mmcdara

7901 Reputation

22 Badges

9 years, 313 days

MaplePrimes Activity


These are replies submitted by mmcdara

@ecterrab 

I find myself in your comment I agree with completely.

@vv 

When I receive Answers or Replies to my questions I read all of them all just as carefully whatever their status.

And, okay, in the Mapleprimes logic I sometimes though "This Comment deserved to be an Answer, for I would have rewarded you for it and thus raised your value/credibility for the future".
I think that a lot of people are happy to be rewarded this way, and yes, I was too until a while ago. Until I sensed a kind of falseness behind this reward system and simply decided not to enter the game any more.

As I replied to @acer  OP's opinion is more valuable to me than the number of badges I collect.
@acer  raised the issue of Reply appearing before Answer, thus rejecting at the end of the list the potentially more elaborated contributions.
This can be changed programmatically or, I can send only answers with a header telling "Do not vote for this answer nor select it as the best". 

@acer 

for having changed  "MapleSim" to "MaplePrimes", sort fir the inconvenience.

Yes, I have indeed noticed that a Reply (or a Comment, because when you edit an Answer, there is no "Convert to Reply" option, but a "Convert to Comment" option) appears first of an Answer and I always found this quite curious.
It seems to me the opposite would have been more natural.

To be clear: I'm not doing comments instead of replies to be at the top of the list the OP is about to read, but because I don't care about being rewarded for the work I've done.
I consider an OP answering "very useful, thank you" is much more gratifying than a few points awarded by I don't know who.

@Carl Love 

  • Can I confirm that the maxima are global (NLPSolve tends to return local optima)?
    No.
    One often says that starting from many different initial points and ending at the same point gives a strong evidence that this point is indeed a global optimum. But even in this case one cannot be one hundred percent sure of that. Idealy one should use a global optimizer to be conclusive.

    More than this I am not even sure iterationlimit is large enough to consider the results are "converged".
    Last point: the solution I get for n=20 doesn't look like the solution the OP presents. It would br interesting to know what sum of radii this latter corresponds to.
     
  • That's quite impressive work!
    Thanks, but I'm not concinced of that either.
    I just modeled the problem in a simple way and used Maple do find (one of) its solution(s). Nothing impressive behind this.

    In case you would be interested in packing problems here is a erference site packomania which gathers a lot of results concerning optimal packings.

@spalinowy

Thank you for selecting my answer as the best one (there was no other anyway :-) ).
However, I'm going to convert it into a comment for the very simple reason that I no longer wish to participate in the Mapleprimes rewards system.
Doing this will make me lose a few points, but the only thing I value is that my contribution has helped you, which seems to be the case.
All the best


WHOEVER YOU ARE, PLEASE STOP TURNING THIS COMMENT INTO A REPLY.
THANKS IN ADVANCE




Check this

restart


DISKS WITHIN THE UNIT SQUARE

The packing shiuld be such that the sum of the radii is maximum

epsilon := 1e-8:

n := 23:
J := add(r[i], i=1..n):
P := [seq(<x[i], y[i]>, i=1..n)]:
cons_1 := seq(seq(add((P[i]-P[j])^~2) >= (r[i]+r[j])^2, j=i+1..n), i=1..n-1):
cons_2 := seq(op([P[i][1]-r[i] >= 0, P[i][1]+r[i] <= 1, P[i][2]-r[i] >= 0, P[i][2]+r[i] <= 1]), i=1..n):
cons_3 := seq(r[i]+epsilon >= 0, i=1..n):

opt := Optimization:-NLPSolve(J, {cons_1, cons_2, cons_3}, maximize, iterationlimit=1000):
Sum(r[i], i=1..n) = evalf[6](eval(add(r[i], i=1..n), opt[2]))

Sum(r[i], i = 1 .. 23) = 2.37435

(1)

use plottools in
  plots:-display(
    seq(
      disk( eval([x[i], y[i]], opt[2]), eval(r[i], opt[2]), color=blue)
      , i=1..n
    ),
    rectangle([0, 0], [1, 1], color="LightGray")
  )
end use;

 

Packing := proc(n)
  local J      := add(r[i], i=1..n):
  local P      := [seq(<x[i], y[i]>, i=1..n)]:
  local cons_1 := seq(seq(add((P[i]-P[j])^~2) >= (r[i]+r[j])^2, j=i+1..n), i=1..n-1):
  local cons_2 := seq(op([P[i][1]-r[i] >= 0, P[i][1]+r[i] <= 1, P[i][2]-r[i] >= 0, P[i][2]+r[i] <= 1]), i=1..n):
  local cons_3 := seq(r[i]+epsilon >= 0, i=1..n):

  local ini, opt, sol:

  try
    opt := Optimization:-NLPSolve(J, {cons_1, cons_2, cons_3}, maximize, iterationlimit=1000);
  catch:
    try
      ini := initialpoint = {seq(r[i]=1/n, i=1..n)}:
      opt := Optimization:-NLPSolve(J, {cons_1, cons_2, cons_3}, maximize, ini, iterationlimit=1000):
    end try:
  end try:

  sol := opt[2]:
  plots:-display(
    seq(
      plottools:-disk( eval([x[i], y[i]], sol), eval(r[i], sol), color=blue)
      , i=1..n
    )
    , plottools:-rectangle([0, 0], [1, 1], color="LightGray")
    , title=typeset(Sum(r[i], i=1..n) = evalf[6](eval(add(r[i], i=1..n), sol)))
    , scaling=constrained
  )
end proc:

M := Matrix(4$2, (i, j) -> Packing(4*(i-1)+j)):
plots:-display(M):

 


Download Disks_within_unit_square.mw

 


WHOEVER YOU ARE, PLEASE STOP TURNING THIS COMMENT INTO AN ANSWER.
THANKS IN ADVANCE



If you want to get a NUMERIC solution, please look to this file.

There are several points that it is up to you to fix:

  1. There are two functions
     {z[F0](t), z[R0](t)}

    that are not defined. 
    If you want to solve nimerically the sustme you must give them an analytic expression.
    I made an arbitrary choice to go further.

  2. You missed 4 initial conditions.
    I made an arbitrary choice to go further.

  3. Either you give the parameters a numeric valur OR you use(this is what I did) the "'parameters' option
    I made an arbitrary choice for their values to gget a fully instanciated solution

restart

EQ1 := diff(z[F1](t), t, t) = (-c[F2]*(diff(z[F1](t), t))+c[F2]*(diff(z[F2](t), t))+(-k[F1]-k[F2])*z[F1](t)-m[F1]*g+k[F2]*z[F2](t)+k[F1]*z[F0](t)+Fz[F1])/m[F1]:

EQ2 := diff(z[R1](t), t, t) = (-c[R2]*(diff(z[R1](t), t))+c[R2]*(diff(z[R2](t), t))+(-k[R1]-k[R2])*z[R1](t)-m[R1]*g+k[R2]*z[R2](t)+k[R1]*z[R0](t)+Fz[R1])/m[R1]:

EQ3 := diff(z[F2](t), t, t) = ((-c[F2]-c[F3])*(diff(z[F2](t), t))-c[F3]*l[1]*(diff(phi[B3](t), t))+c[F3]*(diff(z[B3](t), t))+c[F2]*(diff(z[F1](t), t))+(-k[F2]-k[F3])*z[F2](t)-k[F3]*l[1]*phi[B3](t)-m[F2]*g+k[F2]*z[F1](t)+k[F3]*z[B3](t))/m[F2]:

EQ4 := diff(z[R2](t), t, t) = ((-c[R2]-c[R3])*(diff(z[R2](t), t))-c[R3]*l[2]*(diff(phi[B3](t), t))+c[R3]*(diff(z[B3](t), t))+c[R2]*(diff(z[R1](t), t))+(-k[R2]-k[R3])*z[R2](t)-k[R3]*l[2]*phi[B3](t)-m[R2]*g+k[R2]*z[R1](t)+k[R3]*z[B3](t))/m[R2]:

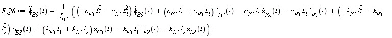
EQ5 := diff(z[B3](t), t, t) = ((c[F3]*l[1]+c[R3]*l[2])*(diff(phi[B3](t), t))+(-c[F3]-c[R3])*(diff(z[B3](t), t))+c[F3]*(diff(z[F2](t), t))+c[R3]*(diff(z[R2](t), t))+(k[F3]*l[1]+k[R3]*l[2])*phi[B3](t)+(-k[F3]-k[R3])*z[B3](t)-m[B3]*g+k[F3]*z[F2](t)+k[R3]*z[R2](t))/m[B3]:

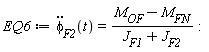
EQ6 := diff(phi[F2](t), t, t) = (M[OF]-M[FN])/(J[F1]+J[F2]):

EQ7 := diff(phi[R2](t), t, t) = (M[OR]-M[RN])/(J[R1]+J[R2]):

EQ8 := diff(phi[B3](t), t, t) = ((-c[F3]*l[1]^2-c[R3]*l[2]^2)*(diff(phi[B3](t), t))+(c[F3]*l[1]+c[R3]*l[2])*(diff(z[B3](t), t))-c[F3]*l[1]*(diff(z[F2](t), t))-c[R3]*l[2]*(diff(z[R2](t), t))+(-k[F3]*l[1]^2-k[R3]*l[2]^2)*phi[B3](t)+(k[F3]*l[1]+k[R3]*l[2])*z[B3](t)-k[F3]*l[1]*z[F2](t)-k[R3]*l[2]*z[R2](t))/J[B3]:

``

inc := z[F1](0) = 0, (D(z[F1]))(0) = 0, z[R1](0) = 0, (D(z[R1]))(0) = 0, z[F2](0) = 0, (D(z[F2]))(0) = 0, z[R2](0) = 0, (D(z[R2]))(0) = 0, z[B3](0) = 0, (D(z[B3]))(0) = 0, phi[B3](0) = 0, (D(phi[B3]))(0) = 0:

ODES := EQ1, EQ2, EQ3, EQ4, EQ5, EQ6, EQ7, EQ8:
SYS  := {ODES, inc}:

# A few verifications

Unknowns := map(u -> op([1, 1], u), lhs~([ODES]));
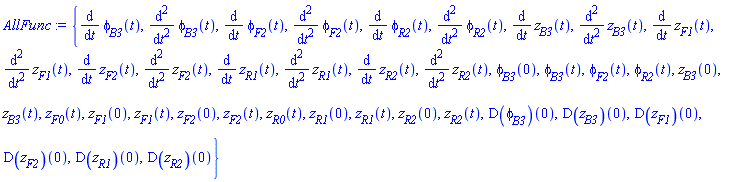
AllFunc  := indets(SYS, function);

RemainingFunc := remove(has, AllFunc, map2(op, 0, Unknowns))
 

[z[F1](t), z[R1](t), z[F2](t), z[R2](t), z[B3](t), phi[F2](t), phi[R2](t), phi[B3](t)]

 

{diff(diff(phi[B3](t), t), t), diff(diff(phi[F2](t), t), t), diff(diff(phi[R2](t), t), t), diff(diff(z[B3](t), t), t), diff(diff(z[F1](t), t), t), diff(diff(z[F2](t), t), t), diff(diff(z[R1](t), t), t), diff(diff(z[R2](t), t), t), diff(phi[B3](t), t), diff(phi[F2](t), t), diff(phi[R2](t), t), diff(z[B3](t), t), diff(z[F1](t), t), diff(z[F2](t), t), diff(z[R1](t), t), diff(z[R2](t), t), phi[B3](0), phi[B3](t), phi[F2](t), phi[R2](t), z[B3](0), z[B3](t), z[F0](t), z[F1](0), z[F1](t), z[F2](0), z[F2](t), z[R0](t), z[R1](0), z[R1](t), z[R2](0), z[R2](t), (D(phi[B3]))(0), (D(z[B3]))(0), (D(z[F1]))(0), (D(z[F2]))(0), (D(z[R1]))(0), (D(z[R2]))(0)}

 

{z[F0](t), z[R0](t)}

(1)

# Before using dsolve you must define what these two remaining functions are.
#
# Here is an example

SYS_example := eval(SYS, RemainingFunc =~ t):
 

# Then find all parameters of SYS_example:

param := convert(indets(SYS_example, name) minus {t}, list)

[g, Fz[F1], Fz[R1], J[B3], J[F1], J[F2], J[R1], J[R2], M[FN], M[OF], M[OR], M[RN], c[F2], c[F3], c[R2], c[R3], k[F1], k[F2], k[F3], k[R1], k[R2], k[R3], l[1], l[2], m[B3], m[F1], m[F2], m[R1], m[R2]]

(2)

# Now try to solve numerically

numsol := dsolve(SYS_example, numeric, parameters=param)

Error, (in dsolve/numeric) missing initial condition for phi[F2](t)

 

# The error is clear.

IC_required := 2*numelems(Unknowns);
IC_given    := numelems({inc});

# 4 IC are missing

for u in Unknowns do
  printf("%-10a : %d IC given\n", u, numelems(select(has, {inc}, op(0, u))))
end do:

16

 

12

 

z[F1](t)   : 2 IC given
z[R1](t)   : 2 IC given
z[F2](t)   : 2 IC given
z[R2](t)   : 2 IC given
z[B3](t)   : 2 IC given
phi[F2](t) : 0 IC given
phi[R2](t) : 0 IC given
phi[B3](t) : 2 IC given

 

# So you missed IC for phi[F2] and phi[R2].
#
# Let me set them arbitrarily:

MyIC := phi[F2](0) = 0, (D(phi[F2]))(0) = 0, phi[R2](0) = 0, (D(phi[R2]))(0) = 0

phi[F2](0) = 0, (D(phi[F2]))(0) = 0, phi[R2](0) = 0, (D(phi[R2]))(0) = 0

(3)

# Update SYS_example:

SYS_example := SYS_example union {MyIC}:
print~(%):

diff(diff(phi[B3](t), t), t) = ((-c[F3]*l[1]^2-c[R3]*l[2]^2)*(diff(phi[B3](t), t))+(c[F3]*l[1]+c[R3]*l[2])*(diff(z[B3](t), t))-c[F3]*l[1]*(diff(z[F2](t), t))-c[R3]*l[2]*(diff(z[R2](t), t))+(-k[F3]*l[1]^2-k[R3]*l[2]^2)*phi[B3](t)+(k[F3]*l[1]+k[R3]*l[2])*z[B3](t)-k[F3]*l[1]*z[F2](t)-k[R3]*l[2]*z[R2](t))/J[B3]

 

diff(diff(phi[F2](t), t), t) = (M[OF]-M[FN])/(J[F1]+J[F2])

 

diff(diff(phi[R2](t), t), t) = (M[OR]-M[RN])/(J[R1]+J[R2])

 

diff(diff(z[B3](t), t), t) = ((c[F3]*l[1]+c[R3]*l[2])*(diff(phi[B3](t), t))+(-c[F3]-c[R3])*(diff(z[B3](t), t))+c[F3]*(diff(z[F2](t), t))+c[R3]*(diff(z[R2](t), t))+(k[F3]*l[1]+k[R3]*l[2])*phi[B3](t)+(-k[F3]-k[R3])*z[B3](t)-m[B3]*g+k[F3]*z[F2](t)+k[R3]*z[R2](t))/m[B3]

 

diff(diff(z[F1](t), t), t) = (-c[F2]*(diff(z[F1](t), t))+c[F2]*(diff(z[F2](t), t))+(-k[F1]-k[F2])*z[F1](t)-m[F1]*g+k[F2]*z[F2](t)+k[F1]*t+Fz[F1])/m[F1]

 

diff(diff(z[F2](t), t), t) = ((-c[F2]-c[F3])*(diff(z[F2](t), t))-c[F3]*l[1]*(diff(phi[B3](t), t))+c[F3]*(diff(z[B3](t), t))+c[F2]*(diff(z[F1](t), t))+(-k[F2]-k[F3])*z[F2](t)-k[F3]*l[1]*phi[B3](t)-m[F2]*g+k[F2]*z[F1](t)+k[F3]*z[B3](t))/m[F2]

 

diff(diff(z[R1](t), t), t) = (-c[R2]*(diff(z[R1](t), t))+c[R2]*(diff(z[R2](t), t))+(-k[R1]-k[R2])*z[R1](t)-m[R1]*g+k[R2]*z[R2](t)+k[R1]*t+Fz[R1])/m[R1]

 

diff(diff(z[R2](t), t), t) = ((-c[R2]-c[R3])*(diff(z[R2](t), t))-c[R3]*l[2]*(diff(phi[B3](t), t))+c[R3]*(diff(z[B3](t), t))+c[R2]*(diff(z[R1](t), t))+(-k[R2]-k[R3])*z[R2](t)-k[R3]*l[2]*phi[B3](t)-m[R2]*g+k[R2]*z[R1](t)+k[R3]*z[B3](t))/m[R2]

 

phi[B3](0) = 0

 

phi[F2](0) = 0

 

phi[R2](0) = 0

 

z[B3](0) = 0

 

z[F1](0) = 0

 

z[F2](0) = 0

 

z[R1](0) = 0

 

z[R2](0) = 0

 

(D(phi[B3]))(0) = 0

 

(D(phi[F2]))(0) = 0

 

(D(phi[R2]))(0) = 0

 

(D(z[B3]))(0) = 0

 

(D(z[F1]))(0) = 0

 

(D(z[F2]))(0) = 0

 

(D(z[R1]))(0) = 0

 

(D(z[R2]))(0) = 0

(4)

# Now try to solve again

numsol := dsolve(SYS_example, numeric, parameters=param)

proc (x_rkf45) local _res, _dat, _vars, _solnproc, _xout, _ndsol, _pars, _n, _i; option `Copyright (c) 2000 by Waterloo Maple Inc. All rights reserved.`; if 1 < nargs then error "invalid input: too many arguments" end if; _EnvDSNumericSaveDigits := Digits; Digits := 15; if _EnvInFsolve = true then _xout := evalf[_EnvDSNumericSaveDigits](x_rkf45) else _xout := evalf(x_rkf45) end if; _dat := Array(1..4, {(1) = proc (_xin) local _xout, _dtbl, _dat, _vmap, _x0, _y0, _val, _dig, _n, _ne, _nd, _nv, _pars, _ini, _par, _i, _j, _k, _src; option `Copyright (c) 2002 by Waterloo Maple Inc. All rights reserved.`; table( [( "complex" ) = false ] ) _xout := _xin; _pars := [g = g, Fz[F1] = `Fz[F1]`, Fz[R1] = `Fz[R1]`, J[B3] = `J[B3]`, J[F1] = `J[F1]`, J[F2] = `J[F2]`, J[R1] = `J[R1]`, J[R2] = `J[R2]`, M[FN] = `M[FN]`, M[OF] = `M[OF]`, M[OR] = `M[OR]`, M[RN] = `M[RN]`, c[F2] = `c[F2]`, c[F3] = `c[F3]`, c[R2] = `c[R2]`, c[R3] = `c[R3]`, k[F1] = `k[F1]`, k[F2] = `k[F2]`, k[F3] = `k[F3]`, k[R1] = `k[R1]`, k[R2] = `k[R2]`, k[R3] = `k[R3]`, l[1] = `l[1]`, l[2] = `l[2]`, m[B3] = `m[B3]`, m[F1] = `m[F1]`, m[F2] = `m[F2]`, m[R1] = `m[R1]`, m[R2] = `m[R2]`]; _dtbl := array( 1 .. 4, [( 1 ) = (array( 1 .. 24, [( 1 ) = (datatype = float[8], order = C_order, storage = rectangular), ( 2 ) = (datatype = float[8], order = C_order, storage = rectangular), ( 3 ) = ([0, 0, 0, Array(1..0, 1..2, {}, datatype = float[8], order = C_order)]), ( 4 ) = (Array(1..54, {(1) = 16, (2) = 16, (3) = 0, (4) = 0, (5) = 29, (6) = 0, (7) = 0, (8) = 0, (9) = 0, (10) = 0, (11) = 0, (12) = 0, (13) = 0, (14) = 0, (15) = 0, (16) = 0, (17) = 0, (18) = 0, (19) = 30000, (20) = 0, (21) = 0, (22) = 1, (23) = 4, (24) = 0, (25) = 1, (26) = 15, (27) = 1, (28) = 0, (29) = 1, (30) = 3, (31) = 3, (32) = 0, (33) = 1, (34) = 0, (35) = 0, (36) = 0, (37) = 0, (38) = 0, (39) = 0, (40) = 0, (41) = 0, (42) = 0, (43) = 1, (44) = 0, (45) = 0, (46) = 0, (47) = 0, (48) = 0, (49) = 0, (50) = 50, (51) = 1, (52) = 0, (53) = 0, (54) = 0}, datatype = integer[8])), ( 5 ) = (Array(1..28, {(1) = .0, (2) = 0.10e-5, (3) = .0, (4) = 0.500001e-14, (5) = .0, (6) = .0, (7) = .0, (8) = 0.10e-5, (9) = .0, (10) = .0, (11) = .0, (12) = .0, (13) = 1.0, (14) = .0, (15) = .49999999999999, (16) = .0, (17) = 1.0, (18) = 1.0, (19) = .0, (20) = .0, (21) = 1.0, (22) = 1.0, (23) = .0, (24) = .0, (25) = 0.10e-14, (26) = .0, (27) = .0, (28) = .0}, datatype = float[8], order = C_order)), ( 6 ) = (Array(1..45, {(1) = 0., (2) = 0., (3) = 0., (4) = 0., (5) = 0., (6) = 0., (7) = 0., (8) = 0., (9) = 0., (10) = 0., (11) = 0., (12) = 0., (13) = 0., (14) = 0., (15) = 0., (16) = 0., (17) = Float(undefined), (18) = Float(undefined), (19) = Float(undefined), (20) = Float(undefined), (21) = Float(undefined), (22) = Float(undefined), (23) = Float(undefined), (24) = Float(undefined), (25) = Float(undefined), (26) = Float(undefined), (27) = Float(undefined), (28) = Float(undefined), (29) = Float(undefined), (30) = Float(undefined), (31) = Float(undefined), (32) = Float(undefined), (33) = Float(undefined), (34) = Float(undefined), (35) = Float(undefined), (36) = Float(undefined), (37) = Float(undefined), (38) = Float(undefined), (39) = Float(undefined), (40) = Float(undefined), (41) = Float(undefined), (42) = Float(undefined), (43) = Float(undefined), (44) = Float(undefined), (45) = Float(undefined)})), ( 7 ) = ([Array(1..4, 1..7, {(1, 1) = .0, (1, 2) = .203125, (1, 3) = .3046875, (1, 4) = .75, (1, 5) = .8125, (1, 6) = .40625, (1, 7) = .8125, (2, 1) = 0.6378173828125e-1, (2, 2) = .0, (2, 3) = .279296875, (2, 4) = .27237892150878906, (2, 5) = -0.9686851501464844e-1, (2, 6) = 0.1956939697265625e-1, (2, 7) = .5381584167480469, (3, 1) = 0.31890869140625e-1, (3, 2) = .0, (3, 3) = -.34375, (3, 4) = -.335235595703125, (3, 5) = .2296142578125, (3, 6) = .41748046875, (3, 7) = 11.480712890625, (4, 1) = 0.9710520505905151e-1, (4, 2) = .0, (4, 3) = .40350341796875, (4, 4) = 0.20297467708587646e-1, (4, 5) = -0.6054282188415527e-2, (4, 6) = -0.4770040512084961e-1, (4, 7) = .77858567237854}, datatype = float[8], order = C_order), Array(1..6, 1..6, {(1, 1) = .0, (1, 2) = .0, (1, 3) = .0, (1, 4) = .0, (1, 5) = .0, (1, 6) = 1.0, (2, 1) = .25, (2, 2) = .0, (2, 3) = .0, (2, 4) = .0, (2, 5) = .0, (2, 6) = 1.0, (3, 1) = .1875, (3, 2) = .5625, (3, 3) = .0, (3, 4) = .0, (3, 5) = .0, (3, 6) = 2.0, (4, 1) = .23583984375, (4, 2) = -.87890625, (4, 3) = .890625, (4, 4) = .0, (4, 5) = .0, (4, 6) = .2681884765625, (5, 1) = .1272735595703125, (5, 2) = -.5009765625, (5, 3) = .44921875, (5, 4) = -0.128936767578125e-1, (5, 5) = .0, (5, 6) = 0.626220703125e-1, (6, 1) = -0.927734375e-1, (6, 2) = .626220703125, (6, 3) = -.4326171875, (6, 4) = .1418304443359375, (6, 5) = -0.861053466796875e-1, (6, 6) = .3131103515625}, datatype = float[8], order = C_order), Array(1..6, {(1) = .0, (2) = .386, (3) = .21, (4) = .63, (5) = 1.0, (6) = 1.0}, datatype = float[8], order = C_order), Array(1..6, {(1) = .25, (2) = -.1043, (3) = .1035, (4) = -0.362e-1, (5) = .0, (6) = .0}, datatype = float[8], order = C_order), Array(1..6, 1..5, {(1, 1) = .0, (1, 2) = .0, (1, 3) = .0, (1, 4) = .0, (1, 5) = .0, (2, 1) = 1.544, (2, 2) = .0, (2, 3) = .0, (2, 4) = .0, (2, 5) = .0, (3, 1) = .9466785280815533, (3, 2) = .25570116989825814, (3, 3) = .0, (3, 4) = .0, (3, 5) = .0, (4, 1) = 3.3148251870684886, (4, 2) = 2.896124015972123, (4, 3) = .9986419139977808, (4, 4) = .0, (4, 5) = .0, (5, 1) = 1.2212245092262748, (5, 2) = 6.019134481287752, (5, 3) = 12.537083329320874, (5, 4) = -.687886036105895, (5, 5) = .0, (6, 1) = 1.2212245092262748, (6, 2) = 6.019134481287752, (6, 3) = 12.537083329320874, (6, 4) = -.687886036105895, (6, 5) = 1.0}, datatype = float[8], order = C_order), Array(1..6, 1..5, {(1, 1) = .0, (1, 2) = .0, (1, 3) = .0, (1, 4) = .0, (1, 5) = .0, (2, 1) = -5.6688, (2, 2) = .0, (2, 3) = .0, (2, 4) = .0, (2, 5) = .0, (3, 1) = -2.4300933568337584, (3, 2) = -.20635991570891224, (3, 3) = .0, (3, 4) = .0, (3, 5) = .0, (4, 1) = -.10735290581452621, (4, 2) = -9.594562251021896, (4, 3) = -20.470286148096154, (4, 4) = .0, (4, 5) = .0, (5, 1) = 7.496443313968615, (5, 2) = -10.246804314641219, (5, 3) = -33.99990352819906, (5, 4) = 11.708908932061595, (5, 5) = .0, (6, 1) = 8.083246795922411, (6, 2) = -7.981132988062785, (6, 3) = -31.52159432874373, (6, 4) = 16.319305431231363, (6, 5) = -6.0588182388340535}, datatype = float[8], order = C_order), Array(1..3, 1..5, {(1, 1) = .0, (1, 2) = .0, (1, 3) = .0, (1, 4) = .0, (1, 5) = .0, (2, 1) = 10.126235083446911, (2, 2) = -7.487995877607633, (2, 3) = -34.800918615557414, (2, 4) = -7.9927717075687275, (2, 5) = 1.0251377232956207, (3, 1) = -.6762803392806898, (3, 2) = 6.087714651678606, (3, 3) = 16.43084320892463, (3, 4) = 24.767225114183653, (3, 5) = -6.5943891257167815}, datatype = float[8], order = C_order)]), ( 9 ) = ([Array(1..16, {(1) = .1, (2) = .1, (3) = .1, (4) = .1, (5) = .1, (6) = .1, (7) = .1, (8) = .1, (9) = .1, (10) = .1, (11) = .1, (12) = .1, (13) = .1, (14) = .1, (15) = .1, (16) = .1}, datatype = float[8], order = C_order), Array(1..16, {(1) = .0, (2) = .0, (3) = .0, (4) = .0, (5) = .0, (6) = .0, (7) = .0, (8) = .0, (9) = .0, (10) = .0, (11) = .0, (12) = .0, (13) = .0, (14) = .0, (15) = .0, (16) = .0}, datatype = float[8], order = C_order), Array(1..16, {(1) = .0, (2) = .0, (3) = .0, (4) = .0, (5) = .0, (6) = .0, (7) = .0, (8) = .0, (9) = .0, (10) = .0, (11) = .0, (12) = .0, (13) = .0, (14) = .0, (15) = .0, (16) = .0}, datatype = float[8], order = C_order), Array(1..16, {(1) = .0, (2) = .0, (3) = .0, (4) = .0, (5) = .0, (6) = .0, (7) = .0, (8) = .0, (9) = .0, (10) = .0, (11) = .0, (12) = .0, (13) = .0, (14) = .0, (15) = .0, (16) = .0}, datatype = float[8], order = C_order), Array(1..16, {(1) = .0, (2) = .0, (3) = .0, (4) = .0, (5) = .0, (6) = .0, (7) = .0, (8) = .0, (9) = .0, (10) = .0, (11) = .0, (12) = .0, (13) = .0, (14) = .0, (15) = .0, (16) = .0}, datatype = float[8], order = C_order), Array(1..16, 1..16, {(1, 1) = .0, (1, 2) = .0, (1, 3) = .0, (1, 4) = .0, (1, 5) = .0, (1, 6) = .0, (1, 7) = .0, (1, 8) = .0, (1, 9) = .0, (1, 10) = .0, (1, 11) = .0, (1, 12) = .0, (1, 13) = .0, (1, 14) = .0, (1, 15) = .0, (1, 16) = .0, (2, 1) = .0, (2, 2) = .0, (2, 3) = .0, (2, 4) = .0, (2, 5) = .0, (2, 6) = .0, (2, 7) = .0, (2, 8) = .0, (2, 9) = .0, (2, 10) = .0, (2, 11) = .0, (2, 12) = .0, (2, 13) = .0, (2, 14) = .0, (2, 15) = .0, (2, 16) = .0, (3, 1) = .0, (3, 2) = .0, (3, 3) = .0, (3, 4) = .0, (3, 5) = .0, (3, 6) = .0, (3, 7) = .0, (3, 8) = .0, (3, 9) = .0, (3, 10) = .0, (3, 11) = .0, (3, 12) = .0, (3, 13) = .0, (3, 14) = .0, (3, 15) = .0, (3, 16) = .0, (4, 1) = .0, (4, 2) = .0, (4, 3) = .0, (4, 4) = .0, (4, 5) = .0, (4, 6) = .0, (4, 7) = .0, (4, 8) = .0, (4, 9) = .0, (4, 10) = .0, (4, 11) = .0, (4, 12) = .0, (4, 13) = .0, (4, 14) = .0, (4, 15) = .0, (4, 16) = .0, (5, 1) = .0, (5, 2) = .0, (5, 3) = .0, (5, 4) = .0, (5, 5) = .0, (5, 6) = .0, (5, 7) = .0, (5, 8) = .0, (5, 9) = .0, (5, 10) = .0, (5, 11) = .0, (5, 12) = .0, (5, 13) = .0, (5, 14) = .0, (5, 15) = .0, (5, 16) = .0, (6, 1) = .0, (6, 2) = .0, (6, 3) = .0, (6, 4) = .0, (6, 5) = .0, (6, 6) = .0, (6, 7) = .0, (6, 8) = .0, (6, 9) = .0, (6, 10) = .0, (6, 11) = .0, (6, 12) = .0, (6, 13) = .0, (6, 14) = .0, (6, 15) = .0, (6, 16) = .0, (7, 1) = .0, (7, 2) = .0, (7, 3) = .0, (7, 4) = .0, (7, 5) = .0, (7, 6) = .0, (7, 7) = .0, (7, 8) = .0, (7, 9) = .0, (7, 10) = .0, (7, 11) = .0, (7, 12) = .0, (7, 13) = .0, (7, 14) = .0, (7, 15) = .0, (7, 16) = .0, (8, 1) = .0, (8, 2) = .0, (8, 3) = .0, (8, 4) = .0, (8, 5) = .0, (8, 6) = .0, (8, 7) = .0, (8, 8) = .0, (8, 9) = .0, (8, 10) = .0, (8, 11) = .0, (8, 12) = .0, (8, 13) = .0, (8, 14) = .0, (8, 15) = .0, (8, 16) = .0, (9, 1) = .0, (9, 2) = .0, (9, 3) = .0, (9, 4) = .0, (9, 5) = .0, (9, 6) = .0, (9, 7) = .0, (9, 8) = .0, (9, 9) = .0, (9, 10) = .0, (9, 11) = .0, (9, 12) = .0, (9, 13) = .0, (9, 14) = .0, (9, 15) = .0, (9, 16) = .0, (10, 1) = .0, (10, 2) = .0, (10, 3) = .0, (10, 4) = .0, (10, 5) = .0, (10, 6) = .0, (10, 7) = .0, (10, 8) = .0, (10, 9) = .0, (10, 10) = .0, (10, 11) = .0, (10, 12) = .0, (10, 13) = .0, (10, 14) = .0, (10, 15) = .0, (10, 16) = .0, (11, 1) = .0, (11, 2) = .0, (11, 3) = .0, (11, 4) = .0, (11, 5) = .0, (11, 6) = .0, (11, 7) = .0, (11, 8) = .0, (11, 9) = .0, (11, 10) = .0, (11, 11) = .0, (11, 12) = .0, (11, 13) = .0, (11, 14) = .0, (11, 15) = .0, (11, 16) = .0, (12, 1) = .0, (12, 2) = .0, (12, 3) = .0, (12, 4) = .0, (12, 5) = .0, (12, 6) = .0, (12, 7) = .0, (12, 8) = .0, (12, 9) = .0, (12, 10) = .0, (12, 11) = .0, (12, 12) = .0, (12, 13) = .0, (12, 14) = .0, (12, 15) = .0, (12, 16) = .0, (13, 1) = .0, (13, 2) = .0, (13, 3) = .0, (13, 4) = .0, (13, 5) = .0, (13, 6) = .0, (13, 7) = .0, (13, 8) = .0, (13, 9) = .0, (13, 10) = .0, (13, 11) = .0, (13, 12) = .0, (13, 13) = .0, (13, 14) = .0, (13, 15) = .0, (13, 16) = .0, (14, 1) = .0, (14, 2) = .0, (14, 3) = .0, (14, 4) = .0, (14, 5) = .0, (14, 6) = .0, (14, 7) = .0, (14, 8) = .0, (14, 9) = .0, (14, 10) = .0, (14, 11) = .0, (14, 12) = .0, (14, 13) = .0, (14, 14) = .0, (14, 15) = .0, (14, 16) = .0, (15, 1) = .0, (15, 2) = .0, (15, 3) = .0, (15, 4) = .0, (15, 5) = .0, (15, 6) = .0, (15, 7) = .0, (15, 8) = .0, (15, 9) = .0, (15, 10) = .0, (15, 11) = .0, (15, 12) = .0, (15, 13) = .0, (15, 14) = .0, (15, 15) = .0, (15, 16) = .0, (16, 1) = .0, (16, 2) = .0, (16, 3) = .0, (16, 4) = .0, (16, 5) = .0, (16, 6) = .0, (16, 7) = .0, (16, 8) = .0, (16, 9) = .0, (16, 10) = .0, (16, 11) = .0, (16, 12) = .0, (16, 13) = .0, (16, 14) = .0, (16, 15) = .0, (16, 16) = .0}, datatype = float[8], order = C_order), Array(1..16, 1..16, {(1, 1) = .0, (1, 2) = .0, (1, 3) = .0, (1, 4) = .0, (1, 5) = .0, (1, 6) = .0, (1, 7) = .0, (1, 8) = .0, (1, 9) = .0, (1, 10) = .0, (1, 11) = .0, (1, 12) = .0, (1, 13) = .0, (1, 14) = .0, (1, 15) = .0, (1, 16) = .0, (2, 1) = .0, (2, 2) = .0, (2, 3) = .0, (2, 4) = .0, (2, 5) = .0, (2, 6) = .0, (2, 7) = .0, (2, 8) = .0, (2, 9) = .0, (2, 10) = .0, (2, 11) = .0, (2, 12) = .0, (2, 13) = .0, (2, 14) = .0, (2, 15) = .0, (2, 16) = .0, (3, 1) = .0, (3, 2) = .0, (3, 3) = .0, (3, 4) = .0, (3, 5) = .0, (3, 6) = .0, (3, 7) = .0, (3, 8) = .0, (3, 9) = .0, (3, 10) = .0, (3, 11) = .0, (3, 12) = .0, (3, 13) = .0, (3, 14) = .0, (3, 15) = .0, (3, 16) = .0, (4, 1) = .0, (4, 2) = .0, (4, 3) = .0, (4, 4) = .0, (4, 5) = .0, (4, 6) = .0, (4, 7) = .0, (4, 8) = .0, (4, 9) = .0, (4, 10) = .0, (4, 11) = .0, (4, 12) = .0, (4, 13) = .0, (4, 14) = .0, (4, 15) = .0, (4, 16) = .0, (5, 1) = .0, (5, 2) = .0, (5, 3) = .0, (5, 4) = .0, (5, 5) = .0, (5, 6) = .0, (5, 7) = .0, (5, 8) = .0, (5, 9) = .0, (5, 10) = .0, (5, 11) = .0, (5, 12) = .0, (5, 13) = .0, (5, 14) = .0, (5, 15) = .0, (5, 16) = .0, (6, 1) = .0, (6, 2) = .0, (6, 3) = .0, (6, 4) = .0, (6, 5) = .0, (6, 6) = .0, (6, 7) = .0, (6, 8) = .0, (6, 9) = .0, (6, 10) = .0, (6, 11) = .0, (6, 12) = .0, (6, 13) = .0, (6, 14) = .0, (6, 15) = .0, (6, 16) = .0, (7, 1) = .0, (7, 2) = .0, (7, 3) = .0, (7, 4) = .0, (7, 5) = .0, (7, 6) = .0, (7, 7) = .0, (7, 8) = .0, (7, 9) = .0, (7, 10) = .0, (7, 11) = .0, (7, 12) = .0, (7, 13) = .0, (7, 14) = .0, (7, 15) = .0, (7, 16) = .0, (8, 1) = .0, (8, 2) = .0, (8, 3) = .0, (8, 4) = .0, (8, 5) = .0, (8, 6) = .0, (8, 7) = .0, (8, 8) = .0, (8, 9) = .0, (8, 10) = .0, (8, 11) = .0, (8, 12) = .0, (8, 13) = .0, (8, 14) = .0, (8, 15) = .0, (8, 16) = .0, (9, 1) = .0, (9, 2) = .0, (9, 3) = .0, (9, 4) = .0, (9, 5) = .0, (9, 6) = .0, (9, 7) = .0, (9, 8) = .0, (9, 9) = .0, (9, 10) = .0, (9, 11) = .0, (9, 12) = .0, (9, 13) = .0, (9, 14) = .0, (9, 15) = .0, (9, 16) = .0, (10, 1) = .0, (10, 2) = .0, (10, 3) = .0, (10, 4) = .0, (10, 5) = .0, (10, 6) = .0, (10, 7) = .0, (10, 8) = .0, (10, 9) = .0, (10, 10) = .0, (10, 11) = .0, (10, 12) = .0, (10, 13) = .0, (10, 14) = .0, (10, 15) = .0, (10, 16) = .0, (11, 1) = .0, (11, 2) = .0, (11, 3) = .0, (11, 4) = .0, (11, 5) = .0, (11, 6) = .0, (11, 7) = .0, (11, 8) = .0, (11, 9) = .0, (11, 10) = .0, (11, 11) = .0, (11, 12) = .0, (11, 13) = .0, (11, 14) = .0, (11, 15) = .0, (11, 16) = .0, (12, 1) = .0, (12, 2) = .0, (12, 3) = .0, (12, 4) = .0, (12, 5) = .0, (12, 6) = .0, (12, 7) = .0, (12, 8) = .0, (12, 9) = .0, (12, 10) = .0, (12, 11) = .0, (12, 12) = .0, (12, 13) = .0, (12, 14) = .0, (12, 15) = .0, (12, 16) = .0, (13, 1) = .0, (13, 2) = .0, (13, 3) = .0, (13, 4) = .0, (13, 5) = .0, (13, 6) = .0, (13, 7) = .0, (13, 8) = .0, (13, 9) = .0, (13, 10) = .0, (13, 11) = .0, (13, 12) = .0, (13, 13) = .0, (13, 14) = .0, (13, 15) = .0, (13, 16) = .0, (14, 1) = .0, (14, 2) = .0, (14, 3) = .0, (14, 4) = .0, (14, 5) = .0, (14, 6) = .0, (14, 7) = .0, (14, 8) = .0, (14, 9) = .0, (14, 10) = .0, (14, 11) = .0, (14, 12) = .0, (14, 13) = .0, (14, 14) = .0, (14, 15) = .0, (14, 16) = .0, (15, 1) = .0, (15, 2) = .0, (15, 3) = .0, (15, 4) = .0, (15, 5) = .0, (15, 6) = .0, (15, 7) = .0, (15, 8) = .0, (15, 9) = .0, (15, 10) = .0, (15, 11) = .0, (15, 12) = .0, (15, 13) = .0, (15, 14) = .0, (15, 15) = .0, (15, 16) = .0, (16, 1) = .0, (16, 2) = .0, (16, 3) = .0, (16, 4) = .0, (16, 5) = .0, (16, 6) = .0, (16, 7) = .0, (16, 8) = .0, (16, 9) = .0, (16, 10) = .0, (16, 11) = .0, (16, 12) = .0, (16, 13) = .0, (16, 14) = .0, (16, 15) = .0, (16, 16) = .0}, datatype = float[8], order = C_order), Array(1..16, 1..6, {(1, 1) = .0, (1, 2) = .0, (1, 3) = .0, (1, 4) = .0, (1, 5) = .0, (1, 6) = .0, (2, 1) = .0, (2, 2) = .0, (2, 3) = .0, (2, 4) = .0, (2, 5) = .0, (2, 6) = .0, (3, 1) = .0, (3, 2) = .0, (3, 3) = .0, (3, 4) = .0, (3, 5) = .0, (3, 6) = .0, (4, 1) = .0, (4, 2) = .0, (4, 3) = .0, (4, 4) = .0, (4, 5) = .0, (4, 6) = .0, (5, 1) = .0, (5, 2) = .0, (5, 3) = .0, (5, 4) = .0, (5, 5) = .0, (5, 6) = .0, (6, 1) = .0, (6, 2) = .0, (6, 3) = .0, (6, 4) = .0, (6, 5) = .0, (6, 6) = .0, (7, 1) = .0, (7, 2) = .0, (7, 3) = .0, (7, 4) = .0, (7, 5) = .0, (7, 6) = .0, (8, 1) = .0, (8, 2) = .0, (8, 3) = .0, (8, 4) = .0, (8, 5) = .0, (8, 6) = .0, (9, 1) = .0, (9, 2) = .0, (9, 3) = .0, (9, 4) = .0, (9, 5) = .0, (9, 6) = .0, (10, 1) = .0, (10, 2) = .0, (10, 3) = .0, (10, 4) = .0, (10, 5) = .0, (10, 6) = .0, (11, 1) = .0, (11, 2) = .0, (11, 3) = .0, (11, 4) = .0, (11, 5) = .0, (11, 6) = .0, (12, 1) = .0, (12, 2) = .0, (12, 3) = .0, (12, 4) = .0, (12, 5) = .0, (12, 6) = .0, (13, 1) = .0, (13, 2) = .0, (13, 3) = .0, (13, 4) = .0, (13, 5) = .0, (13, 6) = .0, (14, 1) = .0, (14, 2) = .0, (14, 3) = .0, (14, 4) = .0, (14, 5) = .0, (14, 6) = .0, (15, 1) = .0, (15, 2) = .0, (15, 3) = .0, (15, 4) = .0, (15, 5) = .0, (15, 6) = .0, (16, 1) = .0, (16, 2) = .0, (16, 3) = .0, (16, 4) = .0, (16, 5) = .0, (16, 6) = .0}, datatype = float[8], order = C_order), Array(1..16, {(1) = 0, (2) = 0, (3) = 0, (4) = 0, (5) = 0, (6) = 0, (7) = 0, (8) = 0, (9) = 0, (10) = 0, (11) = 0, (12) = 0, (13) = 0, (14) = 0, (15) = 0, (16) = 0}, datatype = integer[8]), Array(1..45, {(1) = .0, (2) = .0, (3) = .0, (4) = .0, (5) = .0, (6) = .0, (7) = .0, (8) = .0, (9) = .0, (10) = .0, (11) = .0, (12) = .0, (13) = .0, (14) = .0, (15) = .0, (16) = .0, (17) = .0, (18) = .0, (19) = .0, (20) = .0, (21) = .0, (22) = .0, (23) = .0, (24) = .0, (25) = .0, (26) = .0, (27) = .0, (28) = .0, (29) = .0, (30) = .0, (31) = .0, (32) = .0, (33) = .0, (34) = .0, (35) = .0, (36) = .0, (37) = .0, (38) = .0, (39) = .0, (40) = .0, (41) = .0, (42) = .0, (43) = .0, (44) = .0, (45) = .0}, datatype = float[8], order = C_order), Array(1..45, {(1) = .0, (2) = .0, (3) = .0, (4) = .0, (5) = .0, (6) = .0, (7) = .0, (8) = .0, (9) = .0, (10) = .0, (11) = .0, (12) = .0, (13) = .0, (14) = .0, (15) = .0, (16) = .0, (17) = .0, (18) = .0, (19) = .0, (20) = .0, (21) = .0, (22) = .0, (23) = .0, (24) = .0, (25) = .0, (26) = .0, (27) = .0, (28) = .0, (29) = .0, (30) = .0, (31) = .0, (32) = .0, (33) = .0, (34) = .0, (35) = .0, (36) = .0, (37) = .0, (38) = .0, (39) = .0, (40) = .0, (41) = .0, (42) = .0, (43) = .0, (44) = .0, (45) = .0}, datatype = float[8], order = C_order), Array(1..45, {(1) = .0, (2) = .0, (3) = .0, (4) = .0, (5) = .0, (6) = .0, (7) = .0, (8) = .0, (9) = .0, (10) = .0, (11) = .0, (12) = .0, (13) = .0, (14) = .0, (15) = .0, (16) = .0, (17) = .0, (18) = .0, (19) = .0, (20) = .0, (21) = .0, (22) = .0, (23) = .0, (24) = .0, (25) = .0, (26) = .0, (27) = .0, (28) = .0, (29) = .0, (30) = .0, (31) = .0, (32) = .0, (33) = .0, (34) = .0, (35) = .0, (36) = .0, (37) = .0, (38) = .0, (39) = .0, (40) = .0, (41) = .0, (42) = .0, (43) = .0, (44) = .0, (45) = .0}, datatype = float[8], order = C_order), Array(1..45, {(1) = .0, (2) = .0, (3) = .0, (4) = .0, (5) = .0, (6) = .0, (7) = .0, (8) = .0, (9) = .0, (10) = .0, (11) = .0, (12) = .0, (13) = .0, (14) = .0, (15) = .0, (16) = .0, (17) = .0, (18) = .0, (19) = .0, (20) = .0, (21) = .0, (22) = .0, (23) = .0, (24) = .0, (25) = .0, (26) = .0, (27) = .0, (28) = .0, (29) = .0, (30) = .0, (31) = .0, (32) = .0, (33) = .0, (34) = .0, (35) = .0, (36) = .0, (37) = .0, (38) = .0, (39) = .0, (40) = .0, (41) = .0, (42) = .0, (43) = .0, (44) = .0, (45) = .0}, datatype = float[8], order = C_order), Array(1..16, {(1) = .0, (2) = .0, (3) = .0, (4) = .0, (5) = .0, (6) = .0, (7) = .0, (8) = .0, (9) = .0, (10) = .0, (11) = .0, (12) = .0, (13) = .0, (14) = .0, (15) = .0, (16) = .0}, datatype = float[8], order = C_order)]), ( 8 ) = ([Array(1..45, {(1) = .0, (2) = .0, (3) = .0, (4) = .0, (5) = .0, (6) = .0, (7) = .0, (8) = .0, (9) = .0, (10) = .0, (11) = .0, (12) = .0, (13) = .0, (14) = .0, (15) = .0, (16) = .0, (17) = .0, (18) = .0, (19) = .0, (20) = .0, (21) = .0, (22) = .0, (23) = .0, (24) = .0, (25) = .0, (26) = .0, (27) = .0, (28) = .0, (29) = .0, (30) = .0, (31) = .0, (32) = .0, (33) = .0, (34) = .0, (35) = .0, (36) = .0, (37) = .0, (38) = .0, (39) = .0, (40) = .0, (41) = .0, (42) = .0, (43) = .0, (44) = .0, (45) = .0}, datatype = float[8], order = C_order), Array(1..45, {(1) = .0, (2) = .0, (3) = .0, (4) = .0, (5) = .0, (6) = .0, (7) = .0, (8) = .0, (9) = .0, (10) = .0, (11) = .0, (12) = .0, (13) = .0, (14) = .0, (15) = .0, (16) = .0, (17) = .0, (18) = .0, (19) = .0, (20) = .0, (21) = .0, (22) = .0, (23) = .0, (24) = .0, (25) = .0, (26) = .0, (27) = .0, (28) = .0, (29) = .0, (30) = .0, (31) = .0, (32) = .0, (33) = .0, (34) = .0, (35) = .0, (36) = .0, (37) = .0, (38) = .0, (39) = .0, (40) = .0, (41) = .0, (42) = .0, (43) = .0, (44) = .0, (45) = .0}, datatype = float[8], order = C_order), Array(1..16, {(1) = .0, (2) = .0, (3) = .0, (4) = .0, (5) = .0, (6) = .0, (7) = .0, (8) = .0, (9) = .0, (10) = .0, (11) = .0, (12) = .0, (13) = .0, (14) = .0, (15) = .0, (16) = .0}, datatype = float[8], order = C_order), 0, 0]), ( 11 ) = (Array(1..6, 0..16, {(1, 1) = .0, (1, 2) = .0, (1, 3) = .0, (1, 4) = .0, (1, 5) = .0, (1, 6) = .0, (1, 7) = .0, (1, 8) = .0, (1, 9) = .0, (1, 10) = .0, (1, 11) = .0, (1, 12) = .0, (1, 13) = .0, (1, 14) = .0, (1, 15) = .0, (1, 16) = .0, (2, 0) = .0, (2, 1) = .0, (2, 2) = .0, (2, 3) = .0, (2, 4) = .0, (2, 5) = .0, (2, 6) = .0, (2, 7) = .0, (2, 8) = .0, (2, 9) = .0, (2, 10) = .0, (2, 11) = .0, (2, 12) = .0, (2, 13) = .0, (2, 14) = .0, (2, 15) = .0, (2, 16) = .0, (3, 0) = .0, (3, 1) = .0, (3, 2) = .0, (3, 3) = .0, (3, 4) = .0, (3, 5) = .0, (3, 6) = .0, (3, 7) = .0, (3, 8) = .0, (3, 9) = .0, (3, 10) = .0, (3, 11) = .0, (3, 12) = .0, (3, 13) = .0, (3, 14) = .0, (3, 15) = .0, (3, 16) = .0, (4, 0) = .0, (4, 1) = .0, (4, 2) = .0, (4, 3) = .0, (4, 4) = .0, (4, 5) = .0, (4, 6) = .0, (4, 7) = .0, (4, 8) = .0, (4, 9) = .0, (4, 10) = .0, (4, 11) = .0, (4, 12) = .0, (4, 13) = .0, (4, 14) = .0, (4, 15) = .0, (4, 16) = .0, (5, 0) = .0, (5, 1) = .0, (5, 2) = .0, (5, 3) = .0, (5, 4) = .0, (5, 5) = .0, (5, 6) = .0, (5, 7) = .0, (5, 8) = .0, (5, 9) = .0, (5, 10) = .0, (5, 11) = .0, (5, 12) = .0, (5, 13) = .0, (5, 14) = .0, (5, 15) = .0, (5, 16) = .0, (6, 0) = .0, (6, 1) = .0, (6, 2) = .0, (6, 3) = .0, (6, 4) = .0, (6, 5) = .0, (6, 6) = .0, (6, 7) = .0, (6, 8) = .0, (6, 9) = .0, (6, 10) = .0, (6, 11) = .0, (6, 12) = .0, (6, 13) = .0, (6, 14) = .0, (6, 15) = .0, (6, 16) = .0}, datatype = float[8], order = C_order)), ( 10 ) = ([proc (N, X, Y, YP) option `[Y[1] = phi[B3](t), Y[2] = diff(phi[B3](t),t), Y[3] = phi[F2](t), Y[4] = diff(phi[F2](t),t), Y[5] = phi[R2](t), Y[6] = diff(phi[R2](t),t), Y[7] = z[B3](t), Y[8] = diff(z[B3](t),t), Y[9] = z[F1](t), Y[10] = diff(z[F1](t),t), Y[11] = z[F2](t), Y[12] = diff(z[F2](t),t), Y[13] = z[R1](t), Y[14] = diff(z[R1](t),t), Y[15] = z[R2](t), Y[16] = diff(z[R2](t),t)]`; YP[2] := ((-Y[30]*Y[39]^2-Y[32]*Y[40]^2)*Y[2]+(Y[30]*Y[39]+Y[32]*Y[40])*Y[8]-Y[30]*Y[39]*Y[12]-Y[32]*Y[40]*Y[16]+(-Y[35]*Y[39]^2-Y[38]*Y[40]^2)*Y[1]+(Y[35]*Y[39]+Y[38]*Y[40])*Y[7]-Y[35]*Y[39]*Y[11]-Y[38]*Y[40]*Y[15])/Y[20]; YP[4] := (Y[26]-Y[25])/(Y[21]+Y[22]); YP[6] := (Y[27]-Y[28])/(Y[23]+Y[24]); YP[8] := ((Y[30]*Y[39]+Y[32]*Y[40])*Y[2]+(-Y[30]-Y[32])*Y[8]+Y[30]*Y[12]+Y[32]*Y[16]+(Y[35]*Y[39]+Y[38]*Y[40])*Y[1]+(-Y[35]-Y[38])*Y[7]-Y[41]*Y[17]+Y[35]*Y[11]+Y[38]*Y[15])/Y[41]; YP[10] := (-Y[29]*Y[10]+Y[29]*Y[12]+(-Y[33]-Y[34])*Y[9]-Y[42]*Y[17]+Y[34]*Y[11]+Y[33]*X+Y[18])/Y[42]; YP[12] := ((-Y[29]-Y[30])*Y[12]-Y[30]*Y[39]*Y[2]+Y[30]*Y[8]+Y[29]*Y[10]+(-Y[34]-Y[35])*Y[11]-Y[35]*Y[39]*Y[1]-Y[43]*Y[17]+Y[34]*Y[9]+Y[35]*Y[7])/Y[43]; YP[14] := (-Y[31]*Y[14]+Y[31]*Y[16]+(-Y[36]-Y[37])*Y[13]-Y[44]*Y[17]+Y[37]*Y[15]+Y[36]*X+Y[19])/Y[44]; YP[16] := ((-Y[31]-Y[32])*Y[16]-Y[32]*Y[40]*Y[2]+Y[32]*Y[8]+Y[31]*Y[14]+(-Y[37]-Y[38])*Y[15]-Y[38]*Y[40]*Y[1]-Y[45]*Y[17]+Y[37]*Y[13]+Y[38]*Y[7])/Y[45]; YP[1] := Y[2]; YP[3] := Y[4]; YP[5] := Y[6]; YP[7] := Y[8]; YP[9] := Y[10]; YP[11] := Y[12]; YP[13] := Y[14]; YP[15] := Y[16]; 0 end proc, -1, 0, 0, 0, 0, 0, 0]), ( 13 ) = (), ( 12 ) = (), ( 15 ) = ("rkf45"), ( 14 ) = ([0, 0]), ( 18 ) = ([]), ( 19 ) = (0), ( 16 ) = ([0, 0, 0, []]), ( 17 ) = ([proc (N, X, Y, YP) option `[Y[1] = phi[B3](t), Y[2] = diff(phi[B3](t),t), Y[3] = phi[F2](t), Y[4] = diff(phi[F2](t),t), Y[5] = phi[R2](t), Y[6] = diff(phi[R2](t),t), Y[7] = z[B3](t), Y[8] = diff(z[B3](t),t), Y[9] = z[F1](t), Y[10] = diff(z[F1](t),t), Y[11] = z[F2](t), Y[12] = diff(z[F2](t),t), Y[13] = z[R1](t), Y[14] = diff(z[R1](t),t), Y[15] = z[R2](t), Y[16] = diff(z[R2](t),t)]`; YP[2] := ((-Y[30]*Y[39]^2-Y[32]*Y[40]^2)*Y[2]+(Y[30]*Y[39]+Y[32]*Y[40])*Y[8]-Y[30]*Y[39]*Y[12]-Y[32]*Y[40]*Y[16]+(-Y[35]*Y[39]^2-Y[38]*Y[40]^2)*Y[1]+(Y[35]*Y[39]+Y[38]*Y[40])*Y[7]-Y[35]*Y[39]*Y[11]-Y[38]*Y[40]*Y[15])/Y[20]; YP[4] := (Y[26]-Y[25])/(Y[21]+Y[22]); YP[6] := (Y[27]-Y[28])/(Y[23]+Y[24]); YP[8] := ((Y[30]*Y[39]+Y[32]*Y[40])*Y[2]+(-Y[30]-Y[32])*Y[8]+Y[30]*Y[12]+Y[32]*Y[16]+(Y[35]*Y[39]+Y[38]*Y[40])*Y[1]+(-Y[35]-Y[38])*Y[7]-Y[41]*Y[17]+Y[35]*Y[11]+Y[38]*Y[15])/Y[41]; YP[10] := (-Y[29]*Y[10]+Y[29]*Y[12]+(-Y[33]-Y[34])*Y[9]-Y[42]*Y[17]+Y[34]*Y[11]+Y[33]*X+Y[18])/Y[42]; YP[12] := ((-Y[29]-Y[30])*Y[12]-Y[30]*Y[39]*Y[2]+Y[30]*Y[8]+Y[29]*Y[10]+(-Y[34]-Y[35])*Y[11]-Y[35]*Y[39]*Y[1]-Y[43]*Y[17]+Y[34]*Y[9]+Y[35]*Y[7])/Y[43]; YP[14] := (-Y[31]*Y[14]+Y[31]*Y[16]+(-Y[36]-Y[37])*Y[13]-Y[44]*Y[17]+Y[37]*Y[15]+Y[36]*X+Y[19])/Y[44]; YP[16] := ((-Y[31]-Y[32])*Y[16]-Y[32]*Y[40]*Y[2]+Y[32]*Y[8]+Y[31]*Y[14]+(-Y[37]-Y[38])*Y[15]-Y[38]*Y[40]*Y[1]-Y[45]*Y[17]+Y[37]*Y[13]+Y[38]*Y[7])/Y[45]; YP[1] := Y[2]; YP[3] := Y[4]; YP[5] := Y[6]; YP[7] := Y[8]; YP[9] := Y[10]; YP[11] := Y[12]; YP[13] := Y[14]; YP[15] := Y[16]; 0 end proc, -1, 0, 0, 0, 0, 0, 0]), ( 22 ) = (0), ( 23 ) = (0), ( 20 ) = ([]), ( 21 ) = (0), ( 24 ) = (0)  ] ))  ] ); _y0 := Array(0..45, {(1) = 0., (2) = 0., (3) = 0., (4) = 0., (5) = 0., (6) = 0., (7) = 0., (8) = 0., (9) = 0., (10) = 0., (11) = 0., (12) = 0., (13) = 0., (14) = 0., (15) = 0., (16) = 0., (17) = 0., (18) = undefined, (19) = undefined, (20) = undefined, (21) = undefined, (22) = undefined, (23) = undefined, (24) = undefined, (25) = undefined, (26) = undefined, (27) = undefined, (28) = undefined, (29) = undefined, (30) = undefined, (31) = undefined, (32) = undefined, (33) = undefined, (34) = undefined, (35) = undefined, (36) = undefined, (37) = undefined, (38) = undefined, (39) = undefined, (40) = undefined, (41) = undefined, (42) = undefined, (43) = undefined, (44) = undefined, (45) = undefined}); _vmap := array( 1 .. 16, [( 1 ) = (1), ( 2 ) = (2), ( 3 ) = (3), ( 4 ) = (4), ( 5 ) = (5), ( 6 ) = (6), ( 7 ) = (7), ( 9 ) = (9), ( 8 ) = (8), ( 11 ) = (11), ( 10 ) = (10), ( 13 ) = (13), ( 12 ) = (12), ( 15 ) = (15), ( 14 ) = (14), ( 16 ) = (16)  ] ); _x0 := _dtbl[1][5][5]; _n := _dtbl[1][4][1]; _ne := _dtbl[1][4][3]; _nd := _dtbl[1][4][4]; _nv := _dtbl[1][4][16]; if not type(_xout, 'numeric') then if member(_xout, ["start", "left", "right"]) then if _Env_smart_dsolve_numeric = true or _dtbl[1][4][10] = 1 then if _xout = "left" then if type(_dtbl[2], 'table') then return _dtbl[2][5][1] end if elif _xout = "right" then if type(_dtbl[3], 'table') then return _dtbl[3][5][1] end if end if end if; return _dtbl[1][5][5] elif _xout = "method" then return _dtbl[1][15] elif _xout = "storage" then return evalb(_dtbl[1][4][10] = 1) elif _xout = "leftdata" then if not type(_dtbl[2], 'array') then return NULL else return eval(_dtbl[2]) end if elif _xout = "rightdata" then if not type(_dtbl[3], 'array') then return NULL else return eval(_dtbl[3]) end if elif _xout = "enginedata" then return eval(_dtbl[1]) elif _xout = "enginereset" then _dtbl[2] := evaln(_dtbl[2]); _dtbl[3] := evaln(_dtbl[3]); return NULL elif _xout = "initial" then return procname(_y0[0]) elif _xout = "laxtol" then return _dtbl[`if`(member(_dtbl[4], {2, 3}), _dtbl[4], 1)][5][18] elif _xout = "numfun" then return `if`(member(_dtbl[4], {2, 3}), _dtbl[_dtbl[4]][4][18], 0) elif _xout = "parameters" then return [seq(_y0[_n+_i], _i = 1 .. nops(_pars))] elif _xout = "initial_and_parameters" then return procname(_y0[0]), [seq(_y0[_n+_i], _i = 1 .. nops(_pars))] elif _xout = "last" then if _dtbl[4] <> 2 and _dtbl[4] <> 3 or _x0-_dtbl[_dtbl[4]][5][1] = 0. then error "no information is available on last computed point" else _xout := _dtbl[_dtbl[4]][5][1] end if elif _xout = "function" then if _dtbl[1][4][33]-2. = 0 then return eval(_dtbl[1][10], 1) else return eval(_dtbl[1][10][1], 1) end if elif _xout = "map" then return copy(_vmap) elif type(_xin, `=`) and type(rhs(_xin), 'list') and member(lhs(_xin), {"initial", "parameters", "initial_and_parameters"}) then _ini, _par := [], []; if lhs(_xin) = "initial" then _ini := rhs(_xin) elif lhs(_xin) = "parameters" then _par := rhs(_xin) elif select(type, rhs(_xin), `=`) <> [] then _par, _ini := selectremove(type, rhs(_xin), `=`) elif nops(rhs(_xin)) < nops(_pars)+1 then error "insufficient data for specification of initial and parameters" else _par := rhs(_xin)[-nops(_pars) .. -1]; _ini := rhs(_xin)[1 .. -nops(_pars)-1] end if; _xout := lhs(_xout); if _par <> [] then `dsolve/numeric/process_parameters`(_n, _pars, _par, _y0) end if; if _ini <> [] then `dsolve/numeric/process_initial`(_n-_ne, _ini, _y0, _pars, _vmap) end if; `dsolve/numeric/SC/reinitialize`(_dtbl, _y0, _n, procname, _pars); if _Env_smart_dsolve_numeric = true and type(_y0[0], 'numeric') and _dtbl[1][4][10] <> 1 then procname("right") := _y0[0]; procname("left") := _y0[0] end if; if _xout = "initial" then return [_y0[0], seq(_y0[_vmap[_i]], _i = 1 .. _n-_ne)] elif _xout = "parameters" then return [seq(_y0[_n+_i], _i = 1 .. nops(_pars))] else return [_y0[0], seq(_y0[_vmap[_i]], _i = 1 .. _n-_ne)], [seq(_y0[_n+_i], _i = 1 .. nops(_pars))] end if elif _xin = "eventstop" then if _nv = 0 then error "this solution has no events" end if; _i := _dtbl[4]; if _i <> 2 and _i <> 3 then return 0 end if; if _dtbl[_i][4][10] = 1 and assigned(_dtbl[5-_i]) and _dtbl[_i][4][9] < 100 and 100 <= _dtbl[5-_i][4][9] then _i := 5-_i; _dtbl[4] := _i; _j := round(_dtbl[_i][4][17]); return round(_dtbl[_i][3][1][_j, 1]) elif 100 <= _dtbl[_i][4][9] then _j := round(_dtbl[_i][4][17]); return round(_dtbl[_i][3][1][_j, 1]) else return 0 end if elif _xin = "eventstatus" then if _nv = 0 then error "this solution has no events" end if; _i := [selectremove(proc (a) options operator, arrow; _dtbl[1][3][1][a, 7] = 1 end proc, {seq(_j, _j = 1 .. round(_dtbl[1][3][1][_nv+1, 1]))})]; return ':-enabled' = _i[1], ':-disabled' = _i[2] elif _xin = "eventclear" then if _nv = 0 then error "this solution has no events" end if; _i := _dtbl[4]; if _i <> 2 and _i <> 3 then error "no events to clear" end if; if _dtbl[_i][4][10] = 1 and assigned(_dtbl[5-_i]) and _dtbl[_i][4][9] < 100 and 100 < _dtbl[5-_i][4][9] then _dtbl[4] := 5-_i; _i := 5-_i end if; if _dtbl[_i][4][9] < 100 then error "no events to clear" elif _nv < _dtbl[_i][4][9]-100 then error "event error condition cannot be cleared" else _j := _dtbl[_i][4][9]-100; if irem(round(_dtbl[_i][3][1][_j, 4]), 2) = 1 then error "retriggerable events cannot be cleared" end if; _j := round(_dtbl[_i][3][1][_j, 1]); for _k to _nv do if _dtbl[_i][3][1][_k, 1] = _j then if _dtbl[_i][3][1][_k, 2] = 3 then error "range events cannot be cleared" end if; _dtbl[_i][3][1][_k, 8] := _dtbl[_i][3][1][_nv+1, 8] end if end do; _dtbl[_i][4][17] := 0; _dtbl[_i][4][9] := 0; if _dtbl[1][4][10] = 1 then if _i = 2 then try procname(procname("left")) catch:  end try else try procname(procname("right")) catch:  end try end if end if end if; return  elif type(_xin, `=`) and member(lhs(_xin), {"eventdisable", "eventenable"}) then if _nv = 0 then error "this solution has no events" end if; if type(rhs(_xin), {('list')('posint'), ('set')('posint')}) then _i := {op(rhs(_xin))} elif type(rhs(_xin), 'posint') then _i := {rhs(_xin)} else error "event identifiers must be integers in the range 1..%1", round(_dtbl[1][3][1][_nv+1, 1]) end if; if select(proc (a) options operator, arrow; _nv < a end proc, _i) <> {} then error "event identifiers must be integers in the range 1..%1", round(_dtbl[1][3][1][_nv+1, 1]) end if; _k := {}; for _j to _nv do if member(round(_dtbl[1][3][1][_j, 1]), _i) then _k := `union`(_k, {_j}) end if end do; _i := _k; if lhs(_xin) = "eventdisable" then _dtbl[4] := 0; _j := [evalb(assigned(_dtbl[2]) and member(_dtbl[2][4][17], _i)), evalb(assigned(_dtbl[3]) and member(_dtbl[3][4][17], _i))]; for _k in _i do _dtbl[1][3][1][_k, 7] := 0; if assigned(_dtbl[2]) then _dtbl[2][3][1][_k, 7] := 0 end if; if assigned(_dtbl[3]) then _dtbl[3][3][1][_k, 7] := 0 end if end do; if _j[1] then for _k to _nv+1 do if _k <= _nv and not type(_dtbl[2][3][4][_k, 1], 'undefined') then userinfo(3, {'events', 'eventreset'}, `reinit #2, event code `, _k, ` to defined init `, _dtbl[2][3][4][_k, 1]); _dtbl[2][3][1][_k, 8] := _dtbl[2][3][4][_k, 1] elif _dtbl[2][3][1][_k, 2] = 0 and irem(iquo(round(_dtbl[2][3][1][_k, 4]), 32), 2) = 1 then userinfo(3, {'events', 'eventreset'}, `reinit #2, event code `, _k, ` to rate hysteresis init `, _dtbl[2][5][24]); _dtbl[2][3][1][_k, 8] := _dtbl[2][5][24] elif _dtbl[2][3][1][_k, 2] = 0 and irem(iquo(round(_dtbl[2][3][1][_k, 4]), 2), 2) = 0 then userinfo(3, {'events', 'eventreset'}, `reinit #2, event code `, _k, ` to initial init `, _x0); _dtbl[2][3][1][_k, 8] := _x0 else userinfo(3, {'events', 'eventreset'}, `reinit #2, event code `, _k, ` to fireinitial init `, _x0-1); _dtbl[2][3][1][_k, 8] := _x0-1 end if end do; _dtbl[2][4][17] := 0; _dtbl[2][4][9] := 0; if _dtbl[1][4][10] = 1 then procname(procname("left")) end if end if; if _j[2] then for _k to _nv+1 do if _k <= _nv and not type(_dtbl[3][3][4][_k, 2], 'undefined') then userinfo(3, {'events', 'eventreset'}, `reinit #3, event code `, _k, ` to defined init `, _dtbl[3][3][4][_k, 2]); _dtbl[3][3][1][_k, 8] := _dtbl[3][3][4][_k, 2] elif _dtbl[3][3][1][_k, 2] = 0 and irem(iquo(round(_dtbl[3][3][1][_k, 4]), 32), 2) = 1 then userinfo(3, {'events', 'eventreset'}, `reinit #3, event code `, _k, ` to rate hysteresis init `, _dtbl[3][5][24]); _dtbl[3][3][1][_k, 8] := _dtbl[3][5][24] elif _dtbl[3][3][1][_k, 2] = 0 and irem(iquo(round(_dtbl[3][3][1][_k, 4]), 2), 2) = 0 then userinfo(3, {'events', 'eventreset'}, `reinit #3, event code `, _k, ` to initial init `, _x0); _dtbl[3][3][1][_k, 8] := _x0 else userinfo(3, {'events', 'eventreset'}, `reinit #3, event code `, _k, ` to fireinitial init `, _x0+1); _dtbl[3][3][1][_k, 8] := _x0+1 end if end do; _dtbl[3][4][17] := 0; _dtbl[3][4][9] := 0; if _dtbl[1][4][10] = 1 then procname(procname("right")) end if end if else for _k in _i do _dtbl[1][3][1][_k, 7] := 1 end do; _dtbl[2] := evaln(_dtbl[2]); _dtbl[3] := evaln(_dtbl[3]); _dtbl[4] := 0; if _dtbl[1][4][10] = 1 then if _x0 <= procname("right") then try procname(procname("right")) catch:  end try end if; if procname("left") <= _x0 then try procname(procname("left")) catch:  end try end if end if end if; return  elif type(_xin, `=`) and lhs(_xin) = "eventfired" then if not type(rhs(_xin), 'list') then error "'eventfired' must be specified as a list" end if; if _nv = 0 then error "this solution has no events" end if; if _dtbl[4] <> 2 and _dtbl[4] <> 3 then error "'direction' must be set prior to calling/setting 'eventfired'" end if; _i := _dtbl[4]; _val := NULL; if not assigned(_EnvEventRetriggerWarned) then _EnvEventRetriggerWarned := false end if; for _k in rhs(_xin) do if type(_k, 'integer') then _src := _k elif type(_k, 'integer' = 'anything') and type(evalf(rhs(_k)), 'numeric') then _k := lhs(_k) = evalf[max(Digits, 18)](rhs(_k)); _src := lhs(_k) else error "'eventfired' entry is not valid: %1", _k end if; if _src < 1 or round(_dtbl[1][3][1][_nv+1, 1]) < _src then error "event identifiers must be integers in the range 1..%1", round(_dtbl[1][3][1][_nv+1, 1]) end if; _src := {seq(`if`(_dtbl[1][3][1][_j, 1]-_src = 0., _j, NULL), _j = 1 .. _nv)}; if nops(_src) <> 1 then error "'eventfired' can only be set/queried for root-finding events and time/interval events" end if; _src := _src[1]; if _dtbl[1][3][1][_src, 2] <> 0. and _dtbl[1][3][1][_src, 2]-2. <> 0. then error "'eventfired' can only be set/queried for root-finding events and time/interval events" elif irem(round(_dtbl[1][3][1][_src, 4]), 2) = 1 then if _EnvEventRetriggerWarned = false then WARNING(`'eventfired' has no effect on events that retrigger`) end if; _EnvEventRetriggerWarned := true end if; if _dtbl[_i][3][1][_src, 2] = 0 and irem(iquo(round(_dtbl[_i][3][1][_src, 4]), 32), 2) = 1 then _val := _val, undefined elif type(_dtbl[_i][3][4][_src, _i-1], 'undefined') or _i = 2 and _dtbl[2][3][1][_src, 8] < _dtbl[2][3][4][_src, 1] or _i = 3 and _dtbl[3][3][4][_src, 2] < _dtbl[3][3][1][_src, 8] then _val := _val, _dtbl[_i][3][1][_src, 8] else _val := _val, _dtbl[_i][3][4][_src, _i-1] end if; if type(_k, `=`) then if _dtbl[_i][3][1][_src, 2] = 0 and irem(iquo(round(_dtbl[_i][3][1][_src, 4]), 32), 2) = 1 then error "cannot set event code for a rate hysteresis event" end if; userinfo(3, {'events', 'eventreset'}, `manual set event code `, _src, ` to value `, rhs(_k)); _dtbl[_i][3][1][_src, 8] := rhs(_k); _dtbl[_i][3][4][_src, _i-1] := rhs(_k) end if end do; return [_val] elif type(_xin, `=`) and lhs(_xin) = "direction" then if not member(rhs(_xin), {-1, 1, ':-left', ':-right'}) then error "'direction' must be specified as either '1' or 'right' (positive) or '-1' or 'left' (negative)" end if; _src := `if`(_dtbl[4] = 2, -1, `if`(_dtbl[4] = 3, 1, undefined)); _i := `if`(member(rhs(_xin), {1, ':-right'}), 3, 2); _dtbl[4] := _i; _dtbl[_i] := `dsolve/numeric/SC/IVPdcopy`(_dtbl[1], `if`(assigned(_dtbl[_i]), _dtbl[_i], NULL)); if 0 < _nv then for _j to _nv+1 do if _j <= _nv and not type(_dtbl[_i][3][4][_j, _i-1], 'undefined') then userinfo(3, {'events', 'eventreset'}, `reinit #4, event code `, _j, ` to defined init `, _dtbl[_i][3][4][_j, _i-1]); _dtbl[_i][3][1][_j, 8] := _dtbl[_i][3][4][_j, _i-1] elif _dtbl[_i][3][1][_j, 2] = 0 and irem(iquo(round(_dtbl[_i][3][1][_j, 4]), 32), 2) = 1 then userinfo(3, {'events', 'eventreset'}, `reinit #4, event code `, _j, ` to rate hysteresis init `, _dtbl[_i][5][24]); _dtbl[_i][3][1][_j, 8] := _dtbl[_i][5][24] elif _dtbl[_i][3][1][_j, 2] = 0 and irem(iquo(round(_dtbl[_i][3][1][_j, 4]), 2), 2) = 0 then userinfo(3, {'events', 'eventreset'}, `reinit #4, event code `, _j, ` to initial init `, _x0); _dtbl[_i][3][1][_j, 8] := _x0 else userinfo(3, {'events', 'eventreset'}, `reinit #4, event code `, _j, ` to fireinitial init `, _x0-2*_i+5.0); _dtbl[_i][3][1][_j, 8] := _x0-2*_i+5.0 end if end do end if; return _src elif _xin = "eventcount" then if _dtbl[1][3][1] = 0 or _dtbl[4] <> 2 and _dtbl[4] <> 3 then return 0 else return round(_dtbl[_dtbl[4]][3][1][_nv+1, 12]) end if else return "procname" end if end if; if _xout = _x0 then return [_x0, seq(evalf(_dtbl[1][6][_vmap[_i]]), _i = 1 .. _n-_ne)] end if; _i := `if`(_x0 <= _xout, 3, 2); if _xin = "last" and 0 < _dtbl[_i][4][9] and _dtbl[_i][4][9] < 100 then _dat := eval(_dtbl[_i], 2); _j := _dat[4][20]; return [_dat[11][_j, 0], seq(_dat[11][_j, _vmap[_i]], _i = 1 .. _n-_ne-_nd), seq(_dat[8][1][_vmap[_i]], _i = _n-_ne-_nd+1 .. _n-_ne)] end if; if not type(_dtbl[_i], 'array') then _dtbl[_i] := `dsolve/numeric/SC/IVPdcopy`(_dtbl[1], `if`(assigned(_dtbl[_i]), _dtbl[_i], NULL)); if 0 < _nv then for _j to _nv+1 do if _j <= _nv and not type(_dtbl[_i][3][4][_j, _i-1], 'undefined') then userinfo(3, {'events', 'eventreset'}, `reinit #5, event code `, _j, ` to defined init `, _dtbl[_i][3][4][_j, _i-1]); _dtbl[_i][3][1][_j, 8] := _dtbl[_i][3][4][_j, _i-1] elif _dtbl[_i][3][1][_j, 2] = 0 and irem(iquo(round(_dtbl[_i][3][1][_j, 4]), 32), 2) = 1 then userinfo(3, {'events', 'eventreset'}, `reinit #5, event code `, _j, ` to rate hysteresis init `, _dtbl[_i][5][24]); _dtbl[_i][3][1][_j, 8] := _dtbl[_i][5][24] elif _dtbl[_i][3][1][_j, 2] = 0 and irem(iquo(round(_dtbl[_i][3][1][_j, 4]), 2), 2) = 0 then userinfo(3, {'events', 'eventreset'}, `reinit #5, event code `, _j, ` to initial init `, _x0); _dtbl[_i][3][1][_j, 8] := _x0 else userinfo(3, {'events', 'eventreset'}, `reinit #5, event code `, _j, ` to fireinitial init `, _x0-2*_i+5.0); _dtbl[_i][3][1][_j, 8] := _x0-2*_i+5.0 end if end do end if end if; if _xin <> "last" then if 0 < 0 then if `dsolve/numeric/checkglobals`(op(_dtbl[1][14]), _pars, _n, _y0) then `dsolve/numeric/SC/reinitialize`(_dtbl, _y0, _n, procname, _pars, _i) end if end if; if _dtbl[1][4][7] = 0 then error "parameters must be initialized before solution can be computed" end if end if; _dat := eval(_dtbl[_i], 2); _dtbl[4] := _i; try _src := `dsolve/numeric/SC/IVPrun`(_dat, _xout) catch: userinfo(2, `dsolve/debug`, print(`Exception in solnproc:`, [lastexception][2 .. -1])); error  end try; if _src = 0 and 100 < _dat[4][9] then _val := _dat[3][1][_nv+1, 8] else _val := _dat[11][_dat[4][20], 0] end if; if _src <> 0 or _dat[4][9] <= 0 then _dtbl[1][5][1] := _xout else _dtbl[1][5][1] := _val end if; if _i = 3 and _val < _xout then Rounding := -infinity; if _dat[4][9] = 1 then error "cannot evaluate the solution further right of %1, probably a singularity", evalf[8](_val) elif _dat[4][9] = 2 then error "cannot evaluate the solution further right of %1, maxfun limit exceeded (see ?dsolve,maxfun for details)", evalf[8](_val) elif _dat[4][9] = 3 then if _dat[4][25] = 3 then error "cannot evaluate the solution past the initial point, problem may be initially singular or improperly set up" else error "cannot evaluate the solution past the initial point, problem may be complex, initially singular or improperly set up" end if elif _dat[4][9] = 4 then error "cannot evaluate the solution further right of %1, accuracy goal cannot be achieved with specified 'minstep'", evalf[8](_val) elif _dat[4][9] = 5 then error "cannot evaluate the solution further right of %1, too many step failures, tolerances may be too loose for problem", evalf[8](_val) elif _dat[4][9] = 6 then error "cannot evaluate the solution further right of %1, cannot downgrade delay storage for problems with delay derivative order > 1, try increasing delaypts", evalf[8](_val) elif _dat[4][9] = 10 then error "cannot evaluate the solution further right of %1, interrupt requested", evalf[8](_val) elif 100 < _dat[4][9] then if _dat[4][9]-100 = _nv+1 then error "constraint projection failure on event at t=%1", evalf[8](_val) elif _dat[4][9]-100 = _nv+2 then error "index-1 and derivative evaluation failure on event at t=%1", evalf[8](_val) elif _dat[4][9]-100 = _nv+3 then error "maximum number of event iterations reached (%1) at t=%2", round(_dat[3][1][_nv+1, 3]), evalf[8](_val) else if _Env_dsolve_nowarnstop <> true then `dsolve/numeric/warning`(StringTools:-FormatMessage("cannot evaluate the solution further right of %1, event #%2 triggered a halt", evalf[8](_val), round(_dat[3][1][_dat[4][9]-100, 1]))) end if; Rounding := 'nearest'; _xout := _val end if else error "cannot evaluate the solution further right of %1", evalf[8](_val) end if elif _i = 2 and _xout < _val then Rounding := infinity; if _dat[4][9] = 1 then error "cannot evaluate the solution further left of %1, probably a singularity", evalf[8](_val) elif _dat[4][9] = 2 then error "cannot evaluate the solution further left of %1, maxfun limit exceeded (see ?dsolve,maxfun for details)", evalf[8](_val) elif _dat[4][9] = 3 then if _dat[4][25] = 3 then error "cannot evaluate the solution past the initial point, problem may be initially singular or improperly set up" else error "cannot evaluate the solution past the initial point, problem may be complex, initially singular or improperly set up" end if elif _dat[4][9] = 4 then error "cannot evaluate the solution further left of %1, accuracy goal cannot be achieved with specified 'minstep'", evalf[8](_val) elif _dat[4][9] = 5 then error "cannot evaluate the solution further left of %1, too many step failures, tolerances may be too loose for problem", evalf[8](_val) elif _dat[4][9] = 6 then error "cannot evaluate the solution further left of %1, cannot downgrade delay storage for problems with delay derivative order > 1, try increasing delaypts", evalf[8](_val) elif _dat[4][9] = 10 then error "cannot evaluate the solution further right of %1, interrupt requested", evalf[8](_val) elif 100 < _dat[4][9] then if _dat[4][9]-100 = _nv+1 then error "constraint projection failure on event at t=%1", evalf[8](_val) elif _dat[4][9]-100 = _nv+2 then error "index-1 and derivative evaluation failure on event at t=%1", evalf[8](_val) elif _dat[4][9]-100 = _nv+3 then error "maximum number of event iterations reached (%1) at t=%2", round(_dat[3][1][_nv+1, 3]), evalf[8](_val) else if _Env_dsolve_nowarnstop <> true then `dsolve/numeric/warning`(StringTools:-FormatMessage("cannot evaluate the solution further left of %1, event #%2 triggered a halt", evalf[8](_val), round(_dat[3][1][_dat[4][9]-100, 1]))) end if; Rounding := 'nearest'; _xout := _val end if else error "cannot evaluate the solution further left of %1", evalf[8](_val) end if end if; if _EnvInFsolve = true then _dig := _dat[4][26]; _dat[4][26] := _EnvDSNumericSaveDigits; _Env_dsolve_SC_native := true; if _dat[4][25] = 1 then _i := 1; _dat[4][25] := 2 else _i := _dat[4][25] end if; _val := `dsolve/numeric/SC/IVPval`(_dat, _xout, _src); _dat[4][25] := _i; _dat[4][26] := _dig; [_xout, seq(_val[_vmap[_i]], _i = 1 .. _n-_ne)] else Digits := _dat[4][26]; _val := `dsolve/numeric/SC/IVPval`(eval(_dat, 2), _xout, _src); [_xout, seq(_val[_vmap[_i]], _i = 1 .. _n-_ne)] end if end proc, (2) = Array(0..0, {}), (3) = [t, phi[B3](t), diff(phi[B3](t), t), phi[F2](t), diff(phi[F2](t), t), phi[R2](t), diff(phi[R2](t), t), z[B3](t), diff(z[B3](t), t), z[F1](t), diff(z[F1](t), t), z[F2](t), diff(z[F2](t), t), z[R1](t), diff(z[R1](t), t), z[R2](t), diff(z[R2](t), t)], (4) = [g = g, Fz[F1] = `Fz[F1]`, Fz[R1] = `Fz[R1]`, J[B3] = `J[B3]`, J[F1] = `J[F1]`, J[F2] = `J[F2]`, J[R1] = `J[R1]`, J[R2] = `J[R2]`, M[FN] = `M[FN]`, M[OF] = `M[OF]`, M[OR] = `M[OR]`, M[RN] = `M[RN]`, c[F2] = `c[F2]`, c[F3] = `c[F3]`, c[R2] = `c[R2]`, c[R3] = `c[R3]`, k[F1] = `k[F1]`, k[F2] = `k[F2]`, k[F3] = `k[F3]`, k[R1] = `k[R1]`, k[R2] = `k[R2]`, k[R3] = `k[R3]`, l[1] = `l[1]`, l[2] = `l[2]`, m[B3] = `m[B3]`, m[F1] = `m[F1]`, m[F2] = `m[F2]`, m[R1] = `m[R1]`, m[R2] = `m[R2]`]}); _vars := _dat[3]; _pars := map(rhs, _dat[4]); _n := nops(_vars)-1; _solnproc := _dat[1]; if not type(_xout, 'numeric') then if member(x_rkf45, ["start", 'start', "method", 'method', "left", 'left', "right", 'right', "leftdata", "rightdata", "enginedata", "eventstop", 'eventstop', "eventclear", 'eventclear', "eventstatus", 'eventstatus', "eventcount", 'eventcount', "laxtol", 'laxtol', "numfun", 'numfun', NULL]) then _res := _solnproc(convert(x_rkf45, 'string')); if 1 < nops([_res]) then return _res elif type(_res, 'array') then return eval(_res, 1) elif _res <> "procname" then return _res end if elif member(x_rkf45, ["last", 'last', "initial", 'initial', "parameters", 'parameters', "initial_and_parameters", 'initial_and_parameters', NULL]) then _xout := convert(x_rkf45, 'string'); _res := _solnproc(_xout); if _xout = "parameters" then return [seq(_pars[_i] = _res[_i], _i = 1 .. nops(_pars))] elif _xout = "initial_and_parameters" then return [seq(_vars[_i+1] = [_res][1][_i+1], _i = 0 .. _n), seq(_pars[_i] = [_res][2][_i], _i = 1 .. nops(_pars))] else return [seq(_vars[_i+1] = _res[_i+1], _i = 0 .. _n)] end if elif type(_xout, `=`) and member(lhs(_xout), ["initial", 'initial', "parameters", 'parameters', "initial_and_parameters", 'initial_and_parameters', NULL]) then _xout := convert(lhs(x_rkf45), 'string') = rhs(x_rkf45); if type(rhs(_xout), 'list') then _res := _solnproc(_xout) else error "initial and/or parameter values must be specified in a list" end if; if lhs(_xout) = "initial" then return [seq(_vars[_i+1] = _res[_i+1], _i = 0 .. _n)] elif lhs(_xout) = "parameters" then return [seq(_pars[_i] = _res[_i], _i = 1 .. nops(_pars))] else return [seq(_vars[_i+1] = [_res][1][_i+1], _i = 0 .. _n), seq(_pars[_i] = [_res][2][_i], _i = 1 .. nops(_pars))] end if elif type(_xout, `=`) and member(lhs(_xout), ["eventdisable", 'eventdisable', "eventenable", 'eventenable', "eventfired", 'eventfired', "direction", 'direction', NULL]) then return _solnproc(convert(lhs(x_rkf45), 'string') = rhs(x_rkf45)) elif _xout = "solnprocedure" then return eval(_solnproc) elif _xout = "sysvars" then return _vars end if; if procname <> unknown then return ('procname')(x_rkf45) else _ndsol; _ndsol := pointto(_dat[2][0]); return ('_ndsol')(x_rkf45) end if end if; try _res := _solnproc(_xout); [seq(_vars[_i+1] = _res[_i+1], _i = 0 .. _n)] catch: error  end try end proc

(5)

# How to use this solution?
#
# Let us define some specific set of parameters, for instance:

MyData := [seq(p = rand(0. .. 1.)(), p in param)];

[g = .2342493224, Fz[F1] = .1799302829, Fz[R1] = .5137385362, J[B3] = .2907448089, J[F1] = .8953600369, J[F2] = .2617341097, J[R1] = .7780122500, J[R2] = 0.6587642124e-1, M[FN] = .7235311453, M[OF] = .3157837057, M[OR] = 0.5872123377e-1, M[RN] = .5108327385, c[F2] = 0.8517118248e-1, c[F3] = .1791765017, c[R2] = .5849452936, c[R3] = 0.6354180299e-1, k[F1] = .8093404926, k[F2] = .7038511227, k[F3] = .3447191092, k[R1] = .9034558453, k[R2] = .8219614586, k[R3] = .5091763968, l[1] = .2999657008, l[2] = .2195119739, m[B3] = .9193194089, m[F1] = .6279008356, m[F2] = .4128601644, m[R1] = .4705674223, m[R2] = .9333260133]

(6)

# Instanciate numsol with these data:

numsol(parameters=MyData);

[g = .2342493224, `Fz[F1]` = .1799302829, `Fz[R1]` = .5137385362, `J[B3]` = .2907448089, `J[F1]` = .8953600369, `J[F2]` = .2617341097, `J[R1]` = .7780122500, `J[R2]` = 0.6587642124e-1, `M[FN]` = .7235311453, `M[OF]` = .3157837057, `M[OR]` = 0.5872123377e-1, `M[RN]` = .5108327385, `c[F2]` = 0.8517118248e-1, `c[F3]` = .1791765017, `c[R2]` = .5849452936, `c[R3]` = 0.6354180299e-1, `k[F1]` = .8093404926, `k[F2]` = .7038511227, `k[F3]` = .3447191092, `k[R1]` = .9034558453, `k[R2]` = .8219614586, `k[R3]` = .5091763968, `l[1]` = .2999657008, `l[2]` = .2195119739, `m[B3]` = .9193194089, `m[F1]` = .6279008356, `m[F2]` = .4128601644, `m[R1]` = .4705674223, `m[R2]` = .9333260133]

(7)

# Then you have access to the solution for this specific set of data:

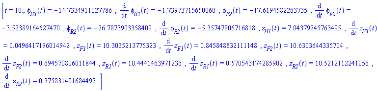
numsol(10);

# or:

plots:-odeplot(numsol, [t, phi[B3](t)], t=0..10)

[t = 10., phi[B3](t) = HFloat(-14.733491102778638), diff(phi[B3](t), t) = HFloat(-1.7397371565005968), phi[F2](t) = HFloat(-17.619458226373506), diff(phi[F2](t), t) = HFloat(-3.523891645274701), phi[R2](t) = HFloat(-26.787390335840914), diff(phi[R2](t), t) = HFloat(-5.357478067168182), z[B3](t) = HFloat(7.043792457634949), diff(z[B3](t), t) = HFloat(0.04964171960149423), z[F1](t) = HFloat(10.30352137753227), diff(z[F1](t), t) = HFloat(0.8458488321111477), z[F2](t) = HFloat(10.630364433570367), diff(z[F2](t), t) = HFloat(0.6945708060118443), z[R1](t) = HFloat(10.444146397123562), diff(z[R1](t), t) = HFloat(0.5705431742859017), z[R2](t) = HFloat(10.521211224105587), diff(z[R2](t), t) = HFloat(0.3758314016844918)]

 

 


Download How_to_get_a_solution.mw

@Aung 

Thanks for your feedback.
Feel free to ask for more help on this problem.

By the way: the Statistics:-NonlinearFit solver uses Optimization:-NLPSolve's and this latter supports constraints (for instance p3 > p2, p1 > 0, ...) which makes it, in my opinion, more versatile and powerful than the former, to solve non linear least square problems.
The main differences between Statistics:-NonlinearFit and Optimization:-NLPSolve are:

  • the former builds the function to be minimized (the summ of squared residuals) while you must define it explifitly with the latter;
     
  • the former provides more outputs than the latter... but it is very easy to reconstruct them as soon as Optimization:-NLPSolve has privided the location of the minimizer.

@acer 

@acer 

Thanks for the information about loaded packages.

@acer 

Before the 2nd Tabulate you shoulf change opts:

opts := fillcolor = (proc (T, i, jj) options operator, arrow; `if`(jj = 1, "LightBlue", "PeachPuff") end proc), widthmode = pixels, exterior = none:

By the way, the OP loads Student:-Statistics and Statistics: can this generate conflicts?
For instance, if one calls Mean, which one is used?

I'm admittedly a bit naive, but I had hoped to get to have some feedback my answer to your previous question.
Whatever I see you understood how to build an unweighted sample from a weighted one, so at least you read my reply...

By the way (1) , the formula you use to compute EcartType is uncorrect, the denominator should be add(Weights)-1

By the way (2), still another Maple Bug:
StandardDeviation(data, 'weights'=Weights) and Variance(data, 'weights'=Weights) return wrong results.


don't you ask your question here MMA ?

@MaPal93 

Then what do you mean by "the interpolator depends on a single parameter named psi"?
The command to construct the kringing emulator is

krig := KG_Matern52(data[[seq(1..59, 1)], ..], 5):

where 5 is THE SINGLE parameter psi the solution depends on (compare to the 6 parameters of the Lennard-Jones model).

Feel free to change this value, for instance use 20 instead of 5: you will get a curve which still passes through the points (its is an interpolating curve) but which strongly oscillates between these points.
The value of psi can:

  • either be set to a convenient value trom a visual observation of the resulting interpolation curve (what I did),
  • or searched by solving a specific minimization problem (which I didn't implemented here).

The expression is indeed complex and is never displayed. A kriging emulator is always used as a black-box function: you give it the value of the input(s) and it returns the corresponding value of the output (and possibly some other useful informations).
To draw a parallel, Its usage is exactly the same as sol in

sol := dsolve(ode_system, numeric)



Kriging is an extremely powerful and versatile method which is widely used in M&S (Modelling and Simulation) to build analytic models (aka metamodels) of outputs of a costly computer code.

For insance your Maple code can be seen as a complex function F : Gamma_1 --> Gamma_2 = F(Gamma_1) whose no closed-form is known.
Observing a collection C = { (Gamma_1[n], F(Gamma_1[n])),  n=1..N } of points is sometimes enough to infer a possible expression for F.
But not always, for instance I'm not sure that a lot of people would have say here "A correct metamodel is a Lennard-Jones type model".

The main problem with classical metamodels (a linear one for instance), is that there is almost no chance that it passes through all the points C contains.
How can you justify this when F is a deterministic function and when there is no observation noise on the outputs Gamma_2?
(The situation is completely different when points come from empirical (aja experimental) observations).

So you have to build an interpolator and not an estimator, which means that if M is the metamodel, you want M(Gamma_1[n]) = F(Gamma_1[n]) for all n=1..N.

There exist an infinity of such estimators (probably the most known are spline interpolators of any odd order), Krining (aka Gaussian Emulator, GE in the sequel) is another type.
The simplest GE depends on a single parameter (I denoted psi) for scalar inputs. For vector inputs psi is then a vector of same size. Beyond this simple GE there exist more complex variant dependong on parameters whose natures differ from psi's.
To be simple psi characterizes the smoothness of the interpolator. If you believe the interpolator must be very regular, or smooth, you must use a "small" value for psi, a "large"one if you believe the interpolator can have large deviations out of the points in C.

The fact that the smoothness of the GE is almost the only parameter to fit makes Kriging one of the most powerful tool to build high dimensional metamodels (in dimension d psi contains d parameters: compare this number to the fit a polynomial of total degree q in dimension d which depends on (q+d)!/q!/d! parameters) 

At the end the GE is always used as a black-box function: you give it the values of th inputs (Gamma_1 in your case) and it returns the output (here Gamma_2).
Despite the fact it has a closed-form expression this latter can be that complex that it is never displayed (that is exactly the same thing for a cubic spline interpolator for instance).


Unfortunately there is no easy to read synthetic reference about gaussian emulators
In coase you go further I can browse the web to try and find a few.

 

@janhardo 

An approximation is not a simplification.
If you think the opposite, there are two even simpler expressions:

taylor(expr1, x=0, 5);
                            31  3    / 5\
                      2 x - -- x  + O\x /     (basically what S22 gives)
                            3            
taylor(expr1, x=0, 1)
                              O(x)   (4 characters alone)
mtaylor(expr1, x=0, 1)
                               0   (only one single character: you can't do simpler)
First 21 22 23 24 25 26 27 Last Page 23 of 154