -1.5907794590773534, (269, 1) = 1.983585145881567, (269, 2) = 5.565323925053464, (269, 3) = -1.5883323648654513, (270, 1) = 1.9906956463802645, (270, 2) = 5.5632957891539245, (270, 3) = -1.585898184449345, (271, 1) = 1.9978049660316444, (271, 2) = 5.561270354190114, (271, 3) = -1.5834767970273242, (272, 1) = 2.0049131242720852, (272, 2) = 5.55924760027009, (272, 3) = -1.5810680830651702, (273, 1) = 2.0120201393852106, (273, 2) = 5.557227507981718, (273, 3) = -1.5786719249511219, (274, 1) = 2.0191260297430005, (274, 2) = 5.555210058036708, (274, 3) = -1.5762882065455603, (275, 1) = 2.026230814084067, (275, 2) = 5.553195231189987, (275, 3) = -1.5739168130645003, (276, 1) = 2.0333345113888277, (276, 2) = 5.55118300827378, (276, 3) = -1.5715576310998725, (277, 1) = 2.0404371407542943, (277, 2) = 5.549173370231577, (277, 3) = -1.5692105486390742, (278, 1) = 2.0475387213736504, (278, 2) = 5.547166298122265, (278, 3) = -1.5668754550493622, (279, 1) = 2.054639272536989, (279, 2) = 5.545161773118307, (279, 3) = -1.564552241055589, (280, 1) = 2.0617388135355834, (280, 2) = 5.543159776531116, (280, 3) = -1.5622407987496727, (281, 1) = 2.0688373628240986, (281, 2) = 5.541160290045186, (281, 3) = -1.5599410218394434, (282, 1) = 2.075934940697359, (282, 2) = 5.539163294962342, (282, 3) = -1.5576528047596254, (283, 1) = 2.08303156725746, (283, 2) = 5.5371687727740015, (283, 3) = -1.555376043315872, (284, 1) = 2.0901272628035428, (284, 2) = 5.5351767050498175, (284, 3) = -1.553110634538304, (285, 1) = 2.0972220471482097, (285, 2) = 5.533187073627965, (285, 3) = -1.5508564768793032, (286, 1) = 2.10431593959288, (286, 2) = 5.531199860619659, (286, 3) = -1.5486134701975365, (287, 1) = 2.1114089602203814, (287, 2) = 5.529215048045335, (287, 3) = -1.5463815153287648, (288, 1) = 2.118501129222886, (288, 2) = 5.527232618022005, (288, 3) = -1.5441605142825228, (289, 1) = 2.1255924668973436, (289, 2) = 5.525252552763179, (289, 3) = -1.5419503702254898, (290, 1) = 2.1326829936462977, (290, 2) = 5.523274834577275, (290, 3) = -1.539750987463494, (291, 1) = 2.1397727299786817, (291, 2) = 5.5212994458660685, (291, 3) = -1.5375622714238566, (292, 1) = 2.146861696510641, (292, 2) = 5.519326369123151, (292, 3) = -1.535384128638063, (293, 1) = 2.1539499139647673, (293, 2) = 5.5173555869328474, (293, 3) = -1.5332164667252586, (294, 1) = 2.1610374030169277, (294, 2) = 5.515387082011468, (294, 3) = -1.5310591944222793, (295, 1) = 2.1681241845014885, (295, 2) = 5.513420837148918, (295, 3) = -1.528912221504457, (296, 1) = 2.1752102797956048, (296, 2) = 5.511456835101093, (296, 3) = -1.5267754586544995, (297, 1) = 2.182295710603571, (297, 2) = 5.5094950586489615, (297, 3) = -1.5246488175145705, (298, 1) = 2.1893804971862743, (298, 2) = 5.507535491087144, (298, 3) = -1.5225322112002924, (299, 1) = 2.1964646598790365, (299, 2) = 5.505578115801345, (299, 3) = -1.5204255538246791, (300, 1) = 2.2035482211068707, (300, 2) = 5.503622915711206, (300, 3) = -1.5183287598881878, (301, 1) = 2.2106312027336834, (301, 2) = 5.501669874002504, (301, 3) = -1.5162417450570251, (302, 1) = 2.217713626487324, (302, 2) = 5.499718974008059, (302, 3) = -1.5141644260200238, (303, 1) = 2.2247955141919125, (303, 2) = 5.497770199142392, (303, 3) = -1.5120967204053712, (304, 1) = 2.231876887602564, (304, 2) = 5.495823532946003, (304, 3) = -1.5100385468148063, (305, 1) = 2.238957768740021, (305, 2) = 5.49387895899222, (305, 3) = -1.5079898247124033, (306, 1) = 2.246038179796974, (306, 2) = 5.491936460912042, (306, 3) = -1.50595047443937, (307, 1) = 2.2531181430859037, (307, 2) = 5.489996022407449, (307, 3) = -1.5039204172164269, (308, 1) = 2.2601976811810127, (308, 2) = 5.48805762721157, (308, 3) = -1.5018995750907247, (309, 1) = 2.267276817405801, (309, 2) = 5.486121258954552, (309, 3) = -1.4998878707860657, (310, 1) = 2.274355573742067, (310, 2) = 5.484186901734546, (310, 3) = -1.4978852282849024, (311, 1) = 2.2814339727740163, (311, 2) = 5.482254539584282, (311, 3) = -1.4958915722607735, (312, 1) = 2.2885120374263903, (312, 2) = 5.480324156542161, (312, 3) = -1.4939068281428327, (313, 1) = 2.29558979068656, (313, 2) = 5.478395736727276, (313, 3) = -1.491930922183087, (314, 1) = 2.302667255513026, (314, 2) = 5.476469264363312, (314, 3) = -1.4899637814700175, (315, 1) = 2.3097444551849295, (315, 2) = 5.474544723682428, (315, 3) = -1.4880053338200003, (316, 1) = 2.316821412770466, (316, 2) = 5.472622099068961, (316, 3) = -1.4860555079136872, (317, 1) = 2.323898151024703, (317, 2) = 5.4707013750858335, (317, 3) = -1.484114233311182, (318, 1) = 2.3309746946548806, (318, 2) = 5.468782535859156, (318, 3) = -1.4821814398215398, (319, 1) = 2.338051067603557, (319, 2) = 5.466865565815372, (319, 3) = -1.4802570582403987, (320, 1) = 2.345127293848401, (320, 2) = 5.464950449462899, (320, 3) = -1.4783410201183786, (321, 1) = 2.352203398227546, (321, 2) = 5.463037171168111, (321, 3) = -1.4764332575284482, (322, 1) = 2.3592794045932104, (322, 2) = 5.461125715653986, (322, 3) = -1.4745337035548565, (323, 1) = 2.366355336724979, (323, 2) = 5.459216067751513, (323, 3) = -1.472642292033424, (324, 1) = 2.373431218921676, (324, 2) = 5.457308212239133, (324, 3) = -1.470758957383657, (325, 1) = 2.380507075794582, (325, 2) = 5.455402133898138, (325, 3) = -1.4688836346563343, (326, 1) = 2.387582932093364, (326, 2) = 5.453497817558926, (326, 3) = -1.467016259571155, (327, 1) = 2.3946588127060857, (327, 2) = 5.451595248100255, (327, 3) = -1.465156768507727, (328, 1) = 2.4017347426602242, (328, 2) = 5.449694410448235, (328, 3) = -1.4633050984964375, (329, 1) = 2.4088107471236664, (329, 2) = 5.4477952895753115, (329, 3) = -1.4614611872094754, (330, 1) = 2.4158868514057223, (330, 2) = 5.445897870499276, (330, 3) = -1.459624972952005, (331, 1) = 2.4229630809629588, (331, 2) = 5.444002138281004, (331, 3) = -1.4577963946522614, (332, 1) = 2.430039462039454, (332, 2) = 5.442108077852443, (332, 3) = -1.4559753916888525, (333, 1) = 2.437116020082818, (333, 2) = 5.44021567444013, (333, 3) = -1.45416190429117, (334, 1) = 2.444192779729609, (334, 2) = 5.438324913567228, (334, 3) = -1.452355873530059, (335, 1) = 2.4512697665061816, (335, 2) = 5.436435780597936, (335, 3) = -1.450557240873584, (336, 1) = 2.4583470075855316, (336, 2) = 5.434548260535948, (336, 3) = -1.448765947992104, (337, 1) = 2.465424529336353, (337, 2) = 5.432662338678379, (337, 3) = -1.4469819373749935, (338, 1) = 2.472502358230722, (338, 2) = 5.430778000372463, (338, 3) = -1.4452051520908207, (339, 1) = 2.4795805208916084, (339, 2) = 5.4288952310022065, (339, 3) = -1.443435535767898, (340, 1) = 2.4866590440939924, (340, 2) = 5.4270140159875115, (340, 3) = -1.4416730325867917, (341, 1) = 2.493737954765944, (341, 2) = 5.425134340783249, (341, 3) = -1.4399175872729373, (342, 1) = 2.5008172799526593, (342, 2) = 5.423256190888204, (342, 3) = -1.4381691450985508, (343, 1) = 2.507897047129679, (343, 2) = 5.421379551761458, (343, 3) = -1.4364276517986536, (344, 1) = 2.5149772838620272, (344, 2) = 5.419504408912346, (344, 3) = -1.4346930536490465, (345, 1) = 2.5220580169822235, (345, 2) = 5.417630748117222, (345, 3) = -1.432965297659475, (346, 1) = 2.5291392741789043, (346, 2) = 5.415758554998054, (346, 3) = -1.4312443311774548, (347, 1) = 2.536221083316311, (347, 2) = 5.413887815202354, (347, 3) = -1.4295301020496658, (348, 1) = 2.5433034724197707, (348, 2) = 5.412018514406469, (348, 3) = -1.427822558619192, (349, 1) = 2.550386469676863, (349, 2) = 5.4101506383147315, (349, 3) = -1.4261216497190308, (350, 1) = 2.557470103438638, (350, 2) = 5.408284172658617, (350, 3) = -1.4244273246657064, (351, 1) = 2.5645544022200957, (351, 2) = 5.406419103196084, (351, 3) = -1.4227395332531252, (352, 1) = 2.57163939381886, (352, 2) = 5.404555415942798, (352, 3) = -1.4210582259554048, (353, 1) = 2.5787251067488577, (353, 2) = 5.4026930967939855, (353, 3) = -1.419383353578724, (354, 1) = 2.5858115712185517, (354, 2) = 5.400832131267792, (354, 3) = -1.417714867028331, (355, 1) = 2.592898816883658, (355, 2) = 5.398972505095823, (355, 3) = -1.4160527178359381, (356, 1) = 2.5999868723215718, (356, 2) = 5.3971142043596405, (356, 3) = -1.4143968582733752, (357, 1) = 2.60707576700092, (357, 2) = 5.395257214973192, (357, 3) = -1.4127472408840203, (358, 1) = 2.614165530618221, (358, 2) = 5.393401522856669, (358, 3) = -1.4111038186341829, (359, 1) = 2.6212561930446365, (359, 2) = 5.39154711395003, (359, 3) = -1.4094665449203652, (360, 1) = 2.628347784327275, (360, 2) = 5.3896939742121965, (360, 3) = -1.4078353735637488, (361, 1) = 2.635440334690492, (361, 2) = 5.38784208962027, (361, 3) = -1.4062102588048198, (362, 1) = 2.64253387434338, (362, 2) = 5.3859914462192915, (362, 3) = -1.4045911553421817, (363, 1) = 2.6496284336730622, (363, 2) = 5.38414203007124, (363, 3) = -1.402978018282912, (364, 1) = 2.6567240434373494, (364, 2) = 5.382293827204414, (364, 3) = -1.4013708030941632, (365, 1) = 2.6638207348148164, (365, 2) = 5.380446823600229, (365, 3) = -1.3997694655878858, (366, 1) = 2.670918539571339, (366, 2) = 5.378601005149713, (366, 3) = -1.3981739618798195, (367, 1) = 2.678017488252745, (367, 2) = 5.376756358122989, (367, 3) = -1.3965842487904865, (368, 1) = 2.6851176121662856, (368, 2) = 5.374912868653137, (368, 3) = -1.3950002833934874, (369, 1) = 2.6922189419596525, (369, 2) = 5.373070523104898, (369, 3) = -1.3934220233286594, (370, 1) = 2.6993215101338537, (370, 2) = 5.371229307422284, (370, 3) = -1.3918494262388226, (371, 1) = 2.706425349218244, (371, 2) = 5.369389207602398, (371, 3) = -1.3902824501741653, (372, 1) = 2.7135304911878215, (372, 2) = 5.36755020984566, (372, 3) = -1.3887210537150816, (373, 1) = 2.720636968382502, (373, 2) = 5.365712300317019, (373, 3) = -1.3871651957640034, (374, 1) = 2.7277448134432967, (374, 2) = 5.363875465162255, (374, 3) = -1.3856148355558655, (375, 1) = 2.7348540592081845, (375, 2) = 5.36203969053459, (375, 3) = -1.384069932677045, (376, 1) = 2.741964738857406, (376, 2) = 5.3602049625568755, (376, 3) = -1.3825304470299553, (377, 1) = 2.7490768863692834, (377, 2) = 5.358371267203893, (377, 3) = -1.3809963387315318, (378, 1) = 2.756190534497145, (378, 2) = 5.356538590823606, (378, 3) = -1.3794675685456805, (379, 1) = 2.7633057166801622, (379, 2) = 5.354706919643696, (379, 3) = -1.3779440974654193, (380, 1) = 2.770422466764068, (380, 2) = 5.352876239843521, (380, 3) = -1.376425886770502, (381, 1) = 2.7775408187384345, (381, 2) = 5.351046537621493, (381, 3) = -1.37491289808025, (382, 1) = 2.784660806544954, (382, 2) = 5.3492177992439105, (382, 3) = -1.373405093390196, (383, 1) = 2.7917824646029086, (383, 2) = 5.347390010909595, (383, 3) = -1.3719024349568378, (384, 1) = 2.7989058275863217, (384, 2) = 5.345563158806961, (384, 3) = -1.370404885341927, (385, 1) = 2.806030930381976, (385, 2) = 5.343737229124512, (385, 3) = -1.3689124074179182, (386, 1) = 2.8131578079178836, (386, 2) = 5.341912208094454, (386, 3) = -1.3674249644003147, (387, 1) = 2.820286494554149, (387, 2) = 5.340088082148028, (387, 3) = -1.365942519970056, (388, 1) = 2.827417027493943, (388, 2) = 5.338264837042649, (388, 3) = -1.3644650375618328, (389, 1) = 2.834549442259259, (389, 2) = 5.3364424590196355, (389, 3) = -1.3629924813029692, (390, 1) = 2.841683774515634, (390, 2) = 5.334620934336437, (390, 3) = -1.3615248156284512, (391, 1) = 2.8488200603156297, (391, 2) = 5.332800249204164, (391, 3) = -1.3600620052276544, (392, 1) = 2.8559583357920637, (392, 2) = 5.330980389865674, (392, 3) = -1.3586040151043963, (393, 1) = 2.8630986375813365, (393, 2) = 5.329161342487354, (393, 3) = -1.3571508104873566, (394, 1) = 2.870241002555806, (394, 2) = 5.327343093227226, (394, 3) = -1.3557023568822526, (395, 1) = 2.877385467818073, (395, 2) = 5.32552562823614, (395, 3) = -1.354258620070062, (396, 1) = 2.884532070702833, (396, 2) = 5.323708933657079, (396, 3) = -1.3528195661037288, (397, 1) = 2.891680848840168, (397, 2) = 5.321892995608798, (397, 3) = -1.3513851612926104, (398, 1) = 2.898831840804894, (398, 2) = 5.320077800020898, (398, 3) = -1.349955372070276, (399, 1) = 2.9059850841436057, (399, 2) = 5.318263333134485, (399, 3) = -1.3485301653866022, (400, 1) = 2.9131406168000127, (400, 2) = 5.31644958113965, (400, 3) = -1.3471095084181046, (401, 1) = 2.920298477031396, (401, 2) = 5.3146365301965, (401, 3) = -1.3456933685823032, (402, 1) = 2.927458703407338, (402, 2) = 5.3128241664353615, (402, 3) = -1.3442817135355953, (403, 1) = 2.9346213344927365, (403, 2) = 5.311012476036725, (403, 3) = -1.3428745112330414, (404, 1) = 2.941786408818649, (404, 2) = 5.309201445238227, (404, 3) = -1.3414717299306769, (405, 1) = 2.9489539669529687, (405, 2) = 5.307391059811311, (405, 3) = -1.3400733377787333, (406, 1) = 2.956124048746108, (406, 2) = 5.305581305757582, (406, 3) = -1.338679303359808, (407, 1) = 2.963296694257807, (407, 2) = 5.303772169074058, (407, 3) = -1.3372895955038409, (408, 1) = 2.970471944518732, (408, 2) = 5.301963635561019, (408, 3) = -1.3359041831387886, (409, 1) = 2.9776498395995334, (409, 2) = 5.300155691308635, (409, 3) = -1.334523035661509, (410, 1) = 2.984830419889018, (410, 2) = 5.298348322374104, (410, 3) = -1.3331461226867245, (411, 1) = 2.992013726082009, (411, 2) = 5.296541514784559, (411, 3) = -1.3317734140472341, (412, 1) = 2.9991997993832804, (412, 2) = 5.29473525448568, (412, 3) = -1.3304048797530663, (413, 1) = 3.006388681363324, (413, 2) = 5.292929527377946, (413, 3) = -1.3290404900173733, (414, 1) = 3.0135804138616518, (414, 2) = 5.291124319340816, (414, 3) = -1.327680215272851, (415, 1) = 3.0207750389890333, (415, 2) = 5.289319616231974, (415, 3) = -1.3263240261691458, (416, 1) = 3.0279725991298094, (416, 2) = 5.2875154038865935, (416, 3) = -1.3249718935703305, (417, 1) = 3.0351731369850627, (417, 2) = 5.285711668106359, (417, 3) = -1.3236237885447428, (418, 1) = 3.04237669625169, (418, 2) = 5.283908394489395, (418, 3) = -1.3222796822365739, (419, 1) = 3.0495833197411533, (419, 2) = 5.282105568901183, (419, 3) = -1.320939546215375, (420, 1) = 3.0567930496278097, (420, 2) = 5.280303177411348, (420, 3) = -1.3196033524244366, (421, 1) = 3.0640059292850688, (421, 2) = 5.27850120583418, (421, 3) = -1.318271072837428, (422, 1) = 3.0712220036217857, (422, 2) = 5.276699639645308, (422, 3) = -1.3169426793975376, (423, 1) = 3.0784413170013853, (423, 2) = 5.274898464501567, (423, 3) = -1.3156181444005555, (424, 1) = 3.0856639140762345, (424, 2) = 5.273097666032209, (424, 3) = -1.3142974403381582, (425, 1) = 3.0928898397941142, (425, 2) = 5.271297229837158, (425, 3) = -1.312980539894877, (426, 1) = 3.100119139400802, (426, 2) = 5.269497141486213, (426, 3) = -1.3116674159458404, (427, 1) = 3.107351858474838, (427, 2) = 5.267697386510289, (427, 3) = -1.3103580415487501, (428, 1) = 3.11458804361452, (428, 2) = 5.265897950230518, (428, 3) = -1.3090523898184692, (429, 1) = 3.121827740618365, (429, 2) = 5.264098818210753, (429, 3) = -1.3077504342541681, (430, 1) = 3.1290709953189073, (430, 2) = 5.262299976049529, (430, 3) = -1.3064521485851184, (431, 1) = 3.1363178541811667, (431, 2) = 5.260501409231247, (431, 3) = -1.3051575066615178, (432, 1) = 3.1435683642856214, (432, 2) = 5.258703103130545, (432, 3) = -1.3038664824568849, (433, 1) = 3.150822573032331, (433, 2) = 5.256905043085756, (433, 3) = -1.3025790501197658, (434, 1) = 3.158080528141032, (434, 2) = 5.255107214398758, (434, 3) = -1.301295183972179, (435, 1) = 3.1653422776539415, (435, 2) = 5.253309602334203, (435, 3) = -1.3000148585075835, (436, 1) = 3.1726078698557476, (436, 2) = 5.251512192139168, (436, 3) = -1.2987380484034248, (437, 1) = 3.179877352367613, (437, 2) = 5.249714969266957, (437, 3) = -1.29746472867784, (438, 1) = 3.187150775638134, (438, 2) = 5.247917918513948, (438, 3) = -1.296194874076905, (439, 1) = 3.1944281892073065, (439, 2) = 5.246121024943674, (439, 3) = -1.2949284597294046, (440, 1) = 3.2017096419750817, (440, 2) = 5.244324273819503, (440, 3) = -1.2936654610953737, (441, 1) = 3.208995183789621, (441, 2) = 5.242527650212247, (441, 3) = -1.2924058536878291, (442, 1) = 3.216284865027255, (442, 2) = 5.240731139104044, (442, 3) = -1.291149613145416, (443, 1) = 3.2235787364108384, (443, 2) = 5.2389347254331575, (443, 3) = -1.2898967152627394, (444, 1) = 3.230876849012961, (444, 2) = 5.237138394093105, (444, 3) = -1.2886471359885292, (445, 1) = 3.23817925425913, (445, 2) = 5.235342129931802, (445, 3) = -1.287400851423823, (446, 1) = 3.2454860039791713, (446, 2) = 5.233545917738867, (446, 3) = -1.2861578378119742, (447, 1) = 3.2527971510882576, (447, 2) = 5.231749742078327, (447, 3) = -1.284918071422266, (448, 1) = 3.260112747646291, (448, 2) = 5.2299535877654435, (448, 3) = -1.2836815288781718, (449, 1) = 3.267432846092779, (449, 2) = 5.228157439562795, (449, 3) = -1.282448186945129, (450, 1) = 3.274757499253317, (450, 2) = 5.226361282178673, (450, 3) = -1.2812180225283534, (451, 1) = 3.282086760647449, (451, 2) = 5.224565100191589, (451, 3) = -1.27999101262029, (452, 1) = 3.289420684258483, (452, 2) = 5.222768878106853, (452, 3) = -1.2787671343387386, (453, 1) = 3.296759324153826, (453, 2) = 5.220972600449476, (453, 3) = -1.2775463649890249, (454, 1) = 3.3041027340824787, (454, 2) = 5.2191762518623595, (454, 3) = -1.2763286821288118, (455, 1) = 3.311450970257247, (455, 2) = 5.217379816425758, (455, 3) = -1.2751140631060607, (456, 1) = 3.3188040884495806, (456, 2) = 5.215583278368357, (456, 3) = -1.2739024855413794, (457, 1) = 3.326162145347832, (457, 2) = 5.213786621735097, (457, 3) = -1.2726939271020836, (458, 1) = 3.333525196872112, (458, 2) = 5.211989830798596, (458, 3) = -1.2714883657780496, (459, 1) = 3.340893299190573, (459, 2) = 5.2101928898105, (459, 3) = -1.2702857797121092, (460, 1) = 3.3482665090235812, (460, 2) = 5.208395782927223, (460, 3) = -1.2690861471493184, (461, 1) = 3.355644883877144, (461, 2) = 5.206598494153216, (461, 3) = -1.2678894463986254, (462, 1) = 3.3630284816954923, (462, 2) = 5.204801007425737, (462, 3) = -1.266695655889012, (463, 1) = 3.370417360840681, (463, 2) = 5.203003306619844, (463, 3) = -1.2655047541719726, (464, 1) = 3.377811580096651, (464, 2) = 5.201205375547387, (464, 3) = -1.2643167199199907, (465, 1) = 3.3852111987411626, (465, 2) = 5.199407197939519, (465, 3) = -1.2631315319142102, (466, 1) = 3.3926162772079027, (466, 2) = 5.197608757285996, (466, 3) = -1.2619491689382276, (467, 1) = 3.4000268750458975, (467, 2) = 5.1958100373308245, (467, 3) = -1.2607696101033898, (468, 1) = 3.407443052432821, (468, 2) = 5.1940110217043385, (468, 3) = -1.2595928346049865, (469, 1) = 3.41486486921585, (469, 2) = 5.19221169415581, (469, 3) = -1.2584188218734598, (470, 1) = 3.422292386313033, (470, 2) = 5.19041203821345, (470, 3) = -1.2572475513511325, (471, 1) = 3.4297256665589515, (471, 2) = 5.188612036980153, (471, 3) = -1.2560790023602921, (472, 1) = 3.437164772269611, (472, 2) = 5.186811673723687, (472, 3) = -1.2549131544870884, (473, 1) = 3.444609766211375, (473, 2) = 5.185010931641736, (473, 3) = -1.2537499874273326, (474, 1) = 3.452060711721309, (474, 2) = 5.183209793832841, (474, 3) = -1.2525894809670892, (475, 1) = 3.4595176732966353, (475, 2) = 5.181408243154102, (475, 3) = -1.2514316148908964, (476, 1) = 3.4669807144821427, (476, 2) = 5.179606262731654, (476, 3) = -1.2502763693092955, (477, 1) = 3.4744498996649105, (477, 2) = 5.177803835526705, (477, 3) = -1.2491237243782827, (478, 1) = 3.481925293966253, (478, 2) = 5.176000944361899, (478, 3) = -1.2479736603161902, (479, 1) = 3.4894069626015494, (479, 2) = 5.174197572075761, (479, 3) = -1.2468261575017396, (480, 1) = 3.4968949715197244, (480, 2) = 5.172393701368484, (480, 3) = -1.2456811963749228, (481, 1) = 3.504389387338271, (481, 2) = 5.170589314817734, (481, 3) = -1.2445387574469402, (482, 1) = 3.511890277178917, (482, 2) = 5.168784394918381, (482, 3) = -1.243398821324984, (483, 1) = 3.519397708824588, (483, 2) = 5.166978924044774, (483, 3) = -1.2422613686880213, (484, 1) = 3.526911751060865, (484, 2) = 5.165172884368865, (484, 3) = -1.2411263802351373, (485, 1) = 3.534432470651592, (485, 2) = 5.163366258586906, (485, 3) = -1.239993837140951, (486, 1) = 3.5419599374572566, (486, 2) = 5.161559028689265, (486, 3) = -1.238863720282063, (487, 1) = 3.5494942216320218, (487, 2) = 5.15975117663463, (487, 3) = -1.2377360106614206, (488, 1) = 3.557035393350939, (488, 2) = 5.157942684415296, (488, 3) = -1.2366106894480025, (489, 1) = 3.564583522950944, (489, 2) = 5.156133534023104, (489, 3) = -1.2354877379542863, (490, 1) = 3.5721386817035663, (490, 2) = 5.154323707264188, (490, 3) = -1.2343671375205942, (491, 1) = 3.579700941504794, (491, 2) = 5.152513185833563, (491, 3) = -1.2332488695613921, (492, 1) = 3.5872703750169994, (492, 2) = 5.150701951281278, (492, 3) = -1.232132915544195, (493, 1) = 3.594847055989104, (493, 2) = 5.148889984936084, (493, 3) = -1.231019256942735, (494, 1) = 3.6024310572336673, (494, 2) = 5.147077268389242, (494, 3) = -1.2299078755337587, (495, 1) = 3.6100224527619225, (495, 2) = 5.145263782983709, (495, 3) = -1.2287987530819573, (496, 1) = 3.617621317324519, (496, 2) = 5.143449509924273, (496, 3) = -1.2276918714078602, (497, 1) = 3.6252277262612687, (497, 2) = 5.1416344303135855, (497, 3) = -1.2265872124096813, (498, 1) = 3.6328417553126773, (498, 2) = 5.139818525197176, (498, 3) = -1.2254847580903445, (499, 1) = 3.640463480596116, (499, 2) = 5.138001775569114, (499, 3) = -1.224384490560253, (500, 1) = 3.6480929790597343, (500, 2) = 5.136184162263852, (500, 3) = -1.223286391971356, (501, 1) = 3.65573032821203, (501, 2) = 5.134365666020841, (501, 3) = -1.2221904445561846, (502, 1) = 3.663375606823917, (502, 2) = 5.132546267317584, (502, 3) = -1.221096630527276, (503, 1) = 3.6710288939315125, (503, 2) = 5.130725946607263, (503, 3) = -1.22000493222038, (504, 1) = 3.6786902691773307, (504, 2) = 5.128904684237542, (504, 3) = -1.2189153320451083, (505, 1) = 3.686359812845971, (505, 2) = 5.127082460442179, (505, 3) = -1.2178278124796733, (506, 1) = 3.694037605871157, (506, 2) = 5.1252592553394924, (506, 3) = -1.2167423560697745, (507, 1) = 3.701723729841731, (507, 2) = 5.12343504893103, (507, 3) = -1.2156589454276714, (508, 1) = 3.709418267245226, (508, 2) = 5.1216098210439585, (508, 3) = -1.2145775631978946, (509, 1) = 3.7171213008686776, (509, 2) = 5.11978355147336, (509, 3) = -1.2134981921415087, (510, 1) = 3.724832913589084, (510, 2) = 5.117956220031751, (510, 3) = -1.2124208151645322, (511, 1) = 3.7325531896837507, (511, 2) = 5.116127806238618, (511, 3) = -1.2113454151344154, (512, 1) = 3.740282214132239, (512, 2) = 5.11429828948619, (512, 3) = -1.2102719749783235, (513, 1) = 3.7480200726153377, (513, 2) = 5.11246764903983, (513, 3) = -1.2092004776832772, (514, 1) = 3.7557668515228917, (514, 2) = 5.11063586403634, (514, 3) = -1.2081309062950998, (515, 1) = 3.763522637928585, (515, 2) = 5.108802913490058, (515, 3) = -1.207063243921905, (516, 1) = 3.771287518485111, (516, 2) = 5.106968776553893, (516, 3) = -1.2059974738854953, (517, 1) = 3.7790615828461465, (517, 2) = 5.1051334317111285, (517, 3) = -1.2049335792515106, (518, 1) = 3.786844920583546, (518, 2) = 5.103296857504202, (518, 3) = -1.2038715432540923, (519, 1) = 3.7946376209596764, (519, 2) = 5.101459032588031, (519, 3) = -1.2028113493252524, (520, 1) = 3.8024397747878367, (520, 2) = 5.099619935291147, (520, 3) = -1.2017529808408685, (521, 1) = 3.810251473649626, (521, 2) = 5.09777954380066, (521, 3) = -1.2006964212280975, (522, 1) = 3.8180728099028207, (522, 2) = 5.095937836160592, (522, 3) = -1.1996416539644583, (523, 1) = 3.825903876690302, (523, 2) = 5.094094790269956, (523, 3) = -1.1985886625767892, (524, 1) = 3.8337447679953063, (524, 2) = 5.092250383869955, (524, 3) = -1.1975374306340383, (525, 1) = 3.8415955793993923, (525, 2) = 5.090404594366025, (525, 3) = -1.196487941646363, (526, 1) = 3.8494564060031715, (526, 2) = 5.088557399316994, (526, 3) = -1.1954401793436291, (527, 1) = 3.8573273436338966, (527, 2) = 5.086708776150951, (527, 3) = -1.1943941275128545, (528, 1) = 3.8652084890195786, (528, 2) = 5.0848587021245075, (528, 3) = -1.1933497699752516, (529, 1) = 3.8730999401565582, (529, 2) = 5.083007154236849, (529, 3) = -1.1923070905381163, (530, 1) = 3.881001795481213, (530, 2) = 5.081154109424364, (530, 3) = -1.1912660731049016, (531, 1) = 3.888914153953766, (531, 2) = 5.0792995445410085, (531, 3) = -1.1902267016637331, (532, 1) = 3.896837118298291, (532, 2) = 5.07744343559944, (532, 3) = -1.1891889598633247, (533, 1) = 3.904770789366905, (533, 2) = 5.0755857590922835, (533, 3) = -1.1881528317537675, (534, 1) = 3.9127152693948353, (534, 2) = 5.073726491229098, (534, 3) = -1.187118301358382, (535, 1) = 3.920670661693055, (535, 2) = 5.0718656080088, (535, 3) = -1.186085352714862, (536, 1) = 3.9286370704864204, (536, 2) = 5.0700030852578095, (536, 3) = -1.1850539698969107, (537, 1) = 3.9366146006812506, (537, 2) = 5.068138898684594, (537, 3) = -1.1840241370445912, (538, 1) = 3.9446033579676887, (538, 2) = 5.066273023855868, (538, 3) = -1.1829958383511403, (539, 1) = 3.9526034497643345, (539, 2) = 5.064405435976295, (539, 3) = -1.181969057942045, (540, 1) = 3.960614984627504, (540, 2) = 5.0625361100269775, (540, 3) = -1.1809437799524471, (541, 1) = 3.968638070643482, (541, 2) = 5.060665021140678, (541, 3) = -1.179919988732785, (542, 1) = 3.9766728176917847, (542, 2) = 5.058792144073831, (542, 3) = -1.178897668559084, (543, 1) = 3.9847193367147415, (543, 2) = 5.05691745337737, (543, 3) = -1.1778768037274694, (544, 1) = 3.99277773961689, (544, 2) = 5.055040923420503, (544, 3) = -1.1768573785675511, (545, 1) = 4.00084813806391, (545, 2) = 5.0531625286704145, (545, 3) = -1.1758393775941414, (546, 1) = 4.0089306465864105, (546, 2) = 5.051282242969952, (546, 3) = -1.1748227851157322, (547, 1) = 4.01702538124813, (547, 2) = 5.049400039848564, (547, 3) = -1.1738075854051753, (548, 1) = 4.025132458096951, (548, 2) = 5.047515892882768, (548, 3) = -1.1727937628945853, (549, 1) = 4.033251993522677, (549, 2) = 5.045629775612743, (549, 3) = -1.1717813021294676, (550, 1) = 4.041384105774956, (550, 2) = 5.043741661189874, (550, 3) = -1.1707701875795924, (551, 1) = 4.049528914212227, (551, 2) = 5.041851522551737, (551, 3) = -1.169760403734011, (552, 1) = 4.057686539304603, (552, 2) = 5.03995933242176, (552, 3) = -1.16875193510141, (553, 1) = 4.065857102705113, (553, 2) = 5.038065063293011, (553, 3) = -1.1677447662020162, (554, 1) = 4.074040728052338, (554, 2) = 5.036168687242613, (554, 3) = -1.166738881469911, (555, 1) = 4.0822375387167975, (555, 2) = 5.034270176454381, (555, 3) = -1.165734265531053, (556, 1) = 4.090447659268935, (556, 2) = 5.032369502878592, (556, 3) = -1.1647309030223871, (557, 1) = 4.098671215487908, (557, 2) = 5.030466638230309, (557, 3) = -1.1637287785915968, (558, 1) = 4.106908334711672, (558, 2) = 5.028561553908786, (558, 3) = -1.1627278768554763, (559, 1) = 4.1151591450640685, (559, 2) = 5.026654221176654, (559, 3) = -1.1617281824948853, (560, 1) = 4.123423775617629, (560, 2) = 5.024744611122404, (560, 3) = -1.1607296802352045, (561, 1) = 4.131702359765071, (561, 2) = 5.02283269388217, (561, 3) = -1.1597323544411198, (562, 1) = 4.139995029175357, (562, 2) = 5.020918440036599, (562, 3) = -1.158736189847798, (563, 1) = 4.148301917361176, (563, 2) = 5.019001819786673, (563, 3) = -1.1577411711299292, (564, 1) = 4.156623159300365, (564, 2) = 5.0170828030416486, (564, 3) = -1.1567472829487666, (565, 1) = 4.16495889128345, (565, 2) = 5.015161359454717, (565, 3) = -1.1557545099715012, (566, 1) = 4.173309250791443, (566, 2) = 5.013237458451486, (566, 3) = -1.1547628368867096, (567, 1) = 4.181674376934074, (567, 2) = 5.011311069129441, (567, 3) = -1.153772248353287, (568, 1) = 4.190054410359353, (568, 2) = 5.009382160279296, (568, 3) = -1.1527827290125965, (569, 1) = 4.198449491914049, (569, 2) = 5.007450700693598, (569, 3) = -1.1517942636472913, (570, 1) = 4.20685976470257, (570, 2) = 5.005516658693164, (570, 3) = -1.1508068369389826, (571, 1) = 4.215285373275462, (571, 2) = 5.003580002314426, (571, 3) = -1.149820433565646, (572, 1) = 4.2237264634916665, (572, 2) = 5.001640699341523, (572, 3) = -1.1488350382188146, (573, 1) = 4.2321831813237205, (573, 2) = 4.99969871758096, (573, 3) = -1.1478506357433653, (574, 1) = 4.240655677624583, (574, 2) = 4.997754023767456, (574, 3) = -1.1468672105839361, (575, 1) = 4.249144103027045, (575, 2) = 4.995806584736146, (575, 3) = -1.145884747381257, (576, 1) = 4.257648608687531, (576, 2) = 4.993856367251557, (576, 3) = -1.1449032308847646, (577, 1) = 4.266169347784956, (577, 2) = 4.991903337664091, (577, 3) = -1.1439226457799498, (578, 1) = 4.274706475381166, (578, 2) = 4.989947461942698, (578, 3) = -1.1429429767064028, (579, 1) = 4.283260148122178, (579, 2) = 4.9879887057439465, (579, 3) = -1.1419642082937511, (580, 1) = 4.291830524469394, (580, 2) = 4.986027034359568, (580, 3) = -1.1409863251366328, (581, 1) = 4.3004177652230045, (581, 2) = 4.984062412597348, (581, 3) = -1.1400093117368966, (582, 1) = 4.309022031011692, (582, 2) = 4.9820948053559295, (582, 3) = -1.1390331527905024, (583, 1) = 4.317643484810374, (583, 2) = 4.98012417704899, (583, 3) = -1.1380578329015372, (584, 1) = 4.3262822915158745, (584, 2) = 4.978150491703034, (584, 3) = -1.1370833366325284, (585, 1) = 4.334938617731993, (585, 2) = 4.976173713007104, (585, 3) = -1.1361096485303874, (586, 1) = 4.343612630378749, (586, 2) = 4.974193804630681, (586, 3) = -1.1351367532836203, (587, 1) = 4.352304499599294, (587, 2) = 4.972210729560418, (587, 3) = -1.1341646353969106, (588, 1) = 4.361014399236639, (588, 2) = 4.970224449992727, (588, 3) = -1.1331932791418835, (589, 1) = 4.369742502099113, (589, 2) = 4.968234928414326, (589, 3) = -1.1322226690874384, (590, 1) = 4.378488983745889, (590, 2) = 4.9662421267389885, (590, 3) = -1.1312527896776456, (591, 1) = 4.38725402165441, (591, 2) = 4.96424600649816, (591, 3) = -1.1302836253267183, (592, 1) = 4.3960377952612, (592, 2) = 4.962246528832281, (592, 3) = -1.129315160416264, (593, 1) = 4.404840486878998, (593, 2) = 4.960243654282765, (593, 3) = -1.128347379196357, (594, 1) = 4.413662279200229, (594, 2) = 4.9582373433607545, (594, 3) = -1.1273802660620544, (595, 1) = 4.422503356905523, (595, 2) = 4.956227556181316, (595, 3) = -1.1264138053770942, (596, 1) = 4.431363906891223, (596, 2) = 4.9542142524124175, (596, 3) = -1.1254479814509137, (597, 1) = 4.44024411840474, (597, 2) = 4.95219739124488, (597, 3) = -1.124482778526115, (598, 1) = 4.449144182215435, (598, 2) = 4.950176931581398, (598, 3) = -1.1235181808705241, (599, 1) = 4.458064290807201, (599, 2) = 4.948152831993185, (599, 3) = -1.1225541727574406, (600, 1) = 4.467004642399926, (600, 2) = 4.946125049808539, (600, 3) = -1.1215907380342391, (601, 1) = 4.475965433966315, (601, 2) = 4.9440935426981305, (601, 3) = -1.1206278608791622, (602, 1) = 4.484946865284531, (602, 2) = 4.942058267755807, (602, 3) = -1.119665525364461, (603, 1) = 4.493949138559417, (603, 2) = 4.940019181585346, (603, 3) = -1.118703715499783, (604, 1) = 4.502972458258158, (604, 2) = 4.937976240338464, (604, 3) = -1.1177424152520108, (605, 1) = 4.512017031834126, (605, 2) = 4.935929399551741, (605, 3) = -1.1167816084706008, (606, 1) = 4.521083068211883, (606, 2) = 4.9338786144903315, (606, 3) = -1.115821279051014, (607, 1) = 4.530170777982679, (607, 2) = 4.931823840104045, (607, 3) = -1.114861410914991, (608, 1) = 4.539280375032715, (608, 2) = 4.929765030659833, (608, 3) = -1.1139019878404692, (609, 1) = 4.548412075693204, (609, 2) = 4.9277021399349605, (609, 3) = -1.1129429935543322, (610, 1) = 4.557566098670064, (610, 2) = 4.925635121233647, (610, 3) = -1.1119844117420943, (611, 1) = 4.5667426646026525, (611, 2) = 4.923563927487346, (611, 3) = -1.1110262260960968, (612, 1) = 4.575941997919471, (612, 2) = 4.921488510836717, (612, 3) = -1.1100684201241195, (613, 1) = 4.585164325298995, (613, 2) = 4.919408822980023, (613, 3) = -1.109110977313217, (614, 1) = 4.594409875840516, (614, 2) = 4.917324815135293, (614, 3) = -1.1081538811140486, (615, 1) = 4.603678881158346, (615, 2) = 4.9152364380198295, (615, 3) = -1.1071971149333757, (616, 1) = 4.612971576245314, (616, 2) = 4.9131436416565135, (616, 3) = -1.106240662047649, (617, 1) = 4.622288198890599, (617, 2) = 4.911046375506059, (617, 3) = -1.1052845056662988, (618, 1) = 4.631628988110481, (618, 2) = 4.908944588820872, (618, 3) = -1.1043286290947991, (619, 1) = 4.640994186797697, (619, 2) = 4.906838230049441, (619, 3) = -1.1033730154651307, (620, 1) = 4.650384040780207, (620, 2) = 4.9047272470492755, (620, 3) = -1.102417647835702, (621, 1) = 4.659798798902427, (621, 2) = 4.902611587069608, (621, 3) = -1.1014625091860102, (622, 1) = 4.669238714004961, (622, 2) = 4.900491196532325, (622, 3) = -1.1005075823206734, (623, 1) = 4.678704038412284, (623, 2) = 4.898366022046281, (623, 3) = -1.0995528503283154, (624, 1) = 4.688195030105764, (624, 2) = 4.896236009021473, (624, 3) = -1.0985982959594223, (625, 1) = 4.697711951104575, (625, 2) = 4.89410110203436, (625, 3) = -1.0976439017952873, (626, 1) = 4.707255065584403, (626, 2) = 4.891961245251063, (626, 3) = -1.096689650440251, (627, 1) = 4.71682464146399, (627, 2) = 4.889816382072326, (627, 3) = -1.0957355243654219, (628, 1) = 4.726420950343778, (628, 2) = 4.887666455148533, (628, 3) = -1.0947815059187116, (629, 1) = 4.736044265144215, (629, 2) = 4.885511406909684, (629, 3) = -1.09382757756244, (630, 1) = 4.74569486323664, (630, 2) = 4.883351178864805, (630, 3) = -1.0928737215647537, (631, 1) = 4.7553730256325455, (631, 2) = 4.881185711784862, (631, 3) = -1.0919199200843364, (632, 1) = 4.765079037971513, (632, 2) = 4.879014945483044, (632, 3) = -1.090966155077187, (633, 1) = 4.774813187639875, (633, 2) = 4.876838819460391, (633, 3) = -1.090012408583646, (634, 1) = 4.784575765687151, (634, 2) = 4.874657272477892, (634, 3) = -1.0890586625424379, (635, 1) = 4.794367066185271, (635, 2) = 4.872470242700727, (635, 3) = -1.0881048988567021, (636, 1) = 4.804187387610099, (636, 2) = 4.870277667390715, (636, 3) = -1.0871510992627949, (637, 1) = 4.814037035250347, (637, 2) = 4.868079482370323, (637, 3) = -1.086197245102082, (638, 1) = 4.823916316960945, (638, 2) = 4.865875622972399, (638, 3) = -1.0852433177384908, (639, 1) = 4.833825542322478, (639, 2) = 4.8636660242281415, (639, 3) = -1.084289298641393, (640, 1) = 4.843765026012541, (640, 2) = 4.861450620116037, (640, 3) = -1.0833351690633455, (641, 1) = 4.853735086997115, (641, 2) = 4.859229343743696, (641, 3) = -1.0823809101229782, (642, 1) = 4.863736049569646, (642, 2) = 4.857002127117909, (642, 3) = -1.0814265027104597, (643, 1) = 4.873768240434324, (643, 2) = 4.854768901795597, (643, 3) = -1.080471927770494, (644, 1) = 4.883831990573746, (644, 2) = 4.85252959846882, (644, 3) = -1.07951716612719, (645, 1) = 4.893927636126733, (645, 2) = 4.850284146770868, (645, 3) = -1.078562198405552, (646, 1) = 4.90405551662573, (646, 2) = 4.848032475669795, (646, 3) = -1.077607005203048, (647, 1) = 4.914215976141321, (647, 2) = 4.845774513215008, (647, 3) = -1.0766515669852659, (648, 1) = 4.924409367553416, (648, 2) = 4.843510185590083, (648, 3) = -1.0756958636907503, (649, 1) = 4.934636044098853, (649, 2) = 4.841239418992555, (649, 3) = -1.074739875530543, (650, 1) = 4.94489636473552, (650, 2) = 4.838962138443042, (650, 3) = -1.07378358248783, (651, 1) = 4.955190693512592, (651, 2) = 4.836678267926839, (651, 3) = -1.0728269643826265, (652, 1) = 4.965519400658992, (652, 2) = 4.834387730154185, (652, 3) = -1.0718700007764759, (653, 1) = 4.9758828596468145, (653, 2) = 4.8320904472132025, (653, 3) = -1.0709126712501356, (654, 1) = 4.986281449118314, (654, 2) = 4.829786340143708, (654, 3) = -1.0699549552291516, (655, 1) = 4.996715553702842, (655, 2) = 4.827475328757908, (655, 3) = -1.0689968319143779, (656, 1) = 5.0071855627952955, (656, 2) = 4.825157331912746, (656, 3) = -1.06803828040015, (657, 1) = 5.017691870943702, (657, 2) = 4.822832267425531, (657, 3) = -1.067079279643769, (658, 1) = 5.028234879853695, (658, 2) = 4.8205000516321475, (658, 3) = -1.0661198082886967, (659, 1) = 5.038814995990356, (659, 2) = 4.81816059991967, (659, 3) = -1.0651598448898412, (660, 1) = 5.049432631556867, (660, 2) = 4.815813826511424, (660, 3) = -1.0641993678299049, (661, 1) = 5.0600882059038925, (661, 2) = 4.8134596441574145, (661, 3) = -1.0632383551985212, (662, 1) = 5.0707821421301995, (662, 2) = 4.81109796488728, (662, 3) = -1.0622767851053956, (663, 1) = 5.081514869588221, (663, 2) = 4.808728699458108, (663, 3) = -1.0613146354593361, (664, 1) = 5.09228682502674, (664, 2) = 4.806351757104278, (664, 3) = -1.060351883872962, (665, 1) = 5.103098451897249, (665, 2) = 4.803967045692836, (665, 3) = -1.0593885077326186, (666, 1) = 5.113950199009468, (666, 2) = 4.801574472021985, (666, 3) = -1.058424484324876, (667, 1) = 5.124842518624722, (667, 2) = 4.799173942242622, (667, 3) = -1.0574597910105266, (668, 1) = 5.135775875365251, (668, 2) = 4.796765359896646, (668, 3) = -1.0564944044419355, (669, 1) = 5.1467507386606535, (669, 2) = 4.794348627584552, (669, 3) = -1.0555283012417342, (670, 1) = 5.157767585943704, (670, 2) = 4.791923646263236, (670, 3) = -1.0545614577273557, (671, 1) = 5.168826899154116, (671, 2) = 4.7894903160177025, (671, 3) = -1.0535938502253321, (672, 1) = 5.179929167938721, (672, 2) = 4.787048535358331, (672, 3) = -1.0526254547967275, (673, 1) = 5.191074891274185, (673, 2) = 4.784598200866562, (673, 3) = -1.051656247104652, (674, 1) = 5.2022645752607675, (674, 2) = 4.782139207682747, (674, 3) = -1.0506862026157857, (675, 1) = 5.213498731609502, (675, 2) = 4.779671449840455, (675, 3) = -1.0497152967384824, (676, 1) = 5.22477788003514, (676, 2) = 4.777194819742489, (676, 3) = -1.048743504622459, (677, 1) = 5.236102547408081, (677, 2) = 4.774709208349421, (677, 3) = -1.047770801240224, (678, 1) = 5.247473274595802, (678, 2) = 4.772214503680899, (678, 3) = -1.046797160809721, (679, 1) = 5.2588906054987365, (679, 2) = 4.769710593224702, (679, 3) = -1.0458225577453764, (680, 1) = 5.270355093357038, (680, 2) = 4.767197362554551, (680, 3) = -1.0448469661242827, (681, 1) = 5.281867301843321, (681, 2) = 4.764674695093608, (681, 3) = -1.0438703596040029, (682, 1) = 5.293427801164669, (682, 2) = 4.762142472971435, (682, 3) = -1.0428927117634585, (683, 1) = 5.305037171074922, (683, 2) = 4.759600576366173, (683, 3) = -1.041913995855998, (684, 1) = 5.316696001842971, (684, 2) = 4.75704888329552, (684, 3) = -1.040934184738679, (685, 1) = 5.328404892872269, (685, 2) = 4.754487269921957, (685, 3) = -1.0399532509995417, (686, 1) = 5.3401644525416145, (686, 2) = 4.751915610590181, (686, 3) = -1.038971166980825, (687, 1) = 5.351975294762904, (687, 2) = 4.749333778581941, (687, 3) = -1.037987905074797, (688, 1) = 5.3638380505375505, (688, 2) = 4.74674164359228, (688, 3) = -1.0370034367713936, (689, 1) = 5.375753360179111, (689, 2) = 4.744139073434006, (689, 3) = -1.0360177333208929, (690, 1) = 5.387721870944048, (690, 2) = 4.741525934557369, (690, 3) = -1.0350307659390505, (691, 1) = 5.399744241525602, (691, 2) = 4.738902091070962, (691, 3) = -1.0340425054452198, (692, 1) = 5.411821143526104, (692, 2) = 4.736267404423987, (692, 3) = -1.0330529221547131, (693, 1) = 5.42395325961831, (693, 2) = 4.733621733811125, (693, 3) = -1.032061986043421, (694, 1) = 5.436141282150822, (694, 2) = 4.730964936479593, (694, 3) = -1.0310696668734487, (695, 1) = 5.44838591497515, (695, 2) = 4.728296867333623, (695, 3) = -1.0300759340554806, (696, 1) = 5.460687873366709, (696, 2) = 4.725617378954876, (696, 3) = -1.0290807566679336, (697, 1) = 5.473047887145398, (697, 2) = 4.722926320926308, (697, 3) = -1.0280841032183763, (698, 1) = 5.485466697476077, (698, 2) = 4.7202235405328326, (698, 3) = -1.027085941916955, (699, 1) = 5.497945059699495, (699, 2) = 4.717508882148559, (699, 3) = -1.026086240462427, (700, 1) = 5.510483738880768, (700, 2) = 4.714782188208835, (700, 3) = -1.0250849664132091, (701, 1) = 5.52308351406337, (701, 2) = 4.712043298287901, (701, 3) = -1.0240820868596425, (702, 1) = 5.535745180334229, (702, 2) = 4.70929204865424, (702, 3) = -1.0230775682762567, (703, 1) = 5.548469547448895, (703, 2) = 4.706528272573929, (703, 3) = -1.022071376648767, (704, 1) = 5.561257434353292, (704, 2) = 4.703751801503974, (704, 3) = -1.0210634779218128, (705, 1) = 5.5741096759874, (705, 2) = 4.700962463617727, (705, 3) = -1.0200538374748744, (706, 1) = 5.58702712830107, (706, 2) = 4.698160082721507, (706, 3) = -1.0190424197485233, (707, 1) = 5.600010655817601, (707, 2) = 4.6953444809577, (707, 3) = -1.018029189238132, (708, 1) = 5.613061140365355, (708, 2) = 4.692515476913593, (708, 3) = -1.0170141098244998, (709, 1) = 5.62617948175382, (709, 2) = 4.689672885479834, (709, 3) = -1.0159971447414766, (710, 1) = 5.6393665926745395, (710, 2) = 4.686816518959811, (710, 3) = -1.0149782569900512, (711, 1) = 5.652623403153752, (711, 2) = 4.683946186108653, (711, 3) = -1.0139574090102084, (712, 1) = 5.665950860903978, (712, 2) = 4.681061692061813, (712, 3) = -1.0129345626738897, (713, 1) = 5.6793499347338505, (713, 2) = 4.678162837602284, (713, 3) = -1.0119096790449342, (714, 1) = 5.692821611113107, (714, 2) = 4.6752494199094015, (714, 3) = -1.0108827186651863, (715, 1) = 5.706366893641239, (715, 2) = 4.672321232678235, (715, 3) = -1.0098536416150323, (716, 1) = 5.719986801382228, (716, 2) = 4.6693780664836115, (716, 3) = -1.008822407658796, (717, 1) = 5.733682375014465, (717, 2) = 4.666419707455343, (717, 3) = -1.0077889757988423, (718, 1) = 5.747454677018509, (718, 2) = 4.663445937243632, (718, 3) = -1.0067533042867367, (719, 1) = 5.761304786062783, (719, 2) = 4.66045653423651, (719, 3) = -1.005715351068771, (720, 1) = 5.775233798919999, (720, 2) = 4.657451273149817, (720, 3) = -1.0046750736613075, (721, 1) = 5.789242842072002, (721, 2) = 4.654429922528986, (721, 3) = -1.0036324283092404, (722, 1) = 5.803333065085385, (722, 2) = 4.651392246185741, (722, 3) = -1.0025873705120916, (723, 1) = 5.817505638580493, (723, 2) = 4.648338003641615, (723, 3) = -1.0015398552009143, (724, 1) = 5.831761754402651, (724, 2) = 4.645266950096042, (724, 3) = -1.0004898367501334, (725, 1) = 5.846102624822737, (725, 2) = 4.642178836603332, (725, 3) = -.9994372690607521, (726, 1) = 5.860529489020316, (726, 2) = 4.639073408681834, (726, 3) = -.9983821051106139, (727, 1) = 5.875043612333055, (727, 2) = 4.635950406482396, (727, 3) = -.9973242970409246, (728, 1) = 5.8896462774196054, (728, 2) = 4.632809566695185, (728, 3) = -.996263796827856, (729, 1) = 5.904338805206926, (729, 2) = 4.629650618049507, (729, 3) = -.9952005547889262, (730, 1) = 5.919122538233332, (730, 2) = 4.626473284904185, (730, 3) = -.9941345208284864, (731, 1) = 5.933998847822801, (731, 2) = 4.623277285710648, (731, 3) = -.9930656439482325, (732, 1) = 5.948969138197775, (732, 2) = 4.620062332136707, (732, 3) = -.9919938719876041, (733, 1) = 5.9640348384869535, (733, 2) = 4.616828130790328, (733, 3) = -.9909191522324708, (734, 1) = 5.979197406422201, (734, 2) = 4.613574382431326, (734, 3) = -.9898414311821647, (735, 1) = 5.994458329831444, (735, 2) = 4.610300781657372, (735, 3) = -.9887606544780141, (736, 1) = 6.009819132828891, (736, 2) = 4.607007015583487, (736, 3) = -.9876767665033435, (737, 1) = 6.0252813721829295, (737, 2) = 4.603692764629277, (737, 3) = -.9865897106823568, (738, 1) = 6.040844509168522, (738, 2) = 4.600358158422904, (738, 3) = -.9854995783128372, (739, 1) = 6.056473340475939, (739, 2) = 4.597010749318951, (739, 3) = -.9844088745878613, (740, 1) = 6.07214328490937, (740, 2) = 4.593655804282284, (740, 3) = -.9833193310063892, (741, 1) = 6.087848178068669, (741, 2) = 4.590294641393454, (741, 3) = -.982231380234994, (742, 1) = 6.103588207600118, (742, 2) = 4.586927217968427, (742, 3) = -.9811450109631822, (743, 1) = 6.119363561445427, (743, 2) = 4.58355349124474, (743, 3) = -.9800602119971789, (744, 1) = 6.135174428808416, (744, 2) = 4.5801734181738345, (744, 3) = -.9789769721928631, (745, 1) = 6.151021000440135, (745, 2) = 4.5767869553594895, (745, 3) = -.9778952804365152, (746, 1) = 6.166903468656197, (746, 2) = 4.57339405905353, (746, 3) = -.9768151256442543, (747, 1) = 6.182822027354331, (747, 2) = 4.56999468515151, (747, 3) = -.9757364967613902, (748, 1) = 6.198776872032136, (748, 2) = 4.566588789188308, (748, 3) = -.9746593827618737, (749, 1) = 6.214768199804985, (749, 2) = 4.563176326333725, (749, 3) = -.9735837726476615, (750, 1) = 6.230796209424577, (750, 2) = 4.559757251387896, (750, 3) = -.9725096554481294, (751, 1) = 6.246861101921163, (751, 2) = 4.556331518643736, (751, 3) = -.9714370201778884, (752, 1) = 6.26296308091397, (752, 2) = 4.552899081820372, (752, 3) = -.9703658558175982, (753, 1) = 6.2791023503008265, (753, 2) = 4.54945989455506, (753, 3) = -.9692961514685738, (754, 1) = 6.295279115626447, (754, 2) = 4.546013910110568, (754, 3) = -.9682278962615622, (755, 1) = 6.311493584168525, (755, 2) = 4.542561081356146, (755, 3) = -.9671610793516773, (756, 1) = 6.327745964957569, (756, 2) = 4.539101360762603, (756, 3) = -.9660956899178207, (757, 1) = 6.344036468797225, (757, 2) = 4.535634700397275, (757, 3) = -.9650317171620648, (758, 1) = 6.360365308284815, (758, 2) = 4.532161051918934, (758, 3) = -.9639691503090674, (759, 1) = 6.376732697831934, (759, 2) = 4.528680366572679, (759, 3) = -.9629079786054636, (760, 1) = 6.3931388536866, (760, 2) = 4.525192595184458, (760, 3) = -.961848191319223, (761, 1) = 6.409583995206027, (761, 2) = 4.521697687889862, (761, 3) = -.9607897776586319, (762, 1) = 6.426068343561707, (762, 2) = 4.518195594408852, (762, 3) = -.9597327268574695, (763, 1) = 6.442592120704164, (763, 2) = 4.51468626426474, (763, 3) = -.9586770282417175, (764, 1) = 6.459155550508657, (764, 2) = 4.511169646539779, (764, 3) = -.9576226711562799, (765, 1) = 6.475758858798178, (765, 2) = 4.50764568986947, (765, 3) = -.9565696449643533, (766, 1) = 6.492402273366334, (766, 2) = 4.50411434243683, (766, 3) = -.955517939046837, (767, 1) = 6.509086024000886, (767, 2) = 4.5005755519665565, (767, 3) = -.9544675428017152, (768, 1) = 6.525810342507631, (768, 2) = 4.497029265719065, (768, 3) = -.9534184456434409, (769, 1) = 6.54257546273429, (769, 2) = 4.493475430484522, (769, 3) = -.952370637002344, (770, 1) = 6.55938162070697, (770, 2) = 4.489913992553027, (770, 3) = -.9513241063170615, (771, 1) = 6.5762290562871994, (771, 2) = 4.4863448973627, (771, 3) = -.9502788429329648, (772, 1) = 6.593118010313484, (772, 2) = 4.4827680901045674, (772, 3) = -.9492348362814552, (773, 1) = 6.6100487251267515, (773, 2) = 4.479183515609973, (773, 3) = -.9481920758473156, (774, 1) = 6.627021445238123, (774, 2) = 4.475591118208073, (774, 3) = -.9471505511280609, (775, 1) = 6.644036417355827, (775, 2) = 4.471990841719092, (775, 3) = -.9461102516332808, (776, 1) = 6.661093890411819, (776, 2) = 4.468382629447667, (776, 3) = -.945071166884036, (777, 1) = 6.678194115589154, (777, 2) = 4.464766424175987, (777, 3) = -.9440332864122248, (778, 1) = 6.695337346349862, (778, 2) = 4.46114216815681, (778, 3) = -.942996599759938, (779, 1) = 6.712523838462897, (779, 2) = 4.457509803106458, (779, 3) = -.9419610964788456, (780, 1) = 6.729753850483791, (780, 2) = 4.4538692701023255, (780, 3) = -.9409267661025309, (781, 1) = 6.747027645036033, (781, 2) = 4.450220509311245, (781, 3) = -.9398935980715745, (782, 1) = 6.76434548533529, (782, 2) = 4.446563460722672, (782, 3) = -.9388615819432733, (783, 1) = 6.781707636755529, (783, 2) = 4.442898063816356, (783, 3) = -.9378307072979846, (784, 1) = 6.799114367127356, (784, 2) = 4.4392242574980845, (784, 3) = -.9368009637223587, (785, 1) = 6.816565946769435, (785, 2) = 4.435541980091756, (785, 3) = -.9357723408086617, (786, 1) = 6.834062648519787, (786, 2) = 4.4318511693315354, (786, 3) = -.9347448281541311, (787, 1) = 6.851604747767721, (787, 2) = 4.428151762353755, (787, 3) = -.9337184153603135, (788, 1) = 6.869192522486489, (788, 2) = 4.424443695688727, (788, 3) = -.9326930920323925, (789, 1) = 6.886826253266254, (789, 2) = 4.420726905252379, (789, 3) = -.9316688477785224, (790, 1) = 6.9045062244317075, (790, 2) = 4.417001326109398, (790, 3) = -.9306456721465308, (791, 1) = 6.9222327239561965, (791, 2) = 4.413266892490164, (791, 3) = -.929623554631291, (792, 1) = 6.9400060406223885, (792, 2) = 4.409523538387465, (792, 3) = -.9286024848398536, (793, 1) = 6.957826465927443, (793, 2) = 4.405771197153363, (793, 3) = -.9275824523819013, (794, 1) = 6.975694294161071, (794, 2) = 4.402009801481231, (794, 3) = -.926563446866609, (795, 1) = 6.993609822442396, (795, 2) = 4.398239283396431, (795, 3) = -.9255454579019219, (796, 1) = 7.011573350756893, (796, 2) = 4.39445957424693, (796, 3) = -.9245284750938586, (797, 1) = 7.0295851819939585, (797, 2) = 4.390670604693763, (797, 3) = -.9235124880458048, (798, 1) = 7.047645621985189, (798, 2) = 4.3868723047013045, (798, 3) = -.9224974863578023, (799, 1) = 7.065754979561831, (799, 2) = 4.383064603523487, (799, 3) = -.9214834596247942, (800, 1) = 7.083913568598258, (800, 2) = 4.379247429272529, (800, 3) = -.9204703973243197, (801, 1) = 7.102121705452226, (801, 2) = 4.375420709455535, (801, 3) = -.9194582889621093, (802, 1) = 7.120379708229757, (802, 2) = 4.371584371126974, (802, 3) = -.9184471241136403, (803, 1) = 7.138687898183847, (803, 2) = 4.367738340592666, (803, 3) = -.9174368923472634, (804, 1) = 7.157046599756253, (804, 2) = 4.363882543399108, (804, 3) = -.9164275832234875, (805, 1) = 7.175456140620779, (805, 2) = 4.360016904322435, (805, 3) = -.9154191862942117, (806, 1) = 7.193916851727135, (806, 2) = 4.356141347357188, (806, 3) = -.9144116911019547, (807, 1) = 7.212429067345556, (807, 2) = 4.352255795704924, (807, 3) = -.9134050871790855, (808, 1) = 7.230993125111756, (808, 2) = 4.348360171762686, (808, 3) = -.912399364047057, (809, 1) = 7.249609366336608, (809, 2) = 4.344454397055877, (809, 3) = -.9113945112014317, (810, 1) = 7.268278138331034, (810, 2) = 4.340538391748515, (810, 3) = -.9103905179890492, (811, 1) = 7.286999789964192, (811, 2) = 4.3366120755729645, (811, 3) = -.9093873738498581, (812, 1) = 7.3057746729311654, (812, 2) = 4.332675367561429, (812, 3) = -.9083850682491956, (813, 1) = 7.32460314253565, (813, 2) = 4.328728185879407, (813, 3) = -.9073835906373322, (814, 1) = 7.343485557740005, (814, 2) = 4.324770447812782, (814, 3) = -.9063829304486521, (815, 1) = 7.362422281216554, (815, 2) = 4.3208020697546266, (815, 3) = -.905383077100816, (816, 1) = 7.3814136793997625, (816, 2) = 4.316822967191742, (816, 3) = -.9043840199939162, (817, 1) = 7.400460122539673, (817, 2) = 4.312833054690917, (817, 3) = -.9033857485095954, (818, 1) = 7.419561984755133, (818, 2) = 4.308832245885122, (818, 3) = -.9023882520102335, (819, 1) = 7.43871964495608, (819, 2) = 4.304820453277701, (819, 3) = -.9013915197930212, (820, 1) = 7.4579334882820145, (820, 2) = 4.300797587938624, (820, 3) = -.9003955410183838, (821, 1) = 7.477203901200731, (821, 2) = 4.296763560527966, (821, 3) = -.8994003049668072, (822, 1) = 7.496531274016274, (822, 2) = 4.292718280767673, (822, 3) = -.8984058009095313, (823, 1) = 7.515916001191787, (823, 2) = 4.288661657370977, (823, 3) = -.8974120180938663, (824, 1) = 7.535358481409983, (824, 2) = 4.284593598026719, (824, 3) = -.8964189457422715, (825, 1) = 7.554859117634385, (825, 2) = 4.280514009383442, (825, 3) = -.8954265730514083, (826, 1) = 7.574418317171738, (826, 2) = 4.276422797033144, (826, 3) = -.8944348891911942, (827, 1) = 7.594036491736399, (827, 2) = 4.272319865494566, (827, 3) = -.8934438833038021, (828, 1) = 7.61371405751397, (828, 2) = 4.268205118196548, (828, 3) = -.8924535445027405, (829, 1) = 7.63345143717465, (829, 2) = 4.264078457053707, (829, 3) = -.891463861774402, (830, 1) = 7.653249058849607, (830, 2) = 4.259939782677171, (830, 3) = -.8904748240332468, (831, 1) = 7.673107352726272, (831, 2) = 4.255788995082733, (831, 3) = -.8894864202941329, (832, 1) = 7.693026753724033, (832, 2) = 4.251625993127629, (832, 3) = -.8884986395398656, (833, 1) = 7.713007701582515, (833, 2) = 4.247450674488323, (833, 3) = -.8875114707193014, (834, 1) = 7.733050640934861, (834, 2) = 4.243262935641344, (834, 3) = -.8865249027462534, (835, 1) = 7.753156021381593, (835, 2) = 4.2390626718439215, (835, 3) = -.8855389244984214, (836, 1) = 7.7733242975657815, (836, 2) = 4.234849777114218, (836, 3) = -.8845535248163109, (837, 1) = 7.793555929250946, (837, 2) = 4.2306241442109345, (837, 3) = -.8835686925020769, (838, 1) = 7.813851381484812, (838, 2) = 4.226385664594851, (838, 3) = -.8825844163142648, (839, 1) = 7.834211127904779, (839, 2) = 4.22213422773428, (839, 3) = -.8816006848111849, (840, 1) = 7.854635646001418, (840, 2) = 4.217869722089888, (840, 3) = -.8806174865842115, (841, 1) = 7.875125417012156, (841, 2) = 4.213592035132105, (841, 3) = -.8796348102643123, (842, 1) = 7.895680927709167, (842, 2) = 4.209301052963044, (842, 3) = -.8786526444380995, (843, 1) = 7.9163026704847885, (843, 2) = 4.204996660293884, (843, 3) = -.877670977646671, (844, 1) = 7.936991143440636, (844, 2) = 4.20067874042131, (844, 3) = -.8766897983843285, (845, 1) = 7.957746850477589, (845, 2) = 4.196347175203693, (845, 3) = -.8757090950973292, (846, 1) = 7.978570301387049, (846, 2) = 4.192001845036856, (846, 3) = -.8747288561826292, (847, 1) = 7.999462011945638, (847, 2) = 4.187642628829004, (847, 3) = -.8737490699865431, (848, 1) = 8.020422504606046, (848, 2) = 4.1832694038511145, (848, 3) = -.8727697247756621, (849, 1) = 8.041452311822132, (849, 2) = 4.178882045037736, (849, 3) = -.8717908085860705, (850, 1) = 8.062551968987073, (850, 2) = 4.174480426454627, (850, 3) = -.8708123095567896, (851, 1) = 8.083722017021733, (851, 2) = 4.17006442075271, (851, 3) = -.8698342158107925, (852, 1) = 8.104963003338376, (852, 2) = 4.1656338989609365, (852, 3) = -.8688565154133435, (853, 1) = 8.126275481945008, (853, 2) = 4.161188730458348, (853, 3) = -.8678791963706314, (854, 1) = 8.147660013554356, (854, 2) = 4.156728782944967, (854, 3) = -.8669022466282771, (855, 1) = 8.16911716569435, (855, 2) = 4.152253922412226, (855, 3) = -.86592565406983, (856, 1) = 8.190647512820217, (856, 2) = 4.147764013112896, (856, 3) = -.864949406515289, (857, 1) = 8.212251636430015, (857, 2) = 4.143258917530107, (857, 3) = -.8639734917195434, (858, 1) = 8.233930126898503, (858, 2) = 4.138738495987889, (858, 3) = -.8629978972936987, (859, 1) = 8.255683584889777, (859, 2) = 4.13420260634944, (859, 3) = -.862022610647092, (860, 1) = 8.277512614260031, (860, 2) = 4.129651105489551, (860, 3) = -.8610476193100564, (861, 1) = 8.299417826152467, (861, 2) = 4.125083848433031, (861, 3) = -.8600729107523869, (862, 1) = 8.321399839376896, (862, 2) = 4.120500688267696, (862, 3) = -.8590984723703222, (863, 1) = 8.343459280538953, (863, 2) = 4.11590147610936, (863, 3) = -.8581242914848907, (864, 1) = 8.36559678417427, (864, 2) = 4.111286061065581, (864, 3) = -.8571503553401304, (865, 1) = 8.38781299288528, (865, 2) = 4.106654290198627, (865, 3) = -.8561766511012953, (866, 1) = 8.410108557480685, (866, 2) = 4.102006008487653, (866, 3) = -.855203165853038, (867, 1) = 8.432484137116989, (867, 2) = 4.097341058790205, (867, 3) = -.8542298865975978, (868, 1) = 8.4549404031267, (868, 2) = 4.09265928103487, (868, 3) = -.8532568000936427, (869, 1) = 8.477478035794984, (869, 2) = 4.087960512883795, (869, 3) = -.8522838930026625, (870, 1) = 8.500097720532127, (870, 2) = 4.083244590520871, (870, 3) = -.8513111520580603, (871, 1) = 8.522800151709731, (871, 2) = 4.078511347841942, (871, 3) = -.8503385639027574, (872, 1) = 8.545586032823277, (872, 2) = 4.073760616410592, (872, 3) = -.8493661150870124, (873, 1) = 8.56845607665406, (873, 2) = 4.068992225413803, (873, 3) = -.8483937920663747, (874, 1) = 8.591411005436228, (874, 2) = 4.064206001616206, (874, 3) = -.8474215811995447, (875, 1) = 8.614451551027233, (875, 2) = 4.059401769313348, (875, 3) = -.8464494687461966, (876, 1) = 8.63757845508362, (876, 2) = 4.054579350283528, (876, 3) = -.8454774408647032, (877, 1) = 8.660792469526742, (877, 2) = 4.049738563678806, (877, 3) = -.8445054835978698, (878, 1) = 8.6840943620889, (878, 2) = 4.044879224856194, (878, 3) = -.8435335826475612, (879, 1) = 8.707484907533914, (879, 2) = 4.040001147195793, (879, 3) = -.8425617237486857, (880, 1) = 8.73096488892267, (880, 2) = 4.0351041418240765, (880, 3) = -.8415898926197262, (881, 1) = 8.754535100062869, (881, 2) = 4.030188017089763, (881, 3) = -.8406180748657339, (882, 1) = 8.778196345711626, (882, 2) = 4.025252578507887, (882, 3) = -.8396462559757173, (883, 1) = 8.801949441780897, (883, 2) = 4.02029762870287, (883, 3) = -.8386744213200715, (884, 1) = 8.82579521554788, (884, 2) = 4.015322967350149, (884, 3) = -.8377025561479411, (885, 1) = 8.849734505869469, (885, 2) = 4.010328391116506, (885, 3) = -.8367306455845566, (886, 1) = 8.873768163406078, (886, 2) = 4.005313693598031, (886, 3) = -.8357586746283587, (887, 1) = 8.897897052216281, (887, 2) = 4.0002786649715185, (887, 3) = -.8347866280931475, (888, 1) = 8.922122054683273, (888, 2) = 3.9952230909498865, (888, 3) = -.8338144904182273, (889, 1) = 8.946444059743067, (889, 2) = 3.9901467552217764, (889, 3) = -.8328422461492856, (890, 1) = 8.9708639680465, (890, 2) = 3.9850494383573416, (890, 3) = -.8318698797352447, (891, 1) = 8.995382693251313, (891, 2) = 3.9799309175207753, (891, 3) = -.8308973754830967, (892, 1) = 9.02000116227781, (892, 2) = 3.974790966398588, (892, 3) = -.8299247175547391, (893, 1) = 9.044720315571887, (893, 2) = 3.969629355125765, (893, 3) = -.8289518899636978, (894, 1) = 9.069541107373993, (894, 2) = 3.964445850210091, (894, 3) = -.8279788765718085, (895, 1) = 9.094464505992079, (895, 2) = 3.9592402144550465, (895, 3) = -.8270056610859189, (896, 1) = 9.119491494089175, (896, 2) = 3.9540122068789962, (896, 3) = -.8260322270542233, (897, 1) = 9.144623072584722, (897, 2) = 3.9487615818786863, (897, 3) = -.8250585577230493, (898, 1) = 9.169860261426162, (898, 2) = 3.9434880890453643, (898, 3) = -.8240846360176922, (899, 1) = 9.195204088871474, (899, 2) = 3.938191475381353, (899, 3) = -.8231104449646199, (900, 1) = 9.220655598541542, (900, 2) = 3.932871483803468, (900, 3) = -.8221359674248423, (901, 1) = 9.246215849960251, (901, 2) = 3.9275278530059285, (901, 3) = -.821161186081503, (902, 1) = 9.27188591888202, (902, 2) = 3.922160317366879, (902, 3) = -.8201860834359451, (903, 1) = 9.297666897631874, (903, 2) = 3.916768606851486, (903, 3) = -.8192106418035389, (904, 1) = 9.323559895454359, (904, 2) = 3.9113524469123337, (904, 3) = -.8182348433094013, (905, 1) = 9.349566038866026, (905, 2) = 3.905911558388191, (905, 3) = -.8172586698842333, (906, 1) = 9.375686472061679, (906, 2) = 3.9004456573906245, (906, 3) = -.8162821032583853, (907, 1) = 9.401922364677162, (907, 2) = 3.894954453649769, (907, 3) = -.81530512468282, (908, 1) = 9.428274903443858, (908, 2) = 3.8894376522296352, (908, 3) = -.8143277152531607, (909, 1) = 9.45474528844067, (909, 2) = 3.8838949542819803, (909, 3) = -.8133498560567232, (910, 1) = 9.481334738984433, (910, 2) = 3.878326055781369, (910, 3) = -.8123715279622342, (911, 1) = 9.508044494056007, (911, 2) = 3.8727306474025274, (911, 3) = -.8113927116145415, (912, 1) = 9.534875812727902, (912, 2) = 3.8671084143961783, (912, 3) = -.8104133874295743, (913, 1) = 9.56182997460937, (913, 2) = 3.8614590364600723, (913, 3) = -.8094335355889632, (914, 1) = 9.58890828030538, (914, 2) = 3.855782187605831, (914, 3) = -.8084531360344552, (915, 1) = 9.616112051880565, (915, 2) = 3.8500775360234987, (915, 3) = -.8074721684624876, (916, 1) = 9.643442634236505, (916, 2) = 3.8443447437531124, (916, 3) = -.8064906122863301, (917, 1) = 9.670901405144408, (917, 2) = 3.8385834645383103, (917, 3) = -.8055084462903815, (918, 1) = 9.698489758101507, (918, 2) = 3.832793347379439, (918, 3) = -.8045256492592525, (919, 1) = 9.726209106873496, (919, 2) = 3.8269740355381203, (919, 3) = -.8035421998240001, (920, 1) = 9.754060889281392, (920, 2) = 3.8211251656975915, (920, 3) = -.8025580763388822, (921, 1) = 9.782046567769015, (921, 2) = 3.815246367796579, (921, 3) = -.8015732568743681, (922, 1) = 9.810167629972597, (922, 2) = 3.8093372648610275, (922, 3) = -.8005877192104665, (923, 1) = 9.838425589312372, (923, 2) = 3.803397472829447, (923, 3) = -.7996014408296857, (924, 1) = 9.866821985605142, (924, 2) = 3.7974266003719688, (924, 3) = -.7986143989096707, (925, 1) = 9.895358385688322, (925, 2) = 3.7914242487051024, (925, 3) = -.7976265703158765, (926, 1) = 9.924036387461523, (926, 2) = 3.785390010685219, (926, 3) = -.7966379314770964, (927, 1) = 9.95285762765549, (927, 2) = 3.779323469113713, (927, 3) = -.7956484581366379, (928, 1) = 9.981823760553365, (928, 2) = 3.7732242011541395, (928, 3) = -.7946581261010582, (929, 1) = 10.010936468877729, (929, 2) = 3.7670917759804294, (929, 3) = -.7936669108777684, (930, 1) = 10.040197465859197, (930, 2) = 3.760925754276727, (930, 3) = -.792674787620193, (931, 1) = 10.069608496002179, (931, 2) = 3.754725688008792, (931, 3) = -.7916817311184817, (932, 1) = 10.09917133585905, (932, 2) = 3.7484911201910176, (932, 3) = -.7906877157904519, (933, 1) = 10.128887794832012, (933, 2) = 3.74222158464492, (933, 3) = -.7896927156721726, (934, 1) = 10.158759716002958, (934, 2) = 3.7359166057488578, (934, 3) = -.7886967044081531, (935, 1) = 10.18878897699216, (935, 2) = 3.729575698178729, (935, 3) = -.787699655241161, (936, 1) = 10.218977499337491, (936, 2) = 3.7231983648451776, (936, 3) = -.786701540721536, (937, 1) = 10.249327246509452, (937, 2) = 3.7167840972250312, (937, 3) = -.7857023327975633, (938, 1) = 10.279840206686597, (938, 2) = 3.710332378913779, (938, 3) = -.784702003402593, (939, 1) = 10.310518406223288, (939, 2) = 3.703842682691036, (939, 3) = -.7837005240278412, (940, 1) = 10.341363910792138, (940, 2) = 3.697314470184231, (940, 3) = -.782697865706109, (941, 1) = 10.372378826434929, (941, 2) = 3.690747191547686, (941, 3) = -.7816939989992683, (942, 1) = 10.403565300637212, (942, 2) = 3.6841402851326355, (942, 3) = -.7806888939857323, (943, 1) = 10.43492552344088, (943, 2) = 3.6774931771449197, (943, 3) = -.7796825202474622, (944, 1) = 10.466461728588389, (944, 2) = 3.6708052812915, (944, 3) = -.7786748468567414, (945, 1) = 10.498176195025174, (945, 2) = 3.66407599834628, (945, 3) = -.7776658423523855, (946, 1) = 10.530071264385507, (946, 2) = 3.6573047123166056, (946, 3) = -.7766554742118172, (947, 1) = 10.562149319927281, (947, 2) = 3.6504907947841714, (947, 3) = -.7756437095506622, (948, 1) = 10.594412784399823, (948, 2) = 3.643633605231083, (948, 3) = -.7746305152115801, (949, 1) = 10.626864130761268, (949, 2) = 3.6367324886296455, (949, 3) = -.7736158574503107, (950, 1) = 10.659505883582094, (950, 2) = 3.62978677500189, (950, 3) = -.7725997019196928, (951, 1) = 10.692340620519586, (951, 2) = 3.6227957789577365, (951, 3) = -.7715820136524716, (952, 1) = 10.725370973842445, (952, 2) = 3.6157587992158855, (952, 3) = -.7705627570436027, (953, 1) = 10.75859963201613, (953, 2) = 3.6086751181048506, (953, 3) = -.7695418958317819, (954, 1) = 10.792029341318838, (954, 2) = 3.601544001050187, (954, 3) = -.7685193930811595, (955, 1) = 10.825662910437677, (955, 2) = 3.5943646954177133, (955, 3) = -.7674952110736497, (956, 1) = 10.859503231494301, (956, 2) = 3.5871364258357032, (956, 3) = -.7664693107078298, (957, 1) = 10.893553242495875, (957, 2) = 3.5798584020157915, (957, 3) = -.7654416526785766, (958, 1) = 10.927815941207285, (958, 2) = 3.5725298155968956, (958, 3) = -.7644121970845492, (959, 1) = 10.962294392543916, (959, 2) = 3.5651498383569136, (959, 3) = -.7633809032401232, (960, 1) = 10.996991730623373, (960, 2) = 3.5577176215541018, (960, 3) = -.7623477296517932, (961, 1) = 11.031911160894461, (961, 2) = 3.550232295241451, (961, 3) = -.7613126339937705, (962, 1) = 11.06705596235461, (962, 2) = 3.542692967551032, (962, 3) = -.7602755730824827, (963, 1) = 11.102429489874767, (963, 2) = 3.5350987239436207, (963, 3) = -.7592365028495268, (964, 1) = 11.138035176552307, (964, 2) = 3.527448626439968, (964, 3) = -.7581953783154726, (965, 1) = 11.173876546010291, (965, 2) = 3.519741710699545, (965, 3) = -.7571521532765059, (966, 1) = 11.209957226424672, (966, 2) = 3.511976982703008, (966, 3) = -.7561067799507761, (967, 1) = 11.246280906339688, (967, 2) = 3.5041534279504205, (967, 3) = -.7550592103106775, (968, 1) = 11.282851361421207, (968, 2) = 3.4962700053964824, (968, 3) = -.7540093953479066, (969, 1) = 11.319672459358278, (969, 2) = 3.488325646060507, (969, 3) = -.7529572849826484, (970, 1) = 11.356748162953192, (970, 2) = 3.480319252008333, (970, 3) = -.7519028280278632, (971, 1) = 11.394082533303644, (971, 2) = 3.4722496952960626, (971, 3) = -.7508459721532149, (972, 1) = 11.431679733127233, (972, 2) = 3.4641158168636377, (972, 3) = -.7497866638473107, (973, 1) = 11.469544030280222, (973, 2) = 3.455916425365824, (973, 3) = -.7487248483769302, (974, 1) = 11.507679801315554, (974, 2) = 3.447650295972863, (974, 3) = -.7476604697477275, (975, 1) = 11.54609155967095, (975, 2) = 3.4393161638014718, (975, 3) = -.7465934699849848, (976, 1) = 11.584783942650922, (976, 2) = 3.430912726243072, (976, 3) = -.7455237895729435, (977, 1) = 11.623761681265872, (977, 2) = 3.4224386490159646, (977, 3) = -.7444513683540807, (978, 1) = 11.663029631805014, (978, 2) = 3.413892558793868, (978, 3) = -.7433761447179665, (979, 1) = 11.702592780368946, (979, 2) = 3.4052730416629333, (979, 3) = -.742298055549961, (980, 1) = 11.742456247674063, (980, 2) = 3.3965786414879373, (980, 3) = -.7412170361759102, (981, 1) = 11.782625294007097, (981, 2) = 3.3878078582120703, (981, 3) = -.7401330203063489, (982, 1) = 11.823105324403153, (982, 2) = 3.378959146072118, (982, 3) = -.7390459399784055, (983, 1) = 11.863901894165162, (983, 2) = 3.3700309117007734, (983, 3) = -.737955725492434, (984, 1) = 11.905020716220815, (984, 2) = 3.3610215117853217, (984, 3) = -.7368623053040342, (985, 1) = 11.946467711387152, (985, 2) = 3.3519292412617836, (985, 3) = -.7357656047890863, (986, 1) = 11.988248947576455, (986, 2) = 3.3427523457981128, (986, 3) = -.7346655479649394, (987, 1) = 12.030370648053397, (987, 2) = 3.3334890191407585, (987, 3) = -.7335620573589823, (988, 1) = 12.072839218499025, (988, 2) = 3.324137396263096, (988, 3) = -.7324550533945144, (989, 1) = 12.115661254198669, (989, 2) = 3.3146955508088034, (989, 3) = -.7313444543118856, (990, 1) = 12.15884354781797, (990, 2) = 3.305161492344388, (990, 3) = -.7302301760799329, (991, 1) = 12.202393097485844, (991, 2) = 3.2955331634780425, (991, 3) = -.7291121323054557, (992, 1) = 12.246317115257082, (992, 2) = 3.285808436824046, (992, 3) = -.7279902341391515, (993, 1) = 12.290623036142623, (993, 2) = 3.2759851117656837, (993, 3) = -.7268643901736278, (994, 1) = 12.335318538825527, (994, 2) = 3.2660609085401235, (994, 3) = -.7257345060536596, (995, 1) = 12.380411606374055, (995, 2) = 3.2560334533121416, (995, 3) = -.7246004830993068, (996, 1) = 12.425910423157838, (996, 2) = 3.245900299555387, (996, 3) = -.7234622210636649, (997, 1) = 12.471823426632497, (997, 2) = 3.235658914992138, (997, 3) = -.7223196169654039, (998, 1) = 12.518159331028379, (998, 2) = 3.225306674623828, (998, 3) = -.7211725646555778, (999, 1) = 12.564927139583311, (999, 2) = 3.2148408561839226, (999, 3) = -.7200209546842852, (1000, 1) = 12.612136157796119, (1000, 2) = 3.2042586352341287, (1000, 3) = -.7188646741519209, (1001, 1) = 12.659796007361843, (1001, 2) = 3.1935570799686492, (1001, 3) = -.7177036065542065, (1002, 1) = 12.707916640870154, (1002, 2) = 3.1827331456965684, (1002, 3) = -.7165376316197157, (1003, 1) = 12.756508357371537, (1003, 2) = 3.1717836689660137, (1003, 3) = -.7153666251380885, (1004, 1) = 12.805581857225954, (1004, 2) = 3.16070535263585, (1004, 3) = -.7141904578616121, (1005, 1) = 12.855148281179545, (1005, 2) = 3.149494754227805, (1005, 3) = -.7130089948250421, (1006, 1) = 12.905219091905476, (1006, 2) = 3.1381483097407883, (1006, 3) = -.7118220984203636, (1007, 1) = 12.955806169017647, (1007, 2) = 3.1266623090814156, (1007, 3) = -.7106296263600643, (1008, 1) = 13.00692183449771, (1008, 2) = 3.115032886899379, (1008, 3) = -.7094314313422542, (1009, 1) = 13.058578875051671, (1009, 2) = 3.1032560138419183, (1009, 3) = -.7082273608075482, (1010, 1) = 13.110790566279318, (1010, 2) = 3.091327487099076, (1010, 3) = -.7070172566720992, (1011, 1) = 13.16357069838418, (1011, 2) = 3.0792429202726743, (1011, 3) = -.70580095504485, (1012, 1) = 13.216933603701557, (1012, 2) = 3.0669977324738897, (1012, 3) = -.704578285924166, (1013, 1) = 13.270894185586792, (1013, 2) = 3.054587136719516, (1013, 3) = -.7033490728860979, (1014, 1) = 13.325468053631417, (1014, 2) = 3.0420061033626933, (1014, 3) = -.7021131303954071, (1015, 1) = 13.380671461250582, (1015, 2) = 3.029249368430372, (1015, 3) = -.7008702656616782, (1016, 1) = 13.436521252467124, (1016, 2) = 3.0163114396197144, (1016, 3) = -.6996202802416656, (1017, 1) = 13.49303498497422, (1017, 2) = 3.003186561049119, (1017, 3) = -.6983629676901879, (1018, 1) = 13.550230972500426, (1018, 2) = 2.989868695905927, (1018, 3) = -.6970981130899891, (1019, 1) = 13.608128329447574, (1019, 2) = 2.9763515078634617, (1019, 3) = -.6958254925674257, (1020, 1) = 13.666747019344474, (1020, 2) = 2.962628340832095, (1020, 3) = -.6945448727627999, (1021, 1) = 13.726101252373374, (1021, 2) = 2.948693761526925, (1021, 3) = -.6932561543027344, (1022, 1) = 13.785976643995403, (1022, 2) = 2.9345961171093253, (1022, 3) = -.6919641614144931, (1023, 1) = 13.84585789463937, (1023, 2) = 2.9204554415770803, (1023, 3) = -.6906800348793191, (1024, 1) = 13.905450171425395, (1024, 2) = 2.9063408882656208, (1024, 3) = -.6894099577071953, (1025, 1) = 13.96475400574777, (1025, 2) = 2.8922521719143797, (1025, 3) = -.6881537240279098, (1026, 1) = 14.023769923208677, (1026, 2) = 2.8781890114280695, (1026, 3) = -.6869111324199191, (1027, 1) = 14.08249844370243, (1027, 2) = 2.864151129786936, (1027, 3) = -.6856819857889158, (1028, 1) = 14.140940081497972, (1028, 2) = 2.8501382539594537, (1028, 3) = -.6844660912504317, (1029, 1) = 14.199095345319558, (1029, 2) = 2.8361501148173796, (1029, 3) = -.6832632600163451, (1030, 1) = 14.256964738425744, (1030, 2) = 2.8221864470530984, (1030, 3) = -.6820733072851219, (1031, 1) = 14.31454875868673, (1031, 2) = 2.8082469890991635, (1031, 3) = -.6808960521356459, (1032, 1) = 14.371847898660063, (1032, 2) = 2.7943314830499935, (1032, 3) = -.6797313174245226, (1033, 1) = 14.428862645664692, (1033, 2) = 2.780439674585604, (1033, 3) = -.6785789296866873, (1034, 1) = 14.485593481853654, (1034, 2) = 2.7665713128973706, (1034, 3) = -.6774387190392258, (1035, 1) = 14.542040884285045, (1035, 2) = 2.7527261506157163, (1035, 3) = -.6763105190882629, (1036, 1) = 14.598205324991726, (1036, 2) = 2.738903943739664, (1036, 3) = -.6751941668388168, (1037, 1) = 14.654087271049475, (1037, 2) = 2.7251044515682126, (1037, 3) = -.674089502607508, (1038, 1) = 14.709687184643816, (1038, 2) = 2.711327436633475, (1038, 3) = -.6729963699379985, (1039, 1) = 14.76500552313546, (1039, 2) = 2.6975726646355054, (1039, 3) = -.6719146155190918, (1040, 1) = 14.820042739124492, (1040, 2) = 2.6838399043787895, (1040, 3) = -.6708440891053701, (1041, 1) = 14.874799280513196, (1041, 2) = 2.6701289277103157, (1041, 3) = -.6697846434402797, (1042, 1) = 14.929275590567698, (1042, 2) = 2.656439509459221, (1042, 3) = -.6687361341815952, (1043, 1) = 14.98347210797834, (1043, 2) = 2.6427714273779017, (1043, 3) = -.6676984198291477, (1044, 1) = 15.03738926691888, (1044, 2) = 2.6291244620846217, (1044, 3) = -.6666713616547588, (1045, 1) = 15.09102749710456, (1045, 2) = 2.6154983970075003, (1045, 3) = -.6656548236342896, (1046, 1) = 15.14438722384899, (1046, 2) = 2.6018930183298785, (1046, 3) = -.6646486723817344, (1047, 1) = 15.197468868120012, (1047, 2) = 2.5883081149370155, (1047, 3) = -.6636527770852816, (1048, 1) = 15.250272846594347, (1048, 2) = 2.5747434783640815, (1048, 3) = -.662667009445288, (1049, 1) = 15.302799571711361, (1049, 2) = 2.5611989027453714, (1049, 3) = -.6616912436140676, (1050, 1) = 15.35504945172566, (1050, 2) = 2.547674184764775, (1050, 3) = -.6607253561374784, (1051, 1) = 15.407022890758777, (1051, 2) = 2.5341691236073847, (1051, 3) = -.6597692258981954, (1052, 1) = 15.45872028884984, (1052, 2) = 2.520683520912267, (1052, 3) = -.6588227340606521, (1053, 1) = 15.510142042005292, (1053, 2) = 2.5072171807263413, (1053, 3) = -.6578857640175657, (1054, 1) = 15.561288542247672, (1054, 2) = 2.4937699094593313, (1054, 3) = -.6569582013380137, (1055, 1) = 15.612160177663512, (1055, 2) = 2.480341515839774, (1055, 3) = -.6560399337169933, (1056, 1) = 15.662757332450301, (1056, 2) = 2.466931810872032, (1056, 3) = -.6551308509264155, (1057, 1) = 15.713080386962645, (1057, 2) = 2.453540607794301, (1057, 3) = -.6542308447675003, (1058, 1) = 15.763129717757478, (1058, 2) = 2.440167722037579, (1058, 3) = -.6533398090245097, (1059, 1) = 15.812905697638564, (1059, 2) = 2.4268129711855653, (1059, 3) = -.6524576394197766, (1060, 1) = 15.8624086957001, (1060, 2) = 2.4134761749354645, (1060, 3) = -.6515842335700027, (1061, 1) = 15.911639077369532, (1061, 2) = 2.4001571550596847, (1061, 3) = -.650719490943756, (1062, 1) = 15.960597204449664, (1062, 2) = 2.3868557353683637, (1062, 3) = -.6498633128201632, (1063, 1) = 16.00928343515992, (1063, 2) = 2.3735717416727655, (1063, 3) = -.64901560224872, (1064, 1) = 16.05769812417696, (1064, 2) = 2.3603050017494644, (1064, 3) = -.6481762640102218, (1065, 1) = 16.105841622674426, (1065, 2) = 2.3470553453053187, (1065, 3) = -.6473452045787427, (1066, 1) = 16.153714278362205, (1066, 2) = 2.3338226039432213, (1066, 3) = -.6465223320846605, (1067, 1) = 16.20131643552476, (1067, 2) = 2.320606611128583, (1067, 3) = -.6457075562786679, (1068, 1) = 16.248648435058925, (1068, 2) = 2.307407202156556, (1068, 3) = -.6449007884967682, (1069, 1) = 16.295710614511023, (1069, 2) = 2.294224214119955, (1069, 3) = -.6441019416261848, (1070, 1) = 16.34250330811329, (1070, 2) = 2.281057485877868, (1070, 3) = -.6433109300722026, (1071, 1) = 16.389026846819704, (1071, 2) = 2.267906858024934, (1071, 3) = -.6425276697258648, (1072, 1) = 16.435281558341128, (1072, 2) = 2.254772172861284, (1072, 3) = -.6417520779325442, (1073, 1) = 16.481267767179993, (1073, 2) = 2.241653274363096, (1073, 3) = -.6409840734613235, (1074, 1) = 16.526985794664164, (1074, 2) = 2.2285500081537912, (1074, 3) = -.6402235764751839, (1075, 1) = 16.57243595898046, (1075, 2) = 2.2154622214758093, (1075, 3) = -.639470508501964, (1076, 1) = 16.617618575207416, (1076, 2) = 2.2023897631629947, (1076, 3) = -.6387247924060816, (1077, 1) = 16.662533955347516, (1077, 2) = 2.1893324836135304, (1077, 3) = -.6379863523609682, (1078, 1) = 16.707182408359042, (1078, 2) = 2.1762902347634387, (1078, 3) = -.6372551138222293, (1079, 1) = 16.751564240187196, (1079, 2) = 2.163262870060627, (1079, 3) = -.6365310035014743, (1080, 1) = 16.795679753794737, (1080, 2) = 2.150250244439461, (1080, 3) = -.6358139493408247, (1081, 1) = 16.83952924919213, (1081, 2) = 2.137252214295845, (1081, 3) = -.6351038804880602, (1082, 1) = 16.883113023467278, (1082, 2) = 2.1242686374628126, (1082, 3) = -.634400727272399, (1083, 1) = 16.926431370814587, (1083, 2) = 2.111299373186601, (1083, 3) = -.6337044211808766, (1084, 1) = 16.969484582563656, (1084, 2) = 2.098344282103207, (1084, 3) = -.633014894835323, (1085, 1) = 17.01227294720748, (1085, 2) = 2.0854032262154094, (1085, 3) = -.6323320819699131, (1086, 1) = 17.054796750430143, (1086, 2) = 2.072476068870228, (1086, 3) = -.6316559174092681, (1087, 1) = 17.097056275134147, (1087, 2) = 2.0595626747368563, (1087, 3) = -.6309863370471035, (1088, 1) = 17.13905180146713, (1088, 2) = 2.0466629097849913, (1088, 3) = -.6303232778253981, (1089, 1) = 17.180783606848408, (1089, 2) = 2.033776641263616, (1089, 3) = -.6296666777140775, (1090, 1) = 17.22225196599476, (1090, 2) = 2.0209037376801597, (1090, 3) = -.6290164756911841, (1091, 1) = 17.263457150946095, (1091, 2) = 2.008044068780092, (1091, 3) = -.6283726117235416, (1092, 1) = 17.304399431090452, (1092, 2) = 1.99519750552688, (1092, 3) = -.6277350267478775, (1093, 1) = 17.34507907318881, (1093, 2) = 1.9823639200823444, (1093, 3) = -.6271036626524027, (1094, 1) = 17.385496341399374, (1094, 2) = 1.9695431857873797, (1094, 3) = -.6264784622588317, (1095, 1) = 17.425651497301455, (1095, 2) = 1.956735177143042, (1095, 3) = -.6258593693048417, (1096, 1) = 17.46554479991906, (1096, 2) = 1.9439397697919847, (1096, 3) = -.6252463284269335, (1097, 1) = 17.505176505744043, (1097, 2) = 1.9311568405002533, (1097, 3) = -.6246392851437106, (1098, 1) = 17.544529703843036, (1098, 2) = 1.918391850764444, (1098, 3) = -.624038447490266, (1099, 1) = 17.583347397663008, (1099, 2) = 1.9057289342999195, (1099, 3) = -.6234476691293935, (1100, 1) = 17.621345672781565, (1100, 2) = 1.893263007717996, (1100, 3) = -.6228711636788272, (1101, 1) = 17.658453602428267, (1101, 2) = 1.8810206634522373, (1101, 3) = -.6223098779953391, (1102, 1) = 17.694705355554728, (1102, 2) = 1.868994092311803, (1102, 3) = -.6217631674861644, (1103, 1) = 17.73013319592377, (1103, 2) = 1.8571759064419133, (1103, 3) = -.621230426203382, (1104, 1) = 17.764767643803065, (1104, 2) = 1.845559101556719, (1104, 3) = -.6207110835219171, (1105, 1) = 17.798637636300178, (1105, 2) = 1.8341370178361938, (1105, 3) = -.6202046009370928, (1106, 1) = 17.831770632532077, (1106, 2) = 1.8229033178096845, (1106, 3) = -.6197104697745819, (1107, 1) = 17.864192710094525, (1107, 2) = 1.8118519660566088, (1107, 3) = -.6192282091002057, (1108, 1) = 17.895928654058586, (1108, 2) = 1.8009772104189707, (1108, 3) = -.618757363803581, (1109, 1) = 17.92700203916768, (1109, 2) = 1.7902735645925736, (1109, 3) = -.6182975028388497, (1110, 1) = 17.95743530519867, (1110, 2) = 1.7797357921999775, (1110, 3) = -.617848217617023, (1111, 1) = 17.987249839292407, (1111, 2) = 1.7693588876177238, (1111, 3) = -.6174091203413785, (1112, 1) = 18.016466078849795, (1112, 2) = 1.7591380487060644, (1112, 3) = -.6169798420846798, (1113, 1) = 18.045103457558405, (1113, 2) = 1.7490687037366666, (1113, 3) = -.6165600332079432, (1114, 1) = 18.073180515028074, (1114, 2) = 1.7391464809336488, (1114, 3) = -.6161493613995339, (1115, 1) = 18.100714959237248, (1115, 2) = 1.7293671936478774, (1115, 3) = -.6157475104435222, (1116, 1) = 18.12772371446745, (1116, 2) = 1.7197268300626627, (1116, 3) = -.6153541792287269, (1117, 1) = 18.154222965667294, (1117, 2) = 1.7102215436783146, (1117, 3) = -.6149690808344402, (1118, 1) = 18.18022819983137, (1118, 2) = 1.7008476444099205, (1118, 3) = -.6145919416819586, (1119, 1) = 18.205754244682808, (1119, 2) = 1.6916015902315449, (1119, 3) = -.6142225007455989, (1120, 1) = 18.23081530451316, (1120, 2) = 1.6824799794547278, (1120, 3) = -.6138605088234644, (1121, 1) = 18.255425011253667, (1121, 2) = 1.673479537051113, (1121, 3) = -.6135057276058336, (1122, 1) = 18.27959645532335, (1122, 2) = 1.6645971078937816, (1122, 3) = -.6131579290526971, (1123, 1) = 18.303342158494207, (1123, 2) = 1.6558296711407474, (1123, 3) = -.6128168956172292, (1124, 1) = 18.32667414045818, (1124, 2) = 1.6471743200660955, (1124, 3) = -.6124824191312714, (1125, 1) = 18.34960394578987, (1125, 2) = 1.638628255995633, (1125, 3) = -.6121543002752555, (1126, 1) = 18.37214266811275, (1126, 2) = 1.6301887830167754, (1126, 3) = -.6118323480991774, (1127, 1) = 18.394300972659526, (1127, 2) = 1.621853303048242, (1127, 3) = -.6115163795764564, (1128, 1) = 18.416089117471294, (1128, 2) = 1.6136193111967145, (1128, 3) = -.611206219186382, (1129, 1) = 18.4375169733852, (1129, 2) = 1.6054843913604078, (1129, 3) = -.6109016985222121, (1130, 1) = 18.458594042798815, (1130, 2) = 1.59744621209884, (1130, 3) = -.6106026559244376, (1131, 1) = 18.47932949784184, (1131, 2) = 1.5895025148625919, (1131, 3) = -.6103089358465364, (1132, 1) = 18.49973216984938, (1132, 2) = 1.581651120616376, (1132, 3) = -.6100203889183039, (1133, 1) = 18.519810553505437, (1133, 2) = 1.5738899308939602, (1133, 3) = -.609736871804611, (1134, 1) = 18.53957284016878, (1134, 2) = 1.5662169174600893, (1134, 3) = -.6094582466572802, (1135, 1) = 18.55902693169401, (1135, 2) = 1.5586301192575107, (1135, 3) = -.6091843808490114, (1136, 1) = 18.578180453596826, (1136, 2) = 1.551127639474644, (1136, 3) = -.6089151467213715, (1137, 1) = 18.59704076744691, (1137, 2) = 1.5437076427878715, (1137, 3) = -.6086504213480931, (1138, 1) = 18.615614982581594, (1138, 2) = 1.53636835275081, (1138, 3) = -.6083900863120658, (1139, 1) = 18.63390996720531, (1139, 2) = 1.5291080493129146, (1139, 3) = -.6081340274947644, (1140, 1) = 18.651932360263725, (1140, 2) = 1.5219250659198866, (1140, 3) = -.6078821348584604, (1141, 1) = 18.669688597202217, (1141, 2) = 1.5148177809281833, (1141, 3) = -.6076343020382592, (1142, 1) = 18.687184887410336, (1142, 2) = 1.5077846282229574, (1142, 3) = -.6073904266119984, (1143, 1) = 18.704427231588365, (1143, 2) = 1.500824091922289, (1143, 3) = -.6071504098140698, (1144, 1) = 18.7214214368135, (1144, 2) = 1.493934701842678, (1144, 3) = -.6069141562848885, (1145, 1) = 18.73817312452262, (1145, 2) = 1.4871150317046835, (1145, 3) = -.606681573921879, (1146, 1) = 18.754687738141563, (1146, 2) = 1.48036369740643, (1146, 3) = -.6064525737377021, (1147, 1) = 18.770970550320005, (1147, 2) = 1.473679355385865, (1147, 3) = -.606227069726122, (1148, 1) = 18.787026669808444, (1148, 2) = 1.4670607010613803, (1148, 3) = -.6060049787348617, (1149, 1) = 18.80286104798729, (1149, 2) = 1.4605064673508363, (1149, 3) = -.605786220345176, (1150, 1) = 18.818478488437957, (1150, 2) = 1.454015421861142, (1150, 3) = -.6055707167112505, (1151, 1) = 18.833883659767892, (1151, 2) = 1.4475863626235927, (1151, 3) = -.605358392356772, (1152, 1) = 18.849081077363635, (1152, 2) = 1.441218126748924, (1152, 3) = -.6051491744012322, (1153, 1) = 18.864075120820736, (1153, 2) = 1.4349095842318884, (1153, 3) = -.6049429922950975, (1154, 1) = 18.878870040800493, (1154, 2) = 1.4286596360571069, (1154, 3) = -.6047397777026693, (1155, 1) = 18.893469963890198, (1155, 2) = 1.4224672130872882, (1155, 3) = -.6045394644137766, (1156, 1) = 18.907878897253795, (1156, 2) = 1.4163312749949548, (1156, 3) = -.6043419882595464, (1157, 1) = 18.922100733068046, (1157, 2) = 1.4102508092421444, (1157, 3) = -.6041472870322463, (1158, 1) = 18.93613925276459, (1158, 2) = 1.4042248301019635, (1158, 3) = -.6039553004088536, (1159, 1) = 18.949998131059264, (1159, 2) = 1.3982523777320124, (1159, 3) = -.6037659698785246, (1160, 1) = 18.963680945033403, (1160, 2) = 1.392332515020097, (1160, 3) = -.6035792386021103, (1161, 1) = 18.97719117556441, (1161, 2) = 1.3864643276700568, (1161, 3) = -.6033950513772408, (1162, 1) = 18.99053219872998, (1162, 2) = 1.380646928656804, (1162, 3) = -.6032133547405341, (1163, 1) = 19.00370729830649, (1163, 2) = 1.3748794535201176, (1163, 3) = -.6030340967827381, (1164, 1) = 19.016719669161215, (1164, 2) = 1.3691610595434804, (1164, 3) = -.6028572270891024, (1165, 1) = 19.029572420341097, (1165, 2) = 1.3634909250352427, (1165, 3) = -.6026826966845622, (1166, 1) = 19.042268578031074, (1166, 2) = 1.3578682486391176, (1166, 3) = -.6025104579813726, (1167, 1) = 19.05481108838704, (1167, 2) = 1.352292248673003, (1167, 3) = -.6023404647290567, (1168, 1) = 19.067202820260686, (1168, 2) = 1.3467621624900161, (1168, 3) = -.602172671966411, (1169, 1) = 19.079446567873315, (1169, 2) = 1.3412772458371662, (1169, 3) = -.6020070359747569, (1170, 1) = 19.09154505965796, (1170, 2) = 1.33583676941031, (1170, 3) = -.6018435141484021, (1171, 1) = 19.1035009511782, (1171, 2) = 1.3304400225223432, (1171, 3) = -.6016820650809729, (1172, 1) = 19.115316826203294, (1172, 2) = 1.3250863131437318, (1172, 3) = -.6015226485415538, (1173, 1) = 19.12699520325446, (1173, 2) = 1.3197749654415907, (1173, 3) = -.6013652253774551, (1174, 1) = 19.138538537718933, (1174, 2) = 1.3145053192811733, (1174, 3) = -.601209757477403, (1175, 1) = 19.149949223883933, (1175, 2) = 1.3092767297448216, (1175, 3) = -.6010562077361947, (1176, 1) = 19.161229596887427, (1176, 2) = 1.304088566670594, (1176, 3) = -.6009045400208672, (1177, 1) = 19.172381934590984, (1177, 2) = 1.2989402142091564, (1177, 3) = -.6007547191382548, (1178, 1) = 19.183408459389955, (1178, 2) = 1.2938310703926597, (1178, 3) = -.6006067108037483, (1179, 1) = 19.19431134058648, (1179, 2) = 1.2887605464248577, (1179, 3) = -.6004604816028184, (1180, 1) = 19.205092700773772, (1180, 2) = 1.2837280640731117, (1180, 3) = -.6003159988991628, (1181, 1) = 19.21575460702978, (1181, 2) = 1.2787330601263542, (1181, 3) = -.6001732309467734, (1182, 1) = 19.226299075959275, (1182, 2) = 1.2737749844221469, (1182, 3) = -.6000321468163979, (1183, 1) = 19.236728076776135, (1183, 2) = 1.2688532987502195, (1183, 3) = -.5998927163486824, (1184, 1) = 19.24704353272916, (1184, 2) = 1.2639674765122366, (1184, 3) = -.5997549101297879, (1185, 1) = 19.257247322481412, (1185, 2) = 1.259117002390722, (1185, 3) = -.5996186994678689, (1186, 1) = 19.267341281436916, (1186, 2) = 1.254301372030724, (1186, 3) = -.5994840563704793, (1187, 1) = 19.27732720301633, (1187, 2) = 1.249520091733908, (1187, 3) = -.5993509535228686, (1188, 1) = 19.287206839894086, (1188, 2) = 1.244772678159806, (1188, 3) = -.5992193642670128, (1189, 1) = 19.29698190661853, (1189, 2) = 1.2400586573476549, (1189, 3) = -.5990892625624219, (1190, 1) = 19.30665408241294, (1190, 2) = 1.2353775636250808, (1190, 3) = -.5989606229448263, (1191, 1) = 19.316225004586943, (1191, 2) = 1.230728943057973, (1191, 3) = -.5988334206098752, (1192, 1) = 19.325696273850188, (1192, 2) = 1.2261123511582808, (1192, 3) = -.5987076313385485, (1193, 1) = 19.335069455729258, (1193, 2) = 1.2215273524478487, (1193, 3) = -.5985832314746752, (1194, 1) = 19.34434608155663, (1194, 2) = 1.2169735202193737, (1194, 3) = -.5984601979083045, (1195, 1) = 19.353527649430493, (1195, 2) = 1.2124504363029476, (1195, 3) = -.5983385080595998, (1196, 1) = 19.362615625140823, (1196, 2) = 1.207957690840683, (1196, 3) = -.5982181398633349, (1197, 1) = 19.371611443061703, (1197, 2) = 1.2034948820698508, (1197, 3) = -.5980990717539575, (1198, 1) = 19.38051650701722, (1198, 2) = 1.199061616111207, (1198, 3) = -.5979812826511423, (1199, 1) = 19.389332193365245, (1199, 2) = 1.194657505639672, (1199, 3) = -.5978647519161462, (1200, 1) = 19.39805985000633, (1200, 2) = 1.190282170570412, (1200, 3) = -.5977494593622229, (1201, 1) = 19.406700793680812, (1201, 2) = 1.1859352396191056, (1201, 3) = -.5976353852876322, (1202, 1) = 19.415256313761027, (1202, 2) = 1.1816163486072815, (1202, 3) = -.5975225104229283, (1203, 1) = 19.42372767299657, (1203, 2) = 1.1773251402753457, (1203, 3) = -.5974108159186575, (1204, 1) = 19.432116108217322, (1204, 2) = 1.173061264110328, (1204, 3) = -.5973002833337205, (1205, 1) = 19.44042283101663, (1205, 2) = 1.1688243761776524, (1205, 3) = -.5971908946240811, (1206, 1) = 19.448649028412458, (1206, 2) = 1.1646141389580993, (1206, 3) = -.5970826321318601, (1207, 1) = 19.45679586348624, (1207, 2) = 1.160430221190291, (1207, 3) = -.5969754785748044, (1208, 1) = 19.464864476087516, (1208, 2) = 1.1562722976736757, (1208, 3) = -.5968694170349785, (1209, 1) = 19.472855986004205, (1209, 2) = 1.152140047787942, (1209, 3) = -.5967644309151516, (1210, 1) = 19.48077148925896, (1210, 2) = 1.1480331575524796, (1210, 3) = -.5966605039856082, (1211, 1) = 19.48861205892965, (1211, 2) = 1.1439513193667301, (1211, 3) = -.5965576203714797, (1212, 1) = 19.496378747078694, (1212, 2) = 1.1398942311626183, (1212, 3) = -.5964557645256289, (1213, 1) = 19.504072585283193, (1213, 2) = 1.135861596272183, (1213, 3) = -.5963549212199905, (1214, 1) = 19.51169458514558, (1214, 2) = 1.1318531233007463, (1214, 3) = -.5962550755372367, (1215, 1) = 19.519245738789728, (1215, 2) = 1.1278685260032464, (1215, 3) = -.59615621286269, (1216, 1) = 19.526727019342175, (1216, 2) = 1.1239075231641298, (1216, 3) = -.5960583188764927, (1217, 1) = 19.534139381399186, (1217, 2) = 1.1199698384805228, (1217, 3) = -.5959613795460151, (1218, 1) = 19.54148376185851, (1218, 2) = 1.1160552002465338, (1218, 3) = -.5958653811135598, (1219, 1) = 19.548761082100835, (1219, 2) = 1.112163340306531, (1219, 3) = -.595770310066491, (1220, 1) = 19.555972244074006, (1220, 2) = 1.108293996262963, (1220, 3) = -.5956761531870935, (1221, 1) = 19.563118132445606, (1221, 2) = 1.104446910454498, (1221, 3) = -.5955828975231164, (1222, 1) = 19.5701996154949, (1222, 2) = 1.1006218295939585, (1222, 3) = -.5954905303748789, (1223, 1) = 19.577217545503157, (1223, 2) = 1.096818504669811, (1223, 3) = -.5953990392889753, (1224, 1) = 19.58417275913136, (1224, 2) = 1.0930366908510738, (1224, 3) = -.5953084120521923, (1225, 1) = 19.591066077787342, (1225, 2) = 1.0892761473946977, (1225, 3) = -.5952186366855974, (1226, 1) = 19.59789830798192, (1226, 2) = 1.0855366375556788, (1226, 3) = -.5951297014388188, (1227, 1) = 19.604670241676526, (1227, 2) = 1.0818179284988514, (1227, 3) = -.5950415947844659, (1228, 1) = 19.611382657389285, (1228, 2) = 1.0781197907889466, (1228, 3) = -.5949543054027301, (1229, 1) = 19.61803632084763, (1229, 2) = 1.0744419981204734, (1229, 3) = -.5948678221719418, (1230, 1) = 19.624631982277492, (1230, 2) = 1.0707843289094507, (1230, 3) = -.594782134202859, (1231, 1) = 19.63117037855681, (1231, 2) = 1.0671465652044176, (1231, 3) = -.5946972308097213, (1232, 1) = 19.63765223361187, (1232, 2) = 1.0635284925571629, (1232, 3) = -.5946131015042146, (1233, 1) = 19.644078258709353, (1233, 2) = 1.0599298999483098, (1233, 3) = -.5945297359908104, (1234, 1) = 19.650449152740112, (1234, 2) = 1.0563505797149122, (1234, 3) = -.5944471241622538, (1235, 1) = 19.656765602495376, (1235, 2) = 1.0527903274799213, (1235, 3) = -.5943652560951673, (1236, 1) = 19.663028282934693, (1236, 2) = 1.049248942083882, (1236, 3) = -.5942841220457966, (1237, 1) = 19.66923785744845, (1237, 2) = 1.045726225517333, (1237, 3) = -.5942037124458471, (1238, 1) = 19.675394979296673, (1238, 2) = 1.0422219821804066, (1238, 3) = -.5941240178831266, (1239, 1) = 19.681500290537546, (1239, 2) = 1.0387360195627184, (1239, 3) = -.5940450291147231, (1240, 1) = 19.687554421221257, (1240, 2) = 1.0352681487834066, (1240, 3) = -.5939667370767263, (1241, 1) = 19.693557990811076, (1241, 2) = 1.03181818385866, (1241, 3) = -.5938891328651595, (1242, 1) = 19.699511608411306, (1242, 2) = 1.0283859416430907, (1242, 3) = -.5938122077323774, (1243, 1) = 19.705415872989096, (1243, 2) = 1.0249712417726562, (1243, 3) = -.5937359530835754, (1244, 1) = 19.711271373590606, (1244, 2) = 1.0215739066088318, (1244, 3) = -.593660360473378, (1245, 1) = 19.71707868955201, (1245, 2) = 1.0181937611840928, (1245, 3) = -.5935854216025295, (1246, 1) = 19.72283839070384, (1246, 2) = 1.0148306331492476, (1246, 3) = -.5935111283146747, (1247, 1) = 19.728551037648987, (1247, 2) = 1.0114843526758592, (1247, 3) = -.5934374725922179, (1248, 1) = 19.734217183158282, (1248, 2) = 1.008154751698321, (1248, 3) = -.5933644465377972, (1249, 1) = 19.739837370141807, (1249, 2) = 1.0048416651624563, (1249, 3) = -.5932920423999207, (1250, 1) = 19.745412132256142, (1250, 2) = 1.0015449307361226, (1250, 3) = -.5932202525646114, (1251, 1) = 19.750941994606595, (1251, 2) = .9982643884569867, (1251, 3) = -.5931490695458538, (1252, 1) = 19.756427473923175, (1252, 2) = .9949998806866295, (1252, 3) = -.5930784859828526, (1253, 1) = 19.76186907873135, (1253, 2) = .9917512520661281, (1253, 3) = -.5930084946373658, (1254, 1) = 19.76726730951903, (1254, 2) = .9885183494725024, (1254, 3) = -.5929390883911011, (1255, 1) = 19.772622658899508, (1255, 2) = .9853010219760494, (1255, 3) = -.5928702602431819, (1256, 1) = 19.777935611769742, (1256, 2) = .9820991207991473, (1256, 3) = -.5928020033076803, (1257, 1) = 19.783206645715822, (1257, 2) = .9789124991239461, (1257, 3) = -.5927343108080002, (1258, 1) = 19.788436231867646, (1258, 2) = .9757410116230176, (1258, 3) = -.5926671760654999, (1259, 1) = 19.793624832974075, (1259, 2) = .9725845156741689, (1259, 3) = -.5926005925238197, (1260, 1) = 19.798772904497568, (1260, 2) = .9694428707522033, (1260, 3) = -.5925345537344326, (1261, 1) = 19.803880894925094, (1261, 2) = .9663159382889517, (1261, 3) = -.5924690533522811, (1262, 1) = 19.80894924590537, (1262, 2) = .9632035816370259, (1262, 3) = -.5924040851336548, (1263, 1) = 19.813978392382165, (1263, 2) = .9601056660347675, (1263, 3) = -.5923396429341297, (1264, 1) = 19.818968762724687, (1264, 2) = .9570220585718978, (1264, 3) = -.5922757207065588, (1265, 1) = 19.823920778854983, (1265, 2) = .9539526281557708, (1265, 3) = -.5922123124991029, (1266, 1) = 19.828834856371987, (1266, 2) = .9508972454786961, (1266, 3) = -.5921494124533236, (1267, 1) = 19.833711405142807, (1267, 2) = .9478557826922435, (1267, 3) = -.5920870147962989, (1268, 1) = 19.838550829350226, (1268, 2) = .9448281134158305, (1268, 3) = -.5920251138397226, (1269, 1) = 19.843353526295257, (1269, 2) = .9418141135274875, (1269, 3) = -.5919637039949222, (1270, 1) = 19.848119887404398, (1270, 2) = .9388136605789199, (1270, 3) = -.5919027797596715, (1271, 1) = 19.85285029836281, (1271, 2) = .9358266337520086, (1271, 3) = -.5918423357162106, (1272, 1) = 19.857545139222356, (1272, 2) = .9328529138299407, (1272, 3) = -.5917823665295897, (1273, 1) = 19.862204784506854, (1273, 2) = .9298923831692298, (1273, 3) = -.5917228669460536, (1274, 1) = 19.86682960331502, (1274, 2) = .9269449256723139, (1274, 3) = -.5916638317914727, (1275, 1) = 19.871419959421033, (1275, 2) = .9240104267606407, (1275, 3) = -.5916052559697993, (1276, 1) = 19.875976211377804, (1276, 2) = .9210887733453194, (1276, 3) = -.5915471344615093, (1277, 1) = 19.88049871329482, (1277, 2) = .9181798533621388, (1277, 3) = -.5914894623134385, (1278, 1) = 19.884987814006056, (1278, 2) = .9152835563380114, (1278, 3) = -.5914322346491696, (1279, 1) = 19.889443856892846, (1279, 2) = .912399773543088, (1279, 3) = -.5913754466710575, (1280, 1) = 19.89386718048453, (1280, 2) = .9095283976395195, (1280, 3) = -.5913190936523403, (1281, 1) = 19.89825811854589, (1281, 2) = .9066693226581383, (1281, 3) = -.5912631709358135, (1282, 1) = 19.902617000163044, (1282, 2) = .9038224439752821, (1282, 3) = -.5912076739325212, (1283, 1) = 19.90694414982751, (1283, 2) = .9009876582902304, (1283, 3) = -.5911525981204834, (1284, 1) = 19.911239887518086, (1284, 2) = .8981648636031111, (1284, 3) = -.5910979390434506, (1285, 1) = 19.915504528781213, (1285, 2) = .8953539591932691, (1285, 3) = -.5910436923096866, (1286, 1) = 19.919738384876425, (1286, 2) = .8925548455537974, (1286, 3) = -.5909898535899301, (1287, 1) = 19.923941763459634, (1287, 2) = .8897674239672771, (1287, 3) = -.590936418608522, (1288, 1) = 19.928114967413066, (1288, 2) = .8869915973082401, (1288, 3) = -.5908833831581055, (1289, 1) = 19.932258295276593, (1289, 2) = .8842272697899564, (1289, 3) = -.5908307430939593, (1290, 1) = 19.93637204153594, (1290, 2) = .8814743468021662, (1290, 3) = -.5907784943301622, (1291, 1) = 19.940456496692935, (1291, 2) = .8787327348921077, (1291, 3) = -.5907266328385276, (1292, 1) = 19.94451194733452, (1292, 2) = .8760023417457574, (1292, 3) = -.5906751546475708, (1293, 1) = 19.94853867620021, (1293, 2) = .8732830761694881, (1293, 3) = -.5906240558414861, (1294, 1) = 19.952536962248267, (1294, 2) = .8705748480720642, (1294, 3) = -.5905733325591557, (1295, 1) = 19.956507080720122, (1295, 2) = .8678775684471258, (1295, 3) = -.5905229809931787, (1296, 1) = 19.96044930337993, (1296, 2) = .8651911492357387, (1296, 3) = -.5904729973866834, (1297, 1) = 19.964363898858444, (1297, 2) = .8625155031146637, (1297, 3) = -.5904233780288313, (1298, 1) = 19.96825113164459, (1298, 2) = .8598505442091299, (1298, 3) = -.5903741192674558, (1299, 1) = 19.97211126269543, (1299, 2) = .8571961877037549, (1299, 3) = -.59032521750119, (1300, 1) = 19.975944549556754, (1300, 2) = .8545523497842075, (1300, 3) = -.5902766691778022, (1301, 1) = 19.97975124641995, (1301, 2) = .8519189476216209, (1301, 3) = -.5902284707933447, (1302, 1) = 19.98353160417794, (1302, 2) = .8492958993572806, (1302, 3) = -.5901806188913145, (1303, 1) = 19.98728587047988, (1303, 2) = .8466831240876038, (1303, 3) = -.5901331100618401, (1304, 1) = 19.991014289784875, (1304, 2) = .8440805418493422, (1304, 3) = -.5900859409408761, (1305, 1) = 19.994717103414317, (1305, 2) = .8414880736052627, (1305, 3) = -.5900391082094216, (1306, 1) = 19.99839454991376, (1306, 2) = .8389056410116773, (1306, 3) = -.5899926085888292, (1307, 1) = 20.002046864916043, (1307, 2) = .8363331665334298, (1307, 3) = -.5899464388424248, (1308, 1) = 20.005674280605714, (1308, 2) = .8337705738428379, (1308, 3) = -.5899005957821679, (1309, 1) = 20.009277026226762, (1309, 2) = .8312177874852623, (1309, 3) = -.5898550762621159, (1310, 1) = 20.012855328134133, (1310, 2) = .8286747328631662, (1310, 3) = -.5898098771776725, (1311, 1) = 20.016409409840282, (1311, 2) = .8261413362232203, (1311, 3) = -.5897649954648904, (1312, 1) = 20.019939492060818, (1312, 2) = .8236175246436888, (1312, 3) = -.5897204280997987, (1313, 1) = 20.023445792759127, (1313, 2) = .821103226022046, (1313, 3) = -.589676172097735, (1314, 1) = 20.026928527190428, (1314, 2) = .8185983690627312, (1314, 3) = -.5896322245126968, (1315, 1) = 20.030387907954157, (1315, 2) = .8161028832583684, (1315, 3) = -.5895885824365826, (1316, 1) = 20.03382414544314, (1316, 2) = .8136166985830877, (1316, 3) = -.5895452429934379, (1317, 1) = 20.03723744725043, (1317, 2) = .8111397459376177, (1317, 3) = -.5895022033468447, (1318, 1) = 20.040628018192223, (1318, 2) = .8086719571531993, (1318, 3) = -.5894594606995444, (1319, 1) = 20.04399606058434, (1319, 2) = .8062132648100019, (1319, 3) = -.5894170122898638, (1320, 1) = 20.047341774281204, (1320, 2) = .803763602226281, (1320, 3) = -.5893748553911352, (1321, 1) = 20.050665356714077, (1321, 2) = .8013229034476501, (1321, 3) = -.5893329873111347, (1322, 1) = 20.053967002928648, (1322, 2) = .7988911032365966, (1322, 3) = -.5892914053915281, (1323, 1) = 20.057246905621803, (1323, 2) = .7964681370622089, (1323, 3) = -.5892501070073266, (1324, 1) = 20.06050525517787, (1324, 2) = .7940539410899786, (1324, 3) = -.5892090895663561, (1325, 1) = 20.063742239760554, (1325, 2) = .7916484521297883, (1325, 3) = -.58916835050802, (1326, 1) = 20.06695804566512, (1326, 2) = .7892516073886713, (1326, 3) = -.5891278872988005, (1327, 1) = 20.070152856617824, (1327, 2) = .7868633450070642, (1327, 3) = -.5890876974409966, (1328, 1) = 20.07332685407708, (1328, 2) = .7844836038524168, (1328, 3) = -.5890477784688666, (1329, 1) = 20.076480217360356, (1329, 2) = .7821123234401952, (1329, 3) = -.5890081279469592, (1330, 1) = 20.079613123676282, (1330, 2) = .779749443924857, (1330, 3) = -.5889687434696426, (1331, 1) = 20.082725748156452, (1331, 2) = .7773949060908873, (1331, 3) = -.5889296226606354, (1332, 1) = 20.08581826388644, (1332, 2) = .7750486513440191, (1332, 3) = -.5888907631725575, (1333, 1) = 20.08889084193633, (1333, 2) = .7727106217026477, (1333, 3) = -.5888521626864771, (1334, 1) = 20.091943651390753, (1334, 2) = .7703807597893063, (1334, 3) = -.5888138189114739, (1335, 1) = 20.09497685950748, (1335, 2) = .7680590087233193, (1335, 3) = -.5887757295825885, (1336, 1) = 20.097990631840922, (1336, 2) = .7657453120383887, (1336, 3) = -.5887378924592097, (1337, 1) = 20.100985131695314, (1337, 2) = .7634396141155625, (1337, 3) = -.5887003053318842, (1338, 1) = 20.10396052048252, (1338, 2) = .761141859924152, (1338, 3) = -.5886629660177661, (1339, 1) = 20.106916957771524, (1339, 2) = .7588519949970062, (1339, 3) = -.5886258723599375, (1340, 1) = 20.10985460131524, (1340, 2) = .7565699654229281, (1340, 3) = -.5885890222270183, (1341, 1) = 20.112773607076953, (1341, 2) = .7542957178391496, (1341, 3) = -.5885524135127798, (1342, 1) = 20.1156741292562, (1342, 2) = .752029199423936, (1342, 3) = -.5885160441357705, (1343, 1) = 20.118556320314237, (1343, 2) = .7497703578893541, (1343, 3) = -.5884799120389398, (1344, 1) = 20.12142033099907, (1344, 2) = .7475191414741205, (1344, 3) = -.5884440151892825, (1345, 1) = 20.124266310586208, (1345, 2) = .745275498765881, (1345, 3) = -.5884083515747607, (1346, 1) = 20.127094406693686, (1346, 2) = .7430393788574383, (1346, 3) = -.5883729192065885, (1347, 1) = 20.129904765058185, (1347, 2) = .7408107315364344, (1347, 3) = -.588337716121977, (1348, 1) = 20.13269752979932, (1348, 2) = .7385895070895991, (1348, 3) = -.5883027403807843, (1349, 1) = 20.1354728434427, (1349, 2) = .7363756562960401, (1349, 3) = -.5882679900651753, (1350, 1) = 20.13823084694234, (1350, 2) = .7341691304208259, (1350, 3) = -.5882334632792995, (1351, 1) = 20.140971679702854, (1351, 2) = .7319698812086292, (1351, 3) = -.5881991581489678, (1352, 1) = 20.143695479601146, (1352, 2) = .7297778608774739, (1352, 3) = -.5881650728213399, (1353, 1) = 20.146402383007782, (1353, 2) = .7275930221125885, (1353, 3) = -.588131205464613, (1354, 1) = 20.149092524820457, (1354, 2) = .7254153180502801, (1354, 3) = -.5880975542675652, (1355, 1) = 20.1517660387321, (1355, 2) = .723244702070582, (1355, 3) = -.5880641174361585, (1356, 1) = 20.15442305681844, (1356, 2) = .7210811281412313, (1356, 3) = -.5880308931986615, (1357, 1) = 20.157063709616295, (1357, 2) = .7189245507661866, (1357, 3) = -.5879978798046304, (1358, 1) = 20.159688126258093, (1358, 2) = .7167749248871207, (1358, 3) = -.5879650755231852, (1359, 1) = 20.16229643449117, (1359, 2) = .7146322058778038, (1359, 3) = -.5879324786427352, (1360, 1) = 20.164888760696705, (1360, 2) = .7124963495386349, (1360, 3) = -.5879000874707049, (1361, 1) = 20.167465229908395, (1361, 2) = .7103673120912442, (1361, 3) = -.5878679003332618, (1362, 1) = 20.17002596583074, (1362, 2) = .7082450501731798, (1362, 3) = -.5878359155750567, (1363, 1) = 20.172571090857023, (1363, 2) = .7061295208326606, (1363, 3) = -.5878041315589633, (1364, 1) = 20.175100726135014, (1364, 2) = .704020681483526, (1364, 3) = -.5877725466652254, (1365, 1) = 20.177614991749763, (1365, 2) = .7019184897609768, (1365, 3) = -.5877411592891387, (1366, 1) = 20.180114006294712, (1366, 2) = .699822903888587, (1366, 3) = -.5877099678463796, (1367, 1) = 20.182597887080117, (1367, 2) = .6977338825148868, (1367, 3) = -.5876789707703629, (1368, 1) = 20.185066750191243, (1368, 2) = .6956513846739367, (1368, 3) = -.5876481665114918, (1369, 1) = 20.187520710504657, (1369, 2) = .6935753697805567, (1369, 3) = -.5876175535369169, (1370, 1) = 20.189959881704237, (1370, 2) = .6915057976256387, (1370, 3) = -.5875871303303115, (1371, 1) = 20.192384376297035, (1371, 2) = .6894426283715354, (1371, 3) = -.5875568953916412, (1372, 1) = 20.194794305628736, (1372, 2) = .6873858225475313, (1372, 3) = -.5875268472369444, (1373, 1) = 20.197189779899013, (1373, 2) = .6853353410453344, (1373, 3) = -.5874969843981115, (1374, 1) = 20.19957090827442, (1374, 2) = .6832911450305323, (1374, 3) = -.5874673054214499, (1375, 1) = 20.20193779891084, (1375, 2) = .681253195930413, (1375, 3) = -.5874378088673787, (1376, 1) = 20.20429055865475, (1376, 2) = .6792214556992792, (1376, 3) = -.5874084933141258, (1377, 1) = 20.206629293258636, (1377, 2) = .677195886642523, (1377, 3) = -.5873793573550125, (1378, 1) = 20.20895410740203, (1378, 2) = .6751764514064231, (1378, 3) = -.5873503995981693, (1379, 1) = 20.21126510470547, (1379, 2) = .6731631129740693, (1379, 3) = -.5873216186663353, (1380, 1) = 20.21356238774416, (1380, 2) = .6711558346613368, (1380, 3) = -.5872930131966638, (1381, 1) = 20.215846058061338, (1381, 2) = .6691545801129173, (1381, 3) = -.5872645818405308, (1382, 1) = 20.21811621618158, (1382, 2) = .6671593132984446, (1382, 3) = -.5872363232633444, (1383, 1) = 20.220372961624314, (1383, 2) = .6651699985081674, (1383, 3) = -.5872082361443577, (1384, 1) = 20.22261639307074, (1384, 2) = .6631866002127065, (1384, 3) = -.5871803191745617, (1385, 1) = 20.224846608183217, (1385, 2) = .6612090832289268, (1385, 3) = -.5871525710589186, (1386, 1) = 20.227063703529964, (1386, 2) = .6592374127948712, (1386, 3) = -.5871249905172703, (1387, 1) = 20.22926777472392, (1387, 2) = .6572715544546797, (1387, 3) = -.587097576282591, (1388, 1) = 20.231458916434793, (1388, 2) = .6553114740550101, (1388, 3) = -.5870703271008146, (1389, 1) = 20.233637222400883, (1389, 2) = .6533571377415338, (1389, 3) = -.5870432417306678, (1390, 1) = 20.2358027854408, (1390, 2) = .6514085119554676, (1390, 3) = -.5870163189435034, (1391, 1) = 20.23795569746495, (1391, 2) = .6494655634301458, (1391, 3) = -.5869895575231379, (1392, 1) = 20.240096049486805, (1392, 2) = .6475282591876764, (1392, 3) = -.5869629562656891, (1393, 1) = 20.242223931647754, (1393, 2) = .6455965665231956, (1393, 3) = -.586936513979251, (1394, 1) = 20.24433943337952, (1394, 2) = .6436704528633577, (1394, 3) = -.5869102294818551, (1395, 1) = 20.246442643119575, (1395, 2) = .6417498860309321, (1395, 3) = -.5868841016049873, (1396, 1) = 20.24853364839514, (1396, 2) = .6398348341762122, (1396, 3) = -.5868581291925283, (1397, 1) = 20.250612535890834, (1397, 2) = .6379252657219932, (1397, 3) = -.5868323110998899, (1398, 1) = 20.25267939145905, (1398, 2) = .6360211493604658, (1398, 3) = -.5868066461938722, (1399, 1) = 20.2547343001301, (1399, 2) = .6341224540501883, (1399, 3) = -.5867811333525184, (1400, 1) = 20.2567773461223, (1400, 2) = .6322291490130837, (1400, 3) = -.5867557714649736, (1401, 1) = 20.258808612851738, (1401, 2) = .6303412037314671, (1401, 3) = -.5867305594313454, (1402, 1) = 20.260828182942095, (1402, 2) = .6284585879451511, (1402, 3) = -.5867054961625646, (1403, 1) = 20.26283613827451, (1403, 2) = .6265812716108096, (1403, 3) = -.5866805805797521, (1404, 1) = 20.264832560079185, (1404, 2) = .6247092248214317, (1404, 3) = -.5866558116130667, (1405, 1) = 20.26681752866998, (1405, 2) = .6228424180605358, (1405, 3) = -.5866311882049798, (1406, 1) = 20.26879112358788, (1406, 2) = .6209808220747269, (1406, 3) = -.5866067093084841, (1407, 1) = 20.270753423628115, (1407, 2) = .6191244078539944, (1407, 3) = -.5865823738867365, (1408, 1) = 20.272704506849127, (1408, 2) = .6172731466290131, (1408, 3) = -.5865581809129337, (1409, 1) = 20.274644450581363, (1409, 2) = .6154270098685053, (1409, 3) = -.5865341293701924, (1410, 1) = 20.276573331435834, (1410, 2) = .613585969276635, (1410, 3) = -.5865102182514209, (1411, 1) = 20.278491225312756, (1411, 2) = .611749996790429, (1411, 3) = -.5864864465592075, (1412, 1) = 20.28039820740981, (1412, 2) = .6099190645772399, (1412, 3) = -.5864628133056945, (1413, 1) = 20.28229435230636, (1413, 2) = .6080931449591185, (1413, 3) = -.5864393175115287, (1414, 1) = 20.28417973393899, (1414, 2) = .606272210440719, (1414, 3) = -.586415958206146, (1415, 1) = 20.286054425442217, (1415, 2) = .6044562338686293, (1415, 3) = -.586392734429735, (1416, 1) = 20.28791849927892, (1416, 2) = .6026451883114908, (1416, 3) = -.5863696452316055, (1417, 1) = 20.289772027249903, (1417, 2) = .6008390470559912, (1417, 3) = -.5863466896700603, (1418, 1) = 20.291615080501572, (1418, 2) = .5990377836045139, (1418, 3) = -.5863238668122832, (1419, 1) = 20.293447729533508, (1419, 2) = .5972413716728343, (1419, 3) = -.5863011757342355, (1420, 1) = 20.295270044206013, (1420, 2) = .5954497851878452, (1420, 3) = -.5862786155205506, (1421, 1) = 20.297082093747395, (1421, 2) = .5936629982853113, (1421, 3) = -.5862561852644296, (1422, 1) = 20.29888394676307, (1422, 2) = .591880985305891, (1422, 3) = -.5862338840675205, (1423, 1) = 20.300675671350593, (1423, 2) = .5901037206857875, (1423, 3) = -.5862117110384786, (1424, 1) = 20.302457334947736, (1424, 2) = .588331179111376, (1424, 3) = -.5861896652948407, (1425, 1) = 20.304229004320884, (1425, 2) = .5865633355363294, (1425, 3) = -.5861677459631525, (1426, 1) = 20.305990745639946, (1426, 2) = .5848001651122938, (1426, 3) = -.5861459521780327, (1427, 1) = 20.30774262448526, (1427, 2) = .5830416431868294, (1427, 3) = -.5861242830820779, (1428, 1) = 20.30948470585415, (1428, 2) = .5812877453013613, (1428, 3) = -.5861027378257668, (1429, 1) = 20.311217054167543, (1429, 2) = .5795384471891574, (1429, 3) = -.5860813155673726, (1430, 1) = 20.312939733276483, (1430, 2) = .5777937247733392, (1430, 3) = -.5860600154728689, (1431, 1) = 20.31465280646856, (1431, 2) = .5760535541649161, (1431, 3) = -.5860388367158428, (1432, 1) = 20.3163563364879, (1432, 2) = .5743179116468576, (1432, 3) = -.5860177784772339, (1433, 1) = 20.318050385633256, (1433, 2) = .572586773577961, (1433, 3) = -.5859968399441151, (1434, 1) = 20.319735015562877, (1434, 2) = .5708601165960288, (1434, 3) = -.5859760203120964, (1435, 1) = 20.321410287367645, (1435, 2) = .5691379175482959, (1435, 3) = -.585955318784407, (1436, 1) = 20.323076261605884, (1436, 2) = .5674201534603284, (1436, 3) = -.5859347345714582, (1437, 1) = 20.32473299830924, (1437, 2) = .565706801534211, (1437, 3) = -.585914266890762, (1438, 1) = 20.32638055698856, (1438, 2) = .5639978391467516, (1438, 3) = -.5858939149668488, (1439, 1) = 20.328018996639525, (1439, 2) = .5622932438477037, (1439, 3) = -.585873678031188, (1440, 1) = 20.32964837574838, (1440, 2) = .5605929933580147, (1440, 3) = -.5858535553221078, (1441, 1) = 20.33126875229753, (1441, 2) = .5588970655681073, (1441, 3) = -.5858335460847216, (1442, 1) = 20.332880183804996, (1442, 2) = .557205438500507, (1442, 3) = -.5858136495704283, (1443, 1) = 20.334482727365014, (1443, 2) = .5555180902704633, (1443, 3) = -.5857938650364043, (1444, 1) = 20.336076439484206, (1444, 2) = .5538349992622114, (1444, 3) = -.585774191747618, (1445, 1) = 20.337661376179486, (1445, 2) = .552156144030651, (1445, 3) = -.5857546289756124, (1446, 1) = 20.339237592990926, (1446, 2) = .5504815032917467, (1446, 3) = -.5857351759983402, (1447, 1) = 20.340805144986827, (1447, 2) = .5488110559209254, (1447, 3) = -.5857158321000903, (1448, 1) = 20.342364086768935, (1448, 2) = .5471447809514967, (1448, 3) = -.5856965965714167, (1449, 1) = 20.343914472477334, (1449, 2) = .5454826575730887, (1449, 3) = -.5856774687090723, (1450, 1) = 20.3454563557955, (1450, 2) = .5438246651300985, (1450, 3) = -.585658447815938, (1451, 1) = 20.34698978995517, (1451, 2) = .5421707831201823, (1451, 3) = -.5856395332009535, (1452, 1) = 20.34851482780076, (1452, 2) = .5405209911281232, (1452, 3) = -.5856207241783197, (1453, 1) = 20.35003152174463, (1453, 2) = .5388752688772384, (1453, 3) = -.5856020200680387, (1454, 1) = 20.351539923688026, (1454, 2) = .5372335963189862, (1454, 3) = -.5855834201968859, (1455, 1) = 20.353040085099344, (1455, 2) = .5355959535522752, (1455, 3) = -.5855649238974334, (1456, 1) = 20.354532057018865, (1456, 2) = .5339623208218498, (1456, 3) = -.5855465305079921, (1457, 1) = 20.35601589006324, (1457, 2) = .532332678516871, (1457, 3) = -.5855282393725401, (1458, 1) = 20.357491634430016, (1458, 2) = .5307070071695205, (1458, 3) = -.5855100498406681, (1459, 1) = 20.358959339902004, (1459, 2) = .5290852874536198, (1459, 3) = -.5854919612675143, (1460, 1) = 20.36041905585165, (1460, 2) = .5274675001832565, (1460, 3) = -.5854739730137067, (1461, 1) = 20.361870831248222, (1461, 2) = .5258536263082028, (1461, 3) = -.5854560844452676, (1462, 1) = 20.363314714736255, (1462, 2) = .5242436468297053, (1462, 3) = -.5854382949326431, (1463, 1) = 20.36475075451591, (1463, 2) = .5226375429365053, (1463, 3) = -.585420603852166, (1464, 1) = 20.36617899835693, (1464, 2) = .5210352959933637, (1464, 3) = -.585403010585881, (1465, 1) = 20.367599493639673, (1465, 2) = .5194368874986673, (1465, 3) = -.5853855145210357, (1466, 1) = 20.369012287359197, (1466, 2) = .5178422990831658, (1466, 3) = -.585368115050019, (1467, 1) = 20.370417426129233, (1467, 2) = .5162515125087104, (1467, 3) = -.5853508115703094, (1468, 1) = 20.371814956186082, (1468, 2) = .514664509667018, (1468, 3) = -.5853336034844234, (1469, 1) = 20.373204923392557, (1469, 2) = .5130812725784484, (1469, 3) = -.5853164901998562, (1470, 1) = 20.374587373241702, (1470, 2) = .5115017833907849, (1470, 3) = -.5852994711290359, (1471, 1) = 20.375962350873767, (1471, 2) = .5099260243630338, (1471, 3) = -.5852825456891035, (1472, 1) = 20.377329901134154, (1472, 2) = .5083539778015767, (1472, 3) = -.5852657133012018, (1473, 1) = 20.37869006844031, (1473, 2) = .5067856262156953, (1473, 3) = -.5852489733921005, (1474, 1) = 20.38004289684064, (1474, 2) = .5052209522537047, (1474, 3) = -.585232325393472, (1475, 1) = 20.381388430032384, (1475, 2) = .5036599386854458, (1475, 3) = -.5852157687416626, (1476, 1) = 20.38272671136514, (1476, 2) = .5021025684011654, (1476, 3) = -.5851993028776461, (1477, 1) = 20.384057783844405, (1477, 2) = .5005488244104006, (1477, 3) = -.5851829272469752, (1478, 1) = 20.385381690135063, (1478, 2) = .49899868984087153, (1478, 3) = -.5851666412997308, (1479, 1) = 20.38669847256473, (1479, 2) = .49745214793739995, (1479, 3) = -.5851504444904816, (1480, 1) = 20.388008173127194, (1480, 2) = .49590918206082574, (1480, 3) = -.585134336278232, (1481, 1) = 20.389310833514237, (1481, 2) = .4943697756532494, (1481, 3) = -.5851183161260284, (1482, 1) = 20.390606495127578, (1482, 2) = .49283391222613593, (1482, 3) = -.5851023835008075, (1483, 1) = 20.39189519897927, (1483, 2) = .4913015754811207, (1483, 3) = -.5850865378746154, (1484, 1) = 20.3931769857579, (1484, 2) = .4897727492350041, (1484, 3) = -.5850707787237942, (1485, 1) = 20.39445189583452, (1485, 2) = .48824741741535344, (1485, 3) = -.5850551055288956, (1486, 1) = 20.395719969265894, (1486, 2) = .4867255640595053, (1486, 3) = -.5850395177746462, (1487, 1) = 20.39698124579756, (1487, 2) = .48520717331356933, (1487, 3) = -.5850240149498975, (1488, 1) = 20.39823576486689, (1488, 2) = .48369222943144485, (1488, 3) = -.5850085965475911, (1489, 1) = 20.39948356560614, (1489, 2) = .48218071677385194, (1489, 3) = -.5849932620647099, (1490, 1) = 20.40072468684546, (1490, 2) = .4806726198073213, (1490, 3) = -.5849780110022453, (1491, 1) = 20.40195916716302, (1491, 2) = .4791679230456629, (1491, 3) = -.5849628428645695, (1492, 1) = 20.4031870448336, (1492, 2) = .47766661111471376, (1492, 3) = -.5849477571600685, (1493, 1) = 20.404408357795887, (1493, 2) = .47616866879520303, (1493, 3) = -.5849327534015372, (1494, 1) = 20.405623143698133, (1494, 2) = .47467408096994806, (1494, 3) = -.5849178311056163, (1495, 1) = 20.406831439900934, (1495, 2) = .4731828326229401, (1495, 3) = -.5849029897927535, (1496, 1) = 20.408033283480062, (1496, 2) = .47169490883844656, (1496, 3) = -.5848882289871647, (1497, 1) = 20.40922871122918, (1497, 2) = .47021029480012827, (1497, 3) = -.5848735482167968, (1498, 1) = 20.410417759662604, (1498, 2) = .46872897579015627, (1498, 3) = -.5848589470132918, (1499, 1) = 20.411600465017955, (1499, 2) = .46725093718834526, (1499, 3) = -.5848444249119487, (1500, 1) = 20.412776863262508, (1500, 2) = .4657761644666621, (1500, 3) = -.5848299814516442, (1501, 1) = 20.413946990145835, (1501, 2) = .4643046431253481, (1501, 3) = -.5848156161741805, (1502, 1) = 20.4151108811091, (1502, 2) = .4628363588088537, (1502, 3) = -.5848013286253962, (1503, 1) = 20.416268571307146, (1503, 2) = .4613712972811138, (1503, 3) = -.5847871183548934, (1504, 1) = 20.417420095631098, (1504, 2) = .459909444399476, (1504, 3) = -.5847729849157542, (1505, 1) = 20.418565488710996, (1505, 2) = .45845078611388024, (1505, 3) = -.5847589278645096, (1506, 1) = 20.419704784918185, (1506, 2) = .45699530846605874, (1506, 3) = -.5847449467610988, (1507, 1) = 20.420838018367817, (1507, 2) = .45554299758873895, (1507, 3) = -.5847310411688456, (1508, 1) = 20.421965222921227, (1508, 2) = .4540938397048611, (1508, 3) = -.584717210654417, (1509, 1) = 20.42308643218837, (1509, 2) = .45264782112679397, (1509, 3) = -.5847034547877961, (1510, 1) = 20.424201679542207, (1510, 2) = .451204928239911, (1510, 3) = -.5846897731420989, (1511, 1) = 20.42531099815134, (1511, 2) = .44976514746230306, (1511, 3) = -.5846761652931752, (1512, 1) = 20.42641442089031, (1512, 2) = .4483284653630415, (1512, 3) = -.5846626308207006, (1513, 1) = 20.427511980384736, (1513, 2) = .4468948686064773, (1513, 3) = -.5846491693076239, (1514, 1) = 20.428603709020404, (1514, 2) = .44546434394259615, (1514, 3) = -.5846357803400531, (1515, 1) = 20.42968963894554, (1515, 2) = .4440368782062881, (1515, 3) = -.5846224635072187, (1516, 1) = 20.430769802073023, (1516, 2) = .44261245831662605, (1516, 3) = -.5846092184014523, (1517, 1) = 20.43184423008253, (1517, 2) = .4411910712761514, (1517, 3) = -.5845960446181513, (1518, 1) = 20.432912954422765, (1518, 2) = .4397727041701722, (1518, 3) = -.5845829417557514, (1519, 1) = 20.433976006313507, (1519, 2) = .4383573441660569, (1519, 3) = -.5845699094156973, (1520, 1) = 20.43503341677161, (1520, 2) = .4369449784806514, (1520, 3) = -.5845569472021231, (1521, 1) = 20.43608521660702, (1521, 2) = .4355355943872097, (1521, 3) = -.584544054721898, (1522, 1) = 20.43713143636437, (1522, 2) = .4341291792957724, (1522, 3) = -.5845312315853382, (1523, 1) = 20.438172106366878, (1523, 2) = .4327257206968405, (1523, 3) = -.5845184774056672, (1524, 1) = 20.439207256719218, (1524, 2) = .4313252061595644, (1524, 3) = -.5845057917989798, (1525, 1) = 20.44023691730957, (1525, 2) = .42992762333109025, (1525, 3) = -.5844931743842123, (1526, 1) = 20.441261117811482, (1526, 2) = .4285329599359113, (1526, 3) = -.5844806247831168, (1527, 1) = 20.44227988768597, (1527, 2) = .42714120377522274, (1527, 3) = -.5844681426202349, (1528, 1) = 20.443293256183274, (1528, 2) = .4257523427262928, (1528, 3) = -.5844557275228724, (1529, 1) = 20.44430125234534, (1529, 2) = .42436636474129835, (1529, 3) = -.5844433791210686, (1530, 1) = 20.44530390504348, (1530, 2) = .4229832577970211, (1530, 3) = -.5844310970471293, (1531, 1) = 20.446301242930197, (1531, 2) = .4216030099628953, (1531, 3) = -.584418880936217, (1532, 1) = 20.44729329443022, (1532, 2) = .42022560941583703, (1532, 3) = -.5844067304264594, (1533, 1) = 20.448280087766854, (1533, 2) = .4188510444057249, (1533, 3) = -.5843946451586215, (1534, 1) = 20.44926165096396, (1534, 2) = .4174793032547997, (1534, 3) = -.5843826247760809, (1535, 1) = 20.450238011847663, (1535, 2) = .41611037435707776, (1535, 3) = -.5843706689248042, (1536, 1) = 20.451209198048083, (1536, 2) = .41474424617776545, (1536, 3) = -.5843587772533254, (1537, 1) = 20.452175237001164, (1537, 2) = .4133809072526758, (1537, 3) = -.5843469494127181, (1538, 1) = 20.453136155950343, (1538, 2) = .4120203461876638, (1538, 3) = -.584335185056575, (1539, 1) = 20.454091981952352, (1539, 2) = .41066255165221727, (1539, 3) = -.5843234838409357, (1540, 1) = 20.45504274191177, (1540, 2) = .40930751233199625, (1540, 3) = -.5843118454238593, (1541, 1) = 20.455988462514036, (1541, 2) = .4079552170256255, (1541, 3) = -.5843002694662438, (1542, 1) = 20.456929170247953, (1542, 2) = .4066056546149601, (1542, 3) = -.5842887556315506, (1543, 1) = 20.45786489141825, (1543, 2) = .4052588140490894, (1543, 3) = -.5842773035856439, (1544, 1) = 20.45879565214717, (1544, 2) = .4039146843437955, (1544, 3) = -.5842659129967739, (1545, 1) = 20.459721478376085, (1545, 2) = .40257325458102083, (1545, 3) = -.5842545835355523, (1546, 1) = 20.460642395867055, (1546, 2) = .4012345139083406, (1546, 3) = -.5842433148749332, (1547, 1) = 20.461558430204438, (1547, 2) = .3998984515384377, (1547, 3) = -.5842321066901913, (1548, 1) = 20.46246960679638, (1548, 2) = .3985650567485869, (1548, 3) = -.5842209586588989, (1549, 1) = 20.46337595088735, (1549, 2) = .3972343188641055, (1549, 3) = -.5842098704607767, (1550, 1) = 20.46427748757444, (1550, 2) = .39590622723560454, (1550, 3) = -.584198841777486, (1551, 1) = 20.46517424174817, (1551, 2) = .3945807713278372, (1551, 3) = -.584187872293356, (1552, 1) = 20.46606623812577, (1552, 2) = .39325794067271763, (1552, 3) = -.5841769616949728, (1553, 1) = 20.466953501255844, (1553, 2) = .3919377248642176, (1553, 3) = -.5841661096711203, (1554, 1) = 20.46783605551984, (1554, 2) = .39062011355787485, (1554, 3) = -.584155315912761, (1555, 1) = 20.46871392513345, (1555, 2) = .38930509647031186, (1555, 3) = -.5841445801130195, (1556, 1) = 20.469587134148046, (1556, 2) = .38799266337875865, (1556, 3) = -.5841339019671586, (1557, 1) = 20.470455706452103, (1557, 2) = .386682804120576, (1557, 3) = -.5841232811725636, (1558, 1) = 20.47131966577256, (1558, 2) = .3853755085927874, (1558, 3) = -.584112717428724, (1559, 1) = 20.47217903569616, (1559, 2) = .3840707667213574, (1559, 3) = -.5841022104369701, (1560, 1) = 20.47303383965696, (1560, 2) = .3827685684812669, (1560, 3) = -.5840917599006239, (1561, 1) = 20.473884100904446, (1561, 2) = .38146890394681643, (1561, 3) = -.584081365525388, (1562, 1) = 20.474729842531918, (1562, 2) = .3801717632503338, (1562, 3) = -.5840710270189969, (1563, 1) = 20.475571087477945, (1563, 2) = .3788771365815163, (1563, 3) = -.5840607440911987, (1564, 1) = 20.476407858527686, (1564, 2) = .3775850141869826, (1564, 3) = -.5840505164537345, (1565, 1) = 20.477240178314197, (1565, 2) = .3762953863698377, (1565, 3) = -.5840403438203249, (1566, 1) = 20.47806806931966, (1566, 2) = .3750082434892382, (1566, 3) = -.5840302259066494, (1567, 1) = 20.478891553876725, (1567, 2) = .3737235759599638, (1567, 3) = -.5840201624303326, (1568, 1) = 20.479710654170496, (1568, 2) = .37244137425074453, (1568, 3) = -.5840101531109162, (1569, 1) = 20.480525392266234, (1569, 2) = .3711616288422991, (1569, 3) = -.5840001976695187, (1570, 1) = 20.481335790068382, (1570, 2) = .36988433029270146, (1570, 3) = -.5839902958293373, (1571, 1) = 20.482141869322586, (1571, 2) = .3686094692361805, (1571, 3) = -.5839804473156173, (1572, 1) = 20.482943651631132, (1572, 2) = .3673370363604796, (1572, 3) = -.583970651855468, (1573, 1) = 20.483741158454063, (1573, 2) = .3660670224064538, (1573, 3) = -.5839609091778425, (1574, 1) = 20.484534411110474, (1574, 2) = .3647994181676676, (1574, 3) = -.5839512190135238, (1575, 1) = 20.48532343077956, (1575, 2) = .3635342144899956, (1575, 3) = -.5839415810951105, (1576, 1) = 20.486108238501902, (1576, 2) = .36227140227123017, (1576, 3) = -.5839319951569951, (1577, 1) = 20.48688885518052, (1577, 2) = .36101097246069086, (1577, 3) = -.5839224609353586, (1578, 1) = 20.487665301586237, (1578, 2) = .35975291605201254, (1578, 3) = -.5839129781680956, (1579, 1) = 20.48843759837948, (1579, 2) = .3584972240489543, (1579, 3) = -.5839035465945515, (1580, 1) = 20.48920576606216, (1580, 2) = .3572438875449062, (1580, 3) = -.5838941659561073, (1581, 1) = 20.48996982499731, (1581, 2) = .35599289769254977, (1581, 3) = -.5838848359959397, (1582, 1) = 20.490729795416065, (1582, 2) = .35474424569417706, (1582, 3) = -.5838755564589315, (1583, 1) = 20.49148569741871, (1583, 2) = .35349792280132336, (1583, 3) = -.5838663270916624, (1584, 1) = 20.492237550975688, (1584, 2) = .3522539203144007, (1584, 3) = -.5838571476423912, (1585, 1) = 20.492985375928733, (1585, 2) = .3510122295823374, (1585, 3) = -.5838480178610443, (1586, 1) = 20.493729191991868, (1586, 2) = .3497728420022159, (1586, 3) = -.5838389374991996, (1587, 1) = 20.49446901875249, (1587, 2) = .34853574901892254, (1587, 3) = -.583829906310074, (1588, 1) = 20.495204875681967, (1588, 2) = .3473009421085809, (1588, 3) = -.583820924048392, (1589, 1) = 20.495936782141985, (1589, 2) = .3460684127690501, (1589, 3) = -.5838119904703079, (1590, 1) = 20.496664757346423, (1590, 2) = .34483815258535844, (1590, 3) = -.5838031053338689, (1591, 1) = 20.497388820385208, (1591, 2) = .343610153191112, (1591, 3) = -.5837942683987233, (1592, 1) = 20.498108990226743, (1592, 2) = .3423844062659731, (1592, 3) = -.5837854794260928, (1593, 1) = 20.49882528571877, (1593, 2) = .34116090353532375, (1593, 3) = -.5837767381787552, (1594, 1) = 20.499537725589345, (1594, 2) = .3399396367699336, (1594, 3) = -.5837680444210354, (1595, 1) = 20.50024632844789, (1595, 2) = .3387205977856291, (1595, 3) = -.5837593979187911, (1596, 1) = 20.500951112786044, (1596, 2) = .33750377844296503, (1596, 3) = -.5837507984394004, (1597, 1) = 20.50165209697864, (1597, 2) = .3362891706469044, (1597, 3) = -.5837422457517502, (1598, 1) = 20.50234929930115, (1598, 2) = .3350767663177297, (1598, 3) = -.5837337396260218, (1599, 1) = 20.50304273791334, (1599, 2) = .3338665574204037, (1599, 3) = -.5837252798338883, (1600, 1) = 20.50373243084428, (1600, 2) = .3326585359921372, (1600, 3) = -.5837168661486978, (1601, 1) = 20.504418396009942, (1601, 2) = .3314526941132651, (1601, 3) = -.5837084983452591, (1602, 1) = 20.505100651214022, (1602, 2) = .3302490239069362, (1602, 3) = -.5837001761998262, (1603, 1) = 20.50577921414893, (1603, 2) = .32904751753880607, (1603, 3) = -.58369189949009, (1604, 1) = 20.50645410239662, (1604, 2) = .3278481672167322, (1604, 3) = -.5836836679951665, (1605, 1) = 20.5071253334294, (1605, 2) = .3266509651904737, (1605, 3) = -.5836754814955822, (1606, 1) = 20.50779292461091, (1606, 2) = .3254559037513919, (1606, 3) = -.5836673397732658, (1607, 1) = 20.50845689319801, (1607, 2) = .3242629752301279, (1607, 3) = -.5836592426115235, (1608, 1) = 20.509117256360327, (1608, 2) = .3230721719625055, (1608, 3) = -.5836511897947962, (1609, 1) = 20.509774031147693, (1609, 2) = .32188348634930386, (1609, 3) = -.5836431811090622, (1610, 1) = 20.510427234496408, (1610, 2) = .3206969108462414, (1610, 3) = -.5836352163417518, (1611, 1) = 20.511076883238307, (1611, 2) = .3195124379491688, (1611, 3) = -.5836272952816438, (1612, 1) = 20.511722994101483, (1612, 2) = .3183300601937889, (1612, 3) = -.5836194177188503, (1613, 1) = 20.51236558371113, (1613, 2) = .31714977015537565, (1613, 3) = -.5836115834448096, (1614, 1) = 20.513004668590344, (1614, 2) = .3159715604484949, (1614, 3) = -.5836037922522714, (1615, 1) = 20.513640265160873, (1615, 2) = .3147954237267282, (1615, 3) = -.583596043935291, (1616, 1) = 20.514272389743947, (1616, 2) = .3136213526824013, (1616, 3) = -.5835883382892159, (1617, 1) = 20.51490105856512, (1617, 2) = .31244934003868924, (1617, 3) = -.5835806751106265, (1618, 1) = 20.515526287767294, (1618, 2) = .3112793785262039, (1618, 3) = -.5835730541971772, (1619, 1) = 20.51614809337689, (1619, 2) = .31011146094727554, (1619, 3) = -.5835654753480064, (1620, 1) = 20.516766491319924, (1620, 2) = .30894558014733786, (1620, 3) = -.5835579383635426, (1621, 1) = 20.517381497425728, (1621, 2) = .3077817290092228, (1621, 3) = -.5835504430454563, (1622, 1) = 20.51799312742764, (1622, 2) = .306619900452904, (1622, 3) = -.5835429891966502, (1623, 1) = 20.518601396963753, (1623, 2) = .30546008743523817, (1623, 3) = -.5835355766212511, (1624, 1) = 20.519206321577652, (1624, 2) = .3043022829497098, (1624, 3) = -.5835282051245994, (1625, 1) = 20.519807916719127, (1625, 2) = .30314648002617983, (1625, 3) = -.5835208745132402, (1626, 1) = 20.520406197744883, (1626, 2) = .3019926717306341, (1626, 3) = -.5835135845949136, (1627, 1) = 20.521001179927627, (1627, 2) = .30084085114869874, (1627, 3) = -.5835063351784411, (1628, 1) = 20.52159287845613, (1628, 2) = .2996910113862546, (1628, 3) = -.5834991260737298, (1629, 1) = 20.522181308411852, (1629, 2) = .29854314561609263, (1629, 3) = -.5834919570920498, (1630, 1) = 20.522766484785485, (1630, 2) = .29739724704700476, (1630, 3) = -.5834848280458373, (1631, 1) = 20.523348422478136, (1631, 2) = .29625330892267415, (1631, 3) = -.5834777387486771, (1632, 1) = 20.52392713630199, (1632, 2) = .29511132452144134, (1632, 3) = -.5834706890152942, (1633, 1) = 20.52450264098094, (1633, 2) = .2939712871560667, (1633, 3) = -.583463678661544, (1634, 1) = 20.525074951151332, (1634, 2) = .292833190173497, (1634, 3) = -.5834567075044067, (1635, 1) = 20.52564408136252, (1635, 2) = .2916970269546331, (1635, 3) = -.5834497753619741, (1636, 1) = 20.526210046077708, (1636, 2) = .29056279091394077, (1636, 3) = -.5834428820534456, (1637, 1) = 20.526772859687657, (1637, 2) = .28943047547263734, (1637, 3) = -.5834360273989548, (1638, 1) = 20.527332536494093, (1638, 2) = .2883000740930162, (1638, 3) = -.5834292112197738, (1639, 1) = 20.527889090704488, (1639, 2) = .28717158029024065, (1639, 3) = -.5834224333383745, (1640, 1) = 20.5284425364425, (1640, 2) = .28604498761229047, (1640, 3) = -.583415693578302, (1641, 1) = 20.52899288774876, (1641, 2) = .2849202896397382, (1641, 3) = -.583408991764167, (1642, 1) = 20.52954015858133, (1642, 2) = .2837974799855331, (1642, 3) = -.5834023277216328, (1643, 1) = 20.530084362816446, (1643, 2) = .28267655229478295, (1643, 3) = -.5833957012774136, (1644, 1) = 20.530625514249007, (1644, 2) = .2815575002445399, (1644, 3) = -.5833891122592618, (1645, 1) = 20.53116362659326, (1645, 2) = .2804403175435873, (1645, 3) = -.5833825604959628, (1646, 1) = 20.531698713484673, (1646, 2) = .27932499792944326, (1646, 3) = -.583376045817309, (1647, 1) = 20.5322307884933, (1647, 2) = .2782115351414112, (1647, 3) = -.5833695680539398, (1648, 1) = 20.532759865098786, (1648, 2) = .2770999229735108, (1648, 3) = -.583363127037641, (1649, 1) = 20.533285956697974, (1649, 2) = .2759901552600315, (1649, 3) = -.5833567226012578, (1650, 1) = 20.533809076609888, (1650, 2) = .2748822258659471, (1650, 3) = -.5833503545786256, (1651, 1) = 20.53432923807646, (1651, 2) = .2737761286867116, (1651, 3) = -.5833440228045687, (1652, 1) = 20.534846454262865, (1652, 2) = .2726718576480589, (1652, 3) = -.5833377271148887, (1653, 1) = 20.53536073825833, (1653, 2) = .2715694067058035, (1653, 3) = -.583331467346361, (1654, 1) = 20.53587210307652, (1654, 2) = .2704687698456427, (1654, 3) = -.5833252433367229, (1655, 1) = 20.536380561656134, (1655, 2) = .2693699410829605, (1655, 3) = -.583319054924671, (1656, 1) = 20.536886126865227, (1656, 2) = .2682729144543761, (1656, 3) = -.5833129019498036, (1657, 1) = 20.53738881150831, (1657, 2) = .2671776840031296, (1657, 3) = -.5833067842525401, (1658, 1) = 20.537888628303328, (1658, 2) = .2660842438301195, (1658, 3) = -.583300701674393, (1659, 1) = 20.538385589893945, (1659, 2) = .2649925880681822, (1659, 3) = -.5832946540578244, (1660, 1) = 20.53887970885157, (1660, 2) = .26390271087887607, (1660, 3) = -.5832886412462165, (1661, 1) = 20.53937099767587, (1661, 2) = .262814606452295, (1661, 3) = -.583282663083869, (1662, 1) = 20.539859468795225, (1662, 2) = .2617282690068839, (1662, 3) = -.5832767194159885, (1663, 1) = 20.54034513456726, (1663, 2) = .26064369278925403, (1663, 3) = -.5832708100886838, (1664, 1) = 20.540828007279405, (1664, 2) = .25956087207400336, (1664, 3) = -.5832649349489605, (1665, 1) = 20.541308099149322, (1665, 2) = .25847980116353225, (1665, 3) = -.5832590938447115, (1666, 1) = 20.541785422332598, (1666, 2) = .2574004743717047, (1666, 3) = -.583253286624627, (1667, 1) = 20.542259988919255, (1667, 2) = .2563228860322742, (1667, 3) = -.5832475131382339, (1668, 1) = 20.542731810920365, (1668, 2) = .2552470305303558, (1668, 3) = -.5832417732360566, (1669, 1) = 20.543200900279114, (1669, 2) = .25417290227838313, (1669, 3) = -.5832360667694872, (1670, 1) = 20.543667268871417, (1670, 2) = .2531004957157053, (1670, 3) = -.5832303935907736, (1671, 1) = 20.544130928506412, (1671, 2) = .25202980530841446, (1671, 3) = -.5832247535530136, (1672, 1) = 20.544591890926856, (1672, 2) = .2509608255491759, (1672, 3) = -.5832191465101505, (1673, 1) = 20.54505016780968, (1673, 2) = .24989355095705718, (1673, 3) = -.5832135723169648, (1674, 1) = 20.54550577076642, (1674, 2) = .24882797607736257, (1674, 3) = -.5832080308290711, (1675, 1) = 20.545958711343847, (1675, 2) = .24776409548094266, (1675, 3) = -.5832025219029072, (1676, 1) = 20.546409001034487, (1676, 2) = .24670190374050213, (1676, 3) = -.5831970453956061, (1677, 1) = 20.54685665126175, (1677, 2) = .24564139546600405, (1677, 3) = -.5831916011651789, (1678, 1) = 20.547301673379707, (1678, 2) = .24458256530660236, (1678, 3) = -.5831861890705132, (1679, 1) = 20.54774407867925, (1679, 2) = .24352540793685848, (1679, 3) = -.5831808089713025, (1680, 1) = 20.548183878388645, (1680, 2) = .24246991805658166, (1680, 3) = -.5831754607280348, (1681, 1) = 20.548621083673847, (1681, 2) = .24141609039067105, (1681, 3) = -.5831701442019919, (1682, 1) = 20.54905570563906, (1682, 2) = .2403639196889576, (1682, 3) = -.583164859255238, (1683, 1) = 20.549487755327036, (1683, 2) = .239313400726046, (1683, 3) = -.5831596057506218, (1684, 1) = 20.549917243719612, (1684, 2) = .2382645283011632, (1684, 3) = -.5831543835517627, (1685, 1) = 20.550344181739476, (1685, 2) = .23721729723451657, (1685, 3) = -.5831491925230338, (1686, 1) = 20.5507685802589, (1686, 2) = .23617170234671367, (1686, 3) = -.5831440325294543, (1687, 1) = 20.55119045008133, (1687, 2) = .23512773850450494, (1687, 3) = -.5831389034369119, (1688, 1) = 20.55160980194858, (1688, 2) = .23408540060459568, (1688, 3) = -.5831338051120758, (1689, 1) = 20.55202664654351, (1689, 2) = .23304468356754812, (1689, 3) = -.5831287374223642, (1690, 1) = 20.552440994490556, (1690, 2) = .2320055823376319, (1690, 3) = -.5831237002359361, (1691, 1) = 20.55285285635608, (1691, 2) = .23096809188267767, (1691, 3) = -.5831186934216882, (1692, 1) = 20.553262242648778, (1692, 2) = .22993220719393173, (1692, 3) = -.5831137168492485, (1693, 1) = 20.553669163820054, (1693, 2) = .22889792328591105, (1693, 3) = -.5831087703889734, (1694, 1) = 20.554073630264455, (1694, 2) = .22786523519625926, (1694, 3) = -.5831038539119382, (1695, 1) = 20.55447565232344, (1695, 2) = .22683413797684895, (1695, 3) = -.5830989672898954, (1696, 1) = 20.554875240288457, (1696, 2) = .2258046266863864, (1696, 3) = -.5830941103952345, (1697, 1) = 20.555272404385956, (1697, 2) = .2247766964299976, (1697, 3) = -.5830892831011639, (1698, 1) = 20.555667154786434, (1698, 2) = .22375034233691712, (1698, 3) = -.5830844852816008, (1699, 1) = 20.556059501605425, (1699, 2) = .2227255595588008, (1699, 3) = -.5830797168111611, (1700, 1) = 20.556449454903873, (1700, 2) = .2217023432695864, (1700, 3) = -.58307497756515, (1701, 1) = 20.55683702468848, (1701, 2) = .22068068866535992, (1701, 3) = -.5830702674195619, (1702, 1) = 20.557222220912116, (1702, 2) = .2196605909642198, (1702, 3) = -.5830655862510717, (1703, 1) = 20.557605053474145, (1703, 2) = .21864204540614318, (1703, 3) = -.5830609339370342, (1704, 1) = 20.557985532220815, (1704, 2) = .21762504725285242, (1704, 3) = -.5830563103554747, (1705, 1) = 20.55836366695155, (1705, 2) = .21660959177166808, (1705, 3) = -.5830517153850163, (1706, 1) = 20.558739467413773, (1706, 2) = .21559567425001128, (1706, 3) = -.5830471489049411, (1707, 1) = 20.55911294329609, (1707, 2) = .2145832900145154, (1707, 3) = -.5830426107952701, (1708, 1) = 20.559484104235462, (1708, 2) = .21357243441304247, (1708, 3) = -.5830381009366808, (1709, 1) = 20.559852959817448, (1709, 2) = .2125631028145455, (1709, 3) = -.5830336192104989, (1710, 1) = 20.560219519576588, (1710, 2) = .2115552906089415, (1710, 3) = -.5830291654986977, (1711, 1) = 20.56058379299678, (1711, 2) = .21054899320698497, (1711, 3) = -.5830247396838905, (1712, 1) = 20.56094578951154, (1712, 2) = .20954420604014434, (1712, 3) = -.5830203416493273, (1713, 1) = 20.561305518504376, (1713, 2) = .20854092456047682, (1713, 3) = -.5830159712788915, (1714, 1) = 20.561662989309497, (1714, 2) = .207539144239535, (1714, 3) = -.5830116284570908, (1715, 1) = 20.56201821121921, (1715, 2) = .20653886054811538, (1715, 3) = -.5830073130689641, (1716, 1) = 20.562371193472007, (1716, 2) = .20554006899046867, (1716, 3) = -.5830030250002318, (1717, 1) = 20.562721945254353, (1717, 2) = .20454276510022845, (1717, 3) = -.5829987641372677, (1718, 1) = 20.56307047570438, (1718, 2) = .20354694443100516, (1718, 3) = -.5829945303670563, (1719, 1) = 20.563416793912126, (1719, 2) = .2025526025562668, (1719, 3) = -.5829903235771914, (1720, 1) = 20.563760908919956, (1720, 2) = .2015597350692233, (1720, 3) = -.5829861436558694, (1721, 1) = 20.56410282972277, (1721, 2) = .2005683375827078, (1721, 3) = -.5829819904918856, (1722, 1) = 20.56444256526841, (1722, 2) = .19957840572906252, (1722, 3) = -.5829778639746293, (1723, 1) = 20.56478012445789, (1723, 2) = .19858993516002188, (1723, 3) = -.582973763994082, (1724, 1) = 20.56511551614712, (1724, 2) = .19760292154249012, (1724, 3) = -.5829696904407955, (1725, 1) = 20.56544874915224, (1725, 2) = .1966173605435724, (1725, 3) = -.5829656432058257, (1726, 1) = 20.565779832236682, (1726, 2) = .19563324786925657, (1726, 3) = -.5829616221808921, (1727, 1) = 20.566108774117033, (1727, 2) = .19465057924813106, (1727, 3) = -.5829576272583042, (1728, 1) = 20.56643558346462, (1728, 2) = .1936693504276085, (1728, 3) = -.5829536583309436, (1729, 1) = 20.566760268905774, (1729, 2) = .19268955717381717, (1729, 3) = -.5829497152922584, (1730, 1) = 20.567082839022163, (1730, 2) = .19171119527149008, (1730, 3) = -.5829457980362608, (1731, 1) = 20.567403302351003, (1731, 2) = .19073426052385836, (1731, 3) = -.5829419064575239, (1732, 1) = 20.567721667385456, (1732, 2) = .18975874875254048, (1732, 3) = -.5829380404511765, (1733, 1) = 20.568037942574804, (1733, 2) = .18878465579743978, (1733, 3) = -.5829341999129006, (1734, 1) = 20.56835213632775, (1734, 2) = .1878119775074915, (1734, 3) = -.5829303847388917, (1735, 1) = 20.568664257013047, (1735, 2) = .18684070973922104, (1735, 3) = -.582926594825851, (1736, 1) = 20.568974312950154, (1736, 2) = .18587084838645185, (1736, 3) = -.582922830071096, (1737, 1) = 20.569282312415606, (1737, 2) = .18490238936155381, (1737, 3) = -.5829190903724873, (1738, 1) = 20.569588263643503, (1738, 2) = .1839353285946513, (1738, 3) = -.5829153756284206, (1739, 1) = 20.569892174825792, (1739, 2) = .18296966203352077, (1739, 3) = -.5829116857378199, (1740, 1) = 20.570194054112537, (1740, 2) = .18200538564348936, (1740, 3) = -.5829080206001404, (1741, 1) = 20.570493909612196, (1741, 2) = .1810424954073346, (1741, 3) = -.5829043801153589, (1742, 1) = 20.570791749391862, (1742, 2) = .1800809873251827, (1742, 3) = -.5829007641839759, (1743, 1) = 20.57108758147755, (1743, 2) = .17912085741436704, (1743, 3) = -.5828971727070051, (1744, 1) = 20.571381413859243, (1744, 2) = .17816210169372657, (1744, 3) = -.5828936055859205, (1745, 1) = 20.571673254485248, (1745, 2) = .17720471620242959, (1745, 3) = -.5828900627227176, (1746, 1) = 20.571963111259624, (1746, 2) = .17624869700938786, (1746, 3) = -.5828865440199476, (1747, 1) = 20.572250992046392, (1747, 2) = .17529404020036804, (1747, 3) = -.5828830493806668, (1748, 1) = 20.572536904669768, (1748, 2) = .17434074187789655, (1748, 3) = -.5828795787084317, (1749, 1) = 20.572820856914447, (1749, 2) = .17338879816116332, (1749, 3) = -.5828761319072951, (1750, 1) = 20.5731028565258, (1750, 2) = .1724382051859276, (1750, 3) = -.5828727088818064, (1751, 1) = 20.573382911210157, (1751, 2) = .17148895910442422, (1751, 3) = -.5828693095370052, (1752, 1) = 20.57366102863511, (1752, 2) = .17054105608527068, (1752, 3) = -.5828659337784184, (1753, 1) = 20.573937216430064, (1753, 2) = .1695944923119247, (1753, 3) = -.582862581512053, (1754, 1) = 20.574211482191348, (1754, 2) = .1686492639659176, (1754, 3) = -.5828592526443359, (1755, 1) = 20.57448383347319, (1755, 2) = .16770536725856955, (1755, 3) = -.5828559470822182, (1756, 1) = 20.574754277790166, (1756, 2) = .16676279842345998, (1756, 3) = -.5828526647331532, (1757, 1) = 20.57502282261924, (1757, 2) = .1658215537100916, (1757, 3) = -.5828494055050631, (1758, 1) = 20.57528947540003, (1758, 2) = .16488162938379816, (1758, 3) = -.5828461693063415, (1759, 1) = 20.575554243535038, (1759, 2) = .16394302172565858, (1759, 3) = -.5828429560458477, (1760, 1) = 20.57581713438988, (1760, 2) = .163005727032406, (1760, 3) = -.5828397656329046, (1761, 1) = 20.576078155293516, (1761, 2) = .16206974161634372, (1761, 3) = -.5828365979772965, (1762, 1) = 20.576337313538474, (1762, 2) = .16113506180525483, (1762, 3) = -.5828334529892629, (1763, 1) = 20.576594616382362, (1763, 2) = .16020168393766543, (1763, 3) = -.5828303305794853, (1764, 1) = 20.57685007105076, (1764, 2) = .15926960435278034, (1764, 3) = -.5828272306590476, (1765, 1) = 20.577103684728655, (1765, 2) = .15833881942249634, (1765, 3) = -.5828241531395415, (1766, 1) = 20.577355464564878, (1766, 2) = .15740932553600015, (1766, 3) = -.5828210979330128, (1767, 1) = 20.577605417672974, (1767, 2) = .15648111909752943, (1767, 3) = -.5828180649519494, (1768, 1) = 20.5778535511314, (1768, 2) = .15555419652629182, (1768, 3) = -.5828150541092793, (1769, 1) = 20.5780998719837, (1769, 2) = .15462855425638092, (1769, 3) = -.5828120653183713, (1770, 1) = 20.578344387238786, (1770, 2) = .1537041887366945, (1770, 3) = -.5828090984930262, (1771, 1) = 20.57858710387114, (1771, 2) = .15278109643085228, (1771, 3) = -.5828061535474776, (1772, 1) = 20.57882802882098, (1772, 2) = .15185927381711684, (1772, 3) = -.582803230396388, (1773, 1) = 20.579067168996943, (1773, 2) = .15093871737887823, (1773, 3) = -.582800328954819, (1774, 1) = 20.579304531275305, (1774, 2) = .15001942360812567, (1774, 3) = -.582797449138237, (1775, 1) = 20.57954012249472, (1775, 2) = .14910138902665648, (1775, 3) = -.5827945908625788, (1776, 1) = 20.57977394946034, (1776, 2) = .14818461017081483, (1776, 3) = -.5827917540442022, (1777, 1) = 20.58000601894415, (1777, 2) = .1472690835911855, (1777, 3) = -.5827889385998796, (1778, 1) = 20.58023633768515, (1778, 2) = .14635480585251792, (1778, 3) = -.5827861444467974, (1779, 1) = 20.580464912389516, (1779, 2) = .14544177353364707, (1779, 3) = -.5827833715025535, (1780, 1) = 20.58069174973083, (1780, 2) = .14452998322741745, (1780, 3) = -.582780619685154, (1781, 1) = 20.5809168563503, (1781, 2) = .1436194315406074, (1781, 3) = -.5827778889130115, (1782, 1) = 20.58114023885699, (1782, 2) = .14271011509362852, (1782, 3) = -.5827751791049396, (1783, 1) = 20.581361903831517, (1783, 2) = .14180203050598542, (1783, 3) = -.5827724901801115, (1784, 1) = 20.581581857821114, (1784, 2) = .140895174417021, (1784, 3) = -.5827698220581163, (1785, 1) = 20.581800107339163, (1785, 2) = .1399895434887974, (1785, 3) = -.582767174658968, (1786, 1) = 20.582016658867623, (1786, 2) = .1390851343969337, (1786, 3) = -.5827645479030723, (1787, 1) = 20.58223151885722, (1787, 2) = .1381819438305339, (1787, 3) = -.5827619417112272, (1788, 1) = 20.582444693727627, (1788, 2) = .13727996849211263, (1788, 3) = -.5827593560046191, (1789, 1) = 20.582656189867638, (1789, 2) = .136379205097524, (1789, 3) = -.5827567907048206, (1790, 1) = 20.582866013635442, (1790, 2) = .13547965037589038, (1790, 3) = -.5827542457337876, (1791, 1) = 20.583074171358614, (1791, 2) = .13458130106952976, (1791, 3) = -.5827517210138587, (1792, 1) = 20.583280669335007, (1792, 2) = .1336841539319642, (1792, 3) = -.5827492164677457, (1793, 1) = 20.583485513835697, (1793, 2) = .13278820571452057, (1793, 3) = -.5827467320184964, (1794, 1) = 20.583688711098738, (1794, 2) = .13189345319485074, (1794, 3) = -.5827442675895688, (1795, 1) = 20.583890267331462, (1795, 2) = .1309998931676427, (1795, 3) = -.5827418231048065, (1796, 1) = 20.58409018871161, (1796, 2) = .13010752244042906, (1796, 3) = -.5827393984884243, (1797, 1) = 20.584288481387496, (1797, 2) = .1292163378335189, (1797, 3) = -.582736993665002, (1798, 1) = 20.584485151478216, (1798, 2) = .12832633617993003, (1798, 3) = -.5827346085594868, (1799, 1) = 20.584680205073802, (1799, 2) = .12743751432532113, (1799, 3) = -.5827322430971883, (1800, 1) = 20.58487364823538, (1800, 2) = .12654986912792518, (1800, 3) = -.5827298972037784, (1801, 1) = 20.58506548699536, (1801, 2) = .12566339745848276, (1801, 3) = -.5827275708052873, (1802, 1) = 20.585255727358742, (1802, 2) = .12477809619505278, (1802, 3) = -.5827252638280876, (1803, 1) = 20.58544437530433, (1803, 2) = .1238939622172292, (1803, 3) = -.5827229761988818, (1804, 1) = 20.58563143677952, (1804, 2) = .12301099243197787, (1804, 3) = -.5827207078447622, (1805, 1) = 20.585816917703365, (1805, 2) = .12212918375968353, (1805, 3) = -.582718458693175, (1806, 1) = 20.586000823967062, (1806, 2) = .12124853313290951, (1806, 3) = -.582716228671915, (1807, 1) = 20.586183161434054, (1807, 2) = .12036903749633401, (1807, 3) = -.5827140177091233, (1808, 1) = 20.586363935940273, (1808, 2) = .11949069380668594, (1808, 3) = -.5827118257332847, (1809, 1) = 20.58654315329425, (1809, 2) = .11861349903268223, (1809, 3) = -.5827096526732264, (1810, 1) = 20.586720819277268, (1810, 2) = .11773745015496562, (1810, 3) = -.5827074984581169, (1811, 1) = 20.58689693964356, (1811, 2) = .11686254416604214, (1811, 3) = -.5827053630174586, (1812, 1) = 20.58707152012233, (1812, 2) = .11598877806057148, (1812, 3) = -.582703246281071, (1813, 1) = 20.58724456641641, (1813, 2) = .11511614884291788, (1813, 3) = -.5827011481791007, (1814, 1) = 20.587416084199596, (1814, 2) = .11424465354103411, (1814, 3) = -.5826990686420573, (1815, 1) = 20.58758607911925, (1815, 2) = .11337428919451992, (1815, 3) = -.5826970076007787, (1816, 1) = 20.58775455679644, (1816, 2) = .1125050528545294, (1816, 3) = -.5826949649864319, (1817, 1) = 20.587921522826104, (1817, 2) = .11163694158371226, (1817, 3) = -.5826929407305086, (1818, 1) = 20.588086982777185, (1818, 2) = .11076995245615316, (1818, 3) = -.5826909347648269, (1819, 1) = 20.588250942192786, (1819, 2) = .10990408255731406, (1819, 3) = -.5826889470215254, (1820, 1) = 20.588413406590348, (1820, 2) = .10903932898397461, (1820, 3) = -.582686977433064, (1821, 1) = 20.588574381461825, (1821, 2) = .1081756888436849, (1821, 3) = -.5826850259322183, (1822, 1) = 20.58873387227629, (1822, 2) = .10731315924182026, (1822, 3) = -.5826830924520527, (1823, 1) = 20.58889188447605, (1823, 2) = .10645173730261398, (1823, 3) = -.5826811769259627, (1824, 1) = 20.589048423477102, (1824, 2) = .10559142016778221, (1824, 3) = -.5826792792876728, (1825, 1) = 20.58920349467056, (1825, 2) = .1047322049900698, (1825, 3) = -.5826773994712171, (1826, 1) = 20.58935710342265, (1826, 2) = .10387408893319071, (1826, 3) = -.5826755374109387, (1827, 1) = 20.589509255074983, (1827, 2) = .10301706917177492, (1827, 3) = -.5826736930414893, (1828, 1) = 20.589659954944622, (1828, 2) = .10216114289131031, (1828, 3) = -.5826718662978247, (1829, 1) = 20.58980920832426, (1829, 2) = .101306307288089, (1829, 3) = -.5826700571152064, (1830, 1) = 20.589957020482352, (1830, 2) = .10045255956915115, (1830, 3) = -.5826682654291966, (1831, 1) = 20.590103396663626, (1831, 2) = 0.9959989694985717e-1, (1831, 3) = -.5826664911756526, (1832, 1) = 20.59024834209096, (1832, 2) = 0.9874831664366499e-1, (1832, 3) = -.5826647342907045, (1833, 1) = 20.590391861961226, (1833, 2) = 0.9789781588712795e-1, (1833, 3) = -.5826629947108065, (1834, 1) = 20.590533961447147, (1834, 2) = 0.9704839192996935e-1, (1834, 3) = -.5826612723727141, (1835, 1) = 20.59067464569786, (1835, 2) = 0.962000420323893e-1, (1835, 3) = -.5826595672134737, (1836, 1) = 20.590813919839096, (1836, 2) = 0.9535276346501025e-1, (1836, 3) = -.5826578791704247, (1837, 1) = 20.590951788973307, (1837, 2) = 0.9450655350882531e-1, (1837, 3) = -.5826562081811971, (1838, 1) = 20.59108825817975, (1838, 2) = 0.9366140945514562e-1, (1838, 3) = -.5826545541837082, (1839, 1) = 20.591223332514662, (1839, 2) = 0.9281732860554859e-1, (1839, 3) = -.5826529171161619, (1840, 1) = 20.591357017011376, (1840, 2) = 0.9197430827182583e-1, (1840, 3) = -.5826512969170466, (1841, 1) = 20.591489316681372, (1841, 2) = 0.9113234577040732e-1, (1841, 3) = -.5826496935251256, (1842, 1) = 20.591620236514522, (1842, 2) = 0.9029143842030371e-1, (1842, 3) = -.5826481068794273, (1843, 1) = 20.59174978147625, (1843, 2) = 0.8945158356329756e-1, (1843, 3) = -.582646536919286, (1844, 1) = 20.591877956509443, (1844, 2) = 0.8861277855174932e-1, (1844, 3) = -.5826449835843168, (1845, 1) = 20.592004766534757, (1845, 2) = 0.8777502074797869e-1, (1845, 3) = -.5826434468144092, (1846, 1) = 20.5921302164507, (1846, 2) = 0.8693830752421451e-1, (1846, 3) = -.5826419265497307, (1847, 1) = 20.592254311133757, (1847, 2) = 0.8610263626254454e-1, (1847, 3) = -.5826404227307193, (1848, 1) = 20.592377055438558, (1848, 2) = 0.8526800435486738e-1, (1848, 3) = -.5826389352980865, (1849, 1) = 20.59249845419794, (1849, 2) = 0.8443440920284329e-1, (1849, 3) = -.5826374641928167, (1850, 1) = 20.592618512223083, (1850, 2) = 0.8360184821783842e-1, (1850, 3) = -.5826360093561589, (1851, 1) = 20.592737234305073, (1851, 2) = 0.8277031881111498e-1, (1851, 3) = -.5826345707296158, (1852, 1) = 20.592854625213338, (1852, 2) = 0.8193981840470038e-1, (1852, 3) = -.5826331482549588, (1853, 1) = 20.59297068969474, (1853, 2) = 0.8111034443903216e-1, (1853, 3) = -.5826317418742377, (1854, 1) = 20.593085432475, (1854, 2) = 0.8028189436406745e-1, (1854, 3) = -.5826303515297656, (1855, 1) = 20.593198858258788, (1855, 2) = 0.7945446563923697e-1, (1855, 3) = -.5826289771641179, (1856, 1) = 20.593310971729817, (1856, 2) = 0.786280557333969e-1, (1856, 3) = -.5826276187201295, (1857, 1) = 20.593421777551, (1857, 2) = 0.7780266212478379e-1, (1857, 3) = -.5826262761408942, (1858, 1) = 20.593531280364555, (1858, 2) = 0.7697828230096772e-1, (1858, 3) = -.5826249493697615, (1859, 1) = 20.593639484792128, (1859, 2) = 0.7615491375880669e-1, (1859, 3) = -.5826236383503387, (1860, 1) = 20.59374639543494, (1860, 2) = 0.7533255400360409e-1, (1860, 3) = -.5826223430264836, (1861, 1) = 20.593852016875424, (1861, 2) = 0.7451120053798402e-1, (1861, 3) = -.5826210633422908, (1862, 1) = 20.5939563536746, (1862, 2) = 0.736908508821558e-1, (1862, 3) = -.5826197992421182, (1863, 1) = 20.594059410372783, (1863, 2) = 0.728715025698773e-1, (1863, 3) = -.5826185506705798, (1864, 1) = 20.594161191490272, (1864, 2) = 0.7205315314396761e-1, (1864, 3) = -.5826173175725416, (1865, 1) = 20.594261701527433, (1865, 2) = 0.7123580015626188e-1, (1865, 3) = -.5826160998931141, (1866, 1) = 20.594360944964837, (1866, 2) = 0.7041944116756821e-1, (1866, 3) = -.5826148975776538, (1867, 1) = 20.594458926263343, (1867, 2) = 0.6960407374762274e-1, (1867, 3) = -.5826137105717616, (1868, 1) = 20.594555649864255, (1868, 2) = 0.687896954750481e-1, (1868, 3) = -.5826125388212824, (1869, 1) = 20.594651120189365, (1869, 2) = 0.6797630393730886e-1, (1869, 3) = -.5826113822723009, (1870, 1) = 20.59474534164141, (1870, 2) = 0.6716389672787584e-1, (1870, 3) = -.5826102408711397, (1871, 1) = 20.594838318605035, (1871, 2) = 0.6635247143894818e-1, (1871, 3) = -.5826091145643467, (1872, 1) = 20.594930055444305, (1872, 2) = 0.6554202568283361e-1, (1872, 3) = -.5826080032987225, (1873, 1) = 20.59502055650404, (1873, 2) = 0.6473255708213209e-1, (1873, 3) = -.5826069070213077, (1874, 1) = 20.59510982611016, (1874, 2) = 0.6392406326807264e-1, (1874, 3) = -.5826058256793769, (1875, 1) = 20.59519786856968, (1875, 2) = 0.6311654188047094e-1, (1875, 3) = -.5826047592204394, (1876, 1) = 20.59528468817089, (1876, 2) = 0.62309990567688496e-1, (1876, 3) = -.5826037075922359, (1877, 1) = 20.59537028918339, (1877, 2) = 0.61504406986591896e-1, (1877, 3) = -.5826026707427387, (1878, 1) = 20.59545467585831, (1878, 2) = 0.6069978880251108e-1, (1878, 3) = -.5826016486201505, (1879, 1) = 20.595537852428258, (1879, 2) = 0.59896133689199736e-1, (1879, 3) = -.5826006411729011, (1880, 1) = 20.5956198231081, (1880, 2) = 0.59093439322927724e-1, (1880, 3) = -.582599648349642, (1881, 1) = 20.595700592094946, (1881, 2) = 0.58291703383666967e-1, (1881, 3) = -.5825986700992442, (1882, 1) = 20.595780163566573, (1882, 2) = 0.57490923570164436e-1, (1882, 3) = -.5825977063708179, (1883, 1) = 20.595858541682748, (1883, 2) = 0.5669109758964873e-1, (1883, 3) = -.5825967571136973, (1884, 1) = 20.595935730585275, (1884, 2) = 0.5589222315757068e-1, (1884, 3) = -.5825958222774376, (1885, 1) = 20.596011734398058, (1885, 2) = 0.5509429799756351e-1, (1885, 3) = -.5825949018118146, (1886, 1) = 20.596086557227277, (1886, 2) = 0.54297319841404665e-1, (1886, 3) = -.5825939956668276, (1887, 1) = 20.596160203161425, (1887, 2) = 0.5350128642897746e-1, (1887, 3) = -.5825931037926918, (1888, 1) = 20.59623267627144, (1888, 2) = 0.5270619550823178e-1, (1888, 3) = -.5825922261398391, (1889, 1) = 20.59630398061078, (1889, 2) = 0.5191204483505122e-1, (1889, 3) = -.5825913626589209, (1890, 1) = 20.596374120216318, (1890, 2) = 0.51118832163791615e-1, (1890, 3) = -.5825905133007914, (1891, 1) = 20.59644309910734, (1891, 2) = 0.50326555260101886e-1, (1891, 3) = -.5825896780165233, (1892, 1) = 20.59651092128534, (1892, 2) = 0.49535211903996075e-1, (1892, 3) = -.5825888567574086, (1893, 1) = 20.59657759073466, (1893, 2) = 0.4874479988336369e-1, (1893, 3) = -.5825880494749529, (1894, 1) = 20.59664311142268, (1894, 2) = 0.4795531699393402e-1, (1894, 3) = -.5825872561208705, (1895, 1) = 20.59670748729981, (1895, 2) = 0.4716676103923851e-1, (1895, 3) = -.5825864766470864, (1896, 1) = 20.596770722299638, (1896, 2) = 0.46379129830574586e-1, (1896, 3) = -.5825857110057325, (1897, 1) = 20.596832820339014, (1897, 2) = 0.455924211869685e-1, (1897, 3) = -.5825849591491497, (1898, 1) = 20.5968937853181, (1898, 2) = 0.4480663293513974e-1, (1898, 3) = -.5825842210298829, (1899, 1) = 20.5969536211206, (1899, 2) = 0.4402176290834569e-1, (1899, 3) = -.5825834966006826, (1900, 1) = 20.597012331614465, (1900, 2) = 0.43237808937158506e-1, (1900, 3) = -.5825827858144935, (1901, 1) = 20.59706992065056, (1901, 2) = 0.4245476886830561e-1, (1901, 3) = -.5825820886244698, (1902, 1) = 20.597126392063252, (1902, 2) = 0.41672640559088196e-1, (1902, 3) = -.5825814049839729, (1903, 1) = 20.597181749670625, (1903, 2) = 0.4089142187432078e-1, (1903, 3) = -.5825807348465631, (1904, 1) = 20.597235997274655, (1904, 2) = 0.40111110686295616e-1, (1904, 3) = -.5825800781659995, (1905, 1) = 20.597289138661253, (1905, 2) = 0.3933170487474866e-1, (1905, 3) = -.5825794348962414, (1906, 1) = 20.597341177600374, (1906, 2) = 0.38553202326825575e-1, (1906, 3) = -.5825788049914445, (1907, 1) = 20.59739211784605, (1907, 2) = 0.377756009370458e-1, (1907, 3) = -.5825781884059608, (1908, 1) = 20.597441963136543, (1908, 2) = 0.3699889860726949e-1, (1908, 3) = -.5825775850943373, (1909, 1) = 20.59749071719459, (1909, 2) = 0.36223093243489615e-1, (1909, 3) = -.5825769950113138, (1910, 1) = 20.597538383727716, (1910, 2) = 0.3544818275124513e-1, (1910, 3) = -.582576418111817, (1911, 1) = 20.597584966427238, (1911, 2) = 0.3467416505344319e-1, (1911, 3) = -.5825758543509739, (1912, 1) = 20.59763046896895, (1912, 2) = 0.3390103808112818e-1, (1912, 3) = -.5825753036841036, (1913, 1) = 20.597674895013245, (1913, 2) = 0.33128799772515066e-1, (1913, 3) = -.5825747660667147, (1914, 1) = 20.5977182482052, (1914, 2) = 0.3235744807295663e-1, (1914, 3) = -.5825742414545059, (1915, 1) = 20.59776053217465, (1915, 2) = 0.315869809349115e-1, (1915, 3) = -.5825737298033629, (1916, 1) = 20.59780175053626, (1916, 2) = 0.30817396317909918e-1, (1916, 3) = -.5825732310693599, (1917, 1) = 20.597841906889645, (1917, 2) = 0.30048692188523674e-1, (1917, 3) = -.5825727452087568, (1918, 1) = 20.597881004819417, (1918, 2) = 0.2928086652033143e-1, (1918, 3) = -.5825722721779965, (1919, 1) = 20.597919047895545, (1919, 2) = 0.28513917287734364e-1, (1919, 3) = -.5825718119337057, (1920, 1) = 20.59795603967322, (1920, 2) = 0.27747842469960662e-1, (1920, 3) = -.5825713644326921, (1921, 1) = 20.597991983692484, (1921, 2) = 0.26982640061526685e-1, (1921, 3) = -.5825709296319497, (1922, 1) = 20.598026883478596, (1922, 2) = 0.26218308063876043e-1, (1922, 3) = -.5825705074886552, (1923, 1) = 20.598060742542284, (1923, 2) = 0.25454844485301213e-1, (1923, 3) = -.5825700979601663, (1924, 1) = 20.598093564379678, (1924, 2) = 0.24692247340910776e-1, (1924, 3) = -.5825697010040181, (1925, 1) = 20.598125352472476, (1925, 2) = 0.23930514652599006e-1, (1925, 3) = -.582569316577926, (1926, 1) = 20.598156110287956, (1926, 2) = 0.2316964444901524e-1, (1926, 3) = -.582568944639781, (1927, 1) = 20.598185841279093, (1927, 2) = 0.22409634765533093e-1, (1927, 3) = -.5825685851476534, (1928, 1) = 20.598214548884613, (1928, 2) = 0.21650483643967607e-1, (1928, 3) = -.582568238059785, (1929, 1) = 20.59824223652942, (1929, 2) = 0.20892189123851972e-1, (1929, 3) = -.5825679033345935, (1930, 1) = 20.59826890762407, (1930, 2) = 0.20134749256040203e-1, (1930, 3) = -.5825675809306694, (1931, 1) = 20.598294565564938, (1931, 2) = 0.19378162102647555e-1, (1931, 3) = -.5825672708067788, (1932, 1) = 20.598319213734428, (1932, 2) = 0.18622425732361857e-1, (1932, 3) = -.5825669729218611, (1933, 1) = 20.598342855501073, (1933, 2) = 0.1786753822041335e-1, (1933, 3) = -.5825666872350264, (1934, 1) = 20.59836549421958, (1934, 2) = 0.17113497648545997e-1, (1934, 3) = -.5825664137055535, (1935, 1) = 20.598387133230908, (1935, 2) = 0.16360302104987765e-1, (1935, 3) = -.5825661522928922, (1936, 1) = 20.59840777586236, (1936, 2) = 0.15607949684422114e-1, (1936, 3) = -.5825659029566614, (1937, 1) = 20.598427425427644, (1937, 2) = 0.14856438487958153e-1, (1937, 3) = -.5825656656566465, (1938, 1) = 20.598446085226904, (1938, 2) = 0.14105766621660082e-1, (1938, 3) = -.5825654403527991, (1939, 1) = 20.598463758547094, (1939, 2) = 0.13355932189230087e-1, (1939, 3) = -.5825652270052335, (1940, 1) = 20.59848044866147, (1940, 2) = 0.12606933309023637e-1, (1940, 3) = -.5825650255742354, (1941, 1) = 20.598496158829953, (1941, 2) = 0.11858768107707779e-1, (1941, 3) = -.5825648360202516, (1942, 1) = 20.598510892299156, (1942, 2) = 0.11111434718232688e-1, (1942, 3) = -.5825646583038938, (1943, 1) = 20.598524652302565, (1943, 2) = 0.1036493127980356e-1, (1943, 3) = -.5825644923859358, (1944, 1) = 20.598537442060426, (1944, 2) = 0.9619255937851531e-2, (1944, 3) = -.5825643382273141, (1945, 1) = 20.598549264780043, (1945, 2) = 0.8874406844007091e-2, (1945, 3) = -.5825641957891249, (1946, 1) = 20.59856012365563, (1946, 2) = 0.8130382156072051e-2, (1946, 3) = -.5825640650326249, (1947, 1) = 20.598570021868507, (1947, 2) = 0.73871800379924895e-2, (1947, 3) = -.5825639459192301, (1948, 1) = 20.598578962587172, (1948, 2) = 0.6644798656313258e-2, (1948, 3) = -.5825638384105141, (1949, 1) = 20.59858694896735, (1949, 2) = 0.5903236178042973e-2, (1949, 3) = -.582563742468207, (1950, 1) = 20.598593984151886, (1950, 2) = 0.5162490785048567e-2, (1950, 3) = -.5825636580541991, (1951, 1) = 20.598600071270962, (1951, 2) = 0.4422560665716391e-2, (1951, 3) = -.582563585130536, (1952, 1) = 20.598605213442138, (1952, 2) = 0.3683444014440907e-2, (1952, 3) = -.5825635236594168, (1953, 1) = 20.59860941377043, (1953, 2) = 0.29451390315987057e-2, (1953, 3) = -.5825634736031975, (1954, 1) = 20.59861267534836, (1954, 2) = 0.2207643923522031e-2, (1954, 3) = -.5825634349243857, (1955, 1) = 20.598615001256064, (1955, 2) = 0.14709569024722758e-2, (1955, 3) = -.5825634075856441, (1956, 1) = 20.598616394561244, (1956, 2) = 0.7350761866145509e-3, (1956, 3) = -.5825633915497845, (1957, 1) = 20.59861685831936, (1957, 2) = .0, (1957, 3) = -.5825633867797726}, datatype = float[8], order = C_order); YP := Matrix(1957, 3, {(1, 1) = .0, (1, 2) = 1652.0328791655768, (1, 3) = -209937.0188933394, (2, 1) = 1.9146552521461992, (2, 2) = 1381.8757650221012, (2, 3) = -221663.47589789648, (3, 1) = 3.476062665624943, (3, 2) = 1090.6708199728403, (3, 3) = -238852.9190820739, (4, 1) = 4.66019204710641, (4, 2) = 787.5690423219288, (4, 3) = -237116.26669570946, (5, 1) = 5.47146980271761, (5, 2) = 505.95533898027367, (5, 3) = -204374.65222504307, (6, 1) = 5.960887729053191, (6, 2) = 282.0665822935489, (6, 3) = -148369.76350516945, (7, 1) = 6.214695193503329, (7, 2) = 132.89570827255085, (7, 3) = -89449.32203328445, (8, 1) = 6.324298320427456, (8, 2) = 50.38616547512059, (8, 3) = -44503.60799809749, (9, 1) = 6.360593107747828, (9, 2) = 12.6895847652955, (9, 3) = -18172.970613345973, (10, 1) = 6.366100974953985, (10, 2) = -1.418164853243008, (10, 3) = -5990.295734081455, (11, 1) = 6.361081800836295, (11, 2) = -5.609038155709993, (11, 3) = -1477.7814232087144, (12, 1) = 6.353307795531636, (12, 2) = -6.446184099643742, (12, 3) = -142.30669423978702, (13, 1) = 6.345179178904462, (13, 2) = -6.384154302666129, (13, 3) = 158.7720489420986, (14, 1) = 6.337271126533362, (14, 2) = -6.150482737494599, (14, 3) = 194.1166714397284, (15, 1) = 6.329665933253567, (15, 2) = -5.914097023721733, (15, 3) = 178.33435142645098, (16, 1) = 6.32234396902743, (16, 2) = -5.702132142746637, (16, 3) = 158.11380999925913, (17, 1) = 6.315273873050254, (17, 2) = -5.514045013990423, (17, 3) = 140.71931258870882, (18, 1) = 6.30842797666957, (18, 2) = -5.345937462506289, (18, 3) = 126.33410277838483, (19, 1) = 6.301783316100545, (19, 2) = -5.194401058793858, (19, 3) = 114.33797440885073, (20, 1) = 6.295320742615864, (20, 2) = -5.05677289931709, (20, 3) = 104.2012225226141, (21, 1) = 6.2890240832645645, (21, 2) = -4.93096722801539, (21, 3) = 95.53303369199767, (22, 1) = 6.282879514066236, (22, 2) = -4.815323226514059, (22, 3) = 88.04419920947304, (23, 1) = 6.276875095996, (23, 2) = -4.708497474342716, (23, 3) = 81.51640086482094, (24, 1) = 6.271000425079112, (24, 2) = -4.609388372321973, (24, 3) = 75.78168797809332, (25, 1) = 6.2652463632739455, (25, 2) = -4.517081853338465, (25, 3) = 70.70872055019204, (26, 1) = 6.2596048280595165, (26, 2) = -4.430811530191452, (26, 3) = 66.19331268928322, (27, 1) = 6.2540686278330835, (27, 2) = -4.34992891586239, (27, 3) = 62.15177629621232, (28, 1) = 6.248631326065719, (28, 2) = -4.2738807200361135, (28, 3) = 58.51613322307514, (29, 1) = 6.2432871332200675, (29, 2) = -4.20219136569151, (29, 3) = 55.23061226337813, (30, 1) = 6.2380308185226365, (30, 2) = -4.134449327591535, (30, 3) = 52.24904345336286, (31, 1) = 6.232857634735667, (31, 2) = -4.07029630101403, (31, 3) = 49.53289054083344, (32, 1) = 6.227763257202543, (32, 2) = -4.009418571771668, (32, 3) = 47.04974820194327, (33, 1) = 6.22274373302986, (33, 2) = -3.95154005848754, (33, 3) = 44.77217999215322, (34, 1) = 6.217795436799169, (34, 2) = -3.8964166355986074, (34, 3) = 42.67680948676365, (35, 1) = 6.212915033294554, (35, 2) = -3.843831482825408, (35, 3) = 40.743603264959546, (36, 1) = 6.208099445566098, (36, 2) = -3.7935912426913614, (36, 3) = 38.95529997366068, (37, 1) = 6.20334582741694, (37, 2) = -3.7455228240544143, (37, 3) = 37.29695195530172, (38, 1) = 6.198651539581552, (38, 2) = -3.699470726226031, (38, 3) = 35.755554421276145, (39, 1) = 6.1940141290029835, (39, 2) = -3.655294785708912, (39, 3) = 34.319743316474394, (40, 1) = 6.189431310726767, (40, 2) = -3.61286826838284, (40, 3) = 32.97954752093635, (41, 1) = 6.184900952017666, (41, 2) = -3.572076245890509, (41, 3) = 31.72618435042357, (42, 1) = 6.18042105802784, (42, 2) = -3.5328142042406547, (42, 3) = 30.551889726964863, (43, 1) = 6.175989759840632, (43, 2) = -3.494986854939419, (43, 3) = 29.449776637523794, (44, 1) = 6.171605304301146, (44, 2) = -3.4585071125106386, (44, 3) = 28.41371647595679, (45, 1) = 6.167266042806563, (45, 2) = -3.4232951907538456, (45, 3) = 27.43823850457185, (46, 1) = 6.162970423148149, (46, 2) = -3.3892778327970436, (46, 3) = 26.518445186152388, (47, 1) = 6.158716981779321, (47, 2) = -3.3563876354530624, (47, 3) = 25.64994006438558, (48, 1) = 6.1545043373508435, (48, 2) = -3.3245624611269458, (48, 3) = 24.82876626539936, (49, 1) = 6.150331182834082, (49, 2) = -3.293744905743477, (49, 3) = 24.051353382323263, (50, 1) = 6.146196280921816, (50, 2) = -3.26388184906259, (50, 3) = 23.314472273653784, (51, 1) = 6.142098459101132, (51, 2) = -3.234924051079847, (51, 3) = 22.615195861597922, (52, 1) = 6.138036604692212, (52, 2) = -3.2068257908024167, (52, 3) = 21.950865084127674, (53, 1) = 6.134009660616544, (53, 2) = -3.1795445473171937, (53, 3) = 21.31905935666238, (54, 1) = 6.130016621544656, (54, 2) = -3.153040715658208, (54, 3) = 20.717570819438137, (55, 1) = 6.1260565303816845, (55, 2) = -3.1272773530507774, (55, 3) = 20.144381819508382, (56, 1) = 6.122128475055844, (56, 2) = -3.102219951758156, (56, 3) = 19.59764516862954, (57, 1) = 6.118231585550077, (57, 2) = -3.0778362351093365, (57, 3) = 19.075666783732284, (58, 1) = 6.114365030745584, (58, 2) = -3.0540959714782225, (58, 3) = 18.576890329376045, (59, 1) = 6.11052801723867, (59, 2) = -3.0309708171851, (59, 3) = 18.099883869720966, (60, 1) = 6.106719786237912, (60, 2) = -3.008434162170245, (60, 3) = 17.64332777855731, (61, 1) = 6.1029396112157475, (61, 2) = -2.986460993773385, (61, 3) = 17.20600408576771, (62, 1) = 6.099186796232928, (62, 2) = -2.965027776200467, (62, 3) = 16.786787054369302, (63, 1) = 6.095460674150228, (63, 2) = -2.944112339643578, (63, 3) = 16.38463475065476, (64, 1) = 6.091760604970707, (64, 2) = -2.92369377943623, (64, 3) = 15.998581512707828, (65, 1) = 6.088085974389836, (65, 2) = -2.903752364663692, (65, 3) = 15.627731215109977, (66, 1) = 6.084436192728461, (66, 2) = -2.8842694562237416, (66, 3) = 15.271251258312203, (67, 1) = 6.080810692161664, (67, 2) = -2.8652274225345327, (67, 3) = 14.928366991641699, (68, 1) = 6.077208926791676, (68, 2) = -2.8466095765837127, (68, 3) = 14.598356957711767, (69, 1) = 6.07363037135686, (69, 2) = -2.8284001108611583, (69, 3) = 14.280548464880106, (70, 1) = 6.070074520001881, (70, 2) = -2.810584037574359, (70, 3) = 13.974313590051093, (71, 1) = 6.066540885277362, (71, 2) = -2.793147134493486, (71, 3) = 13.67906557545435, (72, 1) = 6.063028997200141, (72, 2) = -2.7760758950984954, (72, 3) = 13.39425556615897, (73, 1) = 6.059538402233705, (73, 2) = -2.759357481984407, (73, 3) = 13.119369634988322, (74, 1) = 6.056068662394491, (74, 2) = -2.742979684215854, (74, 3) = 12.853926090839433, (75, 1) = 6.052619355558644, (75, 2) = -2.7269308832547807, (75, 3) = 12.597473107734348, (76, 1) = 6.049190073492816, (76, 2) = -2.711200010830909, (76, 3) = 12.349586398426462, (77, 1) = 6.045780421515482, (77, 2) = -2.695776517123072, (77, 3) = 12.109867203063278, (78, 1) = 6.042390017929428, (78, 2) = -2.6806503400665607, (78, 3) = 11.87794043796578, (79, 1) = 6.039018493424982, (79, 2) = -2.6658118765868344, (79, 3) = 11.653452989835237, (80, 1) = 6.035665490523924, (80, 2) = -2.6512519559115217, (80, 3) = 11.436072161348708, (81, 1) = 6.03233066304206, (81, 2) = -2.6369618147046663, (81, 3) = 11.225484239045818, (82, 1) = 6.029013675589112, (82, 2) = -2.622933073960856, (82, 3) = 11.021393181525879, (83, 1) = 6.025714203243766, (83, 2) = -2.6091577180961063, (83, 3) = 10.823519422758093, (84, 1) = 6.022431931236275, (84, 2) = -2.5956280753758922, (84, 3) = 10.631598769051962, (85, 1) = 6.019166553360999, (85, 2) = -2.5823367944138433, (85, 3) = 10.445381307486977, (86, 1) = 6.015917772879205, (86, 2) = -2.5692768321199706, (86, 3) = 10.264630543001106, (87, 1) = 6.01268530181874, (87, 2) = -2.556441435984486, (87, 3) = 10.089122508082593, (88, 1) = 6.0094688605379245, (88, 2) = -2.54382412846843, (88, 3) = 9.91864495291347, (89, 1) = 6.00626817738888, (89, 2) = -2.531418692704075, (89, 3) = 9.752996604067068, (90, 1) = 6.003082988130501, (90, 2) = -2.5192191580774486, (90, 3) = 9.591986460852059, (91, 1) = 5.99991303604269, (91, 2) = -2.5072197892946706, (91, 3) = 9.435433181814261, (92, 1) = 5.996758071985384, (92, 2) = -2.4954150758473586, (92, 3) = 9.283164507796746, (93, 1) = 5.993617853245436, (93, 2) = -2.4837997176002893, (93, 3) = 9.135016669775675, (94, 1) = 5.990492143646906, (94, 2) = -2.4723686158160385, (94, 3) = 8.990833897608153, (95, 1) = 5.987380713311361, (95, 2) = -2.4611168634001395, (95, 3) = 8.850467947844237, (96, 1) = 5.98428333842197, (96, 2) = -2.4500397356918566, (96, 3) = 8.713777660486507, (97, 1) = 5.9811998009988985, (97, 2) = -2.4391326817920205, (97, 3) = 8.58062854981479, (98, 1) = 5.978129888685299, (98, 2) = -2.4283913163910142, (98, 3) = 8.45089242089386, (99, 1) = 5.975073394546551, (99, 2) = -2.4178114120742142, (99, 3) = 8.324447012440043, (100, 1) = 5.972030116878856, (100, 2) = -2.4073888920618303, (100, 3) = 8.201175664020631, (101, 1) = 5.968999859217288, (101, 2) = -2.397119823996558, (101, 3) = 8.08096701157455, (102, 1) = 5.965982430015329, (102, 2) = -2.387000412946729, (102, 3) = 7.963714691351432, (103, 1) = 5.962977641704867, (103, 2) = -2.3770269927237297, (103, 3) = 7.849317036161757, (104, 1) = 5.95998531160612, (104, 2) = -2.3671960237092544, (104, 3) = 7.737676865225819, (105, 1) = 5.957005261121564, (105, 2) = -2.3575040851998086, (105, 3) = 7.628701218412978, (106, 1) = 5.954037316595756, (106, 2) = -2.3479478734876285, (106, 3) = 7.5223011713213355, (107, 1) = 5.95108130824967, (107, 2) = -2.3385241938934245, (107, 3) = 7.418391588122703, (108, 1) = 5.948137070135266, (108, 2) = -2.3292299564192933, (108, 3) = 7.316890930570981, (109, 1) = 5.945204440132894, (109, 2) = -2.3200621717398717, (109, 3) = 7.217721076973531, (110, 1) = 5.942283259821079, (110, 2) = -2.311017946985703, (110, 3) = 7.120807146967976, (111, 1) = 5.939373374348344, (111, 2) = -2.3020944817308755, (111, 3) = 7.0260773400447665, (112, 1) = 5.936474632326634, (112, 2) = -2.2932890642327677, (112, 3) = 6.933462779406478, (113, 1) = 5.933586885721727, (113, 2) = -2.2845990678355905, (113, 3) = 6.842897369322079, (114, 1) = 5.930709989748026, (114, 2) = -2.2760219475510755, (114, 3) = 6.754317657739536, (115, 1) = 5.9278438027675495, (115, 2) = -2.2675552368062313, (115, 3) = 6.667662707921387, (116, 1) = 5.924988186192971, (116, 2) = -2.2591965443482915, (116, 3) = 6.5828739767591635, (117, 1) = 5.9221430043944245, (117, 2) = -2.2509435512983877, (117, 3) = 6.499895202075098, (118, 1) = 5.919308124610447, (118, 2) = -2.242794008346546, (118, 3) = 6.418672292411758, (119, 1) = 5.916483417155086, (119, 2) = -2.234745733909237, (119, 3) = 6.339153235417413, (120, 1) = 5.913668754653405, (120, 2) = -2.226796609627033, (120, 3) = 6.261287980206856, (121, 1) = 5.9108640118949465, (121, 2) = -2.2189445777956514, (121, 3) = 6.185028347512824, (122, 1) = 5.908069067112131, (122, 2) = -2.2111876428454527, (122, 3) = 6.110327979268729, (123, 1) = 5.905283800672667, (123, 2) = -2.203523865638823, (123, 3) = 6.037142222512122, (124, 1) = 5.902508095324792, (124, 2) = -2.1959513622559554, (124, 3) = 5.965428062186261, (125, 1) = 5.899741836146032, (125, 2) = -2.188468302024161, (125, 3) = 5.895144048060703, (126, 1) = 5.896984910477207, (126, 2) = -2.1810729055884917, (126, 3) = 5.8262502253392805, (127, 1) = 5.894237207858807, (127, 2) = -2.173763443067436, (127, 3) = 5.758708069566593, (128, 1) = 5.891498619972251, (128, 2) = -2.1665382322958266, (128, 3) = 5.692480423561026, (129, 1) = 5.8887690405905495, (129, 2) = -2.159395637163025, (129, 3) = 5.627531439750322, (130, 1) = 5.886048365496941, (130, 2) = -2.1523340659340695, (130, 3) = 5.563826522031678, (131, 1) = 5.883336492439404, (131, 2) = -2.1453519697298318, (131, 3) = 5.501332274644002, (132, 1) = 5.8806333210797535, (132, 2) = -2.138447841052686, (132, 3) = 5.440016450007862, (133, 1) = 5.87793875294229, (133, 2) = -2.131620212368386, (133, 3) = 5.379847901253415, (134, 1) = 5.875252691330851, (134, 2) = -2.124867654663498, (134, 3) = 5.320796535303039, (135, 1) = 5.8725750410047866, (135, 2) = -2.118188775459944, (135, 3) = 5.262833264962541, (136, 1) = 5.869905709028272, (136, 2) = -2.111582219803254, (136, 3) = 5.205929985631844, (137, 1) = 5.8672446040330986, (137, 2) = -2.105046667313921, (137, 3) = 5.1500595202930715, (138, 1) = 5.864591636444744, (138, 2) = -2.098580831701887, (138, 3) = 5.095195589560673, (139, 1) = 5.861946718024315, (139, 2) = -2.092183458645504, (139, 3) = 5.041312765029196, (140, 1) = 5.8593097617092305, (140, 2) = -2.085853324471273, (140, 3) = 4.988386434576313, (141, 1) = 5.856680682269325, (141, 2) = -2.079589236819628, (141, 3) = 4.936392784282501, (142, 1) = 5.854059395947771, (142, 2) = -2.0733900328811794, (142, 3) = 4.88530875974149, (143, 1) = 5.851445820422087, (143, 2) = -2.0672545784515535, (143, 3) = 4.835112037346199, (144, 1) = 5.84883987476859, (144, 2) = -2.0611817670279864, (144, 3) = 4.785780995789258, (145, 1) = 5.846241479427939, (145, 2) = -2.055170518940728, (145, 3) = 4.737294689410853, (146, 1) = 5.843650556171752, (146, 2) = -2.0492197805175447, (146, 3) = 4.689632822328393, (147, 1) = 5.841067028070303, (147, 2) = -2.0433285232799805, (147, 3) = 4.642775723170424, (148, 1) = 5.838490819474692, (148, 2) = -2.0374957432003273, (148, 3) = 4.596704323368401, (149, 1) = 5.835921855970993, (149, 2) = -2.0317204599211878, (149, 3) = 4.551400133376476, (150, 1) = 5.833360064206767, (150, 2) = -2.0260017157183743, (150, 3) = 4.506845219085098, (151, 1) = 5.830805371928848, (151, 2) = -2.020338574968215, (151, 3) = 4.463022182409725, (152, 1) = 5.828257708575108, (152, 2) = -2.014730124847069, (152, 3) = 4.419914152772324, (153, 1) = 5.825717004410727, (153, 2) = -2.0091754728260662, (153, 3) = 4.377504752883324, (154, 1) = 5.823183190770669, (154, 2) = -2.0036737466569643, (154, 3) = 4.3357780862018505, (155, 1) = 5.8206562000724436, (155, 2) = -1.998224093860528, (155, 3) = 4.294718720319498, (156, 1) = 5.818135966117495, (156, 2) = -1.9928256818472507, (156, 3) = 4.25431167533377, (157, 1) = 5.815622423255624, (157, 2) = -1.9874776956181024, (157, 3) = 4.2145423956444015, (158, 1) = 5.813115506761993, (158, 2) = -1.982179338106988, (158, 3) = 4.175396740525782, (159, 1) = 5.81061515310337, (159, 2) = -1.9769298302742317, (159, 3) = 4.136860974474229, (160, 1) = 5.808121299697029, (160, 2) = -1.9717284101378396, (160, 3) = 4.098921750234144, (161, 1) = 5.805633884895562, (161, 2) = -1.9665743323057203, (161, 3) = 4.061566095366263, (162, 1) = 5.803152847966173, (162, 2) = -1.961466867511348, (162, 3) = 4.024781398671471, (163, 1) = 5.800678129036949, (163, 2) = -1.9564053020967154, (163, 3) = 3.9885553987314224, (164, 1) = 5.798209668836224, (164, 2) = -1.951388937092912, (164, 3) = 3.9528761673169917, (165, 1) = 5.795747409485525, (165, 2) = -1.9464170894533603, (165, 3) = 3.9177321103680227, (166, 1) = 5.793291293830979, (166, 2) = -1.9414890903142143, (166, 3) = 3.8831119482787506, (167, 1) = 5.790841265427183, (167, 2) = -1.9366042846143408, (167, 3) = 3.849004704490087, (168, 1) = 5.788397268647875, (168, 2) = -1.9317620309771621, (168, 3) = 3.8153996976524756, (169, 1) = 5.785959248632499, (169, 2) = -1.9269617012724076, (169, 3) = 3.7822865316228196, (170, 1) = 5.783527151286314, (170, 2) = -1.9222026802958747, (170, 3) = 3.749655085839563, (171, 1) = 5.781100923266672, (171, 2) = -1.9174843654318527, (171, 3) = 3.7174955074321385, (172, 1) = 5.778680511967268, (172, 2) = -1.9128061663217104, (172, 3) = 3.685798201482689, (173, 1) = 5.776265865535476, (173, 2) = -1.908167504605639, (173, 3) = 3.6545538248536427, (174, 1) = 5.773856933145518, (174, 2) = -1.9035678141586703, (174, 3) = 3.623753279414805, (175, 1) = 5.7714536640662, (175, 2) = -1.899006539035133, (175, 3) = 3.5933876944886234, (176, 1) = 5.769056008343184, (176, 2) = -1.8944831345215374, (176, 3) = 3.56344842849275, (177, 1) = 5.766663916842127, (177, 2) = -1.8899970669550907, (177, 3) = 3.5339270616776868, (178, 1) = 5.764277340916454, (178, 2) = -1.8855478128490304, (178, 3) = 3.5048153850805805, (179, 1) = 5.7618962325917655, (179, 2) = -1.8811348590016066, (179, 3) = 3.476105397940664, (180, 1) = 5.759520544914288, (180, 2) = -1.8767577029010338, (180, 3) = 3.447789304368249, (181, 1) = 5.757150231271227, (181, 2) = -1.8724158512367117, (181, 3) = 3.4198594990949394, (182, 1) = 5.754785245639776, (182, 2) = -1.8681088201469251, (182, 3) = 3.392308565556106, (183, 1) = 5.752425542584878, (183, 2) = -1.8638361350027421, (183, 3) = 3.365129269248342, (184, 1) = 5.750071077247675, (184, 2) = -1.859597330181133, (184, 3) = 3.3383145536756254, (185, 1) = 5.747721805334192, (185, 2) = -1.8553919488448674, (185, 3) = 3.3118575335252958, (186, 1) = 5.74537768310467, (186, 2) = -1.8512195427295013, (186, 3) = 3.2857514906856293, (187, 1) = 5.743038667384207, (187, 2) = -1.8470796719739284, (187, 3) = 3.259989869064998, (188, 1) = 5.740704715522624, (188, 2) = -1.842971904866192, (188, 3) = 3.2345662699575004, (189, 1) = 5.738375785379055, (189, 2) = -1.8388958176395631, (189, 3) = 3.209474446034055, (190, 1) = 5.736051835325034, (190, 2) = -1.8348509943064664, (190, 3) = 3.1847082991061915, (191, 1) = 5.73373282430186, (191, 2) = -1.8308370265901996, (191, 3) = 3.16026187496527, (192, 1) = 5.7314187119636735, (192, 2) = -1.8268535140050959, (192, 3) = 3.1361293617746404, (193, 1) = 5.729109457574927, (193, 2) = -1.8229000618061872, (193, 3) = 3.1123050737559157, (194, 1) = 5.726805021595408, (194, 2) = -1.8189762835682188, (194, 3) = 3.0887834646909544, (195, 1) = 5.724505364916487, (195, 2) = -1.8150817997132056, (195, 3) = 3.06555911654832, (196, 1) = 5.722210448789985, (196, 2) = -1.811216237248103, (196, 3) = 3.0426267335925155, (197, 1) = 5.719920234942051, (197, 2) = -1.8073792298188178, (197, 3) = 3.0199811428590775, (198, 1) = 5.717634685518084, (198, 2) = -1.803570417480954, (198, 3) = 2.997617287311765, (199, 1) = 5.7153537630890066, (199, 2) = -1.7997894465781732, (199, 3) = 2.9755302255256013, (200, 1) = 5.713077430650023, (200, 2) = -1.7960359696113752, (200, 3) = 2.953715126394388, (201, 1) = 5.710805651612892, (201, 2) = -1.7923096451003666, (201, 3) = 2.9321672670674293, (202, 1) = 5.708538389798341, (202, 2) = -1.7886101374493384, (202, 3) = 2.910882030460122, (203, 1) = 5.706275609428641, (203, 2) = -1.784937116815986, (203, 3) = 2.889854901130856, (204, 1) = 5.704017275120377, (204, 2) = -1.781290258984284, (204, 3) = 2.869081464141382, (205, 1) = 5.701763351877056, (205, 2) = -1.7776692452400362, (205, 3) = 2.848557399726168, (206, 1) = 5.699513804884339, (206, 2) = -1.7740737619350297, (206, 3) = 2.828278482494147, (207, 1) = 5.697268599916931, (207, 2) = -1.770503501033834, (207, 3) = 2.8082405797565633, (208, 1) = 5.69502770332508, (208, 2) = -1.7669581599799937, (208, 3) = 2.7884396504911977, (209, 1) = 5.692791081707858, (209, 2) = -1.7634374410737024, (209, 3) = 2.768871739661518, (210, 1) = 5.690558702158185, (210, 2) = -1.7599410517609093, (210, 3) = 2.749532977682581, (211, 1) = 5.688330531538575, (211, 2) = -1.7564687034063282, (211, 3) = 2.730419572545066, (212, 1) = 5.686106537337006, (212, 2) = -1.753020112546482, (212, 3) = 2.711527815616765, (213, 1) = 5.683886687418377, (213, 2) = -1.7495950004053247, (213, 3) = 2.6928540759597808, (214, 1) = 5.6816709499774545, (214, 2) = -1.7461930927319882, (214, 3) = 2.6743947999906803, (215, 1) = 5.679459293533094, (215, 2) = -1.7428141197058982, (215, 3) = 2.6561465076067106, (216, 1) = 5.677251686942779, (216, 2) = -1.7394578158746774, (216, 3) = 2.6381057918723987, (217, 1) = 5.675048099382309, (217, 2) = -1.736123920041005, (217, 3) = 2.620269315743312, (218, 1) = 5.672848500310911, (218, 2) = -1.7328121751301644, (218, 3) = 2.6026338115893632, (219, 1) = 5.670652859407827, (219, 2) = -1.7295223280184413, (219, 3) = 2.585196077438357, (220, 1) = 5.668461146517656, (220, 2) = -1.7262541293788531, (220, 3) = 2.5679529760290896, (221, 1) = 5.6662733322513725, (221, 2) = -1.7230073345017434, (221, 3) = 2.550901438017269, (222, 1) = 5.66408938728537, (222, 2) = -1.7197817021730382, (222, 3) = 2.534038453434732, (223, 1) = 5.661909282539989, (223, 2) = -1.716576994873566, (223, 3) = 2.517361073612955, (224, 1) = 5.659732989213105, (224, 2) = -1.7133929787609814, (224, 3) = 2.500866408533733, (225, 1) = 5.657560478776598, (225, 2) = -1.710229423597693, (225, 3) = 2.484551625904243, (226, 1) = 5.65539172300184, (226, 2) = -1.7070861027224382, (226, 3) = 2.4684139501024878, (227, 1) = 5.653226694074135, (227, 2) = -1.703962793150311, (227, 3) = 2.4524506612319716, (228, 1) = 5.651065364409886, (228, 2) = -1.7008592752437064, (228, 3) = 2.436659093160824, (229, 1) = 5.648907706221496, (229, 2) = -1.697775332032326, (229, 3) = 2.421036628646817, (230, 1) = 5.646753692263811, (230, 2) = -1.6947107502286707, (230, 3) = 2.405580703138465, (231, 1) = 5.644603295552859, (231, 2) = -1.6916653197632034, (231, 3) = 2.39028880248776, (232, 1) = 5.64245648933224, (232, 2) = -1.6886388336802753, (232, 3) = 2.3751584610888856, (233, 1) = 5.640313246849317, (233, 2) = -1.6856310877701728, (233, 3) = 2.3601872592604503, (234, 1) = 5.638173541978599, (234, 2) = -1.682641881391732, (234, 3) = 2.345372825963779, (235, 1) = 5.636037348813102, (235, 2) = -1.679671016840383, (235, 3) = 2.330712836034758, (236, 1) = 5.633904641581443, (236, 2) = -1.6767182991828535, (236, 3) = 2.316205007555537, (237, 1) = 5.631775394704577, (237, 2) = -1.6737835362880211, (237, 3) = 2.3018471014526907, (238, 1) = 5.629649582816445, (238, 2) = -1.6708665388073007, (238, 3) = 2.2876369213995336, (239, 1) = 5.627527180767106, (239, 2) = -1.6679671201313204, (239, 3) = 2.2735723115088966, (240, 1) = 5.625408163619222, (240, 2) = -1.6650850963384958, (240, 3) = 2.259651156793329, (241, 1) = 5.623292506644597, (241, 2) = -1.6622202861447963, (241, 3) = 2.2458713813522717, (242, 1) = 5.621180185320803, (242, 2) = -1.6593725108546291, (242, 3) = 2.232230948157514, (243, 1) = 5.619071175327836, (243, 2) = -1.6565415943128345, (243, 3) = 2.218727857311445, (244, 1) = 5.616965452545041, (244, 2) = -1.6537273628580342, (244, 3) = 2.205360145797121, (245, 1) = 5.614862993293312, (245, 2) = -1.6509296456026346, (245, 3) = 2.1921258883991324, (246, 1) = 5.612763773755767, (246, 2) = -1.64814827361923, (246, 3) = 2.179023192624628, (247, 1) = 5.610667770049588, (247, 2) = -1.6453830800048974, (247, 3) = 2.1660501989117438, (248, 1) = 5.608574959050236, (248, 2) = -1.6426339009298827, (248, 3) = 2.1532050846771917, (249, 1) = 5.606485317594049, (249, 2) = -1.639900574542703, (249, 3) = 2.1404860586819416, (250, 1) = 5.604398822690977, (250, 2) = -1.6371829412157568, (250, 3) = 2.127891362472184, (251, 1) = 5.60231545152882, (251, 2) = -1.6344808435146354, (251, 3) = 2.1154192681436097, (252, 1) = 5.600235181470396, (252, 2) = -1.6317941261589632, (252, 3) = 2.1030680794767247, (253, 1) = 5.598157990050733, (253, 2) = -1.6291226359840023, (253, 3) = 2.0908361290232906, (254, 1) = 5.596083854974375, (254, 2) = -1.6264662219031962, (254, 3) = 2.0787217800940927, (255, 1) = 5.594012754143375, (255, 2) = -1.6238247349105293, (255, 3) = 2.0667234241427357, (256, 1) = 5.59194466562156, (256, 2) = -1.6211980280018585, (256, 3) = 2.054839480927888, (257, 1) = 5.589879567607117, (257, 2) = -1.6185859561085185, (257, 3) = 2.04306839796876, (258, 1) = 5.58781743845717, (258, 2) = -1.6159883760977845, (258, 3) = 2.031408648921902, (259, 1) = 5.585758256635837, (259, 2) = -1.6134051466772732, (259, 3) = 2.0198587346599086, (260, 1) = 5.58370200058651, (260, 2) = -1.6108361282071726, (260, 3) = 2.0084171803397513, (261, 1) = 5.5816486493467385, (261, 2) = -1.6082811834388924, (261, 3) = 1.9970825385436128, (262, 1) = 5.579598181949425, (262, 2) = -1.6057401767347084, (262, 3) = 1.9858533865356358, (263, 1) = 5.577550577787058, (263, 2) = -1.603212974492282, (263, 3) = 1.9747283264183075, (264, 1) = 5.575505816015043, (264, 2) = -1.600699444380035, (264, 3) = 1.9637059823546075, (265, 1) = 5.573463875899329, (265, 2) = -1.598199455744519, (265, 3) = 1.952785001143459, (266, 1) = 5.571424736997547, (266, 2) = -1.5957128798052704, (266, 3) = 1.9419640533274818, (267, 1) = 5.56938837898994, (267, 2) = -1.593239589420417, (267, 3) = 1.9312418321614537, (268, 1) = 5.567354781692228, (268, 2) = -1.5907794590773534, (268, 3) = 1.920617052090628, (269, 1) = 5.565323925053464, (269, 2) = -1.5883323648654513, (269, 3) = 1.9100884491049757, (270, 1) = 5.5632957891539245, (270, 2) = -1.585898184449345, (270, 3) = 1.899654780560698, (271, 1) = 5.561270354190114, (271, 2) = -1.5834767970273242, (271, 3) = 1.8893148236110637, (272, 1) = 5.55924760027009, (272, 2) = -1.5810680830651702, (272, 3) = 1.8790673752250788, (273, 1) = 5.557227507981718, (273, 2) = -1.5786719249511219, (273, 3) = 1.8689112534614498, (274, 1) = 5.555210058036708, (274, 2) = -1.5762882065455603, (274, 3) = 1.85884529575302, (275, 1) = 5.553195231189987, (275, 2) = -1.5739168130645003, (275, 3) = 1.8488683578421776, (276, 1) = 5.55118300827378, (276, 2) = -1.5715576310998725, (276, 3) = 1.8389793142216853, (277, 1) = 5.549173370231577, (277, 2) = -1.5692105486390742, (277, 3) = 1.8291770576165152, (278, 1) = 5.547166298122265, (278, 2) = -1.5668754550493622, (278, 3) = 1.8194604979911644, (279, 1) = 5.545161773118307, (279, 2) = -1.564552241055589, (279, 3) = 1.8098285631881657, (280, 1) = 5.543159776531116, (280, 2) = -1.5622407987496727, (280, 3) = 1.8002801981576244, (281, 1) = 5.541160290045186, (281, 2) = -1.5599410218394434, (281, 3) = 1.7908143667270136, (282, 1) = 5.539163294962342, (282, 2) = -1.5576528047596254, (282, 3) = 1.7814300453454412, (283, 1) = 5.5371687727740015, (283, 2) = -1.555376043315872, (283, 3) = 1.7721262281240746, (284, 1) = 5.5351767050498175, (284, 2) = -1.553110634538304, (284, 3) = 1.7629019244442425, (285, 1) = 5.533187073627965, (285, 2) = -1.5508564768793032, (285, 3) = 1.7537561607794434, (286, 1) = 5.531199860619659, (286, 2) = -1.5486134701975365, (286, 3) = 1.7446879783176807, (287, 1) = 5.529215048045335, (287, 2) = -1.5463815153287648, (287, 3) = 1.7356964335866167, (288, 1) = 5.527232618022005, (288, 2) = -1.5441605142825228, (288, 3) = 1.726780597077842, (289, 1) = 5.525252552763179, (289, 2) = -1.5419503702254898, (289, 3) = 1.717939553708553, (290, 1) = 5.523274834577275, (290, 2) = -1.539750987463494, (290, 3) = 1.7091724025722537, (291, 1) = 5.5212994458660685, (291, 2) = -1.5375622714238566, (291, 3) = 1.7004782567249945, (292, 1) = 5.519326369123151, (292, 2) = -1.535384128638063, (292, 3) = 1.6918562427229933, (293, 1) = 5.5173555869328474, (293, 2) = -1.5332164667252586, (293, 3) = 1.6833055007642366, (294, 1) = 5.515387082011468, (294, 2) = -1.5310591944222793, (294, 3) = 1.6748251834631156, (295, 1) = 5.513420837148918, (295, 2) = -1.528912221504457, (295, 3) = 1.6664144571749817, (296, 1) = 5.511456835101093, (296, 2) = -1.5267754586544995, (296, 3) = 1.6580725000675718, (297, 1) = 5.5094950586489615, (297, 2) = -1.5246488175145705, (297, 3) = 1.6497985016136305, (298, 1) = 5.507535491087144, (298, 2) = -1.5225322112002924, (298, 3) = 1.6415916667430106, (299, 1) = 5.505578115801345, (299, 2) = -1.5204255538246791, (299, 3) = 1.6334512110085837, (300, 1) = 5.503622915711206, (300, 2) = -1.5183287598881878, (300, 3) = 1.625376360382544, (301, 1) = 5.501669874002504, (301, 2) = -1.5162417450570251, (301, 3) = 1.6173663522100759, (302, 1) = 5.499718974008059, (302, 2) = -1.5141644260200238, (302, 3) = 1.6094204358685527, (303, 1) = 5.497770199142392, (303, 2) = -1.5120967204053712, (303, 3) = 1.6015378719936348, (304, 1) = 5.495823532946003, (304, 2) = -1.5100385468148063, (304, 3) = 1.5937179319300143, (305, 1) = 5.49387895899222, (305, 2) = -1.5079898247124033, (305, 3) = 1.585959897620393, (306, 1) = 5.491936460912042, (306, 2) = -1.50595047443937, (306, 3) = 1.5782630616871758, (307, 1) = 5.489996022407449, (307, 2) = -1.5039204172164269, (307, 3) = 1.57062672672786, (308, 1) = 5.48805762721157, (308, 2) = -1.5018995750907247, (308, 3) = 1.563050205724129, (309, 1) = 5.486121258954552, (309, 2) = -1.4998878707860657, (309, 3) = 1.5555328202084389, (310, 1) = 5.484186901734546, (310, 2) = -1.4978852282849024, (310, 3) = 1.5480739039187568, (311, 1) = 5.482254539584282, (311, 2) = -1.4958915722607735, (311, 3) = 1.540672799195465, (312, 1) = 5.480324156542161, (312, 2) = -1.4939068281428327, (312, 3) = 1.5333288572960178, (313, 1) = 5.478395736727276, (313, 2) = -1.491930922183087, (313, 3) = 1.5260414392440318, (314, 1) = 5.476469264363312, (314, 2) = -1.4899637814700175, (314, 3) = 1.5188099152357655, (315, 1) = 5.474544723682428, (315, 2) = -1.4880053338200003, (315, 3) = 1.5116336642081698, (316, 1) = 5.472622099068961, (316, 2) = -1.4860555079136872, (316, 3) = 1.5045120741847229, (317, 1) = 5.4707013750858335, (317, 2) = -1.484114233311182, (317, 3) = 1.497444541860564, (318, 1) = 5.468782535859156, (318, 2) = -1.4821814398215398, (318, 3) = 1.490430471166233, (319, 1) = 5.466865565815372, (319, 2) = -1.4802570582403987, (319, 3) = 1.4834692749337886, (320, 1) = 5.464950449462899, (320, 2) = -1.4783410201183786, (320, 3) = 1.4765603745544418, (321, 1) = 5.463037171168111, (321, 2) = -1.4764332575284482, (321, 3) = 1.4697031986037785, (322, 1) = 5.461125715653986, (322, 2) = -1.4745337035548565, (322, 3) = 1.4628971844054823, (323, 1) = 5.459216067751513, (323, 2) = -1.472642292033424, (323, 3) = 1.4561417779601176, (324, 1) = 5.457308212239133, (324, 2) = -1.470758957383657, (324, 3) = 1.4494364314255532, (325, 1) = 5.455402133898138, (325, 2) = -1.4688836346563343, (325, 3) = 1.4427806055913892, (326, 1) = 5.453497817558926, (326, 2) = -1.467016259571155, (326, 3) = 1.4361737676257582, (327, 1) = 5.451595248100255, (327, 2) = -1.465156768507727, (327, 3) = 1.4296153923180848, (328, 1) = 5.449694410448235, (328, 2) = -1.4633050984964375, (328, 3) = 1.4231049619010678, (329, 1) = 5.4477952895753115, (329, 2) = -1.4614611872094754, (329, 3) = 1.4166419653043991, (330, 1) = 5.445897870499276, (330, 2) = -1.459624972952005, (330, 3) = 1.4102258980833067, (331, 1) = 5.444002138281004, (331, 2) = -1.4577963946522614, (331, 3) = 1.403856263625142, (332, 1) = 5.442108077852443, (332, 2) = -1.4559753916888525, (332, 3) = 1.3975325697724936, (333, 1) = 5.44021567444013, (333, 2) = -1.45416190429117, (333, 3) = 1.3912543336932033, (334, 1) = 5.438324913567228, (334, 2) = -1.452355873530059, (334, 3) = 1.3850210782940728, (335, 1) = 5.436435780597936, (335, 2) = -1.450557240873584, (335, 3) = 1.3788323328066199, (336, 1) = 5.434548260535948, (336, 2) = -1.448765947992104, (336, 3) = 1.372687631564017, (337, 1) = 5.432662338678379, (337, 2) = -1.4469819373749935, (337, 3) = 1.366586515453902, (338, 1) = 5.430778000372463, (338, 2) = -1.4452051520908207, (338, 3) = 1.3605285322045946, (339, 1) = 5.4288952310022065, (339, 2) = -1.443435535767898, (339, 3) = 1.3545132343194126, (340, 1) = 5.4270140159875115, (340, 2) = -1.4416730325867917, (340, 3) = 1.3485401814558984, (341, 1) = 5.425134340783249, (341, 2) = -1.4399175872729373, (341, 3) = 1.342608937939267, (342, 1) = 5.423256190888204, (342, 2) = -1.4381691450985508, (342, 3) = 1.3367190746486213, (343, 1) = 5.421379551761458, (343, 2) = -1.4364276517986536, (343, 3) = 1.3308701672052254, (344, 1) = 5.419504408912346, (344, 2) = -1.4346930536490465, (344, 3) = 1.3250617972186898, (345, 1) = 5.417630748117222, (345, 2) = -1.432965297659475, (345, 3) = 1.3192935520959066, (346, 1) = 5.415758554998054, (346, 2) = -1.4312443311774548, (346, 3) = 1.3135650237946246, (347, 1) = 5.413887815202354, (347, 2) = -1.4295301020496658, (347, 3) = 1.3078758104989447, (348, 1) = 5.412018514406469, (348, 2) = -1.427822558619192, (348, 3) = 1.302225514667326, (349, 1) = 5.4101506383147315, (349, 2) = -1.4261216497190308, (349, 3) = 1.2966137436715175, (350, 1) = 5.408284172658617, (350, 2) = -1.4244273246657064, (350, 3) = 1.2910401106130758, (351, 1) = 5.406419103196084, (351, 2) = -1.4227395332531252, (351, 3) = 1.285504232902422, (352, 1) = 5.404555415942798, (352, 2) = -1.4210582259554048, (352, 3) = 1.2800057339563615, (353, 1) = 5.4026930967939855, (353, 2) = -1.419383353578724, (353, 3) = 1.274544240727153, (354, 1) = 5.400832131267792, (354, 2) = -1.417714867028331, (354, 3) = 1.2691193850840108, (355, 1) = 5.398972505095823, (355, 2) = -1.4160527178359381, (355, 3) = 1.2637308025039307, (356, 1) = 5.3971142043596405, (356, 2) = -1.4143968582733752, (356, 3) = 1.2583781348650651, (357, 1) = 5.395257214973192, (357, 2) = -1.4127472408840203, (357, 3) = 1.2530610278804126, (358, 1) = 5.393401522856669, (358, 2) = -1.4111038186341829, (358, 3) = 1.2477791312079825, (359, 1) = 5.39154711395003, (359, 2) = -1.4094665449203652, (359, 3) = 1.2425320995576117, (360, 1) = 5.3896939742121965, (360, 2) = -1.4078353735637488, (360, 3) = 1.2373195911989272, (361, 1) = 5.38784208962027, (361, 2) = -1.4062102588048198, (361, 3) = 1.23214126916857, (362, 1) = 5.3859914462192915, (362, 2) = -1.4045911553421817, (362, 3) = 1.2269968003326144, (363, 1) = 5.38414203007124, (363, 2) = -1.402978018282912, (363, 3) = 1.2218858561815507, (364, 1) = 5.382293827204414, (364, 2) = -1.4013708030941632, (364, 3) = 1.2168081113168576, (365, 1) = 5.380446823600229, (365, 2) = -1.3997694655878858, (365, 3) = 1.2117632447594455, (366, 1) = 5.378601005149713, (366, 2) = -1.3981739618798195, (366, 3) = 1.2067509390430649, (367, 1) = 5.376756358122989, (367, 2) = -1.3965842487904865, (367, 3) = 1.2017708813393075, (368, 1) = 5.374912868653137, (368, 2) = -1.3950002833934874, (368, 3) = 1.1968227625256733, (369, 1) = 5.373070523104898, (369, 2) = -1.3934220233286594, (369, 3) = 1.1919062769176765, (370, 1) = 5.371229307422284, (370, 2) = -1.3918494262388226, (370, 3) = 1.1870211226635505, (371, 1) = 5.369389207602398, (371, 2) = -1.3902824501741653, (371, 3) = 1.1821670008821938, (372, 1) = 5.36755020984566, (372, 2) = -1.3887210537150816, (372, 3) = 1.1773436166866105, (373, 1) = 5.365712300317019, (373, 2) = -1.3871651957640034, (373, 3) = 1.1725506787262252, (374, 1) = 5.363875465162255, (374, 2) = -1.3856148355558655, (374, 3) = 1.167787899264912, (375, 1) = 5.36203969053459, (375, 2) = -1.384069932677045, (375, 3) = 1.1630549935531256, (376, 1) = 5.3602049625568755, (376, 2) = -1.3825304470299553, (376, 3) = 1.1583516806995768, (377, 1) = 5.358371267203893, (377, 2) = -1.3809963387315318, (377, 3) = 1.1536776823065897, (378, 1) = 5.356538590823606, (378, 2) = -1.3794675685456805, (378, 3) = 1.149032723972494, (379, 1) = 5.354706919643696, (379, 2) = -1.3779440974654193, (379, 3) = 1.14441653454701, (380, 1) = 5.352876239843521, (380, 2) = -1.376425886770502, (380, 3) = 1.1398288459135277, (381, 1) = 5.351046537621493, (381, 2) = -1.37491289808025, (381, 3) = 1.135269393231133, (382, 1) = 5.3492177992439105, (382, 2) = -1.373405093390196, (382, 3) = 1.1307379144583454, (383, 1) = 5.347390010909595, (383, 2) = -1.3719024349568378, (383, 3) = 1.1262341507211968, (384, 1) = 5.345563158806961, (384, 2) = -1.370404885341927, (384, 3) = 1.1217578462311844, (385, 1) = 5.343737229124512, (385, 2) = -1.3689124074179182, (385, 3) = 1.1173087475439307, (386, 1) = 5.341912208094454, (386, 2) = -1.3674249644003147, (386, 3) = 1.1128866054602846, (387, 1) = 5.340088082148028, (387, 2) = -1.365942519970056, (387, 3) = 1.1084911723937585, (388, 1) = 5.338264837042649, (388, 2) = -1.3644650375618328, (388, 3) = 1.10412220377159, (389, 1) = 5.3364424590196355, (389, 2) = -1.3629924813029692, (389, 3) = 1.099779457288737, (390, 1) = 5.334620934336437, (390, 2) = -1.3615248156284512, (390, 3) = 1.0954626948735444, (391, 1) = 5.332800249204164, (391, 2) = -1.3600620052276544, (391, 3) = 1.0911716801747704, (392, 1) = 5.330980389865674, (392, 2) = -1.3586040151043963, (392, 3) = 1.0869061799802529, (393, 1) = 5.329161342487354, (393, 2) = -1.3571508104873566, (393, 3) = 1.082665963318052, (394, 1) = 5.327343093227226, (394, 2) = -1.3557023568822526, (394, 3) = 1.0784508019474057, (395, 1) = 5.32552562823614, (395, 2) = -1.354258620070062, (395, 3) = 1.0742604698975273, (396, 1) = 5.323708933657079, (396, 2) = -1.3528195661037288, (396, 3) = 1.0700947446393514, (397, 1) = 5.321892995608798, (397, 2) = -1.3513851612926104, (397, 3) = 1.0659534049120032, (398, 1) = 5.320077800020898, (398, 2) = -1.349955372070276, (398, 3) = 1.0618362320726469, (399, 1) = 5.318263333134485, (399, 2) = -1.3485301653866022, (399, 3) = 1.0577430104179943, (400, 1) = 5.31644958113965, (400, 2) = -1.3471095084181046, (400, 3) = 1.053673527277271, (401, 1) = 5.3146365301965, (401, 2) = -1.3456933685823032, (401, 3) = 1.049627571103357, (402, 1) = 5.3128241664353615, (402, 2) = -1.3442817135355953, (402, 3) = 1.0456049339235096, (403, 1) = 5.311012476036725, (403, 2) = -1.3428745112330414, (403, 3) = 1.041605408425822, (404, 1) = 5.309201445238227, (404, 2) = -1.3414717299306769, (404, 3) = 1.037628791833515, (405, 1) = 5.307391059811311, (405, 2) = -1.3400733377787333, (405, 3) = 1.0336748811341332, (406, 1) = 5.305581305757582, (406, 2) = -1.338679303359808, (406, 3) = 1.0297434765750066, (407, 1) = 5.303772169074058, (407, 2) = -1.3372895955038409, (407, 3) = 1.0258343804259373, (408, 1) = 5.301963635561019, (408, 2) = -1.3359041831387886, (408, 3) = 1.0219473968256614, (409, 1) = 5.300155691308635, (409, 2) = -1.334523035661509, (409, 3) = 1.0180823325590536, (410, 1) = 5.298348322374104, (410, 2) = -1.3331461226867245, (410, 3) = 1.0142389968119494, (411, 1) = 5.296541514784559, (411, 2) = -1.3317734140472341, (411, 3) = 1.0104172003910366, (412, 1) = 5.29473525448568, (412, 2) = -1.3304048797530663, (412, 3) = 1.006616756163501, (413, 1) = 5.292929527377946, (413, 2) = -1.3290404900173733, (413, 3) = 1.0028374785398488, (414, 1) = 5.291124319340816, (414, 2) = -1.327680215272851, (414, 3) = .99907918504701, (415, 1) = 5.289319616231974, (415, 2) = -1.3263240261691458, (415, 3) = .9953416937708292, (416, 1) = 5.2875154038865935, (416, 2) = -1.3249718935703305, (416, 3) = .9916248255932891, (417, 1) = 5.285711668106359, (417, 2) = -1.3236237885447428, (417, 3) = .9879284031223, (418, 1) = 5.283908394489395, (418, 2) = -1.3222796822365739, (418, 3) = .9842522499438686, (419, 1) = 5.282105568901183, (419, 2) = -1.320939546215375, (419, 3) = .9805961932038901, (420, 1) = 5.280303177411348, (420, 2) = -1.3196033524244366, (420, 3) = .9769600612014052, (421, 1) = 5.27850120583418, (421, 2) = -1.318271072837428, (421, 3) = .9733436839016484, (422, 1) = 5.276699639645308, (422, 2) = -1.3169426793975376, (422, 3) = .9697468931133721, (423, 1) = 5.274898464501567, (423, 2) = -1.3156181444005555, (423, 3) = .9661695215044934, (424, 1) = 5.273097666032209, (424, 2) = -1.3142974403381582, (424, 3) = .9626114043948218, (425, 1) = 5.271297229837158, (425, 2) = -1.312980539894877, (425, 3) = .9590723790449825, (426, 1) = 5.269497141486213, (426, 2) = -1.3116674159458404, (426, 3) = .9555522834129947, (427, 1) = 5.267697386510289, (427, 2) = -1.3103580415487501, (427, 3) = .952050958245985, (428, 1) = 5.265897950230518, (428, 2) = -1.3090523898184692, (428, 3) = .9485682442365266, (429, 1) = 5.264098818210753, (429, 2) = -1.3077504342541681, (429, 3) = .9451039856975355, (430, 1) = 5.262299976049529, (430, 2) = -1.3064521485851184, (430, 3) = .9416580278802485, (431, 1) = 5.260501409231247, (431, 2) = -1.3051575066615178, (431, 3) = .9382302171234259, (432, 1) = 5.258703103130545, (432, 2) = -1.3038664824568849, (432, 3) = .9348204018141728, (433, 1) = 5.256905043085756, (433, 2) = -1.3025790501197658, (433, 3) = .9314284318512159, (434, 1) = 5.255107214398758, (434, 2) = -1.301295183972179, (434, 3) = .928054158289673, (435, 1) = 5.253309602334203, (435, 2) = -1.3000148585075835, (435, 3) = .9246974340865689, (436, 1) = 5.251512192139168, (436, 2) = -1.2987380484034248, (436, 3) = .9213581130437791, (437, 1) = 5.249714969266957, (437, 2) = -1.29746472867784, (437, 3) = .9180360518220079, (438, 1) = 5.247917918513948, (438, 2) = -1.296194874076905, (438, 3) = .914731106444741, (439, 1) = 5.246121024943674, (439, 2) = -1.2949284597294046, (439, 3) = .9114431357494225, (440, 1) = 5.244324273819503, (440, 2) = -1.2936654610953737, (440, 3) = .9081719999734038, (441, 1) = 5.242527650212247, (441, 2) = -1.2924058536878291, (441, 3) = .9049175603723745, (442, 1) = 5.240731139104044, (442, 2) = -1.291149613145416, (442, 3) = .9016796797621927, (443, 1) = 5.2389347254331575, (443, 2) = -1.2898967152627394, (443, 3) = .8984582220764057, (444, 1) = 5.237138394093105, (444, 2) = -1.2886471359885292, (444, 3) = .8952530528275916, (445, 1) = 5.235342129931802, (445, 2) = -1.287400851423823, (445, 3) = .8920640390359575, (446, 1) = 5.233545917738867, (446, 2) = -1.2861578378119742, (446, 3) = .8888910484070095, (447, 1) = 5.231749742078327, (447, 2) = -1.284918071422266, (447, 3) = .8857339498279898, (448, 1) = 5.2299535877654435, (448, 2) = -1.2836815288781718, (448, 3) = .8825926143539634, (449, 1) = 5.228157439562795, (449, 2) = -1.282448186945129, (449, 3) = .879466913656674, (450, 1) = 5.226361282178673, (450, 2) = -1.2812180225283534, (450, 3) = .8763567215155442, (451, 1) = 5.224565100191589, (451, 2) = -1.27999101262029, (451, 3) = .8732619117963426, (452, 1) = 5.222768878106853, (452, 2) = -1.2787671343387386, (452, 3) = .870182360606462, (453, 1) = 5.220972600449476, (453, 2) = -1.2775463649890249, (453, 3) = .867117944132788, (454, 1) = 5.2191762518623595, (454, 2) = -1.2763286821288118, (454, 3) = .8640685409924264, (455, 1) = 5.217379816425758, (455, 2) = -1.2751140631060607, (455, 3) = .8610340301291728, (456, 1) = 5.215583278368357, (456, 2) = -1.2739024855413794, (456, 3) = .8580142911543317, (457, 1) = 5.213786621735097, (457, 2) = -1.2726939271020836, (457, 3) = .8550092053406235, (458, 1) = 5.211989830798596, (458, 2) = -1.2714883657780496, (458, 3) = .8520186553726342, (459, 1) = 5.2101928898105, (459, 2) = -1.2702857797121092, (459, 3) = .8490425250624706, (460, 1) = 5.208395782927223, (460, 2) = -1.2690861471493184, (460, 3) = .846080698998232, (461, 1) = 5.206598494153216, (461, 2) = -1.2678894463986254, (461, 3) = .8431330636561778, (462, 1) = 5.204801007425737, (462, 2) = -1.266695655889012, (462, 3) = .8401995052706192, (463, 1) = 5.203003306619844, (463, 2) = -1.2655047541719726, (463, 3) = .8372799120736001, (464, 1) = 5.201205375547387, (464, 2) = -1.2643167199199907, (464, 3) = .8343741728382906, (465, 1) = 5.199407197939519, (465, 2) = -1.2631315319142102, (465, 3) = .831482177475257, (466, 1) = 5.197608757285996, (466, 2) = -1.2619491689382276, (466, 3) = .8286038171410474, (467, 1) = 5.1958100373308245, (467, 2) = -1.2607696101033898, (467, 3) = .8257389837406687, (468, 1) = 5.1940110217043385, (468, 2) = -1.2595928346049865, (468, 3) = .8228875703023675, (469, 1) = 5.19221169415581, (469, 2) = -1.2584188218734598, (469, 3) = .8200494714326648, (470, 1) = 5.19041203821345, (470, 2) = -1.2572475513511325, (470, 3) = .8172245824245317, (471, 1) = 5.188612036980153, (471, 2) = -1.2560790023602921, (471, 3) = .814412798814524, (472, 1) = 5.186811673723687, (472, 2) = -1.2549131544870884, (472, 3) = .8116140173109999, (473, 1) = 5.185010931641736, (473, 2) = -1.2537499874273326, (473, 3) = .8088281355511702, (474, 1) = 5.183209793832841, (474, 2) = -1.2525894809670892, (474, 3) = .8060550526568873, (475, 1) = 5.181408243154102, (475, 2) = -1.2514316148908964, (475, 3) = .8032946678239232, (476, 1) = 5.179606262731654, (476, 2) = -1.2502763693092955, (476, 3) = .8005468821749004, (477, 1) = 5.177803835526705, (477, 2) = -1.2491237243782827, (477, 3) = .7978115967971467, (478, 1) = 5.176000944361899, (478, 2) = -1.2479736603161902, (478, 3) = .7950887144588052, (479, 1) = 5.174197572075761, (479, 2) = -1.2468261575017396, (479, 3) = .7923781382189676, (480, 1) = 5.172393701368484, (480, 2) = -1.2456811963749228, (480, 3) = .7896797725335091, (481, 1) = 5.170589314817734, (481, 2) = -1.2445387574469402, (481, 3) = .7869935223384451, (482, 1) = 5.168784394918381, (482, 2) = -1.243398821324984, (482, 3) = .7843192932445715, (483, 1) = 5.166978924044774, (483, 2) = -1.2422613686880213, (483, 3) = .7816569918409155, (484, 1) = 5.165172884368865, (484, 2) = -1.2411263802351373, (484, 3) = .7790065251623526, (485, 1) = 5.163366258586906, (485, 2) = -1.239993837140951, (485, 3) = .7763678028484716, (486, 1) = 5.161559028689265, (486, 2) = -1.238863720282063, (486, 3) = .7737407332058109, (487, 1) = 5.15975117663463, (487, 2) = -1.2377360106614206, (487, 3) = .7711252258058994, (488, 1) = 5.157942684415296, (488, 2) = -1.2366106894480025, (488, 3) = .7685211918684532, (489, 1) = 5.156133534023104, (489, 2) = -1.2354877379542863, (489, 3) = .7659285428260931, (490, 1) = 5.154323707264188, (490, 2) = -1.2343671375205942, (490, 3) = .7633471905644529, (491, 1) = 5.152513185833563, (491, 2) = -1.2332488695613921, (491, 3) = .7607770483776322, (492, 1) = 5.150701951281278, (492, 2) = -1.232132915544195, (492, 3) = .7582180295685232, (493, 1) = 5.148889984936084, (493, 2) = -1.231019256942735, (493, 3) = .7556700488722107, (494, 1) = 5.147077268389242, (494, 2) = -1.2299078755337587, (494, 3) = .7531330215626866, (495, 1) = 5.145263782983709, (495, 2) = -1.2287987530819573, (495, 3) = .7506068632690486, (496, 1) = 5.143449509924273, (496, 2) = -1.2276918714078602, (496, 3) = .7480914909817282, (497, 1) = 5.1416344303135855, (497, 2) = -1.2265872124096813, (497, 3) = .745586821895921, (498, 1) = 5.139818525197176, (498, 2) = -1.2254847580903445, (498, 3) = .7430927741057254, (499, 1) = 5.138001775569114, (499, 2) = -1.224384490560253, (499, 3) = .7406092665710561, (500, 1) = 5.136184162263852, (500, 2) = -1.223286391971356, (500, 3) = .7381362188936275, (501, 1) = 5.134365666020841, (501, 2) = -1.2221904445561846, (501, 3) = .7356735506343627, (502, 1) = 5.132546267317584, (502, 2) = -1.221096630527276, (502, 3) = .7332211833016737, (503, 1) = 5.130725946607263, (503, 2) = -1.22000493222038, (503, 3) = .7307790377542331, (504, 1) = 5.128904684237542, (504, 2) = -1.2189153320451083, (504, 3) = .7283470362260682, (505, 1) = 5.127082460442179, (505, 2) = -1.2178278124796733, (505, 3) = .7259251013995313, (506, 1) = 5.1252592553394924, (506, 2) = -1.2167423560697745, (506, 3) = .723513156653256, (507, 1) = 5.12343504893103, (507, 2) = -1.2156589454276714, (507, 3) = .7211111260615866, (508, 1) = 5.1216098210439585, (508, 2) = -1.2145775631978946, (508, 3) = .7187189340501939, (509, 1) = 5.11978355147336, (509, 2) = -1.2134981921415087, (509, 3) = .7163365059544019, (510, 1) = 5.117956220031751, (510, 2) = -1.2124208151645322, (510, 3) = .7139637679338982, (511, 1) = 5.116127806238618, (511, 2) = -1.2113454151344154, (511, 3) = .7116006461646235, (512, 1) = 5.11429828948619, (512, 2) = -1.2102719749783235, (512, 3) = .7092470681175075, (513, 1) = 5.11246764903983, (513, 2) = -1.2092004776832772, (513, 3) = .7069029609959085, (514, 1) = 5.11063586403634, (514, 2) = -1.2081309062950998, (514, 3) = .7045682532976139, (515, 1) = 5.108802913490058, (515, 2) = -1.207063243921905, (515, 3) = .7022428739650621, (516, 1) = 5.106968776553893, (516, 2) = -1.2059974738854953, (516, 3) = .6999267521422534, (517, 1) = 5.1051334317111285, (517, 2) = -1.2049335792515106, (517, 3) = .6976198178932407, (518, 1) = 5.103296857504202, (518, 2) = -1.2038715432540923, (518, 3) = .6953220017336744, (519, 1) = 5.101459032588031, (519, 2) = -1.2028113493252524, (519, 3) = .6930332344050806, (520, 1) = 5.099619935291147, (520, 2) = -1.2017529808408685, (520, 3) = .6907534480005425, (521, 1) = 5.09777954380066, (521, 2) = -1.2006964212280975, (521, 3) = .6884825744103569, (522, 1) = 5.095937836160592, (522, 2) = -1.1996416539644583, (522, 3) = .6862205465288812, (523, 1) = 5.094094790269956, (523, 2) = -1.1985886625767892, (523, 3) = .6839672970106294, (524, 1) = 5.092250383869955, (524, 2) = -1.1975374306340383, (524, 3) = .6817227599340507, (525, 1) = 5.090404594366025, (525, 2) = -1.196487941646363, (525, 3) = .6794868691624002, (526, 1) = 5.088557399316994, (526, 2) = -1.1954401793436291, (526, 3) = .6772595595482195, (527, 1) = 5.086708776150951, (527, 2) = -1.1943941275128545, (527, 3) = .6750407665627309, (528, 1) = 5.0848587021245075, (528, 2) = -1.1933497699752516, (528, 3) = .6728304259586968, (529, 1) = 5.083007154236849, (529, 2) = -1.1923070905381163, (529, 3) = .6706284742307487, (530, 1) = 5.081154109424364, (530, 2) = -1.1912660731049016, (530, 3) = .6684348476334567, (531, 1) = 5.0792995445410085, (531, 2) = -1.1902267016637331, (531, 3) = .6662494841973384, (532, 1) = 5.07744343559944, (532, 2) = -1.1891889598633247, (532, 3) = .664072320526204, (533, 1) = 5.0755857590922835, (533, 2) = -1.1881528317537675, (533, 3) = .6619032952057617, (534, 1) = 5.073726491229098, (534, 2) = -1.187118301358382, (534, 3) = .6597423465581196, (535, 1) = 5.0718656080088, (535, 2) = -1.186085352714862, (535, 3) = .6575894139159559, (536, 1) = 5.0700030852578095, (536, 2) = -1.1850539698969107, (536, 3) = .6554444368930524, (537, 1) = 5.068138898684594, (537, 2) = -1.1840241370445912, (537, 3) = .6533073551590962, (538, 1) = 5.066273023855868, (538, 2) = -1.1829958383511403, (538, 3) = .651178109281858, (539, 1) = 5.064405435976295, (539, 2) = -1.181969057942045, (539, 3) = .6490566400998576, (540, 1) = 5.0625361100269775, (540, 2) = -1.1809437799524471, (540, 3) = .6469428887818266, (541, 1) = 5.060665021140678, (541, 2) = -1.179919988732785, (541, 3) = .644836796845744, (542, 1) = 5.058792144073831, (542, 2) = -1.178897668559084, (542, 3) = .6427383073528019, (543, 1) = 5.05691745337737, (543, 2) = -1.1778768037274694, (543, 3) = .6406473616422022, (544, 1) = 5.055040923420503, (544, 2) = -1.1768573785675511, (544, 3) = .6385639034967918, (545, 1) = 5.0531625286704145, (545, 2) = -1.1758393775941414, (545, 3) = .6364878762442542, (546, 1) = 5.051282242969952, (546, 2) = -1.1748227851157322, (546, 3) = .6344192236545405, (547, 1) = 5.049400039848564, (547, 2) = -1.1738075854051753, (547, 3) = .6323578896471748, (548, 1) = 5.047515892882768, (548, 2) = -1.1727937628945853, (548, 3) = .6303038186946387, (549, 1) = 5.045629775612743, (549, 2) = -1.1717813021294676, (549, 3) = .62825695585759, (550, 1) = 5.043741661189874, (550, 2) = -1.1707701875795924, (550, 3) = .6262172469176704, (551, 1) = 5.041851522551737, (551, 2) = -1.169760403734011, (551, 3) = .6241846369609411, (552, 1) = 5.03995933242176, (552, 2) = -1.16875193510141, (552, 3) = .6221590726152751, (553, 1) = 5.038065063293011, (553, 2) = -1.1677447662020162, (553, 3) = .6201404999834437, (554, 1) = 5.036168687242613, (554, 2) = -1.166738881469911, (554, 3) = .6181288657709918, (555, 1) = 5.034270176454381, (555, 2) = -1.165734265531053, (555, 3) = .6161241173330538, (556, 1) = 5.032369502878592, (556, 2) = -1.1647309030223871, (556, 3) = .6141262024217248, (557, 1) = 5.030466638230309, (557, 2) = -1.1637287785915968, (557, 3) = .6121350689012075, (558, 1) = 5.028561553908786, (558, 2) = -1.1627278768554763, (558, 3) = .6101506651394091, (559, 1) = 5.026654221176654, (559, 2) = -1.1617281824948853, (559, 3) = .6081729399783231, (560, 1) = 5.024744611122404, (560, 2) = -1.1607296802352045, (560, 3) = .606201842398276, (561, 1) = 5.02283269388217, (561, 2) = -1.1597323544411198, (561, 3) = .6042373211837933, (562, 1) = 5.020918440036599, (562, 2) = -1.158736189847798, (562, 3) = .6022793260561012, (563, 1) = 5.019001819786673, (563, 2) = -1.1577411711299292, (563, 3) = .6003278075323599, (564, 1) = 5.0170828030416486, (564, 2) = -1.1567472829487666, (564, 3) = .5983827150455318, (565, 1) = 5.015161359454717, (565, 2) = -1.1557545099715012, (565, 3) = .5964440001206578, (566, 1) = 5.013237458451486, (566, 2) = -1.1547628368867096, (566, 3) = .5945116131550874, (567, 1) = 5.011311069129441, (567, 2) = -1.153772248353287, (567, 3) = .5925855054707843, (568, 1) = 5.009382160279296, (568, 2) = -1.1527827290125965, (568, 3) = .5906656285066141, (569, 1) = 5.007450700693598, (569, 2) = -1.1517942636472913, (569, 3) = .5887519343770421, (570, 1) = 5.005516658693164, (570, 2) = -1.1508068369389826, (570, 3) = .5868443752426105, (571, 1) = 5.003580002314426, (571, 2) = -1.149820433565646, (571, 3) = .5849429036389905, (572, 1) = 5.001640699341523, (572, 2) = -1.1488350382188146, (572, 3) = .5830474726328271, (573, 1) = 4.99969871758096, (573, 2) = -1.1478506357433653, (573, 3) = .5811580353003677, (574, 1) = 4.997754023767456, (574, 2) = -1.1468672105839361, (574, 3) = .5792745441511359, (575, 1) = 4.995806584736146, (575, 2) = -1.145884747381257, (575, 3) = .5773969535491091, (576, 1) = 4.993856367251557, (576, 2) = -1.1449032308847646, (576, 3) = .5755252173307195, (577, 1) = 4.991903337664091, (577, 2) = -1.1439226457799498, (577, 3) = .5736592896873385, (578, 1) = 4.989947461942698, (578, 2) = -1.1429429767064028, (578, 3) = .5717991249662095, (579, 1) = 4.9879887057439465, (579, 2) = -1.1419642082937511, (579, 3) = .5699446781262997, (580, 1) = 4.986027034359568, (580, 2) = -1.1409863251366328, (580, 3) = .5680959042895799, (581, 1) = 4.984062412597348, (581, 2) = -1.1400093117368966, (581, 3) = .5662527581926557, (582, 1) = 4.9820948053559295, (582, 2) = -1.1390331527905024, (582, 3) = .5644151957831857, (583, 1) = 4.98012417704899, (583, 2) = -1.1380578329015372, (583, 3) = .5625831726940573, (584, 1) = 4.978150491703034, (584, 2) = -1.1370833366325284, (584, 3) = .5607566452798372, (585, 1) = 4.976173713007104, (585, 2) = -1.1361096485303874, (585, 3) = .5589355698922654, (586, 1) = 4.974193804630681, (586, 2) = -1.1351367532836203, (586, 3) = .5571199029102012, (587, 1) = 4.972210729560418, (587, 2) = -1.1341646353969106, (587, 3) = .5553096015913725, (588, 1) = 4.970224449992727, (588, 2) = -1.1331932791418835, (588, 3) = .5535046224280171, (589, 1) = 4.968234928414326, (589, 2) = -1.1322226690874384, (589, 3) = .5517049228894119, (590, 1) = 4.9662421267389885, (590, 2) = -1.1312527896776456, (590, 3) = .5499104607315854, (591, 1) = 4.96424600649816, (591, 2) = -1.1302836253267183, (591, 3) = .5481211932267642, (592, 1) = 4.962246528832281, (592, 2) = -1.129315160416264, (592, 3) = .5463370788289204, (593, 1) = 4.960243654282765, (593, 2) = -1.128347379196357, (593, 3) = .544558075202087, (594, 1) = 4.9582373433607545, (594, 2) = -1.1273802660620544, (594, 3) = .5427841410983089, (595, 1) = 4.956227556181316, (595, 2) = -1.1264138053770942, (595, 3) = .5410152352771572, (596, 1) = 4.9542142524124175, (596, 2) = -1.1254479814509137, (596, 3) = .5392513166614049, (597, 1) = 4.95219739124488, (597, 2) = -1.124482778526115, (597, 3) = .537492344146543, (598, 1) = 4.950176931581398, (598, 2) = -1.1235181808705241, (598, 3) = .5357382775343311, (599, 1) = 4.948152831993185, (599, 2) = -1.1225541727574406, (599, 3) = .5339890760580102, (600, 1) = 4.946125049808539, (600, 2) = -1.1215907380342391, (600, 3) = .5322446994471471, (601, 1) = 4.9440935426981305, (601, 2) = -1.1206278608791622, (601, 3) = .5305051071521112, (602, 1) = 4.942058267755807, (602, 2) = -1.119665525364461, (602, 3) = .5287702595121379, (603, 1) = 4.940019181585346, (603, 2) = -1.118703715499783, (603, 3) = .5270401171887961, (604, 1) = 4.937976240338464, (604, 2) = -1.1177424152520108, (604, 3) = .5253146404009458, (605, 1) = 4.935929399551741, (605, 2) = -1.1167816084706008, (605, 3) = .52359378956505, (606, 1) = 4.9338786144903315, (606, 2) = -1.115821279051014, (606, 3) = .5218775256913646, (607, 1) = 4.931823840104045, (607, 2) = -1.114861410914991, (607, 3) = .5201658101164637, (608, 1) = 4.929765030659833, (608, 2) = -1.1139019878404692, (608, 3) = .5184586040968341, (609, 1) = 4.9277021399349605, (609, 2) = -1.1129429935543322, (609, 3) = .516755868678714, (610, 1) = 4.925635121233647, (610, 2) = -1.1119844117420943, (610, 3) = .5150575659838301, (611, 1) = 4.923563927487346, (611, 2) = -1.1110262260960968, (611, 3) = .5133636571924991, (612, 1) = 4.921488510836717, (612, 2) = -1.1100684201241195, (612, 3) = .5116741048858144, (613, 1) = 4.919408822980023, (613, 2) = -1.109110977313217, (613, 3) = .5099888704959809, (614, 1) = 4.917324815135293, (614, 2) = -1.1081538811140486, (614, 3) = .5083079165276058, (615, 1) = 4.9152364380198295, (615, 2) = -1.1071971149333757, (615, 3) = .5066312058385706, (616, 1) = 4.9131436416565135, (616, 2) = -1.106240662047649, (616, 3) = .5049586998165629, (617, 1) = 4.911046375506059, (617, 2) = -1.1052845056662988, (617, 3) = .503290362200603, (618, 1) = 4.908944588820872, (618, 2) = -1.1043286290947991, (618, 3) = .5016261555747795, (619, 1) = 4.906838230049441, (619, 2) = -1.1033730154651307, (619, 3) = .49996604317247845, (620, 1) = 4.9047272470492755, (620, 2) = -1.102417647835702, (620, 3) = .4983099877247301, (621, 1) = 4.902611587069608, (621, 2) = -1.1014625091860102, (621, 3) = .4966579526958621, (622, 1) = 4.900491196532325, (622, 2) = -1.1005075823206734, (622, 3) = .4950099016211746, (623, 1) = 4.898366022046281, (623, 2) = -1.0995528503283154, (623, 3) = .4933657982583087, (624, 1) = 4.896236009021473, (624, 2) = -1.0985982959594223, (624, 3) = .4917256063829215, (625, 1) = 4.89410110203436, (625, 2) = -1.0976439017952873, (625, 3) = .4900892896258831, (626, 1) = 4.891961245251063, (626, 2) = -1.096689650440251, (626, 3) = .48845681208118324, (627, 1) = 4.889816382072326, (627, 2) = -1.0957355243654219, (627, 3) = .48682813765625793, (628, 1) = 4.887666455148533, (628, 2) = -1.0947815059187116, (628, 3) = .48520323050463854, (629, 1) = 4.885511406909684, (629, 2) = -1.09382757756244, (629, 3) = .48358205496936507, (630, 1) = 4.883351178864805, (630, 2) = -1.0928737215647537, (630, 3) = .48196457574390067, (631, 1) = 4.881185711784862, (631, 2) = -1.0919199200843364, (631, 3) = .4803507574179181, (632, 1) = 4.879014945483044, (632, 2) = -1.090966155077187, (632, 3) = .47874056452503055, (633, 1) = 4.876838819460391, (633, 2) = -1.090012408583646, (633, 3) = .4771339616068947, (634, 1) = 4.874657272477892, (634, 2) = -1.0890586625424379, (634, 3) = .4755309139529175, (635, 1) = 4.872470242700727, (635, 2) = -1.0881048988567021, (635, 3) = .4739313868453097, (636, 1) = 4.870277667390715, (636, 2) = -1.0871510992627949, (636, 3) = .47233534514290343, (637, 1) = 4.868079482370323, (637, 2) = -1.086197245102082, (637, 3) = .4707427541875513, (638, 1) = 4.865875622972399, (638, 2) = -1.0852433177384908, (638, 3) = .46915357911088623, (639, 1) = 4.8636660242281415, (639, 2) = -1.084289298641393, (639, 3) = .4675677845953785, (640, 1) = 4.861450620116037, (640, 2) = -1.0833351690633455, (640, 3) = .46598533718008417, (641, 1) = 4.859229343743696, (641, 2) = -1.0823809101229782, (641, 3) = .4644062015739691, (642, 1) = 4.857002127117909, (642, 2) = -1.0814265027104597, (642, 3) = .46283034417986485, (643, 1) = 4.854768901795597, (643, 2) = -1.080471927770494, (643, 3) = .4612577302129879, (644, 1) = 4.85252959846882, (644, 2) = -1.07951716612719, (644, 3) = .45968832547616795, (645, 1) = 4.850284146770868, (645, 2) = -1.078562198405552, (645, 3) = .45812209609901133, (646, 1) = 4.848032475669795, (646, 2) = -1.077607005203048, (646, 3) = .45655900806756905, (647, 1) = 4.845774513215008, (647, 2) = -1.0766515669852659, (647, 3) = .45499902750621435, (648, 1) = 4.843510185590083, (648, 2) = -1.0756958636907503, (648, 3) = .453442120199934, (649, 1) = 4.841239418992555, (649, 2) = -1.074739875530543, (649, 3) = .451888252081774, (650, 1) = 4.838962138443042, (650, 2) = -1.07378358248783, (650, 3) = .4503373898580604, (651, 1) = 4.836678267926839, (651, 2) = -1.0728269643826265, (651, 3) = .44878949925785155, (652, 1) = 4.834387730154185, (652, 2) = -1.0718700007764759, (652, 3) = .4472445465282514, (653, 1) = 4.8320904472132025, (653, 2) = -1.0709126712501356, (653, 3) = .44570249850165156, (654, 1) = 4.829786340143708, (654, 2) = -1.0699549552291516, (654, 3) = .44416332134725056, (655, 1) = 4.827475328757908, (655, 2) = -1.0689968319143779, (655, 3) = .4426269814174971, (656, 1) = 4.825157331912746, (656, 2) = -1.06803828040015, (656, 3) = .44109344550709123, (657, 1) = 4.822832267425531, (657, 2) = -1.067079279643769, (657, 3) = .43956267982229547, (658, 1) = 4.8205000516321475, (658, 2) = -1.0661198082886967, (658, 3) = .4380346512829445, (659, 1) = 4.81816059991967, (659, 2) = -1.0651598448898412, (659, 3) = .4365093261883982, (660, 1) = 4.815813826511424, (660, 2) = -1.0641993678299049, (660, 3) = .43498667119075274, (661, 1) = 4.8134596441574145, (661, 2) = -1.0632383551985212, (661, 3) = .4334666526646941, (662, 1) = 4.81109796488728, (662, 2) = -1.0622767851053956, (662, 3) = .4319492373149122, (663, 1) = 4.808728699458108, (663, 2) = -1.0613146354593361, (663, 3) = .43043439208108625, (664, 1) = 4.806351757104278, (664, 2) = -1.060351883872962, (664, 3) = .42892208367531287, (665, 1) = 4.803967045692836, (665, 2) = -1.0593885077326186, (665, 3) = .42741227815158567, (666, 1) = 4.801574472021985, (666, 2) = -1.058424484324876, (666, 3) = .4259049429518436, (667, 1) = 4.799173942242622, (667, 2) = -1.0574597910105266, (667, 3) = .4244000448849396, (668, 1) = 4.796765359896646, (668, 2) = -1.0564944044419355, (668, 3) = .4228975500657395, (669, 1) = 4.794348627584552, (669, 2) = -1.0555283012417342, (669, 3) = .421397425909706, (670, 1) = 4.791923646263236, (670, 2) = -1.0545614577273557, (670, 3) = .4198996380611235, (671, 1) = 4.7894903160177025, (671, 2) = -1.0535938502253321, (671, 3) = .41840415349471555, (672, 1) = 4.787048535358331, (672, 2) = -1.0526254547967275, (672, 3) = .4169109396811804, (673, 1) = 4.784598200866562, (673, 2) = -1.051656247104652, (673, 3) = .4154199621975249, (674, 1) = 4.782139207682747, (674, 2) = -1.0506862026157857, (674, 3) = .41393118813300744, (675, 1) = 4.779671449840455, (675, 2) = -1.0497152967384824, (675, 3) = .4124445843147848, (676, 1) = 4.777194819742489, (676, 2) = -1.048743504622459, (676, 3) = .4109601170474209, (677, 1) = 4.774709208349421, (677, 2) = -1.047770801240224, (677, 3) = .40947775322381347, (678, 1) = 4.772214503680899, (678, 2) = -1.046797160809721, (678, 3) = .40799745914897656, (679, 1) = 4.769710593224702, (679, 2) = -1.0458225577453764, (679, 3) = .4065192011126638, (680, 1) = 4.767197362554551, (680, 2) = -1.0448469661242827, (680, 3) = .4050429454352166, (681, 1) = 4.764674695093608, (681, 2) = -1.0438703596040029, (681, 3) = .403568658934285, (682, 1) = 4.762142472971435, (682, 2) = -1.0428927117634585, (682, 3) = .40209630719729544, (683, 1) = 4.759600576366173, (683, 2) = -1.041913995855998, (683, 3) = .4006258570692959, (684, 1) = 4.75704888329552, (684, 2) = -1.040934184738679, (684, 3) = .39915727460980716, (685, 1) = 4.754487269921957, (685, 2) = -1.0399532509995417, (685, 3) = .39769052593420173, (686, 1) = 4.751915610590181, (686, 2) = -1.038971166980825, (686, 3) = .3962255769101272, (687, 1) = 4.749333778581941, (687, 2) = -1.037987905074797, (687, 3) = .39476239429847604, (688, 1) = 4.74674164359228, (688, 2) = -1.0370034367713936, (688, 3) = .39330094303604535, (689, 1) = 4.744139073434006, (689, 2) = -1.0360177333208929, (689, 3) = .3918411893469596, (690, 1) = 4.741525934557369, (690, 2) = -1.0350307659390505, (690, 3) = .39038309904790663, (691, 1) = 4.738902091070962, (691, 2) = -1.0340425054452198, (691, 3) = .38892663748292344, (692, 1) = 4.736267404423987, (692, 2) = -1.0330529221547131, (692, 3) = .3874717705235019, (693, 1) = 4.733621733811125, (693, 2) = -1.032061986043421, (693, 3) = .3860184632507293, (694, 1) = 4.730964936479593, (694, 2) = -1.0310696668734487, (694, 3) = .3845666808329726, (695, 1) = 4.728296867333623, (695, 2) = -1.0300759340554806, (695, 3) = .38311638910190315, (696, 1) = 4.725617378954876, (696, 2) = -1.0290807566679336, (696, 3) = .381667552998538, (697, 1) = 4.722926320926308, (697, 2) = -1.0280841032183763, (697, 3) = .3802201370998179, (698, 1) = 4.7202235405328326, (698, 2) = -1.027085941916955, (698, 3) = .3787741068783852, (699, 1) = 4.717508882148559, (699, 2) = -1.026086240462427, (699, 3) = .3773294262729852, (700, 1) = 4.714782188208835, (700, 2) = -1.0250849664132091, (700, 3) = .3758860603078398, (701, 1) = 4.712043298287901, (701, 2) = -1.0240820868596425, (701, 3) = .3744439732759752, (702, 1) = 4.70929204865424, (702, 2) = -1.0230775682762567, (702, 3) = .37300312993345236, (703, 1) = 4.706528272573929, (703, 2) = -1.022071376648767, (703, 3) = .3715634934631058, (704, 1) = 4.703751801503974, (704, 2) = -1.0210634779218128, (704, 3) = .37012502840202927, (705, 1) = 4.700962463617727, (705, 2) = -1.0200538374748744, (705, 3) = .3686876987298629, (706, 1) = 4.698160082721507, (706, 2) = -1.0190424197485233, (706, 3) = .36725146729709196, (707, 1) = 4.6953444809577, (707, 2) = -1.018029189238132, (707, 3) = .3658162981931931, (708, 1) = 4.692515476913593, (708, 2) = -1.0170141098244998, (708, 3) = .3643821542653797, (709, 1) = 4.689672885479834, (709, 2) = -1.0159971447414766, (709, 3) = .3629489985850411, (710, 1) = 4.686816518959811, (710, 2) = -1.0149782569900512, (710, 3) = .3615167942137283, (711, 1) = 4.683946186108653, (711, 2) = -1.0139574090102084, (711, 3) = .36008550396812783, (712, 1) = 4.681061692061813, (712, 2) = -1.0129345626738897, (712, 3) = .3586550901763007, (713, 1) = 4.678162837602284, (713, 2) = -1.0119096790449342, (713, 3) = .3572255148958048, (714, 1) = 4.6752494199094015, (714, 2) = -1.0108827186651863, (714, 3) = .35579673977348264, (715, 1) = 4.672321232678235, (715, 2) = -1.0098536416150323, (715, 3) = .3543687264518865, (716, 1) = 4.6693780664836115, (716, 2) = -1.008822407658796, (716, 3) = .3529414365835087, (717, 1) = 4.666419707455343, (717, 2) = -1.0077889757988423, (717, 3) = .35151483154611557, (718, 1) = 4.663445937243632, (718, 2) = -1.0067533042867367, (718, 3) = .3500888716465346, (719, 1) = 4.66045653423651, (719, 2) = -1.005715351068771, (719, 3) = .34866351856125194, (720, 1) = 4.657451273149817, (720, 2) = -1.0046750736613075, (720, 3) = .3472387330293841, (721, 1) = 4.654429922528986, (721, 2) = -1.0036324283092404, (721, 3) = .34581447449038605, (722, 1) = 4.651392246185741, (722, 2) = -1.0025873705120916, (722, 3) = .3443907028374331, (723, 1) = 4.648338003641615, (723, 2) = -1.0015398552009143, (723, 3) = .34296737708063657, (724, 1) = 4.645266950096042, (724, 2) = -1.0004898367501334, (724, 3) = .3415444565053873, (725, 1) = 4.642178836603332, (725, 2) = -.9994372690607521, (725, 3) = .3401219000735288, (726, 1) = 4.639073408681834, (726, 2) = -.9983821051106139, (726, 3) = .33869966642997673, (727, 1) = 4.635950406482396, (727, 2) = -.9973242970409246, (727, 3) = .337277714081596, (728, 1) = 4.632809566695185, (728, 2) = -.996263796827856, (728, 3) = .335856000653175, (729, 1) = 4.629650618049507, (729, 2) = -.9952005547889262, (729, 3) = .33443448397416164, (730, 1) = 4.626473284904185, (730, 2) = -.9941345208284864, (730, 3) = .333013121063014, (731, 1) = 4.623277285710648, (731, 2) = -.9930656439482325, (731, 3) = .3315918684617863, (732, 1) = 4.620062332136707, (732, 2) = -.9919938719876041, (732, 3) = .3301706824281823, (733, 1) = 4.616828130790328, (733, 2) = -.9909191522324708, (733, 3) = .32874951829051974, (734, 1) = 4.613574382431326, (734, 2) = -.9898414311821647, (734, 3) = .3273283319916425, (735, 1) = 4.610300781657372, (735, 2) = -.9887606544780141, (735, 3) = .3259070790306788, (736, 1) = 4.607007015583487, (736, 2) = -.9876767665033435, (736, 3) = .3244857137895253, (737, 1) = 4.603692764629277, (737, 2) = -.9865897106823568, (737, 3) = .3230641896222371, (738, 1) = 4.600358158422904, (738, 2) = -.9854995783128372, (738, 3) = .32164265449246104, (739, 1) = 4.597010749318951, (739, 2) = -.9844088745878613, (739, 3) = .3202243862982543, (740, 1) = 4.593655804282284, (740, 2) = -.9833193310063892, (740, 3) = .318811629665859, (741, 1) = 4.590294641393454, (741, 2) = -.982231380234994, (741, 3) = .3174049228149714, (742, 1) = 4.586927217968427, (742, 2) = -.9811450109631822, (742, 3) = .3160042286308324, (743, 1) = 4.58355349124474, (743, 2) = -.9800602119971789, (743, 3) = .31460950772746993, (744, 1) = 4.5801734181738345, (744, 2) = -.9789769721928631, (744, 3) = .31322072301119547, (745, 1) = 4.5767869553594895, (745, 2) = -.9778952804365152, (745, 3) = .3118378361735579, (746, 1) = 4.57339405905353, (746, 2) = -.9768151256442543, (746, 3) = .3104608109570133, (747, 1) = 4.56999468515151, (747, 2) = -.9757364967613902, (747, 3) = .30908960928177903, (748, 1) = 4.566588789188308, (748, 2) = -.9746593827618737, (748, 3) = .30772419529281686, (749, 1) = 4.563176326333725, (749, 2) = -.9735837726476615, (749, 3) = .3063645317707833, (750, 1) = 4.559757251387896, (750, 2) = -.9725096554481294, (750, 3) = .30501058300689077, (751, 1) = 4.556331518643736, (751, 2) = -.9714370201778884, (751, 3) = .3036623127904434, (752, 1) = 4.552899081820372, (752, 2) = -.9703658558175982, (752, 3) = .30231968569436507, (753, 1) = 4.54945989455506, (753, 2) = -.9692961514685738, (753, 3) = .3009826656881651, (754, 1) = 4.546013910110568, (754, 2) = -.9682278962615622, (754, 3) = .2996512181077729, (755, 1) = 4.542561081356146, (755, 2) = -.9671610793516773, (755, 3) = .2983253079070615, (756, 1) = 4.539101360762603, (756, 2) = -.9660956899178207, (756, 3) = .2970049006146779, (757, 1) = 4.535634700397275, (757, 2) = -.9650317171620648, (757, 3) = .2956899612308706, (758, 1) = 4.532161051918934, (758, 2) = -.9639691503090674, (758, 3) = .2943804563207785, (759, 1) = 4.528680366572679, (759, 2) = -.9629079786054636, (759, 3) = .2930763514905653, (760, 1) = 4.525192595184458, (760, 2) = -.961848191319223, (760, 3) = .2917776137291565, (761, 1) = 4.521697687889862, (761, 2) = -.9607897776586319, (761, 3) = .29048420845047657, (762, 1) = 4.518195594408852, (762, 2) = -.9597327268574695, (762, 3) = .2891961034827013, (763, 1) = 4.51468626426474, (763, 2) = -.9586770282417175, (763, 3) = .2879132653264972, (764, 1) = 4.511169646539779, (764, 2) = -.9576226711562799, (764, 3) = .28663566114555633, (765, 1) = 4.50764568986947, (765, 2) = -.9565696449643533, (765, 3) = .28536325876415214, (766, 1) = 4.50411434243683, (766, 2) = -.955517939046837, (766, 3) = .2840960258833146, (767, 1) = 4.5005755519665565, (767, 2) = -.9544675428017152, (767, 3) = .2828339305045238, (768, 1) = 4.497029265719065, (768, 2) = -.9534184456434409, (768, 3) = .28157694071405115, (769, 1) = 4.493475430484522, (769, 2) = -.952370637002344, (769, 3) = .28032502460936287, (770, 1) = 4.489913992553027, (770, 2) = -.9513241063170615, (770, 3) = .27907815149387927, (771, 1) = 4.4863448973627, (771, 2) = -.9502788429329648, (771, 3) = .27783628970144036, (772, 1) = 4.4827680901045674, (772, 2) = -.9492348362814552, (772, 3) = .2765994083477075, (773, 1) = 4.479183515609973, (773, 2) = -.9481920758473156, (773, 3) = .2753674763228779, (774, 1) = 4.475591118208073, (774, 2) = -.9471505511280609, (774, 3) = .2741404637932248, (775, 1) = 4.471990841719092, (775, 2) = -.9461102516332808, (775, 3) = .27291834006721355, (776, 1) = 4.468382629447667, (776, 2) = -.945071166884036, (776, 3) = .27170107519088627, (777, 1) = 4.464766424175987, (777, 2) = -.9440332864122248, (777, 3) = .27048863930561556, (778, 1) = 4.46114216815681, (778, 2) = -.942996599759938, (778, 3) = .26928100232546404, (779, 1) = 4.457509803106458, (779, 2) = -.9419610964788456, (779, 3) = .2680781350706991, (780, 1) = 4.4538692701023255, (780, 2) = -.9409267661025309, (780, 3) = .2668800083003622, (781, 1) = 4.450220509311245, (781, 2) = -.9398935980715745, (781, 3) = .26568659284425555, (782, 1) = 4.446563460722672, (782, 2) = -.9388615819432733, (782, 3) = .2644978593849913, (783, 1) = 4.442898063816356, (783, 2) = -.9378307072979846, (783, 3) = .26331377945183176, (784, 1) = 4.4392242574980845, (784, 2) = -.9368009637223587, (784, 3) = .26213432489586985, (785, 1) = 4.435541980091756, (785, 2) = -.9357723408086617, (785, 3) = .26095946664355046, (786, 1) = 4.4318511693315354, (786, 2) = -.9347448281541311, (786, 3) = .25978917728600337, (787, 1) = 4.428151762353755, (787, 2) = -.9337184153603135, (787, 3) = .2586234283052813, (788, 1) = 4.424443695688727, (788, 2) = -.9326930920323925, (788, 3) = .25746219241493307, (789, 1) = 4.420726905252379, (789, 2) = -.9316688477785224, (789, 3) = .2563054416740363, (790, 1) = 4.417001326109398, (790, 2) = -.9306456721465308, (790, 3) = .25515314873513273, (791, 1) = 4.413266892490164, (791, 2) = -.929623554631291, (791, 3) = .2540052861766814, (792, 1) = 4.409523538387465, (792, 2) = -.9286024848398536, (792, 3) = .25286182732752743, (793, 1) = 4.405771197153363, (793, 2) = -.9275824523819013, (793, 3) = .2517227448152183, (794, 1) = 4.402009801481231, (794, 2) = -.926563446866609, (794, 3) = .2505880119789547, (795, 1) = 4.398239283396431, (795, 2) = -.9255454579019219, (795, 3) = .24945760236835354, (796, 1) = 4.39445957424693, (796, 2) = -.9245284750938586, (796, 3) = .24833148981045466, (797, 1) = 4.390670604693763, (797, 2) = -.9235124880458048, (797, 3) = .24720964790839275, (798, 1) = 4.3868723047013045, (798, 2) = -.9224974863578023, (798, 3) = .24609205064100378, (799, 1) = 4.383064603523487, (799, 2) = -.9214834596247942, (799, 3) = .24497867239242133, (800, 1) = 4.379247429272529, (800, 2) = -.9204703973243197, (800, 3) = .24386948687899757, (801, 1) = 4.375420709455535, (801, 2) = -.9194582889621093, (801, 3) = .24276446862277212, (802, 1) = 4.371584371126974, (802, 2) = -.9184471241136403, (802, 3) = .24166359262625617, (803, 1) = 4.367738340592666, (803, 2) = -.9174368923472634, (803, 3) = .240566833357428, (804, 1) = 4.363882543399108, (804, 2) = -.9164275832234875, (804, 3) = .23947416541996114, (805, 1) = 4.360016904322435, (805, 2) = -.9154191862942117, (805, 3) = .23838556443639802, (806, 1) = 4.356141347357188, (806, 2) = -.9144116911019547, (806, 3) = .23730100523198747, (807, 1) = 4.352255795704924, (807, 2) = -.9134050871790855, (807, 3) = .2362204634280334, (808, 1) = 4.348360171762686, (808, 2) = -.912399364047057, (808, 3) = .23514391451352026, (809, 1) = 4.344454397055877, (809, 2) = -.9113945112014317, (809, 3) = .23407133424248466, (810, 1) = 4.340538391748515, (810, 2) = -.9103905179890492, (810, 3) = .23300269789099964, (811, 1) = 4.3366120755729645, (811, 2) = -.9093873738498581, (811, 3) = .23193798197046386, (812, 1) = 4.332675367561429, (812, 2) = -.9083850682491956, (812, 3) = .2308771619813308, (813, 1) = 4.328728185879407, (813, 2) = -.9073835906373322, (813, 3) = .22982021461465518, (814, 1) = 4.324770447812782, (814, 2) = -.9063829304486521, (814, 3) = .22876711611279435, (815, 1) = 4.3208020697546266, (815, 2) = -.905383077100816, (815, 3) = .22771784297406938, (816, 1) = 4.316822967191742, (816, 2) = -.9043840199939162, (816, 3) = .22667237187595538, (817, 1) = 4.312833054690917, (817, 2) = -.9033857485095954, (817, 3) = .22563067952711416, (818, 1) = 4.308832245885122, (818, 2) = -.9023882520102335, (818, 3) = .22459274319421393, (819, 1) = 4.304820453277701, (819, 2) = -.9013915197930212, (819, 3) = .22355853937478265, (820, 1) = 4.300797587938624, (820, 2) = -.9003955410183838, (820, 3) = .22252804590433026, (821, 1) = 4.296763560527966, (821, 2) = -.8994003049668072, (821, 3) = .22150123905723362, (822, 1) = 4.292718280767673, (822, 2) = -.8984058009095313, (822, 3) = .22047809726226822, (823, 1) = 4.288661657370977, (823, 2) = -.8974120180938663, (823, 3) = .21945859737858642, (824, 1) = 4.284593598026719, (824, 2) = -.8964189457422715, (824, 3) = .21844271742375668, (825, 1) = 4.280514009383442, (825, 2) = -.8954265730514083, (825, 3) = .21743043521730718, (826, 1) = 4.276422797033144, (826, 2) = -.8944348891911942, (826, 3) = .21642172865788176, (827, 1) = 4.272319865494566, (827, 2) = -.8934438833038021, (827, 3) = .21541657585813118, (828, 1) = 4.268205118196548, (828, 2) = -.8924535445027405, (828, 3) = .21441495485343387, (829, 1) = 4.264078457053707, (829, 2) = -.891463861774402, (829, 3) = .21341684455624108, (830, 1) = 4.259939782677171, (830, 2) = -.8904748240332468, (830, 3) = .2124222220762685, (831, 1) = 4.255788995082733, (831, 2) = -.8894864202941329, (831, 3) = .2114310667182602, (832, 1) = 4.251625993127629, (832, 2) = -.8884986395398656, (832, 3) = .21044335711194825, (833, 1) = 4.247450674488323, (833, 2) = -.8875114707193014, (833, 3) = .20945907184180867, (834, 1) = 4.243262935641344, (834, 2) = -.8865249027462534, (834, 3) = .2084781897584851, (835, 1) = 4.2390626718439215, (835, 2) = -.8855389244984214, (835, 3) = .20750069000598925, (836, 1) = 4.234849777114218, (836, 2) = -.8845535248163109, (836, 3) = .2065265513739171, (837, 1) = 4.2306241442109345, (837, 2) = -.8835686925020769, (837, 3) = .20555575335418727, (838, 1) = 4.226385664594851, (838, 2) = -.8825844163142648, (838, 3) = .20458827523661685, (839, 1) = 4.22213422773428, (839, 2) = -.8816006848111849, (839, 3) = .20362409613036306, (840, 1) = 4.217869722089888, (840, 2) = -.8806174865842115, (840, 3) = .2026631955288246, (841, 1) = 4.213592035132105, (841, 2) = -.8796348102643123, (841, 3) = .2017055532460861, (842, 1) = 4.209301052963044, (842, 2) = -.8786526444380995, (842, 3) = .2007511484021907, (843, 1) = 4.204996660293884, (843, 2) = -.877670977646671, (843, 3) = .1997999614023524, (844, 1) = 4.20067874042131, (844, 2) = -.8766897983843285, (844, 3) = .1988519717603352, (845, 1) = 4.196347175203693, (845, 2) = -.8757090950973292, (845, 3) = .19790715979301737, (846, 1) = 4.192001845036856, (846, 2) = -.8747288561826292, (846, 3) = .1969655052958766, (847, 1) = 4.187642628829004, (847, 2) = -.8737490699865431, (847, 3) = .1960269887753025, (848, 1) = 4.1832694038511145, (848, 2) = -.8727697247756621, (848, 3) = .19509159014128485, (849, 1) = 4.178882045037736, (849, 2) = -.8717908085860705, (849, 3) = .19415928968580265, (850, 1) = 4.174480426454627, (850, 2) = -.8708123095567896, (850, 3) = .19323006796711253, (851, 1) = 4.17006442075271, (851, 2) = -.8698342158107925, (851, 3) = .19230390553978705, (852, 1) = 4.1656338989609365, (852, 2) = -.8688565154133435, (852, 3) = .1913807828302636, (853, 1) = 4.161188730458348, (853, 2) = -.8678791963706314, (853, 3) = .1904606804089803, (854, 1) = 4.156728782944967, (854, 2) = -.8669022466282771, (854, 3) = .1895435796526908, (855, 1) = 4.152253922412226, (855, 2) = -.86592565406983, (855, 3) = .18862946099146138, (856, 1) = 4.147764013112896, (856, 2) = -.864949406515289, (856, 3) = .18771830524538516, (857, 1) = 4.143258917530107, (857, 2) = -.8639734917195434, (857, 3) = .1868100940019619, (858, 1) = 4.138738495987889, (858, 2) = -.8629978972936987, (858, 3) = .1859048077440915, (859, 1) = 4.13420260634944, (859, 2) = -.862022610647092, (859, 3) = .18500242767393227, (860, 1) = 4.129651105489551, (860, 2) = -.8610476193100564, (860, 3) = .18410293542166092, (861, 1) = 4.125083848433031, (861, 2) = -.8600729107523869, (861, 3) = .18320631175212507, (862, 1) = 4.120500688267696, (862, 2) = -.8590984723703222, (862, 3) = .18231253833882524, (863, 1) = 4.11590147610936, (863, 2) = -.8581242914848907, (863, 3) = .18142159675442213, (864, 1) = 4.111286061065581, (864, 2) = -.8571503553401304, (864, 3) = .18053346834862152, (865, 1) = 4.106654290198627, (865, 2) = -.8561766511012953, (865, 3) = .1796481348005365, (866, 1) = 4.102006008487653, (866, 2) = -.855203165853038, (866, 3) = .17876557796038292, (867, 1) = 4.097341058790205, (867, 2) = -.8542298865975978, (867, 3) = .17788577937123676, (868, 1) = 4.09265928103487, (868, 2) = -.8532568000936427, (868, 3) = .17700872063272444, (869, 1) = 4.087960512883795, (869, 2) = -.8522838930026625, (869, 3) = .17613438389857689, (870, 1) = 4.083244590520871, (870, 2) = -.8513111520580603, (870, 3) = .17526275072334777, (871, 1) = 4.078511347841942, (871, 2) = -.8503385639027574, (871, 3) = .1743938032419346, (872, 1) = 4.073760616410592, (872, 2) = -.8493661150870124, (872, 3) = .17352752336923355, (873, 1) = 4.068992225413803, (873, 2) = -.8483937920663747, (873, 3) = .17266389345591354, (874, 1) = 4.064206001616206, (874, 2) = -.8474215811995447, (874, 3) = .17180289573602758, (875, 1) = 4.059401769313348, (875, 2) = -.8464494687461966, (875, 3) = .17094451202281447, (876, 1) = 4.054579350283528, (876, 2) = -.8454774408647032, (876, 3) = .1700887247179997, (877, 1) = 4.049738563678806, (877, 2) = -.8445054835978698, (877, 3) = .16923551651638213, (878, 1) = 4.044879224856194, (878, 2) = -.8435335826475612, (878, 3) = .16838486890954107, (879, 1) = 4.040001147195793, (879, 2) = -.8425617237486857, (879, 3) = .1675367647778009, (880, 1) = 4.0351041418240765, (880, 2) = -.8415898926197262, (880, 3) = .16669118642456437, (881, 1) = 4.030188017089763, (881, 2) = -.8406180748657339, (881, 3) = .16584811655883608, (882, 1) = 4.025252578507887, (882, 2) = -.8396462559757173, (882, 3) = .16500753738329887, (883, 1) = 4.02029762870287, (883, 2) = -.8386744213200715, (883, 3) = .1641694315288156, (884, 1) = 4.015322967350149, (884, 2) = -.8377025561479411, (884, 3) = .16333378199384865, (885, 1) = 4.010328391116506, (885, 2) = -.8367306455845566, (885, 3) = .16250057094680026, (886, 1) = 4.005313693598031, (886, 2) = -.8357586746283587, (886, 3) = .16166978136864749, (887, 1) = 4.0002786649715185, (887, 2) = -.8347866280931475, (887, 3) = .16084139601535827, (888, 1) = 3.9952230909498865, (888, 2) = -.8338144904182273, (888, 3) = .16001539728904424, (889, 1) = 3.9901467552217764, (889, 2) = -.8328422461492856, (889, 3) = .15919176814334593, (890, 1) = 3.9850494383573416, (890, 2) = -.8318698797352447, (890, 3) = .15837049118743238, (891, 1) = 3.9799309175207753, (891, 2) = -.8308973754830967, (891, 3) = .15755154930841792, (892, 1) = 3.974790966398588, (892, 2) = -.8299247175547391, (892, 3) = .15673492560505312, (893, 1) = 3.969629355125765, (893, 2) = -.8289518899636978, (893, 3) = .1559206027877565, (894, 1) = 3.964445850210091, (894, 2) = -.8279788765718085, (894, 3) = .1551085638564518, (895, 1) = 3.9592402144550465, (895, 2) = -.8270056610859189, (895, 3) = .1542987916412656, (896, 1) = 3.9540122068789962, (896, 2) = -.8260322270542233, (896, 3) = .15349126940712815, (897, 1) = 3.9487615818786863, (897, 2) = -.8250585577230493, (897, 3) = .1526859799973861, (898, 1) = 3.9434880890453643, (898, 2) = -.8240846360176922, (898, 3) = .15188290600346935, (899, 1) = 3.938191475381353, (899, 2) = -.8231104449646199, (899, 3) = .15108203039693585, (900, 1) = 3.932871483803468, (900, 2) = -.8221359674248423, (900, 3) = .15028333627758936, (901, 1) = 3.9275278530059285, (901, 2) = -.821161186081503, (901, 3) = .14948680695668753, (902, 1) = 3.922160317366879, (902, 2) = -.8201860834359451, (902, 3) = .14869242513544248, (903, 1) = 3.916768606851486, (903, 2) = -.8192106418035389, (903, 3) = .14790017403545896, (904, 1) = 3.9113524469123337, (904, 2) = -.8182348433094013, (904, 3) = .1471100366811566, (905, 1) = 3.905911558388191, (905, 2) = -.8172586698842333, (905, 3) = .1463219961404361, (906, 1) = 3.9004456573906245, (906, 2) = -.8162821032583853, (906, 3) = .14553603536944798, (907, 1) = 3.894954453649769, (907, 2) = -.81530512468282, (907, 3) = .14475213760335254, (908, 1) = 3.8894376522296352, (908, 2) = -.8143277152531607, (908, 3) = .1439702851393879, (909, 1) = 3.8838949542819803, (909, 2) = -.8133498560567232, (909, 3) = .1431904612232721, (910, 1) = 3.878326055781369, (910, 2) = -.8123715279622342, (910, 3) = .14241264907989867, (911, 1) = 3.8727306474025274, (911, 2) = -.8113927116145415, (911, 3) = .14163683171861347, (912, 1) = 3.8671084143961783, (912, 2) = -.8104133874295743, (912, 3) = .14086299173783612, (913, 1) = 3.8614590364600723, (913, 2) = -.8094335355889632, (913, 3) = .1400911127968976, (914, 1) = 3.855782187605831, (914, 2) = -.8084531360344552, (914, 3) = .1393211770727143, (915, 1) = 3.8500775360234987, (915, 2) = -.8074721684624876, (915, 3) = .13855316800743447, (916, 1) = 3.8443447437531124, (916, 2) = -.8064906122863301, (916, 3) = .13778706849815145, (917, 1) = 3.8385834645383103, (917, 2) = -.8055084462903815, (917, 3) = .13702286100532063, (918, 1) = 3.832793347379439, (918, 2) = -.8045256492592525, (918, 3) = .1362605283324531, (919, 1) = 3.8269740355381203, (919, 2) = -.8035421998240001, (919, 3) = .13550005319872194, (920, 1) = 3.8211251656975915, (920, 2) = -.8025580763388822, (920, 3) = .13474141837568285, (921, 1) = 3.815246367796579, (921, 2) = -.8015732568743681, (921, 3) = .1339846066869797, (922, 1) = 3.8093372648610275, (922, 2) = -.8005877192104665, (922, 3) = .13322960068748196, (923, 1) = 3.803397472829447, (923, 2) = -.7996014408296857, (923, 3) = .13247638347620844, (924, 1) = 3.7974266003719688, (924, 2) = -.7986143989096707, (924, 3) = .13172493716246222, (925, 1) = 3.7914242487051024, (925, 2) = -.7976265703158765, (925, 3) = .13097524459763768, (926, 1) = 3.785390010685219, (926, 2) = -.7966379314770964, (926, 3) = .13022728799154198, (927, 1) = 3.779323469113713, (927, 2) = -.7956484581366379, (927, 3) = .12948104939227062, (928, 1) = 3.7732242011541395, (928, 2) = -.7946581261010582, (928, 3) = .12873651155274313, (929, 1) = 3.7670917759804294, (929, 2) = -.7936669108777684, (929, 3) = .12799365645924227, (930, 1) = 3.760925754276727, (930, 2) = -.792674787620193, (930, 3) = .1272524660400948, (931, 1) = 3.754725688008792, (931, 2) = -.7916817311184817, (931, 3) = .1265129231330174, (932, 1) = 3.7484911201910176, (932, 2) = -.7906877157904519, (932, 3) = .12577500914754722, (933, 1) = 3.74222158464492, (933, 2) = -.7896927156721726, (933, 3) = .12503870662508362, (934, 1) = 3.7359166057488578, (934, 2) = -.7886967044081531, (934, 3) = .1243039974621551, (935, 1) = 3.729575698178729, (935, 2) = -.787699655241161, (935, 3) = .1235708629766687, (936, 1) = 3.7231983648451776, (936, 2) = -.786701540721536, (936, 3) = .12283928490461639, (937, 1) = 3.7167840972250312, (937, 2) = -.7857023327975633, (937, 3) = .12210924493859907, (938, 1) = 3.710332378913779, (938, 2) = -.784702003402593, (938, 3) = .12138072426417151, (939, 1) = 3.703842682691036, (939, 2) = -.7837005240278412, (939, 3) = .12065370400468049, (940, 1) = 3.697314470184231, (940, 2) = -.782697865706109, (940, 3) = .119928166106847, (941, 1) = 3.690747191547686, (941, 2) = -.7816939989992683, (941, 3) = .1192040914981859, (942, 1) = 3.6841402851326355, (942, 2) = -.7806888939857323, (942, 3) = .11848146097530513, (943, 1) = 3.6774931771449197, (943, 2) = -.7796825202474622, (943, 3) = .11776025566071609, (944, 1) = 3.6708052812915, (944, 2) = -.7786748468567414, (944, 3) = .11704045621176642, (945, 1) = 3.66407599834628, (945, 2) = -.7776658423523855, (945, 3) = .11632204341558726, (946, 1) = 3.6573047123166056, (946, 2) = -.7766554742118172, (946, 3) = .11560499753762693, (947, 1) = 3.6504907947841714, (947, 2) = -.7756437095506622, (947, 3) = .11488929833857825, (948, 1) = 3.643633605231083, (948, 2) = -.7746305152115801, (948, 3) = .11417492645745049, (949, 1) = 3.6367324886296455, (949, 2) = -.7736158574503107, (949, 3) = .11346186141779255, (950, 1) = 3.62978677500189, (950, 2) = -.7725997019196928, (950, 3) = .11275008321439788, (951, 1) = 3.6227957789577365, (951, 2) = -.7715820136524716, (951, 3) = .11203957179536377, (952, 1) = 3.6157587992158855, (952, 2) = -.7705627570436027, (952, 3) = .11133030628812245, (953, 1) = 3.6086751181048506, (953, 2) = -.7695418958317819, (953, 3) = .11062226595724992, (954, 1) = 3.601544001050187, (954, 2) = -.7685193930811595, (954, 3) = .10991543001982347, (955, 1) = 3.5943646954177133, (955, 2) = -.7674952110736497, (955, 3) = .10920977729082039, (956, 1) = 3.5871364258357032, (956, 2) = -.7664693107078298, (956, 3) = .10850528577292509, (957, 1) = 3.5798584020157915, (957, 2) = -.7654416526785766, (957, 3) = .10780193395450888, (958, 1) = 3.5725298155968956, (958, 2) = -.7644121970845492, (958, 3) = .10709969977420251, (959, 1) = 3.5651498383569136, (959, 2) = -.7633809032401232, (959, 3) = .10639856141580978, (960, 1) = 3.5577176215541018, (960, 2) = -.7623477296517932, (960, 3) = .10569849606657862, (961, 1) = 3.550232295241451, (961, 2) = -.7613126339937705, (961, 3) = .10499948168278399, (962, 1) = 3.542692967551032, (962, 2) = -.7602755730824827, (962, 3) = .10430149508421593, (963, 1) = 3.5350987239436207, (963, 2) = -.7592365028495268, (963, 3) = .10360451301714678, (964, 1) = 3.527448626439968, (964, 2) = -.7581953783154726, (964, 3) = .10290851200185698, (965, 1) = 3.519741710699545, (965, 2) = -.7571521532765059, (965, 3) = .10221346828594301, (966, 1) = 3.511976982703008, (966, 2) = -.7561067799507761, (966, 3) = .10151935695267195, (967, 1) = 3.5041534279504205, (967, 2) = -.7550592103106775, (967, 3) = .10082615359721192, (968, 1) = 3.4962700053964824, (968, 2) = -.7540093953479066, (968, 3) = .10013383335646323, (969, 1) = 3.488325646060507, (969, 2) = -.7529572849826484, (969, 3) = 0.9944237112912387e-1, (970, 1) = 3.480319252008333, (970, 2) = -.7519028280278632, (970, 3) = 0.9875174124511953e-1, (971, 1) = 3.4722496952960626, (971, 2) = -.7508459721532149, (971, 3) = 0.9806191772242444e-1, (972, 1) = 3.4641158168636377, (972, 2) = -.7497866638473107, (972, 3) = 0.9737287411166187e-1, (973, 1) = 3.455916425365824, (973, 2) = -.7487248483769302, (973, 3) = 0.966845837755455e-1, (974, 1) = 3.447650295972863, (974, 2) = -.7476604697477275, (974, 3) = 0.9599701965806805e-1, (975, 1) = 3.4393161638014718, (975, 2) = -.7465934699849848, (975, 3) = 0.9531015306231787e-1, (976, 1) = 3.430912726243072, (976, 2) = -.7455237895729435, (976, 3) = 0.9462395571560839e-1, (977, 1) = 3.4224386490159646, (977, 2) = -.7444513683540807, (977, 3) = 0.9393839867428519e-1, (978, 1) = 3.413892558793868, (978, 2) = -.7433761447179665, (978, 3) = 0.932534527814449e-1, (979, 1) = 3.4052730416629333, (979, 2) = -.742298055549961, (979, 3) = 0.925690881465148e-1, (980, 1) = 3.3965786414879373, (980, 2) = -.7412170361759102, (980, 3) = 0.918852747933986e-1, (981, 1) = 3.3878078582120703, (981, 2) = -.7401330203063489, (981, 3) = 0.9120198100705484e-1, (982, 1) = 3.378959146072118, (982, 2) = -.7390459399784055, (982, 3) = 0.905191758702132e-1, (983, 1) = 3.3700309117007734, (983, 2) = -.737955725492434, (983, 3) = 0.898368268148359e-1, (984, 1) = 3.3610215117853217, (984, 2) = -.7368623053040342, (984, 3) = 0.8915490106750378e-1, (985, 1) = 3.3519292412617836, (985, 2) = -.7357656047890863, (985, 3) = 0.8847336416769427e-1, (986, 1) = 3.3427523457981128, (986, 2) = -.7346655479649394, (986, 3) = 0.8779218174032176e-1, (987, 1) = 3.3334890191407585, (987, 2) = -.7335620573589823, (987, 3) = 0.8711131832095866e-1, (988, 1) = 3.324137396263096, (988, 2) = -.7324550533945144, (988, 3) = 0.8643073821435335e-1, (989, 1) = 3.3146955508088034, (989, 2) = -.7313444543118856, (989, 3) = 0.8575040432570097e-1, (990, 1) = 3.305161492344388, (990, 2) = -.7302301760799329, (990, 3) = 0.8507027918302915e-1, (991, 1) = 3.2955331634780425, (991, 2) = -.7291121323054557, (991, 3) = 0.8439032455256393e-1, (992, 1) = 3.285808436824046, (992, 2) = -.7279902341391515, (992, 3) = 0.8371050038399871e-1, (993, 1) = 3.2759851117656837, (993, 2) = -.7268643901736278, (993, 3) = 0.8303076665264408e-1, (994, 1) = 3.2660609085401235, (994, 2) = -.7257345060536596, (994, 3) = 0.8235108153007695e-1, (995, 1) = 3.2560334533121416, (995, 2) = -.7246004830993068, (995, 3) = 0.8167140140397555e-1, (996, 1) = 3.245900299555387, (996, 2) = -.7234622210636649, (996, 3) = 0.8099168210254895e-1, (997, 1) = 3.235658914992138, (997, 2) = -.7223196169654039, (997, 3) = 0.8031187879213024e-1, (998, 1) = 3.225306674623828, (998, 2) = -.7211725646555778, (998, 3) = 0.796319449737305e-1, (999, 1) = 3.2148408561839226, (999, 2) = -.7200209546842852, (999, 3) = 0.7895183305238608e-1, (1000, 1) = 3.2042586352341287, (1000, 2) = -.7188646741519209, (1000, 3) = 0.7827149443372045e-1, (1001, 1) = 3.1935570799686492, (1001, 2) = -.7177036065542065, (1001, 3) = 0.775908781100114e-1, (1002, 1) = 3.1827331456965684, (1002, 2) = -.7165376316197157, (1002, 3) = 0.7690993244661307e-1, (1003, 1) = 3.1717836689660137, (1003, 2) = -.7153666251380885, (1003, 3) = 0.7622860393773556e-1, (1004, 1) = 3.16070535263585, (1004, 2) = -.7141904578616121, (1004, 3) = 0.7554683676369392e-1, (1005, 1) = 3.149494754227805, (1005, 2) = -.7130089948250421, (1005, 3) = 0.7486457247802836e-1, (1006, 1) = 3.1381483097407883, (1006, 2) = -.7118220984203636, (1006, 3) = 0.7418175220554012e-1, (1007, 1) = 3.1266623090814156, (1007, 2) = -.7106296263600643, (1007, 3) = 0.7349831483035514e-1, (1008, 1) = 3.115032886899379, (1008, 2) = -.7094314313422542, (1008, 3) = 0.7281419707442047e-1, (1009, 1) = 3.1032560138419183, (1009, 2) = -.7082273608075482, (1009, 3) = 0.7212933425317367e-1, (1010, 1) = 3.091327487099076, (1010, 2) = -.7070172566720992, (1010, 3) = 0.7144365799193825e-1, (1011, 1) = 3.0792429202726743, (1011, 2) = -.70580095504485, (1011, 3) = 0.7075709883736417e-1, (1012, 1) = 3.0669977324738897, (1012, 2) = -.704578285924166, (1012, 3) = 0.700695839915531e-1, (1013, 1) = 3.054587136719516, (1013, 2) = -.7033490728860979, (1013, 3) = 0.6938103790604062e-1, (1014, 1) = 3.0420061033626933, (1014, 2) = -.7021131303954071, (1014, 3) = 0.6869138128447388e-1, (1015, 1) = 3.029249368430372, (1015, 2) = -.7008702656616782, (1015, 3) = 0.6800053139481475e-1, (1016, 1) = 3.0163114396197144, (1016, 2) = -.6996202802416656, (1016, 3) = 0.673084034718721e-1, (1017, 1) = 3.003186561049119, (1017, 2) = -.6983629676901879, (1017, 3) = 0.6661490890171046e-1, (1018, 1) = 2.989868695905927, (1018, 2) = -.6970981130899891, (1018, 3) = 0.6591995565603959e-1, (1019, 1) = 2.9763515078634617, (1019, 2) = -.6958254925674257, (1019, 3) = 0.6522344830476319e-1, (1020, 1) = 2.962628340832095, (1020, 2) = -.6945448727627999, (1020, 3) = 0.6452528614119238e-1, (1021, 1) = 2.948693761526925, (1021, 2) = -.6932561543027344, (1021, 3) = 0.6382544234382644e-1, (1022, 1) = 2.9345961171093253, (1022, 2) = -.6919641614144931, (1022, 3) = 0.6312654494571122e-1, (1023, 1) = 2.9204554415770803, (1023, 2) = -.6906800348793191, (1023, 3) = 0.62434579340688835e-1, (1024, 1) = 2.9063408882656208, (1024, 2) = -.6894099577071953, (1024, 3) = 0.6175278933903194e-1, (1025, 1) = 2.8922521719143797, (1025, 2) = -.6881537240279098, (1025, 3) = 0.6108095450864924e-1, (1026, 1) = 2.8781890114280695, (1026, 2) = -.6869111324199191, (1026, 3) = 0.6041885997057327e-1, (1027, 1) = 2.864151129786936, (1027, 2) = -.6856819857889158, (1027, 3) = 0.5976629756798894e-1, (1028, 1) = 2.8501382539594537, (1028, 2) = -.6844660912504317, (1028, 3) = 0.591230638753422e-1, (1029, 1) = 2.8361501148173796, (1029, 2) = -.6832632600163451, (1029, 3) = 0.5848896154701137e-1, (1030, 1) = 2.8221864470530984, (1030, 2) = -.6820733072851219, (1030, 3) = 0.57863798571488254e-1, (1031, 1) = 2.8082469890991635, (1031, 2) = -.6808960521356459, (1031, 3) = 0.5724738688720724e-1, (1032, 1) = 2.7943314830499935, (1032, 2) = -.6797313174245226, (1032, 3) = 0.5663954533231018e-1, (1033, 1) = 2.780439674585604, (1033, 2) = -.6785789296866873, (1033, 3) = 0.56040095634053835e-1, (1034, 1) = 2.7665713128973706, (1034, 2) = -.6774387190392258, (1034, 3) = 0.5544886564445204e-1, (1035, 1) = 2.7527261506157163, (1035, 2) = -.6763105190882629, (1035, 3) = 0.54865686538943595e-1, (1036, 1) = 2.738903943739664, (1036, 2) = -.6751941668388168, (1036, 3) = 0.54290394206803316e-1, (1037, 1) = 2.7251044515682126, (1037, 2) = -.674089502607508, (1037, 3) = 0.537228294702946e-1, (1038, 1) = 2.711327436633475, (1038, 2) = -.6729963699379985, (1038, 3) = 0.5316283610255445e-1, (1039, 1) = 2.6975726646355054, (1039, 2) = -.6719146155190918, (1039, 3) = 0.5261026214923877e-1, (1040, 1) = 2.6838399043787895, (1040, 2) = -.6708440891053701, (1040, 3) = 0.5206496022090164e-1, (1041, 1) = 2.6701289277103157, (1041, 2) = -.6697846434402797, (1041, 3) = 0.5152678529990072e-1, (1042, 1) = 2.656439509459221, (1042, 2) = -.6687361341815952, (1042, 3) = 0.50995597307187855e-1, (1043, 1) = 2.6427714273779017, (1043, 2) = -.6676984198291477, (1043, 3) = 0.50471258697419634e-1, (1044, 1) = 2.6291244620846217, (1044, 2) = -.6666713616547588, (1044, 3) = 0.4995363574842639e-1, (1045, 1) = 2.6154983970075003, (1045, 2) = -.6656548236342896, (1045, 3) = 0.4944259789786616e-1, (1046, 1) = 2.6018930183298785, (1046, 2) = -.6646486723817344, (1046, 3) = 0.4893801771976776e-1, (1047, 1) = 2.5883081149370155, (1047, 2) = -.6636527770852816, (1047, 3) = 0.4843977065302928e-1, (1048, 1) = 2.5747434783640815, (1048, 2) = -.662667009445288, (1048, 3) = 0.4794773608009967e-1, (1049, 1) = 2.5611989027453714, (1049, 2) = -.6616912436140676, (1049, 3) = 0.47461794570404114e-1, (1050, 1) = 2.547674184764775, (1050, 2) = -.6607253561374784, (1050, 3) = 0.46981831339693414e-1, (1051, 1) = 2.5341691236073847, (1051, 2) = -.6597692258981954, (1051, 3) = 0.4650773313933322e-1, (1052, 1) = 2.520683520912267, (1052, 2) = -.6588227340606521, (1052, 3) = 0.4603939008288285e-1, (1053, 1) = 2.5072171807263413, (1053, 2) = -.6578857640175657, (1053, 3) = 0.4557669399253443e-1, (1054, 1) = 2.4937699094593313, (1054, 2) = -.6569582013380137, (1054, 3) = 0.4511953976491535e-1, (1055, 1) = 2.480341515839774, (1055, 2) = -.6560399337169933, (1055, 3) = 0.4466782510358356e-1, (1056, 1) = 2.466931810872032, (1056, 2) = -.6551308509264155, (1056, 3) = 0.44221449221978286e-1, (1057, 1) = 2.453540607794301, (1057, 2) = -.6542308447675003, (1057, 3) = 0.437803141394999e-1, (1058, 1) = 2.440167722037579, (1058, 2) = -.6533398090245097, (1058, 3) = 0.4334432430872842e-1, (1059, 1) = 2.4268129711855653, (1059, 2) = -.6524576394197766, (1059, 3) = 0.4291338567477787e-1, (1060, 1) = 2.4134761749354645, (1060, 2) = -.6515842335700027, (1060, 3) = 0.4248740725670805e-1, (1061, 1) = 2.4001571550596847, (1061, 2) = -.650719490943756, (1061, 3) = 0.4206629875147623e-1, (1062, 1) = 2.3868557353683637, (1062, 2) = -.6498633128201632, (1062, 3) = 0.4164997321709974e-1, (1063, 1) = 2.3735717416727655, (1063, 2) = -.64901560224872, (1063, 3) = 0.41238344428720645e-1, (1064, 1) = 2.3603050017494644, (1064, 2) = -.6481762640102218, (1064, 3) = 0.4083132959799707e-1, (1065, 1) = 2.3470553453053187, (1065, 2) = -.6473452045787427, (1065, 3) = 0.40428846090548476e-1, (1066, 1) = 2.3338226039432213, (1066, 2) = -.6465223320846605, (1066, 3) = 0.4003081453670031e-1, (1067, 1) = 2.320606611128583, (1067, 2) = -.6457075562786679, (1067, 3) = 0.396371555850947e-1, (1068, 1) = 2.307407202156556, (1068, 2) = -.6449007884967682, (1068, 3) = 0.3924779351129752e-1, (1069, 1) = 2.294224214119955, (1069, 2) = -.6441019416261848, (1069, 3) = 0.3886265251031263e-1, (1070, 1) = 2.281057485877868, (1070, 2) = -.6433109300722026, (1070, 3) = 0.38481660128201915e-1, (1071, 1) = 2.267906858024934, (1071, 2) = -.6425276697258648, (1071, 3) = 0.3810474366173179e-1, (1072, 1) = 2.254772172861284, (1072, 2) = -.6417520779325442, (1072, 3) = 0.3773183288023407e-1, (1073, 1) = 2.241653274363096, (1073, 2) = -.6409840734613235, (1073, 3) = 0.3736285926711988e-1, (1074, 1) = 2.2285500081537912, (1074, 2) = -.6402235764751839, (1074, 3) = 0.3699775522614819e-1, (1075, 1) = 2.2154622214758093, (1075, 2) = -.639470508501964, (1075, 3) = 0.3663645442447335e-1, (1076, 1) = 2.2023897631629947, (1076, 2) = -.6387247924060816, (1076, 3) = 0.3627889305938215e-1, (1077, 1) = 2.1893324836135304, (1077, 2) = -.6379863523609682, (1077, 3) = 0.35925006685705474e-1, (1078, 1) = 2.1762902347634387, (1078, 2) = -.6372551138222293, (1078, 3) = 0.3557473407573792e-1, (1079, 1) = 2.163262870060627, (1079, 2) = -.6365310035014743, (1079, 3) = 0.3522801422470941e-1, (1080, 1) = 2.150250244439461, (1080, 2) = -.6358139493408247, (1080, 3) = 0.34884787689494594e-1, (1081, 1) = 2.137252214295845, (1081, 2) = -.6351038804880602, (1081, 3) = 0.3454499540586971e-1, (1082, 1) = 2.1242686374628126, (1082, 2) = -.634400727272399, (1082, 3) = 0.34208581057635905e-1, (1083, 1) = 2.111299373186601, (1083, 2) = -.6337044211808766, (1083, 3) = 0.3387548840261162e-1, (1084, 1) = 2.098344282103207, (1084, 2) = -.633014894835323, (1084, 3) = 0.33545662257027556e-1, (1085, 1) = 2.0854032262154094, (1085, 2) = -.6323320819699131, (1085, 3) = 0.3321904919599114e-1, (1086, 1) = 2.072476068870228, (1086, 2) = -.6316559174092681, (1086, 3) = 0.32895595945566375e-1, (1087, 1) = 2.0595626747368563, (1087, 2) = -.6309863370471035, (1087, 3) = 0.3257525129118939e-1, (1088, 1) = 2.0466629097849913, (1088, 2) = -.6303232778253981, (1088, 3) = 0.3225796365324438e-1, (1089, 1) = 2.033776641263616, (1089, 2) = -.6296666777140775, (1089, 3) = 0.31943684523050596e-1, (1090, 1) = 2.0209037376801597, (1090, 2) = -.6290164756911841, (1090, 3) = 0.31632363907807125e-1, (1091, 1) = 2.008044068780092, (1091, 2) = -.6283726117235416, (1091, 3) = 0.3132395444174183e-1, (1092, 1) = 1.99519750552688, (1092, 2) = -.6277350267478775, (1092, 3) = 0.3101840910445237e-1, (1093, 1) = 1.9823639200823444, (1093, 2) = -.6271036626524027, (1093, 3) = 0.30715681958316688e-1, (1094, 1) = 1.9695431857873797, (1094, 2) = -.6264784622588317, (1094, 3) = 0.30415727358853752e-1, (1095, 1) = 1.956735177143042, (1095, 2) = -.6258593693048417, (1095, 3) = 0.3011850150932851e-1, (1096, 1) = 1.9439397697919847, (1096, 2) = -.6252463284269335, (1096, 3) = 0.29823960747989774e-1, (1097, 1) = 1.9311568405002533, (1097, 2) = -.6246392851437106, (1097, 3) = 0.29532062037484336e-1, (1098, 1) = 1.918391850764444, (1098, 2) = -.624038447490266, (1098, 3) = 0.2924288956010215e-1, (1099, 1) = 1.9057289342999195, (1099, 2) = -.6234476691293935, (1099, 3) = 0.28958283927340556e-1, (1100, 1) = 1.893263007717996, (1100, 2) = -.6228711636788272, (1100, 3) = 0.28680270608598152e-1, (1101, 1) = 1.8810206634522373, (1101, 2) = -.6223098779953391, (1101, 3) = 0.2840930613382361e-1, (1102, 1) = 1.868994092311803, (1102, 2) = -.6217631674861644, (1102, 3) = 0.2814508178796085e-1, (1103, 1) = 1.8571759064419133, (1103, 2) = -.621230426203382, (1103, 3) = 0.2788730758982778e-1, (1104, 1) = 1.845559101556719, (1104, 2) = -.6207110835219171, (1104, 3) = 0.2763571163288412e-1, (1105, 1) = 1.8341370178361938, (1105, 2) = -.6202046009370928, (1105, 3) = 0.27390037183118218e-1, (1106, 1) = 1.8229033178096845, (1106, 2) = -.6197104697745819, (1106, 3) = 0.27150043340984958e-1, (1107, 1) = 1.8118519660566088, (1107, 2) = -.6192282091002057, (1107, 3) = 0.2691550186639886e-1, (1108, 1) = 1.8009772104189707, (1108, 2) = -.618757363803581, (1108, 3) = 0.2668619738760209e-1, (1109, 1) = 1.7902735645925736, (1109, 2) = -.6182975028388497, (1109, 3) = 0.2646192663925484e-1, (1110, 1) = 1.7797357921999775, (1110, 2) = -.617848217617023, (1110, 3) = 0.26242497661905066e-1, (1111, 1) = 1.7693588876177238, (1111, 2) = -.6174091203413785, (1111, 3) = 0.26027727714441083e-1, (1112, 1) = 1.7591380487060644, (1112, 2) = -.6169798420846798, (1112, 3) = 0.2581744435143715e-1, (1113, 1) = 1.7490687037366666, (1113, 2) = -.6165600332079432, (1113, 3) = 0.25611482849099722e-1, (1114, 1) = 1.7391464809336488, (1114, 2) = -.6161493613995339, (1114, 3) = 0.25409689181052762e-1, (1115, 1) = 1.7293671936478774, (1115, 2) = -.6157475104435222, (1115, 3) = 0.25211914895946357e-1, (1116, 1) = 1.7197268300626627, (1116, 2) = -.6153541792287269, (1116, 3) = 0.25018020333604594e-1, (1117, 1) = 1.7102215436783146, (1117, 2) = -.6149690808344402, (1117, 3) = 0.24827871462964366e-1, (1118, 1) = 1.7008476444099205, (1118, 2) = -.6145919416819586, (1118, 3) = 0.24641342133193234e-1, (1119, 1) = 1.6916015902315449, (1119, 2) = -.6142225007455989, (1119, 3) = 0.2445831030851392e-1, (1120, 1) = 1.6824799794547278, (1120, 2) = -.6138605088234644, (1120, 3) = 0.24278661927280683e-1, (1121, 1) = 1.673479537051113, (1121, 2) = -.6135057276058336, (1121, 3) = 0.2410228542023149e-1, (1122, 1) = 1.6645971078937816, (1122, 2) = -.6131579290526971, (1122, 3) = 0.23929076551224476e-1, (1123, 1) = 1.6558296711407474, (1123, 2) = -.6128168956172292, (1123, 3) = 0.23758934470645022e-1, (1124, 1) = 1.6471743200660955, (1124, 2) = -.6124824191312714, (1124, 3) = 0.2359176417249233e-1, (1125, 1) = 1.638628255995633, (1125, 2) = -.6121543002752555, (1125, 3) = 0.2342747289616831e-1, (1126, 1) = 1.6301887830167754, (1126, 2) = -.6118323480991774, (1126, 3) = 0.2326597410604933e-1, (1127, 1) = 1.621853303048242, (1127, 2) = -.6115163795764564, (1127, 3) = 0.23107182959521556e-1, (1128, 1) = 1.6136193111967145, (1128, 2) = -.611206219186382, (1128, 3) = 0.2295101949875242e-1, (1129, 1) = 1.6054843913604078, (1129, 2) = -.6109016985222121, (1129, 3) = 0.2279740637238685e-1, (1130, 1) = 1.59744621209884, (1130, 2) = -.6106026559244376, (1130, 3) = 0.22646270187668658e-1, (1131, 1) = 1.5895025148625919, (1131, 2) = -.6103089358465364, (1131, 3) = 0.2249753951126367e-1, (1132, 1) = 1.581651120616376, (1132, 2) = -.6100203889183039, (1132, 3) = 0.22351146576370235e-1, (1133, 1) = 1.5738899308939602, (1133, 2) = -.609736871804611, (1133, 3) = 0.22207025462600026e-1, (1134, 1) = 1.5662169174600893, (1134, 2) = -.6094582466572802, (1134, 3) = 0.22065114192319497e-1, (1135, 1) = 1.5586301192575107, (1135, 2) = -.6091843808490114, (1135, 3) = 0.21925351750570414e-1, (1136, 1) = 1.551127639474644, (1136, 2) = -.6089151467213715, (1136, 3) = 0.21787680874942032e-1, (1137, 1) = 1.5437076427878715, (1137, 2) = -.6086504213480931, (1137, 3) = 0.21652044953649103e-1, (1138, 1) = 1.53636835275081, (1138, 2) = -.6083900863120658, (1138, 3) = 0.2151839091796822e-1, (1139, 1) = 1.5291080493129146, (1139, 2) = -.6081340274947644, (1139, 3) = 0.21386666685150043e-1, (1140, 1) = 1.5219250659198866, (1140, 2) = -.6078821348584604, (1140, 3) = 0.21256822683754784e-1, (1141, 1) = 1.5148177809281833, (1141, 2) = -.6076343020382592, (1141, 3) = 0.21128810547045e-1, (1142, 1) = 1.5077846282229574, (1142, 2) = -.6073904266119984, (1142, 3) = 0.2100258440432004e-1, (1143, 1) = 1.500824091922289, (1143, 2) = -.6071504098140698, (1143, 3) = 0.2087809913990607e-1, (1144, 1) = 1.493934701842678, (1144, 2) = -.6069141562848885, (1144, 3) = 0.20755312033414e-1, (1145, 1) = 1.4871150317046835, (1145, 2) = -.606681573921879, (1145, 3) = 0.20634181243478305e-1, (1146, 1) = 1.48036369740643, (1146, 2) = -.6064525737377021, (1146, 3) = 0.20514666913337882e-1, (1147, 1) = 1.473679355385865, (1147, 2) = -.606227069726122, (1147, 3) = 0.2039673032559934e-1, (1148, 1) = 1.4670607010613803, (1148, 2) = -.6060049787348617, (1148, 3) = 0.20280333694426902e-1, (1149, 1) = 1.4605064673508363, (1149, 2) = -.605786220345176, (1149, 3) = 0.2016544119895435e-1, (1150, 1) = 1.454015421861142, (1150, 2) = -.6055707167112505, (1150, 3) = 0.20052018025237355e-1, (1151, 1) = 1.4475863626235927, (1151, 2) = -.605358392356772, (1151, 3) = 0.19940029565182992e-1, (1152, 1) = 1.441218126748924, (1152, 2) = -.6051491744012322, (1152, 3) = 0.1982944335680381e-1, (1153, 1) = 1.4349095842318884, (1153, 2) = -.6049429922950975, (1153, 3) = 0.19720228128982397e-1, (1154, 1) = 1.4286596360571069, (1154, 2) = -.6047397777026693, (1154, 3) = 0.1961235284614569e-1, (1155, 1) = 1.4224672130872882, (1155, 2) = -.6045394644137766, (1155, 3) = 0.19505787829159512e-1, (1156, 1) = 1.4163312749949548, (1156, 2) = -.6043419882595464, (1156, 3) = 0.1940050454527754e-1, (1157, 1) = 1.4102508092421444, (1157, 2) = -.6041472870322463, (1157, 3) = 0.19296474566291362e-1, (1158, 1) = 1.4042248301019635, (1158, 2) = -.6039553004088536, (1158, 3) = 0.19193671776651246e-1, (1159, 1) = 1.3982523777320124, (1159, 2) = -.6037659698785246, (1159, 3) = 0.19092069347418177e-1, (1160, 1) = 1.392332515020097, (1160, 2) = -.6035792386021103, (1160, 3) = 0.18991641969123525e-1, (1161, 1) = 1.3864643276700568, (1161, 2) = -.6033950513772408, (1161, 3) = 0.1889236485864192e-1, (1162, 1) = 1.380646928656804, (1162, 2) = -.6032133547405341, (1162, 3) = 0.18794214606483145e-1, (1163, 1) = 1.3748794535201176, (1163, 2) = -.6030340967827381, (1163, 3) = 0.18697167014100673e-1, (1164, 1) = 1.3691610595434804, (1164, 2) = -.6028572270891024, (1164, 3) = 0.186012007191677e-1, (1165, 1) = 1.3634909250352427, (1165, 2) = -.6026826966845622, (1165, 3) = 0.18506293015646234e-1, (1166, 1) = 1.3578682486391176, (1166, 2) = -.6025104579813726, (1166, 3) = 0.18412422967327997e-1, (1167, 1) = 1.352292248673003, (1167, 2) = -.6023404647290567, (1167, 3) = 0.18319569916394513e-1, (1168, 1) = 1.3467621624900161, (1168, 2) = -.602172671966411, (1168, 3) = 0.18227714132504267e-1, (1169, 1) = 1.3412772458371662, (1169, 2) = -.6020070359747569, (1169, 3) = 0.1813683547194123e-1, (1170, 1) = 1.33583676941031, (1170, 2) = -.6018435141484021, (1170, 3) = 0.1804691562770412e-1, (1171, 1) = 1.3304400225223432, (1171, 2) = -.6016820650809729, (1171, 3) = 0.17957935300413383e-1, (1172, 1) = 1.3250863131437318, (1172, 2) = -.6015226485415538, (1172, 3) = 0.17869877270130726e-1, (1173, 1) = 1.3197749654415907, (1173, 2) = -.6013652253774551, (1173, 3) = 0.17782723919094776e-1, (1174, 1) = 1.3145053192811733, (1174, 2) = -.601209757477403, (1174, 3) = 0.17696458473859537e-1, (1175, 1) = 1.3092767297448216, (1175, 2) = -.6010562077361947, (1175, 3) = 0.17611063697743002e-1, (1176, 1) = 1.304088566670594, (1176, 2) = -.6009045400208672, (1176, 3) = 0.17526524285438428e-1, (1177, 1) = 1.2989402142091564, (1177, 2) = -.6007547191382548, (1177, 3) = 0.1744282379592925e-1, (1178, 1) = 1.2938310703926597, (1178, 2) = -.6006067108037483, (1178, 3) = 0.17359947770417414e-1, (1179, 1) = 1.2887605464248577, (1179, 2) = -.6004604816028184, (1179, 3) = 0.17277881189994973e-1, (1180, 1) = 1.2837280640731117, (1180, 2) = -.6003159988991628, (1180, 3) = 0.1719660923826562e-1, (1181, 1) = 1.2787330601263542, (1181, 2) = -.6001732309467734, (1181, 3) = 0.17116117652661824e-1, (1182, 1) = 1.2737749844221469, (1182, 2) = -.6000321468163979, (1182, 3) = 0.17036393084915422e-1, (1183, 1) = 1.2688532987502195, (1183, 2) = -.5998927163486824, (1183, 3) = 0.16957421990991907e-1, (1184, 1) = 1.2639674765122366, (1184, 2) = -.5997549101297879, (1184, 3) = 0.1687919115982291e-1, (1185, 1) = 1.259117002390722, (1185, 2) = -.5996186994678689, (1185, 3) = 0.16801687819773137e-1, (1186, 1) = 1.254301372030724, (1186, 2) = -.5994840563704793, (1186, 3) = 0.16724900141258856e-1, (1187, 1) = 1.249520091733908, (1187, 2) = -.5993509535228686, (1187, 3) = 0.16648814938900598e-1, (1188, 1) = 1.244772678159806, (1188, 2) = -.5992193642670128, (1188, 3) = 0.16573421343516175e-1, (1189, 1) = 1.2400586573476549, (1189, 2) = -.5990892625624219, (1189, 3) = 0.16498707292210216e-1, (1190, 1) = 1.2353775636250808, (1190, 2) = -.5989606229448263, (1190, 3) = 0.1642466140390181e-1, (1191, 1) = 1.230728943057973, (1191, 2) = -.5988334206098752, (1191, 3) = 0.16351272968847547e-1, (1192, 1) = 1.2261123511582808, (1192, 2) = -.5987076313385485, (1192, 3) = 0.16278531035508807e-1, (1193, 1) = 1.2215273524478487, (1193, 2) = -.5985832314746752, (1193, 3) = 0.1620642479154726e-1, (1194, 1) = 1.2169735202193737, (1194, 2) = -.5984601979083045, (1194, 3) = 0.1613494473978339e-1, (1195, 1) = 1.2124504363029476, (1195, 2) = -.5983385080595998, (1195, 3) = 0.1606408011180786e-1, (1196, 1) = 1.207957690840683, (1196, 2) = -.5982181398633349, (1196, 3) = 0.15993821612534227e-1, (1197, 1) = 1.2034948820698508, (1197, 2) = -.5980990717539575, (1197, 3) = 0.15924159302648955e-1, (1198, 1) = 1.199061616111207, (1198, 2) = -.5979812826511423, (1198, 3) = 0.1585508431906971e-1, (1199, 1) = 1.194657505639672, (1199, 2) = -.5978647519161462, (1199, 3) = 0.15786586776987604e-1, (1200, 1) = 1.190282170570412, (1200, 2) = -.5977494593622229, (1200, 3) = 0.15718658159911525e-1, (1201, 1) = 1.1859352396191056, (1201, 2) = -.5976353852876322, (1201, 3) = 0.15651289645485813e-1, (1202, 1) = 1.1816163486072815, (1202, 2) = -.5975225104229283, (1202, 3) = 0.15584472834057367e-1, (1203, 1) = 1.1773251402753457, (1203, 2) = -.5974108159186575, (1203, 3) = 0.15518199100134097e-1, (1204, 1) = 1.173061264110328, (1204, 2) = -.5973002833337205, (1204, 3) = 0.15452460335306275e-1, (1205, 1) = 1.1688243761776524, (1205, 2) = -.5971908946240811, (1205, 3) = 0.15387248378786356e-1, (1206, 1) = 1.1646141389580993, (1206, 2) = -.5970826321318601, (1206, 3) = 0.1532255576428641e-1, (1207, 1) = 1.160430221190291, (1207, 2) = -.5969754785748044, (1207, 3) = 0.15258374444829161e-1, (1208, 1) = 1.1562722976736757, (1208, 2) = -.5968694170349785, (1208, 3) = 0.15194697164333585e-1, (1209, 1) = 1.152140047787942, (1209, 2) = -.5967644309151516, (1209, 3) = 0.1513151643123926e-1, (1210, 1) = 1.1480331575524796, (1210, 2) = -.5966605039856082, (1210, 3) = 0.15068825189644306e-1, (1211, 1) = 1.1439513193667301, (1211, 2) = -.5965576203714797, (1211, 3) = 0.15006616139560041e-1, (1212, 1) = 1.1398942311626183, (1212, 2) = -.5964557645256289, (1212, 3) = 0.14944882402982737e-1, (1213, 1) = 1.135861596272183, (1213, 2) = -.5963549212199905, (1213, 3) = 0.14883617218444757e-1, (1214, 1) = 1.1318531233007463, (1214, 2) = -.5962550755372367, (1214, 3) = 0.14822814277240777e-1, (1215, 1) = 1.1278685260032464, (1215, 2) = -.59615621286269, (1215, 3) = 0.1476246681793527e-1, (1216, 1) = 1.1239075231641298, (1216, 2) = -.5960583188764927, (1216, 3) = 0.1470256842718929e-1, (1217, 1) = 1.1199698384805228, (1217, 2) = -.5959613795460151, (1217, 3) = 0.14643112563402016e-1, (1218, 1) = 1.1160552002465338, (1218, 2) = -.5958653811135598, (1218, 3) = 0.14584094019406644e-1, (1219, 1) = 1.112163340306531, (1219, 2) = -.595770310066491, (1219, 3) = 0.14525506022418772e-1, (1220, 1) = 1.108293996262963, (1220, 2) = -.5956761531870935, (1220, 3) = 0.14467342922280224e-1, (1221, 1) = 1.104446910454498, (1221, 2) = -.5955828975231164, (1221, 3) = 0.14409599042389405e-1, (1222, 1) = 1.1006218295939585, (1222, 2) = -.5954905303748789, (1222, 3) = 0.14352268701829604e-1, (1223, 1) = 1.096818504669811, (1223, 2) = -.5953990392889753, (1223, 3) = 0.14295346208590357e-1, (1224, 1) = 1.0930366908510738, (1224, 2) = -.5953084120521923, (1224, 3) = 0.14238826315969363e-1, (1225, 1) = 1.0892761473946977, (1225, 2) = -.5952186366855974, (1225, 3) = 0.14182703507993227e-1, (1226, 1) = 1.0855366375556788, (1226, 2) = -.5951297014388188, (1226, 3) = 0.14126972635637084e-1, (1227, 1) = 1.0818179284988514, (1227, 2) = -.5950415947844659, (1227, 3) = 0.14071628736886787e-1, (1228, 1) = 1.0781197907889466, (1228, 2) = -.5949543054027301, (1228, 3) = 0.14016666604694753e-1, (1229, 1) = 1.0744419981204734, (1229, 2) = -.5948678221719418, (1229, 3) = 0.13962081168234256e-1, (1230, 1) = 1.0707843289094507, (1230, 2) = -.594782134202859, (1230, 3) = 0.1390786792769986e-1, (1231, 1) = 1.0671465652044176, (1231, 2) = -.5946972308097213, (1231, 3) = 0.13854021669866634e-1, (1232, 1) = 1.0635284925571629, (1232, 2) = -.5946131015042146, (1232, 3) = 0.13800538294960979e-1, (1233, 1) = 1.0599298999483098, (1233, 2) = -.5945297359908104, (1233, 3) = 0.13747412760270921e-1, (1234, 1) = 1.0563505797149122, (1234, 2) = -.5944471241622538, (1234, 3) = 0.13694640860399461e-1, (1235, 1) = 1.0527903274799213, (1235, 2) = -.5943652560951673, (1235, 3) = 0.13642217847354934e-1, (1236, 1) = 1.049248942083882, (1236, 2) = -.5942841220457966, (1236, 3) = 0.13590139502235232e-1, (1237, 1) = 1.045726225517333, (1237, 2) = -.5942037124458471, (1237, 3) = 0.13538401644489474e-1, (1238, 1) = 1.0422219821804066, (1238, 2) = -.5941240178831266, (1238, 3) = 0.13486999991606869e-1, (1239, 1) = 1.0387360195627184, (1239, 2) = -.5940450291147231, (1239, 3) = 0.13435930557579316e-1, (1240, 1) = 1.0352681487834066, (1240, 2) = -.5939667370767263, (1240, 3) = 0.13385189174439475e-1, (1241, 1) = 1.03181818385866, (1241, 2) = -.5938891328651595, (1241, 3) = 0.1333477206568325e-1, (1242, 1) = 1.0283859416430907, (1242, 2) = -.5938122077323774, (1242, 3) = 0.1328467479112041e-1, (1243, 1) = 1.0249712417726562, (1243, 2) = -.5937359530835754, (1243, 3) = 0.13234894495422075e-1, (1244, 1) = 1.0215739066088318, (1244, 2) = -.593660360473378, (1244, 3) = 0.13185426261470654e-1, (1245, 1) = 1.0181937611840928, (1245, 2) = -.5935854216025295, (1245, 3) = 0.13136267171347167e-1, (1246, 1) = 1.0148306331492476, (1246, 2) = -.5935111283146747, (1246, 3) = 0.13087413335851002e-1, (1247, 1) = 1.0114843526758592, (1247, 2) = -.5934374725922179, (1247, 3) = 0.13038861060164254e-1, (1248, 1) = 1.008154751698321, (1248, 2) = -.5933644465377972, (1248, 3) = 0.12990606838082789e-1, (1249, 1) = 1.0048416651624563, (1249, 2) = -.5932920423999207, (1249, 3) = 0.1294264728432677e-1, (1250, 1) = 1.0015449307361226, (1250, 2) = -.5932202525646114, (1250, 3) = 0.1289497950751818e-1, (1251, 1) = .9982643884569867, (1251, 2) = -.5931490695458538, (1251, 3) = 0.12847599360710114e-1, (1252, 1) = .9949998806866295, (1252, 2) = -.5930784859828526, (1252, 3) = 0.12800503836802464e-1, (1253, 1) = .9917512520661281, (1253, 2) = -.5930084946373658, (1253, 3) = 0.1275368980639396e-1, (1254, 1) = .9885183494725024, (1254, 2) = -.5929390883911011, (1254, 3) = 0.1270715392804915e-1, (1255, 1) = .9853010219760494, (1255, 2) = -.5928702602431819, (1255, 3) = 0.12660893233760519e-1, (1256, 1) = .9820991207991473, (1256, 2) = -.5928020033076803, (1256, 3) = 0.1261490404576578e-1, (1257, 1) = .9789124991239461, (1257, 2) = -.5927343108080002, (1257, 3) = 0.1256918416703438e-1, (1258, 1) = .9757410116230176, (1258, 2) = -.5926671760654999, (1258, 3) = 0.12523730619794568e-1, (1259, 1) = .9725845156741689, (1259, 2) = -.5926005925238197, (1259, 3) = 0.12478539740919512e-1, (1260, 1) = .9694428707522033, (1260, 2) = -.5925345537344326, (1260, 3) = 0.12433609016250808e-1, (1261, 1) = .9663159382889517, (1261, 2) = -.5924690533522811, (1261, 3) = 0.123889357419087e-1, (1262, 1) = .9632035816370259, (1262, 2) = -.5924040851336548, (1262, 3) = 0.12344517079762524e-1, (1263, 1) = .9601056660347675, (1263, 2) = -.5923396429341297, (1263, 3) = 0.12300349793765984e-1, (1264, 1) = .9570220585718978, (1264, 2) = -.5922757207065588, (1264, 3) = 0.12256431868966921e-1, (1265, 1) = .9539526281557708, (1265, 2) = -.5922123124991029, (1265, 3) = 0.12212760117413847e-1, (1266, 1) = .9508972454786961, (1266, 2) = -.5921494124533236, (1266, 3) = 0.1216933233063121e-1, (1267, 1) = .9478557826922435, (1267, 2) = -.5920870147962989, (1267, 3) = 0.12126145434989582e-1, (1268, 1) = .9448281134158305, (1268, 2) = -.5920251138397226, (1268, 3) = 0.1208319716466765e-1, (1269, 1) = .9418141135274875, (1269, 2) = -.5919637039949222, (1269, 3) = 0.12040485335675456e-1, (1270, 1) = .9388136605789199, (1270, 2) = -.5919027797596715, (1270, 3) = 0.11998006884379834e-1, (1271, 1) = .9358266337520086, (1271, 2) = -.5918423357162106, (1271, 3) = 0.1195575941155243e-1, (1272, 1) = .9328529138299407, (1272, 2) = -.5917823665295897, (1272, 3) = 0.11913741063425796e-1, (1273, 1) = .9298923831692298, (1273, 2) = -.5917228669460536, (1273, 3) = 0.11871948708338983e-1, (1274, 1) = .9269449256723139, (1274, 2) = -.5916638317914727, (1274, 3) = 0.1183038087284086e-1, (1275, 1) = .9240104267606407, (1275, 2) = -.5916052559697993, (1275, 3) = 0.1178903449813411e-1, (1276, 1) = .9210887733453194, (1276, 2) = -.5915471344615093, (1276, 3) = 0.11747907910858887e-1, (1277, 1) = .9181798533621388, (1277, 2) = -.5914894623134385, (1277, 3) = 0.11706998670044837e-1, (1278, 1) = .9152835563380114, (1278, 2) = -.5914322346491696, (1278, 3) = 0.11666304236513547e-1, (1279, 1) = .912399773543088, (1279, 2) = -.5913754466710575, (1279, 3) = 0.11625822997134726e-1, (1280, 1) = .9095283976395195, (1280, 2) = -.5913190936523403, (1280, 3) = 0.11585552409229307e-1, (1281, 1) = .9066693226581383, (1281, 2) = -.5912631709358135, (1281, 3) = 0.11545490695348938e-1, (1282, 1) = .9038224439752821, (1282, 2) = -.5912076739325212, (1282, 3) = 0.11505635341633085e-1, (1283, 1) = .9009876582902304, (1283, 2) = -.5911525981204834, (1283, 3) = 0.11465984934977974e-1, (1284, 1) = .8981648636031111, (1284, 2) = -.5910979390434506, (1284, 3) = 0.11426537164628003e-1, (1285, 1) = .8953539591932691, (1285, 2) = -.5910436923096866, (1285, 3) = 0.1138728970080031e-1, (1286, 1) = .8925548455537974, (1286, 2) = -.5909898535899301, (1286, 3) = 0.11348241232069699e-1, (1287, 1) = .8897674239672771, (1287, 2) = -.590936418608522, (1287, 3) = 0.11309389436354183e-1, (1288, 1) = .8869915973082401, (1288, 2) = -.5908833831581055, (1288, 3) = 0.11270732319916743e-1, (1289, 1) = .8842272697899564, (1289, 2) = -.5908307430939593, (1289, 3) = 0.11232268002098126e-1, (1290, 1) = .8814743468021662, (1290, 2) = -.5907784943301622, (1290, 3) = 0.1119399510736045e-1, (1291, 1) = .8787327348921077, (1291, 2) = -.5907266328385276, (1291, 3) = 0.11155911123383709e-1, (1292, 1) = .8760023417457574, (1292, 2) = -.5906751546475708, (1292, 3) = 0.11118014985714306e-1, (1293, 1) = .8732830761694881, (1293, 2) = -.5906240558414861, (1293, 3) = 0.11080304335120576e-1, (1294, 1) = .8705748480720642, (1294, 2) = -.5905733325591557, (1294, 3) = 0.1104277771188425e-1, (1295, 1) = .8678775684471258, (1295, 2) = -.5905229809931787, (1295, 3) = 0.11005433482785916e-1, (1296, 1) = .8651911492357387, (1296, 2) = -.5904729973866834, (1296, 3) = 0.10968269604507341e-1, (1297, 1) = .8625155031146637, (1297, 2) = -.5904233780288313, (1297, 3) = 0.10931284740285062e-1, (1298, 1) = .8598505442091299, (1298, 2) = -.5903741192674558, (1298, 3) = 0.10894476967700142e-1, (1299, 1) = .8571961877037549, (1299, 2) = -.59032521750119, (1299, 3) = 0.10857844712636447e-1, (1300, 1) = .8545523497842075, (1300, 2) = -.5902766691778022, (1300, 3) = 0.10821386440101255e-1, (1301, 1) = .8519189476216209, (1301, 2) = -.5902284707933447, (1301, 3) = 0.10785100896148857e-1, (1302, 1) = .8492958993572806, (1302, 2) = -.5901806188913145, (1302, 3) = 0.10748985716162887e-1, (1303, 1) = .8466831240876038, (1303, 2) = -.5901331100618401, (1303, 3) = 0.10713039940077811e-1, (1304, 1) = .8440805418493422, (1304, 2) = -.5900859409408761, (1304, 3) = 0.10677261946069423e-1, (1305, 1) = .8414880736052627, (1305, 2) = -.5900391082094216, (1305, 3) = 0.10641650154736736e-1, (1306, 1) = .8389056410116773, (1306, 2) = -.5899926085888292, (1306, 3) = 0.10606203000322877e-1, (1307, 1) = .8363331665334298, (1307, 2) = -.5899464388424248, (1307, 3) = 0.10570918944568797e-1, (1308, 1) = .8337705738428379, (1308, 2) = -.5899005957821679, (1308, 3) = 0.10535796967648387e-1, (1309, 1) = .8312177874852623, (1309, 2) = -.5898550762621159, (1309, 3) = 0.10500835181502901e-1, (1310, 1) = .8286747328631662, (1310, 2) = -.5898098771776725, (1310, 3) = 0.1046603263433733e-1, (1311, 1) = .8261413362232203, (1311, 2) = -.5897649954648904, (1311, 3) = 0.1043138720961145e-1, (1312, 1) = .8236175246436888, (1312, 2) = -.5897204280997987, (1312, 3) = 0.10396898355392939e-1, (1313, 1) = .821103226022046, (1313, 2) = -.589676172097735, (1313, 3) = 0.10362564095656205e-1, (1314, 1) = .8185983690627312, (1314, 2) = -.5896322245126968, (1314, 3) = 0.10328383369112574e-1, (1315, 1) = .8161028832583684, (1315, 2) = -.5895885824365826, (1315, 3) = 0.10294354636004263e-1, (1316, 1) = .8136166985830877, (1316, 2) = -.5895452429934379, (1316, 3) = 0.10260477167089952e-1, (1317, 1) = .8111397459376177, (1317, 2) = -.5895022033468447, (1317, 3) = 0.10226748997208625e-1, (1318, 1) = .8086719571531993, (1318, 2) = -.5894594606995444, (1318, 3) = 0.10193168880366163e-1, (1319, 1) = .8062132648100019, (1319, 2) = -.5894170122898638, (1319, 3) = 0.1015973599867331e-1, (1320, 1) = .803763602226281, (1320, 2) = -.5893748553911352, (1320, 3) = 0.10126448927711772e-1, (1321, 1) = .8013229034476501, (1321, 2) = -.5893329873111347, (1321, 3) = 0.10093306271225495e-1, (1322, 1) = .7988911032365966, (1322, 2) = -.5892914053915281, (1322, 3) = 0.10060306940750502e-1, (1323, 1) = .7964681370622089, (1323, 2) = -.5892501070073266, (1323, 3) = 0.10027449476391375e-1, (1324, 1) = .7940539410899786, (1324, 2) = -.5892090895663561, (1324, 3) = 0.999473328551973e-2, (1325, 1) = .7916484521297883, (1325, 2) = -.58916835050802, (1325, 3) = 0.996215659600282e-2, (1326, 1) = .7892516073886713, (1326, 2) = -.5891278872988005, (1326, 3) = 0.9929718942753425e-2, (1327, 1) = .7868633450070642, (1327, 2) = -.5890876974409966, (1327, 3) = 0.98974184856203e-2, (1328, 1) = .7844836038524168, (1328, 2) = -.5890477784688666, (1328, 3) = 0.9865254087279039e-2, (1329, 1) = .7821123234401952, (1329, 2) = -.5890081279469592, (1329, 3) = 0.9833224995182995e-2, (1330, 1) = .779749443924857, (1330, 2) = -.5889687434696426, (1330, 3) = 0.9801330198391408e-2, (1331, 1) = .7773949060908873, (1331, 2) = -.5889296226606354, (1331, 3) = 0.9769568210621945e-2, (1332, 1) = .7750486513440191, (1332, 2) = -.5888907631725575, (1332, 3) = 0.9737938380591064e-2, (1333, 1) = .7727106217026477, (1333, 2) = -.5888521626864771, (1333, 3) = 0.9706439219052907e-2, (1334, 1) = .7703807597893063, (1334, 2) = -.5888138189114739, (1334, 3) = 0.9675069673732795e-2, (1335, 1) = .7680590087233193, (1335, 2) = -.5887757295825885, (1335, 3) = 0.9643829260819936e-2, (1336, 1) = .7657453120383887, (1336, 2) = -.5887378924592097, (1336, 3) = 0.9612716608923638e-2, (1337, 1) = .7634396141155625, (1337, 2) = -.5887003053318842, (1337, 3) = 0.9581730355299356e-2, (1338, 1) = .761141859924152, (1338, 2) = -.5886629660177661, (1338, 3) = 0.955086992252259e-2, (1339, 1) = .7588519949970062, (1339, 2) = -.5886258723599375, (1339, 3) = 0.9520134264796384e-2, (1340, 1) = .7565699654229281, (1340, 2) = -.5885890222270183, (1340, 3) = 0.9489522397441845e-2, (1341, 1) = .7542957178391496, (1341, 2) = -.5885524135127798, (1341, 3) = 0.9459033109535999e-2, (1342, 1) = .752029199423936, (1342, 2) = -.5885160441357705, (1342, 3) = 0.9428665919681035e-2, (1343, 1) = .7497703578893541, (1343, 2) = -.5884799120389398, (1343, 3) = 0.9398419083976631e-2, (1344, 1) = .7475191414741205, (1344, 2) = -.5884440151892825, (1344, 3) = 0.9368292860465316e-2, (1345, 1) = .745275498765881, (1345, 2) = -.5884083515747607, (1345, 3) = 0.9338284993267635e-2, (1346, 1) = .7430393788574383, (1346, 2) = -.5883729192065885, (1346, 3) = 0.9308395751966363e-2, (1347, 1) = .7408107315364344, (1347, 2) = -.588337716121977, (1347, 3) = 0.9278623253838544e-2, (1348, 1) = .7385895070895991, (1348, 2) = -.5883027403807843, (1348, 3) = 0.9248967144556383e-2, (1349, 1) = .7363756562960401, (1349, 2) = -.5882679900651753, (1349, 3) = 0.9219426499833601e-2, (1350, 1) = .7341691304208259, (1350, 2) = -.5882334632792995, (1350, 3) = 0.919000035541751e-2, (1351, 1) = .7319698812086292, (1351, 2) = -.5881991581489678, (1351, 3) = 0.9160687846425741e-2, (1352, 1) = .7297778608774739, (1352, 2) = -.5881650728213399, (1352, 3) = 0.913148813362865e-2, (1353, 1) = .7275930221125885, (1353, 2) = -.588131205464613, (1353, 3) = 0.910240008116161e-2, (1354, 1) = .7254153180502801, (1354, 2) = -.5880975542675652, (1354, 3) = 0.9073423386128958e-2, (1355, 1) = .723244702070582, (1355, 2) = -.5880641174361585, (1355, 3) = 0.9044556891334689e-2, (1356, 1) = .7210811281412313, (1356, 2) = -.5880308931986615, (1356, 3) = 0.9015799798465044e-2, (1357, 1) = .7189245507661866, (1357, 2) = -.5879978798046304, (1357, 3) = 0.8987151503918331e-2, (1358, 1) = .7167749248871207, (1358, 2) = -.5879650755231852, (1358, 3) = 0.8958610917213818e-2, (1359, 1) = .7146322058778038, (1359, 2) = -.5879324786427352, (1359, 3) = 0.893017723994277e-2, (1360, 1) = .7124963495386349, (1360, 2) = -.5879000874707049, (1360, 3) = 0.8901849998936987e-2, (1361, 1) = .7103673120912442, (1361, 2) = -.5878679003332618, (1361, 3) = 0.8873628227072147e-2, (1362, 1) = .7082450501731798, (1362, 2) = -.5878359155750567, (1362, 3) = 0.8845511206832954e-2, (1363, 1) = .7061295208326606, (1363, 2) = -.5878041315589633, (1363, 3) = 0.8817497757730068e-2, (1364, 1) = .704020681483526, (1364, 2) = -.5877725466652254, (1364, 3) = 0.8789587921749331e-2, (1365, 1) = .7019184897609768, (1365, 2) = -.5877411592891387, (1365, 3) = 0.8761780237677024e-2, (1366, 1) = .699822903888587, (1366, 2) = -.5877099678463796, (1366, 3) = 0.8734074526897668e-2, (1367, 1) = .6977338825148868, (1367, 2) = -.5876789707703629, (1367, 3) = 0.870646926604333e-2, (1368, 1) = .6956513846739367, (1368, 2) = -.5876481665114918, (1368, 3) = 0.8678964588967332e-2, (1369, 1) = .6935753697805567, (1369, 2) = -.5876175535369169, (1369, 3) = 0.8651559443376944e-2, (1370, 1) = .6915057976256387, (1370, 2) = -.5875871303303115, (1370, 3) = 0.8624253151546227e-2, (1371, 1) = .6894426283715354, (1371, 2) = -.5875568953916412, (1371, 3) = 0.8597044982138348e-2, (1372, 1) = .6873858225475313, (1372, 2) = -.5875268472369444, (1372, 3) = 0.8569934219294032e-2, (1373, 1) = .6853353410453344, (1373, 2) = -.5874969843981115, (1373, 3) = 0.8542920231728764e-2, (1374, 1) = .6832911450305323, (1374, 2) = -.5874673054214499, (1374, 3) = 0.8516002221617407e-2, (1375, 1) = .681253195930413, (1375, 2) = -.5874378088673787, (1375, 3) = 0.8489179539013316e-2, (1376, 1) = .6792214556992792, (1376, 2) = -.5874084933141258, (1376, 3) = 0.8462451760245498e-2, (1377, 1) = .677195886642523, (1377, 2) = -.5873793573550125, (1377, 3) = 0.8435818044120663e-2, (1378, 1) = .6751764514064231, (1378, 2) = -.5873503995981693, (1378, 3) = 0.8409277589257004e-2, (1379, 1) = .6731631129740693, (1379, 2) = -.5873216186663353, (1379, 3) = 0.8382829845433128e-2, (1380, 1) = .6711558346613368, (1380, 2) = -.5872930131966638, (1380, 3) = 0.8356474476343237e-2, (1381, 1) = .6691545801129173, (1381, 2) = -.5872645818405308, (1381, 3) = 0.8330210576530465e-2, (1382, 1) = .6671593132984446, (1382, 2) = -.5872363232633444, (1382, 3) = 0.8304037273503425e-2, (1383, 1) = .6651699985081674, (1383, 2) = -.5872082361443577, (1383, 3) = 0.827795457827417e-2, (1384, 1) = .6631866002127065, (1384, 2) = -.5871803191745617, (1384, 3) = 0.8251961123122216e-2, (1385, 1) = .6612090832289268, (1385, 2) = -.5871525710589186, (1385, 3) = 0.8226056967581673e-2, (1386, 1) = .6592374127948712, (1386, 2) = -.5871249905172703, (1386, 3) = 0.820024121549345e-2, (1387, 1) = .6572715544546797, (1387, 2) = -.587097576282591, (1387, 3) = 0.8174513421770627e-2, (1388, 1) = .6553114740550101, (1388, 2) = -.5870703271008146, (1388, 3) = 0.814887288053221e-2, (1389, 1) = .6533571377415338, (1389, 2) = -.5870432417306678, (1389, 3) = 0.8123318801180725e-2, (1390, 1) = .6514085119554676, (1390, 2) = -.5870163189435034, (1390, 3) = 0.8097850768627556e-2, (1391, 1) = .6494655634301458, (1391, 2) = -.5869895575231379, (1391, 3) = 0.8072468457689446e-2, (1392, 1) = .6475282591876764, (1392, 2) = -.5869629562656891, (1392, 3) = 0.804717092132273e-2, (1393, 1) = .6455965665231956, (1393, 2) = -.586936513979251, (1393, 3) = 0.8021957649357977e-2, (1394, 1) = .6436704528633577, (1394, 2) = -.5869102294818551, (1394, 3) = 0.7996828543258203e-2, (1395, 1) = .6417498860309321, (1395, 2) = -.5868841016049873, (1395, 3) = 0.7971782360450074e-2, (1396, 1) = .6398348341762122, (1396, 2) = -.5868581291925283, (1396, 3) = 0.7946819242060709e-2, (1397, 1) = .6379252657219932, (1397, 2) = -.5868323110998899, (1397, 3) = 0.7921938167623358e-2, (1398, 1) = .6360211493604658, (1398, 2) = -.5868066461938722, (1398, 3) = 0.789713872956819e-2, (1399, 1) = .6341224540501883, (1399, 2) = -.5867811333525184, (1399, 3) = 0.787242013746025e-2, (1400, 1) = .6322291490130837, (1400, 2) = -.5867557714649736, (1400, 3) = 0.7847782495303868e-2, (1401, 1) = .6303412037314671, (1401, 2) = -.5867305594313454, (1401, 3) = 0.7823225024442177e-2, (1402, 1) = .6284585879451511, (1402, 2) = -.5867054961625646, (1402, 3) = 0.7798746985742725e-2, (1403, 1) = .6265812716108096, (1403, 2) = -.5866805805797521, (1403, 3) = 0.7774347839732727e-2, (1404, 1) = .6247092248214317, (1404, 2) = -.5866558116130667, (1404, 3) = 0.7750027425115161e-2, (1405, 1) = .6228424180605358, (1405, 2) = -.5866311882049798, (1405, 3) = 0.77257846472571995e-2, (1406, 1) = .6209808220747269, (1406, 2) = -.5866067093084841, (1406, 3) = 0.7701619874109444e-2, (1407, 1) = .6191244078539944, (1407, 2) = -.5865823738867365, (1407, 3) = 0.7677532228494128e-2, (1408, 1) = .6172731466290131, (1408, 2) = -.5865581809129337, (1408, 3) = 0.7653520794506828e-2, (1409, 1) = .6154270098685053, (1409, 2) = -.5865341293701924, (1409, 3) = 0.7629585859460374e-2, (1410, 1) = .613585969276635, (1410, 2) = -.5865102182514209, (1410, 3) = 0.7605725858349054e-2, (1411, 1) = .611749996790429, (1411, 2) = -.5864864465592075, (1411, 3) = 0.75819414926528534e-2, (1412, 1) = .6099190645772399, (1412, 2) = -.5864628133056945, (1412, 3) = 0.7558231538303535e-2, (1413, 1) = .6080931449591185, (1413, 2) = -.5864393175115287, (1413, 3) = 0.75345960096970515e-2, (1414, 1) = .606272210440719, (1414, 2) = -.586415958206146, (1414, 3) = 0.7511034218268051e-2, (1415, 1) = .6044562338686293, (1415, 2) = -.586392734429735, (1415, 3) = 0.7487545657778193e-2, (1416, 1) = .6026451883114908, (1416, 2) = -.5863696452316055, (1416, 3) = 0.746412966871318e-2, (1417, 1) = .6008390470559912, (1417, 2) = -.5863466896700603, (1417, 3) = 0.7440786253441384e-2, (1418, 1) = .5990377836045139, (1418, 2) = -.5863238668122832, (1418, 3) = 0.7417514832127761e-2, (1419, 1) = .5972413716728343, (1419, 2) = -.5863011757342355, (1419, 3) = 0.73943147034590045e-2, (1420, 1) = .5954497851878452, (1420, 2) = -.5862786155205506, (1420, 3) = 0.7371185931578857e-2, (1421, 1) = .5936629982853113, (1421, 2) = -.5862561852644296, (1421, 3) = 0.73481274982671735e-2, (1422, 1) = .591880985305891, (1422, 2) = -.5862338840675205, (1422, 3) = 0.7325139396704098e-2, (1423, 1) = .5901037206857875, (1423, 2) = -.5862117110384786, (1423, 3) = 0.7302220773180307e-2, (1424, 1) = .588331179111376, (1424, 2) = -.5861896652948407, (1424, 3) = 0.7279371840343561e-2, (1425, 1) = .5865633355363294, (1425, 2) = -.5861677459631525, (1425, 3) = 0.7256591824596119e-2, (1426, 1) = .5848001651122938, (1426, 2) = -.5861459521780327, (1426, 3) = 0.7233880037340556e-2, (1427, 1) = .5830416431868294, (1427, 2) = -.5861242830820779, (1427, 3) = 0.7211236726491447e-2, (1428, 1) = .5812877453013613, (1428, 2) = -.5861027378257668, (1428, 3) = 0.7188660873573769e-2, (1429, 1) = .5795384471891574, (1429, 2) = -.5860813155673726, (1429, 3) = 0.7166152323843318e-2, (1430, 1) = .5777937247733392, (1430, 2) = -.5860600154728689, (1430, 3) = 0.71437104713231525e-2, (1431, 1) = .5760535541649161, (1431, 2) = -.5860388367158428, (1431, 3) = 0.712133546551961e-2, (1432, 1) = .5743179116468576, (1432, 2) = -.5860177784772339, (1432, 3) = 0.70990265353093746e-2, (1433, 1) = .572586773577961, (1433, 2) = -.5859968399441151, (1433, 3) = 0.7076783013158948e-2, (1434, 1) = .5708601165960288, (1434, 2) = -.5859760203120964, (1434, 3) = 0.7054605132689416e-2, (1435, 1) = .5691379175482959, (1435, 2) = -.585955318784407, (1435, 3) = 0.7032492151947811e-2, (1436, 1) = .5674201534603284, (1436, 2) = -.5859347345714582, (1436, 3) = 0.7010443512097815e-2, (1437, 1) = .565706801534211, (1437, 2) = -.585914266890762, (1437, 3) = 0.6988458943190919e-2, (1438, 1) = .5639978391467516, (1438, 2) = -.5858939149668488, (1438, 3) = 0.6966538498911889e-2, (1439, 1) = .5622932438477037, (1439, 2) = -.585873678031188, (1439, 3) = 0.6944681667903775e-2, (1440, 1) = .5605929933580147, (1440, 2) = -.5858535553221078, (1440, 3) = 0.6922887550597944e-2, (1441, 1) = .5588970655681073, (1441, 2) = -.5858335460847216, (1441, 3) = 0.69011561370697395e-2, (1442, 1) = .557205438500507, (1442, 2) = -.5858136495704283, (1442, 3) = 0.6879487261014425e-2, (1443, 1) = .5555180902704633, (1443, 2) = -.5857938650364043, (1443, 3) = 0.6857880405257307e-2, (1444, 1) = .5538349992622114, (1444, 2) = -.585774191747618, (1444, 3) = 0.6836335061564224e-2, (1445, 1) = .552156144030651, (1445, 2) = -.5857546289756124, (1445, 3) = 0.6814850794976448e-2, (1446, 1) = .5504815032917467, (1446, 2) = -.5857351759983402, (1446, 3) = 0.6793427772436139e-2, (1447, 1) = .5488110559209254, (1447, 2) = -.5857158321000903, (1447, 3) = 0.677206530592276e-2, (1448, 1) = .5471447809514967, (1448, 2) = -.5856965965714167, (1448, 3) = 0.67507630238186804e-2, (1449, 1) = .5454826575730887, (1449, 2) = -.5856774687090723, (1449, 3) = 0.6729520550589104e-2, (1450, 1) = .5438246651300985, (1450, 2) = -.585658447815938, (1450, 3) = 0.6708337719215797e-2, (1451, 1) = .5421707831201823, (1451, 2) = -.5856395332009535, (1451, 3) = 0.66872141088345355e-2, (1452, 1) = .5405209911281232, (1452, 2) = -.5856207241783197, (1452, 3) = 0.6666149513571787e-2, (1453, 1) = .5388752688772384, (1453, 2) = -.5856020200680387, (1453, 3) = 0.6645143431869225e-2, (1454, 1) = .5372335963189862, (1454, 2) = -.5855834201968859, (1454, 3) = 0.6624195673220731e-2, (1455, 1) = .5355959535522752, (1455, 2) = -.5855649238974334, (1455, 3) = 0.66033052935492755e-2, (1456, 1) = .5339623208218498, (1456, 2) = -.5855465305079921, (1456, 3) = 0.6582473151700677e-2, (1457, 1) = .532332678516871, (1457, 2) = -.5855282393725401, (1457, 3) = 0.6561698073053983e-2, (1458, 1) = .5307070071695205, (1458, 2) = -.5855100498406681, (1458, 3) = 0.6540980222988094e-2, (1459, 1) = .5290852874536198, (1459, 2) = -.5854919612675143, (1459, 3) = 0.6520318975299944e-2, (1460, 1) = .5274675001832565, (1460, 2) = -.5854739730137067, (1460, 3) = 0.6499713835043093e-2, (1461, 1) = .5258536263082028, (1461, 2) = -.5854560844452676, (1461, 3) = 0.647916447207724e-2, (1462, 1) = .5242436468297053, (1462, 2) = -.5854382949326431, (1462, 3) = 0.6458671253176001e-2, (1463, 1) = .5226375429365053, (1463, 2) = -.585420603852166, (1463, 3) = 0.6438233453570566e-2, (1464, 1) = .5210352959933637, (1464, 2) = -.585403010585881, (1464, 3) = 0.6417850495099668e-2, (1465, 1) = .5194368874986673, (1465, 2) = -.5853855145210357, (1465, 3) = 0.63975227093704306e-2, (1466, 1) = .5178422990831658, (1466, 2) = -.585368115050019, (1466, 3) = 0.63772493127765605e-2, (1467, 1) = .5162515125087104, (1467, 2) = -.5853508115703094, (1467, 3) = 0.63570299686819464e-2, (1468, 1) = .514664509667018, (1468, 2) = -.5853336034844234, (1468, 3) = 0.6336864751373589e-2, (1469, 1) = .5130812725784484, (1469, 2) = -.5853164901998562, (1469, 3) = 0.63167531155585875e-2, (1470, 1) = .5115017833907849, (1470, 2) = -.5852994711290359, (1470, 3) = 0.6296694996851599e-2, (1471, 1) = .5099260243630338, (1471, 2) = -.5852825456891035, (1471, 3) = 0.62766894907092296e-2, (1472, 1) = .5083539778015767, (1472, 2) = -.5852657133012018, (1472, 3) = 0.6256737275653966e-2, (1473, 1) = .5067856262156953, (1473, 2) = -.5852489733921005, (1473, 3) = 0.623683737701669e-2, (1474, 1) = .5052209522537047, (1474, 2) = -.585232325393472, (1474, 3) = 0.62169898032511e-2, (1475, 1) = .5036599386854458, (1475, 2) = -.5852157687416626, (1475, 3) = 0.6197194117757922e-2, (1476, 1) = .5021025684011654, (1476, 2) = -.5851993028776461, (1476, 3) = 0.6177450042183821e-2, (1477, 1) = .5005488244104006, (1477, 2) = -.5851829272469752, (1477, 3) = 0.6157757562492183e-2, (1478, 1) = .49899868984087153, (1478, 2) = -.5851666412997308, (1478, 3) = 0.61381160050590355e-2, (1479, 1) = .49745214793739995, (1479, 2) = -.5851504444904816, (1479, 3) = 0.6118525492384464e-2, (1480, 1) = .49590918206082574, (1480, 2) = -.585134336278232, (1480, 3) = 0.6098985557484765e-2, (1481, 1) = .4943697756532494, (1481, 2) = -.5851183161260284, (1481, 3) = 0.6079496123430552e-2, (1482, 1) = .49283391222613593, (1482, 2) = -.5851023835008075, (1482, 3) = 0.60600567523929885e-2, (1483, 1) = .4913015754811207, (1483, 2) = -.5850865378746154, (1483, 3) = 0.60406667330287775e-2, (1484, 1) = .4897727492350041, (1484, 2) = -.5850707787237942, (1484, 3) = 0.6021326859616912e-2, (1485, 1) = .48824741741535344, (1485, 2) = -.5850551055288956, (1485, 3) = 0.60020358785220764e-2, (1486, 1) = .4867255640595053, (1486, 2) = -.5850395177746462, (1486, 3) = 0.5982794252513484e-2, (1487, 1) = .48520717331356933, (1487, 2) = -.5850240149498975, (1487, 3) = 0.59636011414361e-2, (1488, 1) = .48369222943144485, (1488, 2) = -.5850085965475911, (1488, 3) = 0.5944456958975123e-2, (1489, 1) = .48218071677385194, (1489, 2) = -.5849932620647099, (1489, 3) = 0.5925360637470955e-2, (1490, 1) = .4806726198073213, (1490, 2) = -.5849780110022453, (1490, 3) = 0.5906312752935838e-2, (1491, 1) = .4791679230456629, (1491, 2) = -.5849628428645695, (1491, 3) = 0.5887312516538752e-2, (1492, 1) = .47766661111471376, (1492, 2) = -.5849477571600685, (1492, 3) = 0.5868360004426901e-2, (1493, 1) = .47616866879520303, (1493, 2) = -.5849327534015372, (1493, 3) = 0.5849454577888464e-2, (1494, 1) = .47467408096994806, (1494, 2) = -.5849178311056163, (1494, 3) = 0.5830596423406107e-2, (1495, 1) = .4731828326229401, (1495, 2) = -.5849029897927535, (1495, 3) = 0.5811785131605173e-2, (1496, 1) = .47169490883844656, (1496, 2) = -.5848882289871647, (1496, 3) = 0.5793020620296827e-2, (1497, 1) = .47021029480012827, (1497, 2) = -.5848735482167968, (1497, 3) = 0.5774302175153993e-2, (1498, 1) = .46872897579015627, (1498, 2) = -.5848589470132918, (1498, 3) = 0.5755629941024367e-2, (1499, 1) = .46725093718834526, (1499, 2) = -.5848444249119487, (1499, 3) = 0.573700353641559e-2, (1500, 1) = .4657761644666621, (1500, 2) = -.5848299814516442, (1500, 3) = 0.5718423045598929e-2, (1501, 1) = .4643046431253481, (1501, 2) = -.5848156161741805, (1501, 3) = 0.56998881032711175e-2, (1502, 1) = .4628363588088537, (1502, 2) = -.5848013286253962, (1502, 3) = 0.5681398157430291e-2, (1503, 1) = .4613712972811138, (1503, 2) = -.5847871183548934, (1503, 3) = 0.5662953417705207e-2, (1504, 1) = .459909444399476, (1504, 2) = -.5847729849157542, (1504, 3) = 0.56445531748867215e-2, (1505, 1) = .45845078611388024, (1505, 2) = -.5847589278645096, (1505, 3) = 0.5626197967080952e-2, (1506, 1) = .45699530846605874, (1506, 2) = -.5847449467610988, (1506, 3) = 0.5607886667014148e-2, (1507, 1) = .45554299758873895, (1507, 2) = -.5847310411688456, (1507, 3) = 0.558961982023995e-2, (1508, 1) = .4540938397048611, (1508, 2) = -.584717210654417, (1508, 3) = 0.5571396803484708e-2, (1509, 1) = .45264782112679397, (1509, 2) = -.5847034547877961, (1509, 3) = 0.555321760013499e-2, (1510, 1) = .451204928239911, (1510, 2) = -.5846897731420989, (1510, 3) = 0.5535081621141951e-2, (1511, 1) = .44976514746230306, (1511, 2) = -.5846761652931752, (1511, 3) = 0.55169892149326905e-2, (1512, 1) = .4483284653630415, (1512, 2) = -.5846626308207006, (1512, 3) = 0.5498939693747279e-2, (1513, 1) = .4468948686064773, (1513, 2) = -.5846491693076239, (1513, 3) = 0.5480932978998231e-2, (1514, 1) = .44546434394259615, (1514, 2) = -.5846357803400531, (1514, 3) = 0.54629694195468415e-2, (1515, 1) = .4440368782062881, (1515, 2) = -.5846224635072187, (1515, 3) = 0.5445047766950275e-2, (1516, 1) = .44261245831662605, (1516, 2) = -.5846092184014523, (1516, 3) = 0.5427168513701008e-2, (1517, 1) = .4411910712761514, (1517, 2) = -.5845960446181513, (1517, 3) = 0.5409331229184087e-2, (1518, 1) = .4397727041701722, (1518, 2) = -.5845829417557514, (1518, 3) = 0.5391535980034882e-2, (1519, 1) = .4383573441660569, (1519, 2) = -.5845699094156973, (1519, 3) = 0.5373782299857932e-2, (1520, 1) = .4369449784806514, (1520, 2) = -.5845569472021231, (1520, 3) = 0.5356069992116662e-2, (1521, 1) = .4355355943872097, (1521, 2) = -.584544054721898, (1521, 3) = 0.5338399133108666e-2, (1522, 1) = .4341291792957724, (1522, 2) = -.5845312315853382, (1522, 3) = 0.5320769360630767e-2, (1523, 1) = .4327257206968405, (1523, 2) = -.5845184774056672, (1523, 3) = 0.5303180204959729e-2, (1524, 1) = .4313252061595644, (1524, 2) = -.5845057917989798, (1524, 3) = 0.5285631691854973e-2, (1525, 1) = .42992762333109025, (1525, 2) = -.5844931743842123, (1525, 3) = 0.5268123987113238e-2, (1526, 1) = .4285329599359113, (1526, 2) = -.5844806247831168, (1526, 3) = 0.5250656366311808e-2, (1527, 1) = .42714120377522274, (1527, 2) = -.5844681426202349, (1527, 3) = 0.5233228990355885e-2, (1528, 1) = .4257523427262928, (1528, 2) = -.5844557275228724, (1528, 3) = 0.5215841235933847e-2, (1529, 1) = .42436636474129835, (1529, 2) = -.5844433791210686, (1529, 3) = 0.5198493541874232e-2, (1530, 1) = .4229832577970211, (1530, 2) = -.5844310970471293, (1530, 3) = 0.51811853986248515e-2, (1531, 1) = .4216030099628953, (1531, 2) = -.584418880936217, (1531, 3) = 0.5163916229864688e-2, (1532, 1) = .42022560941583703, (1532, 2) = -.5844067304264594, (1532, 3) = 0.5146686606431424e-2, (1533, 1) = .4188510444057249, (1533, 2) = -.5843946451586215, (1533, 3) = 0.5129495851896047e-2, (1534, 1) = .4174793032547997, (1534, 2) = -.5843826247760809, (1534, 3) = 0.5112343818129319e-2, (1535, 1) = .41611037435707776, (1535, 2) = -.5843706689248042, (1535, 3) = 0.5095230316786102e-2, (1536, 1) = .41474424617776545, (1536, 2) = -.5843587772533254, (1536, 3) = 0.5078155545251712e-2, (1537, 1) = .4133809072526758, (1537, 2) = -.5843469494127181, (1537, 3) = 0.5061119020897157e-2, (1538, 1) = .4120203461876638, (1538, 2) = -.584335185056575, (1538, 3) = 0.5044120468748531e-2, (1539, 1) = .41066255165221727, (1539, 2) = -.5843234838409357, (1539, 3) = 0.50271599608012465e-2, (1540, 1) = .40930751233199625, (1540, 2) = -.5843118454238593, (1540, 3) = 0.5010237220829585e-2, (1541, 1) = .4079552170256255, (1541, 2) = -.5843002694662438, (1541, 3) = 0.4993351808010607e-2, (1542, 1) = .4066056546149601, (1542, 2) = -.5842887556315506, (1542, 3) = 0.49765041696523266e-2, (1543, 1) = .4052588140490894, (1543, 2) = -.5842773035856439, (1543, 3) = 0.495969368091892e-2, (1544, 1) = .4039146843437955, (1544, 2) = -.5842659129967739, (1544, 3) = 0.49429203493896335e-2, (1545, 1) = .40257325458102083, (1545, 2) = -.5842545835355523, (1545, 3) = 0.4926183820368597e-2, (1546, 1) = .4012345139083406, (1546, 2) = -.5842433148749332, (1546, 3) = 0.4909483980438444e-2, (1547, 1) = .3998984515384377, (1547, 2) = -.5842321066901913, (1547, 3) = 0.4892821028267905e-2, (1548, 1) = .3985650567485869, (1548, 2) = -.5842209586588989, (1548, 3) = 0.4876193947181562e-2, (1549, 1) = .3972343188641055, (1549, 2) = -.5842098704607767, (1549, 3) = 0.4859603516955357e-2, (1550, 1) = .39590622723560454, (1550, 2) = -.584198841777486, (1550, 3) = 0.4843049036532965e-2, (1551, 1) = .3945807713278372, (1551, 2) = -.584187872293356, (1551, 3) = 0.4826530599711444e-2, (1552, 1) = .39325794067271763, (1552, 2) = -.5841769616949728, (1552, 3) = 0.4810048044991865e-2, (1553, 1) = .3919377248642176, (1553, 2) = -.5841661096711203, (1553, 3) = 0.479360095338809e-2, (1554, 1) = .39062011355787485, (1554, 2) = -.584155315912761, (1554, 3) = 0.477718914544643e-2, (1555, 1) = .38930509647031186, (1555, 2) = -.5841445801130195, (1555, 3) = 0.4760812894137888e-2, (1556, 1) = .38799266337875865, (1556, 2) = -.5841339019671586, (1556, 3) = 0.4744471788125959e-2, (1557, 1) = .386682804120576, (1557, 2) = -.5841232811725636, (1557, 3) = 0.4728165512924437e-2, (1558, 1) = .3853755085927874, (1558, 2) = -.584112717428724, (1558, 3) = 0.4711893992762361e-2, (1559, 1) = .3840707667213574, (1559, 2) = -.5841022104369701, (1559, 3) = 0.4695657377393699e-2, (1560, 1) = .3827685684812669, (1560, 2) = -.5840917599006239, (1560, 3) = 0.4679455269353911e-2, (1561, 1) = .38146890394681643, (1561, 2) = -.584081365525388, (1561, 3) = 0.4663287526920724e-2, (1562, 1) = .3801717632503338, (1562, 2) = -.5840710270189969, (1562, 3) = 0.4647153891220075e-2, (1563, 1) = .3788771365815163, (1563, 2) = -.5840607440911987, (1563, 3) = 0.4631054554207496e-2, (1564, 1) = .3775850141869826, (1564, 2) = -.5840505164537345, (1564, 3) = 0.4614988986431827e-2, (1565, 1) = .3762953863698377, (1565, 2) = -.5840403438203249, (1565, 3) = 0.4598957464057076e-2, (1566, 1) = .3750082434892382, (1566, 2) = -.5840302259066494, (1566, 3) = 0.45829593638846465e-2, (1567, 1) = .3737235759599638, (1567, 2) = -.5840201624303326, (1567, 3) = 0.4566994761411113e-2, (1568, 1) = .37244137425074453, (1568, 2) = -.5840101531109162, (1568, 3) = 0.4551063577714444e-2, (1569, 1) = .3711616288422991, (1569, 2) = -.5840001976695187, (1569, 3) = 0.45351655259210175e-2, (1570, 1) = .36988433029270146, (1570, 2) = -.5839902958293373, (1570, 3) = 0.4519300778567794e-2, (1571, 1) = .3686094692361805, (1571, 2) = -.5839804473156173, (1571, 3) = 0.4503468617460593e-2, (1572, 1) = .3673370363604796, (1572, 2) = -.583970651855468, (1572, 3) = 0.44876695194257694e-2, (1573, 1) = .3660670224064538, (1573, 2) = -.5839609091778425, (1573, 3) = 0.4471902883082362e-2, (1574, 1) = .3647994181676676, (1574, 2) = -.5839512190135238, (1574, 3) = 0.44561688400101595e-2, (1575, 1) = .3635342144899956, (1575, 2) = -.5839415810951105, (1575, 3) = 0.4440467473215411e-2, (1576, 1) = .36227140227123017, (1576, 2) = -.5839319951569951, (1576, 3) = 0.4424797858017507e-2, (1577, 1) = .36101097246069086, (1577, 2) = -.5839224609353586, (1577, 3) = 0.4409160619067944e-2, (1578, 1) = .35975291605201254, (1578, 2) = -.5839129781680956, (1578, 3) = 0.43935552280012025e-2, (1579, 1) = .3584972240489543, (1579, 2) = -.5839035465945515, (1579, 3) = 0.4377981551480019e-2, (1580, 1) = .3572438875449062, (1580, 2) = -.5838941659561073, (1580, 3) = 0.4362439707749383e-2, (1581, 1) = .35599289769254977, (1581, 2) = -.5838848359959397, (1581, 3) = 0.43469295918958225e-2, (1582, 1) = .35474424569417706, (1582, 2) = -.5838755564589315, (1582, 3) = 0.4331450694108609e-2, (1583, 1) = .35349792280132336, (1583, 2) = -.5838663270916624, (1583, 3) = 0.4316003307082377e-2, (1584, 1) = .3522539203144007, (1584, 2) = -.5838571476423912, (1584, 3) = 0.4300586856585099e-2, (1585, 1) = .3510122295823374, (1585, 2) = -.5838480178610443, (1585, 3) = 0.4285201641610956e-2, (1586, 1) = .3497728420022159, (1586, 2) = -.5838389374991996, (1586, 3) = 0.4269847164950184e-2, (1587, 1) = .34853574901892254, (1587, 2) = -.583829906310074, (1587, 3) = 0.4254523589214446e-2, (1588, 1) = .3473009421085809, (1588, 2) = -.583820924048392, (1588, 3) = 0.4239230593196571e-2, (1589, 1) = .3460684127690501, (1589, 2) = -.5838119904703079, (1589, 3) = 0.4223968149153321e-2, (1590, 1) = .34483815258535844, (1590, 2) = -.5838031053338689, (1590, 3) = 0.4208736231251502e-2, (1591, 1) = .343610153191112, (1591, 2) = -.5837942683987233, (1591, 3) = 0.4193534124185281e-2, (1592, 1) = .3423844062659731, (1592, 2) = -.5837854794260928, (1592, 3) = 0.4178362659631963e-2, (1593, 1) = .34116090353532375, (1593, 2) = -.5837767381787552, (1593, 3) = 0.4163221303755923e-2, (1594, 1) = .3399396367699336, (1594, 2) = -.5837680444210354, (1594, 3) = 0.4148109684274875e-2, (1595, 1) = .3387205977856291, (1595, 2) = -.5837593979187911, (1595, 3) = 0.4133027874449557e-2, (1596, 1) = .33750377844296503, (1596, 2) = -.5837507984394004, (1596, 3) = 0.4117975682613188e-2, (1597, 1) = .3362891706469044, (1597, 2) = -.5837422457517502, (1597, 3) = 0.4102952971682218e-2, (1598, 1) = .3350767663177297, (1598, 2) = -.5837337396260218, (1598, 3) = 0.4087959895282497e-2, (1599, 1) = .3338665574204037, (1599, 2) = -.5837252798338883, (1599, 3) = 0.40729960224432545e-2, (1600, 1) = .3326585359921372, (1600, 2) = -.5837168661486978, (1600, 3) = 0.4058061166312579e-2, (1601, 1) = .3314526941132651, (1601, 2) = -.5837084983452591, (1601, 3) = 0.404315583336728e-2, (1602, 1) = .3302490239069362, (1602, 2) = -.5837001761998262, (1602, 3) = 0.4028279127807058e-2, (1603, 1) = .32904751753880607, (1603, 2) = -.58369189949009, (1603, 3) = 0.4013431131027131e-2, (1604, 1) = .3278481672167322, (1604, 2) = -.5836836679951665, (1604, 3) = 0.3998612262190612e-2, (1605, 1) = .3266509651904737, (1605, 2) = -.5836754814955822, (1605, 3) = 0.39838217508907986e-2, (1606, 1) = .3254559037513919, (1606, 2) = -.5836673397732658, (1606, 3) = 0.396905962594566e-2, (1607, 1) = .3242629752301279, (1607, 2) = -.5836592426115235, (1607, 3) = 0.3954326181653497e-2, (1608, 1) = .3230721719625055, (1608, 2) = -.5836511897947962, (1608, 3) = 0.3939620613526768e-2, (1609, 1) = .32188348634930386, (1609, 2) = -.5836431811090622, (1609, 3) = 0.3924943743208568e-2, (1610, 1) = .3206969108462414, (1610, 2) = -.5836352163417518, (1610, 3) = 0.3910294533556716e-2, (1611, 1) = .3195124379491688, (1611, 2) = -.5836272952816438, (1611, 3) = 0.3895673385319258e-2, (1612, 1) = .3183300601937889, (1612, 2) = -.5836194177188503, (1612, 3) = 0.38810798639594005e-2, (1613, 1) = .31714977015537565, (1613, 2) = -.5836115834448096, (1613, 3) = 0.3866514262259912e-2, (1614, 1) = .3159715604484949, (1614, 2) = -.5836037922522714, (1614, 3) = 0.3851976179544046e-2, (1615, 1) = .3147954237267282, (1615, 2) = -.583596043935291, (1615, 3) = 0.38374656225679295e-2, (1616, 1) = .3136213526824013, (1616, 2) = -.5835883382892159, (1616, 3) = 0.38229824726567006e-2, (1617, 1) = .31244934003868924, (1617, 2) = -.5835806751106265, (1617, 3) = 0.38085266598971925e-2, (1618, 1) = .3112793785262039, (1618, 2) = -.5835730541971772, (1618, 3) = 0.3794098153085806e-2, (1619, 1) = .31011146094727554, (1619, 2) = -.5835654753480064, (1619, 3) = 0.3779696454580717e-2, (1620, 1) = .30894558014733786, (1620, 2) = -.5835579383635426, (1620, 3) = 0.37653216890269196e-2, (1621, 1) = .3077817290092228, (1621, 2) = -.5835504430454563, (1621, 3) = 0.3750973961609968e-2, (1622, 1) = .306619900452904, (1622, 2) = -.5835429891966502, (1622, 3) = 0.37366529317481014e-2, (1623, 1) = .30546008743523817, (1623, 2) = -.5835355766212511, (1623, 3) = 0.3722358523310781e-2, (1624, 1) = .3043022829497098, (1624, 2) = -.5835282051245994, (1624, 3) = 0.3708090569344315e-2, (1625, 1) = .30314648002617983, (1625, 2) = -.5835208745132402, (1625, 3) = 0.36938491671287153e-2, (1626, 1) = .3019926717306341, (1626, 2) = -.5835135845949136, (1626, 3) = 0.36796343939378916e-2, (1627, 1) = .30084085114869874, (1627, 2) = -.5835063351784411, (1627, 3) = 0.3665445483082805e-2, (1628, 1) = .2996910113862546, (1628, 2) = -.5834991260737298, (1628, 3) = 0.36512829551641804e-2, (1629, 1) = .29854314561609263, (1629, 2) = -.5834919570920498, (1629, 3) = 0.36371462940164158e-2, (1630, 1) = .29739724704700476, (1630, 2) = -.5834848280458373, (1630, 3) = 0.36230355671947535e-2, (1631, 1) = .29625330892267415, (1631, 2) = -.5834777387486771, (1631, 3) = 0.36089507862021265e-2, (1632, 1) = .29511132452144134, (1632, 2) = -.5834706890152942, (1632, 3) = 0.359489190638878e-2, (1633, 1) = .2939712871560667, (1633, 2) = -.583463678661544, (1633, 3) = 0.35808584361689687e-2, (1634, 1) = .292833190173497, (1634, 2) = -.5834567075044067, (1634, 3) = 0.356685071551413e-2, (1635, 1) = .2916970269546331, (1635, 2) = -.5834497753619741, (1635, 3) = 0.35528679979629943e-2, (1636, 1) = .29056279091394077, (1636, 2) = -.5834428820534456, (1636, 3) = 0.3538910972124811e-2, (1637, 1) = .28943047547263734, (1637, 2) = -.5834360273989548, (1637, 3) = 0.35249791929802396e-2, (1638, 1) = .2883000740930162, (1638, 2) = -.5834292112197738, (1638, 3) = 0.351107269486034e-2, (1639, 1) = .28717158029024065, (1639, 2) = -.5834224333383745, (1639, 3) = 0.3497191392730116e-2, (1640, 1) = .28604498761229047, (1640, 2) = -.583415693578302, (1640, 3) = 0.34833346118642587e-2, (1641, 1) = .2849202896397382, (1641, 2) = -.583408991764167, (1641, 3) = 0.34695031832235293e-2, (1642, 1) = .2837974799855331, (1642, 2) = -.5834023277216328, (1642, 3) = 0.3455696104812695e-2, (1643, 1) = .28267655229478295, (1643, 2) = -.5833957012774136, (1643, 3) = 0.34419140222019936e-2, (1644, 1) = .2815575002445399, (1644, 2) = -.5833891122592618, (1644, 3) = 0.342815652918274e-2, (1645, 1) = .2804403175435873, (1645, 2) = -.5833825604959628, (1645, 3) = 0.3414423694884322e-2, (1646, 1) = .27932499792944326, (1646, 2) = -.583376045817309, (1646, 3) = 0.3400714996993403e-2, (1647, 1) = .2782115351414112, (1647, 2) = -.5833695680539398, (1647, 3) = 0.33870309439410743e-2, (1648, 1) = .2770999229735108, (1648, 2) = -.583363127037641, (1648, 3) = 0.3373370682508261e-2, (1649, 1) = .2759901552600315, (1649, 2) = -.5833567226012578, (1649, 3) = 0.33597351170734893e-2, (1650, 1) = .2748822258659471, (1650, 2) = -.5833503545786256, (1650, 3) = 0.33461232117832245e-2, (1651, 1) = .2737761286867116, (1651, 2) = -.5833440228045687, (1651, 3) = 0.33325356841782724e-2, (1652, 1) = .2726718576480589, (1652, 2) = -.5833377271148887, (1652, 3) = 0.33189715244926962e-2, (1653, 1) = .2715694067058035, (1653, 2) = -.583331467346361, (1653, 3) = 0.3305431511699808e-2, (1654, 1) = .2704687698456427, (1654, 2) = -.5833252433367229, (1654, 3) = 0.3291915123493402e-2, (1655, 1) = .2693699410829605, (1655, 2) = -.583319054924671, (1655, 3) = 0.32784226671923574e-2, (1656, 1) = .2682729144543761, (1656, 2) = -.5833129019498036, (1656, 3) = 0.3264953287189244e-2, (1657, 1) = .2671776840031296, (1657, 2) = -.5833067842525401, (1657, 3) = 0.32515076934443335e-2, (1658, 1) = .2660842438301195, (1658, 2) = -.583300701674393, (1658, 3) = 0.32380853065640744e-2, (1659, 1) = .2649925880681822, (1659, 2) = -.5832946540578244, (1659, 3) = 0.32246863422300343e-2, (1660, 1) = .26390271087887607, (1660, 2) = -.5832886412462165, (1660, 3) = 0.32113102470931413e-2, (1661, 1) = .262814606452295, (1661, 2) = -.583282663083869, (1661, 3) = 0.31979576876165323e-2, (1662, 1) = .2617282690068839, (1662, 2) = -.5832767194159885, (1662, 3) = 0.31846282059085065e-2, (1663, 1) = .26064369278925403, (1663, 2) = -.5832708100886838, (1663, 3) = 0.3171321391687185e-2, (1664, 1) = .25956087207400336, (1664, 2) = -.5832649349489605, (1664, 3) = 0.31580375925329574e-2, (1665, 1) = .25847980116353225, (1665, 2) = -.5832590938447115, (1665, 3) = 0.31447763866007394e-2, (1666, 1) = .2574004743717047, (1666, 2) = -.583253286624627, (1666, 3) = 0.31315380672969854e-2, (1667, 1) = .2563228860322742, (1667, 2) = -.5832475131382339, (1667, 3) = 0.31183225458864972e-2, (1668, 1) = .2552470305303558, (1668, 2) = -.5832417732360566, (1668, 3) = 0.31051293294885336e-2, (1669, 1) = .25417290227838313, (1669, 2) = -.5832360667694872, (1669, 3) = 0.30919585407319064e-2, (1670, 1) = .2531004957157053, (1670, 2) = -.5832303935907736, (1670, 3) = 0.30788102072522275e-2, (1671, 1) = .25202980530841446, (1671, 2) = -.5832247535530136, (1671, 3) = 0.3065684297134349e-2, (1672, 1) = .2509608255491759, (1672, 2) = -.5832191465101505, (1672, 3) = 0.3052580576773545e-2, (1673, 1) = .24989355095705718, (1673, 2) = -.5832135723169648, (1673, 3) = 0.30394987883844366e-2, (1674, 1) = .24882797607736257, (1674, 2) = -.5832080308290711, (1674, 3) = 0.30264393602597362e-2, (1675, 1) = .24776409548094266, (1675, 2) = -.5832025219029072, (1675, 3) = 0.30134018437484216e-2, (1676, 1) = .24670190374050213, (1676, 2) = -.5831970453956061, (1676, 3) = 0.30003862527098082e-2, (1677, 1) = .24564139546600405, (1677, 2) = -.5831916011651789, (1677, 3) = 0.2987392510450825e-2, (1678, 1) = .24458256530660236, (1678, 2) = -.5831861890705132, (1678, 3) = 0.29744204860721697e-2, (1679, 1) = .24352540793685848, (1679, 2) = -.5831808089713025, (1679, 3) = 0.29614701661327355e-2, (1680, 1) = .24246991805658166, (1680, 2) = -.5831754607280348, (1680, 3) = 0.29485413704492818e-2, (1681, 1) = .24141609039067105, (1681, 2) = -.5831701442019919, (1681, 3) = 0.2935634213742891e-2, (1682, 1) = .2403639196889576, (1682, 2) = -.583164859255238, (1682, 3) = 0.29227483242083704e-2, (1683, 1) = .239313400726046, (1683, 2) = -.5831596057506218, (1683, 3) = 0.29098841220399243e-2, (1684, 1) = .2382645283011632, (1684, 2) = -.5831543835517627, (1684, 3) = 0.28970412566407173e-2, (1685, 1) = .23721729723451657, (1685, 2) = -.5831491925230338, (1685, 3) = 0.28842193153890347e-2, (1686, 1) = .23617170234671367, (1686, 2) = -.5831440325294543, (1686, 3) = 0.28714188092634845e-2, (1687, 1) = .23512773850450494, (1687, 2) = -.5831389034369119, (1687, 3) = 0.2858639203559848e-2, (1688, 1) = .23408540060459568, (1688, 2) = -.5831338051120758, (1688, 3) = 0.28458807222812082e-2, (1689, 1) = .23304468356754812, (1689, 2) = -.5831287374223642, (1689, 3) = 0.2833143208992444e-2, (1690, 1) = .2320055823376319, (1690, 2) = -.5831237002359361, (1690, 3) = 0.28204265529537566e-2, (1691, 1) = .23096809188267767, (1691, 2) = -.5831186934216882, (1691, 3) = 0.2807730689057839e-2, (1692, 1) = .22993220719393173, (1692, 2) = -.5831137168492485, (1692, 3) = 0.2795055455701559e-2, (1693, 1) = .22889792328591105, (1693, 2) = -.5831087703889734, (1693, 3) = 0.27824010919543815e-2, (1694, 1) = .22786523519625926, (1694, 2) = -.5831038539119382, (1694, 3) = 0.2769767100969186e-2, (1695, 1) = .22683413797684895, (1695, 2) = -.5830989672898954, (1695, 3) = 0.2757153737854225e-2, (1696, 1) = .2258046266863864, (1696, 2) = -.5830941103952345, (1696, 3) = 0.27445607989375776e-2, (1697, 1) = .2247766964299976, (1697, 2) = -.5830892831011639, (1697, 3) = 0.27319882070271826e-2, (1698, 1) = .22375034233691712, (1698, 2) = -.5830844852816008, (1698, 3) = 0.27194357887326947e-2, (1699, 1) = .2227255595588008, (1699, 2) = -.5830797168111611, (1699, 3) = 0.27069038064881563e-2, (1700, 1) = .2217023432695864, (1700, 2) = -.58307497756515, (1700, 3) = 0.26943920705802204e-2, (1701, 1) = .22068068866535992, (1701, 2) = -.5830702674195619, (1701, 3) = 0.2681900471837865e-2, (1702, 1) = .2196605909642198, (1702, 2) = -.5830655862510717, (1702, 3) = 0.2669428732958829e-2, (1703, 1) = .21864204540614318, (1703, 2) = -.5830609339370342, (1703, 3) = 0.26569771187817362e-2, (1704, 1) = .21762504725285242, (1704, 2) = -.5830563103554747, (1704, 3) = 0.26445451576355234e-2, (1705, 1) = .21660959177166808, (1705, 2) = -.5830517153850163, (1705, 3) = 0.263213309058233e-2, (1706, 1) = .21559567425001128, (1706, 2) = -.5830471489049411, (1706, 3) = 0.2619741131798098e-2, (1707, 1) = .2145832900145154, (1707, 2) = -.5830426107952701, (1707, 3) = 0.2607368517833159e-2, (1708, 1) = .21357243441304247, (1708, 2) = -.5830381009366808, (1708, 3) = 0.2595015808462296e-2, (1709, 1) = .2125631028145455, (1709, 2) = -.5830336192104989, (1709, 3) = 0.2582682400471881e-2, (1710, 1) = .2115552906089415, (1710, 2) = -.5830291654986977, (1710, 3) = 0.2570368516528324e-2, (1711, 1) = .21054899320698497, (1711, 2) = -.5830247396838905, (1711, 3) = 0.2558074352728227e-2, (1712, 1) = .20954420604014434, (1712, 2) = -.5830203416493273, (1712, 3) = 0.25457993682156087e-2, (1713, 1) = .20854092456047682, (1713, 2) = -.5830159712788915, (1713, 3) = 0.25335436702710904e-2, (1714, 1) = .207539144239535, (1714, 2) = -.5830116284570908, (1714, 3) = 0.2521307410062169e-2, (1715, 1) = .20653886054811538, (1715, 2) = -.5830073130689641, (1715, 3) = 0.2509089992585585e-2, (1716, 1) = .20554006899046867, (1716, 2) = -.5830030250002318, (1716, 3) = 0.24968920802786324e-2, (1717, 1) = .20454276510022845, (1717, 2) = -.5829987641372677, (1717, 3) = 0.24847132116668216e-2, (1718, 1) = .20354694443100516, (1718, 2) = -.5829945303670563, (1718, 3) = 0.2472553075918749e-2, (1719, 1) = .2025526025562668, (1719, 2) = -.5829903235771914, (1719, 3) = 0.24604117614101723e-2, (1720, 1) = .2015597350692233, (1720, 2) = -.5829861436558694, (1720, 3) = 0.24482895070591015e-2, (1721, 1) = .2005683375827078, (1721, 2) = -.5829819904918856, (1721, 3) = 0.2436186134011029e-2, (1722, 1) = .19957840572906252, (1722, 2) = -.5829778639746293, (1722, 3) = 0.24241015428206787e-2, (1723, 1) = .19858993516002188, (1723, 2) = -.582973763994082, (1723, 3) = 0.2412035606852485e-2, (1724, 1) = .19760292154249012, (1724, 2) = -.5829696904407955, (1724, 3) = 0.23999883835664256e-2, (1725, 1) = .1966173605435724, (1725, 2) = -.5829656432058257, (1725, 3) = 0.23879595043109834e-2, (1726, 1) = .19563324786925657, (1726, 2) = -.5829616221808921, (1726, 3) = 0.2375949256425748e-2, (1727, 1) = .19465057924813106, (1727, 2) = -.5829576272583042, (1727, 3) = 0.2363957368690261e-2, (1728, 1) = .1936693504276085, (1728, 2) = -.5829536583309436, (1728, 3) = 0.2351983968647531e-2, (1729, 1) = .19268955717381717, (1729, 2) = -.5829497152922584, (1729, 3) = 0.2340028836711443e-2, (1730, 1) = .19171119527149008, (1730, 2) = -.5829457980362608, (1730, 3) = 0.23280920454157405e-2, (1731, 1) = .19073426052385836, (1731, 2) = -.5829419064575239, (1731, 3) = 0.2316173284555044e-2, (1732, 1) = .18975874875254048, (1732, 2) = -.5829380404511765, (1732, 3) = 0.23042727490494587e-2, (1733, 1) = .18878465579743978, (1733, 2) = -.5829341999129006, (1733, 3) = 0.2292390286504879e-2, (1734, 1) = .1878119775074915, (1734, 2) = -.5829303847388917, (1734, 3) = 0.22805257839216384e-2, (1735, 1) = .18684070973922104, (1735, 2) = -.582926594825851, (1735, 3) = 0.22686795222401335e-2, (1736, 1) = .18587084838645185, (1736, 2) = -.582922830071096, (1736, 3) = 0.22568510525687886e-2, (1737, 1) = .18490238936155381, (1737, 2) = -.5829190903724873, (1737, 3) = 0.22450403601767493e-2, (1738, 1) = .1839353285946513, (1738, 2) = -.5829153756284206, (1738, 3) = 0.2233247757604406e-2, (1739, 1) = .18296966203352077, (1739, 2) = -.5829116857378199, (1739, 3) = 0.22214726060261992e-2, (1740, 1) = .18200538564348936, (1740, 2) = -.5829080206001404, (1740, 3) = 0.22097151620640164e-2, (1741, 1) = .1810424954073346, (1741, 2) = -.5829043801153589, (1741, 3) = 0.21979753346673286e-2, (1742, 1) = .1800809873251827, (1742, 2) = -.5829007641839759, (1742, 3) = 0.2186253430915614e-2, (1743, 1) = .17912085741436704, (1743, 2) = -.5828971727070051, (1743, 3) = 0.2174548664265374e-2, (1744, 1) = .17816210169372657, (1744, 2) = -.5828936055859205, (1744, 3) = 0.216286163396235e-2, (1745, 1) = .17720471620242959, (1745, 2) = -.5828900627227176, (1745, 3) = 0.2151191918002771e-2, (1746, 1) = .17624869700938786, (1746, 2) = -.5828865440199476, (1746, 3) = 0.2139539391285154e-2, (1747, 1) = .17529404020036804, (1747, 2) = -.5828830493806668, (1747, 3) = 0.2127904326626068e-2, (1748, 1) = .17434074187789655, (1748, 2) = -.5828795787084317, (1748, 3) = 0.211628657784015e-2, (1749, 1) = .17338879816116332, (1749, 2) = -.5828761319072951, (1749, 3) = 0.2104685934863585e-2, (1750, 1) = .1724382051859276, (1750, 2) = -.5828727088818064, (1750, 3) = 0.20931024788785483e-2, (1751, 1) = .17148895910442422, (1751, 2) = -.5828693095370052, (1751, 3) = 0.20815359784927025e-2, (1752, 1) = .17054105608527068, (1752, 2) = -.5828659337784184, (1752, 3) = 0.2069986706578426e-2, (1753, 1) = .1695944923119247, (1753, 2) = -.582862581512053, (1753, 3) = 0.205845416101718e-2, (1754, 1) = .1686492639659176, (1754, 2) = -.5828592526443359, (1754, 3) = 0.20469389043577964e-2, (1755, 1) = .16770536725856955, (1755, 2) = -.5828559470822182, (1755, 3) = 0.20354400202468046e-2, (1756, 1) = .16676279842345998, (1756, 2) = -.5828526647331532, (1756, 3) = 0.2023958413228404e-2, (1757, 1) = .1658215537100916, (1757, 2) = -.5828494055050631, (1757, 3) = 0.20124934319583052e-2, (1758, 1) = .16488162938379816, (1758, 2) = -.5828461693063415, (1758, 3) = 0.20010451422189696e-2, (1759, 1) = .16394302172565858, (1759, 2) = -.5828429560458477, (1759, 3) = 0.1989613581036635e-2, (1760, 1) = .163005727032406, (1760, 2) = -.5828397656329046, (1760, 3) = 0.19781985080268554e-2, (1761, 1) = .16206974161634372, (1761, 2) = -.5828365979772965, (1761, 3) = 0.19668002577540133e-2, (1762, 1) = .16113506180525483, (1762, 2) = -.5828334529892629, (1762, 3) = 0.19554182480002696e-2, (1763, 1) = .16020168393766543, (1763, 2) = -.5828303305794853, (1763, 3) = 0.19440527890723636e-2, (1764, 1) = .15926960435278034, (1764, 2) = -.5828272306590476, (1764, 3) = 0.19327038008871617e-2, (1765, 1) = .15833881942249634, (1765, 2) = -.5828241531395415, (1765, 3) = 0.1921371146364969e-2, (1766, 1) = .15740932553600015, (1766, 2) = -.5828210979330128, (1766, 3) = 0.19100549444649709e-2, (1767, 1) = .15648111909752943, (1767, 2) = -.5828180649519494, (1767, 3) = 0.18987548944107125e-2, (1768, 1) = .15555419652629182, (1768, 2) = -.5828150541092793, (1768, 3) = 0.1887470772886162e-2, (1769, 1) = .15462855425638092, (1769, 2) = -.5828120653183713, (1769, 3) = 0.18762031088126981e-2, (1770, 1) = .1537041887366945, (1770, 2) = -.5828090984930262, (1770, 3) = 0.18649515495559234e-2, (1771, 1) = .15278109643085228, (1771, 2) = -.5828061535474776, (1771, 3) = 0.18537161039671503e-2, (1772, 1) = .15185927381711684, (1772, 2) = -.582803230396388, (1772, 3) = 0.18424965740857688e-2, (1773, 1) = .15093871737887823, (1773, 2) = -.582800328954819, (1773, 3) = 0.18312931548339767e-2, (1774, 1) = .15001942360812567, (1774, 2) = -.582797449138237, (1774, 3) = 0.182010551207881e-2, (1775, 1) = .14910138902665648, (1775, 2) = -.5827945908625788, (1775, 3) = 0.18089337151668294e-2, (1776, 1) = .14818461017081483, (1776, 2) = -.5827917540442022, (1776, 3) = 0.17977778752068347e-2, (1777, 1) = .1472690835911855, (1777, 2) = -.5827889385998796, (1777, 3) = 0.178663768322407e-2, (1778, 1) = .14635480585251792, (1778, 2) = -.5827861444467974, (1778, 3) = 0.17755132980397021e-2, (1779, 1) = .14544177353364707, (1779, 2) = -.5827833715025535, (1779, 3) = 0.17644045648742398e-2, (1780, 1) = .14452998322741745, (1780, 2) = -.582780619685154, (1780, 3) = 0.17533113704797168e-2, (1781, 1) = .1436194315406074, (1781, 2) = -.5827778889130115, (1781, 3) = 0.17422339627555202e-2, (1782, 1) = .14271011509362852, (1782, 2) = -.5827751791049396, (1782, 3) = 0.17311719561578427e-2, (1783, 1) = .14180203050598542, (1783, 2) = -.5827724901801115, (1783, 3) = 0.1720125604050166e-2, (1784, 1) = .140895174417021, (1784, 2) = -.5827698220581163, (1784, 3) = 0.17090945290169051e-2, (1785, 1) = .1399895434887974, (1785, 2) = -.582767174658968, (1785, 3) = 0.16980789671772623e-2, (1786, 1) = .1390851343969337, (1786, 2) = -.5827645479030723, (1786, 3) = 0.16870786632404015e-2, (1787, 1) = .1381819438305339, (1787, 2) = -.5827619417112272, (1787, 3) = 0.16760937583866209e-2, (1788, 1) = .13727996849211263, (1788, 2) = -.5827593560046191, (1788, 3) = 0.16651241864552044e-2, (1789, 1) = .136379205097524, (1789, 2) = -.5827567907048206, (1789, 3) = 0.16541697094303678e-2, (1790, 1) = .13547965037589038, (1790, 2) = -.5827542457337876, (1790, 3) = 0.16432306277403702e-2, (1791, 1) = .13458130106952976, (1791, 2) = -.5827517210138587, (1791, 3) = 0.16323062175010237e-2, (1792, 1) = .1336841539319642, (1792, 2) = -.5827492164677457, (1792, 3) = 0.16213971802979735e-2, (1793, 1) = .13278820571452057, (1793, 2) = -.5827467320184964, (1793, 3) = 0.16105033643787684e-2, (1794, 1) = .13189345319485074, (1794, 2) = -.5827442675895688, (1794, 3) = 0.15996243096453487e-2, (1795, 1) = .1309998931676427, (1795, 2) = -.5827418231048065, (1795, 3) = 0.15887600960614182e-2, (1796, 1) = .13010752244042906, (1796, 2) = -.5827393984884243, (1796, 3) = 0.15779111997868236e-2, (1797, 1) = .1292163378335189, (1797, 2) = -.582736993665002, (1797, 3) = 0.15670769304231814e-2, (1798, 1) = .12832633617993003, (1798, 2) = -.5827346085594868, (1798, 3) = 0.15562575974901076e-2, (1799, 1) = .12743751432532113, (1799, 2) = -.5827322430971883, (1799, 3) = 0.15454528766379746e-2, (1800, 1) = .12654986912792518, (1800, 2) = -.5827298972037784, (1800, 3) = 0.15346630171796467e-2, (1801, 1) = .12566339745848276, (1801, 2) = -.5827275708052873, (1801, 3) = 0.1523887776567456e-2, (1802, 1) = .12477809619505278, (1802, 2) = -.5827252638280876, (1802, 3) = 0.15131271995277222e-2, (1803, 1) = .1238939622172292, (1803, 2) = -.5827229761988818, (1803, 3) = 0.15023812248964109e-2, (1804, 1) = .12301099243197787, (1804, 2) = -.5827207078447622, (1804, 3) = 0.1491649980844112e-2, (1805, 1) = .12212918375968353, (1805, 2) = -.582718458693175, (1805, 3) = 0.14809332106215567e-2, (1806, 1) = .12124853313290951, (1806, 2) = -.582716228671915, (1806, 3) = 0.14702309113237774e-2, (1807, 1) = .12036903749633401, (1807, 2) = -.5827140177091233, (1807, 3) = 0.14595429076649557e-2, (1808, 1) = .11949069380668594, (1808, 2) = -.5827118257332847, (1808, 3) = 0.1448869207115689e-2, (1809, 1) = .11861349903268223, (1809, 2) = -.5827096526732264, (1809, 3) = 0.14382098933266576e-2, (1810, 1) = .11773745015496562, (1810, 2) = -.5827074984581169, (1810, 3) = 0.14275653392007677e-2, (1811, 1) = .11686254416604214, (1811, 2) = -.5827053630174586, (1811, 3) = 0.1416934715174096e-2, (1812, 1) = .11598877806057148, (1812, 2) = -.582703246281071, (1812, 3) = 0.14063184001677836e-2, (1813, 1) = .11511614884291788, (1813, 2) = -.5827011481791007, (1813, 3) = 0.1395716173489458e-2, (1814, 1) = .11424465354103411, (1814, 2) = -.5826990686420573, (1814, 3) = 0.13851283218053244e-2, (1815, 1) = .11337428919451992, (1815, 2) = -.5826970076007787, (1815, 3) = 0.13745545330020403e-2, (1816, 1) = .1125050528545294, (1816, 2) = -.5826949649864319, (1816, 3) = 0.1363994819575539e-2, (1817, 1) = .11163694158371226, (1817, 2) = -.5826929407305086, (1817, 3) = 0.13534488793090632e-2, (1818, 1) = .11076995245615316, (1818, 2) = -.5826909347648269, (1818, 3) = 0.13429171252251498e-2, (1819, 1) = .10990408255731406, (1819, 2) = -.5826889470215254, (1819, 3) = 0.13323993004180628e-2, (1820, 1) = .10903932898397461, (1820, 2) = -.582686977433064, (1820, 3) = 0.13218956145556128e-2, (1821, 1) = .1081756888436849, (1821, 2) = -.5826850259322183, (1821, 3) = 0.13114055005673368e-2, (1822, 1) = .10731315924182026, (1822, 2) = -.5826830924520527, (1822, 3) = 0.13009294204270202e-2, (1823, 1) = .10645173730261398, (1823, 2) = -.5826811769259627, (1823, 3) = 0.1290467062842552e-2, (1824, 1) = .10559142016778221, (1824, 2) = -.5826792792876728, (1824, 3) = 0.12800184081600326e-2, (1825, 1) = .1047322049900698, (1825, 2) = -.5826773994712171, (1825, 3) = 0.12695837611090873e-2, (1826, 1) = .10387408893319071, (1826, 2) = -.5826755374109387, (1826, 3) = 0.12591624366674978e-2, (1827, 1) = .10301706917177492, (1827, 2) = -.5826736930414893, (1827, 3) = 0.12487549620602487e-2, (1828, 1) = .10216114289131031, (1828, 2) = -.5826718662978247, (1828, 3) = 0.12383608036797339e-2, (1829, 1) = .101306307288089, (1829, 2) = -.5826700571152064, (1829, 3) = 0.122798028495277e-2, (1830, 1) = .10045255956915115, (1830, 2) = -.5826682654291966, (1830, 3) = 0.12176136628879264e-2, (1831, 1) = 0.9959989694985717e-1, (1831, 2) = -.5826664911756526, (1831, 3) = 0.12072604522199426e-2, (1832, 1) = 0.9874831664366499e-1, (1832, 2) = -.5826647342907045, (1832, 3) = 0.11969204865151012e-2, (1833, 1) = 0.9789781588712795e-1, (1833, 2) = -.5826629947108065, (1833, 3) = 0.11865938223546604e-2, (1834, 1) = 0.9704839192996935e-1, (1834, 2) = -.5826612723727141, (1834, 3) = 0.1176280912655724e-2, (1835, 1) = 0.962000420323893e-1, (1835, 2) = -.5826595672134737, (1835, 3) = 0.11659811138227422e-2, (1836, 1) = 0.9535276346501025e-1, (1836, 2) = -.5826578791704247, (1836, 3) = 0.11556944615481828e-2, (1837, 1) = 0.9450655350882531e-1, (1837, 2) = -.5826562081811971, (1837, 3) = 0.11454213866584826e-2, (1838, 1) = 0.9366140945514562e-1, (1838, 2) = -.5826545541837082, (1838, 3) = 0.11351615785640526e-2, (1839, 1) = 0.9281732860554859e-1, (1839, 2) = -.5826529171161619, (1839, 3) = 0.11249148376326146e-2, (1840, 1) = 0.9197430827182583e-1, (1840, 2) = -.5826512969170466, (1840, 3) = 0.11146810041338488e-2, (1841, 1) = 0.9113234577040732e-1, (1841, 2) = -.5826496935251256, (1841, 3) = 0.11044608792739764e-2, (1842, 1) = 0.9029143842030371e-1, (1842, 2) = -.5826481068794273, (1842, 3) = 0.10942533119607095e-2, (1843, 1) = 0.8945158356329756e-1, (1843, 2) = -.582646536919286, (1843, 3) = 0.1084058865670121e-2, (1844, 1) = 0.8861277855174932e-1, (1844, 2) = -.5826449835843168, (1844, 3) = 0.1073877575672682e-2, (1845, 1) = 0.8777502074797869e-1, (1845, 2) = -.5826434468144092, (1845, 3) = 0.10637091263501013e-2, (1846, 1) = 0.8693830752421451e-1, (1846, 2) = -.5826419265497307, (1846, 3) = 0.10535540232176834e-2, (1847, 1) = 0.8610263626254454e-1, (1847, 2) = -.5826404227307193, (1847, 3) = 0.10434115329468361e-2, (1848, 1) = 0.8526800435486738e-1, (1848, 2) = -.5826389352980865, (1848, 3) = 0.10332817077838901e-2, (1849, 1) = 0.8443440920284329e-1, (1849, 2) = -.5826374641928167, (1849, 3) = 0.1023165314496009e-2, (1850, 1) = 0.8360184821783842e-1, (1850, 2) = -.5826360093561589, (1850, 3) = 0.10130612061275985e-2, (1851, 1) = 0.8277031881111498e-1, (1851, 2) = -.5826345707296158, (1851, 3) = 0.10029698694366033e-2, (1852, 1) = 0.8193981840470038e-1, (1852, 2) = -.5826331482549588, (1852, 3) = 0.9928916537371166e-3, (1853, 1) = 0.8111034443903216e-1, (1853, 2) = -.5826317418742377, (1853, 3) = 0.9828258862697099e-3, (1854, 1) = 0.8028189436406745e-1, (1854, 2) = -.5826303515297656, (1854, 3) = 0.9727726797248258e-3, (1855, 1) = 0.7945446563923697e-1, (1855, 2) = -.5826289771641179, (1855, 3) = 0.9627321863769174e-3, (1856, 1) = 0.786280557333969e-1, (1856, 2) = -.5826276187201295, (1856, 3) = 0.9527042784154234e-3, (1857, 1) = 0.7780266212478379e-1, (1857, 2) = -.5826262761408942, (1857, 3) = 0.9426890806726564e-3, (1858, 1) = 0.7697828230096772e-1, (1858, 2) = -.5826249493697615, (1858, 3) = 0.9326861537246092e-3, (1859, 1) = 0.7615491375880669e-1, (1859, 2) = -.5826236383503387, (1859, 3) = 0.9226961631460069e-3, (1860, 1) = 0.7533255400360409e-1, (1860, 2) = -.5826223430264836, (1860, 3) = 0.9127182864453883e-3, (1861, 1) = 0.7451120053798402e-1, (1861, 2) = -.5826210633422908, (1861, 3) = 0.9027530496072619e-3, (1862, 1) = 0.736908508821558e-1, (1862, 2) = -.5826197992421182, (1862, 3) = 0.8928002048037887e-3, (1863, 1) = 0.728715025698773e-1, (1863, 2) = -.5826185506705798, (1863, 3) = 0.8828592258924092e-3, (1864, 1) = 0.7205315314396761e-1, (1864, 2) = -.5826173175725416, (1864, 3) = 0.8729309757638052e-3, (1865, 1) = 0.7123580015626188e-1, (1865, 2) = -.5826160998931141, (1865, 3) = 0.8630150425864084e-3, (1866, 1) = 0.7041944116756821e-1, (1866, 2) = -.5826148975776538, (1866, 3) = 0.8531114090625072e-3, (1867, 1) = 0.6960407374762274e-1, (1867, 2) = -.5826137105717616, (1867, 3) = 0.843219813112313e-3, (1868, 1) = 0.687896954750481e-1, (1868, 2) = -.5826125388212824, (1868, 3) = 0.8333406357681313e-3, (1869, 1) = 0.6797630393730886e-1, (1869, 2) = -.5826113822723009, (1869, 3) = 0.8234734804960223e-3, (1870, 1) = 0.6716389672787584e-1, (1870, 2) = -.5826102408711397, (1870, 3) = 0.8136183085056452e-3, (1871, 1) = 0.6635247143894818e-1, (1871, 2) = -.5826091145643467, (1871, 3) = 0.8037756487243612e-3, (1872, 1) = 0.6554202568283361e-1, (1872, 2) = -.5826080032987225, (1872, 3) = 0.7939449021858369e-3, (1873, 1) = 0.6473255708213209e-1, (1873, 2) = -.5826069070213077, (1873, 3) = 0.7841260426064231e-3, (1874, 1) = 0.6392406326807264e-1, (1874, 2) = -.5826058256793769, (1874, 3) = 0.7743192960227765e-3, (1875, 1) = 0.6311654188047094e-1, (1875, 2) = -.5826047592204394, (1875, 3) = 0.7645245369934541e-3, (1876, 1) = 0.62309990567688496e-1, (1876, 2) = -.5826037075922359, (1876, 3) = 0.754741750295615e-3, (1877, 1) = 0.61504406986591896e-1, (1877, 2) = -.5826026707427387, (1877, 3) = 0.7449706402262807e-3, (1878, 1) = 0.6069978880251108e-1, (1878, 2) = -.5826016486201505, (1878, 3) = 0.7352117671117854e-3, (1879, 1) = 0.59896133689199736e-1, (1879, 2) = -.5826006411729011, (1879, 3) = 0.7254645938842968e-3, (1880, 1) = 0.59093439322927724e-1, (1880, 2) = -.582599648349642, (1880, 3) = 0.7157290462705838e-3, (1881, 1) = 0.58291703383666967e-1, (1881, 2) = -.5825986700992442, (1881, 3) = 0.7060054777846822e-3, (1882, 1) = 0.57490923570164436e-1, (1882, 2) = -.5825977063708179, (1882, 3) = 0.6962935041556408e-3, (1883, 1) = 0.5669109758964873e-1, (1883, 2) = -.5825967571136973, (1883, 3) = 0.6865935261167286e-3, (1884, 1) = 0.5589222315757068e-1, (1884, 2) = -.5825958222774376, (1884, 3) = 0.6769054151842333e-3, (1885, 1) = 0.5509429799756351e-1, (1885, 2) = -.5825949018118146, (1885, 3) = 0.6672283360579519e-3, (1886, 1) = 0.54297319841404665e-1, (1886, 2) = -.5825939956668276, (1886, 3) = 0.6575632327585049e-3, (1887, 1) = 0.5350128642897746e-1, (1887, 2) = -.5825931037926918, (1887, 3) = 0.6479098452264291e-3, (1888, 1) = 0.5270619550823178e-1, (1888, 2) = -.5825922261398391, (1888, 3) = 0.6382677037667813e-3, (1889, 1) = 0.5191204483505122e-1, (1889, 2) = -.5825913626589209, (1889, 3) = 0.6286374075854274e-3, (1890, 1) = 0.51118832163791615e-1, (1890, 2) = -.5825905133007914, (1890, 3) = 0.6190185962872838e-3, (1891, 1) = 0.50326555260101886e-1, (1891, 2) = -.5825896780165233, (1891, 3) = 0.6094113405237809e-3, (1892, 1) = 0.49535211903996075e-1, (1892, 2) = -.5825888567574086, (1892, 3) = 0.599815397465713e-3, (1893, 1) = 0.4874479988336369e-1, (1893, 2) = -.5825880494749529, (1893, 3) = 0.5902309183465453e-3, (1894, 1) = 0.4795531699393402e-1, (1894, 2) = -.5825872561208705, (1894, 3) = 0.580657809150409e-3, (1895, 1) = 0.4716676103923851e-1, (1895, 2) = -.5825864766470864, (1895, 3) = 0.571096156793715e-3, (1896, 1) = 0.46379129830574586e-1, (1896, 2) = -.5825857110057325, (1896, 3) = 0.5615456608459392e-3, (1897, 1) = 0.455924211869685e-1, (1897, 2) = -.5825849591491497, (1897, 3) = 0.5520066990081035e-3, (1898, 1) = 0.4480663293513974e-1, (1898, 2) = -.5825842210298829, (1898, 3) = 0.542478764372312e-3, (1899, 1) = 0.4402176290834569e-1, (1899, 2) = -.5825834966006826, (1899, 3) = 0.532962311782727e-3, (1900, 1) = 0.43237808937158506e-1, (1900, 2) = -.5825827858144935, (1900, 3) = 0.5234571556339484e-3, (1901, 1) = 0.4245476886830561e-1, (1901, 2) = -.5825820886244698, (1901, 3) = 0.5139627620920644e-3, (1902, 1) = 0.41672640559088196e-1, (1902, 2) = -.5825814049839729, (1902, 3) = 0.5044798804564006e-3, (1903, 1) = 0.4089142187432078e-1, (1903, 2) = -.5825807348465631, (1903, 3) = 0.4950081977576948e-3, (1904, 1) = 0.40111110686295616e-1, (1904, 2) = -.5825800781659995, (1904, 3) = 0.4855474397537671e-3, (1905, 1) = 0.3933170487474866e-1, (1905, 2) = -.5825794348962414, (1905, 3) = 0.4760977971126761e-3, (1906, 1) = 0.38553202326825575e-1, (1906, 2) = -.5825788049914445, (1906, 3) = 0.466659357134419e-3, (1907, 1) = 0.377756009370458e-1, (1907, 2) = -.5825781884059608, (1907, 3) = 0.45723181960365323e-3, (1908, 1) = 0.3699889860726949e-1, (1908, 2) = -.5825775850943373, (1908, 3) = 0.447815207105126e-3, (1909, 1) = 0.36223093243489615e-1, (1909, 2) = -.5825769950113138, (1909, 3) = 0.43840968606396704e-3, (1910, 1) = 0.3544818275124513e-1, (1910, 2) = -.582576418111817, (1910, 3) = 0.4290151385784993e-3, (1911, 1) = 0.3467416505344319e-1, (1911, 2) = -.5825758543509739, (1911, 3) = 0.4196313831711941e-3, (1912, 1) = 0.3390103808112818e-1, (1912, 2) = -.5825753036841036, (1912, 3) = 0.4102585259901238e-3, (1913, 1) = 0.33128799772515066e-1, (1913, 2) = -.5825747660667147, (1913, 3) = 0.40089649867965755e-3, (1914, 1) = 0.3235744807295663e-1, (1914, 2) = -.5825742414545059, (1914, 3) = 0.3915454135312317e-3, (1915, 1) = 0.315869809349115e-1, (1915, 2) = -.5825737298033629, (1915, 3) = 0.3822050307223749e-3, (1916, 1) = 0.30817396317909918e-1, (1916, 2) = -.5825732310693599, (1916, 3) = 0.3728753975986977e-3, (1917, 1) = 0.30048692188523674e-1, (1917, 2) = -.5825727452087568, (1917, 3) = 0.36355681314449994e-3, (1918, 1) = 0.2928086652033143e-1, (1918, 2) = -.5825722721779965, (1918, 3) = 0.35424865592397257e-3, (1919, 1) = 0.28513917287734364e-1, (1919, 2) = -.5825718119337057, (1919, 3) = 0.3449512993159495e-3, (1920, 1) = 0.27747842469960662e-1, (1920, 2) = -.5825713644326921, (1920, 3) = 0.335664728090462e-3, (1921, 1) = 0.26982640061526685e-1, (1921, 2) = -.5825709296319497, (1921, 3) = 0.3263887559991612e-3, (1922, 1) = 0.26218308063876043e-1, (1922, 2) = -.5825705074886552, (1922, 3) = 0.3171230932184897e-3, (1923, 1) = 0.25454844485301213e-1, (1923, 2) = -.5825700979601663, (1923, 3) = 0.30786841181048755e-3, (1924, 1) = 0.24692247340910776e-1, (1924, 2) = -.5825697010040181, (1924, 3) = 0.29862400162092187e-3, (1925, 1) = 0.23930514652599006e-1, (1925, 2) = -.582569316577926, (1925, 3) = 0.28939046951884713e-3, (1926, 1) = 0.2316964444901524e-1, (1926, 2) = -.582568944639781, (1926, 3) = 0.28016721771324826e-3, (1927, 1) = 0.22409634765533093e-1, (1927, 2) = -.5825685851476534, (1927, 3) = 0.27095471679465386e-3, (1928, 1) = 0.21650483643967607e-1, (1928, 2) = -.582568238059785, (1928, 3) = 0.26175205497645375e-3, (1929, 1) = 0.20892189123851972e-1, (1929, 2) = -.5825679033345935, (1929, 3) = 0.2525603084152987e-3, (1930, 1) = 0.20134749256040203e-1, (1930, 2) = -.5825675809306694, (1930, 3) = 0.24337899540327428e-3, (1931, 1) = 0.19378162102647555e-1, (1931, 2) = -.5825672708067788, (1931, 3) = 0.23420788768289158e-3, (1932, 1) = 0.18622425732361857e-1, (1932, 2) = -.5825669729218611, (1932, 3) = 0.22504722153288614e-3, (1933, 1) = 0.1786753822041335e-1, (1933, 2) = -.5825666872350264, (1933, 3) = 0.21589712949155395e-3, (1934, 1) = 0.17113497648545997e-1, (1934, 2) = -.5825664137055535, (1934, 3) = 0.20675707208072449e-3, (1935, 1) = 0.16360302104987765e-1, (1935, 2) = -.5825661522928922, (1935, 3) = 0.1976271163863513e-3, (1936, 1) = 0.15607949684422114e-1, (1936, 2) = -.5825659029566614, (1936, 3) = 0.18850758088144714e-3, (1937, 1) = 0.14856438487958153e-1, (1937, 2) = -.5825656656566465, (1937, 3) = 0.17939860921549217e-3, (1938, 1) = 0.14105766621660082e-1, (1938, 2) = -.5825654403527991, (1938, 3) = 0.17029967235229697e-3, (1939, 1) = 0.13355932189230087e-1, (1939, 2) = -.5825652270052335, (1939, 3) = 0.16121055988986923e-3, (1940, 1) = 0.12606933309023637e-1, (1940, 2) = -.5825650255742354, (1940, 3) = 0.15213195562970407e-3, (1941, 1) = 0.11858768107707779e-1, (1941, 2) = -.5825648360202516, (1941, 3) = 0.14306348144744186e-3, (1942, 1) = 0.11111434718232688e-1, (1942, 2) = -.5825646583038938, (1942, 3) = 0.1340049750153034e-3, (1943, 1) = 0.1036493127980356e-1, (1943, 2) = -.5825644923859358, (1943, 3) = 0.12495670288890072e-3, (1944, 1) = 0.9619255937851531e-2, (1944, 2) = -.5825643382273141, (1944, 3) = 0.11591829500030761e-3, (1945, 1) = 0.8874406844007091e-2, (1945, 2) = -.5825641957891249, (1945, 3) = 0.10689012978942849e-3, (1946, 1) = 0.8130382156072051e-2, (1946, 2) = -.5825640650326249, (1946, 3) = 0.9787194904917219e-4, (1947, 1) = 0.73871800379924895e-2, (1947, 2) = -.5825639459192301, (1947, 3) = 0.8886374582588555e-4, (1948, 1) = 0.6644798656313258e-2, (1948, 2) = -.5825638384105141, (1948, 3) = 0.7986551428170698e-4, (1949, 1) = 0.5903236178042973e-2, (1949, 2) = -.582563742468207, (1949, 3) = 0.708770356790028e-4, (1950, 1) = 0.5162490785048567e-2, (1950, 2) = -.5825636580541991, (1950, 3) = 0.6189859489035609e-4, (1951, 1) = 0.4422560665716391e-2, (1951, 2) = -.582563585130536, (1951, 3) = 0.52930266488593206e-4, (1952, 1) = 0.3683444014440907e-2, (1952, 2) = -.5825635236594168, (1952, 3) = 0.43971523845955e-4, (1953, 1) = 0.29451390315987057e-2, (1953, 2) = -.5825634736031975, (1953, 3) = 0.3502273081517477e-4, (1954, 1) = 0.2207643923522031e-2, (1954, 2) = -.5825634349243857, (1954, 3) = 0.26083507959948664e-4, (1955, 1) = 0.14709569024722758e-2, (1955, 2) = -.5825634075856441, (1955, 3) = 0.17154614917092457e-4, (1956, 1) = 0.7350761866145509e-3, (1956, 2) = -.5825633915497845, (1956, 3) = 0.8235144583558052e-5, (1957, 1) = .0, (1957, 2) = -.5825633867797726, (1957, 3) = -0.6744935066858084e-6}, datatype = float[8], order = C_order); errproc := proc (x_bvp) local outpoint, X, Y, yout, L, V, i; option `Copyright (c) 2000 by Waterloo Maple Inc. All rights reserved.`; Digits := 15; outpoint := evalf(x_bvp); X := Vector(1957, {(1) = .0, (2) = 0.12611067409361687e-2, (3) = 0.252221348410468e-2, (4) = 0.37833202318279476e-2, (5) = 0.5044426986579459e-2, (6) = 0.6305533751061398e-2, (7) = 0.7566640528282259e-2, (8) = 0.882774733423159e-2, (9) = 0.10088854351906654e-1, (10) = 0.1134996147648832e-1, (11) = 0.1261106863000165e-1, (12) = 0.13872175694923246e-1, (13) = 0.15133282634239825e-1, (14) = 0.1639438961857501e-1, (15) = 0.17655496658894432e-1, (16) = 0.1891660376438843e-1, (17) = 0.201777109453215e-1, (18) = 0.21438818213109903e-1, (19) = 0.226999255803993e-1, (20) = 0.23961033061142355e-1, (21) = 0.2522214067063882e-1, (22) = 0.26483248425465494e-1, (23) = 0.27744356343855976e-1, (24) = 0.2900546444567761e-1, (25) = 0.30266572797350823e-1, (26) = 0.31527681581096964e-1, (27) = 0.32788790652269535e-1, (28) = 0.3404990000354026e-1, (29) = 0.3531100966151564e-1, (30) = 0.3657211949287879e-1, (31) = 0.378332295699809e-1, (32) = 0.3909434005519271e-1, (33) = 0.4035545098622824e-1, (34) = 0.4161656240318755e-1, (35) = 0.42877674348625425e-1, (36) = 0.44138786867628975e-1, (37) = 0.4539990000789529e-1, (38) = 0.4666101381980905e-1, (39) = 0.47922128356520176e-1, (40) = 0.4918324367401858e-1, (41) = 0.504443598306827e-1, (42) = 0.51705476983967505e-1, (43) = 0.52966595278259664e-1, (44) = 0.5422771461261201e-1, (45) = 0.5548883505110064e-1, (46) = 0.5674995666822384e-1, (47) = 0.580110795294846e-1, (48) = 0.59272203529788e-1, (49) = 0.60533328864054374e-1, (50) = 0.61794455708944755e-1, (51) = 0.6305558415556746e-1, (52) = 0.6431671429938847e-1, (53) = 0.6557784623998603e-1, (54) = 0.6683898008085187e-1, (55) = 0.68100115929469e-1, (56) = 0.693612538973893e-1, (57) = 0.7062239410947786e-1, (58) = 0.7188353685500615e-1, (59) = 0.7314468216696497e-1, (60) = 0.7440583008586295e-1, (61) = 0.7566698074321118e-1, (62) = 0.7692813427624462e-1, (63) = 0.7818929082693948e-1, (64) = 0.7945045054195449e-1, (65) = 0.807116135427864e-1, (66) = 0.8197277980036363e-1, (67) = 0.832339496347055e-1, (68) = 0.8449512326790203e-1, (69) = 0.8575630087119017e-1, (70) = 0.8701748261988461e-1, (71) = 0.8827866869383584e-1, (72) = 0.895398592796815e-1, (73) = 0.9080105462393903e-1, (74) = 0.9206225506242222e-1, (75) = 0.9332346062914834e-1, (76) = 0.9458467150848042e-1, (77) = 0.9584588791472444e-1, (78) = 0.9710711006795063e-1, (79) = 0.9836833819402642e-1, (80) = 0.9962957252253975e-1, (81) = .1008908132898561, (82) = .10215206073957839, (83) = .10341331506666945, (84) = .10467457636699808, (85) = .10593584508668905, (86) = .10719712152495582, (87) = .10845840595691103, (88) = .1097196986642039, (89) = .11098099993469157, (90) = .11224231016838984, (91) = .11350362971330877, (92) = .11476495872478397, (93) = .11602629751473549, (94) = .11728764640531733, (95) = .1185490057257598, (96) = .119810375812448, (97) = .12107175700900018, (98) = .12233314966634631, (99) = .1235945541414749, (100) = .12485597079617078, (101) = .12611739991624088, (102) = .12737884176983025, (103) = .12864029693125903, (104) = .12990176583465182, (105) = .131163249047175, (106) = .13242474684245334, (107) = .133686259589641, (108) = .13494778771667934, (109) = .1362093316565799, (110) = .1374708918499907, (111) = .13873246874918502, (112) = .13999406281483692, (113) = .14125567451609802, (114) = .14251730433067672, (115) = .14377895274491753, (116) = .1450406202538804, (117) = .1463023073614202, (118) = .14756401458003954, (119) = .1488257422997683, (120) = .150087491092016, (121) = .15134926174291038, (122) = .1526110546441241, (123) = .1538728703457476, (124) = .15513470941495439, (125) = .15639657242834248, (126) = .1576584599720143, (127) = .15892037264165687, (128) = .16018231104143174, (129) = .16144427577948042, (130) = .16270626747919442, (131) = .1639682867749143, (132) = .16523033431095888, (133) = .16649241074170598, (134) = .16775451674736963, (135) = .1690166531646737, (136) = .17027882056507174, (137) = .17154101957942045, (138) = .17280325077052744, (139) = .17406551483095545, (140) = .17532781264192865, (141) = .1765901449417591, (142) = .17785251247846706, (143) = .17911491601093577, (144) = .1803773563089933, (145) = .18163983415349455, (146) = .1829023503364033, (147) = .18416490566085716, (148) = .18542750093461638, (149) = .18669013697766493, (150) = .18795281469338615, (151) = .1892155350368082, (152) = .19047829870775293, (153) = .19174110656368865, (154) = .19300395948783355, (155) = .19426685837035146, (156) = .1955298039447872, (157) = .1967927971942831, (158) = .19805583915297661, (159) = .1993189307604995, (160) = .2005820729718022, (161) = .20184526675417563, (162) = .20310851308733593, (163) = .20437181298069768, (164) = .2056351675972105, (165) = .20689857783808083, (166) = .20816204467418448, (167) = .20942556914591465, (168) = .21068915229764512, (169) = .2119527951965759, (170) = .21321649892425545, (171) = .21448026457541763, (172) = .21574409325806815, (173) = .2170079860764664, (174) = .21827194397964692, (175) = .2195359682427611, (176) = .2208000601033214, (177) = .2220642207305169, (178) = .22332845139338106, (179) = .22459275335689927, (180) = .2258571276893751, (181) = .22712157561639934, (182) = .22838609838280816, (183) = .2296506972476664, (184) = .23091537348435695, (185) = .2321801283806699, (186) = .23344496323871786, (187) = .2347098793634386, (188) = .23597487807863357, (189) = .23723996072992215, (190) = .23850512867777438, (191) = .23977038326094285, (192) = .2410357257126104, (193) = .24230115775888914, (194) = .2435666807477072, (195) = .24483229606052834, (196) = .2460980051470993, (197) = .24736380945843944, (198) = .24862971047269325, (199) = .24989570968738709, (200) = .2511618086158113, (201) = .25242800878711696, (202) = .25369431174641277, (203) = .2549607190548624, (204) = .2562272322897695, (205) = .2574938530448408, (206) = .25876058304180316, (207) = .26002742389796646, (208) = .2612943771289748, (209) = .26256144432932166, (210) = .2638286270302309, (211) = .265095927107769, (212) = .2663633462944918, (213) = .26763088631657456, (214) = .2688985489173046, (215) = .27016633585718075, (216) = .2714342489024619, (217) = .27270228983366535, (218) = .27397046046268897, (219) = .2752387626666449, (220) = .27650719841710164, (221) = .27777576942913185, (222) = .27904447756352185, (223) = .28031332472127635, (224) = .2815823128215197, (225) = .2828514438009443, (226) = .28412071959629515, (227) = .28539014207450314, (228) = .28665971313690386, (229) = .2879294349732195, (230) = .2891993096211578, (231) = .2904693391287817, (232) = .29173952557201455, (233) = .29300987118523625, (234) = .29428037798980655, (235) = .29555104803310817, (236) = .29682188343590865, (237) = .2980928863568396, (238) = .2993640589781272, (239) = .3006354035017192, (240) = .3019069221494054, (241) = .3031786171629271, (242) = .3044504908040907, (243) = .305722545354889, (244) = .3069947831175016, (245) = .30826720626576226, (246) = .30953981719360346, (247) = .3108126184713257, (248) = .3120856123433916, (249) = .3133588012100643, (250) = .31463218749692895, (251) = .3159057736506831, (252) = .3171795621392577, (253) = .3184535554519378, (254) = .3197277560994727, (255) = .32100216659528064, (256) = .32227678947583327, (257) = .32355162731612075, (258) = .3248266827131019, (259) = .32610195831648564, (260) = .32737745690682285, (261) = .32865318101266594, (262) = .3299291332799342, (263) = .33120531624413657, (264) = .3324817327007616, (265) = .33375838548833214, (266) = .33503527737376965, (267) = .33631241115650806, (268) = .3375897896592342, (269) = .33886741572802737, (270) = .34014529223248985, (271) = .341423422074033, (272) = .34270180831424074, (273) = .3439804538147938, (274) = .3452593614604791, (275) = .34653853420930053, (276) = .3478179750700847, (277) = .34909768707996774, (278) = .35037767330072506, (279) = .3516579368189082, (280) = .35293848072858175, (281) = .354219307980101, (282) = .3555004218630613, (283) = .3567818256397334, (284) = .3580635226153957, (285) = .3593455160148289, (286) = .360627808977678, (287) = .36191040479203895, (288) = .363193306773095, (289) = .36447651826230404, (290) = .36576004262755546, (291) = .36704388326332654, (292) = .36832804359084353, (293) = .369612527057955, (294) = .3708973371113733, (295) = .3721824772338594, (296) = .37346795101397967, (297) = .3747537621071182, (298) = .376039913914085, (299) = .3773264098563199, (300) = .3786132537420681, (301) = .37990044928521455, (302) = .3811880001823728, (303) = .382475910155076, (304) = .38376418291972014, (305) = .38505282224842957, (306) = .3863418319520693, (307) = .3876312158707797, (308) = .38892097789986074, (309) = .3902111220787108, (310) = .39150165220977434, (311) = .39279257221271047, (312) = .3940838860767872, (313) = .39537559781024495, (314) = .3966677114235935, (315) = .3979602309934306, (316) = .3992531605653906, (317) = .4005465041353861, (318) = .40184026606371515, (319) = .40313445057870323, (320) = .4044290619227955, (321) = .40572410450363017, (322) = .4070195825562071, (323) = .40831550030984826, (324) = .4096118620966158, (325) = .41090867231356154, (326) = .4122059353908928, (327) = .41350365579200804, (328) = .41480183801371195, (329) = .4161004865864324, (330) = .4173996060744387, (331) = .41869920107694475, (332) = .4199992763457943, (333) = .4212998364945388, (334) = .42260088599548973, (335) = .42390242949230966, (336) = .4252044719395505, (337) = .4265070181520194, (338) = .4278100729716486, (339) = .4291136412762689, (340) = .4304177279798547, (341) = .4317223380327604, (342) = .43302747641512895, (343) = .4343331481946948, (344) = .4356393584640161, (345) = .43694611218877033, (346) = .43825341450084454, (347) = .43956127057290245, (348) = .44086968561575035, (349) = .44217866487859564, (350) = .4434882136493154, (351) = .44479833725459034, (352) = .4461090408968795, (353) = .44742032991954567, (354) = .448732209988207, (355) = .45004468667502473, (356) = .45135776536114214, (357) = .4526714516013852, (358) = .45398575100155253, (359) = .455300669208603, (360) = .45661621191094987, (361) = .4579323848387527, (362) = .4592491937282255, (363) = .4605666443575282, (364) = .46188474258261275, (365) = .4632034943466466, (366) = .4645229057111015, (367) = .4658429825197997, (368) = .4671637307671712, (369) = .468485156334031, (370) = .4698072654552027, (371) = .47113006438022614, (372) = .4724535592648016, (373) = .4737777563419347, (374) = .4751026619101525, (375) = .4764282823141786, (376) = .47775462397209983, (377) = .4790816934605408, (378) = .4804094971372353, (379) = .4817380414974867, (380) = .4830673331222092, (381) = .4843973786289643, (382) = .48572818463616174, (383) = .4870597578613152, (384) = .48839210507950326, (385) = .489725233115598, (386) = .49105914881222135, (387) = .4923938589156937, (388) = .4937293707148183, (389) = .4950656911939908, (390) = .49640282737471847, (391) = .4977407863613247, (392) = .4990795752835293, (393) = .5004192013759158, (394) = .5017596719278579, (395) = .5031009942825266, (396) = .5044431758373147, (397) = .5057862240558085, (398) = .5071301465899432, (399) = .5084749509093326, (400) = .5098206445690437, (401) = .5111672351940115, (402) = .5125147304789032, (403) = .5138631381285425, (404) = .5152124658524208, (405) = .5165627217548439, (406) = .5179139138164558, (407) = .5192660500687628, (408) = .520619138737851, (409) = .5219731878803903, (410) = .523328205624572, (411) = .5246842001679289, (412) = .5260411798159579, (413) = .5273991529550451, (414) = .528758128034316, (415) = .530118113566156, (416) = .5314791181267454, (417) = .5328411503643272, (418) = .5342042191278352, (419) = .535568333111073, (420) = .5369335008994703, (421) = .5382997313177438, (422) = .5396670334940468, (423) = .5410354164659953, (424) = .542404889338734, (425) = .543775461286273, (426) = .5451471415520872, (427) = .5465199394558277, (428) = .5478938645239059, (429) = .549268926144188, (430) = .5506451337242007, (431) = .5520224968049239, (432) = .5534010250577748, (433) = .5547807282285416, (434) = .5561616161375229, (435) = .5575436986801847, (436) = .5589269858120476, (437) = .5603114873762033, (438) = .561697213768329, (439) = .5630841752254755, (440) = .5644723818770011, (441) = .5658618440473392, (442) = .5672525721761802, (443) = .568644576783994, (444) = .570037868472779, (445) = .5714324579268066, (446) = .572828355922584, (447) = .5742255734591796, (448) = .5756241213875486, (449) = .5770240106464738, (450) = .5784252522639554, (451) = .5798278574162898, (452) = .581231837384252, (453) = .5826372034805568, (454) = .5840439669727922, (455) = .5854521396166025, (456) = .5868617330995154, (457) = .5882727593013376, (458) = .589685229971169, (459) = .5910991569222369, (460) = .5925145520904086, (461) = .5939314275792416, (462) = .595349795593525, (463) = .5967696684355408, (464) = .5981910585060156, (465) = .5996139783181326, (466) = .6010384406251165, (467) = .602464458027922, (468) = .603892043266328, (469) = .6053212090344611, (470) = .6067519682507145, (471) = .6081843342211287, (472) = .6096183201705917, (473) = .6110539394295806, (474) = .6124912054575696, (475) = .613930131957031, (476) = .6153707324659986, (477) = .6168130207044134, (478) = .6182570105535743, (479) = .6197027159327081, (480) = .6211501509226823, (481) = .6225993297537327, (482) = .6240502667739444, (483) = .6255029764798514, (484) = .6269574735828177, (485) = .628413772423688, (486) = .6298718879637916, (487) = .6313318352428073, (488) = .6327936293260322, (489) = .6342572853317894, (490) = .6357228185814568, (491) = .6371902445396497, (492) = .6386595788420484, (493) = .6401308373579022, (494) = .6416040357974403, (495) = .6430791901265656, (496) = .6445563164780391, (497) = .6460354311225756, (498) = .6475165504324425, (499) = .6489996908770286, (500) = .6504848691114168, (501) = .6519721019240693, (502) = .6534614063738786, (503) = .6549527995963177, (504) = .6564462988701254, (505) = .6579419216245554, (506) = .6594396854410469, (507) = .6609396080546993, (508) = .6624417074021354, (509) = .6639460015048627, (510) = .6654525084285169, (511) = .6669612465390978, (512) = .668472234367053, (513) = .6699854906074096, (514) = .6715010341216405, (515) = .673018883933066, (516) = .6745390590108507, (517) = .6760615789402452, (518) = .6775864633196618, (519) = .6791137317161112, (520) = .6806434040300106, (521) = .6821755003423066, (522) = .6837100409163962, (523) = .6852470462002591, (524) = .6867865368376921, (525) = .688328533817619, (526) = .6898730580661522, (527) = .6914201306839357, (528) = .6929697729807611, (529) = .694522006548319, (530) = .6960768530977596, (531) = .6976343344764709, (532) = .6991944733065091, (533) = .7007572918756999, (534) = .7023228127786497, (535) = .7038910588567705, (536) = .7054620531668778, (537) = .7070358189357963, (538) = .7086123795809504, (539) = .7101917588973115, (540) = .7117739809414831, (541) = .7133590697145655, (542) = .714947049609525, (543) = .7165379452675614, (544) = .7181317815587477, (545) = .7197285833448573, (546) = .721328376093886, (547) = .722931185617521, (548) = .7245370377649885, (549) = .7261459584941283, (550) = .7277579741726412, (551) = .729373111429995, (552) = .7309913971585825, (553) = .7326128585284616, (554) = .7342375231473551, (555) = .7358654186139303, (556) = .7374965728095968, (557) = .739131013900905, (558) = .7407687704098137, (559) = .7424098710607225, (560) = .7440543448133753, (561) = .7457022215346637, (562) = .7473535307967266, (563) = .7490083025873183, (564) = .7506665672352699, (565) = .7523283553808792, (566) = .7539936979522723, (567) = .7556626262535396, (568) = .7573351719475563, (569) = .7590113667893085, (570) = .7606912430375508, (571) = .7623748332937448, (572) = .7640621704753428, (573) = .7657532875775883, (574) = .7674482186276257, (575) = .7691469976657005, (576) = .7708496588943096, (577) = .772556236978943, (578) = .7742667670212104, (579) = .7759812844999804, (580) = .777699825318686, (581) = .7794224259113668, (582) = .7811491227400539, (583) = .7828799528005852, (584) = .7846149535386272, (585) = .7863541628075918, (586) = .7880976185900676, (587) = .7898453595829297, (588) = .7915974252949081, (589) = .7933538550954801, (590) = .795114688977085, (591) = .7968799673889012, (592) = .7986497312462352, (593) = .8004240221166192, (594) = .8022028817178726, (595) = .8039863522432215, (596) = .8057744764084547, (597) = .8075672974806, (598) = .8093648591118373, (599) = .8111672053794979, (600) = .812974381600286, (601) = .8147864329206979, (602) = .8166034051370209, (603) = .8184253446203109, (604) = .8202522982846338, (605) = .8220843137351672, (606) = .8239214389629238, (607) = .8257637223855393, (608) = .8276112131788197, (609) = .8294639611062096, (610) = .8313220165061233, (611) = .8331854302039179, (612) = .8350542538903757, (613) = .8369285398110552, (614) = .8388083408026233, (615) = .840693710313698, (616) = .8425847025823417, (617) = .8444813725196388, (618) = .8463837753919228, (619) = .8482919673619356, (620) = .8502060052993263, (621) = .8521259467992299, (622) = .854051850384263, (623) = .8559837745858576, (624) = .8579217792055737, (625) = .8598659249875767, (626) = .861816273236678, (627) = .8637728861445918, (628) = .8657358267799026, (629) = .8677051586071878, (630) = .8696809461296326, (631) = .871663254725857, (632) = .8736521508549832, (633) = .8756477014688805, (634) = .8776499744070785, (635) = .8796590382679299, (636) = .8816749626946874, (637) = .8836978188734109, (638) = .8857276786644668, (639) = .8877646144319902, (640) = .8898086997392983, (641) = .8918600091860152, (642) = .8939186186251947, (643) = .8959846045662448, (644) = .8980580445621817, (645) = .9001390173939156, (646) = .9022276027104215, (647) = .9043238812678798, (648) = .90642793581505, (649) = .9085398493529937, (650) = .9106597062452092, (651) = .91278759209166, (652) = .9149235939579059, (653) = .9170677997719477, (654) = .9192202987263707, (655) = .9213811814517402, (656) = .9235505397680545, (657) = .9257284667691787, (658) = .9279150572429801, (659) = .9301104071789709, (660) = .932314613975753, (661) = .9345277767386027, (662) = .9367499955784505, (663) = .9389813721368282, (664) = .9412220098288309, (665) = .9434720137046206, (666) = .9457314901750181, (667) = .9480005466191951, (668) = .9502792932460813, (669) = .9525678415276232, (670) = .9548663048706167, (671) = .9571747978933918, (672) = .9594934370992158, (673) = .9618223412221294, (674) = .9641616307732246, (675) = .966511427730694, (676) = .9688718560465621, (677) = .9712430414762713, (678) = .9736251130191248, (679) = .9760182006302932, (680) = .9784224365485599, (681) = .9808379555340243, (682) = .9832648940586692, (683) = .9857033909462815, (684) = .9881535875848481, (685) = .9906156276457148, (686) = .9930896570589608, (687) = .9955758232975214, (688) = .9980742778188616, (689) = 1.0005851744394576, (690) = 1.003108668844669, (691) = 1.0056449195453354, (692) = 1.008194088199706, (693) = 1.0107563392371248, (694) = 1.01333183957446, (695) = 1.015920759013064, (696) = 1.0185232702338711, (697) = 1.0211395494700761, (698) = 1.0237697758433364, (699) = 1.0264141319761662, (700) = 1.0290728030620218, (701) = 1.0317459777798217, (702) = 1.0344338487470177, (703) = 1.037136612243575, (704) = 1.0398544670628054, (705) = 1.042587615970961, (706) = 1.0453362667916655, (707) = 1.0481006297775455, (708) = 1.050880919483655, (709) = 1.0536773549301603, (710) = 1.0564901585336604, (711) = 1.0593195570740959, (712) = 1.0621657817893573, (713) = 1.0650290691242439, (714) = 1.0679096600184523, (715) = 1.070807799813666, (716) = 1.0737237379177533, (717) = 1.0766577291427584, (718) = 1.079610033769807, (719) = 1.082580916369677, (720) = 1.085570646236085, (721) = 1.0885794999025409, (722) = 1.0916077597503127, (723) = 1.0946557135995814, (724) = 1.0977236547734768, (725) = 1.1008118819536918, (726) = 1.1039207006057723, (727) = 1.1070504228502496, (728) = 1.1102013655882714, (729) = 1.113373855053497, (730) = 1.1165682232551088, (731) = 1.1197848095614078, (732) = 1.1230239616278663, (733) = 1.1262860337077871, (734) = 1.1295713874901159, (735) = 1.1328803924633883, (736) = 1.1362134273014926, (737) = 1.13957087912256, (738) = 1.1429526809301884, (739) = 1.146351225125599, (740) = 1.149761194445626, (741) = 1.153181268260847, (742) = 1.1566115069186653, (743) = 1.1600519710373027, (744) = 1.1635027217185883, (745) = 1.1669638206127884, (746) = 1.1704353299251888, (747) = 1.1739173124227644, (748) = 1.1774098314409451, (749) = 1.1809129508904554, (750) = 1.184426735264351, (751) = 1.1879512497819738, (752) = 1.1914865604607139, (753) = 1.1950327336120334, (754) = 1.1985898361444396, (755) = 1.2021579355855798, (756) = 1.2057371000898696, (757) = 1.209327398446267, (758) = 1.2129289000861665, (759) = 1.2165416750913507, (760) = 1.2201657942023478, (761) = 1.22380132910343, (762) = 1.2274483521406587, (763) = 1.2311069360961553, (764) = 1.2347771544448054, (765) = 1.2384590813631027, (766) = 1.2421527917380437, (767) = 1.2458583611762215, (768) = 1.2495758660130794, (769) = 1.253305383322216, (770) = 1.2570469909498445, (771) = 1.260800767888374, (772) = 1.2645667936445015, (773) = 1.2683451483597852, (774) = 1.2721359129636185, (775) = 1.2759391691836515, (776) = 1.2797549995562436, (777) = 1.2835834874371452, (778) = 1.287424717012392, (779) = 1.2912787733092783, (780) = 1.2951457423088562, (781) = 1.2990257112391563, (782) = 1.3029187678000465, (783) = 1.306825000519121, (784) = 1.3107444988237862, (785) = 1.3146773530535683, (786) = 1.3186236544724845, (787) = 1.322583495281658, (788) = 1.3265569686321916, (789) = 1.3305441686382202, (790) = 1.3345451906356258, (791) = 1.3385601311694078, (792) = 1.3425890873566015, (793) = 1.3466321573228714, (794) = 1.3506894402263099, (795) = 1.35476103627203, (796) = 1.358847046726896, (797) = 1.3629475739345267, (798) = 1.3670627213305648, (799) = 1.371192593462464, (800) = 1.3753372964629296, (801) = 1.3794969374738242, (802) = 1.3836716244844918, (803) = 1.3878614666578233, (804) = 1.3920665743471312, (805) = 1.3962870591135332, (806) = 1.4005230337435934, (807) = 1.404774612267304, (808) = 1.40904190997629, (809) = 1.4133250435031033, (810) = 1.4176241313652878, (811) = 1.4219392929520922, (812) = 1.426270648823522, (813) = 1.4306183208990293, (814) = 1.4349824324779015, (815) = 1.4393631082601077, (816) = 1.4437604743675403, (817) = 1.4481746583657338, (818) = 1.4526057892857267, (819) = 1.457053997848002, (820) = 1.4615194168077768, (821) = 1.4660021798268617, (822) = 1.47050242206523, (823) = 1.4750202802664978, (824) = 1.4795558927827341, (825) = 1.4841093995996755, (826) = 1.4886809423624516, (827) = 1.4932706644020037, (828) = 1.4978787107615803, (829) = 1.5025052286807106, (830) = 1.5071503673691935, (831) = 1.5118142772203798, (832) = 1.516497110450085, (833) = 1.521199021130172, (834) = 1.5259201652189134, (835) = 1.5306607005917725, (836) = 1.535420787072793, (837) = 1.5402005864669406, (838) = 1.545000262613062, (839) = 1.5498199821814014, (840) = 1.55465991356943, (841) = 1.5595202268899848, (842) = 1.5644010944094595, (843) = 1.5693026905839227, (844) = 1.5742251920964927, (845) = 1.5791687778952734, (846) = 1.584133629231994, (847) = 1.589119929701852, (848) = 1.5941278654262654, (849) = 1.5991576258673146, (850) = 1.6042094021592994, (851) = 1.6092833877440702, (852) = 1.6143797786205427, (853) = 1.6194987733894437, (854) = 1.6246405732996454, (855) = 1.6298053822953502, (856) = 1.6349934070641656, (857) = 1.6402048570865033, (858) = 1.6454399451007093, (859) = 1.6506988874695545, (860) = 1.6559819024887261, (861) = 1.661289211397524, (862) = 1.666621038494818, (863) = 1.671977611195165, (864) = 1.6773591600867659, (865) = 1.6827659189906854, (866) = 1.6881981250213913, (867) = 1.693656018648471, (868) = 1.6991398446598325, (869) = 1.7046498514068777, (870) = 1.710186289896821, (871) = 1.7157494147580357, (872) = 1.7213394843106173, (873) = 1.7269567606376166, (874) = 1.7326015096583287, (875) = 1.7382740012033069, (876) = 1.7439745090915395, (877) = 1.7497033112801517, (878) = 1.7554606912715403, (879) = 1.7612469359851675, (880) = 1.7670623361037363, (881) = 1.7729071867160648, (882) = 1.7787817874068212, (883) = 1.7846864423480238, (884) = 1.7906214603929205, (885) = 1.796587155172029, (886) = 1.8025838451926912, (887) = 1.8086118542825629, (888) = 1.8146715128709043, (889) = 1.8207631550953325, (890) = 1.8268871201363366, (891) = 1.8330437525901857, (892) = 1.8392334025845158, (893) = 1.8454564258972619, (894) = 1.8517131840786396, (895) = 1.858004044575701, (896) = 1.8643293808622583, (897) = 1.8706895734856477, (898) = 1.8770850103289585, (899) = 1.8835160839588245, (900) = 1.889983193470814, (901) = 1.8964867446923925, (902) = 1.9030271503341456, (903) = 1.9096048301462807, (904) = 1.9162202110795399, (905) = 1.9228737274492667, (906) = 1.9295658211155453, (907) = 1.9362969435545494, (908) = 1.943067553806978, (909) = 1.9498781175938333, (910) = 1.956729108910844, (911) = 1.9636210102266844, (912) = 1.9705543126844554, (913) = 1.9775295163106428, (914) = 1.9845471302307687, (915) = 1.9916076728894851, (916) = 1.9987116725115937, (917) = 2.0058596698233875, (918) = 2.013052213709676, (919) = 2.0202898624996006, (920) = 2.0275731850678467, (921) = 2.034902761103743, (922) = 2.0422791813850685, (923) = 2.0497030480619562, (924) = 2.0571749749508, (925) = 2.0646955878358395, (926) = 2.0722655256784437, (927) = 2.0798854428262894, (928) = 2.0875560035478373, (929) = 2.0952778850546445, (930) = 2.103051778210528, (931) = 2.1108783879031248, (932) = 2.1187584334239165, (933) = 2.126692648862061, (934) = 2.1346817835124354, (935) = 2.142726602298396, (936) = 2.1508278884903467, (937) = 2.1589864433980024, (938) = 2.167203081955676, (939) = 2.175478636551378, (940) = 2.1838139575658886, (941) = 2.192209913896489, (942) = 2.200667393496569, (943) = 2.209187303935464, (944) = 2.2177705729772317, (945) = 2.226418149267976, (946) = 2.2351310074056845, (947) = 2.243910142511183, (948) = 2.252756569939845, (949) = 2.261671328528324, (950) = 2.27065548131771, (951) = 2.2797101163104836, (952) = 2.2888363472563067, (953) = 2.298035314470298, (954) = 2.3073081856762894, (955) = 2.316656157696414, (956) = 2.3260804627486342, (957) = 2.335582358466814, (958) = 2.345163132200997, (959) = 2.3548241035612856, (960) = 2.3645666255011806, (961) = 2.374392085445935, (962) = 2.3843019064704145, (963) = 2.3942975485331863, (964) = 2.4043805097458124, (965) = 2.4145523304965404, (966) = 2.424814598133215, (967) = 2.4351689351105366, (968) = 2.445617007282089, (969) = 2.45616052605427, (970) = 2.4668012500648784, (971) = 2.47754098692811, (972) = 2.488381595062649, (973) = 2.499324985620466, (974) = 2.5103731244742726, (975) = 2.5215280414159587, (976) = 2.532791827501886, (977) = 2.544166627375325, (978) = 2.555654649582165, (979) = 2.567258169126425, (980) = 2.57897953017305, (981) = 2.590821148866759, (982) = 2.602785516293039, (983) = 2.61487520162125, (984) = 2.627092855880931, (985) = 2.6394412286388045, (986) = 2.651923151767844, (987) = 2.664541543709142, (988) = 2.6772994195077353, (989) = 2.6901998950712542, (990) = 2.7032461917337067, (991) = 2.7164416410497063, (992) = 2.7297896898507648, (993) = 2.743293905631671, (994) = 2.7569579856836675, (995) = 2.7707857787563195, (996) = 2.7847812567457098, (997) = 2.798948533805447, (998) = 2.8132918772015847, (999) = 2.8278157149163996, (1000) = 2.842524643831713, (1001) = 2.8574234384092683, (1002) = 2.872517059916759, (1003) = 2.8878106662578547, (1004) = 2.903309634588218, (1005) = 2.9190195795703486, (1006) = 2.934946322009636, (1007) = 2.95109592528016, (1008) = 2.9674747104214267, (1009) = 2.984089270817855, (1010) = 3.000946488054656, (1011) = 3.0180535489203595, (1012) = 3.0354179637079106, (1013) = 3.053047585733967, (1014) = 3.070950666653916, (1015) = 3.0891358483274356, (1016) = 3.1076121579864058, (1017) = 3.1263890624531356, (1018) = 3.1454764973176124, (1019) = 3.1648848982541593, (1020) = 3.184625235139038, (1021) = 3.2047067922964274, (1022) = 3.22506119857703, (1023) = 3.24551577350801, (1024) = 3.2659703484389895, (1025) = 3.286424923369969, (1026) = 3.306879498300949, (1027) = 3.3273340732319285, (1028) = 3.347788648162908, (1029) = 3.368243223093888, (1030) = 3.3886977980248676, (1031) = 3.4091523729558473, (1032) = 3.429606947886827, (1033) = 3.4500615228178066, (1034) = 3.4705160977487863, (1035) = 3.490970672679766, (1036) = 3.5114252476107457, (1037) = 3.5318798225417254, (1038) = 3.552334397472705, (1039) = 3.5727889724036848, (1040) = 3.5932435473346644, (1041) = 3.613698122265644, (1042) = 3.634152697196624, (1043) = 3.6546072721276035, (1044) = 3.675061847058583, (1045) = 3.695516421989563, (1046) = 3.7159709969205426, (1047) = 3.7364255718515222, (1048) = 3.756880146782502, (1049) = 3.7773347217134816, (1050) = 3.7977892966444613, (1051) = 3.818243871575441, (1052) = 3.8386984465064207, (1053) = 3.8591530214374004, (1054) = 3.87960759636838, (1055) = 3.9000621712993597, (1056) = 3.9205167462303394, (1057) = 3.940971321161319, (1058) = 3.961425896092299, (1059) = 3.9818804710232785, (1060) = 4.002335045954258, (1061) = 4.022789620885237, (1062) = 4.043244195816216, (1063) = 4.063698770747195, (1064) = 4.084153345678175, (1065) = 4.104607920609154, (1066) = 4.125062495540133, (1067) = 4.145517070471112, (1068) = 4.165971645402092, (1069) = 4.186426220333071, (1070) = 4.20688079526405, (1071) = 4.227335370195029, (1072) = 4.247789945126009, (1073) = 4.268244520056988, (1074) = 4.288699094987967, (1075) = 4.309153669918946, (1076) = 4.329608244849926, (1077) = 4.350062819780905, (1078) = 4.370517394711884, (1079) = 4.390971969642863, (1080) = 4.4114265445738425, (1081) = 4.431881119504822, (1082) = 4.452335694435801, (1083) = 4.47279026936678, (1084) = 4.4932448442977595, (1085) = 4.513699419228739, (1086) = 4.534153994159718, (1087) = 4.554608569090697, (1088) = 4.5750631440216765, (1089) = 4.595517718952656, (1090) = 4.615972293883635, (1091) = 4.636426868814614, (1092) = 4.656881443745593, (1093) = 4.677336018676573, (1094) = 4.697790593607552, (1095) = 4.718245168538531, (1096) = 4.73869974346951, (1097) = 4.75915431840049, (1098) = 4.779599945763837, (1099) = 4.799901456250844, (1100) = 4.819905865275028, (1101) = 4.839569436413305, (1102) = 4.858903637752792, (1103) = 4.877919332921822, (1104) = 4.8966268358625875, (1105) = 4.915035968411521, (1106) = 4.933156091085105, (1107) = 4.950996131374472, (1108) = 4.968564609995763, (1109) = 4.985869665271386, (1110) = 5.002919075439649, (1111) = 5.019720286516001, (1112) = 5.03628045357582, (1113) = 5.052606394464678, (1114) = 5.068704636604071, (1115) = 5.084581438735351, (1116) = 5.100242805508283, (1117) = 5.115694500970945, (1118) = 5.130942061214859, (1119) = 5.14599080627073, (1120) = 5.1608458510996975, (1121) = 5.1755121264101795, (1122) = 5.189994388334937, (1123) = 5.204297193705956, (1124) = 5.2184249317222235, (1125) = 5.232381832739384, (1126) = 5.246171975874328, (1127) = 5.259799296093475, (1128) = 5.273267590897954, (1129) = 5.286580526666074, (1130) = 5.299741644616874, (1131) = 5.312754379344769, (1132) = 5.325622047287863, (1133) = 5.338347844325197, (1134) = 5.350934862090099, (1135) = 5.363386092396628, (1136) = 5.3757044315042535, (1137) = 5.387892684129737, (1138) = 5.399953567249112, (1139) = 5.411889713716575, (1140) = 5.423703676598961, (1141) = 5.43539794289569, (1142) = 5.446974915691684, (1143) = 5.458436922492583, (1144) = 5.469786222340324, (1145) = 5.481025008442234, (1146) = 5.492155410706678, (1147) = 5.503179498149715, (1148) = 5.514099281188764, (1149) = 5.5249167138221695, (1150) = 5.535633698018511, (1151) = 5.546252090526589, (1152) = 5.556773688358335, (1153) = 5.567200238798176, (1154) = 5.577533442328313, (1155) = 5.587774954272949, (1156) = 5.59792638638053, (1157) = 5.6079893083360375, (1158) = 5.617965249212904, (1159) = 5.62785569884747, (1160) = 5.637662112912206, (1161) = 5.647385912633534, (1162) = 5.657028477270494, (1163) = 5.666591151776356, (1164) = 5.6760752480340635, (1165) = 5.6854820459281274, (1166) = 5.694812794373559, (1167) = 5.704068712303182, (1168) = 5.7132509896232175, (1169) = 5.722360788177643, (1170) = 5.731399247375848, (1171) = 5.740367478010054, (1172) = 5.749266562096297, (1173) = 5.758097556877604, (1174) = 5.766861495571976, (1175) = 5.775559388094928, (1176) = 5.7841922217526625, (1177) = 5.792760961908116, (1178) = 5.801266552630103, (1179) = 5.809709917809679, (1180) = 5.818091965441857, (1181) = 5.826413580142048, (1182) = 5.834675626371095, (1183) = 5.842878950205562, (1184) = 5.851024379851201, (1185) = 5.859112726143346, (1186) = 5.86714478302817, (1187) = 5.875121328025217, (1188) = 5.883043122679921, (1189) = 5.890910914152032, (1190) = 5.898725436996217, (1191) = 5.906487407362627, (1192) = 5.914197526781967, (1193) = 5.921856482855736, (1194) = 5.929464949618962, (1195) = 5.937023587894995, (1196) = 5.944533045638145, (1197) = 5.951993958263391, (1198) = 5.959406948968633, (1199) = 5.966772630927536, (1200) = 5.974091606114039, (1201) = 5.98136446266348, (1202) = 5.988591777678788, (1203) = 5.995774117516898, (1204) = 6.002912038051496, (1205) = 6.0100060849299375, (1206) = 6.017056793822384, (1207) = 6.024064690662507, (1208) = 6.031030291955222, (1209) = 6.037954107236152, (1210) = 6.044836635601078, (1211) = 6.051678366119732, (1212) = 6.058479779236215, (1213) = 6.0652413469720505, (1214) = 6.071963533120579, (1215) = 6.078646793436689, (1216) = 6.085291575821165, (1217) = 6.0918983205001025, (1218) = 6.098467460538646, (1219) = 6.104999423582587, (1220) = 6.1114946281383675, (1221) = 6.1179534852726105, (1222) = 6.124376399205603, (1223) = 6.130763767463012, (1224) = 6.137115981022318, (1225) = 6.14343342445549, (1226) = 6.149716476067508, (1227) = 6.155965508032449, (1228) = 6.162180887238813, (1229) = 6.1683629757326885, (1230) = 6.174512128031225, (1231) = 6.18062869294174, (1232) = 6.186713013768597, (1233) = 6.192765428428229, (1234) = 6.19878626956109, (1235) = 6.20477586464075, (1236) = 6.210734536079536, (1237) = 6.216662601333261, (1238) = 6.2225603741386655, (1239) = 6.228428163361127, (1240) = 6.234266272077085, (1241) = 6.240074998798581, (1242) = 6.245854637564159, (1243) = 6.251605478027394, (1244) = 6.257327805543525, (1245) = 6.263021901254106, (1246) = 6.268688042168734, (1247) = 6.274326501322674, (1248) = 6.279937549047608, (1249) = 6.285521450861425, (1250) = 6.291078467949223, (1251) = 6.296608857750708, (1252) = 6.302112874031623, (1253) = 6.307590766952877, (1254) = 6.313042783138349, (1255) = 6.318469165741376, (1256) = 6.32387015450889, (1257) = 6.329245986100661, (1258) = 6.334596894876298, (1259) = 6.3399231108408785, (1260) = 6.345224860666, (1261) = 6.350502367921233, (1262) = 6.355755853130734, (1263) = 6.360985533827964, (1264) = 6.366191624609341, (1265) = 6.371374337186983, (1266) = 6.376533880439764, (1267) = 6.381670460959367, (1268) = 6.386784283032106, (1269) = 6.3918755472994775, (1270) = 6.396944451742154, (1271) = 6.401991191749827, (1272) = 6.407015960166426, (1273) = 6.412018947333939, (1274) = 6.417000341135335, (1275) = 6.421960327036749, (1276) = 6.426899088133873, (1277) = 6.431816805934923, (1278) = 6.436713659400172, (1279) = 6.441589824681606, (1280) = 6.446445475713707, (1281) = 6.4512807842500335, (1282) = 6.45609591989962, (1283) = 6.460891050162418, (1284) = 6.465666340464004, (1285) = 6.470421954189564, (1286) = 6.475158052792133, (1287) = 6.479874796508076, (1288) = 6.484572342996931, (1289) = 6.489250847767304, (1290) = 6.49391046444911, (1291) = 6.49855134482342, (1292) = 6.503173638851996, (1293) = 6.507777494706181, (1294) = 6.512363058795258, (1295) = 6.516930475794041, (1296) = 6.521479888873619, (1297) = 6.526011440058072, (1298) = 6.530525269015419, (1299) = 6.5350215137145184, (1300) = 6.539500310522017, (1301) = 6.543961794226933, (1302) = 6.548406098064826, (1303) = 6.552833353741514, (1304) = 6.5572436914564385, (1305) = 6.5616372399252745, (1306) = 6.566014126772318, (1307) = 6.570374478334124, (1308) = 6.5747184189817105, (1309) = 6.579046071685795, (1310) = 6.583357558042312, (1311) = 6.587652998292814, (1312) = 6.591932511344431, (1313) = 6.5961962147894555, (1314) = 6.600444224924743, (1315) = 6.604676656782211, (1316) = 6.608893624647716, (1317) = 6.6130952413049195, (1318) = 6.617281618027283, (1319) = 6.62145286488479, (1320) = 6.625609090761132, (1321) = 6.629750403370714, (1322) = 6.633876909275285, (1323) = 6.637988713900222, (1324) = 6.642085921550715, (1325) = 6.646168635498953, (1326) = 6.65023695840274, (1327) = 6.654290991394288, (1328) = 6.658330834429409, (1329) = 6.662356586420574, (1330) = 6.666368345251244, (1331) = 6.670366207790113, (1332) = 6.674350269905061, (1333) = 6.678320626476797, (1334) = 6.682277371412413, (1335) = 6.6862205978268054, (1336) = 6.690150398181826, (1337) = 6.694066863550045, (1338) = 6.6979700840538685, (1339) = 6.701860148906706, (1340) = 6.705737146425027, (1341) = 6.709601164040352, (1342) = 6.713452288311022, (1343) = 6.717290604933719, (1344) = 6.7211161987548556, (1345) = 6.724929154071867, (1346) = 6.7287295543670425, (1347) = 6.732517481984405, (1348) = 6.736293018461649, (1349) = 6.740056244540853, (1350) = 6.743807240178715, (1351) = 6.747546084556683, (1352) = 6.751272856090944, (1353) = 6.75498763244222, (1354) = 6.758690490542566, (1355) = 6.762381506947353, (1356) = 6.7660607572497975, (1357) = 6.76972831616785, (1358) = 6.773384257711103, (1359) = 6.777028655189771, (1360) = 6.7806615812234226, (1361) = 6.784283107749609, (1362) = 6.787893306032351, (1363) = 6.791492246670539, (1364) = 6.79507999967404, (1365) = 6.798656634708655, (1366) = 6.802222220471203, (1367) = 6.805776824967014, (1368) = 6.809320515576505, (1369) = 6.8128533590628235, (1370) = 6.816375421579347, (1371) = 6.819886768677064, (1372) = 6.823387465311823, (1373) = 6.826877575851564, (1374) = 6.830357164226586, (1375) = 6.8338262939498895, (1376) = 6.83728502766511, (1377) = 6.84073342744554, (1378) = 6.844171554811073, (1379) = 6.847599470734747, (1380) = 6.851017235649192, (1381) = 6.854424909452998, (1382) = 6.857822551516926, (1383) = 6.861210220690897, (1384) = 6.86458797554246, (1385) = 6.867955874073978, (1386) = 6.871313973594621, (1387) = 6.874662330915987, (1388) = 6.878001002357847, (1389) = 6.881330043753768, (1390) = 6.884649510456689, (1391) = 6.887959457344422, (1392) = 6.891259938825025, (1393) = 6.894551008863304, (1394) = 6.897832721221617, (1395) = 6.9011051290087595, (1396) = 6.9043682847965, (1397) = 6.907622240713015, (1398) = 6.910867048447885, (1399) = 6.914102759256969, (1400) = 6.917329423967229, (1401) = 6.920547092981511, (1402) = 6.923755816283209, (1403) = 6.926955643505246, (1404) = 6.930146624067122, (1405) = 6.93332880674134, (1406) = 6.936502239870348, (1407) = 6.939666971399865, (1408) = 6.94282304888323, (1409) = 6.945970519485645, (1410) = 6.949109429988377, (1411) = 6.952239826792916, (1412) = 6.955361755925054, (1413) = 6.9584752631636215, (1414) = 6.961580393992686, (1415) = 6.964677193329635, (1416) = 6.9677657057293505, (1417) = 6.970845975390825, (1418) = 6.973918046160953, (1419) = 6.976981961538247, (1420) = 6.980037764676505, (1421) = 6.983085498388435, (1422) = 6.98612520515224, (1423) = 6.989156927297943, (1424) = 6.992180706743452, (1425) = 6.995196584965121, (1426) = 6.99820460311582, (1427) = 7.001204802028247, (1428) = 7.004197222218248, (1429) = 7.007181903888075, (1430) = 7.010158886929606, (1431) = 7.0131282109275155, (1432) = 7.0160899151862814, (1433) = 7.019044038894063, (1434) = 7.021990620775833, (1435) = 7.024929699211911, (1436) = 7.0278613122908675, (1437) = 7.030785497812457, (1438) = 7.0337022932905215, (1439) = 7.036611735955862, (1440) = 7.039513862759076, (1441) = 7.042408710373336, (1442) = 7.045296315258033, (1443) = 7.048176713725857, (1444) = 7.051049941641773, (1445) = 7.053916034590696, (1446) = 7.05677502789373, (1447) = 7.05962695661077, (1448) = 7.062471855543055, (1449) = 7.0653097592357, (1450) = 7.068140701980213, (1451) = 7.070964717816933, (1452) = 7.0737818406478254, (1453) = 7.076592104148589, (1454) = 7.079395541615503, (1455) = 7.082192186103086, (1456) = 7.0849820704267215, (1457) = 7.0877652271649625, (1458) = 7.090541688661798, (1459) = 7.093311487028882, (1460) = 7.096074654147772, (1461) = 7.098831221677635, (1462) = 7.1015812211989715, (1463) = 7.104324683981184, (1464) = 7.107061641002049, (1465) = 7.1097921230200205, (1466) = 7.112516160576278, (1467) = 7.115233783996771, (1468) = 7.117945023394232, (1469) = 7.1206499086701545, (1470) = 7.123348469516776, (1471) = 7.126040735444656, (1472) = 7.128726735891676, (1473) = 7.131406499957209, (1474) = 7.134080056511143, (1475) = 7.136747434223693, (1476) = 7.1394086615672165, (1477) = 7.142063766818034, (1478) = 7.1447127780582225, (1479) = 7.147355723177375, (1480) = 7.1499926298743635, (1481) = 7.152623525716651, (1482) = 7.155248438160543, (1483) = 7.157867394344638, (1484) = 7.1604804212179225, (1485) = 7.163087545547202, (1486) = 7.165688793918725, (1487) = 7.168284192739803, (1488) = 7.17087376824041, (1489) = 7.173457546474761, (1490) = 7.176035553322959, (1491) = 7.178607814590973, (1492) = 7.181174355899892, (1493) = 7.183735202612559, (1494) = 7.186290379923762, (1495) = 7.1888399128617255, (1496) = 7.1913838262895675, (1497) = 7.193922144906743, (1498) = 7.196454893250478, (1499) = 7.1989820956971835, (1500) = 7.201503776471775, (1501) = 7.204019959756831, (1502) = 7.206530669494298, (1503) = 7.209035929427687, (1504) = 7.21153576314659, (1505) = 7.214030194088018, (1506) = 7.216519245537704, (1507) = 7.219002940631403, (1508) = 7.221481302356167, (1509) = 7.223954353551624, (1510) = 7.226422116938011, (1511) = 7.228884615185013, (1512) = 7.231341870709448, (1513) = 7.2337939057704626, (1514) = 7.236240742485969, (1515) = 7.23868240283384, (1516) = 7.241118908653084, (1517) = 7.2435502816450095, (1518) = 7.2459765433743755, (1519) = 7.248397715270539, (1520) = 7.250813818683145, (1521) = 7.25322487487022, (1522) = 7.255630904860615, (1523) = 7.258031929550306, (1524) = 7.260427969705442, (1525) = 7.262819045963411, (1526) = 7.2652051788339005, (1527) = 7.267586388699949, (1528) = 7.269962695818978, (1529) = 7.272334120324731, (1530) = 7.274700682313303, (1531) = 7.27706240172666, (1532) = 7.27941929832722, (1533) = 7.281771391756866, (1534) = 7.2841187015379285, (1535) = 7.286461247074143, (1536) = 7.288799047651611, (1537) = 7.2911321224397465, (1538) = 7.29346049049221, (1539) = 7.295784170757824, (1540) = 7.298103182161762, (1541) = 7.300417543439858, (1542) = 7.302727273189446, (1543) = 7.305032389896698, (1544) = 7.307332911937505, (1545) = 7.3096288575783515, (1546) = 7.311920244977179, (1547) = 7.314207092184243, (1548) = 7.316489417142961, (1549) = 7.318767237718197, (1550) = 7.321040571735172, (1551) = 7.323309436827339, (1552) = 7.325573850516763, (1553) = 7.327833830222821, (1554) = 7.3300893932630045, (1555) = 7.332340556853709, (1556) = 7.334587338111018, (1557) = 7.33682975405148, (1558) = 7.339067821592876, (1559) = 7.341301557606788, (1560) = 7.343530978884189, (1561) = 7.345756102049298, (1562) = 7.347976943630229, (1563) = 7.350193520060094, (1564) = 7.352405847677727, (1565) = 7.354613942728409, (1566) = 7.35681782136457, (1567) = 7.359017499646498, (1568) = 7.3612129935451724, (1569) = 7.363404319014081, (1570) = 7.365591491877271, (1571) = 7.367774527831366, (1572) = 7.369953442484308, (1573) = 7.372128251356013, (1574) = 7.374298969879037, (1575) = 7.376465613399224, (1576) = 7.378628197176357, (1577) = 7.380786736384793, (1578) = 7.38294124612579, (1579) = 7.385091741486035, (1580) = 7.3872382374014585, (1581) = 7.3893807487091605, (1582) = 7.3915192901639655, (1583) = 7.393653876439024, (1584) = 7.395784522126417, (1585) = 7.397911241737744, (1586) = 7.400034049704722, (1587) = 7.402152960379757, (1588) = 7.404267988064298, (1589) = 7.4063791470250875, (1590) = 7.408486451382061, (1591) = 7.410589915174423, (1592) = 7.412689552364938, (1593) = 7.414785376840488, (1594) = 7.416877402412616, (1595) = 7.41896564281807, (1596) = 7.421050111719343, (1597) = 7.423130822705201, (1598) = 7.425207789340488, (1599) = 7.427281025115815, (1600) = 7.429350543400304, (1601) = 7.431416357491461, (1602) = 7.433478480615687, (1603) = 7.43553692592878, (1604) = 7.4375917065164385, (1605) = 7.439642835394755, (1606) = 7.441690325510709, (1607) = 7.443734189746125, (1608) = 7.445774440976072, (1609) = 7.447811091966438, (1610) = 7.449844155391067, (1611) = 7.451873643857108, (1612) = 7.453899569905478, (1613) = 7.4559219460113235, (1614) = 7.457940784584479, (1615) = 7.459956097969922, (1616) = 7.461967898448222, (1617) = 7.463976198249048, (1618) = 7.465981009591273, (1619) = 7.467982344572803, (1620) = 7.4699802152195955, (1621) = 7.471974633495413, (1622) = 7.4739656113022495, (1623) = 7.475953160480755, (1624) = 7.4779372928106564, (1625) = 7.479918020011169, (1626) = 7.4818953537414155, (1627) = 7.483869305628657, (1628) = 7.485839887267227, (1629) = 7.487807110138557, (1630) = 7.489770985664132, (1631) = 7.491731525207374, (1632) = 7.493688740074031, (1633) = 7.495642641512565, (1634) = 7.497593240714539, (1635) = 7.499540548814998, (1636) = 7.501484576893126, (1637) = 7.5034253360181795, (1638) = 7.505362837190654, (1639) = 7.5072970913220445, (1640) = 7.509228109269209, (1641) = 7.511155901834732, (1642) = 7.513080479767283, (1643) = 7.515001853761978, (1644) = 7.51692003446073, (1645) = 7.518835032452602, (1646) = 7.520746858278929, (1647) = 7.522655522479503, (1648) = 7.524561035501826, (1649) = 7.526463407725861, (1650) = 7.528362649480448, (1651) = 7.530258771043641, (1652) = 7.532151782643042, (1653) = 7.534041694456124, (1654) = 7.5359285166105625, (1655) = 7.537812259184558, (1656) = 7.539692932221311, (1657) = 7.541570545754068, (1658) = 7.543445109718608, (1659) = 7.545316633997329, (1660) = 7.547185128424748, (1661) = 7.549050602787806, (1662) = 7.550913066826175, (1663) = 7.552772530232565, (1664) = 7.554629002653015, (1665) = 7.556482493687204, (1666) = 7.5583330129164485, (1667) = 7.5601805698892495, (1668) = 7.562025174067318, (1669) = 7.56386683486679, (1670) = 7.565705561658902, (1671) = 7.56754136377028, (1672) = 7.569374250483219, (1673) = 7.5712042310359635, (1674) = 7.573031314622985, (1675) = 7.5748555103961515, (1676) = 7.576676827505345, (1677) = 7.578495275037745, (1678) = 7.580310862014501, (1679) = 7.582123597414363, (1680) = 7.583933490173936, (1681) = 7.5857405491879515, (1682) = 7.587544783309521, (1683) = 7.5893462013504, (1684) = 7.591144812081242, (1685) = 7.592940624237828, (1686) = 7.594733646556354, (1687) = 7.596523887694979, (1688) = 7.598311356261577, (1689) = 7.600096060824183, (1690) = 7.601878009911239, (1691) = 7.603657212011841, (1692) = 7.605433675575975, (1693) = 7.60720740901476, (1694) = 7.608978420700683, (1695) = 7.6107467189828535, (1696) = 7.612512312199677, (1697) = 7.614275208610958, (1698) = 7.6160354164361515, (1699) = 7.6177929438572525, (1700) = 7.619547799019024, (1701) = 7.62129999002922, (1702) = 7.623049524958809, (1703) = 7.624796411842196, (1704) = 7.626540658677444, (1705) = 7.6282822734539595, (1706) = 7.630021264127614, (1707) = 7.631757638587955, (1708) = 7.633491404689044, (1709) = 7.635222570249684, (1710) = 7.636951143053628, (1711) = 7.6386771308497945, (1712) = 7.640400541352466, (1713) = 7.642121382241498, (1714) = 7.643839661164192, (1715) = 7.645555385770016, (1716) = 7.647268563651927, (1717) = 7.6489792023533445, (1718) = 7.650687309384274, (1719) = 7.652392892221509, (1720) = 7.65409595830882, (1721) = 7.655796515057151, (1722) = 7.657494569844813, (1723) = 7.659190130017671, (1724) = 7.660883202896386, (1725) = 7.662573795802084, (1726) = 7.664261915989996, (1727) = 7.665947570677381, (1728) = 7.6676307670499995, (1729) = 7.669311512262291, (1730) = 7.670989813437558, (1731) = 7.672665677668145, (1732) = 7.674339112015621, (1733) = 7.676010123510948, (1734) = 7.677678719170351, (1735) = 7.679344905997785, (1736) = 7.681008690933963, (1737) = 7.682670080888522, (1738) = 7.684329082741375, (1739) = 7.685985703342876, (1740) = 7.687639949513995, (1741) = 7.689291828046482, (1742) = 7.690941345703033, (1743) = 7.692588509217531, (1744) = 7.694233325321977, (1745) = 7.69587580071419, (1746) = 7.697515942041653, (1747) = 7.699153755923615, (1748) = 7.700789248951255, (1749) = 7.702422427687834, (1750) = 7.704053298668859, (1751) = 7.705681868402233, (1752) = 7.707308143368413, (1753) = 7.70893213002305, (1754) = 7.710553834825748, (1755) = 7.712173264185651, (1756) = 7.713790424474351, (1757) = 7.715405322036758, (1758) = 7.717017963191249, (1759) = 7.718628354229814, (1760) = 7.720236501418206, (1761) = 7.721842410996081, (1762) = 7.723446089177147, (1763) = 7.725047542157286, (1764) = 7.7266467761318225, (1765) = 7.7282437972405855, (1766) = 7.729838611594334, (1767) = 7.731431225278593, (1768) = 7.733021644353786, (1769) = 7.734609874855379, (1770) = 7.736195922794012, (1771) = 7.737779794155639, (1772) = 7.739361494901656, (1773) = 7.740941030985229, (1774) = 7.742518408345327, (1775) = 7.744093632870331, (1776) = 7.745666710424213, (1777) = 7.747237646847059, (1778) = 7.748806447955194, (1779) = 7.750373119541314, (1780) = 7.751937667374614, (1781) = 7.75350009720091, (1782) = 7.755060414743156, (1783) = 7.756618625726384, (1784) = 7.75817473584211, (1785) = 7.759728750743381, (1786) = 7.761280676060495, (1787) = 7.762830517401119, (1788) = 7.764378280350417, (1789) = 7.765923970471164, (1790) = 7.767467593303865, (1791) = 7.769009154366878, (1792) = 7.770548659159828, (1793) = 7.772086113186593, (1794) = 7.773621521906366, (1795) = 7.775154890749582, (1796) = 7.776686225125118, (1797) = 7.778215530420398, (1798) = 7.7797428120015075, (1799) = 7.78126807521331, (1800) = 7.782791325379554, (1801) = 7.784312567802986, (1802) = 7.785831807774251, (1803) = 7.787349050581816, (1804) = 7.788864301467626, (1805) = 7.790377565651048, (1806) = 7.791888848330993, (1807) = 7.793398154686025, (1808) = 7.7949054898744645, (1809) = 7.796410859034498, (1810) = 7.797914267284275, (1811) = 7.7994157197220195, (1812) = 7.800915221442684, (1813) = 7.80241277752499, (1814) = 7.8039083930076, (1815) = 7.805402072909605, (1816) = 7.806893822230684, (1817) = 7.808383645951197, (1818) = 7.809871549032288, (1819) = 7.8113575364159855, (1820) = 7.812841613025294, (1821) = 7.814323783765137, (1822) = 7.815804053544567, (1823) = 7.817282427240667, (1824) = 7.81875890970091, (1825) = 7.820233505754229, (1826) = 7.8217062202111185, (1827) = 7.823177057863724, (1828) = 7.824646023485936, (1829) = 7.826113121833483, (1830) = 7.827578357644022, (1831) = 7.829041735641304, (1832) = 7.830503260552716, (1833) = 7.831962937066376, (1834) = 7.833420769848167, (1835) = 7.83487676354635, (1836) = 7.836330922791663, (1837) = 7.837783252197401, (1838) = 7.839233756359507, (1839) = 7.840682439856657, (1840) = 7.842129307250349, (1841) = 7.843574363094466, (1842) = 7.84501761193881, (1843) = 7.846459058294443, (1844) = 7.847898706654614, (1845) = 7.849336561495815, (1846) = 7.8507726272778715, (1847) = 7.852206908444019, (1848) = 7.853639409420989, (1849) = 7.855070134619086, (1850) = 7.856499088432286, (1851) = 7.857926275255067, (1852) = 7.859351699463754, (1853) = 7.860775365403395, (1854) = 7.862197277403018, (1855) = 7.863617439775707, (1856) = 7.865035856818683, (1857) = 7.86645253281338, (1858) = 7.86786747202552, (1859) = 7.869280678705195, (1860) = 7.870692157088304, (1861) = 7.872101911415651, (1862) = 7.873509945898158, (1863) = 7.874916264723793, (1864) = 7.876320872065268, (1865) = 7.877723772080116, (1866) = 7.879124968910763, (1867) = 7.880524466684603, (1868) = 7.8819222695140665, (1869) = 7.883318381496695, (1870) = 7.884712806720007, (1871) = 7.886105549273988, (1872) = 7.887496613214391, (1873) = 7.888886002579583, (1874) = 7.890273721393399, (1875) = 7.891659773665211, (1876) = 7.893044163389997, (1877) = 7.8944268945484115, (1878) = 7.8958079711068505, (1879) = 7.897187397017522, (1880) = 7.898565176228581, (1881) = 7.8999413126820945, (1882) = 7.9013158102881675, (1883) = 7.902688672942608, (1884) = 7.9040599045273705, (1885) = 7.905429508910625, (1886) = 7.9067974899468165, (1887) = 7.9081638514767345, (1888) = 7.909528597327574, (1889) = 7.910891731313164, (1890) = 7.912253257250207, (1891) = 7.913613178936267, (1892) = 7.914971500144501, (1893) = 7.916328224634791, (1894) = 7.9176833561538045, (1895) = 7.919036898435061, (1896) = 7.920388855198988, (1897) = 7.921739230152987, (1898) = 7.92308802699149, (1899) = 7.924435249397942, (1900) = 7.925780901060633, (1901) = 7.9271249856403525, (1902) = 7.928467506779973, (1903) = 7.929808468109699, (1904) = 7.931147873247127, (1905) = 7.932485725797304, (1906) = 7.933822029352781, (1907) = 7.935156787493677, (1908) = 7.936490003787731, (1909) = 7.9378216817958105, (1910) = 7.9391518250797795, (1911) = 7.9404804371719075, (1912) = 7.941807521590713, (1913) = 7.943133081842619, (1914) = 7.944457121422013, (1915) = 7.945779643811293, (1916) = 7.947100652480932, (1917) = 7.9484201508895245, (1918) = 7.949738142483844, (1919) = 7.951054630709461, (1920) = 7.952369619003862, (1921) = 7.953683110778499, (1922) = 7.954995109433132, (1923) = 7.956305618355968, (1924) = 7.957614640923712, (1925) = 7.958922180501621, (1926) = 7.960228240443554, (1927) = 7.961532824092022, (1928) = 7.962835934778676, (1929) = 7.964137575839275, (1930) = 7.965437750590339, (1931) = 7.966736462329248, (1932) = 7.9680337143422895, (1933) = 7.96932950990471, (1934) = 7.97062385228076, (1935) = 7.97191674472375, (1936) = 7.973208190476089, (1937) = 7.974498192769343, (1938) = 7.975786754826755, (1939) = 7.977073879875802, (1940) = 7.97835957111899, (1941) = 7.979643831744734, (1942) = 7.980926664930844, (1943) = 7.982208073844569, (1944) = 7.983488061642645, (1945) = 7.984766631471343, (1946) = 7.986043786466513, (1947) = 7.987319529753629, (1948) = 7.988593864453876, (1949) = 7.989866793687814, (1950) = 7.991138320550665, (1951) = 7.992408448126629, (1952) = 7.993677179489759, (1953) = 7.994944517704004, (1954) = 7.996210465823257, (1955) = 7.997475026891394, (1956) = 7.99873820394232, (1957) = 8.0}, datatype = float[8], order = C_order); Y := Matrix(1957, 3, {(1, 1) = .0, (1, 2) = .0, (1, 3) = -0.15087915185513387e-6, (2, 1) = -0.4703247921158766e-12, (2, 2) = 0.7752952440139635e-10, (2, 3) = -0.1159477863649019e-6, (3, 1) = 0.4851024694698007e-12, (3, 2) = 0.7841205395072432e-10, (3, 3) = -0.628334387449972e-8, (4, 1) = 0.14683936038935648e-11, (4, 2) = -0.2795080948312643e-9, (4, 3) = 0.11839188535019358e-6, (5, 1) = -0.505887684400247e-12, (5, 2) = 0.9108459647617881e-10, (5, 3) = 0.2519276398923896e-7, (6, 1) = -0.19103813762796647e-11, (6, 2) = 0.11727634502004799e-8, (6, 3) = -0.6060186042705624e-6, (7, 1) = 0.10884877821979604e-11, (7, 2) = 0.8784546203301721e-10, (7, 3) = -0.29002707780748434e-6, (8, 1) = 0.2708896050993958e-11, (8, 2) = -0.15073315860448254e-8, (8, 3) = 0.9505835417149998e-6, (9, 1) = 0.3104708120632991e-12, (9, 2) = -0.35828461787491705e-9, (9, 3) = 0.4358688033223136e-6, (10, 1) = -0.1084150430964179e-11, (10, 2) = 0.9579465194003937e-9, (10, 3) = -0.7647933044064127e-6, (11, 1) = -0.13052680548977818e-12, (11, 2) = 0.3865826694719873e-9, (11, 3) = -0.4032405181798882e-6, (12, 1) = 0.6183945499976991e-12, (12, 2) = -0.3118965677141622e-9, (12, 3) = 0.3210599998914348e-6, (13, 1) = 0.4901212441432779e-12, (13, 2) = -0.20700558818905446e-9, (13, 3) = 0.2346934056714839e-6, (14, 1) = 0.2734651389479414e-12, (14, 2) = 0.24448626890473073e-10, (14, 3) = -0.45697743055312414e-7, (15, 1) = 0.2431777974829105e-12, (15, 2) = 0.48445473375253233e-10, (15, 3) = -0.7225158548464218e-7, (16, 1) = 0.26686033752532294e-12, (16, 2) = 0.1038925957673894e-10, (16, 3) = -0.12706300348559341e-7, (17, 1) = 0.27562909674091005e-12, (17, 2) = -0.25448368517721356e-11, (17, 3) = 0.6761469339791668e-8, (18, 1) = 0.2759740271046751e-12, (18, 2) = -0.17518268120559878e-11, (18, 3) = 0.37926419360682896e-8, (19, 1) = 0.275333283454906e-12, (19, 2) = -0.504057413595652e-12, (19, 3) = 0.8644285889599315e-9, (20, 1) = 0.274991312192652e-12, (20, 2) = -0.19409575295277286e-12, (20, 3) = 0.1182202914849206e-9, (21, 1) = 0.27463616525209733e-12, (21, 2) = -0.15082763306876688e-12, (21, 3) = 0.1077520138053046e-10, (22, 1) = 0.27458720691948497e-12, (22, 2) = -0.14679486777519232e-12, (22, 3) = 0.7588492938311442e-12, (23, 1) = 0.27436572475087856e-12, (23, 2) = -0.14282149784589415e-12, (23, 3) = 0.31098255706318076e-12, (24, 1) = 0.27399293398872817e-12, (24, 2) = -0.14481592934250786e-12, (24, 3) = 0.39778249816521695e-12, (25, 1) = 0.2739443323362915e-12, (25, 2) = -0.13671237995492778e-12, (25, 3) = 0.4901596752766388e-12, (26, 1) = 0.27387876238719333e-12, (26, 2) = -0.1456248994316331e-12, (26, 3) = 0.6032588544656309e-12, (27, 1) = 0.27362272581946553e-12, (27, 2) = -0.14540283321182855e-12, (27, 3) = 0.6484892140586178e-12, (28, 1) = 0.27365358208558227e-12, (28, 2) = -0.14206613647928978e-12, (28, 3) = 0.6852860210567458e-12, (29, 1) = 0.27319527226370813e-12, (29, 2) = -0.1365089378103535e-12, (29, 3) = 0.665098690765951e-12, (30, 1) = 0.27326303442249924e-12, (30, 2) = -0.1402963415845188e-12, (30, 3) = 0.6463665904361823e-12, (31, 1) = 0.2728618274845604e-12, (31, 2) = -0.13197204802111333e-12, (31, 3) = 0.6919568038476178e-12, (32, 1) = 0.27271759141347967e-12, (32, 2) = -0.14172017376965222e-12, (32, 3) = 0.7525872656257651e-12, (33, 1) = 0.2726337123531653e-12, (33, 2) = -0.14157439019681408e-12, (33, 3) = 0.7235126968413634e-12, (34, 1) = 0.27238108406248937e-12, (34, 2) = -0.13174314137021718e-12, (34, 3) = 0.7337748148913058e-12, (35, 1) = 0.27223926956618583e-12, (35, 2) = -0.13548747324895517e-12, (35, 3) = 0.7527940351824018e-12, (36, 1) = 0.27182786404135115e-12, (36, 2) = -0.13382952371551483e-12, (36, 3) = 0.7370252894351462e-12, (37, 1) = 0.2720730221207122e-12, (37, 2) = -0.13220474201024676e-12, (37, 3) = 0.7256235369752867e-12, (38, 1) = 0.27162246417705e-12, (38, 2) = -0.14114344484635753e-12, (38, 3) = 0.7040402815538175e-12, (39, 1) = 0.27144088018136263e-12, (39, 2) = -0.1335697491639797e-12, (39, 3) = 0.6993636401437963e-12, (40, 1) = 0.27169779158433875e-12, (40, 2) = -0.13102743818261215e-12, (40, 3) = 0.7057124847288748e-12, (41, 1) = 0.27155623470159195e-12, (41, 2) = -0.13729287044377638e-12, (41, 3) = 0.7281439195173586e-12, (42, 1) = 0.27066046651843074e-12, (42, 2) = -0.13678854977603498e-12, (42, 3) = 0.6852648615104756e-12, (43, 1) = 0.2707445702736154e-12, (43, 2) = -0.12590356654755623e-12, (43, 3) = 0.6724201882472532e-12, (44, 1) = 0.2709788683724631e-12, (44, 2) = -0.12722860558467487e-12, (44, 3) = 0.7141223708626449e-12, (45, 1) = 0.27069027962822733e-12, (45, 2) = -0.1304149478156338e-12, (45, 3) = 0.6787829008657949e-12, (46, 1) = 0.27072331169546066e-12, (46, 2) = -0.12380899131684667e-12, (46, 3) = 0.6549770962099715e-12, (47, 1) = 0.27012693866153014e-12, (47, 2) = -0.12550212049228368e-12, (47, 3) = 0.6684445193768827e-12, (48, 1) = 0.26969168759347045e-12, (48, 2) = -0.1292899521571082e-12, (48, 3) = 0.6357394810033734e-12, (49, 1) = 0.270002091689851e-12, (49, 2) = -0.12381067483944021e-12, (49, 3) = 0.6287216438638598e-12, (50, 1) = 0.26943592244557396e-12, (50, 2) = -0.12150033420633601e-12, (50, 3) = 0.6285124092609015e-12, (51, 1) = 0.26966949080724127e-12, (51, 2) = -0.12537398393715837e-12, (51, 3) = 0.6120284851472317e-12, (52, 1) = 0.2694265351881389e-12, (52, 2) = -0.1264730430972577e-12, (52, 3) = 0.6157855896569775e-12, (53, 1) = 0.2692549867359133e-12, (53, 2) = -0.11865916074546515e-12, (53, 3) = 0.5844300642100009e-12, (54, 1) = 0.2692016876780419e-12, (54, 2) = -0.1221890722808861e-12, (54, 3) = 0.5885043202394661e-12, (55, 1) = 0.2693625332242363e-12, (55, 2) = -0.12168383256404255e-12, (55, 3) = 0.623311054680946e-12, (56, 1) = 0.2690177871303092e-12, (56, 2) = -0.1193264297911403e-12, (56, 3) = 0.5557814273573087e-12, (57, 1) = 0.26924617346857057e-12, (57, 2) = -0.1167894234146918e-12, (57, 3) = 0.5510266332151234e-12, (58, 1) = 0.26895384877766483e-12, (58, 2) = -0.11266361792188005e-12, (58, 3) = 0.5412729400554038e-12, (59, 1) = 0.26860743043348245e-12, (59, 2) = -0.12001595358751812e-12, (59, 3) = 0.5621894847081714e-12, (60, 1) = 0.26842374338889075e-12, (60, 2) = -0.11885801078831822e-12, (60, 3) = 0.5454199077865117e-12, (61, 1) = 0.2684047957109629e-12, (61, 2) = -0.11690174431866394e-12, (61, 3) = 0.5300631164990081e-12, (62, 1) = 0.26788358469352816e-12, (62, 2) = -0.11661602787836494e-12, (62, 3) = 0.5103562689389766e-12, (63, 1) = 0.26804855355741394e-12, (63, 2) = -0.111528325704832e-12, (63, 3) = 0.5065667756944198e-12, (64, 1) = 0.26779507704255184e-12, (64, 2) = -0.11643125673083307e-12, (64, 3) = 0.5311248284951109e-12, (65, 1) = 0.26759324757191843e-12, (65, 2) = -0.11206005030334152e-12, (65, 3) = 0.5107666971236273e-12, (66, 1) = 0.26768246930422306e-12, (66, 2) = -0.11446655290068057e-12, (66, 3) = 0.4981770065281522e-12, (67, 1) = 0.2673064082107369e-12, (67, 2) = -0.11457273122857032e-12, (67, 3) = 0.4906501021610063e-12, (68, 1) = 0.26726522530893444e-12, (68, 2) = -0.11027309985886519e-12, (68, 3) = 0.511997813591329e-12, (69, 1) = 0.26712136603188906e-12, (69, 2) = -0.11209113627090184e-12, (69, 3) = 0.4823175255792305e-12, (70, 1) = 0.26713077366348523e-12, (70, 2) = -0.1172352509782068e-12, (70, 3) = 0.482372869107608e-12, (71, 1) = 0.2668118147558638e-12, (71, 2) = -0.10812929087541627e-12, (71, 3) = 0.4853707435981408e-12, (72, 1) = 0.26668006245918155e-12, (72, 2) = -0.11674263490799855e-12, (72, 3) = 0.4634698064130993e-12, (73, 1) = 0.266659108288785e-12, (73, 2) = -0.11198995892887017e-12, (73, 3) = 0.4584698461520108e-12, (74, 1) = 0.2667681758939812e-12, (74, 2) = -0.11331264358475169e-12, (74, 3) = 0.4599235727269236e-12, (75, 1) = 0.26556578933316516e-12, (75, 2) = -0.1024828883019905e-12, (75, 3) = 0.4392223256193998e-12, (76, 1) = 0.26636144882811536e-12, (76, 2) = -0.11096781336721623e-12, (76, 3) = 0.4461360217876704e-12, (77, 1) = 0.2660790380914997e-12, (77, 2) = -0.10220378278036839e-12, (77, 3) = 0.4405732293223387e-12, (78, 1) = 0.2661518675212826e-12, (78, 2) = -0.1154223451259721e-12, (78, 3) = 0.43127099337514406e-12, (79, 1) = 0.2659207743035675e-12, (79, 2) = -0.10743981585149869e-12, (79, 3) = 0.41955189216341967e-12, (80, 1) = 0.266299929355256e-12, (80, 2) = -0.10600343108236077e-12, (80, 3) = 0.42457996644579407e-12, (81, 1) = 0.2647849714177146e-12, (81, 2) = -0.10712457607418126e-12, (81, 3) = 0.4265342254846519e-12, (82, 1) = 0.26489109570293296e-12, (82, 2) = -0.10349976816255758e-12, (82, 3) = 0.4349230190083018e-12, (83, 1) = 0.2647106595759988e-12, (83, 2) = -0.1043203420916074e-12, (83, 3) = 0.38148575757346156e-12, (84, 1) = 0.26511188443223444e-12, (84, 2) = -0.10667544861838707e-12, (84, 3) = 0.4080437100730308e-12, (85, 1) = 0.2640135178398355e-12, (85, 2) = -0.10608030737160487e-12, (85, 3) = 0.3997904632889758e-12, (86, 1) = 0.2648061926056494e-12, (86, 2) = -0.10019125485433196e-12, (86, 3) = 0.37950623350411595e-12, (87, 1) = 0.26457027924072085e-12, (87, 2) = -0.10721093587965642e-12, (87, 3) = 0.3717360324442272e-12, (88, 1) = 0.26451053757697107e-12, (88, 2) = -0.9845467168653614e-13, (88, 3) = 0.387864754525871e-12, (89, 1) = 0.26470759137929407e-12, (89, 2) = -0.9746262916189983e-13, (89, 3) = 0.41518255736770227e-12, (90, 1) = 0.26406086464839543e-12, (90, 2) = -0.10372162081095292e-12, (90, 3) = 0.3601570646093918e-12, (91, 1) = 0.26434940976032535e-12, (91, 2) = -0.9678023237767134e-13, (91, 3) = 0.3674808565920531e-12, (92, 1) = 0.2632087934037314e-12, (92, 2) = -0.9978825754555892e-13, (92, 3) = 0.3752655554055051e-12, (93, 1) = 0.2644227933754202e-12, (93, 2) = -0.10302828059169024e-12, (93, 3) = 0.36346439928953234e-12, (94, 1) = 0.26353325391804184e-12, (94, 2) = -0.9877351926173575e-13, (94, 3) = 0.3553882341013326e-12, (95, 1) = 0.2643756725201385e-12, (95, 2) = -0.10104903326649623e-12, (95, 3) = 0.37219006216221157e-12, (96, 1) = 0.26407627172868707e-12, (96, 2) = -0.10017722157860943e-12, (96, 3) = 0.3783510098468353e-12, (97, 1) = 0.26325347716046293e-12, (97, 2) = -0.9970053542372821e-13, (97, 3) = 0.35373689395230936e-12, (98, 1) = 0.26270807574463673e-12, (98, 2) = -0.9684881764073035e-13, (98, 3) = 0.3652391710485941e-12, (99, 1) = 0.26376263904072344e-12, (99, 2) = -0.9818562192591686e-13, (99, 3) = 0.33741576213003243e-12, (100, 1) = 0.26278544378560853e-12, (100, 2) = -0.9558240342712419e-13, (100, 3) = 0.3576537433896973e-12, (101, 1) = 0.26199882761566467e-12, (101, 2) = -0.9255978537264271e-13, (101, 3) = 0.34462174825474655e-12, (102, 1) = 0.2638323222368257e-12, (102, 2) = -0.9625103050626496e-13, (102, 3) = 0.354091006799014e-12, (103, 1) = 0.2629451114714572e-12, (103, 2) = -0.9939848281108754e-13, (103, 3) = 0.32975422178672836e-12, (104, 1) = 0.2626354605190023e-12, (104, 2) = -0.1009994692710708e-12, (104, 3) = 0.33476924577915817e-12, (105, 1) = 0.26252308048865637e-12, (105, 2) = -0.9725813052259642e-13, (105, 3) = 0.3094655331434889e-12, (106, 1) = 0.2614450759136197e-12, (106, 2) = -0.106039128326378e-12, (106, 3) = 0.31907380758561073e-12, (107, 1) = 0.2623894182568933e-12, (107, 2) = -0.9627487078405705e-13, (107, 3) = 0.33061200590375336e-12, (108, 1) = 0.26231726783909757e-12, (108, 2) = -0.9015460468802777e-13, (108, 3) = 0.3250406073271004e-12, (109, 1) = 0.261919865891662e-12, (109, 2) = -0.9686252323936583e-13, (109, 3) = 0.3129683587767592e-12, (110, 1) = 0.2618941963722864e-12, (110, 2) = -0.93897662199636e-13, (110, 3) = 0.3061491054176727e-12, (111, 1) = 0.26201887467368455e-12, (111, 2) = -0.996884093579159e-13, (111, 3) = 0.3231702158543201e-12, (112, 1) = 0.26202050000307675e-12, (112, 2) = -0.9377477414276085e-13, (112, 3) = 0.3176873611682805e-12, (113, 1) = 0.2608338152335562e-12, (113, 2) = -0.9319186772387417e-13, (113, 3) = 0.32071736229389704e-12, (114, 1) = 0.2615578833560192e-12, (114, 2) = -0.9744959294367251e-13, (114, 3) = 0.2833836673796264e-12, (115, 1) = 0.2615297523482611e-12, (115, 2) = -0.9566459363501658e-13, (115, 3) = 0.31136624875181896e-12, (116, 1) = 0.2614590687868646e-12, (116, 2) = -0.8899868738178905e-13, (116, 3) = 0.29685599532002194e-12, (117, 1) = 0.261425687529969e-12, (117, 2) = -0.8819338524218511e-13, (117, 3) = 0.3080449043575119e-12, (118, 1) = 0.26097725151175607e-12, (118, 2) = -0.8701697735774702e-13, (118, 3) = 0.30070022828453474e-12, (119, 1) = 0.2610712613668365e-12, (119, 2) = -0.9442881678104603e-13, (119, 3) = 0.2995025810098676e-12, (120, 1) = 0.2605278237103525e-12, (120, 2) = -0.8480600338233614e-13, (120, 3) = 0.3091049897799754e-12, (121, 1) = 0.2608636904142127e-12, (121, 2) = -0.8593818310761843e-13, (121, 3) = 0.27449530500784206e-12, (122, 1) = 0.26023902223061734e-12, (122, 2) = -0.8946091454264133e-13, (122, 3) = 0.279554985646951e-12, (123, 1) = 0.25984176948460257e-12, (123, 2) = -0.921411458160662e-13, (123, 3) = 0.2757283422398209e-12, (124, 1) = 0.26080834579080157e-12, (124, 2) = -0.8860118550927437e-13, (124, 3) = 0.2801943055036938e-12, (125, 1) = 0.2598300627145634e-12, (125, 2) = -0.8555881594914586e-13, (125, 3) = 0.2913287800535922e-12, (126, 1) = 0.25878200078464263e-12, (126, 2) = -0.9192534555839113e-13, (126, 3) = 0.2689390077049227e-12, (127, 1) = 0.2595749663573989e-12, (127, 2) = -0.8791897750552728e-13, (127, 3) = 0.2881129555889641e-12, (128, 1) = 0.2594184665172654e-12, (128, 2) = -0.8768300483163893e-13, (128, 3) = 0.2728527272410517e-12, (129, 1) = 0.2599423698939286e-12, (129, 2) = -0.89714628115182e-13, (129, 3) = 0.2877857531099665e-12, (130, 1) = 0.2590568079015536e-12, (130, 2) = -0.8520590605610388e-13, (130, 3) = 0.2659803433420808e-12, (131, 1) = 0.26038008040701495e-12, (131, 2) = -0.8406225671598492e-13, (131, 3) = 0.25257743776131284e-12, (132, 1) = 0.2590911808504256e-12, (132, 2) = -0.8803835609147506e-13, (132, 3) = 0.27027319815630347e-12, (133, 1) = 0.259132652043035e-12, (133, 2) = -0.918861407984903e-13, (133, 3) = 0.27797548858248757e-12, (134, 1) = 0.2585278066626474e-12, (134, 2) = -0.8834204112970716e-13, (134, 3) = 0.26888113073856884e-12, (135, 1) = 0.25851682477454626e-12, (135, 2) = -0.8046275197996397e-13, (135, 3) = 0.27466696074650513e-12, (136, 1) = 0.2579178137290646e-12, (136, 2) = -0.9290438720497358e-13, (136, 3) = 0.2621387167114593e-12, (137, 1) = 0.2588456185088568e-12, (137, 2) = -0.8395607321918779e-13, (137, 3) = 0.25361896867515625e-12, (138, 1) = 0.25885752141768196e-12, (138, 2) = -0.847188785516941e-13, (138, 3) = 0.25903753753975507e-12, (139, 1) = 0.2588376097413041e-12, (139, 2) = -0.9161331969946515e-13, (139, 3) = 0.25473872350424314e-12, (140, 1) = 0.25841342149976794e-12, (140, 2) = -0.8362780671406658e-13, (140, 3) = 0.24864536659332467e-12, (141, 1) = 0.2573324946032208e-12, (141, 2) = -0.8417006922235556e-13, (141, 3) = 0.24987866923883005e-12, (142, 1) = 0.2585760380420858e-12, (142, 2) = -0.9082257509945616e-13, (142, 3) = 0.24549354354685514e-12, (143, 1) = 0.25777320969977326e-12, (143, 2) = -0.8782647302087216e-13, (143, 3) = 0.24089282830534644e-12, (144, 1) = 0.2570651715974808e-12, (144, 2) = -0.8250220572239763e-13, (144, 3) = 0.24785407202305915e-12, (145, 1) = 0.2597626938440135e-12, (145, 2) = -0.7878717972808699e-13, (145, 3) = 0.2462821294038913e-12, (146, 1) = 0.2587185644022312e-12, (146, 2) = -0.8827791005023449e-13, (146, 3) = 0.24643366426042965e-12, (147, 1) = 0.25817715448708686e-12, (147, 2) = -0.8740657437522807e-13, (147, 3) = 0.2364355765719962e-12, (148, 1) = 0.2591989996614939e-12, (148, 2) = -0.8268793492991968e-13, (148, 3) = 0.2514704509912895e-12, (149, 1) = 0.2565821442020111e-12, (149, 2) = -0.8287019284930553e-13, (149, 3) = 0.24521412693523456e-12, (150, 1) = 0.2571416163663077e-12, (150, 2) = -0.8619568595575069e-13, (150, 3) = 0.235923815213155e-12, (151, 1) = 0.25605705433858386e-12, (151, 2) = -0.8406517578768382e-13, (151, 3) = 0.23008017513312833e-12, (152, 1) = 0.25689088624850697e-12, (152, 2) = -0.8860779001008963e-13, (152, 3) = 0.22601547341711113e-12, (153, 1) = 0.25595497242372375e-12, (153, 2) = -0.8356810591910455e-13, (153, 3) = 0.2373276844891034e-12, (154, 1) = 0.25799489931641756e-12, (154, 2) = -0.8422041929398255e-13, (154, 3) = 0.2399233089829565e-12, (155, 1) = 0.25678332025726544e-12, (155, 2) = -0.8331742163287023e-13, (155, 3) = 0.24512580486677856e-12, (156, 1) = 0.2559080350410583e-12, (156, 2) = -0.8359317426258902e-13, (156, 3) = 0.21513035878468473e-12, (157, 1) = 0.2569218595129958e-12, (157, 2) = -0.8137112614302452e-13, (157, 3) = 0.22701196917955123e-12, (158, 1) = 0.256871985205465e-12, (158, 2) = -0.8192156794931044e-13, (158, 3) = 0.2328477728865751e-12, (159, 1) = 0.25606972227556063e-12, (159, 2) = -0.805676397350046e-13, (159, 3) = 0.227411642410428e-12, (160, 1) = 0.2561433386785239e-12, (160, 2) = -0.7903125043234053e-13, (160, 3) = 0.22822607133237374e-12, (161, 1) = 0.25629452670380667e-12, (161, 2) = -0.8288943069605665e-13, (161, 3) = 0.22240938003258785e-12, (162, 1) = 0.2563413597848562e-12, (162, 2) = -0.7758985291198619e-13, (162, 3) = 0.21326890026051373e-12, (163, 1) = 0.25623421465732063e-12, (163, 2) = -0.8200284761105682e-13, (163, 3) = 0.22433940371762822e-12, (164, 1) = 0.2557188590126326e-12, (164, 2) = -0.8631821100129461e-13, (164, 3) = 0.23359057915286617e-12, (165, 1) = 0.2537728554231563e-12, (165, 2) = -0.7668784498148213e-13, (165, 3) = 0.221367884056024e-12, (166, 1) = 0.25481955998954326e-12, (166, 2) = -0.8036576869103736e-13, (166, 3) = 0.21384029936752053e-12, (167, 1) = 0.25610969108184995e-12, (167, 2) = -0.7551222161438662e-13, (167, 3) = 0.2231396740116489e-12, (168, 1) = 0.2543900794969416e-12, (168, 2) = -0.8120250895246888e-13, (168, 3) = 0.206450080233743e-12, (169, 1) = 0.25665807224595404e-12, (169, 2) = -0.8325511142121432e-13, (169, 3) = 0.21740636865369733e-12, (170, 1) = 0.2546004607928139e-12, (170, 2) = -0.8055181291935551e-13, (170, 3) = 0.21768222151668588e-12, (171, 1) = 0.2556579167639735e-12, (171, 2) = -0.8171122101656633e-13, (171, 3) = 0.21026742612306154e-12, (172, 1) = 0.2555052628347332e-12, (172, 2) = -0.7486723867641988e-13, (172, 3) = 0.20732831608127265e-12, (173, 1) = 0.2542878431866264e-12, (173, 2) = -0.7689353798887828e-13, (173, 3) = 0.2100496769686203e-12, (174, 1) = 0.2558625641792741e-12, (174, 2) = -0.8271338885627835e-13, (174, 3) = 0.2107825028665385e-12, (175, 1) = 0.25460889696166593e-12, (175, 2) = -0.7860928774719807e-13, (175, 3) = 0.2039280195062321e-12, (176, 1) = 0.2542410091050117e-12, (176, 2) = -0.755828991779457e-13, (176, 3) = 0.20123585519816116e-12, (177, 1) = 0.25563400408374634e-12, (177, 2) = -0.7875915789886947e-13, (177, 3) = 0.20979229123362739e-12, (178, 1) = 0.2551172606099154e-12, (178, 2) = -0.7694803180300774e-13, (178, 3) = 0.22281508399942423e-12, (179, 1) = 0.25355253061511415e-12, (179, 2) = -0.8177954683736804e-13, (179, 3) = 0.19166083477651868e-12, (180, 1) = 0.25649734871088107e-12, (180, 2) = -0.7997678426253142e-13, (180, 3) = 0.20194754875663004e-12, (181, 1) = 0.2535129669237558e-12, (181, 2) = -0.7681591698316338e-13, (181, 3) = 0.19240169531702727e-12, (182, 1) = 0.2535153949936747e-12, (182, 2) = -0.8103494500859217e-13, (182, 3) = 0.19545686756097343e-12, (183, 1) = 0.25456231100298394e-12, (183, 2) = -0.7809176590799399e-13, (183, 3) = 0.2053322438431001e-12, (184, 1) = 0.2537783823279589e-12, (184, 2) = -0.8359646828115604e-13, (184, 3) = 0.19253199354315035e-12, (185, 1) = 0.2532302030543211e-12, (185, 2) = -0.8005319445011785e-13, (185, 3) = 0.20293938602080173e-12, (186, 1) = 0.2539800015133203e-12, (186, 2) = -0.7479796042438959e-13, (186, 3) = 0.20304536500254563e-12, (187, 1) = 0.2530655466819548e-12, (187, 2) = -0.7740950229773452e-13, (187, 3) = 0.19425212029411418e-12, (188, 1) = 0.254288238387664e-12, (188, 2) = -0.8427941424030142e-13, (188, 3) = 0.2037528852138398e-12, (189, 1) = 0.2527078690983138e-12, (189, 2) = -0.7889390693916803e-13, (189, 3) = 0.19142981324977303e-12, (190, 1) = 0.2529094468253282e-12, (190, 2) = -0.7467692697295759e-13, (190, 3) = 0.20108129222272157e-12, (191, 1) = 0.2529874521453606e-12, (191, 2) = -0.7374304366197123e-13, (191, 3) = 0.19023813900623056e-12, (192, 1) = 0.2521248719197082e-12, (192, 2) = -0.7259086114979445e-13, (192, 3) = 0.19462468628763425e-12, (193, 1) = 0.25275868922951367e-12, (193, 2) = -0.8221541517140365e-13, (193, 3) = 0.17032608709647105e-12, (194, 1) = 0.2523208684293337e-12, (194, 2) = -0.6642756686092764e-13, (194, 3) = 0.1925298804077578e-12, (195, 1) = 0.25343013209127367e-12, (195, 2) = -0.7747517696231575e-13, (195, 3) = 0.195541108055382e-12, (196, 1) = 0.2519940702313882e-12, (196, 2) = -0.7096612977844665e-13, (196, 3) = 0.19313546811141254e-12, (197, 1) = 0.2522916691313944e-12, (197, 2) = -0.7855258736121758e-13, (197, 3) = 0.18696100523453378e-12, (198, 1) = 0.251914958749273e-12, (198, 2) = -0.69117598786082e-13, (198, 3) = 0.19096950849285549e-12, (199, 1) = 0.25168872060111397e-12, (199, 2) = -0.7209296718835217e-13, (199, 3) = 0.17842415207403536e-12, (200, 1) = 0.2517258606809001e-12, (200, 2) = -0.733828106918187e-13, (200, 3) = 0.1862807498114733e-12, (201, 1) = 0.25138620355763533e-12, (201, 2) = -0.7089170457873835e-13, (201, 3) = 0.1804650731695726e-12, (202, 1) = 0.2529669910156102e-12, (202, 2) = -0.7200251363968924e-13, (202, 3) = 0.183014784865819e-12, (203, 1) = 0.25321453872086005e-12, (203, 2) = -0.7349883821775555e-13, (203, 3) = 0.16691782836930845e-12, (204, 1) = 0.2510732738366851e-12, (204, 2) = -0.8041459251682468e-13, (204, 3) = 0.19197482995999745e-12, (205, 1) = 0.2518354158073617e-12, (205, 2) = -0.7422983536846196e-13, (205, 3) = 0.18271737368323467e-12, (206, 1) = 0.25047448819148337e-12, (206, 2) = -0.7752438922632961e-13, (206, 3) = 0.18142134871468221e-12, (207, 1) = 0.2523367312362094e-12, (207, 2) = -0.7381087004487524e-13, (207, 3) = 0.17600126955333927e-12, (208, 1) = 0.25100850042563173e-12, (208, 2) = -0.6712855842194557e-13, (208, 3) = 0.17482790665758626e-12, (209, 1) = 0.2514378313705099e-12, (209, 2) = -0.7216279650795249e-13, (209, 3) = 0.17328799046222088e-12, (210, 1) = 0.2505657833512719e-12, (210, 2) = -0.7691170111857477e-13, (210, 3) = 0.16791552226548256e-12, (211, 1) = 0.2523316317317736e-12, (211, 2) = -0.7205254470032536e-13, (211, 3) = 0.17300560948216982e-12, (212, 1) = 0.25000687796058597e-12, (212, 2) = -0.7848057985772577e-13, (212, 3) = 0.17074200953970334e-12, (213, 1) = 0.25168257049574844e-12, (213, 2) = -0.6603818899599296e-13, (213, 3) = 0.1779819798822482e-12, (214, 1) = 0.25134724823737663e-12, (214, 2) = -0.7445390452431393e-13, (214, 3) = 0.16702762250357561e-12, (215, 1) = 0.2488733476936824e-12, (215, 2) = -0.6664029263359198e-13, (215, 3) = 0.17678598717431695e-12, (216, 1) = 0.25029800716243945e-12, (216, 2) = -0.7033288535907872e-13, (216, 3) = 0.17613440488302355e-12, (217, 1) = 0.2512502122359298e-12, (217, 2) = -0.689194155324976e-13, (217, 3) = 0.1785557475487533e-12, (218, 1) = 0.2505637058950344e-12, (218, 2) = -0.7449954909140431e-13, (218, 3) = 0.17639496577999752e-12, (219, 1) = 0.2493965522840277e-12, (219, 2) = -0.664835295799844e-13, (219, 3) = 0.18380546684619748e-12, (220, 1) = 0.24955945452163533e-12, (220, 2) = -0.6794120698856677e-13, (220, 3) = 0.1756637063180593e-12, (221, 1) = 0.2501323456779898e-12, (221, 2) = -0.7768014305103213e-13, (221, 3) = 0.1577272605911614e-12, (222, 1) = 0.2504517205985074e-12, (222, 2) = -0.6746177626550413e-13, (222, 3) = 0.17290624347923236e-12, (223, 1) = 0.2501205136122978e-12, (223, 2) = -0.7177109503733524e-13, (223, 3) = 0.16267702666157307e-12, (224, 1) = 0.25114386672575307e-12, (224, 2) = -0.7330793118366891e-13, (224, 3) = 0.1685360641877906e-12, (225, 1) = 0.25011892201453536e-12, (225, 2) = -0.6831449815027278e-13, (225, 3) = 0.1634584238657741e-12, (226, 1) = 0.24998076505430384e-12, (226, 2) = -0.7333638787113981e-13, (226, 3) = 0.17336549762508063e-12, (227, 1) = 0.24816584132452875e-12, (227, 2) = -0.613739219209407e-13, (227, 3) = 0.1729871466215132e-12, (228, 1) = 0.25058868866067737e-12, (228, 2) = -0.6394503324342069e-13, (228, 3) = 0.16319003351123334e-12, (229, 1) = 0.250841137624948e-12, (229, 2) = -0.716811652107469e-13, (229, 3) = 0.1595766600970737e-12, (230, 1) = 0.25047450296284515e-12, (230, 2) = -0.7244231228463122e-13, (230, 3) = 0.16324292839504442e-12, (231, 1) = 0.24995828245657095e-12, (231, 2) = -0.6971775630169417e-13, (231, 3) = 0.164215435859744e-12, (232, 1) = 0.2492011688179484e-12, (232, 2) = -0.6502764375746034e-13, (232, 3) = 0.16821539999373085e-12, (233, 1) = 0.24758910799763997e-12, (233, 2) = -0.7448414338246662e-13, (233, 3) = 0.16045680248901055e-12, (234, 1) = 0.2509069622250333e-12, (234, 2) = -0.7253557726792575e-13, (234, 3) = 0.15485864623091194e-12, (235, 1) = 0.2482094327271171e-12, (235, 2) = -0.7194708908538927e-13, (235, 3) = 0.15548019035264462e-12, (236, 1) = 0.24820023005853395e-12, (236, 2) = -0.6927711253801239e-13, (236, 3) = 0.16848874111860865e-12, (237, 1) = 0.24813896312581964e-12, (237, 2) = -0.6851265578185419e-13, (237, 3) = 0.156812834541937e-12, (238, 1) = 0.24920675748534684e-12, (238, 2) = -0.7423461206455781e-13, (238, 3) = 0.15926899135085458e-12, (239, 1) = 0.24756332565841593e-12, (239, 2) = -0.7067768263318255e-13, (239, 3) = 0.15860456066575404e-12, (240, 1) = 0.2490886007569406e-12, (240, 2) = -0.7430723938167855e-13, (240, 3) = 0.15716139877196057e-12, (241, 1) = 0.2487310496692174e-12, (241, 2) = -0.7187480500662063e-13, (241, 3) = 0.15214460755332184e-12, (242, 1) = 0.2484218000168614e-12, (242, 2) = -0.7069245721428452e-13, (242, 3) = 0.1568274418702093e-12, (243, 1) = 0.248893796427308e-12, (243, 2) = -0.7182098450772516e-13, (243, 3) = 0.1562467533030406e-12, (244, 1) = 0.2478442787811461e-12, (244, 2) = -0.7001745958708953e-13, (244, 3) = 0.15404562668831164e-12, (245, 1) = 0.24659352089582583e-12, (245, 2) = -0.6773712246879657e-13, (245, 3) = 0.1528608934384823e-12, (246, 1) = 0.2476307583805692e-12, (246, 2) = -0.6663264955366014e-13, (246, 3) = 0.15307233557338224e-12, (247, 1) = 0.2471286989612759e-12, (247, 2) = -0.7183573569494048e-13, (247, 3) = 0.1567523011588688e-12, (248, 1) = 0.24920284458822594e-12, (248, 2) = -0.7357711800430693e-13, (248, 3) = 0.1591137334609105e-12, (249, 1) = 0.2476127037471681e-12, (249, 2) = -0.7238516752681864e-13, (249, 3) = 0.1470630108120198e-12, (250, 1) = 0.2478242904212449e-12, (250, 2) = -0.687819739174338e-13, (250, 3) = 0.15396017763589108e-12, (251, 1) = 0.247427812295083e-12, (251, 2) = -0.623594645627437e-13, (251, 3) = 0.15006380103822715e-12, (252, 1) = 0.2481586918137519e-12, (252, 2) = -0.6802346724694233e-13, (252, 3) = 0.15626936340714984e-12, (253, 1) = 0.2473953154904128e-12, (253, 2) = -0.6262058274340858e-13, (253, 3) = 0.1561004859707669e-12, (254, 1) = 0.24752003997544967e-12, (254, 2) = -0.6832288636946751e-13, (254, 3) = 0.1557602107641178e-12, (255, 1) = 0.2469108685120445e-12, (255, 2) = -0.6677863869089163e-13, (255, 3) = 0.1518001460724024e-12, (256, 1) = 0.24722928782195697e-12, (256, 2) = -0.6731758766113549e-13, (256, 3) = 0.15030886845841878e-12, (257, 1) = 0.24623134654905395e-12, (257, 2) = -0.7113873668930863e-13, (257, 3) = 0.14845893426269198e-12, (258, 1) = 0.24632726555173697e-12, (258, 2) = -0.6133254057779549e-13, (258, 3) = 0.15506139854167921e-12, (259, 1) = 0.24784564761510623e-12, (259, 2) = -0.6693994433072813e-13, (259, 3) = 0.14857188953983483e-12, (260, 1) = 0.2470188059212782e-12, (260, 2) = -0.6911418359277456e-13, (260, 3) = 0.14808199605176294e-12, (261, 1) = 0.2472533778168354e-12, (261, 2) = -0.6772405422455507e-13, (261, 3) = 0.15193379061099504e-12, (262, 1) = 0.2480325663821749e-12, (262, 2) = -0.650356431427318e-13, (262, 3) = 0.1526840017612524e-12, (263, 1) = 0.2465363356284058e-12, (263, 2) = -0.5941487775213556e-13, (263, 3) = 0.1495298244486527e-12, (264, 1) = 0.2450582525047234e-12, (264, 2) = -0.6748850063069003e-13, (264, 3) = 0.14637133561263261e-12, (265, 1) = 0.24736092576452067e-12, (265, 2) = -0.680539017537869e-13, (265, 3) = 0.14801019191584728e-12, (266, 1) = 0.24615868424953843e-12, (266, 2) = -0.6294768322303242e-13, (266, 3) = 0.14696972944738447e-12, (267, 1) = 0.2457459093367824e-12, (267, 2) = -0.6700653445968127e-13, (267, 3) = 0.14587244771188806e-12, (268, 1) = 0.248070970672124e-12, (268, 2) = -0.6737114614720836e-13, (268, 3) = 0.15050671568898273e-12, (269, 1) = 0.246730886519188e-12, (269, 2) = -0.7017622680835109e-13, (269, 3) = 0.14727591993260127e-12, (270, 1) = 0.24577488183552226e-12, (270, 2) = -0.675662417865441e-13, (270, 3) = 0.14951513197258742e-12, (271, 1) = 0.24546617437533806e-12, (271, 2) = -0.654568043560178e-13, (271, 3) = 0.14594289391152396e-12, (272, 1) = 0.24718800755370595e-12, (272, 2) = -0.6889735031584145e-13, (272, 3) = 0.14357059112058807e-12, (273, 1) = 0.2465630993132372e-12, (273, 2) = -0.6420112718882402e-13, (273, 3) = 0.1449621214636371e-12, (274, 1) = 0.24572992026365364e-12, (274, 2) = -0.6466617664658158e-13, (274, 3) = 0.14626477886394765e-12, (275, 1) = 0.24307411404424043e-12, (275, 2) = -0.6789888423447905e-13, (275, 3) = 0.1370204490106442e-12, (276, 1) = 0.24281922184469994e-12, (276, 2) = -0.6367985578253211e-13, (276, 3) = 0.13720297978486946e-12, (277, 1) = 0.24375159800714294e-12, (277, 2) = -0.7003773575326006e-13, (277, 3) = 0.14541109723031717e-12, (278, 1) = 0.245234848647308e-12, (278, 2) = -0.6548101481418957e-13, (278, 3) = 0.14147036740588183e-12, (279, 1) = 0.2457601590600119e-12, (279, 2) = -0.6518612136412626e-13, (279, 3) = 0.14342946698387707e-12, (280, 1) = 0.24738548297757003e-12, (280, 2) = -0.6055858985326228e-13, (280, 3) = 0.13638175729239436e-12, (281, 1) = 0.24414693692291745e-12, (281, 2) = -0.7064021966137313e-13, (281, 3) = 0.13681230051482033e-12, (282, 1) = 0.2453816646751576e-12, (282, 2) = -0.6770579259179701e-13, (282, 3) = 0.14826419451321617e-12, (283, 1) = 0.24282824537434966e-12, (283, 2) = -0.6809841573599572e-13, (283, 3) = 0.14712308504928768e-12, (284, 1) = 0.2454240227730242e-12, (284, 2) = -0.6036233166903553e-13, (284, 3) = 0.14291600785953833e-12, (285, 1) = 0.24919544330017403e-12, (285, 2) = -0.6726908959766275e-13, (285, 3) = 0.1365605562766095e-12, (286, 1) = 0.2463571798646117e-12, (286, 2) = -0.6186288145809581e-13, (286, 3) = 0.13572437912649787e-12, (287, 1) = 0.2449067100314187e-12, (287, 2) = -0.6038105325013729e-13, (287, 3) = 0.13694955309262892e-12, (288, 1) = 0.2436721311201033e-12, (288, 2) = -0.6292164686434369e-13, (288, 3) = 0.1402375133328412e-12, (289, 1) = 0.24275599538788176e-12, (289, 2) = -0.623109698830311e-13, (289, 3) = 0.13948980214922652e-12, (290, 1) = 0.2440663007670856e-12, (290, 2) = -0.5828261568719903e-13, (290, 3) = 0.1361233171852273e-12, (291, 1) = 0.246175350963902e-12, (291, 2) = -0.6278094025586108e-13, (291, 3) = 0.13667355659243295e-12, (292, 1) = 0.24626216664720247e-12, (292, 2) = -0.6372233444237408e-13, (292, 3) = 0.13320378662370869e-12, (293, 1) = 0.2434815831159693e-12, (293, 2) = -0.6558253991759813e-13, (293, 3) = 0.1422900609469975e-12, (294, 1) = 0.2469144002557192e-12, (294, 2) = -0.6990895444512363e-13, (294, 3) = 0.12927285041667408e-12, (295, 1) = 0.2444854981827494e-12, (295, 2) = -0.648385384034734e-13, (295, 3) = 0.12837499480754026e-12, (296, 1) = 0.2433803159294065e-12, (296, 2) = -0.6573772498529002e-13, (296, 3) = 0.14145972574673806e-12, (297, 1) = 0.2427776254700213e-12, (297, 2) = -0.6386857142071252e-13, (297, 3) = 0.13120302925554432e-12, (298, 1) = 0.24165032690328753e-12, (298, 2) = -0.653895059123339e-13, (298, 3) = 0.13291838823191656e-12, (299, 1) = 0.2427406426759389e-12, (299, 2) = -0.55886569366429615e-13, (299, 3) = 0.12895836121183816e-12, (300, 1) = 0.24619062362002367e-12, (300, 2) = -0.6090932255143888e-13, (300, 3) = 0.13792731458295222e-12, (301, 1) = 0.2408405470234118e-12, (301, 2) = -0.6328400215081623e-13, (301, 3) = 0.13205346791958108e-12, (302, 1) = 0.24511491376313727e-12, (302, 2) = -0.5916195739676858e-13, (302, 3) = 0.1337977183631306e-12, (303, 1) = 0.24436127354896224e-12, (303, 2) = -0.6340760581534314e-13, (303, 3) = 0.12818678763026446e-12, (304, 1) = 0.2455940036104349e-12, (304, 2) = -0.621415187023722e-13, (304, 3) = 0.1384223677967184e-12, (305, 1) = 0.24395192343286795e-12, (305, 2) = -0.5829733769428794e-13, (305, 3) = 0.13778174243654853e-12, (306, 1) = 0.24340126551120993e-12, (306, 2) = -0.6276491244015117e-13, (306, 3) = 0.13720046977390496e-12, (307, 1) = 0.2400417344107413e-12, (307, 2) = -0.5951118369134366e-13, (307, 3) = 0.13120530550371796e-12, (308, 1) = 0.2438942783893692e-12, (308, 2) = -0.6337471231787017e-13, (308, 3) = 0.13410946285404215e-12, (309, 1) = 0.24237524940182564e-12, (309, 2) = -0.6119324198432275e-13, (309, 3) = 0.1284038080620066e-12, (310, 1) = 0.24377841954510666e-12, (310, 2) = -0.6116827186741268e-13, (310, 3) = 0.1259344226130219e-12, (311, 1) = 0.240968497560952e-12, (311, 2) = -0.6395391262641046e-13, (311, 3) = 0.13470487987163284e-12, (312, 1) = 0.2426615806870184e-12, (312, 2) = -0.6535729886843385e-13, (312, 3) = 0.12755672995985635e-12, (313, 1) = 0.2457364868857641e-12, (313, 2) = -0.651955328170169e-13, (313, 3) = 0.12854816496208261e-12, (314, 1) = 0.24085672155377197e-12, (314, 2) = -0.598466232426132e-13, (314, 3) = 0.1268015940628056e-12, (315, 1) = 0.2447388175456443e-12, (315, 2) = -0.5974888828040247e-13, (315, 3) = 0.13038144151158216e-12, (316, 1) = 0.24363508814040334e-12, (316, 2) = -0.6387882066874401e-13, (316, 3) = 0.1358015521639332e-12, (317, 1) = 0.2408972278988918e-12, (317, 2) = -0.6349091193986723e-13, (317, 3) = 0.12979273444826322e-12, (318, 1) = 0.24413222776084026e-12, (318, 2) = -0.6322595649404467e-13, (318, 3) = 0.13006775212855125e-12, (319, 1) = 0.2404022424093365e-12, (319, 2) = -0.559918433081454e-13, (319, 3) = 0.1297431725074223e-12, (320, 1) = 0.2436416850911428e-12, (320, 2) = -0.5684932525917179e-13, (320, 3) = 0.12750147700018351e-12, (321, 1) = 0.24284373808822517e-12, (321, 2) = -0.6002187248906203e-13, (321, 3) = 0.12972726770984396e-12, (322, 1) = 0.2414169268840798e-12, (322, 2) = -0.5911769433126337e-13, (322, 3) = 0.12280137933605018e-12, (323, 1) = 0.24094727651071134e-12, (323, 2) = -0.6173690396707514e-13, (323, 3) = 0.12813504951941863e-12, (324, 1) = 0.24111754996486627e-12, (324, 2) = -0.5900433020381315e-13, (324, 3) = 0.127327953374659e-12, (325, 1) = 0.2444283086061669e-12, (325, 2) = -0.6377122838525634e-13, (325, 3) = 0.12828683892905495e-12, (326, 1) = 0.23872372021554846e-12, (326, 2) = -0.6200258582154124e-13, (326, 3) = 0.12359842822234894e-12, (327, 1) = 0.2425767724376089e-12, (327, 2) = -0.5730789201852643e-13, (327, 3) = 0.12327793304675382e-12, (328, 1) = 0.24078486277335077e-12, (328, 2) = -0.5588815090592967e-13, (328, 3) = 0.1247872556281289e-12, (329, 1) = 0.2381816292220266e-12, (329, 2) = -0.5844312627003909e-13, (329, 3) = 0.12672256641696249e-12, (330, 1) = 0.23982735438349687e-12, (330, 2) = -0.5195014008992264e-13, (330, 3) = 0.12310538252608203e-12, (331, 1) = 0.24103552460368814e-12, (331, 2) = -0.6260423616865094e-13, (331, 3) = 0.1296426079599553e-12, (332, 1) = 0.24035484385813155e-12, (332, 2) = -0.5392733584030267e-13, (332, 3) = 0.12632552145051836e-12, (333, 1) = 0.2421198261140578e-12, (333, 2) = -0.6354868960961821e-13, (333, 3) = 0.12323252441146636e-12, (334, 1) = 0.24228857654926805e-12, (334, 2) = -0.6583122657217493e-13, (334, 3) = 0.12597723019771494e-12, (335, 1) = 0.24123968704893116e-12, (335, 2) = -0.6589328655417755e-13, (335, 3) = 0.12258118840694099e-12, (336, 1) = 0.241425887032584e-12, (336, 2) = -0.6233333803902604e-13, (336, 3) = 0.1252675091873466e-12, (337, 1) = 0.2401275926154246e-12, (337, 2) = -0.5733866345649666e-13, (337, 3) = 0.12099120636706972e-12, (338, 1) = 0.240009030850993e-12, (338, 2) = -0.6615938980253938e-13, (338, 3) = 0.12184270637355032e-12, (339, 1) = 0.2404257160650256e-12, (339, 2) = -0.5845596308875185e-13, (339, 3) = 0.11858050385649322e-12, (340, 1) = 0.2418740796443201e-12, (340, 2) = -0.5724135792041143e-13, (340, 3) = 0.12124665736224864e-12, (341, 1) = 0.2421385735443035e-12, (341, 2) = -0.5766334061025603e-13, (341, 3) = 0.11909876138665416e-12, (342, 1) = 0.24185709205713664e-12, (342, 2) = -0.5772538102692832e-13, (342, 3) = 0.12380562274815131e-12, (343, 1) = 0.2412109847307176e-12, (343, 2) = -0.55481387816254154e-13, (343, 3) = 0.1200990918461073e-12, (344, 1) = 0.2393638088092435e-12, (344, 2) = -0.5760024535523341e-13, (344, 3) = 0.1249332566760693e-12, (345, 1) = 0.23905632984370566e-12, (345, 2) = -0.6309330877512132e-13, (345, 3) = 0.12336079465244854e-12, (346, 1) = 0.2397088037335161e-12, (346, 2) = -0.5742951069139699e-13, (346, 3) = 0.12007840011478735e-12, (347, 1) = 0.23972758522516724e-12, (347, 2) = -0.5670022335174499e-13, (347, 3) = 0.11580882098038255e-12, (348, 1) = 0.23660723235524356e-12, (348, 2) = -0.5427015227256137e-13, (348, 3) = 0.12542140605041119e-12, (349, 1) = 0.2388854304714937e-12, (349, 2) = -0.5211894133764604e-13, (349, 3) = 0.12249414955270891e-12, (350, 1) = 0.23942043036004e-12, (350, 2) = -0.5817959608993702e-13, (350, 3) = 0.12397392384375715e-12, (351, 1) = 0.23743910589623164e-12, (351, 2) = -0.5708310905994308e-13, (351, 3) = 0.118219575347836e-12, (352, 1) = 0.2415425636965284e-12, (352, 2) = -0.6361745723100983e-13, (352, 3) = 0.1192359670480112e-12, (353, 1) = 0.2400705233321519e-12, (353, 2) = -0.5103884005469765e-13, (353, 3) = 0.12130511473126924e-12, (354, 1) = 0.2407402602658795e-12, (354, 2) = -0.5857199129209973e-13, (354, 3) = 0.12024593318250466e-12, (355, 1) = 0.23891270608070094e-12, (355, 2) = -0.5799334997314522e-13, (355, 3) = 0.11931232074101076e-12, (356, 1) = 0.23946851197464745e-12, (356, 2) = -0.5953652430848917e-13, (356, 3) = 0.11936788506955973e-12, (357, 1) = 0.2371160520202739e-12, (357, 2) = -0.6017709767762136e-13, (357, 3) = 0.12408586968062092e-12, (358, 1) = 0.23841563592740466e-12, (358, 2) = -0.5684733484939259e-13, (358, 3) = 0.11581430464402503e-12, (359, 1) = 0.24071324517240153e-12, (359, 2) = -0.617843837742707e-13, (359, 3) = 0.1222996109712299e-12, (360, 1) = 0.23623048504951553e-12, (360, 2) = -0.54775782794889977e-13, (360, 3) = 0.11691806952478742e-12, (361, 1) = 0.2372264667676868e-12, (361, 2) = -0.5438710502971617e-13, (361, 3) = 0.11816214213854624e-12, (362, 1) = 0.23881044365807135e-12, (362, 2) = -0.4969627228645679e-13, (362, 3) = 0.12303736921086682e-12, (363, 1) = 0.239822747615841e-12, (363, 2) = -0.6377887501585027e-13, (363, 3) = 0.11303951281054948e-12, (364, 1) = 0.23603964955205173e-12, (364, 2) = -0.5786356995121355e-13, (364, 3) = 0.1180384034539282e-12, (365, 1) = 0.24074874478732906e-12, (365, 2) = -0.5656860362236832e-13, (365, 3) = 0.1149918522907131e-12, (366, 1) = 0.24050290119735973e-12, (366, 2) = -0.5562826017977558e-13, (366, 3) = 0.11975154608595232e-12, (367, 1) = 0.24045397415280713e-12, (367, 2) = -0.55496138629429016e-13, (367, 3) = 0.12125843346660088e-12, (368, 1) = 0.23470801627422695e-12, (368, 2) = -0.6191420953647525e-13, (368, 3) = 0.1215779039186545e-12, (369, 1) = 0.2384435329974179e-12, (369, 2) = -0.545830140900356e-13, (369, 3) = 0.11976826042146484e-12, (370, 1) = 0.23868336346851573e-12, (370, 2) = -0.5505220330798527e-13, (370, 3) = 0.1174542980230402e-12, (371, 1) = 0.23711727201089627e-12, (371, 2) = -0.5789550404893468e-13, (371, 3) = 0.11830189653991627e-12, (372, 1) = 0.23903059875547656e-12, (372, 2) = -0.598543678490794e-13, (372, 3) = 0.12180933455916604e-12, (373, 1) = 0.2376214276100976e-12, (373, 2) = -0.5726498320336045e-13, (373, 3) = 0.11756565199349706e-12, (374, 1) = 0.23722787258451697e-12, (374, 2) = -0.5880914627183853e-13, (374, 3) = 0.11176827550713992e-12, (375, 1) = 0.2375501515794464e-12, (375, 2) = -0.5420485429114877e-13, (375, 3) = 0.11171993386951872e-12, (376, 1) = 0.23930375423323643e-12, (376, 2) = -0.5746747698104438e-13, (376, 3) = 0.11896572456187489e-12, (377, 1) = 0.24076789169992296e-12, (377, 2) = -0.5885750412048937e-13, (377, 3) = 0.12187552469627027e-12, (378, 1) = 0.23656305671032647e-12, (378, 2) = -0.6057847841052243e-13, (378, 3) = 0.12145933462679144e-12, (379, 1) = 0.23937185103158326e-12, (379, 2) = -0.5873519737610904e-13, (379, 3) = 0.11758953545651749e-12, (380, 1) = 0.2353619027322489e-12, (380, 2) = -0.5790273695754133e-13, (380, 3) = 0.1177756714397963e-12, (381, 1) = 0.23925383893495557e-12, (381, 2) = -0.6183527396023715e-13, (381, 3) = 0.1169804984305577e-12, (382, 1) = 0.23655606202636196e-12, (382, 2) = -0.5843133689924689e-13, (382, 3) = 0.11550902036797302e-12, (383, 1) = 0.2391452378159612e-12, (383, 2) = -0.5931168663980234e-13, (383, 3) = 0.11293905300623835e-12, (384, 1) = 0.2374107726249776e-12, (384, 2) = -0.55934524067150725e-13, (384, 3) = 0.11902843911171841e-12, (385, 1) = 0.2395008021673467e-12, (385, 2) = -0.5020887256224097e-13, (385, 3) = 0.11448679192548574e-12, (386, 1) = 0.23556669035144624e-12, (386, 2) = -0.5263488085106577e-13, (386, 3) = 0.1189003841999327e-12, (387, 1) = 0.2345850070600166e-12, (387, 2) = -0.52600496684197646e-13, (387, 3) = 0.11108912693895111e-12, (388, 1) = 0.2404159753062854e-12, (388, 2) = -0.5810207349354532e-13, (388, 3) = 0.11755333369917054e-12, (389, 1) = 0.2373067547235357e-12, (389, 2) = -0.5202094885882697e-13, (389, 3) = 0.11455187965808958e-12, (390, 1) = 0.23387136989533543e-12, (390, 2) = -0.5327699643447892e-13, (390, 3) = 0.11436882581930753e-12, (391, 1) = 0.23495984422294435e-12, (391, 2) = -0.5330615688768512e-13, (391, 3) = 0.11376918396559862e-12, (392, 1) = 0.23621059564919533e-12, (392, 2) = -0.5244643801651585e-13, (392, 3) = 0.11552137059869054e-12, (393, 1) = 0.236106217579916e-12, (393, 2) = -0.5385699189078367e-13, (393, 3) = 0.11806818769613408e-12, (394, 1) = 0.2353820940134997e-12, (394, 2) = -0.6030242966060386e-13, (394, 3) = 0.11095431045800213e-12, (395, 1) = 0.23649538349838824e-12, (395, 2) = -0.472939129927772e-13, (395, 3) = 0.11115581864255983e-12, (396, 1) = 0.2374694174698116e-12, (396, 2) = -0.54068946001341484e-13, (396, 3) = 0.1161610153910116e-12, (397, 1) = 0.23791191264149987e-12, (397, 2) = -0.55828416488154684e-13, (397, 3) = 0.11426813685025588e-12, (398, 1) = 0.23773233139749727e-12, (398, 2) = -0.6027068893821124e-13, (398, 3) = 0.1141514296153381e-12, (399, 1) = 0.23827214863010185e-12, (399, 2) = -0.527133192375701e-13, (399, 3) = 0.11216358402155171e-12, (400, 1) = 0.2345025732884252e-12, (400, 2) = -0.5512679298678497e-13, (400, 3) = 0.1134286522325504e-12, (401, 1) = 0.23774830778455004e-12, (401, 2) = -0.50898622139047525e-13, (401, 3) = 0.11356454725488648e-12, (402, 1) = 0.23717711006566724e-12, (402, 2) = -0.6028372916201224e-13, (402, 3) = 0.11964148797654934e-12, (403, 1) = 0.2371890775063883e-12, (403, 2) = -0.4674550477638314e-13, (403, 3) = 0.11005878489529539e-12, (404, 1) = 0.23448519460230693e-12, (404, 2) = -0.49790039958868465e-13, (404, 3) = 0.11242519014455948e-12, (405, 1) = 0.2375832790338195e-12, (405, 2) = -0.5610288310033765e-13, (405, 3) = 0.11150484161823622e-12, (406, 1) = 0.23676816978978245e-12, (406, 2) = -0.52480306340854695e-13, (406, 3) = 0.11721762585955766e-12, (407, 1) = 0.23755030831657905e-12, (407, 2) = -0.54427886944415185e-13, (407, 3) = 0.1161155126846555e-12, (408, 1) = 0.23632005796703447e-12, (408, 2) = -0.5769902570578569e-13, (408, 3) = 0.11361265003311625e-12, (409, 1) = 0.23360494662784436e-12, (409, 2) = -0.54717143174459514e-13, (409, 3) = 0.11206566904459923e-12, (410, 1) = 0.23481871804784864e-12, (410, 2) = -0.4791420889059667e-13, (410, 3) = 0.11832243022119435e-12, (411, 1) = 0.2369669381674418e-12, (411, 2) = -0.5786877542240563e-13, (411, 3) = 0.11788932324507297e-12, (412, 1) = 0.23339724662421546e-12, (412, 2) = -0.5863959103725533e-13, (412, 3) = 0.11678423988128987e-12, (413, 1) = 0.2340471932095105e-12, (413, 2) = -0.51725977921958586e-13, (413, 3) = 0.11252084035122889e-12, (414, 1) = 0.23531644481920947e-12, (414, 2) = -0.559305823763606e-13, (414, 3) = 0.1152786625893797e-12, (415, 1) = 0.2371552820691656e-12, (415, 2) = -0.5507344679293319e-13, (415, 3) = 0.11125170826645042e-12, (416, 1) = 0.2337836057996269e-12, (416, 2) = -0.5049509254587681e-13, (416, 3) = 0.11363705944618492e-12, (417, 1) = 0.2361528765238522e-12, (417, 2) = -0.55504993300960174e-13, (417, 3) = 0.1146459955168705e-12, (418, 1) = 0.23768738679073915e-12, (418, 2) = -0.51008887217215394e-13, (418, 3) = 0.11175115223640275e-12, (419, 1) = 0.23637491562751425e-12, (419, 2) = -0.5015482766248448e-13, (419, 3) = 0.11164197345209912e-12, (420, 1) = 0.23457872261892584e-12, (420, 2) = -0.55923527201924826e-13, (420, 3) = 0.11231864541246543e-12, (421, 1) = 0.2374861252114509e-12, (421, 2) = -0.50564828134532727e-13, (421, 3) = 0.1102041450404775e-12, (422, 1) = 0.2339133229829449e-12, (422, 2) = -0.5688248607726586e-13, (422, 3) = 0.11787553672922198e-12, (423, 1) = 0.23389061780589564e-12, (423, 2) = -0.5785419475877349e-13, (423, 3) = 0.11223385626168483e-12, (424, 1) = 0.23482351702306515e-12, (424, 2) = -0.5362804135497011e-13, (424, 3) = 0.11423572194496704e-12, (425, 1) = 0.2354555909444223e-12, (425, 2) = -0.54143470872830614e-13, (425, 3) = 0.1149560810441083e-12, (426, 1) = 0.2335402956245092e-12, (426, 2) = -0.5163937661703349e-13, (426, 3) = 0.10739342049372348e-12, (427, 1) = 0.23076877501203464e-12, (427, 2) = -0.568540537066011e-13, (427, 3) = 0.1140541525357981e-12, (428, 1) = 0.2365494010257713e-12, (428, 2) = -0.5635133350061018e-13, (428, 3) = 0.10890699469792407e-12, (429, 1) = 0.23496401153943746e-12, (429, 2) = -0.5254985738036184e-13, (429, 3) = 0.10919238892076331e-12, (430, 1) = 0.2336528106256973e-12, (430, 2) = -0.54004178835914706e-13, (430, 3) = 0.1184205991246397e-12, (431, 1) = 0.23240593702986197e-12, (431, 2) = -0.53389329572471923e-13, (431, 3) = 0.11509407126876203e-12, (432, 1) = 0.2340291393636964e-12, (432, 2) = -0.4865823431861811e-13, (432, 3) = 0.11363273429222151e-12, (433, 1) = 0.2348611702870361e-12, (433, 2) = -0.5346859033800128e-13, (433, 3) = 0.1159933853707812e-12, (434, 1) = 0.2333784513527428e-12, (434, 2) = -0.47170182409403905e-13, (434, 3) = 0.11357476101553282e-12, (435, 1) = 0.23083107108750225e-12, (435, 2) = -0.6145723155507898e-13, (435, 3) = 0.10938188676787576e-12, (436, 1) = 0.2347694763698251e-12, (436, 2) = -0.52573514958782934e-13, (436, 3) = 0.1093626327005894e-12, (437, 1) = 0.2339435646592107e-12, (437, 2) = -0.5710451842317626e-13, (437, 3) = 0.111672122982852e-12, (438, 1) = 0.2324559517319005e-12, (438, 2) = -0.50850159980096947e-13, (438, 3) = 0.10847960527941663e-12, (439, 1) = 0.23010395425188476e-12, (439, 2) = -0.5268740775546783e-13, (439, 3) = 0.11237942418634657e-12, (440, 1) = 0.23130900233680904e-12, (440, 2) = -0.52196201980927006e-13, (440, 3) = 0.11301765698914435e-12, (441, 1) = 0.23077155058820824e-12, (441, 2) = -0.53583350278371696e-13, (441, 3) = 0.1091794716421572e-12, (442, 1) = 0.2314877668593177e-12, (442, 2) = -0.53964690405159225e-13, (442, 3) = 0.11422663839111617e-12, (443, 1) = 0.2306464035178551e-12, (443, 2) = -0.5005622902380507e-13, (443, 3) = 0.11366236001000271e-12, (444, 1) = 0.2314461639290284e-12, (444, 2) = -0.47721780904380193e-13, (444, 3) = 0.1098162067931063e-12, (445, 1) = 0.23071704158926834e-12, (445, 2) = -0.48055254752452016e-13, (445, 3) = 0.1095179697948542e-12, (446, 1) = 0.2340454484303101e-12, (446, 2) = -0.5582187883699876e-13, (446, 3) = 0.11432024672961503e-12, (447, 1) = 0.2334229082611222e-12, (447, 2) = -0.5124648848505328e-13, (447, 3) = 0.10951310721600062e-12, (448, 1) = 0.23081318116348755e-12, (448, 2) = -0.5488073473734715e-13, (448, 3) = 0.11197290417092653e-12, (449, 1) = 0.2321191440014903e-12, (449, 2) = -0.44529875564232716e-13, (449, 3) = 0.11223371563399519e-12, (450, 1) = 0.23314373514934585e-12, (450, 2) = -0.4850934065985899e-13, (450, 3) = 0.1115512388359133e-12, (451, 1) = 0.2329510873671966e-12, (451, 2) = -0.4858122978992393e-13, (451, 3) = 0.1082537770367827e-12, (452, 1) = 0.22944366047165466e-12, (452, 2) = -0.5401549195918235e-13, (452, 3) = 0.10800369792619699e-12, (453, 1) = 0.23114058793601415e-12, (453, 2) = -0.49557494622042e-13, (453, 3) = 0.11155828975549822e-12, (454, 1) = 0.23345865334676804e-12, (454, 2) = -0.4796585534374354e-13, (454, 3) = 0.1136431485041926e-12, (455, 1) = 0.22993926054606313e-12, (455, 2) = -0.5473018949843703e-13, (455, 3) = 0.10981863062169733e-12, (456, 1) = 0.2327732058086656e-12, (456, 2) = -0.4780374135571439e-13, (456, 3) = 0.1160214703434792e-12, (457, 1) = 0.2312511022661197e-12, (457, 2) = -0.5000341860359584e-13, (457, 3) = 0.11656252969586347e-12, (458, 1) = 0.23113005019524373e-12, (458, 2) = -0.5281343790158953e-13, (458, 3) = 0.11413926002940193e-12, (459, 1) = 0.2306142231124593e-12, (459, 2) = -0.5821072843427625e-13, (459, 3) = 0.11041275782508626e-12, (460, 1) = 0.2307453709255514e-12, (460, 2) = -0.4659376927165697e-13, (460, 3) = 0.1101010862900502e-12, (461, 1) = 0.23346780894153864e-12, (461, 2) = -0.53421121930762645e-13, (461, 3) = 0.1140692013788719e-12, (462, 1) = 0.23238929802133337e-12, (462, 2) = -0.51581929990580703e-13, (462, 3) = 0.10963154208971105e-12, (463, 1) = 0.2312424121311241e-12, (463, 2) = -0.5159441695704143e-13, (463, 3) = 0.11543973782843628e-12, (464, 1) = 0.23079491071481865e-12, (464, 2) = -0.51401490728614415e-13, (464, 3) = 0.11447324299121087e-12, (465, 1) = 0.23554040245740906e-12, (465, 2) = -0.4473402401584265e-13, (465, 3) = 0.10944096752879959e-12, (466, 1) = 0.22843682598865387e-12, (466, 2) = -0.53238540443986474e-13, (466, 3) = 0.10921769355082398e-12, (467, 1) = 0.2335639304943307e-12, (467, 2) = -0.5000722646341112e-13, (467, 3) = 0.11329886391880513e-12, (468, 1) = 0.2327638119970633e-12, (468, 2) = -0.4947332153722494e-13, (468, 3) = 0.11059033647841676e-12, (469, 1) = 0.23011573255972664e-12, (469, 2) = -0.4866576658620474e-13, (469, 3) = 0.10656456797353875e-12, (470, 1) = 0.2323500201882706e-12, (470, 2) = -0.46648996484225505e-13, (470, 3) = 0.11075362150998113e-12, (471, 1) = 0.23009700387394584e-12, (471, 2) = -0.5315748649263537e-13, (471, 3) = 0.11417222769968917e-12, (472, 1) = 0.227568469285379e-12, (472, 2) = -0.5812655110118572e-13, (472, 3) = 0.11414420553880136e-12, (473, 1) = 0.231791355820467e-12, (473, 2) = -0.5001899186223794e-13, (473, 3) = 0.11309673570976401e-12, (474, 1) = 0.23100576728889735e-12, (474, 2) = -0.48180594157910096e-13, (474, 3) = 0.11185598984599984e-12, (475, 1) = 0.2290094283959586e-12, (475, 2) = -0.4494140363484409e-13, (475, 3) = 0.11079223765956646e-12, (476, 1) = 0.2295166342932612e-12, (476, 2) = -0.4878395579238571e-13, (476, 3) = 0.11237021021030951e-12, (477, 1) = 0.23099415633993235e-12, (477, 2) = -0.4799368492493404e-13, (477, 3) = 0.11418859537490376e-12, (478, 1) = 0.23154340315112913e-12, (478, 2) = -0.5407814767602145e-13, (478, 3) = 0.10732807569815088e-12, (479, 1) = 0.2288105726252543e-12, (479, 2) = -0.49226673234091275e-13, (479, 3) = 0.11415692411312686e-12, (480, 1) = 0.2280309321056252e-12, (480, 2) = -0.5178942552190098e-13, (480, 3) = 0.10879720843704738e-12, (481, 1) = 0.22717873797598956e-12, (481, 2) = -0.5239946995872466e-13, (481, 3) = 0.11881348010865354e-12, (482, 1) = 0.22620218576186438e-12, (482, 2) = -0.5444599654238819e-13, (482, 3) = 0.11388528944303215e-12, (483, 1) = 0.22654466401897763e-12, (483, 2) = -0.565217168601605e-13, (483, 3) = 0.11412367766585163e-12, (484, 1) = 0.2299514799448639e-12, (484, 2) = -0.50691602410290645e-13, (484, 3) = 0.10879379140873645e-12, (485, 1) = 0.2280206290267102e-12, (485, 2) = -0.50657389058980756e-13, (485, 3) = 0.1153331285708772e-12, (486, 1) = 0.2289546877697484e-12, (486, 2) = -0.51231540069485715e-13, (486, 3) = 0.11615505668471126e-12, (487, 1) = 0.22854351737057714e-12, (487, 2) = -0.487965220495586e-13, (487, 3) = 0.10956754498861758e-12, (488, 1) = 0.23133701541905197e-12, (488, 2) = -0.48461478118021286e-13, (488, 3) = 0.11491484415870331e-12, (489, 1) = 0.22666088790476322e-12, (489, 2) = -0.54652830191991346e-13, (489, 3) = 0.11666620699654472e-12, (490, 1) = 0.2313219927182265e-12, (490, 2) = -0.5315405547928367e-13, (490, 3) = 0.11617606614029517e-12, (491, 1) = 0.2298089311205195e-12, (491, 2) = -0.4544279760270948e-13, (491, 3) = 0.12004506672446658e-12, (492, 1) = 0.22695496315314179e-12, (492, 2) = -0.46006405131008114e-13, (492, 3) = 0.11239691827964659e-12, (493, 1) = 0.22764514508528056e-12, (493, 2) = -0.463352537035797e-13, (493, 3) = 0.11465673977836646e-12, (494, 1) = 0.2279672013487214e-12, (494, 2) = -0.5504305226799211e-13, (494, 3) = 0.11577205625387667e-12, (495, 1) = 0.22873102953906744e-12, (495, 2) = -0.52534404612045654e-13, (495, 3) = 0.11233618258328768e-12, (496, 1) = 0.22627601418878918e-12, (496, 2) = -0.4763220616180004e-13, (496, 3) = 0.1212998609958744e-12, (497, 1) = 0.2287787924789972e-12, (497, 2) = -0.508475690019183e-13, (497, 3) = 0.11952556478052424e-12, (498, 1) = 0.2273257915618607e-12, (498, 2) = -0.48734312553356287e-13, (498, 3) = 0.11698259040867e-12, (499, 1) = 0.22903629748005796e-12, (499, 2) = -0.5019958785723336e-13, (499, 3) = 0.11759798497670967e-12, (500, 1) = 0.22895399743758544e-12, (500, 2) = -0.5326347089902054e-13, (500, 3) = 0.12034807352902085e-12, (501, 1) = 0.2310841535250731e-12, (501, 2) = -0.5341828132595589e-13, (501, 3) = 0.11257420854531171e-12, (502, 1) = 0.22664701819187065e-12, (502, 2) = -0.50240815288277436e-13, (502, 3) = 0.11724791720618087e-12, (503, 1) = 0.22778615974961127e-12, (503, 2) = -0.5180935967314703e-13, (503, 3) = 0.11740261497151523e-12, (504, 1) = 0.22764631751584455e-12, (504, 2) = -0.55884944850648086e-13, (504, 3) = 0.1174672465591146e-12, (505, 1) = 0.2288935112195495e-12, (505, 2) = -0.4806491772198127e-13, (505, 3) = 0.12007565011296043e-12, (506, 1) = 0.22757906613657985e-12, (506, 2) = -0.52979822252265915e-13, (506, 3) = 0.11569842409488556e-12, (507, 1) = 0.2283912518123962e-12, (507, 2) = -0.5236503142114037e-13, (507, 3) = 0.11513675382290453e-12, (508, 1) = 0.22651610071494673e-12, (508, 2) = -0.44277734609419106e-13, (508, 3) = 0.11752883490946428e-12, (509, 1) = 0.2277524180412672e-12, (509, 2) = -0.4731806388935256e-13, (509, 3) = 0.11558739591046805e-12, (510, 1) = 0.22661907275915143e-12, (510, 2) = -0.5027848869879109e-13, (510, 3) = 0.116673395466765e-12, (511, 1) = 0.2289667214720975e-12, (511, 2) = -0.4765039328951351e-13, (511, 3) = 0.11425664753689713e-12, (512, 1) = 0.22959617517128103e-12, (512, 2) = -0.4939153141214729e-13, (512, 3) = 0.1170984452811848e-12, (513, 1) = 0.23008741412063807e-12, (513, 2) = -0.4683532186005807e-13, (513, 3) = 0.1165611274978881e-12, (514, 1) = 0.2283900108059328e-12, (514, 2) = -0.4882241917151987e-13, (514, 3) = 0.11814669227955382e-12, (515, 1) = 0.22627317688214214e-12, (515, 2) = -0.5351818761376056e-13, (515, 3) = 0.11898531626282e-12, (516, 1) = 0.23044804583661214e-12, (516, 2) = -0.4616521965037464e-13, (516, 3) = 0.1190843568428693e-12, (517, 1) = 0.22622112526818084e-12, (517, 2) = -0.4424919311800689e-13, (517, 3) = 0.11801273418163084e-12, (518, 1) = 0.22746259613680154e-12, (518, 2) = -0.53466109910888106e-13, (518, 3) = 0.1168296948951524e-12, (519, 1) = 0.22734461524644646e-12, (519, 2) = -0.4451330657293059e-13, (519, 3) = 0.12034555933064362e-12, (520, 1) = 0.22835781724766517e-12, (520, 2) = -0.4425205043361009e-13, (520, 3) = 0.11855970699215512e-12, (521, 1) = 0.22701628416689393e-12, (521, 2) = -0.4911357331419931e-13, (521, 3) = 0.1174136943213166e-12, (522, 1) = 0.2276573236169647e-12, (522, 2) = -0.5207763242019787e-13, (522, 3) = 0.12044626147106128e-12, (523, 1) = 0.22846010660893704e-12, (523, 2) = -0.51830880395346596e-13, (523, 3) = 0.12308831800923058e-12, (524, 1) = 0.22600222866437527e-12, (524, 2) = -0.54579935339877135e-13, (524, 3) = 0.11922149367206216e-12, (525, 1) = 0.22823861897794713e-12, (525, 2) = -0.50353142980065015e-13, (525, 3) = 0.11958569620309232e-12, (526, 1) = 0.2288867212073827e-12, (526, 2) = -0.42207125595148446e-13, (526, 3) = 0.12155652020235525e-12, (527, 1) = 0.22739535099342813e-12, (527, 2) = -0.4550954051245635e-13, (527, 3) = 0.11722173531487347e-12, (528, 1) = 0.22822233207479883e-12, (528, 2) = -0.4574935012874453e-13, (528, 3) = 0.12100694096469583e-12, (529, 1) = 0.22846214347415495e-12, (529, 2) = -0.5195703151079249e-13, (529, 3) = 0.12114284688138597e-12, (530, 1) = 0.2291053243934898e-12, (530, 2) = -0.47376732766992006e-13, (530, 3) = 0.12246974035944572e-12, (531, 1) = 0.22336834613964678e-12, (531, 2) = -0.499170811193001e-13, (531, 3) = 0.12217699463333574e-12, (532, 1) = 0.22595231297729978e-12, (532, 2) = -0.45958991700396925e-13, (532, 3) = 0.12200401415200086e-12, (533, 1) = 0.22396738394403684e-12, (533, 2) = -0.4975301406844562e-13, (533, 3) = 0.12252243894214384e-12, (534, 1) = 0.22692774483956533e-12, (534, 2) = -0.4483152067841043e-13, (534, 3) = 0.12359859064046076e-12, (535, 1) = 0.22528291724417542e-12, (535, 2) = -0.43827946488067824e-13, (535, 3) = 0.1240118069995745e-12, (536, 1) = 0.2257427736632452e-12, (536, 2) = -0.4848586204755394e-13, (536, 3) = 0.1234783219884965e-12, (537, 1) = 0.22302396139760393e-12, (537, 2) = -0.53023545754219634e-13, (537, 3) = 0.12154326605207336e-12, (538, 1) = 0.22698362625794557e-12, (538, 2) = -0.4779734265217904e-13, (538, 3) = 0.12404153298534954e-12, (539, 1) = 0.2250925474032432e-12, (539, 2) = -0.477697586415658e-13, (539, 3) = 0.12270657297967798e-12, (540, 1) = 0.22572473917175555e-12, (540, 2) = -0.5010784481905833e-13, (540, 3) = 0.1229362082078411e-12, (541, 1) = 0.22397532527195489e-12, (541, 2) = -0.42925785544407377e-13, (541, 3) = 0.1242142999229026e-12, (542, 1) = 0.2214541931967635e-12, (542, 2) = -0.5005894453501172e-13, (542, 3) = 0.12796679067136124e-12, (543, 1) = 0.22569494831149405e-12, (543, 2) = -0.4843550213912026e-13, (543, 3) = 0.12703127536499882e-12, (544, 1) = 0.22252625691645602e-12, (544, 2) = -0.4599007841643082e-13, (544, 3) = 0.12707792526996091e-12, (545, 1) = 0.2294662804755628e-12, (545, 2) = -0.4857724478873535e-13, (545, 3) = 0.12586238180076124e-12, (546, 1) = 0.2266049719278102e-12, (546, 2) = -0.457031937320031e-13, (546, 3) = 0.12379939021675672e-12, (547, 1) = 0.22657642928894045e-12, (547, 2) = -0.4747896756027844e-13, (547, 3) = 0.12568224817187997e-12, (548, 1) = 0.22298730607409079e-12, (548, 2) = -0.47503193840364844e-13, (548, 3) = 0.12739613307999898e-12, (549, 1) = 0.2294216031271121e-12, (549, 2) = -0.4458659974839e-13, (549, 3) = 0.12602969103675936e-12, (550, 1) = 0.22504200566178935e-12, (550, 2) = -0.44144091977639224e-13, (550, 3) = 0.12633964255163518e-12, (551, 1) = 0.22606116412494498e-12, (551, 2) = -0.4385072643154928e-13, (551, 3) = 0.125475144295636e-12, (552, 1) = 0.2208984526992458e-12, (552, 2) = -0.50034596774958085e-13, (552, 3) = 0.12874519896004259e-12, (553, 1) = 0.22319375647582998e-12, (553, 2) = -0.4623867584187574e-13, (553, 3) = 0.13050713909326232e-12, (554, 1) = 0.2232859704501732e-12, (554, 2) = -0.4356086253979941e-13, (554, 3) = 0.13138923163334888e-12, (555, 1) = 0.2227078105304769e-12, (555, 2) = -0.4875561573171113e-13, (555, 3) = 0.12860711258168734e-12, (556, 1) = 0.2190981907756884e-12, (556, 2) = -0.4474093927707578e-13, (556, 3) = 0.12694153068894858e-12, (557, 1) = 0.23048119174300985e-12, (557, 2) = -0.4558205791997822e-13, (557, 3) = 0.13222699153668257e-12, (558, 1) = 0.22549311469561052e-12, (558, 2) = -0.4438547068104921e-13, (558, 3) = 0.13156338424860187e-12, (559, 1) = 0.22506949283724035e-12, (559, 2) = -0.48188564914029807e-13, (559, 3) = 0.13207981299898017e-12, (560, 1) = 0.22032761606451537e-12, (560, 2) = -0.46235872552459883e-13, (560, 3) = 0.13214989967978471e-12, (561, 1) = 0.2264944339894921e-12, (561, 2) = -0.5002779366805869e-13, (561, 3) = 0.1332751933261741e-12, (562, 1) = 0.2221270472400274e-12, (562, 2) = -0.410743902710138e-13, (562, 3) = 0.13015752506490678e-12, (563, 1) = 0.22929233758259584e-12, (563, 2) = -0.4686373817075945e-13, (563, 3) = 0.13419322355168374e-12, (564, 1) = 0.2300157314961048e-12, (564, 2) = -0.44324025727836735e-13, (564, 3) = 0.1313622551992469e-12, (565, 1) = 0.2254258162345105e-12, (565, 2) = -0.4568086745532288e-13, (565, 3) = 0.1343650515174201e-12, (566, 1) = 0.22473322742952555e-12, (566, 2) = -0.4860137363728237e-13, (566, 3) = 0.1374346923250691e-12, (567, 1) = 0.22094634246282787e-12, (567, 2) = -0.4639329957535705e-13, (567, 3) = 0.13746506270905263e-12, (568, 1) = 0.22392390327380025e-12, (568, 2) = -0.5373361304831559e-13, (568, 3) = 0.13432936123307621e-12, (569, 1) = 0.21660000524974324e-12, (569, 2) = -0.42841099227508465e-13, (569, 3) = 0.13807186422474496e-12, (570, 1) = 0.21625597760300524e-12, (570, 2) = -0.4021167344855287e-13, (570, 3) = 0.13336890086421238e-12, (571, 1) = 0.2241196948020629e-12, (571, 2) = -0.4666244073379579e-13, (571, 3) = 0.13369378515992114e-12, (572, 1) = 0.22003383058075582e-12, (572, 2) = -0.4846268221106163e-13, (572, 3) = 0.1373464900533295e-12, (573, 1) = 0.22390835104882262e-12, (573, 2) = -0.4848633069276629e-13, (573, 3) = 0.14114898973001366e-12, (574, 1) = 0.2287950819004711e-12, (574, 2) = -0.44292306240831644e-13, (574, 3) = 0.13848427903653663e-12, (575, 1) = 0.2212048220110033e-12, (575, 2) = -0.4372832073410767e-13, (575, 3) = 0.13683054893423309e-12, (576, 1) = 0.2228853209008067e-12, (576, 2) = -0.4620355102745409e-13, (576, 3) = 0.13858772894332545e-12, (577, 1) = 0.22207084462571885e-12, (577, 2) = -0.5027704139509894e-13, (577, 3) = 0.1388819631798925e-12, (578, 1) = 0.22286983232856182e-12, (578, 2) = -0.4142982065344466e-13, (578, 3) = 0.14146648443566814e-12, (579, 1) = 0.22064552055649356e-12, (579, 2) = -0.4113627560849588e-13, (579, 3) = 0.14250454142220306e-12, (580, 1) = 0.2294325361291249e-12, (580, 2) = -0.5243976200622718e-13, (580, 3) = 0.1422127871151166e-12, (581, 1) = 0.22350869011697933e-12, (581, 2) = -0.4806792092073815e-13, (581, 3) = 0.1449382344591751e-12, (582, 1) = 0.21772672057219063e-12, (582, 2) = -0.4127119710989359e-13, (582, 3) = 0.14583203051577258e-12, (583, 1) = 0.22571449947142849e-12, (583, 2) = -0.407839085541773e-13, (583, 3) = 0.14542445623238265e-12, (584, 1) = 0.2252809758299032e-12, (584, 2) = -0.4591504265689688e-13, (584, 3) = 0.1445706836448743e-12, (585, 1) = 0.22239915894134674e-12, (585, 2) = -0.4647310365266033e-13, (585, 3) = 0.15087895277967742e-12, (586, 1) = 0.22031312310284083e-12, (586, 2) = -0.4254203326753703e-13, (586, 3) = 0.14962237423936724e-12, (587, 1) = 0.21946098253924653e-12, (587, 2) = -0.5002228581381222e-13, (587, 3) = 0.14312473362794237e-12, (588, 1) = 0.2225504733745168e-12, (588, 2) = -0.4679786185581336e-13, (588, 3) = 0.14804088627954855e-12, (589, 1) = 0.2210518808390902e-12, (589, 2) = -0.4742429915051486e-13, (589, 3) = 0.1440281127555716e-12, (590, 1) = 0.21814915318673787e-12, (590, 2) = -0.5097484398516323e-13, (590, 3) = 0.14937368374322516e-12, (591, 1) = 0.2278238176735952e-12, (591, 2) = -0.4877755999937086e-13, (591, 3) = 0.14815401067722588e-12, (592, 1) = 0.22176304092116986e-12, (592, 2) = -0.4509130401330893e-13, (592, 3) = 0.14901789551057735e-12, (593, 1) = 0.22175208061914584e-12, (593, 2) = -0.3847329786163314e-13, (593, 3) = 0.15242305609365213e-12, (594, 1) = 0.22095117560524428e-12, (594, 2) = -0.4632763795694509e-13, (594, 3) = 0.1479774720252359e-12, (595, 1) = 0.22473407548317662e-12, (595, 2) = -0.38170885587775024e-13, (595, 3) = 0.15359069471861353e-12, (596, 1) = 0.2217696152857638e-12, (596, 2) = -0.4820512942388602e-13, (596, 3) = 0.152442506472694e-12, (597, 1) = 0.2213706025598709e-12, (597, 2) = -0.4381640713384648e-13, (597, 3) = 0.15337876514884582e-12, (598, 1) = 0.22094409286659317e-12, (598, 2) = -0.4443116386603141e-13, (598, 3) = 0.15605321751310974e-12, (599, 1) = 0.22174027978672296e-12, (599, 2) = -0.44226032145267555e-13, (599, 3) = 0.15628961222898333e-12, (600, 1) = 0.21908375579199587e-12, (600, 2) = -0.50062012498740496e-13, (600, 3) = 0.15779957909644003e-12, (601, 1) = 0.21584270823532398e-12, (601, 2) = -0.4126645055176445e-13, (601, 3) = 0.16000458701708977e-12, (602, 1) = 0.22645284179999793e-12, (602, 2) = -0.4475382600492977e-13, (602, 3) = 0.15550231613116175e-12, (603, 1) = 0.2222096008526445e-12, (603, 2) = -0.4573575754759336e-13, (603, 3) = 0.15956246884151942e-12, (604, 1) = 0.22281923030713279e-12, (604, 2) = -0.5057848397470466e-13, (604, 3) = 0.16020244207902795e-12, (605, 1) = 0.21876555422907126e-12, (605, 2) = -0.4060508007085992e-13, (605, 3) = 0.16216537481468126e-12, (606, 1) = 0.22477410625404115e-12, (606, 2) = -0.4305627305357372e-13, (606, 3) = 0.16333048465965567e-12, (607, 1) = 0.22354624536626648e-12, (607, 2) = -0.49517335486444255e-13, (607, 3) = 0.16124342013221528e-12, (608, 1) = 0.21848949546595937e-12, (608, 2) = -0.4579297830913245e-13, (608, 3) = 0.1643248260821727e-12, (609, 1) = 0.22049136291298363e-12, (609, 2) = -0.4426395777517162e-13, (609, 3) = 0.1666287732722129e-12, (610, 1) = 0.22008706294532674e-12, (610, 2) = -0.5012371539348817e-13, (610, 3) = 0.1689023139410585e-12, (611, 1) = 0.2175527140127889e-12, (611, 2) = -0.42268675236565746e-13, (611, 3) = 0.1645849138235246e-12, (612, 1) = 0.21733679513051608e-12, (612, 2) = -0.3965722519819963e-13, (612, 3) = 0.1697503344081302e-12, (613, 1) = 0.2206133836222608e-12, (613, 2) = -0.44849574806264654e-13, (613, 3) = 0.16768491322253467e-12, (614, 1) = 0.2280302501229934e-12, (614, 2) = -0.4100134220505002e-13, (614, 3) = 0.16918043275381366e-12, (615, 1) = 0.21468108499544586e-12, (615, 2) = -0.5091424638586168e-13, (615, 3) = 0.17350642991717716e-12, (616, 1) = 0.21719718821215093e-12, (616, 2) = -0.34723034276456026e-13, (616, 3) = 0.16925828055322662e-12, (617, 1) = 0.21725602047671221e-12, (617, 2) = -0.39947234163098484e-13, (617, 3) = 0.16991763199922393e-12, (618, 1) = 0.21881497968930557e-12, (618, 2) = -0.4149195997492658e-13, (618, 3) = 0.17279866445862287e-12, (619, 1) = 0.2152197607260469e-12, (619, 2) = -0.5156874845493562e-13, (619, 3) = 0.17716735120750225e-12, (620, 1) = 0.22044708719856728e-12, (620, 2) = -0.45040236400132104e-13, (620, 3) = 0.17644273091045174e-12, (621, 1) = 0.21736147108620434e-12, (621, 2) = -0.4063516063657858e-13, (621, 3) = 0.17308998997225634e-12, (622, 1) = 0.2165227605711237e-12, (622, 2) = -0.4454875680246982e-13, (622, 3) = 0.17598939071822485e-12, (623, 1) = 0.21593931090045185e-12, (623, 2) = -0.38666201581575456e-13, (623, 3) = 0.17907570201873209e-12, (624, 1) = 0.21485017464963117e-12, (624, 2) = -0.39368644039040396e-13, (624, 3) = 0.1780131521208954e-12, (625, 1) = 0.22229190947098157e-12, (625, 2) = -0.40010940682134644e-13, (625, 3) = 0.18047004700884702e-12, (626, 1) = 0.21449680537422027e-12, (626, 2) = -0.409892213579826e-13, (626, 3) = 0.18217067964422343e-12, (627, 1) = 0.2196765635598131e-12, (627, 2) = -0.4042291289594175e-13, (627, 3) = 0.18404115994384753e-12, (628, 1) = 0.2165573929416815e-12, (628, 2) = -0.44084302747179825e-13, (628, 3) = 0.18420728657201986e-12, (629, 1) = 0.21584709347500955e-12, (629, 2) = -0.3567521304305198e-13, (629, 3) = 0.19029122612338947e-12, (630, 1) = 0.22178427558294048e-12, (630, 2) = -0.3803820374576322e-13, (630, 3) = 0.18578781327583035e-12, (631, 1) = 0.22253296591261327e-12, (631, 2) = -0.45727730512483326e-13, (631, 3) = 0.1910094947420775e-12, (632, 1) = 0.22156470495915048e-12, (632, 2) = -0.4323206468395666e-13, (632, 3) = 0.1926217036959414e-12, (633, 1) = 0.21545898398881603e-12, (633, 2) = -0.43502196172266105e-13, (633, 3) = 0.1917340227204097e-12, (634, 1) = 0.21824140026996763e-12, (634, 2) = -0.3622259750330615e-13, (634, 3) = 0.1915049214127798e-12, (635, 1) = 0.2207693535554344e-12, (635, 2) = -0.4360634071215448e-13, (635, 3) = 0.19559173995411757e-12, (636, 1) = 0.22317758301147004e-12, (636, 2) = -0.36874981369164933e-13, (636, 3) = 0.19526704005908315e-12, (637, 1) = 0.21910117908337777e-12, (637, 2) = -0.38962342940030175e-13, (637, 3) = 0.19501359661746953e-12, (638, 1) = 0.2190150600957258e-12, (638, 2) = -0.49656470859698745e-13, (638, 3) = 0.1979103055976426e-12, (639, 1) = 0.22303979580609682e-12, (639, 2) = -0.4048381873552253e-13, (639, 3) = 0.19693633237382464e-12, (640, 1) = 0.22115789827026963e-12, (640, 2) = -0.4440732614090614e-13, (640, 3) = 0.20468176376800823e-12, (641, 1) = 0.21181258596708575e-12, (641, 2) = -0.3305453237964762e-13, (641, 3) = 0.1991271142577703e-12, (642, 1) = 0.21556525704237294e-12, (642, 2) = -0.38568245161724936e-13, (642, 3) = 0.20211901476461548e-12, (643, 1) = 0.2256134589919748e-12, (643, 2) = -0.3964036726234123e-13, (643, 3) = 0.20896190244237065e-12, (644, 1) = 0.2099790858235571e-12, (644, 2) = -0.38304607761861865e-13, (644, 3) = 0.20719114219819486e-12, (645, 1) = 0.21677257840577197e-12, (645, 2) = -0.43593304318373115e-13, (645, 3) = 0.20963884371426775e-12, (646, 1) = 0.2244403087691447e-12, (646, 2) = -0.3928909379613371e-13, (646, 3) = 0.21213853550555956e-12, (647, 1) = 0.21896306365447187e-12, (647, 2) = -0.4100191129141246e-13, (647, 3) = 0.21067019999033815e-12, (648, 1) = 0.22330330247343962e-12, (648, 2) = -0.45943402563459026e-13, (648, 3) = 0.21381950072679636e-12, (649, 1) = 0.21198367747226897e-12, (649, 2) = -0.4114457874413389e-13, (649, 3) = 0.21351897491646003e-12, (650, 1) = 0.21281366102494092e-12, (650, 2) = -0.4025166557690085e-13, (650, 3) = 0.22171372014394738e-12, (651, 1) = 0.22041031853408205e-12, (651, 2) = -0.4655914687868612e-13, (651, 3) = 0.21922300289026707e-12, (652, 1) = 0.2195866733312319e-12, (652, 2) = -0.4462360950522094e-13, (652, 3) = 0.21968728650296607e-12, (653, 1) = 0.21924083498784974e-12, (653, 2) = -0.408683245412626e-13, (653, 3) = 0.22364712913127617e-12, (654, 1) = 0.2127919519122255e-12, (654, 2) = -0.3894245439545303e-13, (654, 3) = 0.22524444309089119e-12, (655, 1) = 0.21213045328627746e-12, (655, 2) = -0.41913502584728387e-13, (655, 3) = 0.2229762397541465e-12, (656, 1) = 0.21713770803512297e-12, (656, 2) = -0.4375893782968666e-13, (656, 3) = 0.228446024445405e-12, (657, 1) = 0.2188890601711166e-12, (657, 2) = -0.4384575735637458e-13, (657, 3) = 0.22853040190068507e-12, (658, 1) = 0.22023973274071896e-12, (658, 2) = -0.4010116141326291e-13, (658, 3) = 0.23020075130852753e-12, (659, 1) = 0.2161703274374175e-12, (659, 2) = -0.3605637014588866e-13, (659, 3) = 0.2354611625367492e-12, (660, 1) = 0.21262056062847236e-12, (660, 2) = -0.3613458097488727e-13, (660, 3) = 0.24106692260962513e-12, (661, 1) = 0.2197875330460057e-12, (661, 2) = -0.44232361433519276e-13, (661, 3) = 0.24001318475405307e-12, (662, 1) = 0.2088544323416023e-12, (662, 2) = -0.37096531739554714e-13, (662, 3) = 0.23915934109132916e-12, (663, 1) = 0.21884451218559575e-12, (663, 2) = -0.390451601035144e-13, (663, 3) = 0.2433409955495569e-12, (664, 1) = 0.21547361842364075e-12, (664, 2) = -0.3872120472265055e-13, (664, 3) = 0.2484153635877697e-12, (665, 1) = 0.21448630454856523e-12, (665, 2) = -0.36112321412018424e-13, (665, 3) = 0.24613813456265654e-12, (666, 1) = 0.22009977452602333e-12, (666, 2) = -0.38932763474932514e-13, (666, 3) = 0.25331478741929273e-12, (667, 1) = 0.2132089732799766e-12, (667, 2) = -0.43223989159075404e-13, (667, 3) = 0.25426592951786664e-12, (668, 1) = 0.21698798170137438e-12, (668, 2) = -0.3580273178303049e-13, (668, 3) = 0.25406898796385987e-12, (669, 1) = 0.21790770453068792e-12, (669, 2) = -0.46857096540533305e-13, (669, 3) = 0.25950269600903863e-12, (670, 1) = 0.21252264344308598e-12, (670, 2) = -0.4529222255222826e-13, (670, 3) = 0.2625233129269032e-12, (671, 1) = 0.2166600849086315e-12, (671, 2) = -0.3573174779912764e-13, (671, 3) = 0.2629650339364714e-12, (672, 1) = 0.20511196095887158e-12, (672, 2) = -0.4433525993274737e-13, (672, 3) = 0.26632793307376367e-12, (673, 1) = 0.2153965809468868e-12, (673, 2) = -0.4456404877829844e-13, (673, 3) = 0.2663933198675058e-12, (674, 1) = 0.21628786080120065e-12, (674, 2) = -0.400709871694335e-13, (674, 3) = 0.2696105588551632e-12, (675, 1) = 0.20954743869164698e-12, (675, 2) = -0.41748776753888503e-13, (675, 3) = 0.2754995281403471e-12, (676, 1) = 0.21425395326415224e-12, (676, 2) = -0.4609562263924798e-13, (676, 3) = 0.27558012996209205e-12, (677, 1) = 0.21710614903357945e-12, (677, 2) = -0.399619990643695e-13, (677, 3) = 0.2763400289205473e-12, (678, 1) = 0.21070407929016506e-12, (678, 2) = -0.3639591902478194e-13, (678, 3) = 0.2839090516261581e-12, (679, 1) = 0.21187357740596897e-12, (679, 2) = -0.42558531718228486e-13, (679, 3) = 0.28459264440840665e-12, (680, 1) = 0.21621481254085042e-12, (680, 2) = -0.4200576425068962e-13, (680, 3) = 0.28738132204879985e-12, (681, 1) = 0.210726667631048e-12, (681, 2) = -0.41936099598559594e-13, (681, 3) = 0.29448580569919393e-12, (682, 1) = 0.21178973597151654e-12, (682, 2) = -0.4031594669420198e-13, (682, 3) = 0.29525599974123677e-12, (683, 1) = 0.20820647030839397e-12, (683, 2) = -0.36620755718112346e-13, (683, 3) = 0.29361857177102086e-12, (684, 1) = 0.21423683591105417e-12, (684, 2) = -0.3771916283006107e-13, (684, 3) = 0.2992939597864038e-12, (685, 1) = 0.21024656852072012e-12, (685, 2) = -0.3560394550092041e-13, (685, 3) = 0.30260426235751464e-12, (686, 1) = 0.21606101938754133e-12, (686, 2) = -0.36019529723365644e-13, (686, 3) = 0.30938358572884126e-12, (687, 1) = 0.20812709652790825e-12, (687, 2) = -0.4792874124345644e-13, (687, 3) = 0.31074375731301594e-12, (688, 1) = 0.2211933029020442e-12, (688, 2) = -0.3814463179590775e-13, (688, 3) = 0.31497161946793723e-12, (689, 1) = 0.21049078177354246e-12, (689, 2) = -0.36868014234988754e-13, (689, 3) = 0.3206559769970469e-12, (690, 1) = 0.21180988373076137e-12, (690, 2) = -0.4285095373259513e-13, (690, 3) = 0.32365252085543015e-12, (691, 1) = 0.21028884108541587e-12, (691, 2) = -0.41356333538370264e-13, (691, 3) = 0.3244976029704365e-12, (692, 1) = 0.2137944574913277e-12, (692, 2) = -0.3994618779971438e-13, (692, 3) = 0.3310200008232885e-12, (693, 1) = 0.2113348477882084e-12, (693, 2) = -0.4584927541453575e-13, (693, 3) = 0.3343682967124306e-12, (694, 1) = 0.21898406443857515e-12, (694, 2) = -0.4052591420486078e-13, (694, 3) = 0.33838030151838537e-12, (695, 1) = 0.21595294418770397e-12, (695, 2) = -0.41451964022920583e-13, (695, 3) = 0.3411804900548763e-12, (696, 1) = 0.20997447726078182e-12, (696, 2) = -0.45528448095777614e-13, (696, 3) = 0.3462065758124523e-12, (697, 1) = 0.20827734120248503e-12, (697, 2) = -0.36066962578035066e-13, (697, 3) = 0.3467578332061184e-12, (698, 1) = 0.2126733158045318e-12, (698, 2) = -0.403675684799229e-13, (698, 3) = 0.3550642049992498e-12, (699, 1) = 0.21517835609034383e-12, (699, 2) = -0.4352660204241252e-13, (699, 3) = 0.35701161508084136e-12, (700, 1) = 0.2106446210560821e-12, (700, 2) = -0.40530155616578817e-13, (700, 3) = 0.364258164690277e-12, (701, 1) = 0.21438941716380317e-12, (701, 2) = -0.39657728115591994e-13, (701, 3) = 0.36752785098140034e-12, (702, 1) = 0.21202683450626928e-12, (702, 2) = -0.3870500620532761e-13, (702, 3) = 0.37451866787863e-12, (703, 1) = 0.21462044330638512e-12, (703, 2) = -0.4698709301214019e-13, (703, 3) = 0.3763837384321621e-12, (704, 1) = 0.2128744487989034e-12, (704, 2) = -0.38442790838459923e-13, (704, 3) = 0.38466968192381594e-12, (705, 1) = 0.20975449606010233e-12, (705, 2) = -0.4211888844649634e-13, (705, 3) = 0.38752855089891873e-12, (706, 1) = 0.21171505094433449e-12, (706, 2) = -0.35131741893752464e-13, (706, 3) = 0.39464428217048084e-12, (707, 1) = 0.20766966457148507e-12, (707, 2) = -0.3647801459119563e-13, (707, 3) = 0.39969790268595845e-12, (708, 1) = 0.21101481362845394e-12, (708, 2) = -0.3688570327903805e-13, (708, 3) = 0.40303522541868187e-12, (709, 1) = 0.2116890639412909e-12, (709, 2) = -0.3943385176083e-13, (709, 3) = 0.4064051509115737e-12, (710, 1) = 0.20992347513166355e-12, (710, 2) = -0.36394104603998473e-13, (710, 3) = 0.4115784614130071e-12, (711, 1) = 0.20717602441417395e-12, (711, 2) = -0.41905573888847495e-13, (711, 3) = 0.4160768444004062e-12, (712, 1) = 0.21477173377812696e-12, (712, 2) = -0.3851067467188571e-13, (712, 3) = 0.42416748366592316e-12, (713, 1) = 0.206389585860977e-12, (713, 2) = -0.3692193147030786e-13, (713, 3) = 0.43331092596304915e-12, (714, 1) = 0.20859688173915188e-12, (714, 2) = -0.41785151948400513e-13, (714, 3) = 0.43805373834799243e-12, (715, 1) = 0.2057534670680336e-12, (715, 2) = -0.4185151297029078e-13, (715, 3) = 0.44692914108505364e-12, (716, 1) = 0.20780416854753042e-12, (716, 2) = -0.4094759457292339e-13, (716, 3) = 0.44977197092188875e-12, (717, 1) = 0.21241852221715333e-12, (717, 2) = -0.43823845367539306e-13, (717, 3) = 0.4607410650298433e-12, (718, 1) = 0.20303020226960092e-12, (718, 2) = -0.3243062223761647e-13, (718, 3) = 0.4653678140063528e-12, (719, 1) = 0.20735597596001904e-12, (719, 2) = -0.3773280104823325e-13, (719, 3) = 0.4682246806598122e-12, (720, 1) = 0.2049649765252359e-12, (720, 2) = -0.41607194818088744e-13, (720, 3) = 0.4761285327789377e-12, (721, 1) = 0.2109865521329305e-12, (721, 2) = -0.36186557056595144e-13, (721, 3) = 0.4816298382485065e-12, (722, 1) = 0.20653036028357547e-12, (722, 2) = -0.3843245269521382e-13, (722, 3) = 0.4914789930852076e-12, (723, 1) = 0.2077036919823938e-12, (723, 2) = -0.3682853426920801e-13, (723, 3) = 0.500463357219655e-12, (724, 1) = 0.20759238306038508e-12, (724, 2) = -0.3832159280701726e-13, (724, 3) = 0.5077160737556268e-12, (725, 1) = 0.21454378328768532e-12, (725, 2) = -0.398613696796469e-13, (725, 3) = 0.5140184137293929e-12, (726, 1) = 0.21203417319603123e-12, (726, 2) = -0.344673993161268e-13, (726, 3) = 0.5235086232039437e-12, (727, 1) = 0.20995117234229144e-12, (727, 2) = -0.43514791858187943e-13, (727, 3) = 0.5329878266341714e-12, (728, 1) = 0.21105807652861926e-12, (728, 2) = -0.3657487918332147e-13, (728, 3) = 0.5395462857815721e-12, (729, 1) = 0.2117029722850398e-12, (729, 2) = -0.3896551723165638e-13, (729, 3) = 0.5484931235665605e-12, (730, 1) = 0.20476568672923756e-12, (730, 2) = -0.32976134164125677e-13, (730, 3) = 0.558013003877472e-12, (731, 1) = 0.21470729615444176e-12, (731, 2) = -0.44757111411757637e-13, (731, 3) = 0.565133741282227e-12, (732, 1) = 0.2038271602029188e-12, (732, 2) = -0.41101518762132563e-13, (732, 3) = 0.5770391637033094e-12, (733, 1) = 0.21163977509405145e-12, (733, 2) = -0.4270109608632123e-13, (733, 3) = 0.5878057887560558e-12, (734, 1) = 0.20819179010256518e-12, (734, 2) = -0.3678207667837903e-13, (734, 3) = 0.5952075263881776e-12, (735, 1) = 0.21028648895471113e-12, (735, 2) = -0.3315882663370768e-13, (735, 3) = 0.6051946617940992e-12, (736, 1) = 0.20521923135667875e-12, (736, 2) = -0.41731030176848516e-13, (736, 3) = 0.6190622699973915e-12, (737, 1) = 0.2121528743671596e-12, (737, 2) = -0.3738022222358239e-13, (737, 3) = 0.6249114178395507e-12, (738, 1) = 0.20750803533846232e-12, (738, 2) = -0.33897595338262455e-13, (738, 3) = 0.6335310693030387e-12, (739, 1) = 0.2038067664425104e-12, (739, 2) = -0.4092076037331906e-13, (739, 3) = 0.5929317035439242e-12, (740, 1) = 0.2108137703096338e-12, (740, 2) = -0.38636850249908704e-13, (740, 3) = 0.5646344218723458e-12, (741, 1) = 0.2155156505877821e-12, (741, 2) = -0.3392515973798446e-13, (741, 3) = 0.530903692154074e-12, (742, 1) = 0.20800764794818374e-12, (742, 2) = -0.3493645019979264e-13, (742, 3) = 0.5110610989018319e-12, (743, 1) = 0.20277381072120922e-12, (743, 2) = -0.39638319587784964e-13, (743, 3) = 0.4853099702387256e-12, (744, 1) = 0.2037532050974727e-12, (744, 2) = -0.3804127291288205e-13, (744, 3) = 0.469673451926723e-12, (745, 1) = 0.20508030570656732e-12, (745, 2) = -0.3830407066798327e-13, (745, 3) = 0.4507740362709381e-12, (746, 1) = 0.20678443245905284e-12, (746, 2) = -0.3227423847913634e-13, (746, 3) = 0.44494369139354897e-12, (747, 1) = 0.2058458783438848e-12, (747, 2) = -0.38589891722587896e-13, (747, 3) = 0.4258958711134698e-12, (748, 1) = 0.20788734591035665e-12, (748, 2) = -0.37912563972419654e-13, (748, 3) = 0.4196177083673213e-12, (749, 1) = 0.2036584768209322e-12, (749, 2) = -0.3459678493753352e-13, (749, 3) = 0.410049090947455e-12, (750, 1) = 0.20914785092993523e-12, (750, 2) = -0.30197141855504433e-13, (750, 3) = 0.4037486385873828e-12, (751, 1) = 0.20135147263476078e-12, (751, 2) = -0.29483923615412674e-13, (751, 3) = 0.39685092153666727e-12, (752, 1) = 0.2088394270563248e-12, (752, 2) = -0.3335753043189554e-13, (752, 3) = 0.3931771021343976e-12, (753, 1) = 0.20830096127224724e-12, (753, 2) = -0.36537955611844945e-13, (753, 3) = 0.38175139698843134e-12, (754, 1) = 0.2062118451813244e-12, (754, 2) = -0.4064015234745696e-13, (754, 3) = 0.376116909680474e-12, (755, 1) = 0.20031046159181034e-12, (755, 2) = -0.3742739635980149e-13, (755, 3) = 0.37385723567141735e-12, (756, 1) = 0.20195934157170183e-12, (756, 2) = -0.40534853323094514e-13, (756, 3) = 0.37347130713716344e-12, (757, 1) = 0.20266595661722295e-12, (757, 2) = -0.38347955063474536e-13, (757, 3) = 0.36732852562033363e-12, (758, 1) = 0.20938314901953994e-12, (758, 2) = -0.3401986781116223e-13, (758, 3) = 0.3674017046247007e-12, (759, 1) = 0.2064797472069917e-12, (759, 2) = -0.3366048229955671e-13, (759, 3) = 0.36288659863593215e-12, (760, 1) = 0.2021319071244401e-12, (760, 2) = -0.4020043940608149e-13, (760, 3) = 0.36333476219382715e-12, (761, 1) = 0.19715980527312073e-12, (761, 2) = -0.3582619474762689e-13, (761, 3) = 0.35664997200748843e-12, (762, 1) = 0.20734749660755628e-12, (762, 2) = -0.3570315646671801e-13, (762, 3) = 0.3553220165896957e-12, (763, 1) = 0.20114261932964594e-12, (763, 2) = -0.4071577038634275e-13, (763, 3) = 0.35509254548304406e-12, (764, 1) = 0.2035779386288586e-12, (764, 2) = -0.3551777644484064e-13, (764, 3) = 0.35293264461580254e-12, (765, 1) = 0.20323981049468056e-12, (765, 2) = -0.342125707220916e-13, (765, 3) = 0.35103438873760096e-12, (766, 1) = 0.21161673938600898e-12, (766, 2) = -0.31922630031685e-13, (766, 3) = 0.3502346534039826e-12, (767, 1) = 0.2010662734833309e-12, (767, 2) = -0.3128777833340692e-13, (767, 3) = 0.3519253783262498e-12, (768, 1) = 0.20363402416572632e-12, (768, 2) = -0.3817681515589307e-13, (768, 3) = 0.3502285588509011e-12, (769, 1) = 0.2052014402827006e-12, (769, 2) = -0.34276159626578697e-13, (769, 3) = 0.34740599414781707e-12, (770, 1) = 0.19768054456460792e-12, (770, 2) = -0.3065347636062936e-13, (770, 3) = 0.3457111129165216e-12, (771, 1) = 0.20519442233290564e-12, (771, 2) = -0.3238668411757558e-13, (771, 3) = 0.3460479260801492e-12, (772, 1) = 0.20834769139068255e-12, (772, 2) = -0.3893106972447272e-13, (772, 3) = 0.3468972455187017e-12, (773, 1) = 0.20142132162036478e-12, (773, 2) = -0.2921223985962585e-13, (773, 3) = 0.3422433124891632e-12, (774, 1) = 0.2040736522162807e-12, (774, 2) = -0.3404729819131146e-13, (774, 3) = 0.34296085172001987e-12, (775, 1) = 0.20427854921321862e-12, (775, 2) = -0.298945517088794e-13, (775, 3) = 0.3435107113779701e-12, (776, 1) = 0.20476165338802367e-12, (776, 2) = -0.3567848859678719e-13, (776, 3) = 0.344264337963283e-12, (777, 1) = 0.1978782274228133e-12, (777, 2) = -0.38323501935541205e-13, (777, 3) = 0.34658147749191074e-12, (778, 1) = 0.21013202797659092e-12, (778, 2) = -0.32634733484641356e-13, (778, 3) = 0.3447731068734936e-12, (779, 1) = 0.2073821050919426e-12, (779, 2) = -0.3914050923946365e-13, (779, 3) = 0.34405294018135115e-12, (780, 1) = 0.20341153686051064e-12, (780, 2) = -0.3652537666735373e-13, (780, 3) = 0.34335156243542305e-12, (781, 1) = 0.20076427080774691e-12, (781, 2) = -0.3658040933984621e-13, (781, 3) = 0.34371786766147525e-12, (782, 1) = 0.19579859975956485e-12, (782, 2) = -0.3914215991974409e-13, (782, 3) = 0.34173387712119357e-12, (783, 1) = 0.20347856378173396e-12, (783, 2) = -0.33933848697391033e-13, (783, 3) = 0.3420014463694529e-12, (784, 1) = 0.201615249906459e-12, (784, 2) = -0.4103619086080249e-13, (784, 3) = 0.34192531929314243e-12, (785, 1) = 0.2032142021869721e-12, (785, 2) = -0.3060565245358872e-13, (785, 3) = 0.3419450640308432e-12, (786, 1) = 0.19959187968301072e-12, (786, 2) = -0.33552412265724585e-13, (786, 3) = 0.34309727928724123e-12, (787, 1) = 0.19926777445937282e-12, (787, 2) = -0.24169801330936995e-13, (787, 3) = 0.34281749477131165e-12, (788, 1) = 0.20207384022808542e-12, (788, 2) = -0.32650754720350956e-13, (788, 3) = 0.34232546613432987e-12, (789, 1) = 0.20387460655767943e-12, (789, 2) = -0.3503865433499607e-13, (789, 3) = 0.3426508852884298e-12, (790, 1) = 0.20744911285017084e-12, (790, 2) = -0.340106471042306e-13, (790, 3) = 0.3438000097512348e-12, (791, 1) = 0.20504642821168024e-12, (791, 2) = -0.2759637765669029e-13, (791, 3) = 0.34400946777095835e-12, (792, 1) = 0.2041018216893307e-12, (792, 2) = -0.350670644319605e-13, (792, 3) = 0.3443771092766612e-12, (793, 1) = 0.1965497583477491e-12, (793, 2) = -0.3806749549596312e-13, (793, 3) = 0.3455259812818135e-12, (794, 1) = 0.1976345857203948e-12, (794, 2) = -0.3490218428941571e-13, (794, 3) = 0.3462501515458136e-12, (795, 1) = 0.20365080983501555e-12, (795, 2) = -0.308982651422388e-13, (795, 3) = 0.34364298936392685e-12, (796, 1) = 0.19784618054106696e-12, (796, 2) = -0.3088809696337006e-13, (796, 3) = 0.34483546814513087e-12, (797, 1) = 0.20113567169432472e-12, (797, 2) = -0.3174972316840091e-13, (797, 3) = 0.3474677389630283e-12, (798, 1) = 0.2056903977123843e-12, (798, 2) = -0.3260328280464838e-13, (798, 3) = 0.34583632433449646e-12, (799, 1) = 0.20428531019677907e-12, (799, 2) = -0.32357097020356e-13, (799, 3) = 0.348469791263095e-12, (800, 1) = 0.20137165953986936e-12, (800, 2) = -0.2820742745512183e-13, (800, 3) = 0.34824255948006396e-12, (801, 1) = 0.20854280718493615e-12, (801, 2) = -0.25148041973742908e-13, (801, 3) = 0.34787554558984575e-12, (802, 1) = 0.19307590436871934e-12, (802, 2) = -0.30004452999300663e-13, (802, 3) = 0.3492509270904755e-12, (803, 1) = 0.20173489190572432e-12, (803, 2) = -0.3631485886777097e-13, (803, 3) = 0.3507209685510789e-12, (804, 1) = 0.19953968748988943e-12, (804, 2) = -0.3288414950193984e-13, (804, 3) = 0.34927093879890764e-12, (805, 1) = 0.2057525738941833e-12, (805, 2) = -0.3439993464371339e-13, (805, 3) = 0.3506477048227405e-12, (806, 1) = 0.20113562870152387e-12, (806, 2) = -0.37592205757931867e-13, (806, 3) = 0.34982500447374397e-12, (807, 1) = 0.19474219079870913e-12, (807, 2) = -0.2753153010509842e-13, (807, 3) = 0.3526288266869784e-12, (808, 1) = 0.1994559117400757e-12, (808, 2) = -0.3707689713937404e-13, (808, 3) = 0.35242649379115e-12, (809, 1) = 0.19569833867115622e-12, (809, 2) = -0.3693097638423182e-13, (809, 3) = 0.3549441736327757e-12, (810, 1) = 0.19347692209141256e-12, (810, 2) = -0.32993626054002884e-13, (810, 3) = 0.35378101589752836e-12, (811, 1) = 0.19899228718435567e-12, (811, 2) = -0.33697719552091863e-13, (811, 3) = 0.3567512783653657e-12, (812, 1) = 0.19802448381174787e-12, (812, 2) = -0.30178050192679505e-13, (812, 3) = 0.35608168253796974e-12, (813, 1) = 0.19585112559477347e-12, (813, 2) = -0.3057396093139538e-13, (813, 3) = 0.3586081504538014e-12, (814, 1) = 0.20059052346861036e-12, (814, 2) = -0.29376884399223625e-13, (814, 3) = 0.3592692953648572e-12, (815, 1) = 0.19865843064522817e-12, (815, 2) = -0.3702335431022438e-13, (815, 3) = 0.35934142285809333e-12, (816, 1) = 0.19750917239595689e-12, (816, 2) = -0.3061713638869318e-13, (816, 3) = 0.3604931794990822e-12, (817, 1) = 0.19423199125458124e-12, (817, 2) = -0.33025482315526595e-13, (817, 3) = 0.3597719647997012e-12, (818, 1) = 0.19513580247953193e-12, (818, 2) = -0.33422137111298787e-13, (818, 3) = 0.36257358910455796e-12, (819, 1) = 0.2007010493248361e-12, (819, 2) = -0.34115445188107786e-13, (819, 3) = 0.36079488048093005e-12, (820, 1) = 0.19642423322087876e-12, (820, 2) = -0.368951588986528e-13, (820, 3) = 0.36548059527104344e-12, (821, 1) = 0.1923264176042201e-12, (821, 2) = -0.3427562493006917e-13, (821, 3) = 0.36309680393816283e-12, (822, 1) = 0.19628211281567475e-12, (822, 2) = -0.3578111302135148e-13, (822, 3) = 0.3676821127010003e-12, (823, 1) = 0.19514617461969313e-12, (823, 2) = -0.37698332974244395e-13, (823, 3) = 0.36562591804496206e-12, (824, 1) = 0.19675956801604557e-12, (824, 2) = -0.360942106512677e-13, (824, 3) = 0.3679130891708207e-12, (825, 1) = 0.19132650129101508e-12, (825, 2) = -0.3244373487052285e-13, (825, 3) = 0.36882499505317493e-12, (826, 1) = 0.19465571760119562e-12, (826, 2) = -0.3045078165182404e-13, (826, 3) = 0.36956798727946494e-12, (827, 1) = 0.19191754346430825e-12, (827, 2) = -0.3296107251645034e-13, (827, 3) = 0.36991668847852867e-12, (828, 1) = 0.1991015593354748e-12, (828, 2) = -0.2946213965760939e-13, (828, 3) = 0.371403343891572e-12, (829, 1) = 0.196945306888455e-12, (829, 2) = -0.3021686118454328e-13, (829, 3) = 0.3782153124844966e-12, (830, 1) = 0.20127256231240143e-12, (830, 2) = -0.3168750990282286e-13, (830, 3) = 0.3746658088526101e-12, (831, 1) = 0.191050423277458e-12, (831, 2) = -0.32029839287387267e-13, (831, 3) = 0.3752745745159779e-12, (832, 1) = 0.1932789257552224e-12, (832, 2) = -0.30869453027600706e-13, (832, 3) = 0.378501651594908e-12, (833, 1) = 0.1900335203240069e-12, (833, 2) = -0.36031956452134113e-13, (833, 3) = 0.3783376950387045e-12, (834, 1) = 0.19602992322810888e-12, (834, 2) = -0.2938665913998865e-13, (834, 3) = 0.38008611521191404e-12, (835, 1) = 0.19548111073416051e-12, (835, 2) = -0.3392409772029476e-13, (835, 3) = 0.3832209497672765e-12, (836, 1) = 0.18735627475419947e-12, (836, 2) = -0.3028829904591e-13, (836, 3) = 0.3831698971608512e-12, (837, 1) = 0.19244525860054283e-12, (837, 2) = -0.304691450393569e-13, (837, 3) = 0.38403116138476974e-12, (838, 1) = 0.18639311008698713e-12, (838, 2) = -0.30484823042765705e-13, (838, 3) = 0.3855681235039915e-12, (839, 1) = 0.19232229855216344e-12, (839, 2) = -0.27705611442113498e-13, (839, 3) = 0.3879451421329141e-12, (840, 1) = 0.19978930165448658e-12, (840, 2) = -0.3167887832283122e-13, (840, 3) = 0.38713147113982544e-12, (841, 1) = 0.19442493939572774e-12, (841, 2) = -0.37872272091253083e-13, (841, 3) = 0.3911888706207745e-12, (842, 1) = 0.19850581775179282e-12, (842, 2) = -0.2851329318822519e-13, (842, 3) = 0.39259868266394894e-12, (843, 1) = 0.18866667140177743e-12, (843, 2) = -0.29915413734518195e-13, (843, 3) = 0.39469233458134177e-12, (844, 1) = 0.19414119114645268e-12, (844, 2) = -0.3312586203608536e-13, (844, 3) = 0.39513063865777505e-12, (845, 1) = 0.19620532517926394e-12, (845, 2) = -0.329198269281594e-13, (845, 3) = 0.3968035101711939e-12, (846, 1) = 0.19124160179923546e-12, (846, 2) = -0.2846827505614758e-13, (846, 3) = 0.39912951819537824e-12, (847, 1) = 0.19315124202634453e-12, (847, 2) = -0.33625655358444944e-13, (847, 3) = 0.40093803222862437e-12, (848, 1) = 0.1947101385692052e-12, (848, 2) = -0.3261604904465496e-13, (848, 3) = 0.4011707512505432e-12, (849, 1) = 0.18160346438865678e-12, (849, 2) = -0.2819835848116553e-13, (849, 3) = 0.4019502343361981e-12, (850, 1) = 0.19595931622055675e-12, (850, 2) = -0.25439289069430187e-13, (850, 3) = 0.40544144531671064e-12, (851, 1) = 0.18826847884968842e-12, (851, 2) = -0.31001466488628695e-13, (851, 3) = 0.40622448295653896e-12, (852, 1) = 0.1827848455520169e-12, (852, 2) = -0.3227311003585139e-13, (852, 3) = 0.4099562016801379e-12, (853, 1) = 0.19411650352348708e-12, (853, 2) = -0.35112702710406594e-13, (853, 3) = 0.4095966772933653e-12, (854, 1) = 0.19530340272638728e-12, (854, 2) = -0.3529386153894343e-13, (854, 3) = 0.4108443404687319e-12, (855, 1) = 0.18952554996187152e-12, (855, 2) = -0.3124547422403273e-13, (855, 3) = 0.4149455532889714e-12, (856, 1) = 0.18718888839129938e-12, (856, 2) = -0.28614974359997354e-13, (856, 3) = 0.4154837360105486e-12, (857, 1) = 0.1861060769360689e-12, (857, 2) = -0.3330077992958437e-13, (857, 3) = 0.4168772306071833e-12, (858, 1) = 0.18929961435366189e-12, (858, 2) = -0.289623124053769e-13, (858, 3) = 0.4216473526238722e-12, (859, 1) = 0.1948961941811484e-12, (859, 2) = -0.2761618775785765e-13, (859, 3) = 0.42204151210343314e-12, (860, 1) = 0.20012191456103172e-12, (860, 2) = -0.29039011894703726e-13, (860, 3) = 0.4254659749729919e-12, (861, 1) = 0.19185994524008463e-12, (861, 2) = -0.2814004800849388e-13, (861, 3) = 0.42525095169900613e-12, (862, 1) = 0.18728616615548458e-12, (862, 2) = -0.3112354605791543e-13, (862, 3) = 0.42654758895861175e-12, (863, 1) = 0.19064835732803183e-12, (863, 2) = -0.325574469650238e-13, (863, 3) = 0.42854650711233355e-12, (864, 1) = 0.19500940173702612e-12, (864, 2) = -0.28537285050102387e-13, (864, 3) = 0.43221295581908704e-12, (865, 1) = 0.199515714383918e-12, (865, 2) = -0.3235376026993567e-13, (865, 3) = 0.4367390913779576e-12, (866, 1) = 0.18265664197147086e-12, (866, 2) = -0.27248851970347e-13, (866, 3) = 0.4376441624916139e-12, (867, 1) = 0.19722913474248116e-12, (867, 2) = -0.32080107362455705e-13, (867, 3) = 0.43895171807770163e-12, (868, 1) = 0.19194067971558176e-12, (868, 2) = -0.2916652855046843e-13, (868, 3) = 0.4403017036024839e-12, (869, 1) = 0.2003194355541553e-12, (869, 2) = -0.28570025637633455e-13, (869, 3) = 0.4439815416740234e-12, (870, 1) = 0.19198552768884746e-12, (870, 2) = -0.2957961132227082e-13, (870, 3) = 0.4454942552064056e-12, (871, 1) = 0.1969209466929069e-12, (871, 2) = -0.3188152477633788e-13, (871, 3) = 0.4474571987839525e-12, (872, 1) = 0.17876497396463196e-12, (872, 2) = -0.22816430502476376e-13, (872, 3) = 0.44918202049675253e-12, (873, 1) = 0.18189065493374067e-12, (873, 2) = -0.2851721403306508e-13, (873, 3) = 0.45194201577918315e-12, (874, 1) = 0.1866936747387847e-12, (874, 2) = -0.3527132735999688e-13, (874, 3) = 0.4556770791812768e-12, (875, 1) = 0.19555169867306652e-12, (875, 2) = -0.27871387357741064e-13, (875, 3) = 0.4607138535725006e-12, (876, 1) = 0.18552169482550496e-12, (876, 2) = -0.2678069389546197e-13, (876, 3) = 0.460909311696532e-12, (877, 1) = 0.18614614743244513e-12, (877, 2) = -0.323274315451732e-13, (877, 3) = 0.465309923522992e-12, (878, 1) = 0.1932563297056393e-12, (878, 2) = -0.326662512415765e-13, (878, 3) = 0.4661815783770111e-12, (879, 1) = 0.17969819331572076e-12, (879, 2) = -0.28110243514614923e-13, (879, 3) = 0.4677495416713658e-12, (880, 1) = 0.1895169647342395e-12, (880, 2) = -0.29697579246775415e-13, (880, 3) = 0.469284446825698e-12, (881, 1) = 0.188687713298962e-12, (881, 2) = -0.2852720545025064e-13, (881, 3) = 0.4729719627979427e-12, (882, 1) = 0.18865265116103735e-12, (882, 2) = -0.28808846706669404e-13, (882, 3) = 0.4777673260183121e-12, (883, 1) = 0.18983592342230358e-12, (883, 2) = -0.28953087561659024e-13, (883, 3) = 0.4795880918361304e-12, (884, 1) = 0.18157387547442834e-12, (884, 2) = -0.3413605652843837e-13, (884, 3) = 0.4828491617073338e-12, (885, 1) = 0.1821712606815408e-12, (885, 2) = -0.27564468868633017e-13, (885, 3) = 0.4868317551005949e-12, (886, 1) = 0.18219331981594417e-12, (886, 2) = -0.2396824611007975e-13, (886, 3) = 0.489202241983345e-12, (887, 1) = 0.18413376726133884e-12, (887, 2) = -0.27479128906943553e-13, (887, 3) = 0.4931363863457783e-12, (888, 1) = 0.17702588181809453e-12, (888, 2) = -0.31044314651413365e-13, (888, 3) = 0.4932884980726043e-12, (889, 1) = 0.1885121315192778e-12, (889, 2) = -0.28785224155256584e-13, (889, 3) = 0.4989356628223636e-12, (890, 1) = 0.18361764009173135e-12, (890, 2) = -0.29201858641161043e-13, (890, 3) = 0.502113018839044e-12, (891, 1) = 0.17996100113770494e-12, (891, 2) = -0.27911791021846396e-13, (891, 3) = 0.5033526467913286e-12, (892, 1) = 0.1831799278425086e-12, (892, 2) = -0.2853179462168907e-13, (892, 3) = 0.5080483230951253e-12, (893, 1) = 0.17016205090473352e-12, (893, 2) = -0.28020857781208084e-13, (893, 3) = 0.5105957730633133e-12, (894, 1) = 0.18740751716379735e-12, (894, 2) = -0.27575862529507703e-13, (894, 3) = 0.5151012493874024e-12, (895, 1) = 0.18374212995168518e-12, (895, 2) = -0.29283395617086207e-13, (895, 3) = 0.5152963208146445e-12, (896, 1) = 0.1811043729887723e-12, (896, 2) = -0.26429399354025346e-13, (896, 3) = 0.5209998834414803e-12, (897, 1) = 0.17641895307581587e-12, (897, 2) = -0.27056997107966436e-13, (897, 3) = 0.5248902740229281e-12, (898, 1) = 0.1773222262121921e-12, (898, 2) = -0.25596350773392795e-13, (898, 3) = 0.5285877621723943e-12, (899, 1) = 0.18028142364444074e-12, (899, 2) = -0.2549233862652915e-13, (899, 3) = 0.5311902681556131e-12, (900, 1) = 0.18588304240542905e-12, (900, 2) = -0.27594441503780273e-13, (900, 3) = 0.5338950442808271e-12, (901, 1) = 0.19058562915537076e-12, (901, 2) = -0.2721543314292527e-13, (901, 3) = 0.5391440846854353e-12, (902, 1) = 0.18487766998681817e-12, (902, 2) = -0.2694341567289444e-13, (902, 3) = 0.5416349187043152e-12, (903, 1) = 0.18322598819527693e-12, (903, 2) = -0.25442938783757106e-13, (903, 3) = 0.5474174488484201e-12, (904, 1) = 0.1842367214030455e-12, (904, 2) = -0.252077115461769e-13, (904, 3) = 0.5495202217880708e-12, (905, 1) = 0.1818331442175075e-12, (905, 2) = -0.2733157860450629e-13, (905, 3) = 0.5549714909668936e-12, (906, 1) = 0.1897927039234151e-12, (906, 2) = -0.26688583739493593e-13, (906, 3) = 0.5589918599814531e-12, (907, 1) = 0.17387222618584834e-12, (907, 2) = -0.28938500188077175e-13, (907, 3) = 0.5627975243288418e-12, (908, 1) = 0.17795397985927714e-12, (908, 2) = -0.24346582929225995e-13, (908, 3) = 0.5681969120564351e-12, (909, 1) = 0.1886509520283369e-12, (909, 2) = -0.28203098883849742e-13, (909, 3) = 0.5691404704734381e-12, (910, 1) = 0.17699711531473346e-12, (910, 2) = -0.24002994361934703e-13, (910, 3) = 0.5755636873742783e-12, (911, 1) = 0.17480334911212856e-12, (911, 2) = -0.27446633802774808e-13, (911, 3) = 0.5792819041107437e-12, (912, 1) = 0.1818431748020541e-12, (912, 2) = -0.275634743417016e-13, (912, 3) = 0.5817428125884439e-12, (913, 1) = 0.1663865370811932e-12, (913, 2) = -0.27967229765555818e-13, (913, 3) = 0.5898504591912964e-12, (914, 1) = 0.18518415976759447e-12, (914, 2) = -0.2512404125021652e-13, (914, 3) = 0.5939861537830028e-12, (915, 1) = 0.18415361122700455e-12, (915, 2) = -0.28376727088547255e-13, (915, 3) = 0.5968356959918066e-12, (916, 1) = 0.18823184874038866e-12, (916, 2) = -0.27855585166259028e-13, (916, 3) = 0.6016083196867594e-12, (917, 1) = 0.17845607235443995e-12, (917, 2) = -0.26307388414368493e-13, (917, 3) = 0.6078057809913198e-12, (918, 1) = 0.17082652389842721e-12, (918, 2) = -0.29300916906344614e-13, (918, 3) = 0.6129045953035457e-12, (919, 1) = 0.18993647461812746e-12, (919, 2) = -0.2584192592526333e-13, (919, 3) = 0.6191466085195833e-12, (920, 1) = 0.1853922734041684e-12, (920, 2) = -0.25047342684851832e-13, (920, 3) = 0.6230674253494338e-12, (921, 1) = 0.17974298533669635e-12, (921, 2) = -0.27953425356451803e-13, (921, 3) = 0.6282475291015922e-12, (922, 1) = 0.1833897327522997e-12, (922, 2) = -0.233971386943806e-13, (922, 3) = 0.6315018047334647e-12, (923, 1) = 0.17137174349265376e-12, (923, 2) = -0.26124863939807895e-13, (923, 3) = 0.637443149220468e-12, (924, 1) = 0.18969722693017868e-12, (924, 2) = -0.2615944813935876e-13, (924, 3) = 0.6438221259713177e-12, (925, 1) = 0.19032804008279158e-12, (925, 2) = -0.2940904576499741e-13, (925, 3) = 0.6496573114785033e-12, (926, 1) = 0.1782859882514194e-12, (926, 2) = -0.25653241421193458e-13, (926, 3) = 0.6541525035143126e-12, (927, 1) = 0.18797639065983752e-12, (927, 2) = -0.25413154430483544e-13, (927, 3) = 0.6599353325339934e-12, (928, 1) = 0.1730369763384879e-12, (928, 2) = -0.26667543162005817e-13, (928, 3) = 0.6657345883327881e-12, (929, 1) = 0.16728985027824702e-12, (929, 2) = -0.25372447158630192e-13, (929, 3) = 0.6739619229106721e-12, (930, 1) = 0.1808268711156907e-12, (930, 2) = -0.2607267764720945e-13, (930, 3) = 0.676310132522783e-12, (931, 1) = 0.18224297006571294e-12, (931, 2) = -0.2685132551166893e-13, (931, 3) = 0.6843515424034323e-12, (932, 1) = 0.17642088980047872e-12, (932, 2) = -0.26565433436024803e-13, (932, 3) = 0.689163884810432e-12, (933, 1) = 0.1731320875720852e-12, (933, 2) = -0.25476946069947353e-13, (933, 3) = 0.6958668664817741e-12, (934, 1) = 0.18381324856989265e-12, (934, 2) = -0.22226261987830364e-13, (934, 3) = 0.7057341056353635e-12, (935, 1) = 0.17094067039460066e-12, (935, 2) = -0.28409026524761704e-13, (935, 3) = 0.7100650930411556e-12, (936, 1) = 0.1725914253344015e-12, (936, 2) = -0.22033275345922814e-13, (936, 3) = 0.7166800608393187e-12, (937, 1) = 0.17760731324777453e-12, (937, 2) = -0.23803952408502537e-13, (937, 3) = 0.724466644162229e-12, (938, 1) = 0.17045416539154352e-12, (938, 2) = -0.25144497639281968e-13, (938, 3) = 0.7314206725328056e-12, (939, 1) = 0.18079052142306583e-12, (939, 2) = -0.25607011444356253e-13, (939, 3) = 0.7360258087154677e-12, (940, 1) = 0.17654963272987885e-12, (940, 2) = -0.2456328542286411e-13, (940, 3) = 0.7440769209901498e-12, (941, 1) = 0.17294991650223182e-12, (941, 2) = -0.26198391182739872e-13, (941, 3) = 0.7526905696431315e-12, (942, 1) = 0.1753599150256404e-12, (942, 2) = -0.2294362113524267e-13, (942, 3) = 0.7605903652014279e-12, (943, 1) = 0.17212250140187137e-12, (943, 2) = -0.25352471049849636e-13, (943, 3) = 0.7677930055251987e-12, (944, 1) = 0.16490800493942376e-12, (944, 2) = -0.26199977543754794e-13, (944, 3) = 0.7734106491672226e-12, (945, 1) = 0.1743224112662821e-12, (945, 2) = -0.2607240522788848e-13, (945, 3) = 0.7804853293956238e-12, (946, 1) = 0.179318781225017e-12, (946, 2) = -0.23045812442269947e-13, (946, 3) = 0.790880394336034e-12, (947, 1) = 0.18569424576034935e-12, (947, 2) = -0.23829360265834336e-13, (947, 3) = 0.7969621490058126e-12, (948, 1) = 0.16527238277140396e-12, (948, 2) = -0.2514763855656993e-13, (948, 3) = 0.8067689603498004e-12, (949, 1) = 0.16920101368325117e-12, (949, 2) = -0.27734011787830217e-13, (949, 3) = 0.8143701459514813e-12, (950, 1) = 0.17871974037528319e-12, (950, 2) = -0.25688956925927606e-13, (950, 3) = 0.8232305444877602e-12, (951, 1) = 0.17603117764096604e-12, (951, 2) = -0.2425025875547975e-13, (951, 3) = 0.8333124657017928e-12, (952, 1) = 0.17156516196406204e-12, (952, 2) = -0.25864850212148932e-13, (952, 3) = 0.8432425777123152e-12, (953, 1) = 0.17904821248362666e-12, (953, 2) = -0.23256206800948717e-13, (953, 3) = 0.8503720132295479e-12, (954, 1) = 0.1645834059556454e-12, (954, 2) = -0.24862076052694362e-13, (954, 3) = 0.8591225611922099e-12, (955, 1) = 0.17158588163893175e-12, (955, 2) = -0.24408863792019858e-13, (955, 3) = 0.8697853754948484e-12, (956, 1) = 0.17368837278614046e-12, (956, 2) = -0.21374793557667253e-13, (956, 3) = 0.878391699672471e-12, (957, 1) = 0.1589378643604462e-12, (957, 2) = -0.2495510699737321e-13, (957, 3) = 0.8872208418567252e-12, (958, 1) = 0.17995132348172196e-12, (958, 2) = -0.27464643397304873e-13, (958, 3) = 0.8976532147394387e-12, (959, 1) = 0.16464680778959048e-12, (959, 2) = -0.22956540596034474e-13, (959, 3) = 0.9087901952728384e-12, (960, 1) = 0.17329835222308297e-12, (960, 2) = -0.21841880269803484e-13, (960, 3) = 0.9177004397333146e-12, (961, 1) = 0.17968758577571983e-12, (961, 2) = -0.2275098661599403e-13, (961, 3) = 0.930002458895439e-12, (962, 1) = 0.16877258291911812e-12, (962, 2) = -0.21057942302177608e-13, (962, 3) = 0.9414362894169648e-12, (963, 1) = 0.16343441191368673e-12, (963, 2) = -0.25224650304233644e-13, (963, 3) = 0.9518439467814604e-12, (964, 1) = 0.17852926151105325e-12, (964, 2) = -0.201044183473617e-13, (964, 3) = 0.9651227713499787e-12, (965, 1) = 0.1584537620382389e-12, (965, 2) = -0.23954390155489287e-13, (965, 3) = 0.976205931825354e-12, (966, 1) = 0.16648997576622952e-12, (966, 2) = -0.2212118135025909e-13, (966, 3) = 0.9868589054556391e-12, (967, 1) = 0.1764892854103083e-12, (967, 2) = -0.23777460278019922e-13, (967, 3) = 0.9992505793574099e-12, (968, 1) = 0.16947788147780232e-12, (968, 2) = -0.2073328902763396e-13, (968, 3) = 0.10119530919865688e-11, (969, 1) = 0.16780027122987804e-12, (969, 2) = -0.21963542051846193e-13, (969, 3) = 0.10242911802088243e-11, (970, 1) = 0.16387617355809385e-12, (970, 2) = -0.22618362480946965e-13, (970, 3) = 0.10376536611542056e-11, (971, 1) = 0.17390541223462928e-12, (971, 2) = -0.26530425286700547e-13, (971, 3) = 0.10505508754084116e-11, (972, 1) = 0.17295114272399444e-12, (972, 2) = -0.23214707336778075e-13, (972, 3) = 0.1062792761828431e-11, (973, 1) = 0.17703005338922575e-12, (973, 2) = -0.2034893410849115e-13, (973, 3) = 0.1077115893088093e-11, (974, 1) = 0.1574294917712553e-12, (974, 2) = -0.2210899706718615e-13, (974, 3) = 0.10917741674391038e-11, (975, 1) = 0.16766443972778758e-12, (975, 2) = -0.23111545218287567e-13, (975, 3) = 0.11065944294419578e-11, (976, 1) = 0.16452455221753613e-12, (976, 2) = -0.22044654617282776e-13, (976, 3) = 0.1121321083899602e-11, (977, 1) = 0.17164457395552068e-12, (977, 2) = -0.23801738689969217e-13, (977, 3) = 0.11356832398514537e-11, (978, 1) = 0.16736468558442392e-12, (978, 2) = -0.22977099637133893e-13, (978, 3) = 0.11503033367960953e-11, (979, 1) = 0.16958833936934807e-12, (979, 2) = -0.21411773202482693e-13, (979, 3) = 0.11657283932070418e-11, (980, 1) = 0.16642174982128084e-12, (980, 2) = -0.24792573196274988e-13, (980, 3) = 0.11844626391268931e-11, (981, 1) = 0.17072181223121658e-12, (981, 2) = -0.2087645936916084e-13, (981, 3) = 0.11991953566475509e-11, (982, 1) = 0.16284407222058728e-12, (982, 2) = -0.23413849397689672e-13, (982, 3) = 0.12173714930412158e-11, (983, 1) = 0.1597181109864357e-12, (983, 2) = -0.23827904564547417e-13, (983, 3) = 0.1234107810997764e-11, (984, 1) = 0.17449221406667444e-12, (984, 2) = -0.2042593558574315e-13, (984, 3) = 0.12521871018761697e-11, (985, 1) = 0.17051840638646337e-12, (985, 2) = -0.19648738255674597e-13, (985, 3) = 0.12690839286881677e-11, (986, 1) = 0.1691157872653268e-12, (986, 2) = -0.2098664431571789e-13, (986, 3) = 0.12879150335019931e-11, (987, 1) = 0.16195551549286089e-12, (987, 2) = -0.2141602045204086e-13, (987, 3) = 0.13071719043327895e-11, (988, 1) = 0.1630939235925163e-12, (988, 2) = -0.21194408951105856e-13, (988, 3) = 0.13278657803662642e-11, (989, 1) = 0.1661333674257733e-12, (989, 2) = -0.18008703234443592e-13, (989, 3) = 0.13477112123854858e-11, (990, 1) = 0.16921651587728455e-12, (990, 2) = -0.22801511347410828e-13, (990, 3) = 0.13662238278229627e-11, (991, 1) = 0.1584616711096469e-12, (991, 2) = -0.22725848206464325e-13, (991, 3) = 0.13889814954637587e-11, (992, 1) = 0.15801909225072517e-12, (992, 2) = -0.198178350743553e-13, (992, 3) = 0.14101132562895334e-11, (993, 1) = 0.17605162983191562e-12, (993, 2) = -0.22037343063082703e-13, (993, 3) = 0.14322992449012165e-11, (994, 1) = 0.15657787087123663e-12, (994, 2) = -0.21681146394405598e-13, (994, 3) = 0.14549879022188894e-11, (995, 1) = 0.15067946781343537e-12, (995, 2) = -0.2136519673095374e-13, (995, 3) = 0.14786445565583868e-11, (996, 1) = 0.17260744485559923e-12, (996, 2) = -0.20309014118563205e-13, (996, 3) = 0.15023460086801836e-11, (997, 1) = 0.16195532301844012e-12, (997, 2) = -0.22307516102623503e-13, (997, 3) = 0.15271535906515186e-11, (998, 1) = 0.15740058611072946e-12, (998, 2) = -0.19299645913032813e-13, (998, 3) = 0.15517540702195104e-11, (999, 1) = 0.15837356774877582e-12, (999, 2) = -0.2128510995368229e-13, (999, 3) = 0.1576551991687798e-11, (1000, 1) = 0.1640493246321609e-12, (1000, 2) = -0.2200055077571048e-13, (1000, 3) = 0.16049522064525246e-11, (1001, 1) = 0.16859556743603922e-12, (1001, 2) = -0.2108448870065429e-13, (1001, 3) = 0.16321578920043038e-11, (1002, 1) = 0.16369945849009856e-12, (1002, 2) = -0.21099364585493628e-13, (1002, 3) = 0.16596659235102901e-11, (1003, 1) = 0.15895588667963033e-12, (1003, 2) = -0.1916095238371302e-13, (1003, 3) = 0.16894811547223859e-11, (1004, 1) = 0.16675990552745186e-12, (1004, 2) = -0.23365443270567053e-13, (1004, 3) = 0.17189438337389856e-11, (1005, 1) = 0.17227198006905835e-12, (1005, 2) = -0.21368358873812358e-13, (1005, 3) = 0.17500271147415057e-11, (1006, 1) = 0.15241286081876643e-12, (1006, 2) = -0.21766239965062947e-13, (1006, 3) = 0.17819233764787843e-11, (1007, 1) = 0.1467551056270626e-12, (1007, 2) = -0.1925614174723049e-13, (1007, 3) = 0.18150577450116902e-11, (1008, 1) = 0.16380478473702764e-12, (1008, 2) = -0.18204559488196394e-13, (1008, 3) = 0.1847206924151689e-11, (1009, 1) = 0.16285336101231742e-12, (1009, 2) = -0.2022422489783078e-13, (1009, 3) = 0.18837124363661515e-11, (1010, 1) = 0.16399343203631532e-12, (1010, 2) = -0.1977595853714503e-13, (1010, 3) = 0.19184136587459646e-11, (1011, 1) = 0.16718857766872533e-12, (1011, 2) = -0.21587801873386263e-13, (1011, 3) = 0.19547361081080987e-11, (1012, 1) = 0.15461582203191576e-12, (1012, 2) = -0.2109276452505598e-13, (1012, 3) = 0.1993669195437845e-11, (1013, 1) = 0.16816486428119124e-12, (1013, 2) = -0.20180367131199227e-13, (1013, 3) = 0.2032238330008596e-11, (1014, 1) = 0.16478030955693143e-12, (1014, 2) = -0.2154319164179736e-13, (1014, 3) = 0.20725385316690487e-11, (1015, 1) = 0.17253205999589985e-12, (1015, 2) = -0.181895738591417e-13, (1015, 3) = 0.21154127662243126e-11, (1016, 1) = 0.15757725696988508e-12, (1016, 2) = -0.22256461711187535e-13, (1016, 3) = 0.21591395382718716e-11, (1017, 1) = 0.14913330831750147e-12, (1017, 2) = -0.19961343791823108e-13, (1017, 3) = 0.2203404600184188e-11, (1018, 1) = 0.1526305818861497e-12, (1018, 2) = -0.18739246426941642e-13, (1018, 3) = 0.22480064277679186e-11, (1019, 1) = 0.15626273026283978e-12, (1019, 2) = -0.18531407344334803e-13, (1019, 3) = 0.22972665110590768e-11, (1020, 1) = 0.1457897108235802e-12, (1020, 2) = -0.1986940282175912e-13, (1020, 3) = 0.23473171619952596e-11, (1021, 1) = 0.15875305364197047e-12, (1021, 2) = -0.19553679282109556e-13, (1021, 3) = 0.239716599559903e-11, (1022, 1) = 0.15762162040379609e-12, (1022, 2) = -0.1801299282632144e-13, (1022, 3) = 0.24094306406014743e-11, (1023, 1) = 0.15547829512963652e-12, (1023, 2) = -0.19220669217694758e-13, (1023, 3) = 0.2374174130527911e-11, (1024, 1) = 0.14247807691727505e-12, (1024, 2) = -0.18063222441712356e-13, (1024, 3) = 0.23391206043449546e-11, (1025, 1) = 0.15439913829431223e-12, (1025, 2) = -0.20811909429609306e-13, (1025, 3) = 0.2306470035588555e-11, (1026, 1) = 0.14264380575062125e-12, (1026, 2) = -0.173143363938574e-13, (1026, 3) = 0.2271955936878302e-11, (1027, 1) = 0.15056621887731624e-12, (1027, 2) = -0.1679228323342859e-13, (1027, 3) = 0.22402726654051044e-11, (1028, 1) = 0.15524517914204874e-12, (1028, 2) = -0.17596470929276512e-13, (1028, 3) = 0.22085376691054274e-11, (1029, 1) = 0.14255222774105085e-12, (1029, 2) = -0.18463945103830835e-13, (1029, 3) = 0.2176752634715621e-11, (1030, 1) = 0.15455688889168796e-12, (1030, 2) = -0.20052307543363225e-13, (1030, 3) = 0.21481134098429636e-11, (1031, 1) = 0.1602284853336316e-12, (1031, 2) = -0.13071960405656153e-13, (1031, 3) = 0.2116452321942526e-11, (1032, 1) = 0.1465688519329124e-12, (1032, 2) = -0.16026920434840157e-13, (1032, 3) = 0.20877027908165892e-11, (1033, 1) = 0.15643779579316085e-12, (1033, 2) = -0.17893426074198832e-13, (1033, 3) = 0.20573694949709134e-11, (1034, 1) = 0.1415383785355175e-12, (1034, 2) = -0.16070532522403792e-13, (1034, 3) = 0.20290951944485748e-11, (1035, 1) = 0.15075676731087702e-12, (1035, 2) = -0.16337429404577964e-13, (1035, 3) = 0.20035221265074288e-11, (1036, 1) = 0.15220444073355338e-12, (1036, 2) = -0.20628940820341742e-13, (1036, 3) = 0.197415863586637e-11, (1037, 1) = 0.15331774633514437e-12, (1037, 2) = -0.18413513789103738e-13, (1037, 3) = 0.19489546693409145e-11, (1038, 1) = 0.13757384445993916e-12, (1038, 2) = -0.18532479597104943e-13, (1038, 3) = 0.19235708064072987e-11, (1039, 1) = 0.14039610228479347e-12, (1039, 2) = -0.15043306133479944e-13, (1039, 3) = 0.189711800956803e-11, (1040, 1) = 0.1426971937807833e-12, (1040, 2) = -0.18115533702827365e-13, (1040, 3) = 0.1874259391189784e-11, (1041, 1) = 0.15058991150674058e-12, (1041, 2) = -0.14078408282101184e-13, (1041, 3) = 0.18484631537011342e-11, (1042, 1) = 0.15320145213724154e-12, (1042, 2) = -0.16384610135664072e-13, (1042, 3) = 0.18240556191136928e-11, (1043, 1) = 0.1402157948973841e-12, (1043, 2) = -0.16376660570591354e-13, (1043, 3) = 0.1800443969236986e-11, (1044, 1) = 0.14676264629434207e-12, (1044, 2) = -0.14256547094167526e-13, (1044, 3) = 0.17763884896805574e-11, (1045, 1) = 0.12735138647520145e-12, (1045, 2) = -0.16992031321093972e-13, (1045, 3) = 0.17536760648759347e-11, (1046, 1) = 0.15517392721713732e-12, (1046, 2) = -0.18273762799951e-13, (1046, 3) = 0.17322093510856283e-11, (1047, 1) = 0.1426355499376708e-12, (1047, 2) = -0.13825593874948568e-13, (1047, 3) = 0.17083245878495403e-11, (1048, 1) = 0.14046922502194675e-12, (1048, 2) = -0.1827361441544095e-13, (1048, 3) = 0.16885393361533261e-11, (1049, 1) = 0.13762506497094267e-12, (1049, 2) = -0.15674454170477402e-13, (1049, 3) = 0.16661267359291776e-11, (1050, 1) = 0.1443473379375501e-12, (1050, 2) = -0.11882989825820888e-13, (1050, 3) = 0.1645072570371396e-11, (1051, 1) = 0.147885589521612e-12, (1051, 2) = -0.13702147322516466e-13, (1051, 3) = 0.16246418462716697e-11, (1052, 1) = 0.148048596974682e-12, (1052, 2) = -0.1585730514994777e-13, (1052, 3) = 0.16073939967894674e-11, (1053, 1) = 0.14245140031613982e-12, (1053, 2) = -0.15693562032856486e-13, (1053, 3) = 0.15869725323201955e-11, (1054, 1) = 0.14348649564665052e-12, (1054, 2) = -0.13930217885854295e-13, (1054, 3) = 0.15673784058037613e-11, (1055, 1) = 0.1342039584719775e-12, (1055, 2) = -0.15329257904589666e-13, (1055, 3) = 0.1549671646104463e-11, (1056, 1) = 0.14629854378840476e-12, (1056, 2) = -0.1514800428843219e-13, (1056, 3) = 0.15311754690082281e-11, (1057, 1) = 0.1279543763571497e-12, (1057, 2) = -0.14568646476856615e-13, (1057, 3) = 0.15104979180612545e-11, (1058, 1) = 0.14083408680395334e-12, (1058, 2) = -0.1547945067594724e-13, (1058, 3) = 0.14934331005911104e-11, (1059, 1) = 0.15448445691136143e-12, (1059, 2) = -0.17139878551645243e-13, (1059, 3) = 0.14755260185733333e-11, (1060, 1) = 0.13785473070760678e-12, (1060, 2) = -0.11594715228893677e-13, (1060, 3) = 0.14603601876525217e-11, (1061, 1) = 0.14946677827212935e-12, (1061, 2) = -0.1499433107511309e-13, (1061, 3) = 0.14429541845812288e-11, (1062, 1) = 0.1417701789688407e-12, (1062, 2) = -0.17138074002412175e-13, (1062, 3) = 0.14268767634814882e-11, (1063, 1) = 0.14549934978101134e-12, (1063, 2) = -0.15147909245039557e-13, (1063, 3) = 0.14081058749752064e-11, (1064, 1) = 0.14055746515408812e-12, (1064, 2) = -0.15044742634246667e-13, (1064, 3) = 0.13916159485139811e-11, (1065, 1) = 0.14297397673987336e-12, (1065, 2) = -0.1149364208937441e-13, (1065, 3) = 0.13775697917390856e-11, (1066, 1) = 0.1297312132890414e-12, (1066, 2) = -0.13250871304073209e-13, (1066, 3) = 0.13638161692367798e-11, (1067, 1) = 0.13046380164091843e-12, (1067, 2) = -0.13025086318628004e-13, (1067, 3) = 0.13464567045030907e-11, (1068, 1) = 0.1375131237814086e-12, (1068, 2) = -0.12610545317133435e-13, (1068, 3) = 0.13321937624439383e-11, (1069, 1) = 0.13929099136347836e-12, (1069, 2) = -0.13960522765097705e-13, (1069, 3) = 0.13164031942301714e-11, (1070, 1) = 0.14706533992286912e-12, (1070, 2) = -0.1502046950038882e-13, (1070, 3) = 0.13037100010631544e-11, (1071, 1) = 0.12715764661914193e-12, (1071, 2) = -0.13667041056435285e-13, (1071, 3) = 0.12886782775791378e-11, (1072, 1) = 0.131437322970151e-12, (1072, 2) = -0.12345789979023221e-13, (1072, 3) = 0.12738213170198256e-11, (1073, 1) = 0.12514059864755632e-12, (1073, 2) = -0.12647107211149352e-13, (1073, 3) = 0.12601403467941177e-11, (1074, 1) = 0.15429938243187035e-12, (1074, 2) = -0.1523791259080445e-13, (1074, 3) = 0.1247690637627054e-11, (1075, 1) = 0.16734356324421482e-12, (1075, 2) = -0.8635404896969497e-14, (1075, 3) = 0.12319846255202021e-11, (1076, 1) = 0.1217215410891797e-12, (1076, 2) = -0.9777748351354569e-14, (1076, 3) = 0.12199594620022593e-11, (1077, 1) = 0.145654129608391e-12, (1077, 2) = -0.11949597813784709e-13, (1077, 3) = 0.12062079865481625e-11, (1078, 1) = 0.17327228404064143e-12, (1078, 2) = -0.13964212026041779e-13, (1078, 3) = 0.11949288547126107e-11, (1079, 1) = 0.14684578331129053e-12, (1079, 2) = -0.13222902336674824e-13, (1079, 3) = 0.1182603357880828e-11, (1080, 1) = 0.11189850884600195e-12, (1080, 2) = -0.13035123923896942e-13, (1080, 3) = 0.11707365165223016e-11, (1081, 1) = 0.11846202322176885e-12, (1081, 2) = -0.13432539197020792e-13, (1081, 3) = 0.11570979712142413e-11, (1082, 1) = 0.12790244885540634e-12, (1082, 2) = -0.1190451389080896e-13, (1082, 3) = 0.11456898282436915e-11, (1083, 1) = 0.14043235998924228e-12, (1083, 2) = -0.12920824357242317e-13, (1083, 3) = 0.11342942940999524e-11, (1084, 1) = 0.14694439138263705e-12, (1084, 2) = -0.9826399229966837e-14, (1084, 3) = 0.1122386524249908e-11, (1085, 1) = 0.12341188227131524e-12, (1085, 2) = -0.14083791606550189e-13, (1085, 3) = 0.11121127226583732e-11, (1086, 1) = 0.15655574909552312e-12, (1086, 2) = -0.13751152162835047e-13, (1086, 3) = 0.11008203034989285e-11, (1087, 1) = 0.11261211313374839e-12, (1087, 2) = -0.13491753788282788e-13, (1087, 3) = 0.1088574719897329e-11, (1088, 1) = 0.14296149332742527e-12, (1088, 2) = -0.10232068918501383e-13, (1088, 3) = 0.10772829856378445e-11, (1089, 1) = 0.11876925229633146e-12, (1089, 2) = -0.13208710163439856e-13, (1089, 3) = 0.1069537677721361e-11, (1090, 1) = 0.13900145425162648e-12, (1090, 2) = -0.10668419639869683e-13, (1090, 3) = 0.1058315033879156e-11, (1091, 1) = 0.11753469794175733e-12, (1091, 2) = -0.10114903824179022e-13, (1091, 3) = 0.10460440990320866e-11, (1092, 1) = 0.11076860124330544e-12, (1092, 2) = -0.12331922167761762e-13, (1092, 3) = 0.10357642664348696e-11, (1093, 1) = 0.1229859658445204e-12, (1093, 2) = -0.11834901082549404e-13, (1093, 3) = 0.10272820325958047e-11, (1094, 1) = 0.11878616157139202e-12, (1094, 2) = -0.12422788848385647e-13, (1094, 3) = 0.1015482415665157e-11, (1095, 1) = 0.11894583058615328e-12, (1095, 2) = -0.11482097121075088e-13, (1095, 3) = 0.10055829872549285e-11, (1096, 1) = 0.1346272915345843e-12, (1096, 2) = -0.10156602214559156e-13, (1096, 3) = 0.9970686164746052e-12, (1097, 1) = 0.1183972585428566e-12, (1097, 2) = -0.9697313283721412e-14, (1097, 3) = 0.9875173840646185e-12, (1098, 1) = 0.13528716589695565e-12, (1098, 2) = -0.10126500254276786e-13, (1098, 3) = 0.9770500504516356e-12, (1099, 1) = 0.12815115201537722e-12, (1099, 2) = -0.11395686207237961e-13, (1099, 3) = 0.9567193989387964e-12, (1100, 1) = 0.13217173729688493e-12, (1100, 2) = -0.10331918531438143e-13, (1100, 3) = 0.9341924923684845e-12, (1101, 1) = 0.11572399520574694e-12, (1101, 2) = -0.11218866728493204e-13, (1101, 3) = 0.9103716599461633e-12, (1102, 1) = 0.13854620308119556e-12, (1102, 2) = -0.11686469693566644e-13, (1102, 3) = 0.8896619039483891e-12, (1103, 1) = 0.135912405294414e-12, (1103, 2) = -0.10434428895341054e-13, (1103, 3) = 0.8690027690462668e-12, (1104, 1) = 0.13297319409948882e-12, (1104, 2) = -0.11268319074968287e-13, (1104, 3) = 0.8500931738170806e-12, (1105, 1) = 0.1404953887192104e-12, (1105, 2) = -0.9909095636899468e-14, (1105, 3) = 0.8299961002811076e-12, (1106, 1) = 0.10446903768338924e-12, (1106, 2) = -0.10506281371061024e-13, (1106, 3) = 0.8125244719038056e-12, (1107, 1) = 0.11264667221732158e-12, (1107, 2) = -0.10632942104308809e-13, (1107, 3) = 0.7980305230982503e-12, (1108, 1) = 0.14735054786235145e-12, (1108, 2) = -0.11055994937069316e-13, (1108, 3) = 0.7815398409429922e-12, (1109, 1) = 0.12343019177903037e-12, (1109, 2) = -0.11131317723243215e-13, (1109, 3) = 0.7657251235885353e-12, (1110, 1) = 0.10963116876312133e-12, (1110, 2) = -0.9724195159037016e-14, (1110, 3) = 0.7497569458320327e-12, (1111, 1) = 0.11842970420637842e-12, (1111, 2) = -0.9123553276166405e-14, (1111, 3) = 0.7352437249177496e-12, (1112, 1) = 0.12861318610967013e-12, (1112, 2) = -0.9417723726957795e-14, (1112, 3) = 0.7240385129918265e-12, (1113, 1) = 0.14234766444205075e-12, (1113, 2) = -0.8900899003251283e-14, (1113, 3) = 0.7086160054192291e-12, (1114, 1) = 0.1024246717593123e-12, (1114, 2) = -0.9802616336682159e-14, (1114, 3) = 0.69575681908104e-12, (1115, 1) = 0.1380356676078837e-12, (1115, 2) = -0.9665494700332241e-14, (1115, 3) = 0.6824644224405411e-12, (1116, 1) = 0.1194901148921049e-12, (1116, 2) = -0.9237684655394607e-14, (1116, 3) = 0.6717521846354743e-12, (1117, 1) = 0.12480067607195238e-12, (1117, 2) = -0.83388253207417e-14, (1117, 3) = 0.6576747866159516e-12, (1118, 1) = 0.11577039913506746e-12, (1118, 2) = -0.9560511290071812e-14, (1118, 3) = 0.6491068827479687e-12, (1119, 1) = 0.12737316791355006e-12, (1119, 2) = -0.7917548505735016e-14, (1119, 3) = 0.636194916253716e-12, (1120, 1) = 0.1169220914162596e-12, (1120, 2) = -0.9801091707930989e-14, (1120, 3) = 0.6278063896723698e-12, (1121, 1) = 0.134860150904012e-12, (1121, 2) = -0.9259693323322157e-14, (1121, 3) = 0.6165794476726598e-12, (1122, 1) = 0.14188448499962043e-12, (1122, 2) = -0.9945019115138695e-14, (1122, 3) = 0.6072500232196251e-12, (1123, 1) = 0.1345635378650625e-12, (1123, 2) = -0.9926529124823986e-14, (1123, 3) = 0.5950008625807587e-12, (1124, 1) = 0.1357090590217938e-12, (1124, 2) = -0.8679599675361372e-14, (1124, 3) = 0.5878550044671446e-12, (1125, 1) = 0.13089065434679255e-12, (1125, 2) = -0.8942091014544176e-14, (1125, 3) = 0.5771605761662572e-12, (1126, 1) = 0.14166675416305528e-12, (1126, 2) = -0.9976589335034388e-14, (1126, 3) = 0.5695478662185398e-12, (1127, 1) = 0.11024126242079082e-12, (1127, 2) = -0.8997190914743206e-14, (1127, 3) = 0.5597030381403753e-12, (1128, 1) = 0.12238485955297157e-12, (1128, 2) = -0.9088688747403753e-14, (1128, 3) = 0.5514803790224549e-12, (1129, 1) = 0.1108993892457529e-12, (1129, 2) = -0.9875162928941462e-14, (1129, 3) = 0.5423533384773439e-12, (1130, 1) = 0.1270743465808407e-12, (1130, 2) = -0.10271027773342818e-13, (1130, 3) = 0.5358098219171436e-12, (1131, 1) = 0.11259476088942785e-12, (1131, 2) = -0.9592467168880675e-14, (1131, 3) = 0.5268192830083158e-12, (1132, 1) = 0.12372916274351449e-12, (1132, 2) = -0.9429194676692303e-14, (1132, 3) = 0.5207879956165612e-12, (1133, 1) = 0.11352513142318511e-12, (1133, 2) = -0.965706094198559e-14, (1133, 3) = 0.5118993632413883e-12, (1134, 1) = 0.12179294710068764e-12, (1134, 2) = -0.9600224505676621e-14, (1134, 3) = 0.5042919108013537e-12, (1135, 1) = 0.1198868528347211e-12, (1135, 2) = -0.9154204734728014e-14, (1135, 3) = 0.4965695872979093e-12, (1136, 1) = 0.13565578479487809e-12, (1136, 2) = -0.9975085040342942e-14, (1136, 3) = 0.4909157287557428e-12, (1137, 1) = 0.12220542903273174e-12, (1137, 2) = -0.8712468825766351e-14, (1137, 3) = 0.4837353188298736e-12, (1138, 1) = 0.1393772880728424e-12, (1138, 2) = -0.8252845749048984e-14, (1138, 3) = 0.4772075665235024e-12, (1139, 1) = 0.1164856047698965e-12, (1139, 2) = -0.9651811032355265e-14, (1139, 3) = 0.4695350743829549e-12, (1140, 1) = 0.15257040736106485e-12, (1140, 2) = -0.9934203887678116e-14, (1140, 3) = 0.464365875481302e-12, (1141, 1) = 0.11234092903604052e-12, (1141, 2) = -0.8048649788348366e-14, (1141, 3) = 0.4558552287050965e-12, (1142, 1) = 0.11060875789351124e-12, (1142, 2) = -0.8573223050843807e-14, (1142, 3) = 0.45065254875706173e-12, (1143, 1) = 0.12885386447155668e-12, (1143, 2) = -0.8598081269126105e-14, (1143, 3) = 0.4450742556435247e-12, (1144, 1) = 0.13598025642437627e-12, (1144, 2) = -0.7948831071032494e-14, (1144, 3) = 0.4396748707771895e-12, (1145, 1) = 0.13468695832104413e-12, (1145, 2) = -0.7418971083013875e-14, (1145, 3) = 0.43332714482482023e-12, (1146, 1) = 0.11373191847385472e-12, (1146, 2) = -0.7595601272107685e-14, (1146, 3) = 0.4261212835224412e-12, (1147, 1) = 0.11536113958117574e-12, (1147, 2) = -0.8547350320795473e-14, (1147, 3) = 0.42169132642495573e-12, (1148, 1) = 0.13449804861296757e-12, (1148, 2) = -0.817406068619478e-14, (1148, 3) = 0.41625812085352157e-12, (1149, 1) = 0.11702282460570296e-12, (1149, 2) = -0.7927839762726537e-14, (1149, 3) = 0.40897585747758376e-12, (1150, 1) = 0.11116559017899998e-12, (1150, 2) = -0.861849893395423e-14, (1150, 3) = 0.4063828804411373e-12, (1151, 1) = 0.11041492523218247e-12, (1151, 2) = -0.8789328549018667e-14, (1151, 3) = 0.400349935806949e-12, (1152, 1) = 0.14630309521519858e-12, (1152, 2) = -0.7838056996331187e-14, (1152, 3) = 0.3942033246971213e-12, (1153, 1) = 0.12022298123627147e-12, (1153, 2) = -0.8106994142278167e-14, (1153, 3) = 0.3891457523681907e-12, (1154, 1) = 0.1214186680652318e-12, (1154, 2) = -0.9499487158290983e-14, (1154, 3) = 0.3835736305831908e-12, (1155, 1) = 0.12549542458259146e-12, (1155, 2) = -0.7638786473805435e-14, (1155, 3) = 0.3794750966483156e-12, (1156, 1) = 0.11265388987025576e-12, (1156, 2) = -0.7445485661462085e-14, (1156, 3) = 0.3744672107864902e-12, (1157, 1) = 0.12146692383981869e-12, (1157, 2) = -0.8083473320168007e-14, (1157, 3) = 0.36836426504265293e-12, (1158, 1) = 0.11453006797696565e-12, (1158, 2) = -0.8165257170497147e-14, (1158, 3) = 0.36473209807471057e-12, (1159, 1) = 0.12336848871785924e-12, (1159, 2) = -0.7912112418658641e-14, (1159, 3) = 0.36061793637559826e-12, (1160, 1) = 0.11239273658518222e-12, (1160, 2) = -0.7918863983169583e-14, (1160, 3) = 0.35545677096780384e-12, (1161, 1) = 0.11732584469148753e-12, (1161, 2) = -0.7899180724038639e-14, (1161, 3) = 0.3512557498168869e-12, (1162, 1) = 0.10318728819842377e-12, (1162, 2) = -0.8319924571470344e-14, (1162, 3) = 0.34880129303493904e-12, (1163, 1) = 0.1307041741418855e-12, (1163, 2) = -0.8629176360223901e-14, (1163, 3) = 0.34284795121259617e-12, (1164, 1) = 0.968735951755426e-13, (1164, 2) = -0.67541816302219264e-14, (1164, 3) = 0.3391398501810636e-12, (1165, 1) = 0.11219415924489417e-12, (1165, 2) = -0.6804171677159364e-14, (1165, 3) = 0.3345636099491925e-12, (1166, 1) = 0.11884931853888172e-12, (1166, 2) = -0.8864308196633266e-14, (1166, 3) = 0.3293588775202092e-12, (1167, 1) = 0.14133901955498736e-12, (1167, 2) = -0.7503366037517363e-14, (1167, 3) = 0.32591035475641305e-12, (1168, 1) = 0.12639917816812164e-12, (1168, 2) = -0.911982625377077e-14, (1168, 3) = 0.32334233417050706e-12, (1169, 1) = 0.10858645571301642e-12, (1169, 2) = -0.7718384897980883e-14, (1169, 3) = 0.31691515720359143e-12, (1170, 1) = 0.12641141411649832e-12, (1170, 2) = -0.6403266692295214e-14, (1170, 3) = 0.31599073706366376e-12, (1171, 1) = 0.11746661265919818e-12, (1171, 2) = -0.757553011567167e-14, (1171, 3) = 0.3104723375872137e-12, (1172, 1) = 0.1335818577396177e-12, (1172, 2) = -0.702093640409697e-14, (1172, 3) = 0.3071629557769086e-12, (1173, 1) = 0.12839983828044768e-12, (1173, 2) = -0.8453391333967577e-14, (1173, 3) = 0.3031743710806367e-12, (1174, 1) = 0.1246982704411873e-12, (1174, 2) = -0.7264600507483362e-14, (1174, 3) = 0.30098914349587483e-12, (1175, 1) = 0.10890141044517226e-12, (1175, 2) = -0.7827929058431795e-14, (1175, 3) = 0.2962358855147932e-12, (1176, 1) = 0.10469794008859504e-12, (1176, 2) = -0.62131507408413875e-14, (1176, 3) = 0.2931470130545022e-12, (1177, 1) = 0.13737198906022847e-12, (1177, 2) = -0.8285135617816525e-14, (1177, 3) = 0.2884994532509166e-12, (1178, 1) = 0.11302319130049413e-12, (1178, 2) = -0.5771933492695286e-14, (1178, 3) = 0.28488265797608795e-12, (1179, 1) = 0.1173535772283874e-12, (1179, 2) = -0.7490570171379014e-14, (1179, 3) = 0.28321506528679e-12, (1180, 1) = 0.9848973243740047e-13, (1180, 2) = -0.7288344096542178e-14, (1180, 3) = 0.2801038033740732e-12, (1181, 1) = 0.14533227192783644e-12, (1181, 2) = -0.6803283717781671e-14, (1181, 3) = 0.27699857584116853e-12, (1182, 1) = 0.12799881579468394e-12, (1182, 2) = -0.81268338189572e-14, (1182, 3) = 0.2725344153461187e-12, (1183, 1) = 0.10988784804346308e-12, (1183, 2) = -0.6776845491678224e-14, (1183, 3) = 0.27041945869314803e-12, (1184, 1) = 0.10597312741967928e-12, (1184, 2) = -0.6351378343330916e-14, (1184, 3) = 0.26666787350315387e-12, (1185, 1) = 0.13320663920457607e-12, (1185, 2) = -0.6920966621742796e-14, (1185, 3) = 0.2633661186469023e-12, (1186, 1) = 0.988032554365166e-13, (1186, 2) = -0.6538218712327324e-14, (1186, 3) = 0.26169232804508165e-12, (1187, 1) = 0.11973163038075484e-12, (1187, 2) = -0.6483957163532673e-14, (1187, 3) = 0.25620920726453013e-12, (1188, 1) = 0.10368825878533915e-12, (1188, 2) = -0.7470422738681299e-14, (1188, 3) = 0.25434171969687874e-12, (1189, 1) = 0.10615184604977762e-12, (1189, 2) = -0.57235057766653064e-14, (1189, 3) = 0.25116154814511725e-12, (1190, 1) = 0.12092352076372676e-12, (1190, 2) = -0.63842485058488e-14, (1190, 3) = 0.24897275589764744e-12, (1191, 1) = 0.12819657236533934e-12, (1191, 2) = -0.67540830815654295e-14, (1191, 3) = 0.2462338601946106e-12, (1192, 1) = 0.13030066162238251e-12, (1192, 2) = -0.6382962331738742e-14, (1192, 3) = 0.2438556447733127e-12, (1193, 1) = 0.12602584664816086e-12, (1193, 2) = -0.552673499790739e-14, (1193, 3) = 0.2406648772624544e-12, (1194, 1) = 0.12781898639861257e-12, (1194, 2) = -0.60452561043463955e-14, (1194, 3) = 0.2379791489831791e-12, (1195, 1) = 0.12459701660254595e-12, (1195, 2) = -0.793274076897875e-14, (1195, 3) = 0.23447206101475656e-12, (1196, 1) = 0.11889096222120137e-12, (1196, 2) = -0.662458062171094e-14, (1196, 3) = 0.23230000350014285e-12, (1197, 1) = 0.10039753288928783e-12, (1197, 2) = -0.5459980019628436e-14, (1197, 3) = 0.22939526191606123e-12, (1198, 1) = 0.1272289831239504e-12, (1198, 2) = -0.5638771338578123e-14, (1198, 3) = 0.2279867056177133e-12, (1199, 1) = 0.13885900203601668e-12, (1199, 2) = -0.7577915889795369e-14, (1199, 3) = 0.22504023432407293e-12, (1200, 1) = 0.12941329396623526e-12, (1200, 2) = -0.7330822585642677e-14, (1200, 3) = 0.2232321992568766e-12, (1201, 1) = 0.11836298686279193e-12, (1201, 2) = -0.7891877916075871e-14, (1201, 3) = 0.21927548445307917e-12, (1202, 1) = 0.1342719882246745e-12, (1202, 2) = -0.6342836927020295e-14, (1202, 3) = 0.2187116227627425e-12, (1203, 1) = 0.11261314101425796e-12, (1203, 2) = -0.63684310767056804e-14, (1203, 3) = 0.2157455789983478e-12, (1204, 1) = 0.997347854818297e-13, (1204, 2) = -0.7279216877989036e-14, (1204, 3) = 0.2131895554390014e-12, (1205, 1) = 0.14816632726896688e-12, (1205, 2) = -0.5753451298864112e-14, (1205, 3) = 0.21156580390982227e-12, (1206, 1) = 0.13183766529232606e-12, (1206, 2) = -0.7210584854170899e-14, (1206, 3) = 0.20867125716587168e-12, (1207, 1) = 0.13201023615393866e-12, (1207, 2) = -0.6816973041275503e-14, (1207, 3) = 0.20538922937539205e-12, (1208, 1) = 0.1367908774760525e-12, (1208, 2) = -0.6082642673973244e-14, (1208, 3) = 0.20380998817747312e-12, (1209, 1) = 0.10756128082686848e-12, (1209, 2) = -0.59335559913058015e-14, (1209, 3) = 0.2012124585845626e-12, (1210, 1) = 0.11285129254451031e-12, (1210, 2) = -0.7227598195054976e-14, (1210, 3) = 0.2005830204899726e-12, (1211, 1) = 0.9993524510670105e-13, (1211, 2) = -0.6478390106911012e-14, (1211, 3) = 0.19738265178796465e-12, (1212, 1) = 0.11848348661306436e-12, (1212, 2) = -0.5724012923108459e-14, (1212, 3) = 0.19557196382619558e-12, (1213, 1) = 0.13341671574695805e-12, (1213, 2) = -0.5989614002481264e-14, (1213, 3) = 0.19286106387178053e-12, (1214, 1) = 0.11806343088517293e-12, (1214, 2) = -0.6136615782277183e-14, (1214, 3) = 0.19155608398836781e-12, (1215, 1) = 0.10308221123174073e-12, (1215, 2) = -0.4397381010529198e-14, (1215, 3) = 0.19025071474615938e-12, (1216, 1) = 0.1185177550886631e-12, (1216, 2) = -0.6962628794954077e-14, (1216, 3) = 0.1891733831871051e-12, (1217, 1) = 0.10403353266602009e-12, (1217, 2) = -0.5396057996299153e-14, (1217, 3) = 0.1837581171888265e-12, (1218, 1) = 0.9798306552301797e-13, (1218, 2) = -0.64765786032593156e-14, (1218, 3) = 0.18243828165861412e-12, (1219, 1) = 0.1093353811944083e-12, (1219, 2) = -0.8016013010420425e-14, (1219, 3) = 0.1815013499431597e-12, (1220, 1) = 0.12537681941710698e-12, (1220, 2) = -0.57737179634659265e-14, (1220, 3) = 0.18046390541207662e-12, (1221, 1) = 0.139752616763522e-12, (1221, 2) = -0.5401708288659307e-14, (1221, 3) = 0.1780511743821214e-12, (1222, 1) = 0.10077162720273131e-12, (1222, 2) = -0.6368298112777023e-14, (1222, 3) = 0.1769082597700704e-12, (1223, 1) = 0.1138230780481594e-12, (1223, 2) = -0.5720756911628584e-14, (1223, 3) = 0.1738919078773825e-12, (1224, 1) = 0.13546097738867763e-12, (1224, 2) = -0.5767526961302473e-14, (1224, 3) = 0.1741087978178428e-12, (1225, 1) = 0.10270255774056148e-12, (1225, 2) = -0.5865371468612835e-14, (1225, 3) = 0.17013504515574116e-12, (1226, 1) = 0.12120996056985053e-12, (1226, 2) = -0.60747650794820466e-14, (1226, 3) = 0.16873855127741172e-12, (1227, 1) = 0.13256093279858462e-12, (1227, 2) = -0.6527312902475173e-14, (1227, 3) = 0.16748620328597415e-12, (1228, 1) = 0.9115654880920063e-13, (1228, 2) = -0.5975967215709702e-14, (1228, 3) = 0.16548109196283796e-12, (1229, 1) = 0.11748935251258687e-12, (1229, 2) = -0.63629204818773355e-14, (1229, 3) = 0.16228422814971084e-12, (1230, 1) = 0.110591933072154e-12, (1230, 2) = -0.4753702063058533e-14, (1230, 3) = 0.16164470830056223e-12, (1231, 1) = 0.10886663705297129e-12, (1231, 2) = -0.5679275116681838e-14, (1231, 3) = 0.15941298557778885e-12, (1232, 1) = 0.1475064000294048e-12, (1232, 2) = -0.6896010578626353e-14, (1232, 3) = 0.159109181199629e-12, (1233, 1) = 0.12654712910462492e-12, (1233, 2) = -0.6769548724594826e-14, (1233, 3) = 0.15707924183580093e-12, (1234, 1) = 0.10370079715059866e-12, (1234, 2) = -0.4991870512048898e-14, (1234, 3) = 0.15576952105803235e-12, (1235, 1) = 0.10978414439411809e-12, (1235, 2) = -0.4288337418703772e-14, (1235, 3) = 0.15471221007303064e-12, (1236, 1) = 0.1122128139984301e-12, (1236, 2) = -0.6021413153265521e-14, (1236, 3) = 0.15277188086981455e-12, (1237, 1) = 0.1277420706143254e-12, (1237, 2) = -0.62473761232926384e-14, (1237, 3) = 0.15170903215303426e-12, (1238, 1) = 0.11812072861298014e-12, (1238, 2) = -0.7248049009876725e-14, (1238, 3) = 0.1478870804794771e-12, (1239, 1) = 0.11076425983521747e-12, (1239, 2) = -0.5312858947560127e-14, (1239, 3) = 0.14695560013569657e-12, (1240, 1) = 0.11071443221240838e-12, (1240, 2) = -0.57095756075567455e-14, (1240, 3) = 0.14499928688011121e-12, (1241, 1) = 0.10233464472489218e-12, (1241, 2) = -0.6132610653656126e-14, (1241, 3) = 0.14551000566110317e-12, (1242, 1) = 0.13225424514156318e-12, (1242, 2) = -0.58254100925087545e-14, (1242, 3) = 0.14343252821215135e-12, (1243, 1) = 0.10348737835397158e-12, (1243, 2) = -0.6632417315843153e-14, (1243, 3) = 0.14330819688345108e-12, (1244, 1) = 0.11496802594845828e-12, (1244, 2) = -0.46876212042065424e-14, (1244, 3) = 0.14068122348690424e-12, (1245, 1) = 0.11491873236998488e-12, (1245, 2) = -0.5352932034713846e-14, (1245, 3) = 0.14054254930830675e-12, (1246, 1) = 0.1037284311340364e-12, (1246, 2) = -0.5657303070152537e-14, (1246, 3) = 0.1372971315289607e-12, (1247, 1) = 0.9824075826459224e-13, (1247, 2) = -0.6125456168322193e-14, (1247, 3) = 0.13610391226324276e-12, (1248, 1) = 0.1192782708184413e-12, (1248, 2) = -0.67095981355377416e-14, (1248, 3) = 0.13428645578664688e-12, (1249, 1) = 0.13154680102250545e-12, (1249, 2) = -0.7116780771482026e-14, (1249, 3) = 0.13205638384086423e-12, (1250, 1) = 0.9170539041123706e-13, (1250, 2) = -0.4173323165269192e-14, (1250, 3) = 0.1327074757841744e-12, (1251, 1) = 0.12327779073901877e-12, (1251, 2) = -0.5142018685811038e-14, (1251, 3) = 0.13131915570183463e-12, (1252, 1) = 0.1187062930247655e-12, (1252, 2) = -0.5115345985052374e-14, (1252, 3) = 0.13047272965210214e-12, (1253, 1) = 0.13196083467666718e-12, (1253, 2) = -0.57471290895663365e-14, (1253, 3) = 0.12930970455662842e-12, (1254, 1) = 0.10066027393917351e-12, (1254, 2) = -0.5519890314594882e-14, (1254, 3) = 0.12732696674698784e-12, (1255, 1) = 0.12172009072250486e-12, (1255, 2) = -0.56523437472010465e-14, (1255, 3) = 0.1277866235690602e-12, (1256, 1) = 0.13237610508929214e-12, (1256, 2) = -0.54131603526418e-14, (1256, 3) = 0.1242353973527933e-12, (1257, 1) = 0.14082568285696441e-12, (1257, 2) = -0.48434374900167405e-14, (1257, 3) = 0.12330238476280465e-12, (1258, 1) = 0.9458526337309888e-13, (1258, 2) = -0.5508180537377837e-14, (1258, 3) = 0.12228532164498048e-12, (1259, 1) = 0.13167941408557802e-12, (1259, 2) = -0.5331207437520155e-14, (1259, 3) = 0.12186180948203596e-12, (1260, 1) = 0.1370921648119611e-12, (1260, 2) = -0.4830232079125127e-14, (1260, 3) = 0.11960186621263383e-12, (1261, 1) = 0.1280710015320115e-12, (1261, 2) = -0.54356927159466245e-14, (1261, 3) = 0.11824804093797266e-12, (1262, 1) = 0.10028416068990285e-12, (1262, 2) = -0.5764128169968954e-14, (1262, 3) = 0.11803186127107224e-12, (1263, 1) = 0.10687137420895627e-12, (1263, 2) = -0.4657587352362222e-14, (1263, 3) = 0.11600670707995815e-12, (1264, 1) = 0.12560607697624113e-12, (1264, 2) = -0.45773580203576225e-14, (1264, 3) = 0.115199694483443e-12, (1265, 1) = 0.11978904111151936e-12, (1265, 2) = -0.5045810753616972e-14, (1265, 3) = 0.11339075472692908e-12, (1266, 1) = 0.9579110224728494e-13, (1266, 2) = -0.538893542426573e-14, (1266, 3) = 0.11305932222984741e-12, (1267, 1) = 0.11741212835924581e-12, (1267, 2) = -0.5574821643104759e-14, (1267, 3) = 0.11208129145704391e-12, (1268, 1) = 0.11858956946021693e-12, (1268, 2) = -0.5617762516861301e-14, (1268, 3) = 0.10951412656550626e-12, (1269, 1) = 0.10955936457518723e-12, (1269, 2) = -0.5507768547629674e-14, (1269, 3) = 0.11013896104199975e-12, (1270, 1) = 0.1211585350543035e-12, (1270, 2) = -0.5096653137253938e-14, (1270, 3) = 0.10980415548868604e-12, (1271, 1) = 0.11396408187921064e-12, (1271, 2) = -0.5497483627549363e-14, (1271, 3) = 0.10746978006689247e-12, (1272, 1) = 0.10542910302928903e-12, (1272, 2) = -0.4809847792237548e-14, (1272, 3) = 0.10617990872284125e-12, (1273, 1) = 0.1319400963064527e-12, (1273, 2) = -0.4899947270910257e-14, (1273, 3) = 0.1048816438370885e-12, (1274, 1) = 0.1092417276823203e-12, (1274, 2) = -0.5155224333599101e-14, (1274, 3) = 0.10414814828667496e-12, (1275, 1) = 0.1315077925262191e-12, (1275, 2) = -0.50014403243621975e-14, (1275, 3) = 0.10206155836836571e-12, (1276, 1) = 0.1373742787119702e-12, (1276, 2) = -0.4830965443806425e-14, (1276, 3) = 0.10279454580249388e-12, (1277, 1) = 0.10215319571682459e-12, (1277, 2) = -0.5825314371595773e-14, (1277, 3) = 0.10150929703435553e-12, (1278, 1) = 0.1103084086680754e-12, (1278, 2) = -0.5264495434872547e-14, (1278, 3) = 0.9980619082445427e-13, (1279, 1) = 0.11557259977879968e-12, (1279, 2) = -0.5091038203189627e-14, (1279, 3) = 0.9979806883972639e-13, (1280, 1) = 0.13362890106170818e-12, (1280, 2) = -0.5208541897572978e-14, (1280, 3) = 0.9712362290087774e-13, (1281, 1) = 0.10287908970063269e-12, (1281, 2) = -0.53616887777769466e-14, (1281, 3) = 0.971857926666126e-13, (1282, 1) = 0.14935339755560145e-12, (1282, 2) = -0.45478847598668915e-14, (1282, 3) = 0.9554158070344168e-13, (1283, 1) = 0.11449752336152033e-12, (1283, 2) = -0.4435993532576835e-14, (1283, 3) = 0.9544553013817757e-13, (1284, 1) = 0.9631504878997537e-13, (1284, 2) = -0.4838510197462369e-14, (1284, 3) = 0.9409437403733068e-13, (1285, 1) = 0.12286556641724665e-12, (1285, 2) = -0.4695298858155496e-14, (1285, 3) = 0.9320808624206344e-13, (1286, 1) = 0.10324059027226967e-12, (1286, 2) = -0.52232823352643515e-14, (1286, 3) = 0.9252943222867568e-13, (1287, 1) = 0.10042759376477483e-12, (1287, 2) = -0.4060821121504661e-14, (1287, 3) = 0.9274464762443928e-13, (1288, 1) = 0.11815472321036757e-12, (1288, 2) = -0.5371704648709243e-14, (1288, 3) = 0.9177311874044492e-13, (1289, 1) = 0.11964803122120037e-12, (1289, 2) = -0.4572959213080355e-14, (1289, 3) = 0.8918034017187942e-13, (1290, 1) = 0.11068904006578781e-12, (1290, 2) = -0.4909313084296348e-14, (1290, 3) = 0.8964010028255932e-13, (1291, 1) = 0.12013883722267603e-12, (1291, 2) = -0.52205210769833475e-14, (1291, 3) = 0.8757284233398513e-13, (1292, 1) = 0.12235172821203028e-12, (1292, 2) = -0.4982797321819795e-14, (1292, 3) = 0.8781273000057633e-13, (1293, 1) = 0.1316735648241137e-12, (1293, 2) = -0.5498032416731088e-14, (1293, 3) = 0.8628903928562872e-13, (1294, 1) = 0.10537946157907639e-12, (1294, 2) = -0.5304637788676397e-14, (1294, 3) = 0.8412182918785995e-13, (1295, 1) = 0.11358114038799885e-12, (1295, 2) = -0.5485289500468527e-14, (1295, 3) = 0.8493345253698028e-13, (1296, 1) = 0.11729143735958866e-12, (1296, 2) = -0.4673482564320985e-14, (1296, 3) = 0.8257069444988298e-13, (1297, 1) = 0.11778823867229e-12, (1297, 2) = -0.4282349015900078e-14, (1297, 3) = 0.8208362453678696e-13, (1298, 1) = 0.12172894595631571e-12, (1298, 2) = -0.4808640780728327e-14, (1298, 3) = 0.8056656056731763e-13, (1299, 1) = 0.13499783426210132e-12, (1299, 2) = -0.4180224697969877e-14, (1299, 3) = 0.808135713945044e-13, (1300, 1) = 0.13365127405646712e-12, (1300, 2) = -0.4968650497550104e-14, (1300, 3) = 0.7804296460852182e-13, (1301, 1) = 0.10197312577926124e-12, (1301, 2) = -0.44570198757145565e-14, (1301, 3) = 0.7909404797878668e-13, (1302, 1) = 0.11148257115327944e-12, (1302, 2) = -0.5012952749063242e-14, (1302, 3) = 0.7826553148400486e-13, (1303, 1) = 0.13048397578051227e-12, (1303, 2) = -0.5288870696323963e-14, (1303, 3) = 0.7670609327839895e-13, (1304, 1) = 0.1278982479829805e-12, (1304, 2) = -0.4695867595913507e-14, (1304, 3) = 0.7742696478258711e-13, (1305, 1) = 0.11655337269970853e-12, (1305, 2) = -0.4466737538784529e-14, (1305, 3) = 0.7678109979305884e-13, (1306, 1) = 0.12563635097971016e-12, (1306, 2) = -0.432376548479022e-14, (1306, 3) = 0.7593675560907804e-13, (1307, 1) = 0.1382110695087127e-12, (1307, 2) = -0.5369624659337211e-14, (1307, 3) = 0.7435311690210568e-13, (1308, 1) = 0.14274219854766253e-12, (1308, 2) = -0.476648060552439e-14, (1308, 3) = 0.7349223562246805e-13, (1309, 1) = 0.12406305348051656e-12, (1309, 2) = -0.4450946177075523e-14, (1309, 3) = 0.7190998194193562e-13, (1310, 1) = 0.10642435881336371e-12, (1310, 2) = -0.5333855284050253e-14, (1310, 3) = 0.7230186122720284e-13, (1311, 1) = 0.12395650880856315e-12, (1311, 2) = -0.43356545463057866e-14, (1311, 3) = 0.7012481193635028e-13, (1312, 1) = 0.10448588290066389e-12, (1312, 2) = -0.491941242726546e-14, (1312, 3) = 0.7126723970626875e-13, (1313, 1) = 0.11791832640215975e-12, (1313, 2) = -0.4141103385533242e-14, (1313, 3) = 0.7000317203354533e-13, (1314, 1) = 0.1157657827119203e-12, (1314, 2) = -0.40322960237443405e-14, (1314, 3) = 0.6909426702860478e-13, (1315, 1) = 0.11541688111454432e-12, (1315, 2) = -0.5167350179349457e-14, (1315, 3) = 0.6802807826536365e-13, (1316, 1) = 0.12945458458571175e-12, (1316, 2) = -0.4522994674733743e-14, (1316, 3) = 0.6775176903378259e-13, (1317, 1) = 0.10698658551663442e-12, (1317, 2) = -0.4307657500372506e-14, (1317, 3) = 0.6719202254864283e-13, (1318, 1) = 0.9189233450575107e-13, (1318, 2) = -0.4368583038548418e-14, (1318, 3) = 0.64624844693045e-13, (1319, 1) = 0.12161448957022463e-12, (1319, 2) = -0.4886475337811807e-14, (1319, 3) = 0.6447570611338053e-13, (1320, 1) = 0.8908009094383669e-13, (1320, 2) = -0.5296200608690303e-14, (1320, 3) = 0.6542588873580153e-13, (1321, 1) = 0.10378218518590642e-12, (1321, 2) = -0.4768200421247772e-14, (1321, 3) = 0.6373823607823744e-13, (1322, 1) = 0.1152187193698184e-12, (1322, 2) = -0.4204956312583045e-14, (1322, 3) = 0.6333604065415882e-13, (1323, 1) = 0.12102135117099732e-12, (1323, 2) = -0.441197711471452e-14, (1323, 3) = 0.6228367836983981e-13, (1324, 1) = 0.12444272678097073e-12, (1324, 2) = -0.41380147069826476e-14, (1324, 3) = 0.6120569456881197e-13, (1325, 1) = 0.11698320275795206e-12, (1325, 2) = -0.4029318852689777e-14, (1325, 3) = 0.6016126851096729e-13, (1326, 1) = 0.9659021620338814e-13, (1326, 2) = -0.4007140345840145e-14, (1326, 3) = 0.6129721146781599e-13, (1327, 1) = 0.9390810171359672e-13, (1327, 2) = -0.4128698345947494e-14, (1327, 3) = 0.6003588685328384e-13, (1328, 1) = 0.1033060352745232e-12, (1328, 2) = -0.48183750890822464e-14, (1328, 3) = 0.58579059536169e-13, (1329, 1) = 0.10370533594057414e-12, (1329, 2) = -0.4268465168898116e-14, (1329, 3) = 0.5816839297974163e-13, (1330, 1) = 0.12888202232427823e-12, (1330, 2) = -0.4615875792779952e-14, (1330, 3) = 0.5802053907768592e-13, (1331, 1) = 0.10409802630028443e-12, (1331, 2) = -0.4261577222692742e-14, (1331, 3) = 0.5687411510172341e-13, (1332, 1) = 0.10592613375168826e-12, (1332, 2) = -0.4672003610537084e-14, (1332, 3) = 0.5660196963678369e-13, (1333, 1) = 0.1207206855027848e-12, (1333, 2) = -0.39383651426571575e-14, (1333, 3) = 0.5716796813536515e-13, (1334, 1) = 0.13789327413058668e-12, (1334, 2) = -0.3761921012148203e-14, (1334, 3) = 0.5504736234368765e-13, (1335, 1) = 0.1174027902544967e-12, (1335, 2) = -0.46286419437913506e-14, (1335, 3) = 0.55042071657102893e-13, (1336, 1) = 0.1097319171614309e-12, (1336, 2) = -0.3514202188689882e-14, (1336, 3) = 0.5530818819220279e-13, (1337, 1) = 0.11146251452481625e-12, (1337, 2) = -0.410135066249845e-14, (1337, 3) = 0.5366051340233337e-13, (1338, 1) = 0.11208047455751789e-12, (1338, 2) = -0.297854248006965e-14, (1338, 3) = 0.533208189945097e-13, (1339, 1) = 0.11295176529554263e-12, (1339, 2) = -0.3719585845434827e-14, (1339, 3) = 0.5224586754734669e-13, (1340, 1) = 0.12447472757650504e-12, (1340, 2) = -0.36556570549664494e-14, (1340, 3) = 0.5176182248680105e-13, (1341, 1) = 0.1162510102041284e-12, (1341, 2) = -0.4089368293798262e-14, (1341, 3) = 0.5042398948299538e-13, (1342, 1) = 0.11250603405777613e-12, (1342, 2) = -0.4262917322716516e-14, (1342, 3) = 0.5107192496158752e-13, (1343, 1) = 0.11380074881806892e-12, (1343, 2) = -0.4367463755405135e-14, (1343, 3) = 0.48167376882524327e-13, (1344, 1) = 0.10531207798122839e-12, (1344, 2) = -0.38780436558420454e-14, (1344, 3) = 0.49842553907250676e-13, (1345, 1) = 0.1168971554108207e-12, (1345, 2) = -0.36372297424469615e-14, (1345, 3) = 0.47783109477245577e-13, (1346, 1) = 0.10195793911963952e-12, (1346, 2) = -0.43971673328279765e-14, (1346, 3) = 0.4835673252574505e-13, (1347, 1) = 0.10307908533449984e-12, (1347, 2) = -0.4105190246749532e-14, (1347, 3) = 0.4674906669126382e-13, (1348, 1) = 0.12937527655833247e-12, (1348, 2) = -0.4511951552368405e-14, (1348, 3) = 0.46375048889624376e-13, (1349, 1) = 0.10337423262840366e-12, (1349, 2) = -0.3594476730920352e-14, (1349, 3) = 0.45613562654667824e-13, (1350, 1) = 0.1197205266975918e-12, (1350, 2) = -0.38709673003836345e-14, (1350, 3) = 0.467992464044686e-13, (1351, 1) = 0.12010607754619434e-12, (1351, 2) = -0.33478189708013374e-14, (1351, 3) = 0.46695636988376313e-13, (1352, 1) = 0.9570849278342388e-13, (1352, 2) = -0.37729030586956056e-14, (1352, 3) = 0.4582021722594364e-13, (1353, 1) = 0.9568712613307396e-13, (1353, 2) = -0.4147462434862836e-14, (1353, 3) = 0.44434517293919376e-13, (1354, 1) = 0.10561965705661723e-12, (1354, 2) = -0.41126293717701795e-14, (1354, 3) = 0.4354275000186987e-13, (1355, 1) = 0.13562769814971502e-12, (1355, 2) = -0.3856440109840363e-14, (1355, 3) = 0.4316087182030382e-13, (1356, 1) = 0.12152371491332101e-12, (1356, 2) = -0.3609929239853172e-14, (1356, 3) = 0.423597932218391e-13, (1357, 1) = 0.11255210555659657e-12, (1357, 2) = -0.3996112906546424e-14, (1357, 3) = 0.4266132256136749e-13, (1358, 1) = 0.11909709592473516e-12, (1358, 2) = -0.39919527917242346e-14, (1358, 3) = 0.41635502493764274e-13, (1359, 1) = 0.9957857648651312e-13, (1359, 2) = -0.37304003669583196e-14, (1359, 3) = 0.40838167415912525e-13, (1360, 1) = 0.1263100073329224e-12, (1360, 2) = -0.31829340518195837e-14, (1360, 3) = 0.4074279803567293e-13, (1361, 1) = 0.12423061747492097e-12, (1361, 2) = -0.37847770912983385e-14, (1361, 3) = 0.41596960488440306e-13, (1362, 1) = 0.790880424828441e-13, (1362, 2) = -0.34601894191751422e-14, (1362, 3) = 0.4032349950569215e-13, (1363, 1) = 0.11977734618049312e-12, (1363, 2) = -0.44020720505529976e-14, (1363, 3) = 0.3984479081715186e-13, (1364, 1) = 0.13303670953855035e-12, (1364, 2) = -0.32782943482667963e-14, (1364, 3) = 0.4067887618539772e-13, (1365, 1) = 0.12853032052710494e-12, (1365, 2) = -0.3668702291722987e-14, (1365, 3) = 0.3851596012791618e-13, (1366, 1) = 0.10584364606966747e-12, (1366, 2) = -0.34819159641598824e-14, (1366, 3) = 0.39569693034644134e-13, (1367, 1) = 0.12303755859582664e-12, (1367, 2) = -0.4278710016062363e-14, (1367, 3) = 0.3697560531232818e-13, (1368, 1) = 0.14425909638727213e-12, (1368, 2) = -0.3792936002853793e-14, (1368, 3) = 0.36859682193160633e-13, (1369, 1) = 0.11202309846643562e-12, (1369, 2) = -0.3295453344210862e-14, (1369, 3) = 0.36664352537067325e-13, (1370, 1) = 0.12156611325802238e-12, (1370, 2) = -0.4124940282309982e-14, (1370, 3) = 0.3627939158911803e-13, (1371, 1) = 0.10277101823843255e-12, (1371, 2) = -0.40452780178793846e-14, (1371, 3) = 0.35826586073880086e-13, (1372, 1) = 0.11010962256586172e-12, (1372, 2) = -0.3225081948467178e-14, (1372, 3) = 0.35399512793740634e-13, (1373, 1) = 0.10330321754980303e-12, (1373, 2) = -0.3542619272365754e-14, (1373, 3) = 0.3560436452618478e-13, (1374, 1) = 0.10873326355446408e-12, (1374, 2) = -0.30469102327969667e-14, (1374, 3) = 0.34919038182046574e-13, (1375, 1) = 0.10078507606221186e-12, (1375, 2) = -0.3667090984585451e-14, (1375, 3) = 0.3372176347964678e-13, (1376, 1) = 0.123277631588336e-12, (1376, 2) = -0.2933310854980605e-14, (1376, 3) = 0.34816277676419415e-13, (1377, 1) = 0.11515777554477663e-12, (1377, 2) = -0.4077305640926551e-14, (1377, 3) = 0.34486583812917423e-13, (1378, 1) = 0.10007625694226771e-12, (1378, 2) = -0.34866468564181504e-14, (1378, 3) = 0.341205604201401e-13, (1379, 1) = 0.11907858560936307e-12, (1379, 2) = -0.32932553197448594e-14, (1379, 3) = 0.32562868823245815e-13, (1380, 1) = 0.931426885450759e-13, (1380, 2) = -0.3663857812924358e-14, (1380, 3) = 0.32282345177893583e-13, (1381, 1) = 0.10782724455195003e-12, (1381, 2) = -0.34850608165861655e-14, (1381, 3) = 0.3269638143973384e-13, (1382, 1) = 0.12968028000569235e-12, (1382, 2) = -0.36439216418843126e-14, (1382, 3) = 0.31642883566838594e-13, (1383, 1) = 0.11235537163352882e-12, (1383, 2) = -0.41866938760554236e-14, (1383, 3) = 0.31923423882274166e-13, (1384, 1) = 0.11075701464917252e-12, (1384, 2) = -0.3369287571232632e-14, (1384, 3) = 0.30692680877614374e-13, (1385, 1) = 0.12691408142122055e-12, (1385, 2) = -0.36698367732199065e-14, (1385, 3) = 0.29477334305022685e-13, (1386, 1) = 0.12099117036543884e-12, (1386, 2) = -0.3397447421216174e-14, (1386, 3) = 0.294233362475952e-13, (1387, 1) = 0.1141601075146169e-12, (1387, 2) = -0.2885505291200113e-14, (1387, 3) = 0.3011652150826608e-13, (1388, 1) = 0.9583907137337459e-13, (1388, 2) = -0.3676022321599413e-14, (1388, 3) = 0.29882851427955936e-13, (1389, 1) = 0.1173330232574394e-12, (1389, 2) = -0.34464124077118363e-14, (1389, 3) = 0.2954716895623634e-13, (1390, 1) = 0.1115637170524611e-12, (1390, 2) = -0.3780685578650796e-14, (1390, 3) = 0.28517724805875386e-13, (1391, 1) = 0.10535585667500638e-12, (1391, 2) = -0.4736830572739439e-14, (1391, 3) = 0.2812204067945727e-13, (1392, 1) = 0.11545548001396413e-12, (1392, 2) = -0.41605951695351936e-14, (1392, 3) = 0.27381496720425904e-13, (1393, 1) = 0.12769187355708443e-12, (1393, 2) = -0.2749518457585725e-14, (1393, 3) = 0.27282165112448234e-13, (1394, 1) = 0.9974005060207566e-13, (1394, 2) = -0.2970309746095225e-14, (1394, 3) = 0.26960573915006413e-13, (1395, 1) = 0.10854844052173222e-12, (1395, 2) = -0.29502043970568875e-14, (1395, 3) = 0.26040233586574973e-13, (1396, 1) = 0.10818191957279678e-12, (1396, 2) = -0.3749012602531565e-14, (1396, 3) = 0.26842033738826928e-13, (1397, 1) = 0.11092872708756149e-12, (1397, 2) = -0.4108369878063056e-14, (1397, 3) = 0.26291522340606806e-13, (1398, 1) = 0.12456627893906363e-12, (1398, 2) = -0.3485262191608959e-14, (1398, 3) = 0.25487327171406006e-13, (1399, 1) = 0.14877223717945947e-12, (1399, 2) = -0.24559840512995878e-14, (1399, 3) = 0.25232118916215778e-13, (1400, 1) = 0.12130550240184689e-12, (1400, 2) = -0.35079619572344895e-14, (1400, 3) = 0.24428908491195076e-13, (1401, 1) = 0.1146779256463792e-12, (1401, 2) = -0.35318609776401624e-14, (1401, 3) = 0.2530510108740333e-13, (1402, 1) = 0.11674021416976053e-12, (1402, 2) = -0.3807698453518033e-14, (1402, 3) = 0.2568340413144391e-13, (1403, 1) = 0.11172212733654978e-12, (1403, 2) = -0.3772174713716539e-14, (1403, 3) = 0.24582701838100143e-13, (1404, 1) = 0.1212387710622961e-12, (1404, 2) = -0.3717316002826477e-14, (1404, 3) = 0.24010578108721757e-13, (1405, 1) = 0.12868322758846804e-12, (1405, 2) = -0.361244166014241e-14, (1405, 3) = 0.2292506599222825e-13, (1406, 1) = 0.13093826229385154e-12, (1406, 2) = -0.39328698913399256e-14, (1406, 3) = 0.22852004615877543e-13, (1407, 1) = 0.934173078522443e-13, (1407, 2) = -0.3098732354863447e-14, (1407, 3) = 0.23207017368665883e-13, (1408, 1) = 0.11144900255211822e-12, (1408, 2) = -0.3735302337972478e-14, (1408, 3) = 0.22737186940167587e-13, (1409, 1) = 0.8102371198926309e-13, (1409, 2) = -0.35308341134962275e-14, (1409, 3) = 0.23752697495492966e-13, (1410, 1) = 0.12586572293429174e-12, (1410, 2) = -0.31110357086206666e-14, (1410, 3) = 0.2164393076250874e-13, (1411, 1) = 0.1211485199879963e-12, (1411, 2) = -0.41862351524102786e-14, (1411, 3) = 0.22657712475416623e-13, (1412, 1) = 0.12682640856642562e-12, (1412, 2) = -0.22995984815872205e-14, (1412, 3) = 0.2198328193249268e-13, (1413, 1) = 0.140934948622339e-12, (1413, 2) = -0.3525637129790273e-14, (1413, 3) = 0.216512149242081e-13, (1414, 1) = 0.13346206776374424e-12, (1414, 2) = -0.35338581957505492e-14, (1414, 3) = 0.22378244738270955e-13, (1415, 1) = 0.11063883941742918e-12, (1415, 2) = -0.3377739210280903e-14, (1415, 3) = 0.222740604330888e-13, (1416, 1) = 0.10151339107765637e-12, (1416, 2) = -0.3321924495409944e-14, (1416, 3) = 0.2034417571202123e-13, (1417, 1) = 0.1171009113115555e-12, (1417, 2) = -0.27803801191761527e-14, (1417, 3) = 0.20842602894617398e-13, (1418, 1) = 0.9365669277552295e-13, (1418, 2) = -0.3200229679906589e-14, (1418, 3) = 0.19822443932389262e-13, (1419, 1) = 0.10579898730180025e-12, (1419, 2) = -0.3774117143331035e-14, (1419, 3) = 0.20543741500301217e-13, (1420, 1) = 0.9988295761370963e-13, (1420, 2) = -0.31492432268399187e-14, (1420, 3) = 0.19483493272478828e-13, (1421, 1) = 0.886826863856912e-13, (1421, 2) = -0.30358053579447617e-14, (1421, 3) = 0.1871483944366005e-13, (1422, 1) = 0.115899635497535e-12, (1422, 2) = -0.2825495216854065e-14, (1422, 3) = 0.19601810326100705e-13, (1423, 1) = 0.13438952094003814e-12, (1423, 2) = -0.24473787561404737e-14, (1423, 3) = 0.1927099519645945e-13, (1424, 1) = 0.11953029964910563e-12, (1424, 2) = -0.33809308054869857e-14, (1424, 3) = 0.19605522935579715e-13, (1425, 1) = 0.8800079648192924e-13, (1425, 2) = -0.28972504245118196e-14, (1425, 3) = 0.1897972598159599e-13, (1426, 1) = 0.1134153673776273e-12, (1426, 2) = -0.40196731181447225e-14, (1426, 3) = 0.18424729410195165e-13, (1427, 1) = 0.13874981183433323e-12, (1427, 2) = -0.3777706129872085e-14, (1427, 3) = 0.1904952223773494e-13, (1428, 1) = 0.11862920836906098e-12, (1428, 2) = -0.33275492805115257e-14, (1428, 3) = 0.18299896832928362e-13, (1429, 1) = 0.9593930853555567e-13, (1429, 2) = -0.24981903881377846e-14, (1429, 3) = 0.1822517437279634e-13, (1430, 1) = 0.12737178990626077e-12, (1430, 2) = -0.2967912331935535e-14, (1430, 3) = 0.168693666011836e-13, (1431, 1) = 0.12478682998046247e-12, (1431, 2) = -0.30681610091843107e-14, (1431, 3) = 0.17452078506435416e-13, (1432, 1) = 0.10746942127645457e-12, (1432, 2) = -0.3602378109330004e-14, (1432, 3) = 0.17902844668768205e-13, (1433, 1) = 0.12763233481558143e-12, (1433, 2) = -0.32556510249457163e-14, (1433, 3) = 0.17231565342961133e-13, (1434, 1) = 0.10445166707384042e-12, (1434, 2) = -0.32671721628187544e-14, (1434, 3) = 0.16700319784881067e-13, (1435, 1) = 0.946509897347577e-13, (1435, 2) = -0.34708077203281532e-14, (1435, 3) = 0.17366118200298613e-13, (1436, 1) = 0.9110947910415847e-13, (1436, 2) = -0.3553572949114033e-14, (1436, 3) = 0.1593956101808021e-13, (1437, 1) = 0.14157146370555045e-12, (1437, 2) = -0.2562493860051747e-14, (1437, 3) = 0.15640578584084072e-13, (1438, 1) = 0.1224799872798389e-12, (1438, 2) = -0.32385164029195903e-14, (1438, 3) = 0.1551735345041641e-13, (1439, 1) = 0.10519066302692197e-12, (1439, 2) = -0.36135314274448195e-14, (1439, 3) = 0.16198452545509907e-13, (1440, 1) = 0.10455224469237696e-12, (1440, 2) = -0.28550172985871384e-14, (1440, 3) = 0.15088562139596904e-13, (1441, 1) = 0.12362887587956272e-12, (1441, 2) = -0.28406160373667657e-14, (1441, 3) = 0.15144628507843327e-13, (1442, 1) = 0.1181768603074694e-12, (1442, 2) = -0.34348865444312127e-14, (1442, 3) = 0.14652150092737917e-13, (1443, 1) = 0.9490264155834608e-13, (1443, 2) = -0.32477565141791835e-14, (1443, 3) = 0.15382166305241657e-13, (1444, 1) = 0.9792969593133828e-13, (1444, 2) = -0.3036789273571558e-14, (1444, 3) = 0.15531850512209045e-13, (1445, 1) = 0.128605884085954e-12, (1445, 2) = -0.30434393531371256e-14, (1445, 3) = 0.1434139067065701e-13, (1446, 1) = 0.10705046774362864e-12, (1446, 2) = -0.27540231986083728e-14, (1446, 3) = 0.1472887843759191e-13, (1447, 1) = 0.14122071768736573e-12, (1447, 2) = -0.26766343701254157e-14, (1447, 3) = 0.14800907488169868e-13, (1448, 1) = 0.11409200624294036e-12, (1448, 2) = -0.3498010382681089e-14, (1448, 3) = 0.14293523944333192e-13, (1449, 1) = 0.10524732169366534e-12, (1449, 2) = -0.28376662701490704e-14, (1449, 3) = 0.14012615711319838e-13, (1450, 1) = 0.12789335039075258e-12, (1450, 2) = -0.22200510366585328e-14, (1450, 3) = 0.13748533509475299e-13, (1451, 1) = 0.12068627234845908e-12, (1451, 2) = -0.26188100112147867e-14, (1451, 3) = 0.12776490731279772e-13, (1452, 1) = 0.11037602076863884e-12, (1452, 2) = -0.2440189309426483e-14, (1452, 3) = 0.13533494531303213e-13, (1453, 1) = 0.10932170267015985e-12, (1453, 2) = -0.3011143480769458e-14, (1453, 3) = 0.12482982209105678e-13, (1454, 1) = 0.1254036141172599e-12, (1454, 2) = -0.26552330553081872e-14, (1454, 3) = 0.13335852165961694e-13, (1455, 1) = 0.14345412709888323e-12, (1455, 2) = -0.26861164535788448e-14, (1455, 3) = 0.11106313641958392e-13, (1456, 1) = 0.12129362066124372e-12, (1456, 2) = -0.34522996682660543e-14, (1456, 3) = 0.11790885259230182e-13, (1457, 1) = 0.10957791326535978e-12, (1457, 2) = -0.19547892937165214e-14, (1457, 3) = 0.11388526148396548e-13, (1458, 1) = 0.11421886415867466e-12, (1458, 2) = -0.3098880640340007e-14, (1458, 3) = 0.12319300712999462e-13, (1459, 1) = 0.10573259966136498e-12, (1459, 2) = -0.36337863160270465e-14, (1459, 3) = 0.12973050706484432e-13, (1460, 1) = 0.9932599537731597e-13, (1460, 2) = -0.30182225304455915e-14, (1460, 3) = 0.12692740531513346e-13, (1461, 1) = 0.10461677043541164e-12, (1461, 2) = -0.27868225989520883e-14, (1461, 3) = 0.9561798197073857e-14, (1462, 1) = 0.8845766323920221e-13, (1462, 2) = -0.23999561601381563e-14, (1462, 3) = 0.1108946485262708e-13, (1463, 1) = 0.1315950003846812e-12, (1463, 2) = -0.32284592638692355e-14, (1463, 3) = 0.12423698355345866e-13, (1464, 1) = 0.10359903871598473e-12, (1464, 2) = -0.25568236579140827e-14, (1464, 3) = 0.1055293160403647e-13, (1465, 1) = 0.1023907243379885e-12, (1465, 2) = -0.25589001563123117e-14, (1465, 3) = 0.1217392189481526e-13, (1466, 1) = 0.11228147011166894e-12, (1466, 2) = -0.30543436275546034e-14, (1466, 3) = 0.12229323131703697e-13, (1467, 1) = 0.10550355959710137e-12, (1467, 2) = -0.28973223038108165e-14, (1467, 3) = 0.10875821365602979e-13, (1468, 1) = 0.1366707177002343e-12, (1468, 2) = -0.24904255644041573e-14, (1468, 3) = 0.12495248941707124e-13, (1469, 1) = 0.10432288136837726e-12, (1469, 2) = -0.313465875987479e-14, (1469, 3) = 0.11163810082866375e-13, (1470, 1) = 0.9742313587026591e-13, (1470, 2) = -0.27047491578465282e-14, (1470, 3) = 0.11089338056412848e-13, (1471, 1) = 0.1275787155801863e-12, (1471, 2) = -0.2546926471688021e-14, (1471, 3) = 0.10080208045064031e-13, (1472, 1) = 0.13636786422258432e-12, (1472, 2) = -0.2981762432098624e-14, (1472, 3) = 0.10720038120297355e-13, (1473, 1) = 0.12163452187347498e-12, (1473, 2) = -0.282762417793119e-14, (1473, 3) = 0.1018661586630344e-13, (1474, 1) = 0.12228182900966778e-12, (1474, 2) = -0.21893106841610357e-14, (1474, 3) = 0.9962993786243992e-14, (1475, 1) = 0.9733610057880124e-13, (1475, 2) = -0.31929095709658305e-14, (1475, 3) = 0.9213887154916277e-14, (1476, 1) = 0.9835369770043619e-13, (1476, 2) = -0.2280093374158519e-14, (1476, 3) = 0.9176774983757373e-14, (1477, 1) = 0.1415058924733696e-12, (1477, 2) = -0.29778525757717974e-14, (1477, 3) = 0.10344903166910681e-13, (1478, 1) = 0.12926930150599816e-12, (1478, 2) = -0.29431400991058194e-14, (1478, 3) = 0.9717900674708063e-14, (1479, 1) = 0.9974217475372498e-13, (1479, 2) = -0.25505440823997065e-14, (1479, 3) = 0.955752057554349e-14, (1480, 1) = 0.1272871555506716e-12, (1480, 2) = -0.2307644326483785e-14, (1480, 3) = 0.9447547638125867e-14, (1481, 1) = 0.1217288970648606e-12, (1481, 2) = -0.2709938136898509e-14, (1481, 3) = 0.9267389676282344e-14, (1482, 1) = 0.10203324863203618e-12, (1482, 2) = -0.2789958371152883e-14, (1482, 3) = 0.10560942013094495e-13, (1483, 1) = 0.1108198798974125e-12, (1483, 2) = -0.2809090484132121e-14, (1483, 3) = 0.8628654018321865e-14, (1484, 1) = 0.10063575191479108e-12, (1484, 2) = -0.28313429975327368e-14, (1484, 3) = 0.10105597763377414e-13, (1485, 1) = 0.10596896862867353e-12, (1485, 2) = -0.29098092914550697e-14, (1485, 3) = 0.7732896432032358e-14, (1486, 1) = 0.10753119229472261e-12, (1486, 2) = -0.26325161438953028e-14, (1486, 3) = 0.9886310243999488e-14, (1487, 1) = 0.12261452949253408e-12, (1487, 2) = -0.24853183023070196e-14, (1487, 3) = 0.876270977086482e-14, (1488, 1) = 0.12829920324750446e-12, (1488, 2) = -0.2687373508326641e-14, (1488, 3) = 0.10549779694299294e-13, (1489, 1) = 0.1236030245359103e-12, (1489, 2) = -0.22372438967934446e-14, (1489, 3) = 0.8183238988185489e-14, (1490, 1) = 0.10023842644589693e-12, (1490, 2) = -0.26393498346399665e-14, (1490, 3) = 0.7877258690549415e-14, (1491, 1) = 0.11009889997112654e-12, (1491, 2) = -0.21868127738732933e-14, (1491, 3) = 0.7839944647218707e-14, (1492, 1) = 0.10835895132573513e-12, (1492, 2) = -0.25443571563691895e-14, (1492, 3) = 0.7906298385926474e-14, (1493, 1) = 0.11877921867963288e-12, (1493, 2) = -0.26231586750930474e-14, (1493, 3) = 0.7594346324566903e-14, (1494, 1) = 0.11931930706371244e-12, (1494, 2) = -0.23462008500147967e-14, (1494, 3) = 0.8048013384627951e-14, (1495, 1) = 0.10561771699652905e-12, (1495, 2) = -0.2934142206858225e-14, (1495, 3) = 0.7933990584807322e-14, (1496, 1) = 0.9924649477289371e-13, (1496, 2) = -0.23258588186380207e-14, (1496, 3) = 0.9283232013844482e-14, (1497, 1) = 0.12032418626887144e-12, (1497, 2) = -0.2399459323058239e-14, (1497, 3) = 0.9022399242751958e-14, (1498, 1) = 0.12234090866800994e-12, (1498, 2) = -0.2392157391499182e-14, (1498, 3) = 0.8041632973201837e-14, (1499, 1) = 0.10180390262191543e-12, (1499, 2) = -0.23999300790825208e-14, (1499, 3) = 0.66586586211444576e-14, (1500, 1) = 0.11769185628917164e-12, (1500, 2) = -0.2743775983712254e-14, (1500, 3) = 0.7021235864817025e-14, (1501, 1) = 0.11815780257024054e-12, (1501, 2) = -0.24837033417336906e-14, (1501, 3) = 0.7330588423520814e-14, (1502, 1) = 0.12138383096440193e-12, (1502, 2) = -0.27294891503545617e-14, (1502, 3) = 0.820346926127962e-14, (1503, 1) = 0.10840800914099995e-12, (1503, 2) = -0.2803178541102481e-14, (1503, 3) = 0.7533688817134918e-14, (1504, 1) = 0.10926075211185069e-12, (1504, 2) = -0.2740182539126411e-14, (1504, 3) = 0.5930786866688395e-14, (1505, 1) = 0.1002065222121167e-12, (1505, 2) = -0.26779755613569455e-14, (1505, 3) = 0.7467590775421183e-14, (1506, 1) = 0.12589711319049098e-12, (1506, 2) = -0.2614565032983743e-14, (1506, 3) = 0.6213239433678991e-14, (1507, 1) = 0.1218324261435584e-12, (1507, 2) = -0.24918783761728844e-14, (1507, 3) = 0.7059197955810092e-14, (1508, 1) = 0.1298589515828681e-12, (1508, 2) = -0.2300774437565949e-14, (1508, 3) = 0.6782444461194405e-14, (1509, 1) = 0.10092431969166896e-12, (1509, 2) = -0.2187315899620248e-14, (1509, 3) = 0.7285006366419843e-14, (1510, 1) = 0.11233458301612956e-12, (1510, 2) = -0.2557611400468147e-14, (1510, 3) = 0.6258371369061684e-14, (1511, 1) = 0.11702693044550196e-12, (1511, 2) = -0.2280549395506631e-14, (1511, 3) = 0.7310898640892258e-14, (1512, 1) = 0.1304207866299666e-12, (1512, 2) = -0.2308813820459624e-14, (1512, 3) = 0.807289422162689e-14, (1513, 1) = 0.1225960411341074e-12, (1513, 2) = -0.2471959179392779e-14, (1513, 3) = 0.60162742567175295e-14, (1514, 1) = 0.10000353794076977e-12, (1514, 2) = -0.23452548131994316e-14, (1514, 3) = 0.7614964274249166e-14, (1515, 1) = 0.1100896021414239e-12, (1515, 2) = -0.2005886406332043e-14, (1515, 3) = 0.6499438846131813e-14, (1516, 1) = 0.10639740352150202e-12, (1516, 2) = -0.24990159946839283e-14, (1516, 3) = 0.60155525712130464e-14, (1517, 1) = 0.13837365024425192e-12, (1517, 2) = -0.2242819442802821e-14, (1517, 3) = 0.65095078077633694e-14, (1518, 1) = 0.12775470030469107e-12, (1518, 2) = -0.23148723185924458e-14, (1518, 3) = 0.6351130110767559e-14, (1519, 1) = 0.13019294743390483e-12, (1519, 2) = -0.24449291992842446e-14, (1519, 3) = 0.6282693040819334e-14, (1520, 1) = 0.10937425041709805e-12, (1520, 2) = -0.23230197603751725e-14, (1520, 3) = 0.52722417368249086e-14, (1521, 1) = 0.11556077460803635e-12, (1521, 2) = -0.2392426019608409e-14, (1521, 3) = 0.6365935056546458e-14, (1522, 1) = 0.11610165688692185e-12, (1522, 2) = -0.23459988582568585e-14, (1522, 3) = 0.7080600346410399e-14, (1523, 1) = 0.1101103192412985e-12, (1523, 2) = -0.21801322096651394e-14, (1523, 3) = 0.6199061740719741e-14, (1524, 1) = 0.11696401742212613e-12, (1524, 2) = -0.24158496184539932e-14, (1524, 3) = 0.55908059197556714e-14, (1525, 1) = 0.9216371796706327e-13, (1525, 2) = -0.21290554266432907e-14, (1525, 3) = 0.5145772294886293e-14, (1526, 1) = 0.12232117246467754e-12, (1526, 2) = -0.25585703330562617e-14, (1526, 3) = 0.5968106009043442e-14, (1527, 1) = 0.9123451874770457e-13, (1527, 2) = -0.2355623634345935e-14, (1527, 3) = 0.6041600964261834e-14, (1528, 1) = 0.12629084150288177e-12, (1528, 2) = -0.23212869367696904e-14, (1528, 3) = 0.5530075492984273e-14, (1529, 1) = 0.11495158176265832e-12, (1529, 2) = -0.18384968862561063e-14, (1529, 3) = 0.5976498339962847e-14, (1530, 1) = 0.8278935592761132e-13, (1530, 2) = -0.26364062275102174e-14, (1530, 3) = 0.5752685434553109e-14, (1531, 1) = 0.14199550004986826e-12, (1531, 2) = -0.23633549843609926e-14, (1531, 3) = 0.608465012239522e-14, (1532, 1) = 0.8610714592630481e-13, (1532, 2) = -0.205663402689446e-14, (1532, 3) = 0.60651210861167565e-14, (1533, 1) = 0.10918229898337723e-12, (1533, 2) = -0.2187728497492509e-14, (1533, 3) = 0.6288194827797631e-14, (1534, 1) = 0.12316260524656973e-12, (1534, 2) = -0.22619738815138387e-14, (1534, 3) = 0.6470301081477064e-14, (1535, 1) = 0.11002926586382453e-12, (1535, 2) = -0.22560331074379805e-14, (1535, 3) = 0.5078308267973965e-14, (1536, 1) = 0.11366096370620613e-12, (1536, 2) = -0.27580291958235295e-14, (1536, 3) = 0.51255018795086704e-14, (1537, 1) = 0.12249681912667176e-12, (1537, 2) = -0.19878162746187363e-14, (1537, 3) = 0.58179303721472914e-14, (1538, 1) = 0.9210161857438813e-13, (1538, 2) = -0.2372502587112557e-14, (1538, 3) = 0.445432664771925e-14, (1539, 1) = 0.11555562898021886e-12, (1539, 2) = -0.2133602679248811e-14, (1539, 3) = 0.5479100207938616e-14, (1540, 1) = 0.11662729607748445e-12, (1540, 2) = -0.227942309979777e-14, (1540, 3) = 0.5753992673828809e-14, (1541, 1) = 0.10743101781011378e-12, (1541, 2) = -0.23121345709324556e-14, (1541, 3) = 0.34728202885082087e-14, (1542, 1) = 0.1200078075405605e-12, (1542, 2) = -0.2125454357636935e-14, (1542, 3) = 0.4603270669164185e-14, (1543, 1) = 0.12090178370491488e-12, (1543, 2) = -0.22915976237288434e-14, (1543, 3) = 0.5423471649811573e-14, (1544, 1) = 0.11941138766232146e-12, (1544, 2) = -0.25783822202757916e-14, (1544, 3) = 0.5765665722232413e-14, (1545, 1) = 0.11690239094452025e-12, (1545, 2) = -0.2495571913565036e-14, (1545, 3) = 0.51521923959434975e-14, (1546, 1) = 0.10440959707755623e-12, (1546, 2) = -0.22129913117531186e-14, (1546, 3) = 0.5085595309170722e-14, (1547, 1) = 0.8757875608135841e-13, (1547, 2) = -0.2155576167934665e-14, (1547, 3) = 0.52370645053123825e-14, (1548, 1) = 0.12042038600175796e-12, (1548, 2) = -0.2138794550912719e-14, (1548, 3) = 0.457861866468461e-14, (1549, 1) = 0.11685504030992025e-12, (1549, 2) = -0.24921080592334387e-14, (1549, 3) = 0.51111517225704385e-14, (1550, 1) = 0.14526270136327705e-12, (1550, 2) = -0.2236387745105719e-14, (1550, 3) = 0.51813204223258715e-14, (1551, 1) = 0.11227969903580828e-12, (1551, 2) = -0.1988789976628631e-14, (1551, 3) = 0.4742237774751014e-14, (1552, 1) = 0.9724414828281526e-13, (1552, 2) = -0.2169261968533866e-14, (1552, 3) = 0.4788549486291152e-14, (1553, 1) = 0.11339120876264401e-12, (1553, 2) = -0.25042274683396795e-14, (1553, 3) = 0.6783105884758702e-14, (1554, 1) = 0.1289493673916802e-12, (1554, 2) = -0.23341653500672542e-14, (1554, 3) = 0.4830831451212549e-14, (1555, 1) = 0.12343178609226682e-12, (1555, 2) = -0.19580622099628057e-14, (1555, 3) = 0.5519117818972963e-14, (1556, 1) = 0.12159525444182682e-12, (1556, 2) = -0.23969059488938573e-14, (1556, 3) = 0.5658398841098158e-14, (1557, 1) = 0.1147586030544425e-12, (1557, 2) = -0.22193612881900498e-14, (1557, 3) = 0.57388245266525685e-14, (1558, 1) = 0.12039450497400154e-12, (1558, 2) = -0.1810293670642987e-14, (1558, 3) = 0.4942446601113352e-14, (1559, 1) = 0.12163687813896258e-12, (1559, 2) = -0.23277858481545422e-14, (1559, 3) = 0.4612746487709045e-14, (1560, 1) = 0.11234703804932779e-12, (1560, 2) = -0.21539233385529205e-14, (1560, 3) = 0.52063307805524024e-14, (1561, 1) = 0.119271424085345e-12, (1561, 2) = -0.22072417952590836e-14, (1561, 3) = 0.4401571260172424e-14, (1562, 1) = 0.9998560365726812e-13, (1562, 2) = -0.19563861093211932e-14, (1562, 3) = 0.3815821068701053e-14, (1563, 1) = 0.11667424632235326e-12, (1563, 2) = -0.23825661910584153e-14, (1563, 3) = 0.3921959760535193e-14, (1564, 1) = 0.13421837471433827e-12, (1564, 2) = -0.20025148966169146e-14, (1564, 3) = 0.4773300270918555e-14, (1565, 1) = 0.12285725207621861e-12, (1565, 2) = -0.2409563783577115e-14, (1565, 3) = 0.5189693816782404e-14, (1566, 1) = 0.11750092125759942e-12, (1566, 2) = -0.22401939435041145e-14, (1566, 3) = 0.5111636196982522e-14, (1567, 1) = 0.10130459342295017e-12, (1567, 2) = -0.21090085831517847e-14, (1567, 3) = 0.3586938831671804e-14, (1568, 1) = 0.11822127406321438e-12, (1568, 2) = -0.25042182141526496e-14, (1568, 3) = 0.4599346140174519e-14, (1569, 1) = 0.9851984558866956e-13, (1569, 2) = -0.20502216801661417e-14, (1569, 3) = 0.41467201604352245e-14, (1570, 1) = 0.10808031405059441e-12, (1570, 2) = -0.1978683490203819e-14, (1570, 3) = 0.4824763546263055e-14, (1571, 1) = 0.13737391475711943e-12, (1571, 2) = -0.2040951706918353e-14, (1571, 3) = 0.41953703390792085e-14, (1572, 1) = 0.1273968998308279e-12, (1572, 2) = -0.17650190329802031e-14, (1572, 3) = 0.459125077672e-14, (1573, 1) = 0.11420151068338884e-12, (1573, 2) = -0.17165013484066685e-14, (1573, 3) = 0.4013284124341222e-14, (1574, 1) = 0.10261765669380055e-12, (1574, 2) = -0.21233444447821725e-14, (1574, 3) = 0.34230794548686232e-14, (1575, 1) = 0.11662918104752087e-12, (1575, 2) = -0.2102105060379908e-14, (1575, 3) = 0.5341290970013256e-14, (1576, 1) = 0.1239328483705093e-12, (1576, 2) = -0.2097108389939755e-14, (1576, 3) = 0.4591747551234622e-14, (1577, 1) = 0.10123654939284578e-12, (1577, 2) = -0.20964207760419962e-14, (1577, 3) = 0.4091845787652745e-14, (1578, 1) = 0.10626723953864601e-12, (1578, 2) = -0.22771746995075783e-14, (1578, 3) = 0.4661229627744957e-14, (1579, 1) = 0.13291815343049962e-12, (1579, 2) = -0.221517405682208e-14, (1579, 3) = 0.4074147596187347e-14, (1580, 1) = 0.10077334145988474e-12, (1580, 2) = -0.170621141185731e-14, (1580, 3) = 0.28166772118396437e-14, (1581, 1) = 0.10751956684787e-12, (1581, 2) = -0.18659683346929108e-14, (1581, 3) = 0.3858182672316684e-14, (1582, 1) = 0.13438619223172477e-12, (1582, 2) = -0.2408005806275142e-14, (1582, 3) = 0.43005621267149775e-14, (1583, 1) = 0.11448984120541312e-12, (1583, 2) = -0.1706703861331216e-14, (1583, 3) = 0.4247431364661017e-14, (1584, 1) = 0.1201684481018639e-12, (1584, 2) = -0.15819664485170293e-14, (1584, 3) = 0.34731680511862933e-14, (1585, 1) = 0.12170376867918254e-12, (1585, 2) = -0.20613681493698147e-14, (1585, 3) = 0.4490210809459942e-14, (1586, 1) = 0.12506803193451376e-12, (1586, 2) = -0.15822928226352133e-14, (1586, 3) = 0.42078565864622266e-14, (1587, 1) = 0.9320566502392742e-13, (1587, 2) = -0.16542848548913086e-14, (1587, 3) = 0.3433211213261469e-14, (1588, 1) = 0.10043357598816157e-12, (1588, 2) = -0.20385542345215815e-14, (1588, 3) = 0.3654195591534632e-14, (1589, 1) = 0.13164447208609212e-12, (1589, 2) = -0.1929182885437601e-14, (1589, 3) = 0.3630806957005351e-14, (1590, 1) = 0.9889676649624833e-13, (1590, 2) = -0.1844074339622109e-14, (1590, 3) = 0.35943432793222345e-14, (1591, 1) = 0.12460936425255562e-12, (1591, 2) = -0.19464481602550177e-14, (1591, 3) = 0.282223670195996e-14, (1592, 1) = 0.12194032712203987e-12, (1592, 2) = -0.19331282789690493e-14, (1592, 3) = 0.27435581817409382e-14, (1593, 1) = 0.10026240761887218e-12, (1593, 2) = -0.1827362689236682e-14, (1593, 3) = 0.3592679635547881e-14, (1594, 1) = 0.1156288941866266e-12, (1594, 2) = -0.16836549736794543e-14, (1594, 3) = 0.35106961835117886e-14, (1595, 1) = 0.11299400234894615e-12, (1595, 2) = -0.2110395420305853e-14, (1595, 3) = 0.4095201029657718e-14, (1596, 1) = 0.11185178014935918e-12, (1596, 2) = -0.16862094490552014e-14, (1596, 3) = 0.28811908960268378e-14, (1597, 1) = 0.1345015355796409e-12, (1597, 2) = -0.21897744699287517e-14, (1597, 3) = 0.28105460104292005e-14, (1598, 1) = 0.11214479074807693e-12, (1598, 2) = -0.18576031839499905e-14, (1598, 3) = 0.3607664668571192e-14, (1599, 1) = 0.11092411473371967e-12, (1599, 2) = -0.1985796040241088e-14, (1599, 3) = 0.3555353025805108e-14, (1600, 1) = 0.13209123565732145e-12, (1600, 2) = -0.20822231674068718e-14, (1600, 3) = 0.28525398187172672e-14, (1601, 1) = 0.978152795184426e-13, (1601, 2) = -0.18091284902575652e-14, (1601, 3) = 0.44503144796657726e-14, (1602, 1) = 0.10606697976320248e-12, (1602, 2) = -0.18271540141086935e-14, (1602, 3) = 0.3942497215879406e-14, (1603, 1) = 0.12347536654682594e-12, (1603, 2) = -0.1974865355751427e-14, (1603, 3) = 0.29960736950787566e-14, (1604, 1) = 0.11327946796504812e-12, (1604, 2) = -0.1947087714612084e-14, (1604, 3) = 0.3356402285891045e-14, (1605, 1) = 0.12958549268028652e-12, (1605, 2) = -0.1825416466963566e-14, (1605, 3) = 0.46086599069329895e-14, (1606, 1) = 0.12102158110600302e-12, (1606, 2) = -0.20173751253692245e-14, (1606, 3) = 0.3233699358984341e-14, (1607, 1) = 0.10089721988819424e-12, (1607, 2) = -0.17970529278807746e-14, (1607, 3) = 0.3229206529597692e-14, (1608, 1) = 0.12416605096745228e-12, (1608, 2) = -0.1730283771253181e-14, (1608, 3) = 0.32111331910213903e-14, (1609, 1) = 0.9669122035059501e-13, (1609, 2) = -0.18036894267331503e-14, (1609, 3) = 0.4303877628398129e-14, (1610, 1) = 0.10719091479344108e-12, (1610, 2) = -0.2145685265503012e-14, (1610, 3) = 0.4095064940191702e-14, (1611, 1) = 0.10709852338467561e-12, (1611, 2) = -0.20756858819555976e-14, (1611, 3) = 0.42000470972142085e-14, (1612, 1) = 0.10326566375697053e-12, (1612, 2) = -0.15821396766488232e-14, (1612, 3) = 0.34561875860325644e-14, (1613, 1) = 0.11520755607352497e-12, (1613, 2) = -0.14535232855852155e-14, (1613, 3) = 0.3953699960307128e-14, (1614, 1) = 0.10703204347087613e-12, (1614, 2) = -0.18505022539873826e-14, (1614, 3) = 0.39134579813432115e-14, (1615, 1) = 0.11119166686951062e-12, (1615, 2) = -0.16416639429405753e-14, (1615, 3) = 0.3237599453538457e-14, (1616, 1) = 0.12076395228027165e-12, (1616, 2) = -0.19729970068987508e-14, (1616, 3) = 0.3074922259837492e-14, (1617, 1) = 0.10265129498960157e-12, (1617, 2) = -0.13583998858420317e-14, (1617, 3) = 0.4003570634687629e-14, (1618, 1) = 0.11829704729506116e-12, (1618, 2) = -0.15283403003440576e-14, (1618, 3) = 0.47026723827922536e-14, (1619, 1) = 0.1000236227363444e-12, (1619, 2) = -0.16965037483455078e-14, (1619, 3) = 0.3905073331703597e-14, (1620, 1) = 0.1182748440096256e-12, (1620, 2) = -0.1902594762084094e-14, (1620, 3) = 0.3216162739693801e-14, (1621, 1) = 0.11182031965845543e-12, (1621, 2) = -0.14623672211485178e-14, (1621, 3) = 0.4243407775436351e-14, (1622, 1) = 0.11201292346557275e-12, (1622, 2) = -0.1101738118092986e-14, (1622, 3) = 0.3810763942586462e-14, (1623, 1) = 0.10940893281464795e-12, (1623, 2) = -0.17724742609241945e-14, (1623, 3) = 0.3701357869572092e-14, (1624, 1) = 0.10634903013430138e-12, (1624, 2) = -0.1968751981129472e-14, (1624, 3) = 0.2981515849839806e-14, (1625, 1) = 0.11788018449245958e-12, (1625, 2) = -0.19352374155028337e-14, (1625, 3) = 0.3064775600621184e-14, (1626, 1) = 0.10727337021983933e-12, (1626, 2) = -0.13759517141291034e-14, (1626, 3) = 0.4616194501959471e-14, (1627, 1) = 0.10586019753696198e-12, (1627, 2) = -0.14892995647193973e-14, (1627, 3) = 0.29596123977398054e-14, (1628, 1) = 0.11433950521116762e-12, (1628, 2) = -0.16112054530487309e-14, (1628, 3) = 0.3963419850515151e-14, (1629, 1) = 0.10946163969368596e-12, (1629, 2) = -0.16354185754841517e-14, (1629, 3) = 0.389112017773216e-14, (1630, 1) = 0.1282112010639129e-12, (1630, 2) = -0.16241351875945654e-14, (1630, 3) = 0.3979174853321703e-14, (1631, 1) = 0.122900953637064e-12, (1631, 2) = -0.17712114304206883e-14, (1631, 3) = 0.3699948151868634e-14, (1632, 1) = 0.10575135898271384e-12, (1632, 2) = -0.17301883436301785e-14, (1632, 3) = 0.4484494051960937e-14, (1633, 1) = 0.10753061683787575e-12, (1633, 2) = -0.1326823939451407e-14, (1633, 3) = 0.41679040405233696e-14, (1634, 1) = 0.10136816005781055e-12, (1634, 2) = -0.20351356500766968e-14, (1634, 3) = 0.3725642398944007e-14, (1635, 1) = 0.11243235844771394e-12, (1635, 2) = -0.12775868742247003e-14, (1635, 3) = 0.24341397362207703e-14, (1636, 1) = 0.10397276984851896e-12, (1636, 2) = -0.17724028864115716e-14, (1636, 3) = 0.1839601160082824e-14, (1637, 1) = 0.11920117390586102e-12, (1637, 2) = -0.14393605800846947e-14, (1637, 3) = 0.2872819499731488e-14, (1638, 1) = 0.1258887559577039e-12, (1638, 2) = -0.14591320189017342e-14, (1638, 3) = 0.383578354789312e-14, (1639, 1) = 0.10388558414516636e-12, (1639, 2) = -0.1690221307157088e-14, (1639, 3) = 0.4040949173793515e-14, (1640, 1) = 0.10988288772217434e-12, (1640, 2) = -0.16096311668728896e-14, (1640, 3) = 0.3293826486348065e-14, (1641, 1) = 0.1054777456903956e-12, (1641, 2) = -0.14894525116405642e-14, (1641, 3) = 0.3976759743027541e-14, (1642, 1) = 0.14310259456023934e-12, (1642, 2) = -0.148846402252791e-14, (1642, 3) = 0.28597350477653514e-14, (1643, 1) = 0.11771554347218513e-12, (1643, 2) = -0.13303022058422247e-14, (1643, 3) = 0.27211714981828724e-14, (1644, 1) = 0.10989238204181235e-12, (1644, 2) = -0.13722797562281974e-14, (1644, 3) = 0.27157244553922905e-14, (1645, 1) = 0.1057104443164678e-12, (1645, 2) = -0.14660870046054057e-14, (1645, 3) = 0.34925875757411106e-14, (1646, 1) = 0.10754220649368538e-12, (1646, 2) = -0.17893421729963777e-14, (1646, 3) = 0.2923643841954978e-14, (1647, 1) = 0.9048561110417609e-13, (1647, 2) = -0.17373121711865372e-14, (1647, 3) = 0.4136635832389291e-14, (1648, 1) = 0.12699532775798005e-12, (1648, 2) = -0.1277329810200014e-14, (1648, 3) = 0.2499409647784814e-14, (1649, 1) = 0.993338211031585e-13, (1649, 2) = -0.15108233755070498e-14, (1649, 3) = 0.33271209910658214e-14, (1650, 1) = 0.12635231274615374e-12, (1650, 2) = -0.1583879909036441e-14, (1650, 3) = 0.33590466188135696e-14, (1651, 1) = 0.7400729180794919e-13, (1651, 2) = -0.16628652911224962e-14, (1651, 3) = 0.3920726527628245e-14, (1652, 1) = 0.11937336602186512e-12, (1652, 2) = -0.15754760642089065e-14, (1652, 3) = 0.2551472599210563e-14, (1653, 1) = 0.14193959270883782e-12, (1653, 2) = -0.16602963273381717e-14, (1653, 3) = 0.31426999350357807e-14, (1654, 1) = 0.12241435708592058e-12, (1654, 2) = -0.1534737639478805e-14, (1654, 3) = 0.393654305622556e-14, (1655, 1) = 0.8852962629542869e-13, (1655, 2) = -0.10983065126012262e-14, (1655, 3) = 0.4246462438648081e-14, (1656, 1) = 0.9469671012319833e-13, (1656, 2) = -0.13185600691175016e-14, (1656, 3) = 0.2576915762496814e-14, (1657, 1) = 0.1323512860962709e-12, (1657, 2) = -0.16995936759792225e-14, (1657, 3) = 0.42636576505518595e-14, (1658, 1) = 0.10095166533996059e-12, (1658, 2) = -0.1561701612383245e-14, (1658, 3) = 0.3635479787611727e-14, (1659, 1) = 0.10049005171432628e-12, (1659, 2) = -0.1332955377186498e-14, (1659, 3) = 0.3522112389377006e-14, (1660, 1) = 0.11958619130521315e-12, (1660, 2) = -0.15603455498403695e-14, (1660, 3) = 0.34311800634445543e-14, (1661, 1) = 0.1178795163360233e-12, (1661, 2) = -0.13937736746483261e-14, (1661, 3) = 0.3748896173787063e-14, (1662, 1) = 0.10423238227329858e-12, (1662, 2) = -0.1336729811109168e-14, (1662, 3) = 0.4087830425197939e-14, (1663, 1) = 0.10834527495060874e-12, (1663, 2) = -0.13967166335927236e-14, (1663, 3) = 0.33921761715086698e-14, (1664, 1) = 0.9801053829006737e-13, (1664, 2) = -0.15508160468276311e-14, (1664, 3) = 0.3719023365408307e-14, (1665, 1) = 0.10939709151761275e-12, (1665, 2) = -0.16093233168345287e-14, (1665, 3) = 0.33531684647084992e-14, (1666, 1) = 0.114797567146925e-12, (1666, 2) = -0.1237631108614862e-14, (1666, 3) = 0.29970221460254836e-14, (1667, 1) = 0.1194322577166191e-12, (1667, 2) = -0.14282352285064733e-14, (1667, 3) = 0.4769272479543347e-14, (1668, 1) = 0.11389993285295782e-12, (1668, 2) = -0.8942838685133099e-15, (1668, 3) = 0.35099295589703574e-14, (1669, 1) = 0.10424707781639214e-12, (1669, 2) = -0.12266561000747164e-14, (1669, 3) = 0.33926719305827075e-14, (1670, 1) = 0.1311428800785975e-12, (1670, 2) = -0.13275677142020698e-14, (1670, 3) = 0.3574809883994291e-14, (1671, 1) = 0.10052489948728952e-12, (1671, 2) = -0.10663796628759023e-14, (1671, 3) = 0.33959513387293786e-14, (1672, 1) = 0.11772236284815837e-12, (1672, 2) = -0.16091325073939902e-14, (1672, 3) = 0.38665838747061926e-14, (1673, 1) = 0.1168163108826176e-12, (1673, 2) = -0.13466775072216791e-14, (1673, 3) = 0.2780882320689011e-14, (1674, 1) = 0.9035253852293231e-13, (1674, 2) = -0.13400791530934404e-14, (1674, 3) = 0.289757621552151e-14, (1675, 1) = 0.11529664828000424e-12, (1675, 2) = -0.1319227948113191e-14, (1675, 3) = 0.3601695452724462e-14, (1676, 1) = 0.10769687158066598e-12, (1676, 2) = -0.1242392917893196e-14, (1676, 3) = 0.26078736046866333e-14, (1677, 1) = 0.12453889489120659e-12, (1677, 2) = -0.13035070254803387e-14, (1677, 3) = 0.47409728847117704e-14, (1678, 1) = 0.10184017157803202e-12, (1678, 2) = -0.13277408889660307e-14, (1678, 3) = 0.26185733122773965e-14, (1679, 1) = 0.1095236151299121e-12, (1679, 2) = -0.11690515381721383e-14, (1679, 3) = 0.33501488697901062e-14, (1680, 1) = 0.9797604992934986e-13, (1680, 2) = -0.1208883232251522e-14, (1680, 3) = 0.29897605433120516e-14, (1681, 1) = 0.13344635529734693e-12, (1681, 2) = -0.14097980458509763e-14, (1681, 3) = 0.38402992269556444e-14, (1682, 1) = 0.11371914305921978e-12, (1682, 2) = -0.13781755320268695e-14, (1682, 3) = 0.2331962810218297e-14, (1683, 1) = 0.11040167003838893e-12, (1683, 2) = -0.13557401862711653e-14, (1683, 3) = 0.31427706847277324e-14, (1684, 1) = 0.1141032156695018e-12, (1684, 2) = -0.14485693002396762e-14, (1684, 3) = 0.3906904882002055e-14, (1685, 1) = 0.1345443746662919e-12, (1685, 2) = -0.1415477577216533e-14, (1685, 3) = 0.27351666296466456e-14, (1686, 1) = 0.10691628461835939e-12, (1686, 2) = -0.13493837143556507e-14, (1686, 3) = 0.3398516539749847e-14, (1687, 1) = 0.1301222269930219e-12, (1687, 2) = -0.1229554021253061e-14, (1687, 3) = 0.3558379939238625e-14, (1688, 1) = 0.1145998152475944e-12, (1688, 2) = -0.12442704910890971e-14, (1688, 3) = 0.2916649725541654e-14, (1689, 1) = 0.1066394080269396e-12, (1689, 2) = -0.1296442476361953e-14, (1689, 3) = 0.33980827317471633e-14, (1690, 1) = 0.11851457849523038e-12, (1690, 2) = -0.12340440092862553e-14, (1690, 3) = 0.3342349042718729e-14, (1691, 1) = 0.12197573434297352e-12, (1691, 2) = -0.13166670181902218e-14, (1691, 3) = 0.4364791424279542e-14, (1692, 1) = 0.13575431079208645e-12, (1692, 2) = -0.1434810326069681e-14, (1692, 3) = 0.3347978722858218e-14, (1693, 1) = 0.12685914089371842e-12, (1693, 2) = -0.12395707140194737e-14, (1693, 3) = 0.43249572445295775e-14, (1694, 1) = 0.13227464679713222e-12, (1694, 2) = -0.13624331192035914e-14, (1694, 3) = 0.3077728628189589e-14, (1695, 1) = 0.917135294958836e-13, (1695, 2) = -0.10486881436975826e-14, (1695, 3) = 0.2866454389988329e-14, (1696, 1) = 0.9873128227110218e-13, (1696, 2) = -0.12441413130530586e-14, (1696, 3) = 0.30244381282794417e-14, (1697, 1) = 0.10372544698965024e-12, (1697, 2) = -0.11881267078601442e-14, (1697, 3) = 0.31473936317208884e-14, (1698, 1) = 0.12034252588439897e-12, (1698, 2) = -0.11526218758227216e-14, (1698, 3) = 0.24273230668027e-14, (1699, 1) = 0.1409081155455862e-12, (1699, 2) = -0.1225556406763195e-14, (1699, 3) = 0.34130232337062052e-14, (1700, 1) = 0.1205721339026282e-12, (1700, 2) = -0.1209323412598025e-14, (1700, 3) = 0.2458229504067738e-14, (1701, 1) = 0.11185189999028978e-12, (1701, 2) = -0.10867106670706847e-14, (1701, 3) = 0.32181859001890804e-14, (1702, 1) = 0.10815131809089339e-12, (1702, 2) = -0.12517917243674084e-14, (1702, 3) = 0.28466575658422297e-14, (1703, 1) = 0.11106993131004332e-12, (1703, 2) = -0.1347212626729164e-14, (1703, 3) = 0.3857744930521401e-14, (1704, 1) = 0.12582789068664434e-12, (1704, 2) = -0.11919062573632988e-14, (1704, 3) = 0.3825780250149309e-14, (1705, 1) = 0.13209769538438145e-12, (1705, 2) = -0.10551081510256439e-14, (1705, 3) = 0.211918373216646e-14, (1706, 1) = 0.9964005741009077e-13, (1706, 2) = -0.12195436601528738e-14, (1706, 3) = 0.2535066716077165e-14, (1707, 1) = 0.10827890090196447e-12, (1707, 2) = -0.10014565462888137e-14, (1707, 3) = 0.26822140187419624e-14, (1708, 1) = 0.10134776488986052e-12, (1708, 2) = -0.11479463640141125e-14, (1708, 3) = 0.37408893084254266e-14, (1709, 1) = 0.9956782597085511e-13, (1709, 2) = -0.11558166254906511e-14, (1709, 3) = 0.28269307710803985e-14, (1710, 1) = 0.139118645247548e-12, (1710, 2) = -0.12520470790571657e-14, (1710, 3) = 0.2781840996332358e-14, (1711, 1) = 0.11950105384404048e-12, (1711, 2) = -0.11270747141696065e-14, (1711, 3) = 0.3797226505457241e-14, (1712, 1) = 0.1207485524617193e-12, (1712, 2) = -0.9600611632173306e-15, (1712, 3) = 0.27821381467648674e-14, (1713, 1) = 0.12253359025693915e-12, (1713, 2) = -0.10882287011206516e-14, (1713, 3) = 0.2548690422530733e-14, (1714, 1) = 0.10000715084561655e-12, (1714, 2) = -0.12313819223476007e-14, (1714, 3) = 0.3493537400927609e-14, (1715, 1) = 0.10397030655342912e-12, (1715, 2) = -0.12569108641978854e-14, (1715, 3) = 0.2496010922101169e-14, (1716, 1) = 0.9129979094586924e-13, (1716, 2) = -0.1225923623852228e-14, (1716, 3) = 0.35057240358790066e-14, (1717, 1) = 0.11925459786140803e-12, (1717, 2) = -0.1307220334827957e-14, (1717, 3) = 0.4613541040432166e-14, (1718, 1) = 0.10929443237416275e-12, (1718, 2) = -0.12723040474500448e-14, (1718, 3) = 0.40380985834251656e-14, (1719, 1) = 0.129373837230393e-12, (1719, 2) = -0.10621769965842703e-14, (1719, 3) = 0.322829060163629e-14, (1720, 1) = 0.10374699643189729e-12, (1720, 2) = -0.11891620483681347e-14, (1720, 3) = 0.2398231786559001e-14, (1721, 1) = 0.13692759505495052e-12, (1721, 2) = -0.913397614592538e-15, (1721, 3) = 0.32780759835365255e-14, (1722, 1) = 0.1129687098979333e-12, (1722, 2) = -0.10818062793446392e-14, (1722, 3) = 0.3585114044535496e-14, (1723, 1) = 0.8547658233865168e-13, (1723, 2) = -0.1126411772659736e-14, (1723, 3) = 0.3020667777475254e-14, (1724, 1) = 0.11427406841184906e-12, (1724, 2) = -0.956107226953245e-15, (1724, 3) = 0.4539387327022595e-14, (1725, 1) = 0.12079957775794465e-12, (1725, 2) = -0.10842108208000085e-14, (1725, 3) = 0.437862578126702e-14, (1726, 1) = 0.10944709599092932e-12, (1726, 2) = -0.1129927676122986e-14, (1726, 3) = 0.4176229594905881e-14, (1727, 1) = 0.9449051776852415e-13, (1727, 2) = -0.9746092505545365e-15, (1727, 3) = 0.30173606258791043e-14, (1728, 1) = 0.10676160698927898e-12, (1728, 2) = -0.80697612819539e-15, (1728, 3) = 0.3647641154235065e-14, (1729, 1) = 0.11130072810063925e-12, (1729, 2) = -0.10798652166914698e-14, (1729, 3) = 0.3964007377996154e-14, (1730, 1) = 0.8804297967423492e-13, (1730, 2) = -0.10289231147589282e-14, (1730, 3) = 0.38040911848625824e-14, (1731, 1) = 0.1204225117214542e-12, (1731, 2) = -0.10153362495328095e-14, (1731, 3) = 0.35963433478244626e-14, (1732, 1) = 0.10626639215003982e-12, (1732, 2) = -0.11648760124741031e-14, (1732, 3) = 0.3300425511975216e-14, (1733, 1) = 0.10820269380289366e-12, (1733, 2) = -0.12348025897035275e-14, (1733, 3) = 0.2678171948168126e-14, (1734, 1) = 0.12417806347621716e-12, (1734, 2) = -0.9975039962955832e-15, (1734, 3) = 0.2778086087168607e-14, (1735, 1) = 0.124853863069173e-12, (1735, 2) = -0.12123775174418614e-14, (1735, 3) = 0.27389632030795067e-14, (1736, 1) = 0.1272878722332855e-12, (1736, 2) = -0.8635039263235882e-15, (1736, 3) = 0.32308329700915315e-14, (1737, 1) = 0.11311028913877868e-12, (1737, 2) = -0.11744051098860804e-14, (1737, 3) = 0.2688005000563406e-14, (1738, 1) = 0.9856329454926189e-13, (1738, 2) = -0.10155953202484932e-14, (1738, 3) = 0.4112210725910594e-14, (1739, 1) = 0.11701055920217246e-12, (1739, 2) = -0.11076587224492654e-14, (1739, 3) = 0.26673885074711305e-14, (1740, 1) = 0.13182928977261037e-12, (1740, 2) = -0.8333004231429322e-15, (1740, 3) = 0.37101302720353654e-14, (1741, 1) = 0.12743361717621564e-12, (1741, 2) = -0.9642221663567046e-15, (1741, 3) = 0.21505933739103507e-14, (1742, 1) = 0.9812813220265702e-13, (1742, 2) = -0.10613870106667222e-14, (1742, 3) = 0.3501759315098546e-14, (1743, 1) = 0.10458304895710368e-12, (1743, 2) = -0.9520959692827256e-15, (1743, 3) = 0.3650655166454249e-14, (1744, 1) = 0.9214275608932908e-13, (1744, 2) = -0.1157837383637507e-14, (1744, 3) = 0.2881452779969901e-14, (1745, 1) = 0.942029594995548e-13, (1745, 2) = -0.965430459518433e-15, (1745, 3) = 0.32591996792306652e-14, (1746, 1) = 0.10335188270553547e-12, (1746, 2) = -0.1176025192227818e-14, (1746, 3) = 0.22464102363070677e-14, (1747, 1) = 0.10828367850607534e-12, (1747, 2) = -0.927549408575641e-15, (1747, 3) = 0.2769014058556236e-14, (1748, 1) = 0.13362433869640076e-12, (1748, 2) = -0.993114813679378e-15, (1748, 3) = 0.34777509690342536e-14, (1749, 1) = 0.10985522179231665e-12, (1749, 2) = -0.9679035238370916e-15, (1749, 3) = 0.3624559445191361e-14, (1750, 1) = 0.9510417364939025e-13, (1750, 2) = -0.7573968895531706e-15, (1750, 3) = 0.34056121159065626e-14, (1751, 1) = 0.13372493233441796e-12, (1751, 2) = -0.8538580192428346e-15, (1751, 3) = 0.3638217980012215e-14, (1752, 1) = 0.11989174248666335e-12, (1752, 2) = -0.11431525619792244e-14, (1752, 3) = 0.4027257068018949e-14, (1753, 1) = 0.10273206410646025e-12, (1753, 2) = -0.979756970208034e-15, (1753, 3) = 0.26635947429724976e-14, (1754, 1) = 0.11283623826749291e-12, (1754, 2) = -0.6978692348014272e-15, (1754, 3) = 0.4087846604165845e-14, (1755, 1) = 0.11637600068663864e-12, (1755, 2) = -0.1131221302414393e-14, (1755, 3) = 0.2495805956161954e-14, (1756, 1) = 0.12956160187035242e-12, (1756, 2) = -0.8676470775505395e-15, (1756, 3) = 0.33605384691805714e-14, (1757, 1) = 0.12223884857065e-12, (1757, 2) = -0.8973020062515973e-15, (1757, 3) = 0.3243568451938372e-14, (1758, 1) = 0.10867095678336605e-12, (1758, 2) = -0.9179336592482036e-15, (1758, 3) = 0.329933341862122e-14, (1759, 1) = 0.11240547375006206e-12, (1759, 2) = -0.9685938947403732e-15, (1759, 3) = 0.2210368400347419e-14, (1760, 1) = 0.10776720169710233e-12, (1760, 2) = -0.7256115710348425e-15, (1760, 3) = 0.25362431062883887e-14, (1761, 1) = 0.11633532844681662e-12, (1761, 2) = -0.8193874066993711e-15, (1761, 3) = 0.443553191530527e-14, (1762, 1) = 0.10709754444332445e-12, (1762, 2) = -0.8276462705763227e-15, (1762, 3) = 0.2867044236576635e-14, (1763, 1) = 0.9432760274693998e-13, (1763, 2) = -0.948083266845929e-15, (1763, 3) = 0.24352262585890152e-14, (1764, 1) = 0.1133682207392596e-12, (1764, 2) = -0.89284947230579e-15, (1764, 3) = 0.2757629405520706e-14, (1765, 1) = 0.9862688143388094e-13, (1765, 2) = -0.7258771931140683e-15, (1765, 3) = 0.3235372388426228e-14, (1766, 1) = 0.1180792928323396e-12, (1766, 2) = -0.9792942062757632e-15, (1766, 3) = 0.3318891321467267e-14, (1767, 1) = 0.10867540209939974e-12, (1767, 2) = -0.8058206067925545e-15, (1767, 3) = 0.44838936261025425e-14, (1768, 1) = 0.9309403207339976e-13, (1768, 2) = -0.7685055466501956e-15, (1768, 3) = 0.2084931350036692e-14, (1769, 1) = 0.10305712596410399e-12, (1769, 2) = -0.7101871482732904e-15, (1769, 3) = 0.15182740814389643e-14, (1770, 1) = 0.11092098299122882e-12, (1770, 2) = -0.788108864590953e-15, (1770, 3) = 0.34899775392268512e-14, (1771, 1) = 0.11577438202997318e-12, (1771, 2) = -0.7550130681042736e-15, (1771, 3) = 0.3755983883532733e-14, (1772, 1) = 0.11274810898621834e-12, (1772, 2) = -0.676325489367486e-15, (1772, 3) = 0.3759541064248435e-14, (1773, 1) = 0.10544185505321989e-12, (1773, 2) = -0.8522221055244372e-15, (1773, 3) = 0.3580435864923064e-14, (1774, 1) = 0.1117821468258268e-12, (1774, 2) = -0.8075656583260752e-15, (1774, 3) = 0.37503969311850546e-14, (1775, 1) = 0.9794075413476038e-13, (1775, 2) = -0.8737849024038201e-15, (1775, 3) = 0.3669544295967991e-14, (1776, 1) = 0.13387233843013448e-12, (1776, 2) = -0.7894068349217388e-15, (1776, 3) = 0.34408325474511966e-14, (1777, 1) = 0.1329049681709068e-12, (1777, 2) = -0.7148055270819783e-15, (1777, 3) = 0.40019315729738514e-14, (1778, 1) = 0.12671786553640498e-12, (1778, 2) = -0.8523828178920946e-15, (1778, 3) = 0.34073549086206932e-14, (1779, 1) = 0.9246227881616154e-13, (1779, 2) = -0.7872058642590542e-15, (1779, 3) = 0.32194781014730545e-14, (1780, 1) = 0.12628918127275917e-12, (1780, 2) = -0.8229971400635996e-15, (1780, 3) = 0.26005901573298055e-14, (1781, 1) = 0.1344308156590571e-12, (1781, 2) = -0.8856287309211959e-15, (1781, 3) = 0.43693574257245705e-14, (1782, 1) = 0.13765075733475718e-12, (1782, 2) = -0.773915919338029e-15, (1782, 3) = 0.33374064419010232e-14, (1783, 1) = 0.10381580282249077e-12, (1783, 2) = -0.6862722287884614e-15, (1783, 3) = 0.4047338898874654e-14, (1784, 1) = 0.12116543480776232e-12, (1784, 2) = -0.6633827997451545e-15, (1784, 3) = 0.30580243230798845e-14, (1785, 1) = 0.12663907016426526e-12, (1785, 2) = -0.768012099105283e-15, (1785, 3) = 0.3629293096798329e-14, (1786, 1) = 0.11199883772696038e-12, (1786, 2) = -0.9005448583756068e-15, (1786, 3) = 0.3340460690840331e-14, (1787, 1) = 0.1041928081700279e-12, (1787, 2) = -0.7769007945015095e-15, (1787, 3) = 0.30078379923895097e-14, (1788, 1) = 0.10059366666709932e-12, (1788, 2) = -0.6535638591424864e-15, (1788, 3) = 0.34801094765082328e-14, (1789, 1) = 0.12901836321959842e-12, (1789, 2) = -0.8005920849455759e-15, (1789, 3) = 0.3270367497849594e-14, (1790, 1) = 0.8024060039825138e-13, (1790, 2) = -0.74977362583884125e-15, (1790, 3) = 0.3658064317544775e-14, (1791, 1) = 0.13506204530466847e-12, (1791, 2) = -0.6592382216031271e-15, (1791, 3) = 0.3377043233781894e-14, (1792, 1) = 0.13335971938929082e-12, (1792, 2) = -0.7225210422374107e-15, (1792, 3) = 0.23170527156341944e-14, (1793, 1) = 0.12121431090563286e-12, (1793, 2) = -0.6714172031235509e-15, (1793, 3) = 0.3510292296006678e-14, (1794, 1) = 0.1367948233475614e-12, (1794, 2) = -0.8558884937926551e-15, (1794, 3) = 0.348026943848037e-14, (1795, 1) = 0.12071474206819993e-12, (1795, 2) = -0.696124483389442e-15, (1795, 3) = 0.1910030388552787e-14, (1796, 1) = 0.9650030976187676e-13, (1796, 2) = -0.713889006823877e-15, (1796, 3) = 0.29447776020269944e-14, (1797, 1) = 0.995473781931897e-13, (1797, 2) = -0.5647043520842206e-15, (1797, 3) = 0.24604844169182467e-14, (1798, 1) = 0.10419129576193142e-12, (1798, 2) = -0.5574157147787541e-15, (1798, 3) = 0.4171246087940463e-14, (1799, 1) = 0.9744173515282002e-13, (1799, 2) = -0.789587940183809e-15, (1799, 3) = 0.26977468335734274e-14, (1800, 1) = 0.938459648158659e-13, (1800, 2) = -0.6099562850272315e-15, (1800, 3) = 0.26414446412212464e-14, (1801, 1) = 0.13046283216460087e-12, (1801, 2) = -0.7143049145320645e-15, (1801, 3) = 0.3483241368104193e-14, (1802, 1) = 0.9530337509544001e-13, (1802, 2) = -0.6271342773738819e-15, (1802, 3) = 0.263400770563531e-14, (1803, 1) = 0.12834070859651608e-12, (1803, 2) = -0.7334253573383839e-15, (1803, 3) = 0.34690503115959597e-14, (1804, 1) = 0.11649688199271206e-12, (1804, 2) = -0.7086749001062531e-15, (1804, 3) = 0.4050760383762664e-14, (1805, 1) = 0.11058358226730777e-12, (1805, 2) = -0.6866435498030307e-15, (1805, 3) = 0.33769649745211246e-14, (1806, 1) = 0.8325171869318472e-13, (1806, 2) = -0.6561640019588613e-15, (1806, 3) = 0.4228310943230572e-14, (1807, 1) = 0.10898811239858051e-12, (1807, 2) = -0.7589344838356611e-15, (1807, 3) = 0.36441799454926144e-14, (1808, 1) = 0.13653781443507254e-12, (1808, 2) = -0.6534538112805344e-15, (1808, 3) = 0.28140343597368854e-14, (1809, 1) = 0.11128763997783608e-12, (1809, 2) = -0.7343719979038895e-15, (1809, 3) = 0.19847767056388583e-14, (1810, 1) = 0.1349672316615374e-12, (1810, 2) = -0.6361950015340779e-15, (1810, 3) = 0.5133828579221238e-14, (1811, 1) = 0.11274094289217469e-12, (1811, 2) = -0.6549687042074859e-15, (1811, 3) = 0.28729875991580608e-14, (1812, 1) = 0.12105342126147963e-12, (1812, 2) = -0.6704625085970933e-15, (1812, 3) = 0.3100560372712505e-14, (1813, 1) = 0.9320175870755602e-13, (1813, 2) = -0.6305179672811856e-15, (1813, 3) = 0.2203076164746459e-14, (1814, 1) = 0.10728301802071962e-12, (1814, 2) = -0.58327194189577165e-15, (1814, 3) = 0.33245595210371054e-14, (1815, 1) = 0.9043115279360417e-13, (1815, 2) = -0.5979992557157448e-15, (1815, 3) = 0.3711750810730202e-14, (1816, 1) = 0.12439577794839024e-12, (1816, 2) = -0.63829284468933e-15, (1816, 3) = 0.4486719033219616e-14, (1817, 1) = 0.1180153562095958e-12, (1817, 2) = -0.738601704090678e-15, (1817, 3) = 0.29233533242153657e-14, (1818, 1) = 0.12577552445511404e-12, (1818, 2) = -0.6530363390269119e-15, (1818, 3) = 0.27900484758301845e-14, (1819, 1) = 0.12654373163073385e-12, (1819, 2) = -0.6797893598021674e-15, (1819, 3) = 0.2863551889363093e-14, (1820, 1) = 0.10842929892297088e-12, (1820, 2) = -0.5205662798119032e-15, (1820, 3) = 0.3623288975792663e-14, (1821, 1) = 0.13129750210311007e-12, (1821, 2) = -0.4419612492004534e-15, (1821, 3) = 0.2616863533578102e-14, (1822, 1) = 0.9496507725185926e-13, (1822, 2) = -0.6006326256631029e-15, (1822, 3) = 0.39626611700085735e-14, (1823, 1) = 0.8935586171498025e-13, (1823, 2) = -0.6382337941174823e-15, (1823, 3) = 0.23078480337466343e-14, (1824, 1) = 0.11978581839070387e-12, (1824, 2) = -0.5600821751314393e-15, (1824, 3) = 0.26846532551141038e-14, (1825, 1) = 0.8323449291297479e-13, (1825, 2) = -0.4982323171721581e-15, (1825, 3) = 0.4600461834929172e-14, (1826, 1) = 0.10256405191715974e-12, (1826, 2) = -0.5758751697977561e-15, (1826, 3) = 0.3533515457747349e-14, (1827, 1) = 0.9924487200902882e-13, (1827, 2) = -0.5780119675143824e-15, (1827, 3) = 0.39662310553616394e-14, (1828, 1) = 0.12413110758434732e-12, (1828, 2) = -0.6456616113809854e-15, (1828, 3) = 0.24846272073037768e-14, (1829, 1) = 0.1198044823549664e-12, (1829, 2) = -0.6069212733128985e-15, (1829, 3) = 0.2867630801010109e-14, (1830, 1) = 0.10980185804277771e-12, (1830, 2) = -0.5898995409154219e-15, (1830, 3) = 0.3170087007207262e-14, (1831, 1) = 0.1148975820582834e-12, (1831, 2) = -0.5789104916593214e-15, (1831, 3) = 0.4304511812172314e-14, (1832, 1) = 0.12126452660812188e-12, (1832, 2) = -0.5065583646763792e-15, (1832, 3) = 0.31643368640973477e-14, (1833, 1) = 0.1178701794193943e-12, (1833, 2) = -0.5221729556139782e-15, (1833, 3) = 0.2755609181741744e-14, (1834, 1) = 0.11647766869611047e-12, (1834, 2) = -0.5587729830414056e-15, (1834, 3) = 0.39018586969776294e-14, (1835, 1) = 0.1195552115072411e-12, (1835, 2) = -0.4846968305440372e-15, (1835, 3) = 0.31560628619059693e-14, (1836, 1) = 0.12536532998541233e-12, (1836, 2) = -0.5792568580454908e-15, (1836, 3) = 0.31599010291339527e-14, (1837, 1) = 0.12175457028228584e-12, (1837, 2) = -0.4912528072119076e-15, (1837, 3) = 0.27980518395742828e-14, (1838, 1) = 0.9406960943580718e-13, (1838, 2) = -0.5706444974948289e-15, (1838, 3) = 0.33142765591119277e-14, (1839, 1) = 0.10605930682469952e-12, (1839, 2) = -0.4355767500221313e-15, (1839, 3) = 0.35131337709702718e-14, (1840, 1) = 0.14280755741193504e-12, (1840, 2) = -0.4395270753684988e-15, (1840, 3) = 0.2792753134827449e-14, (1841, 1) = 0.10326224313578409e-12, (1841, 2) = -0.5173701444634102e-15, (1841, 3) = 0.30262518006046815e-14, (1842, 1) = 0.1192860534408706e-12, (1842, 2) = -0.5258930269274378e-15, (1842, 3) = 0.35227615943843364e-14, (1843, 1) = 0.11152302139561408e-12, (1843, 2) = -0.43219135225948906e-15, (1843, 3) = 0.28592154538678974e-14, (1844, 1) = 0.10719475807084472e-12, (1844, 2) = -0.5307575941650575e-15, (1844, 3) = 0.3133038409803901e-14, (1845, 1) = 0.10793254301898843e-12, (1845, 2) = -0.4910195424893646e-15, (1845, 3) = 0.19255345880789232e-14, (1846, 1) = 0.10187755500503587e-12, (1846, 2) = -0.42317230849761254e-15, (1846, 3) = 0.3181424151201601e-14, (1847, 1) = 0.11710958532390794e-12, (1847, 2) = -0.5231874718783168e-15, (1847, 3) = 0.30049727687079913e-14, (1848, 1) = 0.10968962945902362e-12, (1848, 2) = -0.538829380111927e-15, (1848, 3) = 0.2378610387143671e-14, (1849, 1) = 0.10516557177081239e-12, (1849, 2) = -0.41803566947095347e-15, (1849, 3) = 0.32431877361247253e-14, (1850, 1) = 0.12149582831747164e-12, (1850, 2) = -0.4394103547786952e-15, (1850, 3) = 0.2766177903004661e-14, (1851, 1) = 0.9674063663554744e-13, (1851, 2) = -0.44001236235853564e-15, (1851, 3) = 0.2660132005225925e-14, (1852, 1) = 0.9807054514180433e-13, (1852, 2) = -0.471259465258229e-15, (1852, 3) = 0.388099933826223e-14, (1853, 1) = 0.1262800671742553e-12, (1853, 2) = -0.42860099702684293e-15, (1853, 3) = 0.37817891306810895e-14, (1854, 1) = 0.13943050603503122e-12, (1854, 2) = -0.36713922790170353e-15, (1854, 3) = 0.34143232849668087e-14, (1855, 1) = 0.1228259549457938e-12, (1855, 2) = -0.3780766816887834e-15, (1855, 3) = 0.29100276291124543e-14, (1856, 1) = 0.1208626195770979e-12, (1856, 2) = -0.4430964051494906e-15, (1856, 3) = 0.2951132803120013e-14, (1857, 1) = 0.11352888369011828e-12, (1857, 2) = -0.38672014329819237e-15, (1857, 3) = 0.32739876171000797e-14, (1858, 1) = 0.1207301675119248e-12, (1858, 2) = -0.44010604684820298e-15, (1858, 3) = 0.262685810351652e-14, (1859, 1) = 0.948853992345607e-13, (1859, 2) = -0.4818714607969618e-15, (1859, 3) = 0.2767387997454156e-14, (1860, 1) = 0.10515500062717495e-12, (1860, 2) = -0.3522480074454537e-15, (1860, 3) = 0.2892221769655089e-14, (1861, 1) = 0.10676309836517264e-12, (1861, 2) = -0.3320275632473354e-15, (1861, 3) = 0.31426627746092965e-14, (1862, 1) = 0.10696214534631645e-12, (1862, 2) = -0.34292359842005745e-15, (1862, 3) = 0.5192905226111221e-14, (1863, 1) = 0.1301896281409729e-12, (1863, 2) = -0.3792660577574398e-15, (1863, 3) = 0.2750452439624034e-14, (1864, 1) = 0.11899537423553416e-12, (1864, 2) = -0.40259565047759564e-15, (1864, 3) = 0.2553197186575534e-14, (1865, 1) = 0.9588053506628589e-13, (1865, 2) = -0.4283392114345895e-15, (1865, 3) = 0.27198178631365903e-14, (1866, 1) = 0.8914497464415157e-13, (1866, 2) = -0.39400289787266496e-15, (1866, 3) = 0.3361805500351321e-14, (1867, 1) = 0.1049734321989004e-12, (1867, 2) = -0.4471143538771465e-15, (1867, 3) = 0.3019068878401709e-14, (1868, 1) = 0.9774252570672082e-13, (1868, 2) = -0.3902250744721606e-15, (1868, 3) = 0.3060720996879721e-14, (1869, 1) = 0.11099038094747436e-12, (1869, 2) = -0.3468284457137719e-15, (1869, 3) = 0.29931468944136593e-14, (1870, 1) = 0.1264216052755773e-12, (1870, 2) = -0.3932760745254037e-15, (1870, 3) = 0.18740291701723124e-14, (1871, 1) = 0.1093496742837868e-12, (1871, 2) = -0.3190843959947385e-15, (1871, 3) = 0.29714085085170758e-14, (1872, 1) = 0.10700795452352477e-12, (1872, 2) = -0.4150469545534295e-15, (1872, 3) = 0.34090026178093087e-14, (1873, 1) = 0.12385435618723688e-12, (1873, 2) = -0.35678135562670414e-15, (1873, 3) = 0.378304128159921e-14, (1874, 1) = 0.1224182762724833e-12, (1874, 2) = -0.33970452351763185e-15, (1874, 3) = 0.4082987697626282e-14, (1875, 1) = 0.12628999828557492e-12, (1875, 2) = -0.36372855608026017e-15, (1875, 3) = 0.3596480106366592e-14, (1876, 1) = 0.8985681419891012e-13, (1876, 2) = -0.3156024071890105e-15, (1876, 3) = 0.34888202488219002e-14, (1877, 1) = 0.13767589880835732e-12, (1877, 2) = -0.34113544086070566e-15, (1877, 3) = 0.28984697642805577e-14, (1878, 1) = 0.11304619974667282e-12, (1878, 2) = -0.30590215362412394e-15, (1878, 3) = 0.4468766034402218e-14, (1879, 1) = 0.10703371870788508e-12, (1879, 2) = -0.35301807243010926e-15, (1879, 3) = 0.3733242036940204e-14, (1880, 1) = 0.1311496672172377e-12, (1880, 2) = -0.3003901865754594e-15, (1880, 3) = 0.34676556666929484e-14, (1881, 1) = 0.11359548432237732e-12, (1881, 2) = -0.38189721389837932e-15, (1881, 3) = 0.2167490132690095e-14, (1882, 1) = 0.11511590318009677e-12, (1882, 2) = -0.32673255323131954e-15, (1882, 3) = 0.2072129804219457e-14, (1883, 1) = 0.13564717217860272e-12, (1883, 2) = -0.3041451019264556e-15, (1883, 3) = 0.35233561280099454e-14, (1884, 1) = 0.10679145957537428e-12, (1884, 2) = -0.3160067868474074e-15, (1884, 3) = 0.5033595982595507e-14, (1885, 1) = 0.12134176011729284e-12, (1885, 2) = -0.28242327172312634e-15, (1885, 3) = 0.2874898469798015e-14, (1886, 1) = 0.11004217111566294e-12, (1886, 2) = -0.2735262276166124e-15, (1886, 3) = 0.32160796264141034e-14, (1887, 1) = 0.13728996608320242e-12, (1887, 2) = -0.3095493807986855e-15, (1887, 3) = 0.39802255933618195e-14, (1888, 1) = 0.14113473396070334e-12, (1888, 2) = -0.324015016154369e-15, (1888, 3) = 0.21693571679710327e-14, (1889, 1) = 0.987701765468082e-13, (1889, 2) = -0.2719726692584602e-15, (1889, 3) = 0.23352883058231744e-14, (1890, 1) = 0.11112092752226348e-12, (1890, 2) = -0.24688165486297425e-15, (1890, 3) = 0.2910994452470094e-14, (1891, 1) = 0.12806336179574894e-12, (1891, 2) = -0.276975843427359e-15, (1891, 3) = 0.37194875451773025e-14, (1892, 1) = 0.9474292377787015e-13, (1892, 2) = -0.26976165230920213e-15, (1892, 3) = 0.27113347649700345e-14, (1893, 1) = 0.11403132700842712e-12, (1893, 2) = -0.291581993353691e-15, (1893, 3) = 0.3550319220247941e-14, (1894, 1) = 0.9111423354939152e-13, (1894, 2) = -0.2589401992925203e-15, (1894, 3) = 0.31053814986721847e-14, (1895, 1) = 0.9964149063618637e-13, (1895, 2) = -0.203166626032899e-15, (1895, 3) = 0.33627878016136043e-14, (1896, 1) = 0.10862201319577226e-12, (1896, 2) = -0.22607318296108117e-15, (1896, 3) = 0.264003566483268e-14, (1897, 1) = 0.11690303603786842e-12, (1897, 2) = -0.2169224545556162e-15, (1897, 3) = 0.32406785347465152e-14, (1898, 1) = 0.1154310803595552e-12, (1898, 2) = -0.2693953494891426e-15, (1898, 3) = 0.26828507896634416e-14, (1899, 1) = 0.11402212579920018e-12, (1899, 2) = -0.21962858592110278e-15, (1899, 3) = 0.28733637031018365e-14, (1900, 1) = 0.8900120963656914e-13, (1900, 2) = -0.225635738208936e-15, (1900, 3) = 0.3942648054221572e-14, (1901, 1) = 0.1266713310066008e-12, (1901, 2) = -0.2550159932803001e-15, (1901, 3) = 0.2513073968816299e-14, (1902, 1) = 0.12321771379883383e-12, (1902, 2) = -0.24628553256468775e-15, (1902, 3) = 0.23288765985268144e-14, (1903, 1) = 0.11853638008019804e-12, (1903, 2) = -0.23154221681514824e-15, (1903, 3) = 0.4353879985380899e-14, (1904, 1) = 0.11708505736737435e-12, (1904, 2) = -0.201146043345254e-15, (1904, 3) = 0.318228291391209e-14, (1905, 1) = 0.11797379265908072e-12, (1905, 2) = -0.2642026645862864e-15, (1905, 3) = 0.26793485428474856e-14, (1906, 1) = 0.9361197856634262e-13, (1906, 2) = -0.2156504995372045e-15, (1906, 3) = 0.4145126980448692e-14, (1907, 1) = 0.11875981467310364e-12, (1907, 2) = -0.19007057449593368e-15, (1907, 3) = 0.4167626537517038e-14, (1908, 1) = 0.11576696600589116e-12, (1908, 2) = -0.19078884289402646e-15, (1908, 3) = 0.33420796735335854e-14, (1909, 1) = 0.111018149318339e-12, (1909, 2) = -0.24040703716998866e-15, (1909, 3) = 0.390985984838866e-14, (1910, 1) = 0.9631788118906269e-13, (1910, 2) = -0.2038616482892988e-15, (1910, 3) = 0.3820539562547552e-14, (1911, 1) = 0.9780949207505019e-13, (1911, 2) = -0.24125044119923773e-15, (1911, 3) = 0.3548981822039701e-14, (1912, 1) = 0.1154291278576074e-12, (1912, 2) = -0.1771635782202839e-15, (1912, 3) = 0.3495821158075905e-14, (1913, 1) = 0.13002328878807399e-12, (1913, 2) = -0.22902180625054603e-15, (1913, 3) = 0.3229955082157946e-14, (1914, 1) = 0.10694802534645031e-12, (1914, 2) = -0.19132646683122238e-15, (1914, 3) = 0.33476125202235122e-14, (1915, 1) = 0.9061020998698689e-13, (1915, 2) = -0.20200397595182485e-15, (1915, 3) = 0.25031794138211344e-14, (1916, 1) = 0.11191606608204875e-12, (1916, 2) = -0.13175706169157895e-15, (1916, 3) = 0.1977772893885042e-14, (1917, 1) = 0.12440537244144484e-12, (1917, 2) = -0.18079025232072453e-15, (1917, 3) = 0.3783808185188886e-14, (1918, 1) = 0.1024666254856718e-12, (1918, 2) = -0.1515845004793551e-15, (1918, 3) = 0.2829114989511107e-14, (1919, 1) = 0.10145414511075076e-12, (1919, 2) = -0.16938727371849677e-15, (1919, 3) = 0.2638508840827943e-14, (1920, 1) = 0.12865221675790352e-12, (1920, 2) = -0.1584420006338947e-15, (1920, 3) = 0.3631894155032771e-14, (1921, 1) = 0.10384671151619934e-12, (1921, 2) = -0.15826801984983014e-15, (1921, 3) = 0.3847495359366502e-14, (1922, 1) = 0.13615776732038072e-12, (1922, 2) = -0.1603568925404111e-15, (1922, 3) = 0.27394033092441814e-14, (1923, 1) = 0.1290653073950909e-12, (1923, 2) = -0.12550959198476829e-15, (1923, 3) = 0.4227176061592647e-14, (1924, 1) = 0.1297708838450826e-12, (1924, 2) = -0.14950486835820765e-15, (1924, 3) = 0.2937382986597397e-14, (1925, 1) = 0.1044993078226719e-12, (1925, 2) = -0.13397835850888697e-15, (1925, 3) = 0.4266952727013601e-14, (1926, 1) = 0.10777871773649674e-12, (1926, 2) = -0.1182309161486689e-15, (1926, 3) = 0.27547902751513125e-14, (1927, 1) = 0.10862860885497426e-12, (1927, 2) = -0.15430127764525353e-15, (1927, 3) = 0.4650490208476233e-14, (1928, 1) = 0.11601763943327184e-12, (1928, 2) = -0.918561807219244e-16, (1928, 3) = 0.25596598892878553e-14, (1929, 1) = 0.11443418095466796e-12, (1929, 2) = -0.11702207580637891e-15, (1929, 3) = 0.29333778707772354e-14, (1930, 1) = 0.11454185864757997e-12, (1930, 2) = -0.13144160740877455e-15, (1930, 3) = 0.38092061672934965e-14, (1931, 1) = 0.12022433171375375e-12, (1931, 2) = -0.11112542232199495e-15, (1931, 3) = 0.2989199705443404e-14, (1932, 1) = 0.12921856495243782e-12, (1932, 2) = -0.9936070203342478e-16, (1932, 3) = 0.3346320014701115e-14, (1933, 1) = 0.11080680619566244e-12, (1933, 2) = -0.10824133556294351e-15, (1933, 3) = 0.3912096539630456e-14, (1934, 1) = 0.928273116997034e-13, (1934, 2) = -0.1235653325069175e-15, (1934, 3) = 0.3173133218062715e-14, (1935, 1) = 0.1191020816861468e-12, (1935, 2) = -0.8394076890674465e-16, (1935, 3) = 0.25178082965036333e-14, (1936, 1) = 0.125754904770401e-12, (1936, 2) = -0.8970403606440377e-16, (1936, 3) = 0.3086274042451718e-14, (1937, 1) = 0.981110642999922e-13, (1937, 2) = -0.7368671416190543e-16, (1937, 3) = 0.30508413385387885e-14, (1938, 1) = 0.12447395425076897e-12, (1938, 2) = -0.8127949532893343e-16, (1938, 3) = 0.4429810416134269e-14, (1939, 1) = 0.11001851037135865e-12, (1939, 2) = -0.7297808858471728e-16, (1939, 3) = 0.17032300405261997e-14, (1940, 1) = 0.1247419958938715e-12, (1940, 2) = -0.5857675268845569e-16, (1940, 3) = 0.24901396364397535e-14, (1941, 1) = 0.11038910583687554e-12, (1941, 2) = -0.49767499817718416e-16, (1941, 3) = 0.2860441209083803e-14, (1942, 1) = 0.13414123816764742e-12, (1942, 2) = -0.6200505583115275e-16, (1942, 3) = 0.3524511349517058e-14, (1943, 1) = 0.8036720126124724e-13, (1943, 2) = -0.3940409728513473e-16, (1943, 3) = 0.2969952820560273e-14, (1944, 1) = 0.11189972982491996e-12, (1944, 2) = -0.4658980072570897e-16, (1944, 3) = 0.2645330415417912e-14, (1945, 1) = 0.10126995360493773e-12, (1945, 2) = -0.5239350731964244e-16, (1945, 3) = 0.23478337640592757e-14, (1946, 1) = 0.10021159152624479e-12, (1946, 2) = -0.3917564993731032e-16, (1946, 3) = 0.3103135758207413e-14, (1947, 1) = 0.13146718819297824e-12, (1947, 2) = -0.3563153462758805e-16, (1947, 3) = 0.3822062126839218e-14, (1948, 1) = 0.13482384687624347e-12, (1948, 2) = -0.3830239513102516e-16, (1948, 3) = 0.461643795334359e-14, (1949, 1) = 0.12204470932673524e-12, (1949, 2) = -0.26417791687958373e-16, (1949, 3) = 0.34371592055448147e-14, (1950, 1) = 0.11673050511396304e-12, (1950, 2) = -0.23390767130764655e-16, (1950, 3) = 0.28405659347651544e-14, (1951, 1) = 0.11519663551103592e-12, (1951, 2) = -0.18566832192882986e-16, (1951, 3) = 0.3249219198025729e-14, (1952, 1) = 0.9462622427391398e-13, (1952, 2) = -0.21753747239076382e-16, (1952, 3) = 0.31824282100831852e-14, (1953, 1) = 0.10307875973150959e-12, (1953, 2) = -0.1450651812539639e-16, (1953, 3) = 0.27818239665523418e-14, (1954, 1) = 0.12955361694869502e-12, (1954, 2) = -0.11845860715922346e-16, (1954, 3) = 0.2379643795758272e-14, (1955, 1) = 0.921735893978701e-13, (1955, 2) = -0.8186020115678531e-17, (1955, 3) = 0.25198148150849167e-14, (1956, 1) = 0.1228013207095443e-12, (1956, 2) = -0.29891293117282096e-17, (1956, 3) = 0.3112013080209554e-14, (1957, 1) = 0.11483808844206168e-12, (1957, 2) = .0, (1957, 3) = 0.26448429633256436e-14}, datatype = float[8], order = C_order); if not type(outpoint, 'numeric') then if outpoint = "start" or outpoint = "left" then return X[1] elif outpoint = "right" then return X[1957] elif outpoint = "order" then return 8 elif outpoint = "error" then return HFloat(9.505835417149998e-7) elif outpoint = "errorproc" then error "this is already the error procedure" elif outpoint = "rawdata" then return [3, 1957, [f(x), diff(f(x), x), diff(diff(f(x), x), x)], X, Y] else return ('procname')(x_bvp) end if end if; if outpoint < X[1] or X[1957] < outpoint then error "solution is only defined in the range %1..%2", X[1], X[1957] end if; V := array([1 = 4, 2 = 0]); if Digits <= trunc(evalhf(Digits)) then L := Vector(4, 'datatype' = 'float'[8]); yout := Vector(3, 'datatype' = 'float'[8]); evalhf(`dsolve/numeric/lagrange`(1957, 3, X, Y, outpoint, var(yout), var(L), var(V))) else L := Vector(4, 'datatype' = 'sfloat'); yout := Vector(3, 'datatype' = 'sfloat'); `dsolve/numeric/lagrange`(1957, 3, X, Y, outpoint, yout, L, V) end if; [x = outpoint, seq('[f(x), diff(f(x), x), diff(diff(f(x), x), x)]'[i] = yout[i], i = 1 .. 3)] end proc; if not type(outpoint, 'numeric') then if outpoint = "start" or outpoint = "left" then return X[1] elif outpoint = "method" then return "bvp" elif outpoint = "right" then return X[1957] elif outpoint = "order" then return 8 elif outpoint = "error" then return HFloat(9.505835417149998e-7) elif outpoint = "errorproc" then return eval(errproc) elif outpoint = "rawdata" then return [3, 1957, "depnames", X, Y, YP] else error "non-numeric value" end if end if; if outpoint < X[1] or X[1957] < outpoint then error "solution is only defined in the range %1..%2", X[1], X[1957] end if; if Digits <= trunc(evalhf(Digits)) and (_EnvInFsolve <> true or _EnvDSNumericSaveDigits <= trunc(evalhf(Digits))) then V := array( 1 .. 6, [( 1 ) = (7), ( 2 ) = (0), ( 3 ) = (false), ( 4 ) = (false), ( 5 ) = (false), ( 6 ) = (false)  ] ); L := Matrix(7, 2, {(1, 1) = .0, (1, 2) = .0, (2, 1) = .0, (2, 2) = .0, (3, 1) = .0, (3, 2) = .0, (4, 1) = .0, (4, 2) = .0, (5, 1) = .0, (5, 2) = .0, (6, 1) = .0, (6, 2) = .0, (7, 1) = .0, (7, 2) = .0}, datatype = float[8], order = C_order); yout := Vector(3, {(1) = .0, (2) = .0, (3) = .0}, datatype = float[8]); evalhf(`dsolve/numeric/hermite`(1957, 3, X, Y, YP, outpoint, var(yout), var(L), var(V))) else if _EnvInFsolve = true then Digits := _EnvDSNumericSaveDigits end if; V := array( 1 .. 6, [( 1 ) = (7), ( 2 ) = (0), ( 3 ) = (false), ( 4 ) = (false), ( 5 ) = (false), ( 6 ) = (false)  ] ); L := Matrix(7, 2, {(1, 1) = 0., (1, 2) = 0., (2, 1) = 0., (2, 2) = 0., (3, 1) = 0., (3, 2) = 0., (4, 1) = 0., (4, 2) = 0., (5, 1) = 0., (5, 2) = 0., (6, 1) = 0., (6, 2) = 0., (7, 1) = 0., (7, 2) = 0.}, order = C_order); yout := Vector(3, {(1) = 0., (2) = 0., (3) = 0.}); `dsolve/numeric/hermite`(1957, 3, X, Y, YP, outpoint, yout, L, V) end if; [outpoint, seq(yout[i], i = 1 .. 3)] end proc, (2) = Array(0..0, {}), (3) = [x, f(x), diff(f(x), x), diff(diff(f(x), x), x)], (4) = 0}); solnproc := data[1]; if not type(outpoint, 'numeric') then if outpoint = "solnprocedure" then return eval(solnproc) elif member(outpoint, ["start", "left", "right", "errorproc", "rawdata", "order", "error"]) then return solnproc(x_bvp) elif outpoint = "sysvars" then return data[3] elif procname <> unknown then return ('procname')(x_bvp) else _ndsol := pointto(data[2][0]); return ('_ndsol')(x_bvp) end if end if; try res := solnproc(outpoint); [x = res[1], seq('[f(x), diff(f(x), x), diff(diff(f(x), x), x)]'[i] = res[i+1], i = 1 .. 3)] catch: error  end try end proc

(10)

# Proceed this way for all your equations.
#
# You can "play" with maxmesh (increase its value) and abserr (decrease its value)

0.1000290084e-3*(diff(diff(diff(f(x), x), x), x))+(7/4)*f(x)*(diff(diff(f(x), x), x))-(1/2)*(diff(f(x), x))^2+21.00000000-0.4294823481e-4*(diff(f(x), x))

 

[0.1000290084e-3*(diff(diff(diff(f(x), x), x), x))], [(7/4)*f(x)*(diff(diff(f(x), x), x)), -(1/2)*(diff(f(x), x))^2, 21.00000000, -0.4294823481e-4*(diff(f(x), x))]

 

0.1000290084e-3

 

{(diff(diff(diff(f(x), x), x), x))*(10.00010003-10*lambda)+21.00000000+(7/4)*f(x)*(diff(diff(f(x), x), x))-(1/2)*(diff(f(x), x))^2-0.4294823481e-4*(diff(f(x), x)) = 0}

 

proc (x_bvp) local res, data, solnproc, _ndsol, outpoint, i; option `Copyright (c) 2000 by Waterloo Maple Inc. All rights reserved.`; _EnvDSNumericSaveDigits := Digits; Digits := 15; if _EnvInFsolve = true then outpoint := evalf[_EnvDSNumericSaveDigits](x_bvp) else outpoint := evalf(x_bvp) end if; data := Array(1..4, {(1) = proc (outpoint) local X, Y, YP, yout, errproc, L, V, i; option `Copyright (c) 2000 by Waterloo Maple Inc. All rights reserved.`; X := Vector(1957, {(1) = .0, (2) = 0.12611067409361687e-2, (3) = 0.252221348410468e-2, (4) = 0.37833202318279476e-2, (5) = 0.5044426986579459e-2, (6) = 0.6305533751061398e-2, (7) = 0.7566640528282259e-2, (8) = 0.882774733423159e-2, (9) = 0.10088854351906654e-1, (10) = 0.1134996147648832e-1, (11) = 0.1261106863000165e-1, (12) = 0.13872175694923246e-1, (13) = 0.15133282634239825e-1, (14) = 0.1639438961857501e-1, (15) = 0.17655496658894432e-1, (16) = 0.1891660376438843e-1, (17) = 0.201777109453215e-1, (18) = 0.21438818213109903e-1, (19) = 0.226999255803993e-1, (20) = 0.23961033061142355e-1, (21) = 0.2522214067063882e-1, (22) = 0.26483248425465494e-1, (23) = 0.27744356343855976e-1, (24) = 0.2900546444567761e-1, (25) = 0.30266572797350823e-1, (26) = 0.31527681581096964e-1, (27) = 0.32788790652269535e-1, (28) = 0.3404990000354026e-1, (29) = 0.3531100966151564e-1, (30) = 0.3657211949287879e-1, (31) = 0.378332295699809e-1, (32) = 0.3909434005519271e-1, (33) = 0.4035545098622824e-1, (34) = 0.4161656240318755e-1, (35) = 0.42877674348625425e-1, (36) = 0.44138786867628975e-1, (37) = 0.4539990000789529e-1, (38) = 0.4666101381980905e-1, (39) = 0.47922128356520176e-1, (40) = 0.4918324367401858e-1, (41) = 0.504443598306827e-1, (42) = 0.51705476983967505e-1, (43) = 0.52966595278259664e-1, (44) = 0.5422771461261201e-1, (45) = 0.5548883505110064e-1, (46) = 0.5674995666822384e-1, (47) = 0.580110795294846e-1, (48) = 0.59272203529788e-1, (49) = 0.60533328864054374e-1, (50) = 0.61794455708944755e-1, (51) = 0.6305558415556746e-1, (52) = 0.6431671429938847e-1, (53) = 0.6557784623998603e-1, (54) = 0.6683898008085187e-1, (55) = 0.68100115929469e-1, (56) = 0.693612538973893e-1, (57) = 0.7062239410947786e-1, (58) = 0.7188353685500615e-1, (59) = 0.7314468216696497e-1, (60) = 0.7440583008586295e-1, (61) = 0.7566698074321118e-1, (62) = 0.7692813427624462e-1, (63) = 0.7818929082693948e-1, (64) = 0.7945045054195449e-1, (65) = 0.807116135427864e-1, (66) = 0.8197277980036363e-1, (67) = 0.832339496347055e-1, (68) = 0.8449512326790203e-1, (69) = 0.8575630087119017e-1, (70) = 0.8701748261988461e-1, (71) = 0.8827866869383584e-1, (72) = 0.895398592796815e-1, (73) = 0.9080105462393903e-1, (74) = 0.9206225506242222e-1, (75) = 0.9332346062914834e-1, (76) = 0.9458467150848042e-1, (77) = 0.9584588791472444e-1, (78) = 0.9710711006795063e-1, (79) = 0.9836833819402642e-1, (80) = 0.9962957252253975e-1, (81) = .1008908132898561, (82) = .10215206073957839, (83) = .10341331506666945, (84) = .10467457636699808, (85) = .10593584508668905, (86) = .10719712152495582, (87) = .10845840595691103, (88) = .1097196986642039, (89) = .11098099993469157, (90) = .11224231016838984, (91) = .11350362971330877, (92) = .11476495872478397, (93) = .11602629751473549, (94) = .11728764640531733, (95) = .1185490057257598, (96) = .119810375812448, (97) = .12107175700900018, (98) = .12233314966634631, (99) = .1235945541414749, (100) = .12485597079617078, (101) = .12611739991624088, (102) = .12737884176983025, (103) = .12864029693125903, (104) = .12990176583465182, (105) = .131163249047175, (106) = .13242474684245334, (107) = .133686259589641, (108) = .13494778771667934, (109) = .1362093316565799, (110) = .1374708918499907, (111) = .13873246874918502, (112) = .13999406281483692, (113) = .14125567451609802, (114) = .14251730433067672, (115) = .14377895274491753, (116) = .1450406202538804, (117) = .1463023073614202, (118) = .14756401458003954, (119) = .1488257422997683, (120) = .150087491092016, (121) = .15134926174291038, (122) = .1526110546441241, (123) = .1538728703457476, (124) = .15513470941495439, (125) = .15639657242834248, (126) = .1576584599720143, (127) = .15892037264165687, (128) = .16018231104143174, (129) = .16144427577948042, (130) = .16270626747919442, (131) = .1639682867749143, (132) = .16523033431095888, (133) = .16649241074170598, (134) = .16775451674736963, (135) = .1690166531646737, (136) = .17027882056507174, (137) = .17154101957942045, (138) = .17280325077052744, (139) = .17406551483095545, (140) = .17532781264192865, (141) = .1765901449417591, (142) = .17785251247846706, (143) = .17911491601093577, (144) = .1803773563089933, (145) = .18163983415349455, (146) = .1829023503364033, (147) = .18416490566085716, (148) = .18542750093461638, (149) = .18669013697766493, (150) = .18795281469338615, (151) = .1892155350368082, (152) = .19047829870775293, (153) = .19174110656368865, (154) = .19300395948783355, (155) = .19426685837035146, (156) = .1955298039447872, (157) = .1967927971942831, (158) = .19805583915297661, (159) = .1993189307604995, (160) = .2005820729718022, (161) = .20184526675417563, (162) = .20310851308733593, (163) = .20437181298069768, (164) = .2056351675972105, (165) = .20689857783808083, (166) = .20816204467418448, (167) = .20942556914591465, (168) = .21068915229764512, (169) = .2119527951965759, (170) = .21321649892425545, (171) = .21448026457541763, (172) = .21574409325806815, (173) = .2170079860764664, (174) = .21827194397964692, (175) = .2195359682427611, (176) = .2208000601033214, (177) = .2220642207305169, (178) = .22332845139338106, (179) = .22459275335689927, (180) = .2258571276893751, (181) = .22712157561639934, (182) = .22838609838280816, (183) = .2296506972476664, (184) = .23091537348435695, (185) = .2321801283806699, (186) = .23344496323871786, (187) = .2347098793634386, (188) = .23597487807863357, (189) = .23723996072992215, (190) = .23850512867777438, (191) = .23977038326094285, (192) = .2410357257126104, (193) = .24230115775888914, (194) = .2435666807477072, (195) = .24483229606052834, (196) = .2460980051470993, (197) = .24736380945843944, (198) = .24862971047269325, (199) = .24989570968738709, (200) = .2511618086158113, (201) = .25242800878711696, (202) = .25369431174641277, (203) = .2549607190548624, (204) = .2562272322897695, (205) = .2574938530448408, (206) = .25876058304180316, (207) = .26002742389796646, (208) = .2612943771289748, (209) = .26256144432932166, (210) = .2638286270302309, (211) = .265095927107769, (212) = .2663633462944918, (213) = .26763088631657456, (214) = .2688985489173046, (215) = .27016633585718075, (216) = .2714342489024619, (217) = .27270228983366535, (218) = .27397046046268897, (219) = .2752387626666449, (220) = .27650719841710164, (221) = .27777576942913185, (222) = .27904447756352185, (223) = .28031332472127635, (224) = .2815823128215197, (225) = .2828514438009443, (226) = .28412071959629515, (227) = .28539014207450314, (228) = .28665971313690386, (229) = .2879294349732195, (230) = .2891993096211578, (231) = .2904693391287817, (232) = .29173952557201455, (233) = .29300987118523625, (234) = .29428037798980655, (235) = .29555104803310817, (236) = .29682188343590865, (237) = .2980928863568396, (238) = .2993640589781272, (239) = .3006354035017192, (240) = .3019069221494054, (241) = .3031786171629271, (242) = .3044504908040907, (243) = .305722545354889, (244) = .3069947831175016, (245) = .30826720626576226, (246) = .30953981719360346, (247) = .3108126184713257, (248) = .3120856123433916, (249) = .3133588012100643, (250) = .31463218749692895, (251) = .3159057736506831, (252) = .3171795621392577, (253) = .3184535554519378, (254) = .3197277560994727, (255) = .32100216659528064, (256) = .32227678947583327, (257) = .32355162731612075, (258) = .3248266827131019, (259) = .32610195831648564, (260) = .32737745690682285, (261) = .32865318101266594, (262) = .3299291332799342, (263) = .33120531624413657, (264) = .3324817327007616, (265) = .33375838548833214, (266) = .33503527737376965, (267) = .33631241115650806, (268) = .3375897896592342, (269) = .33886741572802737, (270) = .34014529223248985, (271) = .341423422074033, (272) = .34270180831424074, (273) = .3439804538147938, (274) = .3452593614604791, (275) = .34653853420930053, (276) = .3478179750700847, (277) = .34909768707996774, (278) = .35037767330072506, (279) = .3516579368189082, (280) = .35293848072858175, (281) = .354219307980101, (282) = .3555004218630613, (283) = .3567818256397334, (284) = .3580635226153957, (285) = .3593455160148289, (286) = .360627808977678, (287) = .36191040479203895, (288) = .363193306773095, (289) = .36447651826230404, (290) = .36576004262755546, (291) = .36704388326332654, (292) = .36832804359084353, (293) = .369612527057955, (294) = .3708973371113733, (295) = .3721824772338594, (296) = .37346795101397967, (297) = .3747537621071182, (298) = .376039913914085, (299) = .3773264098563199, (300) = .3786132537420681, (301) = .37990044928521455, (302) = .3811880001823728, (303) = .382475910155076, (304) = .38376418291972014, (305) = .38505282224842957, (306) = .3863418319520693, (307) = .3876312158707797, (308) = .38892097789986074, (309) = .3902111220787108, (310) = .39150165220977434, (311) = .39279257221271047, (312) = .3940838860767872, (313) = .39537559781024495, (314) = .3966677114235935, (315) = .3979602309934306, (316) = .3992531605653906, (317) = .4005465041353861, (318) = .40184026606371515, (319) = .40313445057870323, (320) = .4044290619227955, (321) = .40572410450363017, (322) = .4070195825562071, (323) = .40831550030984826, (324) = .4096118620966158, (325) = .41090867231356154, (326) = .4122059353908928, (327) = .41350365579200804, (328) = .41480183801371195, (329) = .4161004865864324, (330) = .4173996060744387, (331) = .41869920107694475, (332) = .4199992763457943, (333) = .4212998364945388, (334) = .42260088599548973, (335) = .42390242949230966, (336) = .4252044719395505, (337) = .4265070181520194, (338) = .4278100729716486, (339) = .4291136412762689, (340) = .4304177279798547, (341) = .4317223380327604, (342) = .43302747641512895, (343) = .4343331481946948, (344) = .4356393584640161, (345) = .43694611218877033, (346) = .43825341450084454, (347) = .43956127057290245, (348) = .44086968561575035, (349) = .44217866487859564, (350) = .4434882136493154, (351) = .44479833725459034, (352) = .4461090408968795, (353) = .44742032991954567, (354) = .448732209988207, (355) = .45004468667502473, (356) = .45135776536114214, (357) = .4526714516013852, (358) = .45398575100155253, (359) = .455300669208603, (360) = .45661621191094987, (361) = .4579323848387527, (362) = .4592491937282255, (363) = .4605666443575282, (364) = .46188474258261275, (365) = .4632034943466466, (366) = .4645229057111015, (367) = .4658429825197997, (368) = .4671637307671712, (369) = .468485156334031, (370) = .4698072654552027, (371) = .47113006438022614, (372) = .4724535592648016, (373) = .4737777563419347, (374) = .4751026619101525, (375) = .4764282823141786, (376) = .47775462397209983, (377) = .4790816934605408, (378) = .4804094971372353, (379) = .4817380414974867, (380) = .4830673331222092, (381) = .4843973786289643, (382) = .48572818463616174, (383) = .4870597578613152, (384) = .48839210507950326, (385) = .489725233115598, (386) = .49105914881222135, (387) = .4923938589156937, (388) = .4937293707148183, (389) = .4950656911939908, (390) = .49640282737471847, (391) = .4977407863613247, (392) = .4990795752835293, (393) = .5004192013759158, (394) = .5017596719278579, (395) = .5031009942825266, (396) = .5044431758373147, (397) = .5057862240558085, (398) = .5071301465899432, (399) = .5084749509093326, (400) = .5098206445690437, (401) = .5111672351940115, (402) = .5125147304789032, (403) = .5138631381285425, (404) = .5152124658524208, (405) = .5165627217548439, (406) = .5179139138164558, (407) = .5192660500687628, (408) = .520619138737851, (409) = .5219731878803903, (410) = .523328205624572, (411) = .5246842001679289, (412) = .5260411798159579, (413) = .5273991529550451, (414) = .528758128034316, (415) = .530118113566156, (416) = .5314791181267454, (417) = .5328411503643272, (418) = .5342042191278352, (419) = .535568333111073, (420) = .5369335008994703, (421) = .5382997313177438, (422) = .5396670334940468, (423) = .5410354164659953, (424) = .542404889338734, (425) = .543775461286273, (426) = .5451471415520872, (427) = .5465199394558277, (428) = .5478938645239059, (429) = .549268926144188, (430) = .5506451337242007, (431) = .5520224968049239, (432) = .5534010250577748, (433) = .5547807282285416, (434) = .5561616161375229, (435) = .5575436986801847, (436) = .5589269858120476, (437) = .5603114873762033, (438) = .561697213768329, (439) = .5630841752254755, (440) = .5644723818770011, (441) = .5658618440473392, (442) = .5672525721761802, (443) = .568644576783994, (444) = .570037868472779, (445) = .5714324579268066, (446) = .572828355922584, (447) = .5742255734591796, (448) = .5756241213875486, (449) = .5770240106464738, (450) = .5784252522639554, (451) = .5798278574162898, (452) = .581231837384252, (453) = .5826372034805568, (454) = .5840439669727922, (455) = .5854521396166025, (456) = .5868617330995154, (457) = .5882727593013376, (458) = .589685229971169, (459) = .5910991569222369, (460) = .5925145520904086, (461) = .5939314275792416, (462) = .595349795593525, (463) = .5967696684355408, (464) = .5981910585060156, (465) = .5996139783181326, (466) = .6010384406251165, (467) = .602464458027922, (468) = .603892043266328, (469) = .6053212090344611, (470) = .6067519682507145, (471) = .6081843342211287, (472) = .6096183201705917, (473) = .6110539394295806, (474) = .6124912054575696, (475) = .613930131957031, (476) = .6153707324659986, (477) = .6168130207044134, (478) = .6182570105535743, (479) = .6197027159327081, (480) = .6211501509226823, (481) = .6225993297537327, (482) = .6240502667739444, (483) = .6255029764798514, (484) = .6269574735828177, (485) = .628413772423688, (486) = .6298718879637916, (487) = .6313318352428073, (488) = .6327936293260322, (489) = .6342572853317894, (490) = .6357228185814568, (491) = .6371902445396497, (492) = .6386595788420484, (493) = .6401308373579022, (494) = .6416040357974403, (495) = .6430791901265656, (496) = .6445563164780391, (497) = .6460354311225756, (498) = .6475165504324425, (499) = .6489996908770286, (500) = .6504848691114168, (501) = .6519721019240693, (502) = .6534614063738786, (503) = .6549527995963177, (504) = .6564462988701254, (505) = .6579419216245554, (506) = .6594396854410469, (507) = .6609396080546993, (508) = .6624417074021354, (509) = .6639460015048627, (510) = .6654525084285169, (511) = .6669612465390978, (512) = .668472234367053, (513) = .6699854906074096, (514) = .6715010341216405, (515) = .673018883933066, (516) = .6745390590108507, (517) = .6760615789402452, (518) = .6775864633196618, (519) = .6791137317161112, (520) = .6806434040300106, (521) = .6821755003423066, (522) = .6837100409163962, (523) = .6852470462002591, (524) = .6867865368376921, (525) = .688328533817619, (526) = .6898730580661522, (527) = .6914201306839357, (528) = .6929697729807611, (529) = .694522006548319, (530) = .6960768530977596, (531) = .6976343344764709, (532) = .6991944733065091, (533) = .7007572918756999, (534) = .7023228127786497, (535) = .7038910588567705, (536) = .7054620531668778, (537) = .7070358189357963, (538) = .7086123795809504, (539) = .7101917588973115, (540) = .7117739809414831, (541) = .7133590697145655, (542) = .714947049609525, (543) = .7165379452675614, (544) = .7181317815587477, (545) = .7197285833448573, (546) = .721328376093886, (547) = .722931185617521, (548) = .7245370377649885, (549) = .7261459584941283, (550) = .7277579741726412, (551) = .729373111429995, (552) = .7309913971585825, (553) = .7326128585284616, (554) = .7342375231473551, (555) = .7358654186139303, (556) = .7374965728095968, (557) = .739131013900905, (558) = .7407687704098137, (559) = .7424098710607225, (560) = .7440543448133753, (561) = .7457022215346637, (562) = .7473535307967266, (563) = .7490083025873183, (564) = .7506665672352699, (565) = .7523283553808792, (566) = .7539936979522723, (567) = .7556626262535396, (568) = .7573351719475563, (569) = .7590113667893085, (570) = .7606912430375508, (571) = .7623748332937448, (572) = .7640621704753428, (573) = .7657532875775883, (574) = .7674482186276257, (575) = .7691469976657005, (576) = .7708496588943096, (577) = .772556236978943, (578) = .7742667670212104, (579) = .7759812844999804, (580) = .777699825318686, (581) = .7794224259113668, (582) = .7811491227400539, (583) = .7828799528005852, (584) = .7846149535386272, (585) = .7863541628075918, (586) = .7880976185900676, (587) = .7898453595829297, (588) = .7915974252949081, (589) = .7933538550954801, (590) = .795114688977085, (591) = .7968799673889012, (592) = .7986497312462352, (593) = .8004240221166192, (594) = .8022028817178726, (595) = .8039863522432215, (596) = .8057744764084547, (597) = .8075672974806, (598) = .8093648591118373, (599) = .8111672053794979, (600) = .812974381600286, (601) = .8147864329206979, (602) = .8166034051370209, (603) = .8184253446203109, (604) = .8202522982846338, (605) = .8220843137351672, (606) = .8239214389629238, (607) = .8257637223855393, (608) = .8276112131788197, (609) = .8294639611062096, (610) = .8313220165061233, (611) = .8331854302039179, (612) = .8350542538903757, (613) = .8369285398110552, (614) = .8388083408026233, (615) = .840693710313698, (616) = .8425847025823417, (617) = .8444813725196388, (618) = .8463837753919228, (619) = .8482919673619356, (620) = .8502060052993263, (621) = .8521259467992299, (622) = .854051850384263, (623) = .8559837745858576, (624) = .8579217792055737, (625) = .8598659249875767, (626) = .861816273236678, (627) = .8637728861445918, (628) = .8657358267799026, (629) = .8677051586071878, (630) = .8696809461296326, (631) = .871663254725857, (632) = .8736521508549832, (633) = .8756477014688805, (634) = .8776499744070785, (635) = .8796590382679299, (636) = .8816749626946874, (637) = .8836978188734109, (638) = .8857276786644668, (639) = .8877646144319902, (640) = .8898086997392983, (641) = .8918600091860152, (642) = .8939186186251947, (643) = .8959846045662448, (644) = .8980580445621817, (645) = .9001390173939156, (646) = .9022276027104215, (647) = .9043238812678798, (648) = .90642793581505, (649) = .9085398493529937, (650) = .9106597062452092, (651) = .91278759209166, (652) = .9149235939579059, (653) = .9170677997719477, (654) = .9192202987263707, (655) = .9213811814517402, (656) = .9235505397680545, (657) = .9257284667691787, (658) = .9279150572429801, (659) = .9301104071789709, (660) = .932314613975753, (661) = .9345277767386027, (662) = .9367499955784505, (663) = .9389813721368282, (664) = .9412220098288309, (665) = .9434720137046206, (666) = .9457314901750181, (667) = .9480005466191951, (668) = .9502792932460813, (669) = .9525678415276232, (670) = .9548663048706167, (671) = .9571747978933918, (672) = .9594934370992158, (673) = .9618223412221294, (674) = .9641616307732246, (675) = .966511427730694, (676) = .9688718560465621, (677) = .9712430414762713, (678) = .9736251130191248, (679) = .9760182006302932, (680) = .9784224365485599, (681) = .9808379555340243, (682) = .9832648940586692, (683) = .9857033909462815, (684) = .9881535875848481, (685) = .9906156276457148, (686) = .9930896570589608, (687) = .9955758232975214, (688) = .9980742778188616, (689) = 1.0005851744394576, (690) = 1.003108668844669, (691) = 1.0056449195453354, (692) = 1.008194088199706, (693) = 1.0107563392371248, (694) = 1.01333183957446, (695) = 1.015920759013064, (696) = 1.0185232702338711, (697) = 1.0211395494700761, (698) = 1.0237697758433364, (699) = 1.0264141319761662, (700) = 1.0290728030620218, (701) = 1.0317459777798217, (702) = 1.0344338487470177, (703) = 1.037136612243575, (704) = 1.0398544670628054, (705) = 1.042587615970961, (706) = 1.0453362667916655, (707) = 1.0481006297775455, (708) = 1.050880919483655, (709) = 1.0536773549301603, (710) = 1.0564901585336604, (711) = 1.0593195570740959, (712) = 1.0621657817893573, (713) = 1.0650290691242439, (714) = 1.0679096600184523, (715) = 1.070807799813666, (716) = 1.0737237379177533, (717) = 1.0766577291427584, (718) = 1.079610033769807, (719) = 1.082580916369677, (720) = 1.085570646236085, (721) = 1.0885794999025409, (722) = 1.0916077597503127, (723) = 1.0946557135995814, (724) = 1.0977236547734768, (725) = 1.1008118819536918, (726) = 1.1039207006057723, (727) = 1.1070504228502496, (728) = 1.1102013655882714, (729) = 1.113373855053497, (730) = 1.1165682232551088, (731) = 1.1197848095614078, (732) = 1.1230239616278663, (733) = 1.1262860337077871, (734) = 1.1295713874901159, (735) = 1.1328803924633883, (736) = 1.1362134273014926, (737) = 1.13957087912256, (738) = 1.1429526809301884, (739) = 1.146351225125599, (740) = 1.149761194445626, (741) = 1.153181268260847, (742) = 1.1566115069186653, (743) = 1.1600519710373027, (744) = 1.1635027217185883, (745) = 1.1669638206127884, (746) = 1.1704353299251888, (747) = 1.1739173124227644, (748) = 1.1774098314409451, (749) = 1.1809129508904554, (750) = 1.184426735264351, (751) = 1.1879512497819738, (752) = 1.1914865604607139, (753) = 1.1950327336120334, (754) = 1.1985898361444396, (755) = 1.2021579355855798, (756) = 1.2057371000898696, (757) = 1.209327398446267, (758) = 1.2129289000861665, (759) = 1.2165416750913507, (760) = 1.2201657942023478, (761) = 1.22380132910343, (762) = 1.2274483521406587, (763) = 1.2311069360961553, (764) = 1.2347771544448054, (765) = 1.2384590813631027, (766) = 1.2421527917380437, (767) = 1.2458583611762215, (768) = 1.2495758660130794, (769) = 1.253305383322216, (770) = 1.2570469909498445, (771) = 1.260800767888374, (772) = 1.2645667936445015, (773) = 1.2683451483597852, (774) = 1.2721359129636185, (775) = 1.2759391691836515, (776) = 1.2797549995562436, (777) = 1.2835834874371452, (778) = 1.287424717012392, (779) = 1.2912787733092783, (780) = 1.2951457423088562, (781) = 1.2990257112391563, (782) = 1.3029187678000465, (783) = 1.306825000519121, (784) = 1.3107444988237862, (785) = 1.3146773530535683, (786) = 1.3186236544724845, (787) = 1.322583495281658, (788) = 1.3265569686321916, (789) = 1.3305441686382202, (790) = 1.3345451906356258, (791) = 1.3385601311694078, (792) = 1.3425890873566015, (793) = 1.3466321573228714, (794) = 1.3506894402263099, (795) = 1.35476103627203, (796) = 1.358847046726896, (797) = 1.3629475739345267, (798) = 1.3670627213305648, (799) = 1.371192593462464, (800) = 1.3753372964629296, (801) = 1.3794969374738242, (802) = 1.3836716244844918, (803) = 1.3878614666578233, (804) = 1.3920665743471312, (805) = 1.3962870591135332, (806) = 1.4005230337435934, (807) = 1.404774612267304, (808) = 1.40904190997629, (809) = 1.4133250435031033, (810) = 1.4176241313652878, (811) = 1.4219392929520922, (812) = 1.426270648823522, (813) = 1.4306183208990293, (814) = 1.4349824324779015, (815) = 1.4393631082601077, (816) = 1.4437604743675403, (817) = 1.4481746583657338, (818) = 1.4526057892857267, (819) = 1.457053997848002, (820) = 1.4615194168077768, (821) = 1.4660021798268617, (822) = 1.47050242206523, (823) = 1.4750202802664978, (824) = 1.4795558927827341, (825) = 1.4841093995996755, (826) = 1.4886809423624516, (827) = 1.4932706644020037, (828) = 1.4978787107615803, (829) = 1.5025052286807106, (830) = 1.5071503673691935, (831) = 1.5118142772203798, (832) = 1.516497110450085, (833) = 1.521199021130172, (834) = 1.5259201652189134, (835) = 1.5306607005917725, (836) = 1.535420787072793, (837) = 1.5402005864669406, (838) = 1.545000262613062, (839) = 1.5498199821814014, (840) = 1.55465991356943, (841) = 1.5595202268899848, (842) = 1.5644010944094595, (843) = 1.5693026905839227, (844) = 1.5742251920964927, (845) = 1.5791687778952734, (846) = 1.584133629231994, (847) = 1.589119929701852, (848) = 1.5941278654262654, (849) = 1.5991576258673146, (850) = 1.6042094021592994, (851) = 1.6092833877440702, (852) = 1.6143797786205427, (853) = 1.6194987733894437, (854) = 1.6246405732996454, (855) = 1.6298053822953502, (856) = 1.6349934070641656, (857) = 1.6402048570865033, (858) = 1.6454399451007093, (859) = 1.6506988874695545, (860) = 1.6559819024887261, (861) = 1.661289211397524, (862) = 1.666621038494818, (863) = 1.671977611195165, (864) = 1.6773591600867659, (865) = 1.6827659189906854, (866) = 1.6881981250213913, (867) = 1.693656018648471, (868) = 1.6991398446598325, (869) = 1.7046498514068777, (870) = 1.710186289896821, (871) = 1.7157494147580357, (872) = 1.7213394843106173, (873) = 1.7269567606376166, (874) = 1.7326015096583287, (875) = 1.7382740012033069, (876) = 1.7439745090915395, (877) = 1.7497033112801517, (878) = 1.7554606912715403, (879) = 1.7612469359851675, (880) = 1.7670623361037363, (881) = 1.7729071867160648, (882) = 1.7787817874068212, (883) = 1.7846864423480238, (884) = 1.7906214603929205, (885) = 1.796587155172029, (886) = 1.8025838451926912, (887) = 1.8086118542825629, (888) = 1.8146715128709043, (889) = 1.8207631550953325, (890) = 1.8268871201363366, (891) = 1.8330437525901857, (892) = 1.8392334025845158, (893) = 1.8454564258972619, (894) = 1.8517131840786396, (895) = 1.858004044575701, (896) = 1.8643293808622583, (897) = 1.8706895734856477, (898) = 1.8770850103289585, (899) = 1.8835160839588245, (900) = 1.889983193470814, (901) = 1.8964867446923925, (902) = 1.9030271503341456, (903) = 1.9096048301462807, (904) = 1.9162202110795399, (905) = 1.9228737274492667, (906) = 1.9295658211155453, (907) = 1.9362969435545494, (908) = 1.943067553806978, (909) = 1.9498781175938333, (910) = 1.956729108910844, (911) = 1.9636210102266844, (912) = 1.9705543126844554, (913) = 1.9775295163106428, (914) = 1.9845471302307687, (915) = 1.9916076728894851, (916) = 1.9987116725115937, (917) = 2.0058596698233875, (918) = 2.013052213709676, (919) = 2.0202898624996006, (920) = 2.0275731850678467, (921) = 2.034902761103743, (922) = 2.0422791813850685, (923) = 2.0497030480619562, (924) = 2.0571749749508, (925) = 2.0646955878358395, (926) = 2.0722655256784437, (927) = 2.0798854428262894, (928) = 2.0875560035478373, (929) = 2.0952778850546445, (930) = 2.103051778210528, (931) = 2.1108783879031248, (932) = 2.1187584334239165, (933) = 2.126692648862061, (934) = 2.1346817835124354, (935) = 2.142726602298396, (936) = 2.1508278884903467, (937) = 2.1589864433980024, (938) = 2.167203081955676, (939) = 2.175478636551378, (940) = 2.1838139575658886, (941) = 2.192209913896489, (942) = 2.200667393496569, (943) = 2.209187303935464, (944) = 2.2177705729772317, (945) = 2.226418149267976, (946) = 2.2351310074056845, (947) = 2.243910142511183, (948) = 2.252756569939845, (949) = 2.261671328528324, (950) = 2.27065548131771, (951) = 2.2797101163104836, (952) = 2.2888363472563067, (953) = 2.298035314470298, (954) = 2.3073081856762894, (955) = 2.316656157696414, (956) = 2.3260804627486342, (957) = 2.335582358466814, (958) = 2.345163132200997, (959) = 2.3548241035612856, (960) = 2.3645666255011806, (961) = 2.374392085445935, (962) = 2.3843019064704145, (963) = 2.3942975485331863, (964) = 2.4043805097458124, (965) = 2.4145523304965404, (966) = 2.424814598133215, (967) = 2.4351689351105366, (968) = 2.445617007282089, (969) = 2.45616052605427, (970) = 2.4668012500648784, (971) = 2.47754098692811, (972) = 2.488381595062649, (973) = 2.499324985620466, (974) = 2.5103731244742726, (975) = 2.5215280414159587, (976) = 2.532791827501886, (977) = 2.544166627375325, (978) = 2.555654649582165, (979) = 2.567258169126425, (980) = 2.57897953017305, (981) = 2.590821148866759, (982) = 2.602785516293039, (983) = 2.61487520162125, (984) = 2.627092855880931, (985) = 2.6394412286388045, (986) = 2.651923151767844, (987) = 2.664541543709142, (988) = 2.6772994195077353, (989) = 2.6901998950712542, (990) = 2.7032461917337067, (991) = 2.7164416410497063, (992) = 2.7297896898507648, (993) = 2.743293905631671, (994) = 2.7569579856836675, (995) = 2.7707857787563195, (996) = 2.7847812567457098, (997) = 2.798948533805447, (998) = 2.8132918772015847, (999) = 2.8278157149163996, (1000) = 2.842524643831713, (1001) = 2.8574234384092683, (1002) = 2.872517059916759, (1003) = 2.8878106662578547, (1004) = 2.903309634588218, (1005) = 2.9190195795703486, (1006) = 2.934946322009636, (1007) = 2.95109592528016, (1008) = 2.9674747104214267, (1009) = 2.984089270817855, (1010) = 3.000946488054656, (1011) = 3.0180535489203595, (1012) = 3.0354179637079106, (1013) = 3.053047585733967, (1014) = 3.070950666653916, (1015) = 3.0891358483274356, (1016) = 3.1076121579864058, (1017) = 3.1263890624531356, (1018) = 3.1454764973176124, (1019) = 3.1648848982541593, (1020) = 3.184625235139038, (1021) = 3.2047067922964274, (1022) = 3.22506119857703, (1023) = 3.24551577350801, (1024) = 3.2659703484389895, (1025) = 3.286424923369969, (1026) = 3.306879498300949, (1027) = 3.3273340732319285, (1028) = 3.347788648162908, (1029) = 3.368243223093888, (1030) = 3.3886977980248676, (1031) = 3.4091523729558473, (1032) = 3.429606947886827, (1033) = 3.4500615228178066, (1034) = 3.4705160977487863, (1035) = 3.490970672679766, (1036) = 3.5114252476107457, (1037) = 3.5318798225417254, (1038) = 3.552334397472705, (1039) = 3.5727889724036848, (1040) = 3.5932435473346644, (1041) = 3.613698122265644, (1042) = 3.634152697196624, (1043) = 3.6546072721276035, (1044) = 3.675061847058583, (1045) = 3.695516421989563, (1046) = 3.7159709969205426, (1047) = 3.7364255718515222, (1048) = 3.756880146782502, (1049) = 3.7773347217134816, (1050) = 3.7977892966444613, (1051) = 3.818243871575441, (1052) = 3.8386984465064207, (1053) = 3.8591530214374004, (1054) = 3.87960759636838, (1055) = 3.9000621712993597, (1056) = 3.9205167462303394, (1057) = 3.940971321161319, (1058) = 3.961425896092299, (1059) = 3.9818804710232785, (1060) = 4.002335045954258, (1061) = 4.022789620885237, (1062) = 4.043244195816216, (1063) = 4.063698770747195, (1064) = 4.084153345678175, (1065) = 4.104607920609154, (1066) = 4.125062495540133, (1067) = 4.145517070471112, (1068) = 4.165971645402092, (1069) = 4.186426220333071, (1070) = 4.20688079526405, (1071) = 4.227335370195029, (1072) = 4.247789945126009, (1073) = 4.268244520056988, (1074) = 4.288699094987967, (1075) = 4.309153669918946, (1076) = 4.329608244849926, (1077) = 4.350062819780905, (1078) = 4.370517394711884, (1079) = 4.390971969642863, (1080) = 4.4114265445738425, (1081) = 4.431881119504822, (1082) = 4.452335694435801, (1083) = 4.47279026936678, (1084) = 4.4932448442977595, (1085) = 4.513699419228739, (1086) = 4.534153994159718, (1087) = 4.554608569090697, (1088) = 4.5750631440216765, (1089) = 4.595517718952656, (1090) = 4.615972293883635, (1091) = 4.636426868814614, (1092) = 4.656881443745593, (1093) = 4.677336018676573, (1094) = 4.697790593607552, (1095) = 4.718245168538531, (1096) = 4.73869974346951, (1097) = 4.75915431840049, (1098) = 4.779599945763837, (1099) = 4.799901456250844, (1100) = 4.819905865275028, (1101) = 4.839569436413305, (1102) = 4.858903637752792, (1103) = 4.877919332921822, (1104) = 4.8966268358625875, (1105) = 4.915035968411521, (1106) = 4.933156091085105, (1107) = 4.950996131374472, (1108) = 4.968564609995763, (1109) = 4.985869665271386, (1110) = 5.002919075439649, (1111) = 5.019720286516001, (1112) = 5.03628045357582, (1113) = 5.052606394464678, (1114) = 5.068704636604071, (1115) = 5.084581438735351, (1116) = 5.100242805508283, (1117) = 5.115694500970945, (1118) = 5.130942061214859, (1119) = 5.14599080627073, (1120) = 5.1608458510996975, (1121) = 5.1755121264101795, (1122) = 5.189994388334937, (1123) = 5.204297193705956, (1124) = 5.2184249317222235, (1125) = 5.232381832739384, (1126) = 5.246171975874328, (1127) = 5.259799296093475, (1128) = 5.273267590897954, (1129) = 5.286580526666074, (1130) = 5.299741644616874, (1131) = 5.312754379344769, (1132) = 5.325622047287863, (1133) = 5.338347844325197, (1134) = 5.350934862090099, (1135) = 5.363386092396628, (1136) = 5.3757044315042535, (1137) = 5.387892684129737, (1138) = 5.399953567249112, (1139) = 5.411889713716575, (1140) = 5.423703676598961, (1141) = 5.43539794289569, (1142) = 5.446974915691684, (1143) = 5.458436922492583, (1144) = 5.469786222340324, (1145) = 5.481025008442234, (1146) = 5.492155410706678, (1147) = 5.503179498149715, (1148) = 5.514099281188764, (1149) = 5.5249167138221695, (1150) = 5.535633698018511, (1151) = 5.546252090526589, (1152) = 5.556773688358335, (1153) = 5.567200238798176, (1154) = 5.577533442328313, (1155) = 5.587774954272949, (1156) = 5.59792638638053, (1157) = 5.6079893083360375, (1158) = 5.617965249212904, (1159) = 5.62785569884747, (1160) = 5.637662112912206, (1161) = 5.647385912633534, (1162) = 5.657028477270494, (1163) = 5.666591151776356, (1164) = 5.6760752480340635, (1165) = 5.6854820459281274, (1166) = 5.694812794373559, (1167) = 5.704068712303182, (1168) = 5.7132509896232175, (1169) = 5.722360788177643, (1170) = 5.731399247375848, (1171) = 5.740367478010054, (1172) = 5.749266562096297, (1173) = 5.758097556877604, (1174) = 5.766861495571976, (1175) = 5.775559388094928, (1176) = 5.7841922217526625, (1177) = 5.792760961908116, (1178) = 5.801266552630103, (1179) = 5.809709917809679, (1180) = 5.818091965441857, (1181) = 5.826413580142048, (1182) = 5.834675626371095, (1183) = 5.842878950205562, (1184) = 5.851024379851201, (1185) = 5.859112726143346, (1186) = 5.86714478302817, (1187) = 5.875121328025217, (1188) = 5.883043122679921, (1189) = 5.890910914152032, (1190) = 5.898725436996217, (1191) = 5.906487407362627, (1192) = 5.914197526781967, (1193) = 5.921856482855736, (1194) = 5.929464949618962, (1195) = 5.937023587894995, (1196) = 5.944533045638145, (1197) = 5.951993958263391, (1198) = 5.959406948968633, (1199) = 5.966772630927536, (1200) = 5.974091606114039, (1201) = 5.98136446266348, (1202) = 5.988591777678788, (1203) = 5.995774117516898, (1204) = 6.002912038051496, (1205) = 6.0100060849299375, (1206) = 6.017056793822384, (1207) = 6.024064690662507, (1208) = 6.031030291955222, (1209) = 6.037954107236152, (1210) = 6.044836635601078, (1211) = 6.051678366119732, (1212) = 6.058479779236215, (1213) = 6.0652413469720505, (1214) = 6.071963533120579, (1215) = 6.078646793436689, (1216) = 6.085291575821165, (1217) = 6.0918983205001025, (1218) = 6.098467460538646, (1219) = 6.104999423582587, (1220) = 6.1114946281383675, (1221) = 6.1179534852726105, (1222) = 6.124376399205603, (1223) = 6.130763767463012, (1224) = 6.137115981022318, (1225) = 6.14343342445549, (1226) = 6.149716476067508, (1227) = 6.155965508032449, (1228) = 6.162180887238813, (1229) = 6.1683629757326885, (1230) = 6.174512128031225, (1231) = 6.18062869294174, (1232) = 6.186713013768597, (1233) = 6.192765428428229, (1234) = 6.19878626956109, (1235) = 6.20477586464075, (1236) = 6.210734536079536, (1237) = 6.216662601333261, (1238) = 6.2225603741386655, (1239) = 6.228428163361127, (1240) = 6.234266272077085, (1241) = 6.240074998798581, (1242) = 6.245854637564159, (1243) = 6.251605478027394, (1244) = 6.257327805543525, (1245) = 6.263021901254106, (1246) = 6.268688042168734, (1247) = 6.274326501322674, (1248) = 6.279937549047608, (1249) = 6.285521450861425, (1250) = 6.291078467949223, (1251) = 6.296608857750708, (1252) = 6.302112874031623, (1253) = 6.307590766952877, (1254) = 6.313042783138349, (1255) = 6.318469165741376, (1256) = 6.32387015450889, (1257) = 6.329245986100661, (1258) = 6.334596894876298, (1259) = 6.3399231108408785, (1260) = 6.345224860666, (1261) = 6.350502367921233, (1262) = 6.355755853130734, (1263) = 6.360985533827964, (1264) = 6.366191624609341, (1265) = 6.371374337186983, (1266) = 6.376533880439764, (1267) = 6.381670460959367, (1268) = 6.386784283032106, (1269) = 6.3918755472994775, (1270) = 6.396944451742154, (1271) = 6.401991191749827, (1272) = 6.407015960166426, (1273) = 6.412018947333939, (1274) = 6.417000341135335, (1275) = 6.421960327036749, (1276) = 6.426899088133873, (1277) = 6.431816805934923, (1278) = 6.436713659400172, (1279) = 6.441589824681606, (1280) = 6.446445475713707, (1281) = 6.4512807842500335, (1282) = 6.45609591989962, (1283) = 6.460891050162418, (1284) = 6.465666340464004, (1285) = 6.470421954189564, (1286) = 6.475158052792133, (1287) = 6.479874796508076, (1288) = 6.484572342996931, (1289) = 6.489250847767304, (1290) = 6.49391046444911, (1291) = 6.49855134482342, (1292) = 6.503173638851996, (1293) = 6.507777494706181, (1294) = 6.512363058795258, (1295) = 6.516930475794041, (1296) = 6.521479888873619, (1297) = 6.526011440058072, (1298) = 6.530525269015419, (1299) = 6.5350215137145184, (1300) = 6.539500310522017, (1301) = 6.543961794226933, (1302) = 6.548406098064826, (1303) = 6.552833353741514, (1304) = 6.5572436914564385, (1305) = 6.5616372399252745, (1306) = 6.566014126772318, (1307) = 6.570374478334124, (1308) = 6.5747184189817105, (1309) = 6.579046071685795, (1310) = 6.583357558042312, (1311) = 6.587652998292814, (1312) = 6.591932511344431, (1313) = 6.5961962147894555, (1314) = 6.600444224924743, (1315) = 6.604676656782211, (1316) = 6.608893624647716, (1317) = 6.6130952413049195, (1318) = 6.617281618027283, (1319) = 6.62145286488479, (1320) = 6.625609090761132, (1321) = 6.629750403370714, (1322) = 6.633876909275285, (1323) = 6.637988713900222, (1324) = 6.642085921550715, (1325) = 6.646168635498953, (1326) = 6.65023695840274, (1327) = 6.654290991394288, (1328) = 6.658330834429409, (1329) = 6.662356586420574, (1330) = 6.666368345251244, (1331) = 6.670366207790113, (1332) = 6.674350269905061, (1333) = 6.678320626476797, (1334) = 6.682277371412413, (1335) = 6.6862205978268054, (1336) = 6.690150398181826, (1337) = 6.694066863550045, (1338) = 6.6979700840538685, (1339) = 6.701860148906706, (1340) = 6.705737146425027, (1341) = 6.709601164040352, (1342) = 6.713452288311022, (1343) = 6.717290604933719, (1344) = 6.7211161987548556, (1345) = 6.724929154071867, (1346) = 6.7287295543670425, (1347) = 6.732517481984405, (1348) = 6.736293018461649, (1349) = 6.740056244540853, (1350) = 6.743807240178715, (1351) = 6.747546084556683, (1352) = 6.751272856090944, (1353) = 6.75498763244222, (1354) = 6.758690490542566, (1355) = 6.762381506947353, (1356) = 6.7660607572497975, (1357) = 6.76972831616785, (1358) = 6.773384257711103, (1359) = 6.777028655189771, (1360) = 6.7806615812234226, (1361) = 6.784283107749609, (1362) = 6.787893306032351, (1363) = 6.791492246670539, (1364) = 6.79507999967404, (1365) = 6.798656634708655, (1366) = 6.802222220471203, (1367) = 6.805776824967014, (1368) = 6.809320515576505, (1369) = 6.8128533590628235, (1370) = 6.816375421579347, (1371) = 6.819886768677064, (1372) = 6.823387465311823, (1373) = 6.826877575851564, (1374) = 6.830357164226586, (1375) = 6.8338262939498895, (1376) = 6.83728502766511, (1377) = 6.84073342744554, (1378) = 6.844171554811073, (1379) = 6.847599470734747, (1380) = 6.851017235649192, (1381) = 6.854424909452998, (1382) = 6.857822551516926, (1383) = 6.861210220690897, (1384) = 6.86458797554246, (1385) = 6.867955874073978, (1386) = 6.871313973594621, (1387) = 6.874662330915987, (1388) = 6.878001002357847, (1389) = 6.881330043753768, (1390) = 6.884649510456689, (1391) = 6.887959457344422, (1392) = 6.891259938825025, (1393) = 6.894551008863304, (1394) = 6.897832721221617, (1395) = 6.9011051290087595, (1396) = 6.9043682847965, (1397) = 6.907622240713015, (1398) = 6.910867048447885, (1399) = 6.914102759256969, (1400) = 6.917329423967229, (1401) = 6.920547092981511, (1402) = 6.923755816283209, (1403) = 6.926955643505246, (1404) = 6.930146624067122, (1405) = 6.93332880674134, (1406) = 6.936502239870348, (1407) = 6.939666971399865, (1408) = 6.94282304888323, (1409) = 6.945970519485645, (1410) = 6.949109429988377, (1411) = 6.952239826792916, (1412) = 6.955361755925054, (1413) = 6.9584752631636215, (1414) = 6.961580393992686, (1415) = 6.964677193329635, (1416) = 6.9677657057293505, (1417) = 6.970845975390825, (1418) = 6.973918046160953, (1419) = 6.976981961538247, (1420) = 6.980037764676505, (1421) = 6.983085498388435, (1422) = 6.98612520515224, (1423) = 6.989156927297943, (1424) = 6.992180706743452, (1425) = 6.995196584965121, (1426) = 6.99820460311582, (1427) = 7.001204802028247, (1428) = 7.004197222218248, (1429) = 7.007181903888075, (1430) = 7.010158886929606, (1431) = 7.0131282109275155, (1432) = 7.0160899151862814, (1433) = 7.019044038894063, (1434) = 7.021990620775833, (1435) = 7.024929699211911, (1436) = 7.0278613122908675, (1437) = 7.030785497812457, (1438) = 7.0337022932905215, (1439) = 7.036611735955862, (1440) = 7.039513862759076, (1441) = 7.042408710373336, (1442) = 7.045296315258033, (1443) = 7.048176713725857, (1444) = 7.051049941641773, (1445) = 7.053916034590696, (1446) = 7.05677502789373, (1447) = 7.05962695661077, (1448) = 7.062471855543055, (1449) = 7.0653097592357, (1450) = 7.068140701980213, (1451) = 7.070964717816933, (1452) = 7.0737818406478254, (1453) = 7.076592104148589, (1454) = 7.079395541615503, (1455) = 7.082192186103086, (1456) = 7.0849820704267215, (1457) = 7.0877652271649625, (1458) = 7.090541688661798, (1459) = 7.093311487028882, (1460) = 7.096074654147772, (1461) = 7.098831221677635, (1462) = 7.1015812211989715, (1463) = 7.104324683981184, (1464) = 7.107061641002049, (1465) = 7.1097921230200205, (1466) = 7.112516160576278, (1467) = 7.115233783996771, (1468) = 7.117945023394232, (1469) = 7.1206499086701545, (1470) = 7.123348469516776, (1471) = 7.126040735444656, (1472) = 7.128726735891676, (1473) = 7.131406499957209, (1474) = 7.134080056511143, (1475) = 7.136747434223693, (1476) = 7.1394086615672165, (1477) = 7.142063766818034, (1478) = 7.1447127780582225, (1479) = 7.147355723177375, (1480) = 7.1499926298743635, (1481) = 7.152623525716651, (1482) = 7.155248438160543, (1483) = 7.157867394344638, (1484) = 7.1604804212179225, (1485) = 7.163087545547202, (1486) = 7.165688793918725, (1487) = 7.168284192739803, (1488) = 7.17087376824041, (1489) = 7.173457546474761, (1490) = 7.176035553322959, (1491) = 7.178607814590973, (1492) = 7.181174355899892, (1493) = 7.183735202612559, (1494) = 7.186290379923762, (1495) = 7.1888399128617255, (1496) = 7.1913838262895675, (1497) = 7.193922144906743, (1498) = 7.196454893250478, (1499) = 7.1989820956971835, (1500) = 7.201503776471775, (1501) = 7.204019959756831, (1502) = 7.206530669494298, (1503) = 7.209035929427687, (1504) = 7.21153576314659, (1505) = 7.214030194088018, (1506) = 7.216519245537704, (1507) = 7.219002940631403, (1508) = 7.221481302356167, (1509) = 7.223954353551624, (1510) = 7.226422116938011, (1511) = 7.228884615185013, (1512) = 7.231341870709448, (1513) = 7.2337939057704626, (1514) = 7.236240742485969, (1515) = 7.23868240283384, (1516) = 7.241118908653084, (1517) = 7.2435502816450095, (1518) = 7.2459765433743755, (1519) = 7.248397715270539, (1520) = 7.250813818683145, (1521) = 7.25322487487022, (1522) = 7.255630904860615, (1523) = 7.258031929550306, (1524) = 7.260427969705442, (1525) = 7.262819045963411, (1526) = 7.2652051788339005, (1527) = 7.267586388699949, (1528) = 7.269962695818978, (1529) = 7.272334120324731, (1530) = 7.274700682313303, (1531) = 7.27706240172666, (1532) = 7.27941929832722, (1533) = 7.281771391756866, (1534) = 7.2841187015379285, (1535) = 7.286461247074143, (1536) = 7.288799047651611, (1537) = 7.2911321224397465, (1538) = 7.29346049049221, (1539) = 7.295784170757824, (1540) = 7.298103182161762, (1541) = 7.300417543439858, (1542) = 7.302727273189446, (1543) = 7.305032389896698, (1544) = 7.307332911937505, (1545) = 7.3096288575783515, (1546) = 7.311920244977179, (1547) = 7.314207092184243, (1548) = 7.316489417142961, (1549) = 7.318767237718197, (1550) = 7.321040571735172, (1551) = 7.323309436827339, (1552) = 7.325573850516763, (1553) = 7.327833830222821, (1554) = 7.3300893932630045, (1555) = 7.332340556853709, (1556) = 7.334587338111018, (1557) = 7.33682975405148, (1558) = 7.339067821592876, (1559) = 7.341301557606788, (1560) = 7.343530978884189, (1561) = 7.345756102049298, (1562) = 7.347976943630229, (1563) = 7.350193520060094, (1564) = 7.352405847677727, (1565) = 7.354613942728409, (1566) = 7.35681782136457, (1567) = 7.359017499646498, (1568) = 7.3612129935451724, (1569) = 7.363404319014081, (1570) = 7.365591491877271, (1571) = 7.367774527831366, (1572) = 7.369953442484308, (1573) = 7.372128251356013, (1574) = 7.374298969879037, (1575) = 7.376465613399224, (1576) = 7.378628197176357, (1577) = 7.380786736384793, (1578) = 7.38294124612579, (1579) = 7.385091741486035, (1580) = 7.3872382374014585, (1581) = 7.3893807487091605, (1582) = 7.3915192901639655, (1583) = 7.393653876439024, (1584) = 7.395784522126417, (1585) = 7.397911241737744, (1586) = 7.400034049704722, (1587) = 7.402152960379757, (1588) = 7.404267988064298, (1589) = 7.4063791470250875, (1590) = 7.408486451382061, (1591) = 7.410589915174423, (1592) = 7.412689552364938, (1593) = 7.414785376840488, (1594) = 7.416877402412616, (1595) = 7.41896564281807, (1596) = 7.421050111719343, (1597) = 7.423130822705201, (1598) = 7.425207789340488, (1599) = 7.427281025115815, (1600) = 7.429350543400304, (1601) = 7.431416357491461, (1602) = 7.433478480615687, (1603) = 7.43553692592878, (1604) = 7.4375917065164385, (1605) = 7.439642835394755, (1606) = 7.441690325510709, (1607) = 7.443734189746125, (1608) = 7.445774440976072, (1609) = 7.447811091966438, (1610) = 7.449844155391067, (1611) = 7.451873643857108, (1612) = 7.453899569905478, (1613) = 7.4559219460113235, (1614) = 7.457940784584479, (1615) = 7.459956097969922, (1616) = 7.461967898448222, (1617) = 7.463976198249048, (1618) = 7.465981009591273, (1619) = 7.467982344572803, (1620) = 7.4699802152195955, (1621) = 7.471974633495413, (1622) = 7.4739656113022495, (1623) = 7.475953160480755, (1624) = 7.4779372928106564, (1625) = 7.479918020011169, (1626) = 7.4818953537414155, (1627) = 7.483869305628657, (1628) = 7.485839887267227, (1629) = 7.487807110138557, (1630) = 7.489770985664132, (1631) = 7.491731525207374, (1632) = 7.493688740074031, (1633) = 7.495642641512565, (1634) = 7.497593240714539, (1635) = 7.499540548814998, (1636) = 7.501484576893126, (1637) = 7.5034253360181795, (1638) = 7.505362837190654, (1639) = 7.5072970913220445, (1640) = 7.509228109269209, (1641) = 7.511155901834732, (1642) = 7.513080479767283, (1643) = 7.515001853761978, (1644) = 7.51692003446073, (1645) = 7.518835032452602, (1646) = 7.520746858278929, (1647) = 7.522655522479503, (1648) = 7.524561035501826, (1649) = 7.526463407725861, (1650) = 7.528362649480448, (1651) = 7.530258771043641, (1652) = 7.532151782643042, (1653) = 7.534041694456124, (1654) = 7.5359285166105625, (1655) = 7.537812259184558, (1656) = 7.539692932221311, (1657) = 7.541570545754068, (1658) = 7.543445109718608, (1659) = 7.545316633997329, (1660) = 7.547185128424748, (1661) = 7.549050602787806, (1662) = 7.550913066826175, (1663) = 7.552772530232565, (1664) = 7.554629002653015, (1665) = 7.556482493687204, (1666) = 7.5583330129164485, (1667) = 7.5601805698892495, (1668) = 7.562025174067318, (1669) = 7.56386683486679, (1670) = 7.565705561658902, (1671) = 7.56754136377028, (1672) = 7.569374250483219, (1673) = 7.5712042310359635, (1674) = 7.573031314622985, (1675) = 7.5748555103961515, (1676) = 7.576676827505345, (1677) = 7.578495275037745, (1678) = 7.580310862014501, (1679) = 7.582123597414363, (1680) = 7.583933490173936, (1681) = 7.5857405491879515, (1682) = 7.587544783309521, (1683) = 7.5893462013504, (1684) = 7.591144812081242, (1685) = 7.592940624237828, (1686) = 7.594733646556354, (1687) = 7.596523887694979, (1688) = 7.598311356261577, (1689) = 7.600096060824183, (1690) = 7.601878009911239, (1691) = 7.603657212011841, (1692) = 7.605433675575975, (1693) = 7.60720740901476, (1694) = 7.608978420700683, (1695) = 7.6107467189828535, (1696) = 7.612512312199677, (1697) = 7.614275208610958, (1698) = 7.6160354164361515, (1699) = 7.6177929438572525, (1700) = 7.619547799019024, (1701) = 7.62129999002922, (1702) = 7.623049524958809, (1703) = 7.624796411842196, (1704) = 7.626540658677444, (1705) = 7.6282822734539595, (1706) = 7.630021264127614, (1707) = 7.631757638587955, (1708) = 7.633491404689044, (1709) = 7.635222570249684, (1710) = 7.636951143053628, (1711) = 7.6386771308497945, (1712) = 7.640400541352466, (1713) = 7.642121382241498, (1714) = 7.643839661164192, (1715) = 7.645555385770016, (1716) = 7.647268563651927, (1717) = 7.6489792023533445, (1718) = 7.650687309384274, (1719) = 7.652392892221509, (1720) = 7.65409595830882, (1721) = 7.655796515057151, (1722) = 7.657494569844813, (1723) = 7.659190130017671, (1724) = 7.660883202896386, (1725) = 7.662573795802084, (1726) = 7.664261915989996, (1727) = 7.665947570677381, (1728) = 7.6676307670499995, (1729) = 7.669311512262291, (1730) = 7.670989813437558, (1731) = 7.672665677668145, (1732) = 7.674339112015621, (1733) = 7.676010123510948, (1734) = 7.677678719170351, (1735) = 7.679344905997785, (1736) = 7.681008690933963, (1737) = 7.682670080888522, (1738) = 7.684329082741375, (1739) = 7.685985703342876, (1740) = 7.687639949513995, (1741) = 7.689291828046482, (1742) = 7.690941345703033, (1743) = 7.692588509217531, (1744) = 7.694233325321977, (1745) = 7.69587580071419, (1746) = 7.697515942041653, (1747) = 7.699153755923615, (1748) = 7.700789248951255, (1749) = 7.702422427687834, (1750) = 7.704053298668859, (1751) = 7.705681868402233, (1752) = 7.707308143368413, (1753) = 7.70893213002305, (1754) = 7.710553834825748, (1755) = 7.712173264185651, (1756) = 7.713790424474351, (1757) = 7.715405322036758, (1758) = 7.717017963191249, (1759) = 7.718628354229814, (1760) = 7.720236501418206, (1761) = 7.721842410996081, (1762) = 7.723446089177147, (1763) = 7.725047542157286, (1764) = 7.7266467761318225, (1765) = 7.7282437972405855, (1766) = 7.729838611594334, (1767) = 7.731431225278593, (1768) = 7.733021644353786, (1769) = 7.734609874855379, (1770) = 7.736195922794012, (1771) = 7.737779794155639, (1772) = 7.739361494901656, (1773) = 7.740941030985229, (1774) = 7.742518408345327, (1775) = 7.744093632870331, (1776) = 7.745666710424213, (1777) = 7.747237646847059, (1778) = 7.748806447955194, (1779) = 7.750373119541314, (1780) = 7.751937667374614, (1781) = 7.75350009720091, (1782) = 7.755060414743156, (1783) = 7.756618625726384, (1784) = 7.75817473584211, (1785) = 7.759728750743381, (1786) = 7.761280676060495, (1787) = 7.762830517401119, (1788) = 7.764378280350417, (1789) = 7.765923970471164, (1790) = 7.767467593303865, (1791) = 7.769009154366878, (1792) = 7.770548659159828, (1793) = 7.772086113186593, (1794) = 7.773621521906366, (1795) = 7.775154890749582, (1796) = 7.776686225125118, (1797) = 7.778215530420398, (1798) = 7.7797428120015075, (1799) = 7.78126807521331, (1800) = 7.782791325379554, (1801) = 7.784312567802986, (1802) = 7.785831807774251, (1803) = 7.787349050581816, (1804) = 7.788864301467626, (1805) = 7.790377565651048, (1806) = 7.791888848330993, (1807) = 7.793398154686025, (1808) = 7.7949054898744645, (1809) = 7.796410859034498, (1810) = 7.797914267284275, (1811) = 7.7994157197220195, (1812) = 7.800915221442684, (1813) = 7.80241277752499, (1814) = 7.8039083930076, (1815) = 7.805402072909605, (1816) = 7.806893822230684, (1817) = 7.808383645951197, (1818) = 7.809871549032288, (1819) = 7.8113575364159855, (1820) = 7.812841613025294, (1821) = 7.814323783765137, (1822) = 7.815804053544567, (1823) = 7.817282427240667, (1824) = 7.81875890970091, (1825) = 7.820233505754229, (1826) = 7.8217062202111185, (1827) = 7.823177057863724, (1828) = 7.824646023485936, (1829) = 7.826113121833483, (1830) = 7.827578357644022, (1831) = 7.829041735641304, (1832) = 7.830503260552716, (1833) = 7.831962937066376, (1834) = 7.833420769848167, (1835) = 7.83487676354635, (1836) = 7.836330922791663, (1837) = 7.837783252197401, (1838) = 7.839233756359507, (1839) = 7.840682439856657, (1840) = 7.842129307250349, (1841) = 7.843574363094466, (1842) = 7.84501761193881, (1843) = 7.846459058294443, (1844) = 7.847898706654614, (1845) = 7.849336561495815, (1846) = 7.8507726272778715, (1847) = 7.852206908444019, (1848) = 7.853639409420989, (1849) = 7.855070134619086, (1850) = 7.856499088432286, (1851) = 7.857926275255067, (1852) = 7.859351699463754, (1853) = 7.860775365403395, (1854) = 7.862197277403018, (1855) = 7.863617439775707, (1856) = 7.865035856818683, (1857) = 7.86645253281338, (1858) = 7.86786747202552, (1859) = 7.869280678705195, (1860) = 7.870692157088304, (1861) = 7.872101911415651, (1862) = 7.873509945898158, (1863) = 7.874916264723793, (1864) = 7.876320872065268, (1865) = 7.877723772080116, (1866) = 7.879124968910763, (1867) = 7.880524466684603, (1868) = 7.8819222695140665, (1869) = 7.883318381496695, (1870) = 7.884712806720007, (1871) = 7.886105549273988, (1872) = 7.887496613214391, (1873) = 7.888886002579583, (1874) = 7.890273721393399, (1875) = 7.891659773665211, (1876) = 7.893044163389997, (1877) = 7.8944268945484115, (1878) = 7.8958079711068505, (1879) = 7.897187397017522, (1880) = 7.898565176228581, (1881) = 7.8999413126820945, (1882) = 7.9013158102881675, (1883) = 7.902688672942608, (1884) = 7.9040599045273705, (1885) = 7.905429508910625, (1886) = 7.9067974899468165, (1887) = 7.9081638514767345, (1888) = 7.909528597327574, (1889) = 7.910891731313164, (1890) = 7.912253257250207, (1891) = 7.913613178936267, (1892) = 7.914971500144501, (1893) = 7.916328224634791, (1894) = 7.9176833561538045, (1895) = 7.919036898435061, (1896) = 7.920388855198988, (1897) = 7.921739230152987, (1898) = 7.92308802699149, (1899) = 7.924435249397942, (1900) = 7.925780901060633, (1901) = 7.9271249856403525, (1902) = 7.928467506779973, (1903) = 7.929808468109699, (1904) = 7.931147873247127, (1905) = 7.932485725797304, (1906) = 7.933822029352781, (1907) = 7.935156787493677, (1908) = 7.936490003787731, (1909) = 7.9378216817958105, (1910) = 7.9391518250797795, (1911) = 7.9404804371719075, (1912) = 7.941807521590713, (1913) = 7.943133081842619, (1914) = 7.944457121422013, (1915) = 7.945779643811293, (1916) = 7.947100652480932, (1917) = 7.9484201508895245, (1918) = 7.949738142483844, (1919) = 7.951054630709461, (1920) = 7.952369619003862, (1921) = 7.953683110778499, (1922) = 7.954995109433132, (1923) = 7.956305618355968, (1924) = 7.957614640923712, (1925) = 7.958922180501621, (1926) = 7.960228240443554, (1927) = 7.961532824092022, (1928) = 7.962835934778676, (1929) = 7.964137575839275, (1930) = 7.965437750590339, (1931) = 7.966736462329248, (1932) = 7.9680337143422895, (1933) = 7.96932950990471, (1934) = 7.97062385228076, (1935) = 7.97191674472375, (1936) = 7.973208190476089, (1937) = 7.974498192769343, (1938) = 7.975786754826755, (1939) = 7.977073879875802, (1940) = 7.97835957111899, (1941) = 7.979643831744734, (1942) = 7.980926664930844, (1943) = 7.982208073844569, (1944) = 7.983488061642645, (1945) = 7.984766631471343, (1946) = 7.986043786466513, (1947) = 7.987319529753629, (1948) = 7.988593864453876, (1949) = 7.989866793687814, (1950) = 7.991138320550665, (1951) = 7.992408448126629, (1952) = 7.993677179489759, (1953) = 7.994944517704004, (1954) = 7.996210465823257, (1955) = 7.997475026891394, (1956) = 7.99873820394232, (1957) = 8.0}, datatype = float[8], order = C_order); Y := Matrix(1957, 3, {(1, 1) = .0, (1, 2) = .0, (1, 3) = 1652.0328791655768, (2, 1) = 0.12430441779039468e-2, (2, 2) = 1.9146552521461992, (2, 3) = 1381.8757650221012, (3, 1) = 0.4680795630263913e-2, (3, 2) = 3.476062665624943, (3, 3) = 1090.6708199728403, (4, 1) = 0.9851388646064057e-2, (4, 2) = 4.66019204710641, (4, 3) = 787.5690423219288, (5, 1) = 0.16277351257591964e-1, (5, 2) = 5.47146980271761, (5, 3) = 505.95533898027367, (6, 1) = 0.23515774422379395e-1, (6, 2) = 5.960887729053191, (6, 3) = 282.0665822935489, (7, 1) = 0.3121287839337445e-1, (7, 2) = 6.214695193503329, (7, 3) = 132.89570827255085, (8, 1) = 0.39130266536634616e-1, (8, 2) = 6.324298320427456, (8, 3) = 50.38616547512059, (9, 1) = 0.47133716901666727e-1, (9, 2) = 6.360593107747828, (9, 3) = 12.6895847652955, (10, 1) = 0.551604190441362e-1, (10, 2) = 6.366100974953985, (10, 3) = -1.418164853243008, (11, 1) = 0.6318613141533373e-1, (11, 2) = 6.361081800836295, (11, 3) = -5.609038155709993, (12, 1) = 0.7120334078690195e-1, (12, 2) = 6.353307795531636, (12, 3) = -6.446184099643742, (13, 1) = 0.7921040623429978e-1, (13, 2) = 6.345179178904462, (13, 3) = -6.384154302666129, (14, 1) = 0.8720733830412002e-1, (14, 2) = 6.337271126533362, (14, 3) = -6.150482737494599, (15, 1) = 0.9519448868861896e-1, (15, 2) = 6.329665933253567, (15, 3) = -5.914097023721733, (16, 1) = .10317223039473729, (16, 2) = 6.32234396902743, (16, 3) = -5.702132142746637, (17, 1) = .11114090078144184, (17, 2) = 6.315273873050254, (17, 3) = -5.514045013990423, (18, 1) = .11910079958376645, (18, 2) = 6.30842797666957, (18, 3) = -5.345937462506289, (19, 1) = .12705219468827422, (19, 2) = 6.301783316100545, (19, 3) = -5.194401058793858, (20, 1) = .13499532753469057, (20, 2) = 6.295320742615864, (20, 3) = -5.05677289931709, (21, 1) = .14293041737519155, (21, 2) = 6.2890240832645645, (21, 3) = -4.93096722801539, (22, 1) = .15085766461128972, (22, 2) = 6.282879514066236, (22, 3) = -4.815323226514059, (23, 1) = .1587772534516935, (23, 2) = 6.276875095996, (23, 3) = -4.708497474342716, (24, 1) = .1666893540586348, (24, 2) = 6.271000425079112, (24, 3) = -4.609388372321973, (25, 1) = .1745941245883883, (25, 2) = 6.2652463632739455, (25, 3) = -4.517081853338465, (26, 1) = .18249171308240722, (26, 2) = 6.2596048280595165, (26, 3) = -4.430811530191452, (27, 1) = .19038225591846794, (27, 2) = 6.2540686278330835, (27, 3) = -4.34992891586239, (28, 1) = .19826588175461154, (28, 2) = 6.248631326065719, (28, 3) = -4.2738807200361135, (29, 1) = .20614271176212665, (29, 2) = 6.2432871332200675, (29, 3) = -4.20219136569151, (30, 1) = .2140128591735052, (30, 2) = 6.2380308185226365, (30, 3) = -4.134449327591535, (31, 1) = .22187643222119963, (31, 2) = 6.232857634735667, (31, 3) = -4.07029630101403, (32, 1) = .22973353398301782, (32, 2) = 6.227763257202543, (32, 3) = -4.009418571771668, (33, 1) = .23758426154387807, (33, 2) = 6.22274373302986, (33, 3) = -3.95154005848754, (34, 1) = .2454287072287564, (34, 2) = 6.217795436799169, (34, 3) = -3.8964166355986074, (35, 1) = .2532669589919399, (35, 2) = 6.212915033294554, (35, 3) = -3.843831482825408, (36, 1) = .261099100762803, (36, 2) = 6.208099445566098, (36, 3) = -3.7935912426913614, (37, 1) = .2689252127541802, (37, 2) = 6.20334582741694, (37, 3) = -3.7455228240544143, (38, 1) = .2767453717384405, (38, 2) = 6.198651539581552, (38, 3) = -3.699470726226031, (39, 1) = .28455965129552535, (39, 2) = 6.1940141290029835, (39, 3) = -3.655294785708912, (40, 1) = .2923681220365337, (40, 2) = 6.189431310726767, (40, 3) = -3.61286826838284, (41, 1) = .3001708518026526, (41, 2) = 6.184900952017666, (41, 3) = -3.572076245890509, (42, 1) = .3079679064456592, (42, 2) = 6.18042105802784, (42, 3) = -3.5328142042406547, (43, 1) = .3157593492995074, (43, 2) = 6.175989759840632, (43, 3) = -3.494986854939419, (44, 1) = .323545239898906, (44, 2) = 6.171605304301146, (44, 3) = -3.4585071125106386, (45, 1) = .33132563665410125, (45, 2) = 6.167266042806563, (45, 3) = -3.4232951907538456, (46, 1) = .3391005960214657, (46, 2) = 6.162970423148149, (46, 3) = -3.3892778327970436, (47, 1) = .3468701725003023, (47, 2) = 6.158716981779321, (47, 3) = -3.3563876354530624, (48, 1) = .3546344177457444, (48, 2) = 6.1545043373508435, (48, 3) = -3.3245624611269458, (49, 1) = .3623933835656557, (49, 2) = 6.150331182834082, (49, 3) = -3.293744905743477, (50, 1) = .3701471200495495, (50, 2) = 6.146196280921816, (50, 3) = -3.26388184906259, (51, 1) = .3778956752402318, (51, 2) = 6.142098459101132, (51, 3) = -3.234924051079847, (52, 1) = .38563909576582595, (52, 2) = 6.138036604692212, (52, 3) = -3.2068257908024167, (53, 1) = .3933774269109529, (53, 2) = 6.134009660616544, (53, 3) = -3.1795445473171937, (54, 1) = .40111071268311477, (54, 2) = 6.130016621544656, (54, 3) = -3.153040715658208, (55, 1) = .4088389958761341, (55, 2) = 6.1260565303816845, (55, 3) = -3.1272773530507774, (56, 1) = .4165623181293551, (56, 2) = 6.122128475055844, (56, 3) = -3.102219951758156, (57, 1) = .42428072003905126, (57, 2) = 6.118231585550077, (57, 3) = -3.0778362351093365, (58, 1) = .43199424213338483, (58, 2) = 6.114365030745584, (58, 3) = -3.0540959714782225, (59, 1) = .439702922346753, (59, 2) = 6.11052801723867, (59, 3) = -3.0309708171851, (60, 1) = .44740679768078123, (60, 2) = 6.106719786237912, (60, 3) = -3.008434162170245, (61, 1) = .45510590475601936, (61, 2) = 6.1029396112157475, (61, 3) = -2.986460993773385, (62, 1) = .46280027932989654, (62, 2) = 6.099186796232928, (62, 3) = -2.965027776200467, (63, 1) = .4704899563280923, (63, 2) = 6.095460674150228, (63, 3) = -2.944112339643578, (64, 1) = .4781749698793859, (64, 2) = 6.091760604970707, (64, 3) = -2.92369377943623, (65, 1) = .4858553531671546, (65, 2) = 6.088085974389836, (65, 3) = -2.903752364663692, (66, 1) = .4935311376982211, (66, 2) = 6.084436192728461, (66, 3) = -2.8842694562237416, (67, 1) = .5012023563735892, (67, 2) = 6.080810692161664, (67, 3) = -2.8652274225345327, (68, 1) = .5088690407935473, (68, 2) = 6.077208926791676, (68, 3) = -2.8466095765837127, (69, 1) = .5165312215719521, (69, 2) = 6.07363037135686, (69, 3) = -2.8284001108611583, (70, 1) = .5241889286957501, (70, 2) = 6.070074520001881, (70, 3) = -2.810584037574359, (71, 1) = .5318421915515524, (71, 2) = 6.066540885277362, (71, 3) = -2.793147134493486, (72, 1) = .5394910389618546, (72, 2) = 6.063028997200141, (72, 3) = -2.7760758950984954, (73, 1) = .5471354995281439, (73, 2) = 6.059538402233705, (73, 3) = -2.759357481984407, (74, 1) = .5547756018284556, (74, 2) = 6.056068662394491, (74, 3) = -2.742979684215854, (75, 1) = .5624113720681552, (75, 2) = 6.052619355558644, (75, 3) = -2.7269308832547807, (76, 1) = .5700428368387432, (76, 2) = 6.049190073492816, (76, 3) = -2.711200010830909, (77, 1) = .5776700224049666, (77, 2) = 6.045780421515482, (77, 3) = -2.695776517123072, (78, 1) = .5852929545750114, (78, 2) = 6.042390017929428, (78, 3) = -2.6806503400665607, (79, 1) = .5929116587166399, (79, 2) = 6.039018493424982, (79, 3) = -2.6658118765868344, (80, 1) = .6005261597598589, (80, 2) = 6.035665490523924, (80, 3) = -2.6512519559115217, (81, 1) = .6081364822299141, (81, 2) = 6.03233066304206, (81, 3) = -2.6369618147046663, (82, 1) = .6157426502639131, (82, 2) = 6.029013675589112, (82, 3) = -2.622933073960856, (83, 1) = .6233446872873616, (83, 2) = 6.025714203243766, (83, 3) = -2.6091577180961063, (84, 1) = .6309426157238823, (84, 2) = 6.022431931236275, (84, 3) = -2.5956280753758922, (85, 1) = .638536459713769, (85, 2) = 6.019166553360999, (85, 3) = -2.5823367944138433, (86, 1) = .6461262421290683, (86, 2) = 6.015917772879205, (86, 3) = -2.5692768321199706, (87, 1) = .6537119853256386, (87, 2) = 6.01268530181874, (87, 3) = -2.556441435984486, (88, 1) = .6612937113384212, (88, 2) = 6.0094688605379245, (88, 3) = -2.54382412846843, (89, 1) = .6688714418896946, (89, 2) = 6.00626817738888, (89, 3) = -2.531418692704075, (90, 1) = .6764451990349236, (90, 2) = 6.003082988130501, (90, 3) = -2.5192191580774486, (91, 1) = .6840150041855294, (91, 2) = 5.99991303604269, (91, 3) = -2.5072197892946706, (92, 1) = .6915808772753225, (92, 2) = 5.996758071985384, (92, 3) = -2.4954150758473586, (93, 1) = .6991428388656513, (93, 2) = 5.993617853245436, (93, 3) = -2.4837997176002893, (94, 1) = .7067009092746833, (94, 2) = 5.990492143646906, (94, 3) = -2.4723686158160385, (95, 1) = .7142551085664725, (95, 2) = 5.987380713311361, (95, 3) = -2.4611168634001395, (96, 1) = .7218054565591581, (96, 2) = 5.98428333842197, (96, 3) = -2.4500397356918566, (97, 1) = .7293519728328633, (97, 2) = 5.9811998009988985, (97, 3) = -2.4391326817920205, (98, 1) = .7368946767373217, (98, 2) = 5.978129888685299, (98, 3) = -2.4283913163910142, (99, 1) = .7444335873912821, (99, 2) = 5.975073394546551, (99, 3) = -2.4178114120742142, (100, 1) = .7519687236816331, (100, 2) = 5.972030116878856, (100, 3) = -2.4073888920618303, (101, 1) = .759500103787699, (101, 2) = 5.968999859217288, (101, 3) = -2.397119823996558, (102, 1) = .7670277455365856, (102, 2) = 5.965982430015329, (102, 3) = -2.387000412946729, (103, 1) = .7745516683405353, (103, 2) = 5.962977641704867, (103, 3) = -2.3770269927237297, (104, 1) = .7820718905378246, (104, 2) = 5.95998531160612, (104, 3) = -2.3671960237092544, (105, 1) = .7895884310282141, (105, 2) = 5.957005261121564, (105, 3) = -2.3575040851998086, (106, 1) = .7971013067365555, (106, 2) = 5.954037316595756, (106, 3) = -2.3479478734876285, (107, 1) = .8046105349378256, (107, 2) = 5.95108130824967, (107, 3) = -2.3385241938934245, (108, 1) = .8121161330422723, (108, 2) = 5.948137070135266, (108, 3) = -2.3292299564192933, (109, 1) = .8196181182801299, (109, 2) = 5.945204440132894, (109, 3) = -2.3200621717398717, (110, 1) = .8271165077215814, (110, 2) = 5.942283259821079, (110, 3) = -2.311017946985703, (111, 1) = .8346113183049693, (111, 2) = 5.939373374348344, (111, 3) = -2.3020944817308755, (112, 1) = .8421025668219715, (112, 2) = 5.936474632326634, (112, 3) = -2.2932890642327677, (113, 1) = .8495902699222774, (113, 2) = 5.933586885721727, (113, 3) = -2.2845990678355905, (114, 1) = .8570744441181447, (114, 2) = 5.930709989748026, (114, 3) = -2.2760219475510755, (115, 1) = .8645551057888299, (115, 2) = 5.9278438027675495, (115, 3) = -2.2675552368062313, (116, 1) = .8720322711848846, (116, 2) = 5.924988186192971, (116, 3) = -2.2591965443482915, (117, 1) = .879505956432341, (117, 2) = 5.9221430043944245, (117, 3) = -2.2509435512983877, (118, 1) = .8869761775354345, (118, 2) = 5.919308124610447, (118, 3) = -2.242794008346546, (119, 1) = .8944429496043188, (119, 2) = 5.916483417155086, (119, 3) = -2.234745733909237, (120, 1) = .9019062886571757, (120, 2) = 5.913668754653405, (120, 3) = -2.226796609627033, (121, 1) = .9093662118181194, (121, 2) = 5.9108640118949465, (121, 3) = -2.2189445777956514, (122, 1) = .9168227337184643, (122, 2) = 5.908069067112131, (122, 3) = -2.2111876428454527, (123, 1) = .9242758697703213, (123, 2) = 5.905283800672667, (123, 3) = -2.203523865638823, (124, 1) = .9317256353332727, (124, 2) = 5.902508095324792, (124, 3) = -2.1959513622559554, (125, 1) = .9391720456719809, (125, 2) = 5.899741836146032, (125, 3) = -2.188468302024161, (126, 1) = .9466151159594725, (126, 2) = 5.896984910477207, (126, 3) = -2.1810729055884917, (127, 1) = .9540548612803447, (127, 2) = 5.894237207858807, (127, 3) = -2.173763443067436, (128, 1) = .9614912966268809, (128, 2) = 5.891498619972251, (128, 3) = -2.1665382322958266, (129, 1) = .9689244368751723, (129, 2) = 5.8887690405905495, (129, 3) = -2.159395637163025, (130, 1) = .9763542968540393, (130, 2) = 5.886048365496941, (130, 3) = -2.1523340659340695, (131, 1) = .9837808913220822, (131, 2) = 5.883336492439404, (131, 3) = -2.1453519697298318, (132, 1) = .9912042349643259, (132, 2) = 5.8806333210797535, (132, 3) = -2.138447841052686, (133, 1) = .9986243423949863, (133, 2) = 5.87793875294229, (133, 3) = -2.131620212368386, (134, 1) = 1.0060412282524032, (134, 2) = 5.875252691330851, (134, 3) = -2.124867654663498, (135, 1) = 1.0134549079683892, (135, 2) = 5.8725750410047866, (135, 3) = -2.118188775459944, (136, 1) = 1.020865395292582, (136, 2) = 5.869905709028272, (136, 3) = -2.111582219803254, (137, 1) = 1.0282727042031146, (137, 2) = 5.8672446040330986, (137, 3) = -2.105046667313921, (138, 1) = 1.0356768481605, (138, 2) = 5.864591636444744, (138, 3) = -2.098580831701887, (139, 1) = 1.0430778412701247, (139, 2) = 5.861946718024315, (139, 3) = -2.092183458645504, (140, 1) = 1.0504756986277046, (140, 2) = 5.8593097617092305, (140, 3) = -2.085853324471273, (141, 1) = 1.0578704343768675, (141, 2) = 5.856680682269325, (141, 3) = -2.079589236819628, (142, 1) = 1.0652620626064129, (142, 2) = 5.854059395947771, (142, 3) = -2.0733900328811794, (143, 1) = 1.072650597358833, (143, 2) = 5.851445820422087, (143, 3) = -2.0672545784515535, (144, 1) = 1.080036052632485, (144, 2) = 5.84883987476859, (144, 3) = -2.0611817670279864, (145, 1) = 1.0874184423837239, (145, 2) = 5.846241479427939, (145, 3) = -2.055170518940728, (146, 1) = 1.0947977805289968, (146, 2) = 5.843650556171752, (146, 3) = -2.0492197805175447, (147, 1) = 1.1021740809467833, (147, 2) = 5.841067028070303, (147, 3) = -2.0433285232799805, (148, 1) = 1.10954735744088, (148, 2) = 5.838490819474692, (148, 3) = -2.0374957432003273, (149, 1) = 1.1169176237863327, (149, 2) = 5.835921855970993, (149, 3) = -2.0317204599211878, (150, 1) = 1.1242848941460644, (150, 2) = 5.833360064206767, (150, 3) = -2.0260017157183743, (151, 1) = 1.1316491828862187, (151, 2) = 5.830805371928848, (151, 3) = -2.020338574968215, (152, 1) = 1.1390105027886208, (152, 2) = 5.828257708575108, (152, 3) = -2.014730124847069, (153, 1) = 1.146368867460681, (153, 2) = 5.825717004410727, (153, 3) = -2.0091754728260662, (154, 1) = 1.1537242905667824, (154, 2) = 5.823183190770669, (154, 3) = -2.0036737466569643, (155, 1) = 1.1610767857199307, (155, 2) = 5.8206562000724436, (155, 3) = -1.998224093860528, (156, 1) = 1.1684263655314135, (156, 2) = 5.818135966117495, (156, 3) = -1.9928256818472507, (157, 1) = 1.1757730439765326, (157, 2) = 5.815622423255624, (157, 3) = -1.9874776956181024, (158, 1) = 1.1831168352383046, (158, 2) = 5.813115506761993, (158, 3) = -1.982179338106988, (159, 1) = 1.1904577528626754, (159, 2) = 5.81061515310337, (159, 3) = -1.9769298302742317, (160, 1) = 1.197795810398859, (160, 2) = 5.808121299697029, (160, 3) = -1.9717284101378396, (161, 1) = 1.2051310213831075, (161, 2) = 5.805633884895562, (161, 3) = -1.9665743323057203, (162, 1) = 1.212463399340269, (162, 2) = 5.803152847966173, (162, 3) = -1.961466867511348, (163, 1) = 1.219792957885031, (163, 2) = 5.800678129036949, (163, 3) = -1.9564053020967154, (164, 1) = 1.227119711440758, (164, 2) = 5.798209668836224, (164, 3) = -1.951388937092912, (165, 1) = 1.2344436728319002, (165, 2) = 5.795747409485525, (165, 3) = -1.9464170894533603, (166, 1) = 1.241764855208315, (166, 2) = 5.793291293830979, (166, 3) = -1.9414890903142143, (167, 1) = 1.24908327204463, (167, 2) = 5.790841265427183, (167, 3) = -1.9366042846143408, (168, 1) = 1.2563989367611161, (168, 2) = 5.788397268647875, (168, 3) = -1.9317620309771621, (169, 1) = 1.263711862833733, (169, 2) = 5.785959248632499, (169, 3) = -1.9269617012724076, (170, 1) = 1.271022063745867, (170, 2) = 5.783527151286314, (170, 3) = -1.9222026802958747, (171, 1) = 1.278329552982441, (171, 2) = 5.781100923266672, (171, 3) = -1.9174843654318527, (172, 1) = 1.2856343440312594, (172, 2) = 5.778680511967268, (172, 3) = -1.9128061663217104, (173, 1) = 1.2929364502855192, (173, 2) = 5.776265865535476, (173, 3) = -1.908167504605639, (174, 1) = 1.300235884170201, (174, 2) = 5.773856933145518, (174, 3) = -1.9035678141586703, (175, 1) = 1.3075326599229173, (175, 2) = 5.7714536640662, (175, 3) = -1.899006539035133, (176, 1) = 1.3148267914923846, (176, 2) = 5.769056008343184, (176, 3) = -1.8944831345215374, (177, 1) = 1.3221182923628392, (177, 2) = 5.766663916842127, (177, 3) = -1.8899970669550907, (178, 1) = 1.3294071765251165, (178, 2) = 5.764277340916454, (178, 3) = -1.8855478128490304, (179, 1) = 1.3366934578777097, (179, 2) = 5.7618962325917655, (179, 3) = -1.8811348590016066, (180, 1) = 1.3439771491182018, (180, 2) = 5.759520544914288, (180, 3) = -1.8767577029010338, (181, 1) = 1.351258263784298, (181, 2) = 5.757150231271227, (181, 3) = -1.8724158512367117, (182, 1) = 1.3585368154583726, (182, 2) = 5.754785245639776, (182, 3) = -1.8681088201469251, (183, 1) = 1.3658128177391997, (183, 2) = 5.752425542584878, (183, 3) = -1.8638361350027421, (184, 1) = 1.3730862842430949, (184, 2) = 5.750071077247675, (184, 3) = -1.859597330181133, (185, 1) = 1.3803572286050356, (185, 2) = 5.747721805334192, (185, 3) = -1.8553919488448674, (186, 1) = 1.3876256644787779, (186, 2) = 5.74537768310467, (186, 3) = -1.8512195427295013, (187, 1) = 1.3948916054714113, (187, 2) = 5.743038667384207, (187, 3) = -1.8470796719739284, (188, 1) = 1.4021550652361368, (188, 2) = 5.740704715522624, (188, 3) = -1.842971904866192, (189, 1) = 1.4094160574897303, (189, 2) = 5.738375785379055, (189, 3) = -1.8388958176395631, (190, 1) = 1.4166745959730347, (190, 2) = 5.736051835325034, (190, 3) = -1.8348509943064664, (191, 1) = 1.4239306942418233, (191, 2) = 5.73373282430186, (191, 3) = -1.8308370265901996, (192, 1) = 1.431184365187146, (192, 2) = 5.7314187119636735, (192, 3) = -1.8268535140050959, (193, 1) = 1.4384356244660925, (193, 2) = 5.729109457574927, (193, 3) = -1.8229000618061872, (194, 1) = 1.4456844855080788, (194, 2) = 5.726805021595408, (194, 3) = -1.8189762835682188, (195, 1) = 1.452930961876755, (195, 2) = 5.724505364916487, (195, 3) = -1.8150817997132056, (196, 1) = 1.4601750674690994, (196, 2) = 5.722210448789985, (196, 3) = -1.811216237248103, (197, 1) = 1.4674168161319692, (197, 2) = 5.719920234942051, (197, 3) = -1.8073792298188178, (198, 1) = 1.47465622181053, (198, 2) = 5.717634685518084, (198, 3) = -1.803570417480954, (199, 1) = 1.4818932985043036, (199, 2) = 5.7153537630890066, (199, 3) = -1.7997894465781732, (200, 1) = 1.489128060246882, (200, 2) = 5.713077430650023, (200, 3) = -1.7960359696113752, (201, 1) = 1.4963605211068944, (201, 2) = 5.710805651612892, (201, 3) = -1.7923096451003666, (202, 1) = 1.503590695188969, (202, 2) = 5.708538389798341, (202, 3) = -1.7886101374493384, (203, 1) = 1.5108185966346814, (203, 2) = 5.706275609428641, (203, 3) = -1.784937116815986, (204, 1) = 1.5180442396234262, (204, 2) = 5.704017275120377, (204, 3) = -1.781290258984284, (205, 1) = 1.5252676383742911, (205, 2) = 5.701763351877056, (205, 3) = -1.7776692452400362, (206, 1) = 1.5324888077825907, (206, 2) = 5.699513804884339, (206, 3) = -1.7740737619350297, (207, 1) = 1.5397077620947053, (207, 2) = 5.697268599916931, (207, 3) = -1.770503501033834, (208, 1) = 1.5469245149254647, (208, 2) = 5.69502770332508, (208, 3) = -1.7669581599799937, (209, 1) = 1.5541390802874389, (209, 2) = 5.692791081707858, (209, 3) = -1.7634374410737024, (210, 1) = 1.5613514717818355, (210, 2) = 5.690558702158185, (210, 3) = -1.7599410517609093, (211, 1) = 1.5685617049211862, (211, 2) = 5.688330531538575, (211, 3) = -1.7564687034063282, (212, 1) = 1.5757697943491822, (212, 2) = 5.686106537337006, (212, 3) = -1.753020112546482, (213, 1) = 1.5829757546221939, (213, 2) = 5.683886687418377, (213, 3) = -1.7495950004053247, (214, 1) = 1.5901796003433155, (214, 2) = 5.6816709499774545, (214, 3) = -1.7461930927319882, (215, 1) = 1.5973813461632134, (215, 2) = 5.679459293533094, (215, 3) = -1.7428141197058982, (216, 1) = 1.6045810067153967, (216, 2) = 5.677251686942779, (216, 3) = -1.7394578158746774, (217, 1) = 1.6117785966648508, (217, 2) = 5.675048099382309, (217, 3) = -1.736123920041005, (218, 1) = 1.6189741308054706, (218, 2) = 5.672848500310911, (218, 3) = -1.7328121751301644, (219, 1) = 1.6261676242520242, (219, 2) = 5.670652859407827, (219, 3) = -1.7295223280184413, (220, 1) = 1.6333590926056434, (220, 2) = 5.668461146517656, (220, 3) = -1.7262541293788531, (221, 1) = 1.640548549964642, (221, 2) = 5.6662733322513725, (221, 3) = -1.7230073345017434, (222, 1) = 1.6477360112059045, (222, 2) = 5.66408938728537, (222, 3) = -1.7197817021730382, (223, 1) = 1.6549214913864172, (223, 2) = 5.661909282539989, (223, 3) = -1.716576994873566, (224, 1) = 1.662105005618174, (224, 2) = 5.659732989213105, (224, 3) = -1.7133929787609814, (225, 1) = 1.6692865690652812, (225, 2) = 5.657560478776598, (225, 3) = -1.710229423597693, (226, 1) = 1.6764661968451142, (226, 2) = 5.65539172300184, (226, 3) = -1.7070861027224382, (227, 1) = 1.6836439036337547, (227, 2) = 5.653226694074135, (227, 3) = -1.703962793150311, (228, 1) = 1.6908197042560864, (228, 2) = 5.651065364409886, (228, 3) = -1.7008592752437064, (229, 1) = 1.6979936151205401, (229, 2) = 5.648907706221496, (229, 3) = -1.697775332032326, (230, 1) = 1.7051656517295328, (230, 2) = 5.646753692263811, (230, 3) = -1.6947107502286707, (231, 1) = 1.7123358295980045, (231, 2) = 5.644603295552859, (231, 3) = -1.6916653197632034, (232, 1) = 1.7195041643524602, (232, 2) = 5.64245648933224, (232, 3) = -1.6886388336802753, (233, 1) = 1.7266706724676495, (233, 2) = 5.640313246849317, (233, 3) = -1.6856310877701728, (234, 1) = 1.7338353691707848, (234, 2) = 5.638173541978599, (234, 3) = -1.682641881391732, (235, 1) = 1.7409982697914526, (235, 2) = 5.636037348813102, (235, 3) = -1.679671016840383, (236, 1) = 1.7481593900285117, (236, 2) = 5.633904641581443, (236, 3) = -1.6767182991828535, (237, 1) = 1.7553187457496284, (237, 2) = 5.631775394704577, (237, 3) = -1.6737835362880211, (238, 1) = 1.7624763529108902, (238, 2) = 5.629649582816445, (238, 3) = -1.6708665388073007, (239, 1) = 1.769632227535104, (239, 2) = 5.627527180767106, (239, 3) = -1.6679671201313204, (240, 1) = 1.776786385712606, (240, 2) = 5.625408163619222, (240, 3) = -1.6650850963384958, (241, 1) = 1.7839388436020098, (241, 2) = 5.623292506644597, (241, 3) = -1.6622202861447963, (242, 1) = 1.7910896174309627, (242, 2) = 5.621180185320803, (242, 3) = -1.6593725108546291, (243, 1) = 1.7982387234969472, (243, 2) = 5.619071175327836, (243, 3) = -1.6565415943128345, (244, 1) = 1.8053861781673965, (244, 2) = 5.616965452545041, (244, 3) = -1.6537273628580342, (245, 1) = 1.8125319970458131, (245, 2) = 5.614862993293312, (245, 3) = -1.6509296456026346, (246, 1) = 1.8196761969291693, (246, 2) = 5.612763773755767, (246, 3) = -1.64814827361923, (247, 1) = 1.826818795560555, (247, 2) = 5.610667770049588, (247, 3) = -1.6453830800048974, (248, 1) = 1.8339598088109799, (248, 2) = 5.608574959050236, (248, 3) = -1.6426339009298827, (249, 1) = 1.8410992533833956, (249, 2) = 5.606485317594049, (249, 3) = -1.639900574542703, (250, 1) = 1.8482371460801064, (250, 2) = 5.604398822690977, (250, 3) = -1.6371829412157568, (251, 1) = 1.855373503779231, (251, 2) = 5.60231545152882, (251, 3) = -1.6344808435146354, (252, 1) = 1.8625083434354504, (252, 2) = 5.600235181470396, (252, 3) = -1.6317941261589632, (253, 1) = 1.8696416820807589, (253, 2) = 5.598157990050733, (253, 3) = -1.6291226359840023, (254, 1) = 1.8767735368251457, (254, 2) = 5.596083854974375, (254, 3) = -1.6264662219031962, (255, 1) = 1.8839039247515204, (255, 2) = 5.594012754143375, (255, 3) = -1.6238247349105293, (256, 1) = 1.8910328630299544, (256, 2) = 5.59194466562156, (256, 3) = -1.6211980280018585, (257, 1) = 1.8981603690041726, (257, 2) = 5.589879567607117, (257, 3) = -1.6185859561085185, (258, 1) = 1.9052864600989523, (258, 2) = 5.58781743845717, (258, 3) = -1.6159883760977845, (259, 1) = 1.9124111539921107, (259, 2) = 5.585758256635837, (259, 3) = -1.6134051466772732, (260, 1) = 1.919534469050275, (260, 2) = 5.58370200058651, (260, 3) = -1.6108361282071726, (261, 1) = 1.926656422190922, (261, 2) = 5.5816486493467385, (261, 3) = -1.6082811834388924, (262, 1) = 1.9337770309461473, (262, 2) = 5.579598181949425, (262, 3) = -1.6057401767347084, (263, 1) = 1.9408963121912788, (263, 2) = 5.577550577787058, (263, 3) = -1.603212974492282, (264, 1) = 1.948014284211376, (264, 2) = 5.575505816015043, (264, 3) = -1.600699444380035, (265, 1) = 1.9551309654896876, (265, 2) = 5.573463875899329, (265, 3) = -1.598199455744519, (266, 1) = 1.9622463740687908, (266, 2) = 5.571424736997547, (266, 3) = -1.5957128798052704, (267, 1) = 1.9693605281314166, (267, 2) = 5.56938837898994, (267, 3) = -1.593239589420417, (268, 1) = 1.9764734459488198, (268, 2) = 5.567354781692228, (268, 3) = -1.5907794590773534, (269, 1) = 1.983585145881567, (269, 2) = 5.565323925053464, (269, 3) = -1.5883323648654513, (270, 1) = 1.9906956463802645, (270, 2) = 5.5632957891539245, (270, 3) = -1.585898184449345, (271, 1) = 1.9978049660316444, (271, 2) = 5.561270354190114, (271, 3) = -1.5834767970273242, (272, 1) = 2.0049131242720852, (272, 2) = 5.55924760027009, (272, 3) = -1.5810680830651702, (273, 1) = 2.0120201393852106, (273, 2) = 5.557227507981718, (273, 3) = -1.5786719249511219, (274, 1) = 2.0191260297430005, (274, 2) = 5.555210058036708, (274, 3) = -1.5762882065455603, (275, 1) = 2.026230814084067, (275, 2) = 5.553195231189987, (275, 3) = -1.5739168130645003, (276, 1) = 2.0333345113888277, (276, 2) = 5.55118300827378, (276, 3) = -1.5715576310998725, (277, 1) = 2.0404371407542943, (277, 2) = 5.549173370231577, (277, 3) = -1.5692105486390742, (278, 1) = 2.0475387213736504, (278, 2) = 5.547166298122265, (278, 3) = -1.5668754550493622, (279, 1) = 2.054639272536989, (279, 2) = 5.545161773118307, (279, 3) = -1.564552241055589, (280, 1) = 2.0617388135355834, (280, 2) = 5.543159776531116, (280, 3) = -1.5622407987496727, (281, 1) = 2.0688373628240986, (281, 2) = 5.541160290045186, (281, 3) = -1.5599410218394434, (282, 1) = 2.075934940697359, (282, 2) = 5.539163294962342, (282, 3) = -1.5576528047596254, (283, 1) = 2.08303156725746, (283, 2) = 5.5371687727740015, (283, 3) = -1.555376043315872, (284, 1) = 2.0901272628035428, (284, 2) = 5.5351767050498175, (284, 3) = -1.553110634538304, (285, 1) = 2.0972220471482097, (285, 2) = 5.533187073627965, (285, 3) = -1.5508564768793032, (286, 1) = 2.10431593959288, (286, 2) = 5.531199860619659, (286, 3) = -1.5486134701975365, (287, 1) = 2.1114089602203814, (287, 2) = 5.529215048045335, (287, 3) = -1.5463815153287648, (288, 1) = 2.118501129222886, (288, 2) = 5.527232618022005, (288, 3) = -1.5441605142825228, (289, 1) = 2.1255924668973436, (289, 2) = 5.525252552763179, (289, 3) = -1.5419503702254898, (290, 1) = 2.1326829936462977, (290, 2) = 5.523274834577275, (290, 3) = -1.539750987463494, (291, 1) = 2.1397727299786817, (291, 2) = 5.5212994458660685, (291, 3) = -1.5375622714238566, (292, 1) = 2.146861696510641, (292, 2) = 5.519326369123151, (292, 3) = -1.535384128638063, (293, 1) = 2.1539499139647673, (293, 2) = 5.5173555869328474, (293, 3) = -1.5332164667252586, (294, 1) = 2.1610374030169277, (294, 2) = 5.515387082011468, (294, 3) = -1.5310591944222793, (295, 1) = 2.1681241845014885, (295, 2) = 5.513420837148918, (295, 3) = -1.528912221504457, (296, 1) = 2.1752102797956048, (296, 2) = 5.511456835101093, (296, 3) = -1.5267754586544995, (297, 1) = 2.182295710603571, (297, 2) = 5.5094950586489615, (297, 3) = -1.5246488175145705, (298, 1) = 2.1893804971862743, (298, 2) = 5.507535491087144, (298, 3) = -1.5225322112002924, (299, 1) = 2.1964646598790365, (299, 2) = 5.505578115801345, (299, 3) = -1.5204255538246791, (300, 1) = 2.2035482211068707, (300, 2) = 5.503622915711206, (300, 3) = -1.5183287598881878, (301, 1) = 2.2106312027336834, (301, 2) = 5.501669874002504, (301, 3) = -1.5162417450570251, (302, 1) = 2.217713626487324, (302, 2) = 5.499718974008059, (302, 3) = -1.5141644260200238, (303, 1) = 2.2247955141919125, (303, 2) = 5.497770199142392, (303, 3) = -1.5120967204053712, (304, 1) = 2.231876887602564, (304, 2) = 5.495823532946003, (304, 3) = -1.5100385468148063, (305, 1) = 2.238957768740021, (305, 2) = 5.49387895899222, (305, 3) = -1.5079898247124033, (306, 1) = 2.246038179796974, (306, 2) = 5.491936460912042, (306, 3) = -1.50595047443937, (307, 1) = 2.2531181430859037, (307, 2) = 5.489996022407449, (307, 3) = -1.5039204172164269, (308, 1) = 2.2601976811810127, (308, 2) = 5.48805762721157, (308, 3) = -1.5018995750907247, (309, 1) = 2.267276817405801, (309, 2) = 5.486121258954552, (309, 3) = -1.4998878707860657, (310, 1) = 2.274355573742067, (310, 2) = 5.484186901734546, (310, 3) = -1.4978852282849024, (311, 1) = 2.2814339727740163, (311, 2) = 5.482254539584282, (311, 3) = -1.4958915722607735, (312, 1) = 2.2885120374263903, (312, 2) = 5.480324156542161, (312, 3) = -1.4939068281428327, (313, 1) = 2.29558979068656, (313, 2) = 5.478395736727276, (313, 3) = -1.491930922183087, (314, 1) = 2.302667255513026, (314, 2) = 5.476469264363312, (314, 3) = -1.4899637814700175, (315, 1) = 2.3097444551849295, (315, 2) = 5.474544723682428, (315, 3) = -1.4880053338200003, (316, 1) = 2.316821412770466, (316, 2) = 5.472622099068961, (316, 3) = -1.4860555079136872, (317, 1) = 2.323898151024703, (317, 2) = 5.4707013750858335, (317, 3) = -1.484114233311182, (318, 1) = 2.3309746946548806, (318, 2) = 5.468782535859156, (318, 3) = -1.4821814398215398, (319, 1) = 2.338051067603557, (319, 2) = 5.466865565815372, (319, 3) = -1.4802570582403987, (320, 1) = 2.345127293848401, (320, 2) = 5.464950449462899, (320, 3) = -1.4783410201183786, (321, 1) = 2.352203398227546, (321, 2) = 5.463037171168111, (321, 3) = -1.4764332575284482, (322, 1) = 2.3592794045932104, (322, 2) = 5.461125715653986, (322, 3) = -1.4745337035548565, (323, 1) = 2.366355336724979, (323, 2) = 5.459216067751513, (323, 3) = -1.472642292033424, (324, 1) = 2.373431218921676, (324, 2) = 5.457308212239133, (324, 3) = -1.470758957383657, (325, 1) = 2.380507075794582, (325, 2) = 5.455402133898138, (325, 3) = -1.4688836346563343, (326, 1) = 2.387582932093364, (326, 2) = 5.453497817558926, (326, 3) = -1.467016259571155, (327, 1) = 2.3946588127060857, (327, 2) = 5.451595248100255, (327, 3) = -1.465156768507727, (328, 1) = 2.4017347426602242, (328, 2) = 5.449694410448235, (328, 3) = -1.4633050984964375, (329, 1) = 2.4088107471236664, (329, 2) = 5.4477952895753115, (329, 3) = -1.4614611872094754, (330, 1) = 2.4158868514057223, (330, 2) = 5.445897870499276, (330, 3) = -1.459624972952005, (331, 1) = 2.4229630809629588, (331, 2) = 5.444002138281004, (331, 3) = -1.4577963946522614, (332, 1) = 2.430039462039454, (332, 2) = 5.442108077852443, (332, 3) = -1.4559753916888525, (333, 1) = 2.437116020082818, (333, 2) = 5.44021567444013, (333, 3) = -1.45416190429117, (334, 1) = 2.444192779729609, (334, 2) = 5.438324913567228, (334, 3) = -1.452355873530059, (335, 1) = 2.4512697665061816, (335, 2) = 5.436435780597936, (335, 3) = -1.450557240873584, (336, 1) = 2.4583470075855316, (336, 2) = 5.434548260535948, (336, 3) = -1.448765947992104, (337, 1) = 2.465424529336353, (337, 2) = 5.432662338678379, (337, 3) = -1.4469819373749935, (338, 1) = 2.472502358230722, (338, 2) = 5.430778000372463, (338, 3) = -1.4452051520908207, (339, 1) = 2.4795805208916084, (339, 2) = 5.4288952310022065, (339, 3) = -1.443435535767898, (340, 1) = 2.4866590440939924, (340, 2) = 5.4270140159875115, (340, 3) = -1.4416730325867917, (341, 1) = 2.493737954765944, (341, 2) = 5.425134340783249, (341, 3) = -1.4399175872729373, (342, 1) = 2.5008172799526593, (342, 2) = 5.423256190888204, (342, 3) = -1.4381691450985508, (343, 1) = 2.507897047129679, (343, 2) = 5.421379551761458, (343, 3) = -1.4364276517986536, (344, 1) = 2.5149772838620272, (344, 2) = 5.419504408912346, (344, 3) = -1.4346930536490465, (345, 1) = 2.5220580169822235, (345, 2) = 5.417630748117222, (345, 3) = -1.432965297659475, (346, 1) = 2.5291392741789043, (346, 2) = 5.415758554998054, (346, 3) = -1.4312443311774548, (347, 1) = 2.536221083316311, (347, 2) = 5.413887815202354, (347, 3) = -1.4295301020496658, (348, 1) = 2.5433034724197707, (348, 2) = 5.412018514406469, (348, 3) = -1.427822558619192, (349, 1) = 2.550386469676863, (349, 2) = 5.4101506383147315, (349, 3) = -1.4261216497190308, (350, 1) = 2.557470103438638, (350, 2) = 5.408284172658617, (350, 3) = -1.4244273246657064, (351, 1) = 2.5645544022200957, (351, 2) = 5.406419103196084, (351, 3) = -1.4227395332531252, (352, 1) = 2.57163939381886, (352, 2) = 5.404555415942798, (352, 3) = -1.4210582259554048, (353, 1) = 2.5787251067488577, (353, 2) = 5.4026930967939855, (353, 3) = -1.419383353578724, (354, 1) = 2.5858115712185517, (354, 2) = 5.400832131267792, (354, 3) = -1.417714867028331, (355, 1) = 2.592898816883658, (355, 2) = 5.398972505095823, (355, 3) = -1.4160527178359381, (356, 1) = 2.5999868723215718, (356, 2) = 5.3971142043596405, (356, 3) = -1.4143968582733752, (357, 1) = 2.60707576700092, (357, 2) = 5.395257214973192, (357, 3) = -1.4127472408840203, (358, 1) = 2.614165530618221, (358, 2) = 5.393401522856669, (358, 3) = -1.4111038186341829, (359, 1) = 2.6212561930446365, (359, 2) = 5.39154711395003, (359, 3) = -1.4094665449203652, (360, 1) = 2.628347784327275, (360, 2) = 5.3896939742121965, (360, 3) = -1.4078353735637488, (361, 1) = 2.635440334690492, (361, 2) = 5.38784208962027, (361, 3) = -1.4062102588048198, (362, 1) = 2.64253387434338, (362, 2) = 5.3859914462192915, (362, 3) = -1.4045911553421817, (363, 1) = 2.6496284336730622, (363, 2) = 5.38414203007124, (363, 3) = -1.402978018282912, (364, 1) = 2.6567240434373494, (364, 2) = 5.382293827204414, (364, 3) = -1.4013708030941632, (365, 1) = 2.6638207348148164, (365, 2) = 5.380446823600229, (365, 3) = -1.3997694655878858, (366, 1) = 2.670918539571339, (366, 2) = 5.378601005149713, (366, 3) = -1.3981739618798195, (367, 1) = 2.678017488252745, (367, 2) = 5.376756358122989, (367, 3) = -1.3965842487904865, (368, 1) = 2.6851176121662856, (368, 2) = 5.374912868653137, (368, 3) = -1.3950002833934874, (369, 1) = 2.6922189419596525, (369, 2) = 5.373070523104898, (369, 3) = -1.3934220233286594, (370, 1) = 2.6993215101338537, (370, 2) = 5.371229307422284, (370, 3) = -1.3918494262388226, (371, 1) = 2.706425349218244, (371, 2) = 5.369389207602398, (371, 3) = -1.3902824501741653, (372, 1) = 2.7135304911878215, (372, 2) = 5.36755020984566, (372, 3) = -1.3887210537150816, (373, 1) = 2.720636968382502, (373, 2) = 5.365712300317019, (373, 3) = -1.3871651957640034, (374, 1) = 2.7277448134432967, (374, 2) = 5.363875465162255, (374, 3) = -1.3856148355558655, (375, 1) = 2.7348540592081845, (375, 2) = 5.36203969053459, (375, 3) = -1.384069932677045, (376, 1) = 2.741964738857406, (376, 2) = 5.3602049625568755, (376, 3) = -1.3825304470299553, (377, 1) = 2.7490768863692834, (377, 2) = 5.358371267203893, (377, 3) = -1.3809963387315318, (378, 1) = 2.756190534497145, (378, 2) = 5.356538590823606, (378, 3) = -1.3794675685456805, (379, 1) = 2.7633057166801622, (379, 2) = 5.354706919643696, (379, 3) = -1.3779440974654193, (380, 1) = 2.770422466764068, (380, 2) = 5.352876239843521, (380, 3) = -1.376425886770502, (381, 1) = 2.7775408187384345, (381, 2) = 5.351046537621493, (381, 3) = -1.37491289808025, (382, 1) = 2.784660806544954, (382, 2) = 5.3492177992439105, (382, 3) = -1.373405093390196, (383, 1) = 2.7917824646029086, (383, 2) = 5.347390010909595, (383, 3) = -1.3719024349568378, (384, 1) = 2.7989058275863217, (384, 2) = 5.345563158806961, (384, 3) = -1.370404885341927, (385, 1) = 2.806030930381976, (385, 2) = 5.343737229124512, (385, 3) = -1.3689124074179182, (386, 1) = 2.8131578079178836, (386, 2) = 5.341912208094454, (386, 3) = -1.3674249644003147, (387, 1) = 2.820286494554149, (387, 2) = 5.340088082148028, (387, 3) = -1.365942519970056, (388, 1) = 2.827417027493943, (388, 2) = 5.338264837042649, (388, 3) = -1.3644650375618328, (389, 1) = 2.834549442259259, (389, 2) = 5.3364424590196355, (389, 3) = -1.3629924813029692, (390, 1) = 2.841683774515634, (390, 2) = 5.334620934336437, (390, 3) = -1.3615248156284512, (391, 1) = 2.8488200603156297, (391, 2) = 5.332800249204164, (391, 3) = -1.3600620052276544, (392, 1) = 2.8559583357920637, (392, 2) = 5.330980389865674, (392, 3) = -1.3586040151043963, (393, 1) = 2.8630986375813365, (393, 2) = 5.329161342487354, (393, 3) = -1.3571508104873566, (394, 1) = 2.870241002555806, (394, 2) = 5.327343093227226, (394, 3) = -1.3557023568822526, (395, 1) = 2.877385467818073, (395, 2) = 5.32552562823614, (395, 3) = -1.354258620070062, (396, 1) = 2.884532070702833, (396, 2) = 5.323708933657079, (396, 3) = -1.3528195661037288, (397, 1) = 2.891680848840168, (397, 2) = 5.321892995608798, (397, 3) = -1.3513851612926104, (398, 1) = 2.898831840804894, (398, 2) = 5.320077800020898, (398, 3) = -1.349955372070276, (399, 1) = 2.9059850841436057, (399, 2) = 5.318263333134485, (399, 3) = -1.3485301653866022, (400, 1) = 2.9131406168000127, (400, 2) = 5.31644958113965, (400, 3) = -1.3471095084181046, (401, 1) = 2.920298477031396, (401, 2) = 5.3146365301965, (401, 3) = -1.3456933685823032, (402, 1) = 2.927458703407338, (402, 2) = 5.3128241664353615, (402, 3) = -1.3442817135355953, (403, 1) = 2.9346213344927365, (403, 2) = 5.311012476036725, (403, 3) = -1.3428745112330414, (404, 1) = 2.941786408818649, (404, 2) = 5.309201445238227, (404, 3) = -1.3414717299306769, (405, 1) = 2.9489539669529687, (405, 2) = 5.307391059811311, (405, 3) = -1.3400733377787333, (406, 1) = 2.956124048746108, (406, 2) = 5.305581305757582, (406, 3) = -1.338679303359808, (407, 1) = 2.963296694257807, (407, 2) = 5.303772169074058, (407, 3) = -1.3372895955038409, (408, 1) = 2.970471944518732, (408, 2) = 5.301963635561019, (408, 3) = -1.3359041831387886, (409, 1) = 2.9776498395995334, (409, 2) = 5.300155691308635, (409, 3) = -1.334523035661509, (410, 1) = 2.984830419889018, (410, 2) = 5.298348322374104, (410, 3) = -1.3331461226867245, (411, 1) = 2.992013726082009, (411, 2) = 5.296541514784559, (411, 3) = -1.3317734140472341, (412, 1) = 2.9991997993832804, (412, 2) = 5.29473525448568, (412, 3) = -1.3304048797530663, (413, 1) = 3.006388681363324, (413, 2) = 5.292929527377946, (413, 3) = -1.3290404900173733, (414, 1) = 3.0135804138616518, (414, 2) = 5.291124319340816, (414, 3) = -1.327680215272851, (415, 1) = 3.0207750389890333, (415, 2) = 5.289319616231974, (415, 3) = -1.3263240261691458, (416, 1) = 3.0279725991298094, (416, 2) = 5.2875154038865935, (416, 3) = -1.3249718935703305, (417, 1) = 3.0351731369850627, (417, 2) = 5.285711668106359, (417, 3) = -1.3236237885447428, (418, 1) = 3.04237669625169, (418, 2) = 5.283908394489395, (418, 3) = -1.3222796822365739, (419, 1) = 3.0495833197411533, (419, 2) = 5.282105568901183, (419, 3) = -1.320939546215375, (420, 1) = 3.0567930496278097, (420, 2) = 5.280303177411348, (420, 3) = -1.3196033524244366, (421, 1) = 3.0640059292850688, (421, 2) = 5.27850120583418, (421, 3) = -1.318271072837428, (422, 1) = 3.0712220036217857, (422, 2) = 5.276699639645308, (422, 3) = -1.3169426793975376, (423, 1) = 3.0784413170013853, (423, 2) = 5.274898464501567, (423, 3) = -1.3156181444005555, (424, 1) = 3.0856639140762345, (424, 2) = 5.273097666032209, (424, 3) = -1.3142974403381582, (425, 1) = 3.0928898397941142, (425, 2) = 5.271297229837158, (425, 3) = -1.312980539894877, (426, 1) = 3.100119139400802, (426, 2) = 5.269497141486213, (426, 3) = -1.3116674159458404, (427, 1) = 3.107351858474838, (427, 2) = 5.267697386510289, (427, 3) = -1.3103580415487501, (428, 1) = 3.11458804361452, (428, 2) = 5.265897950230518, (428, 3) = -1.3090523898184692, (429, 1) = 3.121827740618365, (429, 2) = 5.264098818210753, (429, 3) = -1.3077504342541681, (430, 1) = 3.1290709953189073, (430, 2) = 5.262299976049529, (430, 3) = -1.3064521485851184, (431, 1) = 3.1363178541811667, (431, 2) = 5.260501409231247, (431, 3) = -1.3051575066615178, (432, 1) = 3.1435683642856214, (432, 2) = 5.258703103130545, (432, 3) = -1.3038664824568849, (433, 1) = 3.150822573032331, (433, 2) = 5.256905043085756, (433, 3) = -1.3025790501197658, (434, 1) = 3.158080528141032, (434, 2) = 5.255107214398758, (434, 3) = -1.301295183972179, (435, 1) = 3.1653422776539415, (435, 2) = 5.253309602334203, (435, 3) = -1.3000148585075835, (436, 1) = 3.1726078698557476, (436, 2) = 5.251512192139168, (436, 3) = -1.2987380484034248, (437, 1) = 3.179877352367613, (437, 2) = 5.249714969266957, (437, 3) = -1.29746472867784, (438, 1) = 3.187150775638134, (438, 2) = 5.247917918513948, (438, 3) = -1.296194874076905, (439, 1) = 3.1944281892073065, (439, 2) = 5.246121024943674, (439, 3) = -1.2949284597294046, (440, 1) = 3.2017096419750817, (440, 2) = 5.244324273819503, (440, 3) = -1.2936654610953737, (441, 1) = 3.208995183789621, (441, 2) = 5.242527650212247, (441, 3) = -1.2924058536878291, (442, 1) = 3.216284865027255, (442, 2) = 5.240731139104044, (442, 3) = -1.291149613145416, (443, 1) = 3.2235787364108384, (443, 2) = 5.2389347254331575, (443, 3) = -1.2898967152627394, (444, 1) = 3.230876849012961, (444, 2) = 5.237138394093105, (444, 3) = -1.2886471359885292, (445, 1) = 3.23817925425913, (445, 2) = 5.235342129931802, (445, 3) = -1.287400851423823, (446, 1) = 3.2454860039791713, (446, 2) = 5.233545917738867, (446, 3) = -1.2861578378119742, (447, 1) = 3.2527971510882576, (447, 2) = 5.231749742078327, (447, 3) = -1.284918071422266, (448, 1) = 3.260112747646291, (448, 2) = 5.2299535877654435, (448, 3) = -1.2836815288781718, (449, 1) = 3.267432846092779, (449, 2) = 5.228157439562795, (449, 3) = -1.282448186945129, (450, 1) = 3.274757499253317, (450, 2) = 5.226361282178673, (450, 3) = -1.2812180225283534, (451, 1) = 3.282086760647449, (451, 2) = 5.224565100191589, (451, 3) = -1.27999101262029, (452, 1) = 3.289420684258483, (452, 2) = 5.222768878106853, (452, 3) = -1.2787671343387386, (453, 1) = 3.296759324153826, (453, 2) = 5.220972600449476, (453, 3) = -1.2775463649890249, (454, 1) = 3.3041027340824787, (454, 2) = 5.2191762518623595, (454, 3) = -1.2763286821288118, (455, 1) = 3.311450970257247, (455, 2) = 5.217379816425758, (455, 3) = -1.2751140631060607, (456, 1) = 3.3188040884495806, (456, 2) = 5.215583278368357, (456, 3) = -1.2739024855413794, (457, 1) = 3.326162145347832, (457, 2) = 5.213786621735097, (457, 3) = -1.2726939271020836, (458, 1) = 3.333525196872112, (458, 2) = 5.211989830798596, (458, 3) = -1.2714883657780496, (459, 1) = 3.340893299190573, (459, 2) = 5.2101928898105, (459, 3) = -1.2702857797121092, (460, 1) = 3.3482665090235812, (460, 2) = 5.208395782927223, (460, 3) = -1.2690861471493184, (461, 1) = 3.355644883877144, (461, 2) = 5.206598494153216, (461, 3) = -1.2678894463986254, (462, 1) = 3.3630284816954923, (462, 2) = 5.204801007425737, (462, 3) = -1.266695655889012, (463, 1) = 3.370417360840681, (463, 2) = 5.203003306619844, (463, 3) = -1.2655047541719726, (464, 1) = 3.377811580096651, (464, 2) = 5.201205375547387, (464, 3) = -1.2643167199199907, (465, 1) = 3.3852111987411626, (465, 2) = 5.199407197939519, (465, 3) = -1.2631315319142102, (466, 1) = 3.3926162772079027, (466, 2) = 5.197608757285996, (466, 3) = -1.2619491689382276, (467, 1) = 3.4000268750458975, (467, 2) = 5.1958100373308245, (467, 3) = -1.2607696101033898, (468, 1) = 3.407443052432821, (468, 2) = 5.1940110217043385, (468, 3) = -1.2595928346049865, (469, 1) = 3.41486486921585, (469, 2) = 5.19221169415581, (469, 3) = -1.2584188218734598, (470, 1) = 3.422292386313033, (470, 2) = 5.19041203821345, (470, 3) = -1.2572475513511325, (471, 1) = 3.4297256665589515, (471, 2) = 5.188612036980153, (471, 3) = -1.2560790023602921, (472, 1) = 3.437164772269611, (472, 2) = 5.186811673723687, (472, 3) = -1.2549131544870884, (473, 1) = 3.444609766211375, (473, 2) = 5.185010931641736, (473, 3) = -1.2537499874273326, (474, 1) = 3.452060711721309, (474, 2) = 5.183209793832841, (474, 3) = -1.2525894809670892, (475, 1) = 3.4595176732966353, (475, 2) = 5.181408243154102, (475, 3) = -1.2514316148908964, (476, 1) = 3.4669807144821427, (476, 2) = 5.179606262731654, (476, 3) = -1.2502763693092955, (477, 1) = 3.4744498996649105, (477, 2) = 5.177803835526705, (477, 3) = -1.2491237243782827, (478, 1) = 3.481925293966253, (478, 2) = 5.176000944361899, (478, 3) = -1.2479736603161902, (479, 1) = 3.4894069626015494, (479, 2) = 5.174197572075761, (479, 3) = -1.2468261575017396, (480, 1) = 3.4968949715197244, (480, 2) = 5.172393701368484, (480, 3) = -1.2456811963749228, (481, 1) = 3.504389387338271, (481, 2) = 5.170589314817734, (481, 3) = -1.2445387574469402, (482, 1) = 3.511890277178917, (482, 2) = 5.168784394918381, (482, 3) = -1.243398821324984, (483, 1) = 3.519397708824588, (483, 2) = 5.166978924044774, (483, 3) = -1.2422613686880213, (484, 1) = 3.526911751060865, (484, 2) = 5.165172884368865, (484, 3) = -1.2411263802351373, (485, 1) = 3.534432470651592, (485, 2) = 5.163366258586906, (485, 3) = -1.239993837140951, (486, 1) = 3.5419599374572566, (486, 2) = 5.161559028689265, (486, 3) = -1.238863720282063, (487, 1) = 3.5494942216320218, (487, 2) = 5.15975117663463, (487, 3) = -1.2377360106614206, (488, 1) = 3.557035393350939, (488, 2) = 5.157942684415296, (488, 3) = -1.2366106894480025, (489, 1) = 3.564583522950944, (489, 2) = 5.156133534023104, (489, 3) = -1.2354877379542863, (490, 1) = 3.5721386817035663, (490, 2) = 5.154323707264188, (490, 3) = -1.2343671375205942, (491, 1) = 3.579700941504794, (491, 2) = 5.152513185833563, (491, 3) = -1.2332488695613921, (492, 1) = 3.5872703750169994, (492, 2) = 5.150701951281278, (492, 3) = -1.232132915544195, (493, 1) = 3.594847055989104, (493, 2) = 5.148889984936084, (493, 3) = -1.231019256942735, (494, 1) = 3.6024310572336673, (494, 2) = 5.147077268389242, (494, 3) = -1.2299078755337587, (495, 1) = 3.6100224527619225, (495, 2) = 5.145263782983709, (495, 3) = -1.2287987530819573, (496, 1) = 3.617621317324519, (496, 2) = 5.143449509924273, (496, 3) = -1.2276918714078602, (497, 1) = 3.6252277262612687, (497, 2) = 5.1416344303135855, (497, 3) = -1.2265872124096813, (498, 1) = 3.6328417553126773, (498, 2) = 5.139818525197176, (498, 3) = -1.2254847580903445, (499, 1) = 3.640463480596116, (499, 2) = 5.138001775569114, (499, 3) = -1.224384490560253, (500, 1) = 3.6480929790597343, (500, 2) = 5.136184162263852, (500, 3) = -1.223286391971356, (501, 1) = 3.65573032821203, (501, 2) = 5.134365666020841, (501, 3) = -1.2221904445561846, (502, 1) = 3.663375606823917, (502, 2) = 5.132546267317584, (502, 3) = -1.221096630527276, (503, 1) = 3.6710288939315125, (503, 2) = 5.130725946607263, (503, 3) = -1.22000493222038, (504, 1) = 3.6786902691773307, (504, 2) = 5.128904684237542, (504, 3) = -1.2189153320451083, (505, 1) = 3.686359812845971, (505, 2) = 5.127082460442179, (505, 3) = -1.2178278124796733, (506, 1) = 3.694037605871157, (506, 2) = 5.1252592553394924, (506, 3) = -1.2167423560697745, (507, 1) = 3.701723729841731, (507, 2) = 5.12343504893103, (507, 3) = -1.2156589454276714, (508, 1) = 3.709418267245226, (508, 2) = 5.1216098210439585, (508, 3) = -1.2145775631978946, (509, 1) = 3.7171213008686776, (509, 2) = 5.11978355147336, (509, 3) = -1.2134981921415087, (510, 1) = 3.724832913589084, (510, 2) = 5.117956220031751, (510, 3) = -1.2124208151645322, (511, 1) = 3.7325531896837507, (511, 2) = 5.116127806238618, (511, 3) = -1.2113454151344154, (512, 1) = 3.740282214132239, (512, 2) = 5.11429828948619, (512, 3) = -1.2102719749783235, (513, 1) = 3.7480200726153377, (513, 2) = 5.11246764903983, (513, 3) = -1.2092004776832772, (514, 1) = 3.7557668515228917, (514, 2) = 5.11063586403634, (514, 3) = -1.2081309062950998, (515, 1) = 3.763522637928585, (515, 2) = 5.108802913490058, (515, 3) = -1.207063243921905, (516, 1) = 3.771287518485111, (516, 2) = 5.106968776553893, (516, 3) = -1.2059974738854953, (517, 1) = 3.7790615828461465, (517, 2) = 5.1051334317111285, (517, 3) = -1.2049335792515106, (518, 1) = 3.786844920583546, (518, 2) = 5.103296857504202, (518, 3) = -1.2038715432540923, (519, 1) = 3.7946376209596764, (519, 2) = 5.101459032588031, (519, 3) = -1.2028113493252524, (520, 1) = 3.8024397747878367, (520, 2) = 5.099619935291147, (520, 3) = -1.2017529808408685, (521, 1) = 3.810251473649626, (521, 2) = 5.09777954380066, (521, 3) = -1.2006964212280975, (522, 1) = 3.8180728099028207, (522, 2) = 5.095937836160592, (522, 3) = -1.1996416539644583, (523, 1) = 3.825903876690302, (523, 2) = 5.094094790269956, (523, 3) = -1.1985886625767892, (524, 1) = 3.8337447679953063, (524, 2) = 5.092250383869955, (524, 3) = -1.1975374306340383, (525, 1) = 3.8415955793993923, (525, 2) = 5.090404594366025, (525, 3) = -1.196487941646363, (526, 1) = 3.8494564060031715, (526, 2) = 5.088557399316994, (526, 3) = -1.1954401793436291, (527, 1) = 3.8573273436338966, (527, 2) = 5.086708776150951, (527, 3) = -1.1943941275128545, (528, 1) = 3.8652084890195786, (528, 2) = 5.0848587021245075, (528, 3) = -1.1933497699752516, (529, 1) = 3.8730999401565582, (529, 2) = 5.083007154236849, (529, 3) = -1.1923070905381163, (530, 1) = 3.881001795481213, (530, 2) = 5.081154109424364, (530, 3) = -1.1912660731049016, (531, 1) = 3.888914153953766, (531, 2) = 5.0792995445410085, (531, 3) = -1.1902267016637331, (532, 1) = 3.896837118298291, (532, 2) = 5.07744343559944, (532, 3) = -1.1891889598633247, (533, 1) = 3.904770789366905, (533, 2) = 5.0755857590922835, (533, 3) = -1.1881528317537675, (534, 1) = 3.9127152693948353, (534, 2) = 5.073726491229098, (534, 3) = -1.187118301358382, (535, 1) = 3.920670661693055, (535, 2) = 5.0718656080088, (535, 3) = -1.186085352714862, (536, 1) = 3.9286370704864204, (536, 2) = 5.0700030852578095, (536, 3) = -1.1850539698969107, (537, 1) = 3.9366146006812506, (537, 2) = 5.068138898684594, (537, 3) = -1.1840241370445912, (538, 1) = 3.9446033579676887, (538, 2) = 5.066273023855868, (538, 3) = -1.1829958383511403, (539, 1) = 3.9526034497643345, (539, 2) = 5.064405435976295, (539, 3) = -1.181969057942045, (540, 1) = 3.960614984627504, (540, 2) = 5.0625361100269775, (540, 3) = -1.1809437799524471, (541, 1) = 3.968638070643482, (541, 2) = 5.060665021140678, (541, 3) = -1.179919988732785, (542, 1) = 3.9766728176917847, (542, 2) = 5.058792144073831, (542, 3) = -1.178897668559084, (543, 1) = 3.9847193367147415, (543, 2) = 5.05691745337737, (543, 3) = -1.1778768037274694, (544, 1) = 3.99277773961689, (544, 2) = 5.055040923420503, (544, 3) = -1.1768573785675511, (545, 1) = 4.00084813806391, (545, 2) = 5.0531625286704145, (545, 3) = -1.1758393775941414, (546, 1) = 4.0089306465864105, (546, 2) = 5.051282242969952, (546, 3) = -1.1748227851157322, (547, 1) = 4.01702538124813, (547, 2) = 5.049400039848564, (547, 3) = -1.1738075854051753, (548, 1) = 4.025132458096951, (548, 2) = 5.047515892882768, (548, 3) = -1.1727937628945853, (549, 1) = 4.033251993522677, (549, 2) = 5.045629775612743, (549, 3) = -1.1717813021294676, (550, 1) = 4.041384105774956, (550, 2) = 5.043741661189874, (550, 3) = -1.1707701875795924, (551, 1) = 4.049528914212227, (551, 2) = 5.041851522551737, (551, 3) = -1.169760403734011, (552, 1) = 4.057686539304603, (552, 2) = 5.03995933242176, (552, 3) = -1.16875193510141, (553, 1) = 4.065857102705113, (553, 2) = 5.038065063293011, (553, 3) = -1.1677447662020162, (554, 1) = 4.074040728052338, (554, 2) = 5.036168687242613, (554, 3) = -1.166738881469911, (555, 1) = 4.0822375387167975, (555, 2) = 5.034270176454381, (555, 3) = -1.165734265531053, (556, 1) = 4.090447659268935, (556, 2) = 5.032369502878592, (556, 3) = -1.1647309030223871, (557, 1) = 4.098671215487908, (557, 2) = 5.030466638230309, (557, 3) = -1.1637287785915968, (558, 1) = 4.106908334711672, (558, 2) = 5.028561553908786, (558, 3) = -1.1627278768554763, (559, 1) = 4.1151591450640685, (559, 2) = 5.026654221176654, (559, 3) = -1.1617281824948853, (560, 1) = 4.123423775617629, (560, 2) = 5.024744611122404, (560, 3) = -1.1607296802352045, (561, 1) = 4.131702359765071, (561, 2) = 5.02283269388217, (561, 3) = -1.1597323544411198, (562, 1) = 4.139995029175357, (562, 2) = 5.020918440036599, (562, 3) = -1.158736189847798, (563, 1) = 4.148301917361176, (563, 2) = 5.019001819786673, (563, 3) = -1.1577411711299292, (564, 1) = 4.156623159300365, (564, 2) = 5.0170828030416486, (564, 3) = -1.1567472829487666, (565, 1) = 4.16495889128345, (565, 2) = 5.015161359454717, (565, 3) = -1.1557545099715012, (566, 1) = 4.173309250791443, (566, 2) = 5.013237458451486, (566, 3) = -1.1547628368867096, (567, 1) = 4.181674376934074, (567, 2) = 5.011311069129441, (567, 3) = -1.153772248353287, (568, 1) = 4.190054410359353, (568, 2) = 5.009382160279296, (568, 3) = -1.1527827290125965, (569, 1) = 4.198449491914049, (569, 2) = 5.007450700693598, (569, 3) = -1.1517942636472913, (570, 1) = 4.20685976470257, (570, 2) = 5.005516658693164, (570, 3) = -1.1508068369389826, (571, 1) = 4.215285373275462, (571, 2) = 5.003580002314426, (571, 3) = -1.149820433565646, (572, 1) = 4.2237264634916665, (572, 2) = 5.001640699341523, (572, 3) = -1.1488350382188146, (573, 1) = 4.2321831813237205, (573, 2) = 4.99969871758096, (573, 3) = -1.1478506357433653, (574, 1) = 4.240655677624583, (574, 2) = 4.997754023767456, (574, 3) = -1.1468672105839361, (575, 1) = 4.249144103027045, (575, 2) = 4.995806584736146, (575, 3) = -1.145884747381257, (576, 1) = 4.257648608687531, (576, 2) = 4.993856367251557, (576, 3) = -1.1449032308847646, (577, 1) = 4.266169347784956, (577, 2) = 4.991903337664091, (577, 3) = -1.1439226457799498, (578, 1) = 4.274706475381166, (578, 2) = 4.989947461942698, (578, 3) = -1.1429429767064028, (579, 1) = 4.283260148122178, (579, 2) = 4.9879887057439465, (579, 3) = -1.1419642082937511, (580, 1) = 4.291830524469394, (580, 2) = 4.986027034359568, (580, 3) = -1.1409863251366328, (581, 1) = 4.3004177652230045, (581, 2) = 4.984062412597348, (581, 3) = -1.1400093117368966, (582, 1) = 4.309022031011692, (582, 2) = 4.9820948053559295, (582, 3) = -1.1390331527905024, (583, 1) = 4.317643484810374, (583, 2) = 4.98012417704899, (583, 3) = -1.1380578329015372, (584, 1) = 4.3262822915158745, (584, 2) = 4.978150491703034, (584, 3) = -1.1370833366325284, (585, 1) = 4.334938617731993, (585, 2) = 4.976173713007104, (585, 3) = -1.1361096485303874, (586, 1) = 4.343612630378749, (586, 2) = 4.974193804630681, (586, 3) = -1.1351367532836203, (587, 1) = 4.352304499599294, (587, 2) = 4.972210729560418, (587, 3) = -1.1341646353969106, (588, 1) = 4.361014399236639, (588, 2) = 4.970224449992727, (588, 3) = -1.1331932791418835, (589, 1) = 4.369742502099113, (589, 2) = 4.968234928414326, (589, 3) = -1.1322226690874384, (590, 1) = 4.378488983745889, (590, 2) = 4.9662421267389885, (590, 3) = -1.1312527896776456, (591, 1) = 4.38725402165441, (591, 2) = 4.96424600649816, (591, 3) = -1.1302836253267183, (592, 1) = 4.3960377952612, (592, 2) = 4.962246528832281, (592, 3) = -1.129315160416264, (593, 1) = 4.404840486878998, (593, 2) = 4.960243654282765, (593, 3) = -1.128347379196357, (594, 1) = 4.413662279200229, (594, 2) = 4.9582373433607545, (594, 3) = -1.1273802660620544, (595, 1) = 4.422503356905523, (595, 2) = 4.956227556181316, (595, 3) = -1.1264138053770942, (596, 1) = 4.431363906891223, (596, 2) = 4.9542142524124175, (596, 3) = -1.1254479814509137, (597, 1) = 4.44024411840474, (597, 2) = 4.95219739124488, (597, 3) = -1.124482778526115, (598, 1) = 4.449144182215435, (598, 2) = 4.950176931581398, (598, 3) = -1.1235181808705241, (599, 1) = 4.458064290807201, (599, 2) = 4.948152831993185, (599, 3) = -1.1225541727574406, (600, 1) = 4.467004642399926, (600, 2) = 4.946125049808539, (600, 3) = -1.1215907380342391, (601, 1) = 4.475965433966315, (601, 2) = 4.9440935426981305, (601, 3) = -1.1206278608791622, (602, 1) = 4.484946865284531, (602, 2) = 4.942058267755807, (602, 3) = -1.119665525364461, (603, 1) = 4.493949138559417, (603, 2) = 4.940019181585346, (603, 3) = -1.118703715499783, (604, 1) = 4.502972458258158, (604, 2) = 4.937976240338464, (604, 3) = -1.1177424152520108, (605, 1) = 4.512017031834126, (605, 2) = 4.935929399551741, (605, 3) = -1.1167816084706008, (606, 1) = 4.521083068211883, (606, 2) = 4.9338786144903315, (606, 3) = -1.115821279051014, (607, 1) = 4.530170777982679, (607, 2) = 4.931823840104045, (607, 3) = -1.114861410914991, (608, 1) = 4.539280375032715, (608, 2) = 4.929765030659833, (608, 3) = -1.1139019878404692, (609, 1) = 4.548412075693204, (609, 2) = 4.9277021399349605, (609, 3) = -1.1129429935543322, (610, 1) = 4.557566098670064, (610, 2) = 4.925635121233647, (610, 3) = -1.1119844117420943, (611, 1) = 4.5667426646026525, (611, 2) = 4.923563927487346, (611, 3) = -1.1110262260960968, (612, 1) = 4.575941997919471, (612, 2) = 4.921488510836717, (612, 3) = -1.1100684201241195, (613, 1) = 4.585164325298995, (613, 2) = 4.919408822980023, (613, 3) = -1.109110977313217, (614, 1) = 4.594409875840516, (614, 2) = 4.917324815135293, (614, 3) = -1.1081538811140486, (615, 1) = 4.603678881158346, (615, 2) = 4.9152364380198295, (615, 3) = -1.1071971149333757, (616, 1) = 4.612971576245314, (616, 2) = 4.9131436416565135, (616, 3) = -1.106240662047649, (617, 1) = 4.622288198890599, (617, 2) = 4.911046375506059, (617, 3) = -1.1052845056662988, (618, 1) = 4.631628988110481, (618, 2) = 4.908944588820872, (618, 3) = -1.1043286290947991, (619, 1) = 4.640994186797697, (619, 2) = 4.906838230049441, (619, 3) = -1.1033730154651307, (620, 1) = 4.650384040780207, (620, 2) = 4.9047272470492755, (620, 3) = -1.102417647835702, (621, 1) = 4.659798798902427, (621, 2) = 4.902611587069608, (621, 3) = -1.1014625091860102, (622, 1) = 4.669238714004961, (622, 2) = 4.900491196532325, (622, 3) = -1.1005075823206734, (623, 1) = 4.678704038412284, (623, 2) = 4.898366022046281, (623, 3) = -1.0995528503283154, (624, 1) = 4.688195030105764, (624, 2) = 4.896236009021473, (624, 3) = -1.0985982959594223, (625, 1) = 4.697711951104575, (625, 2) = 4.89410110203436, (625, 3) = -1.0976439017952873, (626, 1) = 4.707255065584403, (626, 2) = 4.891961245251063, (626, 3) = -1.096689650440251, (627, 1) = 4.71682464146399, (627, 2) = 4.889816382072326, (627, 3) = -1.0957355243654219, (628, 1) = 4.726420950343778, (628, 2) = 4.887666455148533, (628, 3) = -1.0947815059187116, (629, 1) = 4.736044265144215, (629, 2) = 4.885511406909684, (629, 3) = -1.09382757756244, (630, 1) = 4.74569486323664, (630, 2) = 4.883351178864805, (630, 3) = -1.0928737215647537, (631, 1) = 4.7553730256325455, (631, 2) = 4.881185711784862, (631, 3) = -1.0919199200843364, (632, 1) = 4.765079037971513, (632, 2) = 4.879014945483044, (632, 3) = -1.090966155077187, (633, 1) = 4.774813187639875, (633, 2) = 4.876838819460391, (633, 3) = -1.090012408583646, (634, 1) = 4.784575765687151, (634, 2) = 4.874657272477892, (634, 3) = -1.0890586625424379, (635, 1) = 4.794367066185271, (635, 2) = 4.872470242700727, (635, 3) = -1.0881048988567021, (636, 1) = 4.804187387610099, (636, 2) = 4.870277667390715, (636, 3) = -1.0871510992627949, (637, 1) = 4.814037035250347, (637, 2) = 4.868079482370323, (637, 3) = -1.086197245102082, (638, 1) = 4.823916316960945, (638, 2) = 4.865875622972399, (638, 3) = -1.0852433177384908, (639, 1) = 4.833825542322478, (639, 2) = 4.8636660242281415, (639, 3) = -1.084289298641393, (640, 1) = 4.843765026012541, (640, 2) = 4.861450620116037, (640, 3) = -1.0833351690633455, (641, 1) = 4.853735086997115, (641, 2) = 4.859229343743696, (641, 3) = -1.0823809101229782, (642, 1) = 4.863736049569646, (642, 2) = 4.857002127117909, (642, 3) = -1.0814265027104597, (643, 1) = 4.873768240434324, (643, 2) = 4.854768901795597, (643, 3) = -1.080471927770494, (644, 1) = 4.883831990573746, (644, 2) = 4.85252959846882, (644, 3) = -1.07951716612719, (645, 1) = 4.893927636126733, (645, 2) = 4.850284146770868, (645, 3) = -1.078562198405552, (646, 1) = 4.90405551662573, (646, 2) = 4.848032475669795, (646, 3) = -1.077607005203048, (647, 1) = 4.914215976141321, (647, 2) = 4.845774513215008, (647, 3) = -1.0766515669852659, (648, 1) = 4.924409367553416, (648, 2) = 4.843510185590083, (648, 3) = -1.0756958636907503, (649, 1) = 4.934636044098853, (649, 2) = 4.841239418992555, (649, 3) = -1.074739875530543, (650, 1) = 4.94489636473552, (650, 2) = 4.838962138443042, (650, 3) = -1.07378358248783, (651, 1) = 4.955190693512592, (651, 2) = 4.836678267926839, (651, 3) = -1.0728269643826265, (652, 1) = 4.965519400658992, (652, 2) = 4.834387730154185, (652, 3) = -1.0718700007764759, (653, 1) = 4.9758828596468145, (653, 2) = 4.8320904472132025, (653, 3) = -1.0709126712501356, (654, 1) = 4.986281449118314, (654, 2) = 4.829786340143708, (654, 3) = -1.0699549552291516, (655, 1) = 4.996715553702842, (655, 2) = 4.827475328757908, (655, 3) = -1.0689968319143779, (656, 1) = 5.0071855627952955, (656, 2) = 4.825157331912746, (656, 3) = -1.06803828040015, (657, 1) = 5.017691870943702, (657, 2) = 4.822832267425531, (657, 3) = -1.067079279643769, (658, 1) = 5.028234879853695, (658, 2) = 4.8205000516321475, (658, 3) = -1.0661198082886967, (659, 1) = 5.038814995990356, (659, 2) = 4.81816059991967, (659, 3) = -1.0651598448898412, (660, 1) = 5.049432631556867, (660, 2) = 4.815813826511424, (660, 3) = -1.0641993678299049, (661, 1) = 5.0600882059038925, (661, 2) = 4.8134596441574145, (661, 3) = -1.0632383551985212, (662, 1) = 5.0707821421301995, (662, 2) = 4.81109796488728, (662, 3) = -1.0622767851053956, (663, 1) = 5.081514869588221, (663, 2) = 4.808728699458108, (663, 3) = -1.0613146354593361, (664, 1) = 5.09228682502674, (664, 2) = 4.806351757104278, (664, 3) = -1.060351883872962, (665, 1) = 5.103098451897249, (665, 2) = 4.803967045692836, (665, 3) = -1.0593885077326186, (666, 1) = 5.113950199009468, (666, 2) = 4.801574472021985, (666, 3) = -1.058424484324876, (667, 1) = 5.124842518624722, (667, 2) = 4.799173942242622, (667, 3) = -1.0574597910105266, (668, 1) = 5.135775875365251, (668, 2) = 4.796765359896646, (668, 3) = -1.0564944044419355, (669, 1) = 5.1467507386606535, (669, 2) = 4.794348627584552, (669, 3) = -1.0555283012417342, (670, 1) = 5.157767585943704, (670, 2) = 4.791923646263236, (670, 3) = -1.0545614577273557, (671, 1) = 5.168826899154116, (671, 2) = 4.7894903160177025, (671, 3) = -1.0535938502253321, (672, 1) = 5.179929167938721, (672, 2) = 4.787048535358331, (672, 3) = -1.0526254547967275, (673, 1) = 5.191074891274185, (673, 2) = 4.784598200866562, (673, 3) = -1.051656247104652, (674, 1) = 5.2022645752607675, (674, 2) = 4.782139207682747, (674, 3) = -1.0506862026157857, (675, 1) = 5.213498731609502, (675, 2) = 4.779671449840455, (675, 3) = -1.0497152967384824, (676, 1) = 5.22477788003514, (676, 2) = 4.777194819742489, (676, 3) = -1.048743504622459, (677, 1) = 5.236102547408081, (677, 2) = 4.774709208349421, (677, 3) = -1.047770801240224, (678, 1) = 5.247473274595802, (678, 2) = 4.772214503680899, (678, 3) = -1.046797160809721, (679, 1) = 5.2588906054987365, (679, 2) = 4.769710593224702, (679, 3) = -1.0458225577453764, (680, 1) = 5.270355093357038, (680, 2) = 4.767197362554551, (680, 3) = -1.0448469661242827, (681, 1) = 5.281867301843321, (681, 2) = 4.764674695093608, (681, 3) = -1.0438703596040029, (682, 1) = 5.293427801164669, (682, 2) = 4.762142472971435, (682, 3) = -1.0428927117634585, (683, 1) = 5.305037171074922, (683, 2) = 4.759600576366173, (683, 3) = -1.041913995855998, (684, 1) = 5.316696001842971, (684, 2) = 4.75704888329552, (684, 3) = -1.040934184738679, (685, 1) = 5.328404892872269, (685, 2) = 4.754487269921957, (685, 3) = -1.0399532509995417, (686, 1) = 5.3401644525416145, (686, 2) = 4.751915610590181, (686, 3) = -1.038971166980825, (687, 1) = 5.351975294762904, (687, 2) = 4.749333778581941, (687, 3) = -1.037987905074797, (688, 1) = 5.3638380505375505, (688, 2) = 4.74674164359228, (688, 3) = -1.0370034367713936, (689, 1) = 5.375753360179111, (689, 2) = 4.744139073434006, (689, 3) = -1.0360177333208929, (690, 1) = 5.387721870944048, (690, 2) = 4.741525934557369, (690, 3) = -1.0350307659390505, (691, 1) = 5.399744241525602, (691, 2) = 4.738902091070962, (691, 3) = -1.0340425054452198, (692, 1) = 5.411821143526104, (692, 2) = 4.736267404423987, (692, 3) = -1.0330529221547131, (693, 1) = 5.42395325961831, (693, 2) = 4.733621733811125, (693, 3) = -1.032061986043421, (694, 1) = 5.436141282150822, (694, 2) = 4.730964936479593, (694, 3) = -1.0310696668734487, (695, 1) = 5.44838591497515, (695, 2) = 4.728296867333623, (695, 3) = -1.0300759340554806, (696, 1) = 5.460687873366709, (696, 2) = 4.725617378954876, (696, 3) = -1.0290807566679336, (697, 1) = 5.473047887145398, (697, 2) = 4.722926320926308, (697, 3) = -1.0280841032183763, (698, 1) = 5.485466697476077, (698, 2) = 4.7202235405328326, (698, 3) = -1.027085941916955, (699, 1) = 5.497945059699495, (699, 2) = 4.717508882148559, (699, 3) = -1.026086240462427, (700, 1) = 5.510483738880768, (700, 2) = 4.714782188208835, (700, 3) = -1.0250849664132091, (701, 1) = 5.52308351406337, (701, 2) = 4.712043298287901, (701, 3) = -1.0240820868596425, (702, 1) = 5.535745180334229, (702, 2) = 4.70929204865424, (702, 3) = -1.0230775682762567, (703, 1) = 5.548469547448895, (703, 2) = 4.706528272573929, (703, 3) = -1.022071376648767, (704, 1) = 5.561257434353292, (704, 2) = 4.703751801503974, (704, 3) = -1.0210634779218128, (705, 1) = 5.5741096759874, (705, 2) = 4.700962463617727, (705, 3) = -1.0200538374748744, (706, 1) = 5.58702712830107, (706, 2) = 4.698160082721507, (706, 3) = -1.0190424197485233, (707, 1) = 5.600010655817601, (707, 2) = 4.6953444809577, (707, 3) = -1.018029189238132, (708, 1) = 5.613061140365355, (708, 2) = 4.692515476913593, (708, 3) = -1.0170141098244998, (709, 1) = 5.62617948175382, (709, 2) = 4.689672885479834, (709, 3) = -1.0159971447414766, (710, 1) = 5.6393665926745395, (710, 2) = 4.686816518959811, (710, 3) = -1.0149782569900512, (711, 1) = 5.652623403153752, (711, 2) = 4.683946186108653, (711, 3) = -1.0139574090102084, (712, 1) = 5.665950860903978, (712, 2) = 4.681061692061813, (712, 3) = -1.0129345626738897, (713, 1) = 5.6793499347338505, (713, 2) = 4.678162837602284, (713, 3) = -1.0119096790449342, (714, 1) = 5.692821611113107, (714, 2) = 4.6752494199094015, (714, 3) = -1.0108827186651863, (715, 1) = 5.706366893641239, (715, 2) = 4.672321232678235, (715, 3) = -1.0098536416150323, (716, 1) = 5.719986801382228, (716, 2) = 4.6693780664836115, (716, 3) = -1.008822407658796, (717, 1) = 5.733682375014465, (717, 2) = 4.666419707455343, (717, 3) = -1.0077889757988423, (718, 1) = 5.747454677018509, (718, 2) = 4.663445937243632, (718, 3) = -1.0067533042867367, (719, 1) = 5.761304786062783, (719, 2) = 4.66045653423651, (719, 3) = -1.005715351068771, (720, 1) = 5.775233798919999, (720, 2) = 4.657451273149817, (720, 3) = -1.0046750736613075, (721, 1) = 5.789242842072002, (721, 2) = 4.654429922528986, (721, 3) = -1.0036324283092404, (722, 1) = 5.803333065085385, (722, 2) = 4.651392246185741, (722, 3) = -1.0025873705120916, (723, 1) = 5.817505638580493, (723, 2) = 4.648338003641615, (723, 3) = -1.0015398552009143, (724, 1) = 5.831761754402651, (724, 2) = 4.645266950096042, (724, 3) = -1.0004898367501334, (725, 1) = 5.846102624822737, (725, 2) = 4.642178836603332, (725, 3) = -.9994372690607521, (726, 1) = 5.860529489020316, (726, 2) = 4.639073408681834, (726, 3) = -.9983821051106139, (727, 1) = 5.875043612333055, (727, 2) = 4.635950406482396, (727, 3) = -.9973242970409246, (728, 1) = 5.8896462774196054, (728, 2) = 4.632809566695185, (728, 3) = -.996263796827856, (729, 1) = 5.904338805206926, (729, 2) = 4.629650618049507, (729, 3) = -.9952005547889262, (730, 1) = 5.919122538233332, (730, 2) = 4.626473284904185, (730, 3) = -.9941345208284864, (731, 1) = 5.933998847822801, (731, 2) = 4.623277285710648, (731, 3) = -.9930656439482325, (732, 1) = 5.948969138197775, (732, 2) = 4.620062332136707, (732, 3) = -.9919938719876041, (733, 1) = 5.9640348384869535, (733, 2) = 4.616828130790328, (733, 3) = -.9909191522324708, (734, 1) = 5.979197406422201, (734, 2) = 4.613574382431326, (734, 3) = -.9898414311821647, (735, 1) = 5.994458329831444, (735, 2) = 4.610300781657372, (735, 3) = -.9887606544780141, (736, 1) = 6.009819132828891, (736, 2) = 4.607007015583487, (736, 3) = -.9876767665033435, (737, 1) = 6.0252813721829295, (737, 2) = 4.603692764629277, (737, 3) = -.9865897106823568, (738, 1) = 6.040844509168522, (738, 2) = 4.600358158422904, (738, 3) = -.9854995783128372, (739, 1) = 6.056473340475939, (739, 2) = 4.597010749318951, (739, 3) = -.9844088745878613, (740, 1) = 6.07214328490937, (740, 2) = 4.593655804282284, (740, 3) = -.9833193310063892, (741, 1) = 6.087848178068669, (741, 2) = 4.590294641393454, (741, 3) = -.982231380234994, (742, 1) = 6.103588207600118, (742, 2) = 4.586927217968427, (742, 3) = -.9811450109631822, (743, 1) = 6.119363561445427, (743, 2) = 4.58355349124474, (743, 3) = -.9800602119971789, (744, 1) = 6.135174428808416, (744, 2) = 4.5801734181738345, (744, 3) = -.9789769721928631, (745, 1) = 6.151021000440135, (745, 2) = 4.5767869553594895, (745, 3) = -.9778952804365152, (746, 1) = 6.166903468656197, (746, 2) = 4.57339405905353, (746, 3) = -.9768151256442543, (747, 1) = 6.182822027354331, (747, 2) = 4.56999468515151, (747, 3) = -.9757364967613902, (748, 1) = 6.198776872032136, (748, 2) = 4.566588789188308, (748, 3) = -.9746593827618737, (749, 1) = 6.214768199804985, (749, 2) = 4.563176326333725, (749, 3) = -.9735837726476615, (750, 1) = 6.230796209424577, (750, 2) = 4.559757251387896, (750, 3) = -.9725096554481294, (751, 1) = 6.246861101921163, (751, 2) = 4.556331518643736, (751, 3) = -.9714370201778884, (752, 1) = 6.26296308091397, (752, 2) = 4.552899081820372, (752, 3) = -.9703658558175982, (753, 1) = 6.2791023503008265, (753, 2) = 4.54945989455506, (753, 3) = -.9692961514685738, (754, 1) = 6.295279115626447, (754, 2) = 4.546013910110568, (754, 3) = -.9682278962615622, (755, 1) = 6.311493584168525, (755, 2) = 4.542561081356146, (755, 3) = -.9671610793516773, (756, 1) = 6.327745964957569, (756, 2) = 4.539101360762603, (756, 3) = -.9660956899178207, (757, 1) = 6.344036468797225, (757, 2) = 4.535634700397275, (757, 3) = -.9650317171620648, (758, 1) = 6.360365308284815, (758, 2) = 4.532161051918934, (758, 3) = -.9639691503090674, (759, 1) = 6.376732697831934, (759, 2) = 4.528680366572679, (759, 3) = -.9629079786054636, (760, 1) = 6.3931388536866, (760, 2) = 4.525192595184458, (760, 3) = -.961848191319223, (761, 1) = 6.409583995206027, (761, 2) = 4.521697687889862, (761, 3) = -.9607897776586319, (762, 1) = 6.426068343561707, (762, 2) = 4.518195594408852, (762, 3) = -.9597327268574695, (763, 1) = 6.442592120704164, (763, 2) = 4.51468626426474, (763, 3) = -.9586770282417175, (764, 1) = 6.459155550508657, (764, 2) = 4.511169646539779, (764, 3) = -.9576226711562799, (765, 1) = 6.475758858798178, (765, 2) = 4.50764568986947, (765, 3) = -.9565696449643533, (766, 1) = 6.492402273366334, (766, 2) = 4.50411434243683, (766, 3) = -.955517939046837, (767, 1) = 6.509086024000886, (767, 2) = 4.5005755519665565, (767, 3) = -.9544675428017152, (768, 1) = 6.525810342507631, (768, 2) = 4.497029265719065, (768, 3) = -.9534184456434409, (769, 1) = 6.54257546273429, (769, 2) = 4.493475430484522, (769, 3) = -.952370637002344, (770, 1) = 6.55938162070697, (770, 2) = 4.489913992553027, (770, 3) = -.9513241063170615, (771, 1) = 6.5762290562871994, (771, 2) = 4.4863448973627, (771, 3) = -.9502788429329648, (772, 1) = 6.593118010313484, (772, 2) = 4.4827680901045674, (772, 3) = -.9492348362814552, (773, 1) = 6.6100487251267515, (773, 2) = 4.479183515609973, (773, 3) = -.9481920758473156, (774, 1) = 6.627021445238123, (774, 2) = 4.475591118208073, (774, 3) = -.9471505511280609, (775, 1) = 6.644036417355827, (775, 2) = 4.471990841719092, (775, 3) = -.9461102516332808, (776, 1) = 6.661093890411819, (776, 2) = 4.468382629447667, (776, 3) = -.945071166884036, (777, 1) = 6.678194115589154, (777, 2) = 4.464766424175987, (777, 3) = -.9440332864122248, (778, 1) = 6.695337346349862, (778, 2) = 4.46114216815681, (778, 3) = -.942996599759938, (779, 1) = 6.712523838462897, (779, 2) = 4.457509803106458, (779, 3) = -.9419610964788456, (780, 1) = 6.729753850483791, (780, 2) = 4.4538692701023255, (780, 3) = -.9409267661025309, (781, 1) = 6.747027645036033, (781, 2) = 4.450220509311245, (781, 3) = -.9398935980715745, (782, 1) = 6.76434548533529, (782, 2) = 4.446563460722672, (782, 3) = -.9388615819432733, (783, 1) = 6.781707636755529, (783, 2) = 4.442898063816356, (783, 3) = -.9378307072979846, (784, 1) = 6.799114367127356, (784, 2) = 4.4392242574980845, (784, 3) = -.9368009637223587, (785, 1) = 6.816565946769435, (785, 2) = 4.435541980091756, (785, 3) = -.9357723408086617, (786, 1) = 6.834062648519787, (786, 2) = 4.4318511693315354, (786, 3) = -.9347448281541311, (787, 1) = 6.851604747767721, (787, 2) = 4.428151762353755, (787, 3) = -.9337184153603135, (788, 1) = 6.869192522486489, (788, 2) = 4.424443695688727, (788, 3) = -.9326930920323925, (789, 1) = 6.886826253266254, (789, 2) = 4.420726905252379, (789, 3) = -.9316688477785224, (790, 1) = 6.9045062244317075, (790, 2) = 4.417001326109398, (790, 3) = -.9306456721465308, (791, 1) = 6.9222327239561965, (791, 2) = 4.413266892490164, (791, 3) = -.929623554631291, (792, 1) = 6.9400060406223885, (792, 2) = 4.409523538387465, (792, 3) = -.9286024848398536, (793, 1) = 6.957826465927443, (793, 2) = 4.405771197153363, (793, 3) = -.9275824523819013, (794, 1) = 6.975694294161071, (794, 2) = 4.402009801481231, (794, 3) = -.926563446866609, (795, 1) = 6.993609822442396, (795, 2) = 4.398239283396431, (795, 3) = -.9255454579019219, (796, 1) = 7.011573350756893, (796, 2) = 4.39445957424693, (796, 3) = -.9245284750938586, (797, 1) = 7.0295851819939585, (797, 2) = 4.390670604693763, (797, 3) = -.9235124880458048, (798, 1) = 7.047645621985189, (798, 2) = 4.3868723047013045, (798, 3) = -.9224974863578023, (799, 1) = 7.065754979561831, (799, 2) = 4.383064603523487, (799, 3) = -.9214834596247942, (800, 1) = 7.083913568598258, (800, 2) = 4.379247429272529, (800, 3) = -.9204703973243197, (801, 1) = 7.102121705452226, (801, 2) = 4.375420709455535, (801, 3) = -.9194582889621093, (802, 1) = 7.120379708229757, (802, 2) = 4.371584371126974, (802, 3) = -.9184471241136403, (803, 1) = 7.138687898183847, (803, 2) = 4.367738340592666, (803, 3) = -.9174368923472634, (804, 1) = 7.157046599756253, (804, 2) = 4.363882543399108, (804, 3) = -.9164275832234875, (805, 1) = 7.175456140620779, (805, 2) = 4.360016904322435, (805, 3) = -.9154191862942117, (806, 1) = 7.193916851727135, (806, 2) = 4.356141347357188, (806, 3) = -.9144116911019547, (807, 1) = 7.212429067345556, (807, 2) = 4.352255795704924, (807, 3) = -.9134050871790855, (808, 1) = 7.230993125111756, (808, 2) = 4.348360171762686, (808, 3) = -.912399364047057, (809, 1) = 7.249609366336608, (809, 2) = 4.344454397055877, (809, 3) = -.9113945112014317, (810, 1) = 7.268278138331034, (810, 2) = 4.340538391748515, (810, 3) = -.9103905179890492, (811, 1) = 7.286999789964192, (811, 2) = 4.3366120755729645, (811, 3) = -.9093873738498581, (812, 1) = 7.3057746729311654, (812, 2) = 4.332675367561429, (812, 3) = -.9083850682491956, (813, 1) = 7.32460314253565, (813, 2) = 4.328728185879407, (813, 3) = -.9073835906373322, (814, 1) = 7.343485557740005, (814, 2) = 4.324770447812782, (814, 3) = -.9063829304486521, (815, 1) = 7.362422281216554, (815, 2) = 4.3208020697546266, (815, 3) = -.905383077100816, (816, 1) = 7.3814136793997625, (816, 2) = 4.316822967191742, (816, 3) = -.9043840199939162, (817, 1) = 7.400460122539673, (817, 2) = 4.312833054690917, (817, 3) = -.9033857485095954, (818, 1) = 7.419561984755133, (818, 2) = 4.308832245885122, (818, 3) = -.9023882520102335, (819, 1) = 7.43871964495608, (819, 2) = 4.304820453277701, (819, 3) = -.9013915197930212, (820, 1) = 7.4579334882820145, (820, 2) = 4.300797587938624, (820, 3) = -.9003955410183838, (821, 1) = 7.477203901200731, (821, 2) = 4.296763560527966, (821, 3) = -.8994003049668072, (822, 1) = 7.496531274016274, (822, 2) = 4.292718280767673, (822, 3) = -.8984058009095313, (823, 1) = 7.515916001191787, (823, 2) = 4.288661657370977, (823, 3) = -.8974120180938663, (824, 1) = 7.535358481409983, (824, 2) = 4.284593598026719, (824, 3) = -.8964189457422715, (825, 1) = 7.554859117634385, (825, 2) = 4.280514009383442, (825, 3) = -.8954265730514083, (826, 1) = 7.574418317171738, (826, 2) = 4.276422797033144, (826, 3) = -.8944348891911942, (827, 1) = 7.594036491736399, (827, 2) = 4.272319865494566, (827, 3) = -.8934438833038021, (828, 1) = 7.61371405751397, (828, 2) = 4.268205118196548, (828, 3) = -.8924535445027405, (829, 1) = 7.63345143717465, (829, 2) = 4.264078457053707, (829, 3) = -.891463861774402, (830, 1) = 7.653249058849607, (830, 2) = 4.259939782677171, (830, 3) = -.8904748240332468, (831, 1) = 7.673107352726272, (831, 2) = 4.255788995082733, (831, 3) = -.8894864202941329, (832, 1) = 7.693026753724033, (832, 2) = 4.251625993127629, (832, 3) = -.8884986395398656, (833, 1) = 7.713007701582515, (833, 2) = 4.247450674488323, (833, 3) = -.8875114707193014, (834, 1) = 7.733050640934861, (834, 2) = 4.243262935641344, (834, 3) = -.8865249027462534, (835, 1) = 7.753156021381593, (835, 2) = 4.2390626718439215, (835, 3) = -.8855389244984214, (836, 1) = 7.7733242975657815, (836, 2) = 4.234849777114218, (836, 3) = -.8845535248163109, (837, 1) = 7.793555929250946, (837, 2) = 4.2306241442109345, (837, 3) = -.8835686925020769, (838, 1) = 7.813851381484812, (838, 2) = 4.226385664594851, (838, 3) = -.8825844163142648, (839, 1) = 7.834211127904779, (839, 2) = 4.22213422773428, (839, 3) = -.8816006848111849, (840, 1) = 7.854635646001418, (840, 2) = 4.217869722089888, (840, 3) = -.8806174865842115, (841, 1) = 7.875125417012156, (841, 2) = 4.213592035132105, (841, 3) = -.8796348102643123, (842, 1) = 7.895680927709167, (842, 2) = 4.209301052963044, (842, 3) = -.8786526444380995, (843, 1) = 7.9163026704847885, (843, 2) = 4.204996660293884, (843, 3) = -.877670977646671, (844, 1) = 7.936991143440636, (844, 2) = 4.20067874042131, (844, 3) = -.8766897983843285, (845, 1) = 7.957746850477589, (845, 2) = 4.196347175203693, (845, 3) = -.8757090950973292, (846, 1) = 7.978570301387049, (846, 2) = 4.192001845036856, (846, 3) = -.8747288561826292, (847, 1) = 7.999462011945638, (847, 2) = 4.187642628829004, (847, 3) = -.8737490699865431, (848, 1) = 8.020422504606046, (848, 2) = 4.1832694038511145, (848, 3) = -.8727697247756621, (849, 1) = 8.041452311822132, (849, 2) = 4.178882045037736, (849, 3) = -.8717908085860705, (850, 1) = 8.062551968987073, (850, 2) = 4.174480426454627, (850, 3) = -.8708123095567896, (851, 1) = 8.083722017021733, (851, 2) = 4.17006442075271, (851, 3) = -.8698342158107925, (852, 1) = 8.104963003338376, (852, 2) = 4.1656338989609365, (852, 3) = -.8688565154133435, (853, 1) = 8.126275481945008, (853, 2) = 4.161188730458348, (853, 3) = -.8678791963706314, (854, 1) = 8.147660013554356, (854, 2) = 4.156728782944967, (854, 3) = -.8669022466282771, (855, 1) = 8.16911716569435, (855, 2) = 4.152253922412226, (855, 3) = -.86592565406983, (856, 1) = 8.190647512820217, (856, 2) = 4.147764013112896, (856, 3) = -.864949406515289, (857, 1) = 8.212251636430015, (857, 2) = 4.143258917530107, (857, 3) = -.8639734917195434, (858, 1) = 8.233930126898503, (858, 2) = 4.138738495987889, (858, 3) = -.8629978972936987, (859, 1) = 8.255683584889777, (859, 2) = 4.13420260634944, (859, 3) = -.862022610647092, (860, 1) = 8.277512614260031, (860, 2) = 4.129651105489551, (860, 3) = -.8610476193100564, (861, 1) = 8.299417826152467, (861, 2) = 4.125083848433031, (861, 3) = -.8600729107523869, (862, 1) = 8.321399839376896, (862, 2) = 4.120500688267696, (862, 3) = -.8590984723703222, (863, 1) = 8.343459280538953, (863, 2) = 4.11590147610936, (863, 3) = -.8581242914848907, (864, 1) = 8.36559678417427, (864, 2) = 4.111286061065581, (864, 3) = -.8571503553401304, (865, 1) = 8.38781299288528, (865, 2) = 4.106654290198627, (865, 3) = -.8561766511012953, (866, 1) = 8.410108557480685, (866, 2) = 4.102006008487653, (866, 3) = -.855203165853038, (867, 1) = 8.432484137116989, (867, 2) = 4.097341058790205, (867, 3) = -.8542298865975978, (868, 1) = 8.4549404031267, (868, 2) = 4.09265928103487, (868, 3) = -.8532568000936427, (869, 1) = 8.477478035794984, (869, 2) = 4.087960512883795, (869, 3) = -.8522838930026625, (870, 1) = 8.500097720532127, (870, 2) = 4.083244590520871, (870, 3) = -.8513111520580603, (871, 1) = 8.522800151709731, (871, 2) = 4.078511347841942, (871, 3) = -.8503385639027574, (872, 1) = 8.545586032823277, (872, 2) = 4.073760616410592, (872, 3) = -.8493661150870124, (873, 1) = 8.56845607665406, (873, 2) = 4.068992225413803, (873, 3) = -.8483937920663747, (874, 1) = 8.591411005436228, (874, 2) = 4.064206001616206, (874, 3) = -.8474215811995447, (875, 1) = 8.614451551027233, (875, 2) = 4.059401769313348, (875, 3) = -.8464494687461966, (876, 1) = 8.63757845508362, (876, 2) = 4.054579350283528, (876, 3) = -.8454774408647032, (877, 1) = 8.660792469526742, (877, 2) = 4.049738563678806, (877, 3) = -.8445054835978698, (878, 1) = 8.6840943620889, (878, 2) = 4.044879224856194, (878, 3) = -.8435335826475612, (879, 1) = 8.707484907533914, (879, 2) = 4.040001147195793, (879, 3) = -.8425617237486857, (880, 1) = 8.73096488892267, (880, 2) = 4.0351041418240765, (880, 3) = -.8415898926197262, (881, 1) = 8.754535100062869, (881, 2) = 4.030188017089763, (881, 3) = -.8406180748657339, (882, 1) = 8.778196345711626, (882, 2) = 4.025252578507887, (882, 3) = -.8396462559757173, (883, 1) = 8.801949441780897, (883, 2) = 4.02029762870287, (883, 3) = -.8386744213200715, (884, 1) = 8.82579521554788, (884, 2) = 4.015322967350149, (884, 3) = -.8377025561479411, (885, 1) = 8.849734505869469, (885, 2) = 4.010328391116506, (885, 3) = -.8367306455845566, (886, 1) = 8.873768163406078, (886, 2) = 4.005313693598031, (886, 3) = -.8357586746283587, (887, 1) = 8.897897052216281, (887, 2) = 4.0002786649715185, (887, 3) = -.8347866280931475, (888, 1) = 8.922122054683273, (888, 2) = 3.9952230909498865, (888, 3) = -.8338144904182273, (889, 1) = 8.946444059743067, (889, 2) = 3.9901467552217764, (889, 3) = -.8328422461492856, (890, 1) = 8.9708639680465, (890, 2) = 3.9850494383573416, (890, 3) = -.8318698797352447, (891, 1) = 8.995382693251313, (891, 2) = 3.9799309175207753, (891, 3) = -.8308973754830967, (892, 1) = 9.02000116227781, (892, 2) = 3.974790966398588, (892, 3) = -.8299247175547391, (893, 1) = 9.044720315571887, (893, 2) = 3.969629355125765, (893, 3) = -.8289518899636978, (894, 1) = 9.069541107373993, (894, 2) = 3.964445850210091, (894, 3) = -.8279788765718085, (895, 1) = 9.094464505992079, (895, 2) = 3.9592402144550465, (895, 3) = -.8270056610859189, (896, 1) = 9.119491494089175, (896, 2) = 3.9540122068789962, (896, 3) = -.8260322270542233, (897, 1) = 9.144623072584722, (897, 2) = 3.9487615818786863, (897, 3) = -.8250585577230493, (898, 1) = 9.169860261426162, (898, 2) = 3.9434880890453643, (898, 3) = -.8240846360176922, (899, 1) = 9.195204088871474, (899, 2) = 3.938191475381353, (899, 3) = -.8231104449646199, (900, 1) = 9.220655598541542, (900, 2) = 3.932871483803468, (900, 3) = -.8221359674248423, (901, 1) = 9.246215849960251, (901, 2) = 3.9275278530059285, (901, 3) = -.821161186081503, (902, 1) = 9.27188591888202, (902, 2) = 3.922160317366879, (902, 3) = -.8201860834359451, (903, 1) = 9.297666897631874, (903, 2) = 3.916768606851486, (903, 3) = -.8192106418035389, (904, 1) = 9.323559895454359, (904, 2) = 3.9113524469123337, (904, 3) = -.8182348433094013, (905, 1) = 9.349566038866026, (905, 2) = 3.905911558388191, (905, 3) = -.8172586698842333, (906, 1) = 9.375686472061679, (906, 2) = 3.9004456573906245, (906, 3) = -.8162821032583853, (907, 1) = 9.401922364677162, (907, 2) = 3.894954453649769, (907, 3) = -.81530512468282, (908, 1) = 9.428274903443858, (908, 2) = 3.8894376522296352, (908, 3) = -.8143277152531607, (909, 1) = 9.45474528844067, (909, 2) = 3.8838949542819803, (909, 3) = -.8133498560567232, (910, 1) = 9.481334738984433, (910, 2) = 3.878326055781369, (910, 3) = -.8123715279622342, (911, 1) = 9.508044494056007, (911, 2) = 3.8727306474025274, (911, 3) = -.8113927116145415, (912, 1) = 9.534875812727902, (912, 2) = 3.8671084143961783, (912, 3) = -.8104133874295743, (913, 1) = 9.56182997460937, (913, 2) = 3.8614590364600723, (913, 3) = -.8094335355889632, (914, 1) = 9.58890828030538, (914, 2) = 3.855782187605831, (914, 3) = -.8084531360344552, (915, 1) = 9.616112051880565, (915, 2) = 3.8500775360234987, (915, 3) = -.8074721684624876, (916, 1) = 9.643442634236505, (916, 2) = 3.8443447437531124, (916, 3) = -.8064906122863301, (917, 1) = 9.670901405144408, (917, 2) = 3.8385834645383103, (917, 3) = -.8055084462903815, (918, 1) = 9.698489758101507, (918, 2) = 3.832793347379439, (918, 3) = -.8045256492592525, (919, 1) = 9.726209106873496, (919, 2) = 3.8269740355381203, (919, 3) = -.8035421998240001, (920, 1) = 9.754060889281392, (920, 2) = 3.8211251656975915, (920, 3) = -.8025580763388822, (921, 1) = 9.782046567769015, (921, 2) = 3.815246367796579, (921, 3) = -.8015732568743681, (922, 1) = 9.810167629972597, (922, 2) = 3.8093372648610275, (922, 3) = -.8005877192104665, (923, 1) = 9.838425589312372, (923, 2) = 3.803397472829447, (923, 3) = -.7996014408296857, (924, 1) = 9.866821985605142, (924, 2) = 3.7974266003719688, (924, 3) = -.7986143989096707, (925, 1) = 9.895358385688322, (925, 2) = 3.7914242487051024, (925, 3) = -.7976265703158765, (926, 1) = 9.924036387461523, (926, 2) = 3.785390010685219, (926, 3) = -.7966379314770964, (927, 1) = 9.95285762765549, (927, 2) = 3.779323469113713, (927, 3) = -.7956484581366379, (928, 1) = 9.981823760553365, (928, 2) = 3.7732242011541395, (928, 3) = -.7946581261010582, (929, 1) = 10.010936468877729, (929, 2) = 3.7670917759804294, (929, 3) = -.7936669108777684, (930, 1) = 10.040197465859197, (930, 2) = 3.760925754276727, (930, 3) = -.792674787620193, (931, 1) = 10.069608496002179, (931, 2) = 3.754725688008792, (931, 3) = -.7916817311184817, (932, 1) = 10.09917133585905, (932, 2) = 3.7484911201910176, (932, 3) = -.7906877157904519, (933, 1) = 10.128887794832012, (933, 2) = 3.74222158464492, (933, 3) = -.7896927156721726, (934, 1) = 10.158759716002958, (934, 2) = 3.7359166057488578, (934, 3) = -.7886967044081531, (935, 1) = 10.18878897699216, (935, 2) = 3.729575698178729, (935, 3) = -.787699655241161, (936, 1) = 10.218977499337491, (936, 2) = 3.7231983648451776, (936, 3) = -.786701540721536, (937, 1) = 10.249327246509452, (937, 2) = 3.7167840972250312, (937, 3) = -.7857023327975633, (938, 1) = 10.279840206686597, (938, 2) = 3.710332378913779, (938, 3) = -.784702003402593, (939, 1) = 10.310518406223288, (939, 2) = 3.703842682691036, (939, 3) = -.7837005240278412, (940, 1) = 10.341363910792138, (940, 2) = 3.697314470184231, (940, 3) = -.782697865706109, (941, 1) = 10.372378826434929, (941, 2) = 3.690747191547686, (941, 3) = -.7816939989992683, (942, 1) = 10.403565300637212, (942, 2) = 3.6841402851326355, (942, 3) = -.7806888939857323, (943, 1) = 10.43492552344088, (943, 2) = 3.6774931771449197, (943, 3) = -.7796825202474622, (944, 1) = 10.466461728588389, (944, 2) = 3.6708052812915, (944, 3) = -.7786748468567414, (945, 1) = 10.498176195025174, (945, 2) = 3.66407599834628, (945, 3) = -.7776658423523855, (946, 1) = 10.530071264385507, (946, 2) = 3.6573047123166056, (946, 3) = -.7766554742118172, (947, 1) = 10.562149319927281, (947, 2) = 3.6504907947841714, (947, 3) = -.7756437095506622, (948, 1) = 10.594412784399823, (948, 2) = 3.643633605231083, (948, 3) = -.7746305152115801, (949, 1) = 10.626864130761268, (949, 2) = 3.6367324886296455, (949, 3) = -.7736158574503107, (950, 1) = 10.659505883582094, (950, 2) = 3.62978677500189, (950, 3) = -.7725997019196928, (951, 1) = 10.692340620519586, (951, 2) = 3.6227957789577365, (951, 3) = -.7715820136524716, (952, 1) = 10.725370973842445, (952, 2) = 3.6157587992158855, (952, 3) = -.7705627570436027, (953, 1) = 10.75859963201613, (953, 2) = 3.6086751181048506, (953, 3) = -.7695418958317819, (954, 1) = 10.792029341318838, (954, 2) = 3.601544001050187, (954, 3) = -.7685193930811595, (955, 1) = 10.825662910437677, (955, 2) = 3.5943646954177133, (955, 3) = -.7674952110736497, (956, 1) = 10.859503231494301, (956, 2) = 3.5871364258357032, (956, 3) = -.7664693107078298, (957, 1) = 10.893553242495875, (957, 2) = 3.5798584020157915, (957, 3) = -.7654416526785766, (958, 1) = 10.927815941207285, (958, 2) = 3.5725298155968956, (958, 3) = -.7644121970845492, (959, 1) = 10.962294392543916, (959, 2) = 3.5651498383569136, (959, 3) = -.7633809032401232, (960, 1) = 10.996991730623373, (960, 2) = 3.5577176215541018, (960, 3) = -.7623477296517932, (961, 1) = 11.031911160894461, (961, 2) = 3.550232295241451, (961, 3) = -.7613126339937705, (962, 1) = 11.06705596235461, (962, 2) = 3.542692967551032, (962, 3) = -.7602755730824827, (963, 1) = 11.102429489874767, (963, 2) = 3.5350987239436207, (963, 3) = -.7592365028495268, (964, 1) = 11.138035176552307, (964, 2) = 3.527448626439968, (964, 3) = -.7581953783154726, (965, 1) = 11.173876546010291, (965, 2) = 3.519741710699545, (965, 3) = -.7571521532765059, (966, 1) = 11.209957226424672, (966, 2) = 3.511976982703008, (966, 3) = -.7561067799507761, (967, 1) = 11.246280906339688, (967, 2) = 3.5041534279504205, (967, 3) = -.7550592103106775, (968, 1) = 11.282851361421207, (968, 2) = 3.4962700053964824, (968, 3) = -.7540093953479066, (969, 1) = 11.319672459358278, (969, 2) = 3.488325646060507, (969, 3) = -.7529572849826484, (970, 1) = 11.356748162953192, (970, 2) = 3.480319252008333, (970, 3) = -.7519028280278632, (971, 1) = 11.394082533303644, (971, 2) = 3.4722496952960626, (971, 3) = -.7508459721532149, (972, 1) = 11.431679733127233, (972, 2) = 3.4641158168636377, (972, 3) = -.7497866638473107, (973, 1) = 11.469544030280222, (973, 2) = 3.455916425365824, (973, 3) = -.7487248483769302, (974, 1) = 11.507679801315554, (974, 2) = 3.447650295972863, (974, 3) = -.7476604697477275, (975, 1) = 11.54609155967095, (975, 2) = 3.4393161638014718, (975, 3) = -.7465934699849848, (976, 1) = 11.584783942650922, (976, 2) = 3.430912726243072, (976, 3) = -.7455237895729435, (977, 1) = 11.623761681265872, (977, 2) = 3.4224386490159646, (977, 3) = -.7444513683540807, (978, 1) = 11.663029631805014, (978, 2) = 3.413892558793868, (978, 3) = -.7433761447179665, (979, 1) = 11.702592780368946, (979, 2) = 3.4052730416629333, (979, 3) = -.742298055549961, (980, 1) = 11.742456247674063, (980, 2) = 3.3965786414879373, (980, 3) = -.7412170361759102, (981, 1) = 11.782625294007097, (981, 2) = 3.3878078582120703, (981, 3) = -.7401330203063489, (982, 1) = 11.823105324403153, (982, 2) = 3.378959146072118, (982, 3) = -.7390459399784055, (983, 1) = 11.863901894165162, (983, 2) = 3.3700309117007734, (983, 3) = -.737955725492434, (984, 1) = 11.905020716220815, (984, 2) = 3.3610215117853217, (984, 3) = -.7368623053040342, (985, 1) = 11.946467711387152, (985, 2) = 3.3519292412617836, (985, 3) = -.7357656047890863, (986, 1) = 11.988248947576455, (986, 2) = 3.3427523457981128, (986, 3) = -.7346655479649394, (987, 1) = 12.030370648053397, (987, 2) = 3.3334890191407585, (987, 3) = -.7335620573589823, (988, 1) = 12.072839218499025, (988, 2) = 3.324137396263096, (988, 3) = -.7324550533945144, (989, 1) = 12.115661254198669, (989, 2) = 3.3146955508088034, (989, 3) = -.7313444543118856, (990, 1) = 12.15884354781797, (990, 2) = 3.305161492344388, (990, 3) = -.7302301760799329, (991, 1) = 12.202393097485844, (991, 2) = 3.2955331634780425, (991, 3) = -.7291121323054557, (992, 1) = 12.246317115257082, (992, 2) = 3.285808436824046, (992, 3) = -.7279902341391515, (993, 1) = 12.290623036142623, (993, 2) = 3.2759851117656837, (993, 3) = -.7268643901736278, (994, 1) = 12.335318538825527, (994, 2) = 3.2660609085401235, (994, 3) = -.7257345060536596, (995, 1) = 12.380411606374055, (995, 2) = 3.2560334533121416, (995, 3) = -.7246004830993068, (996, 1) = 12.425910423157838, (996, 2) = 3.245900299555387, (996, 3) = -.7234622210636649, (997, 1) = 12.471823426632497, (997, 2) = 3.235658914992138, (997, 3) = -.7223196169654039, (998, 1) = 12.518159331028379, (998, 2) = 3.225306674623828, (998, 3) = -.7211725646555778, (999, 1) = 12.564927139583311, (999, 2) = 3.2148408561839226, (999, 3) = -.7200209546842852, (1000, 1) = 12.612136157796119, (1000, 2) = 3.2042586352341287, (1000, 3) = -.7188646741519209, (1001, 1) = 12.659796007361843, (1001, 2) = 3.1935570799686492, (1001, 3) = -.7177036065542065, (1002, 1) = 12.707916640870154, (1002, 2) = 3.1827331456965684, (1002, 3) = -.7165376316197157, (1003, 1) = 12.756508357371537, (1003, 2) = 3.1717836689660137, (1003, 3) = -.7153666251380885, (1004, 1) = 12.805581857225954, (1004, 2) = 3.16070535263585, (1004, 3) = -.7141904578616121, (1005, 1) = 12.855148281179545, (1005, 2) = 3.149494754227805, (1005, 3) = -.7130089948250421, (1006, 1) = 12.905219091905476, (1006, 2) = 3.1381483097407883, (1006, 3) = -.7118220984203636, (1007, 1) = 12.955806169017647, (1007, 2) = 3.1266623090814156, (1007, 3) = -.7106296263600643, (1008, 1) = 13.00692183449771, (1008, 2) = 3.115032886899379, (1008, 3) = -.7094314313422542, (1009, 1) = 13.058578875051671, (1009, 2) = 3.1032560138419183, (1009, 3) = -.7082273608075482, (1010, 1) = 13.110790566279318, (1010, 2) = 3.091327487099076, (1010, 3) = -.7070172566720992, (1011, 1) = 13.16357069838418, (1011, 2) = 3.0792429202726743, (1011, 3) = -.70580095504485, (1012, 1) = 13.216933603701557, (1012, 2) = 3.0669977324738897, (1012, 3) = -.704578285924166, (1013, 1) = 13.270894185586792, (1013, 2) = 3.054587136719516, (1013, 3) = -.7033490728860979, (1014, 1) = 13.325468053631417, (1014, 2) = 3.0420061033626933, (1014, 3) = -.7021131303954071, (1015, 1) = 13.380671461250582, (1015, 2) = 3.029249368430372, (1015, 3) = -.7008702656616782, (1016, 1) = 13.436521252467124, (1016, 2) = 3.0163114396197144, (1016, 3) = -.6996202802416656, (1017, 1) = 13.49303498497422, (1017, 2) = 3.003186561049119, (1017, 3) = -.6983629676901879, (1018, 1) = 13.550230972500426, (1018, 2) = 2.989868695905927, (1018, 3) = -.6970981130899891, (1019, 1) = 13.608128329447574, (1019, 2) = 2.9763515078634617, (1019, 3) = -.6958254925674257, (1020, 1) = 13.666747019344474, (1020, 2) = 2.962628340832095, (1020, 3) = -.6945448727627999, (1021, 1) = 13.726101252373374, (1021, 2) = 2.948693761526925, (1021, 3) = -.6932561543027344, (1022, 1) = 13.785976643995403, (1022, 2) = 2.9345961171093253, (1022, 3) = -.6919641614144931, (1023, 1) = 13.84585789463937, (1023, 2) = 2.9204554415770803, (1023, 3) = -.6906800348793191, (1024, 1) = 13.905450171425395, (1024, 2) = 2.9063408882656208, (1024, 3) = -.6894099577071953, (1025, 1) = 13.96475400574777, (1025, 2) = 2.8922521719143797, (1025, 3) = -.6881537240279098, (1026, 1) = 14.023769923208677, (1026, 2) = 2.8781890114280695, (1026, 3) = -.6869111324199191, (1027, 1) = 14.08249844370243, (1027, 2) = 2.864151129786936, (1027, 3) = -.6856819857889158, (1028, 1) = 14.140940081497972, (1028, 2) = 2.8501382539594537, (1028, 3) = -.6844660912504317, (1029, 1) = 14.199095345319558, (1029, 2) = 2.8361501148173796, (1029, 3) = -.6832632600163451, (1030, 1) = 14.256964738425744, (1030, 2) = 2.8221864470530984, (1030, 3) = -.6820733072851219, (1031, 1) = 14.31454875868673, (1031, 2) = 2.8082469890991635, (1031, 3) = -.6808960521356459, (1032, 1) = 14.371847898660063, (1032, 2) = 2.7943314830499935, (1032, 3) = -.6797313174245226, (1033, 1) = 14.428862645664692, (1033, 2) = 2.780439674585604, (1033, 3) = -.6785789296866873, (1034, 1) = 14.485593481853654, (1034, 2) = 2.7665713128973706, (1034, 3) = -.6774387190392258, (1035, 1) = 14.542040884285045, (1035, 2) = 2.7527261506157163, (1035, 3) = -.6763105190882629, (1036, 1) = 14.598205324991726, (1036, 2) = 2.738903943739664, (1036, 3) = -.6751941668388168, (1037, 1) = 14.654087271049475, (1037, 2) = 2.7251044515682126, (1037, 3) = -.674089502607508, (1038, 1) = 14.709687184643816, (1038, 2) = 2.711327436633475, (1038, 3) = -.6729963699379985, (1039, 1) = 14.76500552313546, (1039, 2) = 2.6975726646355054, (1039, 3) = -.6719146155190918, (1040, 1) = 14.820042739124492, (1040, 2) = 2.6838399043787895, (1040, 3) = -.6708440891053701, (1041, 1) = 14.874799280513196, (1041, 2) = 2.6701289277103157, (1041, 3) = -.6697846434402797, (1042, 1) = 14.929275590567698, (1042, 2) = 2.656439509459221, (1042, 3) = -.6687361341815952, (1043, 1) = 14.98347210797834, (1043, 2) = 2.6427714273779017, (1043, 3) = -.6676984198291477, (1044, 1) = 15.03738926691888, (1044, 2) = 2.6291244620846217, (1044, 3) = -.6666713616547588, (1045, 1) = 15.09102749710456, (1045, 2) = 2.6154983970075003, (1045, 3) = -.6656548236342896, (1046, 1) = 15.14438722384899, (1046, 2) = 2.6018930183298785, (1046, 3) = -.6646486723817344, (1047, 1) = 15.197468868120012, (1047, 2) = 2.5883081149370155, (1047, 3) = -.6636527770852816, (1048, 1) = 15.250272846594347, (1048, 2) = 2.5747434783640815, (1048, 3) = -.662667009445288, (1049, 1) = 15.302799571711361, (1049, 2) = 2.5611989027453714, (1049, 3) = -.6616912436140676, (1050, 1) = 15.35504945172566, (1050, 2) = 2.547674184764775, (1050, 3) = -.6607253561374784, (1051, 1) = 15.407022890758777, (1051, 2) = 2.5341691236073847, (1051, 3) = -.6597692258981954, (1052, 1) = 15.45872028884984, (1052, 2) = 2.520683520912267, (1052, 3) = -.6588227340606521, (1053, 1) = 15.510142042005292, (1053, 2) = 2.5072171807263413, (1053, 3) = -.6578857640175657, (1054, 1) = 15.561288542247672, (1054, 2) = 2.4937699094593313, (1054, 3) = -.6569582013380137, (1055, 1) = 15.612160177663512, (1055, 2) = 2.480341515839774, (1055, 3) = -.6560399337169933, (1056, 1) = 15.662757332450301, (1056, 2) = 2.466931810872032, (1056, 3) = -.6551308509264155, (1057, 1) = 15.713080386962645, (1057, 2) = 2.453540607794301, (1057, 3) = -.6542308447675003, (1058, 1) = 15.763129717757478, (1058, 2) = 2.440167722037579, (1058, 3) = -.6533398090245097, (1059, 1) = 15.812905697638564, (1059, 2) = 2.4268129711855653, (1059, 3) = -.6524576394197766, (1060, 1) = 15.8624086957001, (1060, 2) = 2.4134761749354645, (1060, 3) = -.6515842335700027, (1061, 1) = 15.911639077369532, (1061, 2) = 2.4001571550596847, (1061, 3) = -.650719490943756, (1062, 1) = 15.960597204449664, (1062, 2) = 2.3868557353683637, (1062, 3) = -.6498633128201632, (1063, 1) = 16.00928343515992, (1063, 2) = 2.3735717416727655, (1063, 3) = -.64901560224872, (1064, 1) = 16.05769812417696, (1064, 2) = 2.3603050017494644, (1064, 3) = -.6481762640102218, (1065, 1) = 16.105841622674426, (1065, 2) = 2.3470553453053187, (1065, 3) = -.6473452045787427, (1066, 1) = 16.153714278362205, (1066, 2) = 2.3338226039432213, (1066, 3) = -.6465223320846605, (1067, 1) = 16.20131643552476, (1067, 2) = 2.320606611128583, (1067, 3) = -.6457075562786679, (1068, 1) = 16.248648435058925, (1068, 2) = 2.307407202156556, (1068, 3) = -.6449007884967682, (1069, 1) = 16.295710614511023, (1069, 2) = 2.294224214119955, (1069, 3) = -.6441019416261848, (1070, 1) = 16.34250330811329, (1070, 2) = 2.281057485877868, (1070, 3) = -.6433109300722026, (1071, 1) = 16.389026846819704, (1071, 2) = 2.267906858024934, (1071, 3) = -.6425276697258648, (1072, 1) = 16.435281558341128, (1072, 2) = 2.254772172861284, (1072, 3) = -.6417520779325442, (1073, 1) = 16.481267767179993, (1073, 2) = 2.241653274363096, (1073, 3) = -.6409840734613235, (1074, 1) = 16.526985794664164, (1074, 2) = 2.2285500081537912, (1074, 3) = -.6402235764751839, (1075, 1) = 16.57243595898046, (1075, 2) = 2.2154622214758093, (1075, 3) = -.639470508501964, (1076, 1) = 16.617618575207416, (1076, 2) = 2.2023897631629947, (1076, 3) = -.6387247924060816, (1077, 1) = 16.662533955347516, (1077, 2) = 2.1893324836135304, (1077, 3) = -.6379863523609682, (1078, 1) = 16.707182408359042, (1078, 2) = 2.1762902347634387, (1078, 3) = -.6372551138222293, (1079, 1) = 16.751564240187196, (1079, 2) = 2.163262870060627, (1079, 3) = -.6365310035014743, (1080, 1) = 16.795679753794737, (1080, 2) = 2.150250244439461, (1080, 3) = -.6358139493408247, (1081, 1) = 16.83952924919213, (1081, 2) = 2.137252214295845, (1081, 3) = -.6351038804880602, (1082, 1) = 16.883113023467278, (1082, 2) = 2.1242686374628126, (1082, 3) = -.634400727272399, (1083, 1) = 16.926431370814587, (1083, 2) = 2.111299373186601, (1083, 3) = -.6337044211808766, (1084, 1) = 16.969484582563656, (1084, 2) = 2.098344282103207, (1084, 3) = -.633014894835323, (1085, 1) = 17.01227294720748, (1085, 2) = 2.0854032262154094, (1085, 3) = -.6323320819699131, (1086, 1) = 17.054796750430143, (1086, 2) = 2.072476068870228, (1086, 3) = -.6316559174092681, (1087, 1) = 17.097056275134147, (1087, 2) = 2.0595626747368563, (1087, 3) = -.6309863370471035, (1088, 1) = 17.13905180146713, (1088, 2) = 2.0466629097849913, (1088, 3) = -.6303232778253981, (1089, 1) = 17.180783606848408, (1089, 2) = 2.033776641263616, (1089, 3) = -.6296666777140775, (1090, 1) = 17.22225196599476, (1090, 2) = 2.0209037376801597, (1090, 3) = -.6290164756911841, (1091, 1) = 17.263457150946095, (1091, 2) = 2.008044068780092, (1091, 3) = -.6283726117235416, (1092, 1) = 17.304399431090452, (1092, 2) = 1.99519750552688, (1092, 3) = -.6277350267478775, (1093, 1) = 17.34507907318881, (1093, 2) = 1.9823639200823444, (1093, 3) = -.6271036626524027, (1094, 1) = 17.385496341399374, (1094, 2) = 1.9695431857873797, (1094, 3) = -.6264784622588317, (1095, 1) = 17.425651497301455, (1095, 2) = 1.956735177143042, (1095, 3) = -.6258593693048417, (1096, 1) = 17.46554479991906, (1096, 2) = 1.9439397697919847, (1096, 3) = -.6252463284269335, (1097, 1) = 17.505176505744043, (1097, 2) = 1.9311568405002533, (1097, 3) = -.6246392851437106, (1098, 1) = 17.544529703843036, (1098, 2) = 1.918391850764444, (1098, 3) = -.624038447490266, (1099, 1) = 17.583347397663008, (1099, 2) = 1.9057289342999195, (1099, 3) = -.6234476691293935, (1100, 1) = 17.621345672781565, (1100, 2) = 1.893263007717996, (1100, 3) = -.6228711636788272, (1101, 1) = 17.658453602428267, (1101, 2) = 1.8810206634522373, (1101, 3) = -.6223098779953391, (1102, 1) = 17.694705355554728, (1102, 2) = 1.868994092311803, (1102, 3) = -.6217631674861644, (1103, 1) = 17.73013319592377, (1103, 2) = 1.8571759064419133, (1103, 3) = -.621230426203382, (1104, 1) = 17.764767643803065, (1104, 2) = 1.845559101556719, (1104, 3) = -.6207110835219171, (1105, 1) = 17.798637636300178, (1105, 2) = 1.8341370178361938, (1105, 3) = -.6202046009370928, (1106, 1) = 17.831770632532077, (1106, 2) = 1.8229033178096845, (1106, 3) = -.6197104697745819, (1107, 1) = 17.864192710094525, (1107, 2) = 1.8118519660566088, (1107, 3) = -.6192282091002057, (1108, 1) = 17.895928654058586, (1108, 2) = 1.8009772104189707, (1108, 3) = -.618757363803581, (1109, 1) = 17.92700203916768, (1109, 2) = 1.7902735645925736, (1109, 3) = -.6182975028388497, (1110, 1) = 17.95743530519867, (1110, 2) = 1.7797357921999775, (1110, 3) = -.617848217617023, (1111, 1) = 17.987249839292407, (1111, 2) = 1.7693588876177238, (1111, 3) = -.6174091203413785, (1112, 1) = 18.016466078849795, (1112, 2) = 1.7591380487060644, (1112, 3) = -.6169798420846798, (1113, 1) = 18.045103457558405, (1113, 2) = 1.7490687037366666, (1113, 3) = -.6165600332079432, (1114, 1) = 18.073180515028074, (1114, 2) = 1.7391464809336488, (1114, 3) = -.6161493613995339, (1115, 1) = 18.100714959237248, (1115, 2) = 1.7293671936478774, (1115, 3) = -.6157475104435222, (1116, 1) = 18.12772371446745, (1116, 2) = 1.7197268300626627, (1116, 3) = -.6153541792287269, (1117, 1) = 18.154222965667294, (1117, 2) = 1.7102215436783146, (1117, 3) = -.6149690808344402, (1118, 1) = 18.18022819983137, (1118, 2) = 1.7008476444099205, (1118, 3) = -.6145919416819586, (1119, 1) = 18.205754244682808, (1119, 2) = 1.6916015902315449, (1119, 3) = -.6142225007455989, (1120, 1) = 18.23081530451316, (1120, 2) = 1.6824799794547278, (1120, 3) = -.6138605088234644, (1121, 1) = 18.255425011253667, (1121, 2) = 1.673479537051113, (1121, 3) = -.6135057276058336, (1122, 1) = 18.27959645532335, (1122, 2) = 1.6645971078937816, (1122, 3) = -.6131579290526971, (1123, 1) = 18.303342158494207, (1123, 2) = 1.6558296711407474, (1123, 3) = -.6128168956172292, (1124, 1) = 18.32667414045818, (1124, 2) = 1.6471743200660955, (1124, 3) = -.6124824191312714, (1125, 1) = 18.34960394578987, (1125, 2) = 1.638628255995633, (1125, 3) = -.6121543002752555, (1126, 1) = 18.37214266811275, (1126, 2) = 1.6301887830167754, (1126, 3) = -.6118323480991774, (1127, 1) = 18.394300972659526, (1127, 2) = 1.621853303048242, (1127, 3) = -.6115163795764564, (1128, 1) = 18.416089117471294, (1128, 2) = 1.6136193111967145, (1128, 3) = -.611206219186382, (1129, 1) = 18.4375169733852, (1129, 2) = 1.6054843913604078, (1129, 3) = -.6109016985222121, (1130, 1) = 18.458594042798815, (1130, 2) = 1.59744621209884, (1130, 3) = -.6106026559244376, (1131, 1) = 18.47932949784184, (1131, 2) = 1.5895025148625919, (1131, 3) = -.6103089358465364, (1132, 1) = 18.49973216984938, (1132, 2) = 1.581651120616376, (1132, 3) = -.6100203889183039, (1133, 1) = 18.519810553505437, (1133, 2) = 1.5738899308939602, (1133, 3) = -.609736871804611, (1134, 1) = 18.53957284016878, (1134, 2) = 1.5662169174600893, (1134, 3) = -.6094582466572802, (1135, 1) = 18.55902693169401, (1135, 2) = 1.5586301192575107, (1135, 3) = -.6091843808490114, (1136, 1) = 18.578180453596826, (1136, 2) = 1.551127639474644, (1136, 3) = -.6089151467213715, (1137, 1) = 18.59704076744691, (1137, 2) = 1.5437076427878715, (1137, 3) = -.6086504213480931, (1138, 1) = 18.615614982581594, (1138, 2) = 1.53636835275081, (1138, 3) = -.6083900863120658, (1139, 1) = 18.63390996720531, (1139, 2) = 1.5291080493129146, (1139, 3) = -.6081340274947644, (1140, 1) = 18.651932360263725, (1140, 2) = 1.5219250659198866, (1140, 3) = -.6078821348584604, (1141, 1) = 18.669688597202217, (1141, 2) = 1.5148177809281833, (1141, 3) = -.6076343020382592, (1142, 1) = 18.687184887410336, (1142, 2) = 1.5077846282229574, (1142, 3) = -.6073904266119984, (1143, 1) = 18.704427231588365, (1143, 2) = 1.500824091922289, (1143, 3) = -.6071504098140698, (1144, 1) = 18.7214214368135, (1144, 2) = 1.493934701842678, (1144, 3) = -.6069141562848885, (1145, 1) = 18.73817312452262, (1145, 2) = 1.4871150317046835, (1145, 3) = -.606681573921879, (1146, 1) = 18.754687738141563, (1146, 2) = 1.48036369740643, (1146, 3) = -.6064525737377021, (1147, 1) = 18.770970550320005, (1147, 2) = 1.473679355385865, (1147, 3) = -.606227069726122, (1148, 1) = 18.787026669808444, (1148, 2) = 1.4670607010613803, (1148, 3) = -.6060049787348617, (1149, 1) = 18.80286104798729, (1149, 2) = 1.4605064673508363, (1149, 3) = -.605786220345176, (1150, 1) = 18.818478488437957, (1150, 2) = 1.454015421861142, (1150, 3) = -.6055707167112505, (1151, 1) = 18.833883659767892, (1151, 2) = 1.4475863626235927, (1151, 3) = -.605358392356772, (1152, 1) = 18.849081077363635, (1152, 2) = 1.441218126748924, (1152, 3) = -.6051491744012322, (1153, 1) = 18.864075120820736, (1153, 2) = 1.4349095842318884, (1153, 3) = -.6049429922950975, (1154, 1) = 18.878870040800493, (1154, 2) = 1.4286596360571069, (1154, 3) = -.6047397777026693, (1155, 1) = 18.893469963890198, (1155, 2) = 1.4224672130872882, (1155, 3) = -.6045394644137766, (1156, 1) = 18.907878897253795, (1156, 2) = 1.4163312749949548, (1156, 3) = -.6043419882595464, (1157, 1) = 18.922100733068046, (1157, 2) = 1.4102508092421444, (1157, 3) = -.6041472870322463, (1158, 1) = 18.93613925276459, (1158, 2) = 1.4042248301019635, (1158, 3) = -.6039553004088536, (1159, 1) = 18.949998131059264, (1159, 2) = 1.3982523777320124, (1159, 3) = -.6037659698785246, (1160, 1) = 18.963680945033403, (1160, 2) = 1.392332515020097, (1160, 3) = -.6035792386021103, (1161, 1) = 18.97719117556441, (1161, 2) = 1.3864643276700568, (1161, 3) = -.6033950513772408, (1162, 1) = 18.99053219872998, (1162, 2) = 1.380646928656804, (1162, 3) = -.6032133547405341, (1163, 1) = 19.00370729830649, (1163, 2) = 1.3748794535201176, (1163, 3) = -.6030340967827381, (1164, 1) = 19.016719669161215, (1164, 2) = 1.3691610595434804, (1164, 3) = -.6028572270891024, (1165, 1) = 19.029572420341097, (1165, 2) = 1.3634909250352427, (1165, 3) = -.6026826966845622, (1166, 1) = 19.042268578031074, (1166, 2) = 1.3578682486391176, (1166, 3) = -.6025104579813726, (1167, 1) = 19.05481108838704, (1167, 2) = 1.352292248673003, (1167, 3) = -.6023404647290567, (1168, 1) = 19.067202820260686, (1168, 2) = 1.3467621624900161, (1168, 3) = -.602172671966411, (1169, 1) = 19.079446567873315, (1169, 2) = 1.3412772458371662, (1169, 3) = -.6020070359747569, (1170, 1) = 19.09154505965796, (1170, 2) = 1.33583676941031, (1170, 3) = -.6018435141484021, (1171, 1) = 19.1035009511782, (1171, 2) = 1.3304400225223432, (1171, 3) = -.6016820650809729, (1172, 1) = 19.115316826203294, (1172, 2) = 1.3250863131437318, (1172, 3) = -.6015226485415538, (1173, 1) = 19.12699520325446, (1173, 2) = 1.3197749654415907, (1173, 3) = -.6013652253774551, (1174, 1) = 19.138538537718933, (1174, 2) = 1.3145053192811733, (1174, 3) = -.601209757477403, (1175, 1) = 19.149949223883933, (1175, 2) = 1.3092767297448216, (1175, 3) = -.6010562077361947, (1176, 1) = 19.161229596887427, (1176, 2) = 1.304088566670594, (1176, 3) = -.6009045400208672, (1177, 1) = 19.172381934590984, (1177, 2) = 1.2989402142091564, (1177, 3) = -.6007547191382548, (1178, 1) = 19.183408459389955, (1178, 2) = 1.2938310703926597, (1178, 3) = -.6006067108037483, (1179, 1) = 19.19431134058648, (1179, 2) = 1.2887605464248577, (1179, 3) = -.6004604816028184, (1180, 1) = 19.205092700773772, (1180, 2) = 1.2837280640731117, (1180, 3) = -.6003159988991628, (1181, 1) = 19.21575460702978, (1181, 2) = 1.2787330601263542, (1181, 3) = -.6001732309467734, (1182, 1) = 19.226299075959275, (1182, 2) = 1.2737749844221469, (1182, 3) = -.6000321468163979, (1183, 1) = 19.236728076776135, (1183, 2) = 1.2688532987502195, (1183, 3) = -.5998927163486824, (1184, 1) = 19.24704353272916, (1184, 2) = 1.2639674765122366, (1184, 3) = -.5997549101297879, (1185, 1) = 19.257247322481412, (1185, 2) = 1.259117002390722, (1185, 3) = -.5996186994678689, (1186, 1) = 19.267341281436916, (1186, 2) = 1.254301372030724, (1186, 3) = -.5994840563704793, (1187, 1) = 19.27732720301633, (1187, 2) = 1.249520091733908, (1187, 3) = -.5993509535228686, (1188, 1) = 19.287206839894086, (1188, 2) = 1.244772678159806, (1188, 3) = -.5992193642670128, (1189, 1) = 19.29698190661853, (1189, 2) = 1.2400586573476549, (1189, 3) = -.5990892625624219, (1190, 1) = 19.30665408241294, (1190, 2) = 1.2353775636250808, (1190, 3) = -.5989606229448263, (1191, 1) = 19.316225004586943, (1191, 2) = 1.230728943057973, (1191, 3) = -.5988334206098752, (1192, 1) = 19.325696273850188, (1192, 2) = 1.2261123511582808, (1192, 3) = -.5987076313385485, (1193, 1) = 19.335069455729258, (1193, 2) = 1.2215273524478487, (1193, 3) = -.5985832314746752, (1194, 1) = 19.34434608155663, (1194, 2) = 1.2169735202193737, (1194, 3) = -.5984601979083045, (1195, 1) = 19.353527649430493, (1195, 2) = 1.2124504363029476, (1195, 3) = -.5983385080595998, (1196, 1) = 19.362615625140823, (1196, 2) = 1.207957690840683, (1196, 3) = -.5982181398633349, (1197, 1) = 19.371611443061703, (1197, 2) = 1.2034948820698508, (1197, 3) = -.5980990717539575, (1198, 1) = 19.38051650701722, (1198, 2) = 1.199061616111207, (1198, 3) = -.5979812826511423, (1199, 1) = 19.389332193365245, (1199, 2) = 1.194657505639672, (1199, 3) = -.5978647519161462, (1200, 1) = 19.39805985000633, (1200, 2) = 1.190282170570412, (1200, 3) = -.5977494593622229, (1201, 1) = 19.406700793680812, (1201, 2) = 1.1859352396191056, (1201, 3) = -.5976353852876322, (1202, 1) = 19.415256313761027, (1202, 2) = 1.1816163486072815, (1202, 3) = -.5975225104229283, (1203, 1) = 19.42372767299657, (1203, 2) = 1.1773251402753457, (1203, 3) = -.5974108159186575, (1204, 1) = 19.432116108217322, (1204, 2) = 1.173061264110328, (1204, 3) = -.5973002833337205, (1205, 1) = 19.44042283101663, (1205, 2) = 1.1688243761776524, (1205, 3) = -.5971908946240811, (1206, 1) = 19.448649028412458, (1206, 2) = 1.1646141389580993, (1206, 3) = -.5970826321318601, (1207, 1) = 19.45679586348624, (1207, 2) = 1.160430221190291, (1207, 3) = -.5969754785748044, (1208, 1) = 19.464864476087516, (1208, 2) = 1.1562722976736757, (1208, 3) = -.5968694170349785, (1209, 1) = 19.472855986004205, (1209, 2) = 1.152140047787942, (1209, 3) = -.5967644309151516, (1210, 1) = 19.48077148925896, (1210, 2) = 1.1480331575524796, (1210, 3) = -.5966605039856082, (1211, 1) = 19.48861205892965, (1211, 2) = 1.1439513193667301, (1211, 3) = -.5965576203714797, (1212, 1) = 19.496378747078694, (1212, 2) = 1.1398942311626183, (1212, 3) = -.5964557645256289, (1213, 1) = 19.504072585283193, (1213, 2) = 1.135861596272183, (1213, 3) = -.5963549212199905, (1214, 1) = 19.51169458514558, (1214, 2) = 1.1318531233007463, (1214, 3) = -.5962550755372367, (1215, 1) = 19.519245738789728, (1215, 2) = 1.1278685260032464, (1215, 3) = -.59615621286269, (1216, 1) = 19.526727019342175, (1216, 2) = 1.1239075231641298, (1216, 3) = -.5960583188764927, (1217, 1) = 19.534139381399186, (1217, 2) = 1.1199698384805228, (1217, 3) = -.5959613795460151, (1218, 1) = 19.54148376185851, (1218, 2) = 1.1160552002465338, (1218, 3) = -.5958653811135598, (1219, 1) = 19.548761082100835, (1219, 2) = 1.112163340306531, (1219, 3) = -.595770310066491, (1220, 1) = 19.555972244074006, (1220, 2) = 1.108293996262963, (1220, 3) = -.5956761531870935, (1221, 1) = 19.563118132445606, (1221, 2) = 1.104446910454498, (1221, 3) = -.5955828975231164, (1222, 1) = 19.5701996154949, (1222, 2) = 1.1006218295939585, (1222, 3) = -.5954905303748789, (1223, 1) = 19.577217545503157, (1223, 2) = 1.096818504669811, (1223, 3) = -.5953990392889753, (1224, 1) = 19.58417275913136, (1224, 2) = 1.0930366908510738, (1224, 3) = -.5953084120521923, (1225, 1) = 19.591066077787342, (1225, 2) = 1.0892761473946977, (1225, 3) = -.5952186366855974, (1226, 1) = 19.59789830798192, (1226, 2) = 1.0855366375556788, (1226, 3) = -.5951297014388188, (1227, 1) = 19.604670241676526, (1227, 2) = 1.0818179284988514, (1227, 3) = -.5950415947844659, (1228, 1) = 19.611382657389285, (1228, 2) = 1.0781197907889466, (1228, 3) = -.5949543054027301, (1229, 1) = 19.61803632084763, (1229, 2) = 1.0744419981204734, (1229, 3) = -.5948678221719418, (1230, 1) = 19.624631982277492, (1230, 2) = 1.0707843289094507, (1230, 3) = -.594782134202859, (1231, 1) = 19.63117037855681, (1231, 2) = 1.0671465652044176, (1231, 3) = -.5946972308097213, (1232, 1) = 19.63765223361187, (1232, 2) = 1.0635284925571629, (1232, 3) = -.5946131015042146, (1233, 1) = 19.644078258709353, (1233, 2) = 1.0599298999483098, (1233, 3) = -.5945297359908104, (1234, 1) = 19.650449152740112, (1234, 2) = 1.0563505797149122, (1234, 3) = -.5944471241622538, (1235, 1) = 19.656765602495376, (1235, 2) = 1.0527903274799213, (1235, 3) = -.5943652560951673, (1236, 1) = 19.663028282934693, (1236, 2) = 1.049248942083882, (1236, 3) = -.5942841220457966, (1237, 1) = 19.66923785744845, (1237, 2) = 1.045726225517333, (1237, 3) = -.5942037124458471, (1238, 1) = 19.675394979296673, (1238, 2) = 1.0422219821804066, (1238, 3) = -.5941240178831266, (1239, 1) = 19.681500290537546, (1239, 2) = 1.0387360195627184, (1239, 3) = -.5940450291147231, (1240, 1) = 19.687554421221257, (1240, 2) = 1.0352681487834066, (1240, 3) = -.5939667370767263, (1241, 1) = 19.693557990811076, (1241, 2) = 1.03181818385866, (1241, 3) = -.5938891328651595, (1242, 1) = 19.699511608411306, (1242, 2) = 1.0283859416430907, (1242, 3) = -.5938122077323774, (1243, 1) = 19.705415872989096, (1243, 2) = 1.0249712417726562, (1243, 3) = -.5937359530835754, (1244, 1) = 19.711271373590606, (1244, 2) = 1.0215739066088318, (1244, 3) = -.593660360473378, (1245, 1) = 19.71707868955201, (1245, 2) = 1.0181937611840928, (1245, 3) = -.5935854216025295, (1246, 1) = 19.72283839070384, (1246, 2) = 1.0148306331492476, (1246, 3) = -.5935111283146747, (1247, 1) = 19.728551037648987, (1247, 2) = 1.0114843526758592, (1247, 3) = -.5934374725922179, (1248, 1) = 19.734217183158282, (1248, 2) = 1.008154751698321, (1248, 3) = -.5933644465377972, (1249, 1) = 19.739837370141807, (1249, 2) = 1.0048416651624563, (1249, 3) = -.5932920423999207, (1250, 1) = 19.745412132256142, (1250, 2) = 1.0015449307361226, (1250, 3) = -.5932202525646114, (1251, 1) = 19.750941994606595, (1251, 2) = .9982643884569867, (1251, 3) = -.5931490695458538, (1252, 1) = 19.756427473923175, (1252, 2) = .9949998806866295, (1252, 3) = -.5930784859828526, (1253, 1) = 19.76186907873135, (1253, 2) = .9917512520661281, (1253, 3) = -.5930084946373658, (1254, 1) = 19.76726730951903, (1254, 2) = .9885183494725024, (1254, 3) = -.5929390883911011, (1255, 1) = 19.772622658899508, (1255, 2) = .9853010219760494, (1255, 3) = -.5928702602431819, (1256, 1) = 19.777935611769742, (1256, 2) = .9820991207991473, (1256, 3) = -.5928020033076803, (1257, 1) = 19.783206645715822, (1257, 2) = .9789124991239461, (1257, 3) = -.5927343108080002, (1258, 1) = 19.788436231867646, (1258, 2) = .9757410116230176, (1258, 3) = -.5926671760654999, (1259, 1) = 19.793624832974075, (1259, 2) = .9725845156741689, (1259, 3) = -.5926005925238197, (1260, 1) = 19.798772904497568, (1260, 2) = .9694428707522033, (1260, 3) = -.5925345537344326, (1261, 1) = 19.803880894925094, (1261, 2) = .9663159382889517, (1261, 3) = -.5924690533522811, (1262, 1) = 19.80894924590537, (1262, 2) = .9632035816370259, (1262, 3) = -.5924040851336548, (1263, 1) = 19.813978392382165, (1263, 2) = .9601056660347675, (1263, 3) = -.5923396429341297, (1264, 1) = 19.818968762724687, (1264, 2) = .9570220585718978, (1264, 3) = -.5922757207065588, (1265, 1) = 19.823920778854983, (1265, 2) = .9539526281557708, (1265, 3) = -.5922123124991029, (1266, 1) = 19.828834856371987, (1266, 2) = .9508972454786961, (1266, 3) = -.5921494124533236, (1267, 1) = 19.833711405142807, (1267, 2) = .9478557826922435, (1267, 3) = -.5920870147962989, (1268, 1) = 19.838550829350226, (1268, 2) = .9448281134158305, (1268, 3) = -.5920251138397226, (1269, 1) = 19.843353526295257, (1269, 2) = .9418141135274875, (1269, 3) = -.5919637039949222, (1270, 1) = 19.848119887404398, (1270, 2) = .9388136605789199, (1270, 3) = -.5919027797596715, (1271, 1) = 19.85285029836281, (1271, 2) = .9358266337520086, (1271, 3) = -.5918423357162106, (1272, 1) = 19.857545139222356, (1272, 2) = .9328529138299407, (1272, 3) = -.5917823665295897, (1273, 1) = 19.862204784506854, (1273, 2) = .9298923831692298, (1273, 3) = -.5917228669460536, (1274, 1) = 19.86682960331502, (1274, 2) = .9269449256723139, (1274, 3) = -.5916638317914727, (1275, 1) = 19.871419959421033, (1275, 2) = .9240104267606407, (1275, 3) = -.5916052559697993, (1276, 1) = 19.875976211377804, (1276, 2) = .9210887733453194, (1276, 3) = -.5915471344615093, (1277, 1) = 19.88049871329482, (1277, 2) = .9181798533621388, (1277, 3) = -.5914894623134385, (1278, 1) = 19.884987814006056, (1278, 2) = .9152835563380114, (1278, 3) = -.5914322346491696, (1279, 1) = 19.889443856892846, (1279, 2) = .912399773543088, (1279, 3) = -.5913754466710575, (1280, 1) = 19.89386718048453, (1280, 2) = .9095283976395195, (1280, 3) = -.5913190936523403, (1281, 1) = 19.89825811854589, (1281, 2) = .9066693226581383, (1281, 3) = -.5912631709358135, (1282, 1) = 19.902617000163044, (1282, 2) = .9038224439752821, (1282, 3) = -.5912076739325212, (1283, 1) = 19.90694414982751, (1283, 2) = .9009876582902304, (1283, 3) = -.5911525981204834, (1284, 1) = 19.911239887518086, (1284, 2) = .8981648636031111, (1284, 3) = -.5910979390434506, (1285, 1) = 19.915504528781213, (1285, 2) = .8953539591932691, (1285, 3) = -.5910436923096866, (1286, 1) = 19.919738384876425, (1286, 2) = .8925548455537974, (1286, 3) = -.5909898535899301, (1287, 1) = 19.923941763459634, (1287, 2) = .8897674239672771, (1287, 3) = -.590936418608522, (1288, 1) = 19.928114967413066, (1288, 2) = .8869915973082401, (1288, 3) = -.5908833831581055, (1289, 1) = 19.932258295276593, (1289, 2) = .8842272697899564, (1289, 3) = -.5908307430939593, (1290, 1) = 19.93637204153594, (1290, 2) = .8814743468021662, (1290, 3) = -.5907784943301622, (1291, 1) = 19.940456496692935, (1291, 2) = .8787327348921077, (1291, 3) = -.5907266328385276, (1292, 1) = 19.94451194733452, (1292, 2) = .8760023417457574, (1292, 3) = -.5906751546475708, (1293, 1) = 19.94853867620021, (1293, 2) = .8732830761694881, (1293, 3) = -.5906240558414861, (1294, 1) = 19.952536962248267, (1294, 2) = .8705748480720642, (1294, 3) = -.5905733325591557, (1295, 1) = 19.956507080720122, (1295, 2) = .8678775684471258, (1295, 3) = -.5905229809931787, (1296, 1) = 19.96044930337993, (1296, 2) = .8651911492357387, (1296, 3) = -.5904729973866834, (1297, 1) = 19.964363898858444, (1297, 2) = .8625155031146637, (1297, 3) = -.5904233780288313, (1298, 1) = 19.96825113164459, (1298, 2) = .8598505442091299, (1298, 3) = -.5903741192674558, (1299, 1) = 19.97211126269543, (1299, 2) = .8571961877037549, (1299, 3) = -.59032521750119, (1300, 1) = 19.975944549556754, (1300, 2) = .8545523497842075, (1300, 3) = -.5902766691778022, (1301, 1) = 19.97975124641995, (1301, 2) = .8519189476216209, (1301, 3) = -.5902284707933447, (1302, 1) = 19.98353160417794, (1302, 2) = .8492958993572806, (1302, 3) = -.5901806188913145, (1303, 1) = 19.98728587047988, (1303, 2) = .8466831240876038, (1303, 3) = -.5901331100618401, (1304, 1) = 19.991014289784875, (1304, 2) = .8440805418493422, (1304, 3) = -.5900859409408761, (1305, 1) = 19.994717103414317, (1305, 2) = .8414880736052627, (1305, 3) = -.5900391082094216, (1306, 1) = 19.99839454991376, (1306, 2) = .8389056410116773, (1306, 3) = -.5899926085888292, (1307, 1) = 20.002046864916043, (1307, 2) = .8363331665334298, (1307, 3) = -.5899464388424248, (1308, 1) = 20.005674280605714, (1308, 2) = .8337705738428379, (1308, 3) = -.5899005957821679, (1309, 1) = 20.009277026226762, (1309, 2) = .8312177874852623, (1309, 3) = -.5898550762621159, (1310, 1) = 20.012855328134133, (1310, 2) = .8286747328631662, (1310, 3) = -.5898098771776725, (1311, 1) = 20.016409409840282, (1311, 2) = .8261413362232203, (1311, 3) = -.5897649954648904, (1312, 1) = 20.019939492060818, (1312, 2) = .8236175246436888, (1312, 3) = -.5897204280997987, (1313, 1) = 20.023445792759127, (1313, 2) = .821103226022046, (1313, 3) = -.589676172097735, (1314, 1) = 20.026928527190428, (1314, 2) = .8185983690627312, (1314, 3) = -.5896322245126968, (1315, 1) = 20.030387907954157, (1315, 2) = .8161028832583684, (1315, 3) = -.5895885824365826, (1316, 1) = 20.03382414544314, (1316, 2) = .8136166985830877, (1316, 3) = -.5895452429934379, (1317, 1) = 20.03723744725043, (1317, 2) = .8111397459376177, (1317, 3) = -.5895022033468447, (1318, 1) = 20.040628018192223, (1318, 2) = .8086719571531993, (1318, 3) = -.5894594606995444, (1319, 1) = 20.04399606058434, (1319, 2) = .8062132648100019, (1319, 3) = -.5894170122898638, (1320, 1) = 20.047341774281204, (1320, 2) = .803763602226281, (1320, 3) = -.5893748553911352, (1321, 1) = 20.050665356714077, (1321, 2) = .8013229034476501, (1321, 3) = -.5893329873111347, (1322, 1) = 20.053967002928648, (1322, 2) = .7988911032365966, (1322, 3) = -.5892914053915281, (1323, 1) = 20.057246905621803, (1323, 2) = .7964681370622089, (1323, 3) = -.5892501070073266, (1324, 1) = 20.06050525517787, (1324, 2) = .7940539410899786, (1324, 3) = -.5892090895663561, (1325, 1) = 20.063742239760554, (1325, 2) = .7916484521297883, (1325, 3) = -.58916835050802, (1326, 1) = 20.06695804566512, (1326, 2) = .7892516073886713, (1326, 3) = -.5891278872988005, (1327, 1) = 20.070152856617824, (1327, 2) = .7868633450070642, (1327, 3) = -.5890876974409966, (1328, 1) = 20.07332685407708, (1328, 2) = .7844836038524168, (1328, 3) = -.5890477784688666, (1329, 1) = 20.076480217360356, (1329, 2) = .7821123234401952, (1329, 3) = -.5890081279469592, (1330, 1) = 20.079613123676282, (1330, 2) = .779749443924857, (1330, 3) = -.5889687434696426, (1331, 1) = 20.082725748156452, (1331, 2) = .7773949060908873, (1331, 3) = -.5889296226606354, (1332, 1) = 20.08581826388644, (1332, 2) = .7750486513440191, (1332, 3) = -.5888907631725575, (1333, 1) = 20.08889084193633, (1333, 2) = .7727106217026477, (1333, 3) = -.5888521626864771, (1334, 1) = 20.091943651390753, (1334, 2) = .7703807597893063, (1334, 3) = -.5888138189114739, (1335, 1) = 20.09497685950748, (1335, 2) = .7680590087233193, (1335, 3) = -.5887757295825885, (1336, 1) = 20.097990631840922, (1336, 2) = .7657453120383887, (1336, 3) = -.5887378924592097, (1337, 1) = 20.100985131695314, (1337, 2) = .7634396141155625, (1337, 3) = -.5887003053318842, (1338, 1) = 20.10396052048252, (1338, 2) = .761141859924152, (1338, 3) = -.5886629660177661, (1339, 1) = 20.106916957771524, (1339, 2) = .7588519949970062, (1339, 3) = -.5886258723599375, (1340, 1) = 20.10985460131524, (1340, 2) = .7565699654229281, (1340, 3) = -.5885890222270183, (1341, 1) = 20.112773607076953, (1341, 2) = .7542957178391496, (1341, 3) = -.5885524135127798, (1342, 1) = 20.1156741292562, (1342, 2) = .752029199423936, (1342, 3) = -.5885160441357705, (1343, 1) = 20.118556320314237, (1343, 2) = .7497703578893541, (1343, 3) = -.5884799120389398, (1344, 1) = 20.12142033099907, (1344, 2) = .7475191414741205, (1344, 3) = -.5884440151892825, (1345, 1) = 20.124266310586208, (1345, 2) = .745275498765881, (1345, 3) = -.5884083515747607, (1346, 1) = 20.127094406693686, (1346, 2) = .7430393788574383, (1346, 3) = -.5883729192065885, (1347, 1) = 20.129904765058185, (1347, 2) = .7408107315364344, (1347, 3) = -.588337716121977, (1348, 1) = 20.13269752979932, (1348, 2) = .7385895070895991, (1348, 3) = -.5883027403807843, (1349, 1) = 20.1354728434427, (1349, 2) = .7363756562960401, (1349, 3) = -.5882679900651753, (1350, 1) = 20.13823084694234, (1350, 2) = .7341691304208259, (1350, 3) = -.5882334632792995, (1351, 1) = 20.140971679702854, (1351, 2) = .7319698812086292, (1351, 3) = -.5881991581489678, (1352, 1) = 20.143695479601146, (1352, 2) = .7297778608774739, (1352, 3) = -.5881650728213399, (1353, 1) = 20.146402383007782, (1353, 2) = .7275930221125885, (1353, 3) = -.588131205464613, (1354, 1) = 20.149092524820457, (1354, 2) = .7254153180502801, (1354, 3) = -.5880975542675652, (1355, 1) = 20.1517660387321, (1355, 2) = .723244702070582, (1355, 3) = -.5880641174361585, (1356, 1) = 20.15442305681844, (1356, 2) = .7210811281412313, (1356, 3) = -.5880308931986615, (1357, 1) = 20.157063709616295, (1357, 2) = .7189245507661866, (1357, 3) = -.5879978798046304, (1358, 1) = 20.159688126258093, (1358, 2) = .7167749248871207, (1358, 3) = -.5879650755231852, (1359, 1) = 20.16229643449117, (1359, 2) = .7146322058778038, (1359, 3) = -.5879324786427352, (1360, 1) = 20.164888760696705, (1360, 2) = .7124963495386349, (1360, 3) = -.5879000874707049, (1361, 1) = 20.167465229908395, (1361, 2) = .7103673120912442, (1361, 3) = -.5878679003332618, (1362, 1) = 20.17002596583074, (1362, 2) = .7082450501731798, (1362, 3) = -.5878359155750567, (1363, 1) = 20.172571090857023, (1363, 2) = .7061295208326606, (1363, 3) = -.5878041315589633, (1364, 1) = 20.175100726135014, (1364, 2) = .704020681483526, (1364, 3) = -.5877725466652254, (1365, 1) = 20.177614991749763, (1365, 2) = .7019184897609768, (1365, 3) = -.5877411592891387, (1366, 1) = 20.180114006294712, (1366, 2) = .699822903888587, (1366, 3) = -.5877099678463796, (1367, 1) = 20.182597887080117, (1367, 2) = .6977338825148868, (1367, 3) = -.5876789707703629, (1368, 1) = 20.185066750191243, (1368, 2) = .6956513846739367, (1368, 3) = -.5876481665114918, (1369, 1) = 20.187520710504657, (1369, 2) = .6935753697805567, (1369, 3) = -.5876175535369169, (1370, 1) = 20.189959881704237, (1370, 2) = .6915057976256387, (1370, 3) = -.5875871303303115, (1371, 1) = 20.192384376297035, (1371, 2) = .6894426283715354, (1371, 3) = -.5875568953916412, (1372, 1) = 20.194794305628736, (1372, 2) = .6873858225475313, (1372, 3) = -.5875268472369444, (1373, 1) = 20.197189779899013, (1373, 2) = .6853353410453344, (1373, 3) = -.5874969843981115, (1374, 1) = 20.19957090827442, (1374, 2) = .6832911450305323, (1374, 3) = -.5874673054214499, (1375, 1) = 20.20193779891084, (1375, 2) = .681253195930413, (1375, 3) = -.5874378088673787, (1376, 1) = 20.20429055865475, (1376, 2) = .6792214556992792, (1376, 3) = -.5874084933141258, (1377, 1) = 20.206629293258636, (1377, 2) = .677195886642523, (1377, 3) = -.5873793573550125, (1378, 1) = 20.20895410740203, (1378, 2) = .6751764514064231, (1378, 3) = -.5873503995981693, (1379, 1) = 20.21126510470547, (1379, 2) = .6731631129740693, (1379, 3) = -.5873216186663353, (1380, 1) = 20.21356238774416, (1380, 2) = .6711558346613368, (1380, 3) = -.5872930131966638, (1381, 1) = 20.215846058061338, (1381, 2) = .6691545801129173, (1381, 3) = -.5872645818405308, (1382, 1) = 20.21811621618158, (1382, 2) = .6671593132984446, (1382, 3) = -.5872363232633444, (1383, 1) = 20.220372961624314, (1383, 2) = .6651699985081674, (1383, 3) = -.5872082361443577, (1384, 1) = 20.22261639307074, (1384, 2) = .6631866002127065, (1384, 3) = -.5871803191745617, (1385, 1) = 20.224846608183217, (1385, 2) = .6612090832289268, (1385, 3) = -.5871525710589186, (1386, 1) = 20.227063703529964, (1386, 2) = .6592374127948712, (1386, 3) = -.5871249905172703, (1387, 1) = 20.22926777472392, (1387, 2) = .6572715544546797, (1387, 3) = -.587097576282591, (1388, 1) = 20.231458916434793, (1388, 2) = .6553114740550101, (1388, 3) = -.5870703271008146, (1389, 1) = 20.233637222400883, (1389, 2) = .6533571377415338, (1389, 3) = -.5870432417306678, (1390, 1) = 20.2358027854408, (1390, 2) = .6514085119554676, (1390, 3) = -.5870163189435034, (1391, 1) = 20.23795569746495, (1391, 2) = .6494655634301458, (1391, 3) = -.5869895575231379, (1392, 1) = 20.240096049486805, (1392, 2) = .6475282591876764, (1392, 3) = -.5869629562656891, (1393, 1) = 20.242223931647754, (1393, 2) = .6455965665231956, (1393, 3) = -.586936513979251, (1394, 1) = 20.24433943337952, (1394, 2) = .6436704528633577, (1394, 3) = -.5869102294818551, (1395, 1) = 20.246442643119575, (1395, 2) = .6417498860309321, (1395, 3) = -.5868841016049873, (1396, 1) = 20.24853364839514, (1396, 2) = .6398348341762122, (1396, 3) = -.5868581291925283, (1397, 1) = 20.250612535890834, (1397, 2) = .6379252657219932, (1397, 3) = -.5868323110998899, (1398, 1) = 20.25267939145905, (1398, 2) = .6360211493604658, (1398, 3) = -.5868066461938722, (1399, 1) = 20.2547343001301, (1399, 2) = .6341224540501883, (1399, 3) = -.5867811333525184, (1400, 1) = 20.2567773461223, (1400, 2) = .6322291490130837, (1400, 3) = -.5867557714649736, (1401, 1) = 20.258808612851738, (1401, 2) = .6303412037314671, (1401, 3) = -.5867305594313454, (1402, 1) = 20.260828182942095, (1402, 2) = .6284585879451511, (1402, 3) = -.5867054961625646, (1403, 1) = 20.26283613827451, (1403, 2) = .6265812716108096, (1403, 3) = -.5866805805797521, (1404, 1) = 20.264832560079185, (1404, 2) = .6247092248214317, (1404, 3) = -.5866558116130667, (1405, 1) = 20.26681752866998, (1405, 2) = .6228424180605358, (1405, 3) = -.5866311882049798, (1406, 1) = 20.26879112358788, (1406, 2) = .6209808220747269, (1406, 3) = -.5866067093084841, (1407, 1) = 20.270753423628115, (1407, 2) = .6191244078539944, (1407, 3) = -.5865823738867365, (1408, 1) = 20.272704506849127, (1408, 2) = .6172731466290131, (1408, 3) = -.5865581809129337, (1409, 1) = 20.274644450581363, (1409, 2) = .6154270098685053, (1409, 3) = -.5865341293701924, (1410, 1) = 20.276573331435834, (1410, 2) = .613585969276635, (1410, 3) = -.5865102182514209, (1411, 1) = 20.278491225312756, (1411, 2) = .611749996790429, (1411, 3) = -.5864864465592075, (1412, 1) = 20.28039820740981, (1412, 2) = .6099190645772399, (1412, 3) = -.5864628133056945, (1413, 1) = 20.28229435230636, (1413, 2) = .6080931449591185, (1413, 3) = -.5864393175115287, (1414, 1) = 20.28417973393899, (1414, 2) = .606272210440719, (1414, 3) = -.586415958206146, (1415, 1) = 20.286054425442217, (1415, 2) = .6044562338686293, (1415, 3) = -.586392734429735, (1416, 1) = 20.28791849927892, (1416, 2) = .6026451883114908, (1416, 3) = -.5863696452316055, (1417, 1) = 20.289772027249903, (1417, 2) = .6008390470559912, (1417, 3) = -.5863466896700603, (1418, 1) = 20.291615080501572, (1418, 2) = .5990377836045139, (1418, 3) = -.5863238668122832, (1419, 1) = 20.293447729533508, (1419, 2) = .5972413716728343, (1419, 3) = -.5863011757342355, (1420, 1) = 20.295270044206013, (1420, 2) = .5954497851878452, (1420, 3) = -.5862786155205506, (1421, 1) = 20.297082093747395, (1421, 2) = .5936629982853113, (1421, 3) = -.5862561852644296, (1422, 1) = 20.29888394676307, (1422, 2) = .591880985305891, (1422, 3) = -.5862338840675205, (1423, 1) = 20.300675671350593, (1423, 2) = .5901037206857875, (1423, 3) = -.5862117110384786, (1424, 1) = 20.302457334947736, (1424, 2) = .588331179111376, (1424, 3) = -.5861896652948407, (1425, 1) = 20.304229004320884, (1425, 2) = .5865633355363294, (1425, 3) = -.5861677459631525, (1426, 1) = 20.305990745639946, (1426, 2) = .5848001651122938, (1426, 3) = -.5861459521780327, (1427, 1) = 20.30774262448526, (1427, 2) = .5830416431868294, (1427, 3) = -.5861242830820779, (1428, 1) = 20.30948470585415, (1428, 2) = .5812877453013613, (1428, 3) = -.5861027378257668, (1429, 1) = 20.311217054167543, (1429, 2) = .5795384471891574, (1429, 3) = -.5860813155673726, (1430, 1) = 20.312939733276483, (1430, 2) = .5777937247733392, (1430, 3) = -.5860600154728689, (1431, 1) = 20.31465280646856, (1431, 2) = .5760535541649161, (1431, 3) = -.5860388367158428, (1432, 1) = 20.3163563364879, (1432, 2) = .5743179116468576, (1432, 3) = -.5860177784772339, (1433, 1) = 20.318050385633256, (1433, 2) = .572586773577961, (1433, 3) = -.5859968399441151, (1434, 1) = 20.319735015562877, (1434, 2) = .5708601165960288, (1434, 3) = -.5859760203120964, (1435, 1) = 20.321410287367645, (1435, 2) = .5691379175482959, (1435, 3) = -.585955318784407, (1436, 1) = 20.323076261605884, (1436, 2) = .5674201534603284, (1436, 3) = -.5859347345714582, (1437, 1) = 20.32473299830924, (1437, 2) = .565706801534211, (1437, 3) = -.585914266890762, (1438, 1) = 20.32638055698856, (1438, 2) = .5639978391467516, (1438, 3) = -.5858939149668488, (1439, 1) = 20.328018996639525, (1439, 2) = .5622932438477037, (1439, 3) = -.585873678031188, (1440, 1) = 20.32964837574838, (1440, 2) = .5605929933580147, (1440, 3) = -.5858535553221078, (1441, 1) = 20.33126875229753, (1441, 2) = .5588970655681073, (1441, 3) = -.5858335460847216, (1442, 1) = 20.332880183804996, (1442, 2) = .557205438500507, (1442, 3) = -.5858136495704283, (1443, 1) = 20.334482727365014, (1443, 2) = .5555180902704633, (1443, 3) = -.5857938650364043, (1444, 1) = 20.336076439484206, (1444, 2) = .5538349992622114, (1444, 3) = -.585774191747618, (1445, 1) = 20.337661376179486, (1445, 2) = .552156144030651, (1445, 3) = -.5857546289756124, (1446, 1) = 20.339237592990926, (1446, 2) = .5504815032917467, (1446, 3) = -.5857351759983402, (1447, 1) = 20.340805144986827, (1447, 2) = .5488110559209254, (1447, 3) = -.5857158321000903, (1448, 1) = 20.342364086768935, (1448, 2) = .5471447809514967, (1448, 3) = -.5856965965714167, (1449, 1) = 20.343914472477334, (1449, 2) = .5454826575730887, (1449, 3) = -.5856774687090723, (1450, 1) = 20.3454563557955, (1450, 2) = .5438246651300985, (1450, 3) = -.585658447815938, (1451, 1) = 20.34698978995517, (1451, 2) = .5421707831201823, (1451, 3) = -.5856395332009535, (1452, 1) = 20.34851482780076, (1452, 2) = .5405209911281232, (1452, 3) = -.5856207241783197, (1453, 1) = 20.35003152174463, (1453, 2) = .5388752688772384, (1453, 3) = -.5856020200680387, (1454, 1) = 20.351539923688026, (1454, 2) = .5372335963189862, (1454, 3) = -.5855834201968859, (1455, 1) = 20.353040085099344, (1455, 2) = .5355959535522752, (1455, 3) = -.5855649238974334, (1456, 1) = 20.354532057018865, (1456, 2) = .5339623208218498, (1456, 3) = -.5855465305079921, (1457, 1) = 20.35601589006324, (1457, 2) = .532332678516871, (1457, 3) = -.5855282393725401, (1458, 1) = 20.357491634430016, (1458, 2) = .5307070071695205, (1458, 3) = -.5855100498406681, (1459, 1) = 20.358959339902004, (1459, 2) = .5290852874536198, (1459, 3) = -.5854919612675143, (1460, 1) = 20.36041905585165, (1460, 2) = .5274675001832565, (1460, 3) = -.5854739730137067, (1461, 1) = 20.361870831248222, (1461, 2) = .5258536263082028, (1461, 3) = -.5854560844452676, (1462, 1) = 20.363314714736255, (1462, 2) = .5242436468297053, (1462, 3) = -.5854382949326431, (1463, 1) = 20.36475075451591, (1463, 2) = .5226375429365053, (1463, 3) = -.585420603852166, (1464, 1) = 20.36617899835693, (1464, 2) = .5210352959933637, (1464, 3) = -.585403010585881, (1465, 1) = 20.367599493639673, (1465, 2) = .5194368874986673, (1465, 3) = -.5853855145210357, (1466, 1) = 20.369012287359197, (1466, 2) = .5178422990831658, (1466, 3) = -.585368115050019, (1467, 1) = 20.370417426129233, (1467, 2) = .5162515125087104, (1467, 3) = -.5853508115703094, (1468, 1) = 20.371814956186082, (1468, 2) = .514664509667018, (1468, 3) = -.5853336034844234, (1469, 1) = 20.373204923392557, (1469, 2) = .5130812725784484, (1469, 3) = -.5853164901998562, (1470, 1) = 20.374587373241702, (1470, 2) = .5115017833907849, (1470, 3) = -.5852994711290359, (1471, 1) = 20.375962350873767, (1471, 2) = .5099260243630338, (1471, 3) = -.5852825456891035, (1472, 1) = 20.377329901134154, (1472, 2) = .5083539778015767, (1472, 3) = -.5852657133012018, (1473, 1) = 20.37869006844031, (1473, 2) = .5067856262156953, (1473, 3) = -.5852489733921005, (1474, 1) = 20.38004289684064, (1474, 2) = .5052209522537047, (1474, 3) = -.585232325393472, (1475, 1) = 20.381388430032384, (1475, 2) = .5036599386854458, (1475, 3) = -.5852157687416626, (1476, 1) = 20.38272671136514, (1476, 2) = .5021025684011654, (1476, 3) = -.5851993028776461, (1477, 1) = 20.384057783844405, (1477, 2) = .5005488244104006, (1477, 3) = -.5851829272469752, (1478, 1) = 20.385381690135063, (1478, 2) = .49899868984087153, (1478, 3) = -.5851666412997308, (1479, 1) = 20.38669847256473, (1479, 2) = .49745214793739995, (1479, 3) = -.5851504444904816, (1480, 1) = 20.388008173127194, (1480, 2) = .49590918206082574, (1480, 3) = -.585134336278232, (1481, 1) = 20.389310833514237, (1481, 2) = .4943697756532494, (1481, 3) = -.5851183161260284, (1482, 1) = 20.390606495127578, (1482, 2) = .49283391222613593, (1482, 3) = -.5851023835008075, (1483, 1) = 20.39189519897927, (1483, 2) = .4913015754811207, (1483, 3) = -.5850865378746154, (1484, 1) = 20.3931769857579, (1484, 2) = .4897727492350041, (1484, 3) = -.5850707787237942, (1485, 1) = 20.39445189583452, (1485, 2) = .48824741741535344, (1485, 3) = -.5850551055288956, (1486, 1) = 20.395719969265894, (1486, 2) = .4867255640595053, (1486, 3) = -.5850395177746462, (1487, 1) = 20.39698124579756, (1487, 2) = .48520717331356933, (1487, 3) = -.5850240149498975, (1488, 1) = 20.39823576486689, (1488, 2) = .48369222943144485, (1488, 3) = -.5850085965475911, (1489, 1) = 20.39948356560614, (1489, 2) = .48218071677385194, (1489, 3) = -.5849932620647099, (1490, 1) = 20.40072468684546, (1490, 2) = .4806726198073213, (1490, 3) = -.5849780110022453, (1491, 1) = 20.40195916716302, (1491, 2) = .4791679230456629, (1491, 3) = -.5849628428645695, (1492, 1) = 20.4031870448336, (1492, 2) = .47766661111471376, (1492, 3) = -.5849477571600685, (1493, 1) = 20.404408357795887, (1493, 2) = .47616866879520303, (1493, 3) = -.5849327534015372, (1494, 1) = 20.405623143698133, (1494, 2) = .47467408096994806, (1494, 3) = -.5849178311056163, (1495, 1) = 20.406831439900934, (1495, 2) = .4731828326229401, (1495, 3) = -.5849029897927535, (1496, 1) = 20.408033283480062, (1496, 2) = .47169490883844656, (1496, 3) = -.5848882289871647, (1497, 1) = 20.40922871122918, (1497, 2) = .47021029480012827, (1497, 3) = -.5848735482167968, (1498, 1) = 20.410417759662604, (1498, 2) = .46872897579015627, (1498, 3) = -.5848589470132918, (1499, 1) = 20.411600465017955, (1499, 2) = .46725093718834526, (1499, 3) = -.5848444249119487, (1500, 1) = 20.412776863262508, (1500, 2) = .4657761644666621, (1500, 3) = -.5848299814516442, (1501, 1) = 20.413946990145835, (1501, 2) = .4643046431253481, (1501, 3) = -.5848156161741805, (1502, 1) = 20.4151108811091, (1502, 2) = .4628363588088537, (1502, 3) = -.5848013286253962, (1503, 1) = 20.416268571307146, (1503, 2) = .4613712972811138, (1503, 3) = -.5847871183548934, (1504, 1) = 20.417420095631098, (1504, 2) = .459909444399476, (1504, 3) = -.5847729849157542, (1505, 1) = 20.418565488710996, (1505, 2) = .45845078611388024, (1505, 3) = -.5847589278645096, (1506, 1) = 20.419704784918185, (1506, 2) = .45699530846605874, (1506, 3) = -.5847449467610988, (1507, 1) = 20.420838018367817, (1507, 2) = .45554299758873895, (1507, 3) = -.5847310411688456, (1508, 1) = 20.421965222921227, (1508, 2) = .4540938397048611, (1508, 3) = -.584717210654417, (1509, 1) = 20.42308643218837, (1509, 2) = .45264782112679397, (1509, 3) = -.5847034547877961, (1510, 1) = 20.424201679542207, (1510, 2) = .451204928239911, (1510, 3) = -.5846897731420989, (1511, 1) = 20.42531099815134, (1511, 2) = .44976514746230306, (1511, 3) = -.5846761652931752, (1512, 1) = 20.42641442089031, (1512, 2) = .4483284653630415, (1512, 3) = -.5846626308207006, (1513, 1) = 20.427511980384736, (1513, 2) = .4468948686064773, (1513, 3) = -.5846491693076239, (1514, 1) = 20.428603709020404, (1514, 2) = .44546434394259615, (1514, 3) = -.5846357803400531, (1515, 1) = 20.42968963894554, (1515, 2) = .4440368782062881, (1515, 3) = -.5846224635072187, (1516, 1) = 20.430769802073023, (1516, 2) = .44261245831662605, (1516, 3) = -.5846092184014523, (1517, 1) = 20.43184423008253, (1517, 2) = .4411910712761514, (1517, 3) = -.5845960446181513, (1518, 1) = 20.432912954422765, (1518, 2) = .4397727041701722, (1518, 3) = -.5845829417557514, (1519, 1) = 20.433976006313507, (1519, 2) = .4383573441660569, (1519, 3) = -.5845699094156973, (1520, 1) = 20.43503341677161, (1520, 2) = .4369449784806514, (1520, 3) = -.5845569472021231, (1521, 1) = 20.43608521660702, (1521, 2) = .4355355943872097, (1521, 3) = -.584544054721898, (1522, 1) = 20.43713143636437, (1522, 2) = .4341291792957724, (1522, 3) = -.5845312315853382, (1523, 1) = 20.438172106366878, (1523, 2) = .4327257206968405, (1523, 3) = -.5845184774056672, (1524, 1) = 20.439207256719218, (1524, 2) = .4313252061595644, (1524, 3) = -.5845057917989798, (1525, 1) = 20.44023691730957, (1525, 2) = .42992762333109025, (1525, 3) = -.5844931743842123, (1526, 1) = 20.441261117811482, (1526, 2) = .4285329599359113, (1526, 3) = -.5844806247831168, (1527, 1) = 20.44227988768597, (1527, 2) = .42714120377522274, (1527, 3) = -.5844681426202349, (1528, 1) = 20.443293256183274, (1528, 2) = .4257523427262928, (1528, 3) = -.5844557275228724, (1529, 1) = 20.44430125234534, (1529, 2) = .42436636474129835, (1529, 3) = -.5844433791210686, (1530, 1) = 20.44530390504348, (1530, 2) = .4229832577970211, (1530, 3) = -.5844310970471293, (1531, 1) = 20.446301242930197, (1531, 2) = .4216030099628953, (1531, 3) = -.584418880936217, (1532, 1) = 20.44729329443022, (1532, 2) = .42022560941583703, (1532, 3) = -.5844067304264594, (1533, 1) = 20.448280087766854, (1533, 2) = .4188510444057249, (1533, 3) = -.5843946451586215, (1534, 1) = 20.44926165096396, (1534, 2) = .4174793032547997, (1534, 3) = -.5843826247760809, (1535, 1) = 20.450238011847663, (1535, 2) = .41611037435707776, (1535, 3) = -.5843706689248042, (1536, 1) = 20.451209198048083, (1536, 2) = .41474424617776545, (1536, 3) = -.5843587772533254, (1537, 1) = 20.452175237001164, (1537, 2) = .4133809072526758, (1537, 3) = -.5843469494127181, (1538, 1) = 20.453136155950343, (1538, 2) = .4120203461876638, (1538, 3) = -.584335185056575, (1539, 1) = 20.454091981952352, (1539, 2) = .41066255165221727, (1539, 3) = -.5843234838409357, (1540, 1) = 20.45504274191177, (1540, 2) = .40930751233199625, (1540, 3) = -.5843118454238593, (1541, 1) = 20.455988462514036, (1541, 2) = .4079552170256255, (1541, 3) = -.5843002694662438, (1542, 1) = 20.456929170247953, (1542, 2) = .4066056546149601, (1542, 3) = -.5842887556315506, (1543, 1) = 20.45786489141825, (1543, 2) = .4052588140490894, (1543, 3) = -.5842773035856439, (1544, 1) = 20.45879565214717, (1544, 2) = .4039146843437955, (1544, 3) = -.5842659129967739, (1545, 1) = 20.459721478376085, (1545, 2) = .40257325458102083, (1545, 3) = -.5842545835355523, (1546, 1) = 20.460642395867055, (1546, 2) = .4012345139083406, (1546, 3) = -.5842433148749332, (1547, 1) = 20.461558430204438, (1547, 2) = .3998984515384377, (1547, 3) = -.5842321066901913, (1548, 1) = 20.46246960679638, (1548, 2) = .3985650567485869, (1548, 3) = -.5842209586588989, (1549, 1) = 20.46337595088735, (1549, 2) = .3972343188641055, (1549, 3) = -.5842098704607767, (1550, 1) = 20.46427748757444, (1550, 2) = .39590622723560454, (1550, 3) = -.584198841777486, (1551, 1) = 20.46517424174817, (1551, 2) = .3945807713278372, (1551, 3) = -.584187872293356, (1552, 1) = 20.46606623812577, (1552, 2) = .39325794067271763, (1552, 3) = -.5841769616949728, (1553, 1) = 20.466953501255844, (1553, 2) = .3919377248642176, (1553, 3) = -.5841661096711203, (1554, 1) = 20.46783605551984, (1554, 2) = .39062011355787485, (1554, 3) = -.584155315912761, (1555, 1) = 20.46871392513345, (1555, 2) = .38930509647031186, (1555, 3) = -.5841445801130195, (1556, 1) = 20.469587134148046, (1556, 2) = .38799266337875865, (1556, 3) = -.5841339019671586, (1557, 1) = 20.470455706452103, (1557, 2) = .386682804120576, (1557, 3) = -.5841232811725636, (1558, 1) = 20.47131966577256, (1558, 2) = .3853755085927874, (1558, 3) = -.584112717428724, (1559, 1) = 20.47217903569616, (1559, 2) = .3840707667213574, (1559, 3) = -.5841022104369701, (1560, 1) = 20.47303383965696, (1560, 2) = .3827685684812669, (1560, 3) = -.5840917599006239, (1561, 1) = 20.473884100904446, (1561, 2) = .38146890394681643, (1561, 3) = -.584081365525388, (1562, 1) = 20.474729842531918, (1562, 2) = .3801717632503338, (1562, 3) = -.5840710270189969, (1563, 1) = 20.475571087477945, (1563, 2) = .3788771365815163, (1563, 3) = -.5840607440911987, (1564, 1) = 20.476407858527686, (1564, 2) = .3775850141869826, (1564, 3) = -.5840505164537345, (1565, 1) = 20.477240178314197, (1565, 2) = .3762953863698377, (1565, 3) = -.5840403438203249, (1566, 1) = 20.47806806931966, (1566, 2) = .3750082434892382, (1566, 3) = -.5840302259066494, (1567, 1) = 20.478891553876725, (1567, 2) = .3737235759599638, (1567, 3) = -.5840201624303326, (1568, 1) = 20.479710654170496, (1568, 2) = .37244137425074453, (1568, 3) = -.5840101531109162, (1569, 1) = 20.480525392266234, (1569, 2) = .3711616288422991, (1569, 3) = -.5840001976695187, (1570, 1) = 20.481335790068382, (1570, 2) = .36988433029270146, (1570, 3) = -.5839902958293373, (1571, 1) = 20.482141869322586, (1571, 2) = .3686094692361805, (1571, 3) = -.5839804473156173, (1572, 1) = 20.482943651631132, (1572, 2) = .3673370363604796, (1572, 3) = -.583970651855468, (1573, 1) = 20.483741158454063, (1573, 2) = .3660670224064538, (1573, 3) = -.5839609091778425, (1574, 1) = 20.484534411110474, (1574, 2) = .3647994181676676, (1574, 3) = -.5839512190135238, (1575, 1) = 20.48532343077956, (1575, 2) = .3635342144899956, (1575, 3) = -.5839415810951105, (1576, 1) = 20.486108238501902, (1576, 2) = .36227140227123017, (1576, 3) = -.5839319951569951, (1577, 1) = 20.48688885518052, (1577, 2) = .36101097246069086, (1577, 3) = -.5839224609353586, (1578, 1) = 20.487665301586237, (1578, 2) = .35975291605201254, (1578, 3) = -.5839129781680956, (1579, 1) = 20.48843759837948, (1579, 2) = .3584972240489543, (1579, 3) = -.5839035465945515, (1580, 1) = 20.48920576606216, (1580, 2) = .3572438875449062, (1580, 3) = -.5838941659561073, (1581, 1) = 20.48996982499731, (1581, 2) = .35599289769254977, (1581, 3) = -.5838848359959397, (1582, 1) = 20.490729795416065, (1582, 2) = .35474424569417706, (1582, 3) = -.5838755564589315, (1583, 1) = 20.49148569741871, (1583, 2) = .35349792280132336, (1583, 3) = -.5838663270916624, (1584, 1) = 20.492237550975688, (1584, 2) = .3522539203144007, (1584, 3) = -.5838571476423912, (1585, 1) = 20.492985375928733, (1585, 2) = .3510122295823374, (1585, 3) = -.5838480178610443, (1586, 1) = 20.493729191991868, (1586, 2) = .3497728420022159, (1586, 3) = -.5838389374991996, (1587, 1) = 20.49446901875249, (1587, 2) = .34853574901892254, (1587, 3) = -.583829906310074, (1588, 1) = 20.495204875681967, (1588, 2) = .3473009421085809, (1588, 3) = -.583820924048392, (1589, 1) = 20.495936782141985, (1589, 2) = .3460684127690501, (1589, 3) = -.5838119904703079, (1590, 1) = 20.496664757346423, (1590, 2) = .34483815258535844, (1590, 3) = -.5838031053338689, (1591, 1) = 20.497388820385208, (1591, 2) = .343610153191112, (1591, 3) = -.5837942683987233, (1592, 1) = 20.498108990226743, (1592, 2) = .3423844062659731, (1592, 3) = -.5837854794260928, (1593, 1) = 20.49882528571877, (1593, 2) = .34116090353532375, (1593, 3) = -.5837767381787552, (1594, 1) = 20.499537725589345, (1594, 2) = .3399396367699336, (1594, 3) = -.5837680444210354, (1595, 1) = 20.50024632844789, (1595, 2) = .3387205977856291, (1595, 3) = -.5837593979187911, (1596, 1) = 20.500951112786044, (1596, 2) = .33750377844296503, (1596, 3) = -.5837507984394004, (1597, 1) = 20.50165209697864, (1597, 2) = .3362891706469044, (1597, 3) = -.5837422457517502, (1598, 1) = 20.50234929930115, (1598, 2) = .3350767663177297, (1598, 3) = -.5837337396260218, (1599, 1) = 20.50304273791334, (1599, 2) = .3338665574204037, (1599, 3) = -.5837252798338883, (1600, 1) = 20.50373243084428, (1600, 2) = .3326585359921372, (1600, 3) = -.5837168661486978, (1601, 1) = 20.504418396009942, (1601, 2) = .3314526941132651, (1601, 3) = -.5837084983452591, (1602, 1) = 20.505100651214022, (1602, 2) = .3302490239069362, (1602, 3) = -.5837001761998262, (1603, 1) = 20.50577921414893, (1603, 2) = .32904751753880607, (1603, 3) = -.58369189949009, (1604, 1) = 20.50645410239662, (1604, 2) = .3278481672167322, (1604, 3) = -.5836836679951665, (1605, 1) = 20.5071253334294, (1605, 2) = .3266509651904737, (1605, 3) = -.5836754814955822, (1606, 1) = 20.50779292461091, (1606, 2) = .3254559037513919, (1606, 3) = -.5836673397732658, (1607, 1) = 20.50845689319801, (1607, 2) = .3242629752301279, (1607, 3) = -.5836592426115235, (1608, 1) = 20.509117256360327, (1608, 2) = .3230721719625055, (1608, 3) = -.5836511897947962, (1609, 1) = 20.509774031147693, (1609, 2) = .32188348634930386, (1609, 3) = -.5836431811090622, (1610, 1) = 20.510427234496408, (1610, 2) = .3206969108462414, (1610, 3) = -.5836352163417518, (1611, 1) = 20.511076883238307, (1611, 2) = .3195124379491688, (1611, 3) = -.5836272952816438, (1612, 1) = 20.511722994101483, (1612, 2) = .3183300601937889, (1612, 3) = -.5836194177188503, (1613, 1) = 20.51236558371113, (1613, 2) = .31714977015537565, (1613, 3) = -.5836115834448096, (1614, 1) = 20.513004668590344, (1614, 2) = .3159715604484949, (1614, 3) = -.5836037922522714, (1615, 1) = 20.513640265160873, (1615, 2) = .3147954237267282, (1615, 3) = -.583596043935291, (1616, 1) = 20.514272389743947, (1616, 2) = .3136213526824013, (1616, 3) = -.5835883382892159, (1617, 1) = 20.51490105856512, (1617, 2) = .31244934003868924, (1617, 3) = -.5835806751106265, (1618, 1) = 20.515526287767294, (1618, 2) = .3112793785262039, (1618, 3) = -.5835730541971772, (1619, 1) = 20.51614809337689, (1619, 2) = .31011146094727554, (1619, 3) = -.5835654753480064, (1620, 1) = 20.516766491319924, (1620, 2) = .30894558014733786, (1620, 3) = -.5835579383635426, (1621, 1) = 20.517381497425728, (1621, 2) = .3077817290092228, (1621, 3) = -.5835504430454563, (1622, 1) = 20.51799312742764, (1622, 2) = .306619900452904, (1622, 3) = -.5835429891966502, (1623, 1) = 20.518601396963753, (1623, 2) = .30546008743523817, (1623, 3) = -.5835355766212511, (1624, 1) = 20.519206321577652, (1624, 2) = .3043022829497098, (1624, 3) = -.5835282051245994, (1625, 1) = 20.519807916719127, (1625, 2) = .30314648002617983, (1625, 3) = -.5835208745132402, (1626, 1) = 20.520406197744883, (1626, 2) = .3019926717306341, (1626, 3) = -.5835135845949136, (1627, 1) = 20.521001179927627, (1627, 2) = .30084085114869874, (1627, 3) = -.5835063351784411, (1628, 1) = 20.52159287845613, (1628, 2) = .2996910113862546, (1628, 3) = -.5834991260737298, (1629, 1) = 20.522181308411852, (1629, 2) = .29854314561609263, (1629, 3) = -.5834919570920498, (1630, 1) = 20.522766484785485, (1630, 2) = .29739724704700476, (1630, 3) = -.5834848280458373, (1631, 1) = 20.523348422478136, (1631, 2) = .29625330892267415, (1631, 3) = -.5834777387486771, (1632, 1) = 20.52392713630199, (1632, 2) = .29511132452144134, (1632, 3) = -.5834706890152942, (1633, 1) = 20.52450264098094, (1633, 2) = .2939712871560667, (1633, 3) = -.583463678661544, (1634, 1) = 20.525074951151332, (1634, 2) = .292833190173497, (1634, 3) = -.5834567075044067, (1635, 1) = 20.52564408136252, (1635, 2) = .2916970269546331, (1635, 3) = -.5834497753619741, (1636, 1) = 20.526210046077708, (1636, 2) = .29056279091394077, (1636, 3) = -.5834428820534456, (1637, 1) = 20.526772859687657, (1637, 2) = .28943047547263734, (1637, 3) = -.5834360273989548, (1638, 1) = 20.527332536494093, (1638, 2) = .2883000740930162, (1638, 3) = -.5834292112197738, (1639, 1) = 20.527889090704488, (1639, 2) = .28717158029024065, (1639, 3) = -.5834224333383745, (1640, 1) = 20.5284425364425, (1640, 2) = .28604498761229047, (1640, 3) = -.583415693578302, (1641, 1) = 20.52899288774876, (1641, 2) = .2849202896397382, (1641, 3) = -.583408991764167, (1642, 1) = 20.52954015858133, (1642, 2) = .2837974799855331, (1642, 3) = -.5834023277216328, (1643, 1) = 20.530084362816446, (1643, 2) = .28267655229478295, (1643, 3) = -.5833957012774136, (1644, 1) = 20.530625514249007, (1644, 2) = .2815575002445399, (1644, 3) = -.5833891122592618, (1645, 1) = 20.53116362659326, (1645, 2) = .2804403175435873, (1645, 3) = -.5833825604959628, (1646, 1) = 20.531698713484673, (1646, 2) = .27932499792944326, (1646, 3) = -.583376045817309, (1647, 1) = 20.5322307884933, (1647, 2) = .2782115351414112, (1647, 3) = -.5833695680539398, (1648, 1) = 20.532759865098786, (1648, 2) = .2770999229735108, (1648, 3) = -.583363127037641, (1649, 1) = 20.533285956697974, (1649, 2) = .2759901552600315, (1649, 3) = -.5833567226012578, (1650, 1) = 20.533809076609888, (1650, 2) = .2748822258659471, (1650, 3) = -.5833503545786256, (1651, 1) = 20.53432923807646, (1651, 2) = .2737761286867116, (1651, 3) = -.5833440228045687, (1652, 1) = 20.534846454262865, (1652, 2) = .2726718576480589, (1652, 3) = -.5833377271148887, (1653, 1) = 20.53536073825833, (1653, 2) = .2715694067058035, (1653, 3) = -.583331467346361, (1654, 1) = 20.53587210307652, (1654, 2) = .2704687698456427, (1654, 3) = -.5833252433367229, (1655, 1) = 20.536380561656134, (1655, 2) = .2693699410829605, (1655, 3) = -.583319054924671, (1656, 1) = 20.536886126865227, (1656, 2) = .2682729144543761, (1656, 3) = -.5833129019498036, (1657, 1) = 20.53738881150831, (1657, 2) = .2671776840031296, (1657, 3) = -.5833067842525401, (1658, 1) = 20.537888628303328, (1658, 2) = .2660842438301195, (1658, 3) = -.583300701674393, (1659, 1) = 20.538385589893945, (1659, 2) = .2649925880681822, (1659, 3) = -.5832946540578244, (1660, 1) = 20.53887970885157, (1660, 2) = .26390271087887607, (1660, 3) = -.5832886412462165, (1661, 1) = 20.53937099767587, (1661, 2) = .262814606452295, (1661, 3) = -.583282663083869, (1662, 1) = 20.539859468795225, (1662, 2) = .2617282690068839, (1662, 3) = -.5832767194159885, (1663, 1) = 20.54034513456726, (1663, 2) = .26064369278925403, (1663, 3) = -.5832708100886838, (1664, 1) = 20.540828007279405, (1664, 2) = .25956087207400336, (1664, 3) = -.5832649349489605, (1665, 1) = 20.541308099149322, (1665, 2) = .25847980116353225, (1665, 3) = -.5832590938447115, (1666, 1) = 20.541785422332598, (1666, 2) = .2574004743717047, (1666, 3) = -.583253286624627, (1667, 1) = 20.542259988919255, (1667, 2) = .2563228860322742, (1667, 3) = -.5832475131382339, (1668, 1) = 20.542731810920365, (1668, 2) = .2552470305303558, (1668, 3) = -.5832417732360566, (1669, 1) = 20.543200900279114, (1669, 2) = .25417290227838313, (1669, 3) = -.5832360667694872, (1670, 1) = 20.543667268871417, (1670, 2) = .2531004957157053, (1670, 3) = -.5832303935907736, (1671, 1) = 20.544130928506412, (1671, 2) = .25202980530841446, (1671, 3) = -.5832247535530136, (1672, 1) = 20.544591890926856, (1672, 2) = .2509608255491759, (1672, 3) = -.5832191465101505, (1673, 1) = 20.54505016780968, (1673, 2) = .24989355095705718, (1673, 3) = -.5832135723169648, (1674, 1) = 20.54550577076642, (1674, 2) = .24882797607736257, (1674, 3) = -.5832080308290711, (1675, 1) = 20.545958711343847, (1675, 2) = .24776409548094266, (1675, 3) = -.5832025219029072, (1676, 1) = 20.546409001034487, (1676, 2) = .24670190374050213, (1676, 3) = -.5831970453956061, (1677, 1) = 20.54685665126175, (1677, 2) = .24564139546600405, (1677, 3) = -.5831916011651789, (1678, 1) = 20.547301673379707, (1678, 2) = .24458256530660236, (1678, 3) = -.5831861890705132, (1679, 1) = 20.54774407867925, (1679, 2) = .24352540793685848, (1679, 3) = -.5831808089713025, (1680, 1) = 20.548183878388645, (1680, 2) = .24246991805658166, (1680, 3) = -.5831754607280348, (1681, 1) = 20.548621083673847, (1681, 2) = .24141609039067105, (1681, 3) = -.5831701442019919, (1682, 1) = 20.54905570563906, (1682, 2) = .2403639196889576, (1682, 3) = -.583164859255238, (1683, 1) = 20.549487755327036, (1683, 2) = .239313400726046, (1683, 3) = -.5831596057506218, (1684, 1) = 20.549917243719612, (1684, 2) = .2382645283011632, (1684, 3) = -.5831543835517627, (1685, 1) = 20.550344181739476, (1685, 2) = .23721729723451657, (1685, 3) = -.5831491925230338, (1686, 1) = 20.5507685802589, (1686, 2) = .23617170234671367, (1686, 3) = -.5831440325294543, (1687, 1) = 20.55119045008133, (1687, 2) = .23512773850450494, (1687, 3) = -.5831389034369119, (1688, 1) = 20.55160980194858, (1688, 2) = .23408540060459568, (1688, 3) = -.5831338051120758, (1689, 1) = 20.55202664654351, (1689, 2) = .23304468356754812, (1689, 3) = -.5831287374223642, (1690, 1) = 20.552440994490556, (1690, 2) = .2320055823376319, (1690, 3) = -.5831237002359361, (1691, 1) = 20.55285285635608, (1691, 2) = .23096809188267767, (1691, 3) = -.5831186934216882, (1692, 1) = 20.553262242648778, (1692, 2) = .22993220719393173, (1692, 3) = -.5831137168492485, (1693, 1) = 20.553669163820054, (1693, 2) = .22889792328591105, (1693, 3) = -.5831087703889734, (1694, 1) = 20.554073630264455, (1694, 2) = .22786523519625926, (1694, 3) = -.5831038539119382, (1695, 1) = 20.55447565232344, (1695, 2) = .22683413797684895, (1695, 3) = -.5830989672898954, (1696, 1) = 20.554875240288457, (1696, 2) = .2258046266863864, (1696, 3) = -.5830941103952345, (1697, 1) = 20.555272404385956, (1697, 2) = .2247766964299976, (1697, 3) = -.5830892831011639, (1698, 1) = 20.555667154786434, (1698, 2) = .22375034233691712, (1698, 3) = -.5830844852816008, (1699, 1) = 20.556059501605425, (1699, 2) = .2227255595588008, (1699, 3) = -.5830797168111611, (1700, 1) = 20.556449454903873, (1700, 2) = .2217023432695864, (1700, 3) = -.58307497756515, (1701, 1) = 20.55683702468848, (1701, 2) = .22068068866535992, (1701, 3) = -.5830702674195619, (1702, 1) = 20.557222220912116, (1702, 2) = .2196605909642198, (1702, 3) = -.5830655862510717, (1703, 1) = 20.557605053474145, (1703, 2) = .21864204540614318, (1703, 3) = -.5830609339370342, (1704, 1) = 20.557985532220815, (1704, 2) = .21762504725285242, (1704, 3) = -.5830563103554747, (1705, 1) = 20.55836366695155, (1705, 2) = .21660959177166808, (1705, 3) = -.5830517153850163, (1706, 1) = 20.558739467413773, (1706, 2) = .21559567425001128, (1706, 3) = -.5830471489049411, (1707, 1) = 20.55911294329609, (1707, 2) = .2145832900145154, (1707, 3) = -.5830426107952701, (1708, 1) = 20.559484104235462, (1708, 2) = .21357243441304247, (1708, 3) = -.5830381009366808, (1709, 1) = 20.559852959817448, (1709, 2) = .2125631028145455, (1709, 3) = -.5830336192104989, (1710, 1) = 20.560219519576588, (1710, 2) = .2115552906089415, (1710, 3) = -.5830291654986977, (1711, 1) = 20.56058379299678, (1711, 2) = .21054899320698497, (1711, 3) = -.5830247396838905, (1712, 1) = 20.56094578951154, (1712, 2) = .20954420604014434, (1712, 3) = -.5830203416493273, (1713, 1) = 20.561305518504376, (1713, 2) = .20854092456047682, (1713, 3) = -.5830159712788915, (1714, 1) = 20.561662989309497, (1714, 2) = .207539144239535, (1714, 3) = -.5830116284570908, (1715, 1) = 20.56201821121921, (1715, 2) = .20653886054811538, (1715, 3) = -.5830073130689641, (1716, 1) = 20.562371193472007, (1716, 2) = .20554006899046867, (1716, 3) = -.5830030250002318, (1717, 1) = 20.562721945254353, (1717, 2) = .20454276510022845, (1717, 3) = -.5829987641372677, (1718, 1) = 20.56307047570438, (1718, 2) = .20354694443100516, (1718, 3) = -.5829945303670563, (1719, 1) = 20.563416793912126, (1719, 2) = .2025526025562668, (1719, 3) = -.5829903235771914, (1720, 1) = 20.563760908919956, (1720, 2) = .2015597350692233, (1720, 3) = -.5829861436558694, (1721, 1) = 20.56410282972277, (1721, 2) = .2005683375827078, (1721, 3) = -.5829819904918856, (1722, 1) = 20.56444256526841, (1722, 2) = .19957840572906252, (1722, 3) = -.5829778639746293, (1723, 1) = 20.56478012445789, (1723, 2) = .19858993516002188, (1723, 3) = -.582973763994082, (1724, 1) = 20.56511551614712, (1724, 2) = .19760292154249012, (1724, 3) = -.5829696904407955, (1725, 1) = 20.56544874915224, (1725, 2) = .1966173605435724, (1725, 3) = -.5829656432058257, (1726, 1) = 20.565779832236682, (1726, 2) = .19563324786925657, (1726, 3) = -.5829616221808921, (1727, 1) = 20.566108774117033, (1727, 2) = .19465057924813106, (1727, 3) = -.5829576272583042, (1728, 1) = 20.56643558346462, (1728, 2) = .1936693504276085, (1728, 3) = -.5829536583309436, (1729, 1) = 20.566760268905774, (1729, 2) = .19268955717381717, (1729, 3) = -.5829497152922584, (1730, 1) = 20.567082839022163, (1730, 2) = .19171119527149008, (1730, 3) = -.5829457980362608, (1731, 1) = 20.567403302351003, (1731, 2) = .19073426052385836, (1731, 3) = -.5829419064575239, (1732, 1) = 20.567721667385456, (1732, 2) = .18975874875254048, (1732, 3) = -.5829380404511765, (1733, 1) = 20.568037942574804, (1733, 2) = .18878465579743978, (1733, 3) = -.5829341999129006, (1734, 1) = 20.56835213632775, (1734, 2) = .1878119775074915, (1734, 3) = -.5829303847388917, (1735, 1) = 20.568664257013047, (1735, 2) = .18684070973922104, (1735, 3) = -.582926594825851, (1736, 1) = 20.568974312950154, (1736, 2) = .18587084838645185, (1736, 3) = -.582922830071096, (1737, 1) = 20.569282312415606, (1737, 2) = .18490238936155381, (1737, 3) = -.5829190903724873, (1738, 1) = 20.569588263643503, (1738, 2) = .1839353285946513, (1738, 3) = -.5829153756284206, (1739, 1) = 20.569892174825792, (1739, 2) = .18296966203352077, (1739, 3) = -.5829116857378199, (1740, 1) = 20.570194054112537, (1740, 2) = .18200538564348936, (1740, 3) = -.5829080206001404, (1741, 1) = 20.570493909612196, (1741, 2) = .1810424954073346, (1741, 3) = -.5829043801153589, (1742, 1) = 20.570791749391862, (1742, 2) = .1800809873251827, (1742, 3) = -.5829007641839759, (1743, 1) = 20.57108758147755, (1743, 2) = .17912085741436704, (1743, 3) = -.5828971727070051, (1744, 1) = 20.571381413859243, (1744, 2) = .17816210169372657, (1744, 3) = -.5828936055859205, (1745, 1) = 20.571673254485248, (1745, 2) = .17720471620242959, (1745, 3) = -.5828900627227176, (1746, 1) = 20.571963111259624, (1746, 2) = .17624869700938786, (1746, 3) = -.5828865440199476, (1747, 1) = 20.572250992046392, (1747, 2) = .17529404020036804, (1747, 3) = -.5828830493806668, (1748, 1) = 20.572536904669768, (1748, 2) = .17434074187789655, (1748, 3) = -.5828795787084317, (1749, 1) = 20.572820856914447, (1749, 2) = .17338879816116332, (1749, 3) = -.5828761319072951, (1750, 1) = 20.5731028565258, (1750, 2) = .1724382051859276, (1750, 3) = -.5828727088818064, (1751, 1) = 20.573382911210157, (1751, 2) = .17148895910442422, (1751, 3) = -.5828693095370052, (1752, 1) = 20.57366102863511, (1752, 2) = .17054105608527068, (1752, 3) = -.5828659337784184, (1753, 1) = 20.573937216430064, (1753, 2) = .1695944923119247, (1753, 3) = -.582862581512053, (1754, 1) = 20.574211482191348, (1754, 2) = .1686492639659176, (1754, 3) = -.5828592526443359, (1755, 1) = 20.57448383347319, (1755, 2) = .16770536725856955, (1755, 3) = -.5828559470822182, (1756, 1) = 20.574754277790166, (1756, 2) = .16676279842345998, (1756, 3) = -.5828526647331532, (1757, 1) = 20.57502282261924, (1757, 2) = .1658215537100916, (1757, 3) = -.5828494055050631, (1758, 1) = 20.57528947540003, (1758, 2) = .16488162938379816, (1758, 3) = -.5828461693063415, (1759, 1) = 20.575554243535038, (1759, 2) = .16394302172565858, (1759, 3) = -.5828429560458477, (1760, 1) = 20.57581713438988, (1760, 2) = .163005727032406, (1760, 3) = -.5828397656329046, (1761, 1) = 20.576078155293516, (1761, 2) = .16206974161634372, (1761, 3) = -.5828365979772965, (1762, 1) = 20.576337313538474, (1762, 2) = .16113506180525483, (1762, 3) = -.5828334529892629, (1763, 1) = 20.576594616382362, (1763, 2) = .16020168393766543, (1763, 3) = -.5828303305794853, (1764, 1) = 20.57685007105076, (1764, 2) = .15926960435278034, (1764, 3) = -.5828272306590476, (1765, 1) = 20.577103684728655, (1765, 2) = .15833881942249634, (1765, 3) = -.5828241531395415, (1766, 1) = 20.577355464564878, (1766, 2) = .15740932553600015, (1766, 3) = -.5828210979330128, (1767, 1) = 20.577605417672974, (1767, 2) = .15648111909752943, (1767, 3) = -.5828180649519494, (1768, 1) = 20.5778535511314, (1768, 2) = .15555419652629182, (1768, 3) = -.5828150541092793, (1769, 1) = 20.5780998719837, (1769, 2) = .15462855425638092, (1769, 3) = -.5828120653183713, (1770, 1) = 20.578344387238786, (1770, 2) = .1537041887366945, (1770, 3) = -.5828090984930262, (1771, 1) = 20.57858710387114, (1771, 2) = .15278109643085228, (1771, 3) = -.5828061535474776, (1772, 1) = 20.57882802882098, (1772, 2) = .15185927381711684, (1772, 3) = -.582803230396388, (1773, 1) = 20.579067168996943, (1773, 2) = .15093871737887823, (1773, 3) = -.582800328954819, (1774, 1) = 20.579304531275305, (1774, 2) = .15001942360812567, (1774, 3) = -.582797449138237, (1775, 1) = 20.57954012249472, (1775, 2) = .14910138902665648, (1775, 3) = -.5827945908625788, (1776, 1) = 20.57977394946034, (1776, 2) = .14818461017081483, (1776, 3) = -.5827917540442022, (1777, 1) = 20.58000601894415, (1777, 2) = .1472690835911855, (1777, 3) = -.5827889385998796, (1778, 1) = 20.58023633768515, (1778, 2) = .14635480585251792, (1778, 3) = -.5827861444467974, (1779, 1) = 20.580464912389516, (1779, 2) = .14544177353364707, (1779, 3) = -.5827833715025535, (1780, 1) = 20.58069174973083, (1780, 2) = .14452998322741745, (1780, 3) = -.582780619685154, (1781, 1) = 20.5809168563503, (1781, 2) = .1436194315406074, (1781, 3) = -.5827778889130115, (1782, 1) = 20.58114023885699, (1782, 2) = .14271011509362852, (1782, 3) = -.5827751791049396, (1783, 1) = 20.581361903831517, (1783, 2) = .14180203050598542, (1783, 3) = -.5827724901801115, (1784, 1) = 20.581581857821114, (1784, 2) = .140895174417021, (1784, 3) = -.5827698220581163, (1785, 1) = 20.581800107339163, (1785, 2) = .1399895434887974, (1785, 3) = -.582767174658968, (1786, 1) = 20.582016658867623, (1786, 2) = .1390851343969337, (1786, 3) = -.5827645479030723, (1787, 1) = 20.58223151885722, (1787, 2) = .1381819438305339, (1787, 3) = -.5827619417112272, (1788, 1) = 20.582444693727627, (1788, 2) = .13727996849211263, (1788, 3) = -.5827593560046191, (1789, 1) = 20.582656189867638, (1789, 2) = .136379205097524, (1789, 3) = -.5827567907048206, (1790, 1) = 20.582866013635442, (1790, 2) = .13547965037589038, (1790, 3) = -.5827542457337876, (1791, 1) = 20.583074171358614, (1791, 2) = .13458130106952976, (1791, 3) = -.5827517210138587, (1792, 1) = 20.583280669335007, (1792, 2) = .1336841539319642, (1792, 3) = -.5827492164677457, (1793, 1) = 20.583485513835697, (1793, 2) = .13278820571452057, (1793, 3) = -.5827467320184964, (1794, 1) = 20.583688711098738, (1794, 2) = .13189345319485074, (1794, 3) = -.5827442675895688, (1795, 1) = 20.583890267331462, (1795, 2) = .1309998931676427, (1795, 3) = -.5827418231048065, (1796, 1) = 20.58409018871161, (1796, 2) = .13010752244042906, (1796, 3) = -.5827393984884243, (1797, 1) = 20.584288481387496, (1797, 2) = .1292163378335189, (1797, 3) = -.582736993665002, (1798, 1) = 20.584485151478216, (1798, 2) = .12832633617993003, (1798, 3) = -.5827346085594868, (1799, 1) = 20.584680205073802, (1799, 2) = .12743751432532113, (1799, 3) = -.5827322430971883, (1800, 1) = 20.58487364823538, (1800, 2) = .12654986912792518, (1800, 3) = -.5827298972037784, (1801, 1) = 20.58506548699536, (1801, 2) = .12566339745848276, (1801, 3) = -.5827275708052873, (1802, 1) = 20.585255727358742, (1802, 2) = .12477809619505278, (1802, 3) = -.5827252638280876, (1803, 1) = 20.58544437530433, (1803, 2) = .1238939622172292, (1803, 3) = -.5827229761988818, (1804, 1) = 20.58563143677952, (1804, 2) = .12301099243197787, (1804, 3) = -.5827207078447622, (1805, 1) = 20.585816917703365, (1805, 2) = .12212918375968353, (1805, 3) = -.582718458693175, (1806, 1) = 20.586000823967062, (1806, 2) = .12124853313290951, (1806, 3) = -.582716228671915, (1807, 1) = 20.586183161434054, (1807, 2) = .12036903749633401, (1807, 3) = -.5827140177091233, (1808, 1) = 20.586363935940273, (1808, 2) = .11949069380668594, (1808, 3) = -.5827118257332847, (1809, 1) = 20.58654315329425, (1809, 2) = .11861349903268223, (1809, 3) = -.5827096526732264, (1810, 1) = 20.586720819277268, (1810, 2) = .11773745015496562, (1810, 3) = -.5827074984581169, (1811, 1) = 20.58689693964356, (1811, 2) = .11686254416604214, (1811, 3) = -.5827053630174586, (1812, 1) = 20.58707152012233, (1812, 2) = .11598877806057148, (1812, 3) = -.582703246281071, (1813, 1) = 20.58724456641641, (1813, 2) = .11511614884291788, (1813, 3) = -.5827011481791007, (1814, 1) = 20.587416084199596, (1814, 2) = .11424465354103411, (1814, 3) = -.5826990686420573, (1815, 1) = 20.58758607911925, (1815, 2) = .11337428919451992, (1815, 3) = -.5826970076007787, (1816, 1) = 20.58775455679644, (1816, 2) = .1125050528545294, (1816, 3) = -.5826949649864319, (1817, 1) = 20.587921522826104, (1817, 2) = .11163694158371226, (1817, 3) = -.5826929407305086, (1818, 1) = 20.588086982777185, (1818, 2) = .11076995245615316, (1818, 3) = -.5826909347648269, (1819, 1) = 20.588250942192786, (1819, 2) = .10990408255731406, (1819, 3) = -.5826889470215254, (1820, 1) = 20.588413406590348, (1820, 2) = .10903932898397461, (1820, 3) = -.582686977433064, (1821, 1) = 20.588574381461825, (1821, 2) = .1081756888436849, (1821, 3) = -.5826850259322183, (1822, 1) = 20.58873387227629, (1822, 2) = .10731315924182026, (1822, 3) = -.5826830924520527, (1823, 1) = 20.58889188447605, (1823, 2) = .10645173730261398, (1823, 3) = -.5826811769259627, (1824, 1) = 20.589048423477102, (1824, 2) = .10559142016778221, (1824, 3) = -.5826792792876728, (1825, 1) = 20.58920349467056, (1825, 2) = .1047322049900698, (1825, 3) = -.5826773994712171, (1826, 1) = 20.58935710342265, (1826, 2) = .10387408893319071, (1826, 3) = -.5826755374109387, (1827, 1) = 20.589509255074983, (1827, 2) = .10301706917177492, (1827, 3) = -.5826736930414893, (1828, 1) = 20.589659954944622, (1828, 2) = .10216114289131031, (1828, 3) = -.5826718662978247, (1829, 1) = 20.58980920832426, (1829, 2) = .101306307288089, (1829, 3) = -.5826700571152064, (1830, 1) = 20.589957020482352, (1830, 2) = .10045255956915115, (1830, 3) = -.5826682654291966, (1831, 1) = 20.590103396663626, (1831, 2) = 0.9959989694985717e-1, (1831, 3) = -.5826664911756526, (1832, 1) = 20.59024834209096, (1832, 2) = 0.9874831664366499e-1, (1832, 3) = -.5826647342907045, (1833, 1) = 20.590391861961226, (1833, 2) = 0.9789781588712795e-1, (1833, 3) = -.5826629947108065, (1834, 1) = 20.590533961447147, (1834, 2) = 0.9704839192996935e-1, (1834, 3) = -.5826612723727141, (1835, 1) = 20.59067464569786, (1835, 2) = 0.962000420323893e-1, (1835, 3) = -.5826595672134737, (1836, 1) = 20.590813919839096, (1836, 2) = 0.9535276346501025e-1, (1836, 3) = -.5826578791704247, (1837, 1) = 20.590951788973307, (1837, 2) = 0.9450655350882531e-1, (1837, 3) = -.5826562081811971, (1838, 1) = 20.59108825817975, (1838, 2) = 0.9366140945514562e-1, (1838, 3) = -.5826545541837082, (1839, 1) = 20.591223332514662, (1839, 2) = 0.9281732860554859e-1, (1839, 3) = -.5826529171161619, (1840, 1) = 20.591357017011376, (1840, 2) = 0.9197430827182583e-1, (1840, 3) = -.5826512969170466, (1841, 1) = 20.591489316681372, (1841, 2) = 0.9113234577040732e-1, (1841, 3) = -.5826496935251256, (1842, 1) = 20.591620236514522, (1842, 2) = 0.9029143842030371e-1, (1842, 3) = -.5826481068794273, (1843, 1) = 20.59174978147625, (1843, 2) = 0.8945158356329756e-1, (1843, 3) = -.582646536919286, (1844, 1) = 20.591877956509443, (1844, 2) = 0.8861277855174932e-1, (1844, 3) = -.5826449835843168, (1845, 1) = 20.592004766534757, (1845, 2) = 0.8777502074797869e-1, (1845, 3) = -.5826434468144092, (1846, 1) = 20.5921302164507, (1846, 2) = 0.8693830752421451e-1, (1846, 3) = -.5826419265497307, (1847, 1) = 20.592254311133757, (1847, 2) = 0.8610263626254454e-1, (1847, 3) = -.5826404227307193, (1848, 1) = 20.592377055438558, (1848, 2) = 0.8526800435486738e-1, (1848, 3) = -.5826389352980865, (1849, 1) = 20.59249845419794, (1849, 2) = 0.8443440920284329e-1, (1849, 3) = -.5826374641928167, (1850, 1) = 20.592618512223083, (1850, 2) = 0.8360184821783842e-1, (1850, 3) = -.5826360093561589, (1851, 1) = 20.592737234305073, (1851, 2) = 0.8277031881111498e-1, (1851, 3) = -.5826345707296158, (1852, 1) = 20.592854625213338, (1852, 2) = 0.8193981840470038e-1, (1852, 3) = -.5826331482549588, (1853, 1) = 20.59297068969474, (1853, 2) = 0.8111034443903216e-1, (1853, 3) = -.5826317418742377, (1854, 1) = 20.593085432475, (1854, 2) = 0.8028189436406745e-1, (1854, 3) = -.5826303515297656, (1855, 1) = 20.593198858258788, (1855, 2) = 0.7945446563923697e-1, (1855, 3) = -.5826289771641179, (1856, 1) = 20.593310971729817, (1856, 2) = 0.786280557333969e-1, (1856, 3) = -.5826276187201295, (1857, 1) = 20.593421777551, (1857, 2) = 0.7780266212478379e-1, (1857, 3) = -.5826262761408942, (1858, 1) = 20.593531280364555, (1858, 2) = 0.7697828230096772e-1, (1858, 3) = -.5826249493697615, (1859, 1) = 20.593639484792128, (1859, 2) = 0.7615491375880669e-1, (1859, 3) = -.5826236383503387, (1860, 1) = 20.59374639543494, (1860, 2) = 0.7533255400360409e-1, (1860, 3) = -.5826223430264836, (1861, 1) = 20.593852016875424, (1861, 2) = 0.7451120053798402e-1, (1861, 3) = -.5826210633422908, (1862, 1) = 20.5939563536746, (1862, 2) = 0.736908508821558e-1, (1862, 3) = -.5826197992421182, (1863, 1) = 20.594059410372783, (1863, 2) = 0.728715025698773e-1, (1863, 3) = -.5826185506705798, (1864, 1) = 20.594161191490272, (1864, 2) = 0.7205315314396761e-1, (1864, 3) = -.5826173175725416, (1865, 1) = 20.594261701527433, (1865, 2) = 0.7123580015626188e-1, (1865, 3) = -.5826160998931141, (1866, 1) = 20.594360944964837, (1866, 2) = 0.7041944116756821e-1, (1866, 3) = -.5826148975776538, (1867, 1) = 20.594458926263343, (1867, 2) = 0.6960407374762274e-1, (1867, 3) = -.5826137105717616, (1868, 1) = 20.594555649864255, (1868, 2) = 0.687896954750481e-1, (1868, 3) = -.5826125388212824, (1869, 1) = 20.594651120189365, (1869, 2) = 0.6797630393730886e-1, (1869, 3) = -.5826113822723009, (1870, 1) = 20.59474534164141, (1870, 2) = 0.6716389672787584e-1, (1870, 3) = -.5826102408711397, (1871, 1) = 20.594838318605035, (1871, 2) = 0.6635247143894818e-1, (1871, 3) = -.5826091145643467, (1872, 1) = 20.594930055444305, (1872, 2) = 0.6554202568283361e-1, (1872, 3) = -.5826080032987225, (1873, 1) = 20.59502055650404, (1873, 2) = 0.6473255708213209e-1, (1873, 3) = -.5826069070213077, (1874, 1) = 20.59510982611016, (1874, 2) = 0.6392406326807264e-1, (1874, 3) = -.5826058256793769, (1875, 1) = 20.59519786856968, (1875, 2) = 0.6311654188047094e-1, (1875, 3) = -.5826047592204394, (1876, 1) = 20.59528468817089, (1876, 2) = 0.62309990567688496e-1, (1876, 3) = -.5826037075922359, (1877, 1) = 20.59537028918339, (1877, 2) = 0.61504406986591896e-1, (1877, 3) = -.5826026707427387, (1878, 1) = 20.59545467585831, (1878, 2) = 0.6069978880251108e-1, (1878, 3) = -.5826016486201505, (1879, 1) = 20.595537852428258, (1879, 2) = 0.59896133689199736e-1, (1879, 3) = -.5826006411729011, (1880, 1) = 20.5956198231081, (1880, 2) = 0.59093439322927724e-1, (1880, 3) = -.582599648349642, (1881, 1) = 20.595700592094946, (1881, 2) = 0.58291703383666967e-1, (1881, 3) = -.5825986700992442, (1882, 1) = 20.595780163566573, (1882, 2) = 0.57490923570164436e-1, (1882, 3) = -.5825977063708179, (1883, 1) = 20.595858541682748, (1883, 2) = 0.5669109758964873e-1, (1883, 3) = -.5825967571136973, (1884, 1) = 20.595935730585275, (1884, 2) = 0.5589222315757068e-1, (1884, 3) = -.5825958222774376, (1885, 1) = 20.596011734398058, (1885, 2) = 0.5509429799756351e-1, (1885, 3) = -.5825949018118146, (1886, 1) = 20.596086557227277, (1886, 2) = 0.54297319841404665e-1, (1886, 3) = -.5825939956668276, (1887, 1) = 20.596160203161425, (1887, 2) = 0.5350128642897746e-1, (1887, 3) = -.5825931037926918, (1888, 1) = 20.59623267627144, (1888, 2) = 0.5270619550823178e-1, (1888, 3) = -.5825922261398391, (1889, 1) = 20.59630398061078, (1889, 2) = 0.5191204483505122e-1, (1889, 3) = -.5825913626589209, (1890, 1) = 20.596374120216318, (1890, 2) = 0.51118832163791615e-1, (1890, 3) = -.5825905133007914, (1891, 1) = 20.59644309910734, (1891, 2) = 0.50326555260101886e-1, (1891, 3) = -.5825896780165233, (1892, 1) = 20.59651092128534, (1892, 2) = 0.49535211903996075e-1, (1892, 3) = -.5825888567574086, (1893, 1) = 20.59657759073466, (1893, 2) = 0.4874479988336369e-1, (1893, 3) = -.5825880494749529, (1894, 1) = 20.59664311142268, (1894, 2) = 0.4795531699393402e-1, (1894, 3) = -.5825872561208705, (1895, 1) = 20.59670748729981, (1895, 2) = 0.4716676103923851e-1, (1895, 3) = -.5825864766470864, (1896, 1) = 20.596770722299638, (1896, 2) = 0.46379129830574586e-1, (1896, 3) = -.5825857110057325, (1897, 1) = 20.596832820339014, (1897, 2) = 0.455924211869685e-1, (1897, 3) = -.5825849591491497, (1898, 1) = 20.5968937853181, (1898, 2) = 0.4480663293513974e-1, (1898, 3) = -.5825842210298829, (1899, 1) = 20.5969536211206, (1899, 2) = 0.4402176290834569e-1, (1899, 3) = -.5825834966006826, (1900, 1) = 20.597012331614465, (1900, 2) = 0.43237808937158506e-1, (1900, 3) = -.5825827858144935, (1901, 1) = 20.59706992065056, (1901, 2) = 0.4245476886830561e-1, (1901, 3) = -.5825820886244698, (1902, 1) = 20.597126392063252, (1902, 2) = 0.41672640559088196e-1, (1902, 3) = -.5825814049839729, (1903, 1) = 20.597181749670625, (1903, 2) = 0.4089142187432078e-1, (1903, 3) = -.5825807348465631, (1904, 1) = 20.597235997274655, (1904, 2) = 0.40111110686295616e-1, (1904, 3) = -.5825800781659995, (1905, 1) = 20.597289138661253, (1905, 2) = 0.3933170487474866e-1, (1905, 3) = -.5825794348962414, (1906, 1) = 20.597341177600374, (1906, 2) = 0.38553202326825575e-1, (1906, 3) = -.5825788049914445, (1907, 1) = 20.59739211784605, (1907, 2) = 0.377756009370458e-1, (1907, 3) = -.5825781884059608, (1908, 1) = 20.597441963136543, (1908, 2) = 0.3699889860726949e-1, (1908, 3) = -.5825775850943373, (1909, 1) = 20.59749071719459, (1909, 2) = 0.36223093243489615e-1, (1909, 3) = -.5825769950113138, (1910, 1) = 20.597538383727716, (1910, 2) = 0.3544818275124513e-1, (1910, 3) = -.582576418111817, (1911, 1) = 20.597584966427238, (1911, 2) = 0.3467416505344319e-1, (1911, 3) = -.5825758543509739, (1912, 1) = 20.59763046896895, (1912, 2) = 0.3390103808112818e-1, (1912, 3) = -.5825753036841036, (1913, 1) = 20.597674895013245, (1913, 2) = 0.33128799772515066e-1, (1913, 3) = -.5825747660667147, (1914, 1) = 20.5977182482052, (1914, 2) = 0.3235744807295663e-1, (1914, 3) = -.5825742414545059, (1915, 1) = 20.59776053217465, (1915, 2) = 0.315869809349115e-1, (1915, 3) = -.5825737298033629, (1916, 1) = 20.59780175053626, (1916, 2) = 0.30817396317909918e-1, (1916, 3) = -.5825732310693599, (1917, 1) = 20.597841906889645, (1917, 2) = 0.30048692188523674e-1, (1917, 3) = -.5825727452087568, (1918, 1) = 20.597881004819417, (1918, 2) = 0.2928086652033143e-1, (1918, 3) = -.5825722721779965, (1919, 1) = 20.597919047895545, (1919, 2) = 0.28513917287734364e-1, (1919, 3) = -.5825718119337057, (1920, 1) = 20.59795603967322, (1920, 2) = 0.27747842469960662e-1, (1920, 3) = -.5825713644326921, (1921, 1) = 20.597991983692484, (1921, 2) = 0.26982640061526685e-1, (1921, 3) = -.5825709296319497, (1922, 1) = 20.598026883478596, (1922, 2) = 0.26218308063876043e-1, (1922, 3) = -.5825705074886552, (1923, 1) = 20.598060742542284, (1923, 2) = 0.25454844485301213e-1, (1923, 3) = -.5825700979601663, (1924, 1) = 20.598093564379678, (1924, 2) = 0.24692247340910776e-1, (1924, 3) = -.5825697010040181, (1925, 1) = 20.598125352472476, (1925, 2) = 0.23930514652599006e-1, (1925, 3) = -.582569316577926, (1926, 1) = 20.598156110287956, (1926, 2) = 0.2316964444901524e-1, (1926, 3) = -.582568944639781, (1927, 1) = 20.598185841279093, (1927, 2) = 0.22409634765533093e-1, (1927, 3) = -.5825685851476534, (1928, 1) = 20.598214548884613, (1928, 2) = 0.21650483643967607e-1, (1928, 3) = -.582568238059785, (1929, 1) = 20.59824223652942, (1929, 2) = 0.20892189123851972e-1, (1929, 3) = -.5825679033345935, (1930, 1) = 20.59826890762407, (1930, 2) = 0.20134749256040203e-1, (1930, 3) = -.5825675809306694, (1931, 1) = 20.598294565564938, (1931, 2) = 0.19378162102647555e-1, (1931, 3) = -.5825672708067788, (1932, 1) = 20.598319213734428, (1932, 2) = 0.18622425732361857e-1, (1932, 3) = -.5825669729218611, (1933, 1) = 20.598342855501073, (1933, 2) = 0.1786753822041335e-1, (1933, 3) = -.5825666872350264, (1934, 1) = 20.59836549421958, (1934, 2) = 0.17113497648545997e-1, (1934, 3) = -.5825664137055535, (1935, 1) = 20.598387133230908, (1935, 2) = 0.16360302104987765e-1, (1935, 3) = -.5825661522928922, (1936, 1) = 20.59840777586236, (1936, 2) = 0.15607949684422114e-1, (1936, 3) = -.5825659029566614, (1937, 1) = 20.598427425427644, (1937, 2) = 0.14856438487958153e-1, (1937, 3) = -.5825656656566465, (1938, 1) = 20.598446085226904, (1938, 2) = 0.14105766621660082e-1, (1938, 3) = -.5825654403527991, (1939, 1) = 20.598463758547094, (1939, 2) = 0.13355932189230087e-1, (1939, 3) = -.5825652270052335, (1940, 1) = 20.59848044866147, (1940, 2) = 0.12606933309023637e-1, (1940, 3) = -.5825650255742354, (1941, 1) = 20.598496158829953, (1941, 2) = 0.11858768107707779e-1, (1941, 3) = -.5825648360202516, (1942, 1) = 20.598510892299156, (1942, 2) = 0.11111434718232688e-1, (1942, 3) = -.5825646583038938, (1943, 1) = 20.598524652302565, (1943, 2) = 0.1036493127980356e-1, (1943, 3) = -.5825644923859358, (1944, 1) = 20.598537442060426, (1944, 2) = 0.9619255937851531e-2, (1944, 3) = -.5825643382273141, (1945, 1) = 20.598549264780043, (1945, 2) = 0.8874406844007091e-2, (1945, 3) = -.5825641957891249, (1946, 1) = 20.59856012365563, (1946, 2) = 0.8130382156072051e-2, (1946, 3) = -.5825640650326249, (1947, 1) = 20.598570021868507, (1947, 2) = 0.73871800379924895e-2, (1947, 3) = -.5825639459192301, (1948, 1) = 20.598578962587172, (1948, 2) = 0.6644798656313258e-2, (1948, 3) = -.5825638384105141, (1949, 1) = 20.59858694896735, (1949, 2) = 0.5903236178042973e-2, (1949, 3) = -.582563742468207, (1950, 1) = 20.598593984151886, (1950, 2) = 0.5162490785048567e-2, (1950, 3) = -.5825636580541991, (1951, 1) = 20.598600071270962, (1951, 2) = 0.4422560665716391e-2, (1951, 3) = -.582563585130536, (1952, 1) = 20.598605213442138, (1952, 2) = 0.3683444014440907e-2, (1952, 3) = -.5825635236594168, (1953, 1) = 20.59860941377043, (1953, 2) = 0.29451390315987057e-2, (1953, 3) = -.5825634736031975, (1954, 1) = 20.59861267534836, (1954, 2) = 0.2207643923522031e-2, (1954, 3) = -.5825634349243857, (1955, 1) = 20.598615001256064, (1955, 2) = 0.14709569024722758e-2, (1955, 3) = -.5825634075856441, (1956, 1) = 20.598616394561244, (1956, 2) = 0.7350761866145509e-3, (1956, 3) = -.5825633915497845, (1957, 1) = 20.59861685831936, (1957, 2) = .0, (1957, 3) = -.5825633867797726}, datatype = float[8], order = C_order); YP := Matrix(1957, 3, {(1, 1) = .0, (1, 2) = 1652.0328791655768, (1, 3) = -209937.0188933394, (2, 1) = 1.9146552521461992, (2, 2) = 1381.8757650221012, (2, 3) = -221663.47589789648, (3, 1) = 3.476062665624943, (3, 2) = 1090.6708199728403, (3, 3) = -238852.9190820739, (4, 1) = 4.66019204710641, (4, 2) = 787.5690423219288, (4, 3) = -237116.26669570946, (5, 1) = 5.47146980271761, (5, 2) = 505.95533898027367, (5, 3) = -204374.65222504307, (6, 1) = 5.960887729053191, (6, 2) = 282.0665822935489, (6, 3) = -148369.76350516945, (7, 1) = 6.214695193503329, (7, 2) = 132.89570827255085, (7, 3) = -89449.32203328445, (8, 1) = 6.324298320427456, (8, 2) = 50.38616547512059, (8, 3) = -44503.60799809749, (9, 1) = 6.360593107747828, (9, 2) = 12.6895847652955, (9, 3) = -18172.970613345973, (10, 1) = 6.366100974953985, (10, 2) = -1.418164853243008, (10, 3) = -5990.295734081455, (11, 1) = 6.361081800836295, (11, 2) = -5.609038155709993, (11, 3) = -1477.7814232087144, (12, 1) = 6.353307795531636, (12, 2) = -6.446184099643742, (12, 3) = -142.30669423978702, (13, 1) = 6.345179178904462, (13, 2) = -6.384154302666129, (13, 3) = 158.7720489420986, (14, 1) = 6.337271126533362, (14, 2) = -6.150482737494599, (14, 3) = 194.1166714397284, (15, 1) = 6.329665933253567, (15, 2) = -5.914097023721733, (15, 3) = 178.33435142645098, (16, 1) = 6.32234396902743, (16, 2) = -5.702132142746637, (16, 3) = 158.11380999925913, (17, 1) = 6.315273873050254, (17, 2) = -5.514045013990423, (17, 3) = 140.71931258870882, (18, 1) = 6.30842797666957, (18, 2) = -5.345937462506289, (18, 3) = 126.33410277838483, (19, 1) = 6.301783316100545, (19, 2) = -5.194401058793858, (19, 3) = 114.33797440885073, (20, 1) = 6.295320742615864, (20, 2) = -5.05677289931709, (20, 3) = 104.2012225226141, (21, 1) = 6.2890240832645645, (21, 2) = -4.93096722801539, (21, 3) = 95.53303369199767, (22, 1) = 6.282879514066236, (22, 2) = -4.815323226514059, (22, 3) = 88.04419920947304, (23, 1) = 6.276875095996, (23, 2) = -4.708497474342716, (23, 3) = 81.51640086482094, (24, 1) = 6.271000425079112, (24, 2) = -4.609388372321973, (24, 3) = 75.78168797809332, (25, 1) = 6.2652463632739455, (25, 2) = -4.517081853338465, (25, 3) = 70.70872055019204, (26, 1) = 6.2596048280595165, (26, 2) = -4.430811530191452, (26, 3) = 66.19331268928322, (27, 1) = 6.2540686278330835, (27, 2) = -4.34992891586239, (27, 3) = 62.15177629621232, (28, 1) = 6.248631326065719, (28, 2) = -4.2738807200361135, (28, 3) = 58.51613322307514, (29, 1) = 6.2432871332200675, (29, 2) = -4.20219136569151, (29, 3) = 55.23061226337813, (30, 1) = 6.2380308185226365, (30, 2) = -4.134449327591535, (30, 3) = 52.24904345336286, (31, 1) = 6.232857634735667, (31, 2) = -4.07029630101403, (31, 3) = 49.53289054083344, (32, 1) = 6.227763257202543, (32, 2) = -4.009418571771668, (32, 3) = 47.04974820194327, (33, 1) = 6.22274373302986, (33, 2) = -3.95154005848754, (33, 3) = 44.77217999215322, (34, 1) = 6.217795436799169, (34, 2) = -3.8964166355986074, (34, 3) = 42.67680948676365, (35, 1) = 6.212915033294554, (35, 2) = -3.843831482825408, (35, 3) = 40.743603264959546, (36, 1) = 6.208099445566098, (36, 2) = -3.7935912426913614, (36, 3) = 38.95529997366068, (37, 1) = 6.20334582741694, (37, 2) = -3.7455228240544143, (37, 3) = 37.29695195530172, (38, 1) = 6.198651539581552, (38, 2) = -3.699470726226031, (38, 3) = 35.755554421276145, (39, 1) = 6.1940141290029835, (39, 2) = -3.655294785708912, (39, 3) = 34.319743316474394, (40, 1) = 6.189431310726767, (40, 2) = -3.61286826838284, (40, 3) = 32.97954752093635, (41, 1) = 6.184900952017666, (41, 2) = -3.572076245890509, (41, 3) = 31.72618435042357, (42, 1) = 6.18042105802784, (42, 2) = -3.5328142042406547, (42, 3) = 30.551889726964863, (43, 1) = 6.175989759840632, (43, 2) = -3.494986854939419, (43, 3) = 29.449776637523794, (44, 1) = 6.171605304301146, (44, 2) = -3.4585071125106386, (44, 3) = 28.41371647595679, (45, 1) = 6.167266042806563, (45, 2) = -3.4232951907538456, (45, 3) = 27.43823850457185, (46, 1) = 6.162970423148149, (46, 2) = -3.3892778327970436, (46, 3) = 26.518445186152388, (47, 1) = 6.158716981779321, (47, 2) = -3.3563876354530624, (47, 3) = 25.64994006438558, (48, 1) = 6.1545043373508435, (48, 2) = -3.3245624611269458, (48, 3) = 24.82876626539936, (49, 1) = 6.150331182834082, (49, 2) = -3.293744905743477, (49, 3) = 24.051353382323263, (50, 1) = 6.146196280921816, (50, 2) = -3.26388184906259, (50, 3) = 23.314472273653784, (51, 1) = 6.142098459101132, (51, 2) = -3.234924051079847, (51, 3) = 22.615195861597922, (52, 1) = 6.138036604692212, (52, 2) = -3.2068257908024167, (52, 3) = 21.950865084127674, (53, 1) = 6.134009660616544, (53, 2) = -3.1795445473171937, (53, 3) = 21.31905935666238, (54, 1) = 6.130016621544656, (54, 2) = -3.153040715658208, (54, 3) = 20.717570819438137, (55, 1) = 6.1260565303816845, (55, 2) = -3.1272773530507774, (55, 3) = 20.144381819508382, (56, 1) = 6.122128475055844, (56, 2) = -3.102219951758156, (56, 3) = 19.59764516862954, (57, 1) = 6.118231585550077, (57, 2) = -3.0778362351093365, (57, 3) = 19.075666783732284, (58, 1) = 6.114365030745584, (58, 2) = -3.0540959714782225, (58, 3) = 18.576890329376045, (59, 1) = 6.11052801723867, (59, 2) = -3.0309708171851, (59, 3) = 18.099883869720966, (60, 1) = 6.106719786237912, (60, 2) = -3.008434162170245, (60, 3) = 17.64332777855731, (61, 1) = 6.1029396112157475, (61, 2) = -2.986460993773385, (61, 3) = 17.20600408576771, (62, 1) = 6.099186796232928, (62, 2) = -2.965027776200467, (62, 3) = 16.786787054369302, (63, 1) = 6.095460674150228, (63, 2) = -2.944112339643578, (63, 3) = 16.38463475065476, (64, 1) = 6.091760604970707, (64, 2) = -2.92369377943623, (64, 3) = 15.998581512707828, (65, 1) = 6.088085974389836, (65, 2) = -2.903752364663692, (65, 3) = 15.627731215109977, (66, 1) = 6.084436192728461, (66, 2) = -2.8842694562237416, (66, 3) = 15.271251258312203, (67, 1) = 6.080810692161664, (67, 2) = -2.8652274225345327, (67, 3) = 14.928366991641699, (68, 1) = 6.077208926791676, (68, 2) = -2.8466095765837127, (68, 3) = 14.598356957711767, (69, 1) = 6.07363037135686, (69, 2) = -2.8284001108611583, (69, 3) = 14.280548464880106, (70, 1) = 6.070074520001881, (70, 2) = -2.810584037574359, (70, 3) = 13.974313590051093, (71, 1) = 6.066540885277362, (71, 2) = -2.793147134493486, (71, 3) = 13.67906557545435, (72, 1) = 6.063028997200141, (72, 2) = -2.7760758950984954, (72, 3) = 13.39425556615897, (73, 1) = 6.059538402233705, (73, 2) = -2.759357481984407, (73, 3) = 13.119369634988322, (74, 1) = 6.056068662394491, (74, 2) = -2.742979684215854, (74, 3) = 12.853926090839433, (75, 1) = 6.052619355558644, (75, 2) = -2.7269308832547807, (75, 3) = 12.597473107734348, (76, 1) = 6.049190073492816, (76, 2) = -2.711200010830909, (76, 3) = 12.349586398426462, (77, 1) = 6.045780421515482, (77, 2) = -2.695776517123072, (77, 3) = 12.109867203063278, (78, 1) = 6.042390017929428, (78, 2) = -2.6806503400665607, (78, 3) = 11.87794043796578, (79, 1) = 6.039018493424982, (79, 2) = -2.6658118765868344, (79, 3) = 11.653452989835237, (80, 1) = 6.035665490523924, (80, 2) = -2.6512519559115217, (80, 3) = 11.436072161348708, (81, 1) = 6.03233066304206, (81, 2) = -2.6369618147046663, (81, 3) = 11.225484239045818, (82, 1) = 6.029013675589112, (82, 2) = -2.622933073960856, (82, 3) = 11.021393181525879, (83, 1) = 6.025714203243766, (83, 2) = -2.6091577180961063, (83, 3) = 10.823519422758093, (84, 1) = 6.022431931236275, (84, 2) = -2.5956280753758922, (84, 3) = 10.631598769051962, (85, 1) = 6.019166553360999, (85, 2) = -2.5823367944138433, (85, 3) = 10.445381307486977, (86, 1) = 6.015917772879205, (86, 2) = -2.5692768321199706, (86, 3) = 10.264630543001106, (87, 1) = 6.01268530181874, (87, 2) = -2.556441435984486, (87, 3) = 10.089122508082593, (88, 1) = 6.0094688605379245, (88, 2) = -2.54382412846843, (88, 3) = 9.91864495291347, (89, 1) = 6.00626817738888, (89, 2) = -2.531418692704075, (89, 3) = 9.752996604067068, (90, 1) = 6.003082988130501, (90, 2) = -2.5192191580774486, (90, 3) = 9.591986460852059, (91, 1) = 5.99991303604269, (91, 2) = -2.5072197892946706, (91, 3) = 9.435433181814261, (92, 1) = 5.996758071985384, (92, 2) = -2.4954150758473586, (92, 3) = 9.283164507796746, (93, 1) = 5.993617853245436, (93, 2) = -2.4837997176002893, (93, 3) = 9.135016669775675, (94, 1) = 5.990492143646906, (94, 2) = -2.4723686158160385, (94, 3) = 8.990833897608153, (95, 1) = 5.987380713311361, (95, 2) = -2.4611168634001395, (95, 3) = 8.850467947844237, (96, 1) = 5.98428333842197, (96, 2) = -2.4500397356918566, (96, 3) = 8.713777660486507, (97, 1) = 5.9811998009988985, (97, 2) = -2.4391326817920205, (97, 3) = 8.58062854981479, (98, 1) = 5.978129888685299, (98, 2) = -2.4283913163910142, (98, 3) = 8.45089242089386, (99, 1) = 5.975073394546551, (99, 2) = -2.4178114120742142, (99, 3) = 8.324447012440043, (100, 1) = 5.972030116878856, (100, 2) = -2.4073888920618303, (100, 3) = 8.201175664020631, (101, 1) = 5.968999859217288, (101, 2) = -2.397119823996558, (101, 3) = 8.08096701157455, (102, 1) = 5.965982430015329, (102, 2) = -2.387000412946729, (102, 3) = 7.963714691351432, (103, 1) = 5.962977641704867, (103, 2) = -2.3770269927237297, (103, 3) = 7.849317036161757, (104, 1) = 5.95998531160612, (104, 2) = -2.3671960237092544, (104, 3) = 7.737676865225819, (105, 1) = 5.957005261121564, (105, 2) = -2.3575040851998086, (105, 3) = 7.628701218412978, (106, 1) = 5.954037316595756, (106, 2) = -2.3479478734876285, (106, 3) = 7.5223011713213355, (107, 1) = 5.95108130824967, (107, 2) = -2.3385241938934245, (107, 3) = 7.418391588122703, (108, 1) = 5.948137070135266, (108, 2) = -2.3292299564192933, (108, 3) = 7.316890930570981, (109, 1) = 5.945204440132894, (109, 2) = -2.3200621717398717, (109, 3) = 7.217721076973531, (110, 1) = 5.942283259821079, (110, 2) = -2.311017946985703, (110, 3) = 7.120807146967976, (111, 1) = 5.939373374348344, (111, 2) = -2.3020944817308755, (111, 3) = 7.0260773400447665, (112, 1) = 5.936474632326634, (112, 2) = -2.2932890642327677, (112, 3) = 6.933462779406478, (113, 1) = 5.933586885721727, (113, 2) = -2.2845990678355905, (113, 3) = 6.842897369322079, (114, 1) = 5.930709989748026, (114, 2) = -2.2760219475510755, (114, 3) = 6.754317657739536, (115, 1) = 5.9278438027675495, (115, 2) = -2.2675552368062313, (115, 3) = 6.667662707921387, (116, 1) = 5.924988186192971, (116, 2) = -2.2591965443482915, (116, 3) = 6.5828739767591635, (117, 1) = 5.9221430043944245, (117, 2) = -2.2509435512983877, (117, 3) = 6.499895202075098, (118, 1) = 5.919308124610447, (118, 2) = -2.242794008346546, (118, 3) = 6.418672292411758, (119, 1) = 5.916483417155086, (119, 2) = -2.234745733909237, (119, 3) = 6.339153235417413, (120, 1) = 5.913668754653405, (120, 2) = -2.226796609627033, (120, 3) = 6.261287980206856, (121, 1) = 5.9108640118949465, (121, 2) = -2.2189445777956514, (121, 3) = 6.185028347512824, (122, 1) = 5.908069067112131, (122, 2) = -2.2111876428454527, (122, 3) = 6.110327979268729, (123, 1) = 5.905283800672667, (123, 2) = -2.203523865638823, (123, 3) = 6.037142222512122, (124, 1) = 5.902508095324792, (124, 2) = -2.1959513622559554, (124, 3) = 5.965428062186261, (125, 1) = 5.899741836146032, (125, 2) = -2.188468302024161, (125, 3) = 5.895144048060703, (126, 1) = 5.896984910477207, (126, 2) = -2.1810729055884917, (126, 3) = 5.8262502253392805, (127, 1) = 5.894237207858807, (127, 2) = -2.173763443067436, (127, 3) = 5.758708069566593, (128, 1) = 5.891498619972251, (128, 2) = -2.1665382322958266, (128, 3) = 5.692480423561026, (129, 1) = 5.8887690405905495, (129, 2) = -2.159395637163025, (129, 3) = 5.627531439750322, (130, 1) = 5.886048365496941, (130, 2) = -2.1523340659340695, (130, 3) = 5.563826522031678, (131, 1) = 5.883336492439404, (131, 2) = -2.1453519697298318, (131, 3) = 5.501332274644002, (132, 1) = 5.8806333210797535, (132, 2) = -2.138447841052686, (132, 3) = 5.440016450007862, (133, 1) = 5.87793875294229, (133, 2) = -2.131620212368386, (133, 3) = 5.379847901253415, (134, 1) = 5.875252691330851, (134, 2) = -2.124867654663498, (134, 3) = 5.320796535303039, (135, 1) = 5.8725750410047866, (135, 2) = -2.118188775459944, (135, 3) = 5.262833264962541, (136, 1) = 5.869905709028272, (136, 2) = -2.111582219803254, (136, 3) = 5.205929985631844, (137, 1) = 5.8672446040330986, (137, 2) = -2.105046667313921, (137, 3) = 5.1500595202930715, (138, 1) = 5.864591636444744, (138, 2) = -2.098580831701887, (138, 3) = 5.095195589560673, (139, 1) = 5.861946718024315, (139, 2) = -2.092183458645504, (139, 3) = 5.041312765029196, (140, 1) = 5.8593097617092305, (140, 2) = -2.085853324471273, (140, 3) = 4.988386434576313, (141, 1) = 5.856680682269325, (141, 2) = -2.079589236819628, (141, 3) = 4.936392784282501, (142, 1) = 5.854059395947771, (142, 2) = -2.0733900328811794, (142, 3) = 4.88530875974149, (143, 1) = 5.851445820422087, (143, 2) = -2.0672545784515535, (143, 3) = 4.835112037346199, (144, 1) = 5.84883987476859, (144, 2) = -2.0611817670279864, (144, 3) = 4.785780995789258, (145, 1) = 5.846241479427939, (145, 2) = -2.055170518940728, (145, 3) = 4.737294689410853, (146, 1) = 5.843650556171752, (146, 2) = -2.0492197805175447, (146, 3) = 4.689632822328393, (147, 1) = 5.841067028070303, (147, 2) = -2.0433285232799805, (147, 3) = 4.642775723170424, (148, 1) = 5.838490819474692, (148, 2) = -2.0374957432003273, (148, 3) = 4.596704323368401, (149, 1) = 5.835921855970993, (149, 2) = -2.0317204599211878, (149, 3) = 4.551400133376476, (150, 1) = 5.833360064206767, (150, 2) = -2.0260017157183743, (150, 3) = 4.506845219085098, (151, 1) = 5.830805371928848, (151, 2) = -2.020338574968215, (151, 3) = 4.463022182409725, (152, 1) = 5.828257708575108, (152, 2) = -2.014730124847069, (152, 3) = 4.419914152772324, (153, 1) = 5.825717004410727, (153, 2) = -2.0091754728260662, (153, 3) = 4.377504752883324, (154, 1) = 5.823183190770669, (154, 2) = -2.0036737466569643, (154, 3) = 4.3357780862018505, (155, 1) = 5.8206562000724436, (155, 2) = -1.998224093860528, (155, 3) = 4.294718720319498, (156, 1) = 5.818135966117495, (156, 2) = -1.9928256818472507, (156, 3) = 4.25431167533377, (157, 1) = 5.815622423255624, (157, 2) = -1.9874776956181024, (157, 3) = 4.2145423956444015, (158, 1) = 5.813115506761993, (158, 2) = -1.982179338106988, (158, 3) = 4.175396740525782, (159, 1) = 5.81061515310337, (159, 2) = -1.9769298302742317, (159, 3) = 4.136860974474229, (160, 1) = 5.808121299697029, (160, 2) = -1.9717284101378396, (160, 3) = 4.098921750234144, (161, 1) = 5.805633884895562, (161, 2) = -1.9665743323057203, (161, 3) = 4.061566095366263, (162, 1) = 5.803152847966173, (162, 2) = -1.961466867511348, (162, 3) = 4.024781398671471, (163, 1) = 5.800678129036949, (163, 2) = -1.9564053020967154, (163, 3) = 3.9885553987314224, (164, 1) = 5.798209668836224, (164, 2) = -1.951388937092912, (164, 3) = 3.9528761673169917, (165, 1) = 5.795747409485525, (165, 2) = -1.9464170894533603, (165, 3) = 3.9177321103680227, (166, 1) = 5.793291293830979, (166, 2) = -1.9414890903142143, (166, 3) = 3.8831119482787506, (167, 1) = 5.790841265427183, (167, 2) = -1.9366042846143408, (167, 3) = 3.849004704490087, (168, 1) = 5.788397268647875, (168, 2) = -1.9317620309771621, (168, 3) = 3.8153996976524756, (169, 1) = 5.785959248632499, (169, 2) = -1.9269617012724076, (169, 3) = 3.7822865316228196, (170, 1) = 5.783527151286314, (170, 2) = -1.9222026802958747, (170, 3) = 3.749655085839563, (171, 1) = 5.781100923266672, (171, 2) = -1.9174843654318527, (171, 3) = 3.7174955074321385, (172, 1) = 5.778680511967268, (172, 2) = -1.9128061663217104, (172, 3) = 3.685798201482689, (173, 1) = 5.776265865535476, (173, 2) = -1.908167504605639, (173, 3) = 3.6545538248536427, (174, 1) = 5.773856933145518, (174, 2) = -1.9035678141586703, (174, 3) = 3.623753279414805, (175, 1) = 5.7714536640662, (175, 2) = -1.899006539035133, (175, 3) = 3.5933876944886234, (176, 1) = 5.769056008343184, (176, 2) = -1.8944831345215374, (176, 3) = 3.56344842849275, (177, 1) = 5.766663916842127, (177, 2) = -1.8899970669550907, (177, 3) = 3.5339270616776868, (178, 1) = 5.764277340916454, (178, 2) = -1.8855478128490304, (178, 3) = 3.5048153850805805, (179, 1) = 5.7618962325917655, (179, 2) = -1.8811348590016066, (179, 3) = 3.476105397940664, (180, 1) = 5.759520544914288, (180, 2) = -1.8767577029010338, (180, 3) = 3.447789304368249, (181, 1) = 5.757150231271227, (181, 2) = -1.8724158512367117, (181, 3) = 3.4198594990949394, (182, 1) = 5.754785245639776, (182, 2) = -1.8681088201469251, (182, 3) = 3.392308565556106, (183, 1) = 5.752425542584878, (183, 2) = -1.8638361350027421, (183, 3) = 3.365129269248342, (184, 1) = 5.750071077247675, (184, 2) = -1.859597330181133, (184, 3) = 3.3383145536756254, (185, 1) = 5.747721805334192, (185, 2) = -1.8553919488448674, (185, 3) = 3.3118575335252958, (186, 1) = 5.74537768310467, (186, 2) = -1.8512195427295013, (186, 3) = 3.2857514906856293, (187, 1) = 5.743038667384207, (187, 2) = -1.8470796719739284, (187, 3) = 3.259989869064998, (188, 1) = 5.740704715522624, (188, 2) = -1.842971904866192, (188, 3) = 3.2345662699575004, (189, 1) = 5.738375785379055, (189, 2) = -1.8388958176395631, (189, 3) = 3.209474446034055, (190, 1) = 5.736051835325034, (190, 2) = -1.8348509943064664, (190, 3) = 3.1847082991061915, (191, 1) = 5.73373282430186, (191, 2) = -1.8308370265901996, (191, 3) = 3.16026187496527, (192, 1) = 5.7314187119636735, (192, 2) = -1.8268535140050959, (192, 3) = 3.1361293617746404, (193, 1) = 5.729109457574927, (193, 2) = -1.8229000618061872, (193, 3) = 3.1123050737559157, (194, 1) = 5.726805021595408, (194, 2) = -1.8189762835682188, (194, 3) = 3.0887834646909544, (195, 1) = 5.724505364916487, (195, 2) = -1.8150817997132056, (195, 3) = 3.06555911654832, (196, 1) = 5.722210448789985, (196, 2) = -1.811216237248103, (196, 3) = 3.0426267335925155, (197, 1) = 5.719920234942051, (197, 2) = -1.8073792298188178, (197, 3) = 3.0199811428590775, (198, 1) = 5.717634685518084, (198, 2) = -1.803570417480954, (198, 3) = 2.997617287311765, (199, 1) = 5.7153537630890066, (199, 2) = -1.7997894465781732, (199, 3) = 2.9755302255256013, (200, 1) = 5.713077430650023, (200, 2) = -1.7960359696113752, (200, 3) = 2.953715126394388, (201, 1) = 5.710805651612892, (201, 2) = -1.7923096451003666, (201, 3) = 2.9321672670674293, (202, 1) = 5.708538389798341, (202, 2) = -1.7886101374493384, (202, 3) = 2.910882030460122, (203, 1) = 5.706275609428641, (203, 2) = -1.784937116815986, (203, 3) = 2.889854901130856, (204, 1) = 5.704017275120377, (204, 2) = -1.781290258984284, (204, 3) = 2.869081464141382, (205, 1) = 5.701763351877056, (205, 2) = -1.7776692452400362, (205, 3) = 2.848557399726168, (206, 1) = 5.699513804884339, (206, 2) = -1.7740737619350297, (206, 3) = 2.828278482494147, (207, 1) = 5.697268599916931, (207, 2) = -1.770503501033834, (207, 3) = 2.8082405797565633, (208, 1) = 5.69502770332508, (208, 2) = -1.7669581599799937, (208, 3) = 2.7884396504911977, (209, 1) = 5.692791081707858, (209, 2) = -1.7634374410737024, (209, 3) = 2.768871739661518, (210, 1) = 5.690558702158185, (210, 2) = -1.7599410517609093, (210, 3) = 2.749532977682581, (211, 1) = 5.688330531538575, (211, 2) = -1.7564687034063282, (211, 3) = 2.730419572545066, (212, 1) = 5.686106537337006, (212, 2) = -1.753020112546482, (212, 3) = 2.711527815616765, (213, 1) = 5.683886687418377, (213, 2) = -1.7495950004053247, (213, 3) = 2.6928540759597808, (214, 1) = 5.6816709499774545, (214, 2) = -1.7461930927319882, (214, 3) = 2.6743947999906803, (215, 1) = 5.679459293533094, (215, 2) = -1.7428141197058982, (215, 3) = 2.6561465076067106, (216, 1) = 5.677251686942779, (216, 2) = -1.7394578158746774, (216, 3) = 2.6381057918723987, (217, 1) = 5.675048099382309, (217, 2) = -1.736123920041005, (217, 3) = 2.620269315743312, (218, 1) = 5.672848500310911, (218, 2) = -1.7328121751301644, (218, 3) = 2.6026338115893632, (219, 1) = 5.670652859407827, (219, 2) = -1.7295223280184413, (219, 3) = 2.585196077438357, (220, 1) = 5.668461146517656, (220, 2) = -1.7262541293788531, (220, 3) = 2.5679529760290896, (221, 1) = 5.6662733322513725, (221, 2) = -1.7230073345017434, (221, 3) = 2.550901438017269, (222, 1) = 5.66408938728537, (222, 2) = -1.7197817021730382, (222, 3) = 2.534038453434732, (223, 1) = 5.661909282539989, (223, 2) = -1.716576994873566, (223, 3) = 2.517361073612955, (224, 1) = 5.659732989213105, (224, 2) = -1.7133929787609814, (224, 3) = 2.500866408533733, (225, 1) = 5.657560478776598, (225, 2) = -1.710229423597693, (225, 3) = 2.484551625904243, (226, 1) = 5.65539172300184, (226, 2) = -1.7070861027224382, (226, 3) = 2.4684139501024878, (227, 1) = 5.653226694074135, (227, 2) = -1.703962793150311, (227, 3) = 2.4524506612319716, (228, 1) = 5.651065364409886, (228, 2) = -1.7008592752437064, (228, 3) = 2.436659093160824, (229, 1) = 5.648907706221496, (229, 2) = -1.697775332032326, (229, 3) = 2.421036628646817, (230, 1) = 5.646753692263811, (230, 2) = -1.6947107502286707, (230, 3) = 2.405580703138465, (231, 1) = 5.644603295552859, (231, 2) = -1.6916653197632034, (231, 3) = 2.39028880248776, (232, 1) = 5.64245648933224, (232, 2) = -1.6886388336802753, (232, 3) = 2.3751584610888856, (233, 1) = 5.640313246849317, (233, 2) = -1.6856310877701728, (233, 3) = 2.3601872592604503, (234, 1) = 5.638173541978599, (234, 2) = -1.682641881391732, (234, 3) = 2.345372825963779, (235, 1) = 5.636037348813102, (235, 2) = -1.679671016840383, (235, 3) = 2.330712836034758, (236, 1) = 5.633904641581443, (236, 2) = -1.6767182991828535, (236, 3) = 2.316205007555537, (237, 1) = 5.631775394704577, (237, 2) = -1.6737835362880211, (237, 3) = 2.3018471014526907, (238, 1) = 5.629649582816445, (238, 2) = -1.6708665388073007, (238, 3) = 2.2876369213995336, (239, 1) = 5.627527180767106, (239, 2) = -1.6679671201313204, (239, 3) = 2.2735723115088966, (240, 1) = 5.625408163619222, (240, 2) = -1.6650850963384958, (240, 3) = 2.259651156793329, (241, 1) = 5.623292506644597, (241, 2) = -1.6622202861447963, (241, 3) = 2.2458713813522717, (242, 1) = 5.621180185320803, (242, 2) = -1.6593725108546291, (242, 3) = 2.232230948157514, (243, 1) = 5.619071175327836, (243, 2) = -1.6565415943128345, (243, 3) = 2.218727857311445, (244, 1) = 5.616965452545041, (244, 2) = -1.6537273628580342, (244, 3) = 2.205360145797121, (245, 1) = 5.614862993293312, (245, 2) = -1.6509296456026346, (245, 3) = 2.1921258883991324, (246, 1) = 5.612763773755767, (246, 2) = -1.64814827361923, (246, 3) = 2.179023192624628, (247, 1) = 5.610667770049588, (247, 2) = -1.6453830800048974, (247, 3) = 2.1660501989117438, (248, 1) = 5.608574959050236, (248, 2) = -1.6426339009298827, (248, 3) = 2.1532050846771917, (249, 1) = 5.606485317594049, (249, 2) = -1.639900574542703, (249, 3) = 2.1404860586819416, (250, 1) = 5.604398822690977, (250, 2) = -1.6371829412157568, (250, 3) = 2.127891362472184, (251, 1) = 5.60231545152882, (251, 2) = -1.6344808435146354, (251, 3) = 2.1154192681436097, (252, 1) = 5.600235181470396, (252, 2) = -1.6317941261589632, (252, 3) = 2.1030680794767247, (253, 1) = 5.598157990050733, (253, 2) = -1.6291226359840023, (253, 3) = 2.0908361290232906, (254, 1) = 5.596083854974375, (254, 2) = -1.6264662219031962, (254, 3) = 2.0787217800940927, (255, 1) = 5.594012754143375, (255, 2) = -1.6238247349105293, (255, 3) = 2.0667234241427357, (256, 1) = 5.59194466562156, (256, 2) = -1.6211980280018585, (256, 3) = 2.054839480927888, (257, 1) = 5.589879567607117, (257, 2) = -1.6185859561085185, (257, 3) = 2.04306839796876, (258, 1) = 5.58781743845717, (258, 2) = -1.6159883760977845, (258, 3) = 2.031408648921902, (259, 1) = 5.585758256635837, (259, 2) = -1.6134051466772732, (259, 3) = 2.0198587346599086, (260, 1) = 5.58370200058651, (260, 2) = -1.6108361282071726, (260, 3) = 2.0084171803397513, (261, 1) = 5.5816486493467385, (261, 2) = -1.6082811834388924, (261, 3) = 1.9970825385436128, (262, 1) = 5.579598181949425, (262, 2) = -1.6057401767347084, (262, 3) = 1.9858533865356358, (263, 1) = 5.577550577787058, (263, 2) = -1.603212974492282, (263, 3) = 1.9747283264183075, (264, 1) = 5.575505816015043, (264, 2) = -1.600699444380035, (264, 3) = 1.9637059823546075, (265, 1) = 5.573463875899329, (265, 2) = -1.598199455744519, (265, 3) = 1.952785001143459, (266, 1) = 5.571424736997547, (266, 2) = -1.5957128798052704, (266, 3) = 1.9419640533274818, (267, 1) = 5.56938837898994, (267, 2) = -1.593239589420417, (267, 3) = 1.9312418321614537, (268, 1) = 5.567354781692228, (268, 2) = -1.5907794590773534, (268, 3) = 1.920617052090628, (269, 1) = 5.565323925053464, (269, 2) = -1.5883323648654513, (269, 3) = 1.9100884491049757, (270, 1) = 5.5632957891539245, (270, 2) = -1.585898184449345, (270, 3) = 1.899654780560698, (271, 1) = 5.561270354190114, (271, 2) = -1.5834767970273242, (271, 3) = 1.8893148236110637, (272, 1) = 5.55924760027009, (272, 2) = -1.5810680830651702, (272, 3) = 1.8790673752250788, (273, 1) = 5.557227507981718, (273, 2) = -1.5786719249511219, (273, 3) = 1.8689112534614498, (274, 1) = 5.555210058036708, (274, 2) = -1.5762882065455603, (274, 3) = 1.85884529575302, (275, 1) = 5.553195231189987, (275, 2) = -1.5739168130645003, (275, 3) = 1.8488683578421776, (276, 1) = 5.55118300827378, (276, 2) = -1.5715576310998725, (276, 3) = 1.8389793142216853, (277, 1) = 5.549173370231577, (277, 2) = -1.5692105486390742, (277, 3) = 1.8291770576165152, (278, 1) = 5.547166298122265, (278, 2) = -1.5668754550493622, (278, 3) = 1.8194604979911644, (279, 1) = 5.545161773118307, (279, 2) = -1.564552241055589, (279, 3) = 1.8098285631881657, (280, 1) = 5.543159776531116, (280, 2) = -1.5622407987496727, (280, 3) = 1.8002801981576244, (281, 1) = 5.541160290045186, (281, 2) = -1.5599410218394434, (281, 3) = 1.7908143667270136, (282, 1) = 5.539163294962342, (282, 2) = -1.5576528047596254, (282, 3) = 1.7814300453454412, (283, 1) = 5.5371687727740015, (283, 2) = -1.555376043315872, (283, 3) = 1.7721262281240746, (284, 1) = 5.5351767050498175, (284, 2) = -1.553110634538304, (284, 3) = 1.7629019244442425, (285, 1) = 5.533187073627965, (285, 2) = -1.5508564768793032, (285, 3) = 1.7537561607794434, (286, 1) = 5.531199860619659, (286, 2) = -1.5486134701975365, (286, 3) = 1.7446879783176807, (287, 1) = 5.529215048045335, (287, 2) = -1.5463815153287648, (287, 3) = 1.7356964335866167, (288, 1) = 5.527232618022005, (288, 2) = -1.5441605142825228, (288, 3) = 1.726780597077842, (289, 1) = 5.525252552763179, (289, 2) = -1.5419503702254898, (289, 3) = 1.717939553708553, (290, 1) = 5.523274834577275, (290, 2) = -1.539750987463494, (290, 3) = 1.7091724025722537, (291, 1) = 5.5212994458660685, (291, 2) = -1.5375622714238566, (291, 3) = 1.7004782567249945, (292, 1) = 5.519326369123151, (292, 2) = -1.535384128638063, (292, 3) = 1.6918562427229933, (293, 1) = 5.5173555869328474, (293, 2) = -1.5332164667252586, (293, 3) = 1.6833055007642366, (294, 1) = 5.515387082011468, (294, 2) = -1.5310591944222793, (294, 3) = 1.6748251834631156, (295, 1) = 5.513420837148918, (295, 2) = -1.528912221504457, (295, 3) = 1.6664144571749817, (296, 1) = 5.511456835101093, (296, 2) = -1.5267754586544995, (296, 3) = 1.6580725000675718, (297, 1) = 5.5094950586489615, (297, 2) = -1.5246488175145705, (297, 3) = 1.6497985016136305, (298, 1) = 5.507535491087144, (298, 2) = -1.5225322112002924, (298, 3) = 1.6415916667430106, (299, 1) = 5.505578115801345, (299, 2) = -1.5204255538246791, (299, 3) = 1.6334512110085837, (300, 1) = 5.503622915711206, (300, 2) = -1.5183287598881878, (300, 3) = 1.625376360382544, (301, 1) = 5.501669874002504, (301, 2) = -1.5162417450570251, (301, 3) = 1.6173663522100759, (302, 1) = 5.499718974008059, (302, 2) = -1.5141644260200238, (302, 3) = 1.6094204358685527, (303, 1) = 5.497770199142392, (303, 2) = -1.5120967204053712, (303, 3) = 1.6015378719936348, (304, 1) = 5.495823532946003, (304, 2) = -1.5100385468148063, (304, 3) = 1.5937179319300143, (305, 1) = 5.49387895899222, (305, 2) = -1.5079898247124033, (305, 3) = 1.585959897620393, (306, 1) = 5.491936460912042, (306, 2) = -1.50595047443937, (306, 3) = 1.5782630616871758, (307, 1) = 5.489996022407449, (307, 2) = -1.5039204172164269, (307, 3) = 1.57062672672786, (308, 1) = 5.48805762721157, (308, 2) = -1.5018995750907247, (308, 3) = 1.563050205724129, (309, 1) = 5.486121258954552, (309, 2) = -1.4998878707860657, (309, 3) = 1.5555328202084389, (310, 1) = 5.484186901734546, (310, 2) = -1.4978852282849024, (310, 3) = 1.5480739039187568, (311, 1) = 5.482254539584282, (311, 2) = -1.4958915722607735, (311, 3) = 1.540672799195465, (312, 1) = 5.480324156542161, (312, 2) = -1.4939068281428327, (312, 3) = 1.5333288572960178, (313, 1) = 5.478395736727276, (313, 2) = -1.491930922183087, (313, 3) = 1.5260414392440318, (314, 1) = 5.476469264363312, (314, 2) = -1.4899637814700175, (314, 3) = 1.5188099152357655, (315, 1) = 5.474544723682428, (315, 2) = -1.4880053338200003, (315, 3) = 1.5116336642081698, (316, 1) = 5.472622099068961, (316, 2) = -1.4860555079136872, (316, 3) = 1.5045120741847229, (317, 1) = 5.4707013750858335, (317, 2) = -1.484114233311182, (317, 3) = 1.497444541860564, (318, 1) = 5.468782535859156, (318, 2) = -1.4821814398215398, (318, 3) = 1.490430471166233, (319, 1) = 5.466865565815372, (319, 2) = -1.4802570582403987, (319, 3) = 1.4834692749337886, (320, 1) = 5.464950449462899, (320, 2) = -1.4783410201183786, (320, 3) = 1.4765603745544418, (321, 1) = 5.463037171168111, (321, 2) = -1.4764332575284482, (321, 3) = 1.4697031986037785, (322, 1) = 5.461125715653986, (322, 2) = -1.4745337035548565, (322, 3) = 1.4628971844054823, (323, 1) = 5.459216067751513, (323, 2) = -1.472642292033424, (323, 3) = 1.4561417779601176, (324, 1) = 5.457308212239133, (324, 2) = -1.470758957383657, (324, 3) = 1.4494364314255532, (325, 1) = 5.455402133898138, (325, 2) = -1.4688836346563343, (325, 3) = 1.4427806055913892, (326, 1) = 5.453497817558926, (326, 2) = -1.467016259571155, (326, 3) = 1.4361737676257582, (327, 1) = 5.451595248100255, (327, 2) = -1.465156768507727, (327, 3) = 1.4296153923180848, (328, 1) = 5.449694410448235, (328, 2) = -1.4633050984964375, (328, 3) = 1.4231049619010678, (329, 1) = 5.4477952895753115, (329, 2) = -1.4614611872094754, (329, 3) = 1.4166419653043991, (330, 1) = 5.445897870499276, (330, 2) = -1.459624972952005, (330, 3) = 1.4102258980833067, (331, 1) = 5.444002138281004, (331, 2) = -1.4577963946522614, (331, 3) = 1.403856263625142, (332, 1) = 5.442108077852443, (332, 2) = -1.4559753916888525, (332, 3) = 1.3975325697724936, (333, 1) = 5.44021567444013, (333, 2) = -1.45416190429117, (333, 3) = 1.3912543336932033, (334, 1) = 5.438324913567228, (334, 2) = -1.452355873530059, (334, 3) = 1.3850210782940728, (335, 1) = 5.436435780597936, (335, 2) = -1.450557240873584, (335, 3) = 1.3788323328066199, (336, 1) = 5.434548260535948, (336, 2) = -1.448765947992104, (336, 3) = 1.372687631564017, (337, 1) = 5.432662338678379, (337, 2) = -1.4469819373749935, (337, 3) = 1.366586515453902, (338, 1) = 5.430778000372463, (338, 2) = -1.4452051520908207, (338, 3) = 1.3605285322045946, (339, 1) = 5.4288952310022065, (339, 2) = -1.443435535767898, (339, 3) = 1.3545132343194126, (340, 1) = 5.4270140159875115, (340, 2) = -1.4416730325867917, (340, 3) = 1.3485401814558984, (341, 1) = 5.425134340783249, (341, 2) = -1.4399175872729373, (341, 3) = 1.342608937939267, (342, 1) = 5.423256190888204, (342, 2) = -1.4381691450985508, (342, 3) = 1.3367190746486213, (343, 1) = 5.421379551761458, (343, 2) = -1.4364276517986536, (343, 3) = 1.3308701672052254, (344, 1) = 5.419504408912346, (344, 2) = -1.4346930536490465, (344, 3) = 1.3250617972186898, (345, 1) = 5.417630748117222, (345, 2) = -1.432965297659475, (345, 3) = 1.3192935520959066, (346, 1) = 5.415758554998054, (346, 2) = -1.4312443311774548, (346, 3) = 1.3135650237946246, (347, 1) = 5.413887815202354, (347, 2) = -1.4295301020496658, (347, 3) = 1.3078758104989447, (348, 1) = 5.412018514406469, (348, 2) = -1.427822558619192, (348, 3) = 1.302225514667326, (349, 1) = 5.4101506383147315, (349, 2) = -1.4261216497190308, (349, 3) = 1.2966137436715175, (350, 1) = 5.408284172658617, (350, 2) = -1.4244273246657064, (350, 3) = 1.2910401106130758, (351, 1) = 5.406419103196084, (351, 2) = -1.4227395332531252, (351, 3) = 1.285504232902422, (352, 1) = 5.404555415942798, (352, 2) = -1.4210582259554048, (352, 3) = 1.2800057339563615, (353, 1) = 5.4026930967939855, (353, 2) = -1.419383353578724, (353, 3) = 1.274544240727153, (354, 1) = 5.400832131267792, (354, 2) = -1.417714867028331, (354, 3) = 1.2691193850840108, (355, 1) = 5.398972505095823, (355, 2) = -1.4160527178359381, (355, 3) = 1.2637308025039307, (356, 1) = 5.3971142043596405, (356, 2) = -1.4143968582733752, (356, 3) = 1.2583781348650651, (357, 1) = 5.395257214973192, (357, 2) = -1.4127472408840203, (357, 3) = 1.2530610278804126, (358, 1) = 5.393401522856669, (358, 2) = -1.4111038186341829, (358, 3) = 1.2477791312079825, (359, 1) = 5.39154711395003, (359, 2) = -1.4094665449203652, (359, 3) = 1.2425320995576117, (360, 1) = 5.3896939742121965, (360, 2) = -1.4078353735637488, (360, 3) = 1.2373195911989272, (361, 1) = 5.38784208962027, (361, 2) = -1.4062102588048198, (361, 3) = 1.23214126916857, (362, 1) = 5.3859914462192915, (362, 2) = -1.4045911553421817, (362, 3) = 1.2269968003326144, (363, 1) = 5.38414203007124, (363, 2) = -1.402978018282912, (363, 3) = 1.2218858561815507, (364, 1) = 5.382293827204414, (364, 2) = -1.4013708030941632, (364, 3) = 1.2168081113168576, (365, 1) = 5.380446823600229, (365, 2) = -1.3997694655878858, (365, 3) = 1.2117632447594455, (366, 1) = 5.378601005149713, (366, 2) = -1.3981739618798195, (366, 3) = 1.2067509390430649, (367, 1) = 5.376756358122989, (367, 2) = -1.3965842487904865, (367, 3) = 1.2017708813393075, (368, 1) = 5.374912868653137, (368, 2) = -1.3950002833934874, (368, 3) = 1.1968227625256733, (369, 1) = 5.373070523104898, (369, 2) = -1.3934220233286594, (369, 3) = 1.1919062769176765, (370, 1) = 5.371229307422284, (370, 2) = -1.3918494262388226, (370, 3) = 1.1870211226635505, (371, 1) = 5.369389207602398, (371, 2) = -1.3902824501741653, (371, 3) = 1.1821670008821938, (372, 1) = 5.36755020984566, (372, 2) = -1.3887210537150816, (372, 3) = 1.1773436166866105, (373, 1) = 5.365712300317019, (373, 2) = -1.3871651957640034, (373, 3) = 1.1725506787262252, (374, 1) = 5.363875465162255, (374, 2) = -1.3856148355558655, (374, 3) = 1.167787899264912, (375, 1) = 5.36203969053459, (375, 2) = -1.384069932677045, (375, 3) = 1.1630549935531256, (376, 1) = 5.3602049625568755, (376, 2) = -1.3825304470299553, (376, 3) = 1.1583516806995768, (377, 1) = 5.358371267203893, (377, 2) = -1.3809963387315318, (377, 3) = 1.1536776823065897, (378, 1) = 5.356538590823606, (378, 2) = -1.3794675685456805, (378, 3) = 1.149032723972494, (379, 1) = 5.354706919643696, (379, 2) = -1.3779440974654193, (379, 3) = 1.14441653454701, (380, 1) = 5.352876239843521, (380, 2) = -1.376425886770502, (380, 3) = 1.1398288459135277, (381, 1) = 5.351046537621493, (381, 2) = -1.37491289808025, (381, 3) = 1.135269393231133, (382, 1) = 5.3492177992439105, (382, 2) = -1.373405093390196, (382, 3) = 1.1307379144583454, (383, 1) = 5.347390010909595, (383, 2) = -1.3719024349568378, (383, 3) = 1.1262341507211968, (384, 1) = 5.345563158806961, (384, 2) = -1.370404885341927, (384, 3) = 1.1217578462311844, (385, 1) = 5.343737229124512, (385, 2) = -1.3689124074179182, (385, 3) = 1.1173087475439307, (386, 1) = 5.341912208094454, (386, 2) = -1.3674249644003147, (386, 3) = 1.1128866054602846, (387, 1) = 5.340088082148028, (387, 2) = -1.365942519970056, (387, 3) = 1.1084911723937585, (388, 1) = 5.338264837042649, (388, 2) = -1.3644650375618328, (388, 3) = 1.10412220377159, (389, 1) = 5.3364424590196355, (389, 2) = -1.3629924813029692, (389, 3) = 1.099779457288737, (390, 1) = 5.334620934336437, (390, 2) = -1.3615248156284512, (390, 3) = 1.0954626948735444, (391, 1) = 5.332800249204164, (391, 2) = -1.3600620052276544, (391, 3) = 1.0911716801747704, (392, 1) = 5.330980389865674, (392, 2) = -1.3586040151043963, (392, 3) = 1.0869061799802529, (393, 1) = 5.329161342487354, (393, 2) = -1.3571508104873566, (393, 3) = 1.082665963318052, (394, 1) = 5.327343093227226, (394, 2) = -1.3557023568822526, (394, 3) = 1.0784508019474057, (395, 1) = 5.32552562823614, (395, 2) = -1.354258620070062, (395, 3) = 1.0742604698975273, (396, 1) = 5.323708933657079, (396, 2) = -1.3528195661037288, (396, 3) = 1.0700947446393514, (397, 1) = 5.321892995608798, (397, 2) = -1.3513851612926104, (397, 3) = 1.0659534049120032, (398, 1) = 5.320077800020898, (398, 2) = -1.349955372070276, (398, 3) = 1.0618362320726469, (399, 1) = 5.318263333134485, (399, 2) = -1.3485301653866022, (399, 3) = 1.0577430104179943, (400, 1) = 5.31644958113965, (400, 2) = -1.3471095084181046, (400, 3) = 1.053673527277271, (401, 1) = 5.3146365301965, (401, 2) = -1.3456933685823032, (401, 3) = 1.049627571103357, (402, 1) = 5.3128241664353615, (402, 2) = -1.3442817135355953, (402, 3) = 1.0456049339235096, (403, 1) = 5.311012476036725, (403, 2) = -1.3428745112330414, (403, 3) = 1.041605408425822, (404, 1) = 5.309201445238227, (404, 2) = -1.3414717299306769, (404, 3) = 1.037628791833515, (405, 1) = 5.307391059811311, (405, 2) = -1.3400733377787333, (405, 3) = 1.0336748811341332, (406, 1) = 5.305581305757582, (406, 2) = -1.338679303359808, (406, 3) = 1.0297434765750066, (407, 1) = 5.303772169074058, (407, 2) = -1.3372895955038409, (407, 3) = 1.0258343804259373, (408, 1) = 5.301963635561019, (408, 2) = -1.3359041831387886, (408, 3) = 1.0219473968256614, (409, 1) = 5.300155691308635, (409, 2) = -1.334523035661509, (409, 3) = 1.0180823325590536, (410, 1) = 5.298348322374104, (410, 2) = -1.3331461226867245, (410, 3) = 1.0142389968119494, (411, 1) = 5.296541514784559, (411, 2) = -1.3317734140472341, (411, 3) = 1.0104172003910366, (412, 1) = 5.29473525448568, (412, 2) = -1.3304048797530663, (412, 3) = 1.006616756163501, (413, 1) = 5.292929527377946, (413, 2) = -1.3290404900173733, (413, 3) = 1.0028374785398488, (414, 1) = 5.291124319340816, (414, 2) = -1.327680215272851, (414, 3) = .99907918504701, (415, 1) = 5.289319616231974, (415, 2) = -1.3263240261691458, (415, 3) = .9953416937708292, (416, 1) = 5.2875154038865935, (416, 2) = -1.3249718935703305, (416, 3) = .9916248255932891, (417, 1) = 5.285711668106359, (417, 2) = -1.3236237885447428, (417, 3) = .9879284031223, (418, 1) = 5.283908394489395, (418, 2) = -1.3222796822365739, (418, 3) = .9842522499438686, (419, 1) = 5.282105568901183, (419, 2) = -1.320939546215375, (419, 3) = .9805961932038901, (420, 1) = 5.280303177411348, (420, 2) = -1.3196033524244366, (420, 3) = .9769600612014052, (421, 1) = 5.27850120583418, (421, 2) = -1.318271072837428, (421, 3) = .9733436839016484, (422, 1) = 5.276699639645308, (422, 2) = -1.3169426793975376, (422, 3) = .9697468931133721, (423, 1) = 5.274898464501567, (423, 2) = -1.3156181444005555, (423, 3) = .9661695215044934, (424, 1) = 5.273097666032209, (424, 2) = -1.3142974403381582, (424, 3) = .9626114043948218, (425, 1) = 5.271297229837158, (425, 2) = -1.312980539894877, (425, 3) = .9590723790449825, (426, 1) = 5.269497141486213, (426, 2) = -1.3116674159458404, (426, 3) = .9555522834129947, (427, 1) = 5.267697386510289, (427, 2) = -1.3103580415487501, (427, 3) = .952050958245985, (428, 1) = 5.265897950230518, (428, 2) = -1.3090523898184692, (428, 3) = .9485682442365266, (429, 1) = 5.264098818210753, (429, 2) = -1.3077504342541681, (429, 3) = .9451039856975355, (430, 1) = 5.262299976049529, (430, 2) = -1.3064521485851184, (430, 3) = .9416580278802485, (431, 1) = 5.260501409231247, (431, 2) = -1.3051575066615178, (431, 3) = .9382302171234259, (432, 1) = 5.258703103130545, (432, 2) = -1.3038664824568849, (432, 3) = .9348204018141728, (433, 1) = 5.256905043085756, (433, 2) = -1.3025790501197658, (433, 3) = .9314284318512159, (434, 1) = 5.255107214398758, (434, 2) = -1.301295183972179, (434, 3) = .928054158289673, (435, 1) = 5.253309602334203, (435, 2) = -1.3000148585075835, (435, 3) = .9246974340865689, (436, 1) = 5.251512192139168, (436, 2) = -1.2987380484034248, (436, 3) = .9213581130437791, (437, 1) = 5.249714969266957, (437, 2) = -1.29746472867784, (437, 3) = .9180360518220079, (438, 1) = 5.247917918513948, (438, 2) = -1.296194874076905, (438, 3) = .914731106444741, (439, 1) = 5.246121024943674, (439, 2) = -1.2949284597294046, (439, 3) = .9114431357494225, (440, 1) = 5.244324273819503, (440, 2) = -1.2936654610953737, (440, 3) = .9081719999734038, (441, 1) = 5.242527650212247, (441, 2) = -1.2924058536878291, (441, 3) = .9049175603723745, (442, 1) = 5.240731139104044, (442, 2) = -1.291149613145416, (442, 3) = .9016796797621927, (443, 1) = 5.2389347254331575, (443, 2) = -1.2898967152627394, (443, 3) = .8984582220764057, (444, 1) = 5.237138394093105, (444, 2) = -1.2886471359885292, (444, 3) = .8952530528275916, (445, 1) = 5.235342129931802, (445, 2) = -1.287400851423823, (445, 3) = .8920640390359575, (446, 1) = 5.233545917738867, (446, 2) = -1.2861578378119742, (446, 3) = .8888910484070095, (447, 1) = 5.231749742078327, (447, 2) = -1.284918071422266, (447, 3) = .8857339498279898, (448, 1) = 5.2299535877654435, (448, 2) = -1.2836815288781718, (448, 3) = .8825926143539634, (449, 1) = 5.228157439562795, (449, 2) = -1.282448186945129, (449, 3) = .879466913656674, (450, 1) = 5.226361282178673, (450, 2) = -1.2812180225283534, (450, 3) = .8763567215155442, (451, 1) = 5.224565100191589, (451, 2) = -1.27999101262029, (451, 3) = .8732619117963426, (452, 1) = 5.222768878106853, (452, 2) = -1.2787671343387386, (452, 3) = .870182360606462, (453, 1) = 5.220972600449476, (453, 2) = -1.2775463649890249, (453, 3) = .867117944132788, (454, 1) = 5.2191762518623595, (454, 2) = -1.2763286821288118, (454, 3) = .8640685409924264, (455, 1) = 5.217379816425758, (455, 2) = -1.2751140631060607, (455, 3) = .8610340301291728, (456, 1) = 5.215583278368357, (456, 2) = -1.2739024855413794, (456, 3) = .8580142911543317, (457, 1) = 5.213786621735097, (457, 2) = -1.2726939271020836, (457, 3) = .8550092053406235, (458, 1) = 5.211989830798596, (458, 2) = -1.2714883657780496, (458, 3) = .8520186553726342, (459, 1) = 5.2101928898105, (459, 2) = -1.2702857797121092, (459, 3) = .8490425250624706, (460, 1) = 5.208395782927223, (460, 2) = -1.2690861471493184, (460, 3) = .846080698998232, (461, 1) = 5.206598494153216, (461, 2) = -1.2678894463986254, (461, 3) = .8431330636561778, (462, 1) = 5.204801007425737, (462, 2) = -1.266695655889012, (462, 3) = .8401995052706192, (463, 1) = 5.203003306619844, (463, 2) = -1.2655047541719726, (463, 3) = .8372799120736001, (464, 1) = 5.201205375547387, (464, 2) = -1.2643167199199907, (464, 3) = .8343741728382906, (465, 1) = 5.199407197939519, (465, 2) = -1.2631315319142102, (465, 3) = .831482177475257, (466, 1) = 5.197608757285996, (466, 2) = -1.2619491689382276, (466, 3) = .8286038171410474, (467, 1) = 5.1958100373308245, (467, 2) = -1.2607696101033898, (467, 3) = .8257389837406687, (468, 1) = 5.1940110217043385, (468, 2) = -1.2595928346049865, (468, 3) = .8228875703023675, (469, 1) = 5.19221169415581, (469, 2) = -1.2584188218734598, (469, 3) = .8200494714326648, (470, 1) = 5.19041203821345, (470, 2) = -1.2572475513511325, (470, 3) = .8172245824245317, (471, 1) = 5.188612036980153, (471, 2) = -1.2560790023602921, (471, 3) = .814412798814524, (472, 1) = 5.186811673723687, (472, 2) = -1.2549131544870884, (472, 3) = .8116140173109999, (473, 1) = 5.185010931641736, (473, 2) = -1.2537499874273326, (473, 3) = .8088281355511702, (474, 1) = 5.183209793832841, (474, 2) = -1.2525894809670892, (474, 3) = .8060550526568873, (475, 1) = 5.181408243154102, (475, 2) = -1.2514316148908964, (475, 3) = .8032946678239232, (476, 1) = 5.179606262731654, (476, 2) = -1.2502763693092955, (476, 3) = .8005468821749004, (477, 1) = 5.177803835526705, (477, 2) = -1.2491237243782827, (477, 3) = .7978115967971467, (478, 1) = 5.176000944361899, (478, 2) = -1.2479736603161902, (478, 3) = .7950887144588052, (479, 1) = 5.174197572075761, (479, 2) = -1.2468261575017396, (479, 3) = .7923781382189676, (480, 1) = 5.172393701368484, (480, 2) = -1.2456811963749228, (480, 3) = .7896797725335091, (481, 1) = 5.170589314817734, (481, 2) = -1.2445387574469402, (481, 3) = .7869935223384451, (482, 1) = 5.168784394918381, (482, 2) = -1.243398821324984, (482, 3) = .7843192932445715, (483, 1) = 5.166978924044774, (483, 2) = -1.2422613686880213, (483, 3) = .7816569918409155, (484, 1) = 5.165172884368865, (484, 2) = -1.2411263802351373, (484, 3) = .7790065251623526, (485, 1) = 5.163366258586906, (485, 2) = -1.239993837140951, (485, 3) = .7763678028484716, (486, 1) = 5.161559028689265, (486, 2) = -1.238863720282063, (486, 3) = .7737407332058109, (487, 1) = 5.15975117663463, (487, 2) = -1.2377360106614206, (487, 3) = .7711252258058994, (488, 1) = 5.157942684415296, (488, 2) = -1.2366106894480025, (488, 3) = .7685211918684532, (489, 1) = 5.156133534023104, (489, 2) = -1.2354877379542863, (489, 3) = .7659285428260931, (490, 1) = 5.154323707264188, (490, 2) = -1.2343671375205942, (490, 3) = .7633471905644529, (491, 1) = 5.152513185833563, (491, 2) = -1.2332488695613921, (491, 3) = .7607770483776322, (492, 1) = 5.150701951281278, (492, 2) = -1.232132915544195, (492, 3) = .7582180295685232, (493, 1) = 5.148889984936084, (493, 2) = -1.231019256942735, (493, 3) = .7556700488722107, (494, 1) = 5.147077268389242, (494, 2) = -1.2299078755337587, (494, 3) = .7531330215626866, (495, 1) = 5.145263782983709, (495, 2) = -1.2287987530819573, (495, 3) = .7506068632690486, (496, 1) = 5.143449509924273, (496, 2) = -1.2276918714078602, (496, 3) = .7480914909817282, (497, 1) = 5.1416344303135855, (497, 2) = -1.2265872124096813, (497, 3) = .745586821895921, (498, 1) = 5.139818525197176, (498, 2) = -1.2254847580903445, (498, 3) = .7430927741057254, (499, 1) = 5.138001775569114, (499, 2) = -1.224384490560253, (499, 3) = .7406092665710561, (500, 1) = 5.136184162263852, (500, 2) = -1.223286391971356, (500, 3) = .7381362188936275, (501, 1) = 5.134365666020841, (501, 2) = -1.2221904445561846, (501, 3) = .7356735506343627, (502, 1) = 5.132546267317584, (502, 2) = -1.221096630527276, (502, 3) = .7332211833016737, (503, 1) = 5.130725946607263, (503, 2) = -1.22000493222038, (503, 3) = .7307790377542331, (504, 1) = 5.128904684237542, (504, 2) = -1.2189153320451083, (504, 3) = .7283470362260682, (505, 1) = 5.127082460442179, (505, 2) = -1.2178278124796733, (505, 3) = .7259251013995313, (506, 1) = 5.1252592553394924, (506, 2) = -1.2167423560697745, (506, 3) = .723513156653256, (507, 1) = 5.12343504893103, (507, 2) = -1.2156589454276714, (507, 3) = .7211111260615866, (508, 1) = 5.1216098210439585, (508, 2) = -1.2145775631978946, (508, 3) = .7187189340501939, (509, 1) = 5.11978355147336, (509, 2) = -1.2134981921415087, (509, 3) = .7163365059544019, (510, 1) = 5.117956220031751, (510, 2) = -1.2124208151645322, (510, 3) = .7139637679338982, (511, 1) = 5.116127806238618, (511, 2) = -1.2113454151344154, (511, 3) = .7116006461646235, (512, 1) = 5.11429828948619, (512, 2) = -1.2102719749783235, (512, 3) = .7092470681175075, (513, 1) = 5.11246764903983, (513, 2) = -1.2092004776832772, (513, 3) = .7069029609959085, (514, 1) = 5.11063586403634, (514, 2) = -1.2081309062950998, (514, 3) = .7045682532976139, (515, 1) = 5.108802913490058, (515, 2) = -1.207063243921905, (515, 3) = .7022428739650621, (516, 1) = 5.106968776553893, (516, 2) = -1.2059974738854953, (516, 3) = .6999267521422534, (517, 1) = 5.1051334317111285, (517, 2) = -1.2049335792515106, (517, 3) = .6976198178932407, (518, 1) = 5.103296857504202, (518, 2) = -1.2038715432540923, (518, 3) = .6953220017336744, (519, 1) = 5.101459032588031, (519, 2) = -1.2028113493252524, (519, 3) = .6930332344050806, (520, 1) = 5.099619935291147, (520, 2) = -1.2017529808408685, (520, 3) = .6907534480005425, (521, 1) = 5.09777954380066, (521, 2) = -1.2006964212280975, (521, 3) = .6884825744103569, (522, 1) = 5.095937836160592, (522, 2) = -1.1996416539644583, (522, 3) = .6862205465288812, (523, 1) = 5.094094790269956, (523, 2) = -1.1985886625767892, (523, 3) = .6839672970106294, (524, 1) = 5.092250383869955, (524, 2) = -1.1975374306340383, (524, 3) = .6817227599340507, (525, 1) = 5.090404594366025, (525, 2) = -1.196487941646363, (525, 3) = .6794868691624002, (526, 1) = 5.088557399316994, (526, 2) = -1.1954401793436291, (526, 3) = .6772595595482195, (527, 1) = 5.086708776150951, (527, 2) = -1.1943941275128545, (527, 3) = .6750407665627309, (528, 1) = 5.0848587021245075, (528, 2) = -1.1933497699752516, (528, 3) = .6728304259586968, (529, 1) = 5.083007154236849, (529, 2) = -1.1923070905381163, (529, 3) = .6706284742307487, (530, 1) = 5.081154109424364, (530, 2) = -1.1912660731049016, (530, 3) = .6684348476334567, (531, 1) = 5.0792995445410085, (531, 2) = -1.1902267016637331, (531, 3) = .6662494841973384, (532, 1) = 5.07744343559944, (532, 2) = -1.1891889598633247, (532, 3) = .664072320526204, (533, 1) = 5.0755857590922835, (533, 2) = -1.1881528317537675, (533, 3) = .6619032952057617, (534, 1) = 5.073726491229098, (534, 2) = -1.187118301358382, (534, 3) = .6597423465581196, (535, 1) = 5.0718656080088, (535, 2) = -1.186085352714862, (535, 3) = .6575894139159559, (536, 1) = 5.0700030852578095, (536, 2) = -1.1850539698969107, (536, 3) = .6554444368930524, (537, 1) = 5.068138898684594, (537, 2) = -1.1840241370445912, (537, 3) = .6533073551590962, (538, 1) = 5.066273023855868, (538, 2) = -1.1829958383511403, (538, 3) = .651178109281858, (539, 1) = 5.064405435976295, (539, 2) = -1.181969057942045, (539, 3) = .6490566400998576, (540, 1) = 5.0625361100269775, (540, 2) = -1.1809437799524471, (540, 3) = .6469428887818266, (541, 1) = 5.060665021140678, (541, 2) = -1.179919988732785, (541, 3) = .644836796845744, (542, 1) = 5.058792144073831, (542, 2) = -1.178897668559084, (542, 3) = .6427383073528019, (543, 1) = 5.05691745337737, (543, 2) = -1.1778768037274694, (543, 3) = .6406473616422022, (544, 1) = 5.055040923420503, (544, 2) = -1.1768573785675511, (544, 3) = .6385639034967918, (545, 1) = 5.0531625286704145, (545, 2) = -1.1758393775941414, (545, 3) = .6364878762442542, (546, 1) = 5.051282242969952, (546, 2) = -1.1748227851157322, (546, 3) = .6344192236545405, (547, 1) = 5.049400039848564, (547, 2) = -1.1738075854051753, (547, 3) = .6323578896471748, (548, 1) = 5.047515892882768, (548, 2) = -1.1727937628945853, (548, 3) = .6303038186946387, (549, 1) = 5.045629775612743, (549, 2) = -1.1717813021294676, (549, 3) = .62825695585759, (550, 1) = 5.043741661189874, (550, 2) = -1.1707701875795924, (550, 3) = .6262172469176704, (551, 1) = 5.041851522551737, (551, 2) = -1.169760403734011, (551, 3) = .6241846369609411, (552, 1) = 5.03995933242176, (552, 2) = -1.16875193510141, (552, 3) = .6221590726152751, (553, 1) = 5.038065063293011, (553, 2) = -1.1677447662020162, (553, 3) = .6201404999834437, (554, 1) = 5.036168687242613, (554, 2) = -1.166738881469911, (554, 3) = .6181288657709918, (555, 1) = 5.034270176454381, (555, 2) = -1.165734265531053, (555, 3) = .6161241173330538, (556, 1) = 5.032369502878592, (556, 2) = -1.1647309030223871, (556, 3) = .6141262024217248, (557, 1) = 5.030466638230309, (557, 2) = -1.1637287785915968, (557, 3) = .6121350689012075, (558, 1) = 5.028561553908786, (558, 2) = -1.1627278768554763, (558, 3) = .6101506651394091, (559, 1) = 5.026654221176654, (559, 2) = -1.1617281824948853, (559, 3) = .6081729399783231, (560, 1) = 5.024744611122404, (560, 2) = -1.1607296802352045, (560, 3) = .606201842398276, (561, 1) = 5.02283269388217, (561, 2) = -1.1597323544411198, (561, 3) = .6042373211837933, (562, 1) = 5.020918440036599, (562, 2) = -1.158736189847798, (562, 3) = .6022793260561012, (563, 1) = 5.019001819786673, (563, 2) = -1.1577411711299292, (563, 3) = .6003278075323599, (564, 1) = 5.0170828030416486, (564, 2) = -1.1567472829487666, (564, 3) = .5983827150455318, (565, 1) = 5.015161359454717, (565, 2) = -1.1557545099715012, (565, 3) = .5964440001206578, (566, 1) = 5.013237458451486, (566, 2) = -1.1547628368867096, (566, 3) = .5945116131550874, (567, 1) = 5.011311069129441, (567, 2) = -1.153772248353287, (567, 3) = .5925855054707843, (568, 1) = 5.009382160279296, (568, 2) = -1.1527827290125965, (568, 3) = .5906656285066141, (569, 1) = 5.007450700693598, (569, 2) = -1.1517942636472913, (569, 3) = .5887519343770421, (570, 1) = 5.005516658693164, (570, 2) = -1.1508068369389826, (570, 3) = .5868443752426105, (571, 1) = 5.003580002314426, (571, 2) = -1.149820433565646, (571, 3) = .5849429036389905, (572, 1) = 5.001640699341523, (572, 2) = -1.1488350382188146, (572, 3) = .5830474726328271, (573, 1) = 4.99969871758096, (573, 2) = -1.1478506357433653, (573, 3) = .5811580353003677, (574, 1) = 4.997754023767456, (574, 2) = -1.1468672105839361, (574, 3) = .5792745441511359, (575, 1) = 4.995806584736146, (575, 2) = -1.145884747381257, (575, 3) = .5773969535491091, (576, 1) = 4.993856367251557, (576, 2) = -1.1449032308847646, (576, 3) = .5755252173307195, (577, 1) = 4.991903337664091, (577, 2) = -1.1439226457799498, (577, 3) = .5736592896873385, (578, 1) = 4.989947461942698, (578, 2) = -1.1429429767064028, (578, 3) = .5717991249662095, (579, 1) = 4.9879887057439465, (579, 2) = -1.1419642082937511, (579, 3) = .5699446781262997, (580, 1) = 4.986027034359568, (580, 2) = -1.1409863251366328, (580, 3) = .5680959042895799, (581, 1) = 4.984062412597348, (581, 2) = -1.1400093117368966, (581, 3) = .5662527581926557, (582, 1) = 4.9820948053559295, (582, 2) = -1.1390331527905024, (582, 3) = .5644151957831857, (583, 1) = 4.98012417704899, (583, 2) = -1.1380578329015372, (583, 3) = .5625831726940573, (584, 1) = 4.978150491703034, (584, 2) = -1.1370833366325284, (584, 3) = .5607566452798372, (585, 1) = 4.976173713007104, (585, 2) = -1.1361096485303874, (585, 3) = .5589355698922654, (586, 1) = 4.974193804630681, (586, 2) = -1.1351367532836203, (586, 3) = .5571199029102012, (587, 1) = 4.972210729560418, (587, 2) = -1.1341646353969106, (587, 3) = .5553096015913725, (588, 1) = 4.970224449992727, (588, 2) = -1.1331932791418835, (588, 3) = .5535046224280171, (589, 1) = 4.968234928414326, (589, 2) = -1.1322226690874384, (589, 3) = .5517049228894119, (590, 1) = 4.9662421267389885, (590, 2) = -1.1312527896776456, (590, 3) = .5499104607315854, (591, 1) = 4.96424600649816, (591, 2) = -1.1302836253267183, (591, 3) = .5481211932267642, (592, 1) = 4.962246528832281, (592, 2) = -1.129315160416264, (592, 3) = .5463370788289204, (593, 1) = 4.960243654282765, (593, 2) = -1.128347379196357, (593, 3) = .544558075202087, (594, 1) = 4.9582373433607545, (594, 2) = -1.1273802660620544, (594, 3) = .5427841410983089, (595, 1) = 4.956227556181316, (595, 2) = -1.1264138053770942, (595, 3) = .5410152352771572, (596, 1) = 4.9542142524124175, (596, 2) = -1.1254479814509137, (596, 3) = .5392513166614049, (597, 1) = 4.95219739124488, (597, 2) = -1.124482778526115, (597, 3) = .537492344146543, (598, 1) = 4.950176931581398, (598, 2) = -1.1235181808705241, (598, 3) = .5357382775343311, (599, 1) = 4.948152831993185, (599, 2) = -1.1225541727574406, (599, 3) = .5339890760580102, (600, 1) = 4.946125049808539, (600, 2) = -1.1215907380342391, (600, 3) = .5322446994471471, (601, 1) = 4.9440935426981305, (601, 2) = -1.1206278608791622, (601, 3) = .5305051071521112, (602, 1) = 4.942058267755807, (602, 2) = -1.119665525364461, (602, 3) = .5287702595121379, (603, 1) = 4.940019181585346, (603, 2) = -1.118703715499783, (603, 3) = .5270401171887961, (604, 1) = 4.937976240338464, (604, 2) = -1.1177424152520108, (604, 3) = .5253146404009458, (605, 1) = 4.935929399551741, (605, 2) = -1.1167816084706008, (605, 3) = .52359378956505, (606, 1) = 4.9338786144903315, (606, 2) = -1.115821279051014, (606, 3) = .5218775256913646, (607, 1) = 4.931823840104045, (607, 2) = -1.114861410914991, (607, 3) = .5201658101164637, (608, 1) = 4.929765030659833, (608, 2) = -1.1139019878404692, (608, 3) = .5184586040968341, (609, 1) = 4.9277021399349605, (609, 2) = -1.1129429935543322, (609, 3) = .516755868678714, (610, 1) = 4.925635121233647, (610, 2) = -1.1119844117420943, (610, 3) = .5150575659838301, (611, 1) = 4.923563927487346, (611, 2) = -1.1110262260960968, (611, 3) = .5133636571924991, (612, 1) = 4.921488510836717, (612, 2) = -1.1100684201241195, (612, 3) = .5116741048858144, (613, 1) = 4.919408822980023, (613, 2) = -1.109110977313217, (613, 3) = .5099888704959809, (614, 1) = 4.917324815135293, (614, 2) = -1.1081538811140486, (614, 3) = .5083079165276058, (615, 1) = 4.9152364380198295, (615, 2) = -1.1071971149333757, (615, 3) = .5066312058385706, (616, 1) = 4.9131436416565135, (616, 2) = -1.106240662047649, (616, 3) = .5049586998165629, (617, 1) = 4.911046375506059, (617, 2) = -1.1052845056662988, (617, 3) = .503290362200603, (618, 1) = 4.908944588820872, (618, 2) = -1.1043286290947991, (618, 3) = .5016261555747795, (619, 1) = 4.906838230049441, (619, 2) = -1.1033730154651307, (619, 3) = .49996604317247845, (620, 1) = 4.9047272470492755, (620, 2) = -1.102417647835702, (620, 3) = .4983099877247301, (621, 1) = 4.902611587069608, (621, 2) = -1.1014625091860102, (621, 3) = .4966579526958621, (622, 1) = 4.900491196532325, (622, 2) = -1.1005075823206734, (622, 3) = .4950099016211746, (623, 1) = 4.898366022046281, (623, 2) = -1.0995528503283154, (623, 3) = .4933657982583087, (624, 1) = 4.896236009021473, (624, 2) = -1.0985982959594223, (624, 3) = .4917256063829215, (625, 1) = 4.89410110203436, (625, 2) = -1.0976439017952873, (625, 3) = .4900892896258831, (626, 1) = 4.891961245251063, (626, 2) = -1.096689650440251, (626, 3) = .48845681208118324, (627, 1) = 4.889816382072326, (627, 2) = -1.0957355243654219, (627, 3) = .48682813765625793, (628, 1) = 4.887666455148533, (628, 2) = -1.0947815059187116, (628, 3) = .48520323050463854, (629, 1) = 4.885511406909684, (629, 2) = -1.09382757756244, (629, 3) = .48358205496936507, (630, 1) = 4.883351178864805, (630, 2) = -1.0928737215647537, (630, 3) = .48196457574390067, (631, 1) = 4.881185711784862, (631, 2) = -1.0919199200843364, (631, 3) = .4803507574179181, (632, 1) = 4.879014945483044, (632, 2) = -1.090966155077187, (632, 3) = .47874056452503055, (633, 1) = 4.876838819460391, (633, 2) = -1.090012408583646, (633, 3) = .4771339616068947, (634, 1) = 4.874657272477892, (634, 2) = -1.0890586625424379, (634, 3) = .4755309139529175, (635, 1) = 4.872470242700727, (635, 2) = -1.0881048988567021, (635, 3) = .4739313868453097, (636, 1) = 4.870277667390715, (636, 2) = -1.0871510992627949, (636, 3) = .47233534514290343, (637, 1) = 4.868079482370323, (637, 2) = -1.086197245102082, (637, 3) = .4707427541875513, (638, 1) = 4.865875622972399, (638, 2) = -1.0852433177384908, (638, 3) = .46915357911088623, (639, 1) = 4.8636660242281415, (639, 2) = -1.084289298641393, (639, 3) = .4675677845953785, (640, 1) = 4.861450620116037, (640, 2) = -1.0833351690633455, (640, 3) = .46598533718008417, (641, 1) = 4.859229343743696, (641, 2) = -1.0823809101229782, (641, 3) = .4644062015739691, (642, 1) = 4.857002127117909, (642, 2) = -1.0814265027104597, (642, 3) = .46283034417986485, (643, 1) = 4.854768901795597, (643, 2) = -1.080471927770494, (643, 3) = .4612577302129879, (644, 1) = 4.85252959846882, (644, 2) = -1.07951716612719, (644, 3) = .45968832547616795, (645, 1) = 4.850284146770868, (645, 2) = -1.078562198405552, (645, 3) = .45812209609901133, (646, 1) = 4.848032475669795, (646, 2) = -1.077607005203048, (646, 3) = .45655900806756905, (647, 1) = 4.845774513215008, (647, 2) = -1.0766515669852659, (647, 3) = .45499902750621435, (648, 1) = 4.843510185590083, (648, 2) = -1.0756958636907503, (648, 3) = .453442120199934, (649, 1) = 4.841239418992555, (649, 2) = -1.074739875530543, (649, 3) = .451888252081774, (650, 1) = 4.838962138443042, (650, 2) = -1.07378358248783, (650, 3) = .4503373898580604, (651, 1) = 4.836678267926839, (651, 2) = -1.0728269643826265, (651, 3) = .44878949925785155, (652, 1) = 4.834387730154185, (652, 2) = -1.0718700007764759, (652, 3) = .4472445465282514, (653, 1) = 4.8320904472132025, (653, 2) = -1.0709126712501356, (653, 3) = .44570249850165156, (654, 1) = 4.829786340143708, (654, 2) = -1.0699549552291516, (654, 3) = .44416332134725056, (655, 1) = 4.827475328757908, (655, 2) = -1.0689968319143779, (655, 3) = .4426269814174971, (656, 1) = 4.825157331912746, (656, 2) = -1.06803828040015, (656, 3) = .44109344550709123, (657, 1) = 4.822832267425531, (657, 2) = -1.067079279643769, (657, 3) = .43956267982229547, (658, 1) = 4.8205000516321475, (658, 2) = -1.0661198082886967, (658, 3) = .4380346512829445, (659, 1) = 4.81816059991967, (659, 2) = -1.0651598448898412, (659, 3) = .4365093261883982, (660, 1) = 4.815813826511424, (660, 2) = -1.0641993678299049, (660, 3) = .43498667119075274, (661, 1) = 4.8134596441574145, (661, 2) = -1.0632383551985212, (661, 3) = .4334666526646941, (662, 1) = 4.81109796488728, (662, 2) = -1.0622767851053956, (662, 3) = .4319492373149122, (663, 1) = 4.808728699458108, (663, 2) = -1.0613146354593361, (663, 3) = .43043439208108625, (664, 1) = 4.806351757104278, (664, 2) = -1.060351883872962, (664, 3) = .42892208367531287, (665, 1) = 4.803967045692836, (665, 2) = -1.0593885077326186, (665, 3) = .42741227815158567, (666, 1) = 4.801574472021985, (666, 2) = -1.058424484324876, (666, 3) = .4259049429518436, (667, 1) = 4.799173942242622, (667, 2) = -1.0574597910105266, (667, 3) = .4244000448849396, (668, 1) = 4.796765359896646, (668, 2) = -1.0564944044419355, (668, 3) = .4228975500657395, (669, 1) = 4.794348627584552, (669, 2) = -1.0555283012417342, (669, 3) = .421397425909706, (670, 1) = 4.791923646263236, (670, 2) = -1.0545614577273557, (670, 3) = .4198996380611235, (671, 1) = 4.7894903160177025, (671, 2) = -1.0535938502253321, (671, 3) = .41840415349471555, (672, 1) = 4.787048535358331, (672, 2) = -1.0526254547967275, (672, 3) = .4169109396811804, (673, 1) = 4.784598200866562, (673, 2) = -1.051656247104652, (673, 3) = .4154199621975249, (674, 1) = 4.782139207682747, (674, 2) = -1.0506862026157857, (674, 3) = .41393118813300744, (675, 1) = 4.779671449840455, (675, 2) = -1.0497152967384824, (675, 3) = .4124445843147848, (676, 1) = 4.777194819742489, (676, 2) = -1.048743504622459, (676, 3) = .4109601170474209, (677, 1) = 4.774709208349421, (677, 2) = -1.047770801240224, (677, 3) = .40947775322381347, (678, 1) = 4.772214503680899, (678, 2) = -1.046797160809721, (678, 3) = .40799745914897656, (679, 1) = 4.769710593224702, (679, 2) = -1.0458225577453764, (679, 3) = .4065192011126638, (680, 1) = 4.767197362554551, (680, 2) = -1.0448469661242827, (680, 3) = .4050429454352166, (681, 1) = 4.764674695093608, (681, 2) = -1.0438703596040029, (681, 3) = .403568658934285, (682, 1) = 4.762142472971435, (682, 2) = -1.0428927117634585, (682, 3) = .40209630719729544, (683, 1) = 4.759600576366173, (683, 2) = -1.041913995855998, (683, 3) = .4006258570692959, (684, 1) = 4.75704888329552, (684, 2) = -1.040934184738679, (684, 3) = .39915727460980716, (685, 1) = 4.754487269921957, (685, 2) = -1.0399532509995417, (685, 3) = .39769052593420173, (686, 1) = 4.751915610590181, (686, 2) = -1.038971166980825, (686, 3) = .3962255769101272, (687, 1) = 4.749333778581941, (687, 2) = -1.037987905074797, (687, 3) = .39476239429847604, (688, 1) = 4.74674164359228, (688, 2) = -1.0370034367713936, (688, 3) = .39330094303604535, (689, 1) = 4.744139073434006, (689, 2) = -1.0360177333208929, (689, 3) = .3918411893469596, (690, 1) = 4.741525934557369, (690, 2) = -1.0350307659390505, (690, 3) = .39038309904790663, (691, 1) = 4.738902091070962, (691, 2) = -1.0340425054452198, (691, 3) = .38892663748292344, (692, 1) = 4.736267404423987, (692, 2) = -1.0330529221547131, (692, 3) = .3874717705235019, (693, 1) = 4.733621733811125, (693, 2) = -1.032061986043421, (693, 3) = .3860184632507293, (694, 1) = 4.730964936479593, (694, 2) = -1.0310696668734487, (694, 3) = .3845666808329726, (695, 1) = 4.728296867333623, (695, 2) = -1.0300759340554806, (695, 3) = .38311638910190315, (696, 1) = 4.725617378954876, (696, 2) = -1.0290807566679336, (696, 3) = .381667552998538, (697, 1) = 4.722926320926308, (697, 2) = -1.0280841032183763, (697, 3) = .3802201370998179, (698, 1) = 4.7202235405328326, (698, 2) = -1.027085941916955, (698, 3) = .3787741068783852, (699, 1) = 4.717508882148559, (699, 2) = -1.026086240462427, (699, 3) = .3773294262729852, (700, 1) = 4.714782188208835, (700, 2) = -1.0250849664132091, (700, 3) = .3758860603078398, (701, 1) = 4.712043298287901, (701, 2) = -1.0240820868596425, (701, 3) = .3744439732759752, (702, 1) = 4.70929204865424, (702, 2) = -1.0230775682762567, (702, 3) = .37300312993345236, (703, 1) = 4.706528272573929, (703, 2) = -1.022071376648767, (703, 3) = .3715634934631058, (704, 1) = 4.703751801503974, (704, 2) = -1.0210634779218128, (704, 3) = .37012502840202927, (705, 1) = 4.700962463617727, (705, 2) = -1.0200538374748744, (705, 3) = .3686876987298629, (706, 1) = 4.698160082721507, (706, 2) = -1.0190424197485233, (706, 3) = .36725146729709196, (707, 1) = 4.6953444809577, (707, 2) = -1.018029189238132, (707, 3) = .3658162981931931, (708, 1) = 4.692515476913593, (708, 2) = -1.0170141098244998, (708, 3) = .3643821542653797, (709, 1) = 4.689672885479834, (709, 2) = -1.0159971447414766, (709, 3) = .3629489985850411, (710, 1) = 4.686816518959811, (710, 2) = -1.0149782569900512, (710, 3) = .3615167942137283, (711, 1) = 4.683946186108653, (711, 2) = -1.0139574090102084, (711, 3) = .36008550396812783, (712, 1) = 4.681061692061813, (712, 2) = -1.0129345626738897, (712, 3) = .3586550901763007, (713, 1) = 4.678162837602284, (713, 2) = -1.0119096790449342, (713, 3) = .3572255148958048, (714, 1) = 4.6752494199094015, (714, 2) = -1.0108827186651863, (714, 3) = .35579673977348264, (715, 1) = 4.672321232678235, (715, 2) = -1.0098536416150323, (715, 3) = .3543687264518865, (716, 1) = 4.6693780664836115, (716, 2) = -1.008822407658796, (716, 3) = .3529414365835087, (717, 1) = 4.666419707455343, (717, 2) = -1.0077889757988423, (717, 3) = .35151483154611557, (718, 1) = 4.663445937243632, (718, 2) = -1.0067533042867367, (718, 3) = .3500888716465346, (719, 1) = 4.66045653423651, (719, 2) = -1.005715351068771, (719, 3) = .34866351856125194, (720, 1) = 4.657451273149817, (720, 2) = -1.0046750736613075, (720, 3) = .3472387330293841, (721, 1) = 4.654429922528986, (721, 2) = -1.0036324283092404, (721, 3) = .34581447449038605, (722, 1) = 4.651392246185741, (722, 2) = -1.0025873705120916, (722, 3) = .3443907028374331, (723, 1) = 4.648338003641615, (723, 2) = -1.0015398552009143, (723, 3) = .34296737708063657, (724, 1) = 4.645266950096042, (724, 2) = -1.0004898367501334, (724, 3) = .3415444565053873, (725, 1) = 4.642178836603332, (725, 2) = -.9994372690607521, (725, 3) = .3401219000735288, (726, 1) = 4.639073408681834, (726, 2) = -.9983821051106139, (726, 3) = .33869966642997673, (727, 1) = 4.635950406482396, (727, 2) = -.9973242970409246, (727, 3) = .337277714081596, (728, 1) = 4.632809566695185, (728, 2) = -.996263796827856, (728, 3) = .335856000653175, (729, 1) = 4.629650618049507, (729, 2) = -.9952005547889262, (729, 3) = .33443448397416164, (730, 1) = 4.626473284904185, (730, 2) = -.9941345208284864, (730, 3) = .333013121063014, (731, 1) = 4.623277285710648, (731, 2) = -.9930656439482325, (731, 3) = .3315918684617863, (732, 1) = 4.620062332136707, (732, 2) = -.9919938719876041, (732, 3) = .3301706824281823, (733, 1) = 4.616828130790328, (733, 2) = -.9909191522324708, (733, 3) = .32874951829051974, (734, 1) = 4.613574382431326, (734, 2) = -.9898414311821647, (734, 3) = .3273283319916425, (735, 1) = 4.610300781657372, (735, 2) = -.9887606544780141, (735, 3) = .3259070790306788, (736, 1) = 4.607007015583487, (736, 2) = -.9876767665033435, (736, 3) = .3244857137895253, (737, 1) = 4.603692764629277, (737, 2) = -.9865897106823568, (737, 3) = .3230641896222371, (738, 1) = 4.600358158422904, (738, 2) = -.9854995783128372, (738, 3) = .32164265449246104, (739, 1) = 4.597010749318951, (739, 2) = -.9844088745878613, (739, 3) = .3202243862982543, (740, 1) = 4.593655804282284, (740, 2) = -.9833193310063892, (740, 3) = .318811629665859, (741, 1) = 4.590294641393454, (741, 2) = -.982231380234994, (741, 3) = .3174049228149714, (742, 1) = 4.586927217968427, (742, 2) = -.9811450109631822, (742, 3) = .3160042286308324, (743, 1) = 4.58355349124474, (743, 2) = -.9800602119971789, (743, 3) = .31460950772746993, (744, 1) = 4.5801734181738345, (744, 2) = -.9789769721928631, (744, 3) = .31322072301119547, (745, 1) = 4.5767869553594895, (745, 2) = -.9778952804365152, (745, 3) = .3118378361735579, (746, 1) = 4.57339405905353, (746, 2) = -.9768151256442543, (746, 3) = .3104608109570133, (747, 1) = 4.56999468515151, (747, 2) = -.9757364967613902, (747, 3) = .30908960928177903, (748, 1) = 4.566588789188308, (748, 2) = -.9746593827618737, (748, 3) = .30772419529281686, (749, 1) = 4.563176326333725, (749, 2) = -.9735837726476615, (749, 3) = .3063645317707833, (750, 1) = 4.559757251387896, (750, 2) = -.9725096554481294, (750, 3) = .30501058300689077, (751, 1) = 4.556331518643736, (751, 2) = -.9714370201778884, (751, 3) = .3036623127904434, (752, 1) = 4.552899081820372, (752, 2) = -.9703658558175982, (752, 3) = .30231968569436507, (753, 1) = 4.54945989455506, (753, 2) = -.9692961514685738, (753, 3) = .3009826656881651, (754, 1) = 4.546013910110568, (754, 2) = -.9682278962615622, (754, 3) = .2996512181077729, (755, 1) = 4.542561081356146, (755, 2) = -.9671610793516773, (755, 3) = .2983253079070615, (756, 1) = 4.539101360762603, (756, 2) = -.9660956899178207, (756, 3) = .2970049006146779, (757, 1) = 4.535634700397275, (757, 2) = -.9650317171620648, (757, 3) = .2956899612308706, (758, 1) = 4.532161051918934, (758, 2) = -.9639691503090674, (758, 3) = .2943804563207785, (759, 1) = 4.528680366572679, (759, 2) = -.9629079786054636, (759, 3) = .2930763514905653, (760, 1) = 4.525192595184458, (760, 2) = -.961848191319223, (760, 3) = .2917776137291565, (761, 1) = 4.521697687889862, (761, 2) = -.9607897776586319, (761, 3) = .29048420845047657, (762, 1) = 4.518195594408852, (762, 2) = -.9597327268574695, (762, 3) = .2891961034827013, (763, 1) = 4.51468626426474, (763, 2) = -.9586770282417175, (763, 3) = .2879132653264972, (764, 1) = 4.511169646539779, (764, 2) = -.9576226711562799, (764, 3) = .28663566114555633, (765, 1) = 4.50764568986947, (765, 2) = -.9565696449643533, (765, 3) = .28536325876415214, (766, 1) = 4.50411434243683, (766, 2) = -.955517939046837, (766, 3) = .2840960258833146, (767, 1) = 4.5005755519665565, (767, 2) = -.9544675428017152, (767, 3) = .2828339305045238, (768, 1) = 4.497029265719065, (768, 2) = -.9534184456434409, (768, 3) = .28157694071405115, (769, 1) = 4.493475430484522, (769, 2) = -.952370637002344, (769, 3) = .28032502460936287, (770, 1) = 4.489913992553027, (770, 2) = -.9513241063170615, (770, 3) = .27907815149387927, (771, 1) = 4.4863448973627, (771, 2) = -.9502788429329648, (771, 3) = .27783628970144036, (772, 1) = 4.4827680901045674, (772, 2) = -.9492348362814552, (772, 3) = .2765994083477075, (773, 1) = 4.479183515609973, (773, 2) = -.9481920758473156, (773, 3) = .2753674763228779, (774, 1) = 4.475591118208073, (774, 2) = -.9471505511280609, (774, 3) = .2741404637932248, (775, 1) = 4.471990841719092, (775, 2) = -.9461102516332808, (775, 3) = .27291834006721355, (776, 1) = 4.468382629447667, (776, 2) = -.945071166884036, (776, 3) = .27170107519088627, (777, 1) = 4.464766424175987, (777, 2) = -.9440332864122248, (777, 3) = .27048863930561556, (778, 1) = 4.46114216815681, (778, 2) = -.942996599759938, (778, 3) = .26928100232546404, (779, 1) = 4.457509803106458, (779, 2) = -.9419610964788456, (779, 3) = .2680781350706991, (780, 1) = 4.4538692701023255, (780, 2) = -.9409267661025309, (780, 3) = .2668800083003622, (781, 1) = 4.450220509311245, (781, 2) = -.9398935980715745, (781, 3) = .26568659284425555, (782, 1) = 4.446563460722672, (782, 2) = -.9388615819432733, (782, 3) = .2644978593849913, (783, 1) = 4.442898063816356, (783, 2) = -.9378307072979846, (783, 3) = .26331377945183176, (784, 1) = 4.4392242574980845, (784, 2) = -.9368009637223587, (784, 3) = .26213432489586985, (785, 1) = 4.435541980091756, (785, 2) = -.9357723408086617, (785, 3) = .26095946664355046, (786, 1) = 4.4318511693315354, (786, 2) = -.9347448281541311, (786, 3) = .25978917728600337, (787, 1) = 4.428151762353755, (787, 2) = -.9337184153603135, (787, 3) = .2586234283052813, (788, 1) = 4.424443695688727, (788, 2) = -.9326930920323925, (788, 3) = .25746219241493307, (789, 1) = 4.420726905252379, (789, 2) = -.9316688477785224, (789, 3) = .2563054416740363, (790, 1) = 4.417001326109398, (790, 2) = -.9306456721465308, (790, 3) = .25515314873513273, (791, 1) = 4.413266892490164, (791, 2) = -.929623554631291, (791, 3) = .2540052861766814, (792, 1) = 4.409523538387465, (792, 2) = -.9286024848398536, (792, 3) = .25286182732752743, (793, 1) = 4.405771197153363, (793, 2) = -.9275824523819013, (793, 3) = .2517227448152183, (794, 1) = 4.402009801481231, (794, 2) = -.926563446866609, (794, 3) = .2505880119789547, (795, 1) = 4.398239283396431, (795, 2) = -.9255454579019219, (795, 3) = .24945760236835354, (796, 1) = 4.39445957424693, (796, 2) = -.9245284750938586, (796, 3) = .24833148981045466, (797, 1) = 4.390670604693763, (797, 2) = -.9235124880458048, (797, 3) = .24720964790839275, (798, 1) = 4.3868723047013045, (798, 2) = -.9224974863578023, (798, 3) = .24609205064100378, (799, 1) = 4.383064603523487, (799, 2) = -.9214834596247942, (799, 3) = .24497867239242133, (800, 1) = 4.379247429272529, (800, 2) = -.9204703973243197, (800, 3) = .24386948687899757, (801, 1) = 4.375420709455535, (801, 2) = -.9194582889621093, (801, 3) = .24276446862277212, (802, 1) = 4.371584371126974, (802, 2) = -.9184471241136403, (802, 3) = .24166359262625617, (803, 1) = 4.367738340592666, (803, 2) = -.9174368923472634, (803, 3) = .240566833357428, (804, 1) = 4.363882543399108, (804, 2) = -.9164275832234875, (804, 3) = .23947416541996114, (805, 1) = 4.360016904322435, (805, 2) = -.9154191862942117, (805, 3) = .23838556443639802, (806, 1) = 4.356141347357188, (806, 2) = -.9144116911019547, (806, 3) = .23730100523198747, (807, 1) = 4.352255795704924, (807, 2) = -.9134050871790855, (807, 3) = .2362204634280334, (808, 1) = 4.348360171762686, (808, 2) = -.912399364047057, (808, 3) = .23514391451352026, (809, 1) = 4.344454397055877, (809, 2) = -.9113945112014317, (809, 3) = .23407133424248466, (810, 1) = 4.340538391748515, (810, 2) = -.9103905179890492, (810, 3) = .23300269789099964, (811, 1) = 4.3366120755729645, (811, 2) = -.9093873738498581, (811, 3) = .23193798197046386, (812, 1) = 4.332675367561429, (812, 2) = -.9083850682491956, (812, 3) = .2308771619813308, (813, 1) = 4.328728185879407, (813, 2) = -.9073835906373322, (813, 3) = .22982021461465518, (814, 1) = 4.324770447812782, (814, 2) = -.9063829304486521, (814, 3) = .22876711611279435, (815, 1) = 4.3208020697546266, (815, 2) = -.905383077100816, (815, 3) = .22771784297406938, (816, 1) = 4.316822967191742, (816, 2) = -.9043840199939162, (816, 3) = .22667237187595538, (817, 1) = 4.312833054690917, (817, 2) = -.9033857485095954, (817, 3) = .22563067952711416, (818, 1) = 4.308832245885122, (818, 2) = -.9023882520102335, (818, 3) = .22459274319421393, (819, 1) = 4.304820453277701, (819, 2) = -.9013915197930212, (819, 3) = .22355853937478265, (820, 1) = 4.300797587938624, (820, 2) = -.9003955410183838, (820, 3) = .22252804590433026, (821, 1) = 4.296763560527966, (821, 2) = -.8994003049668072, (821, 3) = .22150123905723362, (822, 1) = 4.292718280767673, (822, 2) = -.8984058009095313, (822, 3) = .22047809726226822, (823, 1) = 4.288661657370977, (823, 2) = -.8974120180938663, (823, 3) = .21945859737858642, (824, 1) = 4.284593598026719, (824, 2) = -.8964189457422715, (824, 3) = .21844271742375668, (825, 1) = 4.280514009383442, (825, 2) = -.8954265730514083, (825, 3) = .21743043521730718, (826, 1) = 4.276422797033144, (826, 2) = -.8944348891911942, (826, 3) = .21642172865788176, (827, 1) = 4.272319865494566, (827, 2) = -.8934438833038021, (827, 3) = .21541657585813118, (828, 1) = 4.268205118196548, (828, 2) = -.8924535445027405, (828, 3) = .21441495485343387, (829, 1) = 4.264078457053707, (829, 2) = -.891463861774402, (829, 3) = .21341684455624108, (830, 1) = 4.259939782677171, (830, 2) = -.8904748240332468, (830, 3) = .2124222220762685, (831, 1) = 4.255788995082733, (831, 2) = -.8894864202941329, (831, 3) = .2114310667182602, (832, 1) = 4.251625993127629, (832, 2) = -.8884986395398656, (832, 3) = .21044335711194825, (833, 1) = 4.247450674488323, (833, 2) = -.8875114707193014, (833, 3) = .20945907184180867, (834, 1) = 4.243262935641344, (834, 2) = -.8865249027462534, (834, 3) = .2084781897584851, (835, 1) = 4.2390626718439215, (835, 2) = -.8855389244984214, (835, 3) = .20750069000598925, (836, 1) = 4.234849777114218, (836, 2) = -.8845535248163109, (836, 3) = .2065265513739171, (837, 1) = 4.2306241442109345, (837, 2) = -.8835686925020769, (837, 3) = .20555575335418727, (838, 1) = 4.226385664594851, (838, 2) = -.8825844163142648, (838, 3) = .20458827523661685, (839, 1) = 4.22213422773428, (839, 2) = -.8816006848111849, (839, 3) = .20362409613036306, (840, 1) = 4.217869722089888, (840, 2) = -.8806174865842115, (840, 3) = .2026631955288246, (841, 1) = 4.213592035132105, (841, 2) = -.8796348102643123, (841, 3) = .2017055532460861, (842, 1) = 4.209301052963044, (842, 2) = -.8786526444380995, (842, 3) = .2007511484021907, (843, 1) = 4.204996660293884, (843, 2) = -.877670977646671, (843, 3) = .1997999614023524, (844, 1) = 4.20067874042131, (844, 2) = -.8766897983843285, (844, 3) = .1988519717603352, (845, 1) = 4.196347175203693, (845, 2) = -.8757090950973292, (845, 3) = .19790715979301737, (846, 1) = 4.192001845036856, (846, 2) = -.8747288561826292, (846, 3) = .1969655052958766, (847, 1) = 4.187642628829004, (847, 2) = -.8737490699865431, (847, 3) = .1960269887753025, (848, 1) = 4.1832694038511145, (848, 2) = -.8727697247756621, (848, 3) = .19509159014128485, (849, 1) = 4.178882045037736, (849, 2) = -.8717908085860705, (849, 3) = .19415928968580265, (850, 1) = 4.174480426454627, (850, 2) = -.8708123095567896, (850, 3) = .19323006796711253, (851, 1) = 4.17006442075271, (851, 2) = -.8698342158107925, (851, 3) = .19230390553978705, (852, 1) = 4.1656338989609365, (852, 2) = -.8688565154133435, (852, 3) = .1913807828302636, (853, 1) = 4.161188730458348, (853, 2) = -.8678791963706314, (853, 3) = .1904606804089803, (854, 1) = 4.156728782944967, (854, 2) = -.8669022466282771, (854, 3) = .1895435796526908, (855, 1) = 4.152253922412226, (855, 2) = -.86592565406983, (855, 3) = .18862946099146138, (856, 1) = 4.147764013112896, (856, 2) = -.864949406515289, (856, 3) = .18771830524538516, (857, 1) = 4.143258917530107, (857, 2) = -.8639734917195434, (857, 3) = .1868100940019619, (858, 1) = 4.138738495987889, (858, 2) = -.8629978972936987, (858, 3) = .1859048077440915, (859, 1) = 4.13420260634944, (859, 2) = -.862022610647092, (859, 3) = .18500242767393227, (860, 1) = 4.129651105489551, (860, 2) = -.8610476193100564, (860, 3) = .18410293542166092, (861, 1) = 4.125083848433031, (861, 2) = -.8600729107523869, (861, 3) = .18320631175212507, (862, 1) = 4.120500688267696, (862, 2) = -.8590984723703222, (862, 3) = .18231253833882524, (863, 1) = 4.11590147610936, (863, 2) = -.8581242914848907, (863, 3) = .18142159675442213, (864, 1) = 4.111286061065581, (864, 2) = -.8571503553401304, (864, 3) = .18053346834862152, (865, 1) = 4.106654290198627, (865, 2) = -.8561766511012953, (865, 3) = .1796481348005365, (866, 1) = 4.102006008487653, (866, 2) = -.855203165853038, (866, 3) = .17876557796038292, (867, 1) = 4.097341058790205, (867, 2) = -.8542298865975978, (867, 3) = .17788577937123676, (868, 1) = 4.09265928103487, (868, 2) = -.8532568000936427, (868, 3) = .17700872063272444, (869, 1) = 4.087960512883795, (869, 2) = -.8522838930026625, (869, 3) = .17613438389857689, (870, 1) = 4.083244590520871, (870, 2) = -.8513111520580603, (870, 3) = .17526275072334777, (871, 1) = 4.078511347841942, (871, 2) = -.8503385639027574, (871, 3) = .1743938032419346, (872, 1) = 4.073760616410592, (872, 2) = -.8493661150870124, (872, 3) = .17352752336923355, (873, 1) = 4.068992225413803, (873, 2) = -.8483937920663747, (873, 3) = .17266389345591354, (874, 1) = 4.064206001616206, (874, 2) = -.8474215811995447, (874, 3) = .17180289573602758, (875, 1) = 4.059401769313348, (875, 2) = -.8464494687461966, (875, 3) = .17094451202281447, (876, 1) = 4.054579350283528, (876, 2) = -.8454774408647032, (876, 3) = .1700887247179997, (877, 1) = 4.049738563678806, (877, 2) = -.8445054835978698, (877, 3) = .16923551651638213, (878, 1) = 4.044879224856194, (878, 2) = -.8435335826475612, (878, 3) = .16838486890954107, (879, 1) = 4.040001147195793, (879, 2) = -.8425617237486857, (879, 3) = .1675367647778009, (880, 1) = 4.0351041418240765, (880, 2) = -.8415898926197262, (880, 3) = .16669118642456437, (881, 1) = 4.030188017089763, (881, 2) = -.8406180748657339, (881, 3) = .16584811655883608, (882, 1) = 4.025252578507887, (882, 2) = -.8396462559757173, (882, 3) = .16500753738329887, (883, 1) = 4.02029762870287, (883, 2) = -.8386744213200715, (883, 3) = .1641694315288156, (884, 1) = 4.015322967350149, (884, 2) = -.8377025561479411, (884, 3) = .16333378199384865, (885, 1) = 4.010328391116506, (885, 2) = -.8367306455845566, (885, 3) = .16250057094680026, (886, 1) = 4.005313693598031, (886, 2) = -.8357586746283587, (886, 3) = .16166978136864749, (887, 1) = 4.0002786649715185, (887, 2) = -.8347866280931475, (887, 3) = .16084139601535827, (888, 1) = 3.9952230909498865, (888, 2) = -.8338144904182273, (888, 3) = .16001539728904424, (889, 1) = 3.9901467552217764, (889, 2) = -.8328422461492856, (889, 3) = .15919176814334593, (890, 1) = 3.9850494383573416, (890, 2) = -.8318698797352447, (890, 3) = .15837049118743238, (891, 1) = 3.9799309175207753, (891, 2) = -.8308973754830967, (891, 3) = .15755154930841792, (892, 1) = 3.974790966398588, (892, 2) = -.8299247175547391, (892, 3) = .15673492560505312, (893, 1) = 3.969629355125765, (893, 2) = -.8289518899636978, (893, 3) = .1559206027877565, (894, 1) = 3.964445850210091, (894, 2) = -.8279788765718085, (894, 3) = .1551085638564518, (895, 1) = 3.9592402144550465, (895, 2) = -.8270056610859189, (895, 3) = .1542987916412656, (896, 1) = 3.9540122068789962, (896, 2) = -.8260322270542233, (896, 3) = .15349126940712815, (897, 1) = 3.9487615818786863, (897, 2) = -.8250585577230493, (897, 3) = .1526859799973861, (898, 1) = 3.9434880890453643, (898, 2) = -.8240846360176922, (898, 3) = .15188290600346935, (899, 1) = 3.938191475381353, (899, 2) = -.8231104449646199, (899, 3) = .15108203039693585, (900, 1) = 3.932871483803468, (900, 2) = -.8221359674248423, (900, 3) = .15028333627758936, (901, 1) = 3.9275278530059285, (901, 2) = -.821161186081503, (901, 3) = .14948680695668753, (902, 1) = 3.922160317366879, (902, 2) = -.8201860834359451, (902, 3) = .14869242513544248, (903, 1) = 3.916768606851486, (903, 2) = -.8192106418035389, (903, 3) = .14790017403545896, (904, 1) = 3.9113524469123337, (904, 2) = -.8182348433094013, (904, 3) = .1471100366811566, (905, 1) = 3.905911558388191, (905, 2) = -.8172586698842333, (905, 3) = .1463219961404361, (906, 1) = 3.9004456573906245, (906, 2) = -.8162821032583853, (906, 3) = .14553603536944798, (907, 1) = 3.894954453649769, (907, 2) = -.81530512468282, (907, 3) = .14475213760335254, (908, 1) = 3.8894376522296352, (908, 2) = -.8143277152531607, (908, 3) = .1439702851393879, (909, 1) = 3.8838949542819803, (909, 2) = -.8133498560567232, (909, 3) = .1431904612232721, (910, 1) = 3.878326055781369, (910, 2) = -.8123715279622342, (910, 3) = .14241264907989867, (911, 1) = 3.8727306474025274, (911, 2) = -.8113927116145415, (911, 3) = .14163683171861347, (912, 1) = 3.8671084143961783, (912, 2) = -.8104133874295743, (912, 3) = .14086299173783612, (913, 1) = 3.8614590364600723, (913, 2) = -.8094335355889632, (913, 3) = .1400911127968976, (914, 1) = 3.855782187605831, (914, 2) = -.8084531360344552, (914, 3) = .1393211770727143, (915, 1) = 3.8500775360234987, (915, 2) = -.8074721684624876, (915, 3) = .13855316800743447, (916, 1) = 3.8443447437531124, (916, 2) = -.8064906122863301, (916, 3) = .13778706849815145, (917, 1) = 3.8385834645383103, (917, 2) = -.8055084462903815, (917, 3) = .13702286100532063, (918, 1) = 3.832793347379439, (918, 2) = -.8045256492592525, (918, 3) = .1362605283324531, (919, 1) = 3.8269740355381203, (919, 2) = -.8035421998240001, (919, 3) = .13550005319872194, (920, 1) = 3.8211251656975915, (920, 2) = -.8025580763388822, (920, 3) = .13474141837568285, (921, 1) = 3.815246367796579, (921, 2) = -.8015732568743681, (921, 3) = .1339846066869797, (922, 1) = 3.8093372648610275, (922, 2) = -.8005877192104665, (922, 3) = .13322960068748196, (923, 1) = 3.803397472829447, (923, 2) = -.7996014408296857, (923, 3) = .13247638347620844, (924, 1) = 3.7974266003719688, (924, 2) = -.7986143989096707, (924, 3) = .13172493716246222, (925, 1) = 3.7914242487051024, (925, 2) = -.7976265703158765, (925, 3) = .13097524459763768, (926, 1) = 3.785390010685219, (926, 2) = -.7966379314770964, (926, 3) = .13022728799154198, (927, 1) = 3.779323469113713, (927, 2) = -.7956484581366379, (927, 3) = .12948104939227062, (928, 1) = 3.7732242011541395, (928, 2) = -.7946581261010582, (928, 3) = .12873651155274313, (929, 1) = 3.7670917759804294, (929, 2) = -.7936669108777684, (929, 3) = .12799365645924227, (930, 1) = 3.760925754276727, (930, 2) = -.792674787620193, (930, 3) = .1272524660400948, (931, 1) = 3.754725688008792, (931, 2) = -.7916817311184817, (931, 3) = .1265129231330174, (932, 1) = 3.7484911201910176, (932, 2) = -.7906877157904519, (932, 3) = .12577500914754722, (933, 1) = 3.74222158464492, (933, 2) = -.7896927156721726, (933, 3) = .12503870662508362, (934, 1) = 3.7359166057488578, (934, 2) = -.7886967044081531, (934, 3) = .1243039974621551, (935, 1) = 3.729575698178729, (935, 2) = -.787699655241161, (935, 3) = .1235708629766687, (936, 1) = 3.7231983648451776, (936, 2) = -.786701540721536, (936, 3) = .12283928490461639, (937, 1) = 3.7167840972250312, (937, 2) = -.7857023327975633, (937, 3) = .12210924493859907, (938, 1) = 3.710332378913779, (938, 2) = -.784702003402593, (938, 3) = .12138072426417151, (939, 1) = 3.703842682691036, (939, 2) = -.7837005240278412, (939, 3) = .12065370400468049, (940, 1) = 3.697314470184231, (940, 2) = -.782697865706109, (940, 3) = .119928166106847, (941, 1) = 3.690747191547686, (941, 2) = -.7816939989992683, (941, 3) = .1192040914981859, (942, 1) = 3.6841402851326355, (942, 2) = -.7806888939857323, (942, 3) = .11848146097530513, (943, 1) = 3.6774931771449197, (943, 2) = -.7796825202474622, (943, 3) = .11776025566071609, (944, 1) = 3.6708052812915, (944, 2) = -.7786748468567414, (944, 3) = .11704045621176642, (945, 1) = 3.66407599834628, (945, 2) = -.7776658423523855, (945, 3) = .11632204341558726, (946, 1) = 3.6573047123166056, (946, 2) = -.7766554742118172, (946, 3) = .11560499753762693, (947, 1) = 3.6504907947841714, (947, 2) = -.7756437095506622, (947, 3) = .11488929833857825, (948, 1) = 3.643633605231083, (948, 2) = -.7746305152115801, (948, 3) = .11417492645745049, (949, 1) = 3.6367324886296455, (949, 2) = -.7736158574503107, (949, 3) = .11346186141779255, (950, 1) = 3.62978677500189, (950, 2) = -.7725997019196928, (950, 3) = .11275008321439788, (951, 1) = 3.6227957789577365, (951, 2) = -.7715820136524716, (951, 3) = .11203957179536377, (952, 1) = 3.6157587992158855, (952, 2) = -.7705627570436027, (952, 3) = .11133030628812245, (953, 1) = 3.6086751181048506, (953, 2) = -.7695418958317819, (953, 3) = .11062226595724992, (954, 1) = 3.601544001050187, (954, 2) = -.7685193930811595, (954, 3) = .10991543001982347, (955, 1) = 3.5943646954177133, (955, 2) = -.7674952110736497, (955, 3) = .10920977729082039, (956, 1) = 3.5871364258357032, (956, 2) = -.7664693107078298, (956, 3) = .10850528577292509, (957, 1) = 3.5798584020157915, (957, 2) = -.7654416526785766, (957, 3) = .10780193395450888, (958, 1) = 3.5725298155968956, (958, 2) = -.7644121970845492, (958, 3) = .10709969977420251, (959, 1) = 3.5651498383569136, (959, 2) = -.7633809032401232, (959, 3) = .10639856141580978, (960, 1) = 3.5577176215541018, (960, 2) = -.7623477296517932, (960, 3) = .10569849606657862, (961, 1) = 3.550232295241451, (961, 2) = -.7613126339937705, (961, 3) = .10499948168278399, (962, 1) = 3.542692967551032, (962, 2) = -.7602755730824827, (962, 3) = .10430149508421593, (963, 1) = 3.5350987239436207, (963, 2) = -.7592365028495268, (963, 3) = .10360451301714678, (964, 1) = 3.527448626439968, (964, 2) = -.7581953783154726, (964, 3) = .10290851200185698, (965, 1) = 3.519741710699545, (965, 2) = -.7571521532765059, (965, 3) = .10221346828594301, (966, 1) = 3.511976982703008, (966, 2) = -.7561067799507761, (966, 3) = .10151935695267195, (967, 1) = 3.5041534279504205, (967, 2) = -.7550592103106775, (967, 3) = .10082615359721192, (968, 1) = 3.4962700053964824, (968, 2) = -.7540093953479066, (968, 3) = .10013383335646323, (969, 1) = 3.488325646060507, (969, 2) = -.7529572849826484, (969, 3) = 0.9944237112912387e-1, (970, 1) = 3.480319252008333, (970, 2) = -.7519028280278632, (970, 3) = 0.9875174124511953e-1, (971, 1) = 3.4722496952960626, (971, 2) = -.7508459721532149, (971, 3) = 0.9806191772242444e-1, (972, 1) = 3.4641158168636377, (972, 2) = -.7497866638473107, (972, 3) = 0.9737287411166187e-1, (973, 1) = 3.455916425365824, (973, 2) = -.7487248483769302, (973, 3) = 0.966845837755455e-1, (974, 1) = 3.447650295972863, (974, 2) = -.7476604697477275, (974, 3) = 0.9599701965806805e-1, (975, 1) = 3.4393161638014718, (975, 2) = -.7465934699849848, (975, 3) = 0.9531015306231787e-1, (976, 1) = 3.430912726243072, (976, 2) = -.7455237895729435, (976, 3) = 0.9462395571560839e-1, (977, 1) = 3.4224386490159646, (977, 2) = -.7444513683540807, (977, 3) = 0.9393839867428519e-1, (978, 1) = 3.413892558793868, (978, 2) = -.7433761447179665, (978, 3) = 0.932534527814449e-1, (979, 1) = 3.4052730416629333, (979, 2) = -.742298055549961, (979, 3) = 0.925690881465148e-1, (980, 1) = 3.3965786414879373, (980, 2) = -.7412170361759102, (980, 3) = 0.918852747933986e-1, (981, 1) = 3.3878078582120703, (981, 2) = -.7401330203063489, (981, 3) = 0.9120198100705484e-1, (982, 1) = 3.378959146072118, (982, 2) = -.7390459399784055, (982, 3) = 0.905191758702132e-1, (983, 1) = 3.3700309117007734, (983, 2) = -.737955725492434, (983, 3) = 0.898368268148359e-1, (984, 1) = 3.3610215117853217, (984, 2) = -.7368623053040342, (984, 3) = 0.8915490106750378e-1, (985, 1) = 3.3519292412617836, (985, 2) = -.7357656047890863, (985, 3) = 0.8847336416769427e-1, (986, 1) = 3.3427523457981128, (986, 2) = -.7346655479649394, (986, 3) = 0.8779218174032176e-1, (987, 1) = 3.3334890191407585, (987, 2) = -.7335620573589823, (987, 3) = 0.8711131832095866e-1, (988, 1) = 3.324137396263096, (988, 2) = -.7324550533945144, (988, 3) = 0.8643073821435335e-1, (989, 1) = 3.3146955508088034, (989, 2) = -.7313444543118856, (989, 3) = 0.8575040432570097e-1, (990, 1) = 3.305161492344388, (990, 2) = -.7302301760799329, (990, 3) = 0.8507027918302915e-1, (991, 1) = 3.2955331634780425, (991, 2) = -.7291121323054557, (991, 3) = 0.8439032455256393e-1, (992, 1) = 3.285808436824046, (992, 2) = -.7279902341391515, (992, 3) = 0.8371050038399871e-1, (993, 1) = 3.2759851117656837, (993, 2) = -.7268643901736278, (993, 3) = 0.8303076665264408e-1, (994, 1) = 3.2660609085401235, (994, 2) = -.7257345060536596, (994, 3) = 0.8235108153007695e-1, (995, 1) = 3.2560334533121416, (995, 2) = -.7246004830993068, (995, 3) = 0.8167140140397555e-1, (996, 1) = 3.245900299555387, (996, 2) = -.7234622210636649, (996, 3) = 0.8099168210254895e-1, (997, 1) = 3.235658914992138, (997, 2) = -.7223196169654039, (997, 3) = 0.8031187879213024e-1, (998, 1) = 3.225306674623828, (998, 2) = -.7211725646555778, (998, 3) = 0.796319449737305e-1, (999, 1) = 3.2148408561839226, (999, 2) = -.7200209546842852, (999, 3) = 0.7895183305238608e-1, (1000, 1) = 3.2042586352341287, (1000, 2) = -.7188646741519209, (1000, 3) = 0.7827149443372045e-1, (1001, 1) = 3.1935570799686492, (1001, 2) = -.7177036065542065, (1001, 3) = 0.775908781100114e-1, (1002, 1) = 3.1827331456965684, (1002, 2) = -.7165376316197157, (1002, 3) = 0.7690993244661307e-1, (1003, 1) = 3.1717836689660137, (1003, 2) = -.7153666251380885, (1003, 3) = 0.7622860393773556e-1, (1004, 1) = 3.16070535263585, (1004, 2) = -.7141904578616121, (1004, 3) = 0.7554683676369392e-1, (1005, 1) = 3.149494754227805, (1005, 2) = -.7130089948250421, (1005, 3) = 0.7486457247802836e-1, (1006, 1) = 3.1381483097407883, (1006, 2) = -.7118220984203636, (1006, 3) = 0.7418175220554012e-1, (1007, 1) = 3.1266623090814156, (1007, 2) = -.7106296263600643, (1007, 3) = 0.7349831483035514e-1, (1008, 1) = 3.115032886899379, (1008, 2) = -.7094314313422542, (1008, 3) = 0.7281419707442047e-1, (1009, 1) = 3.1032560138419183, (1009, 2) = -.7082273608075482, (1009, 3) = 0.7212933425317367e-1, (1010, 1) = 3.091327487099076, (1010, 2) = -.7070172566720992, (1010, 3) = 0.7144365799193825e-1, (1011, 1) = 3.0792429202726743, (1011, 2) = -.70580095504485, (1011, 3) = 0.7075709883736417e-1, (1012, 1) = 3.0669977324738897, (1012, 2) = -.704578285924166, (1012, 3) = 0.700695839915531e-1, (1013, 1) = 3.054587136719516, (1013, 2) = -.7033490728860979, (1013, 3) = 0.6938103790604062e-1, (1014, 1) = 3.0420061033626933, (1014, 2) = -.7021131303954071, (1014, 3) = 0.6869138128447388e-1, (1015, 1) = 3.029249368430372, (1015, 2) = -.7008702656616782, (1015, 3) = 0.6800053139481475e-1, (1016, 1) = 3.0163114396197144, (1016, 2) = -.6996202802416656, (1016, 3) = 0.673084034718721e-1, (1017, 1) = 3.003186561049119, (1017, 2) = -.6983629676901879, (1017, 3) = 0.6661490890171046e-1, (1018, 1) = 2.989868695905927, (1018, 2) = -.6970981130899891, (1018, 3) = 0.6591995565603959e-1, (1019, 1) = 2.9763515078634617, (1019, 2) = -.6958254925674257, (1019, 3) = 0.6522344830476319e-1, (1020, 1) = 2.962628340832095, (1020, 2) = -.6945448727627999, (1020, 3) = 0.6452528614119238e-1, (1021, 1) = 2.948693761526925, (1021, 2) = -.6932561543027344, (1021, 3) = 0.6382544234382644e-1, (1022, 1) = 2.9345961171093253, (1022, 2) = -.6919641614144931, (1022, 3) = 0.6312654494571122e-1, (1023, 1) = 2.9204554415770803, (1023, 2) = -.6906800348793191, (1023, 3) = 0.62434579340688835e-1, (1024, 1) = 2.9063408882656208, (1024, 2) = -.6894099577071953, (1024, 3) = 0.6175278933903194e-1, (1025, 1) = 2.8922521719143797, (1025, 2) = -.6881537240279098, (1025, 3) = 0.6108095450864924e-1, (1026, 1) = 2.8781890114280695, (1026, 2) = -.6869111324199191, (1026, 3) = 0.6041885997057327e-1, (1027, 1) = 2.864151129786936, (1027, 2) = -.6856819857889158, (1027, 3) = 0.5976629756798894e-1, (1028, 1) = 2.8501382539594537, (1028, 2) = -.6844660912504317, (1028, 3) = 0.591230638753422e-1, (1029, 1) = 2.8361501148173796, (1029, 2) = -.6832632600163451, (1029, 3) = 0.5848896154701137e-1, (1030, 1) = 2.8221864470530984, (1030, 2) = -.6820733072851219, (1030, 3) = 0.57863798571488254e-1, (1031, 1) = 2.8082469890991635, (1031, 2) = -.6808960521356459, (1031, 3) = 0.5724738688720724e-1, (1032, 1) = 2.7943314830499935, (1032, 2) = -.6797313174245226, (1032, 3) = 0.5663954533231018e-1, (1033, 1) = 2.780439674585604, (1033, 2) = -.6785789296866873, (1033, 3) = 0.56040095634053835e-1, (1034, 1) = 2.7665713128973706, (1034, 2) = -.6774387190392258, (1034, 3) = 0.5544886564445204e-1, (1035, 1) = 2.7527261506157163, (1035, 2) = -.6763105190882629, (1035, 3) = 0.54865686538943595e-1, (1036, 1) = 2.738903943739664, (1036, 2) = -.6751941668388168, (1036, 3) = 0.54290394206803316e-1, (1037, 1) = 2.7251044515682126, (1037, 2) = -.674089502607508, (1037, 3) = 0.537228294702946e-1, (1038, 1) = 2.711327436633475, (1038, 2) = -.6729963699379985, (1038, 3) = 0.5316283610255445e-1, (1039, 1) = 2.6975726646355054, (1039, 2) = -.6719146155190918, (1039, 3) = 0.5261026214923877e-1, (1040, 1) = 2.6838399043787895, (1040, 2) = -.6708440891053701, (1040, 3) = 0.5206496022090164e-1, (1041, 1) = 2.6701289277103157, (1041, 2) = -.6697846434402797, (1041, 3) = 0.5152678529990072e-1, (1042, 1) = 2.656439509459221, (1042, 2) = -.6687361341815952, (1042, 3) = 0.50995597307187855e-1, (1043, 1) = 2.6427714273779017, (1043, 2) = -.6676984198291477, (1043, 3) = 0.50471258697419634e-1, (1044, 1) = 2.6291244620846217, (1044, 2) = -.6666713616547588, (1044, 3) = 0.4995363574842639e-1, (1045, 1) = 2.6154983970075003, (1045, 2) = -.6656548236342896, (1045, 3) = 0.4944259789786616e-1, (1046, 1) = 2.6018930183298785, (1046, 2) = -.6646486723817344, (1046, 3) = 0.4893801771976776e-1, (1047, 1) = 2.5883081149370155, (1047, 2) = -.6636527770852816, (1047, 3) = 0.4843977065302928e-1, (1048, 1) = 2.5747434783640815, (1048, 2) = -.662667009445288, (1048, 3) = 0.4794773608009967e-1, (1049, 1) = 2.5611989027453714, (1049, 2) = -.6616912436140676, (1049, 3) = 0.47461794570404114e-1, (1050, 1) = 2.547674184764775, (1050, 2) = -.6607253561374784, (1050, 3) = 0.46981831339693414e-1, (1051, 1) = 2.5341691236073847, (1051, 2) = -.6597692258981954, (1051, 3) = 0.4650773313933322e-1, (1052, 1) = 2.520683520912267, (1052, 2) = -.6588227340606521, (1052, 3) = 0.4603939008288285e-1, (1053, 1) = 2.5072171807263413, (1053, 2) = -.6578857640175657, (1053, 3) = 0.4557669399253443e-1, (1054, 1) = 2.4937699094593313, (1054, 2) = -.6569582013380137, (1054, 3) = 0.4511953976491535e-1, (1055, 1) = 2.480341515839774, (1055, 2) = -.6560399337169933, (1055, 3) = 0.4466782510358356e-1, (1056, 1) = 2.466931810872032, (1056, 2) = -.6551308509264155, (1056, 3) = 0.44221449221978286e-1, (1057, 1) = 2.453540607794301, (1057, 2) = -.6542308447675003, (1057, 3) = 0.437803141394999e-1, (1058, 1) = 2.440167722037579, (1058, 2) = -.6533398090245097, (1058, 3) = 0.4334432430872842e-1, (1059, 1) = 2.4268129711855653, (1059, 2) = -.6524576394197766, (1059, 3) = 0.4291338567477787e-1, (1060, 1) = 2.4134761749354645, (1060, 2) = -.6515842335700027, (1060, 3) = 0.4248740725670805e-1, (1061, 1) = 2.4001571550596847, (1061, 2) = -.650719490943756, (1061, 3) = 0.4206629875147623e-1, (1062, 1) = 2.3868557353683637, (1062, 2) = -.6498633128201632, (1062, 3) = 0.4164997321709974e-1, (1063, 1) = 2.3735717416727655, (1063, 2) = -.64901560224872, (1063, 3) = 0.41238344428720645e-1, (1064, 1) = 2.3603050017494644, (1064, 2) = -.6481762640102218, (1064, 3) = 0.4083132959799707e-1, (1065, 1) = 2.3470553453053187, (1065, 2) = -.6473452045787427, (1065, 3) = 0.40428846090548476e-1, (1066, 1) = 2.3338226039432213, (1066, 2) = -.6465223320846605, (1066, 3) = 0.4003081453670031e-1, (1067, 1) = 2.320606611128583, (1067, 2) = -.6457075562786679, (1067, 3) = 0.396371555850947e-1, (1068, 1) = 2.307407202156556, (1068, 2) = -.6449007884967682, (1068, 3) = 0.3924779351129752e-1, (1069, 1) = 2.294224214119955, (1069, 2) = -.6441019416261848, (1069, 3) = 0.3886265251031263e-1, (1070, 1) = 2.281057485877868, (1070, 2) = -.6433109300722026, (1070, 3) = 0.38481660128201915e-1, (1071, 1) = 2.267906858024934, (1071, 2) = -.6425276697258648, (1071, 3) = 0.3810474366173179e-1, (1072, 1) = 2.254772172861284, (1072, 2) = -.6417520779325442, (1072, 3) = 0.3773183288023407e-1, (1073, 1) = 2.241653274363096, (1073, 2) = -.6409840734613235, (1073, 3) = 0.3736285926711988e-1, (1074, 1) = 2.2285500081537912, (1074, 2) = -.6402235764751839, (1074, 3) = 0.3699775522614819e-1, (1075, 1) = 2.2154622214758093, (1075, 2) = -.639470508501964, (1075, 3) = 0.3663645442447335e-1, (1076, 1) = 2.2023897631629947, (1076, 2) = -.6387247924060816, (1076, 3) = 0.3627889305938215e-1, (1077, 1) = 2.1893324836135304, (1077, 2) = -.6379863523609682, (1077, 3) = 0.35925006685705474e-1, (1078, 1) = 2.1762902347634387, (1078, 2) = -.6372551138222293, (1078, 3) = 0.3557473407573792e-1, (1079, 1) = 2.163262870060627, (1079, 2) = -.6365310035014743, (1079, 3) = 0.3522801422470941e-1, (1080, 1) = 2.150250244439461, (1080, 2) = -.6358139493408247, (1080, 3) = 0.34884787689494594e-1, (1081, 1) = 2.137252214295845, (1081, 2) = -.6351038804880602, (1081, 3) = 0.3454499540586971e-1, (1082, 1) = 2.1242686374628126, (1082, 2) = -.634400727272399, (1082, 3) = 0.34208581057635905e-1, (1083, 1) = 2.111299373186601, (1083, 2) = -.6337044211808766, (1083, 3) = 0.3387548840261162e-1, (1084, 1) = 2.098344282103207, (1084, 2) = -.633014894835323, (1084, 3) = 0.33545662257027556e-1, (1085, 1) = 2.0854032262154094, (1085, 2) = -.6323320819699131, (1085, 3) = 0.3321904919599114e-1, (1086, 1) = 2.072476068870228, (1086, 2) = -.6316559174092681, (1086, 3) = 0.32895595945566375e-1, (1087, 1) = 2.0595626747368563, (1087, 2) = -.6309863370471035, (1087, 3) = 0.3257525129118939e-1, (1088, 1) = 2.0466629097849913, (1088, 2) = -.6303232778253981, (1088, 3) = 0.3225796365324438e-1, (1089, 1) = 2.033776641263616, (1089, 2) = -.6296666777140775, (1089, 3) = 0.31943684523050596e-1, (1090, 1) = 2.0209037376801597, (1090, 2) = -.6290164756911841, (1090, 3) = 0.31632363907807125e-1, (1091, 1) = 2.008044068780092, (1091, 2) = -.6283726117235416, (1091, 3) = 0.3132395444174183e-1, (1092, 1) = 1.99519750552688, (1092, 2) = -.6277350267478775, (1092, 3) = 0.3101840910445237e-1, (1093, 1) = 1.9823639200823444, (1093, 2) = -.6271036626524027, (1093, 3) = 0.30715681958316688e-1, (1094, 1) = 1.9695431857873797, (1094, 2) = -.6264784622588317, (1094, 3) = 0.30415727358853752e-1, (1095, 1) = 1.956735177143042, (1095, 2) = -.6258593693048417, (1095, 3) = 0.3011850150932851e-1, (1096, 1) = 1.9439397697919847, (1096, 2) = -.6252463284269335, (1096, 3) = 0.29823960747989774e-1, (1097, 1) = 1.9311568405002533, (1097, 2) = -.6246392851437106, (1097, 3) = 0.29532062037484336e-1, (1098, 1) = 1.918391850764444, (1098, 2) = -.624038447490266, (1098, 3) = 0.2924288956010215e-1, (1099, 1) = 1.9057289342999195, (1099, 2) = -.6234476691293935, (1099, 3) = 0.28958283927340556e-1, (1100, 1) = 1.893263007717996, (1100, 2) = -.6228711636788272, (1100, 3) = 0.28680270608598152e-1, (1101, 1) = 1.8810206634522373, (1101, 2) = -.6223098779953391, (1101, 3) = 0.2840930613382361e-1, (1102, 1) = 1.868994092311803, (1102, 2) = -.6217631674861644, (1102, 3) = 0.2814508178796085e-1, (1103, 1) = 1.8571759064419133, (1103, 2) = -.621230426203382, (1103, 3) = 0.2788730758982778e-1, (1104, 1) = 1.845559101556719, (1104, 2) = -.6207110835219171, (1104, 3) = 0.2763571163288412e-1, (1105, 1) = 1.8341370178361938, (1105, 2) = -.6202046009370928, (1105, 3) = 0.27390037183118218e-1, (1106, 1) = 1.8229033178096845, (1106, 2) = -.6197104697745819, (1106, 3) = 0.27150043340984958e-1, (1107, 1) = 1.8118519660566088, (1107, 2) = -.6192282091002057, (1107, 3) = 0.2691550186639886e-1, (1108, 1) = 1.8009772104189707, (1108, 2) = -.618757363803581, (1108, 3) = 0.2668619738760209e-1, (1109, 1) = 1.7902735645925736, (1109, 2) = -.6182975028388497, (1109, 3) = 0.2646192663925484e-1, (1110, 1) = 1.7797357921999775, (1110, 2) = -.617848217617023, (1110, 3) = 0.26242497661905066e-1, (1111, 1) = 1.7693588876177238, (1111, 2) = -.6174091203413785, (1111, 3) = 0.26027727714441083e-1, (1112, 1) = 1.7591380487060644, (1112, 2) = -.6169798420846798, (1112, 3) = 0.2581744435143715e-1, (1113, 1) = 1.7490687037366666, (1113, 2) = -.6165600332079432, (1113, 3) = 0.25611482849099722e-1, (1114, 1) = 1.7391464809336488, (1114, 2) = -.6161493613995339, (1114, 3) = 0.25409689181052762e-1, (1115, 1) = 1.7293671936478774, (1115, 2) = -.6157475104435222, (1115, 3) = 0.25211914895946357e-1, (1116, 1) = 1.7197268300626627, (1116, 2) = -.6153541792287269, (1116, 3) = 0.25018020333604594e-1, (1117, 1) = 1.7102215436783146, (1117, 2) = -.6149690808344402, (1117, 3) = 0.24827871462964366e-1, (1118, 1) = 1.7008476444099205, (1118, 2) = -.6145919416819586, (1118, 3) = 0.24641342133193234e-1, (1119, 1) = 1.6916015902315449, (1119, 2) = -.6142225007455989, (1119, 3) = 0.2445831030851392e-1, (1120, 1) = 1.6824799794547278, (1120, 2) = -.6138605088234644, (1120, 3) = 0.24278661927280683e-1, (1121, 1) = 1.673479537051113, (1121, 2) = -.6135057276058336, (1121, 3) = 0.2410228542023149e-1, (1122, 1) = 1.6645971078937816, (1122, 2) = -.6131579290526971, (1122, 3) = 0.23929076551224476e-1, (1123, 1) = 1.6558296711407474, (1123, 2) = -.6128168956172292, (1123, 3) = 0.23758934470645022e-1, (1124, 1) = 1.6471743200660955, (1124, 2) = -.6124824191312714, (1124, 3) = 0.2359176417249233e-1, (1125, 1) = 1.638628255995633, (1125, 2) = -.6121543002752555, (1125, 3) = 0.2342747289616831e-1, (1126, 1) = 1.6301887830167754, (1126, 2) = -.6118323480991774, (1126, 3) = 0.2326597410604933e-1, (1127, 1) = 1.621853303048242, (1127, 2) = -.6115163795764564, (1127, 3) = 0.23107182959521556e-1, (1128, 1) = 1.6136193111967145, (1128, 2) = -.611206219186382, (1128, 3) = 0.2295101949875242e-1, (1129, 1) = 1.6054843913604078, (1129, 2) = -.6109016985222121, (1129, 3) = 0.2279740637238685e-1, (1130, 1) = 1.59744621209884, (1130, 2) = -.6106026559244376, (1130, 3) = 0.22646270187668658e-1, (1131, 1) = 1.5895025148625919, (1131, 2) = -.6103089358465364, (1131, 3) = 0.2249753951126367e-1, (1132, 1) = 1.581651120616376, (1132, 2) = -.6100203889183039, (1132, 3) = 0.22351146576370235e-1, (1133, 1) = 1.5738899308939602, (1133, 2) = -.609736871804611, (1133, 3) = 0.22207025462600026e-1, (1134, 1) = 1.5662169174600893, (1134, 2) = -.6094582466572802, (1134, 3) = 0.22065114192319497e-1, (1135, 1) = 1.5586301192575107, (1135, 2) = -.6091843808490114, (1135, 3) = 0.21925351750570414e-1, (1136, 1) = 1.551127639474644, (1136, 2) = -.6089151467213715, (1136, 3) = 0.21787680874942032e-1, (1137, 1) = 1.5437076427878715, (1137, 2) = -.6086504213480931, (1137, 3) = 0.21652044953649103e-1, (1138, 1) = 1.53636835275081, (1138, 2) = -.6083900863120658, (1138, 3) = 0.2151839091796822e-1, (1139, 1) = 1.5291080493129146, (1139, 2) = -.6081340274947644, (1139, 3) = 0.21386666685150043e-1, (1140, 1) = 1.5219250659198866, (1140, 2) = -.6078821348584604, (1140, 3) = 0.21256822683754784e-1, (1141, 1) = 1.5148177809281833, (1141, 2) = -.6076343020382592, (1141, 3) = 0.21128810547045e-1, (1142, 1) = 1.5077846282229574, (1142, 2) = -.6073904266119984, (1142, 3) = 0.2100258440432004e-1, (1143, 1) = 1.500824091922289, (1143, 2) = -.6071504098140698, (1143, 3) = 0.2087809913990607e-1, (1144, 1) = 1.493934701842678, (1144, 2) = -.6069141562848885, (1144, 3) = 0.20755312033414e-1, (1145, 1) = 1.4871150317046835, (1145, 2) = -.606681573921879, (1145, 3) = 0.20634181243478305e-1, (1146, 1) = 1.48036369740643, (1146, 2) = -.6064525737377021, (1146, 3) = 0.20514666913337882e-1, (1147, 1) = 1.473679355385865, (1147, 2) = -.606227069726122, (1147, 3) = 0.2039673032559934e-1, (1148, 1) = 1.4670607010613803, (1148, 2) = -.6060049787348617, (1148, 3) = 0.20280333694426902e-1, (1149, 1) = 1.4605064673508363, (1149, 2) = -.605786220345176, (1149, 3) = 0.2016544119895435e-1, (1150, 1) = 1.454015421861142, (1150, 2) = -.6055707167112505, (1150, 3) = 0.20052018025237355e-1, (1151, 1) = 1.4475863626235927, (1151, 2) = -.605358392356772, (1151, 3) = 0.19940029565182992e-1, (1152, 1) = 1.441218126748924, (1152, 2) = -.6051491744012322, (1152, 3) = 0.1982944335680381e-1, (1153, 1) = 1.4349095842318884, (1153, 2) = -.6049429922950975, (1153, 3) = 0.19720228128982397e-1, (1154, 1) = 1.4286596360571069, (1154, 2) = -.6047397777026693, (1154, 3) = 0.1961235284614569e-1, (1155, 1) = 1.4224672130872882, (1155, 2) = -.6045394644137766, (1155, 3) = 0.19505787829159512e-1, (1156, 1) = 1.4163312749949548, (1156, 2) = -.6043419882595464, (1156, 3) = 0.1940050454527754e-1, (1157, 1) = 1.4102508092421444, (1157, 2) = -.6041472870322463, (1157, 3) = 0.19296474566291362e-1, (1158, 1) = 1.4042248301019635, (1158, 2) = -.6039553004088536, (1158, 3) = 0.19193671776651246e-1, (1159, 1) = 1.3982523777320124, (1159, 2) = -.6037659698785246, (1159, 3) = 0.19092069347418177e-1, (1160, 1) = 1.392332515020097, (1160, 2) = -.6035792386021103, (1160, 3) = 0.18991641969123525e-1, (1161, 1) = 1.3864643276700568, (1161, 2) = -.6033950513772408, (1161, 3) = 0.1889236485864192e-1, (1162, 1) = 1.380646928656804, (1162, 2) = -.6032133547405341, (1162, 3) = 0.18794214606483145e-1, (1163, 1) = 1.3748794535201176, (1163, 2) = -.6030340967827381, (1163, 3) = 0.18697167014100673e-1, (1164, 1) = 1.3691610595434804, (1164, 2) = -.6028572270891024, (1164, 3) = 0.186012007191677e-1, (1165, 1) = 1.3634909250352427, (1165, 2) = -.6026826966845622, (1165, 3) = 0.18506293015646234e-1, (1166, 1) = 1.3578682486391176, (1166, 2) = -.6025104579813726, (1166, 3) = 0.18412422967327997e-1, (1167, 1) = 1.352292248673003, (1167, 2) = -.6023404647290567, (1167, 3) = 0.18319569916394513e-1, (1168, 1) = 1.3467621624900161, (1168, 2) = -.602172671966411, (1168, 3) = 0.18227714132504267e-1, (1169, 1) = 1.3412772458371662, (1169, 2) = -.6020070359747569, (1169, 3) = 0.1813683547194123e-1, (1170, 1) = 1.33583676941031, (1170, 2) = -.6018435141484021, (1170, 3) = 0.1804691562770412e-1, (1171, 1) = 1.3304400225223432, (1171, 2) = -.6016820650809729, (1171, 3) = 0.17957935300413383e-1, (1172, 1) = 1.3250863131437318, (1172, 2) = -.6015226485415538, (1172, 3) = 0.17869877270130726e-1, (1173, 1) = 1.3197749654415907, (1173, 2) = -.6013652253774551, (1173, 3) = 0.17782723919094776e-1, (1174, 1) = 1.3145053192811733, (1174, 2) = -.601209757477403, (1174, 3) = 0.17696458473859537e-1, (1175, 1) = 1.3092767297448216, (1175, 2) = -.6010562077361947, (1175, 3) = 0.17611063697743002e-1, (1176, 1) = 1.304088566670594, (1176, 2) = -.6009045400208672, (1176, 3) = 0.17526524285438428e-1, (1177, 1) = 1.2989402142091564, (1177, 2) = -.6007547191382548, (1177, 3) = 0.1744282379592925e-1, (1178, 1) = 1.2938310703926597, (1178, 2) = -.6006067108037483, (1178, 3) = 0.17359947770417414e-1, (1179, 1) = 1.2887605464248577, (1179, 2) = -.6004604816028184, (1179, 3) = 0.17277881189994973e-1, (1180, 1) = 1.2837280640731117, (1180, 2) = -.6003159988991628, (1180, 3) = 0.1719660923826562e-1, (1181, 1) = 1.2787330601263542, (1181, 2) = -.6001732309467734, (1181, 3) = 0.17116117652661824e-1, (1182, 1) = 1.2737749844221469, (1182, 2) = -.6000321468163979, (1182, 3) = 0.17036393084915422e-1, (1183, 1) = 1.2688532987502195, (1183, 2) = -.5998927163486824, (1183, 3) = 0.16957421990991907e-1, (1184, 1) = 1.2639674765122366, (1184, 2) = -.5997549101297879, (1184, 3) = 0.1687919115982291e-1, (1185, 1) = 1.259117002390722, (1185, 2) = -.5996186994678689, (1185, 3) = 0.16801687819773137e-1, (1186, 1) = 1.254301372030724, (1186, 2) = -.5994840563704793, (1186, 3) = 0.16724900141258856e-1, (1187, 1) = 1.249520091733908, (1187, 2) = -.5993509535228686, (1187, 3) = 0.16648814938900598e-1, (1188, 1) = 1.244772678159806, (1188, 2) = -.5992193642670128, (1188, 3) = 0.16573421343516175e-1, (1189, 1) = 1.2400586573476549, (1189, 2) = -.5990892625624219, (1189, 3) = 0.16498707292210216e-1, (1190, 1) = 1.2353775636250808, (1190, 2) = -.5989606229448263, (1190, 3) = 0.1642466140390181e-1, (1191, 1) = 1.230728943057973, (1191, 2) = -.5988334206098752, (1191, 3) = 0.16351272968847547e-1, (1192, 1) = 1.2261123511582808, (1192, 2) = -.5987076313385485, (1192, 3) = 0.16278531035508807e-1, (1193, 1) = 1.2215273524478487, (1193, 2) = -.5985832314746752, (1193, 3) = 0.1620642479154726e-1, (1194, 1) = 1.2169735202193737, (1194, 2) = -.5984601979083045, (1194, 3) = 0.1613494473978339e-1, (1195, 1) = 1.2124504363029476, (1195, 2) = -.5983385080595998, (1195, 3) = 0.1606408011180786e-1, (1196, 1) = 1.207957690840683, (1196, 2) = -.5982181398633349, (1196, 3) = 0.15993821612534227e-1, (1197, 1) = 1.2034948820698508, (1197, 2) = -.5980990717539575, (1197, 3) = 0.15924159302648955e-1, (1198, 1) = 1.199061616111207, (1198, 2) = -.5979812826511423, (1198, 3) = 0.1585508431906971e-1, (1199, 1) = 1.194657505639672, (1199, 2) = -.5978647519161462, (1199, 3) = 0.15786586776987604e-1, (1200, 1) = 1.190282170570412, (1200, 2) = -.5977494593622229, (1200, 3) = 0.15718658159911525e-1, (1201, 1) = 1.1859352396191056, (1201, 2) = -.5976353852876322, (1201, 3) = 0.15651289645485813e-1, (1202, 1) = 1.1816163486072815, (1202, 2) = -.5975225104229283, (1202, 3) = 0.15584472834057367e-1, (1203, 1) = 1.1773251402753457, (1203, 2) = -.5974108159186575, (1203, 3) = 0.15518199100134097e-1, (1204, 1) = 1.173061264110328, (1204, 2) = -.5973002833337205, (1204, 3) = 0.15452460335306275e-1, (1205, 1) = 1.1688243761776524, (1205, 2) = -.5971908946240811, (1205, 3) = 0.15387248378786356e-1, (1206, 1) = 1.1646141389580993, (1206, 2) = -.5970826321318601, (1206, 3) = 0.1532255576428641e-1, (1207, 1) = 1.160430221190291, (1207, 2) = -.5969754785748044, (1207, 3) = 0.15258374444829161e-1, (1208, 1) = 1.1562722976736757, (1208, 2) = -.5968694170349785, (1208, 3) = 0.15194697164333585e-1, (1209, 1) = 1.152140047787942, (1209, 2) = -.5967644309151516, (1209, 3) = 0.1513151643123926e-1, (1210, 1) = 1.1480331575524796, (1210, 2) = -.5966605039856082, (1210, 3) = 0.15068825189644306e-1, (1211, 1) = 1.1439513193667301, (1211, 2) = -.5965576203714797, (1211, 3) = 0.15006616139560041e-1, (1212, 1) = 1.1398942311626183, (1212, 2) = -.5964557645256289, (1212, 3) = 0.14944882402982737e-1, (1213, 1) = 1.135861596272183, (1213, 2) = -.5963549212199905, (1213, 3) = 0.14883617218444757e-1, (1214, 1) = 1.1318531233007463, (1214, 2) = -.5962550755372367, (1214, 3) = 0.14822814277240777e-1, (1215, 1) = 1.1278685260032464, (1215, 2) = -.59615621286269, (1215, 3) = 0.1476246681793527e-1, (1216, 1) = 1.1239075231641298, (1216, 2) = -.5960583188764927, (1216, 3) = 0.1470256842718929e-1, (1217, 1) = 1.1199698384805228, (1217, 2) = -.5959613795460151, (1217, 3) = 0.14643112563402016e-1, (1218, 1) = 1.1160552002465338, (1218, 2) = -.5958653811135598, (1218, 3) = 0.14584094019406644e-1, (1219, 1) = 1.112163340306531, (1219, 2) = -.595770310066491, (1219, 3) = 0.14525506022418772e-1, (1220, 1) = 1.108293996262963, (1220, 2) = -.5956761531870935, (1220, 3) = 0.14467342922280224e-1, (1221, 1) = 1.104446910454498, (1221, 2) = -.5955828975231164, (1221, 3) = 0.14409599042389405e-1, (1222, 1) = 1.1006218295939585, (1222, 2) = -.5954905303748789, (1222, 3) = 0.14352268701829604e-1, (1223, 1) = 1.096818504669811, (1223, 2) = -.5953990392889753, (1223, 3) = 0.14295346208590357e-1, (1224, 1) = 1.0930366908510738, (1224, 2) = -.5953084120521923, (1224, 3) = 0.14238826315969363e-1, (1225, 1) = 1.0892761473946977, (1225, 2) = -.5952186366855974, (1225, 3) = 0.14182703507993227e-1, (1226, 1) = 1.0855366375556788, (1226, 2) = -.5951297014388188, (1226, 3) = 0.14126972635637084e-1, (1227, 1) = 1.0818179284988514, (1227, 2) = -.5950415947844659, (1227, 3) = 0.14071628736886787e-1, (1228, 1) = 1.0781197907889466, (1228, 2) = -.5949543054027301, (1228, 3) = 0.14016666604694753e-1, (1229, 1) = 1.0744419981204734, (1229, 2) = -.5948678221719418, (1229, 3) = 0.13962081168234256e-1, (1230, 1) = 1.0707843289094507, (1230, 2) = -.594782134202859, (1230, 3) = 0.1390786792769986e-1, (1231, 1) = 1.0671465652044176, (1231, 2) = -.5946972308097213, (1231, 3) = 0.13854021669866634e-1, (1232, 1) = 1.0635284925571629, (1232, 2) = -.5946131015042146, (1232, 3) = 0.13800538294960979e-1, (1233, 1) = 1.0599298999483098, (1233, 2) = -.5945297359908104, (1233, 3) = 0.13747412760270921e-1, (1234, 1) = 1.0563505797149122, (1234, 2) = -.5944471241622538, (1234, 3) = 0.13694640860399461e-1, (1235, 1) = 1.0527903274799213, (1235, 2) = -.5943652560951673, (1235, 3) = 0.13642217847354934e-1, (1236, 1) = 1.049248942083882, (1236, 2) = -.5942841220457966, (1236, 3) = 0.13590139502235232e-1, (1237, 1) = 1.045726225517333, (1237, 2) = -.5942037124458471, (1237, 3) = 0.13538401644489474e-1, (1238, 1) = 1.0422219821804066, (1238, 2) = -.5941240178831266, (1238, 3) = 0.13486999991606869e-1, (1239, 1) = 1.0387360195627184, (1239, 2) = -.5940450291147231, (1239, 3) = 0.13435930557579316e-1, (1240, 1) = 1.0352681487834066, (1240, 2) = -.5939667370767263, (1240, 3) = 0.13385189174439475e-1, (1241, 1) = 1.03181818385866, (1241, 2) = -.5938891328651595, (1241, 3) = 0.1333477206568325e-1, (1242, 1) = 1.0283859416430907, (1242, 2) = -.5938122077323774, (1242, 3) = 0.1328467479112041e-1, (1243, 1) = 1.0249712417726562, (1243, 2) = -.5937359530835754, (1243, 3) = 0.13234894495422075e-1, (1244, 1) = 1.0215739066088318, (1244, 2) = -.593660360473378, (1244, 3) = 0.13185426261470654e-1, (1245, 1) = 1.0181937611840928, (1245, 2) = -.5935854216025295, (1245, 3) = 0.13136267171347167e-1, (1246, 1) = 1.0148306331492476, (1246, 2) = -.5935111283146747, (1246, 3) = 0.13087413335851002e-1, (1247, 1) = 1.0114843526758592, (1247, 2) = -.5934374725922179, (1247, 3) = 0.13038861060164254e-1, (1248, 1) = 1.008154751698321, (1248, 2) = -.5933644465377972, (1248, 3) = 0.12990606838082789e-1, (1249, 1) = 1.0048416651624563, (1249, 2) = -.5932920423999207, (1249, 3) = 0.1294264728432677e-1, (1250, 1) = 1.0015449307361226, (1250, 2) = -.5932202525646114, (1250, 3) = 0.1289497950751818e-1, (1251, 1) = .9982643884569867, (1251, 2) = -.5931490695458538, (1251, 3) = 0.12847599360710114e-1, (1252, 1) = .9949998806866295, (1252, 2) = -.5930784859828526, (1252, 3) = 0.12800503836802464e-1, (1253, 1) = .9917512520661281, (1253, 2) = -.5930084946373658, (1253, 3) = 0.1275368980639396e-1, (1254, 1) = .9885183494725024, (1254, 2) = -.5929390883911011, (1254, 3) = 0.1270715392804915e-1, (1255, 1) = .9853010219760494, (1255, 2) = -.5928702602431819, (1255, 3) = 0.12660893233760519e-1, (1256, 1) = .9820991207991473, (1256, 2) = -.5928020033076803, (1256, 3) = 0.1261490404576578e-1, (1257, 1) = .9789124991239461, (1257, 2) = -.5927343108080002, (1257, 3) = 0.1256918416703438e-1, (1258, 1) = .9757410116230176, (1258, 2) = -.5926671760654999, (1258, 3) = 0.12523730619794568e-1, (1259, 1) = .9725845156741689, (1259, 2) = -.5926005925238197, (1259, 3) = 0.12478539740919512e-1, (1260, 1) = .9694428707522033, (1260, 2) = -.5925345537344326, (1260, 3) = 0.12433609016250808e-1, (1261, 1) = .9663159382889517, (1261, 2) = -.5924690533522811, (1261, 3) = 0.123889357419087e-1, (1262, 1) = .9632035816370259, (1262, 2) = -.5924040851336548, (1262, 3) = 0.12344517079762524e-1, (1263, 1) = .9601056660347675, (1263, 2) = -.5923396429341297, (1263, 3) = 0.12300349793765984e-1, (1264, 1) = .9570220585718978, (1264, 2) = -.5922757207065588, (1264, 3) = 0.12256431868966921e-1, (1265, 1) = .9539526281557708, (1265, 2) = -.5922123124991029, (1265, 3) = 0.12212760117413847e-1, (1266, 1) = .9508972454786961, (1266, 2) = -.5921494124533236, (1266, 3) = 0.1216933233063121e-1, (1267, 1) = .9478557826922435, (1267, 2) = -.5920870147962989, (1267, 3) = 0.12126145434989582e-1, (1268, 1) = .9448281134158305, (1268, 2) = -.5920251138397226, (1268, 3) = 0.1208319716466765e-1, (1269, 1) = .9418141135274875, (1269, 2) = -.5919637039949222, (1269, 3) = 0.12040485335675456e-1, (1270, 1) = .9388136605789199, (1270, 2) = -.5919027797596715, (1270, 3) = 0.11998006884379834e-1, (1271, 1) = .9358266337520086, (1271, 2) = -.5918423357162106, (1271, 3) = 0.1195575941155243e-1, (1272, 1) = .9328529138299407, (1272, 2) = -.5917823665295897, (1272, 3) = 0.11913741063425796e-1, (1273, 1) = .9298923831692298, (1273, 2) = -.5917228669460536, (1273, 3) = 0.11871948708338983e-1, (1274, 1) = .9269449256723139, (1274, 2) = -.5916638317914727, (1274, 3) = 0.1183038087284086e-1, (1275, 1) = .9240104267606407, (1275, 2) = -.5916052559697993, (1275, 3) = 0.1178903449813411e-1, (1276, 1) = .9210887733453194, (1276, 2) = -.5915471344615093, (1276, 3) = 0.11747907910858887e-1, (1277, 1) = .9181798533621388, (1277, 2) = -.5914894623134385, (1277, 3) = 0.11706998670044837e-1, (1278, 1) = .9152835563380114, (1278, 2) = -.5914322346491696, (1278, 3) = 0.11666304236513547e-1, (1279, 1) = .912399773543088, (1279, 2) = -.5913754466710575, (1279, 3) = 0.11625822997134726e-1, (1280, 1) = .9095283976395195, (1280, 2) = -.5913190936523403, (1280, 3) = 0.11585552409229307e-1, (1281, 1) = .9066693226581383, (1281, 2) = -.5912631709358135, (1281, 3) = 0.11545490695348938e-1, (1282, 1) = .9038224439752821, (1282, 2) = -.5912076739325212, (1282, 3) = 0.11505635341633085e-1, (1283, 1) = .9009876582902304, (1283, 2) = -.5911525981204834, (1283, 3) = 0.11465984934977974e-1, (1284, 1) = .8981648636031111, (1284, 2) = -.5910979390434506, (1284, 3) = 0.11426537164628003e-1, (1285, 1) = .8953539591932691, (1285, 2) = -.5910436923096866, (1285, 3) = 0.1138728970080031e-1, (1286, 1) = .8925548455537974, (1286, 2) = -.5909898535899301, (1286, 3) = 0.11348241232069699e-1, (1287, 1) = .8897674239672771, (1287, 2) = -.590936418608522, (1287, 3) = 0.11309389436354183e-1, (1288, 1) = .8869915973082401, (1288, 2) = -.5908833831581055, (1288, 3) = 0.11270732319916743e-1, (1289, 1) = .8842272697899564, (1289, 2) = -.5908307430939593, (1289, 3) = 0.11232268002098126e-1, (1290, 1) = .8814743468021662, (1290, 2) = -.5907784943301622, (1290, 3) = 0.1119399510736045e-1, (1291, 1) = .8787327348921077, (1291, 2) = -.5907266328385276, (1291, 3) = 0.11155911123383709e-1, (1292, 1) = .8760023417457574, (1292, 2) = -.5906751546475708, (1292, 3) = 0.11118014985714306e-1, (1293, 1) = .8732830761694881, (1293, 2) = -.5906240558414861, (1293, 3) = 0.11080304335120576e-1, (1294, 1) = .8705748480720642, (1294, 2) = -.5905733325591557, (1294, 3) = 0.1104277771188425e-1, (1295, 1) = .8678775684471258, (1295, 2) = -.5905229809931787, (1295, 3) = 0.11005433482785916e-1, (1296, 1) = .8651911492357387, (1296, 2) = -.5904729973866834, (1296, 3) = 0.10968269604507341e-1, (1297, 1) = .8625155031146637, (1297, 2) = -.5904233780288313, (1297, 3) = 0.10931284740285062e-1, (1298, 1) = .8598505442091299, (1298, 2) = -.5903741192674558, (1298, 3) = 0.10894476967700142e-1, (1299, 1) = .8571961877037549, (1299, 2) = -.59032521750119, (1299, 3) = 0.10857844712636447e-1, (1300, 1) = .8545523497842075, (1300, 2) = -.5902766691778022, (1300, 3) = 0.10821386440101255e-1, (1301, 1) = .8519189476216209, (1301, 2) = -.5902284707933447, (1301, 3) = 0.10785100896148857e-1, (1302, 1) = .8492958993572806, (1302, 2) = -.5901806188913145, (1302, 3) = 0.10748985716162887e-1, (1303, 1) = .8466831240876038, (1303, 2) = -.5901331100618401, (1303, 3) = 0.10713039940077811e-1, (1304, 1) = .8440805418493422, (1304, 2) = -.5900859409408761, (1304, 3) = 0.10677261946069423e-1, (1305, 1) = .8414880736052627, (1305, 2) = -.5900391082094216, (1305, 3) = 0.10641650154736736e-1, (1306, 1) = .8389056410116773, (1306, 2) = -.5899926085888292, (1306, 3) = 0.10606203000322877e-1, (1307, 1) = .8363331665334298, (1307, 2) = -.5899464388424248, (1307, 3) = 0.10570918944568797e-1, (1308, 1) = .8337705738428379, (1308, 2) = -.5899005957821679, (1308, 3) = 0.10535796967648387e-1, (1309, 1) = .8312177874852623, (1309, 2) = -.5898550762621159, (1309, 3) = 0.10500835181502901e-1, (1310, 1) = .8286747328631662, (1310, 2) = -.5898098771776725, (1310, 3) = 0.1046603263433733e-1, (1311, 1) = .8261413362232203, (1311, 2) = -.5897649954648904, (1311, 3) = 0.1043138720961145e-1, (1312, 1) = .8236175246436888, (1312, 2) = -.5897204280997987, (1312, 3) = 0.10396898355392939e-1, (1313, 1) = .821103226022046, (1313, 2) = -.589676172097735, (1313, 3) = 0.10362564095656205e-1, (1314, 1) = .8185983690627312, (1314, 2) = -.5896322245126968, (1314, 3) = 0.10328383369112574e-1, (1315, 1) = .8161028832583684, (1315, 2) = -.5895885824365826, (1315, 3) = 0.10294354636004263e-1, (1316, 1) = .8136166985830877, (1316, 2) = -.5895452429934379, (1316, 3) = 0.10260477167089952e-1, (1317, 1) = .8111397459376177, (1317, 2) = -.5895022033468447, (1317, 3) = 0.10226748997208625e-1, (1318, 1) = .8086719571531993, (1318, 2) = -.5894594606995444, (1318, 3) = 0.10193168880366163e-1, (1319, 1) = .8062132648100019, (1319, 2) = -.5894170122898638, (1319, 3) = 0.1015973599867331e-1, (1320, 1) = .803763602226281, (1320, 2) = -.5893748553911352, (1320, 3) = 0.10126448927711772e-1, (1321, 1) = .8013229034476501, (1321, 2) = -.5893329873111347, (1321, 3) = 0.10093306271225495e-1, (1322, 1) = .7988911032365966, (1322, 2) = -.5892914053915281, (1322, 3) = 0.10060306940750502e-1, (1323, 1) = .7964681370622089, (1323, 2) = -.5892501070073266, (1323, 3) = 0.10027449476391375e-1, (1324, 1) = .7940539410899786, (1324, 2) = -.5892090895663561, (1324, 3) = 0.999473328551973e-2, (1325, 1) = .7916484521297883, (1325, 2) = -.58916835050802, (1325, 3) = 0.996215659600282e-2, (1326, 1) = .7892516073886713, (1326, 2) = -.5891278872988005, (1326, 3) = 0.9929718942753425e-2, (1327, 1) = .7868633450070642, (1327, 2) = -.5890876974409966, (1327, 3) = 0.98974184856203e-2, (1328, 1) = .7844836038524168, (1328, 2) = -.5890477784688666, (1328, 3) = 0.9865254087279039e-2, (1329, 1) = .7821123234401952, (1329, 2) = -.5890081279469592, (1329, 3) = 0.9833224995182995e-2, (1330, 1) = .779749443924857, (1330, 2) = -.5889687434696426, (1330, 3) = 0.9801330198391408e-2, (1331, 1) = .7773949060908873, (1331, 2) = -.5889296226606354, (1331, 3) = 0.9769568210621945e-2, (1332, 1) = .7750486513440191, (1332, 2) = -.5888907631725575, (1332, 3) = 0.9737938380591064e-2, (1333, 1) = .7727106217026477, (1333, 2) = -.5888521626864771, (1333, 3) = 0.9706439219052907e-2, (1334, 1) = .7703807597893063, (1334, 2) = -.5888138189114739, (1334, 3) = 0.9675069673732795e-2, (1335, 1) = .7680590087233193, (1335, 2) = -.5887757295825885, (1335, 3) = 0.9643829260819936e-2, (1336, 1) = .7657453120383887, (1336, 2) = -.5887378924592097, (1336, 3) = 0.9612716608923638e-2, (1337, 1) = .7634396141155625, (1337, 2) = -.5887003053318842, (1337, 3) = 0.9581730355299356e-2, (1338, 1) = .761141859924152, (1338, 2) = -.5886629660177661, (1338, 3) = 0.955086992252259e-2, (1339, 1) = .7588519949970062, (1339, 2) = -.5886258723599375, (1339, 3) = 0.9520134264796384e-2, (1340, 1) = .7565699654229281, (1340, 2) = -.5885890222270183, (1340, 3) = 0.9489522397441845e-2, (1341, 1) = .7542957178391496, (1341, 2) = -.5885524135127798, (1341, 3) = 0.9459033109535999e-2, (1342, 1) = .752029199423936, (1342, 2) = -.5885160441357705, (1342, 3) = 0.9428665919681035e-2, (1343, 1) = .7497703578893541, (1343, 2) = -.5884799120389398, (1343, 3) = 0.9398419083976631e-2, (1344, 1) = .7475191414741205, (1344, 2) = -.5884440151892825, (1344, 3) = 0.9368292860465316e-2, (1345, 1) = .745275498765881, (1345, 2) = -.5884083515747607, (1345, 3) = 0.9338284993267635e-2, (1346, 1) = .7430393788574383, (1346, 2) = -.5883729192065885, (1346, 3) = 0.9308395751966363e-2, (1347, 1) = .7408107315364344, (1347, 2) = -.588337716121977, (1347, 3) = 0.9278623253838544e-2, (1348, 1) = .7385895070895991, (1348, 2) = -.5883027403807843, (1348, 3) = 0.9248967144556383e-2, (1349, 1) = .7363756562960401, (1349, 2) = -.5882679900651753, (1349, 3) = 0.9219426499833601e-2, (1350, 1) = .7341691304208259, (1350, 2) = -.5882334632792995, (1350, 3) = 0.919000035541751e-2, (1351, 1) = .7319698812086292, (1351, 2) = -.5881991581489678, (1351, 3) = 0.9160687846425741e-2, (1352, 1) = .7297778608774739, (1352, 2) = -.5881650728213399, (1352, 3) = 0.913148813362865e-2, (1353, 1) = .7275930221125885, (1353, 2) = -.588131205464613, (1353, 3) = 0.910240008116161e-2, (1354, 1) = .7254153180502801, (1354, 2) = -.5880975542675652, (1354, 3) = 0.9073423386128958e-2, (1355, 1) = .723244702070582, (1355, 2) = -.5880641174361585, (1355, 3) = 0.9044556891334689e-2, (1356, 1) = .7210811281412313, (1356, 2) = -.5880308931986615, (1356, 3) = 0.9015799798465044e-2, (1357, 1) = .7189245507661866, (1357, 2) = -.5879978798046304, (1357, 3) = 0.8987151503918331e-2, (1358, 1) = .7167749248871207, (1358, 2) = -.5879650755231852, (1358, 3) = 0.8958610917213818e-2, (1359, 1) = .7146322058778038, (1359, 2) = -.5879324786427352, (1359, 3) = 0.893017723994277e-2, (1360, 1) = .7124963495386349, (1360, 2) = -.5879000874707049, (1360, 3) = 0.8901849998936987e-2, (1361, 1) = .7103673120912442, (1361, 2) = -.5878679003332618, (1361, 3) = 0.8873628227072147e-2, (1362, 1) = .7082450501731798, (1362, 2) = -.5878359155750567, (1362, 3) = 0.8845511206832954e-2, (1363, 1) = .7061295208326606, (1363, 2) = -.5878041315589633, (1363, 3) = 0.8817497757730068e-2, (1364, 1) = .704020681483526, (1364, 2) = -.5877725466652254, (1364, 3) = 0.8789587921749331e-2, (1365, 1) = .7019184897609768, (1365, 2) = -.5877411592891387, (1365, 3) = 0.8761780237677024e-2, (1366, 1) = .699822903888587, (1366, 2) = -.5877099678463796, (1366, 3) = 0.8734074526897668e-2, (1367, 1) = .6977338825148868, (1367, 2) = -.5876789707703629, (1367, 3) = 0.870646926604333e-2, (1368, 1) = .6956513846739367, (1368, 2) = -.5876481665114918, (1368, 3) = 0.8678964588967332e-2, (1369, 1) = .6935753697805567, (1369, 2) = -.5876175535369169, (1369, 3) = 0.8651559443376944e-2, (1370, 1) = .6915057976256387, (1370, 2) = -.5875871303303115, (1370, 3) = 0.8624253151546227e-2, (1371, 1) = .6894426283715354, (1371, 2) = -.5875568953916412, (1371, 3) = 0.8597044982138348e-2, (1372, 1) = .6873858225475313, (1372, 2) = -.5875268472369444, (1372, 3) = 0.8569934219294032e-2, (1373, 1) = .6853353410453344, (1373, 2) = -.5874969843981115, (1373, 3) = 0.8542920231728764e-2, (1374, 1) = .6832911450305323, (1374, 2) = -.5874673054214499, (1374, 3) = 0.8516002221617407e-2, (1375, 1) = .681253195930413, (1375, 2) = -.5874378088673787, (1375, 3) = 0.8489179539013316e-2, (1376, 1) = .6792214556992792, (1376, 2) = -.5874084933141258, (1376, 3) = 0.8462451760245498e-2, (1377, 1) = .677195886642523, (1377, 2) = -.5873793573550125, (1377, 3) = 0.8435818044120663e-2, (1378, 1) = .6751764514064231, (1378, 2) = -.5873503995981693, (1378, 3) = 0.8409277589257004e-2, (1379, 1) = .6731631129740693, (1379, 2) = -.5873216186663353, (1379, 3) = 0.8382829845433128e-2, (1380, 1) = .6711558346613368, (1380, 2) = -.5872930131966638, (1380, 3) = 0.8356474476343237e-2, (1381, 1) = .6691545801129173, (1381, 2) = -.5872645818405308, (1381, 3) = 0.8330210576530465e-2, (1382, 1) = .6671593132984446, (1382, 2) = -.5872363232633444, (1382, 3) = 0.8304037273503425e-2, (1383, 1) = .6651699985081674, (1383, 2) = -.5872082361443577, (1383, 3) = 0.827795457827417e-2, (1384, 1) = .6631866002127065, (1384, 2) = -.5871803191745617, (1384, 3) = 0.8251961123122216e-2, (1385, 1) = .6612090832289268, (1385, 2) = -.5871525710589186, (1385, 3) = 0.8226056967581673e-2, (1386, 1) = .6592374127948712, (1386, 2) = -.5871249905172703, (1386, 3) = 0.820024121549345e-2, (1387, 1) = .6572715544546797, (1387, 2) = -.587097576282591, (1387, 3) = 0.8174513421770627e-2, (1388, 1) = .6553114740550101, (1388, 2) = -.5870703271008146, (1388, 3) = 0.814887288053221e-2, (1389, 1) = .6533571377415338, (1389, 2) = -.5870432417306678, (1389, 3) = 0.8123318801180725e-2, (1390, 1) = .6514085119554676, (1390, 2) = -.5870163189435034, (1390, 3) = 0.8097850768627556e-2, (1391, 1) = .6494655634301458, (1391, 2) = -.5869895575231379, (1391, 3) = 0.8072468457689446e-2, (1392, 1) = .6475282591876764, (1392, 2) = -.5869629562656891, (1392, 3) = 0.804717092132273e-2, (1393, 1) = .6455965665231956, (1393, 2) = -.586936513979251, (1393, 3) = 0.8021957649357977e-2, (1394, 1) = .6436704528633577, (1394, 2) = -.5869102294818551, (1394, 3) = 0.7996828543258203e-2, (1395, 1) = .6417498860309321, (1395, 2) = -.5868841016049873, (1395, 3) = 0.7971782360450074e-2, (1396, 1) = .6398348341762122, (1396, 2) = -.5868581291925283, (1396, 3) = 0.7946819242060709e-2, (1397, 1) = .6379252657219932, (1397, 2) = -.5868323110998899, (1397, 3) = 0.7921938167623358e-2, (1398, 1) = .6360211493604658, (1398, 2) = -.5868066461938722, (1398, 3) = 0.789713872956819e-2, (1399, 1) = .6341224540501883, (1399, 2) = -.5867811333525184, (1399, 3) = 0.787242013746025e-2, (1400, 1) = .6322291490130837, (1400, 2) = -.5867557714649736, (1400, 3) = 0.7847782495303868e-2, (1401, 1) = .6303412037314671, (1401, 2) = -.5867305594313454, (1401, 3) = 0.7823225024442177e-2, (1402, 1) = .6284585879451511, (1402, 2) = -.5867054961625646, (1402, 3) = 0.7798746985742725e-2, (1403, 1) = .6265812716108096, (1403, 2) = -.5866805805797521, (1403, 3) = 0.7774347839732727e-2, (1404, 1) = .6247092248214317, (1404, 2) = -.5866558116130667, (1404, 3) = 0.7750027425115161e-2, (1405, 1) = .6228424180605358, (1405, 2) = -.5866311882049798, (1405, 3) = 0.77257846472571995e-2, (1406, 1) = .6209808220747269, (1406, 2) = -.5866067093084841, (1406, 3) = 0.7701619874109444e-2, (1407, 1) = .6191244078539944, (1407, 2) = -.5865823738867365, (1407, 3) = 0.7677532228494128e-2, (1408, 1) = .6172731466290131, (1408, 2) = -.5865581809129337, (1408, 3) = 0.7653520794506828e-2, (1409, 1) = .6154270098685053, (1409, 2) = -.5865341293701924, (1409, 3) = 0.7629585859460374e-2, (1410, 1) = .613585969276635, (1410, 2) = -.5865102182514209, (1410, 3) = 0.7605725858349054e-2, (1411, 1) = .611749996790429, (1411, 2) = -.5864864465592075, (1411, 3) = 0.75819414926528534e-2, (1412, 1) = .6099190645772399, (1412, 2) = -.5864628133056945, (1412, 3) = 0.7558231538303535e-2, (1413, 1) = .6080931449591185, (1413, 2) = -.5864393175115287, (1413, 3) = 0.75345960096970515e-2, (1414, 1) = .606272210440719, (1414, 2) = -.586415958206146, (1414, 3) = 0.7511034218268051e-2, (1415, 1) = .6044562338686293, (1415, 2) = -.586392734429735, (1415, 3) = 0.7487545657778193e-2, (1416, 1) = .6026451883114908, (1416, 2) = -.5863696452316055, (1416, 3) = 0.746412966871318e-2, (1417, 1) = .6008390470559912, (1417, 2) = -.5863466896700603, (1417, 3) = 0.7440786253441384e-2, (1418, 1) = .5990377836045139, (1418, 2) = -.5863238668122832, (1418, 3) = 0.7417514832127761e-2, (1419, 1) = .5972413716728343, (1419, 2) = -.5863011757342355, (1419, 3) = 0.73943147034590045e-2, (1420, 1) = .5954497851878452, (1420, 2) = -.5862786155205506, (1420, 3) = 0.7371185931578857e-2, (1421, 1) = .5936629982853113, (1421, 2) = -.5862561852644296, (1421, 3) = 0.73481274982671735e-2, (1422, 1) = .591880985305891, (1422, 2) = -.5862338840675205, (1422, 3) = 0.7325139396704098e-2, (1423, 1) = .5901037206857875, (1423, 2) = -.5862117110384786, (1423, 3) = 0.7302220773180307e-2, (1424, 1) = .588331179111376, (1424, 2) = -.5861896652948407, (1424, 3) = 0.7279371840343561e-2, (1425, 1) = .5865633355363294, (1425, 2) = -.5861677459631525, (1425, 3) = 0.7256591824596119e-2, (1426, 1) = .5848001651122938, (1426, 2) = -.5861459521780327, (1426, 3) = 0.7233880037340556e-2, (1427, 1) = .5830416431868294, (1427, 2) = -.5861242830820779, (1427, 3) = 0.7211236726491447e-2, (1428, 1) = .5812877453013613, (1428, 2) = -.5861027378257668, (1428, 3) = 0.7188660873573769e-2, (1429, 1) = .5795384471891574, (1429, 2) = -.5860813155673726, (1429, 3) = 0.7166152323843318e-2, (1430, 1) = .5777937247733392, (1430, 2) = -.5860600154728689, (1430, 3) = 0.71437104713231525e-2, (1431, 1) = .5760535541649161, (1431, 2) = -.5860388367158428, (1431, 3) = 0.712133546551961e-2, (1432, 1) = .5743179116468576, (1432, 2) = -.5860177784772339, (1432, 3) = 0.70990265353093746e-2, (1433, 1) = .572586773577961, (1433, 2) = -.5859968399441151, (1433, 3) = 0.7076783013158948e-2, (1434, 1) = .5708601165960288, (1434, 2) = -.5859760203120964, (1434, 3) = 0.7054605132689416e-2, (1435, 1) = .5691379175482959, (1435, 2) = -.585955318784407, (1435, 3) = 0.7032492151947811e-2, (1436, 1) = .5674201534603284, (1436, 2) = -.5859347345714582, (1436, 3) = 0.7010443512097815e-2, (1437, 1) = .565706801534211, (1437, 2) = -.585914266890762, (1437, 3) = 0.6988458943190919e-2, (1438, 1) = .5639978391467516, (1438, 2) = -.5858939149668488, (1438, 3) = 0.6966538498911889e-2, (1439, 1) = .5622932438477037, (1439, 2) = -.585873678031188, (1439, 3) = 0.6944681667903775e-2, (1440, 1) = .5605929933580147, (1440, 2) = -.5858535553221078, (1440, 3) = 0.6922887550597944e-2, (1441, 1) = .5588970655681073, (1441, 2) = -.5858335460847216, (1441, 3) = 0.69011561370697395e-2, (1442, 1) = .557205438500507, (1442, 2) = -.5858136495704283, (1442, 3) = 0.6879487261014425e-2, (1443, 1) = .5555180902704633, (1443, 2) = -.5857938650364043, (1443, 3) = 0.6857880405257307e-2, (1444, 1) = .5538349992622114, (1444, 2) = -.585774191747618, (1444, 3) = 0.6836335061564224e-2, (1445, 1) = .552156144030651, (1445, 2) = -.5857546289756124, (1445, 3) = 0.6814850794976448e-2, (1446, 1) = .5504815032917467, (1446, 2) = -.5857351759983402, (1446, 3) = 0.6793427772436139e-2, (1447, 1) = .5488110559209254, (1447, 2) = -.5857158321000903, (1447, 3) = 0.677206530592276e-2, (1448, 1) = .5471447809514967, (1448, 2) = -.5856965965714167, (1448, 3) = 0.67507630238186804e-2, (1449, 1) = .5454826575730887, (1449, 2) = -.5856774687090723, (1449, 3) = 0.6729520550589104e-2, (1450, 1) = .5438246651300985, (1450, 2) = -.585658447815938, (1450, 3) = 0.6708337719215797e-2, (1451, 1) = .5421707831201823, (1451, 2) = -.5856395332009535, (1451, 3) = 0.66872141088345355e-2, (1452, 1) = .5405209911281232, (1452, 2) = -.5856207241783197, (1452, 3) = 0.6666149513571787e-2, (1453, 1) = .5388752688772384, (1453, 2) = -.5856020200680387, (1453, 3) = 0.6645143431869225e-2, (1454, 1) = .5372335963189862, (1454, 2) = -.5855834201968859, (1454, 3) = 0.6624195673220731e-2, (1455, 1) = .5355959535522752, (1455, 2) = -.5855649238974334, (1455, 3) = 0.66033052935492755e-2, (1456, 1) = .5339623208218498, (1456, 2) = -.5855465305079921, (1456, 3) = 0.6582473151700677e-2, (1457, 1) = .532332678516871, (1457, 2) = -.5855282393725401, (1457, 3) = 0.6561698073053983e-2, (1458, 1) = .5307070071695205, (1458, 2) = -.5855100498406681, (1458, 3) = 0.6540980222988094e-2, (1459, 1) = .5290852874536198, (1459, 2) = -.5854919612675143, (1459, 3) = 0.6520318975299944e-2, (1460, 1) = .5274675001832565, (1460, 2) = -.5854739730137067, (1460, 3) = 0.6499713835043093e-2, (1461, 1) = .5258536263082028, (1461, 2) = -.5854560844452676, (1461, 3) = 0.647916447207724e-2, (1462, 1) = .5242436468297053, (1462, 2) = -.5854382949326431, (1462, 3) = 0.6458671253176001e-2, (1463, 1) = .5226375429365053, (1463, 2) = -.585420603852166, (1463, 3) = 0.6438233453570566e-2, (1464, 1) = .5210352959933637, (1464, 2) = -.585403010585881, (1464, 3) = 0.6417850495099668e-2, (1465, 1) = .5194368874986673, (1465, 2) = -.5853855145210357, (1465, 3) = 0.63975227093704306e-2, (1466, 1) = .5178422990831658, (1466, 2) = -.585368115050019, (1466, 3) = 0.63772493127765605e-2, (1467, 1) = .5162515125087104, (1467, 2) = -.5853508115703094, (1467, 3) = 0.63570299686819464e-2, (1468, 1) = .514664509667018, (1468, 2) = -.5853336034844234, (1468, 3) = 0.6336864751373589e-2, (1469, 1) = .5130812725784484, (1469, 2) = -.5853164901998562, (1469, 3) = 0.63167531155585875e-2, (1470, 1) = .5115017833907849, (1470, 2) = -.5852994711290359, (1470, 3) = 0.6296694996851599e-2, (1471, 1) = .5099260243630338, (1471, 2) = -.5852825456891035, (1471, 3) = 0.62766894907092296e-2, (1472, 1) = .5083539778015767, (1472, 2) = -.5852657133012018, (1472, 3) = 0.6256737275653966e-2, (1473, 1) = .5067856262156953, (1473, 2) = -.5852489733921005, (1473, 3) = 0.623683737701669e-2, (1474, 1) = .5052209522537047, (1474, 2) = -.585232325393472, (1474, 3) = 0.62169898032511e-2, (1475, 1) = .5036599386854458, (1475, 2) = -.5852157687416626, (1475, 3) = 0.6197194117757922e-2, (1476, 1) = .5021025684011654, (1476, 2) = -.5851993028776461, (1476, 3) = 0.6177450042183821e-2, (1477, 1) = .5005488244104006, (1477, 2) = -.5851829272469752, (1477, 3) = 0.6157757562492183e-2, (1478, 1) = .49899868984087153, (1478, 2) = -.5851666412997308, (1478, 3) = 0.61381160050590355e-2, (1479, 1) = .49745214793739995, (1479, 2) = -.5851504444904816, (1479, 3) = 0.6118525492384464e-2, (1480, 1) = .49590918206082574, (1480, 2) = -.585134336278232, (1480, 3) = 0.6098985557484765e-2, (1481, 1) = .4943697756532494, (1481, 2) = -.5851183161260284, (1481, 3) = 0.6079496123430552e-2, (1482, 1) = .49283391222613593, (1482, 2) = -.5851023835008075, (1482, 3) = 0.60600567523929885e-2, (1483, 1) = .4913015754811207, (1483, 2) = -.5850865378746154, (1483, 3) = 0.60406667330287775e-2, (1484, 1) = .4897727492350041, (1484, 2) = -.5850707787237942, (1484, 3) = 0.6021326859616912e-2, (1485, 1) = .48824741741535344, (1485, 2) = -.5850551055288956, (1485, 3) = 0.60020358785220764e-2, (1486, 1) = .4867255640595053, (1486, 2) = -.5850395177746462, (1486, 3) = 0.5982794252513484e-2, (1487, 1) = .48520717331356933, (1487, 2) = -.5850240149498975, (1487, 3) = 0.59636011414361e-2, (1488, 1) = .48369222943144485, (1488, 2) = -.5850085965475911, (1488, 3) = 0.5944456958975123e-2, (1489, 1) = .48218071677385194, (1489, 2) = -.5849932620647099, (1489, 3) = 0.5925360637470955e-2, (1490, 1) = .4806726198073213, (1490, 2) = -.5849780110022453, (1490, 3) = 0.5906312752935838e-2, (1491, 1) = .4791679230456629, (1491, 2) = -.5849628428645695, (1491, 3) = 0.5887312516538752e-2, (1492, 1) = .47766661111471376, (1492, 2) = -.5849477571600685, (1492, 3) = 0.5868360004426901e-2, (1493, 1) = .47616866879520303, (1493, 2) = -.5849327534015372, (1493, 3) = 0.5849454577888464e-2, (1494, 1) = .47467408096994806, (1494, 2) = -.5849178311056163, (1494, 3) = 0.5830596423406107e-2, (1495, 1) = .4731828326229401, (1495, 2) = -.5849029897927535, (1495, 3) = 0.5811785131605173e-2, (1496, 1) = .47169490883844656, (1496, 2) = -.5848882289871647, (1496, 3) = 0.5793020620296827e-2, (1497, 1) = .47021029480012827, (1497, 2) = -.5848735482167968, (1497, 3) = 0.5774302175153993e-2, (1498, 1) = .46872897579015627, (1498, 2) = -.5848589470132918, (1498, 3) = 0.5755629941024367e-2, (1499, 1) = .46725093718834526, (1499, 2) = -.5848444249119487, (1499, 3) = 0.573700353641559e-2, (1500, 1) = .4657761644666621, (1500, 2) = -.5848299814516442, (1500, 3) = 0.5718423045598929e-2, (1501, 1) = .4643046431253481, (1501, 2) = -.5848156161741805, (1501, 3) = 0.56998881032711175e-2, (1502, 1) = .4628363588088537, (1502, 2) = -.5848013286253962, (1502, 3) = 0.5681398157430291e-2, (1503, 1) = .4613712972811138, (1503, 2) = -.5847871183548934, (1503, 3) = 0.5662953417705207e-2, (1504, 1) = .459909444399476, (1504, 2) = -.5847729849157542, (1504, 3) = 0.56445531748867215e-2, (1505, 1) = .45845078611388024, (1505, 2) = -.5847589278645096, (1505, 3) = 0.5626197967080952e-2, (1506, 1) = .45699530846605874, (1506, 2) = -.5847449467610988, (1506, 3) = 0.5607886667014148e-2, (1507, 1) = .45554299758873895, (1507, 2) = -.5847310411688456, (1507, 3) = 0.558961982023995e-2, (1508, 1) = .4540938397048611, (1508, 2) = -.584717210654417, (1508, 3) = 0.5571396803484708e-2, (1509, 1) = .45264782112679397, (1509, 2) = -.5847034547877961, (1509, 3) = 0.555321760013499e-2, (1510, 1) = .451204928239911, (1510, 2) = -.5846897731420989, (1510, 3) = 0.5535081621141951e-2, (1511, 1) = .44976514746230306, (1511, 2) = -.5846761652931752, (1511, 3) = 0.55169892149326905e-2, (1512, 1) = .4483284653630415, (1512, 2) = -.5846626308207006, (1512, 3) = 0.5498939693747279e-2, (1513, 1) = .4468948686064773, (1513, 2) = -.5846491693076239, (1513, 3) = 0.5480932978998231e-2, (1514, 1) = .44546434394259615, (1514, 2) = -.5846357803400531, (1514, 3) = 0.54629694195468415e-2, (1515, 1) = .4440368782062881, (1515, 2) = -.5846224635072187, (1515, 3) = 0.5445047766950275e-2, (1516, 1) = .44261245831662605, (1516, 2) = -.5846092184014523, (1516, 3) = 0.5427168513701008e-2, (1517, 1) = .4411910712761514, (1517, 2) = -.5845960446181513, (1517, 3) = 0.5409331229184087e-2, (1518, 1) = .4397727041701722, (1518, 2) = -.5845829417557514, (1518, 3) = 0.5391535980034882e-2, (1519, 1) = .4383573441660569, (1519, 2) = -.5845699094156973, (1519, 3) = 0.5373782299857932e-2, (1520, 1) = .4369449784806514, (1520, 2) = -.5845569472021231, (1520, 3) = 0.5356069992116662e-2, (1521, 1) = .4355355943872097, (1521, 2) = -.584544054721898, (1521, 3) = 0.5338399133108666e-2, (1522, 1) = .4341291792957724, (1522, 2) = -.5845312315853382, (1522, 3) = 0.5320769360630767e-2, (1523, 1) = .4327257206968405, (1523, 2) = -.5845184774056672, (1523, 3) = 0.5303180204959729e-2, (1524, 1) = .4313252061595644, (1524, 2) = -.5845057917989798, (1524, 3) = 0.5285631691854973e-2, (1525, 1) = .42992762333109025, (1525, 2) = -.5844931743842123, (1525, 3) = 0.5268123987113238e-2, (1526, 1) = .4285329599359113, (1526, 2) = -.5844806247831168, (1526, 3) = 0.5250656366311808e-2, (1527, 1) = .42714120377522274, (1527, 2) = -.5844681426202349, (1527, 3) = 0.5233228990355885e-2, (1528, 1) = .4257523427262928, (1528, 2) = -.5844557275228724, (1528, 3) = 0.5215841235933847e-2, (1529, 1) = .42436636474129835, (1529, 2) = -.5844433791210686, (1529, 3) = 0.5198493541874232e-2, (1530, 1) = .4229832577970211, (1530, 2) = -.5844310970471293, (1530, 3) = 0.51811853986248515e-2, (1531, 1) = .4216030099628953, (1531, 2) = -.584418880936217, (1531, 3) = 0.5163916229864688e-2, (1532, 1) = .42022560941583703, (1532, 2) = -.5844067304264594, (1532, 3) = 0.5146686606431424e-2, (1533, 1) = .4188510444057249, (1533, 2) = -.5843946451586215, (1533, 3) = 0.5129495851896047e-2, (1534, 1) = .4174793032547997, (1534, 2) = -.5843826247760809, (1534, 3) = 0.5112343818129319e-2, (1535, 1) = .41611037435707776, (1535, 2) = -.5843706689248042, (1535, 3) = 0.5095230316786102e-2, (1536, 1) = .41474424617776545, (1536, 2) = -.5843587772533254, (1536, 3) = 0.5078155545251712e-2, (1537, 1) = .4133809072526758, (1537, 2) = -.5843469494127181, (1537, 3) = 0.5061119020897157e-2, (1538, 1) = .4120203461876638, (1538, 2) = -.584335185056575, (1538, 3) = 0.5044120468748531e-2, (1539, 1) = .41066255165221727, (1539, 2) = -.5843234838409357, (1539, 3) = 0.50271599608012465e-2, (1540, 1) = .40930751233199625, (1540, 2) = -.5843118454238593, (1540, 3) = 0.5010237220829585e-2, (1541, 1) = .4079552170256255, (1541, 2) = -.5843002694662438, (1541, 3) = 0.4993351808010607e-2, (1542, 1) = .4066056546149601, (1542, 2) = -.5842887556315506, (1542, 3) = 0.49765041696523266e-2, (1543, 1) = .4052588140490894, (1543, 2) = -.5842773035856439, (1543, 3) = 0.495969368091892e-2, (1544, 1) = .4039146843437955, (1544, 2) = -.5842659129967739, (1544, 3) = 0.49429203493896335e-2, (1545, 1) = .40257325458102083, (1545, 2) = -.5842545835355523, (1545, 3) = 0.4926183820368597e-2, (1546, 1) = .4012345139083406, (1546, 2) = -.5842433148749332, (1546, 3) = 0.4909483980438444e-2, (1547, 1) = .3998984515384377, (1547, 2) = -.5842321066901913, (1547, 3) = 0.4892821028267905e-2, (1548, 1) = .3985650567485869, (1548, 2) = -.5842209586588989, (1548, 3) = 0.4876193947181562e-2, (1549, 1) = .3972343188641055, (1549, 2) = -.5842098704607767, (1549, 3) = 0.4859603516955357e-2, (1550, 1) = .39590622723560454, (1550, 2) = -.584198841777486, (1550, 3) = 0.4843049036532965e-2, (1551, 1) = .3945807713278372, (1551, 2) = -.584187872293356, (1551, 3) = 0.4826530599711444e-2, (1552, 1) = .39325794067271763, (1552, 2) = -.5841769616949728, (1552, 3) = 0.4810048044991865e-2, (1553, 1) = .3919377248642176, (1553, 2) = -.5841661096711203, (1553, 3) = 0.479360095338809e-2, (1554, 1) = .39062011355787485, (1554, 2) = -.584155315912761, (1554, 3) = 0.477718914544643e-2, (1555, 1) = .38930509647031186, (1555, 2) = -.5841445801130195, (1555, 3) = 0.4760812894137888e-2, (1556, 1) = .38799266337875865, (1556, 2) = -.5841339019671586, (1556, 3) = 0.4744471788125959e-2, (1557, 1) = .386682804120576, (1557, 2) = -.5841232811725636, (1557, 3) = 0.4728165512924437e-2, (1558, 1) = .3853755085927874, (1558, 2) = -.584112717428724, (1558, 3) = 0.4711893992762361e-2, (1559, 1) = .3840707667213574, (1559, 2) = -.5841022104369701, (1559, 3) = 0.4695657377393699e-2, (1560, 1) = .3827685684812669, (1560, 2) = -.5840917599006239, (1560, 3) = 0.4679455269353911e-2, (1561, 1) = .38146890394681643, (1561, 2) = -.584081365525388, (1561, 3) = 0.4663287526920724e-2, (1562, 1) = .3801717632503338, (1562, 2) = -.5840710270189969, (1562, 3) = 0.4647153891220075e-2, (1563, 1) = .3788771365815163, (1563, 2) = -.5840607440911987, (1563, 3) = 0.4631054554207496e-2, (1564, 1) = .3775850141869826, (1564, 2) = -.5840505164537345, (1564, 3) = 0.4614988986431827e-2, (1565, 1) = .3762953863698377, (1565, 2) = -.5840403438203249, (1565, 3) = 0.4598957464057076e-2, (1566, 1) = .3750082434892382, (1566, 2) = -.5840302259066494, (1566, 3) = 0.45829593638846465e-2, (1567, 1) = .3737235759599638, (1567, 2) = -.5840201624303326, (1567, 3) = 0.4566994761411113e-2, (1568, 1) = .37244137425074453, (1568, 2) = -.5840101531109162, (1568, 3) = 0.4551063577714444e-2, (1569, 1) = .3711616288422991, (1569, 2) = -.5840001976695187, (1569, 3) = 0.45351655259210175e-2, (1570, 1) = .36988433029270146, (1570, 2) = -.5839902958293373, (1570, 3) = 0.4519300778567794e-2, (1571, 1) = .3686094692361805, (1571, 2) = -.5839804473156173, (1571, 3) = 0.4503468617460593e-2, (1572, 1) = .3673370363604796, (1572, 2) = -.583970651855468, (1572, 3) = 0.44876695194257694e-2, (1573, 1) = .3660670224064538, (1573, 2) = -.5839609091778425, (1573, 3) = 0.4471902883082362e-2, (1574, 1) = .3647994181676676, (1574, 2) = -.5839512190135238, (1574, 3) = 0.44561688400101595e-2, (1575, 1) = .3635342144899956, (1575, 2) = -.5839415810951105, (1575, 3) = 0.4440467473215411e-2, (1576, 1) = .36227140227123017, (1576, 2) = -.5839319951569951, (1576, 3) = 0.4424797858017507e-2, (1577, 1) = .36101097246069086, (1577, 2) = -.5839224609353586, (1577, 3) = 0.4409160619067944e-2, (1578, 1) = .35975291605201254, (1578, 2) = -.5839129781680956, (1578, 3) = 0.43935552280012025e-2, (1579, 1) = .3584972240489543, (1579, 2) = -.5839035465945515, (1579, 3) = 0.4377981551480019e-2, (1580, 1) = .3572438875449062, (1580, 2) = -.5838941659561073, (1580, 3) = 0.4362439707749383e-2, (1581, 1) = .35599289769254977, (1581, 2) = -.5838848359959397, (1581, 3) = 0.43469295918958225e-2, (1582, 1) = .35474424569417706, (1582, 2) = -.5838755564589315, (1582, 3) = 0.4331450694108609e-2, (1583, 1) = .35349792280132336, (1583, 2) = -.5838663270916624, (1583, 3) = 0.4316003307082377e-2, (1584, 1) = .3522539203144007, (1584, 2) = -.5838571476423912, (1584, 3) = 0.4300586856585099e-2, (1585, 1) = .3510122295823374, (1585, 2) = -.5838480178610443, (1585, 3) = 0.4285201641610956e-2, (1586, 1) = .3497728420022159, (1586, 2) = -.5838389374991996, (1586, 3) = 0.4269847164950184e-2, (1587, 1) = .34853574901892254, (1587, 2) = -.583829906310074, (1587, 3) = 0.4254523589214446e-2, (1588, 1) = .3473009421085809, (1588, 2) = -.583820924048392, (1588, 3) = 0.4239230593196571e-2, (1589, 1) = .3460684127690501, (1589, 2) = -.5838119904703079, (1589, 3) = 0.4223968149153321e-2, (1590, 1) = .34483815258535844, (1590, 2) = -.5838031053338689, (1590, 3) = 0.4208736231251502e-2, (1591, 1) = .343610153191112, (1591, 2) = -.5837942683987233, (1591, 3) = 0.4193534124185281e-2, (1592, 1) = .3423844062659731, (1592, 2) = -.5837854794260928, (1592, 3) = 0.4178362659631963e-2, (1593, 1) = .34116090353532375, (1593, 2) = -.5837767381787552, (1593, 3) = 0.4163221303755923e-2, (1594, 1) = .3399396367699336, (1594, 2) = -.5837680444210354, (1594, 3) = 0.4148109684274875e-2, (1595, 1) = .3387205977856291, (1595, 2) = -.5837593979187911, (1595, 3) = 0.4133027874449557e-2, (1596, 1) = .33750377844296503, (1596, 2) = -.5837507984394004, (1596, 3) = 0.4117975682613188e-2, (1597, 1) = .3362891706469044, (1597, 2) = -.5837422457517502, (1597, 3) = 0.4102952971682218e-2, (1598, 1) = .3350767663177297, (1598, 2) = -.5837337396260218, (1598, 3) = 0.4087959895282497e-2, (1599, 1) = .3338665574204037, (1599, 2) = -.5837252798338883, (1599, 3) = 0.40729960224432545e-2, (1600, 1) = .3326585359921372, (1600, 2) = -.5837168661486978, (1600, 3) = 0.4058061166312579e-2, (1601, 1) = .3314526941132651, (1601, 2) = -.5837084983452591, (1601, 3) = 0.404315583336728e-2, (1602, 1) = .3302490239069362, (1602, 2) = -.5837001761998262, (1602, 3) = 0.4028279127807058e-2, (1603, 1) = .32904751753880607, (1603, 2) = -.58369189949009, (1603, 3) = 0.4013431131027131e-2, (1604, 1) = .3278481672167322, (1604, 2) = -.5836836679951665, (1604, 3) = 0.3998612262190612e-2, (1605, 1) = .3266509651904737, (1605, 2) = -.5836754814955822, (1605, 3) = 0.39838217508907986e-2, (1606, 1) = .3254559037513919, (1606, 2) = -.5836673397732658, (1606, 3) = 0.396905962594566e-2, (1607, 1) = .3242629752301279, (1607, 2) = -.5836592426115235, (1607, 3) = 0.3954326181653497e-2, (1608, 1) = .3230721719625055, (1608, 2) = -.5836511897947962, (1608, 3) = 0.3939620613526768e-2, (1609, 1) = .32188348634930386, (1609, 2) = -.5836431811090622, (1609, 3) = 0.3924943743208568e-2, (1610, 1) = .3206969108462414, (1610, 2) = -.5836352163417518, (1610, 3) = 0.3910294533556716e-2, (1611, 1) = .3195124379491688, (1611, 2) = -.5836272952816438, (1611, 3) = 0.3895673385319258e-2, (1612, 1) = .3183300601937889, (1612, 2) = -.5836194177188503, (1612, 3) = 0.38810798639594005e-2, (1613, 1) = .31714977015537565, (1613, 2) = -.5836115834448096, (1613, 3) = 0.3866514262259912e-2, (1614, 1) = .3159715604484949, (1614, 2) = -.5836037922522714, (1614, 3) = 0.3851976179544046e-2, (1615, 1) = .3147954237267282, (1615, 2) = -.583596043935291, (1615, 3) = 0.38374656225679295e-2, (1616, 1) = .3136213526824013, (1616, 2) = -.5835883382892159, (1616, 3) = 0.38229824726567006e-2, (1617, 1) = .31244934003868924, (1617, 2) = -.5835806751106265, (1617, 3) = 0.38085266598971925e-2, (1618, 1) = .3112793785262039, (1618, 2) = -.5835730541971772, (1618, 3) = 0.3794098153085806e-2, (1619, 1) = .31011146094727554, (1619, 2) = -.5835654753480064, (1619, 3) = 0.3779696454580717e-2, (1620, 1) = .30894558014733786, (1620, 2) = -.5835579383635426, (1620, 3) = 0.37653216890269196e-2, (1621, 1) = .3077817290092228, (1621, 2) = -.5835504430454563, (1621, 3) = 0.3750973961609968e-2, (1622, 1) = .306619900452904, (1622, 2) = -.5835429891966502, (1622, 3) = 0.37366529317481014e-2, (1623, 1) = .30546008743523817, (1623, 2) = -.5835355766212511, (1623, 3) = 0.3722358523310781e-2, (1624, 1) = .3043022829497098, (1624, 2) = -.5835282051245994, (1624, 3) = 0.3708090569344315e-2, (1625, 1) = .30314648002617983, (1625, 2) = -.5835208745132402, (1625, 3) = 0.36938491671287153e-2, (1626, 1) = .3019926717306341, (1626, 2) = -.5835135845949136, (1626, 3) = 0.36796343939378916e-2, (1627, 1) = .30084085114869874, (1627, 2) = -.5835063351784411, (1627, 3) = 0.3665445483082805e-2, (1628, 1) = .2996910113862546, (1628, 2) = -.5834991260737298, (1628, 3) = 0.36512829551641804e-2, (1629, 1) = .29854314561609263, (1629, 2) = -.5834919570920498, (1629, 3) = 0.36371462940164158e-2, (1630, 1) = .29739724704700476, (1630, 2) = -.5834848280458373, (1630, 3) = 0.36230355671947535e-2, (1631, 1) = .29625330892267415, (1631, 2) = -.5834777387486771, (1631, 3) = 0.36089507862021265e-2, (1632, 1) = .29511132452144134, (1632, 2) = -.5834706890152942, (1632, 3) = 0.359489190638878e-2, (1633, 1) = .2939712871560667, (1633, 2) = -.583463678661544, (1633, 3) = 0.35808584361689687e-2, (1634, 1) = .292833190173497, (1634, 2) = -.5834567075044067, (1634, 3) = 0.356685071551413e-2, (1635, 1) = .2916970269546331, (1635, 2) = -.5834497753619741, (1635, 3) = 0.35528679979629943e-2, (1636, 1) = .29056279091394077, (1636, 2) = -.5834428820534456, (1636, 3) = 0.3538910972124811e-2, (1637, 1) = .28943047547263734, (1637, 2) = -.5834360273989548, (1637, 3) = 0.35249791929802396e-2, (1638, 1) = .2883000740930162, (1638, 2) = -.5834292112197738, (1638, 3) = 0.351107269486034e-2, (1639, 1) = .28717158029024065, (1639, 2) = -.5834224333383745, (1639, 3) = 0.3497191392730116e-2, (1640, 1) = .28604498761229047, (1640, 2) = -.583415693578302, (1640, 3) = 0.34833346118642587e-2, (1641, 1) = .2849202896397382, (1641, 2) = -.583408991764167, (1641, 3) = 0.34695031832235293e-2, (1642, 1) = .2837974799855331, (1642, 2) = -.5834023277216328, (1642, 3) = 0.3455696104812695e-2, (1643, 1) = .28267655229478295, (1643, 2) = -.5833957012774136, (1643, 3) = 0.34419140222019936e-2, (1644, 1) = .2815575002445399, (1644, 2) = -.5833891122592618, (1644, 3) = 0.342815652918274e-2, (1645, 1) = .2804403175435873, (1645, 2) = -.5833825604959628, (1645, 3) = 0.3414423694884322e-2, (1646, 1) = .27932499792944326, (1646, 2) = -.583376045817309, (1646, 3) = 0.3400714996993403e-2, (1647, 1) = .2782115351414112, (1647, 2) = -.5833695680539398, (1647, 3) = 0.33870309439410743e-2, (1648, 1) = .2770999229735108, (1648, 2) = -.583363127037641, (1648, 3) = 0.3373370682508261e-2, (1649, 1) = .2759901552600315, (1649, 2) = -.5833567226012578, (1649, 3) = 0.33597351170734893e-2, (1650, 1) = .2748822258659471, (1650, 2) = -.5833503545786256, (1650, 3) = 0.33461232117832245e-2, (1651, 1) = .2737761286867116, (1651, 2) = -.5833440228045687, (1651, 3) = 0.33325356841782724e-2, (1652, 1) = .2726718576480589, (1652, 2) = -.5833377271148887, (1652, 3) = 0.33189715244926962e-2, (1653, 1) = .2715694067058035, (1653, 2) = -.583331467346361, (1653, 3) = 0.3305431511699808e-2, (1654, 1) = .2704687698456427, (1654, 2) = -.5833252433367229, (1654, 3) = 0.3291915123493402e-2, (1655, 1) = .2693699410829605, (1655, 2) = -.583319054924671, (1655, 3) = 0.32784226671923574e-2, (1656, 1) = .2682729144543761, (1656, 2) = -.5833129019498036, (1656, 3) = 0.3264953287189244e-2, (1657, 1) = .2671776840031296, (1657, 2) = -.5833067842525401, (1657, 3) = 0.32515076934443335e-2, (1658, 1) = .2660842438301195, (1658, 2) = -.583300701674393, (1658, 3) = 0.32380853065640744e-2, (1659, 1) = .2649925880681822, (1659, 2) = -.5832946540578244, (1659, 3) = 0.32246863422300343e-2, (1660, 1) = .26390271087887607, (1660, 2) = -.5832886412462165, (1660, 3) = 0.32113102470931413e-2, (1661, 1) = .262814606452295, (1661, 2) = -.583282663083869, (1661, 3) = 0.31979576876165323e-2, (1662, 1) = .2617282690068839, (1662, 2) = -.5832767194159885, (1662, 3) = 0.31846282059085065e-2, (1663, 1) = .26064369278925403, (1663, 2) = -.5832708100886838, (1663, 3) = 0.3171321391687185e-2, (1664, 1) = .25956087207400336, (1664, 2) = -.5832649349489605, (1664, 3) = 0.31580375925329574e-2, (1665, 1) = .25847980116353225, (1665, 2) = -.5832590938447115, (1665, 3) = 0.31447763866007394e-2, (1666, 1) = .2574004743717047, (1666, 2) = -.583253286624627, (1666, 3) = 0.31315380672969854e-2, (1667, 1) = .2563228860322742, (1667, 2) = -.5832475131382339, (1667, 3) = 0.31183225458864972e-2, (1668, 1) = .2552470305303558, (1668, 2) = -.5832417732360566, (1668, 3) = 0.31051293294885336e-2, (1669, 1) = .25417290227838313, (1669, 2) = -.5832360667694872, (1669, 3) = 0.30919585407319064e-2, (1670, 1) = .2531004957157053, (1670, 2) = -.5832303935907736, (1670, 3) = 0.30788102072522275e-2, (1671, 1) = .25202980530841446, (1671, 2) = -.5832247535530136, (1671, 3) = 0.3065684297134349e-2, (1672, 1) = .2509608255491759, (1672, 2) = -.5832191465101505, (1672, 3) = 0.3052580576773545e-2, (1673, 1) = .24989355095705718, (1673, 2) = -.5832135723169648, (1673, 3) = 0.30394987883844366e-2, (1674, 1) = .24882797607736257, (1674, 2) = -.5832080308290711, (1674, 3) = 0.30264393602597362e-2, (1675, 1) = .24776409548094266, (1675, 2) = -.5832025219029072, (1675, 3) = 0.30134018437484216e-2, (1676, 1) = .24670190374050213, (1676, 2) = -.5831970453956061, (1676, 3) = 0.30003862527098082e-2, (1677, 1) = .24564139546600405, (1677, 2) = -.5831916011651789, (1677, 3) = 0.2987392510450825e-2, (1678, 1) = .24458256530660236, (1678, 2) = -.5831861890705132, (1678, 3) = 0.29744204860721697e-2, (1679, 1) = .24352540793685848, (1679, 2) = -.5831808089713025, (1679, 3) = 0.29614701661327355e-2, (1680, 1) = .24246991805658166, (1680, 2) = -.5831754607280348, (1680, 3) = 0.29485413704492818e-2, (1681, 1) = .24141609039067105, (1681, 2) = -.5831701442019919, (1681, 3) = 0.2935634213742891e-2, (1682, 1) = .2403639196889576, (1682, 2) = -.583164859255238, (1682, 3) = 0.29227483242083704e-2, (1683, 1) = .239313400726046, (1683, 2) = -.5831596057506218, (1683, 3) = 0.29098841220399243e-2, (1684, 1) = .2382645283011632, (1684, 2) = -.5831543835517627, (1684, 3) = 0.28970412566407173e-2, (1685, 1) = .23721729723451657, (1685, 2) = -.5831491925230338, (1685, 3) = 0.28842193153890347e-2, (1686, 1) = .23617170234671367, (1686, 2) = -.5831440325294543, (1686, 3) = 0.28714188092634845e-2, (1687, 1) = .23512773850450494, (1687, 2) = -.5831389034369119, (1687, 3) = 0.2858639203559848e-2, (1688, 1) = .23408540060459568, (1688, 2) = -.5831338051120758, (1688, 3) = 0.28458807222812082e-2, (1689, 1) = .23304468356754812, (1689, 2) = -.5831287374223642, (1689, 3) = 0.2833143208992444e-2, (1690, 1) = .2320055823376319, (1690, 2) = -.5831237002359361, (1690, 3) = 0.28204265529537566e-2, (1691, 1) = .23096809188267767, (1691, 2) = -.5831186934216882, (1691, 3) = 0.2807730689057839e-2, (1692, 1) = .22993220719393173, (1692, 2) = -.5831137168492485, (1692, 3) = 0.2795055455701559e-2, (1693, 1) = .22889792328591105, (1693, 2) = -.5831087703889734, (1693, 3) = 0.27824010919543815e-2, (1694, 1) = .22786523519625926, (1694, 2) = -.5831038539119382, (1694, 3) = 0.2769767100969186e-2, (1695, 1) = .22683413797684895, (1695, 2) = -.5830989672898954, (1695, 3) = 0.2757153737854225e-2, (1696, 1) = .2258046266863864, (1696, 2) = -.5830941103952345, (1696, 3) = 0.27445607989375776e-2, (1697, 1) = .2247766964299976, (1697, 2) = -.5830892831011639, (1697, 3) = 0.27319882070271826e-2, (1698, 1) = .22375034233691712, (1698, 2) = -.5830844852816008, (1698, 3) = 0.27194357887326947e-2, (1699, 1) = .2227255595588008, (1699, 2) = -.5830797168111611, (1699, 3) = 0.27069038064881563e-2, (1700, 1) = .2217023432695864, (1700, 2) = -.58307497756515, (1700, 3) = 0.26943920705802204e-2, (1701, 1) = .22068068866535992, (1701, 2) = -.5830702674195619, (1701, 3) = 0.2681900471837865e-2, (1702, 1) = .2196605909642198, (1702, 2) = -.5830655862510717, (1702, 3) = 0.2669428732958829e-2, (1703, 1) = .21864204540614318, (1703, 2) = -.5830609339370342, (1703, 3) = 0.26569771187817362e-2, (1704, 1) = .21762504725285242, (1704, 2) = -.5830563103554747, (1704, 3) = 0.26445451576355234e-2, (1705, 1) = .21660959177166808, (1705, 2) = -.5830517153850163, (1705, 3) = 0.263213309058233e-2, (1706, 1) = .21559567425001128, (1706, 2) = -.5830471489049411, (1706, 3) = 0.2619741131798098e-2, (1707, 1) = .2145832900145154, (1707, 2) = -.5830426107952701, (1707, 3) = 0.2607368517833159e-2, (1708, 1) = .21357243441304247, (1708, 2) = -.5830381009366808, (1708, 3) = 0.2595015808462296e-2, (1709, 1) = .2125631028145455, (1709, 2) = -.5830336192104989, (1709, 3) = 0.2582682400471881e-2, (1710, 1) = .2115552906089415, (1710, 2) = -.5830291654986977, (1710, 3) = 0.2570368516528324e-2, (1711, 1) = .21054899320698497, (1711, 2) = -.5830247396838905, (1711, 3) = 0.2558074352728227e-2, (1712, 1) = .20954420604014434, (1712, 2) = -.5830203416493273, (1712, 3) = 0.25457993682156087e-2, (1713, 1) = .20854092456047682, (1713, 2) = -.5830159712788915, (1713, 3) = 0.25335436702710904e-2, (1714, 1) = .207539144239535, (1714, 2) = -.5830116284570908, (1714, 3) = 0.2521307410062169e-2, (1715, 1) = .20653886054811538, (1715, 2) = -.5830073130689641, (1715, 3) = 0.2509089992585585e-2, (1716, 1) = .20554006899046867, (1716, 2) = -.5830030250002318, (1716, 3) = 0.24968920802786324e-2, (1717, 1) = .20454276510022845, (1717, 2) = -.5829987641372677, (1717, 3) = 0.24847132116668216e-2, (1718, 1) = .20354694443100516, (1718, 2) = -.5829945303670563, (1718, 3) = 0.2472553075918749e-2, (1719, 1) = .2025526025562668, (1719, 2) = -.5829903235771914, (1719, 3) = 0.24604117614101723e-2, (1720, 1) = .2015597350692233, (1720, 2) = -.5829861436558694, (1720, 3) = 0.24482895070591015e-2, (1721, 1) = .2005683375827078, (1721, 2) = -.5829819904918856, (1721, 3) = 0.2436186134011029e-2, (1722, 1) = .19957840572906252, (1722, 2) = -.5829778639746293, (1722, 3) = 0.24241015428206787e-2, (1723, 1) = .19858993516002188, (1723, 2) = -.582973763994082, (1723, 3) = 0.2412035606852485e-2, (1724, 1) = .19760292154249012, (1724, 2) = -.5829696904407955, (1724, 3) = 0.23999883835664256e-2, (1725, 1) = .1966173605435724, (1725, 2) = -.5829656432058257, (1725, 3) = 0.23879595043109834e-2, (1726, 1) = .19563324786925657, (1726, 2) = -.5829616221808921, (1726, 3) = 0.2375949256425748e-2, (1727, 1) = .19465057924813106, (1727, 2) = -.5829576272583042, (1727, 3) = 0.2363957368690261e-2, (1728, 1) = .1936693504276085, (1728, 2) = -.5829536583309436, (1728, 3) = 0.2351983968647531e-2, (1729, 1) = .19268955717381717, (1729, 2) = -.5829497152922584, (1729, 3) = 0.2340028836711443e-2, (1730, 1) = .19171119527149008, (1730, 2) = -.5829457980362608, (1730, 3) = 0.23280920454157405e-2, (1731, 1) = .19073426052385836, (1731, 2) = -.5829419064575239, (1731, 3) = 0.2316173284555044e-2, (1732, 1) = .18975874875254048, (1732, 2) = -.5829380404511765, (1732, 3) = 0.23042727490494587e-2, (1733, 1) = .18878465579743978, (1733, 2) = -.5829341999129006, (1733, 3) = 0.2292390286504879e-2, (1734, 1) = .1878119775074915, (1734, 2) = -.5829303847388917, (1734, 3) = 0.22805257839216384e-2, (1735, 1) = .18684070973922104, (1735, 2) = -.582926594825851, (1735, 3) = 0.22686795222401335e-2, (1736, 1) = .18587084838645185, (1736, 2) = -.582922830071096, (1736, 3) = 0.22568510525687886e-2, (1737, 1) = .18490238936155381, (1737, 2) = -.5829190903724873, (1737, 3) = 0.22450403601767493e-2, (1738, 1) = .1839353285946513, (1738, 2) = -.5829153756284206, (1738, 3) = 0.2233247757604406e-2, (1739, 1) = .18296966203352077, (1739, 2) = -.5829116857378199, (1739, 3) = 0.22214726060261992e-2, (1740, 1) = .18200538564348936, (1740, 2) = -.5829080206001404, (1740, 3) = 0.22097151620640164e-2, (1741, 1) = .1810424954073346, (1741, 2) = -.5829043801153589, (1741, 3) = 0.21979753346673286e-2, (1742, 1) = .1800809873251827, (1742, 2) = -.5829007641839759, (1742, 3) = 0.2186253430915614e-2, (1743, 1) = .17912085741436704, (1743, 2) = -.5828971727070051, (1743, 3) = 0.2174548664265374e-2, (1744, 1) = .17816210169372657, (1744, 2) = -.5828936055859205, (1744, 3) = 0.216286163396235e-2, (1745, 1) = .17720471620242959, (1745, 2) = -.5828900627227176, (1745, 3) = 0.2151191918002771e-2, (1746, 1) = .17624869700938786, (1746, 2) = -.5828865440199476, (1746, 3) = 0.2139539391285154e-2, (1747, 1) = .17529404020036804, (1747, 2) = -.5828830493806668, (1747, 3) = 0.2127904326626068e-2, (1748, 1) = .17434074187789655, (1748, 2) = -.5828795787084317, (1748, 3) = 0.211628657784015e-2, (1749, 1) = .17338879816116332, (1749, 2) = -.5828761319072951, (1749, 3) = 0.2104685934863585e-2, (1750, 1) = .1724382051859276, (1750, 2) = -.5828727088818064, (1750, 3) = 0.20931024788785483e-2, (1751, 1) = .17148895910442422, (1751, 2) = -.5828693095370052, (1751, 3) = 0.20815359784927025e-2, (1752, 1) = .17054105608527068, (1752, 2) = -.5828659337784184, (1752, 3) = 0.2069986706578426e-2, (1753, 1) = .1695944923119247, (1753, 2) = -.582862581512053, (1753, 3) = 0.205845416101718e-2, (1754, 1) = .1686492639659176, (1754, 2) = -.5828592526443359, (1754, 3) = 0.20469389043577964e-2, (1755, 1) = .16770536725856955, (1755, 2) = -.5828559470822182, (1755, 3) = 0.20354400202468046e-2, (1756, 1) = .16676279842345998, (1756, 2) = -.5828526647331532, (1756, 3) = 0.2023958413228404e-2, (1757, 1) = .1658215537100916, (1757, 2) = -.5828494055050631, (1757, 3) = 0.20124934319583052e-2, (1758, 1) = .16488162938379816, (1758, 2) = -.5828461693063415, (1758, 3) = 0.20010451422189696e-2, (1759, 1) = .16394302172565858, (1759, 2) = -.5828429560458477, (1759, 3) = 0.1989613581036635e-2, (1760, 1) = .163005727032406, (1760, 2) = -.5828397656329046, (1760, 3) = 0.19781985080268554e-2, (1761, 1) = .16206974161634372, (1761, 2) = -.5828365979772965, (1761, 3) = 0.19668002577540133e-2, (1762, 1) = .16113506180525483, (1762, 2) = -.5828334529892629, (1762, 3) = 0.19554182480002696e-2, (1763, 1) = .16020168393766543, (1763, 2) = -.5828303305794853, (1763, 3) = 0.19440527890723636e-2, (1764, 1) = .15926960435278034, (1764, 2) = -.5828272306590476, (1764, 3) = 0.19327038008871617e-2, (1765, 1) = .15833881942249634, (1765, 2) = -.5828241531395415, (1765, 3) = 0.1921371146364969e-2, (1766, 1) = .15740932553600015, (1766, 2) = -.5828210979330128, (1766, 3) = 0.19100549444649709e-2, (1767, 1) = .15648111909752943, (1767, 2) = -.5828180649519494, (1767, 3) = 0.18987548944107125e-2, (1768, 1) = .15555419652629182, (1768, 2) = -.5828150541092793, (1768, 3) = 0.1887470772886162e-2, (1769, 1) = .15462855425638092, (1769, 2) = -.5828120653183713, (1769, 3) = 0.18762031088126981e-2, (1770, 1) = .1537041887366945, (1770, 2) = -.5828090984930262, (1770, 3) = 0.18649515495559234e-2, (1771, 1) = .15278109643085228, (1771, 2) = -.5828061535474776, (1771, 3) = 0.18537161039671503e-2, (1772, 1) = .15185927381711684, (1772, 2) = -.582803230396388, (1772, 3) = 0.18424965740857688e-2, (1773, 1) = .15093871737887823, (1773, 2) = -.582800328954819, (1773, 3) = 0.18312931548339767e-2, (1774, 1) = .15001942360812567, (1774, 2) = -.582797449138237, (1774, 3) = 0.182010551207881e-2, (1775, 1) = .14910138902665648, (1775, 2) = -.5827945908625788, (1775, 3) = 0.18089337151668294e-2, (1776, 1) = .14818461017081483, (1776, 2) = -.5827917540442022, (1776, 3) = 0.17977778752068347e-2, (1777, 1) = .1472690835911855, (1777, 2) = -.5827889385998796, (1777, 3) = 0.178663768322407e-2, (1778, 1) = .14635480585251792, (1778, 2) = -.5827861444467974, (1778, 3) = 0.17755132980397021e-2, (1779, 1) = .14544177353364707, (1779, 2) = -.5827833715025535, (1779, 3) = 0.17644045648742398e-2, (1780, 1) = .14452998322741745, (1780, 2) = -.582780619685154, (1780, 3) = 0.17533113704797168e-2, (1781, 1) = .1436194315406074, (1781, 2) = -.5827778889130115, (1781, 3) = 0.17422339627555202e-2, (1782, 1) = .14271011509362852, (1782, 2) = -.5827751791049396, (1782, 3) = 0.17311719561578427e-2, (1783, 1) = .14180203050598542, (1783, 2) = -.5827724901801115, (1783, 3) = 0.1720125604050166e-2, (1784, 1) = .140895174417021, (1784, 2) = -.5827698220581163, (1784, 3) = 0.17090945290169051e-2, (1785, 1) = .1399895434887974, (1785, 2) = -.582767174658968, (1785, 3) = 0.16980789671772623e-2, (1786, 1) = .1390851343969337, (1786, 2) = -.5827645479030723, (1786, 3) = 0.16870786632404015e-2, (1787, 1) = .1381819438305339, (1787, 2) = -.5827619417112272, (1787, 3) = 0.16760937583866209e-2, (1788, 1) = .13727996849211263, (1788, 2) = -.5827593560046191, (1788, 3) = 0.16651241864552044e-2, (1789, 1) = .136379205097524, (1789, 2) = -.5827567907048206, (1789, 3) = 0.16541697094303678e-2, (1790, 1) = .13547965037589038, (1790, 2) = -.5827542457337876, (1790, 3) = 0.16432306277403702e-2, (1791, 1) = .13458130106952976, (1791, 2) = -.5827517210138587, (1791, 3) = 0.16323062175010237e-2, (1792, 1) = .1336841539319642, (1792, 2) = -.5827492164677457, (1792, 3) = 0.16213971802979735e-2, (1793, 1) = .13278820571452057, (1793, 2) = -.5827467320184964, (1793, 3) = 0.16105033643787684e-2, (1794, 1) = .13189345319485074, (1794, 2) = -.5827442675895688, (1794, 3) = 0.15996243096453487e-2, (1795, 1) = .1309998931676427, (1795, 2) = -.5827418231048065, (1795, 3) = 0.15887600960614182e-2, (1796, 1) = .13010752244042906, (1796, 2) = -.5827393984884243, (1796, 3) = 0.15779111997868236e-2, (1797, 1) = .1292163378335189, (1797, 2) = -.582736993665002, (1797, 3) = 0.15670769304231814e-2, (1798, 1) = .12832633617993003, (1798, 2) = -.5827346085594868, (1798, 3) = 0.15562575974901076e-2, (1799, 1) = .12743751432532113, (1799, 2) = -.5827322430971883, (1799, 3) = 0.15454528766379746e-2, (1800, 1) = .12654986912792518, (1800, 2) = -.5827298972037784, (1800, 3) = 0.15346630171796467e-2, (1801, 1) = .12566339745848276, (1801, 2) = -.5827275708052873, (1801, 3) = 0.1523887776567456e-2, (1802, 1) = .12477809619505278, (1802, 2) = -.5827252638280876, (1802, 3) = 0.15131271995277222e-2, (1803, 1) = .1238939622172292, (1803, 2) = -.5827229761988818, (1803, 3) = 0.15023812248964109e-2, (1804, 1) = .12301099243197787, (1804, 2) = -.5827207078447622, (1804, 3) = 0.1491649980844112e-2, (1805, 1) = .12212918375968353, (1805, 2) = -.582718458693175, (1805, 3) = 0.14809332106215567e-2, (1806, 1) = .12124853313290951, (1806, 2) = -.582716228671915, (1806, 3) = 0.14702309113237774e-2, (1807, 1) = .12036903749633401, (1807, 2) = -.5827140177091233, (1807, 3) = 0.14595429076649557e-2, (1808, 1) = .11949069380668594, (1808, 2) = -.5827118257332847, (1808, 3) = 0.1448869207115689e-2, (1809, 1) = .11861349903268223, (1809, 2) = -.5827096526732264, (1809, 3) = 0.14382098933266576e-2, (1810, 1) = .11773745015496562, (1810, 2) = -.5827074984581169, (1810, 3) = 0.14275653392007677e-2, (1811, 1) = .11686254416604214, (1811, 2) = -.5827053630174586, (1811, 3) = 0.1416934715174096e-2, (1812, 1) = .11598877806057148, (1812, 2) = -.582703246281071, (1812, 3) = 0.14063184001677836e-2, (1813, 1) = .11511614884291788, (1813, 2) = -.5827011481791007, (1813, 3) = 0.1395716173489458e-2, (1814, 1) = .11424465354103411, (1814, 2) = -.5826990686420573, (1814, 3) = 0.13851283218053244e-2, (1815, 1) = .11337428919451992, (1815, 2) = -.5826970076007787, (1815, 3) = 0.13745545330020403e-2, (1816, 1) = .1125050528545294, (1816, 2) = -.5826949649864319, (1816, 3) = 0.1363994819575539e-2, (1817, 1) = .11163694158371226, (1817, 2) = -.5826929407305086, (1817, 3) = 0.13534488793090632e-2, (1818, 1) = .11076995245615316, (1818, 2) = -.5826909347648269, (1818, 3) = 0.13429171252251498e-2, (1819, 1) = .10990408255731406, (1819, 2) = -.5826889470215254, (1819, 3) = 0.13323993004180628e-2, (1820, 1) = .10903932898397461, (1820, 2) = -.582686977433064, (1820, 3) = 0.13218956145556128e-2, (1821, 1) = .1081756888436849, (1821, 2) = -.5826850259322183, (1821, 3) = 0.13114055005673368e-2, (1822, 1) = .10731315924182026, (1822, 2) = -.5826830924520527, (1822, 3) = 0.13009294204270202e-2, (1823, 1) = .10645173730261398, (1823, 2) = -.5826811769259627, (1823, 3) = 0.1290467062842552e-2, (1824, 1) = .10559142016778221, (1824, 2) = -.5826792792876728, (1824, 3) = 0.12800184081600326e-2, (1825, 1) = .1047322049900698, (1825, 2) = -.5826773994712171, (1825, 3) = 0.12695837611090873e-2, (1826, 1) = .10387408893319071, (1826, 2) = -.5826755374109387, (1826, 3) = 0.12591624366674978e-2, (1827, 1) = .10301706917177492, (1827, 2) = -.5826736930414893, (1827, 3) = 0.12487549620602487e-2, (1828, 1) = .10216114289131031, (1828, 2) = -.5826718662978247, (1828, 3) = 0.12383608036797339e-2, (1829, 1) = .101306307288089, (1829, 2) = -.5826700571152064, (1829, 3) = 0.122798028495277e-2, (1830, 1) = .10045255956915115, (1830, 2) = -.5826682654291966, (1830, 3) = 0.12176136628879264e-2, (1831, 1) = 0.9959989694985717e-1, (1831, 2) = -.5826664911756526, (1831, 3) = 0.12072604522199426e-2, (1832, 1) = 0.9874831664366499e-1, (1832, 2) = -.5826647342907045, (1832, 3) = 0.11969204865151012e-2, (1833, 1) = 0.9789781588712795e-1, (1833, 2) = -.5826629947108065, (1833, 3) = 0.11865938223546604e-2, (1834, 1) = 0.9704839192996935e-1, (1834, 2) = -.5826612723727141, (1834, 3) = 0.1176280912655724e-2, (1835, 1) = 0.962000420323893e-1, (1835, 2) = -.5826595672134737, (1835, 3) = 0.11659811138227422e-2, (1836, 1) = 0.9535276346501025e-1, (1836, 2) = -.5826578791704247, (1836, 3) = 0.11556944615481828e-2, (1837, 1) = 0.9450655350882531e-1, (1837, 2) = -.5826562081811971, (1837, 3) = 0.11454213866584826e-2, (1838, 1) = 0.9366140945514562e-1, (1838, 2) = -.5826545541837082, (1838, 3) = 0.11351615785640526e-2, (1839, 1) = 0.9281732860554859e-1, (1839, 2) = -.5826529171161619, (1839, 3) = 0.11249148376326146e-2, (1840, 1) = 0.9197430827182583e-1, (1840, 2) = -.5826512969170466, (1840, 3) = 0.11146810041338488e-2, (1841, 1) = 0.9113234577040732e-1, (1841, 2) = -.5826496935251256, (1841, 3) = 0.11044608792739764e-2, (1842, 1) = 0.9029143842030371e-1, (1842, 2) = -.5826481068794273, (1842, 3) = 0.10942533119607095e-2, (1843, 1) = 0.8945158356329756e-1, (1843, 2) = -.582646536919286, (1843, 3) = 0.1084058865670121e-2, (1844, 1) = 0.8861277855174932e-1, (1844, 2) = -.5826449835843168, (1844, 3) = 0.1073877575672682e-2, (1845, 1) = 0.8777502074797869e-1, (1845, 2) = -.5826434468144092, (1845, 3) = 0.10637091263501013e-2, (1846, 1) = 0.8693830752421451e-1, (1846, 2) = -.5826419265497307, (1846, 3) = 0.10535540232176834e-2, (1847, 1) = 0.8610263626254454e-1, (1847, 2) = -.5826404227307193, (1847, 3) = 0.10434115329468361e-2, (1848, 1) = 0.8526800435486738e-1, (1848, 2) = -.5826389352980865, (1848, 3) = 0.10332817077838901e-2, (1849, 1) = 0.8443440920284329e-1, (1849, 2) = -.5826374641928167, (1849, 3) = 0.1023165314496009e-2, (1850, 1) = 0.8360184821783842e-1, (1850, 2) = -.5826360093561589, (1850, 3) = 0.10130612061275985e-2, (1851, 1) = 0.8277031881111498e-1, (1851, 2) = -.5826345707296158, (1851, 3) = 0.10029698694366033e-2, (1852, 1) = 0.8193981840470038e-1, (1852, 2) = -.5826331482549588, (1852, 3) = 0.9928916537371166e-3, (1853, 1) = 0.8111034443903216e-1, (1853, 2) = -.5826317418742377, (1853, 3) = 0.9828258862697099e-3, (1854, 1) = 0.8028189436406745e-1, (1854, 2) = -.5826303515297656, (1854, 3) = 0.9727726797248258e-3, (1855, 1) = 0.7945446563923697e-1, (1855, 2) = -.5826289771641179, (1855, 3) = 0.9627321863769174e-3, (1856, 1) = 0.786280557333969e-1, (1856, 2) = -.5826276187201295, (1856, 3) = 0.9527042784154234e-3, (1857, 1) = 0.7780266212478379e-1, (1857, 2) = -.5826262761408942, (1857, 3) = 0.9426890806726564e-3, (1858, 1) = 0.7697828230096772e-1, (1858, 2) = -.5826249493697615, (1858, 3) = 0.9326861537246092e-3, (1859, 1) = 0.7615491375880669e-1, (1859, 2) = -.5826236383503387, (1859, 3) = 0.9226961631460069e-3, (1860, 1) = 0.7533255400360409e-1, (1860, 2) = -.5826223430264836, (1860, 3) = 0.9127182864453883e-3, (1861, 1) = 0.7451120053798402e-1, (1861, 2) = -.5826210633422908, (1861, 3) = 0.9027530496072619e-3, (1862, 1) = 0.736908508821558e-1, (1862, 2) = -.5826197992421182, (1862, 3) = 0.8928002048037887e-3, (1863, 1) = 0.728715025698773e-1, (1863, 2) = -.5826185506705798, (1863, 3) = 0.8828592258924092e-3, (1864, 1) = 0.7205315314396761e-1, (1864, 2) = -.5826173175725416, (1864, 3) = 0.8729309757638052e-3, (1865, 1) = 0.7123580015626188e-1, (1865, 2) = -.5826160998931141, (1865, 3) = 0.8630150425864084e-3, (1866, 1) = 0.7041944116756821e-1, (1866, 2) = -.5826148975776538, (1866, 3) = 0.8531114090625072e-3, (1867, 1) = 0.6960407374762274e-1, (1867, 2) = -.5826137105717616, (1867, 3) = 0.843219813112313e-3, (1868, 1) = 0.687896954750481e-1, (1868, 2) = -.5826125388212824, (1868, 3) = 0.8333406357681313e-3, (1869, 1) = 0.6797630393730886e-1, (1869, 2) = -.5826113822723009, (1869, 3) = 0.8234734804960223e-3, (1870, 1) = 0.6716389672787584e-1, (1870, 2) = -.5826102408711397, (1870, 3) = 0.8136183085056452e-3, (1871, 1) = 0.6635247143894818e-1, (1871, 2) = -.5826091145643467, (1871, 3) = 0.8037756487243612e-3, (1872, 1) = 0.6554202568283361e-1, (1872, 2) = -.5826080032987225, (1872, 3) = 0.7939449021858369e-3, (1873, 1) = 0.6473255708213209e-1, (1873, 2) = -.5826069070213077, (1873, 3) = 0.7841260426064231e-3, (1874, 1) = 0.6392406326807264e-1, (1874, 2) = -.5826058256793769, (1874, 3) = 0.7743192960227765e-3, (1875, 1) = 0.6311654188047094e-1, (1875, 2) = -.5826047592204394, (1875, 3) = 0.7645245369934541e-3, (1876, 1) = 0.62309990567688496e-1, (1876, 2) = -.5826037075922359, (1876, 3) = 0.754741750295615e-3, (1877, 1) = 0.61504406986591896e-1, (1877, 2) = -.5826026707427387, (1877, 3) = 0.7449706402262807e-3, (1878, 1) = 0.6069978880251108e-1, (1878, 2) = -.5826016486201505, (1878, 3) = 0.7352117671117854e-3, (1879, 1) = 0.59896133689199736e-1, (1879, 2) = -.5826006411729011, (1879, 3) = 0.7254645938842968e-3, (1880, 1) = 0.59093439322927724e-1, (1880, 2) = -.582599648349642, (1880, 3) = 0.7157290462705838e-3, (1881, 1) = 0.58291703383666967e-1, (1881, 2) = -.5825986700992442, (1881, 3) = 0.7060054777846822e-3, (1882, 1) = 0.57490923570164436e-1, (1882, 2) = -.5825977063708179, (1882, 3) = 0.6962935041556408e-3, (1883, 1) = 0.5669109758964873e-1, (1883, 2) = -.5825967571136973, (1883, 3) = 0.6865935261167286e-3, (1884, 1) = 0.5589222315757068e-1, (1884, 2) = -.5825958222774376, (1884, 3) = 0.6769054151842333e-3, (1885, 1) = 0.5509429799756351e-1, (1885, 2) = -.5825949018118146, (1885, 3) = 0.6672283360579519e-3, (1886, 1) = 0.54297319841404665e-1, (1886, 2) = -.5825939956668276, (1886, 3) = 0.6575632327585049e-3, (1887, 1) = 0.5350128642897746e-1, (1887, 2) = -.5825931037926918, (1887, 3) = 0.6479098452264291e-3, (1888, 1) = 0.5270619550823178e-1, (1888, 2) = -.5825922261398391, (1888, 3) = 0.6382677037667813e-3, (1889, 1) = 0.5191204483505122e-1, (1889, 2) = -.5825913626589209, (1889, 3) = 0.6286374075854274e-3, (1890, 1) = 0.51118832163791615e-1, (1890, 2) = -.5825905133007914, (1890, 3) = 0.6190185962872838e-3, (1891, 1) = 0.50326555260101886e-1, (1891, 2) = -.5825896780165233, (1891, 3) = 0.6094113405237809e-3, (1892, 1) = 0.49535211903996075e-1, (1892, 2) = -.5825888567574086, (1892, 3) = 0.599815397465713e-3, (1893, 1) = 0.4874479988336369e-1, (1893, 2) = -.5825880494749529, (1893, 3) = 0.5902309183465453e-3, (1894, 1) = 0.4795531699393402e-1, (1894, 2) = -.5825872561208705, (1894, 3) = 0.580657809150409e-3, (1895, 1) = 0.4716676103923851e-1, (1895, 2) = -.5825864766470864, (1895, 3) = 0.571096156793715e-3, (1896, 1) = 0.46379129830574586e-1, (1896, 2) = -.5825857110057325, (1896, 3) = 0.5615456608459392e-3, (1897, 1) = 0.455924211869685e-1, (1897, 2) = -.5825849591491497, (1897, 3) = 0.5520066990081035e-3, (1898, 1) = 0.4480663293513974e-1, (1898, 2) = -.5825842210298829, (1898, 3) = 0.542478764372312e-3, (1899, 1) = 0.4402176290834569e-1, (1899, 2) = -.5825834966006826, (1899, 3) = 0.532962311782727e-3, (1900, 1) = 0.43237808937158506e-1, (1900, 2) = -.5825827858144935, (1900, 3) = 0.5234571556339484e-3, (1901, 1) = 0.4245476886830561e-1, (1901, 2) = -.5825820886244698, (1901, 3) = 0.5139627620920644e-3, (1902, 1) = 0.41672640559088196e-1, (1902, 2) = -.5825814049839729, (1902, 3) = 0.5044798804564006e-3, (1903, 1) = 0.4089142187432078e-1, (1903, 2) = -.5825807348465631, (1903, 3) = 0.4950081977576948e-3, (1904, 1) = 0.40111110686295616e-1, (1904, 2) = -.5825800781659995, (1904, 3) = 0.4855474397537671e-3, (1905, 1) = 0.3933170487474866e-1, (1905, 2) = -.5825794348962414, (1905, 3) = 0.4760977971126761e-3, (1906, 1) = 0.38553202326825575e-1, (1906, 2) = -.5825788049914445, (1906, 3) = 0.466659357134419e-3, (1907, 1) = 0.377756009370458e-1, (1907, 2) = -.5825781884059608, (1907, 3) = 0.45723181960365323e-3, (1908, 1) = 0.3699889860726949e-1, (1908, 2) = -.5825775850943373, (1908, 3) = 0.447815207105126e-3, (1909, 1) = 0.36223093243489615e-1, (1909, 2) = -.5825769950113138, (1909, 3) = 0.43840968606396704e-3, (1910, 1) = 0.3544818275124513e-1, (1910, 2) = -.582576418111817, (1910, 3) = 0.4290151385784993e-3, (1911, 1) = 0.3467416505344319e-1, (1911, 2) = -.5825758543509739, (1911, 3) = 0.4196313831711941e-3, (1912, 1) = 0.3390103808112818e-1, (1912, 2) = -.5825753036841036, (1912, 3) = 0.4102585259901238e-3, (1913, 1) = 0.33128799772515066e-1, (1913, 2) = -.5825747660667147, (1913, 3) = 0.40089649867965755e-3, (1914, 1) = 0.3235744807295663e-1, (1914, 2) = -.5825742414545059, (1914, 3) = 0.3915454135312317e-3, (1915, 1) = 0.315869809349115e-1, (1915, 2) = -.5825737298033629, (1915, 3) = 0.3822050307223749e-3, (1916, 1) = 0.30817396317909918e-1, (1916, 2) = -.5825732310693599, (1916, 3) = 0.3728753975986977e-3, (1917, 1) = 0.30048692188523674e-1, (1917, 2) = -.5825727452087568, (1917, 3) = 0.36355681314449994e-3, (1918, 1) = 0.2928086652033143e-1, (1918, 2) = -.5825722721779965, (1918, 3) = 0.35424865592397257e-3, (1919, 1) = 0.28513917287734364e-1, (1919, 2) = -.5825718119337057, (1919, 3) = 0.3449512993159495e-3, (1920, 1) = 0.27747842469960662e-1, (1920, 2) = -.5825713644326921, (1920, 3) = 0.335664728090462e-3, (1921, 1) = 0.26982640061526685e-1, (1921, 2) = -.5825709296319497, (1921, 3) = 0.3263887559991612e-3, (1922, 1) = 0.26218308063876043e-1, (1922, 2) = -.5825705074886552, (1922, 3) = 0.3171230932184897e-3, (1923, 1) = 0.25454844485301213e-1, (1923, 2) = -.5825700979601663, (1923, 3) = 0.30786841181048755e-3, (1924, 1) = 0.24692247340910776e-1, (1924, 2) = -.5825697010040181, (1924, 3) = 0.29862400162092187e-3, (1925, 1) = 0.23930514652599006e-1, (1925, 2) = -.582569316577926, (1925, 3) = 0.28939046951884713e-3, (1926, 1) = 0.2316964444901524e-1, (1926, 2) = -.582568944639781, (1926, 3) = 0.28016721771324826e-3, (1927, 1) = 0.22409634765533093e-1, (1927, 2) = -.5825685851476534, (1927, 3) = 0.27095471679465386e-3, (1928, 1) = 0.21650483643967607e-1, (1928, 2) = -.582568238059785, (1928, 3) = 0.26175205497645375e-3, (1929, 1) = 0.20892189123851972e-1, (1929, 2) = -.5825679033345935, (1929, 3) = 0.2525603084152987e-3, (1930, 1) = 0.20134749256040203e-1, (1930, 2) = -.5825675809306694, (1930, 3) = 0.24337899540327428e-3, (1931, 1) = 0.19378162102647555e-1, (1931, 2) = -.5825672708067788, (1931, 3) = 0.23420788768289158e-3, (1932, 1) = 0.18622425732361857e-1, (1932, 2) = -.5825669729218611, (1932, 3) = 0.22504722153288614e-3, (1933, 1) = 0.1786753822041335e-1, (1933, 2) = -.5825666872350264, (1933, 3) = 0.21589712949155395e-3, (1934, 1) = 0.17113497648545997e-1, (1934, 2) = -.5825664137055535, (1934, 3) = 0.20675707208072449e-3, (1935, 1) = 0.16360302104987765e-1, (1935, 2) = -.5825661522928922, (1935, 3) = 0.1976271163863513e-3, (1936, 1) = 0.15607949684422114e-1, (1936, 2) = -.5825659029566614, (1936, 3) = 0.18850758088144714e-3, (1937, 1) = 0.14856438487958153e-1, (1937, 2) = -.5825656656566465, (1937, 3) = 0.17939860921549217e-3, (1938, 1) = 0.14105766621660082e-1, (1938, 2) = -.5825654403527991, (1938, 3) = 0.17029967235229697e-3, (1939, 1) = 0.13355932189230087e-1, (1939, 2) = -.5825652270052335, (1939, 3) = 0.16121055988986923e-3, (1940, 1) = 0.12606933309023637e-1, (1940, 2) = -.5825650255742354, (1940, 3) = 0.15213195562970407e-3, (1941, 1) = 0.11858768107707779e-1, (1941, 2) = -.5825648360202516, (1941, 3) = 0.14306348144744186e-3, (1942, 1) = 0.11111434718232688e-1, (1942, 2) = -.5825646583038938, (1942, 3) = 0.1340049750153034e-3, (1943, 1) = 0.1036493127980356e-1, (1943, 2) = -.5825644923859358, (1943, 3) = 0.12495670288890072e-3, (1944, 1) = 0.9619255937851531e-2, (1944, 2) = -.5825643382273141, (1944, 3) = 0.11591829500030761e-3, (1945, 1) = 0.8874406844007091e-2, (1945, 2) = -.5825641957891249, (1945, 3) = 0.10689012978942849e-3, (1946, 1) = 0.8130382156072051e-2, (1946, 2) = -.5825640650326249, (1946, 3) = 0.9787194904917219e-4, (1947, 1) = 0.73871800379924895e-2, (1947, 2) = -.5825639459192301, (1947, 3) = 0.8886374582588555e-4, (1948, 1) = 0.6644798656313258e-2, (1948, 2) = -.5825638384105141, (1948, 3) = 0.7986551428170698e-4, (1949, 1) = 0.5903236178042973e-2, (1949, 2) = -.582563742468207, (1949, 3) = 0.708770356790028e-4, (1950, 1) = 0.5162490785048567e-2, (1950, 2) = -.5825636580541991, (1950, 3) = 0.6189859489035609e-4, (1951, 1) = 0.4422560665716391e-2, (1951, 2) = -.582563585130536, (1951, 3) = 0.52930266488593206e-4, (1952, 1) = 0.3683444014440907e-2, (1952, 2) = -.5825635236594168, (1952, 3) = 0.43971523845955e-4, (1953, 1) = 0.29451390315987057e-2, (1953, 2) = -.5825634736031975, (1953, 3) = 0.3502273081517477e-4, (1954, 1) = 0.2207643923522031e-2, (1954, 2) = -.5825634349243857, (1954, 3) = 0.26083507959948664e-4, (1955, 1) = 0.14709569024722758e-2, (1955, 2) = -.5825634075856441, (1955, 3) = 0.17154614917092457e-4, (1956, 1) = 0.7350761866145509e-3, (1956, 2) = -.5825633915497845, (1956, 3) = 0.8235144583558052e-5, (1957, 1) = .0, (1957, 2) = -.5825633867797726, (1957, 3) = -0.6744935066858084e-6}, datatype = float[8], order = C_order); errproc := proc (x_bvp) local outpoint, X, Y, yout, L, V, i; option `Copyright (c) 2000 by Waterloo Maple Inc. All rights reserved.`; Digits := 15; outpoint := evalf(x_bvp); X := Vector(1957, {(1) = .0, (2) = 0.12611067409361687e-2, (3) = 0.252221348410468e-2, (4) = 0.37833202318279476e-2, (5) = 0.5044426986579459e-2, (6) = 0.6305533751061398e-2, (7) = 0.7566640528282259e-2, (8) = 0.882774733423159e-2, (9) = 0.10088854351906654e-1, (10) = 0.1134996147648832e-1, (11) = 0.1261106863000165e-1, (12) = 0.13872175694923246e-1, (13) = 0.15133282634239825e-1, (14) = 0.1639438961857501e-1, (15) = 0.17655496658894432e-1, (16) = 0.1891660376438843e-1, (17) = 0.201777109453215e-1, (18) = 0.21438818213109903e-1, (19) = 0.226999255803993e-1, (20) = 0.23961033061142355e-1, (21) = 0.2522214067063882e-1, (22) = 0.26483248425465494e-1, (23) = 0.27744356343855976e-1, (24) = 0.2900546444567761e-1, (25) = 0.30266572797350823e-1, (26) = 0.31527681581096964e-1, (27) = 0.32788790652269535e-1, (28) = 0.3404990000354026e-1, (29) = 0.3531100966151564e-1, (30) = 0.3657211949287879e-1, (31) = 0.378332295699809e-1, (32) = 0.3909434005519271e-1, (33) = 0.4035545098622824e-1, (34) = 0.4161656240318755e-1, (35) = 0.42877674348625425e-1, (36) = 0.44138786867628975e-1, (37) = 0.4539990000789529e-1, (38) = 0.4666101381980905e-1, (39) = 0.47922128356520176e-1, (40) = 0.4918324367401858e-1, (41) = 0.504443598306827e-1, (42) = 0.51705476983967505e-1, (43) = 0.52966595278259664e-1, (44) = 0.5422771461261201e-1, (45) = 0.5548883505110064e-1, (46) = 0.5674995666822384e-1, (47) = 0.580110795294846e-1, (48) = 0.59272203529788e-1, (49) = 0.60533328864054374e-1, (50) = 0.61794455708944755e-1, (51) = 0.6305558415556746e-1, (52) = 0.6431671429938847e-1, (53) = 0.6557784623998603e-1, (54) = 0.6683898008085187e-1, (55) = 0.68100115929469e-1, (56) = 0.693612538973893e-1, (57) = 0.7062239410947786e-1, (58) = 0.7188353685500615e-1, (59) = 0.7314468216696497e-1, (60) = 0.7440583008586295e-1, (61) = 0.7566698074321118e-1, (62) = 0.7692813427624462e-1, (63) = 0.7818929082693948e-1, (64) = 0.7945045054195449e-1, (65) = 0.807116135427864e-1, (66) = 0.8197277980036363e-1, (67) = 0.832339496347055e-1, (68) = 0.8449512326790203e-1, (69) = 0.8575630087119017e-1, (70) = 0.8701748261988461e-1, (71) = 0.8827866869383584e-1, (72) = 0.895398592796815e-1, (73) = 0.9080105462393903e-1, (74) = 0.9206225506242222e-1, (75) = 0.9332346062914834e-1, (76) = 0.9458467150848042e-1, (77) = 0.9584588791472444e-1, (78) = 0.9710711006795063e-1, (79) = 0.9836833819402642e-1, (80) = 0.9962957252253975e-1, (81) = .1008908132898561, (82) = .10215206073957839, (83) = .10341331506666945, (84) = .10467457636699808, (85) = .10593584508668905, (86) = .10719712152495582, (87) = .10845840595691103, (88) = .1097196986642039, (89) = .11098099993469157, (90) = .11224231016838984, (91) = .11350362971330877, (92) = .11476495872478397, (93) = .11602629751473549, (94) = .11728764640531733, (95) = .1185490057257598, (96) = .119810375812448, (97) = .12107175700900018, (98) = .12233314966634631, (99) = .1235945541414749, (100) = .12485597079617078, (101) = .12611739991624088, (102) = .12737884176983025, (103) = .12864029693125903, (104) = .12990176583465182, (105) = .131163249047175, (106) = .13242474684245334, (107) = .133686259589641, (108) = .13494778771667934, (109) = .1362093316565799, (110) = .1374708918499907, (111) = .13873246874918502, (112) = .13999406281483692, (113) = .14125567451609802, (114) = .14251730433067672, (115) = .14377895274491753, (116) = .1450406202538804, (117) = .1463023073614202, (118) = .14756401458003954, (119) = .1488257422997683, (120) = .150087491092016, (121) = .15134926174291038, (122) = .1526110546441241, (123) = .1538728703457476, (124) = .15513470941495439, (125) = .15639657242834248, (126) = .1576584599720143, (127) = .15892037264165687, (128) = .16018231104143174, (129) = .16144427577948042, (130) = .16270626747919442, (131) = .1639682867749143, (132) = .16523033431095888, (133) = .16649241074170598, (134) = .16775451674736963, (135) = .1690166531646737, (136) = .17027882056507174, (137) = .17154101957942045, (138) = .17280325077052744, (139) = .17406551483095545, (140) = .17532781264192865, (141) = .1765901449417591, (142) = .17785251247846706, (143) = .17911491601093577, (144) = .1803773563089933, (145) = .18163983415349455, (146) = .1829023503364033, (147) = .18416490566085716, (148) = .18542750093461638, (149) = .18669013697766493, (150) = .18795281469338615, (151) = .1892155350368082, (152) = .19047829870775293, (153) = .19174110656368865, (154) = .19300395948783355, (155) = .19426685837035146, (156) = .1955298039447872, (157) = .1967927971942831, (158) = .19805583915297661, (159) = .1993189307604995, (160) = .2005820729718022, (161) = .20184526675417563, (162) = .20310851308733593, (163) = .20437181298069768, (164) = .2056351675972105, (165) = .20689857783808083, (166) = .20816204467418448, (167) = .20942556914591465, (168) = .21068915229764512, (169) = .2119527951965759, (170) = .21321649892425545, (171) = .21448026457541763, (172) = .21574409325806815, (173) = .2170079860764664, (174) = .21827194397964692, (175) = .2195359682427611, (176) = .2208000601033214, (177) = .2220642207305169, (178) = .22332845139338106, (179) = .22459275335689927, (180) = .2258571276893751, (181) = .22712157561639934, (182) = .22838609838280816, (183) = .2296506972476664, (184) = .23091537348435695, (185) = .2321801283806699, (186) = .23344496323871786, (187) = .2347098793634386, (188) = .23597487807863357, (189) = .23723996072992215, (190) = .23850512867777438, (191) = .23977038326094285, (192) = .2410357257126104, (193) = .24230115775888914, (194) = .2435666807477072, (195) = .24483229606052834, (196) = .2460980051470993, (197) = .24736380945843944, (198) = .24862971047269325, (199) = .24989570968738709, (200) = .2511618086158113, (201) = .25242800878711696, (202) = .25369431174641277, (203) = .2549607190548624, (204) = .2562272322897695, (205) = .2574938530448408, (206) = .25876058304180316, (207) = .26002742389796646, (208) = .2612943771289748, (209) = .26256144432932166, (210) = .2638286270302309, (211) = .265095927107769, (212) = .2663633462944918, (213) = .26763088631657456, (214) = .2688985489173046, (215) = .27016633585718075, (216) = .2714342489024619, (217) = .27270228983366535, (218) = .27397046046268897, (219) = .2752387626666449, (220) = .27650719841710164, (221) = .27777576942913185, (222) = .27904447756352185, (223) = .28031332472127635, (224) = .2815823128215197, (225) = .2828514438009443, (226) = .28412071959629515, (227) = .28539014207450314, (228) = .28665971313690386, (229) = .2879294349732195, (230) = .2891993096211578, (231) = .2904693391287817, (232) = .29173952557201455, (233) = .29300987118523625, (234) = .29428037798980655, (235) = .29555104803310817, (236) = .29682188343590865, (237) = .2980928863568396, (238) = .2993640589781272, (239) = .3006354035017192, (240) = .3019069221494054, (241) = .3031786171629271, (242) = .3044504908040907, (243) = .305722545354889, (244) = .3069947831175016, (245) = .30826720626576226, (246) = .30953981719360346, (247) = .3108126184713257, (248) = .3120856123433916, (249) = .3133588012100643, (250) = .31463218749692895, (251) = .3159057736506831, (252) = .3171795621392577, (253) = .3184535554519378, (254) = .3197277560994727, (255) = .32100216659528064, (256) = .32227678947583327, (257) = .32355162731612075, (258) = .3248266827131019, (259) = .32610195831648564, (260) = .32737745690682285, (261) = .32865318101266594, (262) = .3299291332799342, (263) = .33120531624413657, (264) = .3324817327007616, (265) = .33375838548833214, (266) = .33503527737376965, (267) = .33631241115650806, (268) = .3375897896592342, (269) = .33886741572802737, (270) = .34014529223248985, (271) = .341423422074033, (272) = .34270180831424074, (273) = .3439804538147938, (274) = .3452593614604791, (275) = .34653853420930053, (276) = .3478179750700847, (277) = .34909768707996774, (278) = .35037767330072506, (279) = .3516579368189082, (280) = .35293848072858175, (281) = .354219307980101, (282) = .3555004218630613, (283) = .3567818256397334, (284) = .3580635226153957, (285) = .3593455160148289, (286) = .360627808977678, (287) = .36191040479203895, (288) = .363193306773095, (289) = .36447651826230404, (290) = .36576004262755546, (291) = .36704388326332654, (292) = .36832804359084353, (293) = .369612527057955, (294) = .3708973371113733, (295) = .3721824772338594, (296) = .37346795101397967, (297) = .3747537621071182, (298) = .376039913914085, (299) = .3773264098563199, (300) = .3786132537420681, (301) = .37990044928521455, (302) = .3811880001823728, (303) = .382475910155076, (304) = .38376418291972014, (305) = .38505282224842957, (306) = .3863418319520693, (307) = .3876312158707797, (308) = .38892097789986074, (309) = .3902111220787108, (310) = .39150165220977434, (311) = .39279257221271047, (312) = .3940838860767872, (313) = .39537559781024495, (314) = .3966677114235935, (315) = .3979602309934306, (316) = .3992531605653906, (317) = .4005465041353861, (318) = .40184026606371515, (319) = .40313445057870323, (320) = .4044290619227955, (321) = .40572410450363017, (322) = .4070195825562071, (323) = .40831550030984826, (324) = .4096118620966158, (325) = .41090867231356154, (326) = .4122059353908928, (327) = .41350365579200804, (328) = .41480183801371195, (329) = .4161004865864324, (330) = .4173996060744387, (331) = .41869920107694475, (332) = .4199992763457943, (333) = .4212998364945388, (334) = .42260088599548973, (335) = .42390242949230966, (336) = .4252044719395505, (337) = .4265070181520194, (338) = .4278100729716486, (339) = .4291136412762689, (340) = .4304177279798547, (341) = .4317223380327604, (342) = .43302747641512895, (343) = .4343331481946948, (344) = .4356393584640161, (345) = .43694611218877033, (346) = .43825341450084454, (347) = .43956127057290245, (348) = .44086968561575035, (349) = .44217866487859564, (350) = .4434882136493154, (351) = .44479833725459034, (352) = .4461090408968795, (353) = .44742032991954567, (354) = .448732209988207, (355) = .45004468667502473, (356) = .45135776536114214, (357) = .4526714516013852, (358) = .45398575100155253, (359) = .455300669208603, (360) = .45661621191094987, (361) = .4579323848387527, (362) = .4592491937282255, (363) = .4605666443575282, (364) = .46188474258261275, (365) = .4632034943466466, (366) = .4645229057111015, (367) = .4658429825197997, (368) = .4671637307671712, (369) = .468485156334031, (370) = .4698072654552027, (371) = .47113006438022614, (372) = .4724535592648016, (373) = .4737777563419347, (374) = .4751026619101525, (375) = .4764282823141786, (376) = .47775462397209983, (377) = .4790816934605408, (378) = .4804094971372353, (379) = .4817380414974867, (380) = .4830673331222092, (381) = .4843973786289643, (382) = .48572818463616174, (383) = .4870597578613152, (384) = .48839210507950326, (385) = .489725233115598, (386) = .49105914881222135, (387) = .4923938589156937, (388) = .4937293707148183, (389) = .4950656911939908, (390) = .49640282737471847, (391) = .4977407863613247, (392) = .4990795752835293, (393) = .5004192013759158, (394) = .5017596719278579, (395) = .5031009942825266, (396) = .5044431758373147, (397) = .5057862240558085, (398) = .5071301465899432, (399) = .5084749509093326, (400) = .5098206445690437, (401) = .5111672351940115, (402) = .5125147304789032, (403) = .5138631381285425, (404) = .5152124658524208, (405) = .5165627217548439, (406) = .5179139138164558, (407) = .5192660500687628, (408) = .520619138737851, (409) = .5219731878803903, (410) = .523328205624572, (411) = .5246842001679289, (412) = .5260411798159579, (413) = .5273991529550451, (414) = .528758128034316, (415) = .530118113566156, (416) = .5314791181267454, (417) = .5328411503643272, (418) = .5342042191278352, (419) = .535568333111073, (420) = .5369335008994703, (421) = .5382997313177438, (422) = .5396670334940468, (423) = .5410354164659953, (424) = .542404889338734, (425) = .543775461286273, (426) = .5451471415520872, (427) = .5465199394558277, (428) = .5478938645239059, (429) = .549268926144188, (430) = .5506451337242007, (431) = .5520224968049239, (432) = .5534010250577748, (433) = .5547807282285416, (434) = .5561616161375229, (435) = .5575436986801847, (436) = .5589269858120476, (437) = .5603114873762033, (438) = .561697213768329, (439) = .5630841752254755, (440) = .5644723818770011, (441) = .5658618440473392, (442) = .5672525721761802, (443) = .568644576783994, (444) = .570037868472779, (445) = .5714324579268066, (446) = .572828355922584, (447) = .5742255734591796, (448) = .5756241213875486, (449) = .5770240106464738, (450) = .5784252522639554, (451) = .5798278574162898, (452) = .581231837384252, (453) = .5826372034805568, (454) = .5840439669727922, (455) = .5854521396166025, (456) = .5868617330995154, (457) = .5882727593013376, (458) = .589685229971169, (459) = .5910991569222369, (460) = .5925145520904086, (461) = .5939314275792416, (462) = .595349795593525, (463) = .5967696684355408, (464) = .5981910585060156, (465) = .5996139783181326, (466) = .6010384406251165, (467) = .602464458027922, (468) = .603892043266328, (469) = .6053212090344611, (470) = .6067519682507145, (471) = .6081843342211287, (472) = .6096183201705917, (473) = .6110539394295806, (474) = .6124912054575696, (475) = .613930131957031, (476) = .6153707324659986, (477) = .6168130207044134, (478) = .6182570105535743, (479) = .6197027159327081, (480) = .6211501509226823, (481) = .6225993297537327, (482) = .6240502667739444, (483) = .6255029764798514, (484) = .6269574735828177, (485) = .628413772423688, (486) = .6298718879637916, (487) = .6313318352428073, (488) = .6327936293260322, (489) = .6342572853317894, (490) = .6357228185814568, (491) = .6371902445396497, (492) = .6386595788420484, (493) = .6401308373579022, (494) = .6416040357974403, (495) = .6430791901265656, (496) = .6445563164780391, (497) = .6460354311225756, (498) = .6475165504324425, (499) = .6489996908770286, (500) = .6504848691114168, (501) = .6519721019240693, (502) = .6534614063738786, (503) = .6549527995963177, (504) = .6564462988701254, (505) = .6579419216245554, (506) = .6594396854410469, (507) = .6609396080546993, (508) = .6624417074021354, (509) = .6639460015048627, (510) = .6654525084285169, (511) = .6669612465390978, (512) = .668472234367053, (513) = .6699854906074096, (514) = .6715010341216405, (515) = .673018883933066, (516) = .6745390590108507, (517) = .6760615789402452, (518) = .6775864633196618, (519) = .6791137317161112, (520) = .6806434040300106, (521) = .6821755003423066, (522) = .6837100409163962, (523) = .6852470462002591, (524) = .6867865368376921, (525) = .688328533817619, (526) = .6898730580661522, (527) = .6914201306839357, (528) = .6929697729807611, (529) = .694522006548319, (530) = .6960768530977596, (531) = .6976343344764709, (532) = .6991944733065091, (533) = .7007572918756999, (534) = .7023228127786497, (535) = .7038910588567705, (536) = .7054620531668778, (537) = .7070358189357963, (538) = .7086123795809504, (539) = .7101917588973115, (540) = .7117739809414831, (541) = .7133590697145655, (542) = .714947049609525, (543) = .7165379452675614, (544) = .7181317815587477, (545) = .7197285833448573, (546) = .721328376093886, (547) = .722931185617521, (548) = .7245370377649885, (549) = .7261459584941283, (550) = .7277579741726412, (551) = .729373111429995, (552) = .7309913971585825, (553) = .7326128585284616, (554) = .7342375231473551, (555) = .7358654186139303, (556) = .7374965728095968, (557) = .739131013900905, (558) = .7407687704098137, (559) = .7424098710607225, (560) = .7440543448133753, (561) = .7457022215346637, (562) = .7473535307967266, (563) = .7490083025873183, (564) = .7506665672352699, (565) = .7523283553808792, (566) = .7539936979522723, (567) = .7556626262535396, (568) = .7573351719475563, (569) = .7590113667893085, (570) = .7606912430375508, (571) = .7623748332937448, (572) = .7640621704753428, (573) = .7657532875775883, (574) = .7674482186276257, (575) = .7691469976657005, (576) = .7708496588943096, (577) = .772556236978943, (578) = .7742667670212104, (579) = .7759812844999804, (580) = .777699825318686, (581) = .7794224259113668, (582) = .7811491227400539, (583) = .7828799528005852, (584) = .7846149535386272, (585) = .7863541628075918, (586) = .7880976185900676, (587) = .7898453595829297, (588) = .7915974252949081, (589) = .7933538550954801, (590) = .795114688977085, (591) = .7968799673889012, (592) = .7986497312462352, (593) = .8004240221166192, (594) = .8022028817178726, (595) = .8039863522432215, (596) = .8057744764084547, (597) = .8075672974806, (598) = .8093648591118373, (599) = .8111672053794979, (600) = .812974381600286, (601) = .8147864329206979, (602) = .8166034051370209, (603) = .8184253446203109, (604) = .8202522982846338, (605) = .8220843137351672, (606) = .8239214389629238, (607) = .8257637223855393, (608) = .8276112131788197, (609) = .8294639611062096, (610) = .8313220165061233, (611) = .8331854302039179, (612) = .8350542538903757, (613) = .8369285398110552, (614) = .8388083408026233, (615) = .840693710313698, (616) = .8425847025823417, (617) = .8444813725196388, (618) = .8463837753919228, (619) = .8482919673619356, (620) = .8502060052993263, (621) = .8521259467992299, (622) = .854051850384263, (623) = .8559837745858576, (624) = .8579217792055737, (625) = .8598659249875767, (626) = .861816273236678, (627) = .8637728861445918, (628) = .8657358267799026, (629) = .8677051586071878, (630) = .8696809461296326, (631) = .871663254725857, (632) = .8736521508549832, (633) = .8756477014688805, (634) = .8776499744070785, (635) = .8796590382679299, (636) = .8816749626946874, (637) = .8836978188734109, (638) = .8857276786644668, (639) = .8877646144319902, (640) = .8898086997392983, (641) = .8918600091860152, (642) = .8939186186251947, (643) = .8959846045662448, (644) = .8980580445621817, (645) = .9001390173939156, (646) = .9022276027104215, (647) = .9043238812678798, (648) = .90642793581505, (649) = .9085398493529937, (650) = .9106597062452092, (651) = .91278759209166, (652) = .9149235939579059, (653) = .9170677997719477, (654) = .9192202987263707, (655) = .9213811814517402, (656) = .9235505397680545, (657) = .9257284667691787, (658) = .9279150572429801, (659) = .9301104071789709, (660) = .932314613975753, (661) = .9345277767386027, (662) = .9367499955784505, (663) = .9389813721368282, (664) = .9412220098288309, (665) = .9434720137046206, (666) = .9457314901750181, (667) = .9480005466191951, (668) = .9502792932460813, (669) = .9525678415276232, (670) = .9548663048706167, (671) = .9571747978933918, (672) = .9594934370992158, (673) = .9618223412221294, (674) = .9641616307732246, (675) = .966511427730694, (676) = .9688718560465621, (677) = .9712430414762713, (678) = .9736251130191248, (679) = .9760182006302932, (680) = .9784224365485599, (681) = .9808379555340243, (682) = .9832648940586692, (683) = .9857033909462815, (684) = .9881535875848481, (685) = .9906156276457148, (686) = .9930896570589608, (687) = .9955758232975214, (688) = .9980742778188616, (689) = 1.0005851744394576, (690) = 1.003108668844669, (691) = 1.0056449195453354, (692) = 1.008194088199706, (693) = 1.0107563392371248, (694) = 1.01333183957446, (695) = 1.015920759013064, (696) = 1.0185232702338711, (697) = 1.0211395494700761, (698) = 1.0237697758433364, (699) = 1.0264141319761662, (700) = 1.0290728030620218, (701) = 1.0317459777798217, (702) = 1.0344338487470177, (703) = 1.037136612243575, (704) = 1.0398544670628054, (705) = 1.042587615970961, (706) = 1.0453362667916655, (707) = 1.0481006297775455, (708) = 1.050880919483655, (709) = 1.0536773549301603, (710) = 1.0564901585336604, (711) = 1.0593195570740959, (712) = 1.0621657817893573, (713) = 1.0650290691242439, (714) = 1.0679096600184523, (715) = 1.070807799813666, (716) = 1.0737237379177533, (717) = 1.0766577291427584, (718) = 1.079610033769807, (719) = 1.082580916369677, (720) = 1.085570646236085, (721) = 1.0885794999025409, (722) = 1.0916077597503127, (723) = 1.0946557135995814, (724) = 1.0977236547734768, (725) = 1.1008118819536918, (726) = 1.1039207006057723, (727) = 1.1070504228502496, (728) = 1.1102013655882714, (729) = 1.113373855053497, (730) = 1.1165682232551088, (731) = 1.1197848095614078, (732) = 1.1230239616278663, (733) = 1.1262860337077871, (734) = 1.1295713874901159, (735) = 1.1328803924633883, (736) = 1.1362134273014926, (737) = 1.13957087912256, (738) = 1.1429526809301884, (739) = 1.146351225125599, (740) = 1.149761194445626, (741) = 1.153181268260847, (742) = 1.1566115069186653, (743) = 1.1600519710373027, (744) = 1.1635027217185883, (745) = 1.1669638206127884, (746) = 1.1704353299251888, (747) = 1.1739173124227644, (748) = 1.1774098314409451, (749) = 1.1809129508904554, (750) = 1.184426735264351, (751) = 1.1879512497819738, (752) = 1.1914865604607139, (753) = 1.1950327336120334, (754) = 1.1985898361444396, (755) = 1.2021579355855798, (756) = 1.2057371000898696, (757) = 1.209327398446267, (758) = 1.2129289000861665, (759) = 1.2165416750913507, (760) = 1.2201657942023478, (761) = 1.22380132910343, (762) = 1.2274483521406587, (763) = 1.2311069360961553, (764) = 1.2347771544448054, (765) = 1.2384590813631027, (766) = 1.2421527917380437, (767) = 1.2458583611762215, (768) = 1.2495758660130794, (769) = 1.253305383322216, (770) = 1.2570469909498445, (771) = 1.260800767888374, (772) = 1.2645667936445015, (773) = 1.2683451483597852, (774) = 1.2721359129636185, (775) = 1.2759391691836515, (776) = 1.2797549995562436, (777) = 1.2835834874371452, (778) = 1.287424717012392, (779) = 1.2912787733092783, (780) = 1.2951457423088562, (781) = 1.2990257112391563, (782) = 1.3029187678000465, (783) = 1.306825000519121, (784) = 1.3107444988237862, (785) = 1.3146773530535683, (786) = 1.3186236544724845, (787) = 1.322583495281658, (788) = 1.3265569686321916, (789) = 1.3305441686382202, (790) = 1.3345451906356258, (791) = 1.3385601311694078, (792) = 1.3425890873566015, (793) = 1.3466321573228714, (794) = 1.3506894402263099, (795) = 1.35476103627203, (796) = 1.358847046726896, (797) = 1.3629475739345267, (798) = 1.3670627213305648, (799) = 1.371192593462464, (800) = 1.3753372964629296, (801) = 1.3794969374738242, (802) = 1.3836716244844918, (803) = 1.3878614666578233, (804) = 1.3920665743471312, (805) = 1.3962870591135332, (806) = 1.4005230337435934, (807) = 1.404774612267304, (808) = 1.40904190997629, (809) = 1.4133250435031033, (810) = 1.4176241313652878, (811) = 1.4219392929520922, (812) = 1.426270648823522, (813) = 1.4306183208990293, (814) = 1.4349824324779015, (815) = 1.4393631082601077, (816) = 1.4437604743675403, (817) = 1.4481746583657338, (818) = 1.4526057892857267, (819) = 1.457053997848002, (820) = 1.4615194168077768, (821) = 1.4660021798268617, (822) = 1.47050242206523, (823) = 1.4750202802664978, (824) = 1.4795558927827341, (825) = 1.4841093995996755, (826) = 1.4886809423624516, (827) = 1.4932706644020037, (828) = 1.4978787107615803, (829) = 1.5025052286807106, (830) = 1.5071503673691935, (831) = 1.5118142772203798, (832) = 1.516497110450085, (833) = 1.521199021130172, (834) = 1.5259201652189134, (835) = 1.5306607005917725, (836) = 1.535420787072793, (837) = 1.5402005864669406, (838) = 1.545000262613062, (839) = 1.5498199821814014, (840) = 1.55465991356943, (841) = 1.5595202268899848, (842) = 1.5644010944094595, (843) = 1.5693026905839227, (844) = 1.5742251920964927, (845) = 1.5791687778952734, (846) = 1.584133629231994, (847) = 1.589119929701852, (848) = 1.5941278654262654, (849) = 1.5991576258673146, (850) = 1.6042094021592994, (851) = 1.6092833877440702, (852) = 1.6143797786205427, (853) = 1.6194987733894437, (854) = 1.6246405732996454, (855) = 1.6298053822953502, (856) = 1.6349934070641656, (857) = 1.6402048570865033, (858) = 1.6454399451007093, (859) = 1.6506988874695545, (860) = 1.6559819024887261, (861) = 1.661289211397524, (862) = 1.666621038494818, (863) = 1.671977611195165, (864) = 1.6773591600867659, (865) = 1.6827659189906854, (866) = 1.6881981250213913, (867) = 1.693656018648471, (868) = 1.6991398446598325, (869) = 1.7046498514068777, (870) = 1.710186289896821, (871) = 1.7157494147580357, (872) = 1.7213394843106173, (873) = 1.7269567606376166, (874) = 1.7326015096583287, (875) = 1.7382740012033069, (876) = 1.7439745090915395, (877) = 1.7497033112801517, (878) = 1.7554606912715403, (879) = 1.7612469359851675, (880) = 1.7670623361037363, (881) = 1.7729071867160648, (882) = 1.7787817874068212, (883) = 1.7846864423480238, (884) = 1.7906214603929205, (885) = 1.796587155172029, (886) = 1.8025838451926912, (887) = 1.8086118542825629, (888) = 1.8146715128709043, (889) = 1.8207631550953325, (890) = 1.8268871201363366, (891) = 1.8330437525901857, (892) = 1.8392334025845158, (893) = 1.8454564258972619, (894) = 1.8517131840786396, (895) = 1.858004044575701, (896) = 1.8643293808622583, (897) = 1.8706895734856477, (898) = 1.8770850103289585, (899) = 1.8835160839588245, (900) = 1.889983193470814, (901) = 1.8964867446923925, (902) = 1.9030271503341456, (903) = 1.9096048301462807, (904) = 1.9162202110795399, (905) = 1.9228737274492667, (906) = 1.9295658211155453, (907) = 1.9362969435545494, (908) = 1.943067553806978, (909) = 1.9498781175938333, (910) = 1.956729108910844, (911) = 1.9636210102266844, (912) = 1.9705543126844554, (913) = 1.9775295163106428, (914) = 1.9845471302307687, (915) = 1.9916076728894851, (916) = 1.9987116725115937, (917) = 2.0058596698233875, (918) = 2.013052213709676, (919) = 2.0202898624996006, (920) = 2.0275731850678467, (921) = 2.034902761103743, (922) = 2.0422791813850685, (923) = 2.0497030480619562, (924) = 2.0571749749508, (925) = 2.0646955878358395, (926) = 2.0722655256784437, (927) = 2.0798854428262894, (928) = 2.0875560035478373, (929) = 2.0952778850546445, (930) = 2.103051778210528, (931) = 2.1108783879031248, (932) = 2.1187584334239165, (933) = 2.126692648862061, (934) = 2.1346817835124354, (935) = 2.142726602298396, (936) = 2.1508278884903467, (937) = 2.1589864433980024, (938) = 2.167203081955676, (939) = 2.175478636551378, (940) = 2.1838139575658886, (941) = 2.192209913896489, (942) = 2.200667393496569, (943) = 2.209187303935464, (944) = 2.2177705729772317, (945) = 2.226418149267976, (946) = 2.2351310074056845, (947) = 2.243910142511183, (948) = 2.252756569939845, (949) = 2.261671328528324, (950) = 2.27065548131771, (951) = 2.2797101163104836, (952) = 2.2888363472563067, (953) = 2.298035314470298, (954) = 2.3073081856762894, (955) = 2.316656157696414, (956) = 2.3260804627486342, (957) = 2.335582358466814, (958) = 2.345163132200997, (959) = 2.3548241035612856, (960) = 2.3645666255011806, (961) = 2.374392085445935, (962) = 2.3843019064704145, (963) = 2.3942975485331863, (964) = 2.4043805097458124, (965) = 2.4145523304965404, (966) = 2.424814598133215, (967) = 2.4351689351105366, (968) = 2.445617007282089, (969) = 2.45616052605427, (970) = 2.4668012500648784, (971) = 2.47754098692811, (972) = 2.488381595062649, (973) = 2.499324985620466, (974) = 2.5103731244742726, (975) = 2.5215280414159587, (976) = 2.532791827501886, (977) = 2.544166627375325, (978) = 2.555654649582165, (979) = 2.567258169126425, (980) = 2.57897953017305, (981) = 2.590821148866759, (982) = 2.602785516293039, (983) = 2.61487520162125, (984) = 2.627092855880931, (985) = 2.6394412286388045, (986) = 2.651923151767844, (987) = 2.664541543709142, (988) = 2.6772994195077353, (989) = 2.6901998950712542, (990) = 2.7032461917337067, (991) = 2.7164416410497063, (992) = 2.7297896898507648, (993) = 2.743293905631671, (994) = 2.7569579856836675, (995) = 2.7707857787563195, (996) = 2.7847812567457098, (997) = 2.798948533805447, (998) = 2.8132918772015847, (999) = 2.8278157149163996, (1000) = 2.842524643831713, (1001) = 2.8574234384092683, (1002) = 2.872517059916759, (1003) = 2.8878106662578547, (1004) = 2.903309634588218, (1005) = 2.9190195795703486, (1006) = 2.934946322009636, (1007) = 2.95109592528016, (1008) = 2.9674747104214267, (1009) = 2.984089270817855, (1010) = 3.000946488054656, (1011) = 3.0180535489203595, (1012) = 3.0354179637079106, (1013) = 3.053047585733967, (1014) = 3.070950666653916, (1015) = 3.0891358483274356, (1016) = 3.1076121579864058, (1017) = 3.1263890624531356, (1018) = 3.1454764973176124, (1019) = 3.1648848982541593, (1020) = 3.184625235139038, (1021) = 3.2047067922964274, (1022) = 3.22506119857703, (1023) = 3.24551577350801, (1024) = 3.2659703484389895, (1025) = 3.286424923369969, (1026) = 3.306879498300949, (1027) = 3.3273340732319285, (1028) = 3.347788648162908, (1029) = 3.368243223093888, (1030) = 3.3886977980248676, (1031) = 3.4091523729558473, (1032) = 3.429606947886827, (1033) = 3.4500615228178066, (1034) = 3.4705160977487863, (1035) = 3.490970672679766, (1036) = 3.5114252476107457, (1037) = 3.5318798225417254, (1038) = 3.552334397472705, (1039) = 3.5727889724036848, (1040) = 3.5932435473346644, (1041) = 3.613698122265644, (1042) = 3.634152697196624, (1043) = 3.6546072721276035, (1044) = 3.675061847058583, (1045) = 3.695516421989563, (1046) = 3.7159709969205426, (1047) = 3.7364255718515222, (1048) = 3.756880146782502, (1049) = 3.7773347217134816, (1050) = 3.7977892966444613, (1051) = 3.818243871575441, (1052) = 3.8386984465064207, (1053) = 3.8591530214374004, (1054) = 3.87960759636838, (1055) = 3.9000621712993597, (1056) = 3.9205167462303394, (1057) = 3.940971321161319, (1058) = 3.961425896092299, (1059) = 3.9818804710232785, (1060) = 4.002335045954258, (1061) = 4.022789620885237, (1062) = 4.043244195816216, (1063) = 4.063698770747195, (1064) = 4.084153345678175, (1065) = 4.104607920609154, (1066) = 4.125062495540133, (1067) = 4.145517070471112, (1068) = 4.165971645402092, (1069) = 4.186426220333071, (1070) = 4.20688079526405, (1071) = 4.227335370195029, (1072) = 4.247789945126009, (1073) = 4.268244520056988, (1074) = 4.288699094987967, (1075) = 4.309153669918946, (1076) = 4.329608244849926, (1077) = 4.350062819780905, (1078) = 4.370517394711884, (1079) = 4.390971969642863, (1080) = 4.4114265445738425, (1081) = 4.431881119504822, (1082) = 4.452335694435801, (1083) = 4.47279026936678, (1084) = 4.4932448442977595, (1085) = 4.513699419228739, (1086) = 4.534153994159718, (1087) = 4.554608569090697, (1088) = 4.5750631440216765, (1089) = 4.595517718952656, (1090) = 4.615972293883635, (1091) = 4.636426868814614, (1092) = 4.656881443745593, (1093) = 4.677336018676573, (1094) = 4.697790593607552, (1095) = 4.718245168538531, (1096) = 4.73869974346951, (1097) = 4.75915431840049, (1098) = 4.779599945763837, (1099) = 4.799901456250844, (1100) = 4.819905865275028, (1101) = 4.839569436413305, (1102) = 4.858903637752792, (1103) = 4.877919332921822, (1104) = 4.8966268358625875, (1105) = 4.915035968411521, (1106) = 4.933156091085105, (1107) = 4.950996131374472, (1108) = 4.968564609995763, (1109) = 4.985869665271386, (1110) = 5.002919075439649, (1111) = 5.019720286516001, (1112) = 5.03628045357582, (1113) = 5.052606394464678, (1114) = 5.068704636604071, (1115) = 5.084581438735351, (1116) = 5.100242805508283, (1117) = 5.115694500970945, (1118) = 5.130942061214859, (1119) = 5.14599080627073, (1120) = 5.1608458510996975, (1121) = 5.1755121264101795, (1122) = 5.189994388334937, (1123) = 5.204297193705956, (1124) = 5.2184249317222235, (1125) = 5.232381832739384, (1126) = 5.246171975874328, (1127) = 5.259799296093475, (1128) = 5.273267590897954, (1129) = 5.286580526666074, (1130) = 5.299741644616874, (1131) = 5.312754379344769, (1132) = 5.325622047287863, (1133) = 5.338347844325197, (1134) = 5.350934862090099, (1135) = 5.363386092396628, (1136) = 5.3757044315042535, (1137) = 5.387892684129737, (1138) = 5.399953567249112, (1139) = 5.411889713716575, (1140) = 5.423703676598961, (1141) = 5.43539794289569, (1142) = 5.446974915691684, (1143) = 5.458436922492583, (1144) = 5.469786222340324, (1145) = 5.481025008442234, (1146) = 5.492155410706678, (1147) = 5.503179498149715, (1148) = 5.514099281188764, (1149) = 5.5249167138221695, (1150) = 5.535633698018511, (1151) = 5.546252090526589, (1152) = 5.556773688358335, (1153) = 5.567200238798176, (1154) = 5.577533442328313, (1155) = 5.587774954272949, (1156) = 5.59792638638053, (1157) = 5.6079893083360375, (1158) = 5.617965249212904, (1159) = 5.62785569884747, (1160) = 5.637662112912206, (1161) = 5.647385912633534, (1162) = 5.657028477270494, (1163) = 5.666591151776356, (1164) = 5.6760752480340635, (1165) = 5.6854820459281274, (1166) = 5.694812794373559, (1167) = 5.704068712303182, (1168) = 5.7132509896232175, (1169) = 5.722360788177643, (1170) = 5.731399247375848, (1171) = 5.740367478010054, (1172) = 5.749266562096297, (1173) = 5.758097556877604, (1174) = 5.766861495571976, (1175) = 5.775559388094928, (1176) = 5.7841922217526625, (1177) = 5.792760961908116, (1178) = 5.801266552630103, (1179) = 5.809709917809679, (1180) = 5.818091965441857, (1181) = 5.826413580142048, (1182) = 5.834675626371095, (1183) = 5.842878950205562, (1184) = 5.851024379851201, (1185) = 5.859112726143346, (1186) = 5.86714478302817, (1187) = 5.875121328025217, (1188) = 5.883043122679921, (1189) = 5.890910914152032, (1190) = 5.898725436996217, (1191) = 5.906487407362627, (1192) = 5.914197526781967, (1193) = 5.921856482855736, (1194) = 5.929464949618962, (1195) = 5.937023587894995, (1196) = 5.944533045638145, (1197) = 5.951993958263391, (1198) = 5.959406948968633, (1199) = 5.966772630927536, (1200) = 5.974091606114039, (1201) = 5.98136446266348, (1202) = 5.988591777678788, (1203) = 5.995774117516898, (1204) = 6.002912038051496, (1205) = 6.0100060849299375, (1206) = 6.017056793822384, (1207) = 6.024064690662507, (1208) = 6.031030291955222, (1209) = 6.037954107236152, (1210) = 6.044836635601078, (1211) = 6.051678366119732, (1212) = 6.058479779236215, (1213) = 6.0652413469720505, (1214) = 6.071963533120579, (1215) = 6.078646793436689, (1216) = 6.085291575821165, (1217) = 6.0918983205001025, (1218) = 6.098467460538646, (1219) = 6.104999423582587, (1220) = 6.1114946281383675, (1221) = 6.1179534852726105, (1222) = 6.124376399205603, (1223) = 6.130763767463012, (1224) = 6.137115981022318, (1225) = 6.14343342445549, (1226) = 6.149716476067508, (1227) = 6.155965508032449, (1228) = 6.162180887238813, (1229) = 6.1683629757326885, (1230) = 6.174512128031225, (1231) = 6.18062869294174, (1232) = 6.186713013768597, (1233) = 6.192765428428229, (1234) = 6.19878626956109, (1235) = 6.20477586464075, (1236) = 6.210734536079536, (1237) = 6.216662601333261, (1238) = 6.2225603741386655, (1239) = 6.228428163361127, (1240) = 6.234266272077085, (1241) = 6.240074998798581, (1242) = 6.245854637564159, (1243) = 6.251605478027394, (1244) = 6.257327805543525, (1245) = 6.263021901254106, (1246) = 6.268688042168734, (1247) = 6.274326501322674, (1248) = 6.279937549047608, (1249) = 6.285521450861425, (1250) = 6.291078467949223, (1251) = 6.296608857750708, (1252) = 6.302112874031623, (1253) = 6.307590766952877, (1254) = 6.313042783138349, (1255) = 6.318469165741376, (1256) = 6.32387015450889, (1257) = 6.329245986100661, (1258) = 6.334596894876298, (1259) = 6.3399231108408785, (1260) = 6.345224860666, (1261) = 6.350502367921233, (1262) = 6.355755853130734, (1263) = 6.360985533827964, (1264) = 6.366191624609341, (1265) = 6.371374337186983, (1266) = 6.376533880439764, (1267) = 6.381670460959367, (1268) = 6.386784283032106, (1269) = 6.3918755472994775, (1270) = 6.396944451742154, (1271) = 6.401991191749827, (1272) = 6.407015960166426, (1273) = 6.412018947333939, (1274) = 6.417000341135335, (1275) = 6.421960327036749, (1276) = 6.426899088133873, (1277) = 6.431816805934923, (1278) = 6.436713659400172, (1279) = 6.441589824681606, (1280) = 6.446445475713707, (1281) = 6.4512807842500335, (1282) = 6.45609591989962, (1283) = 6.460891050162418, (1284) = 6.465666340464004, (1285) = 6.470421954189564, (1286) = 6.475158052792133, (1287) = 6.479874796508076, (1288) = 6.484572342996931, (1289) = 6.489250847767304, (1290) = 6.49391046444911, (1291) = 6.49855134482342, (1292) = 6.503173638851996, (1293) = 6.507777494706181, (1294) = 6.512363058795258, (1295) = 6.516930475794041, (1296) = 6.521479888873619, (1297) = 6.526011440058072, (1298) = 6.530525269015419, (1299) = 6.5350215137145184, (1300) = 6.539500310522017, (1301) = 6.543961794226933, (1302) = 6.548406098064826, (1303) = 6.552833353741514, (1304) = 6.5572436914564385, (1305) = 6.5616372399252745, (1306) = 6.566014126772318, (1307) = 6.570374478334124, (1308) = 6.5747184189817105, (1309) = 6.579046071685795, (1310) = 6.583357558042312, (1311) = 6.587652998292814, (1312) = 6.591932511344431, (1313) = 6.5961962147894555, (1314) = 6.600444224924743, (1315) = 6.604676656782211, (1316) = 6.608893624647716, (1317) = 6.6130952413049195, (1318) = 6.617281618027283, (1319) = 6.62145286488479, (1320) = 6.625609090761132, (1321) = 6.629750403370714, (1322) = 6.633876909275285, (1323) = 6.637988713900222, (1324) = 6.642085921550715, (1325) = 6.646168635498953, (1326) = 6.65023695840274, (1327) = 6.654290991394288, (1328) = 6.658330834429409, (1329) = 6.662356586420574, (1330) = 6.666368345251244, (1331) = 6.670366207790113, (1332) = 6.674350269905061, (1333) = 6.678320626476797, (1334) = 6.682277371412413, (1335) = 6.6862205978268054, (1336) = 6.690150398181826, (1337) = 6.694066863550045, (1338) = 6.6979700840538685, (1339) = 6.701860148906706, (1340) = 6.705737146425027, (1341) = 6.709601164040352, (1342) = 6.713452288311022, (1343) = 6.717290604933719, (1344) = 6.7211161987548556, (1345) = 6.724929154071867, (1346) = 6.7287295543670425, (1347) = 6.732517481984405, (1348) = 6.736293018461649, (1349) = 6.740056244540853, (1350) = 6.743807240178715, (1351) = 6.747546084556683, (1352) = 6.751272856090944, (1353) = 6.75498763244222, (1354) = 6.758690490542566, (1355) = 6.762381506947353, (1356) = 6.7660607572497975, (1357) = 6.76972831616785, (1358) = 6.773384257711103, (1359) = 6.777028655189771, (1360) = 6.7806615812234226, (1361) = 6.784283107749609, (1362) = 6.787893306032351, (1363) = 6.791492246670539, (1364) = 6.79507999967404, (1365) = 6.798656634708655, (1366) = 6.802222220471203, (1367) = 6.805776824967014, (1368) = 6.809320515576505, (1369) = 6.8128533590628235, (1370) = 6.816375421579347, (1371) = 6.819886768677064, (1372) = 6.823387465311823, (1373) = 6.826877575851564, (1374) = 6.830357164226586, (1375) = 6.8338262939498895, (1376) = 6.83728502766511, (1377) = 6.84073342744554, (1378) = 6.844171554811073, (1379) = 6.847599470734747, (1380) = 6.851017235649192, (1381) = 6.854424909452998, (1382) = 6.857822551516926, (1383) = 6.861210220690897, (1384) = 6.86458797554246, (1385) = 6.867955874073978, (1386) = 6.871313973594621, (1387) = 6.874662330915987, (1388) = 6.878001002357847, (1389) = 6.881330043753768, (1390) = 6.884649510456689, (1391) = 6.887959457344422, (1392) = 6.891259938825025, (1393) = 6.894551008863304, (1394) = 6.897832721221617, (1395) = 6.9011051290087595, (1396) = 6.9043682847965, (1397) = 6.907622240713015, (1398) = 6.910867048447885, (1399) = 6.914102759256969, (1400) = 6.917329423967229, (1401) = 6.920547092981511, (1402) = 6.923755816283209, (1403) = 6.926955643505246, (1404) = 6.930146624067122, (1405) = 6.93332880674134, (1406) = 6.936502239870348, (1407) = 6.939666971399865, (1408) = 6.94282304888323, (1409) = 6.945970519485645, (1410) = 6.949109429988377, (1411) = 6.952239826792916, (1412) = 6.955361755925054, (1413) = 6.9584752631636215, (1414) = 6.961580393992686, (1415) = 6.964677193329635, (1416) = 6.9677657057293505, (1417) = 6.970845975390825, (1418) = 6.973918046160953, (1419) = 6.976981961538247, (1420) = 6.980037764676505, (1421) = 6.983085498388435, (1422) = 6.98612520515224, (1423) = 6.989156927297943, (1424) = 6.992180706743452, (1425) = 6.995196584965121, (1426) = 6.99820460311582, (1427) = 7.001204802028247, (1428) = 7.004197222218248, (1429) = 7.007181903888075, (1430) = 7.010158886929606, (1431) = 7.0131282109275155, (1432) = 7.0160899151862814, (1433) = 7.019044038894063, (1434) = 7.021990620775833, (1435) = 7.024929699211911, (1436) = 7.0278613122908675, (1437) = 7.030785497812457, (1438) = 7.0337022932905215, (1439) = 7.036611735955862, (1440) = 7.039513862759076, (1441) = 7.042408710373336, (1442) = 7.045296315258033, (1443) = 7.048176713725857, (1444) = 7.051049941641773, (1445) = 7.053916034590696, (1446) = 7.05677502789373, (1447) = 7.05962695661077, (1448) = 7.062471855543055, (1449) = 7.0653097592357, (1450) = 7.068140701980213, (1451) = 7.070964717816933, (1452) = 7.0737818406478254, (1453) = 7.076592104148589, (1454) = 7.079395541615503, (1455) = 7.082192186103086, (1456) = 7.0849820704267215, (1457) = 7.0877652271649625, (1458) = 7.090541688661798, (1459) = 7.093311487028882, (1460) = 7.096074654147772, (1461) = 7.098831221677635, (1462) = 7.1015812211989715, (1463) = 7.104324683981184, (1464) = 7.107061641002049, (1465) = 7.1097921230200205, (1466) = 7.112516160576278, (1467) = 7.115233783996771, (1468) = 7.117945023394232, (1469) = 7.1206499086701545, (1470) = 7.123348469516776, (1471) = 7.126040735444656, (1472) = 7.128726735891676, (1473) = 7.131406499957209, (1474) = 7.134080056511143, (1475) = 7.136747434223693, (1476) = 7.1394086615672165, (1477) = 7.142063766818034, (1478) = 7.1447127780582225, (1479) = 7.147355723177375, (1480) = 7.1499926298743635, (1481) = 7.152623525716651, (1482) = 7.155248438160543, (1483) = 7.157867394344638, (1484) = 7.1604804212179225, (1485) = 7.163087545547202, (1486) = 7.165688793918725, (1487) = 7.168284192739803, (1488) = 7.17087376824041, (1489) = 7.173457546474761, (1490) = 7.176035553322959, (1491) = 7.178607814590973, (1492) = 7.181174355899892, (1493) = 7.183735202612559, (1494) = 7.186290379923762, (1495) = 7.1888399128617255, (1496) = 7.1913838262895675, (1497) = 7.193922144906743, (1498) = 7.196454893250478, (1499) = 7.1989820956971835, (1500) = 7.201503776471775, (1501) = 7.204019959756831, (1502) = 7.206530669494298, (1503) = 7.209035929427687, (1504) = 7.21153576314659, (1505) = 7.214030194088018, (1506) = 7.216519245537704, (1507) = 7.219002940631403, (1508) = 7.221481302356167, (1509) = 7.223954353551624, (1510) = 7.226422116938011, (1511) = 7.228884615185013, (1512) = 7.231341870709448, (1513) = 7.2337939057704626, (1514) = 7.236240742485969, (1515) = 7.23868240283384, (1516) = 7.241118908653084, (1517) = 7.2435502816450095, (1518) = 7.2459765433743755, (1519) = 7.248397715270539, (1520) = 7.250813818683145, (1521) = 7.25322487487022, (1522) = 7.255630904860615, (1523) = 7.258031929550306, (1524) = 7.260427969705442, (1525) = 7.262819045963411, (1526) = 7.2652051788339005, (1527) = 7.267586388699949, (1528) = 7.269962695818978, (1529) = 7.272334120324731, (1530) = 7.274700682313303, (1531) = 7.27706240172666, (1532) = 7.27941929832722, (1533) = 7.281771391756866, (1534) = 7.2841187015379285, (1535) = 7.286461247074143, (1536) = 7.288799047651611, (1537) = 7.2911321224397465, (1538) = 7.29346049049221, (1539) = 7.295784170757824, (1540) = 7.298103182161762, (1541) = 7.300417543439858, (1542) = 7.302727273189446, (1543) = 7.305032389896698, (1544) = 7.307332911937505, (1545) = 7.3096288575783515, (1546) = 7.311920244977179, (1547) = 7.314207092184243, (1548) = 7.316489417142961, (1549) = 7.318767237718197, (1550) = 7.321040571735172, (1551) = 7.323309436827339, (1552) = 7.325573850516763, (1553) = 7.327833830222821, (1554) = 7.3300893932630045, (1555) = 7.332340556853709, (1556) = 7.334587338111018, (1557) = 7.33682975405148, (1558) = 7.339067821592876, (1559) = 7.341301557606788, (1560) = 7.343530978884189, (1561) = 7.345756102049298, (1562) = 7.347976943630229, (1563) = 7.350193520060094, (1564) = 7.352405847677727, (1565) = 7.354613942728409, (1566) = 7.35681782136457, (1567) = 7.359017499646498, (1568) = 7.3612129935451724, (1569) = 7.363404319014081, (1570) = 7.365591491877271, (1571) = 7.367774527831366, (1572) = 7.369953442484308, (1573) = 7.372128251356013, (1574) = 7.374298969879037, (1575) = 7.376465613399224, (1576) = 7.378628197176357, (1577) = 7.380786736384793, (1578) = 7.38294124612579, (1579) = 7.385091741486035, (1580) = 7.3872382374014585, (1581) = 7.3893807487091605, (1582) = 7.3915192901639655, (1583) = 7.393653876439024, (1584) = 7.395784522126417, (1585) = 7.397911241737744, (1586) = 7.400034049704722, (1587) = 7.402152960379757, (1588) = 7.404267988064298, (1589) = 7.4063791470250875, (1590) = 7.408486451382061, (1591) = 7.410589915174423, (1592) = 7.412689552364938, (1593) = 7.414785376840488, (1594) = 7.416877402412616, (1595) = 7.41896564281807, (1596) = 7.421050111719343, (1597) = 7.423130822705201, (1598) = 7.425207789340488, (1599) = 7.427281025115815, (1600) = 7.429350543400304, (1601) = 7.431416357491461, (1602) = 7.433478480615687, (1603) = 7.43553692592878, (1604) = 7.4375917065164385, (1605) = 7.439642835394755, (1606) = 7.441690325510709, (1607) = 7.443734189746125, (1608) = 7.445774440976072, (1609) = 7.447811091966438, (1610) = 7.449844155391067, (1611) = 7.451873643857108, (1612) = 7.453899569905478, (1613) = 7.4559219460113235, (1614) = 7.457940784584479, (1615) = 7.459956097969922, (1616) = 7.461967898448222, (1617) = 7.463976198249048, (1618) = 7.465981009591273, (1619) = 7.467982344572803, (1620) = 7.4699802152195955, (1621) = 7.471974633495413, (1622) = 7.4739656113022495, (1623) = 7.475953160480755, (1624) = 7.4779372928106564, (1625) = 7.479918020011169, (1626) = 7.4818953537414155, (1627) = 7.483869305628657, (1628) = 7.485839887267227, (1629) = 7.487807110138557, (1630) = 7.489770985664132, (1631) = 7.491731525207374, (1632) = 7.493688740074031, (1633) = 7.495642641512565, (1634) = 7.497593240714539, (1635) = 7.499540548814998, (1636) = 7.501484576893126, (1637) = 7.5034253360181795, (1638) = 7.505362837190654, (1639) = 7.5072970913220445, (1640) = 7.509228109269209, (1641) = 7.511155901834732, (1642) = 7.513080479767283, (1643) = 7.515001853761978, (1644) = 7.51692003446073, (1645) = 7.518835032452602, (1646) = 7.520746858278929, (1647) = 7.522655522479503, (1648) = 7.524561035501826, (1649) = 7.526463407725861, (1650) = 7.528362649480448, (1651) = 7.530258771043641, (1652) = 7.532151782643042, (1653) = 7.534041694456124, (1654) = 7.5359285166105625, (1655) = 7.537812259184558, (1656) = 7.539692932221311, (1657) = 7.541570545754068, (1658) = 7.543445109718608, (1659) = 7.545316633997329, (1660) = 7.547185128424748, (1661) = 7.549050602787806, (1662) = 7.550913066826175, (1663) = 7.552772530232565, (1664) = 7.554629002653015, (1665) = 7.556482493687204, (1666) = 7.5583330129164485, (1667) = 7.5601805698892495, (1668) = 7.562025174067318, (1669) = 7.56386683486679, (1670) = 7.565705561658902, (1671) = 7.56754136377028, (1672) = 7.569374250483219, (1673) = 7.5712042310359635, (1674) = 7.573031314622985, (1675) = 7.5748555103961515, (1676) = 7.576676827505345, (1677) = 7.578495275037745, (1678) = 7.580310862014501, (1679) = 7.582123597414363, (1680) = 7.583933490173936, (1681) = 7.5857405491879515, (1682) = 7.587544783309521, (1683) = 7.5893462013504, (1684) = 7.591144812081242, (1685) = 7.592940624237828, (1686) = 7.594733646556354, (1687) = 7.596523887694979, (1688) = 7.598311356261577, (1689) = 7.600096060824183, (1690) = 7.601878009911239, (1691) = 7.603657212011841, (1692) = 7.605433675575975, (1693) = 7.60720740901476, (1694) = 7.608978420700683, (1695) = 7.6107467189828535, (1696) = 7.612512312199677, (1697) = 7.614275208610958, (1698) = 7.6160354164361515, (1699) = 7.6177929438572525, (1700) = 7.619547799019024, (1701) = 7.62129999002922, (1702) = 7.623049524958809, (1703) = 7.624796411842196, (1704) = 7.626540658677444, (1705) = 7.6282822734539595, (1706) = 7.630021264127614, (1707) = 7.631757638587955, (1708) = 7.633491404689044, (1709) = 7.635222570249684, (1710) = 7.636951143053628, (1711) = 7.6386771308497945, (1712) = 7.640400541352466, (1713) = 7.642121382241498, (1714) = 7.643839661164192, (1715) = 7.645555385770016, (1716) = 7.647268563651927, (1717) = 7.6489792023533445, (1718) = 7.650687309384274, (1719) = 7.652392892221509, (1720) = 7.65409595830882, (1721) = 7.655796515057151, (1722) = 7.657494569844813, (1723) = 7.659190130017671, (1724) = 7.660883202896386, (1725) = 7.662573795802084, (1726) = 7.664261915989996, (1727) = 7.665947570677381, (1728) = 7.6676307670499995, (1729) = 7.669311512262291, (1730) = 7.670989813437558, (1731) = 7.672665677668145, (1732) = 7.674339112015621, (1733) = 7.676010123510948, (1734) = 7.677678719170351, (1735) = 7.679344905997785, (1736) = 7.681008690933963, (1737) = 7.682670080888522, (1738) = 7.684329082741375, (1739) = 7.685985703342876, (1740) = 7.687639949513995, (1741) = 7.689291828046482, (1742) = 7.690941345703033, (1743) = 7.692588509217531, (1744) = 7.694233325321977, (1745) = 7.69587580071419, (1746) = 7.697515942041653, (1747) = 7.699153755923615, (1748) = 7.700789248951255, (1749) = 7.702422427687834, (1750) = 7.704053298668859, (1751) = 7.705681868402233, (1752) = 7.707308143368413, (1753) = 7.70893213002305, (1754) = 7.710553834825748, (1755) = 7.712173264185651, (1756) = 7.713790424474351, (1757) = 7.715405322036758, (1758) = 7.717017963191249, (1759) = 7.718628354229814, (1760) = 7.720236501418206, (1761) = 7.721842410996081, (1762) = 7.723446089177147, (1763) = 7.725047542157286, (1764) = 7.7266467761318225, (1765) = 7.7282437972405855, (1766) = 7.729838611594334, (1767) = 7.731431225278593, (1768) = 7.733021644353786, (1769) = 7.734609874855379, (1770) = 7.736195922794012, (1771) = 7.737779794155639, (1772) = 7.739361494901656, (1773) = 7.740941030985229, (1774) = 7.742518408345327, (1775) = 7.744093632870331, (1776) = 7.745666710424213, (1777) = 7.747237646847059, (1778) = 7.748806447955194, (1779) = 7.750373119541314, (1780) = 7.751937667374614, (1781) = 7.75350009720091, (1782) = 7.755060414743156, (1783) = 7.756618625726384, (1784) = 7.75817473584211, (1785) = 7.759728750743381, (1786) = 7.761280676060495, (1787) = 7.762830517401119, (1788) = 7.764378280350417, (1789) = 7.765923970471164, (1790) = 7.767467593303865, (1791) = 7.769009154366878, (1792) = 7.770548659159828, (1793) = 7.772086113186593, (1794) = 7.773621521906366, (1795) = 7.775154890749582, (1796) = 7.776686225125118, (1797) = 7.778215530420398, (1798) = 7.7797428120015075, (1799) = 7.78126807521331, (1800) = 7.782791325379554, (1801) = 7.784312567802986, (1802) = 7.785831807774251, (1803) = 7.787349050581816, (1804) = 7.788864301467626, (1805) = 7.790377565651048, (1806) = 7.791888848330993, (1807) = 7.793398154686025, (1808) = 7.7949054898744645, (1809) = 7.796410859034498, (1810) = 7.797914267284275, (1811) = 7.7994157197220195, (1812) = 7.800915221442684, (1813) = 7.80241277752499, (1814) = 7.8039083930076, (1815) = 7.805402072909605, (1816) = 7.806893822230684, (1817) = 7.808383645951197, (1818) = 7.809871549032288, (1819) = 7.8113575364159855, (1820) = 7.812841613025294, (1821) = 7.814323783765137, (1822) = 7.815804053544567, (1823) = 7.817282427240667, (1824) = 7.81875890970091, (1825) = 7.820233505754229, (1826) = 7.8217062202111185, (1827) = 7.823177057863724, (1828) = 7.824646023485936, (1829) = 7.826113121833483, (1830) = 7.827578357644022, (1831) = 7.829041735641304, (1832) = 7.830503260552716, (1833) = 7.831962937066376, (1834) = 7.833420769848167, (1835) = 7.83487676354635, (1836) = 7.836330922791663, (1837) = 7.837783252197401, (1838) = 7.839233756359507, (1839) = 7.840682439856657, (1840) = 7.842129307250349, (1841) = 7.843574363094466, (1842) = 7.84501761193881, (1843) = 7.846459058294443, (1844) = 7.847898706654614, (1845) = 7.849336561495815, (1846) = 7.8507726272778715, (1847) = 7.852206908444019, (1848) = 7.853639409420989, (1849) = 7.855070134619086, (1850) = 7.856499088432286, (1851) = 7.857926275255067, (1852) = 7.859351699463754, (1853) = 7.860775365403395, (1854) = 7.862197277403018, (1855) = 7.863617439775707, (1856) = 7.865035856818683, (1857) = 7.86645253281338, (1858) = 7.86786747202552, (1859) = 7.869280678705195, (1860) = 7.870692157088304, (1861) = 7.872101911415651, (1862) = 7.873509945898158, (1863) = 7.874916264723793, (1864) = 7.876320872065268, (1865) = 7.877723772080116, (1866) = 7.879124968910763, (1867) = 7.880524466684603, (1868) = 7.8819222695140665, (1869) = 7.883318381496695, (1870) = 7.884712806720007, (1871) = 7.886105549273988, (1872) = 7.887496613214391, (1873) = 7.888886002579583, (1874) = 7.890273721393399, (1875) = 7.891659773665211, (1876) = 7.893044163389997, (1877) = 7.8944268945484115, (1878) = 7.8958079711068505, (1879) = 7.897187397017522, (1880) = 7.898565176228581, (1881) = 7.8999413126820945, (1882) = 7.9013158102881675, (1883) = 7.902688672942608, (1884) = 7.9040599045273705, (1885) = 7.905429508910625, (1886) = 7.9067974899468165, (1887) = 7.9081638514767345, (1888) = 7.909528597327574, (1889) = 7.910891731313164, (1890) = 7.912253257250207, (1891) = 7.913613178936267, (1892) = 7.914971500144501, (1893) = 7.916328224634791, (1894) = 7.9176833561538045, (1895) = 7.919036898435061, (1896) = 7.920388855198988, (1897) = 7.921739230152987, (1898) = 7.92308802699149, (1899) = 7.924435249397942, (1900) = 7.925780901060633, (1901) = 7.9271249856403525, (1902) = 7.928467506779973, (1903) = 7.929808468109699, (1904) = 7.931147873247127, (1905) = 7.932485725797304, (1906) = 7.933822029352781, (1907) = 7.935156787493677, (1908) = 7.936490003787731, (1909) = 7.9378216817958105, (1910) = 7.9391518250797795, (1911) = 7.9404804371719075, (1912) = 7.941807521590713, (1913) = 7.943133081842619, (1914) = 7.944457121422013, (1915) = 7.945779643811293, (1916) = 7.947100652480932, (1917) = 7.9484201508895245, (1918) = 7.949738142483844, (1919) = 7.951054630709461, (1920) = 7.952369619003862, (1921) = 7.953683110778499, (1922) = 7.954995109433132, (1923) = 7.956305618355968, (1924) = 7.957614640923712, (1925) = 7.958922180501621, (1926) = 7.960228240443554, (1927) = 7.961532824092022, (1928) = 7.962835934778676, (1929) = 7.964137575839275, (1930) = 7.965437750590339, (1931) = 7.966736462329248, (1932) = 7.9680337143422895, (1933) = 7.96932950990471, (1934) = 7.97062385228076, (1935) = 7.97191674472375, (1936) = 7.973208190476089, (1937) = 7.974498192769343, (1938) = 7.975786754826755, (1939) = 7.977073879875802, (1940) = 7.97835957111899, (1941) = 7.979643831744734, (1942) = 7.980926664930844, (1943) = 7.982208073844569, (1944) = 7.983488061642645, (1945) = 7.984766631471343, (1946) = 7.986043786466513, (1947) = 7.987319529753629, (1948) = 7.988593864453876, (1949) = 7.989866793687814, (1950) = 7.991138320550665, (1951) = 7.992408448126629, (1952) = 7.993677179489759, (1953) = 7.994944517704004, (1954) = 7.996210465823257, (1955) = 7.997475026891394, (1956) = 7.99873820394232, (1957) = 8.0}, datatype = float[8], order = C_order); Y := Matrix(1957, 3, {(1, 1) = .0, (1, 2) = .0, (1, 3) = -0.15087915185513387e-6, (2, 1) = -0.4703247921158766e-12, (2, 2) = 0.7752952440139635e-10, (2, 3) = -0.1159477863649019e-6, (3, 1) = 0.4851024694698007e-12, (3, 2) = 0.7841205395072432e-10, (3, 3) = -0.628334387449972e-8, (4, 1) = 0.14683936038935648e-11, (4, 2) = -0.2795080948312643e-9, (4, 3) = 0.11839188535019358e-6, (5, 1) = -0.505887684400247e-12, (5, 2) = 0.9108459647617881e-10, (5, 3) = 0.2519276398923896e-7, (6, 1) = -0.19103813762796647e-11, (6, 2) = 0.11727634502004799e-8, (6, 3) = -0.6060186042705624e-6, (7, 1) = 0.10884877821979604e-11, (7, 2) = 0.8784546203301721e-10, (7, 3) = -0.29002707780748434e-6, (8, 1) = 0.2708896050993958e-11, (8, 2) = -0.15073315860448254e-8, (8, 3) = 0.9505835417149998e-6, (9, 1) = 0.3104708120632991e-12, (9, 2) = -0.35828461787491705e-9, (9, 3) = 0.4358688033223136e-6, (10, 1) = -0.1084150430964179e-11, (10, 2) = 0.9579465194003937e-9, (10, 3) = -0.7647933044064127e-6, (11, 1) = -0.13052680548977818e-12, (11, 2) = 0.3865826694719873e-9, (11, 3) = -0.4032405181798882e-6, (12, 1) = 0.6183945499976991e-12, (12, 2) = -0.3118965677141622e-9, (12, 3) = 0.3210599998914348e-6, (13, 1) = 0.4901212441432779e-12, (13, 2) = -0.20700558818905446e-9, (13, 3) = 0.2346934056714839e-6, (14, 1) = 0.2734651389479414e-12, (14, 2) = 0.24448626890473073e-10, (14, 3) = -0.45697743055312414e-7, (15, 1) = 0.2431777974829105e-12, (15, 2) = 0.48445473375253233e-10, (15, 3) = -0.7225158548464218e-7, (16, 1) = 0.26686033752532294e-12, (16, 2) = 0.1038925957673894e-10, (16, 3) = -0.12706300348559341e-7, (17, 1) = 0.27562909674091005e-12, (17, 2) = -0.25448368517721356e-11, (17, 3) = 0.6761469339791668e-8, (18, 1) = 0.2759740271046751e-12, (18, 2) = -0.17518268120559878e-11, (18, 3) = 0.37926419360682896e-8, (19, 1) = 0.275333283454906e-12, (19, 2) = -0.504057413595652e-12, (19, 3) = 0.8644285889599315e-9, (20, 1) = 0.274991312192652e-12, (20, 2) = -0.19409575295277286e-12, (20, 3) = 0.1182202914849206e-9, (21, 1) = 0.27463616525209733e-12, (21, 2) = -0.15082763306876688e-12, (21, 3) = 0.1077520138053046e-10, (22, 1) = 0.27458720691948497e-12, (22, 2) = -0.14679486777519232e-12, (22, 3) = 0.7588492938311442e-12, (23, 1) = 0.27436572475087856e-12, (23, 2) = -0.14282149784589415e-12, (23, 3) = 0.31098255706318076e-12, (24, 1) = 0.27399293398872817e-12, (24, 2) = -0.14481592934250786e-12, (24, 3) = 0.39778249816521695e-12, (25, 1) = 0.2739443323362915e-12, (25, 2) = -0.13671237995492778e-12, (25, 3) = 0.4901596752766388e-12, (26, 1) = 0.27387876238719333e-12, (26, 2) = -0.1456248994316331e-12, (26, 3) = 0.6032588544656309e-12, (27, 1) = 0.27362272581946553e-12, (27, 2) = -0.14540283321182855e-12, (27, 3) = 0.6484892140586178e-12, (28, 1) = 0.27365358208558227e-12, (28, 2) = -0.14206613647928978e-12, (28, 3) = 0.6852860210567458e-12, (29, 1) = 0.27319527226370813e-12, (29, 2) = -0.1365089378103535e-12, (29, 3) = 0.665098690765951e-12, (30, 1) = 0.27326303442249924e-12, (30, 2) = -0.1402963415845188e-12, (30, 3) = 0.6463665904361823e-12, (31, 1) = 0.2728618274845604e-12, (31, 2) = -0.13197204802111333e-12, (31, 3) = 0.6919568038476178e-12, (32, 1) = 0.27271759141347967e-12, (32, 2) = -0.14172017376965222e-12, (32, 3) = 0.7525872656257651e-12, (33, 1) = 0.2726337123531653e-12, (33, 2) = -0.14157439019681408e-12, (33, 3) = 0.7235126968413634e-12, (34, 1) = 0.27238108406248937e-12, (34, 2) = -0.13174314137021718e-12, (34, 3) = 0.7337748148913058e-12, (35, 1) = 0.27223926956618583e-12, (35, 2) = -0.13548747324895517e-12, (35, 3) = 0.7527940351824018e-12, (36, 1) = 0.27182786404135115e-12, (36, 2) = -0.13382952371551483e-12, (36, 3) = 0.7370252894351462e-12, (37, 1) = 0.2720730221207122e-12, (37, 2) = -0.13220474201024676e-12, (37, 3) = 0.7256235369752867e-12, (38, 1) = 0.27162246417705e-12, (38, 2) = -0.14114344484635753e-12, (38, 3) = 0.7040402815538175e-12, (39, 1) = 0.27144088018136263e-12, (39, 2) = -0.1335697491639797e-12, (39, 3) = 0.6993636401437963e-12, (40, 1) = 0.27169779158433875e-12, (40, 2) = -0.13102743818261215e-12, (40, 3) = 0.7057124847288748e-12, (41, 1) = 0.27155623470159195e-12, (41, 2) = -0.13729287044377638e-12, (41, 3) = 0.7281439195173586e-12, (42, 1) = 0.27066046651843074e-12, (42, 2) = -0.13678854977603498e-12, (42, 3) = 0.6852648615104756e-12, (43, 1) = 0.2707445702736154e-12, (43, 2) = -0.12590356654755623e-12, (43, 3) = 0.6724201882472532e-12, (44, 1) = 0.2709788683724631e-12, (44, 2) = -0.12722860558467487e-12, (44, 3) = 0.7141223708626449e-12, (45, 1) = 0.27069027962822733e-12, (45, 2) = -0.1304149478156338e-12, (45, 3) = 0.6787829008657949e-12, (46, 1) = 0.27072331169546066e-12, (46, 2) = -0.12380899131684667e-12, (46, 3) = 0.6549770962099715e-12, (47, 1) = 0.27012693866153014e-12, (47, 2) = -0.12550212049228368e-12, (47, 3) = 0.6684445193768827e-12, (48, 1) = 0.26969168759347045e-12, (48, 2) = -0.1292899521571082e-12, (48, 3) = 0.6357394810033734e-12, (49, 1) = 0.270002091689851e-12, (49, 2) = -0.12381067483944021e-12, (49, 3) = 0.6287216438638598e-12, (50, 1) = 0.26943592244557396e-12, (50, 2) = -0.12150033420633601e-12, (50, 3) = 0.6285124092609015e-12, (51, 1) = 0.26966949080724127e-12, (51, 2) = -0.12537398393715837e-12, (51, 3) = 0.6120284851472317e-12, (52, 1) = 0.2694265351881389e-12, (52, 2) = -0.1264730430972577e-12, (52, 3) = 0.6157855896569775e-12, (53, 1) = 0.2692549867359133e-12, (53, 2) = -0.11865916074546515e-12, (53, 3) = 0.5844300642100009e-12, (54, 1) = 0.2692016876780419e-12, (54, 2) = -0.1221890722808861e-12, (54, 3) = 0.5885043202394661e-12, (55, 1) = 0.2693625332242363e-12, (55, 2) = -0.12168383256404255e-12, (55, 3) = 0.623311054680946e-12, (56, 1) = 0.2690177871303092e-12, (56, 2) = -0.1193264297911403e-12, (56, 3) = 0.5557814273573087e-12, (57, 1) = 0.26924617346857057e-12, (57, 2) = -0.1167894234146918e-12, (57, 3) = 0.5510266332151234e-12, (58, 1) = 0.26895384877766483e-12, (58, 2) = -0.11266361792188005e-12, (58, 3) = 0.5412729400554038e-12, (59, 1) = 0.26860743043348245e-12, (59, 2) = -0.12001595358751812e-12, (59, 3) = 0.5621894847081714e-12, (60, 1) = 0.26842374338889075e-12, (60, 2) = -0.11885801078831822e-12, (60, 3) = 0.5454199077865117e-12, (61, 1) = 0.2684047957109629e-12, (61, 2) = -0.11690174431866394e-12, (61, 3) = 0.5300631164990081e-12, (62, 1) = 0.26788358469352816e-12, (62, 2) = -0.11661602787836494e-12, (62, 3) = 0.5103562689389766e-12, (63, 1) = 0.26804855355741394e-12, (63, 2) = -0.111528325704832e-12, (63, 3) = 0.5065667756944198e-12, (64, 1) = 0.26779507704255184e-12, (64, 2) = -0.11643125673083307e-12, (64, 3) = 0.5311248284951109e-12, (65, 1) = 0.26759324757191843e-12, (65, 2) = -0.11206005030334152e-12, (65, 3) = 0.5107666971236273e-12, (66, 1) = 0.26768246930422306e-12, (66, 2) = -0.11446655290068057e-12, (66, 3) = 0.4981770065281522e-12, (67, 1) = 0.2673064082107369e-12, (67, 2) = -0.11457273122857032e-12, (67, 3) = 0.4906501021610063e-12, (68, 1) = 0.26726522530893444e-12, (68, 2) = -0.11027309985886519e-12, (68, 3) = 0.511997813591329e-12, (69, 1) = 0.26712136603188906e-12, (69, 2) = -0.11209113627090184e-12, (69, 3) = 0.4823175255792305e-12, (70, 1) = 0.26713077366348523e-12, (70, 2) = -0.1172352509782068e-12, (70, 3) = 0.482372869107608e-12, (71, 1) = 0.2668118147558638e-12, (71, 2) = -0.10812929087541627e-12, (71, 3) = 0.4853707435981408e-12, (72, 1) = 0.26668006245918155e-12, (72, 2) = -0.11674263490799855e-12, (72, 3) = 0.4634698064130993e-12, (73, 1) = 0.266659108288785e-12, (73, 2) = -0.11198995892887017e-12, (73, 3) = 0.4584698461520108e-12, (74, 1) = 0.2667681758939812e-12, (74, 2) = -0.11331264358475169e-12, (74, 3) = 0.4599235727269236e-12, (75, 1) = 0.26556578933316516e-12, (75, 2) = -0.1024828883019905e-12, (75, 3) = 0.4392223256193998e-12, (76, 1) = 0.26636144882811536e-12, (76, 2) = -0.11096781336721623e-12, (76, 3) = 0.4461360217876704e-12, (77, 1) = 0.2660790380914997e-12, (77, 2) = -0.10220378278036839e-12, (77, 3) = 0.4405732293223387e-12, (78, 1) = 0.2661518675212826e-12, (78, 2) = -0.1154223451259721e-12, (78, 3) = 0.43127099337514406e-12, (79, 1) = 0.2659207743035675e-12, (79, 2) = -0.10743981585149869e-12, (79, 3) = 0.41955189216341967e-12, (80, 1) = 0.266299929355256e-12, (80, 2) = -0.10600343108236077e-12, (80, 3) = 0.42457996644579407e-12, (81, 1) = 0.2647849714177146e-12, (81, 2) = -0.10712457607418126e-12, (81, 3) = 0.4265342254846519e-12, (82, 1) = 0.26489109570293296e-12, (82, 2) = -0.10349976816255758e-12, (82, 3) = 0.4349230190083018e-12, (83, 1) = 0.2647106595759988e-12, (83, 2) = -0.1043203420916074e-12, (83, 3) = 0.38148575757346156e-12, (84, 1) = 0.26511188443223444e-12, (84, 2) = -0.10667544861838707e-12, (84, 3) = 0.4080437100730308e-12, (85, 1) = 0.2640135178398355e-12, (85, 2) = -0.10608030737160487e-12, (85, 3) = 0.3997904632889758e-12, (86, 1) = 0.2648061926056494e-12, (86, 2) = -0.10019125485433196e-12, (86, 3) = 0.37950623350411595e-12, (87, 1) = 0.26457027924072085e-12, (87, 2) = -0.10721093587965642e-12, (87, 3) = 0.3717360324442272e-12, (88, 1) = 0.26451053757697107e-12, (88, 2) = -0.9845467168653614e-13, (88, 3) = 0.387864754525871e-12, (89, 1) = 0.26470759137929407e-12, (89, 2) = -0.9746262916189983e-13, (89, 3) = 0.41518255736770227e-12, (90, 1) = 0.26406086464839543e-12, (90, 2) = -0.10372162081095292e-12, (90, 3) = 0.3601570646093918e-12, (91, 1) = 0.26434940976032535e-12, (91, 2) = -0.9678023237767134e-13, (91, 3) = 0.3674808565920531e-12, (92, 1) = 0.2632087934037314e-12, (92, 2) = -0.9978825754555892e-13, (92, 3) = 0.3752655554055051e-12, (93, 1) = 0.2644227933754202e-12, (93, 2) = -0.10302828059169024e-12, (93, 3) = 0.36346439928953234e-12, (94, 1) = 0.26353325391804184e-12, (94, 2) = -0.9877351926173575e-13, (94, 3) = 0.3553882341013326e-12, (95, 1) = 0.2643756725201385e-12, (95, 2) = -0.10104903326649623e-12, (95, 3) = 0.37219006216221157e-12, (96, 1) = 0.26407627172868707e-12, (96, 2) = -0.10017722157860943e-12, (96, 3) = 0.3783510098468353e-12, (97, 1) = 0.26325347716046293e-12, (97, 2) = -0.9970053542372821e-13, (97, 3) = 0.35373689395230936e-12, (98, 1) = 0.26270807574463673e-12, (98, 2) = -0.9684881764073035e-13, (98, 3) = 0.3652391710485941e-12, (99, 1) = 0.26376263904072344e-12, (99, 2) = -0.9818562192591686e-13, (99, 3) = 0.33741576213003243e-12, (100, 1) = 0.26278544378560853e-12, (100, 2) = -0.9558240342712419e-13, (100, 3) = 0.3576537433896973e-12, (101, 1) = 0.26199882761566467e-12, (101, 2) = -0.9255978537264271e-13, (101, 3) = 0.34462174825474655e-12, (102, 1) = 0.2638323222368257e-12, (102, 2) = -0.9625103050626496e-13, (102, 3) = 0.354091006799014e-12, (103, 1) = 0.2629451114714572e-12, (103, 2) = -0.9939848281108754e-13, (103, 3) = 0.32975422178672836e-12, (104, 1) = 0.2626354605190023e-12, (104, 2) = -0.1009994692710708e-12, (104, 3) = 0.33476924577915817e-12, (105, 1) = 0.26252308048865637e-12, (105, 2) = -0.9725813052259642e-13, (105, 3) = 0.3094655331434889e-12, (106, 1) = 0.2614450759136197e-12, (106, 2) = -0.106039128326378e-12, (106, 3) = 0.31907380758561073e-12, (107, 1) = 0.2623894182568933e-12, (107, 2) = -0.9627487078405705e-13, (107, 3) = 0.33061200590375336e-12, (108, 1) = 0.26231726783909757e-12, (108, 2) = -0.9015460468802777e-13, (108, 3) = 0.3250406073271004e-12, (109, 1) = 0.261919865891662e-12, (109, 2) = -0.9686252323936583e-13, (109, 3) = 0.3129683587767592e-12, (110, 1) = 0.2618941963722864e-12, (110, 2) = -0.93897662199636e-13, (110, 3) = 0.3061491054176727e-12, (111, 1) = 0.26201887467368455e-12, (111, 2) = -0.996884093579159e-13, (111, 3) = 0.3231702158543201e-12, (112, 1) = 0.26202050000307675e-12, (112, 2) = -0.9377477414276085e-13, (112, 3) = 0.3176873611682805e-12, (113, 1) = 0.2608338152335562e-12, (113, 2) = -0.9319186772387417e-13, (113, 3) = 0.32071736229389704e-12, (114, 1) = 0.2615578833560192e-12, (114, 2) = -0.9744959294367251e-13, (114, 3) = 0.2833836673796264e-12, (115, 1) = 0.2615297523482611e-12, (115, 2) = -0.9566459363501658e-13, (115, 3) = 0.31136624875181896e-12, (116, 1) = 0.2614590687868646e-12, (116, 2) = -0.8899868738178905e-13, (116, 3) = 0.29685599532002194e-12, (117, 1) = 0.261425687529969e-12, (117, 2) = -0.8819338524218511e-13, (117, 3) = 0.3080449043575119e-12, (118, 1) = 0.26097725151175607e-12, (118, 2) = -0.8701697735774702e-13, (118, 3) = 0.30070022828453474e-12, (119, 1) = 0.2610712613668365e-12, (119, 2) = -0.9442881678104603e-13, (119, 3) = 0.2995025810098676e-12, (120, 1) = 0.2605278237103525e-12, (120, 2) = -0.8480600338233614e-13, (120, 3) = 0.3091049897799754e-12, (121, 1) = 0.2608636904142127e-12, (121, 2) = -0.8593818310761843e-13, (121, 3) = 0.27449530500784206e-12, (122, 1) = 0.26023902223061734e-12, (122, 2) = -0.8946091454264133e-13, (122, 3) = 0.279554985646951e-12, (123, 1) = 0.25984176948460257e-12, (123, 2) = -0.921411458160662e-13, (123, 3) = 0.2757283422398209e-12, (124, 1) = 0.26080834579080157e-12, (124, 2) = -0.8860118550927437e-13, (124, 3) = 0.2801943055036938e-12, (125, 1) = 0.2598300627145634e-12, (125, 2) = -0.8555881594914586e-13, (125, 3) = 0.2913287800535922e-12, (126, 1) = 0.25878200078464263e-12, (126, 2) = -0.9192534555839113e-13, (126, 3) = 0.2689390077049227e-12, (127, 1) = 0.2595749663573989e-12, (127, 2) = -0.8791897750552728e-13, (127, 3) = 0.2881129555889641e-12, (128, 1) = 0.2594184665172654e-12, (128, 2) = -0.8768300483163893e-13, (128, 3) = 0.2728527272410517e-12, (129, 1) = 0.2599423698939286e-12, (129, 2) = -0.89714628115182e-13, (129, 3) = 0.2877857531099665e-12, (130, 1) = 0.2590568079015536e-12, (130, 2) = -0.8520590605610388e-13, (130, 3) = 0.2659803433420808e-12, (131, 1) = 0.26038008040701495e-12, (131, 2) = -0.8406225671598492e-13, (131, 3) = 0.25257743776131284e-12, (132, 1) = 0.2590911808504256e-12, (132, 2) = -0.8803835609147506e-13, (132, 3) = 0.27027319815630347e-12, (133, 1) = 0.259132652043035e-12, (133, 2) = -0.918861407984903e-13, (133, 3) = 0.27797548858248757e-12, (134, 1) = 0.2585278066626474e-12, (134, 2) = -0.8834204112970716e-13, (134, 3) = 0.26888113073856884e-12, (135, 1) = 0.25851682477454626e-12, (135, 2) = -0.8046275197996397e-13, (135, 3) = 0.27466696074650513e-12, (136, 1) = 0.2579178137290646e-12, (136, 2) = -0.9290438720497358e-13, (136, 3) = 0.2621387167114593e-12, (137, 1) = 0.2588456185088568e-12, (137, 2) = -0.8395607321918779e-13, (137, 3) = 0.25361896867515625e-12, (138, 1) = 0.25885752141768196e-12, (138, 2) = -0.847188785516941e-13, (138, 3) = 0.25903753753975507e-12, (139, 1) = 0.2588376097413041e-12, (139, 2) = -0.9161331969946515e-13, (139, 3) = 0.25473872350424314e-12, (140, 1) = 0.25841342149976794e-12, (140, 2) = -0.8362780671406658e-13, (140, 3) = 0.24864536659332467e-12, (141, 1) = 0.2573324946032208e-12, (141, 2) = -0.8417006922235556e-13, (141, 3) = 0.24987866923883005e-12, (142, 1) = 0.2585760380420858e-12, (142, 2) = -0.9082257509945616e-13, (142, 3) = 0.24549354354685514e-12, (143, 1) = 0.25777320969977326e-12, (143, 2) = -0.8782647302087216e-13, (143, 3) = 0.24089282830534644e-12, (144, 1) = 0.2570651715974808e-12, (144, 2) = -0.8250220572239763e-13, (144, 3) = 0.24785407202305915e-12, (145, 1) = 0.2597626938440135e-12, (145, 2) = -0.7878717972808699e-13, (145, 3) = 0.2462821294038913e-12, (146, 1) = 0.2587185644022312e-12, (146, 2) = -0.8827791005023449e-13, (146, 3) = 0.24643366426042965e-12, (147, 1) = 0.25817715448708686e-12, (147, 2) = -0.8740657437522807e-13, (147, 3) = 0.2364355765719962e-12, (148, 1) = 0.2591989996614939e-12, (148, 2) = -0.8268793492991968e-13, (148, 3) = 0.2514704509912895e-12, (149, 1) = 0.2565821442020111e-12, (149, 2) = -0.8287019284930553e-13, (149, 3) = 0.24521412693523456e-12, (150, 1) = 0.2571416163663077e-12, (150, 2) = -0.8619568595575069e-13, (150, 3) = 0.235923815213155e-12, (151, 1) = 0.25605705433858386e-12, (151, 2) = -0.8406517578768382e-13, (151, 3) = 0.23008017513312833e-12, (152, 1) = 0.25689088624850697e-12, (152, 2) = -0.8860779001008963e-13, (152, 3) = 0.22601547341711113e-12, (153, 1) = 0.25595497242372375e-12, (153, 2) = -0.8356810591910455e-13, (153, 3) = 0.2373276844891034e-12, (154, 1) = 0.25799489931641756e-12, (154, 2) = -0.8422041929398255e-13, (154, 3) = 0.2399233089829565e-12, (155, 1) = 0.25678332025726544e-12, (155, 2) = -0.8331742163287023e-13, (155, 3) = 0.24512580486677856e-12, (156, 1) = 0.2559080350410583e-12, (156, 2) = -0.8359317426258902e-13, (156, 3) = 0.21513035878468473e-12, (157, 1) = 0.2569218595129958e-12, (157, 2) = -0.8137112614302452e-13, (157, 3) = 0.22701196917955123e-12, (158, 1) = 0.256871985205465e-12, (158, 2) = -0.8192156794931044e-13, (158, 3) = 0.2328477728865751e-12, (159, 1) = 0.25606972227556063e-12, (159, 2) = -0.805676397350046e-13, (159, 3) = 0.227411642410428e-12, (160, 1) = 0.2561433386785239e-12, (160, 2) = -0.7903125043234053e-13, (160, 3) = 0.22822607133237374e-12, (161, 1) = 0.25629452670380667e-12, (161, 2) = -0.8288943069605665e-13, (161, 3) = 0.22240938003258785e-12, (162, 1) = 0.2563413597848562e-12, (162, 2) = -0.7758985291198619e-13, (162, 3) = 0.21326890026051373e-12, (163, 1) = 0.25623421465732063e-12, (163, 2) = -0.8200284761105682e-13, (163, 3) = 0.22433940371762822e-12, (164, 1) = 0.2557188590126326e-12, (164, 2) = -0.8631821100129461e-13, (164, 3) = 0.23359057915286617e-12, (165, 1) = 0.2537728554231563e-12, (165, 2) = -0.7668784498148213e-13, (165, 3) = 0.221367884056024e-12, (166, 1) = 0.25481955998954326e-12, (166, 2) = -0.8036576869103736e-13, (166, 3) = 0.21384029936752053e-12, (167, 1) = 0.25610969108184995e-12, (167, 2) = -0.7551222161438662e-13, (167, 3) = 0.2231396740116489e-12, (168, 1) = 0.2543900794969416e-12, (168, 2) = -0.8120250895246888e-13, (168, 3) = 0.206450080233743e-12, (169, 1) = 0.25665807224595404e-12, (169, 2) = -0.8325511142121432e-13, (169, 3) = 0.21740636865369733e-12, (170, 1) = 0.2546004607928139e-12, (170, 2) = -0.8055181291935551e-13, (170, 3) = 0.21768222151668588e-12, (171, 1) = 0.2556579167639735e-12, (171, 2) = -0.8171122101656633e-13, (171, 3) = 0.21026742612306154e-12, (172, 1) = 0.2555052628347332e-12, (172, 2) = -0.7486723867641988e-13, (172, 3) = 0.20732831608127265e-12, (173, 1) = 0.2542878431866264e-12, (173, 2) = -0.7689353798887828e-13, (173, 3) = 0.2100496769686203e-12, (174, 1) = 0.2558625641792741e-12, (174, 2) = -0.8271338885627835e-13, (174, 3) = 0.2107825028665385e-12, (175, 1) = 0.25460889696166593e-12, (175, 2) = -0.7860928774719807e-13, (175, 3) = 0.2039280195062321e-12, (176, 1) = 0.2542410091050117e-12, (176, 2) = -0.755828991779457e-13, (176, 3) = 0.20123585519816116e-12, (177, 1) = 0.25563400408374634e-12, (177, 2) = -0.7875915789886947e-13, (177, 3) = 0.20979229123362739e-12, (178, 1) = 0.2551172606099154e-12, (178, 2) = -0.7694803180300774e-13, (178, 3) = 0.22281508399942423e-12, (179, 1) = 0.25355253061511415e-12, (179, 2) = -0.8177954683736804e-13, (179, 3) = 0.19166083477651868e-12, (180, 1) = 0.25649734871088107e-12, (180, 2) = -0.7997678426253142e-13, (180, 3) = 0.20194754875663004e-12, (181, 1) = 0.2535129669237558e-12, (181, 2) = -0.7681591698316338e-13, (181, 3) = 0.19240169531702727e-12, (182, 1) = 0.2535153949936747e-12, (182, 2) = -0.8103494500859217e-13, (182, 3) = 0.19545686756097343e-12, (183, 1) = 0.25456231100298394e-12, (183, 2) = -0.7809176590799399e-13, (183, 3) = 0.2053322438431001e-12, (184, 1) = 0.2537783823279589e-12, (184, 2) = -0.8359646828115604e-13, (184, 3) = 0.19253199354315035e-12, (185, 1) = 0.2532302030543211e-12, (185, 2) = -0.8005319445011785e-13, (185, 3) = 0.20293938602080173e-12, (186, 1) = 0.2539800015133203e-12, (186, 2) = -0.7479796042438959e-13, (186, 3) = 0.20304536500254563e-12, (187, 1) = 0.2530655466819548e-12, (187, 2) = -0.7740950229773452e-13, (187, 3) = 0.19425212029411418e-12, (188, 1) = 0.254288238387664e-12, (188, 2) = -0.8427941424030142e-13, (188, 3) = 0.2037528852138398e-12, (189, 1) = 0.2527078690983138e-12, (189, 2) = -0.7889390693916803e-13, (189, 3) = 0.19142981324977303e-12, (190, 1) = 0.2529094468253282e-12, (190, 2) = -0.7467692697295759e-13, (190, 3) = 0.20108129222272157e-12, (191, 1) = 0.2529874521453606e-12, (191, 2) = -0.7374304366197123e-13, (191, 3) = 0.19023813900623056e-12, (192, 1) = 0.2521248719197082e-12, (192, 2) = -0.7259086114979445e-13, (192, 3) = 0.19462468628763425e-12, (193, 1) = 0.25275868922951367e-12, (193, 2) = -0.8221541517140365e-13, (193, 3) = 0.17032608709647105e-12, (194, 1) = 0.2523208684293337e-12, (194, 2) = -0.6642756686092764e-13, (194, 3) = 0.1925298804077578e-12, (195, 1) = 0.25343013209127367e-12, (195, 2) = -0.7747517696231575e-13, (195, 3) = 0.195541108055382e-12, (196, 1) = 0.2519940702313882e-12, (196, 2) = -0.7096612977844665e-13, (196, 3) = 0.19313546811141254e-12, (197, 1) = 0.2522916691313944e-12, (197, 2) = -0.7855258736121758e-13, (197, 3) = 0.18696100523453378e-12, (198, 1) = 0.251914958749273e-12, (198, 2) = -0.69117598786082e-13, (198, 3) = 0.19096950849285549e-12, (199, 1) = 0.25168872060111397e-12, (199, 2) = -0.7209296718835217e-13, (199, 3) = 0.17842415207403536e-12, (200, 1) = 0.2517258606809001e-12, (200, 2) = -0.733828106918187e-13, (200, 3) = 0.1862807498114733e-12, (201, 1) = 0.25138620355763533e-12, (201, 2) = -0.7089170457873835e-13, (201, 3) = 0.1804650731695726e-12, (202, 1) = 0.2529669910156102e-12, (202, 2) = -0.7200251363968924e-13, (202, 3) = 0.183014784865819e-12, (203, 1) = 0.25321453872086005e-12, (203, 2) = -0.7349883821775555e-13, (203, 3) = 0.16691782836930845e-12, (204, 1) = 0.2510732738366851e-12, (204, 2) = -0.8041459251682468e-13, (204, 3) = 0.19197482995999745e-12, (205, 1) = 0.2518354158073617e-12, (205, 2) = -0.7422983536846196e-13, (205, 3) = 0.18271737368323467e-12, (206, 1) = 0.25047448819148337e-12, (206, 2) = -0.7752438922632961e-13, (206, 3) = 0.18142134871468221e-12, (207, 1) = 0.2523367312362094e-12, (207, 2) = -0.7381087004487524e-13, (207, 3) = 0.17600126955333927e-12, (208, 1) = 0.25100850042563173e-12, (208, 2) = -0.6712855842194557e-13, (208, 3) = 0.17482790665758626e-12, (209, 1) = 0.2514378313705099e-12, (209, 2) = -0.7216279650795249e-13, (209, 3) = 0.17328799046222088e-12, (210, 1) = 0.2505657833512719e-12, (210, 2) = -0.7691170111857477e-13, (210, 3) = 0.16791552226548256e-12, (211, 1) = 0.2523316317317736e-12, (211, 2) = -0.7205254470032536e-13, (211, 3) = 0.17300560948216982e-12, (212, 1) = 0.25000687796058597e-12, (212, 2) = -0.7848057985772577e-13, (212, 3) = 0.17074200953970334e-12, (213, 1) = 0.25168257049574844e-12, (213, 2) = -0.6603818899599296e-13, (213, 3) = 0.1779819798822482e-12, (214, 1) = 0.25134724823737663e-12, (214, 2) = -0.7445390452431393e-13, (214, 3) = 0.16702762250357561e-12, (215, 1) = 0.2488733476936824e-12, (215, 2) = -0.6664029263359198e-13, (215, 3) = 0.17678598717431695e-12, (216, 1) = 0.25029800716243945e-12, (216, 2) = -0.7033288535907872e-13, (216, 3) = 0.17613440488302355e-12, (217, 1) = 0.2512502122359298e-12, (217, 2) = -0.689194155324976e-13, (217, 3) = 0.1785557475487533e-12, (218, 1) = 0.2505637058950344e-12, (218, 2) = -0.7449954909140431e-13, (218, 3) = 0.17639496577999752e-12, (219, 1) = 0.2493965522840277e-12, (219, 2) = -0.664835295799844e-13, (219, 3) = 0.18380546684619748e-12, (220, 1) = 0.24955945452163533e-12, (220, 2) = -0.6794120698856677e-13, (220, 3) = 0.1756637063180593e-12, (221, 1) = 0.2501323456779898e-12, (221, 2) = -0.7768014305103213e-13, (221, 3) = 0.1577272605911614e-12, (222, 1) = 0.2504517205985074e-12, (222, 2) = -0.6746177626550413e-13, (222, 3) = 0.17290624347923236e-12, (223, 1) = 0.2501205136122978e-12, (223, 2) = -0.7177109503733524e-13, (223, 3) = 0.16267702666157307e-12, (224, 1) = 0.25114386672575307e-12, (224, 2) = -0.7330793118366891e-13, (224, 3) = 0.1685360641877906e-12, (225, 1) = 0.25011892201453536e-12, (225, 2) = -0.6831449815027278e-13, (225, 3) = 0.1634584238657741e-12, (226, 1) = 0.24998076505430384e-12, (226, 2) = -0.7333638787113981e-13, (226, 3) = 0.17336549762508063e-12, (227, 1) = 0.24816584132452875e-12, (227, 2) = -0.613739219209407e-13, (227, 3) = 0.1729871466215132e-12, (228, 1) = 0.25058868866067737e-12, (228, 2) = -0.6394503324342069e-13, (228, 3) = 0.16319003351123334e-12, (229, 1) = 0.250841137624948e-12, (229, 2) = -0.716811652107469e-13, (229, 3) = 0.1595766600970737e-12, (230, 1) = 0.25047450296284515e-12, (230, 2) = -0.7244231228463122e-13, (230, 3) = 0.16324292839504442e-12, (231, 1) = 0.24995828245657095e-12, (231, 2) = -0.6971775630169417e-13, (231, 3) = 0.164215435859744e-12, (232, 1) = 0.2492011688179484e-12, (232, 2) = -0.6502764375746034e-13, (232, 3) = 0.16821539999373085e-12, (233, 1) = 0.24758910799763997e-12, (233, 2) = -0.7448414338246662e-13, (233, 3) = 0.16045680248901055e-12, (234, 1) = 0.2509069622250333e-12, (234, 2) = -0.7253557726792575e-13, (234, 3) = 0.15485864623091194e-12, (235, 1) = 0.2482094327271171e-12, (235, 2) = -0.7194708908538927e-13, (235, 3) = 0.15548019035264462e-12, (236, 1) = 0.24820023005853395e-12, (236, 2) = -0.6927711253801239e-13, (236, 3) = 0.16848874111860865e-12, (237, 1) = 0.24813896312581964e-12, (237, 2) = -0.6851265578185419e-13, (237, 3) = 0.156812834541937e-12, (238, 1) = 0.24920675748534684e-12, (238, 2) = -0.7423461206455781e-13, (238, 3) = 0.15926899135085458e-12, (239, 1) = 0.24756332565841593e-12, (239, 2) = -0.7067768263318255e-13, (239, 3) = 0.15860456066575404e-12, (240, 1) = 0.2490886007569406e-12, (240, 2) = -0.7430723938167855e-13, (240, 3) = 0.15716139877196057e-12, (241, 1) = 0.2487310496692174e-12, (241, 2) = -0.7187480500662063e-13, (241, 3) = 0.15214460755332184e-12, (242, 1) = 0.2484218000168614e-12, (242, 2) = -0.7069245721428452e-13, (242, 3) = 0.1568274418702093e-12, (243, 1) = 0.248893796427308e-12, (243, 2) = -0.7182098450772516e-13, (243, 3) = 0.1562467533030406e-12, (244, 1) = 0.2478442787811461e-12, (244, 2) = -0.7001745958708953e-13, (244, 3) = 0.15404562668831164e-12, (245, 1) = 0.24659352089582583e-12, (245, 2) = -0.6773712246879657e-13, (245, 3) = 0.1528608934384823e-12, (246, 1) = 0.2476307583805692e-12, (246, 2) = -0.6663264955366014e-13, (246, 3) = 0.15307233557338224e-12, (247, 1) = 0.2471286989612759e-12, (247, 2) = -0.7183573569494048e-13, (247, 3) = 0.1567523011588688e-12, (248, 1) = 0.24920284458822594e-12, (248, 2) = -0.7357711800430693e-13, (248, 3) = 0.1591137334609105e-12, (249, 1) = 0.2476127037471681e-12, (249, 2) = -0.7238516752681864e-13, (249, 3) = 0.1470630108120198e-12, (250, 1) = 0.2478242904212449e-12, (250, 2) = -0.687819739174338e-13, (250, 3) = 0.15396017763589108e-12, (251, 1) = 0.247427812295083e-12, (251, 2) = -0.623594645627437e-13, (251, 3) = 0.15006380103822715e-12, (252, 1) = 0.2481586918137519e-12, (252, 2) = -0.6802346724694233e-13, (252, 3) = 0.15626936340714984e-12, (253, 1) = 0.2473953154904128e-12, (253, 2) = -0.6262058274340858e-13, (253, 3) = 0.1561004859707669e-12, (254, 1) = 0.24752003997544967e-12, (254, 2) = -0.6832288636946751e-13, (254, 3) = 0.1557602107641178e-12, (255, 1) = 0.2469108685120445e-12, (255, 2) = -0.6677863869089163e-13, (255, 3) = 0.1518001460724024e-12, (256, 1) = 0.24722928782195697e-12, (256, 2) = -0.6731758766113549e-13, (256, 3) = 0.15030886845841878e-12, (257, 1) = 0.24623134654905395e-12, (257, 2) = -0.7113873668930863e-13, (257, 3) = 0.14845893426269198e-12, (258, 1) = 0.24632726555173697e-12, (258, 2) = -0.6133254057779549e-13, (258, 3) = 0.15506139854167921e-12, (259, 1) = 0.24784564761510623e-12, (259, 2) = -0.6693994433072813e-13, (259, 3) = 0.14857188953983483e-12, (260, 1) = 0.2470188059212782e-12, (260, 2) = -0.6911418359277456e-13, (260, 3) = 0.14808199605176294e-12, (261, 1) = 0.2472533778168354e-12, (261, 2) = -0.6772405422455507e-13, (261, 3) = 0.15193379061099504e-12, (262, 1) = 0.2480325663821749e-12, (262, 2) = -0.650356431427318e-13, (262, 3) = 0.1526840017612524e-12, (263, 1) = 0.2465363356284058e-12, (263, 2) = -0.5941487775213556e-13, (263, 3) = 0.1495298244486527e-12, (264, 1) = 0.2450582525047234e-12, (264, 2) = -0.6748850063069003e-13, (264, 3) = 0.14637133561263261e-12, (265, 1) = 0.24736092576452067e-12, (265, 2) = -0.680539017537869e-13, (265, 3) = 0.14801019191584728e-12, (266, 1) = 0.24615868424953843e-12, (266, 2) = -0.6294768322303242e-13, (266, 3) = 0.14696972944738447e-12, (267, 1) = 0.2457459093367824e-12, (267, 2) = -0.6700653445968127e-13, (267, 3) = 0.14587244771188806e-12, (268, 1) = 0.248070970672124e-12, (268, 2) = -0.6737114614720836e-13, (268, 3) = 0.15050671568898273e-12, (269, 1) = 0.246730886519188e-12, (269, 2) = -0.7017622680835109e-13, (269, 3) = 0.14727591993260127e-12, (270, 1) = 0.24577488183552226e-12, (270, 2) = -0.675662417865441e-13, (270, 3) = 0.14951513197258742e-12, (271, 1) = 0.24546617437533806e-12, (271, 2) = -0.654568043560178e-13, (271, 3) = 0.14594289391152396e-12, (272, 1) = 0.24718800755370595e-12, (272, 2) = -0.6889735031584145e-13, (272, 3) = 0.14357059112058807e-12, (273, 1) = 0.2465630993132372e-12, (273, 2) = -0.6420112718882402e-13, (273, 3) = 0.1449621214636371e-12, (274, 1) = 0.24572992026365364e-12, (274, 2) = -0.6466617664658158e-13, (274, 3) = 0.14626477886394765e-12, (275, 1) = 0.24307411404424043e-12, (275, 2) = -0.6789888423447905e-13, (275, 3) = 0.1370204490106442e-12, (276, 1) = 0.24281922184469994e-12, (276, 2) = -0.6367985578253211e-13, (276, 3) = 0.13720297978486946e-12, (277, 1) = 0.24375159800714294e-12, (277, 2) = -0.7003773575326006e-13, (277, 3) = 0.14541109723031717e-12, (278, 1) = 0.245234848647308e-12, (278, 2) = -0.6548101481418957e-13, (278, 3) = 0.14147036740588183e-12, (279, 1) = 0.2457601590600119e-12, (279, 2) = -0.6518612136412626e-13, (279, 3) = 0.14342946698387707e-12, (280, 1) = 0.24738548297757003e-12, (280, 2) = -0.6055858985326228e-13, (280, 3) = 0.13638175729239436e-12, (281, 1) = 0.24414693692291745e-12, (281, 2) = -0.7064021966137313e-13, (281, 3) = 0.13681230051482033e-12, (282, 1) = 0.2453816646751576e-12, (282, 2) = -0.6770579259179701e-13, (282, 3) = 0.14826419451321617e-12, (283, 1) = 0.24282824537434966e-12, (283, 2) = -0.6809841573599572e-13, (283, 3) = 0.14712308504928768e-12, (284, 1) = 0.2454240227730242e-12, (284, 2) = -0.6036233166903553e-13, (284, 3) = 0.14291600785953833e-12, (285, 1) = 0.24919544330017403e-12, (285, 2) = -0.6726908959766275e-13, (285, 3) = 0.1365605562766095e-12, (286, 1) = 0.2463571798646117e-12, (286, 2) = -0.6186288145809581e-13, (286, 3) = 0.13572437912649787e-12, (287, 1) = 0.2449067100314187e-12, (287, 2) = -0.6038105325013729e-13, (287, 3) = 0.13694955309262892e-12, (288, 1) = 0.2436721311201033e-12, (288, 2) = -0.6292164686434369e-13, (288, 3) = 0.1402375133328412e-12, (289, 1) = 0.24275599538788176e-12, (289, 2) = -0.623109698830311e-13, (289, 3) = 0.13948980214922652e-12, (290, 1) = 0.2440663007670856e-12, (290, 2) = -0.5828261568719903e-13, (290, 3) = 0.1361233171852273e-12, (291, 1) = 0.246175350963902e-12, (291, 2) = -0.6278094025586108e-13, (291, 3) = 0.13667355659243295e-12, (292, 1) = 0.24626216664720247e-12, (292, 2) = -0.6372233444237408e-13, (292, 3) = 0.13320378662370869e-12, (293, 1) = 0.2434815831159693e-12, (293, 2) = -0.6558253991759813e-13, (293, 3) = 0.1422900609469975e-12, (294, 1) = 0.2469144002557192e-12, (294, 2) = -0.6990895444512363e-13, (294, 3) = 0.12927285041667408e-12, (295, 1) = 0.2444854981827494e-12, (295, 2) = -0.648385384034734e-13, (295, 3) = 0.12837499480754026e-12, (296, 1) = 0.2433803159294065e-12, (296, 2) = -0.6573772498529002e-13, (296, 3) = 0.14145972574673806e-12, (297, 1) = 0.2427776254700213e-12, (297, 2) = -0.6386857142071252e-13, (297, 3) = 0.13120302925554432e-12, (298, 1) = 0.24165032690328753e-12, (298, 2) = -0.653895059123339e-13, (298, 3) = 0.13291838823191656e-12, (299, 1) = 0.2427406426759389e-12, (299, 2) = -0.55886569366429615e-13, (299, 3) = 0.12895836121183816e-12, (300, 1) = 0.24619062362002367e-12, (300, 2) = -0.6090932255143888e-13, (300, 3) = 0.13792731458295222e-12, (301, 1) = 0.2408405470234118e-12, (301, 2) = -0.6328400215081623e-13, (301, 3) = 0.13205346791958108e-12, (302, 1) = 0.24511491376313727e-12, (302, 2) = -0.5916195739676858e-13, (302, 3) = 0.1337977183631306e-12, (303, 1) = 0.24436127354896224e-12, (303, 2) = -0.6340760581534314e-13, (303, 3) = 0.12818678763026446e-12, (304, 1) = 0.2455940036104349e-12, (304, 2) = -0.621415187023722e-13, (304, 3) = 0.1384223677967184e-12, (305, 1) = 0.24395192343286795e-12, (305, 2) = -0.5829733769428794e-13, (305, 3) = 0.13778174243654853e-12, (306, 1) = 0.24340126551120993e-12, (306, 2) = -0.6276491244015117e-13, (306, 3) = 0.13720046977390496e-12, (307, 1) = 0.2400417344107413e-12, (307, 2) = -0.5951118369134366e-13, (307, 3) = 0.13120530550371796e-12, (308, 1) = 0.2438942783893692e-12, (308, 2) = -0.6337471231787017e-13, (308, 3) = 0.13410946285404215e-12, (309, 1) = 0.24237524940182564e-12, (309, 2) = -0.6119324198432275e-13, (309, 3) = 0.1284038080620066e-12, (310, 1) = 0.24377841954510666e-12, (310, 2) = -0.6116827186741268e-13, (310, 3) = 0.1259344226130219e-12, (311, 1) = 0.240968497560952e-12, (311, 2) = -0.6395391262641046e-13, (311, 3) = 0.13470487987163284e-12, (312, 1) = 0.2426615806870184e-12, (312, 2) = -0.6535729886843385e-13, (312, 3) = 0.12755672995985635e-12, (313, 1) = 0.2457364868857641e-12, (313, 2) = -0.651955328170169e-13, (313, 3) = 0.12854816496208261e-12, (314, 1) = 0.24085672155377197e-12, (314, 2) = -0.598466232426132e-13, (314, 3) = 0.1268015940628056e-12, (315, 1) = 0.2447388175456443e-12, (315, 2) = -0.5974888828040247e-13, (315, 3) = 0.13038144151158216e-12, (316, 1) = 0.24363508814040334e-12, (316, 2) = -0.6387882066874401e-13, (316, 3) = 0.1358015521639332e-12, (317, 1) = 0.2408972278988918e-12, (317, 2) = -0.6349091193986723e-13, (317, 3) = 0.12979273444826322e-12, (318, 1) = 0.24413222776084026e-12, (318, 2) = -0.6322595649404467e-13, (318, 3) = 0.13006775212855125e-12, (319, 1) = 0.2404022424093365e-12, (319, 2) = -0.559918433081454e-13, (319, 3) = 0.1297431725074223e-12, (320, 1) = 0.2436416850911428e-12, (320, 2) = -0.5684932525917179e-13, (320, 3) = 0.12750147700018351e-12, (321, 1) = 0.24284373808822517e-12, (321, 2) = -0.6002187248906203e-13, (321, 3) = 0.12972726770984396e-12, (322, 1) = 0.2414169268840798e-12, (322, 2) = -0.5911769433126337e-13, (322, 3) = 0.12280137933605018e-12, (323, 1) = 0.24094727651071134e-12, (323, 2) = -0.6173690396707514e-13, (323, 3) = 0.12813504951941863e-12, (324, 1) = 0.24111754996486627e-12, (324, 2) = -0.5900433020381315e-13, (324, 3) = 0.127327953374659e-12, (325, 1) = 0.2444283086061669e-12, (325, 2) = -0.6377122838525634e-13, (325, 3) = 0.12828683892905495e-12, (326, 1) = 0.23872372021554846e-12, (326, 2) = -0.6200258582154124e-13, (326, 3) = 0.12359842822234894e-12, (327, 1) = 0.2425767724376089e-12, (327, 2) = -0.5730789201852643e-13, (327, 3) = 0.12327793304675382e-12, (328, 1) = 0.24078486277335077e-12, (328, 2) = -0.5588815090592967e-13, (328, 3) = 0.1247872556281289e-12, (329, 1) = 0.2381816292220266e-12, (329, 2) = -0.5844312627003909e-13, (329, 3) = 0.12672256641696249e-12, (330, 1) = 0.23982735438349687e-12, (330, 2) = -0.5195014008992264e-13, (330, 3) = 0.12310538252608203e-12, (331, 1) = 0.24103552460368814e-12, (331, 2) = -0.6260423616865094e-13, (331, 3) = 0.1296426079599553e-12, (332, 1) = 0.24035484385813155e-12, (332, 2) = -0.5392733584030267e-13, (332, 3) = 0.12632552145051836e-12, (333, 1) = 0.2421198261140578e-12, (333, 2) = -0.6354868960961821e-13, (333, 3) = 0.12323252441146636e-12, (334, 1) = 0.24228857654926805e-12, (334, 2) = -0.6583122657217493e-13, (334, 3) = 0.12597723019771494e-12, (335, 1) = 0.24123968704893116e-12, (335, 2) = -0.6589328655417755e-13, (335, 3) = 0.12258118840694099e-12, (336, 1) = 0.241425887032584e-12, (336, 2) = -0.6233333803902604e-13, (336, 3) = 0.1252675091873466e-12, (337, 1) = 0.2401275926154246e-12, (337, 2) = -0.5733866345649666e-13, (337, 3) = 0.12099120636706972e-12, (338, 1) = 0.240009030850993e-12, (338, 2) = -0.6615938980253938e-13, (338, 3) = 0.12184270637355032e-12, (339, 1) = 0.2404257160650256e-12, (339, 2) = -0.5845596308875185e-13, (339, 3) = 0.11858050385649322e-12, (340, 1) = 0.2418740796443201e-12, (340, 2) = -0.5724135792041143e-13, (340, 3) = 0.12124665736224864e-12, (341, 1) = 0.2421385735443035e-12, (341, 2) = -0.5766334061025603e-13, (341, 3) = 0.11909876138665416e-12, (342, 1) = 0.24185709205713664e-12, (342, 2) = -0.5772538102692832e-13, (342, 3) = 0.12380562274815131e-12, (343, 1) = 0.2412109847307176e-12, (343, 2) = -0.55481387816254154e-13, (343, 3) = 0.1200990918461073e-12, (344, 1) = 0.2393638088092435e-12, (344, 2) = -0.5760024535523341e-13, (344, 3) = 0.1249332566760693e-12, (345, 1) = 0.23905632984370566e-12, (345, 2) = -0.6309330877512132e-13, (345, 3) = 0.12336079465244854e-12, (346, 1) = 0.2397088037335161e-12, (346, 2) = -0.5742951069139699e-13, (346, 3) = 0.12007840011478735e-12, (347, 1) = 0.23972758522516724e-12, (347, 2) = -0.5670022335174499e-13, (347, 3) = 0.11580882098038255e-12, (348, 1) = 0.23660723235524356e-12, (348, 2) = -0.5427015227256137e-13, (348, 3) = 0.12542140605041119e-12, (349, 1) = 0.2388854304714937e-12, (349, 2) = -0.5211894133764604e-13, (349, 3) = 0.12249414955270891e-12, (350, 1) = 0.23942043036004e-12, (350, 2) = -0.5817959608993702e-13, (350, 3) = 0.12397392384375715e-12, (351, 1) = 0.23743910589623164e-12, (351, 2) = -0.5708310905994308e-13, (351, 3) = 0.118219575347836e-12, (352, 1) = 0.2415425636965284e-12, (352, 2) = -0.6361745723100983e-13, (352, 3) = 0.1192359670480112e-12, (353, 1) = 0.2400705233321519e-12, (353, 2) = -0.5103884005469765e-13, (353, 3) = 0.12130511473126924e-12, (354, 1) = 0.2407402602658795e-12, (354, 2) = -0.5857199129209973e-13, (354, 3) = 0.12024593318250466e-12, (355, 1) = 0.23891270608070094e-12, (355, 2) = -0.5799334997314522e-13, (355, 3) = 0.11931232074101076e-12, (356, 1) = 0.23946851197464745e-12, (356, 2) = -0.5953652430848917e-13, (356, 3) = 0.11936788506955973e-12, (357, 1) = 0.2371160520202739e-12, (357, 2) = -0.6017709767762136e-13, (357, 3) = 0.12408586968062092e-12, (358, 1) = 0.23841563592740466e-12, (358, 2) = -0.5684733484939259e-13, (358, 3) = 0.11581430464402503e-12, (359, 1) = 0.24071324517240153e-12, (359, 2) = -0.617843837742707e-13, (359, 3) = 0.1222996109712299e-12, (360, 1) = 0.23623048504951553e-12, (360, 2) = -0.54775782794889977e-13, (360, 3) = 0.11691806952478742e-12, (361, 1) = 0.2372264667676868e-12, (361, 2) = -0.5438710502971617e-13, (361, 3) = 0.11816214213854624e-12, (362, 1) = 0.23881044365807135e-12, (362, 2) = -0.4969627228645679e-13, (362, 3) = 0.12303736921086682e-12, (363, 1) = 0.239822747615841e-12, (363, 2) = -0.6377887501585027e-13, (363, 3) = 0.11303951281054948e-12, (364, 1) = 0.23603964955205173e-12, (364, 2) = -0.5786356995121355e-13, (364, 3) = 0.1180384034539282e-12, (365, 1) = 0.24074874478732906e-12, (365, 2) = -0.5656860362236832e-13, (365, 3) = 0.1149918522907131e-12, (366, 1) = 0.24050290119735973e-12, (366, 2) = -0.5562826017977558e-13, (366, 3) = 0.11975154608595232e-12, (367, 1) = 0.24045397415280713e-12, (367, 2) = -0.55496138629429016e-13, (367, 3) = 0.12125843346660088e-12, (368, 1) = 0.23470801627422695e-12, (368, 2) = -0.6191420953647525e-13, (368, 3) = 0.1215779039186545e-12, (369, 1) = 0.2384435329974179e-12, (369, 2) = -0.545830140900356e-13, (369, 3) = 0.11976826042146484e-12, (370, 1) = 0.23868336346851573e-12, (370, 2) = -0.5505220330798527e-13, (370, 3) = 0.1174542980230402e-12, (371, 1) = 0.23711727201089627e-12, (371, 2) = -0.5789550404893468e-13, (371, 3) = 0.11830189653991627e-12, (372, 1) = 0.23903059875547656e-12, (372, 2) = -0.598543678490794e-13, (372, 3) = 0.12180933455916604e-12, (373, 1) = 0.2376214276100976e-12, (373, 2) = -0.5726498320336045e-13, (373, 3) = 0.11756565199349706e-12, (374, 1) = 0.23722787258451697e-12, (374, 2) = -0.5880914627183853e-13, (374, 3) = 0.11176827550713992e-12, (375, 1) = 0.2375501515794464e-12, (375, 2) = -0.5420485429114877e-13, (375, 3) = 0.11171993386951872e-12, (376, 1) = 0.23930375423323643e-12, (376, 2) = -0.5746747698104438e-13, (376, 3) = 0.11896572456187489e-12, (377, 1) = 0.24076789169992296e-12, (377, 2) = -0.5885750412048937e-13, (377, 3) = 0.12187552469627027e-12, (378, 1) = 0.23656305671032647e-12, (378, 2) = -0.6057847841052243e-13, (378, 3) = 0.12145933462679144e-12, (379, 1) = 0.23937185103158326e-12, (379, 2) = -0.5873519737610904e-13, (379, 3) = 0.11758953545651749e-12, (380, 1) = 0.2353619027322489e-12, (380, 2) = -0.5790273695754133e-13, (380, 3) = 0.1177756714397963e-12, (381, 1) = 0.23925383893495557e-12, (381, 2) = -0.6183527396023715e-13, (381, 3) = 0.1169804984305577e-12, (382, 1) = 0.23655606202636196e-12, (382, 2) = -0.5843133689924689e-13, (382, 3) = 0.11550902036797302e-12, (383, 1) = 0.2391452378159612e-12, (383, 2) = -0.5931168663980234e-13, (383, 3) = 0.11293905300623835e-12, (384, 1) = 0.2374107726249776e-12, (384, 2) = -0.55934524067150725e-13, (384, 3) = 0.11902843911171841e-12, (385, 1) = 0.2395008021673467e-12, (385, 2) = -0.5020887256224097e-13, (385, 3) = 0.11448679192548574e-12, (386, 1) = 0.23556669035144624e-12, (386, 2) = -0.5263488085106577e-13, (386, 3) = 0.1189003841999327e-12, (387, 1) = 0.2345850070600166e-12, (387, 2) = -0.52600496684197646e-13, (387, 3) = 0.11108912693895111e-12, (388, 1) = 0.2404159753062854e-12, (388, 2) = -0.5810207349354532e-13, (388, 3) = 0.11755333369917054e-12, (389, 1) = 0.2373067547235357e-12, (389, 2) = -0.5202094885882697e-13, (389, 3) = 0.11455187965808958e-12, (390, 1) = 0.23387136989533543e-12, (390, 2) = -0.5327699643447892e-13, (390, 3) = 0.11436882581930753e-12, (391, 1) = 0.23495984422294435e-12, (391, 2) = -0.5330615688768512e-13, (391, 3) = 0.11376918396559862e-12, (392, 1) = 0.23621059564919533e-12, (392, 2) = -0.5244643801651585e-13, (392, 3) = 0.11552137059869054e-12, (393, 1) = 0.236106217579916e-12, (393, 2) = -0.5385699189078367e-13, (393, 3) = 0.11806818769613408e-12, (394, 1) = 0.2353820940134997e-12, (394, 2) = -0.6030242966060386e-13, (394, 3) = 0.11095431045800213e-12, (395, 1) = 0.23649538349838824e-12, (395, 2) = -0.472939129927772e-13, (395, 3) = 0.11115581864255983e-12, (396, 1) = 0.2374694174698116e-12, (396, 2) = -0.54068946001341484e-13, (396, 3) = 0.1161610153910116e-12, (397, 1) = 0.23791191264149987e-12, (397, 2) = -0.55828416488154684e-13, (397, 3) = 0.11426813685025588e-12, (398, 1) = 0.23773233139749727e-12, (398, 2) = -0.6027068893821124e-13, (398, 3) = 0.1141514296153381e-12, (399, 1) = 0.23827214863010185e-12, (399, 2) = -0.527133192375701e-13, (399, 3) = 0.11216358402155171e-12, (400, 1) = 0.2345025732884252e-12, (400, 2) = -0.5512679298678497e-13, (400, 3) = 0.1134286522325504e-12, (401, 1) = 0.23774830778455004e-12, (401, 2) = -0.50898622139047525e-13, (401, 3) = 0.11356454725488648e-12, (402, 1) = 0.23717711006566724e-12, (402, 2) = -0.6028372916201224e-13, (402, 3) = 0.11964148797654934e-12, (403, 1) = 0.2371890775063883e-12, (403, 2) = -0.4674550477638314e-13, (403, 3) = 0.11005878489529539e-12, (404, 1) = 0.23448519460230693e-12, (404, 2) = -0.49790039958868465e-13, (404, 3) = 0.11242519014455948e-12, (405, 1) = 0.2375832790338195e-12, (405, 2) = -0.5610288310033765e-13, (405, 3) = 0.11150484161823622e-12, (406, 1) = 0.23676816978978245e-12, (406, 2) = -0.52480306340854695e-13, (406, 3) = 0.11721762585955766e-12, (407, 1) = 0.23755030831657905e-12, (407, 2) = -0.54427886944415185e-13, (407, 3) = 0.1161155126846555e-12, (408, 1) = 0.23632005796703447e-12, (408, 2) = -0.5769902570578569e-13, (408, 3) = 0.11361265003311625e-12, (409, 1) = 0.23360494662784436e-12, (409, 2) = -0.54717143174459514e-13, (409, 3) = 0.11206566904459923e-12, (410, 1) = 0.23481871804784864e-12, (410, 2) = -0.4791420889059667e-13, (410, 3) = 0.11832243022119435e-12, (411, 1) = 0.2369669381674418e-12, (411, 2) = -0.5786877542240563e-13, (411, 3) = 0.11788932324507297e-12, (412, 1) = 0.23339724662421546e-12, (412, 2) = -0.5863959103725533e-13, (412, 3) = 0.11678423988128987e-12, (413, 1) = 0.2340471932095105e-12, (413, 2) = -0.51725977921958586e-13, (413, 3) = 0.11252084035122889e-12, (414, 1) = 0.23531644481920947e-12, (414, 2) = -0.559305823763606e-13, (414, 3) = 0.1152786625893797e-12, (415, 1) = 0.2371552820691656e-12, (415, 2) = -0.5507344679293319e-13, (415, 3) = 0.11125170826645042e-12, (416, 1) = 0.2337836057996269e-12, (416, 2) = -0.5049509254587681e-13, (416, 3) = 0.11363705944618492e-12, (417, 1) = 0.2361528765238522e-12, (417, 2) = -0.55504993300960174e-13, (417, 3) = 0.1146459955168705e-12, (418, 1) = 0.23768738679073915e-12, (418, 2) = -0.51008887217215394e-13, (418, 3) = 0.11175115223640275e-12, (419, 1) = 0.23637491562751425e-12, (419, 2) = -0.5015482766248448e-13, (419, 3) = 0.11164197345209912e-12, (420, 1) = 0.23457872261892584e-12, (420, 2) = -0.55923527201924826e-13, (420, 3) = 0.11231864541246543e-12, (421, 1) = 0.2374861252114509e-12, (421, 2) = -0.50564828134532727e-13, (421, 3) = 0.1102041450404775e-12, (422, 1) = 0.2339133229829449e-12, (422, 2) = -0.5688248607726586e-13, (422, 3) = 0.11787553672922198e-12, (423, 1) = 0.23389061780589564e-12, (423, 2) = -0.5785419475877349e-13, (423, 3) = 0.11223385626168483e-12, (424, 1) = 0.23482351702306515e-12, (424, 2) = -0.5362804135497011e-13, (424, 3) = 0.11423572194496704e-12, (425, 1) = 0.2354555909444223e-12, (425, 2) = -0.54143470872830614e-13, (425, 3) = 0.1149560810441083e-12, (426, 1) = 0.2335402956245092e-12, (426, 2) = -0.5163937661703349e-13, (426, 3) = 0.10739342049372348e-12, (427, 1) = 0.23076877501203464e-12, (427, 2) = -0.568540537066011e-13, (427, 3) = 0.1140541525357981e-12, (428, 1) = 0.2365494010257713e-12, (428, 2) = -0.5635133350061018e-13, (428, 3) = 0.10890699469792407e-12, (429, 1) = 0.23496401153943746e-12, (429, 2) = -0.5254985738036184e-13, (429, 3) = 0.10919238892076331e-12, (430, 1) = 0.2336528106256973e-12, (430, 2) = -0.54004178835914706e-13, (430, 3) = 0.1184205991246397e-12, (431, 1) = 0.23240593702986197e-12, (431, 2) = -0.53389329572471923e-13, (431, 3) = 0.11509407126876203e-12, (432, 1) = 0.2340291393636964e-12, (432, 2) = -0.4865823431861811e-13, (432, 3) = 0.11363273429222151e-12, (433, 1) = 0.2348611702870361e-12, (433, 2) = -0.5346859033800128e-13, (433, 3) = 0.1159933853707812e-12, (434, 1) = 0.2333784513527428e-12, (434, 2) = -0.47170182409403905e-13, (434, 3) = 0.11357476101553282e-12, (435, 1) = 0.23083107108750225e-12, (435, 2) = -0.6145723155507898e-13, (435, 3) = 0.10938188676787576e-12, (436, 1) = 0.2347694763698251e-12, (436, 2) = -0.52573514958782934e-13, (436, 3) = 0.1093626327005894e-12, (437, 1) = 0.2339435646592107e-12, (437, 2) = -0.5710451842317626e-13, (437, 3) = 0.111672122982852e-12, (438, 1) = 0.2324559517319005e-12, (438, 2) = -0.50850159980096947e-13, (438, 3) = 0.10847960527941663e-12, (439, 1) = 0.23010395425188476e-12, (439, 2) = -0.5268740775546783e-13, (439, 3) = 0.11237942418634657e-12, (440, 1) = 0.23130900233680904e-12, (440, 2) = -0.52196201980927006e-13, (440, 3) = 0.11301765698914435e-12, (441, 1) = 0.23077155058820824e-12, (441, 2) = -0.53583350278371696e-13, (441, 3) = 0.1091794716421572e-12, (442, 1) = 0.2314877668593177e-12, (442, 2) = -0.53964690405159225e-13, (442, 3) = 0.11422663839111617e-12, (443, 1) = 0.2306464035178551e-12, (443, 2) = -0.5005622902380507e-13, (443, 3) = 0.11366236001000271e-12, (444, 1) = 0.2314461639290284e-12, (444, 2) = -0.47721780904380193e-13, (444, 3) = 0.1098162067931063e-12, (445, 1) = 0.23071704158926834e-12, (445, 2) = -0.48055254752452016e-13, (445, 3) = 0.1095179697948542e-12, (446, 1) = 0.2340454484303101e-12, (446, 2) = -0.5582187883699876e-13, (446, 3) = 0.11432024672961503e-12, (447, 1) = 0.2334229082611222e-12, (447, 2) = -0.5124648848505328e-13, (447, 3) = 0.10951310721600062e-12, (448, 1) = 0.23081318116348755e-12, (448, 2) = -0.5488073473734715e-13, (448, 3) = 0.11197290417092653e-12, (449, 1) = 0.2321191440014903e-12, (449, 2) = -0.44529875564232716e-13, (449, 3) = 0.11223371563399519e-12, (450, 1) = 0.23314373514934585e-12, (450, 2) = -0.4850934065985899e-13, (450, 3) = 0.1115512388359133e-12, (451, 1) = 0.2329510873671966e-12, (451, 2) = -0.4858122978992393e-13, (451, 3) = 0.1082537770367827e-12, (452, 1) = 0.22944366047165466e-12, (452, 2) = -0.5401549195918235e-13, (452, 3) = 0.10800369792619699e-12, (453, 1) = 0.23114058793601415e-12, (453, 2) = -0.49557494622042e-13, (453, 3) = 0.11155828975549822e-12, (454, 1) = 0.23345865334676804e-12, (454, 2) = -0.4796585534374354e-13, (454, 3) = 0.1136431485041926e-12, (455, 1) = 0.22993926054606313e-12, (455, 2) = -0.5473018949843703e-13, (455, 3) = 0.10981863062169733e-12, (456, 1) = 0.2327732058086656e-12, (456, 2) = -0.4780374135571439e-13, (456, 3) = 0.1160214703434792e-12, (457, 1) = 0.2312511022661197e-12, (457, 2) = -0.5000341860359584e-13, (457, 3) = 0.11656252969586347e-12, (458, 1) = 0.23113005019524373e-12, (458, 2) = -0.5281343790158953e-13, (458, 3) = 0.11413926002940193e-12, (459, 1) = 0.2306142231124593e-12, (459, 2) = -0.5821072843427625e-13, (459, 3) = 0.11041275782508626e-12, (460, 1) = 0.2307453709255514e-12, (460, 2) = -0.4659376927165697e-13, (460, 3) = 0.1101010862900502e-12, (461, 1) = 0.23346780894153864e-12, (461, 2) = -0.53421121930762645e-13, (461, 3) = 0.1140692013788719e-12, (462, 1) = 0.23238929802133337e-12, (462, 2) = -0.51581929990580703e-13, (462, 3) = 0.10963154208971105e-12, (463, 1) = 0.2312424121311241e-12, (463, 2) = -0.5159441695704143e-13, (463, 3) = 0.11543973782843628e-12, (464, 1) = 0.23079491071481865e-12, (464, 2) = -0.51401490728614415e-13, (464, 3) = 0.11447324299121087e-12, (465, 1) = 0.23554040245740906e-12, (465, 2) = -0.4473402401584265e-13, (465, 3) = 0.10944096752879959e-12, (466, 1) = 0.22843682598865387e-12, (466, 2) = -0.53238540443986474e-13, (466, 3) = 0.10921769355082398e-12, (467, 1) = 0.2335639304943307e-12, (467, 2) = -0.5000722646341112e-13, (467, 3) = 0.11329886391880513e-12, (468, 1) = 0.2327638119970633e-12, (468, 2) = -0.4947332153722494e-13, (468, 3) = 0.11059033647841676e-12, (469, 1) = 0.23011573255972664e-12, (469, 2) = -0.4866576658620474e-13, (469, 3) = 0.10656456797353875e-12, (470, 1) = 0.2323500201882706e-12, (470, 2) = -0.46648996484225505e-13, (470, 3) = 0.11075362150998113e-12, (471, 1) = 0.23009700387394584e-12, (471, 2) = -0.5315748649263537e-13, (471, 3) = 0.11417222769968917e-12, (472, 1) = 0.227568469285379e-12, (472, 2) = -0.5812655110118572e-13, (472, 3) = 0.11414420553880136e-12, (473, 1) = 0.231791355820467e-12, (473, 2) = -0.5001899186223794e-13, (473, 3) = 0.11309673570976401e-12, (474, 1) = 0.23100576728889735e-12, (474, 2) = -0.48180594157910096e-13, (474, 3) = 0.11185598984599984e-12, (475, 1) = 0.2290094283959586e-12, (475, 2) = -0.4494140363484409e-13, (475, 3) = 0.11079223765956646e-12, (476, 1) = 0.2295166342932612e-12, (476, 2) = -0.4878395579238571e-13, (476, 3) = 0.11237021021030951e-12, (477, 1) = 0.23099415633993235e-12, (477, 2) = -0.4799368492493404e-13, (477, 3) = 0.11418859537490376e-12, (478, 1) = 0.23154340315112913e-12, (478, 2) = -0.5407814767602145e-13, (478, 3) = 0.10732807569815088e-12, (479, 1) = 0.2288105726252543e-12, (479, 2) = -0.49226673234091275e-13, (479, 3) = 0.11415692411312686e-12, (480, 1) = 0.2280309321056252e-12, (480, 2) = -0.5178942552190098e-13, (480, 3) = 0.10879720843704738e-12, (481, 1) = 0.22717873797598956e-12, (481, 2) = -0.5239946995872466e-13, (481, 3) = 0.11881348010865354e-12, (482, 1) = 0.22620218576186438e-12, (482, 2) = -0.5444599654238819e-13, (482, 3) = 0.11388528944303215e-12, (483, 1) = 0.22654466401897763e-12, (483, 2) = -0.565217168601605e-13, (483, 3) = 0.11412367766585163e-12, (484, 1) = 0.2299514799448639e-12, (484, 2) = -0.50691602410290645e-13, (484, 3) = 0.10879379140873645e-12, (485, 1) = 0.2280206290267102e-12, (485, 2) = -0.50657389058980756e-13, (485, 3) = 0.1153331285708772e-12, (486, 1) = 0.2289546877697484e-12, (486, 2) = -0.51231540069485715e-13, (486, 3) = 0.11615505668471126e-12, (487, 1) = 0.22854351737057714e-12, (487, 2) = -0.487965220495586e-13, (487, 3) = 0.10956754498861758e-12, (488, 1) = 0.23133701541905197e-12, (488, 2) = -0.48461478118021286e-13, (488, 3) = 0.11491484415870331e-12, (489, 1) = 0.22666088790476322e-12, (489, 2) = -0.54652830191991346e-13, (489, 3) = 0.11666620699654472e-12, (490, 1) = 0.2313219927182265e-12, (490, 2) = -0.5315405547928367e-13, (490, 3) = 0.11617606614029517e-12, (491, 1) = 0.2298089311205195e-12, (491, 2) = -0.4544279760270948e-13, (491, 3) = 0.12004506672446658e-12, (492, 1) = 0.22695496315314179e-12, (492, 2) = -0.46006405131008114e-13, (492, 3) = 0.11239691827964659e-12, (493, 1) = 0.22764514508528056e-12, (493, 2) = -0.463352537035797e-13, (493, 3) = 0.11465673977836646e-12, (494, 1) = 0.2279672013487214e-12, (494, 2) = -0.5504305226799211e-13, (494, 3) = 0.11577205625387667e-12, (495, 1) = 0.22873102953906744e-12, (495, 2) = -0.52534404612045654e-13, (495, 3) = 0.11233618258328768e-12, (496, 1) = 0.22627601418878918e-12, (496, 2) = -0.4763220616180004e-13, (496, 3) = 0.1212998609958744e-12, (497, 1) = 0.2287787924789972e-12, (497, 2) = -0.508475690019183e-13, (497, 3) = 0.11952556478052424e-12, (498, 1) = 0.2273257915618607e-12, (498, 2) = -0.48734312553356287e-13, (498, 3) = 0.11698259040867e-12, (499, 1) = 0.22903629748005796e-12, (499, 2) = -0.5019958785723336e-13, (499, 3) = 0.11759798497670967e-12, (500, 1) = 0.22895399743758544e-12, (500, 2) = -0.5326347089902054e-13, (500, 3) = 0.12034807352902085e-12, (501, 1) = 0.2310841535250731e-12, (501, 2) = -0.5341828132595589e-13, (501, 3) = 0.11257420854531171e-12, (502, 1) = 0.22664701819187065e-12, (502, 2) = -0.50240815288277436e-13, (502, 3) = 0.11724791720618087e-12, (503, 1) = 0.22778615974961127e-12, (503, 2) = -0.5180935967314703e-13, (503, 3) = 0.11740261497151523e-12, (504, 1) = 0.22764631751584455e-12, (504, 2) = -0.55884944850648086e-13, (504, 3) = 0.1174672465591146e-12, (505, 1) = 0.2288935112195495e-12, (505, 2) = -0.4806491772198127e-13, (505, 3) = 0.12007565011296043e-12, (506, 1) = 0.22757906613657985e-12, (506, 2) = -0.52979822252265915e-13, (506, 3) = 0.11569842409488556e-12, (507, 1) = 0.2283912518123962e-12, (507, 2) = -0.5236503142114037e-13, (507, 3) = 0.11513675382290453e-12, (508, 1) = 0.22651610071494673e-12, (508, 2) = -0.44277734609419106e-13, (508, 3) = 0.11752883490946428e-12, (509, 1) = 0.2277524180412672e-12, (509, 2) = -0.4731806388935256e-13, (509, 3) = 0.11558739591046805e-12, (510, 1) = 0.22661907275915143e-12, (510, 2) = -0.5027848869879109e-13, (510, 3) = 0.116673395466765e-12, (511, 1) = 0.2289667214720975e-12, (511, 2) = -0.4765039328951351e-13, (511, 3) = 0.11425664753689713e-12, (512, 1) = 0.22959617517128103e-12, (512, 2) = -0.4939153141214729e-13, (512, 3) = 0.1170984452811848e-12, (513, 1) = 0.23008741412063807e-12, (513, 2) = -0.4683532186005807e-13, (513, 3) = 0.1165611274978881e-12, (514, 1) = 0.2283900108059328e-12, (514, 2) = -0.4882241917151987e-13, (514, 3) = 0.11814669227955382e-12, (515, 1) = 0.22627317688214214e-12, (515, 2) = -0.5351818761376056e-13, (515, 3) = 0.11898531626282e-12, (516, 1) = 0.23044804583661214e-12, (516, 2) = -0.4616521965037464e-13, (516, 3) = 0.1190843568428693e-12, (517, 1) = 0.22622112526818084e-12, (517, 2) = -0.4424919311800689e-13, (517, 3) = 0.11801273418163084e-12, (518, 1) = 0.22746259613680154e-12, (518, 2) = -0.53466109910888106e-13, (518, 3) = 0.1168296948951524e-12, (519, 1) = 0.22734461524644646e-12, (519, 2) = -0.4451330657293059e-13, (519, 3) = 0.12034555933064362e-12, (520, 1) = 0.22835781724766517e-12, (520, 2) = -0.4425205043361009e-13, (520, 3) = 0.11855970699215512e-12, (521, 1) = 0.22701628416689393e-12, (521, 2) = -0.4911357331419931e-13, (521, 3) = 0.1174136943213166e-12, (522, 1) = 0.2276573236169647e-12, (522, 2) = -0.5207763242019787e-13, (522, 3) = 0.12044626147106128e-12, (523, 1) = 0.22846010660893704e-12, (523, 2) = -0.51830880395346596e-13, (523, 3) = 0.12308831800923058e-12, (524, 1) = 0.22600222866437527e-12, (524, 2) = -0.54579935339877135e-13, (524, 3) = 0.11922149367206216e-12, (525, 1) = 0.22823861897794713e-12, (525, 2) = -0.50353142980065015e-13, (525, 3) = 0.11958569620309232e-12, (526, 1) = 0.2288867212073827e-12, (526, 2) = -0.42207125595148446e-13, (526, 3) = 0.12155652020235525e-12, (527, 1) = 0.22739535099342813e-12, (527, 2) = -0.4550954051245635e-13, (527, 3) = 0.11722173531487347e-12, (528, 1) = 0.22822233207479883e-12, (528, 2) = -0.4574935012874453e-13, (528, 3) = 0.12100694096469583e-12, (529, 1) = 0.22846214347415495e-12, (529, 2) = -0.5195703151079249e-13, (529, 3) = 0.12114284688138597e-12, (530, 1) = 0.2291053243934898e-12, (530, 2) = -0.47376732766992006e-13, (530, 3) = 0.12246974035944572e-12, (531, 1) = 0.22336834613964678e-12, (531, 2) = -0.499170811193001e-13, (531, 3) = 0.12217699463333574e-12, (532, 1) = 0.22595231297729978e-12, (532, 2) = -0.45958991700396925e-13, (532, 3) = 0.12200401415200086e-12, (533, 1) = 0.22396738394403684e-12, (533, 2) = -0.4975301406844562e-13, (533, 3) = 0.12252243894214384e-12, (534, 1) = 0.22692774483956533e-12, (534, 2) = -0.4483152067841043e-13, (534, 3) = 0.12359859064046076e-12, (535, 1) = 0.22528291724417542e-12, (535, 2) = -0.43827946488067824e-13, (535, 3) = 0.1240118069995745e-12, (536, 1) = 0.2257427736632452e-12, (536, 2) = -0.4848586204755394e-13, (536, 3) = 0.1234783219884965e-12, (537, 1) = 0.22302396139760393e-12, (537, 2) = -0.53023545754219634e-13, (537, 3) = 0.12154326605207336e-12, (538, 1) = 0.22698362625794557e-12, (538, 2) = -0.4779734265217904e-13, (538, 3) = 0.12404153298534954e-12, (539, 1) = 0.2250925474032432e-12, (539, 2) = -0.477697586415658e-13, (539, 3) = 0.12270657297967798e-12, (540, 1) = 0.22572473917175555e-12, (540, 2) = -0.5010784481905833e-13, (540, 3) = 0.1229362082078411e-12, (541, 1) = 0.22397532527195489e-12, (541, 2) = -0.42925785544407377e-13, (541, 3) = 0.1242142999229026e-12, (542, 1) = 0.2214541931967635e-12, (542, 2) = -0.5005894453501172e-13, (542, 3) = 0.12796679067136124e-12, (543, 1) = 0.22569494831149405e-12, (543, 2) = -0.4843550213912026e-13, (543, 3) = 0.12703127536499882e-12, (544, 1) = 0.22252625691645602e-12, (544, 2) = -0.4599007841643082e-13, (544, 3) = 0.12707792526996091e-12, (545, 1) = 0.2294662804755628e-12, (545, 2) = -0.4857724478873535e-13, (545, 3) = 0.12586238180076124e-12, (546, 1) = 0.2266049719278102e-12, (546, 2) = -0.457031937320031e-13, (546, 3) = 0.12379939021675672e-12, (547, 1) = 0.22657642928894045e-12, (547, 2) = -0.4747896756027844e-13, (547, 3) = 0.12568224817187997e-12, (548, 1) = 0.22298730607409079e-12, (548, 2) = -0.47503193840364844e-13, (548, 3) = 0.12739613307999898e-12, (549, 1) = 0.2294216031271121e-12, (549, 2) = -0.4458659974839e-13, (549, 3) = 0.12602969103675936e-12, (550, 1) = 0.22504200566178935e-12, (550, 2) = -0.44144091977639224e-13, (550, 3) = 0.12633964255163518e-12, (551, 1) = 0.22606116412494498e-12, (551, 2) = -0.4385072643154928e-13, (551, 3) = 0.125475144295636e-12, (552, 1) = 0.2208984526992458e-12, (552, 2) = -0.50034596774958085e-13, (552, 3) = 0.12874519896004259e-12, (553, 1) = 0.22319375647582998e-12, (553, 2) = -0.4623867584187574e-13, (553, 3) = 0.13050713909326232e-12, (554, 1) = 0.2232859704501732e-12, (554, 2) = -0.4356086253979941e-13, (554, 3) = 0.13138923163334888e-12, (555, 1) = 0.2227078105304769e-12, (555, 2) = -0.4875561573171113e-13, (555, 3) = 0.12860711258168734e-12, (556, 1) = 0.2190981907756884e-12, (556, 2) = -0.4474093927707578e-13, (556, 3) = 0.12694153068894858e-12, (557, 1) = 0.23048119174300985e-12, (557, 2) = -0.4558205791997822e-13, (557, 3) = 0.13222699153668257e-12, (558, 1) = 0.22549311469561052e-12, (558, 2) = -0.4438547068104921e-13, (558, 3) = 0.13156338424860187e-12, (559, 1) = 0.22506949283724035e-12, (559, 2) = -0.48188564914029807e-13, (559, 3) = 0.13207981299898017e-12, (560, 1) = 0.22032761606451537e-12, (560, 2) = -0.46235872552459883e-13, (560, 3) = 0.13214989967978471e-12, (561, 1) = 0.2264944339894921e-12, (561, 2) = -0.5002779366805869e-13, (561, 3) = 0.1332751933261741e-12, (562, 1) = 0.2221270472400274e-12, (562, 2) = -0.410743902710138e-13, (562, 3) = 0.13015752506490678e-12, (563, 1) = 0.22929233758259584e-12, (563, 2) = -0.4686373817075945e-13, (563, 3) = 0.13419322355168374e-12, (564, 1) = 0.2300157314961048e-12, (564, 2) = -0.44324025727836735e-13, (564, 3) = 0.1313622551992469e-12, (565, 1) = 0.2254258162345105e-12, (565, 2) = -0.4568086745532288e-13, (565, 3) = 0.1343650515174201e-12, (566, 1) = 0.22473322742952555e-12, (566, 2) = -0.4860137363728237e-13, (566, 3) = 0.1374346923250691e-12, (567, 1) = 0.22094634246282787e-12, (567, 2) = -0.4639329957535705e-13, (567, 3) = 0.13746506270905263e-12, (568, 1) = 0.22392390327380025e-12, (568, 2) = -0.5373361304831559e-13, (568, 3) = 0.13432936123307621e-12, (569, 1) = 0.21660000524974324e-12, (569, 2) = -0.42841099227508465e-13, (569, 3) = 0.13807186422474496e-12, (570, 1) = 0.21625597760300524e-12, (570, 2) = -0.4021167344855287e-13, (570, 3) = 0.13336890086421238e-12, (571, 1) = 0.2241196948020629e-12, (571, 2) = -0.4666244073379579e-13, (571, 3) = 0.13369378515992114e-12, (572, 1) = 0.22003383058075582e-12, (572, 2) = -0.4846268221106163e-13, (572, 3) = 0.1373464900533295e-12, (573, 1) = 0.22390835104882262e-12, (573, 2) = -0.4848633069276629e-13, (573, 3) = 0.14114898973001366e-12, (574, 1) = 0.2287950819004711e-12, (574, 2) = -0.44292306240831644e-13, (574, 3) = 0.13848427903653663e-12, (575, 1) = 0.2212048220110033e-12, (575, 2) = -0.4372832073410767e-13, (575, 3) = 0.13683054893423309e-12, (576, 1) = 0.2228853209008067e-12, (576, 2) = -0.4620355102745409e-13, (576, 3) = 0.13858772894332545e-12, (577, 1) = 0.22207084462571885e-12, (577, 2) = -0.5027704139509894e-13, (577, 3) = 0.1388819631798925e-12, (578, 1) = 0.22286983232856182e-12, (578, 2) = -0.4142982065344466e-13, (578, 3) = 0.14146648443566814e-12, (579, 1) = 0.22064552055649356e-12, (579, 2) = -0.4113627560849588e-13, (579, 3) = 0.14250454142220306e-12, (580, 1) = 0.2294325361291249e-12, (580, 2) = -0.5243976200622718e-13, (580, 3) = 0.1422127871151166e-12, (581, 1) = 0.22350869011697933e-12, (581, 2) = -0.4806792092073815e-13, (581, 3) = 0.1449382344591751e-12, (582, 1) = 0.21772672057219063e-12, (582, 2) = -0.4127119710989359e-13, (582, 3) = 0.14583203051577258e-12, (583, 1) = 0.22571449947142849e-12, (583, 2) = -0.407839085541773e-13, (583, 3) = 0.14542445623238265e-12, (584, 1) = 0.2252809758299032e-12, (584, 2) = -0.4591504265689688e-13, (584, 3) = 0.1445706836448743e-12, (585, 1) = 0.22239915894134674e-12, (585, 2) = -0.4647310365266033e-13, (585, 3) = 0.15087895277967742e-12, (586, 1) = 0.22031312310284083e-12, (586, 2) = -0.4254203326753703e-13, (586, 3) = 0.14962237423936724e-12, (587, 1) = 0.21946098253924653e-12, (587, 2) = -0.5002228581381222e-13, (587, 3) = 0.14312473362794237e-12, (588, 1) = 0.2225504733745168e-12, (588, 2) = -0.4679786185581336e-13, (588, 3) = 0.14804088627954855e-12, (589, 1) = 0.2210518808390902e-12, (589, 2) = -0.4742429915051486e-13, (589, 3) = 0.1440281127555716e-12, (590, 1) = 0.21814915318673787e-12, (590, 2) = -0.5097484398516323e-13, (590, 3) = 0.14937368374322516e-12, (591, 1) = 0.2278238176735952e-12, (591, 2) = -0.4877755999937086e-13, (591, 3) = 0.14815401067722588e-12, (592, 1) = 0.22176304092116986e-12, (592, 2) = -0.4509130401330893e-13, (592, 3) = 0.14901789551057735e-12, (593, 1) = 0.22175208061914584e-12, (593, 2) = -0.3847329786163314e-13, (593, 3) = 0.15242305609365213e-12, (594, 1) = 0.22095117560524428e-12, (594, 2) = -0.4632763795694509e-13, (594, 3) = 0.1479774720252359e-12, (595, 1) = 0.22473407548317662e-12, (595, 2) = -0.38170885587775024e-13, (595, 3) = 0.15359069471861353e-12, (596, 1) = 0.2217696152857638e-12, (596, 2) = -0.4820512942388602e-13, (596, 3) = 0.152442506472694e-12, (597, 1) = 0.2213706025598709e-12, (597, 2) = -0.4381640713384648e-13, (597, 3) = 0.15337876514884582e-12, (598, 1) = 0.22094409286659317e-12, (598, 2) = -0.4443116386603141e-13, (598, 3) = 0.15605321751310974e-12, (599, 1) = 0.22174027978672296e-12, (599, 2) = -0.44226032145267555e-13, (599, 3) = 0.15628961222898333e-12, (600, 1) = 0.21908375579199587e-12, (600, 2) = -0.50062012498740496e-13, (600, 3) = 0.15779957909644003e-12, (601, 1) = 0.21584270823532398e-12, (601, 2) = -0.4126645055176445e-13, (601, 3) = 0.16000458701708977e-12, (602, 1) = 0.22645284179999793e-12, (602, 2) = -0.4475382600492977e-13, (602, 3) = 0.15550231613116175e-12, (603, 1) = 0.2222096008526445e-12, (603, 2) = -0.4573575754759336e-13, (603, 3) = 0.15956246884151942e-12, (604, 1) = 0.22281923030713279e-12, (604, 2) = -0.5057848397470466e-13, (604, 3) = 0.16020244207902795e-12, (605, 1) = 0.21876555422907126e-12, (605, 2) = -0.4060508007085992e-13, (605, 3) = 0.16216537481468126e-12, (606, 1) = 0.22477410625404115e-12, (606, 2) = -0.4305627305357372e-13, (606, 3) = 0.16333048465965567e-12, (607, 1) = 0.22354624536626648e-12, (607, 2) = -0.49517335486444255e-13, (607, 3) = 0.16124342013221528e-12, (608, 1) = 0.21848949546595937e-12, (608, 2) = -0.4579297830913245e-13, (608, 3) = 0.1643248260821727e-12, (609, 1) = 0.22049136291298363e-12, (609, 2) = -0.4426395777517162e-13, (609, 3) = 0.1666287732722129e-12, (610, 1) = 0.22008706294532674e-12, (610, 2) = -0.5012371539348817e-13, (610, 3) = 0.1689023139410585e-12, (611, 1) = 0.2175527140127889e-12, (611, 2) = -0.42268675236565746e-13, (611, 3) = 0.1645849138235246e-12, (612, 1) = 0.21733679513051608e-12, (612, 2) = -0.3965722519819963e-13, (612, 3) = 0.1697503344081302e-12, (613, 1) = 0.2206133836222608e-12, (613, 2) = -0.44849574806264654e-13, (613, 3) = 0.16768491322253467e-12, (614, 1) = 0.2280302501229934e-12, (614, 2) = -0.4100134220505002e-13, (614, 3) = 0.16918043275381366e-12, (615, 1) = 0.21468108499544586e-12, (615, 2) = -0.5091424638586168e-13, (615, 3) = 0.17350642991717716e-12, (616, 1) = 0.21719718821215093e-12, (616, 2) = -0.34723034276456026e-13, (616, 3) = 0.16925828055322662e-12, (617, 1) = 0.21725602047671221e-12, (617, 2) = -0.39947234163098484e-13, (617, 3) = 0.16991763199922393e-12, (618, 1) = 0.21881497968930557e-12, (618, 2) = -0.4149195997492658e-13, (618, 3) = 0.17279866445862287e-12, (619, 1) = 0.2152197607260469e-12, (619, 2) = -0.5156874845493562e-13, (619, 3) = 0.17716735120750225e-12, (620, 1) = 0.22044708719856728e-12, (620, 2) = -0.45040236400132104e-13, (620, 3) = 0.17644273091045174e-12, (621, 1) = 0.21736147108620434e-12, (621, 2) = -0.4063516063657858e-13, (621, 3) = 0.17308998997225634e-12, (622, 1) = 0.2165227605711237e-12, (622, 2) = -0.4454875680246982e-13, (622, 3) = 0.17598939071822485e-12, (623, 1) = 0.21593931090045185e-12, (623, 2) = -0.38666201581575456e-13, (623, 3) = 0.17907570201873209e-12, (624, 1) = 0.21485017464963117e-12, (624, 2) = -0.39368644039040396e-13, (624, 3) = 0.1780131521208954e-12, (625, 1) = 0.22229190947098157e-12, (625, 2) = -0.40010940682134644e-13, (625, 3) = 0.18047004700884702e-12, (626, 1) = 0.21449680537422027e-12, (626, 2) = -0.409892213579826e-13, (626, 3) = 0.18217067964422343e-12, (627, 1) = 0.2196765635598131e-12, (627, 2) = -0.4042291289594175e-13, (627, 3) = 0.18404115994384753e-12, (628, 1) = 0.2165573929416815e-12, (628, 2) = -0.44084302747179825e-13, (628, 3) = 0.18420728657201986e-12, (629, 1) = 0.21584709347500955e-12, (629, 2) = -0.3567521304305198e-13, (629, 3) = 0.19029122612338947e-12, (630, 1) = 0.22178427558294048e-12, (630, 2) = -0.3803820374576322e-13, (630, 3) = 0.18578781327583035e-12, (631, 1) = 0.22253296591261327e-12, (631, 2) = -0.45727730512483326e-13, (631, 3) = 0.1910094947420775e-12, (632, 1) = 0.22156470495915048e-12, (632, 2) = -0.4323206468395666e-13, (632, 3) = 0.1926217036959414e-12, (633, 1) = 0.21545898398881603e-12, (633, 2) = -0.43502196172266105e-13, (633, 3) = 0.1917340227204097e-12, (634, 1) = 0.21824140026996763e-12, (634, 2) = -0.3622259750330615e-13, (634, 3) = 0.1915049214127798e-12, (635, 1) = 0.2207693535554344e-12, (635, 2) = -0.4360634071215448e-13, (635, 3) = 0.19559173995411757e-12, (636, 1) = 0.22317758301147004e-12, (636, 2) = -0.36874981369164933e-13, (636, 3) = 0.19526704005908315e-12, (637, 1) = 0.21910117908337777e-12, (637, 2) = -0.38962342940030175e-13, (637, 3) = 0.19501359661746953e-12, (638, 1) = 0.2190150600957258e-12, (638, 2) = -0.49656470859698745e-13, (638, 3) = 0.1979103055976426e-12, (639, 1) = 0.22303979580609682e-12, (639, 2) = -0.4048381873552253e-13, (639, 3) = 0.19693633237382464e-12, (640, 1) = 0.22115789827026963e-12, (640, 2) = -0.4440732614090614e-13, (640, 3) = 0.20468176376800823e-12, (641, 1) = 0.21181258596708575e-12, (641, 2) = -0.3305453237964762e-13, (641, 3) = 0.1991271142577703e-12, (642, 1) = 0.21556525704237294e-12, (642, 2) = -0.38568245161724936e-13, (642, 3) = 0.20211901476461548e-12, (643, 1) = 0.2256134589919748e-12, (643, 2) = -0.3964036726234123e-13, (643, 3) = 0.20896190244237065e-12, (644, 1) = 0.2099790858235571e-12, (644, 2) = -0.38304607761861865e-13, (644, 3) = 0.20719114219819486e-12, (645, 1) = 0.21677257840577197e-12, (645, 2) = -0.43593304318373115e-13, (645, 3) = 0.20963884371426775e-12, (646, 1) = 0.2244403087691447e-12, (646, 2) = -0.3928909379613371e-13, (646, 3) = 0.21213853550555956e-12, (647, 1) = 0.21896306365447187e-12, (647, 2) = -0.4100191129141246e-13, (647, 3) = 0.21067019999033815e-12, (648, 1) = 0.22330330247343962e-12, (648, 2) = -0.45943402563459026e-13, (648, 3) = 0.21381950072679636e-12, (649, 1) = 0.21198367747226897e-12, (649, 2) = -0.4114457874413389e-13, (649, 3) = 0.21351897491646003e-12, (650, 1) = 0.21281366102494092e-12, (650, 2) = -0.4025166557690085e-13, (650, 3) = 0.22171372014394738e-12, (651, 1) = 0.22041031853408205e-12, (651, 2) = -0.4655914687868612e-13, (651, 3) = 0.21922300289026707e-12, (652, 1) = 0.2195866733312319e-12, (652, 2) = -0.4462360950522094e-13, (652, 3) = 0.21968728650296607e-12, (653, 1) = 0.21924083498784974e-12, (653, 2) = -0.408683245412626e-13, (653, 3) = 0.22364712913127617e-12, (654, 1) = 0.2127919519122255e-12, (654, 2) = -0.3894245439545303e-13, (654, 3) = 0.22524444309089119e-12, (655, 1) = 0.21213045328627746e-12, (655, 2) = -0.41913502584728387e-13, (655, 3) = 0.2229762397541465e-12, (656, 1) = 0.21713770803512297e-12, (656, 2) = -0.4375893782968666e-13, (656, 3) = 0.228446024445405e-12, (657, 1) = 0.2188890601711166e-12, (657, 2) = -0.4384575735637458e-13, (657, 3) = 0.22853040190068507e-12, (658, 1) = 0.22023973274071896e-12, (658, 2) = -0.4010116141326291e-13, (658, 3) = 0.23020075130852753e-12, (659, 1) = 0.2161703274374175e-12, (659, 2) = -0.3605637014588866e-13, (659, 3) = 0.2354611625367492e-12, (660, 1) = 0.21262056062847236e-12, (660, 2) = -0.3613458097488727e-13, (660, 3) = 0.24106692260962513e-12, (661, 1) = 0.2197875330460057e-12, (661, 2) = -0.44232361433519276e-13, (661, 3) = 0.24001318475405307e-12, (662, 1) = 0.2088544323416023e-12, (662, 2) = -0.37096531739554714e-13, (662, 3) = 0.23915934109132916e-12, (663, 1) = 0.21884451218559575e-12, (663, 2) = -0.390451601035144e-13, (663, 3) = 0.2433409955495569e-12, (664, 1) = 0.21547361842364075e-12, (664, 2) = -0.3872120472265055e-13, (664, 3) = 0.2484153635877697e-12, (665, 1) = 0.21448630454856523e-12, (665, 2) = -0.36112321412018424e-13, (665, 3) = 0.24613813456265654e-12, (666, 1) = 0.22009977452602333e-12, (666, 2) = -0.38932763474932514e-13, (666, 3) = 0.25331478741929273e-12, (667, 1) = 0.2132089732799766e-12, (667, 2) = -0.43223989159075404e-13, (667, 3) = 0.25426592951786664e-12, (668, 1) = 0.21698798170137438e-12, (668, 2) = -0.3580273178303049e-13, (668, 3) = 0.25406898796385987e-12, (669, 1) = 0.21790770453068792e-12, (669, 2) = -0.46857096540533305e-13, (669, 3) = 0.25950269600903863e-12, (670, 1) = 0.21252264344308598e-12, (670, 2) = -0.4529222255222826e-13, (670, 3) = 0.2625233129269032e-12, (671, 1) = 0.2166600849086315e-12, (671, 2) = -0.3573174779912764e-13, (671, 3) = 0.2629650339364714e-12, (672, 1) = 0.20511196095887158e-12, (672, 2) = -0.4433525993274737e-13, (672, 3) = 0.26632793307376367e-12, (673, 1) = 0.2153965809468868e-12, (673, 2) = -0.4456404877829844e-13, (673, 3) = 0.2663933198675058e-12, (674, 1) = 0.21628786080120065e-12, (674, 2) = -0.400709871694335e-13, (674, 3) = 0.2696105588551632e-12, (675, 1) = 0.20954743869164698e-12, (675, 2) = -0.41748776753888503e-13, (675, 3) = 0.2754995281403471e-12, (676, 1) = 0.21425395326415224e-12, (676, 2) = -0.4609562263924798e-13, (676, 3) = 0.27558012996209205e-12, (677, 1) = 0.21710614903357945e-12, (677, 2) = -0.399619990643695e-13, (677, 3) = 0.2763400289205473e-12, (678, 1) = 0.21070407929016506e-12, (678, 2) = -0.3639591902478194e-13, (678, 3) = 0.2839090516261581e-12, (679, 1) = 0.21187357740596897e-12, (679, 2) = -0.42558531718228486e-13, (679, 3) = 0.28459264440840665e-12, (680, 1) = 0.21621481254085042e-12, (680, 2) = -0.4200576425068962e-13, (680, 3) = 0.28738132204879985e-12, (681, 1) = 0.210726667631048e-12, (681, 2) = -0.41936099598559594e-13, (681, 3) = 0.29448580569919393e-12, (682, 1) = 0.21178973597151654e-12, (682, 2) = -0.4031594669420198e-13, (682, 3) = 0.29525599974123677e-12, (683, 1) = 0.20820647030839397e-12, (683, 2) = -0.36620755718112346e-13, (683, 3) = 0.29361857177102086e-12, (684, 1) = 0.21423683591105417e-12, (684, 2) = -0.3771916283006107e-13, (684, 3) = 0.2992939597864038e-12, (685, 1) = 0.21024656852072012e-12, (685, 2) = -0.3560394550092041e-13, (685, 3) = 0.30260426235751464e-12, (686, 1) = 0.21606101938754133e-12, (686, 2) = -0.36019529723365644e-13, (686, 3) = 0.30938358572884126e-12, (687, 1) = 0.20812709652790825e-12, (687, 2) = -0.4792874124345644e-13, (687, 3) = 0.31074375731301594e-12, (688, 1) = 0.2211933029020442e-12, (688, 2) = -0.3814463179590775e-13, (688, 3) = 0.31497161946793723e-12, (689, 1) = 0.21049078177354246e-12, (689, 2) = -0.36868014234988754e-13, (689, 3) = 0.3206559769970469e-12, (690, 1) = 0.21180988373076137e-12, (690, 2) = -0.4285095373259513e-13, (690, 3) = 0.32365252085543015e-12, (691, 1) = 0.21028884108541587e-12, (691, 2) = -0.41356333538370264e-13, (691, 3) = 0.3244976029704365e-12, (692, 1) = 0.2137944574913277e-12, (692, 2) = -0.3994618779971438e-13, (692, 3) = 0.3310200008232885e-12, (693, 1) = 0.2113348477882084e-12, (693, 2) = -0.4584927541453575e-13, (693, 3) = 0.3343682967124306e-12, (694, 1) = 0.21898406443857515e-12, (694, 2) = -0.4052591420486078e-13, (694, 3) = 0.33838030151838537e-12, (695, 1) = 0.21595294418770397e-12, (695, 2) = -0.41451964022920583e-13, (695, 3) = 0.3411804900548763e-12, (696, 1) = 0.20997447726078182e-12, (696, 2) = -0.45528448095777614e-13, (696, 3) = 0.3462065758124523e-12, (697, 1) = 0.20827734120248503e-12, (697, 2) = -0.36066962578035066e-13, (697, 3) = 0.3467578332061184e-12, (698, 1) = 0.2126733158045318e-12, (698, 2) = -0.403675684799229e-13, (698, 3) = 0.3550642049992498e-12, (699, 1) = 0.21517835609034383e-12, (699, 2) = -0.4352660204241252e-13, (699, 3) = 0.35701161508084136e-12, (700, 1) = 0.2106446210560821e-12, (700, 2) = -0.40530155616578817e-13, (700, 3) = 0.364258164690277e-12, (701, 1) = 0.21438941716380317e-12, (701, 2) = -0.39657728115591994e-13, (701, 3) = 0.36752785098140034e-12, (702, 1) = 0.21202683450626928e-12, (702, 2) = -0.3870500620532761e-13, (702, 3) = 0.37451866787863e-12, (703, 1) = 0.21462044330638512e-12, (703, 2) = -0.4698709301214019e-13, (703, 3) = 0.3763837384321621e-12, (704, 1) = 0.2128744487989034e-12, (704, 2) = -0.38442790838459923e-13, (704, 3) = 0.38466968192381594e-12, (705, 1) = 0.20975449606010233e-12, (705, 2) = -0.4211888844649634e-13, (705, 3) = 0.38752855089891873e-12, (706, 1) = 0.21171505094433449e-12, (706, 2) = -0.35131741893752464e-13, (706, 3) = 0.39464428217048084e-12, (707, 1) = 0.20766966457148507e-12, (707, 2) = -0.3647801459119563e-13, (707, 3) = 0.39969790268595845e-12, (708, 1) = 0.21101481362845394e-12, (708, 2) = -0.3688570327903805e-13, (708, 3) = 0.40303522541868187e-12, (709, 1) = 0.2116890639412909e-12, (709, 2) = -0.3943385176083e-13, (709, 3) = 0.4064051509115737e-12, (710, 1) = 0.20992347513166355e-12, (710, 2) = -0.36394104603998473e-13, (710, 3) = 0.4115784614130071e-12, (711, 1) = 0.20717602441417395e-12, (711, 2) = -0.41905573888847495e-13, (711, 3) = 0.4160768444004062e-12, (712, 1) = 0.21477173377812696e-12, (712, 2) = -0.3851067467188571e-13, (712, 3) = 0.42416748366592316e-12, (713, 1) = 0.206389585860977e-12, (713, 2) = -0.3692193147030786e-13, (713, 3) = 0.43331092596304915e-12, (714, 1) = 0.20859688173915188e-12, (714, 2) = -0.41785151948400513e-13, (714, 3) = 0.43805373834799243e-12, (715, 1) = 0.2057534670680336e-12, (715, 2) = -0.4185151297029078e-13, (715, 3) = 0.44692914108505364e-12, (716, 1) = 0.20780416854753042e-12, (716, 2) = -0.4094759457292339e-13, (716, 3) = 0.44977197092188875e-12, (717, 1) = 0.21241852221715333e-12, (717, 2) = -0.43823845367539306e-13, (717, 3) = 0.4607410650298433e-12, (718, 1) = 0.20303020226960092e-12, (718, 2) = -0.3243062223761647e-13, (718, 3) = 0.4653678140063528e-12, (719, 1) = 0.20735597596001904e-12, (719, 2) = -0.3773280104823325e-13, (719, 3) = 0.4682246806598122e-12, (720, 1) = 0.2049649765252359e-12, (720, 2) = -0.41607194818088744e-13, (720, 3) = 0.4761285327789377e-12, (721, 1) = 0.2109865521329305e-12, (721, 2) = -0.36186557056595144e-13, (721, 3) = 0.4816298382485065e-12, (722, 1) = 0.20653036028357547e-12, (722, 2) = -0.3843245269521382e-13, (722, 3) = 0.4914789930852076e-12, (723, 1) = 0.2077036919823938e-12, (723, 2) = -0.3682853426920801e-13, (723, 3) = 0.500463357219655e-12, (724, 1) = 0.20759238306038508e-12, (724, 2) = -0.3832159280701726e-13, (724, 3) = 0.5077160737556268e-12, (725, 1) = 0.21454378328768532e-12, (725, 2) = -0.398613696796469e-13, (725, 3) = 0.5140184137293929e-12, (726, 1) = 0.21203417319603123e-12, (726, 2) = -0.344673993161268e-13, (726, 3) = 0.5235086232039437e-12, (727, 1) = 0.20995117234229144e-12, (727, 2) = -0.43514791858187943e-13, (727, 3) = 0.5329878266341714e-12, (728, 1) = 0.21105807652861926e-12, (728, 2) = -0.3657487918332147e-13, (728, 3) = 0.5395462857815721e-12, (729, 1) = 0.2117029722850398e-12, (729, 2) = -0.3896551723165638e-13, (729, 3) = 0.5484931235665605e-12, (730, 1) = 0.20476568672923756e-12, (730, 2) = -0.32976134164125677e-13, (730, 3) = 0.558013003877472e-12, (731, 1) = 0.21470729615444176e-12, (731, 2) = -0.44757111411757637e-13, (731, 3) = 0.565133741282227e-12, (732, 1) = 0.2038271602029188e-12, (732, 2) = -0.41101518762132563e-13, (732, 3) = 0.5770391637033094e-12, (733, 1) = 0.21163977509405145e-12, (733, 2) = -0.4270109608632123e-13, (733, 3) = 0.5878057887560558e-12, (734, 1) = 0.20819179010256518e-12, (734, 2) = -0.3678207667837903e-13, (734, 3) = 0.5952075263881776e-12, (735, 1) = 0.21028648895471113e-12, (735, 2) = -0.3315882663370768e-13, (735, 3) = 0.6051946617940992e-12, (736, 1) = 0.20521923135667875e-12, (736, 2) = -0.41731030176848516e-13, (736, 3) = 0.6190622699973915e-12, (737, 1) = 0.2121528743671596e-12, (737, 2) = -0.3738022222358239e-13, (737, 3) = 0.6249114178395507e-12, (738, 1) = 0.20750803533846232e-12, (738, 2) = -0.33897595338262455e-13, (738, 3) = 0.6335310693030387e-12, (739, 1) = 0.2038067664425104e-12, (739, 2) = -0.4092076037331906e-13, (739, 3) = 0.5929317035439242e-12, (740, 1) = 0.2108137703096338e-12, (740, 2) = -0.38636850249908704e-13, (740, 3) = 0.5646344218723458e-12, (741, 1) = 0.2155156505877821e-12, (741, 2) = -0.3392515973798446e-13, (741, 3) = 0.530903692154074e-12, (742, 1) = 0.20800764794818374e-12, (742, 2) = -0.3493645019979264e-13, (742, 3) = 0.5110610989018319e-12, (743, 1) = 0.20277381072120922e-12, (743, 2) = -0.39638319587784964e-13, (743, 3) = 0.4853099702387256e-12, (744, 1) = 0.2037532050974727e-12, (744, 2) = -0.3804127291288205e-13, (744, 3) = 0.469673451926723e-12, (745, 1) = 0.20508030570656732e-12, (745, 2) = -0.3830407066798327e-13, (745, 3) = 0.4507740362709381e-12, (746, 1) = 0.20678443245905284e-12, (746, 2) = -0.3227423847913634e-13, (746, 3) = 0.44494369139354897e-12, (747, 1) = 0.2058458783438848e-12, (747, 2) = -0.38589891722587896e-13, (747, 3) = 0.4258958711134698e-12, (748, 1) = 0.20788734591035665e-12, (748, 2) = -0.37912563972419654e-13, (748, 3) = 0.4196177083673213e-12, (749, 1) = 0.2036584768209322e-12, (749, 2) = -0.3459678493753352e-13, (749, 3) = 0.410049090947455e-12, (750, 1) = 0.20914785092993523e-12, (750, 2) = -0.30197141855504433e-13, (750, 3) = 0.4037486385873828e-12, (751, 1) = 0.20135147263476078e-12, (751, 2) = -0.29483923615412674e-13, (751, 3) = 0.39685092153666727e-12, (752, 1) = 0.2088394270563248e-12, (752, 2) = -0.3335753043189554e-13, (752, 3) = 0.3931771021343976e-12, (753, 1) = 0.20830096127224724e-12, (753, 2) = -0.36537955611844945e-13, (753, 3) = 0.38175139698843134e-12, (754, 1) = 0.2062118451813244e-12, (754, 2) = -0.4064015234745696e-13, (754, 3) = 0.376116909680474e-12, (755, 1) = 0.20031046159181034e-12, (755, 2) = -0.3742739635980149e-13, (755, 3) = 0.37385723567141735e-12, (756, 1) = 0.20195934157170183e-12, (756, 2) = -0.40534853323094514e-13, (756, 3) = 0.37347130713716344e-12, (757, 1) = 0.20266595661722295e-12, (757, 2) = -0.38347955063474536e-13, (757, 3) = 0.36732852562033363e-12, (758, 1) = 0.20938314901953994e-12, (758, 2) = -0.3401986781116223e-13, (758, 3) = 0.3674017046247007e-12, (759, 1) = 0.2064797472069917e-12, (759, 2) = -0.3366048229955671e-13, (759, 3) = 0.36288659863593215e-12, (760, 1) = 0.2021319071244401e-12, (760, 2) = -0.4020043940608149e-13, (760, 3) = 0.36333476219382715e-12, (761, 1) = 0.19715980527312073e-12, (761, 2) = -0.3582619474762689e-13, (761, 3) = 0.35664997200748843e-12, (762, 1) = 0.20734749660755628e-12, (762, 2) = -0.3570315646671801e-13, (762, 3) = 0.3553220165896957e-12, (763, 1) = 0.20114261932964594e-12, (763, 2) = -0.4071577038634275e-13, (763, 3) = 0.35509254548304406e-12, (764, 1) = 0.2035779386288586e-12, (764, 2) = -0.3551777644484064e-13, (764, 3) = 0.35293264461580254e-12, (765, 1) = 0.20323981049468056e-12, (765, 2) = -0.342125707220916e-13, (765, 3) = 0.35103438873760096e-12, (766, 1) = 0.21161673938600898e-12, (766, 2) = -0.31922630031685e-13, (766, 3) = 0.3502346534039826e-12, (767, 1) = 0.2010662734833309e-12, (767, 2) = -0.3128777833340692e-13, (767, 3) = 0.3519253783262498e-12, (768, 1) = 0.20363402416572632e-12, (768, 2) = -0.3817681515589307e-13, (768, 3) = 0.3502285588509011e-12, (769, 1) = 0.2052014402827006e-12, (769, 2) = -0.34276159626578697e-13, (769, 3) = 0.34740599414781707e-12, (770, 1) = 0.19768054456460792e-12, (770, 2) = -0.3065347636062936e-13, (770, 3) = 0.3457111129165216e-12, (771, 1) = 0.20519442233290564e-12, (771, 2) = -0.3238668411757558e-13, (771, 3) = 0.3460479260801492e-12, (772, 1) = 0.20834769139068255e-12, (772, 2) = -0.3893106972447272e-13, (772, 3) = 0.3468972455187017e-12, (773, 1) = 0.20142132162036478e-12, (773, 2) = -0.2921223985962585e-13, (773, 3) = 0.3422433124891632e-12, (774, 1) = 0.2040736522162807e-12, (774, 2) = -0.3404729819131146e-13, (774, 3) = 0.34296085172001987e-12, (775, 1) = 0.20427854921321862e-12, (775, 2) = -0.298945517088794e-13, (775, 3) = 0.3435107113779701e-12, (776, 1) = 0.20476165338802367e-12, (776, 2) = -0.3567848859678719e-13, (776, 3) = 0.344264337963283e-12, (777, 1) = 0.1978782274228133e-12, (777, 2) = -0.38323501935541205e-13, (777, 3) = 0.34658147749191074e-12, (778, 1) = 0.21013202797659092e-12, (778, 2) = -0.32634733484641356e-13, (778, 3) = 0.3447731068734936e-12, (779, 1) = 0.2073821050919426e-12, (779, 2) = -0.3914050923946365e-13, (779, 3) = 0.34405294018135115e-12, (780, 1) = 0.20341153686051064e-12, (780, 2) = -0.3652537666735373e-13, (780, 3) = 0.34335156243542305e-12, (781, 1) = 0.20076427080774691e-12, (781, 2) = -0.3658040933984621e-13, (781, 3) = 0.34371786766147525e-12, (782, 1) = 0.19579859975956485e-12, (782, 2) = -0.3914215991974409e-13, (782, 3) = 0.34173387712119357e-12, (783, 1) = 0.20347856378173396e-12, (783, 2) = -0.33933848697391033e-13, (783, 3) = 0.3420014463694529e-12, (784, 1) = 0.201615249906459e-12, (784, 2) = -0.4103619086080249e-13, (784, 3) = 0.34192531929314243e-12, (785, 1) = 0.2032142021869721e-12, (785, 2) = -0.3060565245358872e-13, (785, 3) = 0.3419450640308432e-12, (786, 1) = 0.19959187968301072e-12, (786, 2) = -0.33552412265724585e-13, (786, 3) = 0.34309727928724123e-12, (787, 1) = 0.19926777445937282e-12, (787, 2) = -0.24169801330936995e-13, (787, 3) = 0.34281749477131165e-12, (788, 1) = 0.20207384022808542e-12, (788, 2) = -0.32650754720350956e-13, (788, 3) = 0.34232546613432987e-12, (789, 1) = 0.20387460655767943e-12, (789, 2) = -0.3503865433499607e-13, (789, 3) = 0.3426508852884298e-12, (790, 1) = 0.20744911285017084e-12, (790, 2) = -0.340106471042306e-13, (790, 3) = 0.3438000097512348e-12, (791, 1) = 0.20504642821168024e-12, (791, 2) = -0.2759637765669029e-13, (791, 3) = 0.34400946777095835e-12, (792, 1) = 0.2041018216893307e-12, (792, 2) = -0.350670644319605e-13, (792, 3) = 0.3443771092766612e-12, (793, 1) = 0.1965497583477491e-12, (793, 2) = -0.3806749549596312e-13, (793, 3) = 0.3455259812818135e-12, (794, 1) = 0.1976345857203948e-12, (794, 2) = -0.3490218428941571e-13, (794, 3) = 0.3462501515458136e-12, (795, 1) = 0.20365080983501555e-12, (795, 2) = -0.308982651422388e-13, (795, 3) = 0.34364298936392685e-12, (796, 1) = 0.19784618054106696e-12, (796, 2) = -0.3088809696337006e-13, (796, 3) = 0.34483546814513087e-12, (797, 1) = 0.20113567169432472e-12, (797, 2) = -0.3174972316840091e-13, (797, 3) = 0.3474677389630283e-12, (798, 1) = 0.2056903977123843e-12, (798, 2) = -0.3260328280464838e-13, (798, 3) = 0.34583632433449646e-12, (799, 1) = 0.20428531019677907e-12, (799, 2) = -0.32357097020356e-13, (799, 3) = 0.348469791263095e-12, (800, 1) = 0.20137165953986936e-12, (800, 2) = -0.2820742745512183e-13, (800, 3) = 0.34824255948006396e-12, (801, 1) = 0.20854280718493615e-12, (801, 2) = -0.25148041973742908e-13, (801, 3) = 0.34787554558984575e-12, (802, 1) = 0.19307590436871934e-12, (802, 2) = -0.30004452999300663e-13, (802, 3) = 0.3492509270904755e-12, (803, 1) = 0.20173489190572432e-12, (803, 2) = -0.3631485886777097e-13, (803, 3) = 0.3507209685510789e-12, (804, 1) = 0.19953968748988943e-12, (804, 2) = -0.3288414950193984e-13, (804, 3) = 0.34927093879890764e-12, (805, 1) = 0.2057525738941833e-12, (805, 2) = -0.3439993464371339e-13, (805, 3) = 0.3506477048227405e-12, (806, 1) = 0.20113562870152387e-12, (806, 2) = -0.37592205757931867e-13, (806, 3) = 0.34982500447374397e-12, (807, 1) = 0.19474219079870913e-12, (807, 2) = -0.2753153010509842e-13, (807, 3) = 0.3526288266869784e-12, (808, 1) = 0.1994559117400757e-12, (808, 2) = -0.3707689713937404e-13, (808, 3) = 0.35242649379115e-12, (809, 1) = 0.19569833867115622e-12, (809, 2) = -0.3693097638423182e-13, (809, 3) = 0.3549441736327757e-12, (810, 1) = 0.19347692209141256e-12, (810, 2) = -0.32993626054002884e-13, (810, 3) = 0.35378101589752836e-12, (811, 1) = 0.19899228718435567e-12, (811, 2) = -0.33697719552091863e-13, (811, 3) = 0.3567512783653657e-12, (812, 1) = 0.19802448381174787e-12, (812, 2) = -0.30178050192679505e-13, (812, 3) = 0.35608168253796974e-12, (813, 1) = 0.19585112559477347e-12, (813, 2) = -0.3057396093139538e-13, (813, 3) = 0.3586081504538014e-12, (814, 1) = 0.20059052346861036e-12, (814, 2) = -0.29376884399223625e-13, (814, 3) = 0.3592692953648572e-12, (815, 1) = 0.19865843064522817e-12, (815, 2) = -0.3702335431022438e-13, (815, 3) = 0.35934142285809333e-12, (816, 1) = 0.19750917239595689e-12, (816, 2) = -0.3061713638869318e-13, (816, 3) = 0.3604931794990822e-12, (817, 1) = 0.19423199125458124e-12, (817, 2) = -0.33025482315526595e-13, (817, 3) = 0.3597719647997012e-12, (818, 1) = 0.19513580247953193e-12, (818, 2) = -0.33422137111298787e-13, (818, 3) = 0.36257358910455796e-12, (819, 1) = 0.2007010493248361e-12, (819, 2) = -0.34115445188107786e-13, (819, 3) = 0.36079488048093005e-12, (820, 1) = 0.19642423322087876e-12, (820, 2) = -0.368951588986528e-13, (820, 3) = 0.36548059527104344e-12, (821, 1) = 0.1923264176042201e-12, (821, 2) = -0.3427562493006917e-13, (821, 3) = 0.36309680393816283e-12, (822, 1) = 0.19628211281567475e-12, (822, 2) = -0.3578111302135148e-13, (822, 3) = 0.3676821127010003e-12, (823, 1) = 0.19514617461969313e-12, (823, 2) = -0.37698332974244395e-13, (823, 3) = 0.36562591804496206e-12, (824, 1) = 0.19675956801604557e-12, (824, 2) = -0.360942106512677e-13, (824, 3) = 0.3679130891708207e-12, (825, 1) = 0.19132650129101508e-12, (825, 2) = -0.3244373487052285e-13, (825, 3) = 0.36882499505317493e-12, (826, 1) = 0.19465571760119562e-12, (826, 2) = -0.3045078165182404e-13, (826, 3) = 0.36956798727946494e-12, (827, 1) = 0.19191754346430825e-12, (827, 2) = -0.3296107251645034e-13, (827, 3) = 0.36991668847852867e-12, (828, 1) = 0.1991015593354748e-12, (828, 2) = -0.2946213965760939e-13, (828, 3) = 0.371403343891572e-12, (829, 1) = 0.196945306888455e-12, (829, 2) = -0.3021686118454328e-13, (829, 3) = 0.3782153124844966e-12, (830, 1) = 0.20127256231240143e-12, (830, 2) = -0.3168750990282286e-13, (830, 3) = 0.3746658088526101e-12, (831, 1) = 0.191050423277458e-12, (831, 2) = -0.32029839287387267e-13, (831, 3) = 0.3752745745159779e-12, (832, 1) = 0.1932789257552224e-12, (832, 2) = -0.30869453027600706e-13, (832, 3) = 0.378501651594908e-12, (833, 1) = 0.1900335203240069e-12, (833, 2) = -0.36031956452134113e-13, (833, 3) = 0.3783376950387045e-12, (834, 1) = 0.19602992322810888e-12, (834, 2) = -0.2938665913998865e-13, (834, 3) = 0.38008611521191404e-12, (835, 1) = 0.19548111073416051e-12, (835, 2) = -0.3392409772029476e-13, (835, 3) = 0.3832209497672765e-12, (836, 1) = 0.18735627475419947e-12, (836, 2) = -0.3028829904591e-13, (836, 3) = 0.3831698971608512e-12, (837, 1) = 0.19244525860054283e-12, (837, 2) = -0.304691450393569e-13, (837, 3) = 0.38403116138476974e-12, (838, 1) = 0.18639311008698713e-12, (838, 2) = -0.30484823042765705e-13, (838, 3) = 0.3855681235039915e-12, (839, 1) = 0.19232229855216344e-12, (839, 2) = -0.27705611442113498e-13, (839, 3) = 0.3879451421329141e-12, (840, 1) = 0.19978930165448658e-12, (840, 2) = -0.3167887832283122e-13, (840, 3) = 0.38713147113982544e-12, (841, 1) = 0.19442493939572774e-12, (841, 2) = -0.37872272091253083e-13, (841, 3) = 0.3911888706207745e-12, (842, 1) = 0.19850581775179282e-12, (842, 2) = -0.2851329318822519e-13, (842, 3) = 0.39259868266394894e-12, (843, 1) = 0.18866667140177743e-12, (843, 2) = -0.29915413734518195e-13, (843, 3) = 0.39469233458134177e-12, (844, 1) = 0.19414119114645268e-12, (844, 2) = -0.3312586203608536e-13, (844, 3) = 0.39513063865777505e-12, (845, 1) = 0.19620532517926394e-12, (845, 2) = -0.329198269281594e-13, (845, 3) = 0.3968035101711939e-12, (846, 1) = 0.19124160179923546e-12, (846, 2) = -0.2846827505614758e-13, (846, 3) = 0.39912951819537824e-12, (847, 1) = 0.19315124202634453e-12, (847, 2) = -0.33625655358444944e-13, (847, 3) = 0.40093803222862437e-12, (848, 1) = 0.1947101385692052e-12, (848, 2) = -0.3261604904465496e-13, (848, 3) = 0.4011707512505432e-12, (849, 1) = 0.18160346438865678e-12, (849, 2) = -0.2819835848116553e-13, (849, 3) = 0.4019502343361981e-12, (850, 1) = 0.19595931622055675e-12, (850, 2) = -0.25439289069430187e-13, (850, 3) = 0.40544144531671064e-12, (851, 1) = 0.18826847884968842e-12, (851, 2) = -0.31001466488628695e-13, (851, 3) = 0.40622448295653896e-12, (852, 1) = 0.1827848455520169e-12, (852, 2) = -0.3227311003585139e-13, (852, 3) = 0.4099562016801379e-12, (853, 1) = 0.19411650352348708e-12, (853, 2) = -0.35112702710406594e-13, (853, 3) = 0.4095966772933653e-12, (854, 1) = 0.19530340272638728e-12, (854, 2) = -0.3529386153894343e-13, (854, 3) = 0.4108443404687319e-12, (855, 1) = 0.18952554996187152e-12, (855, 2) = -0.3124547422403273e-13, (855, 3) = 0.4149455532889714e-12, (856, 1) = 0.18718888839129938e-12, (856, 2) = -0.28614974359997354e-13, (856, 3) = 0.4154837360105486e-12, (857, 1) = 0.1861060769360689e-12, (857, 2) = -0.3330077992958437e-13, (857, 3) = 0.4168772306071833e-12, (858, 1) = 0.18929961435366189e-12, (858, 2) = -0.289623124053769e-13, (858, 3) = 0.4216473526238722e-12, (859, 1) = 0.1948961941811484e-12, (859, 2) = -0.2761618775785765e-13, (859, 3) = 0.42204151210343314e-12, (860, 1) = 0.20012191456103172e-12, (860, 2) = -0.29039011894703726e-13, (860, 3) = 0.4254659749729919e-12, (861, 1) = 0.19185994524008463e-12, (861, 2) = -0.2814004800849388e-13, (861, 3) = 0.42525095169900613e-12, (862, 1) = 0.18728616615548458e-12, (862, 2) = -0.3112354605791543e-13, (862, 3) = 0.42654758895861175e-12, (863, 1) = 0.19064835732803183e-12, (863, 2) = -0.325574469650238e-13, (863, 3) = 0.42854650711233355e-12, (864, 1) = 0.19500940173702612e-12, (864, 2) = -0.28537285050102387e-13, (864, 3) = 0.43221295581908704e-12, (865, 1) = 0.199515714383918e-12, (865, 2) = -0.3235376026993567e-13, (865, 3) = 0.4367390913779576e-12, (866, 1) = 0.18265664197147086e-12, (866, 2) = -0.27248851970347e-13, (866, 3) = 0.4376441624916139e-12, (867, 1) = 0.19722913474248116e-12, (867, 2) = -0.32080107362455705e-13, (867, 3) = 0.43895171807770163e-12, (868, 1) = 0.19194067971558176e-12, (868, 2) = -0.2916652855046843e-13, (868, 3) = 0.4403017036024839e-12, (869, 1) = 0.2003194355541553e-12, (869, 2) = -0.28570025637633455e-13, (869, 3) = 0.4439815416740234e-12, (870, 1) = 0.19198552768884746e-12, (870, 2) = -0.2957961132227082e-13, (870, 3) = 0.4454942552064056e-12, (871, 1) = 0.1969209466929069e-12, (871, 2) = -0.3188152477633788e-13, (871, 3) = 0.4474571987839525e-12, (872, 1) = 0.17876497396463196e-12, (872, 2) = -0.22816430502476376e-13, (872, 3) = 0.44918202049675253e-12, (873, 1) = 0.18189065493374067e-12, (873, 2) = -0.2851721403306508e-13, (873, 3) = 0.45194201577918315e-12, (874, 1) = 0.1866936747387847e-12, (874, 2) = -0.3527132735999688e-13, (874, 3) = 0.4556770791812768e-12, (875, 1) = 0.19555169867306652e-12, (875, 2) = -0.27871387357741064e-13, (875, 3) = 0.4607138535725006e-12, (876, 1) = 0.18552169482550496e-12, (876, 2) = -0.2678069389546197e-13, (876, 3) = 0.460909311696532e-12, (877, 1) = 0.18614614743244513e-12, (877, 2) = -0.323274315451732e-13, (877, 3) = 0.465309923522992e-12, (878, 1) = 0.1932563297056393e-12, (878, 2) = -0.326662512415765e-13, (878, 3) = 0.4661815783770111e-12, (879, 1) = 0.17969819331572076e-12, (879, 2) = -0.28110243514614923e-13, (879, 3) = 0.4677495416713658e-12, (880, 1) = 0.1895169647342395e-12, (880, 2) = -0.29697579246775415e-13, (880, 3) = 0.469284446825698e-12, (881, 1) = 0.188687713298962e-12, (881, 2) = -0.2852720545025064e-13, (881, 3) = 0.4729719627979427e-12, (882, 1) = 0.18865265116103735e-12, (882, 2) = -0.28808846706669404e-13, (882, 3) = 0.4777673260183121e-12, (883, 1) = 0.18983592342230358e-12, (883, 2) = -0.28953087561659024e-13, (883, 3) = 0.4795880918361304e-12, (884, 1) = 0.18157387547442834e-12, (884, 2) = -0.3413605652843837e-13, (884, 3) = 0.4828491617073338e-12, (885, 1) = 0.1821712606815408e-12, (885, 2) = -0.27564468868633017e-13, (885, 3) = 0.4868317551005949e-12, (886, 1) = 0.18219331981594417e-12, (886, 2) = -0.2396824611007975e-13, (886, 3) = 0.489202241983345e-12, (887, 1) = 0.18413376726133884e-12, (887, 2) = -0.27479128906943553e-13, (887, 3) = 0.4931363863457783e-12, (888, 1) = 0.17702588181809453e-12, (888, 2) = -0.31044314651413365e-13, (888, 3) = 0.4932884980726043e-12, (889, 1) = 0.1885121315192778e-12, (889, 2) = -0.28785224155256584e-13, (889, 3) = 0.4989356628223636e-12, (890, 1) = 0.18361764009173135e-12, (890, 2) = -0.29201858641161043e-13, (890, 3) = 0.502113018839044e-12, (891, 1) = 0.17996100113770494e-12, (891, 2) = -0.27911791021846396e-13, (891, 3) = 0.5033526467913286e-12, (892, 1) = 0.1831799278425086e-12, (892, 2) = -0.2853179462168907e-13, (892, 3) = 0.5080483230951253e-12, (893, 1) = 0.17016205090473352e-12, (893, 2) = -0.28020857781208084e-13, (893, 3) = 0.5105957730633133e-12, (894, 1) = 0.18740751716379735e-12, (894, 2) = -0.27575862529507703e-13, (894, 3) = 0.5151012493874024e-12, (895, 1) = 0.18374212995168518e-12, (895, 2) = -0.29283395617086207e-13, (895, 3) = 0.5152963208146445e-12, (896, 1) = 0.1811043729887723e-12, (896, 2) = -0.26429399354025346e-13, (896, 3) = 0.5209998834414803e-12, (897, 1) = 0.17641895307581587e-12, (897, 2) = -0.27056997107966436e-13, (897, 3) = 0.5248902740229281e-12, (898, 1) = 0.1773222262121921e-12, (898, 2) = -0.25596350773392795e-13, (898, 3) = 0.5285877621723943e-12, (899, 1) = 0.18028142364444074e-12, (899, 2) = -0.2549233862652915e-13, (899, 3) = 0.5311902681556131e-12, (900, 1) = 0.18588304240542905e-12, (900, 2) = -0.27594441503780273e-13, (900, 3) = 0.5338950442808271e-12, (901, 1) = 0.19058562915537076e-12, (901, 2) = -0.2721543314292527e-13, (901, 3) = 0.5391440846854353e-12, (902, 1) = 0.18487766998681817e-12, (902, 2) = -0.2694341567289444e-13, (902, 3) = 0.5416349187043152e-12, (903, 1) = 0.18322598819527693e-12, (903, 2) = -0.25442938783757106e-13, (903, 3) = 0.5474174488484201e-12, (904, 1) = 0.1842367214030455e-12, (904, 2) = -0.252077115461769e-13, (904, 3) = 0.5495202217880708e-12, (905, 1) = 0.1818331442175075e-12, (905, 2) = -0.2733157860450629e-13, (905, 3) = 0.5549714909668936e-12, (906, 1) = 0.1897927039234151e-12, (906, 2) = -0.26688583739493593e-13, (906, 3) = 0.5589918599814531e-12, (907, 1) = 0.17387222618584834e-12, (907, 2) = -0.28938500188077175e-13, (907, 3) = 0.5627975243288418e-12, (908, 1) = 0.17795397985927714e-12, (908, 2) = -0.24346582929225995e-13, (908, 3) = 0.5681969120564351e-12, (909, 1) = 0.1886509520283369e-12, (909, 2) = -0.28203098883849742e-13, (909, 3) = 0.5691404704734381e-12, (910, 1) = 0.17699711531473346e-12, (910, 2) = -0.24002994361934703e-13, (910, 3) = 0.5755636873742783e-12, (911, 1) = 0.17480334911212856e-12, (911, 2) = -0.27446633802774808e-13, (911, 3) = 0.5792819041107437e-12, (912, 1) = 0.1818431748020541e-12, (912, 2) = -0.275634743417016e-13, (912, 3) = 0.5817428125884439e-12, (913, 1) = 0.1663865370811932e-12, (913, 2) = -0.27967229765555818e-13, (913, 3) = 0.5898504591912964e-12, (914, 1) = 0.18518415976759447e-12, (914, 2) = -0.2512404125021652e-13, (914, 3) = 0.5939861537830028e-12, (915, 1) = 0.18415361122700455e-12, (915, 2) = -0.28376727088547255e-13, (915, 3) = 0.5968356959918066e-12, (916, 1) = 0.18823184874038866e-12, (916, 2) = -0.27855585166259028e-13, (916, 3) = 0.6016083196867594e-12, (917, 1) = 0.17845607235443995e-12, (917, 2) = -0.26307388414368493e-13, (917, 3) = 0.6078057809913198e-12, (918, 1) = 0.17082652389842721e-12, (918, 2) = -0.29300916906344614e-13, (918, 3) = 0.6129045953035457e-12, (919, 1) = 0.18993647461812746e-12, (919, 2) = -0.2584192592526333e-13, (919, 3) = 0.6191466085195833e-12, (920, 1) = 0.1853922734041684e-12, (920, 2) = -0.25047342684851832e-13, (920, 3) = 0.6230674253494338e-12, (921, 1) = 0.17974298533669635e-12, (921, 2) = -0.27953425356451803e-13, (921, 3) = 0.6282475291015922e-12, (922, 1) = 0.1833897327522997e-12, (922, 2) = -0.233971386943806e-13, (922, 3) = 0.6315018047334647e-12, (923, 1) = 0.17137174349265376e-12, (923, 2) = -0.26124863939807895e-13, (923, 3) = 0.637443149220468e-12, (924, 1) = 0.18969722693017868e-12, (924, 2) = -0.2615944813935876e-13, (924, 3) = 0.6438221259713177e-12, (925, 1) = 0.19032804008279158e-12, (925, 2) = -0.2940904576499741e-13, (925, 3) = 0.6496573114785033e-12, (926, 1) = 0.1782859882514194e-12, (926, 2) = -0.25653241421193458e-13, (926, 3) = 0.6541525035143126e-12, (927, 1) = 0.18797639065983752e-12, (927, 2) = -0.25413154430483544e-13, (927, 3) = 0.6599353325339934e-12, (928, 1) = 0.1730369763384879e-12, (928, 2) = -0.26667543162005817e-13, (928, 3) = 0.6657345883327881e-12, (929, 1) = 0.16728985027824702e-12, (929, 2) = -0.25372447158630192e-13, (929, 3) = 0.6739619229106721e-12, (930, 1) = 0.1808268711156907e-12, (930, 2) = -0.2607267764720945e-13, (930, 3) = 0.676310132522783e-12, (931, 1) = 0.18224297006571294e-12, (931, 2) = -0.2685132551166893e-13, (931, 3) = 0.6843515424034323e-12, (932, 1) = 0.17642088980047872e-12, (932, 2) = -0.26565433436024803e-13, (932, 3) = 0.689163884810432e-12, (933, 1) = 0.1731320875720852e-12, (933, 2) = -0.25476946069947353e-13, (933, 3) = 0.6958668664817741e-12, (934, 1) = 0.18381324856989265e-12, (934, 2) = -0.22226261987830364e-13, (934, 3) = 0.7057341056353635e-12, (935, 1) = 0.17094067039460066e-12, (935, 2) = -0.28409026524761704e-13, (935, 3) = 0.7100650930411556e-12, (936, 1) = 0.1725914253344015e-12, (936, 2) = -0.22033275345922814e-13, (936, 3) = 0.7166800608393187e-12, (937, 1) = 0.17760731324777453e-12, (937, 2) = -0.23803952408502537e-13, (937, 3) = 0.724466644162229e-12, (938, 1) = 0.17045416539154352e-12, (938, 2) = -0.25144497639281968e-13, (938, 3) = 0.7314206725328056e-12, (939, 1) = 0.18079052142306583e-12, (939, 2) = -0.25607011444356253e-13, (939, 3) = 0.7360258087154677e-12, (940, 1) = 0.17654963272987885e-12, (940, 2) = -0.2456328542286411e-13, (940, 3) = 0.7440769209901498e-12, (941, 1) = 0.17294991650223182e-12, (941, 2) = -0.26198391182739872e-13, (941, 3) = 0.7526905696431315e-12, (942, 1) = 0.1753599150256404e-12, (942, 2) = -0.2294362113524267e-13, (942, 3) = 0.7605903652014279e-12, (943, 1) = 0.17212250140187137e-12, (943, 2) = -0.25352471049849636e-13, (943, 3) = 0.7677930055251987e-12, (944, 1) = 0.16490800493942376e-12, (944, 2) = -0.26199977543754794e-13, (944, 3) = 0.7734106491672226e-12, (945, 1) = 0.1743224112662821e-12, (945, 2) = -0.2607240522788848e-13, (945, 3) = 0.7804853293956238e-12, (946, 1) = 0.179318781225017e-12, (946, 2) = -0.23045812442269947e-13, (946, 3) = 0.790880394336034e-12, (947, 1) = 0.18569424576034935e-12, (947, 2) = -0.23829360265834336e-13, (947, 3) = 0.7969621490058126e-12, (948, 1) = 0.16527238277140396e-12, (948, 2) = -0.2514763855656993e-13, (948, 3) = 0.8067689603498004e-12, (949, 1) = 0.16920101368325117e-12, (949, 2) = -0.27734011787830217e-13, (949, 3) = 0.8143701459514813e-12, (950, 1) = 0.17871974037528319e-12, (950, 2) = -0.25688956925927606e-13, (950, 3) = 0.8232305444877602e-12, (951, 1) = 0.17603117764096604e-12, (951, 2) = -0.2425025875547975e-13, (951, 3) = 0.8333124657017928e-12, (952, 1) = 0.17156516196406204e-12, (952, 2) = -0.25864850212148932e-13, (952, 3) = 0.8432425777123152e-12, (953, 1) = 0.17904821248362666e-12, (953, 2) = -0.23256206800948717e-13, (953, 3) = 0.8503720132295479e-12, (954, 1) = 0.1645834059556454e-12, (954, 2) = -0.24862076052694362e-13, (954, 3) = 0.8591225611922099e-12, (955, 1) = 0.17158588163893175e-12, (955, 2) = -0.24408863792019858e-13, (955, 3) = 0.8697853754948484e-12, (956, 1) = 0.17368837278614046e-12, (956, 2) = -0.21374793557667253e-13, (956, 3) = 0.878391699672471e-12, (957, 1) = 0.1589378643604462e-12, (957, 2) = -0.2495510699737321e-13, (957, 3) = 0.8872208418567252e-12, (958, 1) = 0.17995132348172196e-12, (958, 2) = -0.27464643397304873e-13, (958, 3) = 0.8976532147394387e-12, (959, 1) = 0.16464680778959048e-12, (959, 2) = -0.22956540596034474e-13, (959, 3) = 0.9087901952728384e-12, (960, 1) = 0.17329835222308297e-12, (960, 2) = -0.21841880269803484e-13, (960, 3) = 0.9177004397333146e-12, (961, 1) = 0.17968758577571983e-12, (961, 2) = -0.2275098661599403e-13, (961, 3) = 0.930002458895439e-12, (962, 1) = 0.16877258291911812e-12, (962, 2) = -0.21057942302177608e-13, (962, 3) = 0.9414362894169648e-12, (963, 1) = 0.16343441191368673e-12, (963, 2) = -0.25224650304233644e-13, (963, 3) = 0.9518439467814604e-12, (964, 1) = 0.17852926151105325e-12, (964, 2) = -0.201044183473617e-13, (964, 3) = 0.9651227713499787e-12, (965, 1) = 0.1584537620382389e-12, (965, 2) = -0.23954390155489287e-13, (965, 3) = 0.976205931825354e-12, (966, 1) = 0.16648997576622952e-12, (966, 2) = -0.2212118135025909e-13, (966, 3) = 0.9868589054556391e-12, (967, 1) = 0.1764892854103083e-12, (967, 2) = -0.23777460278019922e-13, (967, 3) = 0.9992505793574099e-12, (968, 1) = 0.16947788147780232e-12, (968, 2) = -0.2073328902763396e-13, (968, 3) = 0.10119530919865688e-11, (969, 1) = 0.16780027122987804e-12, (969, 2) = -0.21963542051846193e-13, (969, 3) = 0.10242911802088243e-11, (970, 1) = 0.16387617355809385e-12, (970, 2) = -0.22618362480946965e-13, (970, 3) = 0.10376536611542056e-11, (971, 1) = 0.17390541223462928e-12, (971, 2) = -0.26530425286700547e-13, (971, 3) = 0.10505508754084116e-11, (972, 1) = 0.17295114272399444e-12, (972, 2) = -0.23214707336778075e-13, (972, 3) = 0.1062792761828431e-11, (973, 1) = 0.17703005338922575e-12, (973, 2) = -0.2034893410849115e-13, (973, 3) = 0.1077115893088093e-11, (974, 1) = 0.1574294917712553e-12, (974, 2) = -0.2210899706718615e-13, (974, 3) = 0.10917741674391038e-11, (975, 1) = 0.16766443972778758e-12, (975, 2) = -0.23111545218287567e-13, (975, 3) = 0.11065944294419578e-11, (976, 1) = 0.16452455221753613e-12, (976, 2) = -0.22044654617282776e-13, (976, 3) = 0.1121321083899602e-11, (977, 1) = 0.17164457395552068e-12, (977, 2) = -0.23801738689969217e-13, (977, 3) = 0.11356832398514537e-11, (978, 1) = 0.16736468558442392e-12, (978, 2) = -0.22977099637133893e-13, (978, 3) = 0.11503033367960953e-11, (979, 1) = 0.16958833936934807e-12, (979, 2) = -0.21411773202482693e-13, (979, 3) = 0.11657283932070418e-11, (980, 1) = 0.16642174982128084e-12, (980, 2) = -0.24792573196274988e-13, (980, 3) = 0.11844626391268931e-11, (981, 1) = 0.17072181223121658e-12, (981, 2) = -0.2087645936916084e-13, (981, 3) = 0.11991953566475509e-11, (982, 1) = 0.16284407222058728e-12, (982, 2) = -0.23413849397689672e-13, (982, 3) = 0.12173714930412158e-11, (983, 1) = 0.1597181109864357e-12, (983, 2) = -0.23827904564547417e-13, (983, 3) = 0.1234107810997764e-11, (984, 1) = 0.17449221406667444e-12, (984, 2) = -0.2042593558574315e-13, (984, 3) = 0.12521871018761697e-11, (985, 1) = 0.17051840638646337e-12, (985, 2) = -0.19648738255674597e-13, (985, 3) = 0.12690839286881677e-11, (986, 1) = 0.1691157872653268e-12, (986, 2) = -0.2098664431571789e-13, (986, 3) = 0.12879150335019931e-11, (987, 1) = 0.16195551549286089e-12, (987, 2) = -0.2141602045204086e-13, (987, 3) = 0.13071719043327895e-11, (988, 1) = 0.1630939235925163e-12, (988, 2) = -0.21194408951105856e-13, (988, 3) = 0.13278657803662642e-11, (989, 1) = 0.1661333674257733e-12, (989, 2) = -0.18008703234443592e-13, (989, 3) = 0.13477112123854858e-11, (990, 1) = 0.16921651587728455e-12, (990, 2) = -0.22801511347410828e-13, (990, 3) = 0.13662238278229627e-11, (991, 1) = 0.1584616711096469e-12, (991, 2) = -0.22725848206464325e-13, (991, 3) = 0.13889814954637587e-11, (992, 1) = 0.15801909225072517e-12, (992, 2) = -0.198178350743553e-13, (992, 3) = 0.14101132562895334e-11, (993, 1) = 0.17605162983191562e-12, (993, 2) = -0.22037343063082703e-13, (993, 3) = 0.14322992449012165e-11, (994, 1) = 0.15657787087123663e-12, (994, 2) = -0.21681146394405598e-13, (994, 3) = 0.14549879022188894e-11, (995, 1) = 0.15067946781343537e-12, (995, 2) = -0.2136519673095374e-13, (995, 3) = 0.14786445565583868e-11, (996, 1) = 0.17260744485559923e-12, (996, 2) = -0.20309014118563205e-13, (996, 3) = 0.15023460086801836e-11, (997, 1) = 0.16195532301844012e-12, (997, 2) = -0.22307516102623503e-13, (997, 3) = 0.15271535906515186e-11, (998, 1) = 0.15740058611072946e-12, (998, 2) = -0.19299645913032813e-13, (998, 3) = 0.15517540702195104e-11, (999, 1) = 0.15837356774877582e-12, (999, 2) = -0.2128510995368229e-13, (999, 3) = 0.1576551991687798e-11, (1000, 1) = 0.1640493246321609e-12, (1000, 2) = -0.2200055077571048e-13, (1000, 3) = 0.16049522064525246e-11, (1001, 1) = 0.16859556743603922e-12, (1001, 2) = -0.2108448870065429e-13, (1001, 3) = 0.16321578920043038e-11, (1002, 1) = 0.16369945849009856e-12, (1002, 2) = -0.21099364585493628e-13, (1002, 3) = 0.16596659235102901e-11, (1003, 1) = 0.15895588667963033e-12, (1003, 2) = -0.1916095238371302e-13, (1003, 3) = 0.16894811547223859e-11, (1004, 1) = 0.16675990552745186e-12, (1004, 2) = -0.23365443270567053e-13, (1004, 3) = 0.17189438337389856e-11, (1005, 1) = 0.17227198006905835e-12, (1005, 2) = -0.21368358873812358e-13, (1005, 3) = 0.17500271147415057e-11, (1006, 1) = 0.15241286081876643e-12, (1006, 2) = -0.21766239965062947e-13, (1006, 3) = 0.17819233764787843e-11, (1007, 1) = 0.1467551056270626e-12, (1007, 2) = -0.1925614174723049e-13, (1007, 3) = 0.18150577450116902e-11, (1008, 1) = 0.16380478473702764e-12, (1008, 2) = -0.18204559488196394e-13, (1008, 3) = 0.1847206924151689e-11, (1009, 1) = 0.16285336101231742e-12, (1009, 2) = -0.2022422489783078e-13, (1009, 3) = 0.18837124363661515e-11, (1010, 1) = 0.16399343203631532e-12, (1010, 2) = -0.1977595853714503e-13, (1010, 3) = 0.19184136587459646e-11, (1011, 1) = 0.16718857766872533e-12, (1011, 2) = -0.21587801873386263e-13, (1011, 3) = 0.19547361081080987e-11, (1012, 1) = 0.15461582203191576e-12, (1012, 2) = -0.2109276452505598e-13, (1012, 3) = 0.1993669195437845e-11, (1013, 1) = 0.16816486428119124e-12, (1013, 2) = -0.20180367131199227e-13, (1013, 3) = 0.2032238330008596e-11, (1014, 1) = 0.16478030955693143e-12, (1014, 2) = -0.2154319164179736e-13, (1014, 3) = 0.20725385316690487e-11, (1015, 1) = 0.17253205999589985e-12, (1015, 2) = -0.181895738591417e-13, (1015, 3) = 0.21154127662243126e-11, (1016, 1) = 0.15757725696988508e-12, (1016, 2) = -0.22256461711187535e-13, (1016, 3) = 0.21591395382718716e-11, (1017, 1) = 0.14913330831750147e-12, (1017, 2) = -0.19961343791823108e-13, (1017, 3) = 0.2203404600184188e-11, (1018, 1) = 0.1526305818861497e-12, (1018, 2) = -0.18739246426941642e-13, (1018, 3) = 0.22480064277679186e-11, (1019, 1) = 0.15626273026283978e-12, (1019, 2) = -0.18531407344334803e-13, (1019, 3) = 0.22972665110590768e-11, (1020, 1) = 0.1457897108235802e-12, (1020, 2) = -0.1986940282175912e-13, (1020, 3) = 0.23473171619952596e-11, (1021, 1) = 0.15875305364197047e-12, (1021, 2) = -0.19553679282109556e-13, (1021, 3) = 0.239716599559903e-11, (1022, 1) = 0.15762162040379609e-12, (1022, 2) = -0.1801299282632144e-13, (1022, 3) = 0.24094306406014743e-11, (1023, 1) = 0.15547829512963652e-12, (1023, 2) = -0.19220669217694758e-13, (1023, 3) = 0.2374174130527911e-11, (1024, 1) = 0.14247807691727505e-12, (1024, 2) = -0.18063222441712356e-13, (1024, 3) = 0.23391206043449546e-11, (1025, 1) = 0.15439913829431223e-12, (1025, 2) = -0.20811909429609306e-13, (1025, 3) = 0.2306470035588555e-11, (1026, 1) = 0.14264380575062125e-12, (1026, 2) = -0.173143363938574e-13, (1026, 3) = 0.2271955936878302e-11, (1027, 1) = 0.15056621887731624e-12, (1027, 2) = -0.1679228323342859e-13, (1027, 3) = 0.22402726654051044e-11, (1028, 1) = 0.15524517914204874e-12, (1028, 2) = -0.17596470929276512e-13, (1028, 3) = 0.22085376691054274e-11, (1029, 1) = 0.14255222774105085e-12, (1029, 2) = -0.18463945103830835e-13, (1029, 3) = 0.2176752634715621e-11, (1030, 1) = 0.15455688889168796e-12, (1030, 2) = -0.20052307543363225e-13, (1030, 3) = 0.21481134098429636e-11, (1031, 1) = 0.1602284853336316e-12, (1031, 2) = -0.13071960405656153e-13, (1031, 3) = 0.2116452321942526e-11, (1032, 1) = 0.1465688519329124e-12, (1032, 2) = -0.16026920434840157e-13, (1032, 3) = 0.20877027908165892e-11, (1033, 1) = 0.15643779579316085e-12, (1033, 2) = -0.17893426074198832e-13, (1033, 3) = 0.20573694949709134e-11, (1034, 1) = 0.1415383785355175e-12, (1034, 2) = -0.16070532522403792e-13, (1034, 3) = 0.20290951944485748e-11, (1035, 1) = 0.15075676731087702e-12, (1035, 2) = -0.16337429404577964e-13, (1035, 3) = 0.20035221265074288e-11, (1036, 1) = 0.15220444073355338e-12, (1036, 2) = -0.20628940820341742e-13, (1036, 3) = 0.197415863586637e-11, (1037, 1) = 0.15331774633514437e-12, (1037, 2) = -0.18413513789103738e-13, (1037, 3) = 0.19489546693409145e-11, (1038, 1) = 0.13757384445993916e-12, (1038, 2) = -0.18532479597104943e-13, (1038, 3) = 0.19235708064072987e-11, (1039, 1) = 0.14039610228479347e-12, (1039, 2) = -0.15043306133479944e-13, (1039, 3) = 0.189711800956803e-11, (1040, 1) = 0.1426971937807833e-12, (1040, 2) = -0.18115533702827365e-13, (1040, 3) = 0.1874259391189784e-11, (1041, 1) = 0.15058991150674058e-12, (1041, 2) = -0.14078408282101184e-13, (1041, 3) = 0.18484631537011342e-11, (1042, 1) = 0.15320145213724154e-12, (1042, 2) = -0.16384610135664072e-13, (1042, 3) = 0.18240556191136928e-11, (1043, 1) = 0.1402157948973841e-12, (1043, 2) = -0.16376660570591354e-13, (1043, 3) = 0.1800443969236986e-11, (1044, 1) = 0.14676264629434207e-12, (1044, 2) = -0.14256547094167526e-13, (1044, 3) = 0.17763884896805574e-11, (1045, 1) = 0.12735138647520145e-12, (1045, 2) = -0.16992031321093972e-13, (1045, 3) = 0.17536760648759347e-11, (1046, 1) = 0.15517392721713732e-12, (1046, 2) = -0.18273762799951e-13, (1046, 3) = 0.17322093510856283e-11, (1047, 1) = 0.1426355499376708e-12, (1047, 2) = -0.13825593874948568e-13, (1047, 3) = 0.17083245878495403e-11, (1048, 1) = 0.14046922502194675e-12, (1048, 2) = -0.1827361441544095e-13, (1048, 3) = 0.16885393361533261e-11, (1049, 1) = 0.13762506497094267e-12, (1049, 2) = -0.15674454170477402e-13, (1049, 3) = 0.16661267359291776e-11, (1050, 1) = 0.1443473379375501e-12, (1050, 2) = -0.11882989825820888e-13, (1050, 3) = 0.1645072570371396e-11, (1051, 1) = 0.147885589521612e-12, (1051, 2) = -0.13702147322516466e-13, (1051, 3) = 0.16246418462716697e-11, (1052, 1) = 0.148048596974682e-12, (1052, 2) = -0.1585730514994777e-13, (1052, 3) = 0.16073939967894674e-11, (1053, 1) = 0.14245140031613982e-12, (1053, 2) = -0.15693562032856486e-13, (1053, 3) = 0.15869725323201955e-11, (1054, 1) = 0.14348649564665052e-12, (1054, 2) = -0.13930217885854295e-13, (1054, 3) = 0.15673784058037613e-11, (1055, 1) = 0.1342039584719775e-12, (1055, 2) = -0.15329257904589666e-13, (1055, 3) = 0.1549671646104463e-11, (1056, 1) = 0.14629854378840476e-12, (1056, 2) = -0.1514800428843219e-13, (1056, 3) = 0.15311754690082281e-11, (1057, 1) = 0.1279543763571497e-12, (1057, 2) = -0.14568646476856615e-13, (1057, 3) = 0.15104979180612545e-11, (1058, 1) = 0.14083408680395334e-12, (1058, 2) = -0.1547945067594724e-13, (1058, 3) = 0.14934331005911104e-11, (1059, 1) = 0.15448445691136143e-12, (1059, 2) = -0.17139878551645243e-13, (1059, 3) = 0.14755260185733333e-11, (1060, 1) = 0.13785473070760678e-12, (1060, 2) = -0.11594715228893677e-13, (1060, 3) = 0.14603601876525217e-11, (1061, 1) = 0.14946677827212935e-12, (1061, 2) = -0.1499433107511309e-13, (1061, 3) = 0.14429541845812288e-11, (1062, 1) = 0.1417701789688407e-12, (1062, 2) = -0.17138074002412175e-13, (1062, 3) = 0.14268767634814882e-11, (1063, 1) = 0.14549934978101134e-12, (1063, 2) = -0.15147909245039557e-13, (1063, 3) = 0.14081058749752064e-11, (1064, 1) = 0.14055746515408812e-12, (1064, 2) = -0.15044742634246667e-13, (1064, 3) = 0.13916159485139811e-11, (1065, 1) = 0.14297397673987336e-12, (1065, 2) = -0.1149364208937441e-13, (1065, 3) = 0.13775697917390856e-11, (1066, 1) = 0.1297312132890414e-12, (1066, 2) = -0.13250871304073209e-13, (1066, 3) = 0.13638161692367798e-11, (1067, 1) = 0.13046380164091843e-12, (1067, 2) = -0.13025086318628004e-13, (1067, 3) = 0.13464567045030907e-11, (1068, 1) = 0.1375131237814086e-12, (1068, 2) = -0.12610545317133435e-13, (1068, 3) = 0.13321937624439383e-11, (1069, 1) = 0.13929099136347836e-12, (1069, 2) = -0.13960522765097705e-13, (1069, 3) = 0.13164031942301714e-11, (1070, 1) = 0.14706533992286912e-12, (1070, 2) = -0.1502046950038882e-13, (1070, 3) = 0.13037100010631544e-11, (1071, 1) = 0.12715764661914193e-12, (1071, 2) = -0.13667041056435285e-13, (1071, 3) = 0.12886782775791378e-11, (1072, 1) = 0.131437322970151e-12, (1072, 2) = -0.12345789979023221e-13, (1072, 3) = 0.12738213170198256e-11, (1073, 1) = 0.12514059864755632e-12, (1073, 2) = -0.12647107211149352e-13, (1073, 3) = 0.12601403467941177e-11, (1074, 1) = 0.15429938243187035e-12, (1074, 2) = -0.1523791259080445e-13, (1074, 3) = 0.1247690637627054e-11, (1075, 1) = 0.16734356324421482e-12, (1075, 2) = -0.8635404896969497e-14, (1075, 3) = 0.12319846255202021e-11, (1076, 1) = 0.1217215410891797e-12, (1076, 2) = -0.9777748351354569e-14, (1076, 3) = 0.12199594620022593e-11, (1077, 1) = 0.145654129608391e-12, (1077, 2) = -0.11949597813784709e-13, (1077, 3) = 0.12062079865481625e-11, (1078, 1) = 0.17327228404064143e-12, (1078, 2) = -0.13964212026041779e-13, (1078, 3) = 0.11949288547126107e-11, (1079, 1) = 0.14684578331129053e-12, (1079, 2) = -0.13222902336674824e-13, (1079, 3) = 0.1182603357880828e-11, (1080, 1) = 0.11189850884600195e-12, (1080, 2) = -0.13035123923896942e-13, (1080, 3) = 0.11707365165223016e-11, (1081, 1) = 0.11846202322176885e-12, (1081, 2) = -0.13432539197020792e-13, (1081, 3) = 0.11570979712142413e-11, (1082, 1) = 0.12790244885540634e-12, (1082, 2) = -0.1190451389080896e-13, (1082, 3) = 0.11456898282436915e-11, (1083, 1) = 0.14043235998924228e-12, (1083, 2) = -0.12920824357242317e-13, (1083, 3) = 0.11342942940999524e-11, (1084, 1) = 0.14694439138263705e-12, (1084, 2) = -0.9826399229966837e-14, (1084, 3) = 0.1122386524249908e-11, (1085, 1) = 0.12341188227131524e-12, (1085, 2) = -0.14083791606550189e-13, (1085, 3) = 0.11121127226583732e-11, (1086, 1) = 0.15655574909552312e-12, (1086, 2) = -0.13751152162835047e-13, (1086, 3) = 0.11008203034989285e-11, (1087, 1) = 0.11261211313374839e-12, (1087, 2) = -0.13491753788282788e-13, (1087, 3) = 0.1088574719897329e-11, (1088, 1) = 0.14296149332742527e-12, (1088, 2) = -0.10232068918501383e-13, (1088, 3) = 0.10772829856378445e-11, (1089, 1) = 0.11876925229633146e-12, (1089, 2) = -0.13208710163439856e-13, (1089, 3) = 0.1069537677721361e-11, (1090, 1) = 0.13900145425162648e-12, (1090, 2) = -0.10668419639869683e-13, (1090, 3) = 0.1058315033879156e-11, (1091, 1) = 0.11753469794175733e-12, (1091, 2) = -0.10114903824179022e-13, (1091, 3) = 0.10460440990320866e-11, (1092, 1) = 0.11076860124330544e-12, (1092, 2) = -0.12331922167761762e-13, (1092, 3) = 0.10357642664348696e-11, (1093, 1) = 0.1229859658445204e-12, (1093, 2) = -0.11834901082549404e-13, (1093, 3) = 0.10272820325958047e-11, (1094, 1) = 0.11878616157139202e-12, (1094, 2) = -0.12422788848385647e-13, (1094, 3) = 0.1015482415665157e-11, (1095, 1) = 0.11894583058615328e-12, (1095, 2) = -0.11482097121075088e-13, (1095, 3) = 0.10055829872549285e-11, (1096, 1) = 0.1346272915345843e-12, (1096, 2) = -0.10156602214559156e-13, (1096, 3) = 0.9970686164746052e-12, (1097, 1) = 0.1183972585428566e-12, (1097, 2) = -0.9697313283721412e-14, (1097, 3) = 0.9875173840646185e-12, (1098, 1) = 0.13528716589695565e-12, (1098, 2) = -0.10126500254276786e-13, (1098, 3) = 0.9770500504516356e-12, (1099, 1) = 0.12815115201537722e-12, (1099, 2) = -0.11395686207237961e-13, (1099, 3) = 0.9567193989387964e-12, (1100, 1) = 0.13217173729688493e-12, (1100, 2) = -0.10331918531438143e-13, (1100, 3) = 0.9341924923684845e-12, (1101, 1) = 0.11572399520574694e-12, (1101, 2) = -0.11218866728493204e-13, (1101, 3) = 0.9103716599461633e-12, (1102, 1) = 0.13854620308119556e-12, (1102, 2) = -0.11686469693566644e-13, (1102, 3) = 0.8896619039483891e-12, (1103, 1) = 0.135912405294414e-12, (1103, 2) = -0.10434428895341054e-13, (1103, 3) = 0.8690027690462668e-12, (1104, 1) = 0.13297319409948882e-12, (1104, 2) = -0.11268319074968287e-13, (1104, 3) = 0.8500931738170806e-12, (1105, 1) = 0.1404953887192104e-12, (1105, 2) = -0.9909095636899468e-14, (1105, 3) = 0.8299961002811076e-12, (1106, 1) = 0.10446903768338924e-12, (1106, 2) = -0.10506281371061024e-13, (1106, 3) = 0.8125244719038056e-12, (1107, 1) = 0.11264667221732158e-12, (1107, 2) = -0.10632942104308809e-13, (1107, 3) = 0.7980305230982503e-12, (1108, 1) = 0.14735054786235145e-12, (1108, 2) = -0.11055994937069316e-13, (1108, 3) = 0.7815398409429922e-12, (1109, 1) = 0.12343019177903037e-12, (1109, 2) = -0.11131317723243215e-13, (1109, 3) = 0.7657251235885353e-12, (1110, 1) = 0.10963116876312133e-12, (1110, 2) = -0.9724195159037016e-14, (1110, 3) = 0.7497569458320327e-12, (1111, 1) = 0.11842970420637842e-12, (1111, 2) = -0.9123553276166405e-14, (1111, 3) = 0.7352437249177496e-12, (1112, 1) = 0.12861318610967013e-12, (1112, 2) = -0.9417723726957795e-14, (1112, 3) = 0.7240385129918265e-12, (1113, 1) = 0.14234766444205075e-12, (1113, 2) = -0.8900899003251283e-14, (1113, 3) = 0.7086160054192291e-12, (1114, 1) = 0.1024246717593123e-12, (1114, 2) = -0.9802616336682159e-14, (1114, 3) = 0.69575681908104e-12, (1115, 1) = 0.1380356676078837e-12, (1115, 2) = -0.9665494700332241e-14, (1115, 3) = 0.6824644224405411e-12, (1116, 1) = 0.1194901148921049e-12, (1116, 2) = -0.9237684655394607e-14, (1116, 3) = 0.6717521846354743e-12, (1117, 1) = 0.12480067607195238e-12, (1117, 2) = -0.83388253207417e-14, (1117, 3) = 0.6576747866159516e-12, (1118, 1) = 0.11577039913506746e-12, (1118, 2) = -0.9560511290071812e-14, (1118, 3) = 0.6491068827479687e-12, (1119, 1) = 0.12737316791355006e-12, (1119, 2) = -0.7917548505735016e-14, (1119, 3) = 0.636194916253716e-12, (1120, 1) = 0.1169220914162596e-12, (1120, 2) = -0.9801091707930989e-14, (1120, 3) = 0.6278063896723698e-12, (1121, 1) = 0.134860150904012e-12, (1121, 2) = -0.9259693323322157e-14, (1121, 3) = 0.6165794476726598e-12, (1122, 1) = 0.14188448499962043e-12, (1122, 2) = -0.9945019115138695e-14, (1122, 3) = 0.6072500232196251e-12, (1123, 1) = 0.1345635378650625e-12, (1123, 2) = -0.9926529124823986e-14, (1123, 3) = 0.5950008625807587e-12, (1124, 1) = 0.1357090590217938e-12, (1124, 2) = -0.8679599675361372e-14, (1124, 3) = 0.5878550044671446e-12, (1125, 1) = 0.13089065434679255e-12, (1125, 2) = -0.8942091014544176e-14, (1125, 3) = 0.5771605761662572e-12, (1126, 1) = 0.14166675416305528e-12, (1126, 2) = -0.9976589335034388e-14, (1126, 3) = 0.5695478662185398e-12, (1127, 1) = 0.11024126242079082e-12, (1127, 2) = -0.8997190914743206e-14, (1127, 3) = 0.5597030381403753e-12, (1128, 1) = 0.12238485955297157e-12, (1128, 2) = -0.9088688747403753e-14, (1128, 3) = 0.5514803790224549e-12, (1129, 1) = 0.1108993892457529e-12, (1129, 2) = -0.9875162928941462e-14, (1129, 3) = 0.5423533384773439e-12, (1130, 1) = 0.1270743465808407e-12, (1130, 2) = -0.10271027773342818e-13, (1130, 3) = 0.5358098219171436e-12, (1131, 1) = 0.11259476088942785e-12, (1131, 2) = -0.9592467168880675e-14, (1131, 3) = 0.5268192830083158e-12, (1132, 1) = 0.12372916274351449e-12, (1132, 2) = -0.9429194676692303e-14, (1132, 3) = 0.5207879956165612e-12, (1133, 1) = 0.11352513142318511e-12, (1133, 2) = -0.965706094198559e-14, (1133, 3) = 0.5118993632413883e-12, (1134, 1) = 0.12179294710068764e-12, (1134, 2) = -0.9600224505676621e-14, (1134, 3) = 0.5042919108013537e-12, (1135, 1) = 0.1198868528347211e-12, (1135, 2) = -0.9154204734728014e-14, (1135, 3) = 0.4965695872979093e-12, (1136, 1) = 0.13565578479487809e-12, (1136, 2) = -0.9975085040342942e-14, (1136, 3) = 0.4909157287557428e-12, (1137, 1) = 0.12220542903273174e-12, (1137, 2) = -0.8712468825766351e-14, (1137, 3) = 0.4837353188298736e-12, (1138, 1) = 0.1393772880728424e-12, (1138, 2) = -0.8252845749048984e-14, (1138, 3) = 0.4772075665235024e-12, (1139, 1) = 0.1164856047698965e-12, (1139, 2) = -0.9651811032355265e-14, (1139, 3) = 0.4695350743829549e-12, (1140, 1) = 0.15257040736106485e-12, (1140, 2) = -0.9934203887678116e-14, (1140, 3) = 0.464365875481302e-12, (1141, 1) = 0.11234092903604052e-12, (1141, 2) = -0.8048649788348366e-14, (1141, 3) = 0.4558552287050965e-12, (1142, 1) = 0.11060875789351124e-12, (1142, 2) = -0.8573223050843807e-14, (1142, 3) = 0.45065254875706173e-12, (1143, 1) = 0.12885386447155668e-12, (1143, 2) = -0.8598081269126105e-14, (1143, 3) = 0.4450742556435247e-12, (1144, 1) = 0.13598025642437627e-12, (1144, 2) = -0.7948831071032494e-14, (1144, 3) = 0.4396748707771895e-12, (1145, 1) = 0.13468695832104413e-12, (1145, 2) = -0.7418971083013875e-14, (1145, 3) = 0.43332714482482023e-12, (1146, 1) = 0.11373191847385472e-12, (1146, 2) = -0.7595601272107685e-14, (1146, 3) = 0.4261212835224412e-12, (1147, 1) = 0.11536113958117574e-12, (1147, 2) = -0.8547350320795473e-14, (1147, 3) = 0.42169132642495573e-12, (1148, 1) = 0.13449804861296757e-12, (1148, 2) = -0.817406068619478e-14, (1148, 3) = 0.41625812085352157e-12, (1149, 1) = 0.11702282460570296e-12, (1149, 2) = -0.7927839762726537e-14, (1149, 3) = 0.40897585747758376e-12, (1150, 1) = 0.11116559017899998e-12, (1150, 2) = -0.861849893395423e-14, (1150, 3) = 0.4063828804411373e-12, (1151, 1) = 0.11041492523218247e-12, (1151, 2) = -0.8789328549018667e-14, (1151, 3) = 0.400349935806949e-12, (1152, 1) = 0.14630309521519858e-12, (1152, 2) = -0.7838056996331187e-14, (1152, 3) = 0.3942033246971213e-12, (1153, 1) = 0.12022298123627147e-12, (1153, 2) = -0.8106994142278167e-14, (1153, 3) = 0.3891457523681907e-12, (1154, 1) = 0.1214186680652318e-12, (1154, 2) = -0.9499487158290983e-14, (1154, 3) = 0.3835736305831908e-12, (1155, 1) = 0.12549542458259146e-12, (1155, 2) = -0.7638786473805435e-14, (1155, 3) = 0.3794750966483156e-12, (1156, 1) = 0.11265388987025576e-12, (1156, 2) = -0.7445485661462085e-14, (1156, 3) = 0.3744672107864902e-12, (1157, 1) = 0.12146692383981869e-12, (1157, 2) = -0.8083473320168007e-14, (1157, 3) = 0.36836426504265293e-12, (1158, 1) = 0.11453006797696565e-12, (1158, 2) = -0.8165257170497147e-14, (1158, 3) = 0.36473209807471057e-12, (1159, 1) = 0.12336848871785924e-12, (1159, 2) = -0.7912112418658641e-14, (1159, 3) = 0.36061793637559826e-12, (1160, 1) = 0.11239273658518222e-12, (1160, 2) = -0.7918863983169583e-14, (1160, 3) = 0.35545677096780384e-12, (1161, 1) = 0.11732584469148753e-12, (1161, 2) = -0.7899180724038639e-14, (1161, 3) = 0.3512557498168869e-12, (1162, 1) = 0.10318728819842377e-12, (1162, 2) = -0.8319924571470344e-14, (1162, 3) = 0.34880129303493904e-12, (1163, 1) = 0.1307041741418855e-12, (1163, 2) = -0.8629176360223901e-14, (1163, 3) = 0.34284795121259617e-12, (1164, 1) = 0.968735951755426e-13, (1164, 2) = -0.67541816302219264e-14, (1164, 3) = 0.3391398501810636e-12, (1165, 1) = 0.11219415924489417e-12, (1165, 2) = -0.6804171677159364e-14, (1165, 3) = 0.3345636099491925e-12, (1166, 1) = 0.11884931853888172e-12, (1166, 2) = -0.8864308196633266e-14, (1166, 3) = 0.3293588775202092e-12, (1167, 1) = 0.14133901955498736e-12, (1167, 2) = -0.7503366037517363e-14, (1167, 3) = 0.32591035475641305e-12, (1168, 1) = 0.12639917816812164e-12, (1168, 2) = -0.911982625377077e-14, (1168, 3) = 0.32334233417050706e-12, (1169, 1) = 0.10858645571301642e-12, (1169, 2) = -0.7718384897980883e-14, (1169, 3) = 0.31691515720359143e-12, (1170, 1) = 0.12641141411649832e-12, (1170, 2) = -0.6403266692295214e-14, (1170, 3) = 0.31599073706366376e-12, (1171, 1) = 0.11746661265919818e-12, (1171, 2) = -0.757553011567167e-14, (1171, 3) = 0.3104723375872137e-12, (1172, 1) = 0.1335818577396177e-12, (1172, 2) = -0.702093640409697e-14, (1172, 3) = 0.3071629557769086e-12, (1173, 1) = 0.12839983828044768e-12, (1173, 2) = -0.8453391333967577e-14, (1173, 3) = 0.3031743710806367e-12, (1174, 1) = 0.1246982704411873e-12, (1174, 2) = -0.7264600507483362e-14, (1174, 3) = 0.30098914349587483e-12, (1175, 1) = 0.10890141044517226e-12, (1175, 2) = -0.7827929058431795e-14, (1175, 3) = 0.2962358855147932e-12, (1176, 1) = 0.10469794008859504e-12, (1176, 2) = -0.62131507408413875e-14, (1176, 3) = 0.2931470130545022e-12, (1177, 1) = 0.13737198906022847e-12, (1177, 2) = -0.8285135617816525e-14, (1177, 3) = 0.2884994532509166e-12, (1178, 1) = 0.11302319130049413e-12, (1178, 2) = -0.5771933492695286e-14, (1178, 3) = 0.28488265797608795e-12, (1179, 1) = 0.1173535772283874e-12, (1179, 2) = -0.7490570171379014e-14, (1179, 3) = 0.28321506528679e-12, (1180, 1) = 0.9848973243740047e-13, (1180, 2) = -0.7288344096542178e-14, (1180, 3) = 0.2801038033740732e-12, (1181, 1) = 0.14533227192783644e-12, (1181, 2) = -0.6803283717781671e-14, (1181, 3) = 0.27699857584116853e-12, (1182, 1) = 0.12799881579468394e-12, (1182, 2) = -0.81268338189572e-14, (1182, 3) = 0.2725344153461187e-12, (1183, 1) = 0.10988784804346308e-12, (1183, 2) = -0.6776845491678224e-14, (1183, 3) = 0.27041945869314803e-12, (1184, 1) = 0.10597312741967928e-12, (1184, 2) = -0.6351378343330916e-14, (1184, 3) = 0.26666787350315387e-12, (1185, 1) = 0.13320663920457607e-12, (1185, 2) = -0.6920966621742796e-14, (1185, 3) = 0.2633661186469023e-12, (1186, 1) = 0.988032554365166e-13, (1186, 2) = -0.6538218712327324e-14, (1186, 3) = 0.26169232804508165e-12, (1187, 1) = 0.11973163038075484e-12, (1187, 2) = -0.6483957163532673e-14, (1187, 3) = 0.25620920726453013e-12, (1188, 1) = 0.10368825878533915e-12, (1188, 2) = -0.7470422738681299e-14, (1188, 3) = 0.25434171969687874e-12, (1189, 1) = 0.10615184604977762e-12, (1189, 2) = -0.57235057766653064e-14, (1189, 3) = 0.25116154814511725e-12, (1190, 1) = 0.12092352076372676e-12, (1190, 2) = -0.63842485058488e-14, (1190, 3) = 0.24897275589764744e-12, (1191, 1) = 0.12819657236533934e-12, (1191, 2) = -0.67540830815654295e-14, (1191, 3) = 0.2462338601946106e-12, (1192, 1) = 0.13030066162238251e-12, (1192, 2) = -0.6382962331738742e-14, (1192, 3) = 0.2438556447733127e-12, (1193, 1) = 0.12602584664816086e-12, (1193, 2) = -0.552673499790739e-14, (1193, 3) = 0.2406648772624544e-12, (1194, 1) = 0.12781898639861257e-12, (1194, 2) = -0.60452561043463955e-14, (1194, 3) = 0.2379791489831791e-12, (1195, 1) = 0.12459701660254595e-12, (1195, 2) = -0.793274076897875e-14, (1195, 3) = 0.23447206101475656e-12, (1196, 1) = 0.11889096222120137e-12, (1196, 2) = -0.662458062171094e-14, (1196, 3) = 0.23230000350014285e-12, (1197, 1) = 0.10039753288928783e-12, (1197, 2) = -0.5459980019628436e-14, (1197, 3) = 0.22939526191606123e-12, (1198, 1) = 0.1272289831239504e-12, (1198, 2) = -0.5638771338578123e-14, (1198, 3) = 0.2279867056177133e-12, (1199, 1) = 0.13885900203601668e-12, (1199, 2) = -0.7577915889795369e-14, (1199, 3) = 0.22504023432407293e-12, (1200, 1) = 0.12941329396623526e-12, (1200, 2) = -0.7330822585642677e-14, (1200, 3) = 0.2232321992568766e-12, (1201, 1) = 0.11836298686279193e-12, (1201, 2) = -0.7891877916075871e-14, (1201, 3) = 0.21927548445307917e-12, (1202, 1) = 0.1342719882246745e-12, (1202, 2) = -0.6342836927020295e-14, (1202, 3) = 0.2187116227627425e-12, (1203, 1) = 0.11261314101425796e-12, (1203, 2) = -0.63684310767056804e-14, (1203, 3) = 0.2157455789983478e-12, (1204, 1) = 0.997347854818297e-13, (1204, 2) = -0.7279216877989036e-14, (1204, 3) = 0.2131895554390014e-12, (1205, 1) = 0.14816632726896688e-12, (1205, 2) = -0.5753451298864112e-14, (1205, 3) = 0.21156580390982227e-12, (1206, 1) = 0.13183766529232606e-12, (1206, 2) = -0.7210584854170899e-14, (1206, 3) = 0.20867125716587168e-12, (1207, 1) = 0.13201023615393866e-12, (1207, 2) = -0.6816973041275503e-14, (1207, 3) = 0.20538922937539205e-12, (1208, 1) = 0.1367908774760525e-12, (1208, 2) = -0.6082642673973244e-14, (1208, 3) = 0.20380998817747312e-12, (1209, 1) = 0.10756128082686848e-12, (1209, 2) = -0.59335559913058015e-14, (1209, 3) = 0.2012124585845626e-12, (1210, 1) = 0.11285129254451031e-12, (1210, 2) = -0.7227598195054976e-14, (1210, 3) = 0.2005830204899726e-12, (1211, 1) = 0.9993524510670105e-13, (1211, 2) = -0.6478390106911012e-14, (1211, 3) = 0.19738265178796465e-12, (1212, 1) = 0.11848348661306436e-12, (1212, 2) = -0.5724012923108459e-14, (1212, 3) = 0.19557196382619558e-12, (1213, 1) = 0.13341671574695805e-12, (1213, 2) = -0.5989614002481264e-14, (1213, 3) = 0.19286106387178053e-12, (1214, 1) = 0.11806343088517293e-12, (1214, 2) = -0.6136615782277183e-14, (1214, 3) = 0.19155608398836781e-12, (1215, 1) = 0.10308221123174073e-12, (1215, 2) = -0.4397381010529198e-14, (1215, 3) = 0.19025071474615938e-12, (1216, 1) = 0.1185177550886631e-12, (1216, 2) = -0.6962628794954077e-14, (1216, 3) = 0.1891733831871051e-12, (1217, 1) = 0.10403353266602009e-12, (1217, 2) = -0.5396057996299153e-14, (1217, 3) = 0.1837581171888265e-12, (1218, 1) = 0.9798306552301797e-13, (1218, 2) = -0.64765786032593156e-14, (1218, 3) = 0.18243828165861412e-12, (1219, 1) = 0.1093353811944083e-12, (1219, 2) = -0.8016013010420425e-14, (1219, 3) = 0.1815013499431597e-12, (1220, 1) = 0.12537681941710698e-12, (1220, 2) = -0.57737179634659265e-14, (1220, 3) = 0.18046390541207662e-12, (1221, 1) = 0.139752616763522e-12, (1221, 2) = -0.5401708288659307e-14, (1221, 3) = 0.1780511743821214e-12, (1222, 1) = 0.10077162720273131e-12, (1222, 2) = -0.6368298112777023e-14, (1222, 3) = 0.1769082597700704e-12, (1223, 1) = 0.1138230780481594e-12, (1223, 2) = -0.5720756911628584e-14, (1223, 3) = 0.1738919078773825e-12, (1224, 1) = 0.13546097738867763e-12, (1224, 2) = -0.5767526961302473e-14, (1224, 3) = 0.1741087978178428e-12, (1225, 1) = 0.10270255774056148e-12, (1225, 2) = -0.5865371468612835e-14, (1225, 3) = 0.17013504515574116e-12, (1226, 1) = 0.12120996056985053e-12, (1226, 2) = -0.60747650794820466e-14, (1226, 3) = 0.16873855127741172e-12, (1227, 1) = 0.13256093279858462e-12, (1227, 2) = -0.6527312902475173e-14, (1227, 3) = 0.16748620328597415e-12, (1228, 1) = 0.9115654880920063e-13, (1228, 2) = -0.5975967215709702e-14, (1228, 3) = 0.16548109196283796e-12, (1229, 1) = 0.11748935251258687e-12, (1229, 2) = -0.63629204818773355e-14, (1229, 3) = 0.16228422814971084e-12, (1230, 1) = 0.110591933072154e-12, (1230, 2) = -0.4753702063058533e-14, (1230, 3) = 0.16164470830056223e-12, (1231, 1) = 0.10886663705297129e-12, (1231, 2) = -0.5679275116681838e-14, (1231, 3) = 0.15941298557778885e-12, (1232, 1) = 0.1475064000294048e-12, (1232, 2) = -0.6896010578626353e-14, (1232, 3) = 0.159109181199629e-12, (1233, 1) = 0.12654712910462492e-12, (1233, 2) = -0.6769548724594826e-14, (1233, 3) = 0.15707924183580093e-12, (1234, 1) = 0.10370079715059866e-12, (1234, 2) = -0.4991870512048898e-14, (1234, 3) = 0.15576952105803235e-12, (1235, 1) = 0.10978414439411809e-12, (1235, 2) = -0.4288337418703772e-14, (1235, 3) = 0.15471221007303064e-12, (1236, 1) = 0.1122128139984301e-12, (1236, 2) = -0.6021413153265521e-14, (1236, 3) = 0.15277188086981455e-12, (1237, 1) = 0.1277420706143254e-12, (1237, 2) = -0.62473761232926384e-14, (1237, 3) = 0.15170903215303426e-12, (1238, 1) = 0.11812072861298014e-12, (1238, 2) = -0.7248049009876725e-14, (1238, 3) = 0.1478870804794771e-12, (1239, 1) = 0.11076425983521747e-12, (1239, 2) = -0.5312858947560127e-14, (1239, 3) = 0.14695560013569657e-12, (1240, 1) = 0.11071443221240838e-12, (1240, 2) = -0.57095756075567455e-14, (1240, 3) = 0.14499928688011121e-12, (1241, 1) = 0.10233464472489218e-12, (1241, 2) = -0.6132610653656126e-14, (1241, 3) = 0.14551000566110317e-12, (1242, 1) = 0.13225424514156318e-12, (1242, 2) = -0.58254100925087545e-14, (1242, 3) = 0.14343252821215135e-12, (1243, 1) = 0.10348737835397158e-12, (1243, 2) = -0.6632417315843153e-14, (1243, 3) = 0.14330819688345108e-12, (1244, 1) = 0.11496802594845828e-12, (1244, 2) = -0.46876212042065424e-14, (1244, 3) = 0.14068122348690424e-12, (1245, 1) = 0.11491873236998488e-12, (1245, 2) = -0.5352932034713846e-14, (1245, 3) = 0.14054254930830675e-12, (1246, 1) = 0.1037284311340364e-12, (1246, 2) = -0.5657303070152537e-14, (1246, 3) = 0.1372971315289607e-12, (1247, 1) = 0.9824075826459224e-13, (1247, 2) = -0.6125456168322193e-14, (1247, 3) = 0.13610391226324276e-12, (1248, 1) = 0.1192782708184413e-12, (1248, 2) = -0.67095981355377416e-14, (1248, 3) = 0.13428645578664688e-12, (1249, 1) = 0.13154680102250545e-12, (1249, 2) = -0.7116780771482026e-14, (1249, 3) = 0.13205638384086423e-12, (1250, 1) = 0.9170539041123706e-13, (1250, 2) = -0.4173323165269192e-14, (1250, 3) = 0.1327074757841744e-12, (1251, 1) = 0.12327779073901877e-12, (1251, 2) = -0.5142018685811038e-14, (1251, 3) = 0.13131915570183463e-12, (1252, 1) = 0.1187062930247655e-12, (1252, 2) = -0.5115345985052374e-14, (1252, 3) = 0.13047272965210214e-12, (1253, 1) = 0.13196083467666718e-12, (1253, 2) = -0.57471290895663365e-14, (1253, 3) = 0.12930970455662842e-12, (1254, 1) = 0.10066027393917351e-12, (1254, 2) = -0.5519890314594882e-14, (1254, 3) = 0.12732696674698784e-12, (1255, 1) = 0.12172009072250486e-12, (1255, 2) = -0.56523437472010465e-14, (1255, 3) = 0.1277866235690602e-12, (1256, 1) = 0.13237610508929214e-12, (1256, 2) = -0.54131603526418e-14, (1256, 3) = 0.1242353973527933e-12, (1257, 1) = 0.14082568285696441e-12, (1257, 2) = -0.48434374900167405e-14, (1257, 3) = 0.12330238476280465e-12, (1258, 1) = 0.9458526337309888e-13, (1258, 2) = -0.5508180537377837e-14, (1258, 3) = 0.12228532164498048e-12, (1259, 1) = 0.13167941408557802e-12, (1259, 2) = -0.5331207437520155e-14, (1259, 3) = 0.12186180948203596e-12, (1260, 1) = 0.1370921648119611e-12, (1260, 2) = -0.4830232079125127e-14, (1260, 3) = 0.11960186621263383e-12, (1261, 1) = 0.1280710015320115e-12, (1261, 2) = -0.54356927159466245e-14, (1261, 3) = 0.11824804093797266e-12, (1262, 1) = 0.10028416068990285e-12, (1262, 2) = -0.5764128169968954e-14, (1262, 3) = 0.11803186127107224e-12, (1263, 1) = 0.10687137420895627e-12, (1263, 2) = -0.4657587352362222e-14, (1263, 3) = 0.11600670707995815e-12, (1264, 1) = 0.12560607697624113e-12, (1264, 2) = -0.45773580203576225e-14, (1264, 3) = 0.115199694483443e-12, (1265, 1) = 0.11978904111151936e-12, (1265, 2) = -0.5045810753616972e-14, (1265, 3) = 0.11339075472692908e-12, (1266, 1) = 0.9579110224728494e-13, (1266, 2) = -0.538893542426573e-14, (1266, 3) = 0.11305932222984741e-12, (1267, 1) = 0.11741212835924581e-12, (1267, 2) = -0.5574821643104759e-14, (1267, 3) = 0.11208129145704391e-12, (1268, 1) = 0.11858956946021693e-12, (1268, 2) = -0.5617762516861301e-14, (1268, 3) = 0.10951412656550626e-12, (1269, 1) = 0.10955936457518723e-12, (1269, 2) = -0.5507768547629674e-14, (1269, 3) = 0.11013896104199975e-12, (1270, 1) = 0.1211585350543035e-12, (1270, 2) = -0.5096653137253938e-14, (1270, 3) = 0.10980415548868604e-12, (1271, 1) = 0.11396408187921064e-12, (1271, 2) = -0.5497483627549363e-14, (1271, 3) = 0.10746978006689247e-12, (1272, 1) = 0.10542910302928903e-12, (1272, 2) = -0.4809847792237548e-14, (1272, 3) = 0.10617990872284125e-12, (1273, 1) = 0.1319400963064527e-12, (1273, 2) = -0.4899947270910257e-14, (1273, 3) = 0.1048816438370885e-12, (1274, 1) = 0.1092417276823203e-12, (1274, 2) = -0.5155224333599101e-14, (1274, 3) = 0.10414814828667496e-12, (1275, 1) = 0.1315077925262191e-12, (1275, 2) = -0.50014403243621975e-14, (1275, 3) = 0.10206155836836571e-12, (1276, 1) = 0.1373742787119702e-12, (1276, 2) = -0.4830965443806425e-14, (1276, 3) = 0.10279454580249388e-12, (1277, 1) = 0.10215319571682459e-12, (1277, 2) = -0.5825314371595773e-14, (1277, 3) = 0.10150929703435553e-12, (1278, 1) = 0.1103084086680754e-12, (1278, 2) = -0.5264495434872547e-14, (1278, 3) = 0.9980619082445427e-13, (1279, 1) = 0.11557259977879968e-12, (1279, 2) = -0.5091038203189627e-14, (1279, 3) = 0.9979806883972639e-13, (1280, 1) = 0.13362890106170818e-12, (1280, 2) = -0.5208541897572978e-14, (1280, 3) = 0.9712362290087774e-13, (1281, 1) = 0.10287908970063269e-12, (1281, 2) = -0.53616887777769466e-14, (1281, 3) = 0.971857926666126e-13, (1282, 1) = 0.14935339755560145e-12, (1282, 2) = -0.45478847598668915e-14, (1282, 3) = 0.9554158070344168e-13, (1283, 1) = 0.11449752336152033e-12, (1283, 2) = -0.4435993532576835e-14, (1283, 3) = 0.9544553013817757e-13, (1284, 1) = 0.9631504878997537e-13, (1284, 2) = -0.4838510197462369e-14, (1284, 3) = 0.9409437403733068e-13, (1285, 1) = 0.12286556641724665e-12, (1285, 2) = -0.4695298858155496e-14, (1285, 3) = 0.9320808624206344e-13, (1286, 1) = 0.10324059027226967e-12, (1286, 2) = -0.52232823352643515e-14, (1286, 3) = 0.9252943222867568e-13, (1287, 1) = 0.10042759376477483e-12, (1287, 2) = -0.4060821121504661e-14, (1287, 3) = 0.9274464762443928e-13, (1288, 1) = 0.11815472321036757e-12, (1288, 2) = -0.5371704648709243e-14, (1288, 3) = 0.9177311874044492e-13, (1289, 1) = 0.11964803122120037e-12, (1289, 2) = -0.4572959213080355e-14, (1289, 3) = 0.8918034017187942e-13, (1290, 1) = 0.11068904006578781e-12, (1290, 2) = -0.4909313084296348e-14, (1290, 3) = 0.8964010028255932e-13, (1291, 1) = 0.12013883722267603e-12, (1291, 2) = -0.52205210769833475e-14, (1291, 3) = 0.8757284233398513e-13, (1292, 1) = 0.12235172821203028e-12, (1292, 2) = -0.4982797321819795e-14, (1292, 3) = 0.8781273000057633e-13, (1293, 1) = 0.1316735648241137e-12, (1293, 2) = -0.5498032416731088e-14, (1293, 3) = 0.8628903928562872e-13, (1294, 1) = 0.10537946157907639e-12, (1294, 2) = -0.5304637788676397e-14, (1294, 3) = 0.8412182918785995e-13, (1295, 1) = 0.11358114038799885e-12, (1295, 2) = -0.5485289500468527e-14, (1295, 3) = 0.8493345253698028e-13, (1296, 1) = 0.11729143735958866e-12, (1296, 2) = -0.4673482564320985e-14, (1296, 3) = 0.8257069444988298e-13, (1297, 1) = 0.11778823867229e-12, (1297, 2) = -0.4282349015900078e-14, (1297, 3) = 0.8208362453678696e-13, (1298, 1) = 0.12172894595631571e-12, (1298, 2) = -0.4808640780728327e-14, (1298, 3) = 0.8056656056731763e-13, (1299, 1) = 0.13499783426210132e-12, (1299, 2) = -0.4180224697969877e-14, (1299, 3) = 0.808135713945044e-13, (1300, 1) = 0.13365127405646712e-12, (1300, 2) = -0.4968650497550104e-14, (1300, 3) = 0.7804296460852182e-13, (1301, 1) = 0.10197312577926124e-12, (1301, 2) = -0.44570198757145565e-14, (1301, 3) = 0.7909404797878668e-13, (1302, 1) = 0.11148257115327944e-12, (1302, 2) = -0.5012952749063242e-14, (1302, 3) = 0.7826553148400486e-13, (1303, 1) = 0.13048397578051227e-12, (1303, 2) = -0.5288870696323963e-14, (1303, 3) = 0.7670609327839895e-13, (1304, 1) = 0.1278982479829805e-12, (1304, 2) = -0.4695867595913507e-14, (1304, 3) = 0.7742696478258711e-13, (1305, 1) = 0.11655337269970853e-12, (1305, 2) = -0.4466737538784529e-14, (1305, 3) = 0.7678109979305884e-13, (1306, 1) = 0.12563635097971016e-12, (1306, 2) = -0.432376548479022e-14, (1306, 3) = 0.7593675560907804e-13, (1307, 1) = 0.1382110695087127e-12, (1307, 2) = -0.5369624659337211e-14, (1307, 3) = 0.7435311690210568e-13, (1308, 1) = 0.14274219854766253e-12, (1308, 2) = -0.476648060552439e-14, (1308, 3) = 0.7349223562246805e-13, (1309, 1) = 0.12406305348051656e-12, (1309, 2) = -0.4450946177075523e-14, (1309, 3) = 0.7190998194193562e-13, (1310, 1) = 0.10642435881336371e-12, (1310, 2) = -0.5333855284050253e-14, (1310, 3) = 0.7230186122720284e-13, (1311, 1) = 0.12395650880856315e-12, (1311, 2) = -0.43356545463057866e-14, (1311, 3) = 0.7012481193635028e-13, (1312, 1) = 0.10448588290066389e-12, (1312, 2) = -0.491941242726546e-14, (1312, 3) = 0.7126723970626875e-13, (1313, 1) = 0.11791832640215975e-12, (1313, 2) = -0.4141103385533242e-14, (1313, 3) = 0.7000317203354533e-13, (1314, 1) = 0.1157657827119203e-12, (1314, 2) = -0.40322960237443405e-14, (1314, 3) = 0.6909426702860478e-13, (1315, 1) = 0.11541688111454432e-12, (1315, 2) = -0.5167350179349457e-14, (1315, 3) = 0.6802807826536365e-13, (1316, 1) = 0.12945458458571175e-12, (1316, 2) = -0.4522994674733743e-14, (1316, 3) = 0.6775176903378259e-13, (1317, 1) = 0.10698658551663442e-12, (1317, 2) = -0.4307657500372506e-14, (1317, 3) = 0.6719202254864283e-13, (1318, 1) = 0.9189233450575107e-13, (1318, 2) = -0.4368583038548418e-14, (1318, 3) = 0.64624844693045e-13, (1319, 1) = 0.12161448957022463e-12, (1319, 2) = -0.4886475337811807e-14, (1319, 3) = 0.6447570611338053e-13, (1320, 1) = 0.8908009094383669e-13, (1320, 2) = -0.5296200608690303e-14, (1320, 3) = 0.6542588873580153e-13, (1321, 1) = 0.10378218518590642e-12, (1321, 2) = -0.4768200421247772e-14, (1321, 3) = 0.6373823607823744e-13, (1322, 1) = 0.1152187193698184e-12, (1322, 2) = -0.4204956312583045e-14, (1322, 3) = 0.6333604065415882e-13, (1323, 1) = 0.12102135117099732e-12, (1323, 2) = -0.441197711471452e-14, (1323, 3) = 0.6228367836983981e-13, (1324, 1) = 0.12444272678097073e-12, (1324, 2) = -0.41380147069826476e-14, (1324, 3) = 0.6120569456881197e-13, (1325, 1) = 0.11698320275795206e-12, (1325, 2) = -0.4029318852689777e-14, (1325, 3) = 0.6016126851096729e-13, (1326, 1) = 0.9659021620338814e-13, (1326, 2) = -0.4007140345840145e-14, (1326, 3) = 0.6129721146781599e-13, (1327, 1) = 0.9390810171359672e-13, (1327, 2) = -0.4128698345947494e-14, (1327, 3) = 0.6003588685328384e-13, (1328, 1) = 0.1033060352745232e-12, (1328, 2) = -0.48183750890822464e-14, (1328, 3) = 0.58579059536169e-13, (1329, 1) = 0.10370533594057414e-12, (1329, 2) = -0.4268465168898116e-14, (1329, 3) = 0.5816839297974163e-13, (1330, 1) = 0.12888202232427823e-12, (1330, 2) = -0.4615875792779952e-14, (1330, 3) = 0.5802053907768592e-13, (1331, 1) = 0.10409802630028443e-12, (1331, 2) = -0.4261577222692742e-14, (1331, 3) = 0.5687411510172341e-13, (1332, 1) = 0.10592613375168826e-12, (1332, 2) = -0.4672003610537084e-14, (1332, 3) = 0.5660196963678369e-13, (1333, 1) = 0.1207206855027848e-12, (1333, 2) = -0.39383651426571575e-14, (1333, 3) = 0.5716796813536515e-13, (1334, 1) = 0.13789327413058668e-12, (1334, 2) = -0.3761921012148203e-14, (1334, 3) = 0.5504736234368765e-13, (1335, 1) = 0.1174027902544967e-12, (1335, 2) = -0.46286419437913506e-14, (1335, 3) = 0.55042071657102893e-13, (1336, 1) = 0.1097319171614309e-12, (1336, 2) = -0.3514202188689882e-14, (1336, 3) = 0.5530818819220279e-13, (1337, 1) = 0.11146251452481625e-12, (1337, 2) = -0.410135066249845e-14, (1337, 3) = 0.5366051340233337e-13, (1338, 1) = 0.11208047455751789e-12, (1338, 2) = -0.297854248006965e-14, (1338, 3) = 0.533208189945097e-13, (1339, 1) = 0.11295176529554263e-12, (1339, 2) = -0.3719585845434827e-14, (1339, 3) = 0.5224586754734669e-13, (1340, 1) = 0.12447472757650504e-12, (1340, 2) = -0.36556570549664494e-14, (1340, 3) = 0.5176182248680105e-13, (1341, 1) = 0.1162510102041284e-12, (1341, 2) = -0.4089368293798262e-14, (1341, 3) = 0.5042398948299538e-13, (1342, 1) = 0.11250603405777613e-12, (1342, 2) = -0.4262917322716516e-14, (1342, 3) = 0.5107192496158752e-13, (1343, 1) = 0.11380074881806892e-12, (1343, 2) = -0.4367463755405135e-14, (1343, 3) = 0.48167376882524327e-13, (1344, 1) = 0.10531207798122839e-12, (1344, 2) = -0.38780436558420454e-14, (1344, 3) = 0.49842553907250676e-13, (1345, 1) = 0.1168971554108207e-12, (1345, 2) = -0.36372297424469615e-14, (1345, 3) = 0.47783109477245577e-13, (1346, 1) = 0.10195793911963952e-12, (1346, 2) = -0.43971673328279765e-14, (1346, 3) = 0.4835673252574505e-13, (1347, 1) = 0.10307908533449984e-12, (1347, 2) = -0.4105190246749532e-14, (1347, 3) = 0.4674906669126382e-13, (1348, 1) = 0.12937527655833247e-12, (1348, 2) = -0.4511951552368405e-14, (1348, 3) = 0.46375048889624376e-13, (1349, 1) = 0.10337423262840366e-12, (1349, 2) = -0.3594476730920352e-14, (1349, 3) = 0.45613562654667824e-13, (1350, 1) = 0.1197205266975918e-12, (1350, 2) = -0.38709673003836345e-14, (1350, 3) = 0.467992464044686e-13, (1351, 1) = 0.12010607754619434e-12, (1351, 2) = -0.33478189708013374e-14, (1351, 3) = 0.46695636988376313e-13, (1352, 1) = 0.9570849278342388e-13, (1352, 2) = -0.37729030586956056e-14, (1352, 3) = 0.4582021722594364e-13, (1353, 1) = 0.9568712613307396e-13, (1353, 2) = -0.4147462434862836e-14, (1353, 3) = 0.44434517293919376e-13, (1354, 1) = 0.10561965705661723e-12, (1354, 2) = -0.41126293717701795e-14, (1354, 3) = 0.4354275000186987e-13, (1355, 1) = 0.13562769814971502e-12, (1355, 2) = -0.3856440109840363e-14, (1355, 3) = 0.4316087182030382e-13, (1356, 1) = 0.12152371491332101e-12, (1356, 2) = -0.3609929239853172e-14, (1356, 3) = 0.423597932218391e-13, (1357, 1) = 0.11255210555659657e-12, (1357, 2) = -0.3996112906546424e-14, (1357, 3) = 0.4266132256136749e-13, (1358, 1) = 0.11909709592473516e-12, (1358, 2) = -0.39919527917242346e-14, (1358, 3) = 0.41635502493764274e-13, (1359, 1) = 0.9957857648651312e-13, (1359, 2) = -0.37304003669583196e-14, (1359, 3) = 0.40838167415912525e-13, (1360, 1) = 0.1263100073329224e-12, (1360, 2) = -0.31829340518195837e-14, (1360, 3) = 0.4074279803567293e-13, (1361, 1) = 0.12423061747492097e-12, (1361, 2) = -0.37847770912983385e-14, (1361, 3) = 0.41596960488440306e-13, (1362, 1) = 0.790880424828441e-13, (1362, 2) = -0.34601894191751422e-14, (1362, 3) = 0.4032349950569215e-13, (1363, 1) = 0.11977734618049312e-12, (1363, 2) = -0.44020720505529976e-14, (1363, 3) = 0.3984479081715186e-13, (1364, 1) = 0.13303670953855035e-12, (1364, 2) = -0.32782943482667963e-14, (1364, 3) = 0.4067887618539772e-13, (1365, 1) = 0.12853032052710494e-12, (1365, 2) = -0.3668702291722987e-14, (1365, 3) = 0.3851596012791618e-13, (1366, 1) = 0.10584364606966747e-12, (1366, 2) = -0.34819159641598824e-14, (1366, 3) = 0.39569693034644134e-13, (1367, 1) = 0.12303755859582664e-12, (1367, 2) = -0.4278710016062363e-14, (1367, 3) = 0.3697560531232818e-13, (1368, 1) = 0.14425909638727213e-12, (1368, 2) = -0.3792936002853793e-14, (1368, 3) = 0.36859682193160633e-13, (1369, 1) = 0.11202309846643562e-12, (1369, 2) = -0.3295453344210862e-14, (1369, 3) = 0.36664352537067325e-13, (1370, 1) = 0.12156611325802238e-12, (1370, 2) = -0.4124940282309982e-14, (1370, 3) = 0.3627939158911803e-13, (1371, 1) = 0.10277101823843255e-12, (1371, 2) = -0.40452780178793846e-14, (1371, 3) = 0.35826586073880086e-13, (1372, 1) = 0.11010962256586172e-12, (1372, 2) = -0.3225081948467178e-14, (1372, 3) = 0.35399512793740634e-13, (1373, 1) = 0.10330321754980303e-12, (1373, 2) = -0.3542619272365754e-14, (1373, 3) = 0.3560436452618478e-13, (1374, 1) = 0.10873326355446408e-12, (1374, 2) = -0.30469102327969667e-14, (1374, 3) = 0.34919038182046574e-13, (1375, 1) = 0.10078507606221186e-12, (1375, 2) = -0.3667090984585451e-14, (1375, 3) = 0.3372176347964678e-13, (1376, 1) = 0.123277631588336e-12, (1376, 2) = -0.2933310854980605e-14, (1376, 3) = 0.34816277676419415e-13, (1377, 1) = 0.11515777554477663e-12, (1377, 2) = -0.4077305640926551e-14, (1377, 3) = 0.34486583812917423e-13, (1378, 1) = 0.10007625694226771e-12, (1378, 2) = -0.34866468564181504e-14, (1378, 3) = 0.341205604201401e-13, (1379, 1) = 0.11907858560936307e-12, (1379, 2) = -0.32932553197448594e-14, (1379, 3) = 0.32562868823245815e-13, (1380, 1) = 0.931426885450759e-13, (1380, 2) = -0.3663857812924358e-14, (1380, 3) = 0.32282345177893583e-13, (1381, 1) = 0.10782724455195003e-12, (1381, 2) = -0.34850608165861655e-14, (1381, 3) = 0.3269638143973384e-13, (1382, 1) = 0.12968028000569235e-12, (1382, 2) = -0.36439216418843126e-14, (1382, 3) = 0.31642883566838594e-13, (1383, 1) = 0.11235537163352882e-12, (1383, 2) = -0.41866938760554236e-14, (1383, 3) = 0.31923423882274166e-13, (1384, 1) = 0.11075701464917252e-12, (1384, 2) = -0.3369287571232632e-14, (1384, 3) = 0.30692680877614374e-13, (1385, 1) = 0.12691408142122055e-12, (1385, 2) = -0.36698367732199065e-14, (1385, 3) = 0.29477334305022685e-13, (1386, 1) = 0.12099117036543884e-12, (1386, 2) = -0.3397447421216174e-14, (1386, 3) = 0.294233362475952e-13, (1387, 1) = 0.1141601075146169e-12, (1387, 2) = -0.2885505291200113e-14, (1387, 3) = 0.3011652150826608e-13, (1388, 1) = 0.9583907137337459e-13, (1388, 2) = -0.3676022321599413e-14, (1388, 3) = 0.29882851427955936e-13, (1389, 1) = 0.1173330232574394e-12, (1389, 2) = -0.34464124077118363e-14, (1389, 3) = 0.2954716895623634e-13, (1390, 1) = 0.1115637170524611e-12, (1390, 2) = -0.3780685578650796e-14, (1390, 3) = 0.28517724805875386e-13, (1391, 1) = 0.10535585667500638e-12, (1391, 2) = -0.4736830572739439e-14, (1391, 3) = 0.2812204067945727e-13, (1392, 1) = 0.11545548001396413e-12, (1392, 2) = -0.41605951695351936e-14, (1392, 3) = 0.27381496720425904e-13, (1393, 1) = 0.12769187355708443e-12, (1393, 2) = -0.2749518457585725e-14, (1393, 3) = 0.27282165112448234e-13, (1394, 1) = 0.9974005060207566e-13, (1394, 2) = -0.2970309746095225e-14, (1394, 3) = 0.26960573915006413e-13, (1395, 1) = 0.10854844052173222e-12, (1395, 2) = -0.29502043970568875e-14, (1395, 3) = 0.26040233586574973e-13, (1396, 1) = 0.10818191957279678e-12, (1396, 2) = -0.3749012602531565e-14, (1396, 3) = 0.26842033738826928e-13, (1397, 1) = 0.11092872708756149e-12, (1397, 2) = -0.4108369878063056e-14, (1397, 3) = 0.26291522340606806e-13, (1398, 1) = 0.12456627893906363e-12, (1398, 2) = -0.3485262191608959e-14, (1398, 3) = 0.25487327171406006e-13, (1399, 1) = 0.14877223717945947e-12, (1399, 2) = -0.24559840512995878e-14, (1399, 3) = 0.25232118916215778e-13, (1400, 1) = 0.12130550240184689e-12, (1400, 2) = -0.35079619572344895e-14, (1400, 3) = 0.24428908491195076e-13, (1401, 1) = 0.1146779256463792e-12, (1401, 2) = -0.35318609776401624e-14, (1401, 3) = 0.2530510108740333e-13, (1402, 1) = 0.11674021416976053e-12, (1402, 2) = -0.3807698453518033e-14, (1402, 3) = 0.2568340413144391e-13, (1403, 1) = 0.11172212733654978e-12, (1403, 2) = -0.3772174713716539e-14, (1403, 3) = 0.24582701838100143e-13, (1404, 1) = 0.1212387710622961e-12, (1404, 2) = -0.3717316002826477e-14, (1404, 3) = 0.24010578108721757e-13, (1405, 1) = 0.12868322758846804e-12, (1405, 2) = -0.361244166014241e-14, (1405, 3) = 0.2292506599222825e-13, (1406, 1) = 0.13093826229385154e-12, (1406, 2) = -0.39328698913399256e-14, (1406, 3) = 0.22852004615877543e-13, (1407, 1) = 0.934173078522443e-13, (1407, 2) = -0.3098732354863447e-14, (1407, 3) = 0.23207017368665883e-13, (1408, 1) = 0.11144900255211822e-12, (1408, 2) = -0.3735302337972478e-14, (1408, 3) = 0.22737186940167587e-13, (1409, 1) = 0.8102371198926309e-13, (1409, 2) = -0.35308341134962275e-14, (1409, 3) = 0.23752697495492966e-13, (1410, 1) = 0.12586572293429174e-12, (1410, 2) = -0.31110357086206666e-14, (1410, 3) = 0.2164393076250874e-13, (1411, 1) = 0.1211485199879963e-12, (1411, 2) = -0.41862351524102786e-14, (1411, 3) = 0.22657712475416623e-13, (1412, 1) = 0.12682640856642562e-12, (1412, 2) = -0.22995984815872205e-14, (1412, 3) = 0.2198328193249268e-13, (1413, 1) = 0.140934948622339e-12, (1413, 2) = -0.3525637129790273e-14, (1413, 3) = 0.216512149242081e-13, (1414, 1) = 0.13346206776374424e-12, (1414, 2) = -0.35338581957505492e-14, (1414, 3) = 0.22378244738270955e-13, (1415, 1) = 0.11063883941742918e-12, (1415, 2) = -0.3377739210280903e-14, (1415, 3) = 0.222740604330888e-13, (1416, 1) = 0.10151339107765637e-12, (1416, 2) = -0.3321924495409944e-14, (1416, 3) = 0.2034417571202123e-13, (1417, 1) = 0.1171009113115555e-12, (1417, 2) = -0.27803801191761527e-14, (1417, 3) = 0.20842602894617398e-13, (1418, 1) = 0.9365669277552295e-13, (1418, 2) = -0.3200229679906589e-14, (1418, 3) = 0.19822443932389262e-13, (1419, 1) = 0.10579898730180025e-12, (1419, 2) = -0.3774117143331035e-14, (1419, 3) = 0.20543741500301217e-13, (1420, 1) = 0.9988295761370963e-13, (1420, 2) = -0.31492432268399187e-14, (1420, 3) = 0.19483493272478828e-13, (1421, 1) = 0.886826863856912e-13, (1421, 2) = -0.30358053579447617e-14, (1421, 3) = 0.1871483944366005e-13, (1422, 1) = 0.115899635497535e-12, (1422, 2) = -0.2825495216854065e-14, (1422, 3) = 0.19601810326100705e-13, (1423, 1) = 0.13438952094003814e-12, (1423, 2) = -0.24473787561404737e-14, (1423, 3) = 0.1927099519645945e-13, (1424, 1) = 0.11953029964910563e-12, (1424, 2) = -0.33809308054869857e-14, (1424, 3) = 0.19605522935579715e-13, (1425, 1) = 0.8800079648192924e-13, (1425, 2) = -0.28972504245118196e-14, (1425, 3) = 0.1897972598159599e-13, (1426, 1) = 0.1134153673776273e-12, (1426, 2) = -0.40196731181447225e-14, (1426, 3) = 0.18424729410195165e-13, (1427, 1) = 0.13874981183433323e-12, (1427, 2) = -0.3777706129872085e-14, (1427, 3) = 0.1904952223773494e-13, (1428, 1) = 0.11862920836906098e-12, (1428, 2) = -0.33275492805115257e-14, (1428, 3) = 0.18299896832928362e-13, (1429, 1) = 0.9593930853555567e-13, (1429, 2) = -0.24981903881377846e-14, (1429, 3) = 0.1822517437279634e-13, (1430, 1) = 0.12737178990626077e-12, (1430, 2) = -0.2967912331935535e-14, (1430, 3) = 0.168693666011836e-13, (1431, 1) = 0.12478682998046247e-12, (1431, 2) = -0.30681610091843107e-14, (1431, 3) = 0.17452078506435416e-13, (1432, 1) = 0.10746942127645457e-12, (1432, 2) = -0.3602378109330004e-14, (1432, 3) = 0.17902844668768205e-13, (1433, 1) = 0.12763233481558143e-12, (1433, 2) = -0.32556510249457163e-14, (1433, 3) = 0.17231565342961133e-13, (1434, 1) = 0.10445166707384042e-12, (1434, 2) = -0.32671721628187544e-14, (1434, 3) = 0.16700319784881067e-13, (1435, 1) = 0.946509897347577e-13, (1435, 2) = -0.34708077203281532e-14, (1435, 3) = 0.17366118200298613e-13, (1436, 1) = 0.9110947910415847e-13, (1436, 2) = -0.3553572949114033e-14, (1436, 3) = 0.1593956101808021e-13, (1437, 1) = 0.14157146370555045e-12, (1437, 2) = -0.2562493860051747e-14, (1437, 3) = 0.15640578584084072e-13, (1438, 1) = 0.1224799872798389e-12, (1438, 2) = -0.32385164029195903e-14, (1438, 3) = 0.1551735345041641e-13, (1439, 1) = 0.10519066302692197e-12, (1439, 2) = -0.36135314274448195e-14, (1439, 3) = 0.16198452545509907e-13, (1440, 1) = 0.10455224469237696e-12, (1440, 2) = -0.28550172985871384e-14, (1440, 3) = 0.15088562139596904e-13, (1441, 1) = 0.12362887587956272e-12, (1441, 2) = -0.28406160373667657e-14, (1441, 3) = 0.15144628507843327e-13, (1442, 1) = 0.1181768603074694e-12, (1442, 2) = -0.34348865444312127e-14, (1442, 3) = 0.14652150092737917e-13, (1443, 1) = 0.9490264155834608e-13, (1443, 2) = -0.32477565141791835e-14, (1443, 3) = 0.15382166305241657e-13, (1444, 1) = 0.9792969593133828e-13, (1444, 2) = -0.3036789273571558e-14, (1444, 3) = 0.15531850512209045e-13, (1445, 1) = 0.128605884085954e-12, (1445, 2) = -0.30434393531371256e-14, (1445, 3) = 0.1434139067065701e-13, (1446, 1) = 0.10705046774362864e-12, (1446, 2) = -0.27540231986083728e-14, (1446, 3) = 0.1472887843759191e-13, (1447, 1) = 0.14122071768736573e-12, (1447, 2) = -0.26766343701254157e-14, (1447, 3) = 0.14800907488169868e-13, (1448, 1) = 0.11409200624294036e-12, (1448, 2) = -0.3498010382681089e-14, (1448, 3) = 0.14293523944333192e-13, (1449, 1) = 0.10524732169366534e-12, (1449, 2) = -0.28376662701490704e-14, (1449, 3) = 0.14012615711319838e-13, (1450, 1) = 0.12789335039075258e-12, (1450, 2) = -0.22200510366585328e-14, (1450, 3) = 0.13748533509475299e-13, (1451, 1) = 0.12068627234845908e-12, (1451, 2) = -0.26188100112147867e-14, (1451, 3) = 0.12776490731279772e-13, (1452, 1) = 0.11037602076863884e-12, (1452, 2) = -0.2440189309426483e-14, (1452, 3) = 0.13533494531303213e-13, (1453, 1) = 0.10932170267015985e-12, (1453, 2) = -0.3011143480769458e-14, (1453, 3) = 0.12482982209105678e-13, (1454, 1) = 0.1254036141172599e-12, (1454, 2) = -0.26552330553081872e-14, (1454, 3) = 0.13335852165961694e-13, (1455, 1) = 0.14345412709888323e-12, (1455, 2) = -0.26861164535788448e-14, (1455, 3) = 0.11106313641958392e-13, (1456, 1) = 0.12129362066124372e-12, (1456, 2) = -0.34522996682660543e-14, (1456, 3) = 0.11790885259230182e-13, (1457, 1) = 0.10957791326535978e-12, (1457, 2) = -0.19547892937165214e-14, (1457, 3) = 0.11388526148396548e-13, (1458, 1) = 0.11421886415867466e-12, (1458, 2) = -0.3098880640340007e-14, (1458, 3) = 0.12319300712999462e-13, (1459, 1) = 0.10573259966136498e-12, (1459, 2) = -0.36337863160270465e-14, (1459, 3) = 0.12973050706484432e-13, (1460, 1) = 0.9932599537731597e-13, (1460, 2) = -0.30182225304455915e-14, (1460, 3) = 0.12692740531513346e-13, (1461, 1) = 0.10461677043541164e-12, (1461, 2) = -0.27868225989520883e-14, (1461, 3) = 0.9561798197073857e-14, (1462, 1) = 0.8845766323920221e-13, (1462, 2) = -0.23999561601381563e-14, (1462, 3) = 0.1108946485262708e-13, (1463, 1) = 0.1315950003846812e-12, (1463, 2) = -0.32284592638692355e-14, (1463, 3) = 0.12423698355345866e-13, (1464, 1) = 0.10359903871598473e-12, (1464, 2) = -0.25568236579140827e-14, (1464, 3) = 0.1055293160403647e-13, (1465, 1) = 0.1023907243379885e-12, (1465, 2) = -0.25589001563123117e-14, (1465, 3) = 0.1217392189481526e-13, (1466, 1) = 0.11228147011166894e-12, (1466, 2) = -0.30543436275546034e-14, (1466, 3) = 0.12229323131703697e-13, (1467, 1) = 0.10550355959710137e-12, (1467, 2) = -0.28973223038108165e-14, (1467, 3) = 0.10875821365602979e-13, (1468, 1) = 0.1366707177002343e-12, (1468, 2) = -0.24904255644041573e-14, (1468, 3) = 0.12495248941707124e-13, (1469, 1) = 0.10432288136837726e-12, (1469, 2) = -0.313465875987479e-14, (1469, 3) = 0.11163810082866375e-13, (1470, 1) = 0.9742313587026591e-13, (1470, 2) = -0.27047491578465282e-14, (1470, 3) = 0.11089338056412848e-13, (1471, 1) = 0.1275787155801863e-12, (1471, 2) = -0.2546926471688021e-14, (1471, 3) = 0.10080208045064031e-13, (1472, 1) = 0.13636786422258432e-12, (1472, 2) = -0.2981762432098624e-14, (1472, 3) = 0.10720038120297355e-13, (1473, 1) = 0.12163452187347498e-12, (1473, 2) = -0.282762417793119e-14, (1473, 3) = 0.1018661586630344e-13, (1474, 1) = 0.12228182900966778e-12, (1474, 2) = -0.21893106841610357e-14, (1474, 3) = 0.9962993786243992e-14, (1475, 1) = 0.9733610057880124e-13, (1475, 2) = -0.31929095709658305e-14, (1475, 3) = 0.9213887154916277e-14, (1476, 1) = 0.9835369770043619e-13, (1476, 2) = -0.2280093374158519e-14, (1476, 3) = 0.9176774983757373e-14, (1477, 1) = 0.1415058924733696e-12, (1477, 2) = -0.29778525757717974e-14, (1477, 3) = 0.10344903166910681e-13, (1478, 1) = 0.12926930150599816e-12, (1478, 2) = -0.29431400991058194e-14, (1478, 3) = 0.9717900674708063e-14, (1479, 1) = 0.9974217475372498e-13, (1479, 2) = -0.25505440823997065e-14, (1479, 3) = 0.955752057554349e-14, (1480, 1) = 0.1272871555506716e-12, (1480, 2) = -0.2307644326483785e-14, (1480, 3) = 0.9447547638125867e-14, (1481, 1) = 0.1217288970648606e-12, (1481, 2) = -0.2709938136898509e-14, (1481, 3) = 0.9267389676282344e-14, (1482, 1) = 0.10203324863203618e-12, (1482, 2) = -0.2789958371152883e-14, (1482, 3) = 0.10560942013094495e-13, (1483, 1) = 0.1108198798974125e-12, (1483, 2) = -0.2809090484132121e-14, (1483, 3) = 0.8628654018321865e-14, (1484, 1) = 0.10063575191479108e-12, (1484, 2) = -0.28313429975327368e-14, (1484, 3) = 0.10105597763377414e-13, (1485, 1) = 0.10596896862867353e-12, (1485, 2) = -0.29098092914550697e-14, (1485, 3) = 0.7732896432032358e-14, (1486, 1) = 0.10753119229472261e-12, (1486, 2) = -0.26325161438953028e-14, (1486, 3) = 0.9886310243999488e-14, (1487, 1) = 0.12261452949253408e-12, (1487, 2) = -0.24853183023070196e-14, (1487, 3) = 0.876270977086482e-14, (1488, 1) = 0.12829920324750446e-12, (1488, 2) = -0.2687373508326641e-14, (1488, 3) = 0.10549779694299294e-13, (1489, 1) = 0.1236030245359103e-12, (1489, 2) = -0.22372438967934446e-14, (1489, 3) = 0.8183238988185489e-14, (1490, 1) = 0.10023842644589693e-12, (1490, 2) = -0.26393498346399665e-14, (1490, 3) = 0.7877258690549415e-14, (1491, 1) = 0.11009889997112654e-12, (1491, 2) = -0.21868127738732933e-14, (1491, 3) = 0.7839944647218707e-14, (1492, 1) = 0.10835895132573513e-12, (1492, 2) = -0.25443571563691895e-14, (1492, 3) = 0.7906298385926474e-14, (1493, 1) = 0.11877921867963288e-12, (1493, 2) = -0.26231586750930474e-14, (1493, 3) = 0.7594346324566903e-14, (1494, 1) = 0.11931930706371244e-12, (1494, 2) = -0.23462008500147967e-14, (1494, 3) = 0.8048013384627951e-14, (1495, 1) = 0.10561771699652905e-12, (1495, 2) = -0.2934142206858225e-14, (1495, 3) = 0.7933990584807322e-14, (1496, 1) = 0.9924649477289371e-13, (1496, 2) = -0.23258588186380207e-14, (1496, 3) = 0.9283232013844482e-14, (1497, 1) = 0.12032418626887144e-12, (1497, 2) = -0.2399459323058239e-14, (1497, 3) = 0.9022399242751958e-14, (1498, 1) = 0.12234090866800994e-12, (1498, 2) = -0.2392157391499182e-14, (1498, 3) = 0.8041632973201837e-14, (1499, 1) = 0.10180390262191543e-12, (1499, 2) = -0.23999300790825208e-14, (1499, 3) = 0.66586586211444576e-14, (1500, 1) = 0.11769185628917164e-12, (1500, 2) = -0.2743775983712254e-14, (1500, 3) = 0.7021235864817025e-14, (1501, 1) = 0.11815780257024054e-12, (1501, 2) = -0.24837033417336906e-14, (1501, 3) = 0.7330588423520814e-14, (1502, 1) = 0.12138383096440193e-12, (1502, 2) = -0.27294891503545617e-14, (1502, 3) = 0.820346926127962e-14, (1503, 1) = 0.10840800914099995e-12, (1503, 2) = -0.2803178541102481e-14, (1503, 3) = 0.7533688817134918e-14, (1504, 1) = 0.10926075211185069e-12, (1504, 2) = -0.2740182539126411e-14, (1504, 3) = 0.5930786866688395e-14, (1505, 1) = 0.1002065222121167e-12, (1505, 2) = -0.26779755613569455e-14, (1505, 3) = 0.7467590775421183e-14, (1506, 1) = 0.12589711319049098e-12, (1506, 2) = -0.2614565032983743e-14, (1506, 3) = 0.6213239433678991e-14, (1507, 1) = 0.1218324261435584e-12, (1507, 2) = -0.24918783761728844e-14, (1507, 3) = 0.7059197955810092e-14, (1508, 1) = 0.1298589515828681e-12, (1508, 2) = -0.2300774437565949e-14, (1508, 3) = 0.6782444461194405e-14, (1509, 1) = 0.10092431969166896e-12, (1509, 2) = -0.2187315899620248e-14, (1509, 3) = 0.7285006366419843e-14, (1510, 1) = 0.11233458301612956e-12, (1510, 2) = -0.2557611400468147e-14, (1510, 3) = 0.6258371369061684e-14, (1511, 1) = 0.11702693044550196e-12, (1511, 2) = -0.2280549395506631e-14, (1511, 3) = 0.7310898640892258e-14, (1512, 1) = 0.1304207866299666e-12, (1512, 2) = -0.2308813820459624e-14, (1512, 3) = 0.807289422162689e-14, (1513, 1) = 0.1225960411341074e-12, (1513, 2) = -0.2471959179392779e-14, (1513, 3) = 0.60162742567175295e-14, (1514, 1) = 0.10000353794076977e-12, (1514, 2) = -0.23452548131994316e-14, (1514, 3) = 0.7614964274249166e-14, (1515, 1) = 0.1100896021414239e-12, (1515, 2) = -0.2005886406332043e-14, (1515, 3) = 0.6499438846131813e-14, (1516, 1) = 0.10639740352150202e-12, (1516, 2) = -0.24990159946839283e-14, (1516, 3) = 0.60155525712130464e-14, (1517, 1) = 0.13837365024425192e-12, (1517, 2) = -0.2242819442802821e-14, (1517, 3) = 0.65095078077633694e-14, (1518, 1) = 0.12775470030469107e-12, (1518, 2) = -0.23148723185924458e-14, (1518, 3) = 0.6351130110767559e-14, (1519, 1) = 0.13019294743390483e-12, (1519, 2) = -0.24449291992842446e-14, (1519, 3) = 0.6282693040819334e-14, (1520, 1) = 0.10937425041709805e-12, (1520, 2) = -0.23230197603751725e-14, (1520, 3) = 0.52722417368249086e-14, (1521, 1) = 0.11556077460803635e-12, (1521, 2) = -0.2392426019608409e-14, (1521, 3) = 0.6365935056546458e-14, (1522, 1) = 0.11610165688692185e-12, (1522, 2) = -0.23459988582568585e-14, (1522, 3) = 0.7080600346410399e-14, (1523, 1) = 0.1101103192412985e-12, (1523, 2) = -0.21801322096651394e-14, (1523, 3) = 0.6199061740719741e-14, (1524, 1) = 0.11696401742212613e-12, (1524, 2) = -0.24158496184539932e-14, (1524, 3) = 0.55908059197556714e-14, (1525, 1) = 0.9216371796706327e-13, (1525, 2) = -0.21290554266432907e-14, (1525, 3) = 0.5145772294886293e-14, (1526, 1) = 0.12232117246467754e-12, (1526, 2) = -0.25585703330562617e-14, (1526, 3) = 0.5968106009043442e-14, (1527, 1) = 0.9123451874770457e-13, (1527, 2) = -0.2355623634345935e-14, (1527, 3) = 0.6041600964261834e-14, (1528, 1) = 0.12629084150288177e-12, (1528, 2) = -0.23212869367696904e-14, (1528, 3) = 0.5530075492984273e-14, (1529, 1) = 0.11495158176265832e-12, (1529, 2) = -0.18384968862561063e-14, (1529, 3) = 0.5976498339962847e-14, (1530, 1) = 0.8278935592761132e-13, (1530, 2) = -0.26364062275102174e-14, (1530, 3) = 0.5752685434553109e-14, (1531, 1) = 0.14199550004986826e-12, (1531, 2) = -0.23633549843609926e-14, (1531, 3) = 0.608465012239522e-14, (1532, 1) = 0.8610714592630481e-13, (1532, 2) = -0.205663402689446e-14, (1532, 3) = 0.60651210861167565e-14, (1533, 1) = 0.10918229898337723e-12, (1533, 2) = -0.2187728497492509e-14, (1533, 3) = 0.6288194827797631e-14, (1534, 1) = 0.12316260524656973e-12, (1534, 2) = -0.22619738815138387e-14, (1534, 3) = 0.6470301081477064e-14, (1535, 1) = 0.11002926586382453e-12, (1535, 2) = -0.22560331074379805e-14, (1535, 3) = 0.5078308267973965e-14, (1536, 1) = 0.11366096370620613e-12, (1536, 2) = -0.27580291958235295e-14, (1536, 3) = 0.51255018795086704e-14, (1537, 1) = 0.12249681912667176e-12, (1537, 2) = -0.19878162746187363e-14, (1537, 3) = 0.58179303721472914e-14, (1538, 1) = 0.9210161857438813e-13, (1538, 2) = -0.2372502587112557e-14, (1538, 3) = 0.445432664771925e-14, (1539, 1) = 0.11555562898021886e-12, (1539, 2) = -0.2133602679248811e-14, (1539, 3) = 0.5479100207938616e-14, (1540, 1) = 0.11662729607748445e-12, (1540, 2) = -0.227942309979777e-14, (1540, 3) = 0.5753992673828809e-14, (1541, 1) = 0.10743101781011378e-12, (1541, 2) = -0.23121345709324556e-14, (1541, 3) = 0.34728202885082087e-14, (1542, 1) = 0.1200078075405605e-12, (1542, 2) = -0.2125454357636935e-14, (1542, 3) = 0.4603270669164185e-14, (1543, 1) = 0.12090178370491488e-12, (1543, 2) = -0.22915976237288434e-14, (1543, 3) = 0.5423471649811573e-14, (1544, 1) = 0.11941138766232146e-12, (1544, 2) = -0.25783822202757916e-14, (1544, 3) = 0.5765665722232413e-14, (1545, 1) = 0.11690239094452025e-12, (1545, 2) = -0.2495571913565036e-14, (1545, 3) = 0.51521923959434975e-14, (1546, 1) = 0.10440959707755623e-12, (1546, 2) = -0.22129913117531186e-14, (1546, 3) = 0.5085595309170722e-14, (1547, 1) = 0.8757875608135841e-13, (1547, 2) = -0.2155576167934665e-14, (1547, 3) = 0.52370645053123825e-14, (1548, 1) = 0.12042038600175796e-12, (1548, 2) = -0.2138794550912719e-14, (1548, 3) = 0.457861866468461e-14, (1549, 1) = 0.11685504030992025e-12, (1549, 2) = -0.24921080592334387e-14, (1549, 3) = 0.51111517225704385e-14, (1550, 1) = 0.14526270136327705e-12, (1550, 2) = -0.2236387745105719e-14, (1550, 3) = 0.51813204223258715e-14, (1551, 1) = 0.11227969903580828e-12, (1551, 2) = -0.1988789976628631e-14, (1551, 3) = 0.4742237774751014e-14, (1552, 1) = 0.9724414828281526e-13, (1552, 2) = -0.2169261968533866e-14, (1552, 3) = 0.4788549486291152e-14, (1553, 1) = 0.11339120876264401e-12, (1553, 2) = -0.25042274683396795e-14, (1553, 3) = 0.6783105884758702e-14, (1554, 1) = 0.1289493673916802e-12, (1554, 2) = -0.23341653500672542e-14, (1554, 3) = 0.4830831451212549e-14, (1555, 1) = 0.12343178609226682e-12, (1555, 2) = -0.19580622099628057e-14, (1555, 3) = 0.5519117818972963e-14, (1556, 1) = 0.12159525444182682e-12, (1556, 2) = -0.23969059488938573e-14, (1556, 3) = 0.5658398841098158e-14, (1557, 1) = 0.1147586030544425e-12, (1557, 2) = -0.22193612881900498e-14, (1557, 3) = 0.57388245266525685e-14, (1558, 1) = 0.12039450497400154e-12, (1558, 2) = -0.1810293670642987e-14, (1558, 3) = 0.4942446601113352e-14, (1559, 1) = 0.12163687813896258e-12, (1559, 2) = -0.23277858481545422e-14, (1559, 3) = 0.4612746487709045e-14, (1560, 1) = 0.11234703804932779e-12, (1560, 2) = -0.21539233385529205e-14, (1560, 3) = 0.52063307805524024e-14, (1561, 1) = 0.119271424085345e-12, (1561, 2) = -0.22072417952590836e-14, (1561, 3) = 0.4401571260172424e-14, (1562, 1) = 0.9998560365726812e-13, (1562, 2) = -0.19563861093211932e-14, (1562, 3) = 0.3815821068701053e-14, (1563, 1) = 0.11667424632235326e-12, (1563, 2) = -0.23825661910584153e-14, (1563, 3) = 0.3921959760535193e-14, (1564, 1) = 0.13421837471433827e-12, (1564, 2) = -0.20025148966169146e-14, (1564, 3) = 0.4773300270918555e-14, (1565, 1) = 0.12285725207621861e-12, (1565, 2) = -0.2409563783577115e-14, (1565, 3) = 0.5189693816782404e-14, (1566, 1) = 0.11750092125759942e-12, (1566, 2) = -0.22401939435041145e-14, (1566, 3) = 0.5111636196982522e-14, (1567, 1) = 0.10130459342295017e-12, (1567, 2) = -0.21090085831517847e-14, (1567, 3) = 0.3586938831671804e-14, (1568, 1) = 0.11822127406321438e-12, (1568, 2) = -0.25042182141526496e-14, (1568, 3) = 0.4599346140174519e-14, (1569, 1) = 0.9851984558866956e-13, (1569, 2) = -0.20502216801661417e-14, (1569, 3) = 0.41467201604352245e-14, (1570, 1) = 0.10808031405059441e-12, (1570, 2) = -0.1978683490203819e-14, (1570, 3) = 0.4824763546263055e-14, (1571, 1) = 0.13737391475711943e-12, (1571, 2) = -0.2040951706918353e-14, (1571, 3) = 0.41953703390792085e-14, (1572, 1) = 0.1273968998308279e-12, (1572, 2) = -0.17650190329802031e-14, (1572, 3) = 0.459125077672e-14, (1573, 1) = 0.11420151068338884e-12, (1573, 2) = -0.17165013484066685e-14, (1573, 3) = 0.4013284124341222e-14, (1574, 1) = 0.10261765669380055e-12, (1574, 2) = -0.21233444447821725e-14, (1574, 3) = 0.34230794548686232e-14, (1575, 1) = 0.11662918104752087e-12, (1575, 2) = -0.2102105060379908e-14, (1575, 3) = 0.5341290970013256e-14, (1576, 1) = 0.1239328483705093e-12, (1576, 2) = -0.2097108389939755e-14, (1576, 3) = 0.4591747551234622e-14, (1577, 1) = 0.10123654939284578e-12, (1577, 2) = -0.20964207760419962e-14, (1577, 3) = 0.4091845787652745e-14, (1578, 1) = 0.10626723953864601e-12, (1578, 2) = -0.22771746995075783e-14, (1578, 3) = 0.4661229627744957e-14, (1579, 1) = 0.13291815343049962e-12, (1579, 2) = -0.221517405682208e-14, (1579, 3) = 0.4074147596187347e-14, (1580, 1) = 0.10077334145988474e-12, (1580, 2) = -0.170621141185731e-14, (1580, 3) = 0.28166772118396437e-14, (1581, 1) = 0.10751956684787e-12, (1581, 2) = -0.18659683346929108e-14, (1581, 3) = 0.3858182672316684e-14, (1582, 1) = 0.13438619223172477e-12, (1582, 2) = -0.2408005806275142e-14, (1582, 3) = 0.43005621267149775e-14, (1583, 1) = 0.11448984120541312e-12, (1583, 2) = -0.1706703861331216e-14, (1583, 3) = 0.4247431364661017e-14, (1584, 1) = 0.1201684481018639e-12, (1584, 2) = -0.15819664485170293e-14, (1584, 3) = 0.34731680511862933e-14, (1585, 1) = 0.12170376867918254e-12, (1585, 2) = -0.20613681493698147e-14, (1585, 3) = 0.4490210809459942e-14, (1586, 1) = 0.12506803193451376e-12, (1586, 2) = -0.15822928226352133e-14, (1586, 3) = 0.42078565864622266e-14, (1587, 1) = 0.9320566502392742e-13, (1587, 2) = -0.16542848548913086e-14, (1587, 3) = 0.3433211213261469e-14, (1588, 1) = 0.10043357598816157e-12, (1588, 2) = -0.20385542345215815e-14, (1588, 3) = 0.3654195591534632e-14, (1589, 1) = 0.13164447208609212e-12, (1589, 2) = -0.1929182885437601e-14, (1589, 3) = 0.3630806957005351e-14, (1590, 1) = 0.9889676649624833e-13, (1590, 2) = -0.1844074339622109e-14, (1590, 3) = 0.35943432793222345e-14, (1591, 1) = 0.12460936425255562e-12, (1591, 2) = -0.19464481602550177e-14, (1591, 3) = 0.282223670195996e-14, (1592, 1) = 0.12194032712203987e-12, (1592, 2) = -0.19331282789690493e-14, (1592, 3) = 0.27435581817409382e-14, (1593, 1) = 0.10026240761887218e-12, (1593, 2) = -0.1827362689236682e-14, (1593, 3) = 0.3592679635547881e-14, (1594, 1) = 0.1156288941866266e-12, (1594, 2) = -0.16836549736794543e-14, (1594, 3) = 0.35106961835117886e-14, (1595, 1) = 0.11299400234894615e-12, (1595, 2) = -0.2110395420305853e-14, (1595, 3) = 0.4095201029657718e-14, (1596, 1) = 0.11185178014935918e-12, (1596, 2) = -0.16862094490552014e-14, (1596, 3) = 0.28811908960268378e-14, (1597, 1) = 0.1345015355796409e-12, (1597, 2) = -0.21897744699287517e-14, (1597, 3) = 0.28105460104292005e-14, (1598, 1) = 0.11214479074807693e-12, (1598, 2) = -0.18576031839499905e-14, (1598, 3) = 0.3607664668571192e-14, (1599, 1) = 0.11092411473371967e-12, (1599, 2) = -0.1985796040241088e-14, (1599, 3) = 0.3555353025805108e-14, (1600, 1) = 0.13209123565732145e-12, (1600, 2) = -0.20822231674068718e-14, (1600, 3) = 0.28525398187172672e-14, (1601, 1) = 0.978152795184426e-13, (1601, 2) = -0.18091284902575652e-14, (1601, 3) = 0.44503144796657726e-14, (1602, 1) = 0.10606697976320248e-12, (1602, 2) = -0.18271540141086935e-14, (1602, 3) = 0.3942497215879406e-14, (1603, 1) = 0.12347536654682594e-12, (1603, 2) = -0.1974865355751427e-14, (1603, 3) = 0.29960736950787566e-14, (1604, 1) = 0.11327946796504812e-12, (1604, 2) = -0.1947087714612084e-14, (1604, 3) = 0.3356402285891045e-14, (1605, 1) = 0.12958549268028652e-12, (1605, 2) = -0.1825416466963566e-14, (1605, 3) = 0.46086599069329895e-14, (1606, 1) = 0.12102158110600302e-12, (1606, 2) = -0.20173751253692245e-14, (1606, 3) = 0.3233699358984341e-14, (1607, 1) = 0.10089721988819424e-12, (1607, 2) = -0.17970529278807746e-14, (1607, 3) = 0.3229206529597692e-14, (1608, 1) = 0.12416605096745228e-12, (1608, 2) = -0.1730283771253181e-14, (1608, 3) = 0.32111331910213903e-14, (1609, 1) = 0.9669122035059501e-13, (1609, 2) = -0.18036894267331503e-14, (1609, 3) = 0.4303877628398129e-14, (1610, 1) = 0.10719091479344108e-12, (1610, 2) = -0.2145685265503012e-14, (1610, 3) = 0.4095064940191702e-14, (1611, 1) = 0.10709852338467561e-12, (1611, 2) = -0.20756858819555976e-14, (1611, 3) = 0.42000470972142085e-14, (1612, 1) = 0.10326566375697053e-12, (1612, 2) = -0.15821396766488232e-14, (1612, 3) = 0.34561875860325644e-14, (1613, 1) = 0.11520755607352497e-12, (1613, 2) = -0.14535232855852155e-14, (1613, 3) = 0.3953699960307128e-14, (1614, 1) = 0.10703204347087613e-12, (1614, 2) = -0.18505022539873826e-14, (1614, 3) = 0.39134579813432115e-14, (1615, 1) = 0.11119166686951062e-12, (1615, 2) = -0.16416639429405753e-14, (1615, 3) = 0.3237599453538457e-14, (1616, 1) = 0.12076395228027165e-12, (1616, 2) = -0.19729970068987508e-14, (1616, 3) = 0.3074922259837492e-14, (1617, 1) = 0.10265129498960157e-12, (1617, 2) = -0.13583998858420317e-14, (1617, 3) = 0.4003570634687629e-14, (1618, 1) = 0.11829704729506116e-12, (1618, 2) = -0.15283403003440576e-14, (1618, 3) = 0.47026723827922536e-14, (1619, 1) = 0.1000236227363444e-12, (1619, 2) = -0.16965037483455078e-14, (1619, 3) = 0.3905073331703597e-14, (1620, 1) = 0.1182748440096256e-12, (1620, 2) = -0.1902594762084094e-14, (1620, 3) = 0.3216162739693801e-14, (1621, 1) = 0.11182031965845543e-12, (1621, 2) = -0.14623672211485178e-14, (1621, 3) = 0.4243407775436351e-14, (1622, 1) = 0.11201292346557275e-12, (1622, 2) = -0.1101738118092986e-14, (1622, 3) = 0.3810763942586462e-14, (1623, 1) = 0.10940893281464795e-12, (1623, 2) = -0.17724742609241945e-14, (1623, 3) = 0.3701357869572092e-14, (1624, 1) = 0.10634903013430138e-12, (1624, 2) = -0.1968751981129472e-14, (1624, 3) = 0.2981515849839806e-14, (1625, 1) = 0.11788018449245958e-12, (1625, 2) = -0.19352374155028337e-14, (1625, 3) = 0.3064775600621184e-14, (1626, 1) = 0.10727337021983933e-12, (1626, 2) = -0.13759517141291034e-14, (1626, 3) = 0.4616194501959471e-14, (1627, 1) = 0.10586019753696198e-12, (1627, 2) = -0.14892995647193973e-14, (1627, 3) = 0.29596123977398054e-14, (1628, 1) = 0.11433950521116762e-12, (1628, 2) = -0.16112054530487309e-14, (1628, 3) = 0.3963419850515151e-14, (1629, 1) = 0.10946163969368596e-12, (1629, 2) = -0.16354185754841517e-14, (1629, 3) = 0.389112017773216e-14, (1630, 1) = 0.1282112010639129e-12, (1630, 2) = -0.16241351875945654e-14, (1630, 3) = 0.3979174853321703e-14, (1631, 1) = 0.122900953637064e-12, (1631, 2) = -0.17712114304206883e-14, (1631, 3) = 0.3699948151868634e-14, (1632, 1) = 0.10575135898271384e-12, (1632, 2) = -0.17301883436301785e-14, (1632, 3) = 0.4484494051960937e-14, (1633, 1) = 0.10753061683787575e-12, (1633, 2) = -0.1326823939451407e-14, (1633, 3) = 0.41679040405233696e-14, (1634, 1) = 0.10136816005781055e-12, (1634, 2) = -0.20351356500766968e-14, (1634, 3) = 0.3725642398944007e-14, (1635, 1) = 0.11243235844771394e-12, (1635, 2) = -0.12775868742247003e-14, (1635, 3) = 0.24341397362207703e-14, (1636, 1) = 0.10397276984851896e-12, (1636, 2) = -0.17724028864115716e-14, (1636, 3) = 0.1839601160082824e-14, (1637, 1) = 0.11920117390586102e-12, (1637, 2) = -0.14393605800846947e-14, (1637, 3) = 0.2872819499731488e-14, (1638, 1) = 0.1258887559577039e-12, (1638, 2) = -0.14591320189017342e-14, (1638, 3) = 0.383578354789312e-14, (1639, 1) = 0.10388558414516636e-12, (1639, 2) = -0.1690221307157088e-14, (1639, 3) = 0.4040949173793515e-14, (1640, 1) = 0.10988288772217434e-12, (1640, 2) = -0.16096311668728896e-14, (1640, 3) = 0.3293826486348065e-14, (1641, 1) = 0.1054777456903956e-12, (1641, 2) = -0.14894525116405642e-14, (1641, 3) = 0.3976759743027541e-14, (1642, 1) = 0.14310259456023934e-12, (1642, 2) = -0.148846402252791e-14, (1642, 3) = 0.28597350477653514e-14, (1643, 1) = 0.11771554347218513e-12, (1643, 2) = -0.13303022058422247e-14, (1643, 3) = 0.27211714981828724e-14, (1644, 1) = 0.10989238204181235e-12, (1644, 2) = -0.13722797562281974e-14, (1644, 3) = 0.27157244553922905e-14, (1645, 1) = 0.1057104443164678e-12, (1645, 2) = -0.14660870046054057e-14, (1645, 3) = 0.34925875757411106e-14, (1646, 1) = 0.10754220649368538e-12, (1646, 2) = -0.17893421729963777e-14, (1646, 3) = 0.2923643841954978e-14, (1647, 1) = 0.9048561110417609e-13, (1647, 2) = -0.17373121711865372e-14, (1647, 3) = 0.4136635832389291e-14, (1648, 1) = 0.12699532775798005e-12, (1648, 2) = -0.1277329810200014e-14, (1648, 3) = 0.2499409647784814e-14, (1649, 1) = 0.993338211031585e-13, (1649, 2) = -0.15108233755070498e-14, (1649, 3) = 0.33271209910658214e-14, (1650, 1) = 0.12635231274615374e-12, (1650, 2) = -0.1583879909036441e-14, (1650, 3) = 0.33590466188135696e-14, (1651, 1) = 0.7400729180794919e-13, (1651, 2) = -0.16628652911224962e-14, (1651, 3) = 0.3920726527628245e-14, (1652, 1) = 0.11937336602186512e-12, (1652, 2) = -0.15754760642089065e-14, (1652, 3) = 0.2551472599210563e-14, (1653, 1) = 0.14193959270883782e-12, (1653, 2) = -0.16602963273381717e-14, (1653, 3) = 0.31426999350357807e-14, (1654, 1) = 0.12241435708592058e-12, (1654, 2) = -0.1534737639478805e-14, (1654, 3) = 0.393654305622556e-14, (1655, 1) = 0.8852962629542869e-13, (1655, 2) = -0.10983065126012262e-14, (1655, 3) = 0.4246462438648081e-14, (1656, 1) = 0.9469671012319833e-13, (1656, 2) = -0.13185600691175016e-14, (1656, 3) = 0.2576915762496814e-14, (1657, 1) = 0.1323512860962709e-12, (1657, 2) = -0.16995936759792225e-14, (1657, 3) = 0.42636576505518595e-14, (1658, 1) = 0.10095166533996059e-12, (1658, 2) = -0.1561701612383245e-14, (1658, 3) = 0.3635479787611727e-14, (1659, 1) = 0.10049005171432628e-12, (1659, 2) = -0.1332955377186498e-14, (1659, 3) = 0.3522112389377006e-14, (1660, 1) = 0.11958619130521315e-12, (1660, 2) = -0.15603455498403695e-14, (1660, 3) = 0.34311800634445543e-14, (1661, 1) = 0.1178795163360233e-12, (1661, 2) = -0.13937736746483261e-14, (1661, 3) = 0.3748896173787063e-14, (1662, 1) = 0.10423238227329858e-12, (1662, 2) = -0.1336729811109168e-14, (1662, 3) = 0.4087830425197939e-14, (1663, 1) = 0.10834527495060874e-12, (1663, 2) = -0.13967166335927236e-14, (1663, 3) = 0.33921761715086698e-14, (1664, 1) = 0.9801053829006737e-13, (1664, 2) = -0.15508160468276311e-14, (1664, 3) = 0.3719023365408307e-14, (1665, 1) = 0.10939709151761275e-12, (1665, 2) = -0.16093233168345287e-14, (1665, 3) = 0.33531684647084992e-14, (1666, 1) = 0.114797567146925e-12, (1666, 2) = -0.1237631108614862e-14, (1666, 3) = 0.29970221460254836e-14, (1667, 1) = 0.1194322577166191e-12, (1667, 2) = -0.14282352285064733e-14, (1667, 3) = 0.4769272479543347e-14, (1668, 1) = 0.11389993285295782e-12, (1668, 2) = -0.8942838685133099e-15, (1668, 3) = 0.35099295589703574e-14, (1669, 1) = 0.10424707781639214e-12, (1669, 2) = -0.12266561000747164e-14, (1669, 3) = 0.33926719305827075e-14, (1670, 1) = 0.1311428800785975e-12, (1670, 2) = -0.13275677142020698e-14, (1670, 3) = 0.3574809883994291e-14, (1671, 1) = 0.10052489948728952e-12, (1671, 2) = -0.10663796628759023e-14, (1671, 3) = 0.33959513387293786e-14, (1672, 1) = 0.11772236284815837e-12, (1672, 2) = -0.16091325073939902e-14, (1672, 3) = 0.38665838747061926e-14, (1673, 1) = 0.1168163108826176e-12, (1673, 2) = -0.13466775072216791e-14, (1673, 3) = 0.2780882320689011e-14, (1674, 1) = 0.9035253852293231e-13, (1674, 2) = -0.13400791530934404e-14, (1674, 3) = 0.289757621552151e-14, (1675, 1) = 0.11529664828000424e-12, (1675, 2) = -0.1319227948113191e-14, (1675, 3) = 0.3601695452724462e-14, (1676, 1) = 0.10769687158066598e-12, (1676, 2) = -0.1242392917893196e-14, (1676, 3) = 0.26078736046866333e-14, (1677, 1) = 0.12453889489120659e-12, (1677, 2) = -0.13035070254803387e-14, (1677, 3) = 0.47409728847117704e-14, (1678, 1) = 0.10184017157803202e-12, (1678, 2) = -0.13277408889660307e-14, (1678, 3) = 0.26185733122773965e-14, (1679, 1) = 0.1095236151299121e-12, (1679, 2) = -0.11690515381721383e-14, (1679, 3) = 0.33501488697901062e-14, (1680, 1) = 0.9797604992934986e-13, (1680, 2) = -0.1208883232251522e-14, (1680, 3) = 0.29897605433120516e-14, (1681, 1) = 0.13344635529734693e-12, (1681, 2) = -0.14097980458509763e-14, (1681, 3) = 0.38402992269556444e-14, (1682, 1) = 0.11371914305921978e-12, (1682, 2) = -0.13781755320268695e-14, (1682, 3) = 0.2331962810218297e-14, (1683, 1) = 0.11040167003838893e-12, (1683, 2) = -0.13557401862711653e-14, (1683, 3) = 0.31427706847277324e-14, (1684, 1) = 0.1141032156695018e-12, (1684, 2) = -0.14485693002396762e-14, (1684, 3) = 0.3906904882002055e-14, (1685, 1) = 0.1345443746662919e-12, (1685, 2) = -0.1415477577216533e-14, (1685, 3) = 0.27351666296466456e-14, (1686, 1) = 0.10691628461835939e-12, (1686, 2) = -0.13493837143556507e-14, (1686, 3) = 0.3398516539749847e-14, (1687, 1) = 0.1301222269930219e-12, (1687, 2) = -0.1229554021253061e-14, (1687, 3) = 0.3558379939238625e-14, (1688, 1) = 0.1145998152475944e-12, (1688, 2) = -0.12442704910890971e-14, (1688, 3) = 0.2916649725541654e-14, (1689, 1) = 0.1066394080269396e-12, (1689, 2) = -0.1296442476361953e-14, (1689, 3) = 0.33980827317471633e-14, (1690, 1) = 0.11851457849523038e-12, (1690, 2) = -0.12340440092862553e-14, (1690, 3) = 0.3342349042718729e-14, (1691, 1) = 0.12197573434297352e-12, (1691, 2) = -0.13166670181902218e-14, (1691, 3) = 0.4364791424279542e-14, (1692, 1) = 0.13575431079208645e-12, (1692, 2) = -0.1434810326069681e-14, (1692, 3) = 0.3347978722858218e-14, (1693, 1) = 0.12685914089371842e-12, (1693, 2) = -0.12395707140194737e-14, (1693, 3) = 0.43249572445295775e-14, (1694, 1) = 0.13227464679713222e-12, (1694, 2) = -0.13624331192035914e-14, (1694, 3) = 0.3077728628189589e-14, (1695, 1) = 0.917135294958836e-13, (1695, 2) = -0.10486881436975826e-14, (1695, 3) = 0.2866454389988329e-14, (1696, 1) = 0.9873128227110218e-13, (1696, 2) = -0.12441413130530586e-14, (1696, 3) = 0.30244381282794417e-14, (1697, 1) = 0.10372544698965024e-12, (1697, 2) = -0.11881267078601442e-14, (1697, 3) = 0.31473936317208884e-14, (1698, 1) = 0.12034252588439897e-12, (1698, 2) = -0.11526218758227216e-14, (1698, 3) = 0.24273230668027e-14, (1699, 1) = 0.1409081155455862e-12, (1699, 2) = -0.1225556406763195e-14, (1699, 3) = 0.34130232337062052e-14, (1700, 1) = 0.1205721339026282e-12, (1700, 2) = -0.1209323412598025e-14, (1700, 3) = 0.2458229504067738e-14, (1701, 1) = 0.11185189999028978e-12, (1701, 2) = -0.10867106670706847e-14, (1701, 3) = 0.32181859001890804e-14, (1702, 1) = 0.10815131809089339e-12, (1702, 2) = -0.12517917243674084e-14, (1702, 3) = 0.28466575658422297e-14, (1703, 1) = 0.11106993131004332e-12, (1703, 2) = -0.1347212626729164e-14, (1703, 3) = 0.3857744930521401e-14, (1704, 1) = 0.12582789068664434e-12, (1704, 2) = -0.11919062573632988e-14, (1704, 3) = 0.3825780250149309e-14, (1705, 1) = 0.13209769538438145e-12, (1705, 2) = -0.10551081510256439e-14, (1705, 3) = 0.211918373216646e-14, (1706, 1) = 0.9964005741009077e-13, (1706, 2) = -0.12195436601528738e-14, (1706, 3) = 0.2535066716077165e-14, (1707, 1) = 0.10827890090196447e-12, (1707, 2) = -0.10014565462888137e-14, (1707, 3) = 0.26822140187419624e-14, (1708, 1) = 0.10134776488986052e-12, (1708, 2) = -0.11479463640141125e-14, (1708, 3) = 0.37408893084254266e-14, (1709, 1) = 0.9956782597085511e-13, (1709, 2) = -0.11558166254906511e-14, (1709, 3) = 0.28269307710803985e-14, (1710, 1) = 0.139118645247548e-12, (1710, 2) = -0.12520470790571657e-14, (1710, 3) = 0.2781840996332358e-14, (1711, 1) = 0.11950105384404048e-12, (1711, 2) = -0.11270747141696065e-14, (1711, 3) = 0.3797226505457241e-14, (1712, 1) = 0.1207485524617193e-12, (1712, 2) = -0.9600611632173306e-15, (1712, 3) = 0.27821381467648674e-14, (1713, 1) = 0.12253359025693915e-12, (1713, 2) = -0.10882287011206516e-14, (1713, 3) = 0.2548690422530733e-14, (1714, 1) = 0.10000715084561655e-12, (1714, 2) = -0.12313819223476007e-14, (1714, 3) = 0.3493537400927609e-14, (1715, 1) = 0.10397030655342912e-12, (1715, 2) = -0.12569108641978854e-14, (1715, 3) = 0.2496010922101169e-14, (1716, 1) = 0.9129979094586924e-13, (1716, 2) = -0.1225923623852228e-14, (1716, 3) = 0.35057240358790066e-14, (1717, 1) = 0.11925459786140803e-12, (1717, 2) = -0.1307220334827957e-14, (1717, 3) = 0.4613541040432166e-14, (1718, 1) = 0.10929443237416275e-12, (1718, 2) = -0.12723040474500448e-14, (1718, 3) = 0.40380985834251656e-14, (1719, 1) = 0.129373837230393e-12, (1719, 2) = -0.10621769965842703e-14, (1719, 3) = 0.322829060163629e-14, (1720, 1) = 0.10374699643189729e-12, (1720, 2) = -0.11891620483681347e-14, (1720, 3) = 0.2398231786559001e-14, (1721, 1) = 0.13692759505495052e-12, (1721, 2) = -0.913397614592538e-15, (1721, 3) = 0.32780759835365255e-14, (1722, 1) = 0.1129687098979333e-12, (1722, 2) = -0.10818062793446392e-14, (1722, 3) = 0.3585114044535496e-14, (1723, 1) = 0.8547658233865168e-13, (1723, 2) = -0.1126411772659736e-14, (1723, 3) = 0.3020667777475254e-14, (1724, 1) = 0.11427406841184906e-12, (1724, 2) = -0.956107226953245e-15, (1724, 3) = 0.4539387327022595e-14, (1725, 1) = 0.12079957775794465e-12, (1725, 2) = -0.10842108208000085e-14, (1725, 3) = 0.437862578126702e-14, (1726, 1) = 0.10944709599092932e-12, (1726, 2) = -0.1129927676122986e-14, (1726, 3) = 0.4176229594905881e-14, (1727, 1) = 0.9449051776852415e-13, (1727, 2) = -0.9746092505545365e-15, (1727, 3) = 0.30173606258791043e-14, (1728, 1) = 0.10676160698927898e-12, (1728, 2) = -0.80697612819539e-15, (1728, 3) = 0.3647641154235065e-14, (1729, 1) = 0.11130072810063925e-12, (1729, 2) = -0.10798652166914698e-14, (1729, 3) = 0.3964007377996154e-14, (1730, 1) = 0.8804297967423492e-13, (1730, 2) = -0.10289231147589282e-14, (1730, 3) = 0.38040911848625824e-14, (1731, 1) = 0.1204225117214542e-12, (1731, 2) = -0.10153362495328095e-14, (1731, 3) = 0.35963433478244626e-14, (1732, 1) = 0.10626639215003982e-12, (1732, 2) = -0.11648760124741031e-14, (1732, 3) = 0.3300425511975216e-14, (1733, 1) = 0.10820269380289366e-12, (1733, 2) = -0.12348025897035275e-14, (1733, 3) = 0.2678171948168126e-14, (1734, 1) = 0.12417806347621716e-12, (1734, 2) = -0.9975039962955832e-15, (1734, 3) = 0.2778086087168607e-14, (1735, 1) = 0.124853863069173e-12, (1735, 2) = -0.12123775174418614e-14, (1735, 3) = 0.27389632030795067e-14, (1736, 1) = 0.1272878722332855e-12, (1736, 2) = -0.8635039263235882e-15, (1736, 3) = 0.32308329700915315e-14, (1737, 1) = 0.11311028913877868e-12, (1737, 2) = -0.11744051098860804e-14, (1737, 3) = 0.2688005000563406e-14, (1738, 1) = 0.9856329454926189e-13, (1738, 2) = -0.10155953202484932e-14, (1738, 3) = 0.4112210725910594e-14, (1739, 1) = 0.11701055920217246e-12, (1739, 2) = -0.11076587224492654e-14, (1739, 3) = 0.26673885074711305e-14, (1740, 1) = 0.13182928977261037e-12, (1740, 2) = -0.8333004231429322e-15, (1740, 3) = 0.37101302720353654e-14, (1741, 1) = 0.12743361717621564e-12, (1741, 2) = -0.9642221663567046e-15, (1741, 3) = 0.21505933739103507e-14, (1742, 1) = 0.9812813220265702e-13, (1742, 2) = -0.10613870106667222e-14, (1742, 3) = 0.3501759315098546e-14, (1743, 1) = 0.10458304895710368e-12, (1743, 2) = -0.9520959692827256e-15, (1743, 3) = 0.3650655166454249e-14, (1744, 1) = 0.9214275608932908e-13, (1744, 2) = -0.1157837383637507e-14, (1744, 3) = 0.2881452779969901e-14, (1745, 1) = 0.942029594995548e-13, (1745, 2) = -0.965430459518433e-15, (1745, 3) = 0.32591996792306652e-14, (1746, 1) = 0.10335188270553547e-12, (1746, 2) = -0.1176025192227818e-14, (1746, 3) = 0.22464102363070677e-14, (1747, 1) = 0.10828367850607534e-12, (1747, 2) = -0.927549408575641e-15, (1747, 3) = 0.2769014058556236e-14, (1748, 1) = 0.13362433869640076e-12, (1748, 2) = -0.993114813679378e-15, (1748, 3) = 0.34777509690342536e-14, (1749, 1) = 0.10985522179231665e-12, (1749, 2) = -0.9679035238370916e-15, (1749, 3) = 0.3624559445191361e-14, (1750, 1) = 0.9510417364939025e-13, (1750, 2) = -0.7573968895531706e-15, (1750, 3) = 0.34056121159065626e-14, (1751, 1) = 0.13372493233441796e-12, (1751, 2) = -0.8538580192428346e-15, (1751, 3) = 0.3638217980012215e-14, (1752, 1) = 0.11989174248666335e-12, (1752, 2) = -0.11431525619792244e-14, (1752, 3) = 0.4027257068018949e-14, (1753, 1) = 0.10273206410646025e-12, (1753, 2) = -0.979756970208034e-15, (1753, 3) = 0.26635947429724976e-14, (1754, 1) = 0.11283623826749291e-12, (1754, 2) = -0.6978692348014272e-15, (1754, 3) = 0.4087846604165845e-14, (1755, 1) = 0.11637600068663864e-12, (1755, 2) = -0.1131221302414393e-14, (1755, 3) = 0.2495805956161954e-14, (1756, 1) = 0.12956160187035242e-12, (1756, 2) = -0.8676470775505395e-15, (1756, 3) = 0.33605384691805714e-14, (1757, 1) = 0.12223884857065e-12, (1757, 2) = -0.8973020062515973e-15, (1757, 3) = 0.3243568451938372e-14, (1758, 1) = 0.10867095678336605e-12, (1758, 2) = -0.9179336592482036e-15, (1758, 3) = 0.329933341862122e-14, (1759, 1) = 0.11240547375006206e-12, (1759, 2) = -0.9685938947403732e-15, (1759, 3) = 0.2210368400347419e-14, (1760, 1) = 0.10776720169710233e-12, (1760, 2) = -0.7256115710348425e-15, (1760, 3) = 0.25362431062883887e-14, (1761, 1) = 0.11633532844681662e-12, (1761, 2) = -0.8193874066993711e-15, (1761, 3) = 0.443553191530527e-14, (1762, 1) = 0.10709754444332445e-12, (1762, 2) = -0.8276462705763227e-15, (1762, 3) = 0.2867044236576635e-14, (1763, 1) = 0.9432760274693998e-13, (1763, 2) = -0.948083266845929e-15, (1763, 3) = 0.24352262585890152e-14, (1764, 1) = 0.1133682207392596e-12, (1764, 2) = -0.89284947230579e-15, (1764, 3) = 0.2757629405520706e-14, (1765, 1) = 0.9862688143388094e-13, (1765, 2) = -0.7258771931140683e-15, (1765, 3) = 0.3235372388426228e-14, (1766, 1) = 0.1180792928323396e-12, (1766, 2) = -0.9792942062757632e-15, (1766, 3) = 0.3318891321467267e-14, (1767, 1) = 0.10867540209939974e-12, (1767, 2) = -0.8058206067925545e-15, (1767, 3) = 0.44838936261025425e-14, (1768, 1) = 0.9309403207339976e-13, (1768, 2) = -0.7685055466501956e-15, (1768, 3) = 0.2084931350036692e-14, (1769, 1) = 0.10305712596410399e-12, (1769, 2) = -0.7101871482732904e-15, (1769, 3) = 0.15182740814389643e-14, (1770, 1) = 0.11092098299122882e-12, (1770, 2) = -0.788108864590953e-15, (1770, 3) = 0.34899775392268512e-14, (1771, 1) = 0.11577438202997318e-12, (1771, 2) = -0.7550130681042736e-15, (1771, 3) = 0.3755983883532733e-14, (1772, 1) = 0.11274810898621834e-12, (1772, 2) = -0.676325489367486e-15, (1772, 3) = 0.3759541064248435e-14, (1773, 1) = 0.10544185505321989e-12, (1773, 2) = -0.8522221055244372e-15, (1773, 3) = 0.3580435864923064e-14, (1774, 1) = 0.1117821468258268e-12, (1774, 2) = -0.8075656583260752e-15, (1774, 3) = 0.37503969311850546e-14, (1775, 1) = 0.9794075413476038e-13, (1775, 2) = -0.8737849024038201e-15, (1775, 3) = 0.3669544295967991e-14, (1776, 1) = 0.13387233843013448e-12, (1776, 2) = -0.7894068349217388e-15, (1776, 3) = 0.34408325474511966e-14, (1777, 1) = 0.1329049681709068e-12, (1777, 2) = -0.7148055270819783e-15, (1777, 3) = 0.40019315729738514e-14, (1778, 1) = 0.12671786553640498e-12, (1778, 2) = -0.8523828178920946e-15, (1778, 3) = 0.34073549086206932e-14, (1779, 1) = 0.9246227881616154e-13, (1779, 2) = -0.7872058642590542e-15, (1779, 3) = 0.32194781014730545e-14, (1780, 1) = 0.12628918127275917e-12, (1780, 2) = -0.8229971400635996e-15, (1780, 3) = 0.26005901573298055e-14, (1781, 1) = 0.1344308156590571e-12, (1781, 2) = -0.8856287309211959e-15, (1781, 3) = 0.43693574257245705e-14, (1782, 1) = 0.13765075733475718e-12, (1782, 2) = -0.773915919338029e-15, (1782, 3) = 0.33374064419010232e-14, (1783, 1) = 0.10381580282249077e-12, (1783, 2) = -0.6862722287884614e-15, (1783, 3) = 0.4047338898874654e-14, (1784, 1) = 0.12116543480776232e-12, (1784, 2) = -0.6633827997451545e-15, (1784, 3) = 0.30580243230798845e-14, (1785, 1) = 0.12663907016426526e-12, (1785, 2) = -0.768012099105283e-15, (1785, 3) = 0.3629293096798329e-14, (1786, 1) = 0.11199883772696038e-12, (1786, 2) = -0.9005448583756068e-15, (1786, 3) = 0.3340460690840331e-14, (1787, 1) = 0.1041928081700279e-12, (1787, 2) = -0.7769007945015095e-15, (1787, 3) = 0.30078379923895097e-14, (1788, 1) = 0.10059366666709932e-12, (1788, 2) = -0.6535638591424864e-15, (1788, 3) = 0.34801094765082328e-14, (1789, 1) = 0.12901836321959842e-12, (1789, 2) = -0.8005920849455759e-15, (1789, 3) = 0.3270367497849594e-14, (1790, 1) = 0.8024060039825138e-13, (1790, 2) = -0.74977362583884125e-15, (1790, 3) = 0.3658064317544775e-14, (1791, 1) = 0.13506204530466847e-12, (1791, 2) = -0.6592382216031271e-15, (1791, 3) = 0.3377043233781894e-14, (1792, 1) = 0.13335971938929082e-12, (1792, 2) = -0.7225210422374107e-15, (1792, 3) = 0.23170527156341944e-14, (1793, 1) = 0.12121431090563286e-12, (1793, 2) = -0.6714172031235509e-15, (1793, 3) = 0.3510292296006678e-14, (1794, 1) = 0.1367948233475614e-12, (1794, 2) = -0.8558884937926551e-15, (1794, 3) = 0.348026943848037e-14, (1795, 1) = 0.12071474206819993e-12, (1795, 2) = -0.696124483389442e-15, (1795, 3) = 0.1910030388552787e-14, (1796, 1) = 0.9650030976187676e-13, (1796, 2) = -0.713889006823877e-15, (1796, 3) = 0.29447776020269944e-14, (1797, 1) = 0.995473781931897e-13, (1797, 2) = -0.5647043520842206e-15, (1797, 3) = 0.24604844169182467e-14, (1798, 1) = 0.10419129576193142e-12, (1798, 2) = -0.5574157147787541e-15, (1798, 3) = 0.4171246087940463e-14, (1799, 1) = 0.9744173515282002e-13, (1799, 2) = -0.789587940183809e-15, (1799, 3) = 0.26977468335734274e-14, (1800, 1) = 0.938459648158659e-13, (1800, 2) = -0.6099562850272315e-15, (1800, 3) = 0.26414446412212464e-14, (1801, 1) = 0.13046283216460087e-12, (1801, 2) = -0.7143049145320645e-15, (1801, 3) = 0.3483241368104193e-14, (1802, 1) = 0.9530337509544001e-13, (1802, 2) = -0.6271342773738819e-15, (1802, 3) = 0.263400770563531e-14, (1803, 1) = 0.12834070859651608e-12, (1803, 2) = -0.7334253573383839e-15, (1803, 3) = 0.34690503115959597e-14, (1804, 1) = 0.11649688199271206e-12, (1804, 2) = -0.7086749001062531e-15, (1804, 3) = 0.4050760383762664e-14, (1805, 1) = 0.11058358226730777e-12, (1805, 2) = -0.6866435498030307e-15, (1805, 3) = 0.33769649745211246e-14, (1806, 1) = 0.8325171869318472e-13, (1806, 2) = -0.6561640019588613e-15, (1806, 3) = 0.4228310943230572e-14, (1807, 1) = 0.10898811239858051e-12, (1807, 2) = -0.7589344838356611e-15, (1807, 3) = 0.36441799454926144e-14, (1808, 1) = 0.13653781443507254e-12, (1808, 2) = -0.6534538112805344e-15, (1808, 3) = 0.28140343597368854e-14, (1809, 1) = 0.11128763997783608e-12, (1809, 2) = -0.7343719979038895e-15, (1809, 3) = 0.19847767056388583e-14, (1810, 1) = 0.1349672316615374e-12, (1810, 2) = -0.6361950015340779e-15, (1810, 3) = 0.5133828579221238e-14, (1811, 1) = 0.11274094289217469e-12, (1811, 2) = -0.6549687042074859e-15, (1811, 3) = 0.28729875991580608e-14, (1812, 1) = 0.12105342126147963e-12, (1812, 2) = -0.6704625085970933e-15, (1812, 3) = 0.3100560372712505e-14, (1813, 1) = 0.9320175870755602e-13, (1813, 2) = -0.6305179672811856e-15, (1813, 3) = 0.2203076164746459e-14, (1814, 1) = 0.10728301802071962e-12, (1814, 2) = -0.58327194189577165e-15, (1814, 3) = 0.33245595210371054e-14, (1815, 1) = 0.9043115279360417e-13, (1815, 2) = -0.5979992557157448e-15, (1815, 3) = 0.3711750810730202e-14, (1816, 1) = 0.12439577794839024e-12, (1816, 2) = -0.63829284468933e-15, (1816, 3) = 0.4486719033219616e-14, (1817, 1) = 0.1180153562095958e-12, (1817, 2) = -0.738601704090678e-15, (1817, 3) = 0.29233533242153657e-14, (1818, 1) = 0.12577552445511404e-12, (1818, 2) = -0.6530363390269119e-15, (1818, 3) = 0.27900484758301845e-14, (1819, 1) = 0.12654373163073385e-12, (1819, 2) = -0.6797893598021674e-15, (1819, 3) = 0.2863551889363093e-14, (1820, 1) = 0.10842929892297088e-12, (1820, 2) = -0.5205662798119032e-15, (1820, 3) = 0.3623288975792663e-14, (1821, 1) = 0.13129750210311007e-12, (1821, 2) = -0.4419612492004534e-15, (1821, 3) = 0.2616863533578102e-14, (1822, 1) = 0.9496507725185926e-13, (1822, 2) = -0.6006326256631029e-15, (1822, 3) = 0.39626611700085735e-14, (1823, 1) = 0.8935586171498025e-13, (1823, 2) = -0.6382337941174823e-15, (1823, 3) = 0.23078480337466343e-14, (1824, 1) = 0.11978581839070387e-12, (1824, 2) = -0.5600821751314393e-15, (1824, 3) = 0.26846532551141038e-14, (1825, 1) = 0.8323449291297479e-13, (1825, 2) = -0.4982323171721581e-15, (1825, 3) = 0.4600461834929172e-14, (1826, 1) = 0.10256405191715974e-12, (1826, 2) = -0.5758751697977561e-15, (1826, 3) = 0.3533515457747349e-14, (1827, 1) = 0.9924487200902882e-13, (1827, 2) = -0.5780119675143824e-15, (1827, 3) = 0.39662310553616394e-14, (1828, 1) = 0.12413110758434732e-12, (1828, 2) = -0.6456616113809854e-15, (1828, 3) = 0.24846272073037768e-14, (1829, 1) = 0.1198044823549664e-12, (1829, 2) = -0.6069212733128985e-15, (1829, 3) = 0.2867630801010109e-14, (1830, 1) = 0.10980185804277771e-12, (1830, 2) = -0.5898995409154219e-15, (1830, 3) = 0.3170087007207262e-14, (1831, 1) = 0.1148975820582834e-12, (1831, 2) = -0.5789104916593214e-15, (1831, 3) = 0.4304511812172314e-14, (1832, 1) = 0.12126452660812188e-12, (1832, 2) = -0.5065583646763792e-15, (1832, 3) = 0.31643368640973477e-14, (1833, 1) = 0.1178701794193943e-12, (1833, 2) = -0.5221729556139782e-15, (1833, 3) = 0.2755609181741744e-14, (1834, 1) = 0.11647766869611047e-12, (1834, 2) = -0.5587729830414056e-15, (1834, 3) = 0.39018586969776294e-14, (1835, 1) = 0.1195552115072411e-12, (1835, 2) = -0.4846968305440372e-15, (1835, 3) = 0.31560628619059693e-14, (1836, 1) = 0.12536532998541233e-12, (1836, 2) = -0.5792568580454908e-15, (1836, 3) = 0.31599010291339527e-14, (1837, 1) = 0.12175457028228584e-12, (1837, 2) = -0.4912528072119076e-15, (1837, 3) = 0.27980518395742828e-14, (1838, 1) = 0.9406960943580718e-13, (1838, 2) = -0.5706444974948289e-15, (1838, 3) = 0.33142765591119277e-14, (1839, 1) = 0.10605930682469952e-12, (1839, 2) = -0.4355767500221313e-15, (1839, 3) = 0.35131337709702718e-14, (1840, 1) = 0.14280755741193504e-12, (1840, 2) = -0.4395270753684988e-15, (1840, 3) = 0.2792753134827449e-14, (1841, 1) = 0.10326224313578409e-12, (1841, 2) = -0.5173701444634102e-15, (1841, 3) = 0.30262518006046815e-14, (1842, 1) = 0.1192860534408706e-12, (1842, 2) = -0.5258930269274378e-15, (1842, 3) = 0.35227615943843364e-14, (1843, 1) = 0.11152302139561408e-12, (1843, 2) = -0.43219135225948906e-15, (1843, 3) = 0.28592154538678974e-14, (1844, 1) = 0.10719475807084472e-12, (1844, 2) = -0.5307575941650575e-15, (1844, 3) = 0.3133038409803901e-14, (1845, 1) = 0.10793254301898843e-12, (1845, 2) = -0.4910195424893646e-15, (1845, 3) = 0.19255345880789232e-14, (1846, 1) = 0.10187755500503587e-12, (1846, 2) = -0.42317230849761254e-15, (1846, 3) = 0.3181424151201601e-14, (1847, 1) = 0.11710958532390794e-12, (1847, 2) = -0.5231874718783168e-15, (1847, 3) = 0.30049727687079913e-14, (1848, 1) = 0.10968962945902362e-12, (1848, 2) = -0.538829380111927e-15, (1848, 3) = 0.2378610387143671e-14, (1849, 1) = 0.10516557177081239e-12, (1849, 2) = -0.41803566947095347e-15, (1849, 3) = 0.32431877361247253e-14, (1850, 1) = 0.12149582831747164e-12, (1850, 2) = -0.4394103547786952e-15, (1850, 3) = 0.2766177903004661e-14, (1851, 1) = 0.9674063663554744e-13, (1851, 2) = -0.44001236235853564e-15, (1851, 3) = 0.2660132005225925e-14, (1852, 1) = 0.9807054514180433e-13, (1852, 2) = -0.471259465258229e-15, (1852, 3) = 0.388099933826223e-14, (1853, 1) = 0.1262800671742553e-12, (1853, 2) = -0.42860099702684293e-15, (1853, 3) = 0.37817891306810895e-14, (1854, 1) = 0.13943050603503122e-12, (1854, 2) = -0.36713922790170353e-15, (1854, 3) = 0.34143232849668087e-14, (1855, 1) = 0.1228259549457938e-12, (1855, 2) = -0.3780766816887834e-15, (1855, 3) = 0.29100276291124543e-14, (1856, 1) = 0.1208626195770979e-12, (1856, 2) = -0.4430964051494906e-15, (1856, 3) = 0.2951132803120013e-14, (1857, 1) = 0.11352888369011828e-12, (1857, 2) = -0.38672014329819237e-15, (1857, 3) = 0.32739876171000797e-14, (1858, 1) = 0.1207301675119248e-12, (1858, 2) = -0.44010604684820298e-15, (1858, 3) = 0.262685810351652e-14, (1859, 1) = 0.948853992345607e-13, (1859, 2) = -0.4818714607969618e-15, (1859, 3) = 0.2767387997454156e-14, (1860, 1) = 0.10515500062717495e-12, (1860, 2) = -0.3522480074454537e-15, (1860, 3) = 0.2892221769655089e-14, (1861, 1) = 0.10676309836517264e-12, (1861, 2) = -0.3320275632473354e-15, (1861, 3) = 0.31426627746092965e-14, (1862, 1) = 0.10696214534631645e-12, (1862, 2) = -0.34292359842005745e-15, (1862, 3) = 0.5192905226111221e-14, (1863, 1) = 0.1301896281409729e-12, (1863, 2) = -0.3792660577574398e-15, (1863, 3) = 0.2750452439624034e-14, (1864, 1) = 0.11899537423553416e-12, (1864, 2) = -0.40259565047759564e-15, (1864, 3) = 0.2553197186575534e-14, (1865, 1) = 0.9588053506628589e-13, (1865, 2) = -0.4283392114345895e-15, (1865, 3) = 0.27198178631365903e-14, (1866, 1) = 0.8914497464415157e-13, (1866, 2) = -0.39400289787266496e-15, (1866, 3) = 0.3361805500351321e-14, (1867, 1) = 0.1049734321989004e-12, (1867, 2) = -0.4471143538771465e-15, (1867, 3) = 0.3019068878401709e-14, (1868, 1) = 0.9774252570672082e-13, (1868, 2) = -0.3902250744721606e-15, (1868, 3) = 0.3060720996879721e-14, (1869, 1) = 0.11099038094747436e-12, (1869, 2) = -0.3468284457137719e-15, (1869, 3) = 0.29931468944136593e-14, (1870, 1) = 0.1264216052755773e-12, (1870, 2) = -0.3932760745254037e-15, (1870, 3) = 0.18740291701723124e-14, (1871, 1) = 0.1093496742837868e-12, (1871, 2) = -0.3190843959947385e-15, (1871, 3) = 0.29714085085170758e-14, (1872, 1) = 0.10700795452352477e-12, (1872, 2) = -0.4150469545534295e-15, (1872, 3) = 0.34090026178093087e-14, (1873, 1) = 0.12385435618723688e-12, (1873, 2) = -0.35678135562670414e-15, (1873, 3) = 0.378304128159921e-14, (1874, 1) = 0.1224182762724833e-12, (1874, 2) = -0.33970452351763185e-15, (1874, 3) = 0.4082987697626282e-14, (1875, 1) = 0.12628999828557492e-12, (1875, 2) = -0.36372855608026017e-15, (1875, 3) = 0.3596480106366592e-14, (1876, 1) = 0.8985681419891012e-13, (1876, 2) = -0.3156024071890105e-15, (1876, 3) = 0.34888202488219002e-14, (1877, 1) = 0.13767589880835732e-12, (1877, 2) = -0.34113544086070566e-15, (1877, 3) = 0.28984697642805577e-14, (1878, 1) = 0.11304619974667282e-12, (1878, 2) = -0.30590215362412394e-15, (1878, 3) = 0.4468766034402218e-14, (1879, 1) = 0.10703371870788508e-12, (1879, 2) = -0.35301807243010926e-15, (1879, 3) = 0.3733242036940204e-14, (1880, 1) = 0.1311496672172377e-12, (1880, 2) = -0.3003901865754594e-15, (1880, 3) = 0.34676556666929484e-14, (1881, 1) = 0.11359548432237732e-12, (1881, 2) = -0.38189721389837932e-15, (1881, 3) = 0.2167490132690095e-14, (1882, 1) = 0.11511590318009677e-12, (1882, 2) = -0.32673255323131954e-15, (1882, 3) = 0.2072129804219457e-14, (1883, 1) = 0.13564717217860272e-12, (1883, 2) = -0.3041451019264556e-15, (1883, 3) = 0.35233561280099454e-14, (1884, 1) = 0.10679145957537428e-12, (1884, 2) = -0.3160067868474074e-15, (1884, 3) = 0.5033595982595507e-14, (1885, 1) = 0.12134176011729284e-12, (1885, 2) = -0.28242327172312634e-15, (1885, 3) = 0.2874898469798015e-14, (1886, 1) = 0.11004217111566294e-12, (1886, 2) = -0.2735262276166124e-15, (1886, 3) = 0.32160796264141034e-14, (1887, 1) = 0.13728996608320242e-12, (1887, 2) = -0.3095493807986855e-15, (1887, 3) = 0.39802255933618195e-14, (1888, 1) = 0.14113473396070334e-12, (1888, 2) = -0.324015016154369e-15, (1888, 3) = 0.21693571679710327e-14, (1889, 1) = 0.987701765468082e-13, (1889, 2) = -0.2719726692584602e-15, (1889, 3) = 0.23352883058231744e-14, (1890, 1) = 0.11112092752226348e-12, (1890, 2) = -0.24688165486297425e-15, (1890, 3) = 0.2910994452470094e-14, (1891, 1) = 0.12806336179574894e-12, (1891, 2) = -0.276975843427359e-15, (1891, 3) = 0.37194875451773025e-14, (1892, 1) = 0.9474292377787015e-13, (1892, 2) = -0.26976165230920213e-15, (1892, 3) = 0.27113347649700345e-14, (1893, 1) = 0.11403132700842712e-12, (1893, 2) = -0.291581993353691e-15, (1893, 3) = 0.3550319220247941e-14, (1894, 1) = 0.9111423354939152e-13, (1894, 2) = -0.2589401992925203e-15, (1894, 3) = 0.31053814986721847e-14, (1895, 1) = 0.9964149063618637e-13, (1895, 2) = -0.203166626032899e-15, (1895, 3) = 0.33627878016136043e-14, (1896, 1) = 0.10862201319577226e-12, (1896, 2) = -0.22607318296108117e-15, (1896, 3) = 0.264003566483268e-14, (1897, 1) = 0.11690303603786842e-12, (1897, 2) = -0.2169224545556162e-15, (1897, 3) = 0.32406785347465152e-14, (1898, 1) = 0.1154310803595552e-12, (1898, 2) = -0.2693953494891426e-15, (1898, 3) = 0.26828507896634416e-14, (1899, 1) = 0.11402212579920018e-12, (1899, 2) = -0.21962858592110278e-15, (1899, 3) = 0.28733637031018365e-14, (1900, 1) = 0.8900120963656914e-13, (1900, 2) = -0.225635738208936e-15, (1900, 3) = 0.3942648054221572e-14, (1901, 1) = 0.1266713310066008e-12, (1901, 2) = -0.2550159932803001e-15, (1901, 3) = 0.2513073968816299e-14, (1902, 1) = 0.12321771379883383e-12, (1902, 2) = -0.24628553256468775e-15, (1902, 3) = 0.23288765985268144e-14, (1903, 1) = 0.11853638008019804e-12, (1903, 2) = -0.23154221681514824e-15, (1903, 3) = 0.4353879985380899e-14, (1904, 1) = 0.11708505736737435e-12, (1904, 2) = -0.201146043345254e-15, (1904, 3) = 0.318228291391209e-14, (1905, 1) = 0.11797379265908072e-12, (1905, 2) = -0.2642026645862864e-15, (1905, 3) = 0.26793485428474856e-14, (1906, 1) = 0.9361197856634262e-13, (1906, 2) = -0.2156504995372045e-15, (1906, 3) = 0.4145126980448692e-14, (1907, 1) = 0.11875981467310364e-12, (1907, 2) = -0.19007057449593368e-15, (1907, 3) = 0.4167626537517038e-14, (1908, 1) = 0.11576696600589116e-12, (1908, 2) = -0.19078884289402646e-15, (1908, 3) = 0.33420796735335854e-14, (1909, 1) = 0.111018149318339e-12, (1909, 2) = -0.24040703716998866e-15, (1909, 3) = 0.390985984838866e-14, (1910, 1) = 0.9631788118906269e-13, (1910, 2) = -0.2038616482892988e-15, (1910, 3) = 0.3820539562547552e-14, (1911, 1) = 0.9780949207505019e-13, (1911, 2) = -0.24125044119923773e-15, (1911, 3) = 0.3548981822039701e-14, (1912, 1) = 0.1154291278576074e-12, (1912, 2) = -0.1771635782202839e-15, (1912, 3) = 0.3495821158075905e-14, (1913, 1) = 0.13002328878807399e-12, (1913, 2) = -0.22902180625054603e-15, (1913, 3) = 0.3229955082157946e-14, (1914, 1) = 0.10694802534645031e-12, (1914, 2) = -0.19132646683122238e-15, (1914, 3) = 0.33476125202235122e-14, (1915, 1) = 0.9061020998698689e-13, (1915, 2) = -0.20200397595182485e-15, (1915, 3) = 0.25031794138211344e-14, (1916, 1) = 0.11191606608204875e-12, (1916, 2) = -0.13175706169157895e-15, (1916, 3) = 0.1977772893885042e-14, (1917, 1) = 0.12440537244144484e-12, (1917, 2) = -0.18079025232072453e-15, (1917, 3) = 0.3783808185188886e-14, (1918, 1) = 0.1024666254856718e-12, (1918, 2) = -0.1515845004793551e-15, (1918, 3) = 0.2829114989511107e-14, (1919, 1) = 0.10145414511075076e-12, (1919, 2) = -0.16938727371849677e-15, (1919, 3) = 0.2638508840827943e-14, (1920, 1) = 0.12865221675790352e-12, (1920, 2) = -0.1584420006338947e-15, (1920, 3) = 0.3631894155032771e-14, (1921, 1) = 0.10384671151619934e-12, (1921, 2) = -0.15826801984983014e-15, (1921, 3) = 0.3847495359366502e-14, (1922, 1) = 0.13615776732038072e-12, (1922, 2) = -0.1603568925404111e-15, (1922, 3) = 0.27394033092441814e-14, (1923, 1) = 0.1290653073950909e-12, (1923, 2) = -0.12550959198476829e-15, (1923, 3) = 0.4227176061592647e-14, (1924, 1) = 0.1297708838450826e-12, (1924, 2) = -0.14950486835820765e-15, (1924, 3) = 0.2937382986597397e-14, (1925, 1) = 0.1044993078226719e-12, (1925, 2) = -0.13397835850888697e-15, (1925, 3) = 0.4266952727013601e-14, (1926, 1) = 0.10777871773649674e-12, (1926, 2) = -0.1182309161486689e-15, (1926, 3) = 0.27547902751513125e-14, (1927, 1) = 0.10862860885497426e-12, (1927, 2) = -0.15430127764525353e-15, (1927, 3) = 0.4650490208476233e-14, (1928, 1) = 0.11601763943327184e-12, (1928, 2) = -0.918561807219244e-16, (1928, 3) = 0.25596598892878553e-14, (1929, 1) = 0.11443418095466796e-12, (1929, 2) = -0.11702207580637891e-15, (1929, 3) = 0.29333778707772354e-14, (1930, 1) = 0.11454185864757997e-12, (1930, 2) = -0.13144160740877455e-15, (1930, 3) = 0.38092061672934965e-14, (1931, 1) = 0.12022433171375375e-12, (1931, 2) = -0.11112542232199495e-15, (1931, 3) = 0.2989199705443404e-14, (1932, 1) = 0.12921856495243782e-12, (1932, 2) = -0.9936070203342478e-16, (1932, 3) = 0.3346320014701115e-14, (1933, 1) = 0.11080680619566244e-12, (1933, 2) = -0.10824133556294351e-15, (1933, 3) = 0.3912096539630456e-14, (1934, 1) = 0.928273116997034e-13, (1934, 2) = -0.1235653325069175e-15, (1934, 3) = 0.3173133218062715e-14, (1935, 1) = 0.1191020816861468e-12, (1935, 2) = -0.8394076890674465e-16, (1935, 3) = 0.25178082965036333e-14, (1936, 1) = 0.125754904770401e-12, (1936, 2) = -0.8970403606440377e-16, (1936, 3) = 0.3086274042451718e-14, (1937, 1) = 0.981110642999922e-13, (1937, 2) = -0.7368671416190543e-16, (1937, 3) = 0.30508413385387885e-14, (1938, 1) = 0.12447395425076897e-12, (1938, 2) = -0.8127949532893343e-16, (1938, 3) = 0.4429810416134269e-14, (1939, 1) = 0.11001851037135865e-12, (1939, 2) = -0.7297808858471728e-16, (1939, 3) = 0.17032300405261997e-14, (1940, 1) = 0.1247419958938715e-12, (1940, 2) = -0.5857675268845569e-16, (1940, 3) = 0.24901396364397535e-14, (1941, 1) = 0.11038910583687554e-12, (1941, 2) = -0.49767499817718416e-16, (1941, 3) = 0.2860441209083803e-14, (1942, 1) = 0.13414123816764742e-12, (1942, 2) = -0.6200505583115275e-16, (1942, 3) = 0.3524511349517058e-14, (1943, 1) = 0.8036720126124724e-13, (1943, 2) = -0.3940409728513473e-16, (1943, 3) = 0.2969952820560273e-14, (1944, 1) = 0.11189972982491996e-12, (1944, 2) = -0.4658980072570897e-16, (1944, 3) = 0.2645330415417912e-14, (1945, 1) = 0.10126995360493773e-12, (1945, 2) = -0.5239350731964244e-16, (1945, 3) = 0.23478337640592757e-14, (1946, 1) = 0.10021159152624479e-12, (1946, 2) = -0.3917564993731032e-16, (1946, 3) = 0.3103135758207413e-14, (1947, 1) = 0.13146718819297824e-12, (1947, 2) = -0.3563153462758805e-16, (1947, 3) = 0.3822062126839218e-14, (1948, 1) = 0.13482384687624347e-12, (1948, 2) = -0.3830239513102516e-16, (1948, 3) = 0.461643795334359e-14, (1949, 1) = 0.12204470932673524e-12, (1949, 2) = -0.26417791687958373e-16, (1949, 3) = 0.34371592055448147e-14, (1950, 1) = 0.11673050511396304e-12, (1950, 2) = -0.23390767130764655e-16, (1950, 3) = 0.28405659347651544e-14, (1951, 1) = 0.11519663551103592e-12, (1951, 2) = -0.18566832192882986e-16, (1951, 3) = 0.3249219198025729e-14, (1952, 1) = 0.9462622427391398e-13, (1952, 2) = -0.21753747239076382e-16, (1952, 3) = 0.31824282100831852e-14, (1953, 1) = 0.10307875973150959e-12, (1953, 2) = -0.1450651812539639e-16, (1953, 3) = 0.27818239665523418e-14, (1954, 1) = 0.12955361694869502e-12, (1954, 2) = -0.11845860715922346e-16, (1954, 3) = 0.2379643795758272e-14, (1955, 1) = 0.921735893978701e-13, (1955, 2) = -0.8186020115678531e-17, (1955, 3) = 0.25198148150849167e-14, (1956, 1) = 0.1228013207095443e-12, (1956, 2) = -0.29891293117282096e-17, (1956, 3) = 0.3112013080209554e-14, (1957, 1) = 0.11483808844206168e-12, (1957, 2) = .0, (1957, 3) = 0.26448429633256436e-14}, datatype = float[8], order = C_order); if not type(outpoint, 'numeric') then if outpoint = "start" or outpoint = "left" then return X[1] elif outpoint = "right" then return X[1957] elif outpoint = "order" then return 8 elif outpoint = "error" then return HFloat(9.505835417149998e-7) elif outpoint = "errorproc" then error "this is already the error procedure" elif outpoint = "rawdata" then return [3, 1957, [f(x), diff(f(x), x), diff(diff(f(x), x), x)], X, Y] else return ('procname')(x_bvp) end if end if; if outpoint < X[1] or X[1957] < outpoint then error "solution is only defined in the range %1..%2", X[1], X[1957] end if; V := array([1 = 4, 2 = 0]); if Digits <= trunc(evalhf(Digits)) then L := Vector(4, 'datatype' = 'float'[8]); yout := Vector(3, 'datatype' = 'float'[8]); evalhf(`dsolve/numeric/lagrange`(1957, 3, X, Y, outpoint, var(yout), var(L), var(V))) else L := Vector(4, 'datatype' = 'sfloat'); yout := Vector(3, 'datatype' = 'sfloat'); `dsolve/numeric/lagrange`(1957, 3, X, Y, outpoint, yout, L, V) end if; [x = outpoint, seq('[f(x), diff(f(x), x), diff(diff(f(x), x), x)]'[i] = yout[i], i = 1 .. 3)] end proc; if not type(outpoint, 'numeric') then if outpoint = "start" or outpoint = "left" then return X[1] elif outpoint = "method" then return "bvp" elif outpoint = "right" then return X[1957] elif outpoint = "order" then return 8 elif outpoint = "error" then return HFloat(9.505835417149998e-7) elif outpoint = "errorproc" then return eval(errproc) elif outpoint = "rawdata" then return [3, 1957, "depnames", X, Y, YP] else error "non-numeric value" end if end if; if outpoint < X[1] or X[1957] < outpoint then error "solution is only defined in the range %1..%2", X[1], X[1957] end if; if Digits <= trunc(evalhf(Digits)) and (_EnvInFsolve <> true or _EnvDSNumericSaveDigits <= trunc(evalhf(Digits))) then V := array( 1 .. 6, [( 1 ) = (7), ( 2 ) = (0), ( 3 ) = (false), ( 4 ) = (false), ( 5 ) = (false), ( 6 ) = (false)  ] ); L := Matrix(7, 2, {(1, 1) = .0, (1, 2) = .0, (2, 1) = .0, (2, 2) = .0, (3, 1) = .0, (3, 2) = .0, (4, 1) = .0, (4, 2) = .0, (5, 1) = .0, (5, 2) = .0, (6, 1) = .0, (6, 2) = .0, (7, 1) = .0, (7, 2) = .0}, datatype = float[8], order = C_order); yout := Vector(3, {(1) = .0, (2) = .0, (3) = .0}, datatype = float[8]); evalhf(`dsolve/numeric/hermite`(1957, 3, X, Y, YP, outpoint, var(yout), var(L), var(V))) else if _EnvInFsolve = true then Digits := _EnvDSNumericSaveDigits end if; V := array( 1 .. 6, [( 1 ) = (7), ( 2 ) = (0), ( 3 ) = (false), ( 4 ) = (false), ( 5 ) = (false), ( 6 ) = (false)  ] ); L := Matrix(7, 2, {(1, 1) = 0., (1, 2) = 0., (2, 1) = 0., (2, 2) = 0., (3, 1) = 0., (3, 2) = 0., (4, 1) = 0., (4, 2) = 0., (5, 1) = 0., (5, 2) = 0., (6, 1) = 0., (6, 2) = 0., (7, 1) = 0., (7, 2) = 0.}, order = C_order); yout := Vector(3, {(1) = 0., (2) = 0., (3) = 0.}); `dsolve/numeric/hermite`(1957, 3, X, Y, YP, outpoint, yout, L, V) end if; [outpoint, seq(yout[i], i = 1 .. 3)] end proc, (2) = Array(0..0, {}), (3) = [x, f(x), diff(f(x), x), diff(diff(f(x), x), x)], (4) = 0}); solnproc := data[1]; if not type(outpoint, 'numeric') then if outpoint = "solnprocedure" then return eval(solnproc) elif member(outpoint, ["start", "left", "right", "errorproc", "rawdata", "order", "error"]) then return solnproc(x_bvp) elif outpoint = "sysvars" then return data[3] elif procname <> unknown then return ('procname')(x_bvp) else _ndsol := pointto(data[2][0]); return ('_ndsol')(x_bvp) end if end if; try res := solnproc(outpoint); [x = res[1], seq('[f(x), diff(f(x), x), diff(diff(f(x), x), x)]'[i] = res[i+1], i = 1 .. 3)] catch: error  end try end proc

(11)

 

``


 

Download VC1_mmcdara.mw

 

Do not confuse the PDF of a random variable with the restriction of this PDF to the support of this same random variable.

Imposing assumptions is a simple trick to get the expression of the restriction of the PDF of r*x to the support of r*x, but this does not give you the expression of the PDF.
 

You can get the exact PDF by doing the things rigourously while  avoiding any assumption (even if it is more lenghty than the previous trick, it is instructing, at least I think so):
 

restart;
with(IntegrationTools):
with(Statistics):
u := RandomVariable(Uniform(0,1)):
v := RandomVariable(Uniform(0, 2*Pi)):
r := sqrt(u):
x := cos(v):
w := r*x:

f__r := PDF(r, t):
f__x := PDF(x, t):
f__w := PDF(w, t):

J  := Int(op(f__w)):
d  := discont(f__x, t):
JS := Split(J, convert(d, list)):
K1 := op(2, JS):
K2 := Split(K1, 0);

f__w := simplify(map(value, K2));



Full details here  rv_pdf_mmcdara.mw

restart

kernelopts(version)

`Maple 2015.2, APPLE UNIVERSAL OSX, Dec 20 2015, Build ID 1097895`

(1)

e := x*y*z:
c := x*z = 0;

x*z = 0

(2)

# trick: define A = x*z

E := eval(e, x=A/z);
C := A = 0;

`Could it be that e > 0 given c? ` = coulditbe(E > 0) assuming C, y::real;
`Could it be that e < 0 given c? ` = coulditbe(E < 0) assuming C, y::real;
`Could it be that e = 0 given c? ` = coulditbe(E = 0) assuming C, y::real;

A*y

 

A = 0

 

`Could it be that e > 0 given c? ` = false

 

`Could it be that e < 0 given c? ` = false

 

`Could it be that e = 0 given c? ` = true

(3)


Generalization

e := u*v*w*x*y*z;
c := u*w*y = 0;

u*v*w*x*y*z

 

u*w*y = 0

(4)

rule := isolate(lhs(c)=A, op(1, lhs(c))):

E := eval(e, rule):
C := eval(C, rule):

R := indets(e, name) minus indets(c, name):
T := seq(r::real, r in R):

`Could it be that e > 0 given c? ` = coulditbe(E > 0) assuming C, T;
`Could it be that e < 0 given c? ` = coulditbe(E < 0) assuming C, T;
`Could it be that e = 0 given c? ` = coulditbe(E = 0) assuming C, T;

`Could it be that e > 0 given c? ` = false

 

`Could it be that e < 0 given c? ` = false

 

`Could it be that e = 0 given c? ` = true

(5)
 

 

Download A_Trick.mw


(equation (13) )

Note 1: an important point is the correct writting of p:

 p := {alpha = t^2, beta = exp(-t)};

instead of 

p := {alpha(t) = t^2, beta = exp(-t)}


Note 2: I also use this"trick" (at least it enables having readable formulas)

alias(Z = Z(t)):
aux := Z = int((alpha + b*beta),t);

# and replacing all occurrences of int((alpha + b*beta),t) by Z likely helps 
# Maple in simplifying the successive relations


Note 3: for readibility I replace  Qi by Qi for each Q in {phi, psi, lambda} and i in {1, 2}
 

restart;

kernelopts(version);

`Maple 2015.2, APPLE UNIVERSAL OSX, Dec 20 2015, Build ID 1097895`

(1)

with(plots):

interface(showassumed=0):

assume(x::real);assume(t::real);assume(lambda__1::complex);assume(b::real);

alias(
  psi__1 = psi__1(x,t),
  psi__2 = psi__2(x,t),
  phi__1 = phi__1(x,t),
  phi__2 = phi__2(x,t),
  beta = beta(t),
  alpha =alpha(t),
  Z = Z(t)
);

psi__1, psi__2, phi__1, phi__2, beta, alpha, Z

(2)

aux := Z = int((alpha + b*beta),t);

rel := {psi__1 = exp((-I*lambda__1)*x - (1/(4*I*lambda__1))*Z), psi__2 = exp((I*lambda__1)*x + (1/(4*I*lambda__1))*Z), phi__1= exp((-I*conjugate(lambda__1))*x - (1/(4*I*conjugate(lambda__1)))*Z), phi__2 = exp((I*conjugate(lambda__1))*x + (1/(4*I*conjugate(lambda__1)))*Z)}

Z = int(b*beta+alpha, t)

 

{phi__1 = exp(-I*conjugate(lambda__1)*x+((1/4)*I)*Z/conjugate(lambda__1)), phi__2 = exp(I*conjugate(lambda__1)*x-((1/4)*I)*Z/conjugate(lambda__1)), psi__1 = exp(-I*lambda__1*x+((1/4)*I)*Z/lambda__1), psi__2 = exp(I*lambda__1*x-((1/4)*I)*Z/lambda__1)}

(3)

Bnum := psi__2*phi__1*conjugate(lambda__1) + psi__1*lambda__1*phi__2;

psi__2*phi__1*conjugate(lambda__1)+psi__1*lambda__1*phi__2

(4)

Bnumexp := map(normal, subs(rel,Bnum));

exp(-((1/4)*I)*(-4*lambda__1^2*x+Z)/lambda__1)*exp(((1/4)*I)*(-4*conjugate(lambda__1)^2*x+Z)/conjugate(lambda__1))*conjugate(lambda__1)+exp(((1/4)*I)*(-4*lambda__1^2*x+Z)/lambda__1)*lambda__1*exp(-((1/4)*I)*(-4*conjugate(lambda__1)^2*x+Z)/conjugate(lambda__1))

(5)

Den := -phi__1*psi__2 - phi__2*psi__1;

-phi__1*psi__2-phi__2*psi__1

(6)

expDen := map(normal, subs(rel, Den))

-exp(((1/4)*I)*(-4*conjugate(lambda__1)^2*x+Z)/conjugate(lambda__1))*exp(-((1/4)*I)*(-4*lambda__1^2*x+Z)/lambda__1)-exp(-((1/4)*I)*(-4*conjugate(lambda__1)^2*x+Z)/conjugate(lambda__1))*exp(((1/4)*I)*(-4*lambda__1^2*x+Z)/lambda__1)

(7)

sr := Bnumexp/expDen;
ratiosr := simplify(diff(sr, t), size);

(exp(-((1/4)*I)*(-4*lambda__1^2*x+Z)/lambda__1)*exp(((1/4)*I)*(-4*conjugate(lambda__1)^2*x+Z)/conjugate(lambda__1))*conjugate(lambda__1)+exp(((1/4)*I)*(-4*lambda__1^2*x+Z)/lambda__1)*lambda__1*exp(-((1/4)*I)*(-4*conjugate(lambda__1)^2*x+Z)/conjugate(lambda__1)))/(-exp(((1/4)*I)*(-4*conjugate(lambda__1)^2*x+Z)/conjugate(lambda__1))*exp(-((1/4)*I)*(-4*lambda__1^2*x+Z)/lambda__1)-exp(-((1/4)*I)*(-4*conjugate(lambda__1)^2*x+Z)/conjugate(lambda__1))*exp(((1/4)*I)*(-4*lambda__1^2*x+Z)/lambda__1))

 

((1/2)*I)*exp(-((1/4)*I)*(-4*conjugate(lambda__1)^2*x+Z)/conjugate(lambda__1))*(diff(Z, t))*exp(-((1/4)*I)*(-4*lambda__1^2*x+Z)/lambda__1)*(lambda__1-conjugate(lambda__1))^2*exp(((1/4)*I)*(-4*lambda__1^2*x+Z)/lambda__1)*exp(((1/4)*I)*(-4*conjugate(lambda__1)^2*x+Z)/conjugate(lambda__1))/((exp(((1/4)*I)*(-4*conjugate(lambda__1)^2*x+Z)/conjugate(lambda__1))*exp(-((1/4)*I)*(-4*lambda__1^2*x+Z)/lambda__1)+exp(-((1/4)*I)*(-4*conjugate(lambda__1)^2*x+Z)/conjugate(lambda__1))*exp(((1/4)*I)*(-4*lambda__1^2*x+Z)/lambda__1))^2*lambda__1*conjugate(lambda__1))

(8)

ratiosr := eval(ratiosr, aux);

((1/2)*I)*exp(-((1/4)*I)*(-4*conjugate(lambda__1)^2*x+int(b*beta+alpha, t))/conjugate(lambda__1))*(b*beta+alpha)*exp(-((1/4)*I)*(-4*lambda__1^2*x+int(b*beta+alpha, t))/lambda__1)*(lambda__1-conjugate(lambda__1))^2*exp(((1/4)*I)*(-4*lambda__1^2*x+int(b*beta+alpha, t))/lambda__1)*exp(((1/4)*I)*(-4*conjugate(lambda__1)^2*x+int(b*beta+alpha, t))/conjugate(lambda__1))/((exp(((1/4)*I)*(-4*conjugate(lambda__1)^2*x+int(b*beta+alpha, t))/conjugate(lambda__1))*exp(-((1/4)*I)*(-4*lambda__1^2*x+int(b*beta+alpha, t))/lambda__1)+exp(-((1/4)*I)*(-4*conjugate(lambda__1)^2*x+int(b*beta+alpha, t))/conjugate(lambda__1))*exp(((1/4)*I)*(-4*lambda__1^2*x+int(b*beta+alpha, t))/lambda__1))^2*lambda__1*conjugate(lambda__1))

(9)

B := b - (4*I/beta)*ratiosr

b+2*exp(-((1/4)*I)*(-4*conjugate(lambda__1)^2*x+int(b*beta+alpha, t))/conjugate(lambda__1))*(b*beta+alpha)*exp(-((1/4)*I)*(-4*lambda__1^2*x+int(b*beta+alpha, t))/lambda__1)*(lambda__1-conjugate(lambda__1))^2*exp(((1/4)*I)*(-4*lambda__1^2*x+int(b*beta+alpha, t))/lambda__1)*exp(((1/4)*I)*(-4*conjugate(lambda__1)^2*x+int(b*beta+alpha, t))/conjugate(lambda__1))/(beta*(exp(((1/4)*I)*(-4*conjugate(lambda__1)^2*x+int(b*beta+alpha, t))/conjugate(lambda__1))*exp(-((1/4)*I)*(-4*lambda__1^2*x+int(b*beta+alpha, t))/lambda__1)+exp(-((1/4)*I)*(-4*conjugate(lambda__1)^2*x+int(b*beta+alpha, t))/conjugate(lambda__1))*exp(((1/4)*I)*(-4*lambda__1^2*x+int(b*beta+alpha, t))/lambda__1))^2*lambda__1*conjugate(lambda__1))

(10)

p := {alpha = t^2, beta = exp(-t)};

{alpha = t^2, beta = exp(-t)}

(11)

B1 := eval(B, p)

b+2*exp(-((1/4)*I)*(-4*conjugate(lambda__1)^2*x-b*exp(-t)+(1/3)*t^3)/conjugate(lambda__1))*(b*exp(-t)+t^2)*exp(-((1/4)*I)*(-4*lambda__1^2*x-b*exp(-t)+(1/3)*t^3)/lambda__1)*(lambda__1-conjugate(lambda__1))^2*exp(((1/4)*I)*(-4*lambda__1^2*x-b*exp(-t)+(1/3)*t^3)/lambda__1)*exp(((1/4)*I)*(-4*conjugate(lambda__1)^2*x-b*exp(-t)+(1/3)*t^3)/conjugate(lambda__1))/(exp(-t)*(exp(((1/4)*I)*(-4*conjugate(lambda__1)^2*x-b*exp(-t)+(1/3)*t^3)/conjugate(lambda__1))*exp(-((1/4)*I)*(-4*lambda__1^2*x-b*exp(-t)+(1/3)*t^3)/lambda__1)+exp(-((1/4)*I)*(-4*conjugate(lambda__1)^2*x-b*exp(-t)+(1/3)*t^3)/conjugate(lambda__1))*exp(((1/4)*I)*(-4*lambda__1^2*x-b*exp(-t)+(1/3)*t^3)/lambda__1))^2*lambda__1*conjugate(lambda__1))

(12)

B1_1 := map(combine, B1, exp):
NU := numer(op(2, B1_1)):
DE := denom(op(2, B1_1)):
DE := convert(simplify(DE, size), trig):

B1_2 := op(1, B1) + NU/DE

b+(1/2)*(b*exp(-t)+t^2)*(-lambda__1+conjugate(lambda__1))^2*exp(t)/(cos((1/4)*(lambda__1-conjugate(lambda__1))*(-(1/3)*t^3-4*x*conjugate(lambda__1)*lambda__1+b/exp(t))/(lambda__1*conjugate(lambda__1)))^2*lambda__1*conjugate(lambda__1))

(13)

 

NULL


 

Download simplify_mmcdara_1.mw

x::real is too loose an assumption:

restart

plot(
  [cos(x), sqrt(1-sin(x)^2), -sqrt(1-sin(x)^2)]
  , x = 0..2*Pi
  , color=[red, green, blue]
  , style=[point, line, line]
  , legend=[typeset(cos(x)), typeset(sqrt(1-sin(x)^2)), typeset(-sqrt(1-sin(x)^2))]
)

 

is(cos(x) = sqrt(1-sin(x)^2)) assuming Or(And(x >= 0, x <= Pi/2), And(x >= 3*Pi/2, x <= 2*Pi))

true

(1)

is(cos(x) = -sqrt(1-sin(x)^2)) assuming And(x >= Pi/2, x <= 3*Pi/2)

true

(2)
 

 

Download cosine.mw

... or it's you who either missed something or did something wrong.

test_mmcdara.mw

restart

FN := proc(N)
  local C, F, c, nc, T, j:

  C := combinat:-setpartition([$1..N]):
  F := 0:

  for c in C do
    nc := numelems~(c);
    if is({nc[]} subset {1, 2}) then
      T := 1:
      for j in c do
        if numelems(j) = 1 then
          T := T*theta[j[]]
        else
          T := T*B[j]
        end if:
      end do:
      F := F + T
    end if:
  end do:
  
  return F
end proc:
 

F__2 = FN(2)

F__2 = theta[1]*theta[2]+B[[1, 2]]

(1)

F__4 = FN(4)

F__4 = theta[1]*theta[2]*theta[3]*theta[4]+B[[1, 2]]*theta[3]*theta[4]+B[[1, 3]]*theta[2]*theta[4]+B[[1, 4]]*theta[2]*theta[3]+B[[2, 3]]*theta[1]*theta[4]+B[[2, 4]]*theta[1]*theta[3]+B[[3, 4]]*theta[1]*theta[2]+B[[1, 2]]*B[[3, 4]]+B[[1, 3]]*B[[2, 4]]+B[[1, 4]]*B[[2, 3]]

(2)

F__6 = FN(6)

F__6 = theta[1]*theta[2]*theta[3]*theta[4]*theta[5]*theta[6]+B[[1, 2]]*theta[3]*theta[4]*theta[5]*theta[6]+B[[1, 3]]*theta[2]*theta[4]*theta[5]*theta[6]+B[[1, 4]]*theta[2]*theta[3]*theta[5]*theta[6]+B[[1, 5]]*theta[2]*theta[3]*theta[4]*theta[6]+B[[1, 6]]*theta[2]*theta[3]*theta[4]*theta[5]+B[[2, 3]]*theta[1]*theta[4]*theta[5]*theta[6]+B[[2, 4]]*theta[1]*theta[3]*theta[5]*theta[6]+B[[2, 5]]*theta[1]*theta[3]*theta[4]*theta[6]+B[[2, 6]]*theta[1]*theta[3]*theta[4]*theta[5]+B[[3, 4]]*theta[1]*theta[2]*theta[5]*theta[6]+B[[3, 5]]*theta[1]*theta[2]*theta[4]*theta[6]+B[[3, 6]]*theta[1]*theta[2]*theta[4]*theta[5]+B[[4, 5]]*theta[1]*theta[2]*theta[3]*theta[6]+B[[4, 6]]*theta[1]*theta[2]*theta[3]*theta[5]+B[[5, 6]]*theta[1]*theta[2]*theta[3]*theta[4]+B[[1, 2]]*B[[3, 4]]*theta[5]*theta[6]+B[[1, 2]]*B[[3, 5]]*theta[4]*theta[6]+B[[1, 2]]*B[[3, 6]]*theta[4]*theta[5]+B[[1, 2]]*B[[4, 5]]*theta[3]*theta[6]+B[[1, 2]]*B[[4, 6]]*theta[3]*theta[5]+B[[1, 2]]*B[[5, 6]]*theta[3]*theta[4]+B[[1, 3]]*B[[2, 4]]*theta[5]*theta[6]+B[[1, 3]]*B[[2, 5]]*theta[4]*theta[6]+B[[1, 3]]*B[[2, 6]]*theta[4]*theta[5]+B[[1, 3]]*B[[4, 5]]*theta[2]*theta[6]+B[[1, 3]]*B[[4, 6]]*theta[2]*theta[5]+B[[1, 3]]*B[[5, 6]]*theta[2]*theta[4]+B[[1, 4]]*B[[2, 3]]*theta[5]*theta[6]+B[[1, 4]]*B[[2, 5]]*theta[3]*theta[6]+B[[1, 4]]*B[[2, 6]]*theta[3]*theta[5]+B[[1, 4]]*B[[3, 5]]*theta[2]*theta[6]+B[[1, 4]]*B[[3, 6]]*theta[2]*theta[5]+B[[1, 4]]*B[[5, 6]]*theta[2]*theta[3]+B[[1, 5]]*B[[2, 3]]*theta[4]*theta[6]+B[[1, 5]]*B[[2, 4]]*theta[3]*theta[6]+B[[1, 5]]*B[[2, 6]]*theta[3]*theta[4]+B[[1, 5]]*B[[3, 4]]*theta[2]*theta[6]+B[[1, 5]]*B[[3, 6]]*theta[2]*theta[4]+B[[1, 5]]*B[[4, 6]]*theta[2]*theta[3]+B[[1, 6]]*B[[2, 3]]*theta[4]*theta[5]+B[[1, 6]]*B[[2, 4]]*theta[3]*theta[5]+B[[1, 6]]*B[[2, 5]]*theta[3]*theta[4]+B[[1, 6]]*B[[3, 4]]*theta[2]*theta[5]+B[[1, 6]]*B[[3, 5]]*theta[2]*theta[4]+B[[1, 6]]*B[[4, 5]]*theta[2]*theta[3]+B[[2, 3]]*B[[4, 5]]*theta[1]*theta[6]+B[[2, 3]]*B[[4, 6]]*theta[1]*theta[5]+B[[2, 3]]*B[[5, 6]]*theta[1]*theta[4]+B[[2, 4]]*B[[3, 5]]*theta[1]*theta[6]+B[[2, 4]]*B[[3, 6]]*theta[1]*theta[5]+B[[2, 4]]*B[[5, 6]]*theta[1]*theta[3]+B[[2, 5]]*B[[3, 4]]*theta[1]*theta[6]+B[[2, 5]]*B[[3, 6]]*theta[1]*theta[4]+B[[2, 5]]*B[[4, 6]]*theta[1]*theta[3]+B[[2, 6]]*B[[3, 4]]*theta[1]*theta[5]+B[[2, 6]]*B[[3, 5]]*theta[1]*theta[4]+B[[2, 6]]*B[[4, 5]]*theta[1]*theta[3]+B[[3, 4]]*B[[5, 6]]*theta[1]*theta[2]+B[[3, 5]]*B[[4, 6]]*theta[1]*theta[2]+B[[3, 6]]*B[[4, 5]]*theta[1]*theta[2]+B[[1, 2]]*B[[3, 4]]*B[[5, 6]]+B[[1, 2]]*B[[3, 5]]*B[[4, 6]]+B[[1, 2]]*B[[3, 6]]*B[[4, 5]]+B[[1, 3]]*B[[2, 4]]*B[[5, 6]]+B[[1, 3]]*B[[2, 5]]*B[[4, 6]]+B[[1, 3]]*B[[2, 6]]*B[[4, 5]]+B[[1, 4]]*B[[2, 3]]*B[[5, 6]]+B[[1, 4]]*B[[2, 5]]*B[[3, 6]]+B[[1, 4]]*B[[2, 6]]*B[[3, 5]]+B[[1, 5]]*B[[2, 3]]*B[[4, 6]]+B[[1, 5]]*B[[2, 4]]*B[[3, 6]]+B[[1, 5]]*B[[2, 6]]*B[[3, 4]]+B[[1, 6]]*B[[2, 3]]*B[[4, 5]]+B[[1, 6]]*B[[2, 4]]*B[[3, 5]]+B[[1, 6]]*B[[2, 5]]*B[[3, 4]]

(3)
 

 

Download Theta_B.mw

This nothing but what Statistics:-LinearFit does for numeric points, here generalized to points in abstract form.

The last example leads to an error which could easily be removed while testing in the Parabola procedure if at least two points have the same abscissa but different ordinates

restart

Parabola := proc(A, B, C)
  local ABC := `<,>`(A, B, C):
  local M := `<|>`(seq(ABC[..,1]^~(i), i=0..2)):
  y = simplify(`<|>`(1, x, x^2) . (M^+ . M)^(-1) . (M^+ . ABC[..,2]))
end proc:

 


Generic

A := Vector[row](2, symbol=a):
B := Vector[row](2, symbol=b):
C := Vector[row](2, symbol=c):

Parabola(A, B, C)

y = -(x^2*a[1]*b[2]-x^2*a[1]*c[2]-x^2*a[2]*b[1]+x^2*a[2]*c[1]+x^2*b[1]*c[2]-x^2*b[2]*c[1]-x*a[1]^2*b[2]+x*a[1]^2*c[2]+x*a[2]*b[1]^2-x*a[2]*c[1]^2-x*b[1]^2*c[2]+x*b[2]*c[1]^2-a[1]^2*b[1]*c[2]+a[1]^2*b[2]*c[1]+a[1]*b[1]^2*c[2]-a[1]*b[2]*c[1]^2-a[2]*b[1]^2*c[1]+a[2]*b[1]*c[1]^2)/(a[1]^2*b[1]-a[1]^2*c[1]-a[1]*b[1]^2+a[1]*c[1]^2+b[1]^2*c[1]-b[1]*c[1]^2)

(1)


Numeric example

A := `<|>`(-1, 1):
B := `<|>`( 0, 0):
C := `<|>`( 1, 1):

Parabola(A, B, C)

y = x^2

(2)


Do we retreive the inital parabola we started from?

Example 1

P := x -> U*x^2 + V*x + W;

A := Vector[row](2, [ 1, P( 1)]):
B := Vector[row](2, [ 2, P( 2)]):
C := Vector[row](2, [-1, P(-1)]):

Parabola(A, B, C)

proc (x) options operator, arrow; U*x^2+V*x+W end proc

 

y = U*x^2+V*x+W

(3)


Do we retreive the inital parabola we started from?

Example 2

P := x -> 0*x^2 + V*x + W;

A := Vector[row](2, [ 1, P( 1)]):
B := Vector[row](2, [ 2, P( 2)]):
C := Vector[row](2, [-1, P(-1)]):

Parabola(A, B, C)

proc (x) options operator, arrow; 0*(x^2)+V*x+W end proc

 

y = V*x+W

(4)


Do we retreive the inital parabola we started from?

Example 3

P := x -> 0*x^2 + 0*x + W;

A := Vector[row](2, [ 1, P( 1)]):
B := Vector[row](2, [ 2, P( 2)]):
C := Vector[row](2, [-1, P(-1)]):

Parabola(A, B, C)

proc (x) options operator, arrow; 0*(x^2)+0*x+W end proc

 

y = W

(5)


Points aligned along th line y = x
 

P := x -> U*x^2 + V*x + W;

A := Vector[row](2, [0, 0]):
B := Vector[row](2, [1, 1]):
C := Vector[row](2, [2, 2]):

Parabola(A, B, C)

proc (x) options operator, arrow; U*x^2+V*x+W end proc

 

y = x

(6)


The procedure fails when the three points are aligned on a vertical line x=constant

P := x -> U*x^2 + V*x + W;

A := Vector[row](2, [0, 1]):
B := Vector[row](2, [0, 2]):
C := Vector[row](2, [0, 3]):

Parabola(A, B, C)

proc (x) options operator, arrow; U*x^2+V*x+W end proc

 

Error, (in rtable/Power) numeric exception: division by zero

 
 

 

Download Parabola.mw

When you know that warnings may occur for some specific reason you know, use this remove them

interface(warnlevel=0)

But this might be dangerous when you get "sputious warnings" as they may reveal that something does not work as expected.
So be carefull in using the comman above.

In your case it is very easy to find that the display command is the one which produces these 3 warnings.
The reason comes from the command

dr := draw([e1(color = blue), NorA(color = red), NorB(color = red), NorC(color = red), A(color = red, symbol = solidcircle, symbolsize = 12), B(color = red, symbol = solidcircle, symbolsize = 12), C(color = red, symbol = solidcircle, symbolsize = 12), Oo(color = red, symbol = solidcircle, symbolsize = 12)]);

To see what happens just do 

draw(NorA(color = red))

What you get it a simple boxed frame with noting drawn inside.
The reason why becomes clear if you run

detail(NorA)

You see then that the equation of the line NorA contains two names A[1] and A[2] instead of numeric values.

To fix this replace

line(NorA, y - A[2] = a^2*A[2]*(x - A[1])/b^2, [x, y]);
line(NorB, y - B[2] = a^2*B[2]*(x - B[1])/b^2, [x, y]);
line(NorC, y - C[2] = a^2*C[2]*(x - C[1])/b^2, [x, y]);

by

line(NorA, y - coordinates(A)[2] = a^2*coordinates(A)[2]*(x - coordinates(A)[1])/b^2, [x, y]);
line(NorB, y - coordinates(B)[2] = a^2*coordinates(B)[2]*(x - coordinates(B)[1])/b^2, [x, y]);
line(NorC, y - coordinates(C)[2] = a^2*coordinates(C)[2]*(x - coordinates(C)[1])/b^2, [x, y]);

sol.mw

PS: Pourriez-vous avoir un peu plus de respect pour ceux dont vous sollicitez de l'aide et livrer une feuille de travail Maple plutôt qu'un copié-collé issu de (je pense) Mistral ?

After your second restart you write N:=2: This is inconsistent with what comes after (obviously i ranges from 1 to 3 and not 1 to 2 in thedefinition of f0). 

Once this corrected:

First thing: The Iterator package is not part of my Maple 2015 version, so I used in this workshet a workaround that you can ignore and replace by your own two command lines.

Second thing: I don't understand what your last comment "Change b[1,2]*b[2,3]*b[1,3] to b[1,2,3], etc" does mean. More precisely what does etc mean???

So I interpreted this comment in a way which might not be the correct one

m-lump_2015.mw

Before trying to use dsolve blindly verify if your problem is correctly posed.

Read carefully the code after the comment STEP by STEP explanation : it is a kind of "debugging process" to understand where your error comes from and how to fix them ny yourselve.

At the end, once you have understood what I wrote, it will be on you to pose your problem correctly.

restart

kernelopts(version);

`Maple 2015.2, APPLE UNIVERSAL OSX, Dec 20 2015, Build ID 1097895`

(1)

with(PDETools, declare):

with(plots):

eq1 := diff(f(x), x, x, x)-(diff(f(x), x))^2+theta*Gr+f(x)*(diff(f(x), x, x))-M^2*(diff(f(x), x))-(diff(f(x), x))^2*G[1]-(diff(f(x), x))*j[1] = 0;

diff(diff(diff(f(x), x), x), x)-(diff(f(x), x))^2+theta*Gr+f(x)*(diff(diff(f(x), x), x))-M^2*(diff(f(x), x))-(diff(f(x), x))^2*G[1]-(diff(f(x), x))*j[1] = 0

 

(1+(4/3)*R)*(diff(diff(theta(x), x), x))/Pr+f(x)*(diff(theta(x), x))+Delta*theta-g[1]*theta*(diff(f(x), x))+N[b]*(diff(theta(x), x))*(diff(phi(x), x))+N[t]*(diff(theta(x), x))^2 = 0

 

diff(diff(phi(x), x), x)+Sc*f(x)*(diff(phi(x), x))+N[t]*(diff(diff(theta(x), x), x))/N[b] = 0

(2)

bcs := f(0) = .45, (D(f))(0) = 1, (D(f))(7) = 0, theta(0) = 1, theta(7) = 0, phi(0) = 1, phi(7) = 0;

f(0) = .45, (D(f))(0) = 1, (D(f))(7) = 0, theta(0) = 1, theta(7) = 0, phi(0) = 1, phi(7) = 0

(3)

a1 := [M = .8, Gr = 2.0, G[1] = .5, j[1] = .4, N[t] = .7, N[b] = .1, Sc = .4, R = 1.0, Delta = .5, g[1] = .5, Pr = 2.5, eta = 3];

[M = .8, Gr = 2.0, G[1] = .5, j[1] = .4, N[t] = .7, N[b] = .1, Sc = .4, R = 1.0, Delta = .5, g[1] = .5, Pr = 2.5, eta = 3]

 

[M = .8, Gr = 2.0, G[1] = .5, j[1] = .4, N[t] = .7, N[b] = .2, Sc = .4, R = 1.0, Delta = .5, g[1] = .5, Pr = 2.5, eta = 3]

 

[M = .8, Gr = 2.0, G[1] = .5, j[1] = .4, N[t] = .7, N[b] = .3, Sc = .4, R = 1.0, Delta = .5, g[1] = .5, Pr = 2.5, eta = 3]

 

[M = .8, Gr = 2.0, G[1] = .5, j[1] = .4, N[t] = .7, N[b] = .4, Sc = .4, R = 1.0, Delta = .5, g[1] = .5, Pr = 2.5, eta = 3]

(4)

b1 := subs(a1, eq3);

diff(diff(phi(x), x), x)+.4*f(x)*(diff(phi(x), x))+7.000000000*(diff(diff(theta(x), x), x)) = 0

 

diff(diff(phi(x), x), x)+.4*f(x)*(diff(phi(x), x))+3.500000000*(diff(diff(theta(x), x), x)) = 0

 

diff(diff(phi(x), x), x)+.4*f(x)*(diff(phi(x), x))+2.333333333*(diff(diff(theta(x), x), x)) = 0

 

diff(diff(phi(x), x), x)+.4*f(x)*(diff(phi(x), x))+1.750000000*(diff(diff(theta(x), x), x)) = 0

(5)


STEP by STEP explanation

# Functions which appear through derivatives

select(has, indets(b1, function), diff)

{diff(diff(phi(x), x), x), diff(diff(theta(x), x), x), diff(phi(x), x), diff(theta(x), x)}

(6)

# You have to give 2 BCs for phi and theta
# BCs for f are useless
#
# Example

bcs_version_1 := theta(0) = 1, theta(7) = 0, phi(0) = 1, phi(7) = 0;

# Let us try this

sol_version_1 := dsolve({b1, bcs_version_1}, numeric);  # No 'eval' is requiered here

theta(0) = 1, theta(7) = 0, phi(0) = 1, phi(7) = 0

 

Error, (in dsolve/numeric/bvp/convertsys) the ODE system does not contain derivatives of the unknown function f

 

# What this happen?
#
# b1 contains the abstract function f(x) and Maple does not know how to consider it.
# By default Maple considers f(x) is a function defined through some ODE and asks for
# IC/BC.
#
# But we saw above thos ODE does not exist.
# As you are using dsol/numeric (not dsolve/symbolic) you must provide an algebraic expression
# for f(x)
#
# Example

My_f := x -> 1:

b1_version_2 := eval(b1, f = (x -> My_f(x)));

sol_version_12 := dsolve({b1_version_2, bcs_version_1}, numeric)

diff(diff(phi(x), x), x)+.4*(diff(phi(x), x))+7.000000000*(diff(diff(theta(x), x), x)) = 0

 

Error, (in dsolve/numeric/bvp/convertsys) unable to convert to an explicit first-order system

 

# Still an error
#
# You have two functions which intervene both through derivatives but you have only
# one ODE.
#
# So, either you give one ofthem an analytic expression... or you introduce a second ODE.
#
# Example (choice 1)

My_theta := x -> cos(x):

b1_version_21 := eval(b1_version_2, theta = (x -> My_theta(x)));

sol_version_121 := dsolve({b1_version_21, bcs_version_1}, numeric);
 

diff(diff(phi(x), x), x)+.4*(diff(phi(x), x))-7.000000000*cos(x) = 0

 

Error, (in dsolve/numeric/process_input) invalid specification of initial conditions, got {theta(0) = 1, theta(7) = 0}

 

# Here the error is due to the fact that there exist BC on some function (theta) which no
# longer exist.
# Then remove the and look to what it happens

bcs_version_2 := remove(has, {bcs_version_1}, theta);

sol_version_221 := dsolve({b1_version_21, bcs_version_2[]}, numeric);

# Now you get a result without no more error.

{phi(0) = 1, phi(7) = 0}

 

proc (x_bvp) local res, data, solnproc, _ndsol, outpoint, i; option `Copyright (c) 2000 by Waterloo Maple Inc. All rights reserved.`; _EnvDSNumericSaveDigits := Digits; Digits := 15; if _EnvInFsolve = true then outpoint := evalf[_EnvDSNumericSaveDigits](x_bvp) else outpoint := evalf(x_bvp) end if; data := Array(1..4, {(1) = proc (outpoint) local X, Y, YP, yout, errproc, L, V, i; option `Copyright (c) 2000 by Waterloo Maple Inc. All rights reserved.`; X := Vector(25, {(1) = .0, (2) = .2845794951815041, (3) = .5802905055695667, (4) = .8885514207025176, (5) = 1.2072408515580282, (6) = 1.5241277598656842, (7) = 1.8382008239664442, (8) = 2.149174530656815, (9) = 2.454885413871613, (10) = 2.7552060874703397, (11) = 3.0504383007402915, (12) = 3.341945280064638, (13) = 3.6304496964963757, (14) = 3.916042462400899, (15) = 4.199264378526463, (16) = 4.481461632120577, (17) = 4.762724895602928, (18) = 5.043072238353252, (19) = 5.322982531757949, (20) = 5.60272511766346, (21) = 5.882300297153527, (22) = 6.161736333213332, (23) = 6.4411575554755345, (24) = 6.720578777737737, (25) = 7.0}, datatype = float[8], order = C_order); Y := Matrix(25, 2, {(1, 1) = 1.0, (1, 2) = .680000113877016, (2, 1) = 1.4540344894609882, (2, 2) = 2.463663505833786, (3, 1) = 2.4133563766655417, (3, 2) = 3.9525259361508316, (4, 1) = 3.806469293070552, (4, 2) = 4.990526648497383, (5, 1) = 5.484513374261103, (5, 2) = 5.4286636191202335, (6, 1) = 7.185613557031606, (6, 2) = 5.198133226626437, (7, 1) = 8.700318339263731, (7, 2) = 4.35109243403419, (8, 1) = 9.854835597801994, (8, 2) = 2.9995181989632598, (9, 1) = 10.520628264025243, (9, 2) = 1.3097082601253847, (10, 1) = 10.639047230240717, (10, 2) = -.5377118814794638, (11, 1) = 10.208598658044096, (11, 2) = -2.3662421601997328, (12, 1) = 9.272019330320754, (12, 2) = -4.021912028517894, (13, 1) = 7.908633538352818, (13, 2) = -5.370773086444524, (14, 1) = 6.2304684531398875, (14, 2) = -6.307447573944695, (15, 1) = 4.367478957858471, (15, 2) = -6.765495697796848, (16, 1) = 2.4532747959522974, (16, 2) = -6.715491733720893, (17, 1) = .6306526038008767, (17, 2) = -6.163394831083677, (18, 1) = -.9657591305154667, (18, 2) = -5.154441254712672, (19, 1) = -2.222019341567904, (19, 2) = -3.7663470770234446, (20, 1) = -3.0482022672294895, (20, 2) = -2.1047744945032707, (21, 1) = -3.385816445756158, (21, 2) = -.2973066715468748, (22, 1) = -3.213883951896306, (22, 2) = 1.5174992505865381, (23, 1) = -2.550009800084594, (23, 2) = 3.2012162343653574, (24, 1) = -1.4492056621226057, (24, 2) = 4.624740690704019, (25, 1) = .0, (25, 2) = 5.678906303352601}, datatype = float[8], order = C_order); YP := Matrix(25, 2, {(1, 1) = .680000113877016, (1, 2) = 6.727999954449194, (2, 1) = 2.463663505833786, (2, 2) = 5.732993168764835, (3, 1) = 3.9525259361508316, (3, 2) = 4.273113499848399, (4, 1) = 4.990526648497383, (4, 2) = 2.417548451570903, (5, 1) = 5.4286636191202335, (5, 2) = .3177314557407489, (6, 1) = 5.198133226626437, (6, 2) = -1.752691891619449, (7, 1) = 4.35109243403419, (7, 2) = -3.5900404704335074, (8, 1) = 2.9995181989632598, (8, 2) = -5.026473793037796, (9, 1) = 1.3097082601253847, (9, 2) = -5.937247865802401, (10, 1) = -.5377118814794638, (10, 2) = -6.268852877857702, (11, 1) = -2.3662421601997328, (11, 2) = -6.024441361269366, (12, 1) = -4.021912028517894, (12, 2) = -5.251210414497452, (13, 1) = -5.370773086444524, (13, 2) = -4.031782077027102, (14, 1) = -6.307447573944695, (14, 2) = -2.480662295094154, (15, 1) = -6.765495697796848, (15, 2) = -.7301145902921422, (16, 1) = -6.715491733720893, (16, 2) = 1.084034220951506, (17, 1) = -6.163394831083677, (17, 2) = 2.817560565427252, (18, 1) = -5.154441254712672, (18, 2) = 4.334601907617293, (19, 1) = -3.7663470770234446, (19, 2) = 5.520015867378172, (20, 1) = -2.1047744945032707, (20, 2) = 6.282892705082078, (21, 1) = -.2973066715468748, (21, 2) = 6.563934628042916, (22, 1) = 1.5174992505865381, (22, 2) = 6.341439236571117, (23, 1) = 3.2012162343653574, (23, 2) = 5.632351685288582, (24, 1) = 4.624740690704019, (24, 2) = 4.49111540968702, (25, 1) = 5.678906303352601, (25, 2) = 3.0057532590620917}, datatype = float[8], order = C_order); errproc := proc (x_bvp) local outpoint, X, Y, yout, L, V, i; option `Copyright (c) 2000 by Waterloo Maple Inc. All rights reserved.`; Digits := 15; outpoint := evalf(x_bvp); X := Vector(25, {(1) = .0, (2) = .2845794951815041, (3) = .5802905055695667, (4) = .8885514207025176, (5) = 1.2072408515580282, (6) = 1.5241277598656842, (7) = 1.8382008239664442, (8) = 2.149174530656815, (9) = 2.454885413871613, (10) = 2.7552060874703397, (11) = 3.0504383007402915, (12) = 3.341945280064638, (13) = 3.6304496964963757, (14) = 3.916042462400899, (15) = 4.199264378526463, (16) = 4.481461632120577, (17) = 4.762724895602928, (18) = 5.043072238353252, (19) = 5.322982531757949, (20) = 5.60272511766346, (21) = 5.882300297153527, (22) = 6.161736333213332, (23) = 6.4411575554755345, (24) = 6.720578777737737, (25) = 7.0}, datatype = float[8], order = C_order); Y := Matrix(25, 2, {(1, 1) = .0, (1, 2) = -0.386828811067095e-9, (2, 1) = -0.2216993652237478e-8, (2, 2) = 0.14616118388886258e-8, (3, 1) = -0.7455359978153146e-8, (3, 2) = 0.4710721571687838e-8, (4, 1) = -0.16982400311690186e-7, (4, 2) = 0.9783146113229471e-8, (5, 1) = -0.30786424328469905e-7, (5, 2) = 0.16376183200789656e-7, (6, 1) = -0.42994838799769425e-7, (6, 2) = 0.21679520965836272e-7, (7, 1) = -0.5199511141359532e-7, (7, 2) = 0.25066260659017816e-7, (8, 1) = -0.57048689185532754e-7, (8, 2) = 0.26345990690227306e-7, (9, 1) = -0.5764327724544523e-7, (9, 2) = 0.25512842943438724e-7, (10, 1) = -0.5454799668685388e-7, (10, 2) = 0.23057686439816014e-7, (11, 1) = -0.48775069611964923e-7, (11, 2) = 0.1952775106925937e-7, (12, 1) = -0.4123996424533945e-7, (12, 2) = 0.1536586484164985e-7, (13, 1) = -0.3267675690322781e-7, (13, 2) = 0.10934233693752469e-7, (14, 1) = -0.2380016759889455e-7, (14, 2) = 0.6579831839030053e-8, (15, 1) = -0.15163340859773915e-7, (15, 2) = 0.25529972644398807e-8, (16, 1) = -0.70473915201684054e-8, (16, 2) = -0.10263308878804077e-8, (17, 1) = 0.8879410521278488e-10, (17, 2) = -0.396150548455334e-8, (18, 1) = 0.58580954539161245e-8, (18, 2) = -0.6103585276554362e-8, (19, 1) = 0.10054792443665074e-7, (19, 2) = -0.7389912750476629e-8, (20, 1) = 0.12515005620175738e-7, (20, 2) = -0.7786388630503472e-8, (21, 1) = 0.1314747786841381e-7, (21, 2) = -0.73037450796828595e-8, (22, 1) = 0.11994749277089035e-7, (22, 2) = -0.6016610201442588e-8, (23, 1) = 0.922090957032956e-8, (23, 2) = -0.4052497756437588e-8, (24, 1) = 0.50988935528244924e-8, (24, 2) = -0.15865659658969408e-8, (25, 1) = .0, (25, 2) = 0.1169288499659421e-8}, datatype = float[8], order = C_order); if not type(outpoint, 'numeric') then if outpoint = "start" or outpoint = "left" then return X[1] elif outpoint = "right" then return X[25] elif outpoint = "order" then return 6 elif outpoint = "error" then return HFloat(5.764327724544523e-8) elif outpoint = "errorproc" then error "this is already the error procedure" elif outpoint = "rawdata" then return [2, 25, [phi(x), diff(phi(x), x)], X, Y] else return ('procname')(x_bvp) end if end if; if outpoint < X[1] or X[25] < outpoint then error "solution is only defined in the range %1..%2", X[1], X[25] end if; V := array([1 = 4, 2 = 0]); if Digits <= trunc(evalhf(Digits)) then L := Vector(4, 'datatype' = 'float'[8]); yout := Vector(2, 'datatype' = 'float'[8]); evalhf(`dsolve/numeric/lagrange`(25, 2, X, Y, outpoint, var(yout), var(L), var(V))) else L := Vector(4, 'datatype' = 'sfloat'); yout := Vector(2, 'datatype' = 'sfloat'); `dsolve/numeric/lagrange`(25, 2, X, Y, outpoint, yout, L, V) end if; [x = outpoint, seq('[phi(x), diff(phi(x), x)]'[i] = yout[i], i = 1 .. 2)] end proc; if not type(outpoint, 'numeric') then if outpoint = "start" or outpoint = "left" then return X[1] elif outpoint = "method" then return "bvp" elif outpoint = "right" then return X[25] elif outpoint = "order" then return 6 elif outpoint = "error" then return HFloat(5.764327724544523e-8) elif outpoint = "errorproc" then return eval(errproc) elif outpoint = "rawdata" then return [2, 25, "depnames", X, Y, YP] else error "non-numeric value" end if end if; if outpoint < X[1] or X[25] < outpoint then error "solution is only defined in the range %1..%2", X[1], X[25] end if; if Digits <= trunc(evalhf(Digits)) and (_EnvInFsolve <> true or _EnvDSNumericSaveDigits <= trunc(evalhf(Digits))) then V := array( 1 .. 6, [( 1 ) = (7), ( 2 ) = (0), ( 3 ) = (false), ( 4 ) = (false), ( 5 ) = (false), ( 6 ) = (false)  ] ); L := Matrix(7, 2, {(1, 1) = .0, (1, 2) = .0, (2, 1) = .0, (2, 2) = .0, (3, 1) = .0, (3, 2) = .0, (4, 1) = .0, (4, 2) = .0, (5, 1) = .0, (5, 2) = .0, (6, 1) = .0, (6, 2) = .0, (7, 1) = .0, (7, 2) = .0}, datatype = float[8], order = C_order); yout := Vector(2, {(1) = .0, (2) = .0}, datatype = float[8]); evalhf(`dsolve/numeric/hermite`(25, 2, X, Y, YP, outpoint, var(yout), var(L), var(V))) else if _EnvInFsolve = true then Digits := _EnvDSNumericSaveDigits end if; V := array( 1 .. 6, [( 1 ) = (7), ( 2 ) = (0), ( 3 ) = (false), ( 4 ) = (false), ( 5 ) = (false), ( 6 ) = (false)  ] ); L := Matrix(7, 2, {(1, 1) = 0., (1, 2) = 0., (2, 1) = 0., (2, 2) = 0., (3, 1) = 0., (3, 2) = 0., (4, 1) = 0., (4, 2) = 0., (5, 1) = 0., (5, 2) = 0., (6, 1) = 0., (6, 2) = 0., (7, 1) = 0., (7, 2) = 0.}, order = C_order); yout := Vector(2, {(1) = 0., (2) = 0.}); `dsolve/numeric/hermite`(25, 2, X, Y, YP, outpoint, yout, L, V) end if; [outpoint, seq(yout[i], i = 1 .. 2)] end proc, (2) = Array(0..0, {}), (3) = [x, phi(x), diff(phi(x), x)], (4) = 0}); solnproc := data[1]; if not type(outpoint, 'numeric') then if outpoint = "solnprocedure" then return eval(solnproc) elif member(outpoint, ["start", "left", "right", "errorproc", "rawdata", "order", "error"]) then return solnproc(x_bvp) elif outpoint = "sysvars" then return data[3] elif procname <> unknown then return ('procname')(x_bvp) else _ndsol := pointto(data[2][0]); return ('_ndsol')(x_bvp) end if end if; try res := solnproc(outpoint); [x = res[1], seq('[phi(x), diff(phi(x), x)]'[i] = res[i+1], i = 1 .. 2)] catch: error  end try end proc

(7)

# Example (choice 2)

theta_ODE := diff(theta(x), x$2) = -cos(x);

sol_version_122 := dsolve({b1_version_21, theta_ODE, bcs_version_1}, numeric);

diff(diff(theta(x), x), x) = -cos(x)

 

proc (x_bvp) local res, data, solnproc, _ndsol, outpoint, i; option `Copyright (c) 2000 by Waterloo Maple Inc. All rights reserved.`; _EnvDSNumericSaveDigits := Digits; Digits := 15; if _EnvInFsolve = true then outpoint := evalf[_EnvDSNumericSaveDigits](x_bvp) else outpoint := evalf(x_bvp) end if; data := Array(1..4, {(1) = proc (outpoint) local X, Y, YP, yout, errproc, L, V, i; option `Copyright (c) 2000 by Waterloo Maple Inc. All rights reserved.`; X := Vector(25, {(1) = .0, (2) = .28520548245364286, (3) = .5804267750886297, (4) = .8867996014587105, (5) = 1.2024168713093397, (6) = 1.516490756931242, (7) = 1.828081490992342, (8) = 2.1369804990785846, (9) = 2.441297638072586, (10) = 2.740843228475919, (11) = 3.0358473137457134, (12) = 3.3274938221286643, (13) = 3.6165102799031974, (14) = 3.9029665821545896, (15) = 4.187278554555015, (16) = 4.4706485025470535, (17) = 4.753178280859624, (18) = 5.034879807884609, (19) = 5.316114597466504, (20) = 5.597108322973903, (21) = 5.877861603239838, (22) = 6.158413231749467, (23) = 6.4389421544996335, (24) = 6.7194710772498, (25) = 7.0}, datatype = float[8], order = C_order); Y := Matrix(25, 4, {(1, 1) = 1.0, (1, 2) = .6800001141915756, (1, 3) = 1.0, (1, 4) = -.10770032145261926, (2, 1) = 1.4555778346757655, (2, 2) = 2.467251452269994, (2, 3) = .9288871372343895, (2, 4) = -.38905496030243697, (3, 1) = 2.41389502527256, (3, 2) = 3.9531081800302297, (3, 3) = .7737165400395145, (3, 4) = -.6560811894451447, (4, 1) = 3.7977305074549896, (4, 2) = 4.986281722155367, (4, 3) = .5363871347833484, (4, 4) = -.8827537230163028, (5, 1) = 5.458329428543932, (5, 2) = 5.427053283664983, (5, 3) = .23060339365575372, (5, 4) = -1.0406124558656162, (6, 1) = 7.145864751639465, (6, 2) = 5.211334913005845, (6, 3) = -.1090476642823681, (6, 4) = -1.106226135662627, (7, 1) = 8.656105291435619, (7, 2) = 4.387148425267441, (7, 3) = -.4513409872291526, (7, 4) = -1.0747846682597781, (8, 1) = 9.817886839751916, (8, 2) = 3.06052326126533, (8, 3) = -.7665690720379669, (8, 4) = -.9516543047346938, (9, 1) = 10.502285020674476, (9, 2) = 1.3901891996747462, (9, 3) = -1.0275806475847535, (9, 4) = -.7521436205601852, (10, 1) = 10.646123777846578, (10, 2) = -.4476899047049343, (10, 3) = -1.2159586001919325, (10, 4) = -.49780882034435076, (11, 1) = 10.242482266704474, (11, 2) = -2.278154170876014, (11, 3) = -1.3213759092969448, (11, 4) = -.21324869596893348, (12, 1) = 9.329591730689856, (12, 2) = -3.945662326965407, (12, 3) = -1.3411422471054835, (12, 4) = 0.7713192838752932e-1, (13, 1) = 7.9831050732299085, (13, 2) = -5.314098252522818, (13, 3) = -1.2788297188219224, (13, 4) = .3495648696077279, (14, 1) = 6.31272962090734, (14, 2) = -6.274508403873006, (14, 3) = -1.1442395610365943, (14, 4) = .5822163456476159, (15, 1) = 4.448514720431188, (15, 2) = -6.756285897222395, (15, 3) = -.952279808998006, (15, 4) = .7575682675818803, (16, 1) = 2.5259523072397716, (16, 2) = -6.726840319017909, (16, 3) = -.7208831449003039, (16, 4) = .8632224657350345, (17, 1) = .6896197010206715, (17, 2) = -6.190025385322881, (17, 3) = -.4711408436738631, (17, 4) = .8914679098482646, (18, 1) = -.9233867179040366, (18, 2) = -5.189787797755726, (18, 3) = -.22532821479950457, (18, 4) = .8407486212772263, (19, 1) = -2.1960223235374414, (19, 2) = -3.8041747048793875, (19, 3) = -0.4833823450593729e-2, (19, 4) = .7155259283310865, (20, 1) = -3.036281130330681, (20, 2) = -2.140034201882414, (20, 3) = .17092684962735377, (20, 4) = .5258063597197039, (21, 1) = -3.3844321334512153, (21, 2) = -.32644082827058757, (21, 3) = .28592721573290636, (21, 4) = .28661593509633077, (22, 1) = -3.218891731891214, (22, 2) = 1.4964167203250038, (22, 3) = .3289629696080515, (22, 4) = 0.16748262350674885e-1, (23, 1) = -2.557087950205907, (23, 2) = 3.1887300964101932, (23, 3) = .2944182621774102, (23, 4) = -.2628281503292269, (24, 1) = -1.454325733487907, (24, 2) = 4.619762960152376, (24, 3) = .1826382571203129, (24, 4) = -.5302764003905673, (25, 1) = .0, (25, 2) = 5.678906303600271, (25, 3) = .0, (25, 4) = -.7646869199395754}, datatype = float[8], order = C_order); YP := Matrix(25, 4, {(1, 1) = .6800001141915756, (1, 2) = 6.72799995432337, (1, 3) = -.10770032145261926, (1, 4) = -1.0, (2, 1) = 2.467251452269994, (2, 2) = 5.730326435416583, (2, 3) = -.38905496030243697, (2, 4) = -.95960385947494, (3, 1) = 3.9531081800302297, (3, 2) = 4.272357563466833, (3, 3) = -.6560811894451447, (3, 4) = -.8362286907827035, (4, 1) = 4.986281722155367, (4, 2) = 2.4287574787194566, (4, 3) = -.8827537230163028, (4, 4) = -.6318957382259434, (5, 1) = 5.427053283664983, (5, 2) = .34990724534380924, (5, 3) = -1.0406124558656162, (5, 4) = -.3601040798299718, (6, 1) = 5.211334913005845, (6, 2) = -1.7045817929344094, (6, 3) = -1.106226135662627, (6, 4) = -0.5427888175256125e-1, (7, 1) = 4.387148425267441, (7, 2) = -3.536051493439708, (7, 3) = -1.0747846682597781, (7, 4) = .25445601761896164, (8, 1) = 3.06052326126533, (8, 2) = -4.9791183560505745, (8, 3) = -.9516543047346938, (8, 4) = .5364155787920631, (9, 1) = 1.3901891996747462, (9, 2) = -5.908640378395377, (9, 3) = -.7521436205601852, (9, 4) = .7646520997893541, (10, 1) = -.4476899047049343, (10, 2) = -6.266306306570833, (10, 3) = -.49780882034435076, (10, 4) = .920768895493258, (11, 1) = -2.278154170876014, (11, 2) = -6.049637518575932, (11, 3) = -.21324869596893348, (11, 4) = .9944141695609054, (12, 1) = -3.945662326965407, (12, 2) = -5.301125662115611, (12, 3) = 0.7713192838752932e-1, (12, 4) = .9827700847002534, (13, 1) = -5.314098252522818, (13, 2) = -4.099673437810365, (13, 3) = .3495648696077279, (13, 4) = .8893303912599275, (14, 1) = -6.274508403873006, (14, 2) = -2.5574182248522686, (14, 3) = .5822163456476159, (14, 4) = .7238887980573531, (15, 1) = -6.756285897222395, (15, 2) = -.8066455312345733, (15, 3) = .7575682675818803, (15, 4) = .5013085557319331, (16, 1) = -6.726840319017909, (16, 2) = 1.014986123288068, (16, 3) = .8632224657350345, (16, 4) = .23939285775987082, (17, 1) = -6.190025385322881, (17, 2) = 2.7614560894974827, (17, 3) = .8914679098482646, (17, 4) = -0.4077799076690431e-1, (18, 1) = -5.189787797755726, (18, 2) = 4.294424867345132, (18, 3) = .8407486212772263, (18, 4) = -.3169299640346917, (19, 1) = -3.8041747048793875, (19, 2) = 5.495663906439946, (19, 3) = .7155259283310865, (19, 4) = -.5677134320697415, (20, 1) = -2.140034201882414, (20, 2) = 6.272174215576857, (20, 3) = .5258063597197039, (20, 4) = -.7737372192605559, (21, 1) = -.32644082827058757, (21, 2) = 6.563399956432721, (21, 3) = .28661593509633077, (21, 4) = -.9189748035892124, (22, 1) = 1.4964167203250038, (22, 2) = 6.347015717113467, (22, 3) = 0.16748262350674885e-1, (22, 4) = -.9922260578919242, (23, 1) = 3.1887300964101932, (23, 2) = 5.639768800955563, (23, 3) = -.2628281503292269, (23, 4) = -.9878944056456629, (24, 1) = 4.619762960152376, (24, 2) = 4.496387007564442, (24, 3) = -.5302764003905673, (24, 4) = -.9063274559464846, (25, 1) = 5.678906303600271, (25, 2) = 3.005753258963024, (25, 3) = -.7646869199395754, (25, 4) = -.7539022543433046}, datatype = float[8], order = C_order); errproc := proc (x_bvp) local outpoint, X, Y, yout, L, V, i; option `Copyright (c) 2000 by Waterloo Maple Inc. All rights reserved.`; Digits := 15; outpoint := evalf(x_bvp); X := Vector(25, {(1) = .0, (2) = .28520548245364286, (3) = .5804267750886297, (4) = .8867996014587105, (5) = 1.2024168713093397, (6) = 1.516490756931242, (7) = 1.828081490992342, (8) = 2.1369804990785846, (9) = 2.441297638072586, (10) = 2.740843228475919, (11) = 3.0358473137457134, (12) = 3.3274938221286643, (13) = 3.6165102799031974, (14) = 3.9029665821545896, (15) = 4.187278554555015, (16) = 4.4706485025470535, (17) = 4.753178280859624, (18) = 5.034879807884609, (19) = 5.316114597466504, (20) = 5.597108322973903, (21) = 5.877861603239838, (22) = 6.158413231749467, (23) = 6.4389421544996335, (24) = 6.7194710772498, (25) = 7.0}, datatype = float[8], order = C_order); Y := Matrix(25, 4, {(1, 1) = .0, (1, 2) = -0.7015069783321377e-9, (1, 3) = .0, (1, 4) = -0.5965656887873573e-9, (2, 1) = -0.23419904967339463e-8, (2, 2) = 0.12117914769870434e-8, (2, 3) = -0.6988221912180033e-10, (2, 4) = -0.7360660541260077e-9, (3, 1) = -0.7581195258999318e-8, (3, 2) = 0.44477264061633045e-8, (3, 3) = 0.14026482338789395e-9, (3, 4) = -0.8989594038105847e-9, (4, 1) = -0.166979179613667e-7, (4, 2) = 0.9303801157844887e-8, (4, 3) = 0.7726610329851505e-9, (4, 4) = -0.10717291859501544e-8, (5, 1) = -0.29504315499220376e-7, (5, 2) = 0.15433270292964003e-7, (5, 3) = 0.1897371148385938e-8, (5, 4) = -0.1215573317985683e-8, (6, 1) = -0.4095776458114617e-7, (6, 2) = 0.20421023018317123e-7, (6, 3) = 0.31296694108390305e-8, (6, 4) = -0.1273626297873477e-8, (7, 1) = -0.495552731106085e-7, (7, 2) = 0.2367435799081896e-7, (7, 3) = 0.4299295107747069e-8, (7, 4) = -0.1247102621312409e-8, (8, 1) = -0.5456862366461368e-7, (8, 2) = 0.24989537653112128e-7, (8, 3) = 0.5283688944596066e-8, (8, 4) = -0.11485072811566145e-8, (9, 1) = -0.5545807727832772e-7, (9, 2) = 0.24323033428771882e-7, (9, 3) = 0.595861720640578e-8, (9, 4) = -0.10024667080314673e-8, (10, 1) = -0.5280149631736434e-7, (10, 2) = 0.22075216342591082e-7, (10, 3) = 0.6307142990864475e-8, (10, 4) = -0.8331553746433627e-9, (11, 1) = -0.4746483117748984e-7, (11, 2) = 0.18730783839641616e-7, (11, 3) = 0.6355167829862161e-8, (11, 4) = -0.6603314496931463e-9, (12, 1) = -0.40286883814052245e-7, (12, 2) = 0.14707115641354395e-7, (12, 3) = 0.6146987777745153e-8, (12, 4) = -0.4956897879397524e-9, (13, 1) = -0.3196335776467257e-7, (13, 2) = 0.10353703028456993e-7, (13, 3) = 0.572387482707407e-8, (13, 4) = -0.34940367176685377e-9, (14, 1) = -0.2319611091857721e-7, (14, 2) = 0.6017831105147596e-8, (14, 3) = 0.5135552400129261e-8, (14, 4) = -0.23097926591791715e-9, (15, 1) = -0.14568936052459186e-7, (15, 2) = 0.19697237353884613e-8, (15, 3) = 0.4432324943689459e-8, (15, 4) = -0.14565999002417557e-9, (16, 1) = -0.6410382958141966e-8, (16, 2) = -0.16464434352513352e-8, (16, 3) = 0.3648773527807103e-8, (16, 4) = -0.9526716154865928e-10, (17, 1) = 0.7982532172029822e-9, (17, 2) = -0.4622532222662276e-8, (17, 3) = 0.28362462783361233e-8, (17, 4) = -0.8203345859682403e-10, (18, 1) = 0.6641790807729078e-8, (18, 2) = -0.67965150474308445e-8, (18, 3) = 0.20472289485995545e-8, (18, 4) = -0.10538202154419052e-9, (19, 1) = 0.10873197068473307e-7, (19, 2) = -0.8089560828637094e-8, (19, 3) = 0.13238666882840484e-8, (19, 4) = -0.16245538409690216e-9, (20, 1) = 0.1331323636811854e-7, (20, 2) = -0.8463393358019913e-8, (20, 3) = 0.7057083300480924e-9, (20, 4) = -0.24848113430325744e-9, (21, 1) = 0.13869862627268089e-7, (21, 2) = -0.7930735714966703e-8, (21, 3) = 0.22775201526424163e-9, (21, 4) = -0.35638263891457173e-9, (22, 1) = 0.125914677539068e-7, (22, 2) = -0.6570863156361201e-8, (22, 3) = -0.8661712219936396e-10, (22, 4) = -0.477599099037555e-9, (23, 1) = 0.9649616429420714e-8, (23, 2) = -0.4515509635171421e-8, (23, 3) = -0.22653672532804103e-9, (23, 4) = -0.6031151379294315e-9, (24, 1) = 0.5324781923122823e-8, (24, 2) = -0.1945076363704714e-8, (24, 3) = -0.19288727142698676e-9, (24, 4) = -0.7231862652462719e-9, (25, 1) = .0, (25, 2) = 0.9215035892091513e-9, (25, 3) = .0, (25, 4) = -0.8284250125731864e-9}, datatype = float[8], order = C_order); if not type(outpoint, 'numeric') then if outpoint = "start" or outpoint = "left" then return X[1] elif outpoint = "right" then return X[25] elif outpoint = "order" then return 6 elif outpoint = "error" then return HFloat(5.545807727832772e-8) elif outpoint = "errorproc" then error "this is already the error procedure" elif outpoint = "rawdata" then return [4, 25, [phi(x), diff(phi(x), x), theta(x), diff(theta(x), x)], X, Y] else return ('procname')(x_bvp) end if end if; if outpoint < X[1] or X[25] < outpoint then error "solution is only defined in the range %1..%2", X[1], X[25] end if; V := array([1 = 4, 2 = 0]); if Digits <= trunc(evalhf(Digits)) then L := Vector(4, 'datatype' = 'float'[8]); yout := Vector(4, 'datatype' = 'float'[8]); evalhf(`dsolve/numeric/lagrange`(25, 4, X, Y, outpoint, var(yout), var(L), var(V))) else L := Vector(4, 'datatype' = 'sfloat'); yout := Vector(4, 'datatype' = 'sfloat'); `dsolve/numeric/lagrange`(25, 4, X, Y, outpoint, yout, L, V) end if; [x = outpoint, seq('[phi(x), diff(phi(x), x), theta(x), diff(theta(x), x)]'[i] = yout[i], i = 1 .. 4)] end proc; if not type(outpoint, 'numeric') then if outpoint = "start" or outpoint = "left" then return X[1] elif outpoint = "method" then return "bvp" elif outpoint = "right" then return X[25] elif outpoint = "order" then return 6 elif outpoint = "error" then return HFloat(5.545807727832772e-8) elif outpoint = "errorproc" then return eval(errproc) elif outpoint = "rawdata" then return [4, 25, "depnames", X, Y, YP] else error "non-numeric value" end if end if; if outpoint < X[1] or X[25] < outpoint then error "solution is only defined in the range %1..%2", X[1], X[25] end if; if Digits <= trunc(evalhf(Digits)) and (_EnvInFsolve <> true or _EnvDSNumericSaveDigits <= trunc(evalhf(Digits))) then V := array( 1 .. 6, [( 1 ) = (7), ( 2 ) = (0), ( 3 ) = (false), ( 4 ) = (false), ( 5 ) = (false), ( 6 ) = (false)  ] ); L := Matrix(7, 2, {(1, 1) = .0, (1, 2) = .0, (2, 1) = .0, (2, 2) = .0, (3, 1) = .0, (3, 2) = .0, (4, 1) = .0, (4, 2) = .0, (5, 1) = .0, (5, 2) = .0, (6, 1) = .0, (6, 2) = .0, (7, 1) = .0, (7, 2) = .0}, datatype = float[8], order = C_order); yout := Vector(4, {(1) = .0, (2) = .0, (3) = .0, (4) = .0}, datatype = float[8]); evalhf(`dsolve/numeric/hermite`(25, 4, X, Y, YP, outpoint, var(yout), var(L), var(V))) else if _EnvInFsolve = true then Digits := _EnvDSNumericSaveDigits end if; V := array( 1 .. 6, [( 1 ) = (7), ( 2 ) = (0), ( 3 ) = (false), ( 4 ) = (false), ( 5 ) = (false), ( 6 ) = (false)  ] ); L := Matrix(7, 2, {(1, 1) = 0., (1, 2) = 0., (2, 1) = 0., (2, 2) = 0., (3, 1) = 0., (3, 2) = 0., (4, 1) = 0., (4, 2) = 0., (5, 1) = 0., (5, 2) = 0., (6, 1) = 0., (6, 2) = 0., (7, 1) = 0., (7, 2) = 0.}, order = C_order); yout := Vector(4, {(1) = 0., (2) = 0., (3) = 0., (4) = 0.}); `dsolve/numeric/hermite`(25, 4, X, Y, YP, outpoint, yout, L, V) end if; [outpoint, seq(yout[i], i = 1 .. 4)] end proc, (2) = Array(0..0, {}), (3) = [x, phi(x), diff(phi(x), x), theta(x), diff(theta(x), x)], (4) = 0}); solnproc := data[1]; if not type(outpoint, 'numeric') then if outpoint = "solnprocedure" then return eval(solnproc) elif member(outpoint, ["start", "left", "right", "errorproc", "rawdata", "order", "error"]) then return solnproc(x_bvp) elif outpoint = "sysvars" then return data[3] elif procname <> unknown then return ('procname')(x_bvp) else _ndsol := pointto(data[2][0]); return ('_ndsol')(x_bvp) end if end if; try res := solnproc(outpoint); [x = res[1], seq('[phi(x), diff(phi(x), x), theta(x), diff(theta(x), x)]'[i] = res[i+1], i = 1 .. 4)] catch: error  end try end proc

(8)

 


 

Download sps1_mmcdara.mw
 

restart

kernelopts(version);

`Maple 2015.2, APPLE UNIVERSAL OSX, Dec 20 2015, Build ID 1097895`

(1)

with(PDETools, declare):

with(plots):

eq1 := diff(f(x), x, x, x)-(diff(f(x), x))^2+theta*Gr+f(x)*(diff(f(x), x, x))-M^2*(diff(f(x), x))-(diff(f(x), x))^2*G[1]-(diff(f(x), x))*j[1] = 0;

diff(diff(diff(f(x), x), x), x)-(diff(f(x), x))^2+theta*Gr+f(x)*(diff(diff(f(x), x), x))-M^2*(diff(f(x), x))-(diff(f(x), x))^2*G[1]-(diff(f(x), x))*j[1] = 0

 

(1+(4/3)*R)*(diff(diff(theta(x), x), x))/Pr+f(x)*(diff(theta(x), x))+Delta*theta-g[1]*theta*(diff(f(x), x))+N[b]*(diff(theta(x), x))*(diff(phi(x), x))+N[t]*(diff(theta(x), x))^2 = 0

 

diff(diff(phi(x), x), x)+Sc*f(x)*(diff(phi(x), x))+N[t]*(diff(diff(theta(x), x), x))/N[b] = 0

(2)

bcs := f(0) = .45, (D(f))(0) = 1, (D(f))(7) = 0, theta(0) = 1, theta(7) = 0, phi(0) = 1, phi(7) = 0;

f(0) = .45, (D(f))(0) = 1, (D(f))(7) = 0, theta(0) = 1, theta(7) = 0, phi(0) = 1, phi(7) = 0

(3)

a1 := [M = .8, Gr = 2.0, G[1] = .5, j[1] = .4, N[t] = .7, N[b] = .1, Sc = .4, R = 1.0, Delta = .5, g[1] = .5, Pr = 2.5, eta = 3];

[M = .8, Gr = 2.0, G[1] = .5, j[1] = .4, N[t] = .7, N[b] = .1, Sc = .4, R = 1.0, Delta = .5, g[1] = .5, Pr = 2.5, eta = 3]

 

[M = .8, Gr = 2.0, G[1] = .5, j[1] = .4, N[t] = .7, N[b] = .2, Sc = .4, R = 1.0, Delta = .5, g[1] = .5, Pr = 2.5, eta = 3]

 

[M = .8, Gr = 2.0, G[1] = .5, j[1] = .4, N[t] = .7, N[b] = .3, Sc = .4, R = 1.0, Delta = .5, g[1] = .5, Pr = 2.5, eta = 3]

 

[M = .8, Gr = 2.0, G[1] = .5, j[1] = .4, N[t] = .7, N[b] = .4, Sc = .4, R = 1.0, Delta = .5, g[1] = .5, Pr = 2.5, eta = 3]

(4)

b1 := subs(a1, eq3);

diff(diff(phi(x), x), x)+.4*f(x)*(diff(phi(x), x))+7.000000000*(diff(diff(theta(x), x), x)) = 0

 

diff(diff(phi(x), x), x)+.4*f(x)*(diff(phi(x), x))+3.500000000*(diff(diff(theta(x), x), x)) = 0

 

diff(diff(phi(x), x), x)+.4*f(x)*(diff(phi(x), x))+2.333333333*(diff(diff(theta(x), x), x)) = 0

 

diff(diff(phi(x), x), x)+.4*f(x)*(diff(phi(x), x))+1.750000000*(diff(diff(theta(x), x), x)) = 0

(5)


STEP by STEP explanation

# Functions which appear through derivatives

select(has, indets(b1, function), diff)

{diff(diff(phi(x), x), x), diff(diff(theta(x), x), x), diff(phi(x), x), diff(theta(x), x)}

(6)

# You have to give 2 BCs for phi and theta
# BCs for f are useless
#
# Example

bcs_version_1 := theta(0) = 1, theta(7) = 0, phi(0) = 1, phi(7) = 0;

# Let us try this

sol_version_1 := dsolve({b1, bcs_version_1}, numeric);  # No 'eval' is requiered here

theta(0) = 1, theta(7) = 0, phi(0) = 1, phi(7) = 0

 

Error, (in dsolve/numeric/bvp/convertsys) the ODE system does not contain derivatives of the unknown function f

 

# What this happen?
#
# b1 contains the abstract function f(x) and Maple does not know how to consider it.
# By default Maple considers f(x) is a function defined through some ODE and asks for
# IC/BC.
#
# But we saw above thos ODE does not exist.
# As you are using dsol/numeric (not dsolve/symbolic) you must provide an algebraic expression
# for f(x)
#
# Example

My_f := x -> 1:

b1_version_2 := eval(b1, f = (x -> My_f(x)));

sol_version_12 := dsolve({b1_version_2, bcs_version_1}, numeric)

diff(diff(phi(x), x), x)+.4*(diff(phi(x), x))+7.000000000*(diff(diff(theta(x), x), x)) = 0

 

Error, (in dsolve/numeric/bvp/convertsys) unable to convert to an explicit first-order system

 

# Still an error
#
# You have two functions which intervene both through derivatives but you have only
# one ODE.
#
# So, either you give one ofthem an analytic expression... or you introduce a second ODE.
#
# Example (choice 1)

My_theta := x -> cos(x):

b1_version_21 := eval(b1_version_2, theta = (x -> My_theta(x)));

sol_version_121 := dsolve({b1_version_21, bcs_version_1}, numeric);
 

diff(diff(phi(x), x), x)+.4*(diff(phi(x), x))-7.000000000*cos(x) = 0

 

Error, (in dsolve/numeric/process_input) invalid specification of initial conditions, got {theta(0) = 1, theta(7) = 0}

 

# Here the error is due to the fact that there exist BC on some function (theta) which no
# longer exist.
# Then remove the and look to what it happens

bcs_version_2 := remove(has, {bcs_version_1}, theta);

sol_version_221 := dsolve({b1_version_21, bcs_version_2[]}, numeric);

# Now you get a result without no more error.

{phi(0) = 1, phi(7) = 0}

 

proc (x_bvp) local res, data, solnproc, _ndsol, outpoint, i; option `Copyright (c) 2000 by Waterloo Maple Inc. All rights reserved.`; _EnvDSNumericSaveDigits := Digits; Digits := 15; if _EnvInFsolve = true then outpoint := evalf[_EnvDSNumericSaveDigits](x_bvp) else outpoint := evalf(x_bvp) end if; data := Array(1..4, {(1) = proc (outpoint) local X, Y, YP, yout, errproc, L, V, i; option `Copyright (c) 2000 by Waterloo Maple Inc. All rights reserved.`; X := Vector(25, {(1) = .0, (2) = .2845794951815041, (3) = .5802905055695667, (4) = .8885514207025176, (5) = 1.2072408515580282, (6) = 1.5241277598656842, (7) = 1.8382008239664442, (8) = 2.149174530656815, (9) = 2.454885413871613, (10) = 2.7552060874703397, (11) = 3.0504383007402915, (12) = 3.341945280064638, (13) = 3.6304496964963757, (14) = 3.916042462400899, (15) = 4.199264378526463, (16) = 4.481461632120577, (17) = 4.762724895602928, (18) = 5.043072238353252, (19) = 5.322982531757949, (20) = 5.60272511766346, (21) = 5.882300297153527, (22) = 6.161736333213332, (23) = 6.4411575554755345, (24) = 6.720578777737737, (25) = 7.0}, datatype = float[8], order = C_order); Y := Matrix(25, 2, {(1, 1) = 1.0, (1, 2) = .680000113877016, (2, 1) = 1.4540344894609882, (2, 2) = 2.463663505833786, (3, 1) = 2.4133563766655417, (3, 2) = 3.9525259361508316, (4, 1) = 3.806469293070552, (4, 2) = 4.990526648497383, (5, 1) = 5.484513374261103, (5, 2) = 5.4286636191202335, (6, 1) = 7.185613557031606, (6, 2) = 5.198133226626437, (7, 1) = 8.700318339263731, (7, 2) = 4.35109243403419, (8, 1) = 9.854835597801994, (8, 2) = 2.9995181989632598, (9, 1) = 10.520628264025243, (9, 2) = 1.3097082601253847, (10, 1) = 10.639047230240717, (10, 2) = -.5377118814794638, (11, 1) = 10.208598658044096, (11, 2) = -2.3662421601997328, (12, 1) = 9.272019330320754, (12, 2) = -4.021912028517894, (13, 1) = 7.908633538352818, (13, 2) = -5.370773086444524, (14, 1) = 6.2304684531398875, (14, 2) = -6.307447573944695, (15, 1) = 4.367478957858471, (15, 2) = -6.765495697796848, (16, 1) = 2.4532747959522974, (16, 2) = -6.715491733720893, (17, 1) = .6306526038008767, (17, 2) = -6.163394831083677, (18, 1) = -.9657591305154667, (18, 2) = -5.154441254712672, (19, 1) = -2.222019341567904, (19, 2) = -3.7663470770234446, (20, 1) = -3.0482022672294895, (20, 2) = -2.1047744945032707, (21, 1) = -3.385816445756158, (21, 2) = -.2973066715468748, (22, 1) = -3.213883951896306, (22, 2) = 1.5174992505865381, (23, 1) = -2.550009800084594, (23, 2) = 3.2012162343653574, (24, 1) = -1.4492056621226057, (24, 2) = 4.624740690704019, (25, 1) = .0, (25, 2) = 5.678906303352601}, datatype = float[8], order = C_order); YP := Matrix(25, 2, {(1, 1) = .680000113877016, (1, 2) = 6.727999954449194, (2, 1) = 2.463663505833786, (2, 2) = 5.732993168764835, (3, 1) = 3.9525259361508316, (3, 2) = 4.273113499848399, (4, 1) = 4.990526648497383, (4, 2) = 2.417548451570903, (5, 1) = 5.4286636191202335, (5, 2) = .3177314557407489, (6, 1) = 5.198133226626437, (6, 2) = -1.752691891619449, (7, 1) = 4.35109243403419, (7, 2) = -3.5900404704335074, (8, 1) = 2.9995181989632598, (8, 2) = -5.026473793037796, (9, 1) = 1.3097082601253847, (9, 2) = -5.937247865802401, (10, 1) = -.5377118814794638, (10, 2) = -6.268852877857702, (11, 1) = -2.3662421601997328, (11, 2) = -6.024441361269366, (12, 1) = -4.021912028517894, (12, 2) = -5.251210414497452, (13, 1) = -5.370773086444524, (13, 2) = -4.031782077027102, (14, 1) = -6.307447573944695, (14, 2) = -2.480662295094154, (15, 1) = -6.765495697796848, (15, 2) = -.7301145902921422, (16, 1) = -6.715491733720893, (16, 2) = 1.084034220951506, (17, 1) = -6.163394831083677, (17, 2) = 2.817560565427252, (18, 1) = -5.154441254712672, (18, 2) = 4.334601907617293, (19, 1) = -3.7663470770234446, (19, 2) = 5.520015867378172, (20, 1) = -2.1047744945032707, (20, 2) = 6.282892705082078, (21, 1) = -.2973066715468748, (21, 2) = 6.563934628042916, (22, 1) = 1.5174992505865381, (22, 2) = 6.341439236571117, (23, 1) = 3.2012162343653574, (23, 2) = 5.632351685288582, (24, 1) = 4.624740690704019, (24, 2) = 4.49111540968702, (25, 1) = 5.678906303352601, (25, 2) = 3.0057532590620917}, datatype = float[8], order = C_order); errproc := proc (x_bvp) local outpoint, X, Y, yout, L, V, i; option `Copyright (c) 2000 by Waterloo Maple Inc. All rights reserved.`; Digits := 15; outpoint := evalf(x_bvp); X := Vector(25, {(1) = .0, (2) = .2845794951815041, (3) = .5802905055695667, (4) = .8885514207025176, (5) = 1.2072408515580282, (6) = 1.5241277598656842, (7) = 1.8382008239664442, (8) = 2.149174530656815, (9) = 2.454885413871613, (10) = 2.7552060874703397, (11) = 3.0504383007402915, (12) = 3.341945280064638, (13) = 3.6304496964963757, (14) = 3.916042462400899, (15) = 4.199264378526463, (16) = 4.481461632120577, (17) = 4.762724895602928, (18) = 5.043072238353252, (19) = 5.322982531757949, (20) = 5.60272511766346, (21) = 5.882300297153527, (22) = 6.161736333213332, (23) = 6.4411575554755345, (24) = 6.720578777737737, (25) = 7.0}, datatype = float[8], order = C_order); Y := Matrix(25, 2, {(1, 1) = .0, (1, 2) = -0.386828811067095e-9, (2, 1) = -0.2216993652237478e-8, (2, 2) = 0.14616118388886258e-8, (3, 1) = -0.7455359978153146e-8, (3, 2) = 0.4710721571687838e-8, (4, 1) = -0.16982400311690186e-7, (4, 2) = 0.9783146113229471e-8, (5, 1) = -0.30786424328469905e-7, (5, 2) = 0.16376183200789656e-7, (6, 1) = -0.42994838799769425e-7, (6, 2) = 0.21679520965836272e-7, (7, 1) = -0.5199511141359532e-7, (7, 2) = 0.25066260659017816e-7, (8, 1) = -0.57048689185532754e-7, (8, 2) = 0.26345990690227306e-7, (9, 1) = -0.5764327724544523e-7, (9, 2) = 0.25512842943438724e-7, (10, 1) = -0.5454799668685388e-7, (10, 2) = 0.23057686439816014e-7, (11, 1) = -0.48775069611964923e-7, (11, 2) = 0.1952775106925937e-7, (12, 1) = -0.4123996424533945e-7, (12, 2) = 0.1536586484164985e-7, (13, 1) = -0.3267675690322781e-7, (13, 2) = 0.10934233693752469e-7, (14, 1) = -0.2380016759889455e-7, (14, 2) = 0.6579831839030053e-8, (15, 1) = -0.15163340859773915e-7, (15, 2) = 0.25529972644398807e-8, (16, 1) = -0.70473915201684054e-8, (16, 2) = -0.10263308878804077e-8, (17, 1) = 0.8879410521278488e-10, (17, 2) = -0.396150548455334e-8, (18, 1) = 0.58580954539161245e-8, (18, 2) = -0.6103585276554362e-8, (19, 1) = 0.10054792443665074e-7, (19, 2) = -0.7389912750476629e-8, (20, 1) = 0.12515005620175738e-7, (20, 2) = -0.7786388630503472e-8, (21, 1) = 0.1314747786841381e-7, (21, 2) = -0.73037450796828595e-8, (22, 1) = 0.11994749277089035e-7, (22, 2) = -0.6016610201442588e-8, (23, 1) = 0.922090957032956e-8, (23, 2) = -0.4052497756437588e-8, (24, 1) = 0.50988935528244924e-8, (24, 2) = -0.15865659658969408e-8, (25, 1) = .0, (25, 2) = 0.1169288499659421e-8}, datatype = float[8], order = C_order); if not type(outpoint, 'numeric') then if outpoint = "start" or outpoint = "left" then return X[1] elif outpoint = "right" then return X[25] elif outpoint = "order" then return 6 elif outpoint = "error" then return HFloat(5.764327724544523e-8) elif outpoint = "errorproc" then error "this is already the error procedure" elif outpoint = "rawdata" then return [2, 25, [phi(x), diff(phi(x), x)], X, Y] else return ('procname')(x_bvp) end if end if; if outpoint < X[1] or X[25] < outpoint then error "solution is only defined in the range %1..%2", X[1], X[25] end if; V := array([1 = 4, 2 = 0]); if Digits <= trunc(evalhf(Digits)) then L := Vector(4, 'datatype' = 'float'[8]); yout := Vector(2, 'datatype' = 'float'[8]); evalhf(`dsolve/numeric/lagrange`(25, 2, X, Y, outpoint, var(yout), var(L), var(V))) else L := Vector(4, 'datatype' = 'sfloat'); yout := Vector(2, 'datatype' = 'sfloat'); `dsolve/numeric/lagrange`(25, 2, X, Y, outpoint, yout, L, V) end if; [x = outpoint, seq('[phi(x), diff(phi(x), x)]'[i] = yout[i], i = 1 .. 2)] end proc; if not type(outpoint, 'numeric') then if outpoint = "start" or outpoint = "left" then return X[1] elif outpoint = "method" then return "bvp" elif outpoint = "right" then return X[25] elif outpoint = "order" then return 6 elif outpoint = "error" then return HFloat(5.764327724544523e-8) elif outpoint = "errorproc" then return eval(errproc) elif outpoint = "rawdata" then return [2, 25, "depnames", X, Y, YP] else error "non-numeric value" end if end if; if outpoint < X[1] or X[25] < outpoint then error "solution is only defined in the range %1..%2", X[1], X[25] end if; if Digits <= trunc(evalhf(Digits)) and (_EnvInFsolve <> true or _EnvDSNumericSaveDigits <= trunc(evalhf(Digits))) then V := array( 1 .. 6, [( 1 ) = (7), ( 2 ) = (0), ( 3 ) = (false), ( 4 ) = (false), ( 5 ) = (false), ( 6 ) = (false)  ] ); L := Matrix(7, 2, {(1, 1) = .0, (1, 2) = .0, (2, 1) = .0, (2, 2) = .0, (3, 1) = .0, (3, 2) = .0, (4, 1) = .0, (4, 2) = .0, (5, 1) = .0, (5, 2) = .0, (6, 1) = .0, (6, 2) = .0, (7, 1) = .0, (7, 2) = .0}, datatype = float[8], order = C_order); yout := Vector(2, {(1) = .0, (2) = .0}, datatype = float[8]); evalhf(`dsolve/numeric/hermite`(25, 2, X, Y, YP, outpoint, var(yout), var(L), var(V))) else if _EnvInFsolve = true then Digits := _EnvDSNumericSaveDigits end if; V := array( 1 .. 6, [( 1 ) = (7), ( 2 ) = (0), ( 3 ) = (false), ( 4 ) = (false), ( 5 ) = (false), ( 6 ) = (false)  ] ); L := Matrix(7, 2, {(1, 1) = 0., (1, 2) = 0., (2, 1) = 0., (2, 2) = 0., (3, 1) = 0., (3, 2) = 0., (4, 1) = 0., (4, 2) = 0., (5, 1) = 0., (5, 2) = 0., (6, 1) = 0., (6, 2) = 0., (7, 1) = 0., (7, 2) = 0.}, order = C_order); yout := Vector(2, {(1) = 0., (2) = 0.}); `dsolve/numeric/hermite`(25, 2, X, Y, YP, outpoint, yout, L, V) end if; [outpoint, seq(yout[i], i = 1 .. 2)] end proc, (2) = Array(0..0, {}), (3) = [x, phi(x), diff(phi(x), x)], (4) = 0}); solnproc := data[1]; if not type(outpoint, 'numeric') then if outpoint = "solnprocedure" then return eval(solnproc) elif member(outpoint, ["start", "left", "right", "errorproc", "rawdata", "order", "error"]) then return solnproc(x_bvp) elif outpoint = "sysvars" then return data[3] elif procname <> unknown then return ('procname')(x_bvp) else _ndsol := pointto(data[2][0]); return ('_ndsol')(x_bvp) end if end if; try res := solnproc(outpoint); [x = res[1], seq('[phi(x), diff(phi(x), x)]'[i] = res[i+1], i = 1 .. 2)] catch: error  end try end proc

(7)

# Example (choice 2)

theta_ODE := diff(theta(x), x$2) = -cos(x);

sol_version_122 := dsolve({b1_version_21, theta_ODE, bcs_version_1}, numeric);

diff(diff(theta(x), x), x) = -cos(x)

 

proc (x_bvp) local res, data, solnproc, _ndsol, outpoint, i; option `Copyright (c) 2000 by Waterloo Maple Inc. All rights reserved.`; _EnvDSNumericSaveDigits := Digits; Digits := 15; if _EnvInFsolve = true then outpoint := evalf[_EnvDSNumericSaveDigits](x_bvp) else outpoint := evalf(x_bvp) end if; data := Array(1..4, {(1) = proc (outpoint) local X, Y, YP, yout, errproc, L, V, i; option `Copyright (c) 2000 by Waterloo Maple Inc. All rights reserved.`; X := Vector(25, {(1) = .0, (2) = .28520548245364286, (3) = .5804267750886297, (4) = .8867996014587105, (5) = 1.2024168713093397, (6) = 1.516490756931242, (7) = 1.828081490992342, (8) = 2.1369804990785846, (9) = 2.441297638072586, (10) = 2.740843228475919, (11) = 3.0358473137457134, (12) = 3.3274938221286643, (13) = 3.6165102799031974, (14) = 3.9029665821545896, (15) = 4.187278554555015, (16) = 4.4706485025470535, (17) = 4.753178280859624, (18) = 5.034879807884609, (19) = 5.316114597466504, (20) = 5.597108322973903, (21) = 5.877861603239838, (22) = 6.158413231749467, (23) = 6.4389421544996335, (24) = 6.7194710772498, (25) = 7.0}, datatype = float[8], order = C_order); Y := Matrix(25, 4, {(1, 1) = 1.0, (1, 2) = .6800001141915756, (1, 3) = 1.0, (1, 4) = -.10770032145261926, (2, 1) = 1.4555778346757655, (2, 2) = 2.467251452269994, (2, 3) = .9288871372343895, (2, 4) = -.38905496030243697, (3, 1) = 2.41389502527256, (3, 2) = 3.9531081800302297, (3, 3) = .7737165400395145, (3, 4) = -.6560811894451447, (4, 1) = 3.7977305074549896, (4, 2) = 4.986281722155367, (4, 3) = .5363871347833484, (4, 4) = -.8827537230163028, (5, 1) = 5.458329428543932, (5, 2) = 5.427053283664983, (5, 3) = .23060339365575372, (5, 4) = -1.0406124558656162, (6, 1) = 7.145864751639465, (6, 2) = 5.211334913005845, (6, 3) = -.1090476642823681, (6, 4) = -1.106226135662627, (7, 1) = 8.656105291435619, (7, 2) = 4.387148425267441, (7, 3) = -.4513409872291526, (7, 4) = -1.0747846682597781, (8, 1) = 9.817886839751916, (8, 2) = 3.06052326126533, (8, 3) = -.7665690720379669, (8, 4) = -.9516543047346938, (9, 1) = 10.502285020674476, (9, 2) = 1.3901891996747462, (9, 3) = -1.0275806475847535, (9, 4) = -.7521436205601852, (10, 1) = 10.646123777846578, (10, 2) = -.4476899047049343, (10, 3) = -1.2159586001919325, (10, 4) = -.49780882034435076, (11, 1) = 10.242482266704474, (11, 2) = -2.278154170876014, (11, 3) = -1.3213759092969448, (11, 4) = -.21324869596893348, (12, 1) = 9.329591730689856, (12, 2) = -3.945662326965407, (12, 3) = -1.3411422471054835, (12, 4) = 0.7713192838752932e-1, (13, 1) = 7.9831050732299085, (13, 2) = -5.314098252522818, (13, 3) = -1.2788297188219224, (13, 4) = .3495648696077279, (14, 1) = 6.31272962090734, (14, 2) = -6.274508403873006, (14, 3) = -1.1442395610365943, (14, 4) = .5822163456476159, (15, 1) = 4.448514720431188, (15, 2) = -6.756285897222395, (15, 3) = -.952279808998006, (15, 4) = .7575682675818803, (16, 1) = 2.5259523072397716, (16, 2) = -6.726840319017909, (16, 3) = -.7208831449003039, (16, 4) = .8632224657350345, (17, 1) = .6896197010206715, (17, 2) = -6.190025385322881, (17, 3) = -.4711408436738631, (17, 4) = .8914679098482646, (18, 1) = -.9233867179040366, (18, 2) = -5.189787797755726, (18, 3) = -.22532821479950457, (18, 4) = .8407486212772263, (19, 1) = -2.1960223235374414, (19, 2) = -3.8041747048793875, (19, 3) = -0.4833823450593729e-2, (19, 4) = .7155259283310865, (20, 1) = -3.036281130330681, (20, 2) = -2.140034201882414, (20, 3) = .17092684962735377, (20, 4) = .5258063597197039, (21, 1) = -3.3844321334512153, (21, 2) = -.32644082827058757, (21, 3) = .28592721573290636, (21, 4) = .28661593509633077, (22, 1) = -3.218891731891214, (22, 2) = 1.4964167203250038, (22, 3) = .3289629696080515, (22, 4) = 0.16748262350674885e-1, (23, 1) = -2.557087950205907, (23, 2) = 3.1887300964101932, (23, 3) = .2944182621774102, (23, 4) = -.2628281503292269, (24, 1) = -1.454325733487907, (24, 2) = 4.619762960152376, (24, 3) = .1826382571203129, (24, 4) = -.5302764003905673, (25, 1) = .0, (25, 2) = 5.678906303600271, (25, 3) = .0, (25, 4) = -.7646869199395754}, datatype = float[8], order = C_order); YP := Matrix(25, 4, {(1, 1) = .6800001141915756, (1, 2) = 6.72799995432337, (1, 3) = -.10770032145261926, (1, 4) = -1.0, (2, 1) = 2.467251452269994, (2, 2) = 5.730326435416583, (2, 3) = -.38905496030243697, (2, 4) = -.95960385947494, (3, 1) = 3.9531081800302297, (3, 2) = 4.272357563466833, (3, 3) = -.6560811894451447, (3, 4) = -.8362286907827035, (4, 1) = 4.986281722155367, (4, 2) = 2.4287574787194566, (4, 3) = -.8827537230163028, (4, 4) = -.6318957382259434, (5, 1) = 5.427053283664983, (5, 2) = .34990724534380924, (5, 3) = -1.0406124558656162, (5, 4) = -.3601040798299718, (6, 1) = 5.211334913005845, (6, 2) = -1.7045817929344094, (6, 3) = -1.106226135662627, (6, 4) = -0.5427888175256125e-1, (7, 1) = 4.387148425267441, (7, 2) = -3.536051493439708, (7, 3) = -1.0747846682597781, (7, 4) = .25445601761896164, (8, 1) = 3.06052326126533, (8, 2) = -4.9791183560505745, (8, 3) = -.9516543047346938, (8, 4) = .5364155787920631, (9, 1) = 1.3901891996747462, (9, 2) = -5.908640378395377, (9, 3) = -.7521436205601852, (9, 4) = .7646520997893541, (10, 1) = -.4476899047049343, (10, 2) = -6.266306306570833, (10, 3) = -.49780882034435076, (10, 4) = .920768895493258, (11, 1) = -2.278154170876014, (11, 2) = -6.049637518575932, (11, 3) = -.21324869596893348, (11, 4) = .9944141695609054, (12, 1) = -3.945662326965407, (12, 2) = -5.301125662115611, (12, 3) = 0.7713192838752932e-1, (12, 4) = .9827700847002534, (13, 1) = -5.314098252522818, (13, 2) = -4.099673437810365, (13, 3) = .3495648696077279, (13, 4) = .8893303912599275, (14, 1) = -6.274508403873006, (14, 2) = -2.5574182248522686, (14, 3) = .5822163456476159, (14, 4) = .7238887980573531, (15, 1) = -6.756285897222395, (15, 2) = -.8066455312345733, (15, 3) = .7575682675818803, (15, 4) = .5013085557319331, (16, 1) = -6.726840319017909, (16, 2) = 1.014986123288068, (16, 3) = .8632224657350345, (16, 4) = .23939285775987082, (17, 1) = -6.190025385322881, (17, 2) = 2.7614560894974827, (17, 3) = .8914679098482646, (17, 4) = -0.4077799076690431e-1, (18, 1) = -5.189787797755726, (18, 2) = 4.294424867345132, (18, 3) = .8407486212772263, (18, 4) = -.3169299640346917, (19, 1) = -3.8041747048793875, (19, 2) = 5.495663906439946, (19, 3) = .7155259283310865, (19, 4) = -.5677134320697415, (20, 1) = -2.140034201882414, (20, 2) = 6.272174215576857, (20, 3) = .5258063597197039, (20, 4) = -.7737372192605559, (21, 1) = -.32644082827058757, (21, 2) = 6.563399956432721, (21, 3) = .28661593509633077, (21, 4) = -.9189748035892124, (22, 1) = 1.4964167203250038, (22, 2) = 6.347015717113467, (22, 3) = 0.16748262350674885e-1, (22, 4) = -.9922260578919242, (23, 1) = 3.1887300964101932, (23, 2) = 5.639768800955563, (23, 3) = -.2628281503292269, (23, 4) = -.9878944056456629, (24, 1) = 4.619762960152376, (24, 2) = 4.496387007564442, (24, 3) = -.5302764003905673, (24, 4) = -.9063274559464846, (25, 1) = 5.678906303600271, (25, 2) = 3.005753258963024, (25, 3) = -.7646869199395754, (25, 4) = -.7539022543433046}, datatype = float[8], order = C_order); errproc := proc (x_bvp) local outpoint, X, Y, yout, L, V, i; option `Copyright (c) 2000 by Waterloo Maple Inc. All rights reserved.`; Digits := 15; outpoint := evalf(x_bvp); X := Vector(25, {(1) = .0, (2) = .28520548245364286, (3) = .5804267750886297, (4) = .8867996014587105, (5) = 1.2024168713093397, (6) = 1.516490756931242, (7) = 1.828081490992342, (8) = 2.1369804990785846, (9) = 2.441297638072586, (10) = 2.740843228475919, (11) = 3.0358473137457134, (12) = 3.3274938221286643, (13) = 3.6165102799031974, (14) = 3.9029665821545896, (15) = 4.187278554555015, (16) = 4.4706485025470535, (17) = 4.753178280859624, (18) = 5.034879807884609, (19) = 5.316114597466504, (20) = 5.597108322973903, (21) = 5.877861603239838, (22) = 6.158413231749467, (23) = 6.4389421544996335, (24) = 6.7194710772498, (25) = 7.0}, datatype = float[8], order = C_order); Y := Matrix(25, 4, {(1, 1) = .0, (1, 2) = -0.7015069783321377e-9, (1, 3) = .0, (1, 4) = -0.5965656887873573e-9, (2, 1) = -0.23419904967339463e-8, (2, 2) = 0.12117914769870434e-8, (2, 3) = -0.6988221912180033e-10, (2, 4) = -0.7360660541260077e-9, (3, 1) = -0.7581195258999318e-8, (3, 2) = 0.44477264061633045e-8, (3, 3) = 0.14026482338789395e-9, (3, 4) = -0.8989594038105847e-9, (4, 1) = -0.166979179613667e-7, (4, 2) = 0.9303801157844887e-8, (4, 3) = 0.7726610329851505e-9, (4, 4) = -0.10717291859501544e-8, (5, 1) = -0.29504315499220376e-7, (5, 2) = 0.15433270292964003e-7, (5, 3) = 0.1897371148385938e-8, (5, 4) = -0.1215573317985683e-8, (6, 1) = -0.4095776458114617e-7, (6, 2) = 0.20421023018317123e-7, (6, 3) = 0.31296694108390305e-8, (6, 4) = -0.1273626297873477e-8, (7, 1) = -0.495552731106085e-7, (7, 2) = 0.2367435799081896e-7, (7, 3) = 0.4299295107747069e-8, (7, 4) = -0.1247102621312409e-8, (8, 1) = -0.5456862366461368e-7, (8, 2) = 0.24989537653112128e-7, (8, 3) = 0.5283688944596066e-8, (8, 4) = -0.11485072811566145e-8, (9, 1) = -0.5545807727832772e-7, (9, 2) = 0.24323033428771882e-7, (9, 3) = 0.595861720640578e-8, (9, 4) = -0.10024667080314673e-8, (10, 1) = -0.5280149631736434e-7, (10, 2) = 0.22075216342591082e-7, (10, 3) = 0.6307142990864475e-8, (10, 4) = -0.8331553746433627e-9, (11, 1) = -0.4746483117748984e-7, (11, 2) = 0.18730783839641616e-7, (11, 3) = 0.6355167829862161e-8, (11, 4) = -0.6603314496931463e-9, (12, 1) = -0.40286883814052245e-7, (12, 2) = 0.14707115641354395e-7, (12, 3) = 0.6146987777745153e-8, (12, 4) = -0.4956897879397524e-9, (13, 1) = -0.3196335776467257e-7, (13, 2) = 0.10353703028456993e-7, (13, 3) = 0.572387482707407e-8, (13, 4) = -0.34940367176685377e-9, (14, 1) = -0.2319611091857721e-7, (14, 2) = 0.6017831105147596e-8, (14, 3) = 0.5135552400129261e-8, (14, 4) = -0.23097926591791715e-9, (15, 1) = -0.14568936052459186e-7, (15, 2) = 0.19697237353884613e-8, (15, 3) = 0.4432324943689459e-8, (15, 4) = -0.14565999002417557e-9, (16, 1) = -0.6410382958141966e-8, (16, 2) = -0.16464434352513352e-8, (16, 3) = 0.3648773527807103e-8, (16, 4) = -0.9526716154865928e-10, (17, 1) = 0.7982532172029822e-9, (17, 2) = -0.4622532222662276e-8, (17, 3) = 0.28362462783361233e-8, (17, 4) = -0.8203345859682403e-10, (18, 1) = 0.6641790807729078e-8, (18, 2) = -0.67965150474308445e-8, (18, 3) = 0.20472289485995545e-8, (18, 4) = -0.10538202154419052e-9, (19, 1) = 0.10873197068473307e-7, (19, 2) = -0.8089560828637094e-8, (19, 3) = 0.13238666882840484e-8, (19, 4) = -0.16245538409690216e-9, (20, 1) = 0.1331323636811854e-7, (20, 2) = -0.8463393358019913e-8, (20, 3) = 0.7057083300480924e-9, (20, 4) = -0.24848113430325744e-9, (21, 1) = 0.13869862627268089e-7, (21, 2) = -0.7930735714966703e-8, (21, 3) = 0.22775201526424163e-9, (21, 4) = -0.35638263891457173e-9, (22, 1) = 0.125914677539068e-7, (22, 2) = -0.6570863156361201e-8, (22, 3) = -0.8661712219936396e-10, (22, 4) = -0.477599099037555e-9, (23, 1) = 0.9649616429420714e-8, (23, 2) = -0.4515509635171421e-8, (23, 3) = -0.22653672532804103e-9, (23, 4) = -0.6031151379294315e-9, (24, 1) = 0.5324781923122823e-8, (24, 2) = -0.1945076363704714e-8, (24, 3) = -0.19288727142698676e-9, (24, 4) = -0.7231862652462719e-9, (25, 1) = .0, (25, 2) = 0.9215035892091513e-9, (25, 3) = .0, (25, 4) = -0.8284250125731864e-9}, datatype = float[8], order = C_order); if not type(outpoint, 'numeric') then if outpoint = "start" or outpoint = "left" then return X[1] elif outpoint = "right" then return X[25] elif outpoint = "order" then return 6 elif outpoint = "error" then return HFloat(5.545807727832772e-8) elif outpoint = "errorproc" then error "this is already the error procedure" elif outpoint = "rawdata" then return [4, 25, [phi(x), diff(phi(x), x), theta(x), diff(theta(x), x)], X, Y] else return ('procname')(x_bvp) end if end if; if outpoint < X[1] or X[25] < outpoint then error "solution is only defined in the range %1..%2", X[1], X[25] end if; V := array([1 = 4, 2 = 0]); if Digits <= trunc(evalhf(Digits)) then L := Vector(4, 'datatype' = 'float'[8]); yout := Vector(4, 'datatype' = 'float'[8]); evalhf(`dsolve/numeric/lagrange`(25, 4, X, Y, outpoint, var(yout), var(L), var(V))) else L := Vector(4, 'datatype' = 'sfloat'); yout := Vector(4, 'datatype' = 'sfloat'); `dsolve/numeric/lagrange`(25, 4, X, Y, outpoint, yout, L, V) end if; [x = outpoint, seq('[phi(x), diff(phi(x), x), theta(x), diff(theta(x), x)]'[i] = yout[i], i = 1 .. 4)] end proc; if not type(outpoint, 'numeric') then if outpoint = "start" or outpoint = "left" then return X[1] elif outpoint = "method" then return "bvp" elif outpoint = "right" then return X[25] elif outpoint = "order" then return 6 elif outpoint = "error" then return HFloat(5.545807727832772e-8) elif outpoint = "errorproc" then return eval(errproc) elif outpoint = "rawdata" then return [4, 25, "depnames", X, Y, YP] else error "non-numeric value" end if end if; if outpoint < X[1] or X[25] < outpoint then error "solution is only defined in the range %1..%2", X[1], X[25] end if; if Digits <= trunc(evalhf(Digits)) and (_EnvInFsolve <> true or _EnvDSNumericSaveDigits <= trunc(evalhf(Digits))) then V := array( 1 .. 6, [( 1 ) = (7), ( 2 ) = (0), ( 3 ) = (false), ( 4 ) = (false), ( 5 ) = (false), ( 6 ) = (false)  ] ); L := Matrix(7, 2, {(1, 1) = .0, (1, 2) = .0, (2, 1) = .0, (2, 2) = .0, (3, 1) = .0, (3, 2) = .0, (4, 1) = .0, (4, 2) = .0, (5, 1) = .0, (5, 2) = .0, (6, 1) = .0, (6, 2) = .0, (7, 1) = .0, (7, 2) = .0}, datatype = float[8], order = C_order); yout := Vector(4, {(1) = .0, (2) = .0, (3) = .0, (4) = .0}, datatype = float[8]); evalhf(`dsolve/numeric/hermite`(25, 4, X, Y, YP, outpoint, var(yout), var(L), var(V))) else if _EnvInFsolve = true then Digits := _EnvDSNumericSaveDigits end if; V := array( 1 .. 6, [( 1 ) = (7), ( 2 ) = (0), ( 3 ) = (false), ( 4 ) = (false), ( 5 ) = (false), ( 6 ) = (false)  ] ); L := Matrix(7, 2, {(1, 1) = 0., (1, 2) = 0., (2, 1) = 0., (2, 2) = 0., (3, 1) = 0., (3, 2) = 0., (4, 1) = 0., (4, 2) = 0., (5, 1) = 0., (5, 2) = 0., (6, 1) = 0., (6, 2) = 0., (7, 1) = 0., (7, 2) = 0.}, order = C_order); yout := Vector(4, {(1) = 0., (2) = 0., (3) = 0., (4) = 0.}); `dsolve/numeric/hermite`(25, 4, X, Y, YP, outpoint, yout, L, V) end if; [outpoint, seq(yout[i], i = 1 .. 4)] end proc, (2) = Array(0..0, {}), (3) = [x, phi(x), diff(phi(x), x), theta(x), diff(theta(x), x)], (4) = 0}); solnproc := data[1]; if not type(outpoint, 'numeric') then if outpoint = "solnprocedure" then return eval(solnproc) elif member(outpoint, ["start", "left", "right", "errorproc", "rawdata", "order", "error"]) then return solnproc(x_bvp) elif outpoint = "sysvars" then return data[3] elif procname <> unknown then return ('procname')(x_bvp) else _ndsol := pointto(data[2][0]); return ('_ndsol')(x_bvp) end if end if; try res := solnproc(outpoint); [x = res[1], seq('[phi(x), diff(phi(x), x), theta(x), diff(theta(x), x)]'[i] = res[i+1], i = 1 .. 4)] catch: error  end try end proc

(8)
 

 

Download sps1_mmcdara.mw


EDITED Wed 5th Feb 2025 at 6:50 UT

@segfault

@vv : Thank you for having pointed out this mistake.

@segfault : Here is a modified procedure which seems correct:  Download Into_Sine.mw

UPDATED : Here is a version which gives more concise expressions 
                    Into_Sine_more_concise.mw

3 4 5 6 7 8 9 Last Page 5 of 65