mmcdara

7896 Reputation

22 Badges

9 years, 320 days

MaplePrimes Activity


These are replies submitted by mmcdara

@Carl Love 

I agree that "this type of error occurs in 2D input".
I've probably made it many times but probably also corrected it as many times on the fly, at the end giving the (false) impression that it doesn't occur in 2D input.

@Madhukesh J K 

I got it!
Type this

print~(eval([ODEs[], bcs], params))

to verify you have 3 odes and 7 bcs. Check the orders (3+2+2... you're right).
Probably there is a 4th unknow beyond f, chi and theta.
Type this 

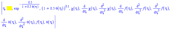
indets(eval(ODEs, params))

Look at the second term of the output: it is "exp", meaning Maple has found an unknown quantity named "exp"... so the 8th bc Maple is asking for.

Here is the corrected file (I have also increased maxmesh to 1024 because the default value (128) generated an error)

PS : this kind of "calligraphic" error is very common in document mode. That is why, and I believe a lot of people do the same here, I never use this mode.

restart

with(plots):

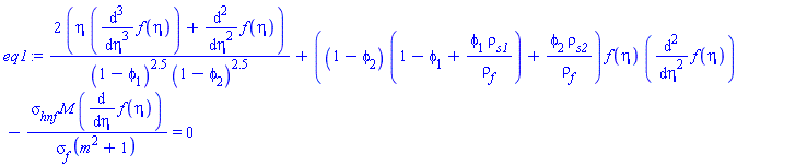
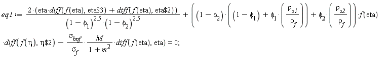
eq1 := (2*(eta*(diff(f(eta), `$`(eta, 3)))+diff(f(eta), `$`(eta, 2))))/((1-phi[1])^2.5*(1-phi[2])^2.5)+((1-phi[2])*(1-phi[1]+phi[1]*rho[s1]/rho[f])+phi[2]*rho[s2]/rho[f])*f(eta)*(diff(f(eta), `$`(eta, 2)))-sigma[hnf]*M*(diff(f(eta), eta))/(sigma[f]*(m^2+1)) = 0;

2*(eta*(diff(diff(diff(f(eta), eta), eta), eta))+diff(diff(f(eta), eta), eta))/((1-phi[1])^2.5*(1-phi[2])^2.5)+((1-phi[2])*(1-phi[1]+phi[1]*rho[s1]/rho[f])+phi[2]*rho[s2]/rho[f])*f(eta)*(diff(diff(f(eta), eta), eta))-sigma[hnf]*M*(diff(f(eta), eta))/(sigma[f]*(m^2+1)) = 0

(1)

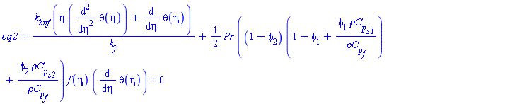
eq2 := k[hnf]*(eta*(diff(theta(eta), `$`(eta, 2)))+diff(theta(eta), eta))/k[f]+(1/2)*Pr*((1-phi[2])*(1-phi[1]+phi[1]*`ρC`[p][s1]/`ρC`[p][f])+phi[2]*`ρC`[p][s2]/`ρC`[p][f])*f(eta)*(diff(theta(eta), eta)) = 0;

k[hnf]*(eta*(diff(diff(theta(eta), eta), eta))+diff(theta(eta), eta))/k[f]+(1/2)*Pr*((1-phi[2])*(1-phi[1]+phi[1]*`ρC`[p][s1]/`ρC`[p][f])+phi[2]*`ρC`[p][s2]/`ρC`[p][f])*f(eta)*(diff(theta(eta), eta)) = 0

(2)

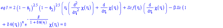
eq3 := 2*(1-phi[1])^2.5*(1-phi[2])^2.5*(eta*(diff(chi(eta), `$`(eta, 2)))+diff(chi(eta), eta))+Sc*f(eta)*(diff(chi(eta), eta))-beta*Sc*(1+delta*theta(eta))^n*exp(-E/(1+delta*theta(eta)))*chi(eta) = 0;

2*(1-phi[1])^2.5*(1-phi[2])^2.5*(eta*(diff(diff(chi(eta), eta), eta))+diff(chi(eta), eta))+Sc*f(eta)*(diff(chi(eta), eta))-beta*Sc*(1+delta*theta(eta))^n*exp(-E/(1+delta*theta(eta)))*chi(eta) = 0

(3)

bcs := f(c) = (1/2)*lambda*c, (D(f))(c) = (1/2)*lambda, theta(c) = 1, chi(c) = 1, (D(f))(10) = (1-lambda)*(1/2), theta(10) = 0, chi(10) = 0;

f(c) = (1/2)*lambda*c, (D(f))(c) = (1/2)*lambda, theta(c) = 1, chi(c) = 1, (D(f))(10) = 1/2-(1/2)*lambda, theta(10) = 0, chi(10) = 0

(4)

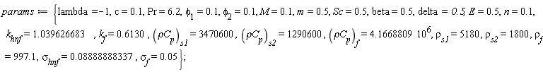
params := {E = .5, M = .1, Pr = 6.2, Sc = .5, beta = .5, c = .1, delta = .5, lambda = -1, m = .5, n = .1, k[f] = .6130, k[hnf] = 1.039626683, phi[1] = .1, phi[2] = .1, rho[f] = 997.1, rho[s1] = 5180, rho[s2] = 1800, sigma[f] = 0.5e-1, sigma[hnf] = 0.8888888337e-1, `ρC`[p][f] = 4.1668809*10^6, `ρC`[p][s1] = 3470600, `ρC`[p][s2] = 1290600};

{E = .5, M = .1, Pr = 6.2, Sc = .5, beta = .5, c = .1, delta = .5, lambda = -1, m = .5, n = .1, k[f] = .6130, k[hnf] = 1.039626683, phi[1] = .1, phi[2] = .1, rho[f] = 997.1, rho[s1] = 5180, rho[s2] = 1800, sigma[f] = 0.5e-1, sigma[hnf] = 0.8888888337e-1, `ρC`[p][f] = 4166880.900, `ρC`[p][s1] = 3470600, `ρC`[p][s2] = 1290600}

(5)

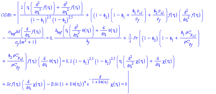
ODEs := [eq1, eq2, eq3]

[2*(eta*(diff(diff(diff(f(eta), eta), eta), eta))+diff(diff(f(eta), eta), eta))/((1-phi[1])^2.5*(1-phi[2])^2.5)+((1-phi[2])*(1-phi[1]+phi[1]*rho[s1]/rho[f])+phi[2]*rho[s2]/rho[f])*f(eta)*(diff(diff(f(eta), eta), eta))-sigma[hnf]*M*(diff(f(eta), eta))/(sigma[f]*(m^2+1)) = 0, k[hnf]*(eta*(diff(diff(theta(eta), eta), eta))+diff(theta(eta), eta))/k[f]+(1/2)*Pr*((1-phi[2])*(1-phi[1]+phi[1]*`ρC`[p][s1]/`ρC`[p][f])+phi[2]*`ρC`[p][s2]/`ρC`[p][f])*f(eta)*(diff(theta(eta), eta)) = 0, 2*(1-phi[1])^2.5*(1-phi[2])^2.5*(eta*(diff(diff(chi(eta), eta), eta))+diff(chi(eta), eta))+Sc*f(eta)*(diff(chi(eta), eta))-beta*Sc*(1+delta*theta(eta))^n*exp(-E/(1+delta*theta(eta)))*chi(eta) = 0]

(6)

infolevel[dsolve] := 4

4

(7)

sol := dsolve(eval([ODEs[], bcs], params), numeric, output = listprocedure, maxmesh = 1024)

dsolve/numeric: entering dsolve/numeric

 

[eta = proc (eta) local _res, _dat, _solnproc; option `Copyright (c) 1993 by the University of Waterloo. All rights reserved.`; _dat := Array(1..4, {(1) = proc (outpoint) local X, Y, YP, yout, errproc, L, V, i; option `Copyright (c) 2000 by Waterloo Maple Inc. All rights reserved.`; X := Vector(177, {(1) = .1, (2) = .13432431415631105, (3) = .16865165190091197, (4) = .202985958039896, (5) = .23732533659105348, (6) = .2716788241585104, (7) = .30604559361419775, (8) = .3404355394485909, (9) = .3748529011933503, (10) = .4093061022796795, (11) = .44380716982563195, (12) = .47836387534050584, (13) = .512995852912669, (14) = .5477165596092971, (15) = .5825440749488203, (16) = .617499631782922, (17) = .6526070635536141, (18) = .6878927128084736, (19) = .7233862578282453, (20) = .7591205797331673, (21) = .795131110399485, (22) = .8314537516454595, (23) = .868136597156794, (24) = .9052215072936881, (25) = .9427566773054169, (26) = .9807963691446203, (27) = 1.019390250121844, (28) = 1.0585930956320206, (29) = 1.0984604169171555, (30) = 1.1390444870104077, (31) = 1.1804077038174698, (32) = 1.222605314046431, (33) = 1.2656867522025514, (34) = 1.3097007904581703, (35) = 1.35469069615675, (36) = 1.4006929822839422, (37) = 1.447731690331962, (38) = 1.4958369065409785, (39) = 1.5450201198096045, (40) = 1.5952810827286137, (41) = 1.646612127195734, (42) = 1.6989954066809312, (43) = 1.7524040840585657, (44) = 1.806801993976599, (45) = 1.862146412251251, (46) = 1.9183893448840852, (47) = 1.9754805768192913, (48) = 2.0333655491409464, (49) = 2.09198758848087, (50) = 2.1512911903998386, (51) = 2.2112299885365556, (52) = 2.271742934464316, (53) = 2.3327750130678835, (54) = 2.3942834797609645, (55) = 2.4562254559367735, (56) = 2.518550408638634, (57) = 2.5812184684337374, (58) = 2.6441937416859225, (59) = 2.7074501856327, (60) = 2.770954649679994, (61) = 2.8346761833615464, (62) = 2.898592678498704, (63) = 2.962688121088583, (64) = 3.0269416312716424, (65) = 3.091328430651392, (66) = 3.155836619851239, (67) = 3.220454275768738, (68) = 3.285168541451302, (69) = 3.3499654130373253, (70) = 3.414829585389634, (71) = 3.4797579848516915, (72) = 3.5447435602802027, (73) = 3.609779652754643, (74) = 3.674861152412504, (75) = 3.7399848957435275, (76) = 3.8051508297379377, (77) = 3.8703655596105624, (78) = 3.935652421384301, (79) = 4.001077560861665, (80) = 4.0666510045970385, (81) = 4.132314229225371, (82) = 4.198000337516065, (83) = 4.263680764101562, (84) = 4.329336756026789, (85) = 4.394973340046662, (86) = 4.460588954073379, (87) = 4.526181509768576, (88) = 4.59174993915436, (89) = 4.6572937466339175, (90) = 4.722812832368339, (91) = 4.788307377913861, (92) = 4.853777459964835, (93) = 4.9192172921590585, (94) = 4.98463029125814, (95) = 5.0500209149724435, (96) = 5.115387283230868, (97) = 5.180725066182968, (98) = 5.246040278527776, (99) = 5.3113174587944965, (100) = 5.376570973389221, (101) = 5.44180368691663, (102) = 5.5070118178761875, (103) = 5.572199562571729, (104) = 5.637373294661837, (105) = 5.702517813103393, (106) = 5.767639827784657, (107) = 5.832736032997183, (108) = 5.897804505036399, (109) = 5.962849913789289, (110) = 6.0278771161534, (111) = 6.092882596362824, (112) = 6.157876605520855, (113) = 6.222850932401667, (114) = 6.287802017103068, (115) = 6.352734006431941, (116) = 6.4176483673997975, (117) = 6.482540451739694, (118) = 6.547416149850125, (119) = 6.6122680542862025, (120) = 6.677102130347337, (121) = 6.7419211005546, (122) = 6.8067248666742355, (123) = 6.871509114964304, (124) = 6.936266375612976, (125) = 7.0010059228545805, (126) = 7.065728682384006, (127) = 7.130434804847329, (128) = 7.195124539737002, (129) = 7.259798136520217, (130) = 7.324455844038698, (131) = 7.3890979060419335, (132) = 7.453724561298953, (133) = 7.518336044173569, (134) = 7.582932585751136, (135) = 7.647514413049672, (136) = 7.712081750883993, (137) = 7.776634831889643, (138) = 7.841173896857807, (139) = 7.905699203490006, (140) = 7.970211023056725, (141) = 8.034709635791245, (142) = 8.099195318161058, (143) = 8.163668350318732, (144) = 8.22812902562451, (145) = 8.292577648267015, (146) = 8.357014533032183, (147) = 8.42144000370015, (148) = 8.485854390888106, (149) = 8.550258023403897, (150) = 8.6146512403873, (151) = 8.679034390131827, (152) = 8.74340782797264, (153) = 8.807771917708358, (154) = 8.872127033100252, (155) = 8.93647355737236, (156) = 9.000811876240148, (157) = 9.065142395655199, (158) = 9.129062231749659, (159) = 9.190791738971976, (160) = 9.25002177586793, (161) = 9.306893224933363, (162) = 9.361586616509348, (163) = 9.414263699827062, (164) = 9.46506800130928, (165) = 9.514127801690371, (166) = 9.561558693204324, (167) = 9.60746518855213, (168) = 9.651942086110576, (169) = 9.695075631414408, (170) = 9.73694468456052, (171) = 9.777621794577053, (172) = 9.817172850818734, (173) = 9.855658388735026, (174) = 9.893134209297964, (175) = 9.929651857051025, (176) = 9.965259040121957, (177) = 10.0}, datatype = float[8], order = C_order); Y := Matrix(177, 7, {(1, 1) = 1.0, (1, 2) = -3.010283491881195, (1, 3) = -0.5e-1, (1, 4) = -.5, (1, 5) = 3.2549705904755624, (1, 6) = 1.0, (1, 7) = -2.2961168243517345, (2, 1) = .9116006400192896, (2, 2) = -2.2188140910266996, (2, 3) = -0.6542988930944998e-1, (2, 4) = -.40370802709261644, (2, 5) = 2.4361750640983972, (2, 6) = .9313148374425487, (2, 7) = -1.7587335888496072, (3, 1) = .8440668335083839, (3, 2) = -1.7515672684205508, (3, 3) = -0.7795914493005979e-1, (3, 4) = -.32904124123644557, (3, 5) = 1.950857483460543, (3, 6) = .8768325041094468, (3, 7) = -1.4395391386527499, (4, 1) = .7895472336660474, (4, 2) = -1.443419767334426, (4, 3) = -0.8817574136327207e-1, (4, 4) = -.2679158648423435, (4, 5) = 1.6295350420268857, (4, 6) = .831272138114754, (4, 7) = -1.2272759842281986, (5, 1) = .7439269688663698, (5, 2) = -1.2250712603116078, (5, 3) = -0.9646350877742356e-1, (5, 4) = -.21608666124952267, (5, 5) = 1.4009694099334766, (5, 6) = .7918687409370647, (5, 7) = -1.0753753559802985, (6, 1) = .7047645567594804, (6, 2) = -1.062293032083934, (6, 3) = -.10309608982056391, (6, 4) = -.1710281829224358, (6, 5) = 1.229921365777778, (6, 6) = .7569783455483658, (6, 7) = -.9608633361558743, (7, 1) = .670508499292611, (7, 2) = -.9363094708603249, (7, 3) = -.1082751849303922, (7, 4) = -.1311332340751042, (7, 5) = 1.097033665972045, (7, 6) = .725556739475722, (7, 7) = -.871143819024352, (8, 1) = .6400970314770135, (8, 2) = -.8359113795739894, (8, 3) = -.11215820698136195, (8, 4) = -0.9529846009910026e-1, (8, 5) = .9907326565311447, (8, 6) = .6968857043397841, (8, 7) = -.798694055572774, (9, 1) = .6127818638670864, (9, 2) = -.7540307621161558, (9, 3) = -.11486934685856202, (9, 4) = -0.6274515848045818e-1, (9, 5) = .903710629210698, (9, 6) = .6704589172997079, (9, 7) = -.7387684103204613, (10, 1) = .5880101630726342, (10, 2) = -.6859732537372588, (10, 3) = -.11650974862771135, (10, 4) = -0.3289635416421537e-1, (10, 5) = .8311070612968686, (10, 6) = .6459004421044664, (10, 7) = -.6882118043576506, (11, 1) = .5653617782847322, (11, 2) = -.6285004073713887, (11, 3) = -.11716276509404526, (11, 4) = -0.5312156394166294e-2, (11, 5) = .7695640956343914, (11, 6) = .6229228742706305, (11, 7) = -.64484492277093, (12, 1) = .5445141227529045, (12, 2) = -.5793166470382869, (12, 3) = -.11689775490014931, (12, 4) = 0.20345547838662725e-1, (12, 5) = .7166984974611179, (12, 6) = .6013055866744937, (12, 7) = -.6071216319336978, (13, 1) = .5252059891093054, (13, 2) = -.5367311431212949, (13, 3) = -.11577285556558614, (13, 4) = 0.44352419520146014e-1, (13, 5) = .6707519723642751, (13, 6) = .5808668967259533, (13, 7) = -.5739002262529861, (14, 1) = .5072310763583526, (14, 2) = -.49948942467589225, (14, 3) = -.113836968901507, (14, 4) = 0.6692621623257643e-1, (14, 5) = .6304185015498383, (14, 6) = .5614637545616503, (14, 7) = -.5443331052943612, (15, 1) = .4904191420808039, (15, 2) = -.46663169018318124, (15, 3) = -.11113120062283205, (15, 4) = 0.882475828156531e-1, (15, 5) = .5946973362482103, (15, 6) = .5429767216798966, (15, 7) = -.5177703096857598, (16, 1) = .47462847032783395, (16, 2) = -.43741237094615587, (16, 3) = -.10768980917681761, (16, 4) = .10846767050378146, (16, 5) = .5628099475659347, (16, 6) = .5253052925364996, (16, 7) = -.49370579887626914, (17, 1) = .45973994111746974, (17, 2) = -.4112440008745413, (17, 3) = -.10354099578541562, (17, 4) = .12771421698659408, (17, 5) = .5341419874792643, (17, 6) = .5083640692975898, (17, 7) = -.4717398711807749, (18, 1) = .4456524312660702, (18, 2) = -.3876575548580043, (18, 3) = -0.987075140842896e-1, (18, 4) = .14609630418834832, (18, 5) = .5082022267347898, (18, 6) = .49207972636782243, (18, 7) = -.45155255379360504, (19, 1) = .43227900759396704, (19, 2) = -.3662736309623723, (19, 3) = -0.932070026083659e-1, (19, 4) = .1637083931514831, (19, 5) = .48459265857890527, (19, 6) = .47638833270765585, (19, 7) = -.4328841497234415, (20, 1) = .41954437259728117, (20, 2) = -.34678216572683396, (20, 3) = -0.8705230179329684e-1, (20, 4) = .18063295456195466, (20, 5) = .4629874722134205, (20, 6) = .46123371189807766, (20, 7) = -.41552163184362956, (21, 1) = .40738304871718267, (21, 2) = -.32892767036417664, (21, 3) = -0.8025181273703264e-1, (21, 4) = .1969422817914571, (21, 5) = .4431177566148181, (21, 6) = .44656638757907796, (21, 7) = -.39928880193030747, (22, 1) = .3957383812536956, (22, 2) = -.31249869978237255, (22, 3) = -0.7281016245788906e-1, (22, 4) = .21269931606763323, (22, 5) = .42476063372747375, (22, 6) = .43234331147984484, (22, 7) = -.38403945114777954, (23, 1) = .3845575897267605, (23, 2) = -.29731416431452806, (23, 3) = -0.647258610678675e-1, (23, 4) = .2279639568142309, (23, 5) = .40772462385587316, (23, 6) = .41852254000091954, (23, 7) = -.36964681487130585, (24, 1) = .37379664354289055, (24, 2) = -.28322501684036205, (24, 3) = -0.5599517983139291e-1, (24, 4) = .2427861347723762, (24, 5) = .3918520439519158, (24, 6) = .405069802195059, (24, 7) = -.3560068471972505, (25, 1) = .36341537175628497, (25, 2) = -.2701033420412026, (25, 3) = -0.4660967679615468e-1, (25, 4) = .2572121554674377, (25, 5) = .37700721405190146, (25, 6) = .39195303795515646, (25, 7) = -.3430294380682383, (26, 1) = .3533770946126125, (26, 2) = -.2578389396986893, (26, 3) = -0.3655606175762054e-1, (26, 4) = .2712850292677997, (26, 5) = .36307292252881584, (26, 6) = .3791423103767972, (26, 7) = -.3306361874020015, (27, 1) = .3436508736010304, (27, 2) = -.24633953213188772, (27, 3) = -0.2581904091109644e-1, (27, 4) = .28504110605404537, (27, 5) = .3499509645976493, (27, 6) = .3666130638370115, (27, 7) = -.3187617238807888, (28, 1) = .3342083390670267, (28, 2) = -.23552476168366415, (28, 3) = -0.1437893723914758e-1, (28, 4) = .29851430859060935, (28, 5) = .33755558003287145, (28, 6) = .35434243786971953, (28, 7) = -.3073486098948925, (29, 1) = .32502443519684, (29, 2) = -.2253255020912264, (29, 3) = -0.2212880763571889e-2, (29, 4) = .3117349359672634, (29, 5) = .32581286288190825, (29, 6) = .3423104953946207, (29, 7) = -.29634737207014694, (30, 1) = .31607786546540023, (30, 2) = -.2156829331351726, (30, 3) = 0.1070379518066878e-1, (30, 4) = .324728843808106, (30, 5) = .31465989354105117, (30, 6) = .3305010849621276, (30, 7) = -.28571629053101066, (31, 1) = .3073478049653732, (31, 2) = -.2065438873825929, (31, 3) = 0.24401723478456858e-1, (31, 4) = .33752207959661373, (31, 5) = .304039516592149, (31, 6) = .3188977264061976, (31, 7) = -.2754169157752743, (32, 1) = .29881745159040424, (32, 2) = -.19786380124231495, (32, 3) = 0.3891198298875327e-1, (32, 4) = .35013561530865284, (32, 5) = .29390388011792296, (32, 6) = .3074884833376804, (32, 7) = -.26541783827718834, (33, 1) = .29047317259933714, (33, 2) = -.18960486731359524, (33, 3) = 0.54266026383219236e-1, (33, 4) = .36258639522561675, (33, 5) = .2842124423413447, (33, 6) = .29626505510184786, (33, 7) = -.2556932617203244, (34, 1) = .28230310705588524, (34, 2) = -.18173393918032565, (34, 3) = 0.7049716580583928e-1, (34, 4) = .37488926686015167, (34, 5) = .2749296363719141, (34, 6) = .2852210611168979, (34, 7) = -.2462210635577509, (35, 1) = .27429780407556603, (35, 2) = -.17422262687378032, (35, 3) = 0.8763858849715334e-1, (35, 4) = .3870559122413701, (35, 5) = .26602507525248614, (35, 6) = .2743530179070213, (35, 7) = -.2369833048528358, (36, 1) = .26645007878841165, (36, 2) = -.16704665751311357, (36, 3) = .10572246440316273, (36, 4) = .3990949249001731, (36, 5) = .2574728923416692, (36, 6) = .2636602500529938, (36, 7) = -.2279658642184645, (37, 1) = .25875557734659277, (37, 2) = -.1601859421542037, (37, 3) = .12477714314440705, (37, 4) = .41101078776726396, (37, 5) = .24925191600226893, (37, 6) = .25314574105926013, (37, 7) = -.2191589209315012, (38, 1) = .2512094376242596, (38, 2) = -.15362126746579838, (38, 3) = .14483420719255005, (38, 4) = .42280892511572515, (38, 5) = .24134177847648824, (38, 6) = .24281161292316816, (38, 7) = -.21055300577533773, (39, 1) = .2438100685063101, (39, 2) = -.14733741986174867, (39, 3) = .1659180940582039, (39, 4) = .4344897565601667, (39, 5) = .23372671477717596, (39, 6) = .23266430393009532, (39, 7) = -.2021432253147483, (40, 1) = .23655756740858105, (40, 2) = -.14132147717760368, (40, 3) = .18804805051420714, (40, 4) = .44605098876584576, (40, 5) = .22639358970698623, (40, 6) = .22271240560604702, (40, 7) = -.19392734410767049, (41, 1) = .2294527959629172, (41, 2) = -.1355618535661384, (41, 3) = .211239426287894, (41, 4) = .4574889782290803, (41, 5) = .21933078665833716, (41, 6) = .21296535700731722, (41, 7) = -.18590465201723103, (42, 1) = .22249756111172841, (42, 2) = -.13004833389409315, (42, 3) = .23550196617307032, (42, 4) = .4687983695351276, (42, 5) = .21252828358414444, (42, 6) = .20343363443866733, (42, 7) = -.17807609406978153, (43, 1) = .21569423982605018, (43, 2) = -.12477167494006297, (43, 3) = .2608398253939708, (43, 4) = .4799726300795009, (43, 5) = .20597719438448733, (43, 6) = .19412816320881474, (43, 7) = -.17044377008176909, (44, 1) = .2090456528136725, (44, 2) = -.11972344246799402, (44, 3) = .2872509358297023, (44, 4) = .49100420281898555, (44, 5) = .19966959020759237, (44, 6) = .18506006069338682, (44, 7) = -.16301071564836836, (45, 1) = .20255459512253304, (45, 2) = -.1148956147475554, (45, 3) = .3147279299901195, (45, 4) = .5018852472953027, (45, 5) = .1935980202293324, (45, 6) = .17623990793629188, (45, 7) = -.15578029883884625, (46, 1) = .19622362924938264, (46, 2) = -.11028042171087489, (46, 3) = .34325850718834033, (46, 4) = .5126079809791431, (46, 5) = .1877553133493232, (46, 6) = .1676773875746207, (46, 7) = -.14875591411024416, (47, 1) = .19005473802029896, (47, 2) = -.10587010196399801, (47, 3) = .3728268197038715, (47, 4) = .5231652841517149, (47, 5) = .18213426698507848, (47, 6) = .15938074653118098, (47, 7) = -.14194052404260726, (48, 1) = .18404958719476303, (48, 2) = -.10165710878026424, (48, 3) = .4034123048724468, (48, 4) = .5335502837116244, (48, 5) = .1767279011977732, (48, 6) = .15135709780087095, (48, 7) = -.13533687973410663, (49, 1) = .1782093093546209, (49, 2) = -0.976339646318128e-1, (49, 3) = .434990761252832, (49, 4) = .5437567517407721, (49, 5) = .17152926762281148, (49, 6) = .1436120885672883, (49, 7) = -.12894721237733586, (50, 1) = .172534243624339, (50, 2) = -0.9379309915858196e-1, (50, 3) = .46753615565531664, (50, 4) = .5537796082939569, (50, 5) = .1665312288048679, (50, 6) = .13614953718018194, (50, 7) = -.12277288786102344, (51, 1) = .16702332229465286, (51, 2) = -0.9012646774014009e-1, (51, 3) = .501025271803289, (51, 4) = .5636160898088879, (51, 5) = .16172593962052867, (51, 6) = .1289706483940657, (51, 7) = -.11681369761445241, (52, 1) = .16167636746547506, (52, 2) = -0.8662709254567018e-1, (52, 3) = .5354245937655286, (52, 4) = .5732617138385044, (52, 5) = .1571068532547171, (52, 6) = .12207703121748083, (52, 7) = -.11107030160152458, (53, 1) = .15649217188922715, (53, 2) = -0.832877606097653e-1, (53, 3) = .5707017632972221, (53, 4) = .5827137094120911, (53, 5) = .15266702144547653, (53, 6) = .11546819718098544, (53, 7) = -.10554209857792878, (54, 1) = .1514681638565417, (54, 2) = -0.8010083796586685e-1, (54, 3) = .6068296591707916, (54, 4) = .5919717359930652, (54, 5) = .1483988206956467, (54, 6) = .10914121738711419, (54, 7) = -.1002268626526667, (55, 1) = .14660160234777767, (55, 2) = -0.7705904545671184e-1, (55, 3) = .6437795928327126, (55, 4) = .6010357808561354, (55, 5) = .14429496914815607, (55, 6) = .10309232375018078, (55, 7) = -0.9512201172172534e-1, (56, 1) = .14189016294329682, (56, 2) = -0.7415579244743617e-1, (56, 3) = .6815167857151943, (56, 4) = .609905070263442, (56, 5) = .14034898646161215, (56, 6) = 0.9731766543861783e-1, (56, 7) = -0.9022519334264704e-1, (57, 1) = .13733055115840967, (57, 2) = -0.7138429207106428e-1, (57, 3) = .7200114369835326, (57, 4) = .6185806833233924, (57, 5) = .13655400028046524, (57, 6) = 0.9181164277759303e-1, (57, 7) = -0.8553282185600106e-1, (58, 1) = .13291913685185686, (58, 2) = -0.6873795031830646e-1, (58, 3) = .7592350640821742, (58, 4) = .6270644277840627, (58, 5) = .1329032634057901, (58, 6) = 0.8656778272546026e-1, (58, 7) = -0.8104075700907686e-1, (59, 1) = .1286516327741731, (59, 2) = -0.6621016059961132e-1, (59, 3) = .799164460031636, (59, 4) = .6353595080809519, (59, 5) = .12938986575267097, (59, 6) = 0.8157844377519083e-1, (59, 7) = -0.7674399557867947e-1, (60, 1) = .12452430619411357, (60, 2) = -0.6379500379743547e-1, (60, 3) = .839771230939577, (60, 4) = .6434682068578423, (60, 5) = .12600770681463422, (60, 6) = 0.7683631058969256e-1, (60, 7) = -0.7263791038699614e-1, (61, 1) = .12053332346250112, (61, 2) = -0.6148682506048283e-1, (61, 3) = .8810276084176722, (61, 4) = .6513931420513931, (61, 5) = .12275092222076696, (61, 6) = 0.723336551457202e-1, (61, 7) = -0.687175841247968e-1, (62, 1) = .11667438654168381, (62, 2) = -0.5928000637071922e-1, (62, 3) = .9229109557024708, (62, 4) = .6591380172829979, (62, 5) = .11961356381867923, (62, 6) = 0.6806199777754275e-1, (62, 7) = -0.6497747609164842e-1, (63, 1) = .11294298648362892, (63, 2) = -0.57169100695410174e-1, (63, 3) = .9654023076310734, (63, 4) = .6667071615807357, (63, 5) = .11658978562213738, (63, 6) = 0.6401247882339202e-1, (63, 7) = -0.6141170855360152e-1, (64, 1) = .10933506387603534, (64, 2) = -0.5514918379084914e-1, (64, 3) = 1.0084792288200035, (64, 4) = .674104198640308, (64, 5) = .11367435428569851, (64, 6) = 0.6017662590041298e-1, (64, 7) = -0.58014717648254485e-1, (65, 1) = .10584689988050607, (65, 2) = -0.53215760915675155e-1, (65, 3) = 1.0521163069669728, (65, 4) = .6813322323771271, (65, 5) = .11086253363996139, (65, 6) = 0.5654623868694521e-1, (65, 7) = -0.5478114175121917e-1, (66, 1) = .10247421278276006, (66, 2) = -0.51364246219493405e-1, (66, 3) = 1.0962965827078632, (66, 4) = .6883957184775215, (66, 5) = .10814933543258673, (66, 6) = 0.5311248462877352e-1, (66, 7) = -0.51704999820689775e-1, (67, 1) = 0.9921290988322891e-1, (67, 2) = -0.4959036780155851e-1, (67, 3) = 1.141003046528324, (67, 4) = .6952989342332647, (67, 5) = .1055301079545874, (67, 6) = 0.4986674411817201e-1, (67, 7) = -0.4878042451768817e-1, (68, 1) = 0.9605911922500847e-1, (68, 2) = -0.4789016423374489e-1, (68, 3) = 1.186218001626672, (68, 4) = .7020458967717208, (68, 5) = .10300054210288584, (68, 6) = 0.4680065855233838e-1, (68, 7) = -0.4600169882505357e-1, (69, 1) = 0.9300918118628577e-1, (69, 2) = -0.4625996072380607e-1, (69, 3) = 1.2319228849172166, (69, 4) = .7086403636416022, (69, 5) = .10055664721832, (69, 6) = 0.4390613308737576e-1, (69, 7) = -0.4336325445354654e-1, (70, 1) = 0.9005963726896335e-1, (70, 2) = -0.44696345792792136e-1, (70, 3) = 1.2780981239439666, (70, 4) = .715085840088841, (70, 5) = 0.9819472668269251e-1, (70, 6) = 0.4117533490884553e-1, (70, 7) = -0.4085966769265928e-1, (71, 1) = 0.8720662809616934e-1, (71, 2) = -0.43195840295262154e-1, (71, 3) = 1.3247328641656022, (71, 4) = .7213868990604615, (71, 5) = 0.959108824037368e-1, (71, 6) = 0.3860016386916169e-1, (71, 7) = -0.3848516856421221e-1, (72, 1) = 0.8444665201022808e-1, (72, 2) = -0.417552894446388e-1, (72, 3) = 1.3718135605563158, (72, 4) = .7275475329006473, (72, 5) = 0.9370160979020452e-1, (72, 6) = 0.3617298491606246e-1, (72, 7) = -0.36234307802151734e-1, (73, 1) = 0.8177634831364401e-1, (73, 2) = -0.4037173402203197e-1, (73, 3) = 1.419327053967124, (73, 4) = .7335716098404168, (73, 5) = 0.9156361245610806e-1, (73, 6) = 0.33886428452975216e-1, (73, 7) = -0.3410177625172606e-1, (74, 1) = 0.7919244512824229e-1, (74, 2) = -0.3904237227030642e-1, (74, 3) = 1.4672614347298802, (74, 4) = .7394629834350771, (74, 5) = 0.8949375010756808e-1, (74, 6) = 0.3173335356974858e-1, (74, 7) = -0.3208237199793818e-1, (75, 1) = 0.766917452786738e-1, (75, 2) = -0.3776454319644946e-1, (75, 3) = 1.5156063797855175, (75, 4) = .7452255211846236, (75, 5) = 0.8748901780777456e-1, (75, 6) = 0.29706846489508134e-1, (75, 7) = -0.30171000378395537e-1, (76, 1) = 0.7427108666571063e-1, (76, 2) = -0.3653569801566861e-1, (76, 3) = 1.56435407644909, (76, 4) = .7508631948003112, (76, 5) = 0.8554650554414327e-1, (76, 6) = 0.2780019888614298e-1, (76, 7) = -0.2836265544217905e-1, (77, 1) = 0.7192722598819627e-1, (77, 2) = -0.35353334471828785e-1, (77, 3) = 1.6135019844319525, (77, 4) = .7563803576967835, (77, 5) = 0.8366329666302517e-1, (77, 6) = 0.26006831606669372e-1, (77, 7) = -0.26652349069398753e-1, (78, 1) = 0.6965652211426684e-1, (78, 2) = -0.34214833644028164e-1, (78, 3) = 1.6630606783505262, (78, 4) = .7617825194247292, (78, 5) = 0.818362046768005e-1, (78, 6) = 0.24320085139015783e-1, (78, 7) = -0.25034910053607307e-1, (79, 1) = 0.6745415227431711e-1, (79, 2) = -0.33117070324267625e-1, (79, 3) = 1.713074277652851, (79, 4) = .7670782989058776, (79, 5) = 0.8006113071928549e-1, (79, 6) = 0.22732717743348157e-1, (79, 7) = -0.23504494462123514e-1, (80, 1) = 0.653174926532069e-1, (80, 2) = -0.3205809437838403e-1, (80, 3) = 1.7635451239012367, (80, 4) = .7722713266005171, (80, 5) = 0.7833577907306599e-1, (80, 6) = 0.21239367364873103e-1, (80, 7) = -0.22056961396677732e-1, (81, 1) = 0.6324618571466564e-1, (81, 2) = -0.31037127966861342e-1, (81, 3) = 1.8144226145450653, (81, 4) = .7773598019042196, (81, 5) = 0.766597219644611e-1, (81, 6) = 0.19836363389372388e-1, (81, 7) = -0.20689736141079718e-1, (82, 1) = 0.6123998503307529e-1, (82, 2) = -0.3005347880465721e-1, (82, 3) = 1.8656485564000036, (82, 4) = .7823415773762875, (82, 5) = 0.7503266612459865e-1, (82, 6) = 0.18520102723197866e-1, (82, 7) = -0.1940025706534461e-1, (83, 1) = 0.5929737180297433e-1, (83, 2) = -0.2910586428826123e-1, (83, 3) = 1.9171937834263597, (83, 4) = .787217633956304, (83, 5) = 0.7345332619263635e-1, (83, 6) = 0.17286186479976352e-1, (83, 7) = -0.181851232611352e-1, (84, 1) = 0.5741655133464861e-1, (84, 2) = -0.28192907817684805e-1, (84, 3) = 1.9690365465074622, (84, 4) = .7919897115240078, (84, 5) = 0.7192022274910066e-1, (84, 6) = 0.16130164422757658e-1, (84, 7) = -0.17040811610716092e-1, (85, 1) = 0.555951180848402e-1, (85, 2) = -0.27312978136185835e-1, (85, 3) = 2.021173890970974, (85, 4) = .7966612137325211, (85, 5) = 0.7043140181072279e-1, (85, 6) = 0.15047373779686386e-1, (85, 7) = -0.15963513643715645e-1, (86, 1) = 0.53830960098087494e-1, (86, 2) = -0.2646462746652903e-1, (86, 3) = 2.0735978784815954, (86, 4) = .8012349398472144, (86, 5) = 0.6898516657212175e-1, (86, 6) = 0.1403351479043102e-1, (86, 7) = -0.14949706357927807e-1, (87, 1) = 0.521220691902015e-1, (87, 2) = -0.25646494959249203e-1, (87, 3) = 2.1263003114377943, (87, 4) = .8057135493898496, (87, 5) = 0.6757992094013747e-1, (87, 6) = 0.13084520237125303e-1, (87, 7) = -0.139960292467264e-1, (88, 1) = 0.50466495504684544e-1, (88, 2) = -0.2485728164590901e-1, (88, 3) = 2.1792739683535407, (88, 4) = .810099673559902, (88, 5) = 0.662141300173103e-1, (88, 6) = 0.12196523093985182e-1, (88, 7) = -0.13099256789703594e-1, (89, 1) = 0.4886235775707648e-1, (89, 2) = -0.24095752574361837e-1, (89, 3) = 2.2325122557439467, (89, 4) = .81439588423751, (89, 5) = 0.6488632633494537e-1, (89, 6) = 0.11365857148876791e-1, (89, 7) = -0.12256303574946446e-1, (90, 1) = 0.47307845059216785e-1, (90, 2) = -0.23360735056253266e-1, (90, 3) = 2.2860090697577875, (90, 4) = .8186046839450801, (90, 5) = 0.6359510950556727e-1, (90, 6) = 0.1058905185381353e-1, (90, 7) = -0.11464223580929493e-1, (91, 1) = 0.4580121666136627e-1, (91, 2) = -0.2265111611151706e-1, (91, 3) = 2.3397587042276045, (91, 4) = .8227285009951595, (91, 5) = 0.6233914441576576e-1, (91, 6) = 0.9862825614015936e-2, (91, 7) = -0.107202077302794e-1, (92, 1) = 0.4434080733778398e-1, (92, 2) = -0.2196584274078579e-1, (92, 3) = 2.393755530962878, (92, 4) = .8267696687449231, (92, 5) = 0.61117164378142505e-1, (92, 6) = 0.9184081388015965e-2, (92, 7) = -0.10021583648716392e-1, (93, 1) = 0.42925145853717636e-1, (93, 2) = -0.2130397508619256e-1, (93, 3) = 2.4479892081920704, (93, 4) = .8307300855152587, (93, 5) = 0.5992806977704981e-1, (93, 6) = 0.8549951249578833e-2, (93, 7) = -0.9365866049369924e-2, (94, 1) = 0.4155262130359708e-1, (94, 2) = -0.2066452832678662e-1, (94, 3) = 2.502457135574029, (94, 4) = .8346121380272766, (94, 5) = 0.5877064728357242e-1, (94, 6) = 0.7957637886648394e-2, (94, 7) = -0.8750596954165865e-2, (95, 1) = 0.40221673082686e-1, (95, 2) = -0.20046560655054453e-1, (95, 3) = 2.5571577851500775, (95, 4) = .8384181810565843, (95, 5) = 0.57643726773201474e-1, (95, 6) = 0.7404501824848323e-2, (95, 7) = -0.8173438423547898e-2, (96, 1) = 0.3893093363217918e-1, (96, 2) = -0.19449237677365155e-1, (96, 3) = 2.6120844990926924, (96, 4) = .8421501190891273, (96, 5) = 0.5654630194311316e-1, (96, 6) = 0.6888111282844666e-2, (96, 7) = -0.7632228495991538e-2, (97, 1) = 0.3767913294059378e-1, (97, 2) = -0.1887178595166975e-1, (97, 3) = 2.667228654188966, (97, 4) = .8458096605035292, (97, 5) = 0.5547745035158284e-1, (97, 6) = 0.64061892384546576e-2, (97, 7) = -0.7124930043201029e-2, (98, 1) = 0.36464855030914144e-1, (98, 2) = -0.18313379572760476e-1, (98, 3) = 2.7225904821560354, (98, 4) = .8493990293787306, (98, 5) = 0.5443612442522976e-1, (98, 6) = 0.59565158905427445e-2, (98, 7) = -0.6649530877556062e-2, (99, 1) = 0.35287129676639724e-1, (99, 2) = -0.17773411236805755e-1, (99, 3) = 2.7781521098313138, (99, 4) = .8529192148774755, (99, 5) = 0.5342165809334678e-1, (99, 6) = 0.5537143446706783e-2, (99, 7) = -0.6204273518435405e-2, (100, 1) = 0.3414448775408405e-1, (100, 2) = -0.17251057251932208e-1, (100, 3) = 2.8339211154523043, (100, 4) = .8563727717832911, (100, 5) = 0.52432954840383246e-1, (100, 6) = 0.5146045985976234e-2, (100, 7) = -0.5787287135105179e-2, (101, 1) = 0.3303572907131051e-1, (101, 2) = -0.16745629644977163e-1, (101, 3) = 2.8898955064608667, (101, 4) = .8597615482839938, (101, 5) = 0.51469145618834776e-1, (101, 6) = 0.4781398495554278e-2, (101, 7) = -0.5396885129046895e-2, (102, 1) = 0.3195981073286776e-1, (102, 2) = -0.16256523054212938e-1, (102, 3) = 2.94606770601317, (102, 4) = .8630869913915394, (102, 5) = 0.5052949522528311e-1, (102, 6) = 0.4441521516255529e-2, (102, 7) = -0.5031509922179083e-2, (103, 1) = 0.30915598137938833e-1, (103, 2) = -0.15783100427777905e-1, (103, 3) = 3.002437108550583, (103, 4) = .8663509059017817, (103, 5) = 0.49613185415921565e-1, (103, 6) = 0.4124794717803363e-2, (103, 7) = -0.4689642631979475e-2, (104, 1) = 0.29901970845921482e-1, (104, 2) = -0.15324740843082107e-1, (104, 3) = 3.0590051626175123, (104, 4) = .8695551374490673, (104, 5) = 0.487194055183293e-1, (104, 6) = 0.3829690331967739e-2, (104, 7) = -0.4369840628700971e-2, (105, 1) = 0.2891817845755974e-1, (105, 2) = -0.14880999220591645e-1, (105, 3) = 3.1157546708604014, (105, 4) = .8727004295170955, (105, 5) = 0.47847667825719004e-1, (105, 6) = 0.3554866924305937e-2, (105, 7) = -0.40708417306626115e-2, (106, 1) = 0.27963163270254478e-1, (106, 2) = -0.1445129941189121e-1, (106, 3) = 3.1726875343071246, (106, 4) = .8757885621654562, (106, 5) = 0.4699721013074634e-1, (106, 6) = 0.3298968129327067e-2, (106, 7) = -0.3791347889312316e-2, (107, 1) = 0.27036054474744546e-1, (107, 2) = -0.1403515704995601e-1, (107, 3) = 3.2297970324116263, (107, 4) = .8788207857953696, (107, 5) = 0.46167431512408715e-1, (107, 6) = 0.30607620642720077e-2, (107, 7) = -0.35301779967586255e-2, (108, 1) = 0.26135990182439874e-1, (108, 2) = -0.136320985542424e-1, (108, 3) = 3.287077717628753, (108, 4) = .8817983817939085, (108, 5) = 0.45357735223466554e-1, (108, 6) = 0.2839085862681523e-2, (108, 7) = -0.3286209314341815e-2, (109, 1) = 0.25262050106508706e-1, (109, 2) = -0.13241630697811596e-1, (109, 3) = 3.3445300453631157, (109, 4) = .8847228903452787, (109, 5) = 0.44567467123514615e-1, (109, 6) = 0.26328275024835607e-2, (109, 7) = -0.30583587722556906e-2, (110, 1) = 0.24413349314602834e-1, (110, 2) = -0.12863282318672776e-1, (110, 3) = 3.4021547804570993, (110, 4) = .887595805636143, (110, 5) = 0.437959990098312e-1, (110, 6) = 0.24409471805914122e-2, (110, 7) = -0.2845607745492162e-2, (111, 1) = 0.23589143691971477e-1, (111, 2) = -0.12496650693252929e-1, (111, 3) = 3.459945373101773, (111, 4) = .8904182090864114, (111, 5) = 0.430428253565388e-1, (111, 6) = 0.22624955246276683e-2, (111, 7) = -0.2647023818928518e-2, (112, 1) = 0.22788544500633067e-1, (112, 2) = -0.12141274016994663e-1, (112, 3) = 3.517907612668944, (112, 4) = .8931917390779196, (112, 5) = 0.4230730313112941e-1, (112, 6) = 0.20965469627233866e-2, (112, 7) = -0.2461688048783101e-2, (113, 1) = 0.2201092154264269e-1, (113, 2) = -0.1179681022215186e-1, (113, 3) = 3.576030939938064, (113, 4) = .8959172018453189, (113, 5) = 0.4158902099552602e-1, (113, 6) = 0.19422823318737763e-2, (113, 7) = -0.228878818143032e-2, (114, 1) = 0.2125560521689302e-1, (114, 2) = -0.11462903989906546e-1, (114, 3) = 3.6343089625327116, (114, 4) = .8985955842843032, (114, 5) = 0.4088752771952661e-1, (114, 6) = 0.17989202787508094e-2, (114, 7) = -0.21275434552632607e-2, (115, 1) = 0.20521859851746347e-1, (115, 2) = -0.11139174973080628e-1, (115, 3) = 3.6927422713816003, (115, 4) = .901228160676181, (115, 5) = 0.40202305706456845e-1, (115, 6) = 0.16657125158263998e-2, (115, 7) = -0.1977199961864016e-2, (116, 1) = 0.19809007610044085e-1, (116, 2) = -0.10825272392179685e-1, (116, 3) = 3.7513291524005035, (116, 4) = .9038160568685645, (116, 5) = 0.3953288543830951e-1, (116, 6) = 0.15419656732920172e-2, (116, 7) = -0.18370560679884847e-2, (117, 1) = 0.19116459219134217e-1, (117, 2) = -0.10520888096597018e-1, (117, 3) = 3.8100624347040353, (117, 4) = .9063601272182191, (117, 5) = 0.38878875566455126e-1, (117, 6) = 0.14270421589284107e-2, (117, 7) = -0.1706464442997396e-2, (118, 1) = 0.1844353362888209e-1, (118, 2) = -0.10225676992181737e-1, (118, 3) = 3.868944547638398, (118, 4) = .9088616122353441, (118, 5) = 0.38239793038485445e-1, (118, 6) = 0.13203272362793043e-2, (118, 7) = -0.15847955131765516e-2, (119, 1) = 0.17789709594853653e-1, (119, 2) = -0.9939367324640893e-2, (119, 3) = 3.9279659277100545, (119, 4) = .9113212093702816, (119, 5) = 0.376153011508749e-1, (119, 6) = 0.12212679341659727e-2, (119, 7) = -0.14714824659729727e-2, (120, 1) = 0.1715434821401846e-1, (120, 2) = -0.966163872941871e-2, (120, 3) = 3.9871292234576647, (120, 4) = .9137401023351425, (120, 5) = 0.3700494616750579e-1, (120, 6) = 0.11293267277753402e-2, (120, 7) = -0.1365969153112434e-2, (121, 1) = 0.1653686685477603e-1, (121, 2) = -0.9392198385188308e-2, (121, 3) = 4.046434233913541, (121, 4) = .9161193161473176, (121, 5) = 0.3640832219382344e-1, (121, 6) = 0.10440074614222617e-2, (121, 7) = -0.12677402606956771e-2, (122, 1) = 0.1593672984453655e-1, (122, 2) = -0.9130776619449235e-2, (122, 3) = 4.105878254180306, (122, 4) = .918459743389031, (122, 5) = 0.3582506324812699e-1, (122, 6) = 0.9648508034309002e-3, (122, 7) = -0.11763168046591919e-2, (123, 1) = 0.15353456370083519e-1, (123, 2) = -0.8877130053322135e-2, (123, 3) = 4.165454756028964, (123, 4) = .9207621042586911, (123, 5) = 0.3525485195379574e-1, (123, 6) = 0.8914323837445772e-3, (123, 7) = -0.10912546315821271e-2, (124, 1) = 0.14786605499051348e-1, (124, 2) = -0.8631034803741748e-2, (124, 3) = 4.2251543164998395, (124, 4) = .9230269958510547, (124, 5) = 0.3469740599658427e-1, (124, 6) = 0.8233581730263291e-3, (124, 7) = -0.10121396610135644e-2, (125, 1) = 0.1423560509441761e-1, (125, 2) = -0.8392212157745564e-2, (125, 3) = 4.28498299546985, (125, 4) = .925255580609136, (125, 5) = 0.34152309214020814e-1, (125, 6) = 0.760243103053324e-3, (125, 7) = -0.938563455856944e-3, (126, 1) = 0.1369997590376947e-1, (126, 2) = -0.8160425838712085e-2, (126, 3) = 4.344939248308072, (126, 4) = .9274486979359966, (126, 5) = 0.33619231067228195e-1, (126, 6) = 0.7017373197944904e-3, (126, 7) = -0.8701541170718898e-3, (127, 1) = 0.13179260839270365e-1, (127, 2) = -0.7935451067583034e-2, (127, 3) = 4.405020871401772, (127, 4) = .9296071384367649, (127, 5) = 0.3309785803833924e-1, (127, 6) = 0.6475153511061355e-3, (127, 7) = -0.8065641728294864e-3, (128, 1) = 0.12673016774717254e-1, (128, 2) = -0.7717070876205519e-2, (128, 3) = 4.465225806438151, (128, 4) = .9317316751472142, (128, 5) = 0.3258788569860931e-1, (128, 6) = 0.5972736864292357e-3, (128, 7) = -0.7474681438722301e-3, (129, 1) = 0.12180814856644654e-1, (129, 2) = -0.7505076125168032e-2, (129, 3) = 4.525552047703438, (129, 4) = .9338230607702328, (129, 5) = 0.32089019152014744e-1, (129, 6) = 0.5507294602302875e-3, (129, 7) = -0.6925613591197516e-3, (130, 1) = 0.11702239989818099e-1, (130, 2) = -0.7299265171632634e-2, (130, 3) = 4.585997640127296, (130, 4) = .9358820282972874, (130, 5) = 0.31600972661932875e-1, (130, 6) = 0.5076191202028123e-3, (130, 7) = -0.6415587231086209e-3, (131, 1) = 0.11236890371623526e-1, (131, 2) = -0.7099443565783825e-2, (131, 3) = 4.64656067373754, (131, 4) = .9379092914859827, (131, 5) = 0.31123469324561948e-1, (131, 6) = 0.4676971775487788e-3, (131, 7) = -0.5941935510054997e-3, (132, 1) = 0.107843770107237e-1, (132, 2) = -0.6905423747524692e-2, (132, 3) = 4.707239282407291, (132, 4) = .9399055454663998, (132, 5) = 0.30656240723360338e-1, (132, 6) = 0.43073502924570906e-3, (132, 7) = -0.5502164615731298e-3, (133, 1) = 0.10344323263119098e-1, (133, 2) = -0.6717024757245861e-2, (133, 3) = 4.76803164308303, (133, 4) = .9418714673375305, (133, 5) = 0.30199026597440937e-1, (133, 6) = 0.39651985188484193e-3, (133, 7) = -0.5093943297131232e-3, (134, 1) = 0.991636438458679e-2, (134, 2) = -0.6534071959760502e-2, (134, 3) = 4.828935975581054, (134, 4) = .9438077167561614, (134, 5) = 0.29751574522758853e-1, (134, 6) = 0.36485356319130105e-3, (134, 7) = -0.4715092959902402e-3, (135, 1) = 0.9500147114831702e-2, (135, 2) = -0.6356396787514922e-2, (135, 3) = 4.889950540624614, (135, 4) = .9457149364454033, (135, 5) = 0.2931363962219971e-1, (135, 6) = 0.3355518486277446e-3, (135, 7) = -0.43635783194643206e-3, (136, 1) = 0.9095329261754777e-2, (136, 2) = -0.61838364891480474e-2, (136, 3) = 4.9510736404235836, (136, 4) = .947593752761815, (136, 5) = 0.28884984271701088e-1, (136, 6) = 0.30844324714459726e-3, (136, 7) = -0.4037498558821582e-3, (137, 1) = 0.870157925505246e-2, (137, 2) = -0.601623387000051e-2, (137, 3) = 5.012303627058391, (137, 4) = .9494447764708851, (137, 5) = 0.28465377768764184e-1, (137, 6) = 0.28336829120570266e-3, (137, 7) = -0.3735078948773748e-3, (138, 1) = 0.8318575781930621e-2, (138, 2) = -0.5853437072325423e-2, (138, 3) = 5.0736389017910835, (138, 4) = .9512686032079182, (138, 5) = 0.280545960825053e-1, (138, 6) = 0.2601787055173408e-3, (138, 7) = -0.34546629992478233e-3, (139, 1) = 0.7946007389342705e-2, (139, 2) = -0.5695299345566016e-2, (139, 3) = 5.135077922433506, (139, 4) = .9530658141549968, (139, 5) = 0.276524215633124e-1, (139, 6) = 0.2387366533987117e-3, (139, 7) = -0.31947050232195343e-3, (140, 1) = 0.7583572174809846e-2, (140, 2) = -0.554167885830191e-2, (140, 3) = 5.196619199286618, (140, 4) = .9548369763523616, (140, 5) = 0.27258642742879598e-1, (140, 6) = 0.21891403538176765e-3, (140, 7) = -0.2953763182049148e-3, (141, 1) = 0.7230977493355699e-2, (141, 2) = -0.5392438520624993e-2, (141, 3) = 5.258261289858421, (141, 4) = .9565826429700981, (141, 5) = 0.2687305414886625e-1, (141, 6) = 0.20059183213151456e-3, (141, 7) = -0.27304929294300013e-3, (142, 1) = 0.6887939715010858e-2, (142, 2) = -0.52474458312329955e-2, (142, 3) = 5.320002785774653, (142, 4) = .958303353361792, (142, 5) = 0.26495456172530026e-1, (142, 6) = 0.1836594907879038e-3, (142, 7) = -0.252364085464996e-3, (143, 1) = 0.6554183880220243e-2, (143, 2) = -0.5106572684456149e-2, (143, 3) = 5.381842318957145, (143, 4) = .9599996336604034, (143, 5) = 0.26125654821718747e-1, (143, 6) = 0.1680143447380809e-3, (143, 7) = -0.23320388139026565e-3, (144, 1) = 0.6229443363023987e-2, (144, 2) = -0.496969518374495e-2, (144, 3) = 5.44377856989792, (144, 4) = .961671997397204, (144, 5) = 0.25763461476510423e-1, (144, 6) = 0.15356107126225863e-3, (144, 7) = -0.21545984131697018e-3, (145, 1) = 0.59134596103730345e-2, (145, 2) = -0.4836693490181476e-2, (145, 3) = 5.505810264587283, (145, 4) = .963320945785362, (145, 5) = 0.2540869272435785e-1, (145, 6) = 0.14021118760005577e-3, (145, 7) = -0.1990305859062199e-3, (146, 1) = 0.5605981879431755e-2, (146, 2) = -0.4707451672732042e-2, (146, 3) = 5.56793617351249, (146, 4) = .9649469680512343, (146, 5) = 0.2506117018958842e-1, (146, 6) = 0.12788257922406355e-3, (146, 7) = -0.1838217110432586e-3, (147, 1) = 0.53067669906432515e-2, (147, 2) = -0.4581857567572001e-2, (147, 3) = 5.630155109349184, (147, 4) = .9665505417213073, (147, 5) = 0.24720720377034513e-1, (147, 6) = 0.11649905921041561e-3, (147, 7) = -0.16974533250776132e-3, (148, 1) = 0.5015579091342034e-2, (148, 2) = -0.4459802644110297e-2, (148, 3) = 5.692465924121744, (148, 4) = .9681321328883635, (148, 5) = 0.2438717452423778e-1, (148, 6) = 0.10598995658033662e-3, (148, 7) = -0.1567196582818594e-3, (149, 1) = 0.4732189454943598e-2, (149, 2) = -0.4341181888026249e-2, (149, 3) = 5.754867500071219, (149, 4) = .9696921963155168, (149, 5) = 0.24060368491380577e-1, (149, 6) = 0.9628973268058946e-4, (149, 7) = -0.1446685880441674e-3, (150, 1) = 0.445637619497772e-2, (150, 2) = -0.4225893650637279e-2, (150, 3) = 5.81735876065353, (150, 4) = .9712311760403447, (150, 5) = 0.23740142549888144e-1, (150, 6) = 0.8733761981190855e-4, (150, 7) = -0.13352133330447443e-3, (151, 1) = 0.4187924050803135e-2, (151, 2) = -0.4113839530268126e-2, (151, 3) = 5.879938668714196, (151, 4) = .9727495056336701, (151, 5) = 0.2342634124862383e-1, (151, 6) = 0.7907728636528507e-4, (151, 7) = -0.1232120640465816e-3, (152, 1) = 0.3926624184068294e-2, (152, 2) = -0.4004924259857473e-2, (152, 3) = 5.942606223760687, (152, 4) = .9742476084300418, (152, 5) = 0.23118813289296117e-1, (152, 6) = 0.714565244479042e-4, (152, 7) = -0.11367957746503508e-3, (153, 1) = 0.36722739675628595e-2, (153, 2) = -0.3899055593040416e-2, (153, 3) = 6.005360462681993, (153, 4) = .9757258978340067, (153, 5) = 0.22817411389538758e-1, (153, 6) = 0.6442695807953464e-4, (153, 7) = -0.10486698691294358e-3, (154, 1) = 0.3424676781951572e-2, (154, 2) = -0.37961441950964078e-2, (154, 3) = 6.068200460574128, (154, 4) = .9771847776170947, (154, 5) = 0.22521992151470806e-1, (154, 6) = 0.5794377119218636e-4, (154, 7) = -0.967214305737495e-4, (155, 1) = 0.318364182773534e-2, (155, 2) = -0.36961035417064788e-2, (155, 3) = 6.131125329639266, (155, 4) = .9786246421596811, (155, 5) = 0.22232415944730063e-1, (155, 6) = 0.51965454344558085e-4, (155, 7) = -0.8919379893818854e-4, (156, 1) = 0.29489839668066916e-2, (156, 2) = -0.3598849831342047e-2, (156, 3) = 6.194134211754286, (156, 4) = .9800458765440385, (156, 5) = 0.21948546822007864e-1, (156, 6) = 0.4645356922033489e-4, (156, 7) = -0.8223848033365505e-4, (157, 1) = 0.2720523479792377e-2, (157, 2) = -0.3504301864036683e-2, (157, 3) = 6.257226295253834, (157, 4) = .9814488571872236, (157, 5) = 0.21670252329442523e-1, (157, 6) = 0.41372527148834515e-4, (157, 7) = -0.7581312014106669e-4, (158, 1) = 0.24994622622722487e-2, (158, 2) = -0.34129493089673224e-2, (158, 3) = 6.320004429362408, (158, 4) = .9828253219279554, (158, 5) = 0.21399097573883887e-1, (158, 6) = 0.3671757453856597e-4, (158, 7) = -0.6991415932376671e-4, (159, 1) = 0.22914438569439223e-2, (159, 2) = -0.33271103446682673e-2, (159, 3) = 6.380714359223117, (159, 4) = .9841383236747088, (159, 5) = 0.21142196023966428e-1, (159, 6) = 0.3256657044189625e-4, (159, 7) = -0.6464305200947549e-4, (160, 1) = 0.2096764977130119e-2, (160, 2) = -0.3246888216871749e-2, (160, 3) = 6.439041851800582, (160, 4) = .985383387995297, (160, 5) = 0.209001807532975e-1, (160, 6) = 0.28878429537552865e-4, (160, 7) = -0.5995056210962825e-4, (161, 1) = 0.19142542422758073e-2, (161, 2) = -0.31717820489926096e-2, (161, 3) = 6.4951157087198235, (161, 4) = .9865655002073301, (161, 5) = 0.2067184982425839e-1, (161, 6) = 0.25589568107955412e-4, (161, 7) = -0.5575831327685825e-4, (162, 1) = 0.17427142743147398e-2, (162, 2) = -0.3101283157089607e-2, (162, 3) = 6.5491051323901015, (162, 4) = .9876901928502866, (162, 5) = 0.20455929268952944e-1, (162, 6) = 0.2264398415019256e-4, (162, 7) = -0.51996993884276855e-4, (163, 1) = 0.15811015363619964e-2, (163, 2) = -0.3034948752530318e-2, (163, 3) = 6.601162057284735, (163, 4) = .9887623477334817, (163, 5) = 0.2025130191646246e-1, (163, 6) = 0.19995149287787638e-4, (163, 7) = -0.4860889607355352e-4, (164, 1) = 0.14285079524789714e-2, (164, 2) = -0.29723938930752585e-2, (164, 3) = 6.651421488871508, (164, 4) = .9897862525363109, (164, 5) = 0.20056990944072855e-1, (164, 6) = 0.17604241683083722e-4, (164, 7) = -0.45545777125153235e-4, (165, 1) = 0.12841380601209408e-2, (165, 2) = -0.29132816972746683e-2, (165, 3) = 6.7000042676403915, (165, 4) = .9907656989607102, (165, 5) = 0.19872136498653162e-1, (165, 6) = 0.15438635568661184e-4, (165, 7) = -0.427670184725108e-4, (166, 1) = 0.11472903267585523e-2, (166, 2) = -0.28573153562169145e-2, (166, 3) = 6.747019454806988, (166, 4) = .9917040645449797, (166, 5) = 0.1969597641041645e-1, (166, 6) = 0.13470724780140474e-4, (166, 7) = -0.4023818885023187e-4, (167, 1) = 0.10173434606982944e-2, (167, 2) = -0.28042322593080844e-2, (167, 3) = 6.792565807285179, (167, 4) = .9926043695551816, (167, 5) = 0.19527832369525187e-1, (167, 6) = 0.1167702161571815e-4, (167, 7) = -0.37929943037897354e-4, (168, 1) = 0.893745064050563e-3, (168, 2) = -0.2753799130211681e-2, (168, 3) = 6.836733031901551, (168, 4) = .9934693246139872, (168, 5) = 0.19367098410542075e-1, (168, 6) = 0.10037439121625286e-4, (168, 7) = -0.358171430611698e-4, (169, 1) = 0.776002178705785e-3, (169, 2) = -0.27058079781715864e-2, (169, 3) = 6.879602854428295, (169, 4) = .9943013707458818, (169, 5) = 0.19213231273768283e-1, (169, 6) = 0.8534715422939233e-5, (169, 7) = -0.3387815201610202e-4, (170, 1) = 0.6636729006810244e-3, (170, 2) = -0.26600725198970194e-2, (170, 3) = 6.921250108704328, (170, 4) = .9951027165532491, (170, 5) = 0.19065741682178818e-1, (170, 6) = 0.7153943222488218e-5, (170, 7) = -0.3209425552245678e-4, (171, 1) = 0.5563591652951864e-3, (171, 2) = -0.26164251077657906e-2, (171, 3) = 6.961743745577525, (171, 4) = .995875371044721, (171, 5) = 0.18924186748013903e-1, (171, 6) = 0.5882186619569889e-5, (171, 7) = -0.30449189658006313e-4, (172, 1) = 0.453703968041812e-3, (172, 2) = -0.25747154845888296e-2, (172, 3) = 7.001146434242757, (172, 4) = .9966211475552713, (172, 5) = 0.18788167920810266e-1, (172, 6) = 0.4708206273295691e-5, (172, 7) = -0.2892880415481513e-4, (173, 1) = 0.3553847160599982e-3, (173, 2) = -0.2534807981217631e-2, (173, 3) = 7.039515816735961, (173, 4) = .9973416977524165, (173, 5) = 0.18657323601527533e-1, (173, 6) = 0.3622181416110171e-5, (173, 7) = -0.2752071779279574e-4, (174, 1) = 0.2611089567921044e-3, (174, 2) = -0.24965796986488663e-2, (174, 3) = 7.076905087185851, (174, 4) = .9980385309827882, (174, 5) = 0.18531324646632825e-1, (174, 6) = 0.26154980864484428e-5, (174, 7) = -0.26214056372779796e-4, (175, 1) = 0.17061087792577472e-3, (175, 2) = -0.24599190164938103e-2, (175, 3) = 7.11336343575653, (175, 4) = .9987130298125714, (175, 5) = 0.18409870712982543e-1, (175, 6) = 0.16805750903788004e-5, (175, 7) = -0.24999237164889492e-4, (176, 1) = 0.8364828755175267e-4, (176, 2) = -0.2424724307108064e-2, (176, 3) = 7.14893643929275, (176, 4) = .999366463543249, (176, 5) = 0.18292687091506932e-1, (176, 6) = 0.8107185795194192e-6, (176, 7) = -0.2386778854087962e-4, (177, 1) = .0, (177, 2) = -0.23909028232950774e-2, (177, 3) = 7.183666405720363, (177, 4) = 1.0, (177, 5) = 0.18179521955803843e-1, (177, 6) = .0, (177, 7) = -0.22812198384621496e-4}, datatype = float[8], order = C_order); YP := Matrix(177, 7, {(1, 1) = -3.010283491881195, (1, 2) = 31.045172730586398, (1, 3) = -.5, (1, 4) = 3.2549705904755624, (1, 5) = -32.059040670468, (1, 6) = -2.2961168243517345, (1, 7) = 21.039081978077707, (2, 1) = -2.2188140910266996, (2, 2) = 17.121944106176148, (2, 3) = -.40370802709261644, (2, 4) = 2.4361750640983972, (2, 5) = -17.75186646531459, (2, 6) = -1.7587335888496072, (2, 7) = 11.658920037134642, (3, 1) = -1.7515672684205508, (3, 2) = 10.819003914424172, (3, 3) = -.32904124123644557, (3, 4) = 1.950857483460543, (3, 5) = -11.261093047454036, (3, 6) = -1.4395391386527499, (3, 7) = 7.421516216604939, (4, 1) = -1.443419767334426, (4, 2) = 7.44431424050068, (4, 3) = -.2679158648423435, (4, 4) = 1.6295350420268857, (4, 5) = -7.77851680978251, (4, 6) = -1.2272759842281986, (4, 7) = 5.153559241304035, (5, 1) = -1.2250712603116078, (5, 2) = 5.430700205869807, (5, 3) = -.21608666124952267, (5, 4) = 1.4009694099334766, (5, 5) = -5.6962541050511355, (5, 6) = -1.0753753559802985, (5, 7) = 3.7994361725363084, (6, 1) = -1.062293032083934, (6, 2) = 4.133984345299803, (6, 3) = -.1710281829224358, (6, 4) = 1.229921365777778, (6, 5) = -4.352627257354598, (6, 6) = -.9608633361558743, (6, 7) = 2.9263023948487845, (7, 1) = -.9363094708603249, (7, 2) = 3.250582184729448, (7, 3) = -.1311332340751042, (7, 4) = 1.097033665972045, (7, 5) = -3.4354543508722934, (7, 6) = -.871143819024352, (7, 7) = 2.330460789528503, (8, 1) = -.8359113795739894, (8, 2) = 2.6218668296288925, (8, 3) = -0.9529846009910026e-1, (8, 4) = .9907326565311447, (8, 5) = -2.781433082063489, (8, 6) = -.798694055572774, (8, 7) = 1.9055546562540169, (9, 1) = -.7540307621161558, (9, 2) = 2.158655707900222, (9, 3) = -0.6274515848045818e-1, (9, 4) = .903710629210698, (9, 5) = -2.2986527950440383, (9, 6) = -.7387684103204613, (9, 7) = 1.5918036113784224, (10, 1) = -.6859732537372588, (10, 2) = 1.8075854056497922, (10, 3) = -0.3289635416421537e-1, (10, 4) = .8311070612968686, (10, 5) = -1.9320578998022346, (10, 6) = -.6882118043576506, (10, 7) = 1.3534327958638872, (11, 1) = -.6285004073713887, (11, 2) = 1.5351562401542218, (11, 3) = -0.5312156394166294e-2, (11, 4) = .7695640956343914, (11, 5) = -1.6470492909842538, (11, 6) = -.64484492277093, (11, 7) = 1.1679748738766818, (12, 1) = -.5793166470382869, (12, 2) = 1.3195281931221805, (12, 3) = 0.20345547838662725e-1, (12, 4) = .7166984974611179, (12, 5) = -1.4210468548040192, (12, 6) = -.6071216319336978, (12, 7) = 1.0207737736678706, (13, 1) = -.5367311431212949, (13, 2) = 1.145892530696533, (13, 3) = 0.44352419520146014e-1, (13, 4) = .6707519723642751, (13, 5) = -1.2387232687233358, (13, 6) = -.5739002262529861, (13, 7) = .9018835448323496, (14, 1) = -.49948942467589225, (14, 2) = 1.003998050145226, (14, 3) = 0.6692621623257643e-1, (14, 4) = .6304185015498383, (14, 5) = -1.0894578589784991, (14, 6) = -.5443331052943612, (14, 7) = .8044134092658326, (15, 1) = -.46663169018318124, (15, 2) = .8865281517652679, (15, 3) = 0.882475828156531e-1, (15, 4) = .5946973362482103, (15, 5) = -.9656623891005631, (15, 6) = -.5177703096857598, (15, 7) = .7234401398522938, (16, 1) = -.43741237094615587, (16, 2) = .7881537194650875, (16, 3) = .10846767050378146, (16, 4) = .5628099475659347, (16, 5) = -.8618042115535092, (16, 6) = -.49370579887626914, (16, 7) = .6553739127932571, (17, 1) = -.4112440008745413, (17, 2) = .7049210492055764, (17, 3) = .12771421698659408, (17, 4) = .5341419874792643, (17, 5) = -.7737744555933753, (17, 6) = -.4717398711807749, (17, 7) = .5975483247236602, (18, 1) = -.3876575548580043, (18, 2) = .6338476180086999, (18, 3) = .14609630418834832, (18, 4) = .5082022267347898, (18, 5) = -.6984704299667118, (18, 6) = -.45155255379360504, (18, 7) = .547949494066217, (19, 1) = -.3662736309623723, (19, 2) = .5726483733807656, (19, 3) = .1637083931514831, (19, 4) = .48459265857890527, (19, 5) = -.6335126174412591, (19, 6) = -.4328841497234415, (19, 7) = .5050324919245571, (20, 1) = -.34678216572683396, (20, 2) = .5195495059189714, (20, 3) = .18063295456195466, (20, 4) = .4629874722134205, (20, 5) = -.5770520321259064, (20, 6) = -.41552163184362956, (20, 7) = .4675964144816947, (21, 1) = -.32892767036417664, (21, 2) = .4731582794401461, (21, 3) = .1969422817914571, (21, 4) = .4431177566148181, (21, 5) = -.5276354888454184, (21, 6) = -.39928880193030747, (21, 7) = .43469702859278164, (22, 1) = -.31249869978237255, (22, 2) = .4323712564531229, (22, 3) = .21269931606763323, (22, 4) = .42476063372747375, (22, 5) = -.48411059119320127, (22, 6) = -.38403945114777954, (22, 7) = .4055852112696801, (23, 1) = -.29731416431452806, (23, 2) = .39629415064634355, (23, 3) = .2279639568142309, (23, 4) = .40772462385587316, (23, 5) = -.4455422550983356, (23, 6) = -.36964681487130585, (23, 7) = .3796525244600942, (24, 1) = -.28322501684036205, (24, 2) = .36421250433414676, (24, 3) = .2427861347723762, (24, 4) = .3918520439519158, (24, 5) = -.4111829023278856, (24, 6) = -.3560068471972505, (24, 7) = .3564123311986818, (25, 1) = -.2701033420412026, (25, 2) = .33554014077654515, (25, 3) = .2572121554674377, (25, 4) = .37700721405190146, (25, 5) = -.3804185329805538, (25, 6) = -.3430294380682383, (25, 7) = .3354645137472628, (26, 1) = -.2578389396986893, (26, 2) = .3097931961546034, (26, 3) = .2712850292677997, (26, 4) = .36307292252881584, (26, 5) = -.35274178509526466, (26, 6) = -.3306361874020015, (26, 7) = .3164779932333802, (27, 1) = -.24633953213188772, (27, 2) = .2865759039396276, (27, 3) = .28504110605404537, (27, 4) = .3499509645976493, (27, 5) = -.3277374103346404, (27, 6) = -.3187617238807888, (27, 7) = .29918159835956604, (28, 1) = -.23552476168366415, (28, 2) = .2655566661015625, (28, 3) = .29851430859060935, (28, 4) = .33755558003287145, (28, 5) = -.30505713524774447, (28, 6) = -.3073486098948925, (28, 7) = .2833475062173651, (29, 1) = -.2253255020912264, (29, 2) = .2464582280638545, (29, 3) = .3117349359672634, (29, 4) = .32581286288190825, (29, 5) = -.28440953074312353, (29, 6) = -.29634737207014694, (29, 7) = .2687847958648897, (30, 1) = -.2156829331351726, (30, 2) = .2290488984956625, (30, 3) = .324728843808106, (30, 4) = .31465989354105117, (30, 5) = -.26555092451071954, (30, 6) = -.28571629053101066, (30, 7) = .25533368718160365, (31, 1) = -.2065438873825929, (31, 2) = .2131287038144533, (31, 3) = .33752207959661373, (31, 4) = .304039516592149, (31, 5) = -.2482707267810866, (31, 6) = -.2754169157752743, (31, 7) = .24285563622268744, (32, 1) = -.19786380124231495, (32, 2) = .19853052093936435, (32, 3) = .35013561530865284, (32, 4) = .29390388011792296, (32, 5) = -.2323929065309705, (32, 6) = -.26541783827718834, (32, 7) = .2312348266717411, (33, 1) = -.18960486731359524, (33, 2) = .18511301699907345, (33, 3) = .36258639522561675, (33, 4) = .2842124423413447, (33, 5) = -.21776856469029016, (33, 6) = -.2556932617203244, (33, 7) = .2203733545258757, (34, 1) = -.18173393918032565, (34, 2) = .17275430735899094, (34, 3) = .37488926686015167, (34, 4) = .2749296363719141, (34, 5) = -.20426921612279228, (34, 6) = -.2462210635577509, (34, 7) = .21018674197498782, (35, 1) = -.17422262687378032, (35, 2) = .16134989076353431, (35, 3) = .3870559122413701, (35, 4) = .26602507525248614, (35, 5) = -.1917846859275767, (35, 6) = -.2369833048528358, (35, 7) = .20060275953911733, (36, 1) = -.16704665751311357, (36, 2) = .15080974319113763, (36, 3) = .3990949249001731, (36, 4) = .2574728923416692, (36, 5) = -.18022006585663738, (36, 6) = -.2279658642184645, (36, 7) = .1915595317437923, (37, 1) = -.1601859421542037, (37, 2) = .141056796935048, (37, 3) = .41101078776726396, (37, 4) = .24925191600226893, (37, 5) = -.16949416553961816, (37, 6) = -.2191589209315012, (37, 7) = .18300476520893003, (38, 1) = -.15362126746579838, (38, 2) = .1320210054859448, (38, 3) = .42280892511572515, (38, 4) = .24134177847648824, (38, 5) = -.1595330800439254, (38, 6) = -.21055300577533773, (38, 7) = .1748909797765733, (39, 1) = -.14733741986174867, (39, 2) = .12364284350603046, (39, 3) = .4344897565601667, (39, 4) = .23372671477717596, (39, 5) = -.15027411164631393, (39, 6) = -.2021432253147483, (39, 7) = .16717891414685349, (40, 1) = -.14132147717760368, (40, 2) = .11586995380348374, (40, 3) = .44605098876584576, (40, 4) = .22639358970698623, (40, 5) = -.1416621548462659, (40, 6) = -.19392734410767049, (40, 7) = .15983497820345968, (41, 1) = -.1355618535661384, (41, 2) = .10865524630505065, (41, 3) = .4574889782290803, (41, 4) = .21933078665833716, (41, 5) = -.13364764847041208, (41, 6) = -.18590465201723103, (41, 7) = .15282978502561145, (42, 1) = -.13004833389409315, (42, 2) = .10195646465098096, (42, 3) = .4687983695351276, (42, 4) = .21252828358414444, (42, 5) = -.12618613754474253, (42, 6) = -.17807609406978153, (42, 7) = .14613796012482172, (43, 1) = -.12477167494006297, (43, 2) = 0.9573528555897173e-1, (43, 3) = .4799726300795009, (43, 4) = .20597719438448733, (43, 5) = -.11923730972108826, (43, 6) = -.17044377008176909, (43, 7) = .13973746010198854, (44, 1) = -.11972344246799402, (44, 2) = 0.8995680533952945e-1, (44, 3) = .49100420281898555, (44, 4) = .19966959020759237, (44, 5) = -.11276445358250514, (44, 6) = -.16301071564836836, (44, 7) = .13360920525957998, (45, 1) = -.1148956147475554, (45, 2) = 0.8458883047163457e-1, (45, 3) = .5018852472953027, (45, 4) = .1935980202293324, (45, 5) = -.10673369025665995, (45, 6) = -.15578029883884625, (45, 7) = .12773644242504048, (46, 1) = -.11028042171087489, (46, 2) = 0.7960151497591006e-1, (46, 3) = .5126079809791431, (46, 4) = .1877553133493232, (46, 5) = -.10111358529342901, (46, 6) = -.14875591411024416, (46, 7) = .12210439647109084, (47, 1) = -.10587010196399801, (47, 2) = 0.7496695383104171e-1, (47, 3) = .5231652841517149, (47, 4) = .18213426698507848, (47, 5) = -0.9587470570440539e-1, (47, 6) = -.14194052404260726, (47, 7) = .11669981742149677, (48, 1) = -.10165710878026424, (48, 2) = 0.7065927864855102e-1, (48, 3) = .5335502837116244, (48, 4) = .1767279011977732, (48, 5) = -0.90989740840664e-1, (48, 6) = -.13533687973410663, (48, 7) = .11151107173300641, (49, 1) = -0.976339646318128e-1, (49, 2) = 0.6665437930666253e-1, (49, 3) = .5437567517407721, (49, 4) = .17152926762281148, (49, 5) = -0.8643320096253616e-1, (49, 6) = -.12894721237733586, (49, 7) = .10652780343241362, (50, 1) = -0.9379309915858196e-1, (50, 2) = 0.6292963935728102e-1, (50, 3) = .5537796082939569, (50, 4) = .1665312288048679, (50, 5) = -0.821811271659428e-1, (50, 6) = -.12277288786102344, (50, 7) = .10174056934638033, (51, 1) = -0.9012646774014009e-1, (51, 2) = 0.5946349454355839e-1, (51, 3) = .5636160898088879, (51, 4) = .16172593962052867, (51, 5) = -0.7821059376459426e-1, (51, 6) = -.11681369761445241, (51, 7) = 0.971401922016448e-1, (52, 1) = -0.8662709254567018e-1, (52, 2) = 0.5623679588902947e-1, (52, 3) = .5732617138385044, (52, 4) = .1571068532547171, (52, 5) = -0.7450127953262778e-1, (52, 6) = -.11107030160152458, (52, 7) = 0.9271953492878013e-1, (53, 1) = -0.832877606097653e-1, (53, 2) = 0.5323144127213841e-1, (53, 3) = .5827137094120911, (53, 4) = .15266702144547653, (53, 5) = -0.7103391702860415e-1, (53, 6) = -.10554209857792878, (53, 7) = 0.8847173428640447e-1, (54, 1) = -0.8010083796586685e-1, (54, 2) = 0.5043015773452044e-1, (54, 3) = .5919717359930652, (54, 4) = .1483988206956467, (54, 5) = -0.6779004472456823e-1, (54, 6) = -.1002268626526667, (54, 7) = 0.8438981098644666e-1, (55, 1) = -0.7705904545671184e-1, (55, 2) = 0.4781712178021648e-1, (55, 3) = .6010357808561354, (55, 4) = .14429496914815607, (55, 5) = -0.6475273039031218e-1, (55, 6) = -0.9512201172172534e-1, (55, 7) = 0.8046752565271927e-1, (56, 1) = -0.7415579244743617e-1, (56, 2) = 0.4537812370175229e-1, (56, 3) = .609905070263442, (56, 4) = .14034898646161215, (56, 5) = -0.6190677910002072e-1, (56, 6) = -0.9022519334264704e-1, (56, 7) = 0.7669971247700139e-1, (57, 1) = -0.7138429207106428e-1, (57, 2) = 0.4309971458682221e-1, (57, 3) = .6185806833233924, (57, 4) = .13655400028046524, (57, 5) = -0.5923775361433498e-1, (57, 6) = -0.8553282185600106e-1, (57, 7) = 0.7308104556027577e-1, (58, 1) = -0.6873795031830646e-1, (58, 2) = 0.4096946926322497e-1, (58, 3) = .6270644277840627, (58, 4) = .1329032634057901, (58, 5) = -0.5673228789519334e-1, (58, 6) = -0.8104075700907686e-1, (58, 7) = 0.6960645431414926e-1, (59, 1) = -0.6621016059961132e-1, (59, 2) = 0.38975748601405784e-1, (59, 3) = .6353595080809519, (59, 4) = .12938986575267097, (59, 5) = -0.5437781677016371e-1, (59, 6) = -0.7674399557867947e-1, (59, 7) = 0.6627078398947593e-1, (60, 1) = -0.6379500379743547e-1, (60, 2) = 0.3710817923563575e-1, (60, 3) = .6434682068578423, (60, 4) = .12600770681463422, (60, 5) = -0.52163152502100275e-1, (60, 6) = -0.7263791038699614e-1, (60, 7) = 0.630696652022076e-1, (61, 1) = -0.6148682506048283e-1, (61, 2) = 0.3535723201986704e-1, (61, 3) = .6513931420513931, (61, 4) = .12275092222076696, (61, 5) = -0.5007800143462451e-1, (61, 6) = -0.687175841247968e-1, (61, 7) = 0.5999892071152185e-1, (62, 1) = -0.5928000637071922e-1, (62, 2) = 0.33713989804355256e-1, (62, 3) = .6591380172829979, (62, 4) = .11961356381867923, (62, 5) = -0.4811269635947367e-1, (62, 6) = -0.6497747609164842e-1, (62, 7) = 0.57054229336734506e-1, (63, 1) = -0.57169100695410174e-1, (63, 2) = 0.3217020013015828e-1, (63, 3) = .6667071615807357, (63, 4) = .11658978562213738, (63, 5) = -0.4625826578595638e-1, (63, 6) = -0.6141170855360152e-1, (63, 7) = 0.5423127945985821e-1, (64, 1) = -0.5514918379084914e-1, (64, 2) = 0.3071847575888528e-1, (64, 3) = .674104198640308, (64, 4) = .11367435428569851, (64, 5) = -0.4450668459294678e-1, (64, 6) = -0.58014717648254485e-1, (64, 7) = 0.51526226701246916e-1, (65, 1) = -0.53215760915675155e-1, (65, 2) = 0.29352162323496186e-1, (65, 3) = .6813322323771271, (65, 4) = .11086253363996139, (65, 5) = -0.4285072792261608e-1, (65, 6) = -0.5478114175121917e-1, (65, 7) = 0.4893556386708957e-1, (66, 1) = -0.51364246219493405e-1, (66, 2) = 0.28064924065518932e-1, (66, 3) = .6883957184775215, (66, 4) = .10814933543258673, (66, 5) = -0.41283477931602065e-1, (66, 6) = -0.51704999820689775e-1, (66, 7) = 0.4645542023568128e-1, (67, 1) = -0.4959036780155851e-1, (67, 2) = 0.26850996547966004e-1, (67, 3) = .6952989342332647, (67, 4) = .1055301079545874, (67, 5) = -0.397986352727631e-1, (67, 6) = -0.4878042451768817e-1, (67, 7) = 0.44082106240249705e-1, (68, 1) = -0.4789016423374489e-1, (68, 2) = 0.2570514230598002e-1, (68, 3) = .7020458967717208, (68, 4) = .10300054210288584, (68, 5) = -0.3839047393448487e-1, (68, 6) = -0.4600169882505357e-1, (68, 7) = 0.4181211457624395e-1, (69, 1) = -0.4625996072380607e-1, (69, 2) = 0.24622597065198926e-1, (69, 3) = .7086403636416022, (69, 4) = .10055664721832, (69, 5) = -0.3705378373458785e-1, (69, 6) = -0.4336325445354654e-1, (69, 7) = 0.3964209549563323e-1, (70, 1) = -0.44696345792792136e-1, (70, 2) = 0.2359902106209441e-1, (70, 3) = .715085840088841, (70, 4) = 0.9819472668269251e-1, (70, 5) = -0.35783818056358635e-1, (70, 6) = -0.4085966769265928e-1, (70, 7) = 0.3756883386957669e-1, (71, 1) = -0.43195840295262154e-1, (71, 2) = 0.2263025732177424e-1, (71, 3) = .7213868990604615, (71, 4) = 0.959108824037368e-1, (71, 5) = -0.345759992795696e-1, (71, 6) = -0.3848516856421221e-1, (71, 7) = 0.35588822241379686e-1, (72, 1) = -0.417552894446388e-1, (72, 2) = 0.21712566757373226e-1, (72, 3) = .7275475329006473, (72, 4) = 0.9370160979020452e-1, (72, 5) = -0.3342621480848204e-1, (72, 6) = -0.36234307802151734e-1, (72, 7) = 0.3369879519129462e-1, (73, 1) = -0.4037173402203197e-1, (73, 2) = 0.2084251952747481e-1, (73, 3) = .7335716098404168, (73, 4) = 0.9156361245610806e-1, (73, 5) = -0.3233068837685123e-1, (73, 6) = -0.3410177625172606e-1, (73, 7) = 0.3189557025540908e-1, (74, 1) = -0.3904237227030642e-1, (74, 2) = 0.20016950936180417e-1, (74, 3) = .7394629834350771, (74, 4) = 0.8949375010756808e-1, (74, 5) = -0.31285929734658574e-1, (74, 6) = -0.3208237199793818e-1, (74, 7) = 0.3017601103329817e-1, (75, 1) = -0.3776454319644946e-1, (75, 2) = 0.19232933825189e-1, (75, 3) = .7452255211846236, (75, 4) = 0.8748901780777456e-1, (75, 5) = -0.3028870414672857e-1, (75, 6) = -0.30171000378395537e-1, (75, 7) = 0.28537019338621142e-1, (76, 1) = -0.3653569801566861e-1, (76, 2) = 0.18487745956094e-1, (76, 3) = .7508631948003112, (76, 4) = 0.8554650554414327e-1, (76, 5) = -0.29335994809283936e-1, (76, 6) = -0.2836265544217905e-1, (76, 7) = 0.26975512917014468e-1, (77, 1) = -0.35353334471828785e-1, (77, 2) = 0.17778817656712027e-1, (77, 3) = .7563803576967835, (77, 4) = 0.8366329666302517e-1, (77, 5) = -0.2842493891629171e-1, (77, 6) = -0.26652349069398753e-1, (77, 7) = 0.25488358243180274e-1, (78, 1) = -0.34214833644028164e-1, (78, 2) = 0.1710362550347103e-1, (78, 3) = .7617825194247292, (78, 4) = 0.818362046768005e-1, (78, 5) = -0.2755269203484183e-1, (78, 6) = -0.25034910053607307e-1, (78, 7) = 0.24072187718280107e-1, (79, 1) = -0.33117070324267625e-1, (79, 2) = 0.16459460519022494e-1, (79, 3) = .7670782989058776, (79, 4) = 0.8006113071928549e-1, (79, 5) = -0.2671612494556976e-1, (79, 6) = -0.23504494462123514e-1, (79, 7) = 0.2272295520211525e-1, (80, 1) = -0.3205809437838403e-1, (80, 2) = 0.15844406901222824e-1, (80, 3) = .7722713266005171, (80, 4) = 0.7833577907306599e-1, (80, 5) = -0.2591309561609206e-1, (80, 6) = -0.22056961396677732e-1, (80, 7) = 0.21438026923002916e-1, (81, 1) = -0.31037127966861342e-1, (81, 2) = 0.15257298915414995e-1, (81, 3) = .7773598019042196, (81, 4) = 0.766597219644611e-1, (81, 5) = -0.25142417563179406e-1, (81, 6) = -0.20689736141079718e-1, (81, 7) = 0.2021610624932507e-1, (82, 1) = -0.3005347880465721e-1, (82, 2) = 0.1469706808732895e-1, (82, 3) = .7823415773762875, (82, 4) = 0.7503266612459865e-1, (82, 5) = -0.24403020686373934e-1, (82, 6) = -0.1940025706534461e-1, (82, 7) = 0.1905587546109808e-1, (83, 1) = -0.2910586428826123e-1, (83, 2) = 0.14162359097922005e-1, (83, 3) = .787217633956304, (83, 4) = 0.7345332619263635e-1, (83, 5) = -0.23693442233407584e-1, (83, 6) = -0.181851232611352e-1, (83, 7) = 0.1795521838476315e-1, (84, 1) = -0.28192907817684805e-1, (84, 2) = 0.1365181867422655e-1, (84, 3) = .7919897115240078, (84, 4) = 0.7192022274910066e-1, (84, 5) = -0.23012201444952248e-1, (84, 6) = -0.17040811610716092e-1, (84, 7) = 0.16911848466548876e-1, (85, 1) = -0.27312978136185835e-1, (85, 2) = 0.13164005904443596e-1, (85, 3) = .7966612137325211, (85, 4) = 0.7043140181072279e-1, (85, 5) = -0.22357677376699997e-1, (85, 6) = -0.15963513643715645e-1, (85, 7) = 0.1592315271868429e-1, (86, 1) = -0.2646462746652903e-1, (86, 2) = 0.1269763461904293e-1, (86, 3) = .8012349398472144, (86, 4) = 0.6898516657212175e-1, (86, 5) = -0.21728432006606218e-1, (86, 6) = -0.14949706357927807e-1, (86, 7) = 0.14986710460803207e-1, (87, 1) = -0.25646494959249203e-1, (87, 2) = 0.12251513377893835e-1, (87, 3) = .8057135493898496, (87, 4) = 0.6757992094013747e-1, (87, 5) = -0.21123132884899316e-1, (87, 6) = -0.139960292467264e-1, (87, 7) = 0.1410018570481624e-1, (88, 1) = -0.2485728164590901e-1, (88, 2) = 0.1182452710951371e-1, (88, 3) = .810099673559902, (88, 4) = 0.662141300173103e-1, (88, 5) = -0.20540530236292587e-1, (88, 6) = -0.13099256789703594e-1, (88, 7) = 0.13261304969175512e-1, (89, 1) = -0.24095752574361837e-1, (89, 2) = 0.11415634281844061e-1, (89, 3) = .81439588423751, (89, 4) = 0.6488632633494537e-1, (89, 5) = -0.19979454728118753e-1, (89, 6) = -0.12256303574946446e-1, (89, 7) = 0.12467865124264153e-1, (90, 1) = -0.23360735056253266e-1, (90, 2) = 0.11023862257792366e-1, (90, 3) = .8186046839450801, (90, 4) = 0.6359510950556727e-1, (90, 5) = -0.19438812716351027e-1, (90, 6) = -0.11464223580929493e-1, (90, 7) = 0.11717736023153343e-1, (91, 1) = -0.2265111611151706e-1, (91, 2) = 0.1064830254895494e-1, (91, 3) = .8227285009951595, (91, 4) = 0.6233914441576576e-1, (91, 5) = -0.18917581245871496e-1, (91, 6) = -0.107202077302794e-1, (91, 7) = 0.11008861577261891e-1, (92, 1) = -0.2196584274078579e-1, (92, 2) = 0.10288107863924782e-1, (92, 3) = .8267696687449231, (92, 4) = 0.61117164378142505e-1, (92, 5) = -0.1841480544345323e-1, (92, 6) = -0.10021583648716392e-1, (92, 7) = 0.10339262962135297e-1, (93, 1) = -0.2130397508619256e-1, (93, 2) = 0.9942516911301724e-2, (93, 3) = .8307300855152587, (93, 4) = 0.5992806977704981e-1, (93, 5) = -0.17929634945322494e-1, (93, 6) = -0.9365866049369924e-2, (93, 7) = 0.970709083685181e-2, (94, 1) = -0.2066452832678662e-1, (94, 2) = 0.9610769117033199e-2, (94, 3) = .8346121380272766, (94, 4) = 0.5877064728357242e-1, (94, 5) = -0.1746120573842817e-1, (94, 6) = -0.8750596954165865e-2, (94, 7) = 0.911047491451652e-2, (95, 1) = -0.20046560655054453e-1, (95, 2) = 0.9292149122341548e-2, (95, 3) = .8384181810565843, (95, 4) = 0.57643726773201474e-1, (95, 5) = -0.17008702762303107e-1, (95, 6) = -0.8173438423547898e-2, (95, 7) = 0.8547615193482865e-2, (96, 1) = -0.19449237677365155e-1, (96, 2) = 0.8986017628093307e-2, (96, 3) = .8421501190891273, (96, 4) = 0.5654630194311316e-1, (96, 5) = -0.16571405188902044e-1, (96, 6) = -0.7632228495991538e-2, (96, 7) = 0.8016840145398394e-2, (97, 1) = -0.1887178595166975e-1, (97, 2) = 0.8691784937252454e-2, (97, 3) = .8458096605035292, (97, 4) = 0.5547745035158284e-1, (97, 5) = -0.1614865074893827e-1, (97, 6) = -0.7124930043201029e-2, (97, 7) = 0.7516560842447098e-2, (98, 1) = -0.18313379572760476e-1, (98, 2) = 0.8408851695186157e-2, (98, 3) = .8493990293787306, (98, 4) = 0.5443612442522976e-1, (98, 5) = -0.15739751272481037e-1, (98, 6) = -0.6649530877556062e-2, (98, 7) = 0.70451749307516515e-2, (99, 1) = -0.17773411236805755e-1, (99, 2) = 0.8136744850270912e-2, (99, 3) = .8529192148774755, (99, 4) = 0.5342165809334678e-1, (99, 5) = -0.15344189900285105e-1, (99, 6) = -0.6204273518435405e-2, (99, 7) = 0.660129692855998e-2, (100, 1) = -0.17251057251932208e-1, (100, 2) = 0.7874896343931133e-2, (100, 3) = .8563727717832911, (100, 4) = 0.52432954840383246e-1, (100, 5) = -0.14961301341491364e-1, (100, 6) = -0.5787287135105179e-2, (100, 7) = 0.6183395118813691e-2, (101, 1) = -0.16745629644977163e-1, (101, 2) = 0.7622820263324776e-2, (101, 3) = .8597615482839938, (101, 4) = 0.51469145618834776e-1, (101, 5) = -0.14590528608898094e-1, (101, 6) = -0.5396885129046895e-2, (101, 7) = 0.5790089139105677e-2, (102, 1) = -0.16256523054212938e-1, (102, 2) = 0.7380084027582768e-2, (102, 3) = .8630869913915394, (102, 4) = 0.5052949522528311e-1, (102, 5) = -0.14231383298385903e-1, (102, 6) = -0.5031509922179083e-2, (102, 7) = 0.5420098775343518e-2, (103, 1) = -0.15783100427777905e-1, (103, 2) = 0.7146250386892193e-2, (103, 3) = .8663509059017817, (103, 4) = 0.49613185415921565e-1, (103, 5) = -0.13883360876220033e-1, (103, 6) = -0.4689642631979475e-2, (103, 7) = 0.5072155149894696e-2, (104, 1) = -0.15324740843082107e-1, (104, 2) = 0.6920900620324958e-2, (104, 3) = .8695551374490673, (104, 4) = 0.487194055183293e-1, (104, 5) = -0.1354597487810146e-1, (104, 6) = -0.4369840628700971e-2, (104, 7) = 0.4745040251323027e-2, (105, 1) = -0.14880999220591645e-1, (105, 2) = 0.6703711752799031e-2, (105, 3) = .8727004295170955, (105, 4) = 0.47847667825719004e-1, (105, 5) = -0.13218873957203307e-1, (105, 6) = -0.40708417306626115e-2, (105, 7) = 0.4437696279601702e-2, (106, 1) = -0.1445129941189121e-1, (106, 2) = 0.6494304913053776e-2, (106, 3) = .8757885621654562, (106, 4) = 0.4699721013074634e-1, (106, 5) = -0.12901615364899262e-1, (106, 6) = -0.3791347889312316e-2, (106, 7) = 0.41490062236225e-2, (107, 1) = -0.1403515704995601e-1, (107, 2) = 0.629235416435554e-2, (107, 3) = .8788207857953696, (107, 4) = 0.46167431512408715e-1, (107, 5) = -0.12593828454231555e-1, (107, 6) = -0.35301779967586255e-2, (107, 7) = 0.38779519693393103e-2, (108, 1) = -0.136320985542424e-1, (108, 2) = 0.609754606629572e-2, (108, 3) = .8817983817939085, (108, 4) = 0.45357735223466554e-1, (108, 5) = -0.12295154559359827e-1, (108, 6) = -0.3286209314341815e-2, (108, 7) = 0.3623556002597559e-2, (109, 1) = -0.13241630697811596e-1, (109, 2) = 0.59095645556075434e-2, (109, 3) = .8847228903452787, (109, 4) = 0.44567467123514615e-1, (109, 5) = -0.12005223871163083e-1, (109, 6) = -0.30583587722556906e-2, (109, 7) = 0.3384863230891416e-2, (110, 1) = -0.12863282318672776e-1, (110, 2) = 0.5728110719682112e-2, (110, 3) = .887595805636143, (110, 4) = 0.437959990098312e-1, (110, 5) = -0.11723685793281906e-1, (110, 6) = -0.2845607745492162e-2, (110, 7) = 0.3160968116694903e-2, (111, 1) = -0.12496650693252929e-1, (111, 2) = 0.5552924358153241e-2, (111, 3) = .8904182090864114, (111, 4) = 0.430428253565388e-1, (111, 5) = -0.1145024320873632e-1, (111, 6) = -0.2647023818928518e-2, (111, 7) = 0.2951039322881783e-2, (112, 1) = -0.12141274016994663e-1, (112, 2) = 0.5383722467612301e-2, (112, 3) = .8931917390779196, (112, 4) = 0.4230730313112941e-1, (112, 5) = -0.11184557142440503e-1, (112, 6) = -0.2461688048783101e-2, (112, 7) = 0.27542443791469095e-2, (113, 1) = -0.1179681022215186e-1, (113, 2) = 0.5220284141143336e-2, (113, 3) = .8959172018453189, (113, 4) = 0.4158902099552602e-1, (113, 5) = -0.10926379958254132e-1, (113, 6) = -0.228878818143032e-2, (113, 7) = 0.25698496698628556e-2, (114, 1) = -0.11462903989906546e-1, (114, 2) = 0.5062386550384448e-2, (114, 3) = .8985955842843032, (114, 4) = 0.4088752771952661e-1, (114, 5) = -0.10675456024997696e-1, (114, 6) = -0.21275434552632607e-2, (114, 7) = 0.23971422191936325e-2, (115, 1) = -0.11139174973080628e-1, (115, 2) = 0.4909799283650963e-2, (115, 3) = .901228160676181, (115, 4) = 0.40202305706456845e-1, (115, 5) = -0.10431512339945794e-1, (115, 6) = -0.1977199961864016e-2, (115, 7) = 0.22354254347508886e-2, (116, 1) = -0.10825272392179685e-1, (116, 2) = 0.4762309923951511e-2, (116, 3) = .9038160568685645, (116, 4) = 0.3953288543830951e-1, (116, 5) = -0.10194299223128396e-1, (116, 6) = -0.18370560679884847e-2, (116, 7) = 0.2084047263144361e-2, (117, 1) = -0.10520888096597018e-1, (117, 2) = 0.4619729729543349e-2, (117, 3) = .9063601272182191, (117, 4) = 0.38878875566455126e-1, (117, 5) = -0.9963600208344612e-2, (117, 6) = -0.1706464442997396e-2, (117, 7) = 0.1942403596612181e-2, (118, 1) = -0.10225676992181737e-1, (118, 2) = 0.4481856038925428e-2, (118, 3) = .9088616122353441, (118, 4) = 0.38239793038485445e-1, (118, 5) = -0.9739171632595673e-2, (118, 6) = -0.15847955131765516e-2, (118, 7) = 0.18098996209028528e-2, (119, 1) = -0.9939367324640893e-2, (119, 2) = 0.4348523632722225e-2, (119, 3) = .9113212093702816, (119, 4) = 0.376153011508749e-1, (119, 5) = -0.9520826147011394e-2, (119, 6) = -0.14714824659729727e-2, (119, 7) = 0.168599953627451e-2, (120, 1) = -0.966163872941871e-2, (120, 2) = 0.4219547534554702e-2, (120, 3) = .9137401023351425, (120, 4) = 0.3700494616750579e-1, (120, 5) = -0.9308339878721775e-2, (120, 6) = -0.1365969153112434e-2, (120, 7) = 0.15701706401611438e-2, (121, 1) = -0.9392198385188308e-2, (121, 2) = 0.4094758396609424e-2, (121, 3) = .9161193161473176, (121, 4) = 0.3640832219382344e-1, (121, 5) = -0.9101510124887554e-2, (121, 6) = -0.12677402606956771e-2, (121, 7) = 0.14619168884890783e-2, (122, 1) = -0.9130776619449235e-2, (122, 2) = 0.3974000157039127e-2, (122, 3) = .918459743389031, (122, 4) = 0.3582506324812699e-1, (122, 5) = -0.8900152062547061e-2, (122, 6) = -0.11763168046591919e-2, (122, 7) = 0.13607747932710109e-2, (123, 1) = -0.8877130053322135e-2, (123, 2) = 0.3857131220204234e-2, (123, 3) = .9207621042586911, (123, 4) = 0.3525485195379574e-1, (123, 5) = -0.8704101261672068e-2, (123, 6) = -0.10912546315821271e-2, (123, 7) = 0.1266312536775268e-2, (124, 1) = -0.8631034803741748e-2, (124, 2) = 0.37440210705135487e-2, (124, 3) = .9230269958510547, (124, 4) = 0.3469740599658427e-1, (124, 5) = -0.8513208555597203e-2, (124, 6) = -0.10121396610135644e-2, (124, 7) = 0.11781253977221063e-2, (125, 1) = -0.8392212157745564e-2, (125, 2) = 0.3634516023268043e-2, (125, 3) = .925255580609136, (125, 4) = 0.34152309214020814e-1, (125, 5) = -0.8327282158857823e-2, (125, 6) = -0.938563455856944e-3, (125, 7) = 0.10958089996215903e-2, (126, 1) = -0.8160425838712085e-2, (126, 2) = 0.35284838627545256e-2, (126, 3) = .9274486979359966, (126, 4) = 0.33619231067228195e-1, (126, 5) = -0.8146162840536838e-2, (126, 6) = -0.8701541170718898e-3, (126, 7) = 0.10189941909763463e-2, (127, 1) = -0.7935451067583034e-2, (127, 2) = 0.34257994141029054e-2, (127, 3) = .9296071384367649, (127, 4) = 0.3309785803833924e-1, (127, 5) = -0.7969700041420233e-2, (127, 6) = -0.8065641728294864e-3, (127, 7) = 0.9473341253719798e-3, (128, 1) = -0.7717070876205519e-2, (128, 2) = 0.33263427207529334e-2, (128, 3) = .9317316751472142, (128, 4) = 0.3258788569860931e-1, (128, 5) = -0.7797748970274931e-2, (128, 6) = -0.7474681438722301e-3, (128, 7) = 0.880502001232945e-3, (129, 1) = -0.7505076125168032e-2, (129, 2) = 0.3229998933900569e-2, (129, 3) = .9338230607702328, (129, 4) = 0.32089019152014744e-1, (129, 5) = -0.7630170580490721e-2, (129, 6) = -0.6925613591197516e-3, (129, 7) = 0.8181901587854764e-3, (130, 1) = -0.7299265171632634e-2, (130, 2) = 0.3136658050225978e-2, (130, 3) = .9358820282972874, (130, 4) = 0.31600972661932875e-1, (130, 5) = -0.7466831279916698e-2, (130, 6) = -0.6415587231086209e-3, (130, 7) = 0.7601090888409613e-3, (131, 1) = -0.7099443565783825e-2, (131, 2) = 0.30462146709149766e-2, (131, 3) = .9379092914859827, (131, 4) = 0.31123469324561948e-1, (131, 5) = -0.7307602667855831e-2, (131, 6) = -0.5941935510054997e-3, (131, 7) = 0.7059864851990976e-3, (132, 1) = -0.6905423747524692e-2, (132, 2) = 0.2958567768435871e-2, (132, 3) = .9399055454663998, (132, 4) = 0.30656240723360338e-1, (132, 5) = -0.71523612763047355e-2, (132, 6) = -0.5502164615731298e-3, (132, 7) = 0.655566332104778e-3, (133, 1) = -0.6717024757245861e-2, (133, 2) = 0.2873620466790021e-2, (133, 3) = .9418714673375305, (133, 4) = 0.30199026597440937e-1, (133, 5) = -0.7000988325823573e-2, (133, 6) = -0.5093943297131232e-3, (133, 7) = 0.6086080307940107e-3, (134, 1) = -0.6534071959760502e-2, (134, 2) = 0.27912798342734552e-2, (134, 3) = .9438077167561614, (134, 4) = 0.29751574522758853e-1, (134, 5) = -0.6853369494924661e-2, (134, 6) = -0.4715092959902402e-3, (134, 7) = 0.5648855642822292e-3, (135, 1) = -0.6356396787514922e-2, (135, 2) = 0.27114566909829225e-2, (135, 3) = .9457149364454033, (135, 4) = 0.2931363962219971e-1, (135, 5) = -0.6709394707597642e-2, (135, 6) = -0.43635783194643206e-3, (135, 7) = 0.5241867010441891e-3, (136, 1) = -0.61838364891480474e-2, (136, 2) = 0.263406542432135e-2, (136, 3) = .947593752761815, (136, 4) = 0.28884984271701088e-1, (136, 5) = -0.6568957927472171e-2, (136, 6) = -0.4037498558821582e-3, (136, 7) = 0.4863122333420328e-3, (137, 1) = -0.601623387000051e-2, (137, 2) = 0.2559023806114614e-2, (137, 3) = .9494447764708851, (137, 4) = 0.28465377768764184e-1, (137, 5) = -0.6431956947208897e-2, (137, 6) = -0.3735078948773748e-3, (137, 7) = 0.4510752470303723e-3, (138, 1) = -0.5853437072325423e-2, (138, 2) = 0.2486252832368632e-2, (138, 3) = .9512686032079182, (138, 4) = 0.280545960825053e-1, (138, 5) = -0.6298293211671902e-2, (138, 6) = -0.34546629992478233e-3, (138, 7) = 0.4183004324945519e-3, (139, 1) = -0.5695299345566016e-2, (139, 2) = 0.24156765630166848e-2, (139, 3) = .9530658141549968, (139, 4) = 0.276524215633124e-1, (139, 5) = -0.6167871634365016e-2, (139, 6) = -0.31947050232195343e-3, (139, 7) = 0.3878234245464183e-3, (140, 1) = -0.554167885830191e-2, (140, 2) = 0.23472219843972985e-2, (140, 3) = .9548369763523616, (140, 4) = 0.27258642742879598e-1, (140, 5) = -0.60406004492652874e-2, (140, 6) = -0.2953763182049148e-3, (140, 7) = 0.35949018078556665e-3, (141, 1) = -0.5392438520624993e-2, (141, 2) = 0.22808188801119096e-2, (141, 3) = .9565826429700981, (141, 4) = 0.2687305414886625e-1, (141, 5) = -0.5916391072664268e-2, (141, 6) = -0.27304929294300013e-3, (141, 7) = 0.3331563901813197e-3, (142, 1) = -0.52474458312329955e-2, (142, 2) = 0.22163997163235374e-2, (142, 3) = .958303353361792, (142, 4) = 0.26495456172530026e-1, (142, 5) = -0.57951579868950375e-2, (142, 6) = -0.252364085464996e-3, (142, 7) = 0.30868691325215805e-3, (143, 1) = -0.5106572684456149e-2, (143, 2) = 0.2153899512449706e-2, (143, 3) = .9599996336604034, (143, 4) = 0.26125654821718747e-1, (143, 5) = -0.5676818591723513e-2, (143, 6) = -0.23320388139026565e-3, (143, 7) = 0.2859552418854789e-3, (144, 1) = -0.496969518374495e-2, (144, 2) = 0.20932557178244982e-2, (144, 3) = .961671997397204, (144, 4) = 0.25763461476510423e-1, (144, 5) = -0.5561293061337471e-2, (144, 6) = -0.21545984131697018e-3, (144, 7) = 0.2648429873310176e-3, (145, 1) = -0.4836693490181476e-2, (145, 2) = 0.2034408106735575e-2, (145, 3) = .963320945785362, (145, 4) = 0.2540869272435785e-1, (145, 5) = -0.5448504231053388e-2, (145, 6) = -0.1990305859062199e-3, (145, 7) = 0.2452393994183257e-3, (146, 1) = -0.4707451672732042e-2, (146, 2) = 0.19772986768169993e-2, (146, 3) = .9649469680512343, (146, 4) = 0.2506117018958842e-1, (146, 5) = -0.5338377485993881e-2, (146, 6) = -0.1838217110432586e-3, (146, 7) = 0.22704091004977484e-3, (147, 1) = -0.4581857567572001e-2, (147, 2) = 0.1921871553865193e-2, (147, 3) = .9665505417213073, (147, 4) = 0.24720720377034513e-1, (147, 5) = -0.5230840657806015e-2, (147, 6) = -0.16974533250776132e-3, (147, 7) = 0.21015070120431977e-3, (148, 1) = -0.4459802644110297e-2, (148, 2) = 0.18680729018499408e-2, (148, 3) = .9681321328883635, (148, 4) = 0.2438717452423778e-1, (148, 5) = -0.5125823927380249e-2, (148, 6) = -0.1567196582818594e-3, (148, 7) = 0.19447829607891086e-3, (149, 1) = -0.4341181888026249e-2, (149, 2) = 0.18158508424962229e-2, (149, 3) = .9696921963155168, (149, 4) = 0.24060368491380577e-1, (149, 5) = -0.5023259742466551e-2, (149, 6) = -0.1446685880441674e-3, (149, 7) = 0.1799391736386374e-3, (150, 1) = -0.4225893650637279e-2, (150, 2) = 0.17651553619765716e-2, (150, 3) = .9712311760403447, (150, 4) = 0.23740142549888144e-1, (150, 5) = -0.4923082706327167e-2, (150, 6) = -0.13352133330447443e-3, (150, 7) = 0.16645439943325225e-3, (151, 1) = -0.4113839530268126e-2, (151, 2) = 0.17159382335444216e-2, (151, 3) = .9727495056336701, (151, 4) = 0.2342634124862383e-1, (151, 5) = -0.4825229493689177e-2, (151, 6) = -0.1232120640465816e-3, (151, 7) = 0.1539502804262958e-3, (152, 1) = -0.4004924259857473e-2, (152, 2) = 0.16681529445863694e-2, (152, 3) = .9742476084300418, (152, 4) = 0.23118813289296117e-1, (152, 5) = -0.4729638772087287e-2, (152, 6) = -0.11367957746503508e-3, (152, 7) = 0.1423580391973025e-3, (153, 1) = -0.3899055593040416e-2, (153, 2) = 0.16217546245721791e-2, (153, 3) = .9757258978340067, (153, 4) = 0.22817411389538758e-1, (153, 5) = -0.463625112173974e-2, (153, 6) = -0.10486698691294358e-3, (153, 7) = 0.13161350583831e-3, (154, 1) = -0.37961441950964078e-2, (154, 2) = 0.15766999766100972e-2, (154, 3) = .9771847776170947, (154, 4) = 0.22521992151470806e-1, (154, 5) = -0.4545008959412762e-2, (154, 6) = -0.967214305737495e-4, (154, 7) = 0.121656827512054e-3, (155, 1) = -0.36961035417064788e-2, (155, 2) = 0.15329472137910675e-2, (155, 3) = .9786246421596811, (155, 4) = 0.22232415944730063e-1, (155, 5) = -0.445585646888749e-2, (155, 6) = -0.8919379893818854e-4, (155, 7) = 0.11243219508397924e-3, (156, 1) = -0.3598849831342047e-2, (156, 2) = 0.14904560027590857e-2, (156, 3) = .9800458765440385, (156, 4) = 0.21948546822007864e-1, (156, 5) = -0.4368739543349211e-2, (156, 6) = -0.8223848033365505e-4, (156, 7) = 0.10388758640877828e-3, (157, 1) = -0.3504301864036683e-2, (157, 2) = 0.1449187393779194e-2, (157, 3) = .9814488571872236, (157, 4) = 0.21670252329442523e-1, (157, 5) = -0.4283605697341341e-2, (157, 6) = -0.7581312014106669e-4, (157, 7) = 0.9597452136763151e-4, (158, 1) = -0.34129493089673224e-2, (158, 2) = 0.14093514910030092e-2, (158, 3) = .9828253219279554, (158, 4) = 0.21399097573883887e-1, (158, 5) = -0.4200919799199968e-2, (158, 6) = -0.6991415932376671e-4, (158, 7) = 0.8869203721112217e-4, (159, 1) = -0.33271103446682673e-2, (159, 2) = 0.13719539824332608e-2, (159, 3) = .9841383236747088, (159, 4) = 0.21142196023966428e-1, (159, 5) = -0.4122824677830502e-2, (159, 6) = -0.6464305200947549e-4, (159, 7) = 0.8216929414664662e-4, (160, 1) = -0.3246888216871749e-2, (160, 2) = 0.13370335160016358e-2, (160, 3) = .985383387995297, (160, 4) = 0.209001807532975e-1, (160, 5) = -0.4049476099124505e-2, (160, 6) = -0.5995056210962825e-4, (160, 7) = 0.7634950158779991e-4, (161, 1) = -0.31717820489926096e-2, (161, 2) = 0.13043663241526988e-2, (161, 3) = .9865655002073301, (161, 4) = 0.2067184982425839e-1, (161, 5) = -0.3980475008201402e-2, (161, 6) = -0.5575831327685825e-4, (161, 7) = 0.7113901558701944e-4, (162, 1) = -0.3101283157089607e-2, (162, 2) = 0.12737262794573984e-2, (162, 3) = .9876901928502866, (162, 4) = 0.20455929268952944e-1, (162, 5) = -0.3915405955558736e-2, (162, 6) = -0.51996993884276855e-4, (162, 7) = 0.6645462049558117e-4, (163, 1) = -0.3034948752530318e-2, (163, 2) = 0.12449168007795967e-2, (163, 3) = .9887623477334817, (163, 4) = 0.2025130191646246e-1, (163, 5) = -0.38539057244155925e-2, (163, 6) = -0.4860889607355352e-4, (163, 7) = 0.6222686084568878e-4, (164, 1) = -0.29723938930752585e-2, (164, 2) = 0.12177671724348386e-2, (164, 3) = .9897862525363109, (164, 4) = 0.20056990944072855e-1, (164, 5) = -0.37956574648679202e-2, (164, 6) = -0.45545777125153235e-4, (164, 7) = 0.58397541801037944e-4, (165, 1) = -0.29132816972746683e-2, (165, 2) = 0.11921281484142164e-2, (165, 3) = .9907656989607102, (165, 4) = 0.19872136498653162e-1, (165, 5) = -0.3740382918721448e-2, (165, 6) = -0.427670184725108e-4, (165, 7) = 0.5491755877317205e-4, (166, 1) = -0.28573153562169145e-2, (166, 2) = 0.11678683701705991e-2, (166, 3) = .9917040645449797, (166, 4) = 0.1969597641041645e-1, (166, 5) = -0.3687836034699237e-2, (166, 6) = -0.4023818885023187e-4, (166, 7) = 0.51745199342617154e-4, (167, 1) = -0.28042322593080844e-2, (167, 2) = 0.1144871726603264e-2, (167, 3) = .9926043695551816, (167, 4) = 0.19527832369525187e-1, (167, 5) = -0.36377983421639662e-2, (167, 6) = -0.37929943037897354e-4, (167, 7) = 0.488448409496686e-4, (168, 1) = -0.2753799130211681e-2, (168, 2) = 0.1123035170937828e-2, (168, 3) = .9934693246139872, (168, 4) = 0.19367098410542075e-1, (168, 5) = -0.3590075107388287e-2, (168, 6) = -0.358171430611698e-4, (168, 7) = 0.4618590926945546e-4, (169, 1) = -0.27058079781715864e-2, (169, 2) = 0.11022669058035406e-2, (169, 3) = .9943013707458818, (169, 4) = 0.19213231273768283e-1, (169, 5) = -0.3544492124080056e-2, (169, 6) = -0.3387815201610202e-4, (169, 7) = 0.4374203936585028e-4, (170, 1) = -0.26600725198970194e-2, (170, 2) = 0.10824847840107225e-2, (170, 3) = .9951027165532491, (170, 4) = 0.19065741682178818e-1, (170, 5) = -0.35008928380502657e-2, (170, 6) = -0.3209425552245678e-4, (170, 7) = 0.41490386487098785e-4, (171, 1) = -0.26164251077657906e-2, (171, 2) = 0.10636149381462077e-2, (171, 3) = .995875371044721, (171, 4) = 0.18924186748013903e-1, (171, 5) = -0.3459135858949456e-2, (171, 6) = -0.30449189658006313e-4, (171, 7) = 0.3941106244803707e-4, (172, 1) = -0.25747154845888296e-2, (172, 2) = 0.10455912073515348e-2, (172, 3) = .9966211475552713, (172, 4) = 0.18788167920810266e-1, (172, 5) = -0.34190941466821535e-2, (172, 6) = -0.2892880415481513e-4, (172, 7) = 0.3748673617539756e-4, (173, 1) = -0.2534807981217631e-2, (173, 2) = 0.10283538966235138e-2, (173, 3) = .9973416977524165, (173, 4) = 0.18657323601527533e-1, (173, 5) = -0.33806526539177733e-2, (173, 6) = -0.2752071779279574e-4, (173, 7) = 0.35702219193114476e-4, (174, 1) = -0.24965796986488663e-2, (174, 2) = 0.10118489671315971e-2, (174, 3) = .9980385309827882, (174, 4) = 0.18531324646632825e-1, (174, 5) = -0.3343706853010833e-2, (174, 6) = -0.26214056372779796e-4, (174, 7) = 0.3404415118123037e-4, (175, 1) = -0.24599190164938103e-2, (175, 2) = 0.9960273716355223e-3, (175, 3) = .9987130298125714, (175, 4) = 0.18409870712982543e-1, (175, 5) = -0.3308161533747031e-2, (175, 6) = -0.24999237164889492e-4, (175, 7) = 0.3250074101975441e-4, (176, 1) = -0.2424724307108064e-2, (176, 2) = 0.9808444820542108e-3, (176, 3) = .999366463543249, (176, 4) = 0.18292687091506932e-1, (176, 5) = -0.32739297639363773e-2, (176, 6) = -0.2386778854087962e-4, (176, 7) = 0.31061549736597884e-4, (177, 1) = -0.23909028232950774e-2, (177, 2) = 0.9662595947245867e-3, (177, 3) = 1.0, (177, 4) = 0.18179521955803843e-1, (177, 5) = -0.32409319878966333e-2, (177, 6) = -0.22812198384621496e-4, (177, 7) = 0.29717307791158036e-4}, datatype = float[8], order = C_order); errproc := proc (x_bvp) local outpoint, X, Y, yout, L, V, i; option `Copyright (c) 2000 by Waterloo Maple Inc. All rights reserved.`; Digits := 15; outpoint := evalf(x_bvp); X := Vector(177, {(1) = .1, (2) = .13432431415631105, (3) = .16865165190091197, (4) = .202985958039896, (5) = .23732533659105348, (6) = .2716788241585104, (7) = .30604559361419775, (8) = .3404355394485909, (9) = .3748529011933503, (10) = .4093061022796795, (11) = .44380716982563195, (12) = .47836387534050584, (13) = .512995852912669, (14) = .5477165596092971, (15) = .5825440749488203, (16) = .617499631782922, (17) = .6526070635536141, (18) = .6878927128084736, (19) = .7233862578282453, (20) = .7591205797331673, (21) = .795131110399485, (22) = .8314537516454595, (23) = .868136597156794, (24) = .9052215072936881, (25) = .9427566773054169, (26) = .9807963691446203, (27) = 1.019390250121844, (28) = 1.0585930956320206, (29) = 1.0984604169171555, (30) = 1.1390444870104077, (31) = 1.1804077038174698, (32) = 1.222605314046431, (33) = 1.2656867522025514, (34) = 1.3097007904581703, (35) = 1.35469069615675, (36) = 1.4006929822839422, (37) = 1.447731690331962, (38) = 1.4958369065409785, (39) = 1.5450201198096045, (40) = 1.5952810827286137, (41) = 1.646612127195734, (42) = 1.6989954066809312, (43) = 1.7524040840585657, (44) = 1.806801993976599, (45) = 1.862146412251251, (46) = 1.9183893448840852, (47) = 1.9754805768192913, (48) = 2.0333655491409464, (49) = 2.09198758848087, (50) = 2.1512911903998386, (51) = 2.2112299885365556, (52) = 2.271742934464316, (53) = 2.3327750130678835, (54) = 2.3942834797609645, (55) = 2.4562254559367735, (56) = 2.518550408638634, (57) = 2.5812184684337374, (58) = 2.6441937416859225, (59) = 2.7074501856327, (60) = 2.770954649679994, (61) = 2.8346761833615464, (62) = 2.898592678498704, (63) = 2.962688121088583, (64) = 3.0269416312716424, (65) = 3.091328430651392, (66) = 3.155836619851239, (67) = 3.220454275768738, (68) = 3.285168541451302, (69) = 3.3499654130373253, (70) = 3.414829585389634, (71) = 3.4797579848516915, (72) = 3.5447435602802027, (73) = 3.609779652754643, (74) = 3.674861152412504, (75) = 3.7399848957435275, (76) = 3.8051508297379377, (77) = 3.8703655596105624, (78) = 3.935652421384301, (79) = 4.001077560861665, (80) = 4.0666510045970385, (81) = 4.132314229225371, (82) = 4.198000337516065, (83) = 4.263680764101562, (84) = 4.329336756026789, (85) = 4.394973340046662, (86) = 4.460588954073379, (87) = 4.526181509768576, (88) = 4.59174993915436, (89) = 4.6572937466339175, (90) = 4.722812832368339, (91) = 4.788307377913861, (92) = 4.853777459964835, (93) = 4.9192172921590585, (94) = 4.98463029125814, (95) = 5.0500209149724435, (96) = 5.115387283230868, (97) = 5.180725066182968, (98) = 5.246040278527776, (99) = 5.3113174587944965, (100) = 5.376570973389221, (101) = 5.44180368691663, (102) = 5.5070118178761875, (103) = 5.572199562571729, (104) = 5.637373294661837, (105) = 5.702517813103393, (106) = 5.767639827784657, (107) = 5.832736032997183, (108) = 5.897804505036399, (109) = 5.962849913789289, (110) = 6.0278771161534, (111) = 6.092882596362824, (112) = 6.157876605520855, (113) = 6.222850932401667, (114) = 6.287802017103068, (115) = 6.352734006431941, (116) = 6.4176483673997975, (117) = 6.482540451739694, (118) = 6.547416149850125, (119) = 6.6122680542862025, (120) = 6.677102130347337, (121) = 6.7419211005546, (122) = 6.8067248666742355, (123) = 6.871509114964304, (124) = 6.936266375612976, (125) = 7.0010059228545805, (126) = 7.065728682384006, (127) = 7.130434804847329, (128) = 7.195124539737002, (129) = 7.259798136520217, (130) = 7.324455844038698, (131) = 7.3890979060419335, (132) = 7.453724561298953, (133) = 7.518336044173569, (134) = 7.582932585751136, (135) = 7.647514413049672, (136) = 7.712081750883993, (137) = 7.776634831889643, (138) = 7.841173896857807, (139) = 7.905699203490006, (140) = 7.970211023056725, (141) = 8.034709635791245, (142) = 8.099195318161058, (143) = 8.163668350318732, (144) = 8.22812902562451, (145) = 8.292577648267015, (146) = 8.357014533032183, (147) = 8.42144000370015, (148) = 8.485854390888106, (149) = 8.550258023403897, (150) = 8.6146512403873, (151) = 8.679034390131827, (152) = 8.74340782797264, (153) = 8.807771917708358, (154) = 8.872127033100252, (155) = 8.93647355737236, (156) = 9.000811876240148, (157) = 9.065142395655199, (158) = 9.129062231749659, (159) = 9.190791738971976, (160) = 9.25002177586793, (161) = 9.306893224933363, (162) = 9.361586616509348, (163) = 9.414263699827062, (164) = 9.46506800130928, (165) = 9.514127801690371, (166) = 9.561558693204324, (167) = 9.60746518855213, (168) = 9.651942086110576, (169) = 9.695075631414408, (170) = 9.73694468456052, (171) = 9.777621794577053, (172) = 9.817172850818734, (173) = 9.855658388735026, (174) = 9.893134209297964, (175) = 9.929651857051025, (176) = 9.965259040121957, (177) = 10.0}, datatype = float[8], order = C_order); Y := Matrix(177, 7, {(1, 1) = .0, (1, 2) = -0.25133563359422095e-9, (1, 3) = .0, (1, 4) = .0, (1, 5) = 0.10748780804799623e-8, (1, 6) = .0, (1, 7) = -0.12934292747785471e-8, (2, 1) = -0.4822236359734921e-9, (2, 2) = 0.1291751262338101e-8, (2, 3) = 0.2499789735445234e-10, (2, 4) = 0.5322412113500357e-9, (2, 5) = -0.955358623267235e-9, (2, 6) = -0.38176982978996947e-9, (2, 7) = 0.1265038035903761e-9, (3, 1) = -0.4735204664889531e-9, (3, 2) = 0.9491466074483928e-9, (3, 3) = 0.4690091191230549e-10, (3, 4) = 0.5390956681805285e-9, (3, 5) = -0.7348597717138394e-9, (3, 6) = -0.40462997460214207e-9, (3, 7) = 0.7799800614856019e-10, (4, 1) = -0.4441257733459236e-9, (4, 2) = 0.7306037721941427e-9, (4, 3) = 0.6619035958041333e-10, (4, 4) = 0.5179121302450025e-9, (4, 5) = -0.570792194199048e-9, (4, 6) = -0.4041232372754603e-9, (4, 7) = 0.46984083322823474e-10, (5, 1) = -0.4191825922957931e-9, (5, 2) = 0.5972268762890003e-9, (5, 3) = 0.8413990150978722e-10, (5, 4) = 0.4985304486898765e-9, (5, 5) = -0.4702779357079129e-9, (5, 6) = -0.4019082568446425e-9, (5, 7) = 0.4082047310759462e-10, (6, 1) = -0.3986834175702839e-9, (6, 2) = 0.5078126984926554e-9, (6, 3) = 0.10125193344200593e-9, (6, 4) = 0.4822548440970703e-9, (6, 5) = -0.4037856571615858e-9, (6, 6) = -0.3997114276374773e-9, (6, 7) = 0.44757214339682084e-10, (7, 1) = -0.3813655097444669e-9, (7, 2) = 0.44322817506744626e-9, (7, 3) = 0.1177488502857477e-9, (7, 4) = 0.4683243907117529e-9, (7, 5) = -0.35642964265749337e-9, (7, 6) = -0.39751044675552513e-9, (7, 7) = 0.52360437146100357e-10, (8, 1) = -0.36633339855577963e-9, (8, 2) = 0.39403541257141004e-9, (8, 3) = 0.13375396569863634e-9, (8, 4) = 0.4560893201559204e-9, (8, 5) = -0.32077279352188766e-9, (8, 6) = -0.3951844650021857e-9, (8, 7) = 0.6104103873575669e-10, (9, 1) = -0.3530110444986799e-9, (9, 2) = 0.3551251388394599e-9, (9, 3) = 0.14934196109816663e-9, (9, 4) = 0.4451182466955199e-9, (9, 5) = -0.2928117915068498e-9, (9, 6) = -0.3926669510728056e-9, (9, 7) = 0.6973390343747467e-10, (10, 1) = -0.34102088912595253e-9, (10, 2) = 0.3234631262334646e-9, (10, 3) = 0.16456602449853078e-9, (10, 4) = 0.4351229121500295e-9, (10, 5) = -0.27020202072419514e-9, (10, 6) = -0.38992802616804567e-9, (10, 7) = 0.7800637668800004e-10, (11, 1) = -0.33009810558916964e-9, (11, 2) = 0.29712810504566086e-9, (11, 3) = 0.1794671206264596e-9, (11, 4) = 0.42590380686280173e-9, (11, 5) = -0.25147578918457037e-9, (11, 6) = -0.38695966267997214e-9, (11, 7) = 0.8569539295634197e-10, (12, 1) = -0.32005141372407416e-9, (12, 2) = 0.2748390161414916e-9, (12, 3) = 0.19407559035522606e-9, (12, 4) = 0.4173192828796213e-9, (12, 5) = -0.23566948004497193e-9, (12, 6) = -0.38376658741537674e-9, (12, 7) = 0.9275123416959122e-10, (13, 1) = -0.3107415781995943e-9, (13, 2) = 0.25569566715949626e-9, (13, 3) = 0.20842107524399382e-9, (13, 4) = 0.4092616740027893e-9, (13, 5) = -0.2221146462535113e-9, (13, 6) = -0.3803576532325859e-9, (13, 7) = 0.9918763909766301e-10, (14, 1) = -0.3020547486931774e-9, (14, 2) = 0.23905632169492564e-9, (14, 3) = 0.22252653396896042e-9, (14, 4) = 0.40165000386117793e-9, (14, 5) = -0.21033646928053961e-9, (14, 6) = -0.3767450629818431e-9, (14, 7) = 0.1050316206286602e-9, (15, 1) = -0.2939050674611193e-9, (15, 2) = 0.2244410956663784e-9, (15, 3) = 0.2364129701052877e-9, (15, 4) = 0.39442041537530405e-9, (15, 5) = -0.1999871871687752e-9, (15, 6) = -0.3729413746558997e-9, (15, 7) = 0.11032191552202252e-9, (16, 1) = -0.286222106757177e-9, (16, 2) = 0.21148559484473567e-9, (16, 3) = 0.2501005847357134e-9, (16, 4) = 0.38752041128926003e-9, (16, 5) = -0.19080406100056436e-9, (16, 6) = -0.36895830719220893e-9, (16, 7) = 0.11509985495828057e-9, (17, 1) = -0.27894813473489e-9, (17, 2) = 0.19990993266642248e-9, (17, 3) = 0.2636080867768676e-9, (17, 4) = 0.38090785767399594e-9, (17, 5) = -0.18258498829123314e-9, (17, 6) = -0.3648063902168073e-9, (17, 7) = 0.11940455739879428e-9, (18, 1) = -0.27203377299844357e-9, (18, 2) = 0.18949251113976552e-9, (18, 3) = 0.2769531503258719e-9, (18, 4) = 0.37454645571624524e-9, (18, 5) = -0.17517235332104338e-9, (18, 6) = -0.36049503213976123e-9, (18, 7) = 0.12327029378294546e-9, (19, 1) = -0.2654380018357667e-9, (19, 2) = 0.18005609524436158e-9, (19, 3) = 0.29015352124528096e-9, (19, 4) = 0.36840588937618217e-9, (19, 5) = -0.1684404255060993e-9, (19, 6) = -0.35603302336135194e-9, (19, 7) = 0.12672994380140462e-9, (20, 1) = -0.2591249207945148e-9, (20, 2) = 0.17145908392284244e-9, (20, 3) = 0.3032258092511636e-9, (20, 4) = 0.3624596527318036e-9, (20, 5) = -0.16228840536977783e-9, (20, 6) = -0.3514279783195208e-9, (20, 7) = 0.1298127371652538e-9, (21, 1) = -0.25306422276752354e-9, (21, 2) = 0.16358246686013007e-9, (21, 3) = 0.31618709867295386e-9, (21, 4) = 0.3566852140556996e-9, (21, 5) = -0.15663281162411897e-9, (21, 6) = -0.3466852074439036e-9, (21, 7) = 0.13254460203844536e-9, (22, 1) = -0.24722947014827626e-9, (22, 2) = 0.15633237994447384e-9, (22, 3) = 0.32905279765740313e-9, (22, 4) = 0.35106197738678446e-9, (22, 5) = -0.15140702081415211e-9, (22, 6) = -0.34181104869694363e-9, (22, 7) = 0.1349481998052051e-9, (23, 1) = -0.24159525855122816e-9, (23, 2) = 0.14962663284565797e-9, (23, 3) = 0.34184129986409534e-9, (23, 4) = 0.3455710901981431e-9, (23, 5) = -0.1465545388780879e-9, (23, 6) = -0.33680799761451423e-9, (23, 7) = 0.13704217031147442e-9, (24, 1) = -0.23614219852260766e-9, (24, 2) = 0.14339762247954253e-9, (24, 3) = 0.35456787888180087e-9, (24, 4) = 0.3401969862063632e-9, (24, 5) = -0.14202679880817453e-9, (24, 6) = -0.33167891838231315e-9, (24, 7) = 0.13884542358546385e-9, (25, 1) = -0.23085059138136459e-9, (25, 2) = 0.13758834302914604e-9, (25, 3) = 0.36724842673314724e-9, (25, 4) = 0.3349243442395313e-9, (25, 5) = -0.13778527402894338e-9, (25, 6) = -0.3264271673931953e-9, (25, 7) = 0.14037251215241305e-9, (26, 1) = -0.22570373952624887e-9, (26, 2) = 0.13214994434323748e-9, (26, 3) = 0.3798999867538572e-9, (26, 4) = 0.3297396272364163e-9, (26, 5) = -0.13379429370372647e-9, (26, 6) = -0.3210523981912681e-9, (26, 7) = 0.14163621638420803e-9, (27, 1) = -0.22068712704508097e-9, (27, 2) = 0.1270412908532785e-9, (27, 3) = 0.39253681082283613e-9, (27, 4) = 0.3246307708269583e-9, (27, 5) = -0.13002582884620115e-9, (27, 6) = -0.31555624453007013e-9, (27, 7) = 0.14264832087492047e-9, (28, 1) = -0.21578731325972487e-9, (28, 2) = 0.12222712607848792e-9, (28, 3) = 0.4051735785720333e-9, (28, 4) = 0.319586871397829e-9, (28, 5) = -0.12645492465037684e-9, (28, 6) = -0.3099389237474639e-9, (28, 7) = 0.14341746981326065e-9, (29, 1) = -0.21099190569243325e-9, (29, 2) = 0.11767622332477985e-9, (29, 3) = 0.41782413871370106e-9, (29, 4) = 0.31459713589030673e-9, (29, 5) = -0.12306017230164548e-9, (29, 6) = -0.30420122651924197e-9, (29, 7) = 0.14395168130955385e-9, (30, 1) = -0.2062913796265655e-9, (30, 2) = 0.11336297440012964e-9, (30, 3) = 0.4305002727590064e-9, (30, 4) = 0.30965368144992986e-9, (30, 5) = -0.1198224199722497e-9, (30, 6) = -0.29834324841155765e-9, (30, 7) = 0.14425820561328524e-9, (31, 1) = -0.20167543145855411e-9, (31, 2) = 0.10926367675168289e-9, (31, 3) = 0.4432157990459678e-9, (31, 4) = 0.30474753102929854e-9, (31, 5) = -0.11672648830301723e-9, (31, 6) = -0.29236553478707224e-9, (31, 7) = 0.14434264568809095e-9, (32, 1) = -0.19713587803636631e-9, (32, 2) = 0.10535849256830875e-9, (32, 3) = 0.4559811480098555e-9, (32, 4) = 0.29987149994194555e-9, (32, 5) = -0.11375748988966459e-9, (32, 6) = -0.28626765172624023e-9, (32, 7) = 0.14420916355947746e-9, (33, 1) = -0.19266703741622537e-9, (33, 2) = 0.10163152267693176e-9, (33, 3) = 0.468804140242033e-9, (33, 4) = 0.29501949561639447e-9, (33, 5) = -0.11090365983769633e-9, (33, 6) = -0.28005288243174855e-9, (33, 7) = 0.1438623405988644e-9, (34, 1) = -0.18826236971018196e-9, (34, 2) = 0.9806744012823473e-10, (34, 3) = 0.4816914686457909e-9, (34, 4) = 0.29018599683608335e-9, (34, 5) = -0.1081551639622339e-9, (34, 6) = -0.27372319868693324e-9, (34, 7) = 0.14330559065581606e-9, (35, 1) = -0.18391739026145476e-9, (35, 2) = 0.9465420057864679e-10, (35, 3) = 0.4946471147612365e-9, (35, 4) = 0.28536790964775523e-9, (35, 5) = -0.10550312893821894e-9, (35, 6) = -0.26728271148470323e-9, (35, 7) = 0.14254283649475636e-9, (36, 1) = -0.1796290326417921e-9, (36, 2) = 0.9138103278655448e-10, (36, 3) = 0.5076726524594222e-9, (36, 4) = 0.28056195093997926e-9, (36, 5) = -0.1029400324744031e-9, (36, 6) = -0.26073698096959233e-9, (36, 7) = 0.14157756810199448e-9, (37, 1) = -0.17539547636232187e-9, (37, 2) = 0.8823883513563119e-10, (37, 3) = 0.5207659528703415e-9, (37, 4) = 0.2757676995363159e-9, (37, 5) = -0.10045975867444299e-9, (37, 6) = -0.2540932633148623e-9, (37, 7) = 0.14041329069777054e-9, (38, 1) = -0.1712145116362773e-9, (38, 2) = 0.8521968079420024e-10, (38, 3) = 0.5339253806526229e-9, (38, 4) = 0.2709816307404778e-9, (38, 5) = -0.9805638569026587e-10, (38, 6) = -0.2473594483835658e-9, (38, 7) = 0.1390550150747939e-9, (39, 1) = -0.16708614348926574e-9, (39, 2) = 0.8231706552060182e-10, (39, 3) = 0.547144299171384e-9, (39, 4) = 0.2662056438391908e-9, (39, 5) = -0.9572565144131231e-10, (39, 6) = -0.2405458208104288e-9, (39, 7) = 0.1375077751873039e-9, (40, 1) = -0.16301069952118687e-9, (40, 2) = 0.7952499135640627e-10, (40, 3) = 0.5604133509423026e-9, (40, 4) = 0.26144129521059254e-9, (40, 5) = -0.9346372481169876e-10, (40, 6) = -0.23366459995648096e-9, (40, 7) = 0.13577717678093516e-9, (41, 1) = -0.158989817473586e-9, (41, 2) = 0.7683928985529501e-10, (41, 3) = 0.5737201578239992e-9, (41, 4) = 0.2566900700893248e-9, (41, 5) = -0.9126758012947667e-10, (41, 6) = -0.22672984593116725e-9, (41, 7) = 0.13387053757566127e-9, (42, 1) = -0.15502483153316906e-9, (42, 2) = 0.7425508875677405e-10, (42, 3) = 0.5870514200556596e-9, (42, 4) = 0.251955080921043e-9, (42, 5) = -0.8913398787267396e-10, (42, 6) = -0.21975677997761107e-9, (42, 7) = 0.13179665822801967e-9, (43, 1) = -0.15111813361978065e-9, (43, 2) = 0.717689508221198e-10, (43, 3) = 0.6003915161923434e-9, (43, 4) = 0.24724066175948746e-9, (43, 5) = -0.8706173466119875e-10, (43, 6) = -0.21276123072080293e-9, (43, 7) = 0.12956460370331698e-9, (44, 1) = -0.1472719831472899e-9, (44, 2) = 0.6937737858129648e-10, (44, 3) = 0.61372174261653e-9, (44, 4) = 0.24255055440537196e-9, (44, 5) = -0.850482954542035e-10, (44, 6) = -0.20576167792240652e-9, (44, 7) = 0.12718475337204908e-9, (45, 1) = -0.14348909059030847e-9, (45, 2) = 0.6707735490401772e-10, (45, 3) = 0.6270251558459976e-9, (45, 4) = 0.2378876535417994e-9, (45, 5) = -0.8309171565579169e-10, (45, 6) = -0.19877510496972733e-9, (45, 7) = 0.1246691074748796e-9, (46, 1) = -0.13977224131761695e-9, (46, 2) = 0.6486578381007288e-10, (46, 3) = 0.6402834574063305e-9, (46, 4) = 0.2332605542006165e-9, (46, 5) = -0.8119095085305585e-10, (46, 6) = -0.19181963160364122e-9, (46, 7) = 0.12202970885015615e-9, (47, 1) = -0.13612333265013527e-9, (47, 2) = 0.6273962017101276e-10, (47, 3) = 0.6534782659660732e-9, (47, 4) = 0.22866963665007658e-9, (47, 5) = -0.7934397968198933e-10, (47, 6) = -0.1849128525694979e-9, (47, 7) = 0.11927937650694392e-9, (48, 1) = -0.1325449414570179e-9, (48, 2) = 0.6069601337261652e-10, (48, 3) = 0.6665913117637493e-9, (48, 4) = 0.2241217307746333e-9, (48, 5) = -0.7754946037125802e-10, (48, 6) = -0.17807170048392828e-9, (48, 7) = 0.1164320231963305e-9, (49, 1) = -0.12903865819132066e-9, (49, 2) = 0.5873213259749112e-10, (49, 3) = 0.679606416918663e-9, (49, 4) = 0.21961882325135148e-9, (49, 5) = -0.7580608918744382e-10, (49, 6) = -0.17131288007210077e-9, (49, 7) = 0.11350119171360047e-9, (50, 1) = -0.1256061461749483e-9, (50, 2) = 0.5684506778857276e-10, (50, 3) = 0.692506613829254e-9, (50, 4) = 0.21516617749880193e-9, (50, 5) = -0.7411254642559951e-10, (50, 6) = -0.16465125381821867e-9, (50, 7) = 0.11050012580587676e-9, (51, 1) = -0.12224816114420096e-9, (51, 2) = 0.5503152690500283e-10, (51, 3) = 0.7052806320244042e-9, (51, 4) = 0.21076596885217913e-9, (51, 5) = -0.7246680269519579e-10, (51, 6) = -0.15809991937359541e-9, (51, 7) = 0.10744258215702968e-9, (52, 1) = -0.1189655926860609e-9, (52, 2) = 0.53289087268733294e-10, (52, 3) = 0.7179103764981454e-9, (52, 4) = 0.20642326263827707e-9, (52, 5) = -0.7086755493948269e-10, (52, 6) = -0.15167200258860118e-9, (52, 7) = 0.10434186442026731e-9, (53, 1) = -0.11575985059547016e-9, (53, 2) = 0.516148211081032e-10, (53, 3) = 0.7303863430846644e-9, (53, 4) = 0.20213900611511557e-9, (53, 5) = -0.6931374569883764e-10, (53, 6) = -0.14537942014199397e-9, (53, 7) = 0.10121113477442049e-9, (54, 1) = -0.11263007044960751e-9, (54, 2) = 0.50005730903456676e-10, (54, 3) = 0.7426967671036052e-9, (54, 4) = 0.1979160900085421e-9, (54, 5) = -0.6780348622521023e-10, (54, 6) = -0.13923111798488457e-9, (54, 7) = 0.980620068570324e-10, (55, 1) = -0.1095761940909322e-9, (55, 2) = 0.4845909087022527e-10, (55, 3) = 0.7548353635824616e-9, (55, 4) = 0.19375595267806383e-9, (55, 5) = -0.6633522100935265e-10, (55, 6) = -0.13323534944445024e-9, (55, 7) = 0.9490596285123504e-10, (56, 1) = -0.1065984504918604e-9, (56, 2) = 0.4697226690721809e-10, (56, 3) = 0.7667902304253112e-9, (56, 4) = 0.18965950044270478e-9, (56, 5) = -0.6490771086386615e-10, (56, 6) = -0.1273994576673779e-9, (56, 7) = 0.9175404401695437e-10, (57, 1) = -0.10369595595090755e-9, (57, 2) = 0.45542696012926026e-10, (57, 3) = 0.778556793025425e-9, (57, 4) = 0.1856312972726619e-9, (57, 5) = -0.6351981357404045e-10, (57, 6) = -0.12172894374870717e-9, (57, 7) = 0.8861618584892101e-10, (58, 1) = -0.1008674248650476e-9, (58, 2) = 0.44167509118960435e-10, (58, 3) = 0.7901282528356496e-9, (58, 4) = 0.1816689005601506e-9, (58, 5) = -0.6216955980948554e-10, (58, 6) = -0.11622820480113498e-9, (58, 7) = 0.8550149102221199e-10, (59, 1) = -0.9811216105413218e-10, (59, 2) = 0.4284446467824523e-10, (59, 3) = 0.8015028238903295e-9, (59, 4) = 0.17777286746673866e-9, (59, 5) = -0.6085582711854137e-10, (59, 6) = -0.11089945666474679e-9, (59, 7) = 0.8241775440515545e-10, (60, 1) = -0.954284917777356e-10, (60, 2) = 0.41570814245508714e-10, (60, 3) = 0.8126770292454439e-9, (60, 4) = 0.17394354783946692e-9, (60, 5) = -0.5957709600406618e-10, (60, 6) = -0.10574533301767726e-9, (60, 7) = 0.7937281914298082e-10, (61, 1) = -0.9281564411951234e-10, (61, 2) = 0.4034464547926178e-10, (61, 3) = 0.8236472846736369e-9, (61, 4) = 0.1701833036818964e-9, (61, 5) = -0.5833206612773767e-10, (61, 6) = -0.10076676711512439e-9, (61, 7) = 0.7637315322789134e-10, (62, 1) = -0.9027177347486823e-10, (62, 2) = 0.3916354207986905e-10, (62, 3) = 0.8344124201743041e-9, (62, 4) = 0.16648946902577382e-9, (62, 5) = -0.57119532685498765e-10, (62, 6) = -0.9596390927186278e-10, (62, 7) = 0.7342478496541387e-10, (63, 1) = -0.8779535909357898e-10, (63, 2) = 0.38025284248982297e-10, (63, 3) = 0.8449739575048797e-9, (63, 4) = 0.16286276922895867e-9, (63, 5) = -0.559382759394972e-10, (63, 6) = -0.9133564683145688e-10, (63, 7) = 0.7053216538831238e-10, (64, 1) = -0.85384725616473e-10, (64, 2) = 0.3692798253782136e-10, (64, 3) = 0.8553287704958263e-9, (64, 4) = 0.15930123661278354e-9, (64, 5) = -0.5478695255849285e-10, (64, 6) = -0.8688048760078013e-10, (64, 7) = 0.6769996617461846e-10, (65, 1) = -0.8303858586558454e-10, (65, 2) = 0.3586972810555899e-10, (65, 3) = 0.8654792625877007e-9, (65, 4) = 0.15580572742598036e-9, (65, 5) = -0.5366459334902178e-10, (65, 6) = -0.8259732044904485e-10, (65, 7) = 0.6493223337250637e-10, (66, 1) = -0.807553665752725e-10, (66, 2) = 0.3484874891749666e-10, (66, 3) = 0.8754229593508381e-9, (66, 4) = 0.15237695927329908e-9, (66, 5) = -0.5257035145612129e-10, (66, 6) = -0.7848320040395083e-10, (66, 7) = 0.6223187771979038e-10, (67, 1) = -0.7853315297348665e-10, (67, 2) = 0.3386329237172156e-10, (67, 3) = 0.885165445866046e-9, (67, 4) = 0.1490103257593343e-9, (67, 5) = -0.5150279117922608e-10, (67, 6) = -0.7453518587140608e-10, (67, 7) = 0.5960130904556973e-10, (68, 1) = -0.7637040944820784e-10, (68, 2) = 0.32911598715581086e-10, (68, 3) = 0.8947061739850112e-9, (68, 4) = 0.14570759006284784e-9, (68, 5) = -0.504611198616976e-10, (68, 6) = -0.7075006164056328e-10, (68, 7) = 0.5704255975961135e-10, (69, 1) = -0.7426549605081863e-10, (69, 2) = 0.3199235797200081e-10, (69, 3) = 0.904048186545148e-9, (69, 4) = 0.1424684240627569e-9, (69, 5) = -0.4944443684085938e-10, (69, 6) = -0.6712419841427728e-10, (69, 7) = 0.54557366207916695e-10, (70, 1) = -0.7221736654632416e-10, (70, 2) = 0.3110410103296062e-10, (70, 3) = 0.9131882538741332e-9, (70, 4) = 0.13929036342156035e-9, (70, 5) = -0.4845189373502177e-10, (70, 6) = -0.6365420342795148e-10, (70, 7) = 0.52146975427501514e-10, (71, 1) = -0.7022398200997068e-10, (71, 2) = 0.3024543577941304e-10, (71, 3) = 0.9221360415260171e-9, (71, 4) = 0.1361737081764052e-9, (71, 5) = -0.47482600051318345e-10, (71, 6) = -0.6033547561400346e-10, (71, 7) = 0.49811942430394064e-10, (72, 1) = -0.6828362500748702e-10, (72, 2) = 0.2941489991841159e-10, (72, 3) = 0.930888601393734e-9, (72, 4) = 0.1331159476612379e-9, (72, 5) = -0.4653580535043946e-10, (72, 6) = -0.5716398926445834e-10, (72, 7) = 0.475524649852525e-10, (73, 1) = -0.6639510603152035e-10, (73, 2) = 0.286115228092632e-10, (73, 3) = 0.9394523079129564e-9, (73, 4) = 0.13011733075793917e-9, (73, 5) = -0.4561077481881523e-10, (73, 6) = -0.54135115189872115e-10, (73, 7) = 0.4536866881070352e-10, (74, 1) = -0.645568753974836e-10, (74, 2) = 0.2783391240528995e-10, (74, 3) = 0.9478299584253005e-9, (74, 4) = 0.12717630383541154e-9, (74, 5) = -0.4470657527840883e-10, (74, 6) = -0.5124454519891209e-10, (74, 7) = 0.4326026143353661e-10, (75, 1) = -0.6276724784350272e-10, (75, 2) = 0.27081107173027596e-10, (75, 3) = 0.956021311487774e-9, (75, 4) = 0.1242898751621955e-9, (75, 5) = -0.43822448468142216e-10, (75, 6) = -0.4848759364943523e-10, (75, 7) = 0.41226529155491094e-10, (76, 1) = -0.6102491550561366e-10, (76, 2) = 0.26351883619454057e-10, (76, 3) = 0.9640326746315502e-9, (76, 4) = 0.121460477587425e-9, (76, 5) = -0.4295805432634064e-10, (76, 6) = -0.4585957834722676e-10, (76, 7) = 0.39266766672733285e-10, (77, 1) = -0.5932805568253786e-10, (77, 2) = 0.25645207179705036e-10, (77, 3) = 0.971865921545455e-9, (77, 4) = 0.11868506629827273e-9, (77, 5) = -0.4211247126952791e-10, (77, 6) = -0.43355676647937267e-10, (77, 7) = 0.37379698125788404e-10, (78, 1) = -0.5767472162072739e-10, (78, 2) = 0.24960016150123966e-10, (78, 3) = 0.979527272820239e-9, (78, 4) = 0.11596023227128644e-9, (78, 5) = -0.4128474523380456e-10, (78, 6) = -0.4097042064765802e-10, (78, 7) = 0.35563538933466515e-10, (79, 1) = -0.56062278773629755e-10, (79, 2) = 0.24294558885869108e-10, (79, 3) = 0.9870304765706218e-9, (79, 4) = 0.1132842332370745e-9, (79, 5) = -0.4047347361338713e-10, (79, 6) = -0.3869723877794528e-10, (79, 7) = 0.3381536009462095e-10, (80, 1) = -0.5448940782255379e-10, (80, 2) = 0.23648210403970446e-10, (80, 3) = 0.994373920621701e-9, (80, 4) = 0.11065398015669131e-9, (80, 5) = -0.39678136755576145e-10, (80, 6) = -0.36531778065328024e-10, (80, 7) = 0.32133775021841036e-10, (81, 1) = -0.52956076563351886e-10, (81, 2) = 0.23020634601627332e-10, (81, 3) = 0.10015578355642333e-8, (81, 4) = 0.10807290223640643e-9, (81, 5) = -0.38898839909173874e-10, (81, 6) = -0.3447214832243887e-10, (81, 7) = 0.3051913043551198e-10, (82, 1) = -0.5146276180186555e-10, (82, 2) = 0.22411874260840103e-10, (82, 3) = 0.10085763899854806e-8, (82, 4) = 0.1055410648564232e-9, (82, 5) = -0.38136245666705616e-10, (82, 6) = -0.32516021075844286e-10, (82, 7) = 0.28971490315933258e-10, (83, 1) = -0.5000912520995857e-10, (83, 2) = 0.21821342830068495e-10, (83, 3) = 0.10154312004191943e-8, (83, 4) = 0.10305955865797805e-9, (83, 5) = -0.37389798155327645e-10, (83, 6) = -0.3065998978540357e-10, (83, 7) = 0.27489757167180907e-10, (84, 1) = -0.4859428466255206e-10, (84, 2) = 0.21248577059062134e-10, (84, 3) = 0.10221196610682969e-8, (84, 4) = 0.1006273316758632e-9, (84, 5) = -0.366593448426289e-10, (84, 6) = -0.28900208991190788e-10, (84, 7) = 0.2607253753742099e-10, (85, 1) = -0.47216941209601755e-10, (85, 2) = 0.2069281771249485e-10, (85, 3) = 0.10286458303596705e-8, (85, 4) = 0.9824302321628248e-10, (85, 5) = -0.3594449952721954e-10, (85, 6) = -0.27232289002638088e-10, (85, 7) = 0.2471776526401278e-10, (86, 1) = -0.4587603850181021e-10, (86, 2) = 0.201534052940794e-10, (86, 3) = 0.10350205574204247e-8, (86, 4) = 0.9590484830894483e-10, (86, 5) = -0.35244600053546624e-10, (86, 6) = -0.2565211417447784e-10, (86, 7) = 0.23423564263486646e-10, (87, 1) = -0.44570427444179945e-10, (87, 2) = 0.19629813990776138e-10, (87, 3) = 0.10412377532833149e-8, (87, 4) = 0.9361470603911598e-10, (87, 5) = -0.34559475928237606e-10, (87, 6) = -0.2415576255235988e-10, (87, 7) = 0.22188010686861947e-10, (88, 1) = -0.43299205036542566e-10, (88, 2) = 0.19121396301621412e-10, (88, 3) = 0.10473038270512812e-8, (88, 4) = 0.9136975261118352e-10, (88, 5) = -0.33888742228378605e-10, (88, 6) = -0.22739391561818352e-10, (88, 7) = 0.21009171213129243e-10, (89, 1) = -0.4206136621816841e-10, (89, 2) = 0.1862763193300451e-10, (89, 3) = 0.1053220826440606e-8, (89, 4) = 0.8916812971164093e-10, (89, 5) = -0.3323194858271513e-10, (89, 6) = -0.21399256766972228e-10, (89, 7) = 0.19885123465220818e-10, (90, 1) = -0.4085588310966399e-10, (90, 2) = 0.18148024520178687e-10, (90, 3) = 0.10589955041451046e-8, (90, 4) = 0.870102840089945e-10, (90, 5) = -0.32588484240228997e-10, (90, 6) = -0.20131789912960962e-10, (90, 7) = 0.1881389542009739e-10, (91, 1) = -0.3968185166790285e-10, (91, 2) = 0.1768202815418893e-10, (91, 3) = 0.10646265232891785e-8, (91, 4) = 0.8489553195210622e-10, (91, 5) = -0.3195843436574123e-10, (91, 6) = -0.18933463049862498e-10, (91, 7) = 0.17793581660786366e-10, (92, 1) = -0.3853832902129189e-10, (92, 2) = 0.1722922578935513e-10, (92, 3) = 0.10701178713516793e-8, (92, 4) = 0.8282293669401647e-10, (92, 5) = -0.3134115943239919e-10, (92, 6) = -0.17800978202007475e-10, (92, 7) = 0.16822264914732218e-10, (93, 1) = -0.37424669181434964e-10, (93, 2) = 0.16789122412977386e-10, (93, 3) = 0.10754723856152606e-8, (93, 4) = 0.8079060721002729e-10, (93, 5) = -0.30736550226877975e-10, (93, 6) = -0.16731181911091006e-10, (93, 7) = 0.15898179284081475e-10, (94, 1) = -0.3633984344798148e-10, (94, 2) = 0.1636136007680888e-10, (94, 3) = 0.1080694913077139e-8, (94, 4) = 0.7879810368988039e-10, (94, 5) = -0.30144170280229594e-10, (94, 6) = -0.1572093396812334e-10, (94, 7) = 0.15019396209421985e-10, (95, 1) = -0.3528295959502651e-10, (95, 2) = 0.15945431111723886e-10, (95, 3) = 0.10857842746568276e-8, (95, 4) = 0.7684526168038454e-10, (95, 5) = -0.29563770509365825e-10, (95, 6) = -0.1476718725922153e-10, (95, 7) = 0.14184084832010438e-10, (96, 1) = -0.34253341623023184e-10, (96, 2) = 0.15540982368433098e-10, (96, 3) = 0.1090745090008393e-8, (96, 4) = 0.7492994656021819e-10, (96, 5) = -0.28994985820475658e-10, (96, 6) = -0.1386715343683189e-10, (96, 7) = 0.13390505826113743e-10, (97, 1) = -0.3325026905308442e-10, (97, 2) = 0.15147620208866446e-10, (97, 3) = 0.1095581663622364e-8, (97, 4) = 0.7305312971306977e-10, (97, 5) = -0.2843762234102979e-10, (97, 6) = -0.13018130971366204e-10, (97, 7) = 0.12636963284411881e-10, (98, 1) = -0.3227290366515648e-10, (98, 2) = 0.147650429647678e-10, (98, 3) = 0.11002947854437276e-8, (98, 4) = 0.7121225709966904e-10, (98, 5) = -0.27891434655293842e-10, (98, 6) = -0.12217450392363468e-10, (98, 7) = 0.11921702204802202e-10, (99, 1) = -0.3132080420646942e-10, (99, 2) = 0.14392920682890967e-10, (99, 3) = 0.11048831639640239e-8, (99, 4) = 0.6940775972450926e-10, (99, 5) = -0.27356201034967982e-10, (99, 6) = -0.11462781048113319e-10, (99, 7) = 0.1124326590913559e-10, (100, 1) = -0.3039298764179678e-10, (100, 2) = 0.14030857509215677e-10, (100, 3) = 0.1109356892219946e-8, (100, 4) = 0.676397259657339e-10, (100, 5) = -0.26831570391908562e-10, (100, 6) = -0.10751575098641281e-10, (100, 7) = 0.10599889734684021e-10, (101, 1) = -0.29488761953278224e-10, (101, 2) = 0.13678526761319882e-10, (101, 3) = 0.11137144524208188e-8, (101, 4) = 0.6590478075005809e-10, (101, 5) = -0.26317299185941288e-10, (101, 6) = -0.10081506050647998e-10, (101, 7) = 0.999000377791946e-11, (102, 1) = -0.28607607795422616e-10, (102, 2) = 0.133356401806779e-10, (102, 3) = 0.1117958634990215e-8, (102, 4) = 0.6420506271081726e-10, (102, 5) = -0.25813196450715664e-10, (102, 6) = -0.9450437138368041e-11, (102, 7) = 0.941214568419086e-11, (103, 1) = -0.2774875412567413e-10, (103, 2) = 0.13001895950288143e-10, (103, 3) = 0.11220903726978504e-8, (103, 4) = 0.6253786452945416e-10, (103, 5) = -0.25319039475505215e-10, (103, 6) = -0.8856275269538403e-11, (103, 7) = 0.88648554303843e-11, (104, 1) = -0.26911598790166447e-10, (104, 2) = 0.12676995076335476e-10, (104, 3) = 0.11261152671984882e-8, (104, 4) = 0.609021937252899e-10, (104, 5) = -0.24834523744108644e-10, (104, 6) = -0.8296967223918404e-11, (104, 7) = 0.8346651823328133e-11, (105, 1) = -0.2609571741139721e-10, (105, 2) = 0.12360707018358898e-10, (105, 3) = 0.11300290116370514e-8, (105, 4) = 0.5929939405437904e-10, (105, 5) = -0.24359564511586517e-10, (105, 6) = -0.7770759456933992e-11, (105, 7) = 0.7856315718077717e-11, (106, 1) = -0.2530044333188704e-10, (106, 2) = 0.12052784144741168e-10, (106, 3) = 0.11338381262505208e-8, (106, 4) = 0.577274885441457e-10, (106, 5) = -0.23893915026487e-10, (106, 6) = -0.7275804353440743e-11, (106, 7) = 0.7392498157574831e-11, (107, 1) = -0.24525287343846688e-10, (107, 2) = 0.11752990045451255e-10, (107, 3) = 0.11375506925479182e-8, (107, 4) = 0.5618664712627303e-10, (107, 5) = -0.2343740897183187e-10, (107, 6) = -0.68104138779155605e-11, (107, 7) = 0.69539489361209256e-11, (108, 1) = -0.23769756034050658e-10, (108, 2) = 0.11461069140781725e-10, (108, 3) = 0.1141156920036321e-8, (108, 4) = 0.54675506620229015e-10, (108, 5) = -0.22989853517927998e-10, (108, 6) = -0.6372953207665234e-11, (108, 7) = 0.6539460296498955e-11, (109, 1) = -0.23033206946688197e-10, (109, 2) = 0.11176784235420537e-10, (109, 3) = 0.11446648205586631e-8, (109, 4) = 0.53193133369219096e-10, (109, 5) = -0.2255102934510164e-10, (109, 6) = -0.5961851297415071e-11, (109, 7) = 0.6147846949535398e-11, (110, 1) = -0.22315170596435424e-10, (110, 2) = 0.10899899099720045e-10, (110, 3) = 0.11480776804648441e-8, (110, 4) = 0.51741404883626826e-10, (110, 5) = -0.2212079881093947e-10, (110, 6) = -0.55756000900039874e-11, (110, 7) = 0.5777950850708059e-11, (111, 1) = -0.2161510628629133e-10, (111, 2) = 0.10630202497500658e-10, (111, 3) = 0.11513963697465053e-8, (111, 4) = 0.50316084756389076e-10, (111, 5) = -0.2169888691820227e-10, (111, 6) = -0.5212825902031769e-11, (111, 7) = 0.5428717922904024e-11, (112, 1) = -0.2093248308036869e-10, (112, 2) = 0.10367485845143703e-10, (112, 3) = 0.11546195339584729e-8, (112, 4) = 0.489182049004149e-10, (112, 5) = -0.21285088698946967e-10, (112, 6) = -0.4872150788621039e-11, (112, 7) = 0.5099059382295185e-11, (113, 1) = -0.20266939127279472e-10, (113, 2) = 0.10111521783538712e-10, (113, 3) = 0.11577592792912037e-8, (113, 4) = 0.4754807495737071e-10, (113, 5) = -0.20879387496573555e-10, (113, 6) = -0.4552355860741361e-11, (113, 7) = 0.4788042271114969e-11, (114, 1) = -0.19618082071104572e-10, (114, 2) = 0.9862199011411562e-11, (114, 3) = 0.1160804498226923e-8, (114, 4) = 0.462044422773981e-10, (114, 5) = -0.20481586670028085e-10, (114, 6) = -0.4252272644255941e-11, (114, 7) = 0.4494726477485643e-11, (115, 1) = -0.189853664183792e-10, (115, 2) = 0.9619265490819973e-11, (115, 3) = 0.11637594037035251e-8, (115, 4) = 0.4488686014505007e-10, (115, 5) = -0.200914542145842e-10, (115, 6) = -0.3970742061101578e-11, (115, 7) = 0.4218178288334328e-11, (116, 1) = -0.18368425185254865e-10, (116, 2) = 0.9382570898414447e-11, (116, 3) = 0.1166630830350612e-8, (116, 4) = 0.43594040714570804e-10, (116, 5) = -0.19708991959087038e-10, (116, 6) = -0.3706685865404614e-11, (116, 7) = 0.3957541778663131e-11, (117, 1) = -0.17766860290530166e-10, (117, 2) = 0.9151949085797764e-11, (117, 3) = 0.11694183749409405e-8, (117, 4) = 0.4232831823848793e-10, (117, 5) = -0.1933383435015675e-10, (117, 6) = -0.34591076284628657e-11, (117, 7) = 0.3711986676217058e-11, (118, 1) = -0.1718023634060036e-10, (118, 2) = 0.8927196267795554e-11, (118, 3) = 0.11721276821171886e-8, (118, 4) = 0.4108405888124236e-10, (118, 5) = -0.1896600682368705e-10, (118, 6) = -0.32270198234058586e-11, (118, 7) = 0.348070537611262e-11, (119, 1) = -0.1660824179634249e-10, (119, 2) = 0.8708218692549034e-11, (119, 3) = 0.11747502806896227e-8, (119, 4) = 0.3986542634893522e-10, (119, 5) = -0.18605245591516813e-10, (119, 6) = -0.3009534932294507e-11, (119, 7) = 0.32629652311135766e-11, (120, 1) = -0.16050399219794936e-10, (120, 2) = 0.8494789562416073e-11, (120, 3) = 0.1177298843835625e-8, (120, 4) = 0.3867107750145139e-10, (120, 5) = -0.1825156006779017e-10, (120, 6) = -0.28057732922703526e-11, (120, 7) = 0.3058018111059415e-11, (121, 1) = -0.1550635416407613e-10, (121, 2) = 0.8286771907186822e-11, (121, 3) = 0.11797644520720168e-8, (121, 4) = 0.3749839816238541e-10, (121, 5) = -0.179046564962422e-10, (121, 6) = -0.26149114543976955e-11, (121, 7) = 0.2865173942337792e-11, (122, 1) = -0.14975761754194747e-10, (122, 2) = 0.8084037043132685e-11, (122, 3) = 0.11821578106786102e-8, (122, 4) = 0.36349353804088396e-10, (122, 5) = -0.175644957867693e-10, (122, 6) = -0.2436179786254095e-11, (122, 7) = 0.2683771938128526e-11, (123, 1) = -0.14458298929642815e-10, (123, 2) = 0.7886436111228735e-11, (123, 3) = 0.1184477412835794e-8, (123, 4) = 0.3522096126295468e-10, (123, 5) = -0.17230852517395524e-10, (123, 6) = -0.22688631001927273e-11, (123, 7) = 0.251319975965811e-11, (124, 1) = -0.13953687402573215e-10, (124, 2) = 0.7693865587618392e-11, (124, 3) = 0.11867220249665278e-8, (124, 4) = 0.3411637223729094e-10, (124, 5) = -0.16903783217364677e-10, (124, 6) = -0.21122903401850213e-11, (124, 7) = 0.23528837580789774e-11, (125, 1) = -0.13461549633644782e-10, (125, 2) = 0.7506151534379781e-11, (125, 3) = 0.1188897149024404e-8, (125, 4) = 0.3303185520341911e-10, (125, 5) = -0.1658297508322167e-10, (125, 6) = -0.19657866032914978e-11, (125, 7) = 0.22022276664434392e-11, (126, 1) = -0.12981528055333814e-10, (126, 2) = 0.7323175020133718e-11, (126, 3) = 0.11909980330249977e-8, (126, 4) = 0.31968895014399795e-10, (126, 5) = -0.16268428192245815e-10, (126, 6) = -0.1828737416272636e-11, (126, 7) = 0.20606921059849896e-11, (127, 1) = -0.1251334925790676e-10, (127, 2) = 0.71448022450762814e-11, (127, 3) = 0.11930368791468821e-8, (127, 4) = 0.30925168269090486e-10, (127, 5) = -0.1595994529536578e-10, (127, 6) = -0.17005642957390043e-11, (127, 7) = 0.19277648128769555e-11, (128, 1) = -0.12056664122166423e-10, (128, 2) = 0.6970902891903902e-11, (128, 3) = 0.11949984988800984e-8, (128, 4) = 0.2990287437232501e-10, (128, 5) = -0.1565744012758655e-10, (128, 6) = -0.15807226738701075e-11, (128, 7) = 0.1802962201788926e-11, (129, 1) = -0.11611215590250922e-10, (129, 2) = 0.6801386273637118e-11, (129, 3) = 0.11968993600102636e-8, (129, 4) = 0.28900147080382565e-10, (129, 5) = -0.15360783718278442e-10, (129, 6) = -0.14686992588250484e-11, (129, 7) = 0.16858173458030813e-11, (130, 1) = -0.11176689572059342e-10, (130, 2) = 0.66361109585935695e-11, (130, 3) = 0.119874251229159e-8, (130, 4) = 0.27915751228461665e-10, (130, 5) = -0.1506996454811597e-10, (130, 6) = -0.13640066121412605e-11, (130, 7) = 0.15758973394943555e-11, (131, 1) = -0.10752847620314014e-10, (131, 2) = 0.6474979668955007e-11, (131, 3) = 0.12005094860252073e-8, (131, 4) = 0.2695026830924684e-10, (131, 5) = -0.1478465740885954e-10, (131, 6) = -0.12661923343114569e-11, (131, 7) = 0.14727845404164439e-11, (132, 1) = -0.10339385856338755e-10, (132, 2) = 0.6317886581522219e-11, (132, 3) = 0.1202227689070044e-8, (132, 4) = 0.26004025373171577e-10, (132, 5) = -0.14504921383297311e-10, (132, 6) = -0.117482316930582e-11, (132, 7) = 0.13760829973621443e-11, (133, 1) = -0.9936029828507202e-11, (133, 2) = 0.6164717563718258e-11, (133, 3) = 0.12038784627655226e-8, (133, 4) = 0.25075153782644154e-10, (133, 5) = -0.14230591341865168e-10, (133, 6) = -0.1089495166072317e-11, (133, 7) = 0.12854232032874922e-11, (134, 1) = -0.954258200538204e-11, (134, 2) = 0.60153668094429556e-11, (134, 3) = 0.12054624421663825e-8, (134, 4) = 0.2416409972408739e-10, (134, 5) = -0.13961569099024428e-10, (134, 6) = -0.10098288357408212e-11, (134, 7) = 0.12004494115820128e-11, (135, 1) = -0.915871353546483e-11, (135, 2) = 0.5869751638206249e-11, (135, 3) = 0.12070025992460107e-8, (135, 4) = 0.23271492022243684e-10, (135, 5) = -0.13697768394350225e-10, (135, 6) = -0.935464640353776e-12, (135, 7) = 0.11208283383367453e-11, (136, 1) = -0.8784234210301511e-11, (136, 2) = 0.5727763841077969e-11, (136, 3) = 0.12084706474875078e-8, (136, 4) = 0.22394710020022877e-10, (136, 5) = -0.1343909294397463e-10, (136, 6) = -0.8660660324202705e-12, (136, 7) = 0.10462421991222154e-11, (137, 1) = -0.8418913263458105e-11, (137, 2) = 0.5589313993785467e-11, (137, 3) = 0.12098889273005505e-8, (137, 4) = 0.21535676726855785e-10, (137, 5) = -0.13185427926861937e-10, (137, 6) = -0.8013163492284678e-12, (137, 7) = 0.976391731445841e-12, (138, 1) = -0.8062467152589807e-11, (138, 2) = 0.54543196210213545e-11, (138, 3) = 0.12112528801006951e-8, (138, 4) = 0.2069189392423113e-10, (138, 5) = -0.12936678002997946e-10, (138, 6) = -0.7409176146801608e-12, (138, 7) = 0.910994600582341e-12, (139, 1) = -0.7714730287100752e-11, (139, 2) = 0.5322678054123467e-11, (139, 3) = 0.12125653854184757e-8, (139, 4) = 0.1986489890272202e-10, (139, 5) = -0.12692775835000164e-10, (139, 6) = -0.6845899300896001e-12, (139, 7) = 0.8497829990085735e-12, (140, 1) = -0.7375446342117648e-11, (140, 2) = 0.5194307400360006e-11, (140, 3) = 0.12138188632444438e-8, (140, 4) = 0.19054116219959057e-10, (140, 5) = -0.1245358984195867e-10, (140, 6) = -0.6320711383042871e-12, (140, 7) = 0.7925037232638139e-12, (141, 1) = -0.7044411595925558e-11, (141, 2) = 0.5069122407758296e-11, (141, 3) = 0.12150133348393326e-8, (141, 4) = 0.1825781497268621e-10, (141, 5) = -0.12219085401247519e-10, (141, 6) = -0.5831141022505443e-12, (141, 7) = 0.7389185911372965e-12, (142, 1) = -0.6721411054329123e-11, (142, 2) = 0.4947052990376775e-11, (142, 3) = 0.12161723234439253e-8, (142, 4) = 0.1747738330983317e-10, (142, 5) = -0.11989085228023421e-10, (142, 6) = -0.5374871770932166e-12, (142, 7) = 0.6888023926474155e-12, (143, 1) = -0.64062605091691784e-11, (143, 2) = 0.482800632195133e-11, (143, 3) = 0.12172680170306166e-8, (143, 4) = 0.16711578042847487e-10, (143, 5) = -0.11763570020466811e-10, (143, 6) = -0.4949736743484498e-12, (143, 7) = 0.641942100772299e-12, (144, 1) = -0.6098742025425115e-11, (144, 2) = 0.4711916193706158e-11, (144, 3) = 0.1218330702880712e-8, (144, 4) = 0.1595955897889176e-10, (144, 5) = -0.11542423255895684e-10, (144, 6) = -0.4553688284597233e-12, (144, 7) = 0.5981378832577253e-12, (145, 1) = -0.5798677057513097e-11, (145, 2) = 0.4598706096769562e-11, (145, 3) = 0.12193353543310945e-8, (145, 4) = 0.15223361961034254e-10, (145, 5) = -0.11325610150784382e-10, (145, 6) = -0.41848219488793295e-12, (145, 7) = 0.5572003836098101e-12, (146, 1) = -0.550588009340836e-11, (146, 2) = 0.44882880675520885e-11, (146, 3) = 0.12202857455131248e-8, (146, 4) = 0.14500418876082778e-10, (146, 5) = -0.11113028236882186e-10, (146, 6) = -0.3841341317304528e-12, (146, 7) = 0.5189520778312766e-12, (147, 1) = -0.5220157336739223e-11, (147, 2) = 0.4380605492331011e-11, (147, 3) = 0.12212000753634705e-8, (147, 4) = 0.1379119238849094e-10, (147, 5) = -0.10904523689854029e-10, (147, 6) = -0.3521569442290073e-12, (147, 7) = 0.4832242591595169e-12, (148, 1) = -0.49413372968622916e-11, (148, 2) = 0.42755942505609585e-11, (148, 3) = 0.12220670336629079e-8, (148, 4) = 0.13094678826697949e-10, (148, 5) = -0.10700136443468203e-10, (148, 6) = -0.3223928565883448e-12, (148, 7) = 0.4498598146017527e-12, (149, 1) = -0.4669250200024589e-11, (149, 2) = 0.417317907212515e-11, (149, 3) = 0.122288995704384e-8, (149, 4) = 0.12412330083168088e-10, (149, 5) = -0.10499703764283493e-10, (149, 6) = -0.29469488358582e-12, (149, 7) = 0.41870954819324477e-12, (150, 1) = -0.4403712013205302e-11, (150, 2) = 0.4073299764315313e-11, (150, 3) = 0.1223665684002994e-8, (150, 4) = 0.11742241160471754e-10, (150, 5) = -0.1030317689694116e-10, (150, 6) = -0.2689244656008504e-12, (150, 7) = 0.3896336179006955e-12, (151, 1) = -0.4144579427591234e-11, (151, 2) = 0.3975878589560163e-11, (151, 3) = 0.1224396603455543e-8, (151, 4) = 0.11085210144017644e-10, (151, 5) = -0.10110459511254232e-10, (151, 6) = -0.2449525995893326e-12, (151, 7) = 0.3625006066286385e-12, (152, 1) = -0.38916848416852296e-11, (152, 2) = 0.38808682939696256e-11, (152, 3) = 0.12251002854980518e-8, (152, 4) = 0.10440054268239915e-10, (152, 5) = -0.9921507967863049e-11, (152, 6) = -0.22265826204028151e-12, (152, 7) = 0.33718643994633003e-12, (153, 1) = -0.3644855356429144e-11, (153, 2) = 0.3788203889785971e-11, (153, 3) = 0.12257436502356109e-8, (153, 4) = 0.980794201747327e-11, (153, 5) = -0.9736237397022225e-11, (153, 6) = -0.20192812497115791e-12, (153, 7) = 0.3135747127959107e-12, (154, 1) = -0.340396118615834e-11, (154, 2) = 0.3697827252366246e-11, (154, 3) = 0.1226353307422349e-8, (154, 4) = 0.9186175708230342e-11, (154, 5) = -0.9554597649315009e-11, (154, 6) = -0.1826564040925313e-12, (154, 7) = 0.2915562150365321e-12, (155, 1) = -0.31688432998717966e-11, (155, 2) = 0.36096794411637987e-11, (155, 3) = 0.12269316630844605e-8, (155, 4) = 0.8577808830243637e-11, (155, 5) = -0.9376497241749015e-11, (155, 6) = -0.16474403131928477e-12, (155, 7) = 0.2710281947405146e-12, (156, 1) = -0.2939357375813386e-11, (156, 2) = 0.35237027889789578e-11, (156, 3) = 0.12274613278365115e-8, (156, 4) = 0.79793438193171e-11, (156, 5) = -0.920186693051316e-11, (156, 6) = -0.14809841321472652e-12, (156, 7) = 0.2518939679820372e-12, (157, 1) = -0.27153619196543353e-11, (157, 2) = 0.3439849104588805e-11, (157, 3) = 0.12279600179688634e-8, (157, 4) = 0.7392918423708086e-11, (157, 5) = -0.9030668428465661e-11, (157, 6) = -0.1326329694636143e-12, (157, 7) = 0.23406319783156147e-12, (158, 1) = -0.24980748116852893e-11, (158, 2) = 0.33585674115493146e-11, (158, 3) = 0.12284094216029687e-8, (158, 4) = 0.6821603976317833e-11, (158, 5) = -0.8863786066021544e-11, (158, 6) = -0.1183519151197076e-12, (158, 7) = 0.21754937709165998e-12, (159, 1) = -0.22931130761850767e-11, (159, 2) = 0.32819548479972626e-11, (159, 3) = 0.1228813812960284e-8, (159, 4) = 0.6278310095434659e-11, (159, 5) = -0.870573682183365e-11, (159, 6) = -0.10551134063300874e-12, (159, 7) = 0.2026600306552426e-12, (160, 1) = -0.21008409964575166e-11, (160, 2) = 0.3210141330288939e-11, (160, 3) = 0.12291686374264535e-8, (160, 4) = 0.57679093040764105e-11, (160, 5) = -0.8556870228087243e-11, (160, 6) = -0.9401117419620941e-13, (160, 7) = 0.18928977461730128e-12, (161, 1) = -0.19201922217252495e-11, (161, 2) = 0.31427195364896388e-11, (161, 3) = 0.12294833016356614e-8, (161, 4) = 0.528521870647234e-11, (161, 5) = -0.84164150381976e-11, (161, 6) = -0.8367827535476734e-13, (161, 7) = 0.17724627836112152e-12, (162, 1) = -0.17500382006084871e-11, (162, 2) = 0.30792626398127524e-11, (162, 3) = 0.12297616807404267e-8, (162, 4) = 0.4828423599994281e-11, (162, 5) = -0.8283635245036114e-11, (162, 6) = -0.7435742708748314e-13, (162, 7) = 0.16635630047369893e-12, (163, 1) = -0.15894069745447244e-11, (163, 2) = 0.30194000535656047e-11, (163, 3) = 0.12300053331583256e-8, (163, 4) = 0.4395358666486823e-11, (163, 5) = -0.8157858618845472e-11, (163, 6) = -0.6591849525409016e-13, (163, 7) = 0.15647380832507043e-12, (164, 1) = -0.143744735071212e-11, (164, 2) = 0.29628062228306213e-11, (164, 3) = 0.12302224927433942e-8, (164, 4) = 0.39840602242576006e-11, (164, 5) = -0.8038390336572891e-11, (164, 6) = -0.5825191121229164e-13, (164, 7) = 0.14747601877532904e-12, (165, 1) = -0.12934065335206593e-11, (165, 2) = 0.2909203531044491e-11, (165, 3) = 0.12304077852833621e-8, (165, 4) = 0.35926554480135007e-11, (165, 5) = -0.792484729304842e-11, (165, 6) = -0.5126495348768588e-13, (165, 7) = 0.13925839415573526e-12, (166, 1) = -0.1156624499015785e-11, (166, 2) = 0.28583377841434647e-11, (166, 3) = 0.12305629940469257e-8, (166, 4) = 0.32189978168650025e-11, (166, 5) = -0.7816624131829942e-11, (166, 6) = -0.4487834494433306e-13, (166, 7) = 0.13173149807135405e-12, (167, 1) = -0.10265210416646665e-11, (167, 2) = 0.28099859769711778e-11, (167, 3) = 0.12307048112808125e-8, (167, 4) = 0.28628730141565726e-11, (167, 5) = -0.7713392249055152e-11, (167, 6) = -0.3902428012462705e-13, (167, 7) = 0.12481864852611245e-12, (168, 1) = -0.9025640604170987e-12, (168, 2) = 0.27639491870152004e-11, (168, 3) = 0.12308209011808183e-8, (168, 4) = 0.25224103801739054e-11, (168, 5) = -0.7614781499091382e-11, (168, 6) = -0.336442843827677e-13, (168, 7) = 0.1184536829449645e-12, (169, 1) = -0.7842921223495981e-12, (169, 2) = 0.27200541310057924e-11, (169, 3) = 0.12309247582023974e-8, (169, 4) = 0.2195560422415873e-11, (169, 5) = -0.752035432041767e-11, (169, 6) = -0.2868781128546623e-13, (169, 7) = 0.11257905769508853e-12, (170, 1) = -0.6712838397935098e-12, (170, 2) = 0.26781416441771932e-11, (170, 3) = 0.12310105895101172e-8, (170, 4) = 0.1881429399968058e-11, (170, 5) = -0.7429936109254022e-11, (170, 6) = -0.24110889621727452e-13, (170, 7) = 0.1071446837412809e-12, (171, 1) = -0.5631611547338676e-12, (171, 2) = 0.26380669883797786e-11, (171, 3) = 0.12310826986623688e-8, (171, 4) = 0.15819072978324664e-11, (171, 5) = -0.7343181172926194e-11, (171, 6) = -0.1987509570792081e-13, (171, 7) = 0.10210683924543437e-12, (172, 1) = -0.4595821765691131e-12, (172, 2) = 0.25996992004927467e-11, (172, 3) = 0.12311444178261443e-8, (172, 4) = 0.12922776880427693e-11, (172, 5) = -0.7259865303530753e-11, (172, 6) = -0.1594690713150054e-13, (172, 7) = 0.9742711634109024e-13, (173, 1) = -0.360239821686979e-12, (173, 2) = 0.256292258113084e-11, (173, 3) = 0.1231182643453054e-8, (173, 4) = 0.10145565202094742e-11, (173, 5) = -0.71797304253474045e-11, (173, 6) = -0.12296822976919166e-13, (173, 7) = 0.9307182871563279e-13, (174, 1) = -0.26485444170652493e-12, (174, 2) = 0.25276374440445824e-11, (174, 3) = 0.1231214457114319e-8, (174, 4) = 0.7475904889489019e-12, (174, 5) = -0.7102655072283805e-11, (174, 6) = -0.8898840022002288e-14, (174, 7) = 0.8901105773542986e-13, (175, 1) = -0.17317086532258958e-12, (175, 2) = 0.2493741836417416e-11, (175, 3) = 0.12312385732722901e-8, (175, 4) = 0.4895181132410539e-12, (175, 5) = -0.7028323739814668e-11, (175, 6) = -0.5729946700895339e-14, (175, 7) = 0.852184352526504e-13, (176, 1) = -0.8495682761705501e-13, (176, 2) = 0.24611493869265283e-11, (176, 3) = 0.1231250597216119e-8, (176, 4) = 0.2399942514572332e-12, (176, 5) = -0.6956738131751051e-11, (176, 6) = -0.2769726093823494e-14, (176, 7) = 0.8167037339566886e-13, (177, 1) = .0, (177, 2) = 0.24297727964088152e-11, (177, 3) = 0.12312559658094405e-8, (177, 4) = .0, (177, 5) = -0.6887584184124894e-11, (177, 6) = .0, (177, 7) = 0.7834600855072988e-13}, datatype = float[8], order = C_order); if not type(outpoint, 'numeric') then if outpoint = "start" or outpoint = "left" then return X[1] elif outpoint = "right" then return X[177] elif outpoint = "order" then return 8 elif outpoint = "error" then return HFloat(1.2934292747785471e-9) elif outpoint = "errorproc" then error "this is already the error procedure" elif outpoint = "rawdata" then return [7, 177, [chi(eta), diff(chi(eta), eta), f(eta), diff(f(eta), eta), diff(diff(f(eta), eta), eta), theta(eta), diff(theta(eta), eta)], X, Y] else return ('procname')(x_bvp) end if end if; if outpoint < X[1] or X[177] < outpoint then error "solution is only defined in the range %1..%2", X[1], X[177] end if; V := array([1 = 4, 2 = 0]); if Digits <= trunc(evalhf(Digits)) then L := Vector(4, 'datatype' = 'float'[8]); yout := Vector(7, 'datatype' = 'float'[8]); evalhf(`dsolve/numeric/lagrange`(177, 7, X, Y, outpoint, var(yout), var(L), var(V))) else L := Vector(4, 'datatype' = 'sfloat'); yout := Vector(7, 'datatype' = 'sfloat'); `dsolve/numeric/lagrange`(177, 7, X, Y, outpoint, yout, L, V) end if; [eta = outpoint, seq('[chi(eta), diff(chi(eta), eta), f(eta), diff(f(eta), eta), diff(diff(f(eta), eta), eta), theta(eta), diff(theta(eta), eta)]'[i] = yout[i], i = 1 .. 7)] end proc; if not type(outpoint, 'numeric') then if outpoint = "start" or outpoint = "left" then return X[1] elif outpoint = "method" then return "bvp" elif outpoint = "right" then return X[177] elif outpoint = "order" then return 8 elif outpoint = "error" then return HFloat(1.2934292747785471e-9) elif outpoint = "errorproc" then return eval(errproc) elif outpoint = "rawdata" then return [7, 177, "depnames", X, Y, YP] else error "non-numeric value" end if end if; if outpoint < X[1] or X[177] < outpoint then error "solution is only defined in the range %1..%2", X[1], X[177] end if; if Digits <= trunc(evalhf(Digits)) and (_EnvInFsolve <> true or _EnvDSNumericSaveDigits <= trunc(evalhf(Digits))) then V := array( 1 .. 6, [( 1 ) = (7), ( 2 ) = (0), ( 3 ) = (false), ( 4 ) = (false), ( 5 ) = (false), ( 6 ) = (false)  ] ); L := Matrix(7, 2, {(1, 1) = .0, (1, 2) = .0, (2, 1) = .0, (2, 2) = .0, (3, 1) = .0, (3, 2) = .0, (4, 1) = .0, (4, 2) = .0, (5, 1) = .0, (5, 2) = .0, (6, 1) = .0, (6, 2) = .0, (7, 1) = .0, (7, 2) = .0}, datatype = float[8], order = C_order); yout := Vector(7, {(1) = .0, (2) = .0, (3) = .0, (4) = .0, (5) = .0, (6) = .0, (7) = .0}, datatype = float[8]); evalhf(`dsolve/numeric/hermite`(177, 7, X, Y, YP, outpoint, var(yout), var(L), var(V))) else if _EnvInFsolve = true then Digits := _EnvDSNumericSaveDigits end if; V := array( 1 .. 6, [( 1 ) = (7), ( 2 ) = (0), ( 3 ) = (false), ( 4 ) = (false), ( 5 ) = (false), ( 6 ) = (false)  ] ); L := Matrix(7, 2, {(1, 1) = 0., (1, 2) = 0., (2, 1) = 0., (2, 2) = 0., (3, 1) = 0., (3, 2) = 0., (4, 1) = 0., (4, 2) = 0., (5, 1) = 0., (5, 2) = 0., (6, 1) = 0., (6, 2) = 0., (7, 1) = 0., (7, 2) = 0.}, order = C_order); yout := Vector(7, {(1) = 0., (2) = 0., (3) = 0., (4) = 0., (5) = 0., (6) = 0., (7) = 0.}); `dsolve/numeric/hermite`(177, 7, X, Y, YP, outpoint, yout, L, V) end if; [outpoint, seq(yout[i], i = 1 .. 7)] end proc, (2) = Array(1..8, {(1) = 18446744078246286542, (2) = 18446744078246287070, (3) = 18446744078246287246, (4) = 18446744078246287422, (5) = 18446744078246287598, (6) = 18446744078246287774, (7) = 18446744078246287950, (8) = 18446744078246288126}), (3) = [eta, chi(eta), diff(chi(eta), eta), f(eta), diff(f(eta), eta), diff(diff(f(eta), eta), eta), theta(eta), diff(theta(eta), eta)], (4) = 0}); _solnproc := _dat[1]; if member(eta, ["last", 'last']) then _res := _solnproc("last"); if type(_res, 'list') then return _res[1] end if elif type(eta, `=`) and member(lhs(eta), ["initial", 'initial']) then if type(rhs(eta), 'list') then _res := _solnproc("initial" = [0, op(rhs(eta))]) else _res := _solnproc("initial" = [1, rhs(eta)]) end if; if type(_res, 'list') then return _res[1] end if elif eta = "sysvars" then return _dat[3] end if; eta end proc, chi(eta) = proc (eta) local res, data, solnproc, `chi(eta)`, outpoint; option `Copyright (c) 2000 by Waterloo Maple Inc. All rights reserved.`; _EnvDSNumericSaveDigits := Digits; Digits := 15; if _EnvInFsolve = true then outpoint := evalf[_EnvDSNumericSaveDigits](eta) else outpoint := evalf(eta) end if; data := Array(1..4, {(1) = proc (outpoint) local X, Y, YP, yout, errproc, L, V, i; option `Copyright (c) 2000 by Waterloo Maple Inc. All rights reserved.`; X := Vector(177, {(1) = .1, (2) = .13432431415631105, (3) = .16865165190091197, (4) = .202985958039896, (5) = .23732533659105348, (6) = .2716788241585104, (7) = .30604559361419775, (8) = .3404355394485909, (9) = .3748529011933503, (10) = .4093061022796795, (11) = .44380716982563195, (12) = .47836387534050584, (13) = .512995852912669, (14) = .5477165596092971, (15) = .5825440749488203, (16) = .617499631782922, (17) = .6526070635536141, (18) = .6878927128084736, (19) = .7233862578282453, (20) = .7591205797331673, (21) = .795131110399485, (22) = .8314537516454595, (23) = .868136597156794, (24) = .9052215072936881, (25) = .9427566773054169, (26) = .9807963691446203, (27) = 1.019390250121844, (28) = 1.0585930956320206, (29) = 1.0984604169171555, (30) = 1.1390444870104077, (31) = 1.1804077038174698, (32) = 1.222605314046431, (33) = 1.2656867522025514, (34) = 1.3097007904581703, (35) = 1.35469069615675, (36) = 1.4006929822839422, (37) = 1.447731690331962, (38) = 1.4958369065409785, (39) = 1.5450201198096045, (40) = 1.5952810827286137, (41) = 1.646612127195734, (42) = 1.6989954066809312, (43) = 1.7524040840585657, (44) = 1.806801993976599, (45) = 1.862146412251251, (46) = 1.9183893448840852, (47) = 1.9754805768192913, (48) = 2.0333655491409464, (49) = 2.09198758848087, (50) = 2.1512911903998386, (51) = 2.2112299885365556, (52) = 2.271742934464316, (53) = 2.3327750130678835, (54) = 2.3942834797609645, (55) = 2.4562254559367735, (56) = 2.518550408638634, (57) = 2.5812184684337374, (58) = 2.6441937416859225, (59) = 2.7074501856327, (60) = 2.770954649679994, (61) = 2.8346761833615464, (62) = 2.898592678498704, (63) = 2.962688121088583, (64) = 3.0269416312716424, (65) = 3.091328430651392, (66) = 3.155836619851239, (67) = 3.220454275768738, (68) = 3.285168541451302, (69) = 3.3499654130373253, (70) = 3.414829585389634, (71) = 3.4797579848516915, (72) = 3.5447435602802027, (73) = 3.609779652754643, (74) = 3.674861152412504, (75) = 3.7399848957435275, (76) = 3.8051508297379377, (77) = 3.8703655596105624, (78) = 3.935652421384301, (79) = 4.001077560861665, (80) = 4.0666510045970385, (81) = 4.132314229225371, (82) = 4.198000337516065, (83) = 4.263680764101562, (84) = 4.329336756026789, (85) = 4.394973340046662, (86) = 4.460588954073379, (87) = 4.526181509768576, (88) = 4.59174993915436, (89) = 4.6572937466339175, (90) = 4.722812832368339, (91) = 4.788307377913861, (92) = 4.853777459964835, (93) = 4.9192172921590585, (94) = 4.98463029125814, (95) = 5.0500209149724435, (96) = 5.115387283230868, (97) = 5.180725066182968, (98) = 5.246040278527776, (99) = 5.3113174587944965, (100) = 5.376570973389221, (101) = 5.44180368691663, (102) = 5.5070118178761875, (103) = 5.572199562571729, (104) = 5.637373294661837, (105) = 5.702517813103393, (106) = 5.767639827784657, (107) = 5.832736032997183, (108) = 5.897804505036399, (109) = 5.962849913789289, (110) = 6.0278771161534, (111) = 6.092882596362824, (112) = 6.157876605520855, (113) = 6.222850932401667, (114) = 6.287802017103068, (115) = 6.352734006431941, (116) = 6.4176483673997975, (117) = 6.482540451739694, (118) = 6.547416149850125, (119) = 6.6122680542862025, (120) = 6.677102130347337, (121) = 6.7419211005546, (122) = 6.8067248666742355, (123) = 6.871509114964304, (124) = 6.936266375612976, (125) = 7.0010059228545805, (126) = 7.065728682384006, (127) = 7.130434804847329, (128) = 7.195124539737002, (129) = 7.259798136520217, (130) = 7.324455844038698, (131) = 7.3890979060419335, (132) = 7.453724561298953, (133) = 7.518336044173569, (134) = 7.582932585751136, (135) = 7.647514413049672, (136) = 7.712081750883993, (137) = 7.776634831889643, (138) = 7.841173896857807, (139) = 7.905699203490006, (140) = 7.970211023056725, (141) = 8.034709635791245, (142) = 8.099195318161058, (143) = 8.163668350318732, (144) = 8.22812902562451, (145) = 8.292577648267015, (146) = 8.357014533032183, (147) = 8.42144000370015, (148) = 8.485854390888106, (149) = 8.550258023403897, (150) = 8.6146512403873, (151) = 8.679034390131827, (152) = 8.74340782797264, (153) = 8.807771917708358, (154) = 8.872127033100252, (155) = 8.93647355737236, (156) = 9.000811876240148, (157) = 9.065142395655199, (158) = 9.129062231749659, (159) = 9.190791738971976, (160) = 9.25002177586793, (161) = 9.306893224933363, (162) = 9.361586616509348, (163) = 9.414263699827062, (164) = 9.46506800130928, (165) = 9.514127801690371, (166) = 9.561558693204324, (167) = 9.60746518855213, (168) = 9.651942086110576, (169) = 9.695075631414408, (170) = 9.73694468456052, (171) = 9.777621794577053, (172) = 9.817172850818734, (173) = 9.855658388735026, (174) = 9.893134209297964, (175) = 9.929651857051025, (176) = 9.965259040121957, (177) = 10.0}, datatype = float[8], order = C_order); Y := Matrix(177, 7, {(1, 1) = 1.0, (1, 2) = -3.010283491881195, (1, 3) = -0.5e-1, (1, 4) = -.5, (1, 5) = 3.2549705904755624, (1, 6) = 1.0, (1, 7) = -2.2961168243517345, (2, 1) = .9116006400192896, (2, 2) = -2.2188140910266996, (2, 3) = -0.6542988930944998e-1, (2, 4) = -.40370802709261644, (2, 5) = 2.4361750640983972, (2, 6) = .9313148374425487, (2, 7) = -1.7587335888496072, (3, 1) = .8440668335083839, (3, 2) = -1.7515672684205508, (3, 3) = -0.7795914493005979e-1, (3, 4) = -.32904124123644557, (3, 5) = 1.950857483460543, (3, 6) = .8768325041094468, (3, 7) = -1.4395391386527499, (4, 1) = .7895472336660474, (4, 2) = -1.443419767334426, (4, 3) = -0.8817574136327207e-1, (4, 4) = -.2679158648423435, (4, 5) = 1.6295350420268857, (4, 6) = .831272138114754, (4, 7) = -1.2272759842281986, (5, 1) = .7439269688663698, (5, 2) = -1.2250712603116078, (5, 3) = -0.9646350877742356e-1, (5, 4) = -.21608666124952267, (5, 5) = 1.4009694099334766, (5, 6) = .7918687409370647, (5, 7) = -1.0753753559802985, (6, 1) = .7047645567594804, (6, 2) = -1.062293032083934, (6, 3) = -.10309608982056391, (6, 4) = -.1710281829224358, (6, 5) = 1.229921365777778, (6, 6) = .7569783455483658, (6, 7) = -.9608633361558743, (7, 1) = .670508499292611, (7, 2) = -.9363094708603249, (7, 3) = -.1082751849303922, (7, 4) = -.1311332340751042, (7, 5) = 1.097033665972045, (7, 6) = .725556739475722, (7, 7) = -.871143819024352, (8, 1) = .6400970314770135, (8, 2) = -.8359113795739894, (8, 3) = -.11215820698136195, (8, 4) = -0.9529846009910026e-1, (8, 5) = .9907326565311447, (8, 6) = .6968857043397841, (8, 7) = -.798694055572774, (9, 1) = .6127818638670864, (9, 2) = -.7540307621161558, (9, 3) = -.11486934685856202, (9, 4) = -0.6274515848045818e-1, (9, 5) = .903710629210698, (9, 6) = .6704589172997079, (9, 7) = -.7387684103204613, (10, 1) = .5880101630726342, (10, 2) = -.6859732537372588, (10, 3) = -.11650974862771135, (10, 4) = -0.3289635416421537e-1, (10, 5) = .8311070612968686, (10, 6) = .6459004421044664, (10, 7) = -.6882118043576506, (11, 1) = .5653617782847322, (11, 2) = -.6285004073713887, (11, 3) = -.11716276509404526, (11, 4) = -0.5312156394166294e-2, (11, 5) = .7695640956343914, (11, 6) = .6229228742706305, (11, 7) = -.64484492277093, (12, 1) = .5445141227529045, (12, 2) = -.5793166470382869, (12, 3) = -.11689775490014931, (12, 4) = 0.20345547838662725e-1, (12, 5) = .7166984974611179, (12, 6) = .6013055866744937, (12, 7) = -.6071216319336978, (13, 1) = .5252059891093054, (13, 2) = -.5367311431212949, (13, 3) = -.11577285556558614, (13, 4) = 0.44352419520146014e-1, (13, 5) = .6707519723642751, (13, 6) = .5808668967259533, (13, 7) = -.5739002262529861, (14, 1) = .5072310763583526, (14, 2) = -.49948942467589225, (14, 3) = -.113836968901507, (14, 4) = 0.6692621623257643e-1, (14, 5) = .6304185015498383, (14, 6) = .5614637545616503, (14, 7) = -.5443331052943612, (15, 1) = .4904191420808039, (15, 2) = -.46663169018318124, (15, 3) = -.11113120062283205, (15, 4) = 0.882475828156531e-1, (15, 5) = .5946973362482103, (15, 6) = .5429767216798966, (15, 7) = -.5177703096857598, (16, 1) = .47462847032783395, (16, 2) = -.43741237094615587, (16, 3) = -.10768980917681761, (16, 4) = .10846767050378146, (16, 5) = .5628099475659347, (16, 6) = .5253052925364996, (16, 7) = -.49370579887626914, (17, 1) = .45973994111746974, (17, 2) = -.4112440008745413, (17, 3) = -.10354099578541562, (17, 4) = .12771421698659408, (17, 5) = .5341419874792643, (17, 6) = .5083640692975898, (17, 7) = -.4717398711807749, (18, 1) = .4456524312660702, (18, 2) = -.3876575548580043, (18, 3) = -0.987075140842896e-1, (18, 4) = .14609630418834832, (18, 5) = .5082022267347898, (18, 6) = .49207972636782243, (18, 7) = -.45155255379360504, (19, 1) = .43227900759396704, (19, 2) = -.3662736309623723, (19, 3) = -0.932070026083659e-1, (19, 4) = .1637083931514831, (19, 5) = .48459265857890527, (19, 6) = .47638833270765585, (19, 7) = -.4328841497234415, (20, 1) = .41954437259728117, (20, 2) = -.34678216572683396, (20, 3) = -0.8705230179329684e-1, (20, 4) = .18063295456195466, (20, 5) = .4629874722134205, (20, 6) = .46123371189807766, (20, 7) = -.41552163184362956, (21, 1) = .40738304871718267, (21, 2) = -.32892767036417664, (21, 3) = -0.8025181273703264e-1, (21, 4) = .1969422817914571, (21, 5) = .4431177566148181, (21, 6) = .44656638757907796, (21, 7) = -.39928880193030747, (22, 1) = .3957383812536956, (22, 2) = -.31249869978237255, (22, 3) = -0.7281016245788906e-1, (22, 4) = .21269931606763323, (22, 5) = .42476063372747375, (22, 6) = .43234331147984484, (22, 7) = -.38403945114777954, (23, 1) = .3845575897267605, (23, 2) = -.29731416431452806, (23, 3) = -0.647258610678675e-1, (23, 4) = .2279639568142309, (23, 5) = .40772462385587316, (23, 6) = .41852254000091954, (23, 7) = -.36964681487130585, (24, 1) = .37379664354289055, (24, 2) = -.28322501684036205, (24, 3) = -0.5599517983139291e-1, (24, 4) = .2427861347723762, (24, 5) = .3918520439519158, (24, 6) = .405069802195059, (24, 7) = -.3560068471972505, (25, 1) = .36341537175628497, (25, 2) = -.2701033420412026, (25, 3) = -0.4660967679615468e-1, (25, 4) = .2572121554674377, (25, 5) = .37700721405190146, (25, 6) = .39195303795515646, (25, 7) = -.3430294380682383, (26, 1) = .3533770946126125, (26, 2) = -.2578389396986893, (26, 3) = -0.3655606175762054e-1, (26, 4) = .2712850292677997, (26, 5) = .36307292252881584, (26, 6) = .3791423103767972, (26, 7) = -.3306361874020015, (27, 1) = .3436508736010304, (27, 2) = -.24633953213188772, (27, 3) = -0.2581904091109644e-1, (27, 4) = .28504110605404537, (27, 5) = .3499509645976493, (27, 6) = .3666130638370115, (27, 7) = -.3187617238807888, (28, 1) = .3342083390670267, (28, 2) = -.23552476168366415, (28, 3) = -0.1437893723914758e-1, (28, 4) = .29851430859060935, (28, 5) = .33755558003287145, (28, 6) = .35434243786971953, (28, 7) = -.3073486098948925, (29, 1) = .32502443519684, (29, 2) = -.2253255020912264, (29, 3) = -0.2212880763571889e-2, (29, 4) = .3117349359672634, (29, 5) = .32581286288190825, (29, 6) = .3423104953946207, (29, 7) = -.29634737207014694, (30, 1) = .31607786546540023, (30, 2) = -.2156829331351726, (30, 3) = 0.1070379518066878e-1, (30, 4) = .324728843808106, (30, 5) = .31465989354105117, (30, 6) = .3305010849621276, (30, 7) = -.28571629053101066, (31, 1) = .3073478049653732, (31, 2) = -.2065438873825929, (31, 3) = 0.24401723478456858e-1, (31, 4) = .33752207959661373, (31, 5) = .304039516592149, (31, 6) = .3188977264061976, (31, 7) = -.2754169157752743, (32, 1) = .29881745159040424, (32, 2) = -.19786380124231495, (32, 3) = 0.3891198298875327e-1, (32, 4) = .35013561530865284, (32, 5) = .29390388011792296, (32, 6) = .3074884833376804, (32, 7) = -.26541783827718834, (33, 1) = .29047317259933714, (33, 2) = -.18960486731359524, (33, 3) = 0.54266026383219236e-1, (33, 4) = .36258639522561675, (33, 5) = .2842124423413447, (33, 6) = .29626505510184786, (33, 7) = -.2556932617203244, (34, 1) = .28230310705588524, (34, 2) = -.18173393918032565, (34, 3) = 0.7049716580583928e-1, (34, 4) = .37488926686015167, (34, 5) = .2749296363719141, (34, 6) = .2852210611168979, (34, 7) = -.2462210635577509, (35, 1) = .27429780407556603, (35, 2) = -.17422262687378032, (35, 3) = 0.8763858849715334e-1, (35, 4) = .3870559122413701, (35, 5) = .26602507525248614, (35, 6) = .2743530179070213, (35, 7) = -.2369833048528358, (36, 1) = .26645007878841165, (36, 2) = -.16704665751311357, (36, 3) = .10572246440316273, (36, 4) = .3990949249001731, (36, 5) = .2574728923416692, (36, 6) = .2636602500529938, (36, 7) = -.2279658642184645, (37, 1) = .25875557734659277, (37, 2) = -.1601859421542037, (37, 3) = .12477714314440705, (37, 4) = .41101078776726396, (37, 5) = .24925191600226893, (37, 6) = .25314574105926013, (37, 7) = -.2191589209315012, (38, 1) = .2512094376242596, (38, 2) = -.15362126746579838, (38, 3) = .14483420719255005, (38, 4) = .42280892511572515, (38, 5) = .24134177847648824, (38, 6) = .24281161292316816, (38, 7) = -.21055300577533773, (39, 1) = .2438100685063101, (39, 2) = -.14733741986174867, (39, 3) = .1659180940582039, (39, 4) = .4344897565601667, (39, 5) = .23372671477717596, (39, 6) = .23266430393009532, (39, 7) = -.2021432253147483, (40, 1) = .23655756740858105, (40, 2) = -.14132147717760368, (40, 3) = .18804805051420714, (40, 4) = .44605098876584576, (40, 5) = .22639358970698623, (40, 6) = .22271240560604702, (40, 7) = -.19392734410767049, (41, 1) = .2294527959629172, (41, 2) = -.1355618535661384, (41, 3) = .211239426287894, (41, 4) = .4574889782290803, (41, 5) = .21933078665833716, (41, 6) = .21296535700731722, (41, 7) = -.18590465201723103, (42, 1) = .22249756111172841, (42, 2) = -.13004833389409315, (42, 3) = .23550196617307032, (42, 4) = .4687983695351276, (42, 5) = .21252828358414444, (42, 6) = .20343363443866733, (42, 7) = -.17807609406978153, (43, 1) = .21569423982605018, (43, 2) = -.12477167494006297, (43, 3) = .2608398253939708, (43, 4) = .4799726300795009, (43, 5) = .20597719438448733, (43, 6) = .19412816320881474, (43, 7) = -.17044377008176909, (44, 1) = .2090456528136725, (44, 2) = -.11972344246799402, (44, 3) = .2872509358297023, (44, 4) = .49100420281898555, (44, 5) = .19966959020759237, (44, 6) = .18506006069338682, (44, 7) = -.16301071564836836, (45, 1) = .20255459512253304, (45, 2) = -.1148956147475554, (45, 3) = .3147279299901195, (45, 4) = .5018852472953027, (45, 5) = .1935980202293324, (45, 6) = .17623990793629188, (45, 7) = -.15578029883884625, (46, 1) = .19622362924938264, (46, 2) = -.11028042171087489, (46, 3) = .34325850718834033, (46, 4) = .5126079809791431, (46, 5) = .1877553133493232, (46, 6) = .1676773875746207, (46, 7) = -.14875591411024416, (47, 1) = .19005473802029896, (47, 2) = -.10587010196399801, (47, 3) = .3728268197038715, (47, 4) = .5231652841517149, (47, 5) = .18213426698507848, (47, 6) = .15938074653118098, (47, 7) = -.14194052404260726, (48, 1) = .18404958719476303, (48, 2) = -.10165710878026424, (48, 3) = .4034123048724468, (48, 4) = .5335502837116244, (48, 5) = .1767279011977732, (48, 6) = .15135709780087095, (48, 7) = -.13533687973410663, (49, 1) = .1782093093546209, (49, 2) = -0.976339646318128e-1, (49, 3) = .434990761252832, (49, 4) = .5437567517407721, (49, 5) = .17152926762281148, (49, 6) = .1436120885672883, (49, 7) = -.12894721237733586, (50, 1) = .172534243624339, (50, 2) = -0.9379309915858196e-1, (50, 3) = .46753615565531664, (50, 4) = .5537796082939569, (50, 5) = .1665312288048679, (50, 6) = .13614953718018194, (50, 7) = -.12277288786102344, (51, 1) = .16702332229465286, (51, 2) = -0.9012646774014009e-1, (51, 3) = .501025271803289, (51, 4) = .5636160898088879, (51, 5) = .16172593962052867, (51, 6) = .1289706483940657, (51, 7) = -.11681369761445241, (52, 1) = .16167636746547506, (52, 2) = -0.8662709254567018e-1, (52, 3) = .5354245937655286, (52, 4) = .5732617138385044, (52, 5) = .1571068532547171, (52, 6) = .12207703121748083, (52, 7) = -.11107030160152458, (53, 1) = .15649217188922715, (53, 2) = -0.832877606097653e-1, (53, 3) = .5707017632972221, (53, 4) = .5827137094120911, (53, 5) = .15266702144547653, (53, 6) = .11546819718098544, (53, 7) = -.10554209857792878, (54, 1) = .1514681638565417, (54, 2) = -0.8010083796586685e-1, (54, 3) = .6068296591707916, (54, 4) = .5919717359930652, (54, 5) = .1483988206956467, (54, 6) = .10914121738711419, (54, 7) = -.1002268626526667, (55, 1) = .14660160234777767, (55, 2) = -0.7705904545671184e-1, (55, 3) = .6437795928327126, (55, 4) = .6010357808561354, (55, 5) = .14429496914815607, (55, 6) = .10309232375018078, (55, 7) = -0.9512201172172534e-1, (56, 1) = .14189016294329682, (56, 2) = -0.7415579244743617e-1, (56, 3) = .6815167857151943, (56, 4) = .609905070263442, (56, 5) = .14034898646161215, (56, 6) = 0.9731766543861783e-1, (56, 7) = -0.9022519334264704e-1, (57, 1) = .13733055115840967, (57, 2) = -0.7138429207106428e-1, (57, 3) = .7200114369835326, (57, 4) = .6185806833233924, (57, 5) = .13655400028046524, (57, 6) = 0.9181164277759303e-1, (57, 7) = -0.8553282185600106e-1, (58, 1) = .13291913685185686, (58, 2) = -0.6873795031830646e-1, (58, 3) = .7592350640821742, (58, 4) = .6270644277840627, (58, 5) = .1329032634057901, (58, 6) = 0.8656778272546026e-1, (58, 7) = -0.8104075700907686e-1, (59, 1) = .1286516327741731, (59, 2) = -0.6621016059961132e-1, (59, 3) = .799164460031636, (59, 4) = .6353595080809519, (59, 5) = .12938986575267097, (59, 6) = 0.8157844377519083e-1, (59, 7) = -0.7674399557867947e-1, (60, 1) = .12452430619411357, (60, 2) = -0.6379500379743547e-1, (60, 3) = .839771230939577, (60, 4) = .6434682068578423, (60, 5) = .12600770681463422, (60, 6) = 0.7683631058969256e-1, (60, 7) = -0.7263791038699614e-1, (61, 1) = .12053332346250112, (61, 2) = -0.6148682506048283e-1, (61, 3) = .8810276084176722, (61, 4) = .6513931420513931, (61, 5) = .12275092222076696, (61, 6) = 0.723336551457202e-1, (61, 7) = -0.687175841247968e-1, (62, 1) = .11667438654168381, (62, 2) = -0.5928000637071922e-1, (62, 3) = .9229109557024708, (62, 4) = .6591380172829979, (62, 5) = .11961356381867923, (62, 6) = 0.6806199777754275e-1, (62, 7) = -0.6497747609164842e-1, (63, 1) = .11294298648362892, (63, 2) = -0.57169100695410174e-1, (63, 3) = .9654023076310734, (63, 4) = .6667071615807357, (63, 5) = .11658978562213738, (63, 6) = 0.6401247882339202e-1, (63, 7) = -0.6141170855360152e-1, (64, 1) = .10933506387603534, (64, 2) = -0.5514918379084914e-1, (64, 3) = 1.0084792288200035, (64, 4) = .674104198640308, (64, 5) = .11367435428569851, (64, 6) = 0.6017662590041298e-1, (64, 7) = -0.58014717648254485e-1, (65, 1) = .10584689988050607, (65, 2) = -0.53215760915675155e-1, (65, 3) = 1.0521163069669728, (65, 4) = .6813322323771271, (65, 5) = .11086253363996139, (65, 6) = 0.5654623868694521e-1, (65, 7) = -0.5478114175121917e-1, (66, 1) = .10247421278276006, (66, 2) = -0.51364246219493405e-1, (66, 3) = 1.0962965827078632, (66, 4) = .6883957184775215, (66, 5) = .10814933543258673, (66, 6) = 0.5311248462877352e-1, (66, 7) = -0.51704999820689775e-1, (67, 1) = 0.9921290988322891e-1, (67, 2) = -0.4959036780155851e-1, (67, 3) = 1.141003046528324, (67, 4) = .6952989342332647, (67, 5) = .1055301079545874, (67, 6) = 0.4986674411817201e-1, (67, 7) = -0.4878042451768817e-1, (68, 1) = 0.9605911922500847e-1, (68, 2) = -0.4789016423374489e-1, (68, 3) = 1.186218001626672, (68, 4) = .7020458967717208, (68, 5) = .10300054210288584, (68, 6) = 0.4680065855233838e-1, (68, 7) = -0.4600169882505357e-1, (69, 1) = 0.9300918118628577e-1, (69, 2) = -0.4625996072380607e-1, (69, 3) = 1.2319228849172166, (69, 4) = .7086403636416022, (69, 5) = .10055664721832, (69, 6) = 0.4390613308737576e-1, (69, 7) = -0.4336325445354654e-1, (70, 1) = 0.9005963726896335e-1, (70, 2) = -0.44696345792792136e-1, (70, 3) = 1.2780981239439666, (70, 4) = .715085840088841, (70, 5) = 0.9819472668269251e-1, (70, 6) = 0.4117533490884553e-1, (70, 7) = -0.4085966769265928e-1, (71, 1) = 0.8720662809616934e-1, (71, 2) = -0.43195840295262154e-1, (71, 3) = 1.3247328641656022, (71, 4) = .7213868990604615, (71, 5) = 0.959108824037368e-1, (71, 6) = 0.3860016386916169e-1, (71, 7) = -0.3848516856421221e-1, (72, 1) = 0.8444665201022808e-1, (72, 2) = -0.417552894446388e-1, (72, 3) = 1.3718135605563158, (72, 4) = .7275475329006473, (72, 5) = 0.9370160979020452e-1, (72, 6) = 0.3617298491606246e-1, (72, 7) = -0.36234307802151734e-1, (73, 1) = 0.8177634831364401e-1, (73, 2) = -0.4037173402203197e-1, (73, 3) = 1.419327053967124, (73, 4) = .7335716098404168, (73, 5) = 0.9156361245610806e-1, (73, 6) = 0.33886428452975216e-1, (73, 7) = -0.3410177625172606e-1, (74, 1) = 0.7919244512824229e-1, (74, 2) = -0.3904237227030642e-1, (74, 3) = 1.4672614347298802, (74, 4) = .7394629834350771, (74, 5) = 0.8949375010756808e-1, (74, 6) = 0.3173335356974858e-1, (74, 7) = -0.3208237199793818e-1, (75, 1) = 0.766917452786738e-1, (75, 2) = -0.3776454319644946e-1, (75, 3) = 1.5156063797855175, (75, 4) = .7452255211846236, (75, 5) = 0.8748901780777456e-1, (75, 6) = 0.29706846489508134e-1, (75, 7) = -0.30171000378395537e-1, (76, 1) = 0.7427108666571063e-1, (76, 2) = -0.3653569801566861e-1, (76, 3) = 1.56435407644909, (76, 4) = .7508631948003112, (76, 5) = 0.8554650554414327e-1, (76, 6) = 0.2780019888614298e-1, (76, 7) = -0.2836265544217905e-1, (77, 1) = 0.7192722598819627e-1, (77, 2) = -0.35353334471828785e-1, (77, 3) = 1.6135019844319525, (77, 4) = .7563803576967835, (77, 5) = 0.8366329666302517e-1, (77, 6) = 0.26006831606669372e-1, (77, 7) = -0.26652349069398753e-1, (78, 1) = 0.6965652211426684e-1, (78, 2) = -0.34214833644028164e-1, (78, 3) = 1.6630606783505262, (78, 4) = .7617825194247292, (78, 5) = 0.818362046768005e-1, (78, 6) = 0.24320085139015783e-1, (78, 7) = -0.25034910053607307e-1, (79, 1) = 0.6745415227431711e-1, (79, 2) = -0.33117070324267625e-1, (79, 3) = 1.713074277652851, (79, 4) = .7670782989058776, (79, 5) = 0.8006113071928549e-1, (79, 6) = 0.22732717743348157e-1, (79, 7) = -0.23504494462123514e-1, (80, 1) = 0.653174926532069e-1, (80, 2) = -0.3205809437838403e-1, (80, 3) = 1.7635451239012367, (80, 4) = .7722713266005171, (80, 5) = 0.7833577907306599e-1, (80, 6) = 0.21239367364873103e-1, (80, 7) = -0.22056961396677732e-1, (81, 1) = 0.6324618571466564e-1, (81, 2) = -0.31037127966861342e-1, (81, 3) = 1.8144226145450653, (81, 4) = .7773598019042196, (81, 5) = 0.766597219644611e-1, (81, 6) = 0.19836363389372388e-1, (81, 7) = -0.20689736141079718e-1, (82, 1) = 0.6123998503307529e-1, (82, 2) = -0.3005347880465721e-1, (82, 3) = 1.8656485564000036, (82, 4) = .7823415773762875, (82, 5) = 0.7503266612459865e-1, (82, 6) = 0.18520102723197866e-1, (82, 7) = -0.1940025706534461e-1, (83, 1) = 0.5929737180297433e-1, (83, 2) = -0.2910586428826123e-1, (83, 3) = 1.9171937834263597, (83, 4) = .787217633956304, (83, 5) = 0.7345332619263635e-1, (83, 6) = 0.17286186479976352e-1, (83, 7) = -0.181851232611352e-1, (84, 1) = 0.5741655133464861e-1, (84, 2) = -0.28192907817684805e-1, (84, 3) = 1.9690365465074622, (84, 4) = .7919897115240078, (84, 5) = 0.7192022274910066e-1, (84, 6) = 0.16130164422757658e-1, (84, 7) = -0.17040811610716092e-1, (85, 1) = 0.555951180848402e-1, (85, 2) = -0.27312978136185835e-1, (85, 3) = 2.021173890970974, (85, 4) = .7966612137325211, (85, 5) = 0.7043140181072279e-1, (85, 6) = 0.15047373779686386e-1, (85, 7) = -0.15963513643715645e-1, (86, 1) = 0.53830960098087494e-1, (86, 2) = -0.2646462746652903e-1, (86, 3) = 2.0735978784815954, (86, 4) = .8012349398472144, (86, 5) = 0.6898516657212175e-1, (86, 6) = 0.1403351479043102e-1, (86, 7) = -0.14949706357927807e-1, (87, 1) = 0.521220691902015e-1, (87, 2) = -0.25646494959249203e-1, (87, 3) = 2.1263003114377943, (87, 4) = .8057135493898496, (87, 5) = 0.6757992094013747e-1, (87, 6) = 0.13084520237125303e-1, (87, 7) = -0.139960292467264e-1, (88, 1) = 0.50466495504684544e-1, (88, 2) = -0.2485728164590901e-1, (88, 3) = 2.1792739683535407, (88, 4) = .810099673559902, (88, 5) = 0.662141300173103e-1, (88, 6) = 0.12196523093985182e-1, (88, 7) = -0.13099256789703594e-1, (89, 1) = 0.4886235775707648e-1, (89, 2) = -0.24095752574361837e-1, (89, 3) = 2.2325122557439467, (89, 4) = .81439588423751, (89, 5) = 0.6488632633494537e-1, (89, 6) = 0.11365857148876791e-1, (89, 7) = -0.12256303574946446e-1, (90, 1) = 0.47307845059216785e-1, (90, 2) = -0.23360735056253266e-1, (90, 3) = 2.2860090697577875, (90, 4) = .8186046839450801, (90, 5) = 0.6359510950556727e-1, (90, 6) = 0.1058905185381353e-1, (90, 7) = -0.11464223580929493e-1, (91, 1) = 0.4580121666136627e-1, (91, 2) = -0.2265111611151706e-1, (91, 3) = 2.3397587042276045, (91, 4) = .8227285009951595, (91, 5) = 0.6233914441576576e-1, (91, 6) = 0.9862825614015936e-2, (91, 7) = -0.107202077302794e-1, (92, 1) = 0.4434080733778398e-1, (92, 2) = -0.2196584274078579e-1, (92, 3) = 2.393755530962878, (92, 4) = .8267696687449231, (92, 5) = 0.61117164378142505e-1, (92, 6) = 0.9184081388015965e-2, (92, 7) = -0.10021583648716392e-1, (93, 1) = 0.42925145853717636e-1, (93, 2) = -0.2130397508619256e-1, (93, 3) = 2.4479892081920704, (93, 4) = .8307300855152587, (93, 5) = 0.5992806977704981e-1, (93, 6) = 0.8549951249578833e-2, (93, 7) = -0.9365866049369924e-2, (94, 1) = 0.4155262130359708e-1, (94, 2) = -0.2066452832678662e-1, (94, 3) = 2.502457135574029, (94, 4) = .8346121380272766, (94, 5) = 0.5877064728357242e-1, (94, 6) = 0.7957637886648394e-2, (94, 7) = -0.8750596954165865e-2, (95, 1) = 0.40221673082686e-1, (95, 2) = -0.20046560655054453e-1, (95, 3) = 2.5571577851500775, (95, 4) = .8384181810565843, (95, 5) = 0.57643726773201474e-1, (95, 6) = 0.7404501824848323e-2, (95, 7) = -0.8173438423547898e-2, (96, 1) = 0.3893093363217918e-1, (96, 2) = -0.19449237677365155e-1, (96, 3) = 2.6120844990926924, (96, 4) = .8421501190891273, (96, 5) = 0.5654630194311316e-1, (96, 6) = 0.6888111282844666e-2, (96, 7) = -0.7632228495991538e-2, (97, 1) = 0.3767913294059378e-1, (97, 2) = -0.1887178595166975e-1, (97, 3) = 2.667228654188966, (97, 4) = .8458096605035292, (97, 5) = 0.5547745035158284e-1, (97, 6) = 0.64061892384546576e-2, (97, 7) = -0.7124930043201029e-2, (98, 1) = 0.36464855030914144e-1, (98, 2) = -0.18313379572760476e-1, (98, 3) = 2.7225904821560354, (98, 4) = .8493990293787306, (98, 5) = 0.5443612442522976e-1, (98, 6) = 0.59565158905427445e-2, (98, 7) = -0.6649530877556062e-2, (99, 1) = 0.35287129676639724e-1, (99, 2) = -0.17773411236805755e-1, (99, 3) = 2.7781521098313138, (99, 4) = .8529192148774755, (99, 5) = 0.5342165809334678e-1, (99, 6) = 0.5537143446706783e-2, (99, 7) = -0.6204273518435405e-2, (100, 1) = 0.3414448775408405e-1, (100, 2) = -0.17251057251932208e-1, (100, 3) = 2.8339211154523043, (100, 4) = .8563727717832911, (100, 5) = 0.52432954840383246e-1, (100, 6) = 0.5146045985976234e-2, (100, 7) = -0.5787287135105179e-2, (101, 1) = 0.3303572907131051e-1, (101, 2) = -0.16745629644977163e-1, (101, 3) = 2.8898955064608667, (101, 4) = .8597615482839938, (101, 5) = 0.51469145618834776e-1, (101, 6) = 0.4781398495554278e-2, (101, 7) = -0.5396885129046895e-2, (102, 1) = 0.3195981073286776e-1, (102, 2) = -0.16256523054212938e-1, (102, 3) = 2.94606770601317, (102, 4) = .8630869913915394, (102, 5) = 0.5052949522528311e-1, (102, 6) = 0.4441521516255529e-2, (102, 7) = -0.5031509922179083e-2, (103, 1) = 0.30915598137938833e-1, (103, 2) = -0.15783100427777905e-1, (103, 3) = 3.002437108550583, (103, 4) = .8663509059017817, (103, 5) = 0.49613185415921565e-1, (103, 6) = 0.4124794717803363e-2, (103, 7) = -0.4689642631979475e-2, (104, 1) = 0.29901970845921482e-1, (104, 2) = -0.15324740843082107e-1, (104, 3) = 3.0590051626175123, (104, 4) = .8695551374490673, (104, 5) = 0.487194055183293e-1, (104, 6) = 0.3829690331967739e-2, (104, 7) = -0.4369840628700971e-2, (105, 1) = 0.2891817845755974e-1, (105, 2) = -0.14880999220591645e-1, (105, 3) = 3.1157546708604014, (105, 4) = .8727004295170955, (105, 5) = 0.47847667825719004e-1, (105, 6) = 0.3554866924305937e-2, (105, 7) = -0.40708417306626115e-2, (106, 1) = 0.27963163270254478e-1, (106, 2) = -0.1445129941189121e-1, (106, 3) = 3.1726875343071246, (106, 4) = .8757885621654562, (106, 5) = 0.4699721013074634e-1, (106, 6) = 0.3298968129327067e-2, (106, 7) = -0.3791347889312316e-2, (107, 1) = 0.27036054474744546e-1, (107, 2) = -0.1403515704995601e-1, (107, 3) = 3.2297970324116263, (107, 4) = .8788207857953696, (107, 5) = 0.46167431512408715e-1, (107, 6) = 0.30607620642720077e-2, (107, 7) = -0.35301779967586255e-2, (108, 1) = 0.26135990182439874e-1, (108, 2) = -0.136320985542424e-1, (108, 3) = 3.287077717628753, (108, 4) = .8817983817939085, (108, 5) = 0.45357735223466554e-1, (108, 6) = 0.2839085862681523e-2, (108, 7) = -0.3286209314341815e-2, (109, 1) = 0.25262050106508706e-1, (109, 2) = -0.13241630697811596e-1, (109, 3) = 3.3445300453631157, (109, 4) = .8847228903452787, (109, 5) = 0.44567467123514615e-1, (109, 6) = 0.26328275024835607e-2, (109, 7) = -0.30583587722556906e-2, (110, 1) = 0.24413349314602834e-1, (110, 2) = -0.12863282318672776e-1, (110, 3) = 3.4021547804570993, (110, 4) = .887595805636143, (110, 5) = 0.437959990098312e-1, (110, 6) = 0.24409471805914122e-2, (110, 7) = -0.2845607745492162e-2, (111, 1) = 0.23589143691971477e-1, (111, 2) = -0.12496650693252929e-1, (111, 3) = 3.459945373101773, (111, 4) = .8904182090864114, (111, 5) = 0.430428253565388e-1, (111, 6) = 0.22624955246276683e-2, (111, 7) = -0.2647023818928518e-2, (112, 1) = 0.22788544500633067e-1, (112, 2) = -0.12141274016994663e-1, (112, 3) = 3.517907612668944, (112, 4) = .8931917390779196, (112, 5) = 0.4230730313112941e-1, (112, 6) = 0.20965469627233866e-2, (112, 7) = -0.2461688048783101e-2, (113, 1) = 0.2201092154264269e-1, (113, 2) = -0.1179681022215186e-1, (113, 3) = 3.576030939938064, (113, 4) = .8959172018453189, (113, 5) = 0.4158902099552602e-1, (113, 6) = 0.19422823318737763e-2, (113, 7) = -0.228878818143032e-2, (114, 1) = 0.2125560521689302e-1, (114, 2) = -0.11462903989906546e-1, (114, 3) = 3.6343089625327116, (114, 4) = .8985955842843032, (114, 5) = 0.4088752771952661e-1, (114, 6) = 0.17989202787508094e-2, (114, 7) = -0.21275434552632607e-2, (115, 1) = 0.20521859851746347e-1, (115, 2) = -0.11139174973080628e-1, (115, 3) = 3.6927422713816003, (115, 4) = .901228160676181, (115, 5) = 0.40202305706456845e-1, (115, 6) = 0.16657125158263998e-2, (115, 7) = -0.1977199961864016e-2, (116, 1) = 0.19809007610044085e-1, (116, 2) = -0.10825272392179685e-1, (116, 3) = 3.7513291524005035, (116, 4) = .9038160568685645, (116, 5) = 0.3953288543830951e-1, (116, 6) = 0.15419656732920172e-2, (116, 7) = -0.18370560679884847e-2, (117, 1) = 0.19116459219134217e-1, (117, 2) = -0.10520888096597018e-1, (117, 3) = 3.8100624347040353, (117, 4) = .9063601272182191, (117, 5) = 0.38878875566455126e-1, (117, 6) = 0.14270421589284107e-2, (117, 7) = -0.1706464442997396e-2, (118, 1) = 0.1844353362888209e-1, (118, 2) = -0.10225676992181737e-1, (118, 3) = 3.868944547638398, (118, 4) = .9088616122353441, (118, 5) = 0.38239793038485445e-1, (118, 6) = 0.13203272362793043e-2, (118, 7) = -0.15847955131765516e-2, (119, 1) = 0.17789709594853653e-1, (119, 2) = -0.9939367324640893e-2, (119, 3) = 3.9279659277100545, (119, 4) = .9113212093702816, (119, 5) = 0.376153011508749e-1, (119, 6) = 0.12212679341659727e-2, (119, 7) = -0.14714824659729727e-2, (120, 1) = 0.1715434821401846e-1, (120, 2) = -0.966163872941871e-2, (120, 3) = 3.9871292234576647, (120, 4) = .9137401023351425, (120, 5) = 0.3700494616750579e-1, (120, 6) = 0.11293267277753402e-2, (120, 7) = -0.1365969153112434e-2, (121, 1) = 0.1653686685477603e-1, (121, 2) = -0.9392198385188308e-2, (121, 3) = 4.046434233913541, (121, 4) = .9161193161473176, (121, 5) = 0.3640832219382344e-1, (121, 6) = 0.10440074614222617e-2, (121, 7) = -0.12677402606956771e-2, (122, 1) = 0.1593672984453655e-1, (122, 2) = -0.9130776619449235e-2, (122, 3) = 4.105878254180306, (122, 4) = .918459743389031, (122, 5) = 0.3582506324812699e-1, (122, 6) = 0.9648508034309002e-3, (122, 7) = -0.11763168046591919e-2, (123, 1) = 0.15353456370083519e-1, (123, 2) = -0.8877130053322135e-2, (123, 3) = 4.165454756028964, (123, 4) = .9207621042586911, (123, 5) = 0.3525485195379574e-1, (123, 6) = 0.8914323837445772e-3, (123, 7) = -0.10912546315821271e-2, (124, 1) = 0.14786605499051348e-1, (124, 2) = -0.8631034803741748e-2, (124, 3) = 4.2251543164998395, (124, 4) = .9230269958510547, (124, 5) = 0.3469740599658427e-1, (124, 6) = 0.8233581730263291e-3, (124, 7) = -0.10121396610135644e-2, (125, 1) = 0.1423560509441761e-1, (125, 2) = -0.8392212157745564e-2, (125, 3) = 4.28498299546985, (125, 4) = .925255580609136, (125, 5) = 0.34152309214020814e-1, (125, 6) = 0.760243103053324e-3, (125, 7) = -0.938563455856944e-3, (126, 1) = 0.1369997590376947e-1, (126, 2) = -0.8160425838712085e-2, (126, 3) = 4.344939248308072, (126, 4) = .9274486979359966, (126, 5) = 0.33619231067228195e-1, (126, 6) = 0.7017373197944904e-3, (126, 7) = -0.8701541170718898e-3, (127, 1) = 0.13179260839270365e-1, (127, 2) = -0.7935451067583034e-2, (127, 3) = 4.405020871401772, (127, 4) = .9296071384367649, (127, 5) = 0.3309785803833924e-1, (127, 6) = 0.6475153511061355e-3, (127, 7) = -0.8065641728294864e-3, (128, 1) = 0.12673016774717254e-1, (128, 2) = -0.7717070876205519e-2, (128, 3) = 4.465225806438151, (128, 4) = .9317316751472142, (128, 5) = 0.3258788569860931e-1, (128, 6) = 0.5972736864292357e-3, (128, 7) = -0.7474681438722301e-3, (129, 1) = 0.12180814856644654e-1, (129, 2) = -0.7505076125168032e-2, (129, 3) = 4.525552047703438, (129, 4) = .9338230607702328, (129, 5) = 0.32089019152014744e-1, (129, 6) = 0.5507294602302875e-3, (129, 7) = -0.6925613591197516e-3, (130, 1) = 0.11702239989818099e-1, (130, 2) = -0.7299265171632634e-2, (130, 3) = 4.585997640127296, (130, 4) = .9358820282972874, (130, 5) = 0.31600972661932875e-1, (130, 6) = 0.5076191202028123e-3, (130, 7) = -0.6415587231086209e-3, (131, 1) = 0.11236890371623526e-1, (131, 2) = -0.7099443565783825e-2, (131, 3) = 4.64656067373754, (131, 4) = .9379092914859827, (131, 5) = 0.31123469324561948e-1, (131, 6) = 0.4676971775487788e-3, (131, 7) = -0.5941935510054997e-3, (132, 1) = 0.107843770107237e-1, (132, 2) = -0.6905423747524692e-2, (132, 3) = 4.707239282407291, (132, 4) = .9399055454663998, (132, 5) = 0.30656240723360338e-1, (132, 6) = 0.43073502924570906e-3, (132, 7) = -0.5502164615731298e-3, (133, 1) = 0.10344323263119098e-1, (133, 2) = -0.6717024757245861e-2, (133, 3) = 4.76803164308303, (133, 4) = .9418714673375305, (133, 5) = 0.30199026597440937e-1, (133, 6) = 0.39651985188484193e-3, (133, 7) = -0.5093943297131232e-3, (134, 1) = 0.991636438458679e-2, (134, 2) = -0.6534071959760502e-2, (134, 3) = 4.828935975581054, (134, 4) = .9438077167561614, (134, 5) = 0.29751574522758853e-1, (134, 6) = 0.36485356319130105e-3, (134, 7) = -0.4715092959902402e-3, (135, 1) = 0.9500147114831702e-2, (135, 2) = -0.6356396787514922e-2, (135, 3) = 4.889950540624614, (135, 4) = .9457149364454033, (135, 5) = 0.2931363962219971e-1, (135, 6) = 0.3355518486277446e-3, (135, 7) = -0.43635783194643206e-3, (136, 1) = 0.9095329261754777e-2, (136, 2) = -0.61838364891480474e-2, (136, 3) = 4.9510736404235836, (136, 4) = .947593752761815, (136, 5) = 0.28884984271701088e-1, (136, 6) = 0.30844324714459726e-3, (136, 7) = -0.4037498558821582e-3, (137, 1) = 0.870157925505246e-2, (137, 2) = -0.601623387000051e-2, (137, 3) = 5.012303627058391, (137, 4) = .9494447764708851, (137, 5) = 0.28465377768764184e-1, (137, 6) = 0.28336829120570266e-3, (137, 7) = -0.3735078948773748e-3, (138, 1) = 0.8318575781930621e-2, (138, 2) = -0.5853437072325423e-2, (138, 3) = 5.0736389017910835, (138, 4) = .9512686032079182, (138, 5) = 0.280545960825053e-1, (138, 6) = 0.2601787055173408e-3, (138, 7) = -0.34546629992478233e-3, (139, 1) = 0.7946007389342705e-2, (139, 2) = -0.5695299345566016e-2, (139, 3) = 5.135077922433506, (139, 4) = .9530658141549968, (139, 5) = 0.276524215633124e-1, (139, 6) = 0.2387366533987117e-3, (139, 7) = -0.31947050232195343e-3, (140, 1) = 0.7583572174809846e-2, (140, 2) = -0.554167885830191e-2, (140, 3) = 5.196619199286618, (140, 4) = .9548369763523616, (140, 5) = 0.27258642742879598e-1, (140, 6) = 0.21891403538176765e-3, (140, 7) = -0.2953763182049148e-3, (141, 1) = 0.7230977493355699e-2, (141, 2) = -0.5392438520624993e-2, (141, 3) = 5.258261289858421, (141, 4) = .9565826429700981, (141, 5) = 0.2687305414886625e-1, (141, 6) = 0.20059183213151456e-3, (141, 7) = -0.27304929294300013e-3, (142, 1) = 0.6887939715010858e-2, (142, 2) = -0.52474458312329955e-2, (142, 3) = 5.320002785774653, (142, 4) = .958303353361792, (142, 5) = 0.26495456172530026e-1, (142, 6) = 0.1836594907879038e-3, (142, 7) = -0.252364085464996e-3, (143, 1) = 0.6554183880220243e-2, (143, 2) = -0.5106572684456149e-2, (143, 3) = 5.381842318957145, (143, 4) = .9599996336604034, (143, 5) = 0.26125654821718747e-1, (143, 6) = 0.1680143447380809e-3, (143, 7) = -0.23320388139026565e-3, (144, 1) = 0.6229443363023987e-2, (144, 2) = -0.496969518374495e-2, (144, 3) = 5.44377856989792, (144, 4) = .961671997397204, (144, 5) = 0.25763461476510423e-1, (144, 6) = 0.15356107126225863e-3, (144, 7) = -0.21545984131697018e-3, (145, 1) = 0.59134596103730345e-2, (145, 2) = -0.4836693490181476e-2, (145, 3) = 5.505810264587283, (145, 4) = .963320945785362, (145, 5) = 0.2540869272435785e-1, (145, 6) = 0.14021118760005577e-3, (145, 7) = -0.1990305859062199e-3, (146, 1) = 0.5605981879431755e-2, (146, 2) = -0.4707451672732042e-2, (146, 3) = 5.56793617351249, (146, 4) = .9649469680512343, (146, 5) = 0.2506117018958842e-1, (146, 6) = 0.12788257922406355e-3, (146, 7) = -0.1838217110432586e-3, (147, 1) = 0.53067669906432515e-2, (147, 2) = -0.4581857567572001e-2, (147, 3) = 5.630155109349184, (147, 4) = .9665505417213073, (147, 5) = 0.24720720377034513e-1, (147, 6) = 0.11649905921041561e-3, (147, 7) = -0.16974533250776132e-3, (148, 1) = 0.5015579091342034e-2, (148, 2) = -0.4459802644110297e-2, (148, 3) = 5.692465924121744, (148, 4) = .9681321328883635, (148, 5) = 0.2438717452423778e-1, (148, 6) = 0.10598995658033662e-3, (148, 7) = -0.1567196582818594e-3, (149, 1) = 0.4732189454943598e-2, (149, 2) = -0.4341181888026249e-2, (149, 3) = 5.754867500071219, (149, 4) = .9696921963155168, (149, 5) = 0.24060368491380577e-1, (149, 6) = 0.9628973268058946e-4, (149, 7) = -0.1446685880441674e-3, (150, 1) = 0.445637619497772e-2, (150, 2) = -0.4225893650637279e-2, (150, 3) = 5.81735876065353, (150, 4) = .9712311760403447, (150, 5) = 0.23740142549888144e-1, (150, 6) = 0.8733761981190855e-4, (150, 7) = -0.13352133330447443e-3, (151, 1) = 0.4187924050803135e-2, (151, 2) = -0.4113839530268126e-2, (151, 3) = 5.879938668714196, (151, 4) = .9727495056336701, (151, 5) = 0.2342634124862383e-1, (151, 6) = 0.7907728636528507e-4, (151, 7) = -0.1232120640465816e-3, (152, 1) = 0.3926624184068294e-2, (152, 2) = -0.4004924259857473e-2, (152, 3) = 5.942606223760687, (152, 4) = .9742476084300418, (152, 5) = 0.23118813289296117e-1, (152, 6) = 0.714565244479042e-4, (152, 7) = -0.11367957746503508e-3, (153, 1) = 0.36722739675628595e-2, (153, 2) = -0.3899055593040416e-2, (153, 3) = 6.005360462681993, (153, 4) = .9757258978340067, (153, 5) = 0.22817411389538758e-1, (153, 6) = 0.6442695807953464e-4, (153, 7) = -0.10486698691294358e-3, (154, 1) = 0.3424676781951572e-2, (154, 2) = -0.37961441950964078e-2, (154, 3) = 6.068200460574128, (154, 4) = .9771847776170947, (154, 5) = 0.22521992151470806e-1, (154, 6) = 0.5794377119218636e-4, (154, 7) = -0.967214305737495e-4, (155, 1) = 0.318364182773534e-2, (155, 2) = -0.36961035417064788e-2, (155, 3) = 6.131125329639266, (155, 4) = .9786246421596811, (155, 5) = 0.22232415944730063e-1, (155, 6) = 0.51965454344558085e-4, (155, 7) = -0.8919379893818854e-4, (156, 1) = 0.29489839668066916e-2, (156, 2) = -0.3598849831342047e-2, (156, 3) = 6.194134211754286, (156, 4) = .9800458765440385, (156, 5) = 0.21948546822007864e-1, (156, 6) = 0.4645356922033489e-4, (156, 7) = -0.8223848033365505e-4, (157, 1) = 0.2720523479792377e-2, (157, 2) = -0.3504301864036683e-2, (157, 3) = 6.257226295253834, (157, 4) = .9814488571872236, (157, 5) = 0.21670252329442523e-1, (157, 6) = 0.41372527148834515e-4, (157, 7) = -0.7581312014106669e-4, (158, 1) = 0.24994622622722487e-2, (158, 2) = -0.34129493089673224e-2, (158, 3) = 6.320004429362408, (158, 4) = .9828253219279554, (158, 5) = 0.21399097573883887e-1, (158, 6) = 0.3671757453856597e-4, (158, 7) = -0.6991415932376671e-4, (159, 1) = 0.22914438569439223e-2, (159, 2) = -0.33271103446682673e-2, (159, 3) = 6.380714359223117, (159, 4) = .9841383236747088, (159, 5) = 0.21142196023966428e-1, (159, 6) = 0.3256657044189625e-4, (159, 7) = -0.6464305200947549e-4, (160, 1) = 0.2096764977130119e-2, (160, 2) = -0.3246888216871749e-2, (160, 3) = 6.439041851800582, (160, 4) = .985383387995297, (160, 5) = 0.209001807532975e-1, (160, 6) = 0.28878429537552865e-4, (160, 7) = -0.5995056210962825e-4, (161, 1) = 0.19142542422758073e-2, (161, 2) = -0.31717820489926096e-2, (161, 3) = 6.4951157087198235, (161, 4) = .9865655002073301, (161, 5) = 0.2067184982425839e-1, (161, 6) = 0.25589568107955412e-4, (161, 7) = -0.5575831327685825e-4, (162, 1) = 0.17427142743147398e-2, (162, 2) = -0.3101283157089607e-2, (162, 3) = 6.5491051323901015, (162, 4) = .9876901928502866, (162, 5) = 0.20455929268952944e-1, (162, 6) = 0.2264398415019256e-4, (162, 7) = -0.51996993884276855e-4, (163, 1) = 0.15811015363619964e-2, (163, 2) = -0.3034948752530318e-2, (163, 3) = 6.601162057284735, (163, 4) = .9887623477334817, (163, 5) = 0.2025130191646246e-1, (163, 6) = 0.19995149287787638e-4, (163, 7) = -0.4860889607355352e-4, (164, 1) = 0.14285079524789714e-2, (164, 2) = -0.29723938930752585e-2, (164, 3) = 6.651421488871508, (164, 4) = .9897862525363109, (164, 5) = 0.20056990944072855e-1, (164, 6) = 0.17604241683083722e-4, (164, 7) = -0.45545777125153235e-4, (165, 1) = 0.12841380601209408e-2, (165, 2) = -0.29132816972746683e-2, (165, 3) = 6.7000042676403915, (165, 4) = .9907656989607102, (165, 5) = 0.19872136498653162e-1, (165, 6) = 0.15438635568661184e-4, (165, 7) = -0.427670184725108e-4, (166, 1) = 0.11472903267585523e-2, (166, 2) = -0.28573153562169145e-2, (166, 3) = 6.747019454806988, (166, 4) = .9917040645449797, (166, 5) = 0.1969597641041645e-1, (166, 6) = 0.13470724780140474e-4, (166, 7) = -0.4023818885023187e-4, (167, 1) = 0.10173434606982944e-2, (167, 2) = -0.28042322593080844e-2, (167, 3) = 6.792565807285179, (167, 4) = .9926043695551816, (167, 5) = 0.19527832369525187e-1, (167, 6) = 0.1167702161571815e-4, (167, 7) = -0.37929943037897354e-4, (168, 1) = 0.893745064050563e-3, (168, 2) = -0.2753799130211681e-2, (168, 3) = 6.836733031901551, (168, 4) = .9934693246139872, (168, 5) = 0.19367098410542075e-1, (168, 6) = 0.10037439121625286e-4, (168, 7) = -0.358171430611698e-4, (169, 1) = 0.776002178705785e-3, (169, 2) = -0.27058079781715864e-2, (169, 3) = 6.879602854428295, (169, 4) = .9943013707458818, (169, 5) = 0.19213231273768283e-1, (169, 6) = 0.8534715422939233e-5, (169, 7) = -0.3387815201610202e-4, (170, 1) = 0.6636729006810244e-3, (170, 2) = -0.26600725198970194e-2, (170, 3) = 6.921250108704328, (170, 4) = .9951027165532491, (170, 5) = 0.19065741682178818e-1, (170, 6) = 0.7153943222488218e-5, (170, 7) = -0.3209425552245678e-4, (171, 1) = 0.5563591652951864e-3, (171, 2) = -0.26164251077657906e-2, (171, 3) = 6.961743745577525, (171, 4) = .995875371044721, (171, 5) = 0.18924186748013903e-1, (171, 6) = 0.5882186619569889e-5, (171, 7) = -0.30449189658006313e-4, (172, 1) = 0.453703968041812e-3, (172, 2) = -0.25747154845888296e-2, (172, 3) = 7.001146434242757, (172, 4) = .9966211475552713, (172, 5) = 0.18788167920810266e-1, (172, 6) = 0.4708206273295691e-5, (172, 7) = -0.2892880415481513e-4, (173, 1) = 0.3553847160599982e-3, (173, 2) = -0.2534807981217631e-2, (173, 3) = 7.039515816735961, (173, 4) = .9973416977524165, (173, 5) = 0.18657323601527533e-1, (173, 6) = 0.3622181416110171e-5, (173, 7) = -0.2752071779279574e-4, (174, 1) = 0.2611089567921044e-3, (174, 2) = -0.24965796986488663e-2, (174, 3) = 7.076905087185851, (174, 4) = .9980385309827882, (174, 5) = 0.18531324646632825e-1, (174, 6) = 0.26154980864484428e-5, (174, 7) = -0.26214056372779796e-4, (175, 1) = 0.17061087792577472e-3, (175, 2) = -0.24599190164938103e-2, (175, 3) = 7.11336343575653, (175, 4) = .9987130298125714, (175, 5) = 0.18409870712982543e-1, (175, 6) = 0.16805750903788004e-5, (175, 7) = -0.24999237164889492e-4, (176, 1) = 0.8364828755175267e-4, (176, 2) = -0.2424724307108064e-2, (176, 3) = 7.14893643929275, (176, 4) = .999366463543249, (176, 5) = 0.18292687091506932e-1, (176, 6) = 0.8107185795194192e-6, (176, 7) = -0.2386778854087962e-4, (177, 1) = .0, (177, 2) = -0.23909028232950774e-2, (177, 3) = 7.183666405720363, (177, 4) = 1.0, (177, 5) = 0.18179521955803843e-1, (177, 6) = .0, (177, 7) = -0.22812198384621496e-4}, datatype = float[8], order = C_order); YP := Matrix(177, 7, {(1, 1) = -3.010283491881195, (1, 2) = 31.045172730586398, (1, 3) = -.5, (1, 4) = 3.2549705904755624, (1, 5) = -32.059040670468, (1, 6) = -2.2961168243517345, (1, 7) = 21.039081978077707, (2, 1) = -2.2188140910266996, (2, 2) = 17.121944106176148, (2, 3) = -.40370802709261644, (2, 4) = 2.4361750640983972, (2, 5) = -17.75186646531459, (2, 6) = -1.7587335888496072, (2, 7) = 11.658920037134642, (3, 1) = -1.7515672684205508, (3, 2) = 10.819003914424172, (3, 3) = -.32904124123644557, (3, 4) = 1.950857483460543, (3, 5) = -11.261093047454036, (3, 6) = -1.4395391386527499, (3, 7) = 7.421516216604939, (4, 1) = -1.443419767334426, (4, 2) = 7.44431424050068, (4, 3) = -.2679158648423435, (4, 4) = 1.6295350420268857, (4, 5) = -7.77851680978251, (4, 6) = -1.2272759842281986, (4, 7) = 5.153559241304035, (5, 1) = -1.2250712603116078, (5, 2) = 5.430700205869807, (5, 3) = -.21608666124952267, (5, 4) = 1.4009694099334766, (5, 5) = -5.6962541050511355, (5, 6) = -1.0753753559802985, (5, 7) = 3.7994361725363084, (6, 1) = -1.062293032083934, (6, 2) = 4.133984345299803, (6, 3) = -.1710281829224358, (6, 4) = 1.229921365777778, (6, 5) = -4.352627257354598, (6, 6) = -.9608633361558743, (6, 7) = 2.9263023948487845, (7, 1) = -.9363094708603249, (7, 2) = 3.250582184729448, (7, 3) = -.1311332340751042, (7, 4) = 1.097033665972045, (7, 5) = -3.4354543508722934, (7, 6) = -.871143819024352, (7, 7) = 2.330460789528503, (8, 1) = -.8359113795739894, (8, 2) = 2.6218668296288925, (8, 3) = -0.9529846009910026e-1, (8, 4) = .9907326565311447, (8, 5) = -2.781433082063489, (8, 6) = -.798694055572774, (8, 7) = 1.9055546562540169, (9, 1) = -.7540307621161558, (9, 2) = 2.158655707900222, (9, 3) = -0.6274515848045818e-1, (9, 4) = .903710629210698, (9, 5) = -2.2986527950440383, (9, 6) = -.7387684103204613, (9, 7) = 1.5918036113784224, (10, 1) = -.6859732537372588, (10, 2) = 1.8075854056497922, (10, 3) = -0.3289635416421537e-1, (10, 4) = .8311070612968686, (10, 5) = -1.9320578998022346, (10, 6) = -.6882118043576506, (10, 7) = 1.3534327958638872, (11, 1) = -.6285004073713887, (11, 2) = 1.5351562401542218, (11, 3) = -0.5312156394166294e-2, (11, 4) = .7695640956343914, (11, 5) = -1.6470492909842538, (11, 6) = -.64484492277093, (11, 7) = 1.1679748738766818, (12, 1) = -.5793166470382869, (12, 2) = 1.3195281931221805, (12, 3) = 0.20345547838662725e-1, (12, 4) = .7166984974611179, (12, 5) = -1.4210468548040192, (12, 6) = -.6071216319336978, (12, 7) = 1.0207737736678706, (13, 1) = -.5367311431212949, (13, 2) = 1.145892530696533, (13, 3) = 0.44352419520146014e-1, (13, 4) = .6707519723642751, (13, 5) = -1.2387232687233358, (13, 6) = -.5739002262529861, (13, 7) = .9018835448323496, (14, 1) = -.49948942467589225, (14, 2) = 1.003998050145226, (14, 3) = 0.6692621623257643e-1, (14, 4) = .6304185015498383, (14, 5) = -1.0894578589784991, (14, 6) = -.5443331052943612, (14, 7) = .8044134092658326, (15, 1) = -.46663169018318124, (15, 2) = .8865281517652679, (15, 3) = 0.882475828156531e-1, (15, 4) = .5946973362482103, (15, 5) = -.9656623891005631, (15, 6) = -.5177703096857598, (15, 7) = .7234401398522938, (16, 1) = -.43741237094615587, (16, 2) = .7881537194650875, (16, 3) = .10846767050378146, (16, 4) = .5628099475659347, (16, 5) = -.8618042115535092, (16, 6) = -.49370579887626914, (16, 7) = .6553739127932571, (17, 1) = -.4112440008745413, (17, 2) = .7049210492055764, (17, 3) = .12771421698659408, (17, 4) = .5341419874792643, (17, 5) = -.7737744555933753, (17, 6) = -.4717398711807749, (17, 7) = .5975483247236602, (18, 1) = -.3876575548580043, (18, 2) = .6338476180086999, (18, 3) = .14609630418834832, (18, 4) = .5082022267347898, (18, 5) = -.6984704299667118, (18, 6) = -.45155255379360504, (18, 7) = .547949494066217, (19, 1) = -.3662736309623723, (19, 2) = .5726483733807656, (19, 3) = .1637083931514831, (19, 4) = .48459265857890527, (19, 5) = -.6335126174412591, (19, 6) = -.4328841497234415, (19, 7) = .5050324919245571, (20, 1) = -.34678216572683396, (20, 2) = .5195495059189714, (20, 3) = .18063295456195466, (20, 4) = .4629874722134205, (20, 5) = -.5770520321259064, (20, 6) = -.41552163184362956, (20, 7) = .4675964144816947, (21, 1) = -.32892767036417664, (21, 2) = .4731582794401461, (21, 3) = .1969422817914571, (21, 4) = .4431177566148181, (21, 5) = -.5276354888454184, (21, 6) = -.39928880193030747, (21, 7) = .43469702859278164, (22, 1) = -.31249869978237255, (22, 2) = .4323712564531229, (22, 3) = .21269931606763323, (22, 4) = .42476063372747375, (22, 5) = -.48411059119320127, (22, 6) = -.38403945114777954, (22, 7) = .4055852112696801, (23, 1) = -.29731416431452806, (23, 2) = .39629415064634355, (23, 3) = .2279639568142309, (23, 4) = .40772462385587316, (23, 5) = -.4455422550983356, (23, 6) = -.36964681487130585, (23, 7) = .3796525244600942, (24, 1) = -.28322501684036205, (24, 2) = .36421250433414676, (24, 3) = .2427861347723762, (24, 4) = .3918520439519158, (24, 5) = -.4111829023278856, (24, 6) = -.3560068471972505, (24, 7) = .3564123311986818, (25, 1) = -.2701033420412026, (25, 2) = .33554014077654515, (25, 3) = .2572121554674377, (25, 4) = .37700721405190146, (25, 5) = -.3804185329805538, (25, 6) = -.3430294380682383, (25, 7) = .3354645137472628, (26, 1) = -.2578389396986893, (26, 2) = .3097931961546034, (26, 3) = .2712850292677997, (26, 4) = .36307292252881584, (26, 5) = -.35274178509526466, (26, 6) = -.3306361874020015, (26, 7) = .3164779932333802, (27, 1) = -.24633953213188772, (27, 2) = .2865759039396276, (27, 3) = .28504110605404537, (27, 4) = .3499509645976493, (27, 5) = -.3277374103346404, (27, 6) = -.3187617238807888, (27, 7) = .29918159835956604, (28, 1) = -.23552476168366415, (28, 2) = .2655566661015625, (28, 3) = .29851430859060935, (28, 4) = .33755558003287145, (28, 5) = -.30505713524774447, (28, 6) = -.3073486098948925, (28, 7) = .2833475062173651, (29, 1) = -.2253255020912264, (29, 2) = .2464582280638545, (29, 3) = .3117349359672634, (29, 4) = .32581286288190825, (29, 5) = -.28440953074312353, (29, 6) = -.29634737207014694, (29, 7) = .2687847958648897, (30, 1) = -.2156829331351726, (30, 2) = .2290488984956625, (30, 3) = .324728843808106, (30, 4) = .31465989354105117, (30, 5) = -.26555092451071954, (30, 6) = -.28571629053101066, (30, 7) = .25533368718160365, (31, 1) = -.2065438873825929, (31, 2) = .2131287038144533, (31, 3) = .33752207959661373, (31, 4) = .304039516592149, (31, 5) = -.2482707267810866, (31, 6) = -.2754169157752743, (31, 7) = .24285563622268744, (32, 1) = -.19786380124231495, (32, 2) = .19853052093936435, (32, 3) = .35013561530865284, (32, 4) = .29390388011792296, (32, 5) = -.2323929065309705, (32, 6) = -.26541783827718834, (32, 7) = .2312348266717411, (33, 1) = -.18960486731359524, (33, 2) = .18511301699907345, (33, 3) = .36258639522561675, (33, 4) = .2842124423413447, (33, 5) = -.21776856469029016, (33, 6) = -.2556932617203244, (33, 7) = .2203733545258757, (34, 1) = -.18173393918032565, (34, 2) = .17275430735899094, (34, 3) = .37488926686015167, (34, 4) = .2749296363719141, (34, 5) = -.20426921612279228, (34, 6) = -.2462210635577509, (34, 7) = .21018674197498782, (35, 1) = -.17422262687378032, (35, 2) = .16134989076353431, (35, 3) = .3870559122413701, (35, 4) = .26602507525248614, (35, 5) = -.1917846859275767, (35, 6) = -.2369833048528358, (35, 7) = .20060275953911733, (36, 1) = -.16704665751311357, (36, 2) = .15080974319113763, (36, 3) = .3990949249001731, (36, 4) = .2574728923416692, (36, 5) = -.18022006585663738, (36, 6) = -.2279658642184645, (36, 7) = .1915595317437923, (37, 1) = -.1601859421542037, (37, 2) = .141056796935048, (37, 3) = .41101078776726396, (37, 4) = .24925191600226893, (37, 5) = -.16949416553961816, (37, 6) = -.2191589209315012, (37, 7) = .18300476520893003, (38, 1) = -.15362126746579838, (38, 2) = .1320210054859448, (38, 3) = .42280892511572515, (38, 4) = .24134177847648824, (38, 5) = -.1595330800439254, (38, 6) = -.21055300577533773, (38, 7) = .1748909797765733, (39, 1) = -.14733741986174867, (39, 2) = .12364284350603046, (39, 3) = .4344897565601667, (39, 4) = .23372671477717596, (39, 5) = -.15027411164631393, (39, 6) = -.2021432253147483, (39, 7) = .16717891414685349, (40, 1) = -.14132147717760368, (40, 2) = .11586995380348374, (40, 3) = .44605098876584576, (40, 4) = .22639358970698623, (40, 5) = -.1416621548462659, (40, 6) = -.19392734410767049, (40, 7) = .15983497820345968, (41, 1) = -.1355618535661384, (41, 2) = .10865524630505065, (41, 3) = .4574889782290803, (41, 4) = .21933078665833716, (41, 5) = -.13364764847041208, (41, 6) = -.18590465201723103, (41, 7) = .15282978502561145, (42, 1) = -.13004833389409315, (42, 2) = .10195646465098096, (42, 3) = .4687983695351276, (42, 4) = .21252828358414444, (42, 5) = -.12618613754474253, (42, 6) = -.17807609406978153, (42, 7) = .14613796012482172, (43, 1) = -.12477167494006297, (43, 2) = 0.9573528555897173e-1, (43, 3) = .4799726300795009, (43, 4) = .20597719438448733, (43, 5) = -.11923730972108826, (43, 6) = -.17044377008176909, (43, 7) = .13973746010198854, (44, 1) = -.11972344246799402, (44, 2) = 0.8995680533952945e-1, (44, 3) = .49100420281898555, (44, 4) = .19966959020759237, (44, 5) = -.11276445358250514, (44, 6) = -.16301071564836836, (44, 7) = .13360920525957998, (45, 1) = -.1148956147475554, (45, 2) = 0.8458883047163457e-1, (45, 3) = .5018852472953027, (45, 4) = .1935980202293324, (45, 5) = -.10673369025665995, (45, 6) = -.15578029883884625, (45, 7) = .12773644242504048, (46, 1) = -.11028042171087489, (46, 2) = 0.7960151497591006e-1, (46, 3) = .5126079809791431, (46, 4) = .1877553133493232, (46, 5) = -.10111358529342901, (46, 6) = -.14875591411024416, (46, 7) = .12210439647109084, (47, 1) = -.10587010196399801, (47, 2) = 0.7496695383104171e-1, (47, 3) = .5231652841517149, (47, 4) = .18213426698507848, (47, 5) = -0.9587470570440539e-1, (47, 6) = -.14194052404260726, (47, 7) = .11669981742149677, (48, 1) = -.10165710878026424, (48, 2) = 0.7065927864855102e-1, (48, 3) = .5335502837116244, (48, 4) = .1767279011977732, (48, 5) = -0.90989740840664e-1, (48, 6) = -.13533687973410663, (48, 7) = .11151107173300641, (49, 1) = -0.976339646318128e-1, (49, 2) = 0.6665437930666253e-1, (49, 3) = .5437567517407721, (49, 4) = .17152926762281148, (49, 5) = -0.8643320096253616e-1, (49, 6) = -.12894721237733586, (49, 7) = .10652780343241362, (50, 1) = -0.9379309915858196e-1, (50, 2) = 0.6292963935728102e-1, (50, 3) = .5537796082939569, (50, 4) = .1665312288048679, (50, 5) = -0.821811271659428e-1, (50, 6) = -.12277288786102344, (50, 7) = .10174056934638033, (51, 1) = -0.9012646774014009e-1, (51, 2) = 0.5946349454355839e-1, (51, 3) = .5636160898088879, (51, 4) = .16172593962052867, (51, 5) = -0.7821059376459426e-1, (51, 6) = -.11681369761445241, (51, 7) = 0.971401922016448e-1, (52, 1) = -0.8662709254567018e-1, (52, 2) = 0.5623679588902947e-1, (52, 3) = .5732617138385044, (52, 4) = .1571068532547171, (52, 5) = -0.7450127953262778e-1, (52, 6) = -.11107030160152458, (52, 7) = 0.9271953492878013e-1, (53, 1) = -0.832877606097653e-1, (53, 2) = 0.5323144127213841e-1, (53, 3) = .5827137094120911, (53, 4) = .15266702144547653, (53, 5) = -0.7103391702860415e-1, (53, 6) = -.10554209857792878, (53, 7) = 0.8847173428640447e-1, (54, 1) = -0.8010083796586685e-1, (54, 2) = 0.5043015773452044e-1, (54, 3) = .5919717359930652, (54, 4) = .1483988206956467, (54, 5) = -0.6779004472456823e-1, (54, 6) = -.1002268626526667, (54, 7) = 0.8438981098644666e-1, (55, 1) = -0.7705904545671184e-1, (55, 2) = 0.4781712178021648e-1, (55, 3) = .6010357808561354, (55, 4) = .14429496914815607, (55, 5) = -0.6475273039031218e-1, (55, 6) = -0.9512201172172534e-1, (55, 7) = 0.8046752565271927e-1, (56, 1) = -0.7415579244743617e-1, (56, 2) = 0.4537812370175229e-1, (56, 3) = .609905070263442, (56, 4) = .14034898646161215, (56, 5) = -0.6190677910002072e-1, (56, 6) = -0.9022519334264704e-1, (56, 7) = 0.7669971247700139e-1, (57, 1) = -0.7138429207106428e-1, (57, 2) = 0.4309971458682221e-1, (57, 3) = .6185806833233924, (57, 4) = .13655400028046524, (57, 5) = -0.5923775361433498e-1, (57, 6) = -0.8553282185600106e-1, (57, 7) = 0.7308104556027577e-1, (58, 1) = -0.6873795031830646e-1, (58, 2) = 0.4096946926322497e-1, (58, 3) = .6270644277840627, (58, 4) = .1329032634057901, (58, 5) = -0.5673228789519334e-1, (58, 6) = -0.8104075700907686e-1, (58, 7) = 0.6960645431414926e-1, (59, 1) = -0.6621016059961132e-1, (59, 2) = 0.38975748601405784e-1, (59, 3) = .6353595080809519, (59, 4) = .12938986575267097, (59, 5) = -0.5437781677016371e-1, (59, 6) = -0.7674399557867947e-1, (59, 7) = 0.6627078398947593e-1, (60, 1) = -0.6379500379743547e-1, (60, 2) = 0.3710817923563575e-1, (60, 3) = .6434682068578423, (60, 4) = .12600770681463422, (60, 5) = -0.52163152502100275e-1, (60, 6) = -0.7263791038699614e-1, (60, 7) = 0.630696652022076e-1, (61, 1) = -0.6148682506048283e-1, (61, 2) = 0.3535723201986704e-1, (61, 3) = .6513931420513931, (61, 4) = .12275092222076696, (61, 5) = -0.5007800143462451e-1, (61, 6) = -0.687175841247968e-1, (61, 7) = 0.5999892071152185e-1, (62, 1) = -0.5928000637071922e-1, (62, 2) = 0.33713989804355256e-1, (62, 3) = .6591380172829979, (62, 4) = .11961356381867923, (62, 5) = -0.4811269635947367e-1, (62, 6) = -0.6497747609164842e-1, (62, 7) = 0.57054229336734506e-1, (63, 1) = -0.57169100695410174e-1, (63, 2) = 0.3217020013015828e-1, (63, 3) = .6667071615807357, (63, 4) = .11658978562213738, (63, 5) = -0.4625826578595638e-1, (63, 6) = -0.6141170855360152e-1, (63, 7) = 0.5423127945985821e-1, (64, 1) = -0.5514918379084914e-1, (64, 2) = 0.3071847575888528e-1, (64, 3) = .674104198640308, (64, 4) = .11367435428569851, (64, 5) = -0.4450668459294678e-1, (64, 6) = -0.58014717648254485e-1, (64, 7) = 0.51526226701246916e-1, (65, 1) = -0.53215760915675155e-1, (65, 2) = 0.29352162323496186e-1, (65, 3) = .6813322323771271, (65, 4) = .11086253363996139, (65, 5) = -0.4285072792261608e-1, (65, 6) = -0.5478114175121917e-1, (65, 7) = 0.4893556386708957e-1, (66, 1) = -0.51364246219493405e-1, (66, 2) = 0.28064924065518932e-1, (66, 3) = .6883957184775215, (66, 4) = .10814933543258673, (66, 5) = -0.41283477931602065e-1, (66, 6) = -0.51704999820689775e-1, (66, 7) = 0.4645542023568128e-1, (67, 1) = -0.4959036780155851e-1, (67, 2) = 0.26850996547966004e-1, (67, 3) = .6952989342332647, (67, 4) = .1055301079545874, (67, 5) = -0.397986352727631e-1, (67, 6) = -0.4878042451768817e-1, (67, 7) = 0.44082106240249705e-1, (68, 1) = -0.4789016423374489e-1, (68, 2) = 0.2570514230598002e-1, (68, 3) = .7020458967717208, (68, 4) = .10300054210288584, (68, 5) = -0.3839047393448487e-1, (68, 6) = -0.4600169882505357e-1, (68, 7) = 0.4181211457624395e-1, (69, 1) = -0.4625996072380607e-1, (69, 2) = 0.24622597065198926e-1, (69, 3) = .7086403636416022, (69, 4) = .10055664721832, (69, 5) = -0.3705378373458785e-1, (69, 6) = -0.4336325445354654e-1, (69, 7) = 0.3964209549563323e-1, (70, 1) = -0.44696345792792136e-1, (70, 2) = 0.2359902106209441e-1, (70, 3) = .715085840088841, (70, 4) = 0.9819472668269251e-1, (70, 5) = -0.35783818056358635e-1, (70, 6) = -0.4085966769265928e-1, (70, 7) = 0.3756883386957669e-1, (71, 1) = -0.43195840295262154e-1, (71, 2) = 0.2263025732177424e-1, (71, 3) = .7213868990604615, (71, 4) = 0.959108824037368e-1, (71, 5) = -0.345759992795696e-1, (71, 6) = -0.3848516856421221e-1, (71, 7) = 0.35588822241379686e-1, (72, 1) = -0.417552894446388e-1, (72, 2) = 0.21712566757373226e-1, (72, 3) = .7275475329006473, (72, 4) = 0.9370160979020452e-1, (72, 5) = -0.3342621480848204e-1, (72, 6) = -0.36234307802151734e-1, (72, 7) = 0.3369879519129462e-1, (73, 1) = -0.4037173402203197e-1, (73, 2) = 0.2084251952747481e-1, (73, 3) = .7335716098404168, (73, 4) = 0.9156361245610806e-1, (73, 5) = -0.3233068837685123e-1, (73, 6) = -0.3410177625172606e-1, (73, 7) = 0.3189557025540908e-1, (74, 1) = -0.3904237227030642e-1, (74, 2) = 0.20016950936180417e-1, (74, 3) = .7394629834350771, (74, 4) = 0.8949375010756808e-1, (74, 5) = -0.31285929734658574e-1, (74, 6) = -0.3208237199793818e-1, (74, 7) = 0.3017601103329817e-1, (75, 1) = -0.3776454319644946e-1, (75, 2) = 0.19232933825189e-1, (75, 3) = .7452255211846236, (75, 4) = 0.8748901780777456e-1, (75, 5) = -0.3028870414672857e-1, (75, 6) = -0.30171000378395537e-1, (75, 7) = 0.28537019338621142e-1, (76, 1) = -0.3653569801566861e-1, (76, 2) = 0.18487745956094e-1, (76, 3) = .7508631948003112, (76, 4) = 0.8554650554414327e-1, (76, 5) = -0.29335994809283936e-1, (76, 6) = -0.2836265544217905e-1, (76, 7) = 0.26975512917014468e-1, (77, 1) = -0.35353334471828785e-1, (77, 2) = 0.17778817656712027e-1, (77, 3) = .7563803576967835, (77, 4) = 0.8366329666302517e-1, (77, 5) = -0.2842493891629171e-1, (77, 6) = -0.26652349069398753e-1, (77, 7) = 0.25488358243180274e-1, (78, 1) = -0.34214833644028164e-1, (78, 2) = 0.1710362550347103e-1, (78, 3) = .7617825194247292, (78, 4) = 0.818362046768005e-1, (78, 5) = -0.2755269203484183e-1, (78, 6) = -0.25034910053607307e-1, (78, 7) = 0.24072187718280107e-1, (79, 1) = -0.33117070324267625e-1, (79, 2) = 0.16459460519022494e-1, (79, 3) = .7670782989058776, (79, 4) = 0.8006113071928549e-1, (79, 5) = -0.2671612494556976e-1, (79, 6) = -0.23504494462123514e-1, (79, 7) = 0.2272295520211525e-1, (80, 1) = -0.3205809437838403e-1, (80, 2) = 0.15844406901222824e-1, (80, 3) = .7722713266005171, (80, 4) = 0.7833577907306599e-1, (80, 5) = -0.2591309561609206e-1, (80, 6) = -0.22056961396677732e-1, (80, 7) = 0.21438026923002916e-1, (81, 1) = -0.31037127966861342e-1, (81, 2) = 0.15257298915414995e-1, (81, 3) = .7773598019042196, (81, 4) = 0.766597219644611e-1, (81, 5) = -0.25142417563179406e-1, (81, 6) = -0.20689736141079718e-1, (81, 7) = 0.2021610624932507e-1, (82, 1) = -0.3005347880465721e-1, (82, 2) = 0.1469706808732895e-1, (82, 3) = .7823415773762875, (82, 4) = 0.7503266612459865e-1, (82, 5) = -0.24403020686373934e-1, (82, 6) = -0.1940025706534461e-1, (82, 7) = 0.1905587546109808e-1, (83, 1) = -0.2910586428826123e-1, (83, 2) = 0.14162359097922005e-1, (83, 3) = .787217633956304, (83, 4) = 0.7345332619263635e-1, (83, 5) = -0.23693442233407584e-1, (83, 6) = -0.181851232611352e-1, (83, 7) = 0.1795521838476315e-1, (84, 1) = -0.28192907817684805e-1, (84, 2) = 0.1365181867422655e-1, (84, 3) = .7919897115240078, (84, 4) = 0.7192022274910066e-1, (84, 5) = -0.23012201444952248e-1, (84, 6) = -0.17040811610716092e-1, (84, 7) = 0.16911848466548876e-1, (85, 1) = -0.27312978136185835e-1, (85, 2) = 0.13164005904443596e-1, (85, 3) = .7966612137325211, (85, 4) = 0.7043140181072279e-1, (85, 5) = -0.22357677376699997e-1, (85, 6) = -0.15963513643715645e-1, (85, 7) = 0.1592315271868429e-1, (86, 1) = -0.2646462746652903e-1, (86, 2) = 0.1269763461904293e-1, (86, 3) = .8012349398472144, (86, 4) = 0.6898516657212175e-1, (86, 5) = -0.21728432006606218e-1, (86, 6) = -0.14949706357927807e-1, (86, 7) = 0.14986710460803207e-1, (87, 1) = -0.25646494959249203e-1, (87, 2) = 0.12251513377893835e-1, (87, 3) = .8057135493898496, (87, 4) = 0.6757992094013747e-1, (87, 5) = -0.21123132884899316e-1, (87, 6) = -0.139960292467264e-1, (87, 7) = 0.1410018570481624e-1, (88, 1) = -0.2485728164590901e-1, (88, 2) = 0.1182452710951371e-1, (88, 3) = .810099673559902, (88, 4) = 0.662141300173103e-1, (88, 5) = -0.20540530236292587e-1, (88, 6) = -0.13099256789703594e-1, (88, 7) = 0.13261304969175512e-1, (89, 1) = -0.24095752574361837e-1, (89, 2) = 0.11415634281844061e-1, (89, 3) = .81439588423751, (89, 4) = 0.6488632633494537e-1, (89, 5) = -0.19979454728118753e-1, (89, 6) = -0.12256303574946446e-1, (89, 7) = 0.12467865124264153e-1, (90, 1) = -0.23360735056253266e-1, (90, 2) = 0.11023862257792366e-1, (90, 3) = .8186046839450801, (90, 4) = 0.6359510950556727e-1, (90, 5) = -0.19438812716351027e-1, (90, 6) = -0.11464223580929493e-1, (90, 7) = 0.11717736023153343e-1, (91, 1) = -0.2265111611151706e-1, (91, 2) = 0.1064830254895494e-1, (91, 3) = .8227285009951595, (91, 4) = 0.6233914441576576e-1, (91, 5) = -0.18917581245871496e-1, (91, 6) = -0.107202077302794e-1, (91, 7) = 0.11008861577261891e-1, (92, 1) = -0.2196584274078579e-1, (92, 2) = 0.10288107863924782e-1, (92, 3) = .8267696687449231, (92, 4) = 0.61117164378142505e-1, (92, 5) = -0.1841480544345323e-1, (92, 6) = -0.10021583648716392e-1, (92, 7) = 0.10339262962135297e-1, (93, 1) = -0.2130397508619256e-1, (93, 2) = 0.9942516911301724e-2, (93, 3) = .8307300855152587, (93, 4) = 0.5992806977704981e-1, (93, 5) = -0.17929634945322494e-1, (93, 6) = -0.9365866049369924e-2, (93, 7) = 0.970709083685181e-2, (94, 1) = -0.2066452832678662e-1, (94, 2) = 0.9610769117033199e-2, (94, 3) = .8346121380272766, (94, 4) = 0.5877064728357242e-1, (94, 5) = -0.1746120573842817e-1, (94, 6) = -0.8750596954165865e-2, (94, 7) = 0.911047491451652e-2, (95, 1) = -0.20046560655054453e-1, (95, 2) = 0.9292149122341548e-2, (95, 3) = .8384181810565843, (95, 4) = 0.57643726773201474e-1, (95, 5) = -0.17008702762303107e-1, (95, 6) = -0.8173438423547898e-2, (95, 7) = 0.8547615193482865e-2, (96, 1) = -0.19449237677365155e-1, (96, 2) = 0.8986017628093307e-2, (96, 3) = .8421501190891273, (96, 4) = 0.5654630194311316e-1, (96, 5) = -0.16571405188902044e-1, (96, 6) = -0.7632228495991538e-2, (96, 7) = 0.8016840145398394e-2, (97, 1) = -0.1887178595166975e-1, (97, 2) = 0.8691784937252454e-2, (97, 3) = .8458096605035292, (97, 4) = 0.5547745035158284e-1, (97, 5) = -0.1614865074893827e-1, (97, 6) = -0.7124930043201029e-2, (97, 7) = 0.7516560842447098e-2, (98, 1) = -0.18313379572760476e-1, (98, 2) = 0.8408851695186157e-2, (98, 3) = .8493990293787306, (98, 4) = 0.5443612442522976e-1, (98, 5) = -0.15739751272481037e-1, (98, 6) = -0.6649530877556062e-2, (98, 7) = 0.70451749307516515e-2, (99, 1) = -0.17773411236805755e-1, (99, 2) = 0.8136744850270912e-2, (99, 3) = .8529192148774755, (99, 4) = 0.5342165809334678e-1, (99, 5) = -0.15344189900285105e-1, (99, 6) = -0.6204273518435405e-2, (99, 7) = 0.660129692855998e-2, (100, 1) = -0.17251057251932208e-1, (100, 2) = 0.7874896343931133e-2, (100, 3) = .8563727717832911, (100, 4) = 0.52432954840383246e-1, (100, 5) = -0.14961301341491364e-1, (100, 6) = -0.5787287135105179e-2, (100, 7) = 0.6183395118813691e-2, (101, 1) = -0.16745629644977163e-1, (101, 2) = 0.7622820263324776e-2, (101, 3) = .8597615482839938, (101, 4) = 0.51469145618834776e-1, (101, 5) = -0.14590528608898094e-1, (101, 6) = -0.5396885129046895e-2, (101, 7) = 0.5790089139105677e-2, (102, 1) = -0.16256523054212938e-1, (102, 2) = 0.7380084027582768e-2, (102, 3) = .8630869913915394, (102, 4) = 0.5052949522528311e-1, (102, 5) = -0.14231383298385903e-1, (102, 6) = -0.5031509922179083e-2, (102, 7) = 0.5420098775343518e-2, (103, 1) = -0.15783100427777905e-1, (103, 2) = 0.7146250386892193e-2, (103, 3) = .8663509059017817, (103, 4) = 0.49613185415921565e-1, (103, 5) = -0.13883360876220033e-1, (103, 6) = -0.4689642631979475e-2, (103, 7) = 0.5072155149894696e-2, (104, 1) = -0.15324740843082107e-1, (104, 2) = 0.6920900620324958e-2, (104, 3) = .8695551374490673, (104, 4) = 0.487194055183293e-1, (104, 5) = -0.1354597487810146e-1, (104, 6) = -0.4369840628700971e-2, (104, 7) = 0.4745040251323027e-2, (105, 1) = -0.14880999220591645e-1, (105, 2) = 0.6703711752799031e-2, (105, 3) = .8727004295170955, (105, 4) = 0.47847667825719004e-1, (105, 5) = -0.13218873957203307e-1, (105, 6) = -0.40708417306626115e-2, (105, 7) = 0.4437696279601702e-2, (106, 1) = -0.1445129941189121e-1, (106, 2) = 0.6494304913053776e-2, (106, 3) = .8757885621654562, (106, 4) = 0.4699721013074634e-1, (106, 5) = -0.12901615364899262e-1, (106, 6) = -0.3791347889312316e-2, (106, 7) = 0.41490062236225e-2, (107, 1) = -0.1403515704995601e-1, (107, 2) = 0.629235416435554e-2, (107, 3) = .8788207857953696, (107, 4) = 0.46167431512408715e-1, (107, 5) = -0.12593828454231555e-1, (107, 6) = -0.35301779967586255e-2, (107, 7) = 0.38779519693393103e-2, (108, 1) = -0.136320985542424e-1, (108, 2) = 0.609754606629572e-2, (108, 3) = .8817983817939085, (108, 4) = 0.45357735223466554e-1, (108, 5) = -0.12295154559359827e-1, (108, 6) = -0.3286209314341815e-2, (108, 7) = 0.3623556002597559e-2, (109, 1) = -0.13241630697811596e-1, (109, 2) = 0.59095645556075434e-2, (109, 3) = .8847228903452787, (109, 4) = 0.44567467123514615e-1, (109, 5) = -0.12005223871163083e-1, (109, 6) = -0.30583587722556906e-2, (109, 7) = 0.3384863230891416e-2, (110, 1) = -0.12863282318672776e-1, (110, 2) = 0.5728110719682112e-2, (110, 3) = .887595805636143, (110, 4) = 0.437959990098312e-1, (110, 5) = -0.11723685793281906e-1, (110, 6) = -0.2845607745492162e-2, (110, 7) = 0.3160968116694903e-2, (111, 1) = -0.12496650693252929e-1, (111, 2) = 0.5552924358153241e-2, (111, 3) = .8904182090864114, (111, 4) = 0.430428253565388e-1, (111, 5) = -0.1145024320873632e-1, (111, 6) = -0.2647023818928518e-2, (111, 7) = 0.2951039322881783e-2, (112, 1) = -0.12141274016994663e-1, (112, 2) = 0.5383722467612301e-2, (112, 3) = .8931917390779196, (112, 4) = 0.4230730313112941e-1, (112, 5) = -0.11184557142440503e-1, (112, 6) = -0.2461688048783101e-2, (112, 7) = 0.27542443791469095e-2, (113, 1) = -0.1179681022215186e-1, (113, 2) = 0.5220284141143336e-2, (113, 3) = .8959172018453189, (113, 4) = 0.4158902099552602e-1, (113, 5) = -0.10926379958254132e-1, (113, 6) = -0.228878818143032e-2, (113, 7) = 0.25698496698628556e-2, (114, 1) = -0.11462903989906546e-1, (114, 2) = 0.5062386550384448e-2, (114, 3) = .8985955842843032, (114, 4) = 0.4088752771952661e-1, (114, 5) = -0.10675456024997696e-1, (114, 6) = -0.21275434552632607e-2, (114, 7) = 0.23971422191936325e-2, (115, 1) = -0.11139174973080628e-1, (115, 2) = 0.4909799283650963e-2, (115, 3) = .901228160676181, (115, 4) = 0.40202305706456845e-1, (115, 5) = -0.10431512339945794e-1, (115, 6) = -0.1977199961864016e-2, (115, 7) = 0.22354254347508886e-2, (116, 1) = -0.10825272392179685e-1, (116, 2) = 0.4762309923951511e-2, (116, 3) = .9038160568685645, (116, 4) = 0.3953288543830951e-1, (116, 5) = -0.10194299223128396e-1, (116, 6) = -0.18370560679884847e-2, (116, 7) = 0.2084047263144361e-2, (117, 1) = -0.10520888096597018e-1, (117, 2) = 0.4619729729543349e-2, (117, 3) = .9063601272182191, (117, 4) = 0.38878875566455126e-1, (117, 5) = -0.9963600208344612e-2, (117, 6) = -0.1706464442997396e-2, (117, 7) = 0.1942403596612181e-2, (118, 1) = -0.10225676992181737e-1, (118, 2) = 0.4481856038925428e-2, (118, 3) = .9088616122353441, (118, 4) = 0.38239793038485445e-1, (118, 5) = -0.9739171632595673e-2, (118, 6) = -0.15847955131765516e-2, (118, 7) = 0.18098996209028528e-2, (119, 1) = -0.9939367324640893e-2, (119, 2) = 0.4348523632722225e-2, (119, 3) = .9113212093702816, (119, 4) = 0.376153011508749e-1, (119, 5) = -0.9520826147011394e-2, (119, 6) = -0.14714824659729727e-2, (119, 7) = 0.168599953627451e-2, (120, 1) = -0.966163872941871e-2, (120, 2) = 0.4219547534554702e-2, (120, 3) = .9137401023351425, (120, 4) = 0.3700494616750579e-1, (120, 5) = -0.9308339878721775e-2, (120, 6) = -0.1365969153112434e-2, (120, 7) = 0.15701706401611438e-2, (121, 1) = -0.9392198385188308e-2, (121, 2) = 0.4094758396609424e-2, (121, 3) = .9161193161473176, (121, 4) = 0.3640832219382344e-1, (121, 5) = -0.9101510124887554e-2, (121, 6) = -0.12677402606956771e-2, (121, 7) = 0.14619168884890783e-2, (122, 1) = -0.9130776619449235e-2, (122, 2) = 0.3974000157039127e-2, (122, 3) = .918459743389031, (122, 4) = 0.3582506324812699e-1, (122, 5) = -0.8900152062547061e-2, (122, 6) = -0.11763168046591919e-2, (122, 7) = 0.13607747932710109e-2, (123, 1) = -0.8877130053322135e-2, (123, 2) = 0.3857131220204234e-2, (123, 3) = .9207621042586911, (123, 4) = 0.3525485195379574e-1, (123, 5) = -0.8704101261672068e-2, (123, 6) = -0.10912546315821271e-2, (123, 7) = 0.1266312536775268e-2, (124, 1) = -0.8631034803741748e-2, (124, 2) = 0.37440210705135487e-2, (124, 3) = .9230269958510547, (124, 4) = 0.3469740599658427e-1, (124, 5) = -0.8513208555597203e-2, (124, 6) = -0.10121396610135644e-2, (124, 7) = 0.11781253977221063e-2, (125, 1) = -0.8392212157745564e-2, (125, 2) = 0.3634516023268043e-2, (125, 3) = .925255580609136, (125, 4) = 0.34152309214020814e-1, (125, 5) = -0.8327282158857823e-2, (125, 6) = -0.938563455856944e-3, (125, 7) = 0.10958089996215903e-2, (126, 1) = -0.8160425838712085e-2, (126, 2) = 0.35284838627545256e-2, (126, 3) = .9274486979359966, (126, 4) = 0.33619231067228195e-1, (126, 5) = -0.8146162840536838e-2, (126, 6) = -0.8701541170718898e-3, (126, 7) = 0.10189941909763463e-2, (127, 1) = -0.7935451067583034e-2, (127, 2) = 0.34257994141029054e-2, (127, 3) = .9296071384367649, (127, 4) = 0.3309785803833924e-1, (127, 5) = -0.7969700041420233e-2, (127, 6) = -0.8065641728294864e-3, (127, 7) = 0.9473341253719798e-3, (128, 1) = -0.7717070876205519e-2, (128, 2) = 0.33263427207529334e-2, (128, 3) = .9317316751472142, (128, 4) = 0.3258788569860931e-1, (128, 5) = -0.7797748970274931e-2, (128, 6) = -0.7474681438722301e-3, (128, 7) = 0.880502001232945e-3, (129, 1) = -0.7505076125168032e-2, (129, 2) = 0.3229998933900569e-2, (129, 3) = .9338230607702328, (129, 4) = 0.32089019152014744e-1, (129, 5) = -0.7630170580490721e-2, (129, 6) = -0.6925613591197516e-3, (129, 7) = 0.8181901587854764e-3, (130, 1) = -0.7299265171632634e-2, (130, 2) = 0.3136658050225978e-2, (130, 3) = .9358820282972874, (130, 4) = 0.31600972661932875e-1, (130, 5) = -0.7466831279916698e-2, (130, 6) = -0.6415587231086209e-3, (130, 7) = 0.7601090888409613e-3, (131, 1) = -0.7099443565783825e-2, (131, 2) = 0.30462146709149766e-2, (131, 3) = .9379092914859827, (131, 4) = 0.31123469324561948e-1, (131, 5) = -0.7307602667855831e-2, (131, 6) = -0.5941935510054997e-3, (131, 7) = 0.7059864851990976e-3, (132, 1) = -0.6905423747524692e-2, (132, 2) = 0.2958567768435871e-2, (132, 3) = .9399055454663998, (132, 4) = 0.30656240723360338e-1, (132, 5) = -0.71523612763047355e-2, (132, 6) = -0.5502164615731298e-3, (132, 7) = 0.655566332104778e-3, (133, 1) = -0.6717024757245861e-2, (133, 2) = 0.2873620466790021e-2, (133, 3) = .9418714673375305, (133, 4) = 0.30199026597440937e-1, (133, 5) = -0.7000988325823573e-2, (133, 6) = -0.5093943297131232e-3, (133, 7) = 0.6086080307940107e-3, (134, 1) = -0.6534071959760502e-2, (134, 2) = 0.27912798342734552e-2, (134, 3) = .9438077167561614, (134, 4) = 0.29751574522758853e-1, (134, 5) = -0.6853369494924661e-2, (134, 6) = -0.4715092959902402e-3, (134, 7) = 0.5648855642822292e-3, (135, 1) = -0.6356396787514922e-2, (135, 2) = 0.27114566909829225e-2, (135, 3) = .9457149364454033, (135, 4) = 0.2931363962219971e-1, (135, 5) = -0.6709394707597642e-2, (135, 6) = -0.43635783194643206e-3, (135, 7) = 0.5241867010441891e-3, (136, 1) = -0.61838364891480474e-2, (136, 2) = 0.263406542432135e-2, (136, 3) = .947593752761815, (136, 4) = 0.28884984271701088e-1, (136, 5) = -0.6568957927472171e-2, (136, 6) = -0.4037498558821582e-3, (136, 7) = 0.4863122333420328e-3, (137, 1) = -0.601623387000051e-2, (137, 2) = 0.2559023806114614e-2, (137, 3) = .9494447764708851, (137, 4) = 0.28465377768764184e-1, (137, 5) = -0.6431956947208897e-2, (137, 6) = -0.3735078948773748e-3, (137, 7) = 0.4510752470303723e-3, (138, 1) = -0.5853437072325423e-2, (138, 2) = 0.2486252832368632e-2, (138, 3) = .9512686032079182, (138, 4) = 0.280545960825053e-1, (138, 5) = -0.6298293211671902e-2, (138, 6) = -0.34546629992478233e-3, (138, 7) = 0.4183004324945519e-3, (139, 1) = -0.5695299345566016e-2, (139, 2) = 0.24156765630166848e-2, (139, 3) = .9530658141549968, (139, 4) = 0.276524215633124e-1, (139, 5) = -0.6167871634365016e-2, (139, 6) = -0.31947050232195343e-3, (139, 7) = 0.3878234245464183e-3, (140, 1) = -0.554167885830191e-2, (140, 2) = 0.23472219843972985e-2, (140, 3) = .9548369763523616, (140, 4) = 0.27258642742879598e-1, (140, 5) = -0.60406004492652874e-2, (140, 6) = -0.2953763182049148e-3, (140, 7) = 0.35949018078556665e-3, (141, 1) = -0.5392438520624993e-2, (141, 2) = 0.22808188801119096e-2, (141, 3) = .9565826429700981, (141, 4) = 0.2687305414886625e-1, (141, 5) = -0.5916391072664268e-2, (141, 6) = -0.27304929294300013e-3, (141, 7) = 0.3331563901813197e-3, (142, 1) = -0.52474458312329955e-2, (142, 2) = 0.22163997163235374e-2, (142, 3) = .958303353361792, (142, 4) = 0.26495456172530026e-1, (142, 5) = -0.57951579868950375e-2, (142, 6) = -0.252364085464996e-3, (142, 7) = 0.30868691325215805e-3, (143, 1) = -0.5106572684456149e-2, (143, 2) = 0.2153899512449706e-2, (143, 3) = .9599996336604034, (143, 4) = 0.26125654821718747e-1, (143, 5) = -0.5676818591723513e-2, (143, 6) = -0.23320388139026565e-3, (143, 7) = 0.2859552418854789e-3, (144, 1) = -0.496969518374495e-2, (144, 2) = 0.20932557178244982e-2, (144, 3) = .961671997397204, (144, 4) = 0.25763461476510423e-1, (144, 5) = -0.5561293061337471e-2, (144, 6) = -0.21545984131697018e-3, (144, 7) = 0.2648429873310176e-3, (145, 1) = -0.4836693490181476e-2, (145, 2) = 0.2034408106735575e-2, (145, 3) = .963320945785362, (145, 4) = 0.2540869272435785e-1, (145, 5) = -0.5448504231053388e-2, (145, 6) = -0.1990305859062199e-3, (145, 7) = 0.2452393994183257e-3, (146, 1) = -0.4707451672732042e-2, (146, 2) = 0.19772986768169993e-2, (146, 3) = .9649469680512343, (146, 4) = 0.2506117018958842e-1, (146, 5) = -0.5338377485993881e-2, (146, 6) = -0.1838217110432586e-3, (146, 7) = 0.22704091004977484e-3, (147, 1) = -0.4581857567572001e-2, (147, 2) = 0.1921871553865193e-2, (147, 3) = .9665505417213073, (147, 4) = 0.24720720377034513e-1, (147, 5) = -0.5230840657806015e-2, (147, 6) = -0.16974533250776132e-3, (147, 7) = 0.21015070120431977e-3, (148, 1) = -0.4459802644110297e-2, (148, 2) = 0.18680729018499408e-2, (148, 3) = .9681321328883635, (148, 4) = 0.2438717452423778e-1, (148, 5) = -0.5125823927380249e-2, (148, 6) = -0.1567196582818594e-3, (148, 7) = 0.19447829607891086e-3, (149, 1) = -0.4341181888026249e-2, (149, 2) = 0.18158508424962229e-2, (149, 3) = .9696921963155168, (149, 4) = 0.24060368491380577e-1, (149, 5) = -0.5023259742466551e-2, (149, 6) = -0.1446685880441674e-3, (149, 7) = 0.1799391736386374e-3, (150, 1) = -0.4225893650637279e-2, (150, 2) = 0.17651553619765716e-2, (150, 3) = .9712311760403447, (150, 4) = 0.23740142549888144e-1, (150, 5) = -0.4923082706327167e-2, (150, 6) = -0.13352133330447443e-3, (150, 7) = 0.16645439943325225e-3, (151, 1) = -0.4113839530268126e-2, (151, 2) = 0.17159382335444216e-2, (151, 3) = .9727495056336701, (151, 4) = 0.2342634124862383e-1, (151, 5) = -0.4825229493689177e-2, (151, 6) = -0.1232120640465816e-3, (151, 7) = 0.1539502804262958e-3, (152, 1) = -0.4004924259857473e-2, (152, 2) = 0.16681529445863694e-2, (152, 3) = .9742476084300418, (152, 4) = 0.23118813289296117e-1, (152, 5) = -0.4729638772087287e-2, (152, 6) = -0.11367957746503508e-3, (152, 7) = 0.1423580391973025e-3, (153, 1) = -0.3899055593040416e-2, (153, 2) = 0.16217546245721791e-2, (153, 3) = .9757258978340067, (153, 4) = 0.22817411389538758e-1, (153, 5) = -0.463625112173974e-2, (153, 6) = -0.10486698691294358e-3, (153, 7) = 0.13161350583831e-3, (154, 1) = -0.37961441950964078e-2, (154, 2) = 0.15766999766100972e-2, (154, 3) = .9771847776170947, (154, 4) = 0.22521992151470806e-1, (154, 5) = -0.4545008959412762e-2, (154, 6) = -0.967214305737495e-4, (154, 7) = 0.121656827512054e-3, (155, 1) = -0.36961035417064788e-2, (155, 2) = 0.15329472137910675e-2, (155, 3) = .9786246421596811, (155, 4) = 0.22232415944730063e-1, (155, 5) = -0.445585646888749e-2, (155, 6) = -0.8919379893818854e-4, (155, 7) = 0.11243219508397924e-3, (156, 1) = -0.3598849831342047e-2, (156, 2) = 0.14904560027590857e-2, (156, 3) = .9800458765440385, (156, 4) = 0.21948546822007864e-1, (156, 5) = -0.4368739543349211e-2, (156, 6) = -0.8223848033365505e-4, (156, 7) = 0.10388758640877828e-3, (157, 1) = -0.3504301864036683e-2, (157, 2) = 0.1449187393779194e-2, (157, 3) = .9814488571872236, (157, 4) = 0.21670252329442523e-1, (157, 5) = -0.4283605697341341e-2, (157, 6) = -0.7581312014106669e-4, (157, 7) = 0.9597452136763151e-4, (158, 1) = -0.34129493089673224e-2, (158, 2) = 0.14093514910030092e-2, (158, 3) = .9828253219279554, (158, 4) = 0.21399097573883887e-1, (158, 5) = -0.4200919799199968e-2, (158, 6) = -0.6991415932376671e-4, (158, 7) = 0.8869203721112217e-4, (159, 1) = -0.33271103446682673e-2, (159, 2) = 0.13719539824332608e-2, (159, 3) = .9841383236747088, (159, 4) = 0.21142196023966428e-1, (159, 5) = -0.4122824677830502e-2, (159, 6) = -0.6464305200947549e-4, (159, 7) = 0.8216929414664662e-4, (160, 1) = -0.3246888216871749e-2, (160, 2) = 0.13370335160016358e-2, (160, 3) = .985383387995297, (160, 4) = 0.209001807532975e-1, (160, 5) = -0.4049476099124505e-2, (160, 6) = -0.5995056210962825e-4, (160, 7) = 0.7634950158779991e-4, (161, 1) = -0.31717820489926096e-2, (161, 2) = 0.13043663241526988e-2, (161, 3) = .9865655002073301, (161, 4) = 0.2067184982425839e-1, (161, 5) = -0.3980475008201402e-2, (161, 6) = -0.5575831327685825e-4, (161, 7) = 0.7113901558701944e-4, (162, 1) = -0.3101283157089607e-2, (162, 2) = 0.12737262794573984e-2, (162, 3) = .9876901928502866, (162, 4) = 0.20455929268952944e-1, (162, 5) = -0.3915405955558736e-2, (162, 6) = -0.51996993884276855e-4, (162, 7) = 0.6645462049558117e-4, (163, 1) = -0.3034948752530318e-2, (163, 2) = 0.12449168007795967e-2, (163, 3) = .9887623477334817, (163, 4) = 0.2025130191646246e-1, (163, 5) = -0.38539057244155925e-2, (163, 6) = -0.4860889607355352e-4, (163, 7) = 0.6222686084568878e-4, (164, 1) = -0.29723938930752585e-2, (164, 2) = 0.12177671724348386e-2, (164, 3) = .9897862525363109, (164, 4) = 0.20056990944072855e-1, (164, 5) = -0.37956574648679202e-2, (164, 6) = -0.45545777125153235e-4, (164, 7) = 0.58397541801037944e-4, (165, 1) = -0.29132816972746683e-2, (165, 2) = 0.11921281484142164e-2, (165, 3) = .9907656989607102, (165, 4) = 0.19872136498653162e-1, (165, 5) = -0.3740382918721448e-2, (165, 6) = -0.427670184725108e-4, (165, 7) = 0.5491755877317205e-4, (166, 1) = -0.28573153562169145e-2, (166, 2) = 0.11678683701705991e-2, (166, 3) = .9917040645449797, (166, 4) = 0.1969597641041645e-1, (166, 5) = -0.3687836034699237e-2, (166, 6) = -0.4023818885023187e-4, (166, 7) = 0.51745199342617154e-4, (167, 1) = -0.28042322593080844e-2, (167, 2) = 0.1144871726603264e-2, (167, 3) = .9926043695551816, (167, 4) = 0.19527832369525187e-1, (167, 5) = -0.36377983421639662e-2, (167, 6) = -0.37929943037897354e-4, (167, 7) = 0.488448409496686e-4, (168, 1) = -0.2753799130211681e-2, (168, 2) = 0.1123035170937828e-2, (168, 3) = .9934693246139872, (168, 4) = 0.19367098410542075e-1, (168, 5) = -0.3590075107388287e-2, (168, 6) = -0.358171430611698e-4, (168, 7) = 0.4618590926945546e-4, (169, 1) = -0.27058079781715864e-2, (169, 2) = 0.11022669058035406e-2, (169, 3) = .9943013707458818, (169, 4) = 0.19213231273768283e-1, (169, 5) = -0.3544492124080056e-2, (169, 6) = -0.3387815201610202e-4, (169, 7) = 0.4374203936585028e-4, (170, 1) = -0.26600725198970194e-2, (170, 2) = 0.10824847840107225e-2, (170, 3) = .9951027165532491, (170, 4) = 0.19065741682178818e-1, (170, 5) = -0.35008928380502657e-2, (170, 6) = -0.3209425552245678e-4, (170, 7) = 0.41490386487098785e-4, (171, 1) = -0.26164251077657906e-2, (171, 2) = 0.10636149381462077e-2, (171, 3) = .995875371044721, (171, 4) = 0.18924186748013903e-1, (171, 5) = -0.3459135858949456e-2, (171, 6) = -0.30449189658006313e-4, (171, 7) = 0.3941106244803707e-4, (172, 1) = -0.25747154845888296e-2, (172, 2) = 0.10455912073515348e-2, (172, 3) = .9966211475552713, (172, 4) = 0.18788167920810266e-1, (172, 5) = -0.34190941466821535e-2, (172, 6) = -0.2892880415481513e-4, (172, 7) = 0.3748673617539756e-4, (173, 1) = -0.2534807981217631e-2, (173, 2) = 0.10283538966235138e-2, (173, 3) = .9973416977524165, (173, 4) = 0.18657323601527533e-1, (173, 5) = -0.33806526539177733e-2, (173, 6) = -0.2752071779279574e-4, (173, 7) = 0.35702219193114476e-4, (174, 1) = -0.24965796986488663e-2, (174, 2) = 0.10118489671315971e-2, (174, 3) = .9980385309827882, (174, 4) = 0.18531324646632825e-1, (174, 5) = -0.3343706853010833e-2, (174, 6) = -0.26214056372779796e-4, (174, 7) = 0.3404415118123037e-4, (175, 1) = -0.24599190164938103e-2, (175, 2) = 0.9960273716355223e-3, (175, 3) = .9987130298125714, (175, 4) = 0.18409870712982543e-1, (175, 5) = -0.3308161533747031e-2, (175, 6) = -0.24999237164889492e-4, (175, 7) = 0.3250074101975441e-4, (176, 1) = -0.2424724307108064e-2, (176, 2) = 0.9808444820542108e-3, (176, 3) = .999366463543249, (176, 4) = 0.18292687091506932e-1, (176, 5) = -0.32739297639363773e-2, (176, 6) = -0.2386778854087962e-4, (176, 7) = 0.31061549736597884e-4, (177, 1) = -0.23909028232950774e-2, (177, 2) = 0.9662595947245867e-3, (177, 3) = 1.0, (177, 4) = 0.18179521955803843e-1, (177, 5) = -0.32409319878966333e-2, (177, 6) = -0.22812198384621496e-4, (177, 7) = 0.29717307791158036e-4}, datatype = float[8], order = C_order); errproc := proc (x_bvp) local outpoint, X, Y, yout, L, V, i; option `Copyright (c) 2000 by Waterloo Maple Inc. All rights reserved.`; Digits := 15; outpoint := evalf(x_bvp); X := Vector(177, {(1) = .1, (2) = .13432431415631105, (3) = .16865165190091197, (4) = .202985958039896, (5) = .23732533659105348, (6) = .2716788241585104, (7) = .30604559361419775, (8) = .3404355394485909, (9) = .3748529011933503, (10) = .4093061022796795, (11) = .44380716982563195, (12) = .47836387534050584, (13) = .512995852912669, (14) = .5477165596092971, (15) = .5825440749488203, (16) = .617499631782922, (17) = .6526070635536141, (18) = .6878927128084736, (19) = .7233862578282453, (20) = .7591205797331673, (21) = .795131110399485, (22) = .8314537516454595, (23) = .868136597156794, (24) = .9052215072936881, (25) = .9427566773054169, (26) = .9807963691446203, (27) = 1.019390250121844, (28) = 1.0585930956320206, (29) = 1.0984604169171555, (30) = 1.1390444870104077, (31) = 1.1804077038174698, (32) = 1.222605314046431, (33) = 1.2656867522025514, (34) = 1.3097007904581703, (35) = 1.35469069615675, (36) = 1.4006929822839422, (37) = 1.447731690331962, (38) = 1.4958369065409785, (39) = 1.5450201198096045, (40) = 1.5952810827286137, (41) = 1.646612127195734, (42) = 1.6989954066809312, (43) = 1.7524040840585657, (44) = 1.806801993976599, (45) = 1.862146412251251, (46) = 1.9183893448840852, (47) = 1.9754805768192913, (48) = 2.0333655491409464, (49) = 2.09198758848087, (50) = 2.1512911903998386, (51) = 2.2112299885365556, (52) = 2.271742934464316, (53) = 2.3327750130678835, (54) = 2.3942834797609645, (55) = 2.4562254559367735, (56) = 2.518550408638634, (57) = 2.5812184684337374, (58) = 2.6441937416859225, (59) = 2.7074501856327, (60) = 2.770954649679994, (61) = 2.8346761833615464, (62) = 2.898592678498704, (63) = 2.962688121088583, (64) = 3.0269416312716424, (65) = 3.091328430651392, (66) = 3.155836619851239, (67) = 3.220454275768738, (68) = 3.285168541451302, (69) = 3.3499654130373253, (70) = 3.414829585389634, (71) = 3.4797579848516915, (72) = 3.5447435602802027, (73) = 3.609779652754643, (74) = 3.674861152412504, (75) = 3.7399848957435275, (76) = 3.8051508297379377, (77) = 3.8703655596105624, (78) = 3.935652421384301, (79) = 4.001077560861665, (80) = 4.0666510045970385, (81) = 4.132314229225371, (82) = 4.198000337516065, (83) = 4.263680764101562, (84) = 4.329336756026789, (85) = 4.394973340046662, (86) = 4.460588954073379, (87) = 4.526181509768576, (88) = 4.59174993915436, (89) = 4.6572937466339175, (90) = 4.722812832368339, (91) = 4.788307377913861, (92) = 4.853777459964835, (93) = 4.9192172921590585, (94) = 4.98463029125814, (95) = 5.0500209149724435, (96) = 5.115387283230868, (97) = 5.180725066182968, (98) = 5.246040278527776, (99) = 5.3113174587944965, (100) = 5.376570973389221, (101) = 5.44180368691663, (102) = 5.5070118178761875, (103) = 5.572199562571729, (104) = 5.637373294661837, (105) = 5.702517813103393, (106) = 5.767639827784657, (107) = 5.832736032997183, (108) = 5.897804505036399, (109) = 5.962849913789289, (110) = 6.0278771161534, (111) = 6.092882596362824, (112) = 6.157876605520855, (113) = 6.222850932401667, (114) = 6.287802017103068, (115) = 6.352734006431941, (116) = 6.4176483673997975, (117) = 6.482540451739694, (118) = 6.547416149850125, (119) = 6.6122680542862025, (120) = 6.677102130347337, (121) = 6.7419211005546, (122) = 6.8067248666742355, (123) = 6.871509114964304, (124) = 6.936266375612976, (125) = 7.0010059228545805, (126) = 7.065728682384006, (127) = 7.130434804847329, (128) = 7.195124539737002, (129) = 7.259798136520217, (130) = 7.324455844038698, (131) = 7.3890979060419335, (132) = 7.453724561298953, (133) = 7.518336044173569, (134) = 7.582932585751136, (135) = 7.647514413049672, (136) = 7.712081750883993, (137) = 7.776634831889643, (138) = 7.841173896857807, (139) = 7.905699203490006, (140) = 7.970211023056725, (141) = 8.034709635791245, (142) = 8.099195318161058, (143) = 8.163668350318732, (144) = 8.22812902562451, (145) = 8.292577648267015, (146) = 8.357014533032183, (147) = 8.42144000370015, (148) = 8.485854390888106, (149) = 8.550258023403897, (150) = 8.6146512403873, (151) = 8.679034390131827, (152) = 8.74340782797264, (153) = 8.807771917708358, (154) = 8.872127033100252, (155) = 8.93647355737236, (156) = 9.000811876240148, (157) = 9.065142395655199, (158) = 9.129062231749659, (159) = 9.190791738971976, (160) = 9.25002177586793, (161) = 9.306893224933363, (162) = 9.361586616509348, (163) = 9.414263699827062, (164) = 9.46506800130928, (165) = 9.514127801690371, (166) = 9.561558693204324, (167) = 9.60746518855213, (168) = 9.651942086110576, (169) = 9.695075631414408, (170) = 9.73694468456052, (171) = 9.777621794577053, (172) = 9.817172850818734, (173) = 9.855658388735026, (174) = 9.893134209297964, (175) = 9.929651857051025, (176) = 9.965259040121957, (177) = 10.0}, datatype = float[8], order = C_order); Y := Matrix(177, 7, {(1, 1) = .0, (1, 2) = -0.25133563359422095e-9, (1, 3) = .0, (1, 4) = .0, (1, 5) = 0.10748780804799623e-8, (1, 6) = .0, (1, 7) = -0.12934292747785471e-8, (2, 1) = -0.4822236359734921e-9, (2, 2) = 0.1291751262338101e-8, (2, 3) = 0.2499789735445234e-10, (2, 4) = 0.5322412113500357e-9, (2, 5) = -0.955358623267235e-9, (2, 6) = -0.38176982978996947e-9, (2, 7) = 0.1265038035903761e-9, (3, 1) = -0.4735204664889531e-9, (3, 2) = 0.9491466074483928e-9, (3, 3) = 0.4690091191230549e-10, (3, 4) = 0.5390956681805285e-9, (3, 5) = -0.7348597717138394e-9, (3, 6) = -0.40462997460214207e-9, (3, 7) = 0.7799800614856019e-10, (4, 1) = -0.4441257733459236e-9, (4, 2) = 0.7306037721941427e-9, (4, 3) = 0.6619035958041333e-10, (4, 4) = 0.5179121302450025e-9, (4, 5) = -0.570792194199048e-9, (4, 6) = -0.4041232372754603e-9, (4, 7) = 0.46984083322823474e-10, (5, 1) = -0.4191825922957931e-9, (5, 2) = 0.5972268762890003e-9, (5, 3) = 0.8413990150978722e-10, (5, 4) = 0.4985304486898765e-9, (5, 5) = -0.4702779357079129e-9, (5, 6) = -0.4019082568446425e-9, (5, 7) = 0.4082047310759462e-10, (6, 1) = -0.3986834175702839e-9, (6, 2) = 0.5078126984926554e-9, (6, 3) = 0.10125193344200593e-9, (6, 4) = 0.4822548440970703e-9, (6, 5) = -0.4037856571615858e-9, (6, 6) = -0.3997114276374773e-9, (6, 7) = 0.44757214339682084e-10, (7, 1) = -0.3813655097444669e-9, (7, 2) = 0.44322817506744626e-9, (7, 3) = 0.1177488502857477e-9, (7, 4) = 0.4683243907117529e-9, (7, 5) = -0.35642964265749337e-9, (7, 6) = -0.39751044675552513e-9, (7, 7) = 0.52360437146100357e-10, (8, 1) = -0.36633339855577963e-9, (8, 2) = 0.39403541257141004e-9, (8, 3) = 0.13375396569863634e-9, (8, 4) = 0.4560893201559204e-9, (8, 5) = -0.32077279352188766e-9, (8, 6) = -0.3951844650021857e-9, (8, 7) = 0.6104103873575669e-10, (9, 1) = -0.3530110444986799e-9, (9, 2) = 0.3551251388394599e-9, (9, 3) = 0.14934196109816663e-9, (9, 4) = 0.4451182466955199e-9, (9, 5) = -0.2928117915068498e-9, (9, 6) = -0.3926669510728056e-9, (9, 7) = 0.6973390343747467e-10, (10, 1) = -0.34102088912595253e-9, (10, 2) = 0.3234631262334646e-9, (10, 3) = 0.16456602449853078e-9, (10, 4) = 0.4351229121500295e-9, (10, 5) = -0.27020202072419514e-9, (10, 6) = -0.38992802616804567e-9, (10, 7) = 0.7800637668800004e-10, (11, 1) = -0.33009810558916964e-9, (11, 2) = 0.29712810504566086e-9, (11, 3) = 0.1794671206264596e-9, (11, 4) = 0.42590380686280173e-9, (11, 5) = -0.25147578918457037e-9, (11, 6) = -0.38695966267997214e-9, (11, 7) = 0.8569539295634197e-10, (12, 1) = -0.32005141372407416e-9, (12, 2) = 0.2748390161414916e-9, (12, 3) = 0.19407559035522606e-9, (12, 4) = 0.4173192828796213e-9, (12, 5) = -0.23566948004497193e-9, (12, 6) = -0.38376658741537674e-9, (12, 7) = 0.9275123416959122e-10, (13, 1) = -0.3107415781995943e-9, (13, 2) = 0.25569566715949626e-9, (13, 3) = 0.20842107524399382e-9, (13, 4) = 0.4092616740027893e-9, (13, 5) = -0.2221146462535113e-9, (13, 6) = -0.3803576532325859e-9, (13, 7) = 0.9918763909766301e-10, (14, 1) = -0.3020547486931774e-9, (14, 2) = 0.23905632169492564e-9, (14, 3) = 0.22252653396896042e-9, (14, 4) = 0.40165000386117793e-9, (14, 5) = -0.21033646928053961e-9, (14, 6) = -0.3767450629818431e-9, (14, 7) = 0.1050316206286602e-9, (15, 1) = -0.2939050674611193e-9, (15, 2) = 0.2244410956663784e-9, (15, 3) = 0.2364129701052877e-9, (15, 4) = 0.39442041537530405e-9, (15, 5) = -0.1999871871687752e-9, (15, 6) = -0.3729413746558997e-9, (15, 7) = 0.11032191552202252e-9, (16, 1) = -0.286222106757177e-9, (16, 2) = 0.21148559484473567e-9, (16, 3) = 0.2501005847357134e-9, (16, 4) = 0.38752041128926003e-9, (16, 5) = -0.19080406100056436e-9, (16, 6) = -0.36895830719220893e-9, (16, 7) = 0.11509985495828057e-9, (17, 1) = -0.27894813473489e-9, (17, 2) = 0.19990993266642248e-9, (17, 3) = 0.2636080867768676e-9, (17, 4) = 0.38090785767399594e-9, (17, 5) = -0.18258498829123314e-9, (17, 6) = -0.3648063902168073e-9, (17, 7) = 0.11940455739879428e-9, (18, 1) = -0.27203377299844357e-9, (18, 2) = 0.18949251113976552e-9, (18, 3) = 0.2769531503258719e-9, (18, 4) = 0.37454645571624524e-9, (18, 5) = -0.17517235332104338e-9, (18, 6) = -0.36049503213976123e-9, (18, 7) = 0.12327029378294546e-9, (19, 1) = -0.2654380018357667e-9, (19, 2) = 0.18005609524436158e-9, (19, 3) = 0.29015352124528096e-9, (19, 4) = 0.36840588937618217e-9, (19, 5) = -0.1684404255060993e-9, (19, 6) = -0.35603302336135194e-9, (19, 7) = 0.12672994380140462e-9, (20, 1) = -0.2591249207945148e-9, (20, 2) = 0.17145908392284244e-9, (20, 3) = 0.3032258092511636e-9, (20, 4) = 0.3624596527318036e-9, (20, 5) = -0.16228840536977783e-9, (20, 6) = -0.3514279783195208e-9, (20, 7) = 0.1298127371652538e-9, (21, 1) = -0.25306422276752354e-9, (21, 2) = 0.16358246686013007e-9, (21, 3) = 0.31618709867295386e-9, (21, 4) = 0.3566852140556996e-9, (21, 5) = -0.15663281162411897e-9, (21, 6) = -0.3466852074439036e-9, (21, 7) = 0.13254460203844536e-9, (22, 1) = -0.24722947014827626e-9, (22, 2) = 0.15633237994447384e-9, (22, 3) = 0.32905279765740313e-9, (22, 4) = 0.35106197738678446e-9, (22, 5) = -0.15140702081415211e-9, (22, 6) = -0.34181104869694363e-9, (22, 7) = 0.1349481998052051e-9, (23, 1) = -0.24159525855122816e-9, (23, 2) = 0.14962663284565797e-9, (23, 3) = 0.34184129986409534e-9, (23, 4) = 0.3455710901981431e-9, (23, 5) = -0.1465545388780879e-9, (23, 6) = -0.33680799761451423e-9, (23, 7) = 0.13704217031147442e-9, (24, 1) = -0.23614219852260766e-9, (24, 2) = 0.14339762247954253e-9, (24, 3) = 0.35456787888180087e-9, (24, 4) = 0.3401969862063632e-9, (24, 5) = -0.14202679880817453e-9, (24, 6) = -0.33167891838231315e-9, (24, 7) = 0.13884542358546385e-9, (25, 1) = -0.23085059138136459e-9, (25, 2) = 0.13758834302914604e-9, (25, 3) = 0.36724842673314724e-9, (25, 4) = 0.3349243442395313e-9, (25, 5) = -0.13778527402894338e-9, (25, 6) = -0.3264271673931953e-9, (25, 7) = 0.14037251215241305e-9, (26, 1) = -0.22570373952624887e-9, (26, 2) = 0.13214994434323748e-9, (26, 3) = 0.3798999867538572e-9, (26, 4) = 0.3297396272364163e-9, (26, 5) = -0.13379429370372647e-9, (26, 6) = -0.3210523981912681e-9, (26, 7) = 0.14163621638420803e-9, (27, 1) = -0.22068712704508097e-9, (27, 2) = 0.1270412908532785e-9, (27, 3) = 0.39253681082283613e-9, (27, 4) = 0.3246307708269583e-9, (27, 5) = -0.13002582884620115e-9, (27, 6) = -0.31555624453007013e-9, (27, 7) = 0.14264832087492047e-9, (28, 1) = -0.21578731325972487e-9, (28, 2) = 0.12222712607848792e-9, (28, 3) = 0.4051735785720333e-9, (28, 4) = 0.319586871397829e-9, (28, 5) = -0.12645492465037684e-9, (28, 6) = -0.3099389237474639e-9, (28, 7) = 0.14341746981326065e-9, (29, 1) = -0.21099190569243325e-9, (29, 2) = 0.11767622332477985e-9, (29, 3) = 0.41782413871370106e-9, (29, 4) = 0.31459713589030673e-9, (29, 5) = -0.12306017230164548e-9, (29, 6) = -0.30420122651924197e-9, (29, 7) = 0.14395168130955385e-9, (30, 1) = -0.2062913796265655e-9, (30, 2) = 0.11336297440012964e-9, (30, 3) = 0.4305002727590064e-9, (30, 4) = 0.30965368144992986e-9, (30, 5) = -0.1198224199722497e-9, (30, 6) = -0.29834324841155765e-9, (30, 7) = 0.14425820561328524e-9, (31, 1) = -0.20167543145855411e-9, (31, 2) = 0.10926367675168289e-9, (31, 3) = 0.4432157990459678e-9, (31, 4) = 0.30474753102929854e-9, (31, 5) = -0.11672648830301723e-9, (31, 6) = -0.29236553478707224e-9, (31, 7) = 0.14434264568809095e-9, (32, 1) = -0.19713587803636631e-9, (32, 2) = 0.10535849256830875e-9, (32, 3) = 0.4559811480098555e-9, (32, 4) = 0.29987149994194555e-9, (32, 5) = -0.11375748988966459e-9, (32, 6) = -0.28626765172624023e-9, (32, 7) = 0.14420916355947746e-9, (33, 1) = -0.19266703741622537e-9, (33, 2) = 0.10163152267693176e-9, (33, 3) = 0.468804140242033e-9, (33, 4) = 0.29501949561639447e-9, (33, 5) = -0.11090365983769633e-9, (33, 6) = -0.28005288243174855e-9, (33, 7) = 0.1438623405988644e-9, (34, 1) = -0.18826236971018196e-9, (34, 2) = 0.9806744012823473e-10, (34, 3) = 0.4816914686457909e-9, (34, 4) = 0.29018599683608335e-9, (34, 5) = -0.1081551639622339e-9, (34, 6) = -0.27372319868693324e-9, (34, 7) = 0.14330559065581606e-9, (35, 1) = -0.18391739026145476e-9, (35, 2) = 0.9465420057864679e-10, (35, 3) = 0.4946471147612365e-9, (35, 4) = 0.28536790964775523e-9, (35, 5) = -0.10550312893821894e-9, (35, 6) = -0.26728271148470323e-9, (35, 7) = 0.14254283649475636e-9, (36, 1) = -0.1796290326417921e-9, (36, 2) = 0.9138103278655448e-10, (36, 3) = 0.5076726524594222e-9, (36, 4) = 0.28056195093997926e-9, (36, 5) = -0.1029400324744031e-9, (36, 6) = -0.26073698096959233e-9, (36, 7) = 0.14157756810199448e-9, (37, 1) = -0.17539547636232187e-9, (37, 2) = 0.8823883513563119e-10, (37, 3) = 0.5207659528703415e-9, (37, 4) = 0.2757676995363159e-9, (37, 5) = -0.10045975867444299e-9, (37, 6) = -0.2540932633148623e-9, (37, 7) = 0.14041329069777054e-9, (38, 1) = -0.1712145116362773e-9, (38, 2) = 0.8521968079420024e-10, (38, 3) = 0.5339253806526229e-9, (38, 4) = 0.2709816307404778e-9, (38, 5) = -0.9805638569026587e-10, (38, 6) = -0.2473594483835658e-9, (38, 7) = 0.1390550150747939e-9, (39, 1) = -0.16708614348926574e-9, (39, 2) = 0.8231706552060182e-10, (39, 3) = 0.547144299171384e-9, (39, 4) = 0.2662056438391908e-9, (39, 5) = -0.9572565144131231e-10, (39, 6) = -0.2405458208104288e-9, (39, 7) = 0.1375077751873039e-9, (40, 1) = -0.16301069952118687e-9, (40, 2) = 0.7952499135640627e-10, (40, 3) = 0.5604133509423026e-9, (40, 4) = 0.26144129521059254e-9, (40, 5) = -0.9346372481169876e-10, (40, 6) = -0.23366459995648096e-9, (40, 7) = 0.13577717678093516e-9, (41, 1) = -0.158989817473586e-9, (41, 2) = 0.7683928985529501e-10, (41, 3) = 0.5737201578239992e-9, (41, 4) = 0.2566900700893248e-9, (41, 5) = -0.9126758012947667e-10, (41, 6) = -0.22672984593116725e-9, (41, 7) = 0.13387053757566127e-9, (42, 1) = -0.15502483153316906e-9, (42, 2) = 0.7425508875677405e-10, (42, 3) = 0.5870514200556596e-9, (42, 4) = 0.251955080921043e-9, (42, 5) = -0.8913398787267396e-10, (42, 6) = -0.21975677997761107e-9, (42, 7) = 0.13179665822801967e-9, (43, 1) = -0.15111813361978065e-9, (43, 2) = 0.717689508221198e-10, (43, 3) = 0.6003915161923434e-9, (43, 4) = 0.24724066175948746e-9, (43, 5) = -0.8706173466119875e-10, (43, 6) = -0.21276123072080293e-9, (43, 7) = 0.12956460370331698e-9, (44, 1) = -0.1472719831472899e-9, (44, 2) = 0.6937737858129648e-10, (44, 3) = 0.61372174261653e-9, (44, 4) = 0.24255055440537196e-9, (44, 5) = -0.850482954542035e-10, (44, 6) = -0.20576167792240652e-9, (44, 7) = 0.12718475337204908e-9, (45, 1) = -0.14348909059030847e-9, (45, 2) = 0.6707735490401772e-10, (45, 3) = 0.6270251558459976e-9, (45, 4) = 0.2378876535417994e-9, (45, 5) = -0.8309171565579169e-10, (45, 6) = -0.19877510496972733e-9, (45, 7) = 0.1246691074748796e-9, (46, 1) = -0.13977224131761695e-9, (46, 2) = 0.6486578381007288e-10, (46, 3) = 0.6402834574063305e-9, (46, 4) = 0.2332605542006165e-9, (46, 5) = -0.8119095085305585e-10, (46, 6) = -0.19181963160364122e-9, (46, 7) = 0.12202970885015615e-9, (47, 1) = -0.13612333265013527e-9, (47, 2) = 0.6273962017101276e-10, (47, 3) = 0.6534782659660732e-9, (47, 4) = 0.22866963665007658e-9, (47, 5) = -0.7934397968198933e-10, (47, 6) = -0.1849128525694979e-9, (47, 7) = 0.11927937650694392e-9, (48, 1) = -0.1325449414570179e-9, (48, 2) = 0.6069601337261652e-10, (48, 3) = 0.6665913117637493e-9, (48, 4) = 0.2241217307746333e-9, (48, 5) = -0.7754946037125802e-10, (48, 6) = -0.17807170048392828e-9, (48, 7) = 0.1164320231963305e-9, (49, 1) = -0.12903865819132066e-9, (49, 2) = 0.5873213259749112e-10, (49, 3) = 0.679606416918663e-9, (49, 4) = 0.21961882325135148e-9, (49, 5) = -0.7580608918744382e-10, (49, 6) = -0.17131288007210077e-9, (49, 7) = 0.11350119171360047e-9, (50, 1) = -0.1256061461749483e-9, (50, 2) = 0.5684506778857276e-10, (50, 3) = 0.692506613829254e-9, (50, 4) = 0.21516617749880193e-9, (50, 5) = -0.7411254642559951e-10, (50, 6) = -0.16465125381821867e-9, (50, 7) = 0.11050012580587676e-9, (51, 1) = -0.12224816114420096e-9, (51, 2) = 0.5503152690500283e-10, (51, 3) = 0.7052806320244042e-9, (51, 4) = 0.21076596885217913e-9, (51, 5) = -0.7246680269519579e-10, (51, 6) = -0.15809991937359541e-9, (51, 7) = 0.10744258215702968e-9, (52, 1) = -0.1189655926860609e-9, (52, 2) = 0.53289087268733294e-10, (52, 3) = 0.7179103764981454e-9, (52, 4) = 0.20642326263827707e-9, (52, 5) = -0.7086755493948269e-10, (52, 6) = -0.15167200258860118e-9, (52, 7) = 0.10434186442026731e-9, (53, 1) = -0.11575985059547016e-9, (53, 2) = 0.516148211081032e-10, (53, 3) = 0.7303863430846644e-9, (53, 4) = 0.20213900611511557e-9, (53, 5) = -0.6931374569883764e-10, (53, 6) = -0.14537942014199397e-9, (53, 7) = 0.10121113477442049e-9, (54, 1) = -0.11263007044960751e-9, (54, 2) = 0.50005730903456676e-10, (54, 3) = 0.7426967671036052e-9, (54, 4) = 0.1979160900085421e-9, (54, 5) = -0.6780348622521023e-10, (54, 6) = -0.13923111798488457e-9, (54, 7) = 0.980620068570324e-10, (55, 1) = -0.1095761940909322e-9, (55, 2) = 0.4845909087022527e-10, (55, 3) = 0.7548353635824616e-9, (55, 4) = 0.19375595267806383e-9, (55, 5) = -0.6633522100935265e-10, (55, 6) = -0.13323534944445024e-9, (55, 7) = 0.9490596285123504e-10, (56, 1) = -0.1065984504918604e-9, (56, 2) = 0.4697226690721809e-10, (56, 3) = 0.7667902304253112e-9, (56, 4) = 0.18965950044270478e-9, (56, 5) = -0.6490771086386615e-10, (56, 6) = -0.1273994576673779e-9, (56, 7) = 0.9175404401695437e-10, (57, 1) = -0.10369595595090755e-9, (57, 2) = 0.45542696012926026e-10, (57, 3) = 0.778556793025425e-9, (57, 4) = 0.1856312972726619e-9, (57, 5) = -0.6351981357404045e-10, (57, 6) = -0.12172894374870717e-9, (57, 7) = 0.8861618584892101e-10, (58, 1) = -0.1008674248650476e-9, (58, 2) = 0.44167509118960435e-10, (58, 3) = 0.7901282528356496e-9, (58, 4) = 0.1816689005601506e-9, (58, 5) = -0.6216955980948554e-10, (58, 6) = -0.11622820480113498e-9, (58, 7) = 0.8550149102221199e-10, (59, 1) = -0.9811216105413218e-10, (59, 2) = 0.4284446467824523e-10, (59, 3) = 0.8015028238903295e-9, (59, 4) = 0.17777286746673866e-9, (59, 5) = -0.6085582711854137e-10, (59, 6) = -0.11089945666474679e-9, (59, 7) = 0.8241775440515545e-10, (60, 1) = -0.954284917777356e-10, (60, 2) = 0.41570814245508714e-10, (60, 3) = 0.8126770292454439e-9, (60, 4) = 0.17394354783946692e-9, (60, 5) = -0.5957709600406618e-10, (60, 6) = -0.10574533301767726e-9, (60, 7) = 0.7937281914298082e-10, (61, 1) = -0.9281564411951234e-10, (61, 2) = 0.4034464547926178e-10, (61, 3) = 0.8236472846736369e-9, (61, 4) = 0.1701833036818964e-9, (61, 5) = -0.5833206612773767e-10, (61, 6) = -0.10076676711512439e-9, (61, 7) = 0.7637315322789134e-10, (62, 1) = -0.9027177347486823e-10, (62, 2) = 0.3916354207986905e-10, (62, 3) = 0.8344124201743041e-9, (62, 4) = 0.16648946902577382e-9, (62, 5) = -0.57119532685498765e-10, (62, 6) = -0.9596390927186278e-10, (62, 7) = 0.7342478496541387e-10, (63, 1) = -0.8779535909357898e-10, (63, 2) = 0.38025284248982297e-10, (63, 3) = 0.8449739575048797e-9, (63, 4) = 0.16286276922895867e-9, (63, 5) = -0.559382759394972e-10, (63, 6) = -0.9133564683145688e-10, (63, 7) = 0.7053216538831238e-10, (64, 1) = -0.85384725616473e-10, (64, 2) = 0.3692798253782136e-10, (64, 3) = 0.8553287704958263e-9, (64, 4) = 0.15930123661278354e-9, (64, 5) = -0.5478695255849285e-10, (64, 6) = -0.8688048760078013e-10, (64, 7) = 0.6769996617461846e-10, (65, 1) = -0.8303858586558454e-10, (65, 2) = 0.3586972810555899e-10, (65, 3) = 0.8654792625877007e-9, (65, 4) = 0.15580572742598036e-9, (65, 5) = -0.5366459334902178e-10, (65, 6) = -0.8259732044904485e-10, (65, 7) = 0.6493223337250637e-10, (66, 1) = -0.807553665752725e-10, (66, 2) = 0.3484874891749666e-10, (66, 3) = 0.8754229593508381e-9, (66, 4) = 0.15237695927329908e-9, (66, 5) = -0.5257035145612129e-10, (66, 6) = -0.7848320040395083e-10, (66, 7) = 0.6223187771979038e-10, (67, 1) = -0.7853315297348665e-10, (67, 2) = 0.3386329237172156e-10, (67, 3) = 0.885165445866046e-9, (67, 4) = 0.1490103257593343e-9, (67, 5) = -0.5150279117922608e-10, (67, 6) = -0.7453518587140608e-10, (67, 7) = 0.5960130904556973e-10, (68, 1) = -0.7637040944820784e-10, (68, 2) = 0.32911598715581086e-10, (68, 3) = 0.8947061739850112e-9, (68, 4) = 0.14570759006284784e-9, (68, 5) = -0.504611198616976e-10, (68, 6) = -0.7075006164056328e-10, (68, 7) = 0.5704255975961135e-10, (69, 1) = -0.7426549605081863e-10, (69, 2) = 0.3199235797200081e-10, (69, 3) = 0.904048186545148e-9, (69, 4) = 0.1424684240627569e-9, (69, 5) = -0.4944443684085938e-10, (69, 6) = -0.6712419841427728e-10, (69, 7) = 0.54557366207916695e-10, (70, 1) = -0.7221736654632416e-10, (70, 2) = 0.3110410103296062e-10, (70, 3) = 0.9131882538741332e-9, (70, 4) = 0.13929036342156035e-9, (70, 5) = -0.4845189373502177e-10, (70, 6) = -0.6365420342795148e-10, (70, 7) = 0.52146975427501514e-10, (71, 1) = -0.7022398200997068e-10, (71, 2) = 0.3024543577941304e-10, (71, 3) = 0.9221360415260171e-9, (71, 4) = 0.1361737081764052e-9, (71, 5) = -0.47482600051318345e-10, (71, 6) = -0.6033547561400346e-10, (71, 7) = 0.49811942430394064e-10, (72, 1) = -0.6828362500748702e-10, (72, 2) = 0.2941489991841159e-10, (72, 3) = 0.930888601393734e-9, (72, 4) = 0.1331159476612379e-9, (72, 5) = -0.4653580535043946e-10, (72, 6) = -0.5716398926445834e-10, (72, 7) = 0.475524649852525e-10, (73, 1) = -0.6639510603152035e-10, (73, 2) = 0.286115228092632e-10, (73, 3) = 0.9394523079129564e-9, (73, 4) = 0.13011733075793917e-9, (73, 5) = -0.4561077481881523e-10, (73, 6) = -0.54135115189872115e-10, (73, 7) = 0.4536866881070352e-10, (74, 1) = -0.645568753974836e-10, (74, 2) = 0.2783391240528995e-10, (74, 3) = 0.9478299584253005e-9, (74, 4) = 0.12717630383541154e-9, (74, 5) = -0.4470657527840883e-10, (74, 6) = -0.5124454519891209e-10, (74, 7) = 0.4326026143353661e-10, (75, 1) = -0.6276724784350272e-10, (75, 2) = 0.27081107173027596e-10, (75, 3) = 0.956021311487774e-9, (75, 4) = 0.1242898751621955e-9, (75, 5) = -0.43822448468142216e-10, (75, 6) = -0.4848759364943523e-10, (75, 7) = 0.41226529155491094e-10, (76, 1) = -0.6102491550561366e-10, (76, 2) = 0.26351883619454057e-10, (76, 3) = 0.9640326746315502e-9, (76, 4) = 0.121460477587425e-9, (76, 5) = -0.4295805432634064e-10, (76, 6) = -0.4585957834722676e-10, (76, 7) = 0.39266766672733285e-10, (77, 1) = -0.5932805568253786e-10, (77, 2) = 0.25645207179705036e-10, (77, 3) = 0.971865921545455e-9, (77, 4) = 0.11868506629827273e-9, (77, 5) = -0.4211247126952791e-10, (77, 6) = -0.43355676647937267e-10, (77, 7) = 0.37379698125788404e-10, (78, 1) = -0.5767472162072739e-10, (78, 2) = 0.24960016150123966e-10, (78, 3) = 0.979527272820239e-9, (78, 4) = 0.11596023227128644e-9, (78, 5) = -0.4128474523380456e-10, (78, 6) = -0.4097042064765802e-10, (78, 7) = 0.35563538933466515e-10, (79, 1) = -0.56062278773629755e-10, (79, 2) = 0.24294558885869108e-10, (79, 3) = 0.9870304765706218e-9, (79, 4) = 0.1132842332370745e-9, (79, 5) = -0.4047347361338713e-10, (79, 6) = -0.3869723877794528e-10, (79, 7) = 0.3381536009462095e-10, (80, 1) = -0.5448940782255379e-10, (80, 2) = 0.23648210403970446e-10, (80, 3) = 0.994373920621701e-9, (80, 4) = 0.11065398015669131e-9, (80, 5) = -0.39678136755576145e-10, (80, 6) = -0.36531778065328024e-10, (80, 7) = 0.32133775021841036e-10, (81, 1) = -0.52956076563351886e-10, (81, 2) = 0.23020634601627332e-10, (81, 3) = 0.10015578355642333e-8, (81, 4) = 0.10807290223640643e-9, (81, 5) = -0.38898839909173874e-10, (81, 6) = -0.3447214832243887e-10, (81, 7) = 0.3051913043551198e-10, (82, 1) = -0.5146276180186555e-10, (82, 2) = 0.22411874260840103e-10, (82, 3) = 0.10085763899854806e-8, (82, 4) = 0.1055410648564232e-9, (82, 5) = -0.38136245666705616e-10, (82, 6) = -0.32516021075844286e-10, (82, 7) = 0.28971490315933258e-10, (83, 1) = -0.5000912520995857e-10, (83, 2) = 0.21821342830068495e-10, (83, 3) = 0.10154312004191943e-8, (83, 4) = 0.10305955865797805e-9, (83, 5) = -0.37389798155327645e-10, (83, 6) = -0.3065998978540357e-10, (83, 7) = 0.27489757167180907e-10, (84, 1) = -0.4859428466255206e-10, (84, 2) = 0.21248577059062134e-10, (84, 3) = 0.10221196610682969e-8, (84, 4) = 0.1006273316758632e-9, (84, 5) = -0.366593448426289e-10, (84, 6) = -0.28900208991190788e-10, (84, 7) = 0.2607253753742099e-10, (85, 1) = -0.47216941209601755e-10, (85, 2) = 0.2069281771249485e-10, (85, 3) = 0.10286458303596705e-8, (85, 4) = 0.9824302321628248e-10, (85, 5) = -0.3594449952721954e-10, (85, 6) = -0.27232289002638088e-10, (85, 7) = 0.2471776526401278e-10, (86, 1) = -0.4587603850181021e-10, (86, 2) = 0.201534052940794e-10, (86, 3) = 0.10350205574204247e-8, (86, 4) = 0.9590484830894483e-10, (86, 5) = -0.35244600053546624e-10, (86, 6) = -0.2565211417447784e-10, (86, 7) = 0.23423564263486646e-10, (87, 1) = -0.44570427444179945e-10, (87, 2) = 0.19629813990776138e-10, (87, 3) = 0.10412377532833149e-8, (87, 4) = 0.9361470603911598e-10, (87, 5) = -0.34559475928237606e-10, (87, 6) = -0.2415576255235988e-10, (87, 7) = 0.22188010686861947e-10, (88, 1) = -0.43299205036542566e-10, (88, 2) = 0.19121396301621412e-10, (88, 3) = 0.10473038270512812e-8, (88, 4) = 0.9136975261118352e-10, (88, 5) = -0.33888742228378605e-10, (88, 6) = -0.22739391561818352e-10, (88, 7) = 0.21009171213129243e-10, (89, 1) = -0.4206136621816841e-10, (89, 2) = 0.1862763193300451e-10, (89, 3) = 0.1053220826440606e-8, (89, 4) = 0.8916812971164093e-10, (89, 5) = -0.3323194858271513e-10, (89, 6) = -0.21399256766972228e-10, (89, 7) = 0.19885123465220818e-10, (90, 1) = -0.4085588310966399e-10, (90, 2) = 0.18148024520178687e-10, (90, 3) = 0.10589955041451046e-8, (90, 4) = 0.870102840089945e-10, (90, 5) = -0.32588484240228997e-10, (90, 6) = -0.20131789912960962e-10, (90, 7) = 0.1881389542009739e-10, (91, 1) = -0.3968185166790285e-10, (91, 2) = 0.1768202815418893e-10, (91, 3) = 0.10646265232891785e-8, (91, 4) = 0.8489553195210622e-10, (91, 5) = -0.3195843436574123e-10, (91, 6) = -0.18933463049862498e-10, (91, 7) = 0.17793581660786366e-10, (92, 1) = -0.3853832902129189e-10, (92, 2) = 0.1722922578935513e-10, (92, 3) = 0.10701178713516793e-8, (92, 4) = 0.8282293669401647e-10, (92, 5) = -0.3134115943239919e-10, (92, 6) = -0.17800978202007475e-10, (92, 7) = 0.16822264914732218e-10, (93, 1) = -0.37424669181434964e-10, (93, 2) = 0.16789122412977386e-10, (93, 3) = 0.10754723856152606e-8, (93, 4) = 0.8079060721002729e-10, (93, 5) = -0.30736550226877975e-10, (93, 6) = -0.16731181911091006e-10, (93, 7) = 0.15898179284081475e-10, (94, 1) = -0.3633984344798148e-10, (94, 2) = 0.1636136007680888e-10, (94, 3) = 0.1080694913077139e-8, (94, 4) = 0.7879810368988039e-10, (94, 5) = -0.30144170280229594e-10, (94, 6) = -0.1572093396812334e-10, (94, 7) = 0.15019396209421985e-10, (95, 1) = -0.3528295959502651e-10, (95, 2) = 0.15945431111723886e-10, (95, 3) = 0.10857842746568276e-8, (95, 4) = 0.7684526168038454e-10, (95, 5) = -0.29563770509365825e-10, (95, 6) = -0.1476718725922153e-10, (95, 7) = 0.14184084832010438e-10, (96, 1) = -0.34253341623023184e-10, (96, 2) = 0.15540982368433098e-10, (96, 3) = 0.1090745090008393e-8, (96, 4) = 0.7492994656021819e-10, (96, 5) = -0.28994985820475658e-10, (96, 6) = -0.1386715343683189e-10, (96, 7) = 0.13390505826113743e-10, (97, 1) = -0.3325026905308442e-10, (97, 2) = 0.15147620208866446e-10, (97, 3) = 0.1095581663622364e-8, (97, 4) = 0.7305312971306977e-10, (97, 5) = -0.2843762234102979e-10, (97, 6) = -0.13018130971366204e-10, (97, 7) = 0.12636963284411881e-10, (98, 1) = -0.3227290366515648e-10, (98, 2) = 0.147650429647678e-10, (98, 3) = 0.11002947854437276e-8, (98, 4) = 0.7121225709966904e-10, (98, 5) = -0.27891434655293842e-10, (98, 6) = -0.12217450392363468e-10, (98, 7) = 0.11921702204802202e-10, (99, 1) = -0.3132080420646942e-10, (99, 2) = 0.14392920682890967e-10, (99, 3) = 0.11048831639640239e-8, (99, 4) = 0.6940775972450926e-10, (99, 5) = -0.27356201034967982e-10, (99, 6) = -0.11462781048113319e-10, (99, 7) = 0.1124326590913559e-10, (100, 1) = -0.3039298764179678e-10, (100, 2) = 0.14030857509215677e-10, (100, 3) = 0.1109356892219946e-8, (100, 4) = 0.676397259657339e-10, (100, 5) = -0.26831570391908562e-10, (100, 6) = -0.10751575098641281e-10, (100, 7) = 0.10599889734684021e-10, (101, 1) = -0.29488761953278224e-10, (101, 2) = 0.13678526761319882e-10, (101, 3) = 0.11137144524208188e-8, (101, 4) = 0.6590478075005809e-10, (101, 5) = -0.26317299185941288e-10, (101, 6) = -0.10081506050647998e-10, (101, 7) = 0.999000377791946e-11, (102, 1) = -0.28607607795422616e-10, (102, 2) = 0.133356401806779e-10, (102, 3) = 0.1117958634990215e-8, (102, 4) = 0.6420506271081726e-10, (102, 5) = -0.25813196450715664e-10, (102, 6) = -0.9450437138368041e-11, (102, 7) = 0.941214568419086e-11, (103, 1) = -0.2774875412567413e-10, (103, 2) = 0.13001895950288143e-10, (103, 3) = 0.11220903726978504e-8, (103, 4) = 0.6253786452945416e-10, (103, 5) = -0.25319039475505215e-10, (103, 6) = -0.8856275269538403e-11, (103, 7) = 0.88648554303843e-11, (104, 1) = -0.26911598790166447e-10, (104, 2) = 0.12676995076335476e-10, (104, 3) = 0.11261152671984882e-8, (104, 4) = 0.609021937252899e-10, (104, 5) = -0.24834523744108644e-10, (104, 6) = -0.8296967223918404e-11, (104, 7) = 0.8346651823328133e-11, (105, 1) = -0.2609571741139721e-10, (105, 2) = 0.12360707018358898e-10, (105, 3) = 0.11300290116370514e-8, (105, 4) = 0.5929939405437904e-10, (105, 5) = -0.24359564511586517e-10, (105, 6) = -0.7770759456933992e-11, (105, 7) = 0.7856315718077717e-11, (106, 1) = -0.2530044333188704e-10, (106, 2) = 0.12052784144741168e-10, (106, 3) = 0.11338381262505208e-8, (106, 4) = 0.577274885441457e-10, (106, 5) = -0.23893915026487e-10, (106, 6) = -0.7275804353440743e-11, (106, 7) = 0.7392498157574831e-11, (107, 1) = -0.24525287343846688e-10, (107, 2) = 0.11752990045451255e-10, (107, 3) = 0.11375506925479182e-8, (107, 4) = 0.5618664712627303e-10, (107, 5) = -0.2343740897183187e-10, (107, 6) = -0.68104138779155605e-11, (107, 7) = 0.69539489361209256e-11, (108, 1) = -0.23769756034050658e-10, (108, 2) = 0.11461069140781725e-10, (108, 3) = 0.1141156920036321e-8, (108, 4) = 0.54675506620229015e-10, (108, 5) = -0.22989853517927998e-10, (108, 6) = -0.6372953207665234e-11, (108, 7) = 0.6539460296498955e-11, (109, 1) = -0.23033206946688197e-10, (109, 2) = 0.11176784235420537e-10, (109, 3) = 0.11446648205586631e-8, (109, 4) = 0.53193133369219096e-10, (109, 5) = -0.2255102934510164e-10, (109, 6) = -0.5961851297415071e-11, (109, 7) = 0.6147846949535398e-11, (110, 1) = -0.22315170596435424e-10, (110, 2) = 0.10899899099720045e-10, (110, 3) = 0.11480776804648441e-8, (110, 4) = 0.51741404883626826e-10, (110, 5) = -0.2212079881093947e-10, (110, 6) = -0.55756000900039874e-11, (110, 7) = 0.5777950850708059e-11, (111, 1) = -0.2161510628629133e-10, (111, 2) = 0.10630202497500658e-10, (111, 3) = 0.11513963697465053e-8, (111, 4) = 0.50316084756389076e-10, (111, 5) = -0.2169888691820227e-10, (111, 6) = -0.5212825902031769e-11, (111, 7) = 0.5428717922904024e-11, (112, 1) = -0.2093248308036869e-10, (112, 2) = 0.10367485845143703e-10, (112, 3) = 0.11546195339584729e-8, (112, 4) = 0.489182049004149e-10, (112, 5) = -0.21285088698946967e-10, (112, 6) = -0.4872150788621039e-11, (112, 7) = 0.5099059382295185e-11, (113, 1) = -0.20266939127279472e-10, (113, 2) = 0.10111521783538712e-10, (113, 3) = 0.11577592792912037e-8, (113, 4) = 0.4754807495737071e-10, (113, 5) = -0.20879387496573555e-10, (113, 6) = -0.4552355860741361e-11, (113, 7) = 0.4788042271114969e-11, (114, 1) = -0.19618082071104572e-10, (114, 2) = 0.9862199011411562e-11, (114, 3) = 0.1160804498226923e-8, (114, 4) = 0.462044422773981e-10, (114, 5) = -0.20481586670028085e-10, (114, 6) = -0.4252272644255941e-11, (114, 7) = 0.4494726477485643e-11, (115, 1) = -0.189853664183792e-10, (115, 2) = 0.9619265490819973e-11, (115, 3) = 0.11637594037035251e-8, (115, 4) = 0.4488686014505007e-10, (115, 5) = -0.200914542145842e-10, (115, 6) = -0.3970742061101578e-11, (115, 7) = 0.4218178288334328e-11, (116, 1) = -0.18368425185254865e-10, (116, 2) = 0.9382570898414447e-11, (116, 3) = 0.1166630830350612e-8, (116, 4) = 0.43594040714570804e-10, (116, 5) = -0.19708991959087038e-10, (116, 6) = -0.3706685865404614e-11, (116, 7) = 0.3957541778663131e-11, (117, 1) = -0.17766860290530166e-10, (117, 2) = 0.9151949085797764e-11, (117, 3) = 0.11694183749409405e-8, (117, 4) = 0.4232831823848793e-10, (117, 5) = -0.1933383435015675e-10, (117, 6) = -0.34591076284628657e-11, (117, 7) = 0.3711986676217058e-11, (118, 1) = -0.1718023634060036e-10, (118, 2) = 0.8927196267795554e-11, (118, 3) = 0.11721276821171886e-8, (118, 4) = 0.4108405888124236e-10, (118, 5) = -0.1896600682368705e-10, (118, 6) = -0.32270198234058586e-11, (118, 7) = 0.348070537611262e-11, (119, 1) = -0.1660824179634249e-10, (119, 2) = 0.8708218692549034e-11, (119, 3) = 0.11747502806896227e-8, (119, 4) = 0.3986542634893522e-10, (119, 5) = -0.18605245591516813e-10, (119, 6) = -0.3009534932294507e-11, (119, 7) = 0.32629652311135766e-11, (120, 1) = -0.16050399219794936e-10, (120, 2) = 0.8494789562416073e-11, (120, 3) = 0.1177298843835625e-8, (120, 4) = 0.3867107750145139e-10, (120, 5) = -0.1825156006779017e-10, (120, 6) = -0.28057732922703526e-11, (120, 7) = 0.3058018111059415e-11, (121, 1) = -0.1550635416407613e-10, (121, 2) = 0.8286771907186822e-11, (121, 3) = 0.11797644520720168e-8, (121, 4) = 0.3749839816238541e-10, (121, 5) = -0.179046564962422e-10, (121, 6) = -0.26149114543976955e-11, (121, 7) = 0.2865173942337792e-11, (122, 1) = -0.14975761754194747e-10, (122, 2) = 0.8084037043132685e-11, (122, 3) = 0.11821578106786102e-8, (122, 4) = 0.36349353804088396e-10, (122, 5) = -0.175644957867693e-10, (122, 6) = -0.2436179786254095e-11, (122, 7) = 0.2683771938128526e-11, (123, 1) = -0.14458298929642815e-10, (123, 2) = 0.7886436111228735e-11, (123, 3) = 0.1184477412835794e-8, (123, 4) = 0.3522096126295468e-10, (123, 5) = -0.17230852517395524e-10, (123, 6) = -0.22688631001927273e-11, (123, 7) = 0.251319975965811e-11, (124, 1) = -0.13953687402573215e-10, (124, 2) = 0.7693865587618392e-11, (124, 3) = 0.11867220249665278e-8, (124, 4) = 0.3411637223729094e-10, (124, 5) = -0.16903783217364677e-10, (124, 6) = -0.21122903401850213e-11, (124, 7) = 0.23528837580789774e-11, (125, 1) = -0.13461549633644782e-10, (125, 2) = 0.7506151534379781e-11, (125, 3) = 0.1188897149024404e-8, (125, 4) = 0.3303185520341911e-10, (125, 5) = -0.1658297508322167e-10, (125, 6) = -0.19657866032914978e-11, (125, 7) = 0.22022276664434392e-11, (126, 1) = -0.12981528055333814e-10, (126, 2) = 0.7323175020133718e-11, (126, 3) = 0.11909980330249977e-8, (126, 4) = 0.31968895014399795e-10, (126, 5) = -0.16268428192245815e-10, (126, 6) = -0.1828737416272636e-11, (126, 7) = 0.20606921059849896e-11, (127, 1) = -0.1251334925790676e-10, (127, 2) = 0.71448022450762814e-11, (127, 3) = 0.11930368791468821e-8, (127, 4) = 0.30925168269090486e-10, (127, 5) = -0.1595994529536578e-10, (127, 6) = -0.17005642957390043e-11, (127, 7) = 0.19277648128769555e-11, (128, 1) = -0.12056664122166423e-10, (128, 2) = 0.6970902891903902e-11, (128, 3) = 0.11949984988800984e-8, (128, 4) = 0.2990287437232501e-10, (128, 5) = -0.1565744012758655e-10, (128, 6) = -0.15807226738701075e-11, (128, 7) = 0.1802962201788926e-11, (129, 1) = -0.11611215590250922e-10, (129, 2) = 0.6801386273637118e-11, (129, 3) = 0.11968993600102636e-8, (129, 4) = 0.28900147080382565e-10, (129, 5) = -0.15360783718278442e-10, (129, 6) = -0.14686992588250484e-11, (129, 7) = 0.16858173458030813e-11, (130, 1) = -0.11176689572059342e-10, (130, 2) = 0.66361109585935695e-11, (130, 3) = 0.119874251229159e-8, (130, 4) = 0.27915751228461665e-10, (130, 5) = -0.1506996454811597e-10, (130, 6) = -0.13640066121412605e-11, (130, 7) = 0.15758973394943555e-11, (131, 1) = -0.10752847620314014e-10, (131, 2) = 0.6474979668955007e-11, (131, 3) = 0.12005094860252073e-8, (131, 4) = 0.2695026830924684e-10, (131, 5) = -0.1478465740885954e-10, (131, 6) = -0.12661923343114569e-11, (131, 7) = 0.14727845404164439e-11, (132, 1) = -0.10339385856338755e-10, (132, 2) = 0.6317886581522219e-11, (132, 3) = 0.1202227689070044e-8, (132, 4) = 0.26004025373171577e-10, (132, 5) = -0.14504921383297311e-10, (132, 6) = -0.117482316930582e-11, (132, 7) = 0.13760829973621443e-11, (133, 1) = -0.9936029828507202e-11, (133, 2) = 0.6164717563718258e-11, (133, 3) = 0.12038784627655226e-8, (133, 4) = 0.25075153782644154e-10, (133, 5) = -0.14230591341865168e-10, (133, 6) = -0.1089495166072317e-11, (133, 7) = 0.12854232032874922e-11, (134, 1) = -0.954258200538204e-11, (134, 2) = 0.60153668094429556e-11, (134, 3) = 0.12054624421663825e-8, (134, 4) = 0.2416409972408739e-10, (134, 5) = -0.13961569099024428e-10, (134, 6) = -0.10098288357408212e-11, (134, 7) = 0.12004494115820128e-11, (135, 1) = -0.915871353546483e-11, (135, 2) = 0.5869751638206249e-11, (135, 3) = 0.12070025992460107e-8, (135, 4) = 0.23271492022243684e-10, (135, 5) = -0.13697768394350225e-10, (135, 6) = -0.935464640353776e-12, (135, 7) = 0.11208283383367453e-11, (136, 1) = -0.8784234210301511e-11, (136, 2) = 0.5727763841077969e-11, (136, 3) = 0.12084706474875078e-8, (136, 4) = 0.22394710020022877e-10, (136, 5) = -0.1343909294397463e-10, (136, 6) = -0.8660660324202705e-12, (136, 7) = 0.10462421991222154e-11, (137, 1) = -0.8418913263458105e-11, (137, 2) = 0.5589313993785467e-11, (137, 3) = 0.12098889273005505e-8, (137, 4) = 0.21535676726855785e-10, (137, 5) = -0.13185427926861937e-10, (137, 6) = -0.8013163492284678e-12, (137, 7) = 0.976391731445841e-12, (138, 1) = -0.8062467152589807e-11, (138, 2) = 0.54543196210213545e-11, (138, 3) = 0.12112528801006951e-8, (138, 4) = 0.2069189392423113e-10, (138, 5) = -0.12936678002997946e-10, (138, 6) = -0.7409176146801608e-12, (138, 7) = 0.910994600582341e-12, (139, 1) = -0.7714730287100752e-11, (139, 2) = 0.5322678054123467e-11, (139, 3) = 0.12125653854184757e-8, (139, 4) = 0.1986489890272202e-10, (139, 5) = -0.12692775835000164e-10, (139, 6) = -0.6845899300896001e-12, (139, 7) = 0.8497829990085735e-12, (140, 1) = -0.7375446342117648e-11, (140, 2) = 0.5194307400360006e-11, (140, 3) = 0.12138188632444438e-8, (140, 4) = 0.19054116219959057e-10, (140, 5) = -0.1245358984195867e-10, (140, 6) = -0.6320711383042871e-12, (140, 7) = 0.7925037232638139e-12, (141, 1) = -0.7044411595925558e-11, (141, 2) = 0.5069122407758296e-11, (141, 3) = 0.12150133348393326e-8, (141, 4) = 0.1825781497268621e-10, (141, 5) = -0.12219085401247519e-10, (141, 6) = -0.5831141022505443e-12, (141, 7) = 0.7389185911372965e-12, (142, 1) = -0.6721411054329123e-11, (142, 2) = 0.4947052990376775e-11, (142, 3) = 0.12161723234439253e-8, (142, 4) = 0.1747738330983317e-10, (142, 5) = -0.11989085228023421e-10, (142, 6) = -0.5374871770932166e-12, (142, 7) = 0.6888023926474155e-12, (143, 1) = -0.64062605091691784e-11, (143, 2) = 0.482800632195133e-11, (143, 3) = 0.12172680170306166e-8, (143, 4) = 0.16711578042847487e-10, (143, 5) = -0.11763570020466811e-10, (143, 6) = -0.4949736743484498e-12, (143, 7) = 0.641942100772299e-12, (144, 1) = -0.6098742025425115e-11, (144, 2) = 0.4711916193706158e-11, (144, 3) = 0.1218330702880712e-8, (144, 4) = 0.1595955897889176e-10, (144, 5) = -0.11542423255895684e-10, (144, 6) = -0.4553688284597233e-12, (144, 7) = 0.5981378832577253e-12, (145, 1) = -0.5798677057513097e-11, (145, 2) = 0.4598706096769562e-11, (145, 3) = 0.12193353543310945e-8, (145, 4) = 0.15223361961034254e-10, (145, 5) = -0.11325610150784382e-10, (145, 6) = -0.41848219488793295e-12, (145, 7) = 0.5572003836098101e-12, (146, 1) = -0.550588009340836e-11, (146, 2) = 0.44882880675520885e-11, (146, 3) = 0.12202857455131248e-8, (146, 4) = 0.14500418876082778e-10, (146, 5) = -0.11113028236882186e-10, (146, 6) = -0.3841341317304528e-12, (146, 7) = 0.5189520778312766e-12, (147, 1) = -0.5220157336739223e-11, (147, 2) = 0.4380605492331011e-11, (147, 3) = 0.12212000753634705e-8, (147, 4) = 0.1379119238849094e-10, (147, 5) = -0.10904523689854029e-10, (147, 6) = -0.3521569442290073e-12, (147, 7) = 0.4832242591595169e-12, (148, 1) = -0.49413372968622916e-11, (148, 2) = 0.42755942505609585e-11, (148, 3) = 0.12220670336629079e-8, (148, 4) = 0.13094678826697949e-10, (148, 5) = -0.10700136443468203e-10, (148, 6) = -0.3223928565883448e-12, (148, 7) = 0.4498598146017527e-12, (149, 1) = -0.4669250200024589e-11, (149, 2) = 0.417317907212515e-11, (149, 3) = 0.122288995704384e-8, (149, 4) = 0.12412330083168088e-10, (149, 5) = -0.10499703764283493e-10, (149, 6) = -0.29469488358582e-12, (149, 7) = 0.41870954819324477e-12, (150, 1) = -0.4403712013205302e-11, (150, 2) = 0.4073299764315313e-11, (150, 3) = 0.1223665684002994e-8, (150, 4) = 0.11742241160471754e-10, (150, 5) = -0.1030317689694116e-10, (150, 6) = -0.2689244656008504e-12, (150, 7) = 0.3896336179006955e-12, (151, 1) = -0.4144579427591234e-11, (151, 2) = 0.3975878589560163e-11, (151, 3) = 0.1224396603455543e-8, (151, 4) = 0.11085210144017644e-10, (151, 5) = -0.10110459511254232e-10, (151, 6) = -0.2449525995893326e-12, (151, 7) = 0.3625006066286385e-12, (152, 1) = -0.38916848416852296e-11, (152, 2) = 0.38808682939696256e-11, (152, 3) = 0.12251002854980518e-8, (152, 4) = 0.10440054268239915e-10, (152, 5) = -0.9921507967863049e-11, (152, 6) = -0.22265826204028151e-12, (152, 7) = 0.33718643994633003e-12, (153, 1) = -0.3644855356429144e-11, (153, 2) = 0.3788203889785971e-11, (153, 3) = 0.12257436502356109e-8, (153, 4) = 0.980794201747327e-11, (153, 5) = -0.9736237397022225e-11, (153, 6) = -0.20192812497115791e-12, (153, 7) = 0.3135747127959107e-12, (154, 1) = -0.340396118615834e-11, (154, 2) = 0.3697827252366246e-11, (154, 3) = 0.1226353307422349e-8, (154, 4) = 0.9186175708230342e-11, (154, 5) = -0.9554597649315009e-11, (154, 6) = -0.1826564040925313e-12, (154, 7) = 0.2915562150365321e-12, (155, 1) = -0.31688432998717966e-11, (155, 2) = 0.36096794411637987e-11, (155, 3) = 0.12269316630844605e-8, (155, 4) = 0.8577808830243637e-11, (155, 5) = -0.9376497241749015e-11, (155, 6) = -0.16474403131928477e-12, (155, 7) = 0.2710281947405146e-12, (156, 1) = -0.2939357375813386e-11, (156, 2) = 0.35237027889789578e-11, (156, 3) = 0.12274613278365115e-8, (156, 4) = 0.79793438193171e-11, (156, 5) = -0.920186693051316e-11, (156, 6) = -0.14809841321472652e-12, (156, 7) = 0.2518939679820372e-12, (157, 1) = -0.27153619196543353e-11, (157, 2) = 0.3439849104588805e-11, (157, 3) = 0.12279600179688634e-8, (157, 4) = 0.7392918423708086e-11, (157, 5) = -0.9030668428465661e-11, (157, 6) = -0.1326329694636143e-12, (157, 7) = 0.23406319783156147e-12, (158, 1) = -0.24980748116852893e-11, (158, 2) = 0.33585674115493146e-11, (158, 3) = 0.12284094216029687e-8, (158, 4) = 0.6821603976317833e-11, (158, 5) = -0.8863786066021544e-11, (158, 6) = -0.1183519151197076e-12, (158, 7) = 0.21754937709165998e-12, (159, 1) = -0.22931130761850767e-11, (159, 2) = 0.32819548479972626e-11, (159, 3) = 0.1228813812960284e-8, (159, 4) = 0.6278310095434659e-11, (159, 5) = -0.870573682183365e-11, (159, 6) = -0.10551134063300874e-12, (159, 7) = 0.2026600306552426e-12, (160, 1) = -0.21008409964575166e-11, (160, 2) = 0.3210141330288939e-11, (160, 3) = 0.12291686374264535e-8, (160, 4) = 0.57679093040764105e-11, (160, 5) = -0.8556870228087243e-11, (160, 6) = -0.9401117419620941e-13, (160, 7) = 0.18928977461730128e-12, (161, 1) = -0.19201922217252495e-11, (161, 2) = 0.31427195364896388e-11, (161, 3) = 0.12294833016356614e-8, (161, 4) = 0.528521870647234e-11, (161, 5) = -0.84164150381976e-11, (161, 6) = -0.8367827535476734e-13, (161, 7) = 0.17724627836112152e-12, (162, 1) = -0.17500382006084871e-11, (162, 2) = 0.30792626398127524e-11, (162, 3) = 0.12297616807404267e-8, (162, 4) = 0.4828423599994281e-11, (162, 5) = -0.8283635245036114e-11, (162, 6) = -0.7435742708748314e-13, (162, 7) = 0.16635630047369893e-12, (163, 1) = -0.15894069745447244e-11, (163, 2) = 0.30194000535656047e-11, (163, 3) = 0.12300053331583256e-8, (163, 4) = 0.4395358666486823e-11, (163, 5) = -0.8157858618845472e-11, (163, 6) = -0.6591849525409016e-13, (163, 7) = 0.15647380832507043e-12, (164, 1) = -0.143744735071212e-11, (164, 2) = 0.29628062228306213e-11, (164, 3) = 0.12302224927433942e-8, (164, 4) = 0.39840602242576006e-11, (164, 5) = -0.8038390336572891e-11, (164, 6) = -0.5825191121229164e-13, (164, 7) = 0.14747601877532904e-12, (165, 1) = -0.12934065335206593e-11, (165, 2) = 0.2909203531044491e-11, (165, 3) = 0.12304077852833621e-8, (165, 4) = 0.35926554480135007e-11, (165, 5) = -0.792484729304842e-11, (165, 6) = -0.5126495348768588e-13, (165, 7) = 0.13925839415573526e-12, (166, 1) = -0.1156624499015785e-11, (166, 2) = 0.28583377841434647e-11, (166, 3) = 0.12305629940469257e-8, (166, 4) = 0.32189978168650025e-11, (166, 5) = -0.7816624131829942e-11, (166, 6) = -0.4487834494433306e-13, (166, 7) = 0.13173149807135405e-12, (167, 1) = -0.10265210416646665e-11, (167, 2) = 0.28099859769711778e-11, (167, 3) = 0.12307048112808125e-8, (167, 4) = 0.28628730141565726e-11, (167, 5) = -0.7713392249055152e-11, (167, 6) = -0.3902428012462705e-13, (167, 7) = 0.12481864852611245e-12, (168, 1) = -0.9025640604170987e-12, (168, 2) = 0.27639491870152004e-11, (168, 3) = 0.12308209011808183e-8, (168, 4) = 0.25224103801739054e-11, (168, 5) = -0.7614781499091382e-11, (168, 6) = -0.336442843827677e-13, (168, 7) = 0.1184536829449645e-12, (169, 1) = -0.7842921223495981e-12, (169, 2) = 0.27200541310057924e-11, (169, 3) = 0.12309247582023974e-8, (169, 4) = 0.2195560422415873e-11, (169, 5) = -0.752035432041767e-11, (169, 6) = -0.2868781128546623e-13, (169, 7) = 0.11257905769508853e-12, (170, 1) = -0.6712838397935098e-12, (170, 2) = 0.26781416441771932e-11, (170, 3) = 0.12310105895101172e-8, (170, 4) = 0.1881429399968058e-11, (170, 5) = -0.7429936109254022e-11, (170, 6) = -0.24110889621727452e-13, (170, 7) = 0.1071446837412809e-12, (171, 1) = -0.5631611547338676e-12, (171, 2) = 0.26380669883797786e-11, (171, 3) = 0.12310826986623688e-8, (171, 4) = 0.15819072978324664e-11, (171, 5) = -0.7343181172926194e-11, (171, 6) = -0.1987509570792081e-13, (171, 7) = 0.10210683924543437e-12, (172, 1) = -0.4595821765691131e-12, (172, 2) = 0.25996992004927467e-11, (172, 3) = 0.12311444178261443e-8, (172, 4) = 0.12922776880427693e-11, (172, 5) = -0.7259865303530753e-11, (172, 6) = -0.1594690713150054e-13, (172, 7) = 0.9742711634109024e-13, (173, 1) = -0.360239821686979e-12, (173, 2) = 0.256292258113084e-11, (173, 3) = 0.1231182643453054e-8, (173, 4) = 0.10145565202094742e-11, (173, 5) = -0.71797304253474045e-11, (173, 6) = -0.12296822976919166e-13, (173, 7) = 0.9307182871563279e-13, (174, 1) = -0.26485444170652493e-12, (174, 2) = 0.25276374440445824e-11, (174, 3) = 0.1231214457114319e-8, (174, 4) = 0.7475904889489019e-12, (174, 5) = -0.7102655072283805e-11, (174, 6) = -0.8898840022002288e-14, (174, 7) = 0.8901105773542986e-13, (175, 1) = -0.17317086532258958e-12, (175, 2) = 0.2493741836417416e-11, (175, 3) = 0.12312385732722901e-8, (175, 4) = 0.4895181132410539e-12, (175, 5) = -0.7028323739814668e-11, (175, 6) = -0.5729946700895339e-14, (175, 7) = 0.852184352526504e-13, (176, 1) = -0.8495682761705501e-13, (176, 2) = 0.24611493869265283e-11, (176, 3) = 0.1231250597216119e-8, (176, 4) = 0.2399942514572332e-12, (176, 5) = -0.6956738131751051e-11, (176, 6) = -0.2769726093823494e-14, (176, 7) = 0.8167037339566886e-13, (177, 1) = .0, (177, 2) = 0.24297727964088152e-11, (177, 3) = 0.12312559658094405e-8, (177, 4) = .0, (177, 5) = -0.6887584184124894e-11, (177, 6) = .0, (177, 7) = 0.7834600855072988e-13}, datatype = float[8], order = C_order); if not type(outpoint, 'numeric') then if outpoint = "start" or outpoint = "left" then return X[1] elif outpoint = "right" then return X[177] elif outpoint = "order" then return 8 elif outpoint = "error" then return HFloat(1.2934292747785471e-9) elif outpoint = "errorproc" then error "this is already the error procedure" elif outpoint = "rawdata" then return [7, 177, [chi(eta), diff(chi(eta), eta), f(eta), diff(f(eta), eta), diff(diff(f(eta), eta), eta), theta(eta), diff(theta(eta), eta)], X, Y] else return ('procname')(x_bvp) end if end if; if outpoint < X[1] or X[177] < outpoint then error "solution is only defined in the range %1..%2", X[1], X[177] end if; V := array([1 = 4, 2 = 0]); if Digits <= trunc(evalhf(Digits)) then L := Vector(4, 'datatype' = 'float'[8]); yout := Vector(7, 'datatype' = 'float'[8]); evalhf(`dsolve/numeric/lagrange`(177, 7, X, Y, outpoint, var(yout), var(L), var(V))) else L := Vector(4, 'datatype' = 'sfloat'); yout := Vector(7, 'datatype' = 'sfloat'); `dsolve/numeric/lagrange`(177, 7, X, Y, outpoint, yout, L, V) end if; [eta = outpoint, seq('[chi(eta), diff(chi(eta), eta), f(eta), diff(f(eta), eta), diff(diff(f(eta), eta), eta), theta(eta), diff(theta(eta), eta)]'[i] = yout[i], i = 1 .. 7)] end proc; if not type(outpoint, 'numeric') then if outpoint = "start" or outpoint = "left" then return X[1] elif outpoint = "method" then return "bvp" elif outpoint = "right" then return X[177] elif outpoint = "order" then return 8 elif outpoint = "error" then return HFloat(1.2934292747785471e-9) elif outpoint = "errorproc" then return eval(errproc) elif outpoint = "rawdata" then return [7, 177, "depnames", X, Y, YP] else error "non-numeric value" end if end if; if outpoint < X[1] or X[177] < outpoint then error "solution is only defined in the range %1..%2", X[1], X[177] end if; if Digits <= trunc(evalhf(Digits)) and (_EnvInFsolve <> true or _EnvDSNumericSaveDigits <= trunc(evalhf(Digits))) then V := array( 1 .. 6, [( 1 ) = (7), ( 2 ) = (0), ( 3 ) = (false), ( 4 ) = (false), ( 5 ) = (false), ( 6 ) = (false)  ] ); L := Matrix(7, 2, {(1, 1) = .0, (1, 2) = .0, (2, 1) = .0, (2, 2) = .0, (3, 1) = .0, (3, 2) = .0, (4, 1) = .0, (4, 2) = .0, (5, 1) = .0, (5, 2) = .0, (6, 1) = .0, (6, 2) = .0, (7, 1) = .0, (7, 2) = .0}, datatype = float[8], order = C_order); yout := Vector(7, {(1) = .0, (2) = .0, (3) = .0, (4) = .0, (5) = .0, (6) = .0, (7) = .0}, datatype = float[8]); evalhf(`dsolve/numeric/hermite`(177, 7, X, Y, YP, outpoint, var(yout), var(L), var(V))) else if _EnvInFsolve = true then Digits := _EnvDSNumericSaveDigits end if; V := array( 1 .. 6, [( 1 ) = (7), ( 2 ) = (0), ( 3 ) = (false), ( 4 ) = (false), ( 5 ) = (false), ( 6 ) = (false)  ] ); L := Matrix(7, 2, {(1, 1) = 0., (1, 2) = 0., (2, 1) = 0., (2, 2) = 0., (3, 1) = 0., (3, 2) = 0., (4, 1) = 0., (4, 2) = 0., (5, 1) = 0., (5, 2) = 0., (6, 1) = 0., (6, 2) = 0., (7, 1) = 0., (7, 2) = 0.}, order = C_order); yout := Vector(7, {(1) = 0., (2) = 0., (3) = 0., (4) = 0., (5) = 0., (6) = 0., (7) = 0.}); `dsolve/numeric/hermite`(177, 7, X, Y, YP, outpoint, yout, L, V) end if; [outpoint, seq(yout[i], i = 1 .. 7)] end proc, (2) = Array(1..8, {(1) = 18446744078246286542, (2) = 18446744078246287070, (3) = 18446744078246287246, (4) = 18446744078246287422, (5) = 18446744078246287598, (6) = 18446744078246287774, (7) = 18446744078246287950, (8) = 18446744078246288126}), (3) = [eta, chi(eta), diff(chi(eta), eta), f(eta), diff(f(eta), eta), diff(diff(f(eta), eta), eta), theta(eta), diff(theta(eta), eta)], (4) = 0}); solnproc := data[1]; if not type(outpoint, 'numeric') then if outpoint = "solnprocedure" then return eval(solnproc) elif member(outpoint, ["start", "left", "right", "errorproc", "rawdata", "order", "error"]) then return solnproc(eta) elif outpoint = "sysvars" then return data[3] elif procname <> unknown then return ('procname')(eta) else `chi(eta)` := pointto(data[2][2]); return ('`chi(eta)`')(eta) end if end if; try res := solnproc(outpoint); res[2] catch: error  end try end proc, diff(chi(eta), eta) = proc (eta) local res, data, solnproc, `diff(chi(eta),eta)`, outpoint; option `Copyright (c) 2000 by Waterloo Maple Inc. All rights reserved.`; _EnvDSNumericSaveDigits := Digits; Digits := 15; if _EnvInFsolve = true then outpoint := evalf[_EnvDSNumericSaveDigits](eta) else outpoint := evalf(eta) end if; data := Array(1..4, {(1) = proc (outpoint) local X, Y, YP, yout, errproc, L, V, i; option `Copyright (c) 2000 by Waterloo Maple Inc. All rights reserved.`; X := Vector(177, {(1) = .1, (2) = .13432431415631105, (3) = .16865165190091197, (4) = .202985958039896, (5) = .23732533659105348, (6) = .2716788241585104, (7) = .30604559361419775, (8) = .3404355394485909, (9) = .3748529011933503, (10) = .4093061022796795, (11) = .44380716982563195, (12) = .47836387534050584, (13) = .512995852912669, (14) = .5477165596092971, (15) = .5825440749488203, (16) = .617499631782922, (17) = .6526070635536141, (18) = .6878927128084736, (19) = .7233862578282453, (20) = .7591205797331673, (21) = .795131110399485, (22) = .8314537516454595, (23) = .868136597156794, (24) = .9052215072936881, (25) = .9427566773054169, (26) = .9807963691446203, (27) = 1.019390250121844, (28) = 1.0585930956320206, (29) = 1.0984604169171555, (30) = 1.1390444870104077, (31) = 1.1804077038174698, (32) = 1.222605314046431, (33) = 1.2656867522025514, (34) = 1.3097007904581703, (35) = 1.35469069615675, (36) = 1.4006929822839422, (37) = 1.447731690331962, (38) = 1.4958369065409785, (39) = 1.5450201198096045, (40) = 1.5952810827286137, (41) = 1.646612127195734, (42) = 1.6989954066809312, (43) = 1.7524040840585657, (44) = 1.806801993976599, (45) = 1.862146412251251, (46) = 1.9183893448840852, (47) = 1.9754805768192913, (48) = 2.0333655491409464, (49) = 2.09198758848087, (50) = 2.1512911903998386, (51) = 2.2112299885365556, (52) = 2.271742934464316, (53) = 2.3327750130678835, (54) = 2.3942834797609645, (55) = 2.4562254559367735, (56) = 2.518550408638634, (57) = 2.5812184684337374, (58) = 2.6441937416859225, (59) = 2.7074501856327, (60) = 2.770954649679994, (61) = 2.8346761833615464, (62) = 2.898592678498704, (63) = 2.962688121088583, (64) = 3.0269416312716424, (65) = 3.091328430651392, (66) = 3.155836619851239, (67) = 3.220454275768738, (68) = 3.285168541451302, (69) = 3.3499654130373253, (70) = 3.414829585389634, (71) = 3.4797579848516915, (72) = 3.5447435602802027, (73) = 3.609779652754643, (74) = 3.674861152412504, (75) = 3.7399848957435275, (76) = 3.8051508297379377, (77) = 3.8703655596105624, (78) = 3.935652421384301, (79) = 4.001077560861665, (80) = 4.0666510045970385, (81) = 4.132314229225371, (82) = 4.198000337516065, (83) = 4.263680764101562, (84) = 4.329336756026789, (85) = 4.394973340046662, (86) = 4.460588954073379, (87) = 4.526181509768576, (88) = 4.59174993915436, (89) = 4.6572937466339175, (90) = 4.722812832368339, (91) = 4.788307377913861, (92) = 4.853777459964835, (93) = 4.9192172921590585, (94) = 4.98463029125814, (95) = 5.0500209149724435, (96) = 5.115387283230868, (97) = 5.180725066182968, (98) = 5.246040278527776, (99) = 5.3113174587944965, (100) = 5.376570973389221, (101) = 5.44180368691663, (102) = 5.5070118178761875, (103) = 5.572199562571729, (104) = 5.637373294661837, (105) = 5.702517813103393, (106) = 5.767639827784657, (107) = 5.832736032997183, (108) = 5.897804505036399, (109) = 5.962849913789289, (110) = 6.0278771161534, (111) = 6.092882596362824, (112) = 6.157876605520855, (113) = 6.222850932401667, (114) = 6.287802017103068, (115) = 6.352734006431941, (116) = 6.4176483673997975, (117) = 6.482540451739694, (118) = 6.547416149850125, (119) = 6.6122680542862025, (120) = 6.677102130347337, (121) = 6.7419211005546, (122) = 6.8067248666742355, (123) = 6.871509114964304, (124) = 6.936266375612976, (125) = 7.0010059228545805, (126) = 7.065728682384006, (127) = 7.130434804847329, (128) = 7.195124539737002, (129) = 7.259798136520217, (130) = 7.324455844038698, (131) = 7.3890979060419335, (132) = 7.453724561298953, (133) = 7.518336044173569, (134) = 7.582932585751136, (135) = 7.647514413049672, (136) = 7.712081750883993, (137) = 7.776634831889643, (138) = 7.841173896857807, (139) = 7.905699203490006, (140) = 7.970211023056725, (141) = 8.034709635791245, (142) = 8.099195318161058, (143) = 8.163668350318732, (144) = 8.22812902562451, (145) = 8.292577648267015, (146) = 8.357014533032183, (147) = 8.42144000370015, (148) = 8.485854390888106, (149) = 8.550258023403897, (150) = 8.6146512403873, (151) = 8.679034390131827, (152) = 8.74340782797264, (153) = 8.807771917708358, (154) = 8.872127033100252, (155) = 8.93647355737236, (156) = 9.000811876240148, (157) = 9.065142395655199, (158) = 9.129062231749659, (159) = 9.190791738971976, (160) = 9.25002177586793, (161) = 9.306893224933363, (162) = 9.361586616509348, (163) = 9.414263699827062, (164) = 9.46506800130928, (165) = 9.514127801690371, (166) = 9.561558693204324, (167) = 9.60746518855213, (168) = 9.651942086110576, (169) = 9.695075631414408, (170) = 9.73694468456052, (171) = 9.777621794577053, (172) = 9.817172850818734, (173) = 9.855658388735026, (174) = 9.893134209297964, (175) = 9.929651857051025, (176) = 9.965259040121957, (177) = 10.0}, datatype = float[8], order = C_order); Y := Matrix(177, 7, {(1, 1) = 1.0, (1, 2) = -3.010283491881195, (1, 3) = -0.5e-1, (1, 4) = -.5, (1, 5) = 3.2549705904755624, (1, 6) = 1.0, (1, 7) = -2.2961168243517345, (2, 1) = .9116006400192896, (2, 2) = -2.2188140910266996, (2, 3) = -0.6542988930944998e-1, (2, 4) = -.40370802709261644, (2, 5) = 2.4361750640983972, (2, 6) = .9313148374425487, (2, 7) = -1.7587335888496072, (3, 1) = .8440668335083839, (3, 2) = -1.7515672684205508, (3, 3) = -0.7795914493005979e-1, (3, 4) = -.32904124123644557, (3, 5) = 1.950857483460543, (3, 6) = .8768325041094468, (3, 7) = -1.4395391386527499, (4, 1) = .7895472336660474, (4, 2) = -1.443419767334426, (4, 3) = -0.8817574136327207e-1, (4, 4) = -.2679158648423435, (4, 5) = 1.6295350420268857, (4, 6) = .831272138114754, (4, 7) = -1.2272759842281986, (5, 1) = .7439269688663698, (5, 2) = -1.2250712603116078, (5, 3) = -0.9646350877742356e-1, (5, 4) = -.21608666124952267, (5, 5) = 1.4009694099334766, (5, 6) = .7918687409370647, (5, 7) = -1.0753753559802985, (6, 1) = .7047645567594804, (6, 2) = -1.062293032083934, (6, 3) = -.10309608982056391, (6, 4) = -.1710281829224358, (6, 5) = 1.229921365777778, (6, 6) = .7569783455483658, (6, 7) = -.9608633361558743, (7, 1) = .670508499292611, (7, 2) = -.9363094708603249, (7, 3) = -.1082751849303922, (7, 4) = -.1311332340751042, (7, 5) = 1.097033665972045, (7, 6) = .725556739475722, (7, 7) = -.871143819024352, (8, 1) = .6400970314770135, (8, 2) = -.8359113795739894, (8, 3) = -.11215820698136195, (8, 4) = -0.9529846009910026e-1, (8, 5) = .9907326565311447, (8, 6) = .6968857043397841, (8, 7) = -.798694055572774, (9, 1) = .6127818638670864, (9, 2) = -.7540307621161558, (9, 3) = -.11486934685856202, (9, 4) = -0.6274515848045818e-1, (9, 5) = .903710629210698, (9, 6) = .6704589172997079, (9, 7) = -.7387684103204613, (10, 1) = .5880101630726342, (10, 2) = -.6859732537372588, (10, 3) = -.11650974862771135, (10, 4) = -0.3289635416421537e-1, (10, 5) = .8311070612968686, (10, 6) = .6459004421044664, (10, 7) = -.6882118043576506, (11, 1) = .5653617782847322, (11, 2) = -.6285004073713887, (11, 3) = -.11716276509404526, (11, 4) = -0.5312156394166294e-2, (11, 5) = .7695640956343914, (11, 6) = .6229228742706305, (11, 7) = -.64484492277093, (12, 1) = .5445141227529045, (12, 2) = -.5793166470382869, (12, 3) = -.11689775490014931, (12, 4) = 0.20345547838662725e-1, (12, 5) = .7166984974611179, (12, 6) = .6013055866744937, (12, 7) = -.6071216319336978, (13, 1) = .5252059891093054, (13, 2) = -.5367311431212949, (13, 3) = -.11577285556558614, (13, 4) = 0.44352419520146014e-1, (13, 5) = .6707519723642751, (13, 6) = .5808668967259533, (13, 7) = -.5739002262529861, (14, 1) = .5072310763583526, (14, 2) = -.49948942467589225, (14, 3) = -.113836968901507, (14, 4) = 0.6692621623257643e-1, (14, 5) = .6304185015498383, (14, 6) = .5614637545616503, (14, 7) = -.5443331052943612, (15, 1) = .4904191420808039, (15, 2) = -.46663169018318124, (15, 3) = -.11113120062283205, (15, 4) = 0.882475828156531e-1, (15, 5) = .5946973362482103, (15, 6) = .5429767216798966, (15, 7) = -.5177703096857598, (16, 1) = .47462847032783395, (16, 2) = -.43741237094615587, (16, 3) = -.10768980917681761, (16, 4) = .10846767050378146, (16, 5) = .5628099475659347, (16, 6) = .5253052925364996, (16, 7) = -.49370579887626914, (17, 1) = .45973994111746974, (17, 2) = -.4112440008745413, (17, 3) = -.10354099578541562, (17, 4) = .12771421698659408, (17, 5) = .5341419874792643, (17, 6) = .5083640692975898, (17, 7) = -.4717398711807749, (18, 1) = .4456524312660702, (18, 2) = -.3876575548580043, (18, 3) = -0.987075140842896e-1, (18, 4) = .14609630418834832, (18, 5) = .5082022267347898, (18, 6) = .49207972636782243, (18, 7) = -.45155255379360504, (19, 1) = .43227900759396704, (19, 2) = -.3662736309623723, (19, 3) = -0.932070026083659e-1, (19, 4) = .1637083931514831, (19, 5) = .48459265857890527, (19, 6) = .47638833270765585, (19, 7) = -.4328841497234415, (20, 1) = .41954437259728117, (20, 2) = -.34678216572683396, (20, 3) = -0.8705230179329684e-1, (20, 4) = .18063295456195466, (20, 5) = .4629874722134205, (20, 6) = .46123371189807766, (20, 7) = -.41552163184362956, (21, 1) = .40738304871718267, (21, 2) = -.32892767036417664, (21, 3) = -0.8025181273703264e-1, (21, 4) = .1969422817914571, (21, 5) = .4431177566148181, (21, 6) = .44656638757907796, (21, 7) = -.39928880193030747, (22, 1) = .3957383812536956, (22, 2) = -.31249869978237255, (22, 3) = -0.7281016245788906e-1, (22, 4) = .21269931606763323, (22, 5) = .42476063372747375, (22, 6) = .43234331147984484, (22, 7) = -.38403945114777954, (23, 1) = .3845575897267605, (23, 2) = -.29731416431452806, (23, 3) = -0.647258610678675e-1, (23, 4) = .2279639568142309, (23, 5) = .40772462385587316, (23, 6) = .41852254000091954, (23, 7) = -.36964681487130585, (24, 1) = .37379664354289055, (24, 2) = -.28322501684036205, (24, 3) = -0.5599517983139291e-1, (24, 4) = .2427861347723762, (24, 5) = .3918520439519158, (24, 6) = .405069802195059, (24, 7) = -.3560068471972505, (25, 1) = .36341537175628497, (25, 2) = -.2701033420412026, (25, 3) = -0.4660967679615468e-1, (25, 4) = .2572121554674377, (25, 5) = .37700721405190146, (25, 6) = .39195303795515646, (25, 7) = -.3430294380682383, (26, 1) = .3533770946126125, (26, 2) = -.2578389396986893, (26, 3) = -0.3655606175762054e-1, (26, 4) = .2712850292677997, (26, 5) = .36307292252881584, (26, 6) = .3791423103767972, (26, 7) = -.3306361874020015, (27, 1) = .3436508736010304, (27, 2) = -.24633953213188772, (27, 3) = -0.2581904091109644e-1, (27, 4) = .28504110605404537, (27, 5) = .3499509645976493, (27, 6) = .3666130638370115, (27, 7) = -.3187617238807888, (28, 1) = .3342083390670267, (28, 2) = -.23552476168366415, (28, 3) = -0.1437893723914758e-1, (28, 4) = .29851430859060935, (28, 5) = .33755558003287145, (28, 6) = .35434243786971953, (28, 7) = -.3073486098948925, (29, 1) = .32502443519684, (29, 2) = -.2253255020912264, (29, 3) = -0.2212880763571889e-2, (29, 4) = .3117349359672634, (29, 5) = .32581286288190825, (29, 6) = .3423104953946207, (29, 7) = -.29634737207014694, (30, 1) = .31607786546540023, (30, 2) = -.2156829331351726, (30, 3) = 0.1070379518066878e-1, (30, 4) = .324728843808106, (30, 5) = .31465989354105117, (30, 6) = .3305010849621276, (30, 7) = -.28571629053101066, (31, 1) = .3073478049653732, (31, 2) = -.2065438873825929, (31, 3) = 0.24401723478456858e-1, (31, 4) = .33752207959661373, (31, 5) = .304039516592149, (31, 6) = .3188977264061976, (31, 7) = -.2754169157752743, (32, 1) = .29881745159040424, (32, 2) = -.19786380124231495, (32, 3) = 0.3891198298875327e-1, (32, 4) = .35013561530865284, (32, 5) = .29390388011792296, (32, 6) = .3074884833376804, (32, 7) = -.26541783827718834, (33, 1) = .29047317259933714, (33, 2) = -.18960486731359524, (33, 3) = 0.54266026383219236e-1, (33, 4) = .36258639522561675, (33, 5) = .2842124423413447, (33, 6) = .29626505510184786, (33, 7) = -.2556932617203244, (34, 1) = .28230310705588524, (34, 2) = -.18173393918032565, (34, 3) = 0.7049716580583928e-1, (34, 4) = .37488926686015167, (34, 5) = .2749296363719141, (34, 6) = .2852210611168979, (34, 7) = -.2462210635577509, (35, 1) = .27429780407556603, (35, 2) = -.17422262687378032, (35, 3) = 0.8763858849715334e-1, (35, 4) = .3870559122413701, (35, 5) = .26602507525248614, (35, 6) = .2743530179070213, (35, 7) = -.2369833048528358, (36, 1) = .26645007878841165, (36, 2) = -.16704665751311357, (36, 3) = .10572246440316273, (36, 4) = .3990949249001731, (36, 5) = .2574728923416692, (36, 6) = .2636602500529938, (36, 7) = -.2279658642184645, (37, 1) = .25875557734659277, (37, 2) = -.1601859421542037, (37, 3) = .12477714314440705, (37, 4) = .41101078776726396, (37, 5) = .24925191600226893, (37, 6) = .25314574105926013, (37, 7) = -.2191589209315012, (38, 1) = .2512094376242596, (38, 2) = -.15362126746579838, (38, 3) = .14483420719255005, (38, 4) = .42280892511572515, (38, 5) = .24134177847648824, (38, 6) = .24281161292316816, (38, 7) = -.21055300577533773, (39, 1) = .2438100685063101, (39, 2) = -.14733741986174867, (39, 3) = .1659180940582039, (39, 4) = .4344897565601667, (39, 5) = .23372671477717596, (39, 6) = .23266430393009532, (39, 7) = -.2021432253147483, (40, 1) = .23655756740858105, (40, 2) = -.14132147717760368, (40, 3) = .18804805051420714, (40, 4) = .44605098876584576, (40, 5) = .22639358970698623, (40, 6) = .22271240560604702, (40, 7) = -.19392734410767049, (41, 1) = .2294527959629172, (41, 2) = -.1355618535661384, (41, 3) = .211239426287894, (41, 4) = .4574889782290803, (41, 5) = .21933078665833716, (41, 6) = .21296535700731722, (41, 7) = -.18590465201723103, (42, 1) = .22249756111172841, (42, 2) = -.13004833389409315, (42, 3) = .23550196617307032, (42, 4) = .4687983695351276, (42, 5) = .21252828358414444, (42, 6) = .20343363443866733, (42, 7) = -.17807609406978153, (43, 1) = .21569423982605018, (43, 2) = -.12477167494006297, (43, 3) = .2608398253939708, (43, 4) = .4799726300795009, (43, 5) = .20597719438448733, (43, 6) = .19412816320881474, (43, 7) = -.17044377008176909, (44, 1) = .2090456528136725, (44, 2) = -.11972344246799402, (44, 3) = .2872509358297023, (44, 4) = .49100420281898555, (44, 5) = .19966959020759237, (44, 6) = .18506006069338682, (44, 7) = -.16301071564836836, (45, 1) = .20255459512253304, (45, 2) = -.1148956147475554, (45, 3) = .3147279299901195, (45, 4) = .5018852472953027, (45, 5) = .1935980202293324, (45, 6) = .17623990793629188, (45, 7) = -.15578029883884625, (46, 1) = .19622362924938264, (46, 2) = -.11028042171087489, (46, 3) = .34325850718834033, (46, 4) = .5126079809791431, (46, 5) = .1877553133493232, (46, 6) = .1676773875746207, (46, 7) = -.14875591411024416, (47, 1) = .19005473802029896, (47, 2) = -.10587010196399801, (47, 3) = .3728268197038715, (47, 4) = .5231652841517149, (47, 5) = .18213426698507848, (47, 6) = .15938074653118098, (47, 7) = -.14194052404260726, (48, 1) = .18404958719476303, (48, 2) = -.10165710878026424, (48, 3) = .4034123048724468, (48, 4) = .5335502837116244, (48, 5) = .1767279011977732, (48, 6) = .15135709780087095, (48, 7) = -.13533687973410663, (49, 1) = .1782093093546209, (49, 2) = -0.976339646318128e-1, (49, 3) = .434990761252832, (49, 4) = .5437567517407721, (49, 5) = .17152926762281148, (49, 6) = .1436120885672883, (49, 7) = -.12894721237733586, (50, 1) = .172534243624339, (50, 2) = -0.9379309915858196e-1, (50, 3) = .46753615565531664, (50, 4) = .5537796082939569, (50, 5) = .1665312288048679, (50, 6) = .13614953718018194, (50, 7) = -.12277288786102344, (51, 1) = .16702332229465286, (51, 2) = -0.9012646774014009e-1, (51, 3) = .501025271803289, (51, 4) = .5636160898088879, (51, 5) = .16172593962052867, (51, 6) = .1289706483940657, (51, 7) = -.11681369761445241, (52, 1) = .16167636746547506, (52, 2) = -0.8662709254567018e-1, (52, 3) = .5354245937655286, (52, 4) = .5732617138385044, (52, 5) = .1571068532547171, (52, 6) = .12207703121748083, (52, 7) = -.11107030160152458, (53, 1) = .15649217188922715, (53, 2) = -0.832877606097653e-1, (53, 3) = .5707017632972221, (53, 4) = .5827137094120911, (53, 5) = .15266702144547653, (53, 6) = .11546819718098544, (53, 7) = -.10554209857792878, (54, 1) = .1514681638565417, (54, 2) = -0.8010083796586685e-1, (54, 3) = .6068296591707916, (54, 4) = .5919717359930652, (54, 5) = .1483988206956467, (54, 6) = .10914121738711419, (54, 7) = -.1002268626526667, (55, 1) = .14660160234777767, (55, 2) = -0.7705904545671184e-1, (55, 3) = .6437795928327126, (55, 4) = .6010357808561354, (55, 5) = .14429496914815607, (55, 6) = .10309232375018078, (55, 7) = -0.9512201172172534e-1, (56, 1) = .14189016294329682, (56, 2) = -0.7415579244743617e-1, (56, 3) = .6815167857151943, (56, 4) = .609905070263442, (56, 5) = .14034898646161215, (56, 6) = 0.9731766543861783e-1, (56, 7) = -0.9022519334264704e-1, (57, 1) = .13733055115840967, (57, 2) = -0.7138429207106428e-1, (57, 3) = .7200114369835326, (57, 4) = .6185806833233924, (57, 5) = .13655400028046524, (57, 6) = 0.9181164277759303e-1, (57, 7) = -0.8553282185600106e-1, (58, 1) = .13291913685185686, (58, 2) = -0.6873795031830646e-1, (58, 3) = .7592350640821742, (58, 4) = .6270644277840627, (58, 5) = .1329032634057901, (58, 6) = 0.8656778272546026e-1, (58, 7) = -0.8104075700907686e-1, (59, 1) = .1286516327741731, (59, 2) = -0.6621016059961132e-1, (59, 3) = .799164460031636, (59, 4) = .6353595080809519, (59, 5) = .12938986575267097, (59, 6) = 0.8157844377519083e-1, (59, 7) = -0.7674399557867947e-1, (60, 1) = .12452430619411357, (60, 2) = -0.6379500379743547e-1, (60, 3) = .839771230939577, (60, 4) = .6434682068578423, (60, 5) = .12600770681463422, (60, 6) = 0.7683631058969256e-1, (60, 7) = -0.7263791038699614e-1, (61, 1) = .12053332346250112, (61, 2) = -0.6148682506048283e-1, (61, 3) = .8810276084176722, (61, 4) = .6513931420513931, (61, 5) = .12275092222076696, (61, 6) = 0.723336551457202e-1, (61, 7) = -0.687175841247968e-1, (62, 1) = .11667438654168381, (62, 2) = -0.5928000637071922e-1, (62, 3) = .9229109557024708, (62, 4) = .6591380172829979, (62, 5) = .11961356381867923, (62, 6) = 0.6806199777754275e-1, (62, 7) = -0.6497747609164842e-1, (63, 1) = .11294298648362892, (63, 2) = -0.57169100695410174e-1, (63, 3) = .9654023076310734, (63, 4) = .6667071615807357, (63, 5) = .11658978562213738, (63, 6) = 0.6401247882339202e-1, (63, 7) = -0.6141170855360152e-1, (64, 1) = .10933506387603534, (64, 2) = -0.5514918379084914e-1, (64, 3) = 1.0084792288200035, (64, 4) = .674104198640308, (64, 5) = .11367435428569851, (64, 6) = 0.6017662590041298e-1, (64, 7) = -0.58014717648254485e-1, (65, 1) = .10584689988050607, (65, 2) = -0.53215760915675155e-1, (65, 3) = 1.0521163069669728, (65, 4) = .6813322323771271, (65, 5) = .11086253363996139, (65, 6) = 0.5654623868694521e-1, (65, 7) = -0.5478114175121917e-1, (66, 1) = .10247421278276006, (66, 2) = -0.51364246219493405e-1, (66, 3) = 1.0962965827078632, (66, 4) = .6883957184775215, (66, 5) = .10814933543258673, (66, 6) = 0.5311248462877352e-1, (66, 7) = -0.51704999820689775e-1, (67, 1) = 0.9921290988322891e-1, (67, 2) = -0.4959036780155851e-1, (67, 3) = 1.141003046528324, (67, 4) = .6952989342332647, (67, 5) = .1055301079545874, (67, 6) = 0.4986674411817201e-1, (67, 7) = -0.4878042451768817e-1, (68, 1) = 0.9605911922500847e-1, (68, 2) = -0.4789016423374489e-1, (68, 3) = 1.186218001626672, (68, 4) = .7020458967717208, (68, 5) = .10300054210288584, (68, 6) = 0.4680065855233838e-1, (68, 7) = -0.4600169882505357e-1, (69, 1) = 0.9300918118628577e-1, (69, 2) = -0.4625996072380607e-1, (69, 3) = 1.2319228849172166, (69, 4) = .7086403636416022, (69, 5) = .10055664721832, (69, 6) = 0.4390613308737576e-1, (69, 7) = -0.4336325445354654e-1, (70, 1) = 0.9005963726896335e-1, (70, 2) = -0.44696345792792136e-1, (70, 3) = 1.2780981239439666, (70, 4) = .715085840088841, (70, 5) = 0.9819472668269251e-1, (70, 6) = 0.4117533490884553e-1, (70, 7) = -0.4085966769265928e-1, (71, 1) = 0.8720662809616934e-1, (71, 2) = -0.43195840295262154e-1, (71, 3) = 1.3247328641656022, (71, 4) = .7213868990604615, (71, 5) = 0.959108824037368e-1, (71, 6) = 0.3860016386916169e-1, (71, 7) = -0.3848516856421221e-1, (72, 1) = 0.8444665201022808e-1, (72, 2) = -0.417552894446388e-1, (72, 3) = 1.3718135605563158, (72, 4) = .7275475329006473, (72, 5) = 0.9370160979020452e-1, (72, 6) = 0.3617298491606246e-1, (72, 7) = -0.36234307802151734e-1, (73, 1) = 0.8177634831364401e-1, (73, 2) = -0.4037173402203197e-1, (73, 3) = 1.419327053967124, (73, 4) = .7335716098404168, (73, 5) = 0.9156361245610806e-1, (73, 6) = 0.33886428452975216e-1, (73, 7) = -0.3410177625172606e-1, (74, 1) = 0.7919244512824229e-1, (74, 2) = -0.3904237227030642e-1, (74, 3) = 1.4672614347298802, (74, 4) = .7394629834350771, (74, 5) = 0.8949375010756808e-1, (74, 6) = 0.3173335356974858e-1, (74, 7) = -0.3208237199793818e-1, (75, 1) = 0.766917452786738e-1, (75, 2) = -0.3776454319644946e-1, (75, 3) = 1.5156063797855175, (75, 4) = .7452255211846236, (75, 5) = 0.8748901780777456e-1, (75, 6) = 0.29706846489508134e-1, (75, 7) = -0.30171000378395537e-1, (76, 1) = 0.7427108666571063e-1, (76, 2) = -0.3653569801566861e-1, (76, 3) = 1.56435407644909, (76, 4) = .7508631948003112, (76, 5) = 0.8554650554414327e-1, (76, 6) = 0.2780019888614298e-1, (76, 7) = -0.2836265544217905e-1, (77, 1) = 0.7192722598819627e-1, (77, 2) = -0.35353334471828785e-1, (77, 3) = 1.6135019844319525, (77, 4) = .7563803576967835, (77, 5) = 0.8366329666302517e-1, (77, 6) = 0.26006831606669372e-1, (77, 7) = -0.26652349069398753e-1, (78, 1) = 0.6965652211426684e-1, (78, 2) = -0.34214833644028164e-1, (78, 3) = 1.6630606783505262, (78, 4) = .7617825194247292, (78, 5) = 0.818362046768005e-1, (78, 6) = 0.24320085139015783e-1, (78, 7) = -0.25034910053607307e-1, (79, 1) = 0.6745415227431711e-1, (79, 2) = -0.33117070324267625e-1, (79, 3) = 1.713074277652851, (79, 4) = .7670782989058776, (79, 5) = 0.8006113071928549e-1, (79, 6) = 0.22732717743348157e-1, (79, 7) = -0.23504494462123514e-1, (80, 1) = 0.653174926532069e-1, (80, 2) = -0.3205809437838403e-1, (80, 3) = 1.7635451239012367, (80, 4) = .7722713266005171, (80, 5) = 0.7833577907306599e-1, (80, 6) = 0.21239367364873103e-1, (80, 7) = -0.22056961396677732e-1, (81, 1) = 0.6324618571466564e-1, (81, 2) = -0.31037127966861342e-1, (81, 3) = 1.8144226145450653, (81, 4) = .7773598019042196, (81, 5) = 0.766597219644611e-1, (81, 6) = 0.19836363389372388e-1, (81, 7) = -0.20689736141079718e-1, (82, 1) = 0.6123998503307529e-1, (82, 2) = -0.3005347880465721e-1, (82, 3) = 1.8656485564000036, (82, 4) = .7823415773762875, (82, 5) = 0.7503266612459865e-1, (82, 6) = 0.18520102723197866e-1, (82, 7) = -0.1940025706534461e-1, (83, 1) = 0.5929737180297433e-1, (83, 2) = -0.2910586428826123e-1, (83, 3) = 1.9171937834263597, (83, 4) = .787217633956304, (83, 5) = 0.7345332619263635e-1, (83, 6) = 0.17286186479976352e-1, (83, 7) = -0.181851232611352e-1, (84, 1) = 0.5741655133464861e-1, (84, 2) = -0.28192907817684805e-1, (84, 3) = 1.9690365465074622, (84, 4) = .7919897115240078, (84, 5) = 0.7192022274910066e-1, (84, 6) = 0.16130164422757658e-1, (84, 7) = -0.17040811610716092e-1, (85, 1) = 0.555951180848402e-1, (85, 2) = -0.27312978136185835e-1, (85, 3) = 2.021173890970974, (85, 4) = .7966612137325211, (85, 5) = 0.7043140181072279e-1, (85, 6) = 0.15047373779686386e-1, (85, 7) = -0.15963513643715645e-1, (86, 1) = 0.53830960098087494e-1, (86, 2) = -0.2646462746652903e-1, (86, 3) = 2.0735978784815954, (86, 4) = .8012349398472144, (86, 5) = 0.6898516657212175e-1, (86, 6) = 0.1403351479043102e-1, (86, 7) = -0.14949706357927807e-1, (87, 1) = 0.521220691902015e-1, (87, 2) = -0.25646494959249203e-1, (87, 3) = 2.1263003114377943, (87, 4) = .8057135493898496, (87, 5) = 0.6757992094013747e-1, (87, 6) = 0.13084520237125303e-1, (87, 7) = -0.139960292467264e-1, (88, 1) = 0.50466495504684544e-1, (88, 2) = -0.2485728164590901e-1, (88, 3) = 2.1792739683535407, (88, 4) = .810099673559902, (88, 5) = 0.662141300173103e-1, (88, 6) = 0.12196523093985182e-1, (88, 7) = -0.13099256789703594e-1, (89, 1) = 0.4886235775707648e-1, (89, 2) = -0.24095752574361837e-1, (89, 3) = 2.2325122557439467, (89, 4) = .81439588423751, (89, 5) = 0.6488632633494537e-1, (89, 6) = 0.11365857148876791e-1, (89, 7) = -0.12256303574946446e-1, (90, 1) = 0.47307845059216785e-1, (90, 2) = -0.23360735056253266e-1, (90, 3) = 2.2860090697577875, (90, 4) = .8186046839450801, (90, 5) = 0.6359510950556727e-1, (90, 6) = 0.1058905185381353e-1, (90, 7) = -0.11464223580929493e-1, (91, 1) = 0.4580121666136627e-1, (91, 2) = -0.2265111611151706e-1, (91, 3) = 2.3397587042276045, (91, 4) = .8227285009951595, (91, 5) = 0.6233914441576576e-1, (91, 6) = 0.9862825614015936e-2, (91, 7) = -0.107202077302794e-1, (92, 1) = 0.4434080733778398e-1, (92, 2) = -0.2196584274078579e-1, (92, 3) = 2.393755530962878, (92, 4) = .8267696687449231, (92, 5) = 0.61117164378142505e-1, (92, 6) = 0.9184081388015965e-2, (92, 7) = -0.10021583648716392e-1, (93, 1) = 0.42925145853717636e-1, (93, 2) = -0.2130397508619256e-1, (93, 3) = 2.4479892081920704, (93, 4) = .8307300855152587, (93, 5) = 0.5992806977704981e-1, (93, 6) = 0.8549951249578833e-2, (93, 7) = -0.9365866049369924e-2, (94, 1) = 0.4155262130359708e-1, (94, 2) = -0.2066452832678662e-1, (94, 3) = 2.502457135574029, (94, 4) = .8346121380272766, (94, 5) = 0.5877064728357242e-1, (94, 6) = 0.7957637886648394e-2, (94, 7) = -0.8750596954165865e-2, (95, 1) = 0.40221673082686e-1, (95, 2) = -0.20046560655054453e-1, (95, 3) = 2.5571577851500775, (95, 4) = .8384181810565843, (95, 5) = 0.57643726773201474e-1, (95, 6) = 0.7404501824848323e-2, (95, 7) = -0.8173438423547898e-2, (96, 1) = 0.3893093363217918e-1, (96, 2) = -0.19449237677365155e-1, (96, 3) = 2.6120844990926924, (96, 4) = .8421501190891273, (96, 5) = 0.5654630194311316e-1, (96, 6) = 0.6888111282844666e-2, (96, 7) = -0.7632228495991538e-2, (97, 1) = 0.3767913294059378e-1, (97, 2) = -0.1887178595166975e-1, (97, 3) = 2.667228654188966, (97, 4) = .8458096605035292, (97, 5) = 0.5547745035158284e-1, (97, 6) = 0.64061892384546576e-2, (97, 7) = -0.7124930043201029e-2, (98, 1) = 0.36464855030914144e-1, (98, 2) = -0.18313379572760476e-1, (98, 3) = 2.7225904821560354, (98, 4) = .8493990293787306, (98, 5) = 0.5443612442522976e-1, (98, 6) = 0.59565158905427445e-2, (98, 7) = -0.6649530877556062e-2, (99, 1) = 0.35287129676639724e-1, (99, 2) = -0.17773411236805755e-1, (99, 3) = 2.7781521098313138, (99, 4) = .8529192148774755, (99, 5) = 0.5342165809334678e-1, (99, 6) = 0.5537143446706783e-2, (99, 7) = -0.6204273518435405e-2, (100, 1) = 0.3414448775408405e-1, (100, 2) = -0.17251057251932208e-1, (100, 3) = 2.8339211154523043, (100, 4) = .8563727717832911, (100, 5) = 0.52432954840383246e-1, (100, 6) = 0.5146045985976234e-2, (100, 7) = -0.5787287135105179e-2, (101, 1) = 0.3303572907131051e-1, (101, 2) = -0.16745629644977163e-1, (101, 3) = 2.8898955064608667, (101, 4) = .8597615482839938, (101, 5) = 0.51469145618834776e-1, (101, 6) = 0.4781398495554278e-2, (101, 7) = -0.5396885129046895e-2, (102, 1) = 0.3195981073286776e-1, (102, 2) = -0.16256523054212938e-1, (102, 3) = 2.94606770601317, (102, 4) = .8630869913915394, (102, 5) = 0.5052949522528311e-1, (102, 6) = 0.4441521516255529e-2, (102, 7) = -0.5031509922179083e-2, (103, 1) = 0.30915598137938833e-1, (103, 2) = -0.15783100427777905e-1, (103, 3) = 3.002437108550583, (103, 4) = .8663509059017817, (103, 5) = 0.49613185415921565e-1, (103, 6) = 0.4124794717803363e-2, (103, 7) = -0.4689642631979475e-2, (104, 1) = 0.29901970845921482e-1, (104, 2) = -0.15324740843082107e-1, (104, 3) = 3.0590051626175123, (104, 4) = .8695551374490673, (104, 5) = 0.487194055183293e-1, (104, 6) = 0.3829690331967739e-2, (104, 7) = -0.4369840628700971e-2, (105, 1) = 0.2891817845755974e-1, (105, 2) = -0.14880999220591645e-1, (105, 3) = 3.1157546708604014, (105, 4) = .8727004295170955, (105, 5) = 0.47847667825719004e-1, (105, 6) = 0.3554866924305937e-2, (105, 7) = -0.40708417306626115e-2, (106, 1) = 0.27963163270254478e-1, (106, 2) = -0.1445129941189121e-1, (106, 3) = 3.1726875343071246, (106, 4) = .8757885621654562, (106, 5) = 0.4699721013074634e-1, (106, 6) = 0.3298968129327067e-2, (106, 7) = -0.3791347889312316e-2, (107, 1) = 0.27036054474744546e-1, (107, 2) = -0.1403515704995601e-1, (107, 3) = 3.2297970324116263, (107, 4) = .8788207857953696, (107, 5) = 0.46167431512408715e-1, (107, 6) = 0.30607620642720077e-2, (107, 7) = -0.35301779967586255e-2, (108, 1) = 0.26135990182439874e-1, (108, 2) = -0.136320985542424e-1, (108, 3) = 3.287077717628753, (108, 4) = .8817983817939085, (108, 5) = 0.45357735223466554e-1, (108, 6) = 0.2839085862681523e-2, (108, 7) = -0.3286209314341815e-2, (109, 1) = 0.25262050106508706e-1, (109, 2) = -0.13241630697811596e-1, (109, 3) = 3.3445300453631157, (109, 4) = .8847228903452787, (109, 5) = 0.44567467123514615e-1, (109, 6) = 0.26328275024835607e-2, (109, 7) = -0.30583587722556906e-2, (110, 1) = 0.24413349314602834e-1, (110, 2) = -0.12863282318672776e-1, (110, 3) = 3.4021547804570993, (110, 4) = .887595805636143, (110, 5) = 0.437959990098312e-1, (110, 6) = 0.24409471805914122e-2, (110, 7) = -0.2845607745492162e-2, (111, 1) = 0.23589143691971477e-1, (111, 2) = -0.12496650693252929e-1, (111, 3) = 3.459945373101773, (111, 4) = .8904182090864114, (111, 5) = 0.430428253565388e-1, (111, 6) = 0.22624955246276683e-2, (111, 7) = -0.2647023818928518e-2, (112, 1) = 0.22788544500633067e-1, (112, 2) = -0.12141274016994663e-1, (112, 3) = 3.517907612668944, (112, 4) = .8931917390779196, (112, 5) = 0.4230730313112941e-1, (112, 6) = 0.20965469627233866e-2, (112, 7) = -0.2461688048783101e-2, (113, 1) = 0.2201092154264269e-1, (113, 2) = -0.1179681022215186e-1, (113, 3) = 3.576030939938064, (113, 4) = .8959172018453189, (113, 5) = 0.4158902099552602e-1, (113, 6) = 0.19422823318737763e-2, (113, 7) = -0.228878818143032e-2, (114, 1) = 0.2125560521689302e-1, (114, 2) = -0.11462903989906546e-1, (114, 3) = 3.6343089625327116, (114, 4) = .8985955842843032, (114, 5) = 0.4088752771952661e-1, (114, 6) = 0.17989202787508094e-2, (114, 7) = -0.21275434552632607e-2, (115, 1) = 0.20521859851746347e-1, (115, 2) = -0.11139174973080628e-1, (115, 3) = 3.6927422713816003, (115, 4) = .901228160676181, (115, 5) = 0.40202305706456845e-1, (115, 6) = 0.16657125158263998e-2, (115, 7) = -0.1977199961864016e-2, (116, 1) = 0.19809007610044085e-1, (116, 2) = -0.10825272392179685e-1, (116, 3) = 3.7513291524005035, (116, 4) = .9038160568685645, (116, 5) = 0.3953288543830951e-1, (116, 6) = 0.15419656732920172e-2, (116, 7) = -0.18370560679884847e-2, (117, 1) = 0.19116459219134217e-1, (117, 2) = -0.10520888096597018e-1, (117, 3) = 3.8100624347040353, (117, 4) = .9063601272182191, (117, 5) = 0.38878875566455126e-1, (117, 6) = 0.14270421589284107e-2, (117, 7) = -0.1706464442997396e-2, (118, 1) = 0.1844353362888209e-1, (118, 2) = -0.10225676992181737e-1, (118, 3) = 3.868944547638398, (118, 4) = .9088616122353441, (118, 5) = 0.38239793038485445e-1, (118, 6) = 0.13203272362793043e-2, (118, 7) = -0.15847955131765516e-2, (119, 1) = 0.17789709594853653e-1, (119, 2) = -0.9939367324640893e-2, (119, 3) = 3.9279659277100545, (119, 4) = .9113212093702816, (119, 5) = 0.376153011508749e-1, (119, 6) = 0.12212679341659727e-2, (119, 7) = -0.14714824659729727e-2, (120, 1) = 0.1715434821401846e-1, (120, 2) = -0.966163872941871e-2, (120, 3) = 3.9871292234576647, (120, 4) = .9137401023351425, (120, 5) = 0.3700494616750579e-1, (120, 6) = 0.11293267277753402e-2, (120, 7) = -0.1365969153112434e-2, (121, 1) = 0.1653686685477603e-1, (121, 2) = -0.9392198385188308e-2, (121, 3) = 4.046434233913541, (121, 4) = .9161193161473176, (121, 5) = 0.3640832219382344e-1, (121, 6) = 0.10440074614222617e-2, (121, 7) = -0.12677402606956771e-2, (122, 1) = 0.1593672984453655e-1, (122, 2) = -0.9130776619449235e-2, (122, 3) = 4.105878254180306, (122, 4) = .918459743389031, (122, 5) = 0.3582506324812699e-1, (122, 6) = 0.9648508034309002e-3, (122, 7) = -0.11763168046591919e-2, (123, 1) = 0.15353456370083519e-1, (123, 2) = -0.8877130053322135e-2, (123, 3) = 4.165454756028964, (123, 4) = .9207621042586911, (123, 5) = 0.3525485195379574e-1, (123, 6) = 0.8914323837445772e-3, (123, 7) = -0.10912546315821271e-2, (124, 1) = 0.14786605499051348e-1, (124, 2) = -0.8631034803741748e-2, (124, 3) = 4.2251543164998395, (124, 4) = .9230269958510547, (124, 5) = 0.3469740599658427e-1, (124, 6) = 0.8233581730263291e-3, (124, 7) = -0.10121396610135644e-2, (125, 1) = 0.1423560509441761e-1, (125, 2) = -0.8392212157745564e-2, (125, 3) = 4.28498299546985, (125, 4) = .925255580609136, (125, 5) = 0.34152309214020814e-1, (125, 6) = 0.760243103053324e-3, (125, 7) = -0.938563455856944e-3, (126, 1) = 0.1369997590376947e-1, (126, 2) = -0.8160425838712085e-2, (126, 3) = 4.344939248308072, (126, 4) = .9274486979359966, (126, 5) = 0.33619231067228195e-1, (126, 6) = 0.7017373197944904e-3, (126, 7) = -0.8701541170718898e-3, (127, 1) = 0.13179260839270365e-1, (127, 2) = -0.7935451067583034e-2, (127, 3) = 4.405020871401772, (127, 4) = .9296071384367649, (127, 5) = 0.3309785803833924e-1, (127, 6) = 0.6475153511061355e-3, (127, 7) = -0.8065641728294864e-3, (128, 1) = 0.12673016774717254e-1, (128, 2) = -0.7717070876205519e-2, (128, 3) = 4.465225806438151, (128, 4) = .9317316751472142, (128, 5) = 0.3258788569860931e-1, (128, 6) = 0.5972736864292357e-3, (128, 7) = -0.7474681438722301e-3, (129, 1) = 0.12180814856644654e-1, (129, 2) = -0.7505076125168032e-2, (129, 3) = 4.525552047703438, (129, 4) = .9338230607702328, (129, 5) = 0.32089019152014744e-1, (129, 6) = 0.5507294602302875e-3, (129, 7) = -0.6925613591197516e-3, (130, 1) = 0.11702239989818099e-1, (130, 2) = -0.7299265171632634e-2, (130, 3) = 4.585997640127296, (130, 4) = .9358820282972874, (130, 5) = 0.31600972661932875e-1, (130, 6) = 0.5076191202028123e-3, (130, 7) = -0.6415587231086209e-3, (131, 1) = 0.11236890371623526e-1, (131, 2) = -0.7099443565783825e-2, (131, 3) = 4.64656067373754, (131, 4) = .9379092914859827, (131, 5) = 0.31123469324561948e-1, (131, 6) = 0.4676971775487788e-3, (131, 7) = -0.5941935510054997e-3, (132, 1) = 0.107843770107237e-1, (132, 2) = -0.6905423747524692e-2, (132, 3) = 4.707239282407291, (132, 4) = .9399055454663998, (132, 5) = 0.30656240723360338e-1, (132, 6) = 0.43073502924570906e-3, (132, 7) = -0.5502164615731298e-3, (133, 1) = 0.10344323263119098e-1, (133, 2) = -0.6717024757245861e-2, (133, 3) = 4.76803164308303, (133, 4) = .9418714673375305, (133, 5) = 0.30199026597440937e-1, (133, 6) = 0.39651985188484193e-3, (133, 7) = -0.5093943297131232e-3, (134, 1) = 0.991636438458679e-2, (134, 2) = -0.6534071959760502e-2, (134, 3) = 4.828935975581054, (134, 4) = .9438077167561614, (134, 5) = 0.29751574522758853e-1, (134, 6) = 0.36485356319130105e-3, (134, 7) = -0.4715092959902402e-3, (135, 1) = 0.9500147114831702e-2, (135, 2) = -0.6356396787514922e-2, (135, 3) = 4.889950540624614, (135, 4) = .9457149364454033, (135, 5) = 0.2931363962219971e-1, (135, 6) = 0.3355518486277446e-3, (135, 7) = -0.43635783194643206e-3, (136, 1) = 0.9095329261754777e-2, (136, 2) = -0.61838364891480474e-2, (136, 3) = 4.9510736404235836, (136, 4) = .947593752761815, (136, 5) = 0.28884984271701088e-1, (136, 6) = 0.30844324714459726e-3, (136, 7) = -0.4037498558821582e-3, (137, 1) = 0.870157925505246e-2, (137, 2) = -0.601623387000051e-2, (137, 3) = 5.012303627058391, (137, 4) = .9494447764708851, (137, 5) = 0.28465377768764184e-1, (137, 6) = 0.28336829120570266e-3, (137, 7) = -0.3735078948773748e-3, (138, 1) = 0.8318575781930621e-2, (138, 2) = -0.5853437072325423e-2, (138, 3) = 5.0736389017910835, (138, 4) = .9512686032079182, (138, 5) = 0.280545960825053e-1, (138, 6) = 0.2601787055173408e-3, (138, 7) = -0.34546629992478233e-3, (139, 1) = 0.7946007389342705e-2, (139, 2) = -0.5695299345566016e-2, (139, 3) = 5.135077922433506, (139, 4) = .9530658141549968, (139, 5) = 0.276524215633124e-1, (139, 6) = 0.2387366533987117e-3, (139, 7) = -0.31947050232195343e-3, (140, 1) = 0.7583572174809846e-2, (140, 2) = -0.554167885830191e-2, (140, 3) = 5.196619199286618, (140, 4) = .9548369763523616, (140, 5) = 0.27258642742879598e-1, (140, 6) = 0.21891403538176765e-3, (140, 7) = -0.2953763182049148e-3, (141, 1) = 0.7230977493355699e-2, (141, 2) = -0.5392438520624993e-2, (141, 3) = 5.258261289858421, (141, 4) = .9565826429700981, (141, 5) = 0.2687305414886625e-1, (141, 6) = 0.20059183213151456e-3, (141, 7) = -0.27304929294300013e-3, (142, 1) = 0.6887939715010858e-2, (142, 2) = -0.52474458312329955e-2, (142, 3) = 5.320002785774653, (142, 4) = .958303353361792, (142, 5) = 0.26495456172530026e-1, (142, 6) = 0.1836594907879038e-3, (142, 7) = -0.252364085464996e-3, (143, 1) = 0.6554183880220243e-2, (143, 2) = -0.5106572684456149e-2, (143, 3) = 5.381842318957145, (143, 4) = .9599996336604034, (143, 5) = 0.26125654821718747e-1, (143, 6) = 0.1680143447380809e-3, (143, 7) = -0.23320388139026565e-3, (144, 1) = 0.6229443363023987e-2, (144, 2) = -0.496969518374495e-2, (144, 3) = 5.44377856989792, (144, 4) = .961671997397204, (144, 5) = 0.25763461476510423e-1, (144, 6) = 0.15356107126225863e-3, (144, 7) = -0.21545984131697018e-3, (145, 1) = 0.59134596103730345e-2, (145, 2) = -0.4836693490181476e-2, (145, 3) = 5.505810264587283, (145, 4) = .963320945785362, (145, 5) = 0.2540869272435785e-1, (145, 6) = 0.14021118760005577e-3, (145, 7) = -0.1990305859062199e-3, (146, 1) = 0.5605981879431755e-2, (146, 2) = -0.4707451672732042e-2, (146, 3) = 5.56793617351249, (146, 4) = .9649469680512343, (146, 5) = 0.2506117018958842e-1, (146, 6) = 0.12788257922406355e-3, (146, 7) = -0.1838217110432586e-3, (147, 1) = 0.53067669906432515e-2, (147, 2) = -0.4581857567572001e-2, (147, 3) = 5.630155109349184, (147, 4) = .9665505417213073, (147, 5) = 0.24720720377034513e-1, (147, 6) = 0.11649905921041561e-3, (147, 7) = -0.16974533250776132e-3, (148, 1) = 0.5015579091342034e-2, (148, 2) = -0.4459802644110297e-2, (148, 3) = 5.692465924121744, (148, 4) = .9681321328883635, (148, 5) = 0.2438717452423778e-1, (148, 6) = 0.10598995658033662e-3, (148, 7) = -0.1567196582818594e-3, (149, 1) = 0.4732189454943598e-2, (149, 2) = -0.4341181888026249e-2, (149, 3) = 5.754867500071219, (149, 4) = .9696921963155168, (149, 5) = 0.24060368491380577e-1, (149, 6) = 0.9628973268058946e-4, (149, 7) = -0.1446685880441674e-3, (150, 1) = 0.445637619497772e-2, (150, 2) = -0.4225893650637279e-2, (150, 3) = 5.81735876065353, (150, 4) = .9712311760403447, (150, 5) = 0.23740142549888144e-1, (150, 6) = 0.8733761981190855e-4, (150, 7) = -0.13352133330447443e-3, (151, 1) = 0.4187924050803135e-2, (151, 2) = -0.4113839530268126e-2, (151, 3) = 5.879938668714196, (151, 4) = .9727495056336701, (151, 5) = 0.2342634124862383e-1, (151, 6) = 0.7907728636528507e-4, (151, 7) = -0.1232120640465816e-3, (152, 1) = 0.3926624184068294e-2, (152, 2) = -0.4004924259857473e-2, (152, 3) = 5.942606223760687, (152, 4) = .9742476084300418, (152, 5) = 0.23118813289296117e-1, (152, 6) = 0.714565244479042e-4, (152, 7) = -0.11367957746503508e-3, (153, 1) = 0.36722739675628595e-2, (153, 2) = -0.3899055593040416e-2, (153, 3) = 6.005360462681993, (153, 4) = .9757258978340067, (153, 5) = 0.22817411389538758e-1, (153, 6) = 0.6442695807953464e-4, (153, 7) = -0.10486698691294358e-3, (154, 1) = 0.3424676781951572e-2, (154, 2) = -0.37961441950964078e-2, (154, 3) = 6.068200460574128, (154, 4) = .9771847776170947, (154, 5) = 0.22521992151470806e-1, (154, 6) = 0.5794377119218636e-4, (154, 7) = -0.967214305737495e-4, (155, 1) = 0.318364182773534e-2, (155, 2) = -0.36961035417064788e-2, (155, 3) = 6.131125329639266, (155, 4) = .9786246421596811, (155, 5) = 0.22232415944730063e-1, (155, 6) = 0.51965454344558085e-4, (155, 7) = -0.8919379893818854e-4, (156, 1) = 0.29489839668066916e-2, (156, 2) = -0.3598849831342047e-2, (156, 3) = 6.194134211754286, (156, 4) = .9800458765440385, (156, 5) = 0.21948546822007864e-1, (156, 6) = 0.4645356922033489e-4, (156, 7) = -0.8223848033365505e-4, (157, 1) = 0.2720523479792377e-2, (157, 2) = -0.3504301864036683e-2, (157, 3) = 6.257226295253834, (157, 4) = .9814488571872236, (157, 5) = 0.21670252329442523e-1, (157, 6) = 0.41372527148834515e-4, (157, 7) = -0.7581312014106669e-4, (158, 1) = 0.24994622622722487e-2, (158, 2) = -0.34129493089673224e-2, (158, 3) = 6.320004429362408, (158, 4) = .9828253219279554, (158, 5) = 0.21399097573883887e-1, (158, 6) = 0.3671757453856597e-4, (158, 7) = -0.6991415932376671e-4, (159, 1) = 0.22914438569439223e-2, (159, 2) = -0.33271103446682673e-2, (159, 3) = 6.380714359223117, (159, 4) = .9841383236747088, (159, 5) = 0.21142196023966428e-1, (159, 6) = 0.3256657044189625e-4, (159, 7) = -0.6464305200947549e-4, (160, 1) = 0.2096764977130119e-2, (160, 2) = -0.3246888216871749e-2, (160, 3) = 6.439041851800582, (160, 4) = .985383387995297, (160, 5) = 0.209001807532975e-1, (160, 6) = 0.28878429537552865e-4, (160, 7) = -0.5995056210962825e-4, (161, 1) = 0.19142542422758073e-2, (161, 2) = -0.31717820489926096e-2, (161, 3) = 6.4951157087198235, (161, 4) = .9865655002073301, (161, 5) = 0.2067184982425839e-1, (161, 6) = 0.25589568107955412e-4, (161, 7) = -0.5575831327685825e-4, (162, 1) = 0.17427142743147398e-2, (162, 2) = -0.3101283157089607e-2, (162, 3) = 6.5491051323901015, (162, 4) = .9876901928502866, (162, 5) = 0.20455929268952944e-1, (162, 6) = 0.2264398415019256e-4, (162, 7) = -0.51996993884276855e-4, (163, 1) = 0.15811015363619964e-2, (163, 2) = -0.3034948752530318e-2, (163, 3) = 6.601162057284735, (163, 4) = .9887623477334817, (163, 5) = 0.2025130191646246e-1, (163, 6) = 0.19995149287787638e-4, (163, 7) = -0.4860889607355352e-4, (164, 1) = 0.14285079524789714e-2, (164, 2) = -0.29723938930752585e-2, (164, 3) = 6.651421488871508, (164, 4) = .9897862525363109, (164, 5) = 0.20056990944072855e-1, (164, 6) = 0.17604241683083722e-4, (164, 7) = -0.45545777125153235e-4, (165, 1) = 0.12841380601209408e-2, (165, 2) = -0.29132816972746683e-2, (165, 3) = 6.7000042676403915, (165, 4) = .9907656989607102, (165, 5) = 0.19872136498653162e-1, (165, 6) = 0.15438635568661184e-4, (165, 7) = -0.427670184725108e-4, (166, 1) = 0.11472903267585523e-2, (166, 2) = -0.28573153562169145e-2, (166, 3) = 6.747019454806988, (166, 4) = .9917040645449797, (166, 5) = 0.1969597641041645e-1, (166, 6) = 0.13470724780140474e-4, (166, 7) = -0.4023818885023187e-4, (167, 1) = 0.10173434606982944e-2, (167, 2) = -0.28042322593080844e-2, (167, 3) = 6.792565807285179, (167, 4) = .9926043695551816, (167, 5) = 0.19527832369525187e-1, (167, 6) = 0.1167702161571815e-4, (167, 7) = -0.37929943037897354e-4, (168, 1) = 0.893745064050563e-3, (168, 2) = -0.2753799130211681e-2, (168, 3) = 6.836733031901551, (168, 4) = .9934693246139872, (168, 5) = 0.19367098410542075e-1, (168, 6) = 0.10037439121625286e-4, (168, 7) = -0.358171430611698e-4, (169, 1) = 0.776002178705785e-3, (169, 2) = -0.27058079781715864e-2, (169, 3) = 6.879602854428295, (169, 4) = .9943013707458818, (169, 5) = 0.19213231273768283e-1, (169, 6) = 0.8534715422939233e-5, (169, 7) = -0.3387815201610202e-4, (170, 1) = 0.6636729006810244e-3, (170, 2) = -0.26600725198970194e-2, (170, 3) = 6.921250108704328, (170, 4) = .9951027165532491, (170, 5) = 0.19065741682178818e-1, (170, 6) = 0.7153943222488218e-5, (170, 7) = -0.3209425552245678e-4, (171, 1) = 0.5563591652951864e-3, (171, 2) = -0.26164251077657906e-2, (171, 3) = 6.961743745577525, (171, 4) = .995875371044721, (171, 5) = 0.18924186748013903e-1, (171, 6) = 0.5882186619569889e-5, (171, 7) = -0.30449189658006313e-4, (172, 1) = 0.453703968041812e-3, (172, 2) = -0.25747154845888296e-2, (172, 3) = 7.001146434242757, (172, 4) = .9966211475552713, (172, 5) = 0.18788167920810266e-1, (172, 6) = 0.4708206273295691e-5, (172, 7) = -0.2892880415481513e-4, (173, 1) = 0.3553847160599982e-3, (173, 2) = -0.2534807981217631e-2, (173, 3) = 7.039515816735961, (173, 4) = .9973416977524165, (173, 5) = 0.18657323601527533e-1, (173, 6) = 0.3622181416110171e-5, (173, 7) = -0.2752071779279574e-4, (174, 1) = 0.2611089567921044e-3, (174, 2) = -0.24965796986488663e-2, (174, 3) = 7.076905087185851, (174, 4) = .9980385309827882, (174, 5) = 0.18531324646632825e-1, (174, 6) = 0.26154980864484428e-5, (174, 7) = -0.26214056372779796e-4, (175, 1) = 0.17061087792577472e-3, (175, 2) = -0.24599190164938103e-2, (175, 3) = 7.11336343575653, (175, 4) = .9987130298125714, (175, 5) = 0.18409870712982543e-1, (175, 6) = 0.16805750903788004e-5, (175, 7) = -0.24999237164889492e-4, (176, 1) = 0.8364828755175267e-4, (176, 2) = -0.2424724307108064e-2, (176, 3) = 7.14893643929275, (176, 4) = .999366463543249, (176, 5) = 0.18292687091506932e-1, (176, 6) = 0.8107185795194192e-6, (176, 7) = -0.2386778854087962e-4, (177, 1) = .0, (177, 2) = -0.23909028232950774e-2, (177, 3) = 7.183666405720363, (177, 4) = 1.0, (177, 5) = 0.18179521955803843e-1, (177, 6) = .0, (177, 7) = -0.22812198384621496e-4}, datatype = float[8], order = C_order); YP := Matrix(177, 7, {(1, 1) = -3.010283491881195, (1, 2) = 31.045172730586398, (1, 3) = -.5, (1, 4) = 3.2549705904755624, (1, 5) = -32.059040670468, (1, 6) = -2.2961168243517345, (1, 7) = 21.039081978077707, (2, 1) = -2.2188140910266996, (2, 2) = 17.121944106176148, (2, 3) = -.40370802709261644, (2, 4) = 2.4361750640983972, (2, 5) = -17.75186646531459, (2, 6) = -1.7587335888496072, (2, 7) = 11.658920037134642, (3, 1) = -1.7515672684205508, (3, 2) = 10.819003914424172, (3, 3) = -.32904124123644557, (3, 4) = 1.950857483460543, (3, 5) = -11.261093047454036, (3, 6) = -1.4395391386527499, (3, 7) = 7.421516216604939, (4, 1) = -1.443419767334426, (4, 2) = 7.44431424050068, (4, 3) = -.2679158648423435, (4, 4) = 1.6295350420268857, (4, 5) = -7.77851680978251, (4, 6) = -1.2272759842281986, (4, 7) = 5.153559241304035, (5, 1) = -1.2250712603116078, (5, 2) = 5.430700205869807, (5, 3) = -.21608666124952267, (5, 4) = 1.4009694099334766, (5, 5) = -5.6962541050511355, (5, 6) = -1.0753753559802985, (5, 7) = 3.7994361725363084, (6, 1) = -1.062293032083934, (6, 2) = 4.133984345299803, (6, 3) = -.1710281829224358, (6, 4) = 1.229921365777778, (6, 5) = -4.352627257354598, (6, 6) = -.9608633361558743, (6, 7) = 2.9263023948487845, (7, 1) = -.9363094708603249, (7, 2) = 3.250582184729448, (7, 3) = -.1311332340751042, (7, 4) = 1.097033665972045, (7, 5) = -3.4354543508722934, (7, 6) = -.871143819024352, (7, 7) = 2.330460789528503, (8, 1) = -.8359113795739894, (8, 2) = 2.6218668296288925, (8, 3) = -0.9529846009910026e-1, (8, 4) = .9907326565311447, (8, 5) = -2.781433082063489, (8, 6) = -.798694055572774, (8, 7) = 1.9055546562540169, (9, 1) = -.7540307621161558, (9, 2) = 2.158655707900222, (9, 3) = -0.6274515848045818e-1, (9, 4) = .903710629210698, (9, 5) = -2.2986527950440383, (9, 6) = -.7387684103204613, (9, 7) = 1.5918036113784224, (10, 1) = -.6859732537372588, (10, 2) = 1.8075854056497922, (10, 3) = -0.3289635416421537e-1, (10, 4) = .8311070612968686, (10, 5) = -1.9320578998022346, (10, 6) = -.6882118043576506, (10, 7) = 1.3534327958638872, (11, 1) = -.6285004073713887, (11, 2) = 1.5351562401542218, (11, 3) = -0.5312156394166294e-2, (11, 4) = .7695640956343914, (11, 5) = -1.6470492909842538, (11, 6) = -.64484492277093, (11, 7) = 1.1679748738766818, (12, 1) = -.5793166470382869, (12, 2) = 1.3195281931221805, (12, 3) = 0.20345547838662725e-1, (12, 4) = .7166984974611179, (12, 5) = -1.4210468548040192, (12, 6) = -.6071216319336978, (12, 7) = 1.0207737736678706, (13, 1) = -.5367311431212949, (13, 2) = 1.145892530696533, (13, 3) = 0.44352419520146014e-1, (13, 4) = .6707519723642751, (13, 5) = -1.2387232687233358, (13, 6) = -.5739002262529861, (13, 7) = .9018835448323496, (14, 1) = -.49948942467589225, (14, 2) = 1.003998050145226, (14, 3) = 0.6692621623257643e-1, (14, 4) = .6304185015498383, (14, 5) = -1.0894578589784991, (14, 6) = -.5443331052943612, (14, 7) = .8044134092658326, (15, 1) = -.46663169018318124, (15, 2) = .8865281517652679, (15, 3) = 0.882475828156531e-1, (15, 4) = .5946973362482103, (15, 5) = -.9656623891005631, (15, 6) = -.5177703096857598, (15, 7) = .7234401398522938, (16, 1) = -.43741237094615587, (16, 2) = .7881537194650875, (16, 3) = .10846767050378146, (16, 4) = .5628099475659347, (16, 5) = -.8618042115535092, (16, 6) = -.49370579887626914, (16, 7) = .6553739127932571, (17, 1) = -.4112440008745413, (17, 2) = .7049210492055764, (17, 3) = .12771421698659408, (17, 4) = .5341419874792643, (17, 5) = -.7737744555933753, (17, 6) = -.4717398711807749, (17, 7) = .5975483247236602, (18, 1) = -.3876575548580043, (18, 2) = .6338476180086999, (18, 3) = .14609630418834832, (18, 4) = .5082022267347898, (18, 5) = -.6984704299667118, (18, 6) = -.45155255379360504, (18, 7) = .547949494066217, (19, 1) = -.3662736309623723, (19, 2) = .5726483733807656, (19, 3) = .1637083931514831, (19, 4) = .48459265857890527, (19, 5) = -.6335126174412591, (19, 6) = -.4328841497234415, (19, 7) = .5050324919245571, (20, 1) = -.34678216572683396, (20, 2) = .5195495059189714, (20, 3) = .18063295456195466, (20, 4) = .4629874722134205, (20, 5) = -.5770520321259064, (20, 6) = -.41552163184362956, (20, 7) = .4675964144816947, (21, 1) = -.32892767036417664, (21, 2) = .4731582794401461, (21, 3) = .1969422817914571, (21, 4) = .4431177566148181, (21, 5) = -.5276354888454184, (21, 6) = -.39928880193030747, (21, 7) = .43469702859278164, (22, 1) = -.31249869978237255, (22, 2) = .4323712564531229, (22, 3) = .21269931606763323, (22, 4) = .42476063372747375, (22, 5) = -.48411059119320127, (22, 6) = -.38403945114777954, (22, 7) = .4055852112696801, (23, 1) = -.29731416431452806, (23, 2) = .39629415064634355, (23, 3) = .2279639568142309, (23, 4) = .40772462385587316, (23, 5) = -.4455422550983356, (23, 6) = -.36964681487130585, (23, 7) = .3796525244600942, (24, 1) = -.28322501684036205, (24, 2) = .36421250433414676, (24, 3) = .2427861347723762, (24, 4) = .3918520439519158, (24, 5) = -.4111829023278856, (24, 6) = -.3560068471972505, (24, 7) = .3564123311986818, (25, 1) = -.2701033420412026, (25, 2) = .33554014077654515, (25, 3) = .2572121554674377, (25, 4) = .37700721405190146, (25, 5) = -.3804185329805538, (25, 6) = -.3430294380682383, (25, 7) = .3354645137472628, (26, 1) = -.2578389396986893, (26, 2) = .3097931961546034, (26, 3) = .2712850292677997, (26, 4) = .36307292252881584, (26, 5) = -.35274178509526466, (26, 6) = -.3306361874020015, (26, 7) = .3164779932333802, (27, 1) = -.24633953213188772, (27, 2) = .2865759039396276, (27, 3) = .28504110605404537, (27, 4) = .3499509645976493, (27, 5) = -.3277374103346404, (27, 6) = -.3187617238807888, (27, 7) = .29918159835956604, (28, 1) = -.23552476168366415, (28, 2) = .2655566661015625, (28, 3) = .29851430859060935, (28, 4) = .33755558003287145, (28, 5) = -.30505713524774447, (28, 6) = -.3073486098948925, (28, 7) = .2833475062173651, (29, 1) = -.2253255020912264, (29, 2) = .2464582280638545, (29, 3) = .3117349359672634, (29, 4) = .32581286288190825, (29, 5) = -.28440953074312353, (29, 6) = -.29634737207014694, (29, 7) = .2687847958648897, (30, 1) = -.2156829331351726, (30, 2) = .2290488984956625, (30, 3) = .324728843808106, (30, 4) = .31465989354105117, (30, 5) = -.26555092451071954, (30, 6) = -.28571629053101066, (30, 7) = .25533368718160365, (31, 1) = -.2065438873825929, (31, 2) = .2131287038144533, (31, 3) = .33752207959661373, (31, 4) = .304039516592149, (31, 5) = -.2482707267810866, (31, 6) = -.2754169157752743, (31, 7) = .24285563622268744, (32, 1) = -.19786380124231495, (32, 2) = .19853052093936435, (32, 3) = .35013561530865284, (32, 4) = .29390388011792296, (32, 5) = -.2323929065309705, (32, 6) = -.26541783827718834, (32, 7) = .2312348266717411, (33, 1) = -.18960486731359524, (33, 2) = .18511301699907345, (33, 3) = .36258639522561675, (33, 4) = .2842124423413447, (33, 5) = -.21776856469029016, (33, 6) = -.2556932617203244, (33, 7) = .2203733545258757, (34, 1) = -.18173393918032565, (34, 2) = .17275430735899094, (34, 3) = .37488926686015167, (34, 4) = .2749296363719141, (34, 5) = -.20426921612279228, (34, 6) = -.2462210635577509, (34, 7) = .21018674197498782, (35, 1) = -.17422262687378032, (35, 2) = .16134989076353431, (35, 3) = .3870559122413701, (35, 4) = .26602507525248614, (35, 5) = -.1917846859275767, (35, 6) = -.2369833048528358, (35, 7) = .20060275953911733, (36, 1) = -.16704665751311357, (36, 2) = .15080974319113763, (36, 3) = .3990949249001731, (36, 4) = .2574728923416692, (36, 5) = -.18022006585663738, (36, 6) = -.2279658642184645, (36, 7) = .1915595317437923, (37, 1) = -.1601859421542037, (37, 2) = .141056796935048, (37, 3) = .41101078776726396, (37, 4) = .24925191600226893, (37, 5) = -.16949416553961816, (37, 6) = -.2191589209315012, (37, 7) = .18300476520893003, (38, 1) = -.15362126746579838, (38, 2) = .1320210054859448, (38, 3) = .42280892511572515, (38, 4) = .24134177847648824, (38, 5) = -.1595330800439254, (38, 6) = -.21055300577533773, (38, 7) = .1748909797765733, (39, 1) = -.14733741986174867, (39, 2) = .12364284350603046, (39, 3) = .4344897565601667, (39, 4) = .23372671477717596, (39, 5) = -.15027411164631393, (39, 6) = -.2021432253147483, (39, 7) = .16717891414685349, (40, 1) = -.14132147717760368, (40, 2) = .11586995380348374, (40, 3) = .44605098876584576, (40, 4) = .22639358970698623, (40, 5) = -.1416621548462659, (40, 6) = -.19392734410767049, (40, 7) = .15983497820345968, (41, 1) = -.1355618535661384, (41, 2) = .10865524630505065, (41, 3) = .4574889782290803, (41, 4) = .21933078665833716, (41, 5) = -.13364764847041208, (41, 6) = -.18590465201723103, (41, 7) = .15282978502561145, (42, 1) = -.13004833389409315, (42, 2) = .10195646465098096, (42, 3) = .4687983695351276, (42, 4) = .21252828358414444, (42, 5) = -.12618613754474253, (42, 6) = -.17807609406978153, (42, 7) = .14613796012482172, (43, 1) = -.12477167494006297, (43, 2) = 0.9573528555897173e-1, (43, 3) = .4799726300795009, (43, 4) = .20597719438448733, (43, 5) = -.11923730972108826, (43, 6) = -.17044377008176909, (43, 7) = .13973746010198854, (44, 1) = -.11972344246799402, (44, 2) = 0.8995680533952945e-1, (44, 3) = .49100420281898555, (44, 4) = .19966959020759237, (44, 5) = -.11276445358250514, (44, 6) = -.16301071564836836, (44, 7) = .13360920525957998, (45, 1) = -.1148956147475554, (45, 2) = 0.8458883047163457e-1, (45, 3) = .5018852472953027, (45, 4) = .1935980202293324, (45, 5) = -.10673369025665995, (45, 6) = -.15578029883884625, (45, 7) = .12773644242504048, (46, 1) = -.11028042171087489, (46, 2) = 0.7960151497591006e-1, (46, 3) = .5126079809791431, (46, 4) = .1877553133493232, (46, 5) = -.10111358529342901, (46, 6) = -.14875591411024416, (46, 7) = .12210439647109084, (47, 1) = -.10587010196399801, (47, 2) = 0.7496695383104171e-1, (47, 3) = .5231652841517149, (47, 4) = .18213426698507848, (47, 5) = -0.9587470570440539e-1, (47, 6) = -.14194052404260726, (47, 7) = .11669981742149677, (48, 1) = -.10165710878026424, (48, 2) = 0.7065927864855102e-1, (48, 3) = .5335502837116244, (48, 4) = .1767279011977732, (48, 5) = -0.90989740840664e-1, (48, 6) = -.13533687973410663, (48, 7) = .11151107173300641, (49, 1) = -0.976339646318128e-1, (49, 2) = 0.6665437930666253e-1, (49, 3) = .5437567517407721, (49, 4) = .17152926762281148, (49, 5) = -0.8643320096253616e-1, (49, 6) = -.12894721237733586, (49, 7) = .10652780343241362, (50, 1) = -0.9379309915858196e-1, (50, 2) = 0.6292963935728102e-1, (50, 3) = .5537796082939569, (50, 4) = .1665312288048679, (50, 5) = -0.821811271659428e-1, (50, 6) = -.12277288786102344, (50, 7) = .10174056934638033, (51, 1) = -0.9012646774014009e-1, (51, 2) = 0.5946349454355839e-1, (51, 3) = .5636160898088879, (51, 4) = .16172593962052867, (51, 5) = -0.7821059376459426e-1, (51, 6) = -.11681369761445241, (51, 7) = 0.971401922016448e-1, (52, 1) = -0.8662709254567018e-1, (52, 2) = 0.5623679588902947e-1, (52, 3) = .5732617138385044, (52, 4) = .1571068532547171, (52, 5) = -0.7450127953262778e-1, (52, 6) = -.11107030160152458, (52, 7) = 0.9271953492878013e-1, (53, 1) = -0.832877606097653e-1, (53, 2) = 0.5323144127213841e-1, (53, 3) = .5827137094120911, (53, 4) = .15266702144547653, (53, 5) = -0.7103391702860415e-1, (53, 6) = -.10554209857792878, (53, 7) = 0.8847173428640447e-1, (54, 1) = -0.8010083796586685e-1, (54, 2) = 0.5043015773452044e-1, (54, 3) = .5919717359930652, (54, 4) = .1483988206956467, (54, 5) = -0.6779004472456823e-1, (54, 6) = -.1002268626526667, (54, 7) = 0.8438981098644666e-1, (55, 1) = -0.7705904545671184e-1, (55, 2) = 0.4781712178021648e-1, (55, 3) = .6010357808561354, (55, 4) = .14429496914815607, (55, 5) = -0.6475273039031218e-1, (55, 6) = -0.9512201172172534e-1, (55, 7) = 0.8046752565271927e-1, (56, 1) = -0.7415579244743617e-1, (56, 2) = 0.4537812370175229e-1, (56, 3) = .609905070263442, (56, 4) = .14034898646161215, (56, 5) = -0.6190677910002072e-1, (56, 6) = -0.9022519334264704e-1, (56, 7) = 0.7669971247700139e-1, (57, 1) = -0.7138429207106428e-1, (57, 2) = 0.4309971458682221e-1, (57, 3) = .6185806833233924, (57, 4) = .13655400028046524, (57, 5) = -0.5923775361433498e-1, (57, 6) = -0.8553282185600106e-1, (57, 7) = 0.7308104556027577e-1, (58, 1) = -0.6873795031830646e-1, (58, 2) = 0.4096946926322497e-1, (58, 3) = .6270644277840627, (58, 4) = .1329032634057901, (58, 5) = -0.5673228789519334e-1, (58, 6) = -0.8104075700907686e-1, (58, 7) = 0.6960645431414926e-1, (59, 1) = -0.6621016059961132e-1, (59, 2) = 0.38975748601405784e-1, (59, 3) = .6353595080809519, (59, 4) = .12938986575267097, (59, 5) = -0.5437781677016371e-1, (59, 6) = -0.7674399557867947e-1, (59, 7) = 0.6627078398947593e-1, (60, 1) = -0.6379500379743547e-1, (60, 2) = 0.3710817923563575e-1, (60, 3) = .6434682068578423, (60, 4) = .12600770681463422, (60, 5) = -0.52163152502100275e-1, (60, 6) = -0.7263791038699614e-1, (60, 7) = 0.630696652022076e-1, (61, 1) = -0.6148682506048283e-1, (61, 2) = 0.3535723201986704e-1, (61, 3) = .6513931420513931, (61, 4) = .12275092222076696, (61, 5) = -0.5007800143462451e-1, (61, 6) = -0.687175841247968e-1, (61, 7) = 0.5999892071152185e-1, (62, 1) = -0.5928000637071922e-1, (62, 2) = 0.33713989804355256e-1, (62, 3) = .6591380172829979, (62, 4) = .11961356381867923, (62, 5) = -0.4811269635947367e-1, (62, 6) = -0.6497747609164842e-1, (62, 7) = 0.57054229336734506e-1, (63, 1) = -0.57169100695410174e-1, (63, 2) = 0.3217020013015828e-1, (63, 3) = .6667071615807357, (63, 4) = .11658978562213738, (63, 5) = -0.4625826578595638e-1, (63, 6) = -0.6141170855360152e-1, (63, 7) = 0.5423127945985821e-1, (64, 1) = -0.5514918379084914e-1, (64, 2) = 0.3071847575888528e-1, (64, 3) = .674104198640308, (64, 4) = .11367435428569851, (64, 5) = -0.4450668459294678e-1, (64, 6) = -0.58014717648254485e-1, (64, 7) = 0.51526226701246916e-1, (65, 1) = -0.53215760915675155e-1, (65, 2) = 0.29352162323496186e-1, (65, 3) = .6813322323771271, (65, 4) = .11086253363996139, (65, 5) = -0.4285072792261608e-1, (65, 6) = -0.5478114175121917e-1, (65, 7) = 0.4893556386708957e-1, (66, 1) = -0.51364246219493405e-1, (66, 2) = 0.28064924065518932e-1, (66, 3) = .6883957184775215, (66, 4) = .10814933543258673, (66, 5) = -0.41283477931602065e-1, (66, 6) = -0.51704999820689775e-1, (66, 7) = 0.4645542023568128e-1, (67, 1) = -0.4959036780155851e-1, (67, 2) = 0.26850996547966004e-1, (67, 3) = .6952989342332647, (67, 4) = .1055301079545874, (67, 5) = -0.397986352727631e-1, (67, 6) = -0.4878042451768817e-1, (67, 7) = 0.44082106240249705e-1, (68, 1) = -0.4789016423374489e-1, (68, 2) = 0.2570514230598002e-1, (68, 3) = .7020458967717208, (68, 4) = .10300054210288584, (68, 5) = -0.3839047393448487e-1, (68, 6) = -0.4600169882505357e-1, (68, 7) = 0.4181211457624395e-1, (69, 1) = -0.4625996072380607e-1, (69, 2) = 0.24622597065198926e-1, (69, 3) = .7086403636416022, (69, 4) = .10055664721832, (69, 5) = -0.3705378373458785e-1, (69, 6) = -0.4336325445354654e-1, (69, 7) = 0.3964209549563323e-1, (70, 1) = -0.44696345792792136e-1, (70, 2) = 0.2359902106209441e-1, (70, 3) = .715085840088841, (70, 4) = 0.9819472668269251e-1, (70, 5) = -0.35783818056358635e-1, (70, 6) = -0.4085966769265928e-1, (70, 7) = 0.3756883386957669e-1, (71, 1) = -0.43195840295262154e-1, (71, 2) = 0.2263025732177424e-1, (71, 3) = .7213868990604615, (71, 4) = 0.959108824037368e-1, (71, 5) = -0.345759992795696e-1, (71, 6) = -0.3848516856421221e-1, (71, 7) = 0.35588822241379686e-1, (72, 1) = -0.417552894446388e-1, (72, 2) = 0.21712566757373226e-1, (72, 3) = .7275475329006473, (72, 4) = 0.9370160979020452e-1, (72, 5) = -0.3342621480848204e-1, (72, 6) = -0.36234307802151734e-1, (72, 7) = 0.3369879519129462e-1, (73, 1) = -0.4037173402203197e-1, (73, 2) = 0.2084251952747481e-1, (73, 3) = .7335716098404168, (73, 4) = 0.9156361245610806e-1, (73, 5) = -0.3233068837685123e-1, (73, 6) = -0.3410177625172606e-1, (73, 7) = 0.3189557025540908e-1, (74, 1) = -0.3904237227030642e-1, (74, 2) = 0.20016950936180417e-1, (74, 3) = .7394629834350771, (74, 4) = 0.8949375010756808e-1, (74, 5) = -0.31285929734658574e-1, (74, 6) = -0.3208237199793818e-1, (74, 7) = 0.3017601103329817e-1, (75, 1) = -0.3776454319644946e-1, (75, 2) = 0.19232933825189e-1, (75, 3) = .7452255211846236, (75, 4) = 0.8748901780777456e-1, (75, 5) = -0.3028870414672857e-1, (75, 6) = -0.30171000378395537e-1, (75, 7) = 0.28537019338621142e-1, (76, 1) = -0.3653569801566861e-1, (76, 2) = 0.18487745956094e-1, (76, 3) = .7508631948003112, (76, 4) = 0.8554650554414327e-1, (76, 5) = -0.29335994809283936e-1, (76, 6) = -0.2836265544217905e-1, (76, 7) = 0.26975512917014468e-1, (77, 1) = -0.35353334471828785e-1, (77, 2) = 0.17778817656712027e-1, (77, 3) = .7563803576967835, (77, 4) = 0.8366329666302517e-1, (77, 5) = -0.2842493891629171e-1, (77, 6) = -0.26652349069398753e-1, (77, 7) = 0.25488358243180274e-1, (78, 1) = -0.34214833644028164e-1, (78, 2) = 0.1710362550347103e-1, (78, 3) = .7617825194247292, (78, 4) = 0.818362046768005e-1, (78, 5) = -0.2755269203484183e-1, (78, 6) = -0.25034910053607307e-1, (78, 7) = 0.24072187718280107e-1, (79, 1) = -0.33117070324267625e-1, (79, 2) = 0.16459460519022494e-1, (79, 3) = .7670782989058776, (79, 4) = 0.8006113071928549e-1, (79, 5) = -0.2671612494556976e-1, (79, 6) = -0.23504494462123514e-1, (79, 7) = 0.2272295520211525e-1, (80, 1) = -0.3205809437838403e-1, (80, 2) = 0.15844406901222824e-1, (80, 3) = .7722713266005171, (80, 4) = 0.7833577907306599e-1, (80, 5) = -0.2591309561609206e-1, (80, 6) = -0.22056961396677732e-1, (80, 7) = 0.21438026923002916e-1, (81, 1) = -0.31037127966861342e-1, (81, 2) = 0.15257298915414995e-1, (81, 3) = .7773598019042196, (81, 4) = 0.766597219644611e-1, (81, 5) = -0.25142417563179406e-1, (81, 6) = -0.20689736141079718e-1, (81, 7) = 0.2021610624932507e-1, (82, 1) = -0.3005347880465721e-1, (82, 2) = 0.1469706808732895e-1, (82, 3) = .7823415773762875, (82, 4) = 0.7503266612459865e-1, (82, 5) = -0.24403020686373934e-1, (82, 6) = -0.1940025706534461e-1, (82, 7) = 0.1905587546109808e-1, (83, 1) = -0.2910586428826123e-1, (83, 2) = 0.14162359097922005e-1, (83, 3) = .787217633956304, (83, 4) = 0.7345332619263635e-1, (83, 5) = -0.23693442233407584e-1, (83, 6) = -0.181851232611352e-1, (83, 7) = 0.1795521838476315e-1, (84, 1) = -0.28192907817684805e-1, (84, 2) = 0.1365181867422655e-1, (84, 3) = .7919897115240078, (84, 4) = 0.7192022274910066e-1, (84, 5) = -0.23012201444952248e-1, (84, 6) = -0.17040811610716092e-1, (84, 7) = 0.16911848466548876e-1, (85, 1) = -0.27312978136185835e-1, (85, 2) = 0.13164005904443596e-1, (85, 3) = .7966612137325211, (85, 4) = 0.7043140181072279e-1, (85, 5) = -0.22357677376699997e-1, (85, 6) = -0.15963513643715645e-1, (85, 7) = 0.1592315271868429e-1, (86, 1) = -0.2646462746652903e-1, (86, 2) = 0.1269763461904293e-1, (86, 3) = .8012349398472144, (86, 4) = 0.6898516657212175e-1, (86, 5) = -0.21728432006606218e-1, (86, 6) = -0.14949706357927807e-1, (86, 7) = 0.14986710460803207e-1, (87, 1) = -0.25646494959249203e-1, (87, 2) = 0.12251513377893835e-1, (87, 3) = .8057135493898496, (87, 4) = 0.6757992094013747e-1, (87, 5) = -0.21123132884899316e-1, (87, 6) = -0.139960292467264e-1, (87, 7) = 0.1410018570481624e-1, (88, 1) = -0.2485728164590901e-1, (88, 2) = 0.1182452710951371e-1, (88, 3) = .810099673559902, (88, 4) = 0.662141300173103e-1, (88, 5) = -0.20540530236292587e-1, (88, 6) = -0.13099256789703594e-1, (88, 7) = 0.13261304969175512e-1, (89, 1) = -0.24095752574361837e-1, (89, 2) = 0.11415634281844061e-1, (89, 3) = .81439588423751, (89, 4) = 0.6488632633494537e-1, (89, 5) = -0.19979454728118753e-1, (89, 6) = -0.12256303574946446e-1, (89, 7) = 0.12467865124264153e-1, (90, 1) = -0.23360735056253266e-1, (90, 2) = 0.11023862257792366e-1, (90, 3) = .8186046839450801, (90, 4) = 0.6359510950556727e-1, (90, 5) = -0.19438812716351027e-1, (90, 6) = -0.11464223580929493e-1, (90, 7) = 0.11717736023153343e-1, (91, 1) = -0.2265111611151706e-1, (91, 2) = 0.1064830254895494e-1, (91, 3) = .8227285009951595, (91, 4) = 0.6233914441576576e-1, (91, 5) = -0.18917581245871496e-1, (91, 6) = -0.107202077302794e-1, (91, 7) = 0.11008861577261891e-1, (92, 1) = -0.2196584274078579e-1, (92, 2) = 0.10288107863924782e-1, (92, 3) = .8267696687449231, (92, 4) = 0.61117164378142505e-1, (92, 5) = -0.1841480544345323e-1, (92, 6) = -0.10021583648716392e-1, (92, 7) = 0.10339262962135297e-1, (93, 1) = -0.2130397508619256e-1, (93, 2) = 0.9942516911301724e-2, (93, 3) = .8307300855152587, (93, 4) = 0.5992806977704981e-1, (93, 5) = -0.17929634945322494e-1, (93, 6) = -0.9365866049369924e-2, (93, 7) = 0.970709083685181e-2, (94, 1) = -0.2066452832678662e-1, (94, 2) = 0.9610769117033199e-2, (94, 3) = .8346121380272766, (94, 4) = 0.5877064728357242e-1, (94, 5) = -0.1746120573842817e-1, (94, 6) = -0.8750596954165865e-2, (94, 7) = 0.911047491451652e-2, (95, 1) = -0.20046560655054453e-1, (95, 2) = 0.9292149122341548e-2, (95, 3) = .8384181810565843, (95, 4) = 0.57643726773201474e-1, (95, 5) = -0.17008702762303107e-1, (95, 6) = -0.8173438423547898e-2, (95, 7) = 0.8547615193482865e-2, (96, 1) = -0.19449237677365155e-1, (96, 2) = 0.8986017628093307e-2, (96, 3) = .8421501190891273, (96, 4) = 0.5654630194311316e-1, (96, 5) = -0.16571405188902044e-1, (96, 6) = -0.7632228495991538e-2, (96, 7) = 0.8016840145398394e-2, (97, 1) = -0.1887178595166975e-1, (97, 2) = 0.8691784937252454e-2, (97, 3) = .8458096605035292, (97, 4) = 0.5547745035158284e-1, (97, 5) = -0.1614865074893827e-1, (97, 6) = -0.7124930043201029e-2, (97, 7) = 0.7516560842447098e-2, (98, 1) = -0.18313379572760476e-1, (98, 2) = 0.8408851695186157e-2, (98, 3) = .8493990293787306, (98, 4) = 0.5443612442522976e-1, (98, 5) = -0.15739751272481037e-1, (98, 6) = -0.6649530877556062e-2, (98, 7) = 0.70451749307516515e-2, (99, 1) = -0.17773411236805755e-1, (99, 2) = 0.8136744850270912e-2, (99, 3) = .8529192148774755, (99, 4) = 0.5342165809334678e-1, (99, 5) = -0.15344189900285105e-1, (99, 6) = -0.6204273518435405e-2, (99, 7) = 0.660129692855998e-2, (100, 1) = -0.17251057251932208e-1, (100, 2) = 0.7874896343931133e-2, (100, 3) = .8563727717832911, (100, 4) = 0.52432954840383246e-1, (100, 5) = -0.14961301341491364e-1, (100, 6) = -0.5787287135105179e-2, (100, 7) = 0.6183395118813691e-2, (101, 1) = -0.16745629644977163e-1, (101, 2) = 0.7622820263324776e-2, (101, 3) = .8597615482839938, (101, 4) = 0.51469145618834776e-1, (101, 5) = -0.14590528608898094e-1, (101, 6) = -0.5396885129046895e-2, (101, 7) = 0.5790089139105677e-2, (102, 1) = -0.16256523054212938e-1, (102, 2) = 0.7380084027582768e-2, (102, 3) = .8630869913915394, (102, 4) = 0.5052949522528311e-1, (102, 5) = -0.14231383298385903e-1, (102, 6) = -0.5031509922179083e-2, (102, 7) = 0.5420098775343518e-2, (103, 1) = -0.15783100427777905e-1, (103, 2) = 0.7146250386892193e-2, (103, 3) = .8663509059017817, (103, 4) = 0.49613185415921565e-1, (103, 5) = -0.13883360876220033e-1, (103, 6) = -0.4689642631979475e-2, (103, 7) = 0.5072155149894696e-2, (104, 1) = -0.15324740843082107e-1, (104, 2) = 0.6920900620324958e-2, (104, 3) = .8695551374490673, (104, 4) = 0.487194055183293e-1, (104, 5) = -0.1354597487810146e-1, (104, 6) = -0.4369840628700971e-2, (104, 7) = 0.4745040251323027e-2, (105, 1) = -0.14880999220591645e-1, (105, 2) = 0.6703711752799031e-2, (105, 3) = .8727004295170955, (105, 4) = 0.47847667825719004e-1, (105, 5) = -0.13218873957203307e-1, (105, 6) = -0.40708417306626115e-2, (105, 7) = 0.4437696279601702e-2, (106, 1) = -0.1445129941189121e-1, (106, 2) = 0.6494304913053776e-2, (106, 3) = .8757885621654562, (106, 4) = 0.4699721013074634e-1, (106, 5) = -0.12901615364899262e-1, (106, 6) = -0.3791347889312316e-2, (106, 7) = 0.41490062236225e-2, (107, 1) = -0.1403515704995601e-1, (107, 2) = 0.629235416435554e-2, (107, 3) = .8788207857953696, (107, 4) = 0.46167431512408715e-1, (107, 5) = -0.12593828454231555e-1, (107, 6) = -0.35301779967586255e-2, (107, 7) = 0.38779519693393103e-2, (108, 1) = -0.136320985542424e-1, (108, 2) = 0.609754606629572e-2, (108, 3) = .8817983817939085, (108, 4) = 0.45357735223466554e-1, (108, 5) = -0.12295154559359827e-1, (108, 6) = -0.3286209314341815e-2, (108, 7) = 0.3623556002597559e-2, (109, 1) = -0.13241630697811596e-1, (109, 2) = 0.59095645556075434e-2, (109, 3) = .8847228903452787, (109, 4) = 0.44567467123514615e-1, (109, 5) = -0.12005223871163083e-1, (109, 6) = -0.30583587722556906e-2, (109, 7) = 0.3384863230891416e-2, (110, 1) = -0.12863282318672776e-1, (110, 2) = 0.5728110719682112e-2, (110, 3) = .887595805636143, (110, 4) = 0.437959990098312e-1, (110, 5) = -0.11723685793281906e-1, (110, 6) = -0.2845607745492162e-2, (110, 7) = 0.3160968116694903e-2, (111, 1) = -0.12496650693252929e-1, (111, 2) = 0.5552924358153241e-2, (111, 3) = .8904182090864114, (111, 4) = 0.430428253565388e-1, (111, 5) = -0.1145024320873632e-1, (111, 6) = -0.2647023818928518e-2, (111, 7) = 0.2951039322881783e-2, (112, 1) = -0.12141274016994663e-1, (112, 2) = 0.5383722467612301e-2, (112, 3) = .8931917390779196, (112, 4) = 0.4230730313112941e-1, (112, 5) = -0.11184557142440503e-1, (112, 6) = -0.2461688048783101e-2, (112, 7) = 0.27542443791469095e-2, (113, 1) = -0.1179681022215186e-1, (113, 2) = 0.5220284141143336e-2, (113, 3) = .8959172018453189, (113, 4) = 0.4158902099552602e-1, (113, 5) = -0.10926379958254132e-1, (113, 6) = -0.228878818143032e-2, (113, 7) = 0.25698496698628556e-2, (114, 1) = -0.11462903989906546e-1, (114, 2) = 0.5062386550384448e-2, (114, 3) = .8985955842843032, (114, 4) = 0.4088752771952661e-1, (114, 5) = -0.10675456024997696e-1, (114, 6) = -0.21275434552632607e-2, (114, 7) = 0.23971422191936325e-2, (115, 1) = -0.11139174973080628e-1, (115, 2) = 0.4909799283650963e-2, (115, 3) = .901228160676181, (115, 4) = 0.40202305706456845e-1, (115, 5) = -0.10431512339945794e-1, (115, 6) = -0.1977199961864016e-2, (115, 7) = 0.22354254347508886e-2, (116, 1) = -0.10825272392179685e-1, (116, 2) = 0.4762309923951511e-2, (116, 3) = .9038160568685645, (116, 4) = 0.3953288543830951e-1, (116, 5) = -0.10194299223128396e-1, (116, 6) = -0.18370560679884847e-2, (116, 7) = 0.2084047263144361e-2, (117, 1) = -0.10520888096597018e-1, (117, 2) = 0.4619729729543349e-2, (117, 3) = .9063601272182191, (117, 4) = 0.38878875566455126e-1, (117, 5) = -0.9963600208344612e-2, (117, 6) = -0.1706464442997396e-2, (117, 7) = 0.1942403596612181e-2, (118, 1) = -0.10225676992181737e-1, (118, 2) = 0.4481856038925428e-2, (118, 3) = .9088616122353441, (118, 4) = 0.38239793038485445e-1, (118, 5) = -0.9739171632595673e-2, (118, 6) = -0.15847955131765516e-2, (118, 7) = 0.18098996209028528e-2, (119, 1) = -0.9939367324640893e-2, (119, 2) = 0.4348523632722225e-2, (119, 3) = .9113212093702816, (119, 4) = 0.376153011508749e-1, (119, 5) = -0.9520826147011394e-2, (119, 6) = -0.14714824659729727e-2, (119, 7) = 0.168599953627451e-2, (120, 1) = -0.966163872941871e-2, (120, 2) = 0.4219547534554702e-2, (120, 3) = .9137401023351425, (120, 4) = 0.3700494616750579e-1, (120, 5) = -0.9308339878721775e-2, (120, 6) = -0.1365969153112434e-2, (120, 7) = 0.15701706401611438e-2, (121, 1) = -0.9392198385188308e-2, (121, 2) = 0.4094758396609424e-2, (121, 3) = .9161193161473176, (121, 4) = 0.3640832219382344e-1, (121, 5) = -0.9101510124887554e-2, (121, 6) = -0.12677402606956771e-2, (121, 7) = 0.14619168884890783e-2, (122, 1) = -0.9130776619449235e-2, (122, 2) = 0.3974000157039127e-2, (122, 3) = .918459743389031, (122, 4) = 0.3582506324812699e-1, (122, 5) = -0.8900152062547061e-2, (122, 6) = -0.11763168046591919e-2, (122, 7) = 0.13607747932710109e-2, (123, 1) = -0.8877130053322135e-2, (123, 2) = 0.3857131220204234e-2, (123, 3) = .9207621042586911, (123, 4) = 0.3525485195379574e-1, (123, 5) = -0.8704101261672068e-2, (123, 6) = -0.10912546315821271e-2, (123, 7) = 0.1266312536775268e-2, (124, 1) = -0.8631034803741748e-2, (124, 2) = 0.37440210705135487e-2, (124, 3) = .9230269958510547, (124, 4) = 0.3469740599658427e-1, (124, 5) = -0.8513208555597203e-2, (124, 6) = -0.10121396610135644e-2, (124, 7) = 0.11781253977221063e-2, (125, 1) = -0.8392212157745564e-2, (125, 2) = 0.3634516023268043e-2, (125, 3) = .925255580609136, (125, 4) = 0.34152309214020814e-1, (125, 5) = -0.8327282158857823e-2, (125, 6) = -0.938563455856944e-3, (125, 7) = 0.10958089996215903e-2, (126, 1) = -0.8160425838712085e-2, (126, 2) = 0.35284838627545256e-2, (126, 3) = .9274486979359966, (126, 4) = 0.33619231067228195e-1, (126, 5) = -0.8146162840536838e-2, (126, 6) = -0.8701541170718898e-3, (126, 7) = 0.10189941909763463e-2, (127, 1) = -0.7935451067583034e-2, (127, 2) = 0.34257994141029054e-2, (127, 3) = .9296071384367649, (127, 4) = 0.3309785803833924e-1, (127, 5) = -0.7969700041420233e-2, (127, 6) = -0.8065641728294864e-3, (127, 7) = 0.9473341253719798e-3, (128, 1) = -0.7717070876205519e-2, (128, 2) = 0.33263427207529334e-2, (128, 3) = .9317316751472142, (128, 4) = 0.3258788569860931e-1, (128, 5) = -0.7797748970274931e-2, (128, 6) = -0.7474681438722301e-3, (128, 7) = 0.880502001232945e-3, (129, 1) = -0.7505076125168032e-2, (129, 2) = 0.3229998933900569e-2, (129, 3) = .9338230607702328, (129, 4) = 0.32089019152014744e-1, (129, 5) = -0.7630170580490721e-2, (129, 6) = -0.6925613591197516e-3, (129, 7) = 0.8181901587854764e-3, (130, 1) = -0.7299265171632634e-2, (130, 2) = 0.3136658050225978e-2, (130, 3) = .9358820282972874, (130, 4) = 0.31600972661932875e-1, (130, 5) = -0.7466831279916698e-2, (130, 6) = -0.6415587231086209e-3, (130, 7) = 0.7601090888409613e-3, (131, 1) = -0.7099443565783825e-2, (131, 2) = 0.30462146709149766e-2, (131, 3) = .9379092914859827, (131, 4) = 0.31123469324561948e-1, (131, 5) = -0.7307602667855831e-2, (131, 6) = -0.5941935510054997e-3, (131, 7) = 0.7059864851990976e-3, (132, 1) = -0.6905423747524692e-2, (132, 2) = 0.2958567768435871e-2, (132, 3) = .9399055454663998, (132, 4) = 0.30656240723360338e-1, (132, 5) = -0.71523612763047355e-2, (132, 6) = -0.5502164615731298e-3, (132, 7) = 0.655566332104778e-3, (133, 1) = -0.6717024757245861e-2, (133, 2) = 0.2873620466790021e-2, (133, 3) = .9418714673375305, (133, 4) = 0.30199026597440937e-1, (133, 5) = -0.7000988325823573e-2, (133, 6) = -0.5093943297131232e-3, (133, 7) = 0.6086080307940107e-3, (134, 1) = -0.6534071959760502e-2, (134, 2) = 0.27912798342734552e-2, (134, 3) = .9438077167561614, (134, 4) = 0.29751574522758853e-1, (134, 5) = -0.6853369494924661e-2, (134, 6) = -0.4715092959902402e-3, (134, 7) = 0.5648855642822292e-3, (135, 1) = -0.6356396787514922e-2, (135, 2) = 0.27114566909829225e-2, (135, 3) = .9457149364454033, (135, 4) = 0.2931363962219971e-1, (135, 5) = -0.6709394707597642e-2, (135, 6) = -0.43635783194643206e-3, (135, 7) = 0.5241867010441891e-3, (136, 1) = -0.61838364891480474e-2, (136, 2) = 0.263406542432135e-2, (136, 3) = .947593752761815, (136, 4) = 0.28884984271701088e-1, (136, 5) = -0.6568957927472171e-2, (136, 6) = -0.4037498558821582e-3, (136, 7) = 0.4863122333420328e-3, (137, 1) = -0.601623387000051e-2, (137, 2) = 0.2559023806114614e-2, (137, 3) = .9494447764708851, (137, 4) = 0.28465377768764184e-1, (137, 5) = -0.6431956947208897e-2, (137, 6) = -0.3735078948773748e-3, (137, 7) = 0.4510752470303723e-3, (138, 1) = -0.5853437072325423e-2, (138, 2) = 0.2486252832368632e-2, (138, 3) = .9512686032079182, (138, 4) = 0.280545960825053e-1, (138, 5) = -0.6298293211671902e-2, (138, 6) = -0.34546629992478233e-3, (138, 7) = 0.4183004324945519e-3, (139, 1) = -0.5695299345566016e-2, (139, 2) = 0.24156765630166848e-2, (139, 3) = .9530658141549968, (139, 4) = 0.276524215633124e-1, (139, 5) = -0.6167871634365016e-2, (139, 6) = -0.31947050232195343e-3, (139, 7) = 0.3878234245464183e-3, (140, 1) = -0.554167885830191e-2, (140, 2) = 0.23472219843972985e-2, (140, 3) = .9548369763523616, (140, 4) = 0.27258642742879598e-1, (140, 5) = -0.60406004492652874e-2, (140, 6) = -0.2953763182049148e-3, (140, 7) = 0.35949018078556665e-3, (141, 1) = -0.5392438520624993e-2, (141, 2) = 0.22808188801119096e-2, (141, 3) = .9565826429700981, (141, 4) = 0.2687305414886625e-1, (141, 5) = -0.5916391072664268e-2, (141, 6) = -0.27304929294300013e-3, (141, 7) = 0.3331563901813197e-3, (142, 1) = -0.52474458312329955e-2, (142, 2) = 0.22163997163235374e-2, (142, 3) = .958303353361792, (142, 4) = 0.26495456172530026e-1, (142, 5) = -0.57951579868950375e-2, (142, 6) = -0.252364085464996e-3, (142, 7) = 0.30868691325215805e-3, (143, 1) = -0.5106572684456149e-2, (143, 2) = 0.2153899512449706e-2, (143, 3) = .9599996336604034, (143, 4) = 0.26125654821718747e-1, (143, 5) = -0.5676818591723513e-2, (143, 6) = -0.23320388139026565e-3, (143, 7) = 0.2859552418854789e-3, (144, 1) = -0.496969518374495e-2, (144, 2) = 0.20932557178244982e-2, (144, 3) = .961671997397204, (144, 4) = 0.25763461476510423e-1, (144, 5) = -0.5561293061337471e-2, (144, 6) = -0.21545984131697018e-3, (144, 7) = 0.2648429873310176e-3, (145, 1) = -0.4836693490181476e-2, (145, 2) = 0.2034408106735575e-2, (145, 3) = .963320945785362, (145, 4) = 0.2540869272435785e-1, (145, 5) = -0.5448504231053388e-2, (145, 6) = -0.1990305859062199e-3, (145, 7) = 0.2452393994183257e-3, (146, 1) = -0.4707451672732042e-2, (146, 2) = 0.19772986768169993e-2, (146, 3) = .9649469680512343, (146, 4) = 0.2506117018958842e-1, (146, 5) = -0.5338377485993881e-2, (146, 6) = -0.1838217110432586e-3, (146, 7) = 0.22704091004977484e-3, (147, 1) = -0.4581857567572001e-2, (147, 2) = 0.1921871553865193e-2, (147, 3) = .9665505417213073, (147, 4) = 0.24720720377034513e-1, (147, 5) = -0.5230840657806015e-2, (147, 6) = -0.16974533250776132e-3, (147, 7) = 0.21015070120431977e-3, (148, 1) = -0.4459802644110297e-2, (148, 2) = 0.18680729018499408e-2, (148, 3) = .9681321328883635, (148, 4) = 0.2438717452423778e-1, (148, 5) = -0.5125823927380249e-2, (148, 6) = -0.1567196582818594e-3, (148, 7) = 0.19447829607891086e-3, (149, 1) = -0.4341181888026249e-2, (149, 2) = 0.18158508424962229e-2, (149, 3) = .9696921963155168, (149, 4) = 0.24060368491380577e-1, (149, 5) = -0.5023259742466551e-2, (149, 6) = -0.1446685880441674e-3, (149, 7) = 0.1799391736386374e-3, (150, 1) = -0.4225893650637279e-2, (150, 2) = 0.17651553619765716e-2, (150, 3) = .9712311760403447, (150, 4) = 0.23740142549888144e-1, (150, 5) = -0.4923082706327167e-2, (150, 6) = -0.13352133330447443e-3, (150, 7) = 0.16645439943325225e-3, (151, 1) = -0.4113839530268126e-2, (151, 2) = 0.17159382335444216e-2, (151, 3) = .9727495056336701, (151, 4) = 0.2342634124862383e-1, (151, 5) = -0.4825229493689177e-2, (151, 6) = -0.1232120640465816e-3, (151, 7) = 0.1539502804262958e-3, (152, 1) = -0.4004924259857473e-2, (152, 2) = 0.16681529445863694e-2, (152, 3) = .9742476084300418, (152, 4) = 0.23118813289296117e-1, (152, 5) = -0.4729638772087287e-2, (152, 6) = -0.11367957746503508e-3, (152, 7) = 0.1423580391973025e-3, (153, 1) = -0.3899055593040416e-2, (153, 2) = 0.16217546245721791e-2, (153, 3) = .9757258978340067, (153, 4) = 0.22817411389538758e-1, (153, 5) = -0.463625112173974e-2, (153, 6) = -0.10486698691294358e-3, (153, 7) = 0.13161350583831e-3, (154, 1) = -0.37961441950964078e-2, (154, 2) = 0.15766999766100972e-2, (154, 3) = .9771847776170947, (154, 4) = 0.22521992151470806e-1, (154, 5) = -0.4545008959412762e-2, (154, 6) = -0.967214305737495e-4, (154, 7) = 0.121656827512054e-3, (155, 1) = -0.36961035417064788e-2, (155, 2) = 0.15329472137910675e-2, (155, 3) = .9786246421596811, (155, 4) = 0.22232415944730063e-1, (155, 5) = -0.445585646888749e-2, (155, 6) = -0.8919379893818854e-4, (155, 7) = 0.11243219508397924e-3, (156, 1) = -0.3598849831342047e-2, (156, 2) = 0.14904560027590857e-2, (156, 3) = .9800458765440385, (156, 4) = 0.21948546822007864e-1, (156, 5) = -0.4368739543349211e-2, (156, 6) = -0.8223848033365505e-4, (156, 7) = 0.10388758640877828e-3, (157, 1) = -0.3504301864036683e-2, (157, 2) = 0.1449187393779194e-2, (157, 3) = .9814488571872236, (157, 4) = 0.21670252329442523e-1, (157, 5) = -0.4283605697341341e-2, (157, 6) = -0.7581312014106669e-4, (157, 7) = 0.9597452136763151e-4, (158, 1) = -0.34129493089673224e-2, (158, 2) = 0.14093514910030092e-2, (158, 3) = .9828253219279554, (158, 4) = 0.21399097573883887e-1, (158, 5) = -0.4200919799199968e-2, (158, 6) = -0.6991415932376671e-4, (158, 7) = 0.8869203721112217e-4, (159, 1) = -0.33271103446682673e-2, (159, 2) = 0.13719539824332608e-2, (159, 3) = .9841383236747088, (159, 4) = 0.21142196023966428e-1, (159, 5) = -0.4122824677830502e-2, (159, 6) = -0.6464305200947549e-4, (159, 7) = 0.8216929414664662e-4, (160, 1) = -0.3246888216871749e-2, (160, 2) = 0.13370335160016358e-2, (160, 3) = .985383387995297, (160, 4) = 0.209001807532975e-1, (160, 5) = -0.4049476099124505e-2, (160, 6) = -0.5995056210962825e-4, (160, 7) = 0.7634950158779991e-4, (161, 1) = -0.31717820489926096e-2, (161, 2) = 0.13043663241526988e-2, (161, 3) = .9865655002073301, (161, 4) = 0.2067184982425839e-1, (161, 5) = -0.3980475008201402e-2, (161, 6) = -0.5575831327685825e-4, (161, 7) = 0.7113901558701944e-4, (162, 1) = -0.3101283157089607e-2, (162, 2) = 0.12737262794573984e-2, (162, 3) = .9876901928502866, (162, 4) = 0.20455929268952944e-1, (162, 5) = -0.3915405955558736e-2, (162, 6) = -0.51996993884276855e-4, (162, 7) = 0.6645462049558117e-4, (163, 1) = -0.3034948752530318e-2, (163, 2) = 0.12449168007795967e-2, (163, 3) = .9887623477334817, (163, 4) = 0.2025130191646246e-1, (163, 5) = -0.38539057244155925e-2, (163, 6) = -0.4860889607355352e-4, (163, 7) = 0.6222686084568878e-4, (164, 1) = -0.29723938930752585e-2, (164, 2) = 0.12177671724348386e-2, (164, 3) = .9897862525363109, (164, 4) = 0.20056990944072855e-1, (164, 5) = -0.37956574648679202e-2, (164, 6) = -0.45545777125153235e-4, (164, 7) = 0.58397541801037944e-4, (165, 1) = -0.29132816972746683e-2, (165, 2) = 0.11921281484142164e-2, (165, 3) = .9907656989607102, (165, 4) = 0.19872136498653162e-1, (165, 5) = -0.3740382918721448e-2, (165, 6) = -0.427670184725108e-4, (165, 7) = 0.5491755877317205e-4, (166, 1) = -0.28573153562169145e-2, (166, 2) = 0.11678683701705991e-2, (166, 3) = .9917040645449797, (166, 4) = 0.1969597641041645e-1, (166, 5) = -0.3687836034699237e-2, (166, 6) = -0.4023818885023187e-4, (166, 7) = 0.51745199342617154e-4, (167, 1) = -0.28042322593080844e-2, (167, 2) = 0.1144871726603264e-2, (167, 3) = .9926043695551816, (167, 4) = 0.19527832369525187e-1, (167, 5) = -0.36377983421639662e-2, (167, 6) = -0.37929943037897354e-4, (167, 7) = 0.488448409496686e-4, (168, 1) = -0.2753799130211681e-2, (168, 2) = 0.1123035170937828e-2, (168, 3) = .9934693246139872, (168, 4) = 0.19367098410542075e-1, (168, 5) = -0.3590075107388287e-2, (168, 6) = -0.358171430611698e-4, (168, 7) = 0.4618590926945546e-4, (169, 1) = -0.27058079781715864e-2, (169, 2) = 0.11022669058035406e-2, (169, 3) = .9943013707458818, (169, 4) = 0.19213231273768283e-1, (169, 5) = -0.3544492124080056e-2, (169, 6) = -0.3387815201610202e-4, (169, 7) = 0.4374203936585028e-4, (170, 1) = -0.26600725198970194e-2, (170, 2) = 0.10824847840107225e-2, (170, 3) = .9951027165532491, (170, 4) = 0.19065741682178818e-1, (170, 5) = -0.35008928380502657e-2, (170, 6) = -0.3209425552245678e-4, (170, 7) = 0.41490386487098785e-4, (171, 1) = -0.26164251077657906e-2, (171, 2) = 0.10636149381462077e-2, (171, 3) = .995875371044721, (171, 4) = 0.18924186748013903e-1, (171, 5) = -0.3459135858949456e-2, (171, 6) = -0.30449189658006313e-4, (171, 7) = 0.3941106244803707e-4, (172, 1) = -0.25747154845888296e-2, (172, 2) = 0.10455912073515348e-2, (172, 3) = .9966211475552713, (172, 4) = 0.18788167920810266e-1, (172, 5) = -0.34190941466821535e-2, (172, 6) = -0.2892880415481513e-4, (172, 7) = 0.3748673617539756e-4, (173, 1) = -0.2534807981217631e-2, (173, 2) = 0.10283538966235138e-2, (173, 3) = .9973416977524165, (173, 4) = 0.18657323601527533e-1, (173, 5) = -0.33806526539177733e-2, (173, 6) = -0.2752071779279574e-4, (173, 7) = 0.35702219193114476e-4, (174, 1) = -0.24965796986488663e-2, (174, 2) = 0.10118489671315971e-2, (174, 3) = .9980385309827882, (174, 4) = 0.18531324646632825e-1, (174, 5) = -0.3343706853010833e-2, (174, 6) = -0.26214056372779796e-4, (174, 7) = 0.3404415118123037e-4, (175, 1) = -0.24599190164938103e-2, (175, 2) = 0.9960273716355223e-3, (175, 3) = .9987130298125714, (175, 4) = 0.18409870712982543e-1, (175, 5) = -0.3308161533747031e-2, (175, 6) = -0.24999237164889492e-4, (175, 7) = 0.3250074101975441e-4, (176, 1) = -0.2424724307108064e-2, (176, 2) = 0.9808444820542108e-3, (176, 3) = .999366463543249, (176, 4) = 0.18292687091506932e-1, (176, 5) = -0.32739297639363773e-2, (176, 6) = -0.2386778854087962e-4, (176, 7) = 0.31061549736597884e-4, (177, 1) = -0.23909028232950774e-2, (177, 2) = 0.9662595947245867e-3, (177, 3) = 1.0, (177, 4) = 0.18179521955803843e-1, (177, 5) = -0.32409319878966333e-2, (177, 6) = -0.22812198384621496e-4, (177, 7) = 0.29717307791158036e-4}, datatype = float[8], order = C_order); errproc := proc (x_bvp) local outpoint, X, Y, yout, L, V, i; option `Copyright (c) 2000 by Waterloo Maple Inc. All rights reserved.`; Digits := 15; outpoint := evalf(x_bvp); X := Vector(177, {(1) = .1, (2) = .13432431415631105, (3) = .16865165190091197, (4) = .202985958039896, (5) = .23732533659105348, (6) = .2716788241585104, (7) = .30604559361419775, (8) = .3404355394485909, (9) = .3748529011933503, (10) = .4093061022796795, (11) = .44380716982563195, (12) = .47836387534050584, (13) = .512995852912669, (14) = .5477165596092971, (15) = .5825440749488203, (16) = .617499631782922, (17) = .6526070635536141, (18) = .6878927128084736, (19) = .7233862578282453, (20) = .7591205797331673, (21) = .795131110399485, (22) = .8314537516454595, (23) = .868136597156794, (24) = .9052215072936881, (25) = .9427566773054169, (26) = .9807963691446203, (27) = 1.019390250121844, (28) = 1.0585930956320206, (29) = 1.0984604169171555, (30) = 1.1390444870104077, (31) = 1.1804077038174698, (32) = 1.222605314046431, (33) = 1.2656867522025514, (34) = 1.3097007904581703, (35) = 1.35469069615675, (36) = 1.4006929822839422, (37) = 1.447731690331962, (38) = 1.4958369065409785, (39) = 1.5450201198096045, (40) = 1.5952810827286137, (41) = 1.646612127195734, (42) = 1.6989954066809312, (43) = 1.7524040840585657, (44) = 1.806801993976599, (45) = 1.862146412251251, (46) = 1.9183893448840852, (47) = 1.9754805768192913, (48) = 2.0333655491409464, (49) = 2.09198758848087, (50) = 2.1512911903998386, (51) = 2.2112299885365556, (52) = 2.271742934464316, (53) = 2.3327750130678835, (54) = 2.3942834797609645, (55) = 2.4562254559367735, (56) = 2.518550408638634, (57) = 2.5812184684337374, (58) = 2.6441937416859225, (59) = 2.7074501856327, (60) = 2.770954649679994, (61) = 2.8346761833615464, (62) = 2.898592678498704, (63) = 2.962688121088583, (64) = 3.0269416312716424, (65) = 3.091328430651392, (66) = 3.155836619851239, (67) = 3.220454275768738, (68) = 3.285168541451302, (69) = 3.3499654130373253, (70) = 3.414829585389634, (71) = 3.4797579848516915, (72) = 3.5447435602802027, (73) = 3.609779652754643, (74) = 3.674861152412504, (75) = 3.7399848957435275, (76) = 3.8051508297379377, (77) = 3.8703655596105624, (78) = 3.935652421384301, (79) = 4.001077560861665, (80) = 4.0666510045970385, (81) = 4.132314229225371, (82) = 4.198000337516065, (83) = 4.263680764101562, (84) = 4.329336756026789, (85) = 4.394973340046662, (86) = 4.460588954073379, (87) = 4.526181509768576, (88) = 4.59174993915436, (89) = 4.6572937466339175, (90) = 4.722812832368339, (91) = 4.788307377913861, (92) = 4.853777459964835, (93) = 4.9192172921590585, (94) = 4.98463029125814, (95) = 5.0500209149724435, (96) = 5.115387283230868, (97) = 5.180725066182968, (98) = 5.246040278527776, (99) = 5.3113174587944965, (100) = 5.376570973389221, (101) = 5.44180368691663, (102) = 5.5070118178761875, (103) = 5.572199562571729, (104) = 5.637373294661837, (105) = 5.702517813103393, (106) = 5.767639827784657, (107) = 5.832736032997183, (108) = 5.897804505036399, (109) = 5.962849913789289, (110) = 6.0278771161534, (111) = 6.092882596362824, (112) = 6.157876605520855, (113) = 6.222850932401667, (114) = 6.287802017103068, (115) = 6.352734006431941, (116) = 6.4176483673997975, (117) = 6.482540451739694, (118) = 6.547416149850125, (119) = 6.6122680542862025, (120) = 6.677102130347337, (121) = 6.7419211005546, (122) = 6.8067248666742355, (123) = 6.871509114964304, (124) = 6.936266375612976, (125) = 7.0010059228545805, (126) = 7.065728682384006, (127) = 7.130434804847329, (128) = 7.195124539737002, (129) = 7.259798136520217, (130) = 7.324455844038698, (131) = 7.3890979060419335, (132) = 7.453724561298953, (133) = 7.518336044173569, (134) = 7.582932585751136, (135) = 7.647514413049672, (136) = 7.712081750883993, (137) = 7.776634831889643, (138) = 7.841173896857807, (139) = 7.905699203490006, (140) = 7.970211023056725, (141) = 8.034709635791245, (142) = 8.099195318161058, (143) = 8.163668350318732, (144) = 8.22812902562451, (145) = 8.292577648267015, (146) = 8.357014533032183, (147) = 8.42144000370015, (148) = 8.485854390888106, (149) = 8.550258023403897, (150) = 8.6146512403873, (151) = 8.679034390131827, (152) = 8.74340782797264, (153) = 8.807771917708358, (154) = 8.872127033100252, (155) = 8.93647355737236, (156) = 9.000811876240148, (157) = 9.065142395655199, (158) = 9.129062231749659, (159) = 9.190791738971976, (160) = 9.25002177586793, (161) = 9.306893224933363, (162) = 9.361586616509348, (163) = 9.414263699827062, (164) = 9.46506800130928, (165) = 9.514127801690371, (166) = 9.561558693204324, (167) = 9.60746518855213, (168) = 9.651942086110576, (169) = 9.695075631414408, (170) = 9.73694468456052, (171) = 9.777621794577053, (172) = 9.817172850818734, (173) = 9.855658388735026, (174) = 9.893134209297964, (175) = 9.929651857051025, (176) = 9.965259040121957, (177) = 10.0}, datatype = float[8], order = C_order); Y := Matrix(177, 7, {(1, 1) = .0, (1, 2) = -0.25133563359422095e-9, (1, 3) = .0, (1, 4) = .0, (1, 5) = 0.10748780804799623e-8, (1, 6) = .0, (1, 7) = -0.12934292747785471e-8, (2, 1) = -0.4822236359734921e-9, (2, 2) = 0.1291751262338101e-8, (2, 3) = 0.2499789735445234e-10, (2, 4) = 0.5322412113500357e-9, (2, 5) = -0.955358623267235e-9, (2, 6) = -0.38176982978996947e-9, (2, 7) = 0.1265038035903761e-9, (3, 1) = -0.4735204664889531e-9, (3, 2) = 0.9491466074483928e-9, (3, 3) = 0.4690091191230549e-10, (3, 4) = 0.5390956681805285e-9, (3, 5) = -0.7348597717138394e-9, (3, 6) = -0.40462997460214207e-9, (3, 7) = 0.7799800614856019e-10, (4, 1) = -0.4441257733459236e-9, (4, 2) = 0.7306037721941427e-9, (4, 3) = 0.6619035958041333e-10, (4, 4) = 0.5179121302450025e-9, (4, 5) = -0.570792194199048e-9, (4, 6) = -0.4041232372754603e-9, (4, 7) = 0.46984083322823474e-10, (5, 1) = -0.4191825922957931e-9, (5, 2) = 0.5972268762890003e-9, (5, 3) = 0.8413990150978722e-10, (5, 4) = 0.4985304486898765e-9, (5, 5) = -0.4702779357079129e-9, (5, 6) = -0.4019082568446425e-9, (5, 7) = 0.4082047310759462e-10, (6, 1) = -0.3986834175702839e-9, (6, 2) = 0.5078126984926554e-9, (6, 3) = 0.10125193344200593e-9, (6, 4) = 0.4822548440970703e-9, (6, 5) = -0.4037856571615858e-9, (6, 6) = -0.3997114276374773e-9, (6, 7) = 0.44757214339682084e-10, (7, 1) = -0.3813655097444669e-9, (7, 2) = 0.44322817506744626e-9, (7, 3) = 0.1177488502857477e-9, (7, 4) = 0.4683243907117529e-9, (7, 5) = -0.35642964265749337e-9, (7, 6) = -0.39751044675552513e-9, (7, 7) = 0.52360437146100357e-10, (8, 1) = -0.36633339855577963e-9, (8, 2) = 0.39403541257141004e-9, (8, 3) = 0.13375396569863634e-9, (8, 4) = 0.4560893201559204e-9, (8, 5) = -0.32077279352188766e-9, (8, 6) = -0.3951844650021857e-9, (8, 7) = 0.6104103873575669e-10, (9, 1) = -0.3530110444986799e-9, (9, 2) = 0.3551251388394599e-9, (9, 3) = 0.14934196109816663e-9, (9, 4) = 0.4451182466955199e-9, (9, 5) = -0.2928117915068498e-9, (9, 6) = -0.3926669510728056e-9, (9, 7) = 0.6973390343747467e-10, (10, 1) = -0.34102088912595253e-9, (10, 2) = 0.3234631262334646e-9, (10, 3) = 0.16456602449853078e-9, (10, 4) = 0.4351229121500295e-9, (10, 5) = -0.27020202072419514e-9, (10, 6) = -0.38992802616804567e-9, (10, 7) = 0.7800637668800004e-10, (11, 1) = -0.33009810558916964e-9, (11, 2) = 0.29712810504566086e-9, (11, 3) = 0.1794671206264596e-9, (11, 4) = 0.42590380686280173e-9, (11, 5) = -0.25147578918457037e-9, (11, 6) = -0.38695966267997214e-9, (11, 7) = 0.8569539295634197e-10, (12, 1) = -0.32005141372407416e-9, (12, 2) = 0.2748390161414916e-9, (12, 3) = 0.19407559035522606e-9, (12, 4) = 0.4173192828796213e-9, (12, 5) = -0.23566948004497193e-9, (12, 6) = -0.38376658741537674e-9, (12, 7) = 0.9275123416959122e-10, (13, 1) = -0.3107415781995943e-9, (13, 2) = 0.25569566715949626e-9, (13, 3) = 0.20842107524399382e-9, (13, 4) = 0.4092616740027893e-9, (13, 5) = -0.2221146462535113e-9, (13, 6) = -0.3803576532325859e-9, (13, 7) = 0.9918763909766301e-10, (14, 1) = -0.3020547486931774e-9, (14, 2) = 0.23905632169492564e-9, (14, 3) = 0.22252653396896042e-9, (14, 4) = 0.40165000386117793e-9, (14, 5) = -0.21033646928053961e-9, (14, 6) = -0.3767450629818431e-9, (14, 7) = 0.1050316206286602e-9, (15, 1) = -0.2939050674611193e-9, (15, 2) = 0.2244410956663784e-9, (15, 3) = 0.2364129701052877e-9, (15, 4) = 0.39442041537530405e-9, (15, 5) = -0.1999871871687752e-9, (15, 6) = -0.3729413746558997e-9, (15, 7) = 0.11032191552202252e-9, (16, 1) = -0.286222106757177e-9, (16, 2) = 0.21148559484473567e-9, (16, 3) = 0.2501005847357134e-9, (16, 4) = 0.38752041128926003e-9, (16, 5) = -0.19080406100056436e-9, (16, 6) = -0.36895830719220893e-9, (16, 7) = 0.11509985495828057e-9, (17, 1) = -0.27894813473489e-9, (17, 2) = 0.19990993266642248e-9, (17, 3) = 0.2636080867768676e-9, (17, 4) = 0.38090785767399594e-9, (17, 5) = -0.18258498829123314e-9, (17, 6) = -0.3648063902168073e-9, (17, 7) = 0.11940455739879428e-9, (18, 1) = -0.27203377299844357e-9, (18, 2) = 0.18949251113976552e-9, (18, 3) = 0.2769531503258719e-9, (18, 4) = 0.37454645571624524e-9, (18, 5) = -0.17517235332104338e-9, (18, 6) = -0.36049503213976123e-9, (18, 7) = 0.12327029378294546e-9, (19, 1) = -0.2654380018357667e-9, (19, 2) = 0.18005609524436158e-9, (19, 3) = 0.29015352124528096e-9, (19, 4) = 0.36840588937618217e-9, (19, 5) = -0.1684404255060993e-9, (19, 6) = -0.35603302336135194e-9, (19, 7) = 0.12672994380140462e-9, (20, 1) = -0.2591249207945148e-9, (20, 2) = 0.17145908392284244e-9, (20, 3) = 0.3032258092511636e-9, (20, 4) = 0.3624596527318036e-9, (20, 5) = -0.16228840536977783e-9, (20, 6) = -0.3514279783195208e-9, (20, 7) = 0.1298127371652538e-9, (21, 1) = -0.25306422276752354e-9, (21, 2) = 0.16358246686013007e-9, (21, 3) = 0.31618709867295386e-9, (21, 4) = 0.3566852140556996e-9, (21, 5) = -0.15663281162411897e-9, (21, 6) = -0.3466852074439036e-9, (21, 7) = 0.13254460203844536e-9, (22, 1) = -0.24722947014827626e-9, (22, 2) = 0.15633237994447384e-9, (22, 3) = 0.32905279765740313e-9, (22, 4) = 0.35106197738678446e-9, (22, 5) = -0.15140702081415211e-9, (22, 6) = -0.34181104869694363e-9, (22, 7) = 0.1349481998052051e-9, (23, 1) = -0.24159525855122816e-9, (23, 2) = 0.14962663284565797e-9, (23, 3) = 0.34184129986409534e-9, (23, 4) = 0.3455710901981431e-9, (23, 5) = -0.1465545388780879e-9, (23, 6) = -0.33680799761451423e-9, (23, 7) = 0.13704217031147442e-9, (24, 1) = -0.23614219852260766e-9, (24, 2) = 0.14339762247954253e-9, (24, 3) = 0.35456787888180087e-9, (24, 4) = 0.3401969862063632e-9, (24, 5) = -0.14202679880817453e-9, (24, 6) = -0.33167891838231315e-9, (24, 7) = 0.13884542358546385e-9, (25, 1) = -0.23085059138136459e-9, (25, 2) = 0.13758834302914604e-9, (25, 3) = 0.36724842673314724e-9, (25, 4) = 0.3349243442395313e-9, (25, 5) = -0.13778527402894338e-9, (25, 6) = -0.3264271673931953e-9, (25, 7) = 0.14037251215241305e-9, (26, 1) = -0.22570373952624887e-9, (26, 2) = 0.13214994434323748e-9, (26, 3) = 0.3798999867538572e-9, (26, 4) = 0.3297396272364163e-9, (26, 5) = -0.13379429370372647e-9, (26, 6) = -0.3210523981912681e-9, (26, 7) = 0.14163621638420803e-9, (27, 1) = -0.22068712704508097e-9, (27, 2) = 0.1270412908532785e-9, (27, 3) = 0.39253681082283613e-9, (27, 4) = 0.3246307708269583e-9, (27, 5) = -0.13002582884620115e-9, (27, 6) = -0.31555624453007013e-9, (27, 7) = 0.14264832087492047e-9, (28, 1) = -0.21578731325972487e-9, (28, 2) = 0.12222712607848792e-9, (28, 3) = 0.4051735785720333e-9, (28, 4) = 0.319586871397829e-9, (28, 5) = -0.12645492465037684e-9, (28, 6) = -0.3099389237474639e-9, (28, 7) = 0.14341746981326065e-9, (29, 1) = -0.21099190569243325e-9, (29, 2) = 0.11767622332477985e-9, (29, 3) = 0.41782413871370106e-9, (29, 4) = 0.31459713589030673e-9, (29, 5) = -0.12306017230164548e-9, (29, 6) = -0.30420122651924197e-9, (29, 7) = 0.14395168130955385e-9, (30, 1) = -0.2062913796265655e-9, (30, 2) = 0.11336297440012964e-9, (30, 3) = 0.4305002727590064e-9, (30, 4) = 0.30965368144992986e-9, (30, 5) = -0.1198224199722497e-9, (30, 6) = -0.29834324841155765e-9, (30, 7) = 0.14425820561328524e-9, (31, 1) = -0.20167543145855411e-9, (31, 2) = 0.10926367675168289e-9, (31, 3) = 0.4432157990459678e-9, (31, 4) = 0.30474753102929854e-9, (31, 5) = -0.11672648830301723e-9, (31, 6) = -0.29236553478707224e-9, (31, 7) = 0.14434264568809095e-9, (32, 1) = -0.19713587803636631e-9, (32, 2) = 0.10535849256830875e-9, (32, 3) = 0.4559811480098555e-9, (32, 4) = 0.29987149994194555e-9, (32, 5) = -0.11375748988966459e-9, (32, 6) = -0.28626765172624023e-9, (32, 7) = 0.14420916355947746e-9, (33, 1) = -0.19266703741622537e-9, (33, 2) = 0.10163152267693176e-9, (33, 3) = 0.468804140242033e-9, (33, 4) = 0.29501949561639447e-9, (33, 5) = -0.11090365983769633e-9, (33, 6) = -0.28005288243174855e-9, (33, 7) = 0.1438623405988644e-9, (34, 1) = -0.18826236971018196e-9, (34, 2) = 0.9806744012823473e-10, (34, 3) = 0.4816914686457909e-9, (34, 4) = 0.29018599683608335e-9, (34, 5) = -0.1081551639622339e-9, (34, 6) = -0.27372319868693324e-9, (34, 7) = 0.14330559065581606e-9, (35, 1) = -0.18391739026145476e-9, (35, 2) = 0.9465420057864679e-10, (35, 3) = 0.4946471147612365e-9, (35, 4) = 0.28536790964775523e-9, (35, 5) = -0.10550312893821894e-9, (35, 6) = -0.26728271148470323e-9, (35, 7) = 0.14254283649475636e-9, (36, 1) = -0.1796290326417921e-9, (36, 2) = 0.9138103278655448e-10, (36, 3) = 0.5076726524594222e-9, (36, 4) = 0.28056195093997926e-9, (36, 5) = -0.1029400324744031e-9, (36, 6) = -0.26073698096959233e-9, (36, 7) = 0.14157756810199448e-9, (37, 1) = -0.17539547636232187e-9, (37, 2) = 0.8823883513563119e-10, (37, 3) = 0.5207659528703415e-9, (37, 4) = 0.2757676995363159e-9, (37, 5) = -0.10045975867444299e-9, (37, 6) = -0.2540932633148623e-9, (37, 7) = 0.14041329069777054e-9, (38, 1) = -0.1712145116362773e-9, (38, 2) = 0.8521968079420024e-10, (38, 3) = 0.5339253806526229e-9, (38, 4) = 0.2709816307404778e-9, (38, 5) = -0.9805638569026587e-10, (38, 6) = -0.2473594483835658e-9, (38, 7) = 0.1390550150747939e-9, (39, 1) = -0.16708614348926574e-9, (39, 2) = 0.8231706552060182e-10, (39, 3) = 0.547144299171384e-9, (39, 4) = 0.2662056438391908e-9, (39, 5) = -0.9572565144131231e-10, (39, 6) = -0.2405458208104288e-9, (39, 7) = 0.1375077751873039e-9, (40, 1) = -0.16301069952118687e-9, (40, 2) = 0.7952499135640627e-10, (40, 3) = 0.5604133509423026e-9, (40, 4) = 0.26144129521059254e-9, (40, 5) = -0.9346372481169876e-10, (40, 6) = -0.23366459995648096e-9, (40, 7) = 0.13577717678093516e-9, (41, 1) = -0.158989817473586e-9, (41, 2) = 0.7683928985529501e-10, (41, 3) = 0.5737201578239992e-9, (41, 4) = 0.2566900700893248e-9, (41, 5) = -0.9126758012947667e-10, (41, 6) = -0.22672984593116725e-9, (41, 7) = 0.13387053757566127e-9, (42, 1) = -0.15502483153316906e-9, (42, 2) = 0.7425508875677405e-10, (42, 3) = 0.5870514200556596e-9, (42, 4) = 0.251955080921043e-9, (42, 5) = -0.8913398787267396e-10, (42, 6) = -0.21975677997761107e-9, (42, 7) = 0.13179665822801967e-9, (43, 1) = -0.15111813361978065e-9, (43, 2) = 0.717689508221198e-10, (43, 3) = 0.6003915161923434e-9, (43, 4) = 0.24724066175948746e-9, (43, 5) = -0.8706173466119875e-10, (43, 6) = -0.21276123072080293e-9, (43, 7) = 0.12956460370331698e-9, (44, 1) = -0.1472719831472899e-9, (44, 2) = 0.6937737858129648e-10, (44, 3) = 0.61372174261653e-9, (44, 4) = 0.24255055440537196e-9, (44, 5) = -0.850482954542035e-10, (44, 6) = -0.20576167792240652e-9, (44, 7) = 0.12718475337204908e-9, (45, 1) = -0.14348909059030847e-9, (45, 2) = 0.6707735490401772e-10, (45, 3) = 0.6270251558459976e-9, (45, 4) = 0.2378876535417994e-9, (45, 5) = -0.8309171565579169e-10, (45, 6) = -0.19877510496972733e-9, (45, 7) = 0.1246691074748796e-9, (46, 1) = -0.13977224131761695e-9, (46, 2) = 0.6486578381007288e-10, (46, 3) = 0.6402834574063305e-9, (46, 4) = 0.2332605542006165e-9, (46, 5) = -0.8119095085305585e-10, (46, 6) = -0.19181963160364122e-9, (46, 7) = 0.12202970885015615e-9, (47, 1) = -0.13612333265013527e-9, (47, 2) = 0.6273962017101276e-10, (47, 3) = 0.6534782659660732e-9, (47, 4) = 0.22866963665007658e-9, (47, 5) = -0.7934397968198933e-10, (47, 6) = -0.1849128525694979e-9, (47, 7) = 0.11927937650694392e-9, (48, 1) = -0.1325449414570179e-9, (48, 2) = 0.6069601337261652e-10, (48, 3) = 0.6665913117637493e-9, (48, 4) = 0.2241217307746333e-9, (48, 5) = -0.7754946037125802e-10, (48, 6) = -0.17807170048392828e-9, (48, 7) = 0.1164320231963305e-9, (49, 1) = -0.12903865819132066e-9, (49, 2) = 0.5873213259749112e-10, (49, 3) = 0.679606416918663e-9, (49, 4) = 0.21961882325135148e-9, (49, 5) = -0.7580608918744382e-10, (49, 6) = -0.17131288007210077e-9, (49, 7) = 0.11350119171360047e-9, (50, 1) = -0.1256061461749483e-9, (50, 2) = 0.5684506778857276e-10, (50, 3) = 0.692506613829254e-9, (50, 4) = 0.21516617749880193e-9, (50, 5) = -0.7411254642559951e-10, (50, 6) = -0.16465125381821867e-9, (50, 7) = 0.11050012580587676e-9, (51, 1) = -0.12224816114420096e-9, (51, 2) = 0.5503152690500283e-10, (51, 3) = 0.7052806320244042e-9, (51, 4) = 0.21076596885217913e-9, (51, 5) = -0.7246680269519579e-10, (51, 6) = -0.15809991937359541e-9, (51, 7) = 0.10744258215702968e-9, (52, 1) = -0.1189655926860609e-9, (52, 2) = 0.53289087268733294e-10, (52, 3) = 0.7179103764981454e-9, (52, 4) = 0.20642326263827707e-9, (52, 5) = -0.7086755493948269e-10, (52, 6) = -0.15167200258860118e-9, (52, 7) = 0.10434186442026731e-9, (53, 1) = -0.11575985059547016e-9, (53, 2) = 0.516148211081032e-10, (53, 3) = 0.7303863430846644e-9, (53, 4) = 0.20213900611511557e-9, (53, 5) = -0.6931374569883764e-10, (53, 6) = -0.14537942014199397e-9, (53, 7) = 0.10121113477442049e-9, (54, 1) = -0.11263007044960751e-9, (54, 2) = 0.50005730903456676e-10, (54, 3) = 0.7426967671036052e-9, (54, 4) = 0.1979160900085421e-9, (54, 5) = -0.6780348622521023e-10, (54, 6) = -0.13923111798488457e-9, (54, 7) = 0.980620068570324e-10, (55, 1) = -0.1095761940909322e-9, (55, 2) = 0.4845909087022527e-10, (55, 3) = 0.7548353635824616e-9, (55, 4) = 0.19375595267806383e-9, (55, 5) = -0.6633522100935265e-10, (55, 6) = -0.13323534944445024e-9, (55, 7) = 0.9490596285123504e-10, (56, 1) = -0.1065984504918604e-9, (56, 2) = 0.4697226690721809e-10, (56, 3) = 0.7667902304253112e-9, (56, 4) = 0.18965950044270478e-9, (56, 5) = -0.6490771086386615e-10, (56, 6) = -0.1273994576673779e-9, (56, 7) = 0.9175404401695437e-10, (57, 1) = -0.10369595595090755e-9, (57, 2) = 0.45542696012926026e-10, (57, 3) = 0.778556793025425e-9, (57, 4) = 0.1856312972726619e-9, (57, 5) = -0.6351981357404045e-10, (57, 6) = -0.12172894374870717e-9, (57, 7) = 0.8861618584892101e-10, (58, 1) = -0.1008674248650476e-9, (58, 2) = 0.44167509118960435e-10, (58, 3) = 0.7901282528356496e-9, (58, 4) = 0.1816689005601506e-9, (58, 5) = -0.6216955980948554e-10, (58, 6) = -0.11622820480113498e-9, (58, 7) = 0.8550149102221199e-10, (59, 1) = -0.9811216105413218e-10, (59, 2) = 0.4284446467824523e-10, (59, 3) = 0.8015028238903295e-9, (59, 4) = 0.17777286746673866e-9, (59, 5) = -0.6085582711854137e-10, (59, 6) = -0.11089945666474679e-9, (59, 7) = 0.8241775440515545e-10, (60, 1) = -0.954284917777356e-10, (60, 2) = 0.41570814245508714e-10, (60, 3) = 0.8126770292454439e-9, (60, 4) = 0.17394354783946692e-9, (60, 5) = -0.5957709600406618e-10, (60, 6) = -0.10574533301767726e-9, (60, 7) = 0.7937281914298082e-10, (61, 1) = -0.9281564411951234e-10, (61, 2) = 0.4034464547926178e-10, (61, 3) = 0.8236472846736369e-9, (61, 4) = 0.1701833036818964e-9, (61, 5) = -0.5833206612773767e-10, (61, 6) = -0.10076676711512439e-9, (61, 7) = 0.7637315322789134e-10, (62, 1) = -0.9027177347486823e-10, (62, 2) = 0.3916354207986905e-10, (62, 3) = 0.8344124201743041e-9, (62, 4) = 0.16648946902577382e-9, (62, 5) = -0.57119532685498765e-10, (62, 6) = -0.9596390927186278e-10, (62, 7) = 0.7342478496541387e-10, (63, 1) = -0.8779535909357898e-10, (63, 2) = 0.38025284248982297e-10, (63, 3) = 0.8449739575048797e-9, (63, 4) = 0.16286276922895867e-9, (63, 5) = -0.559382759394972e-10, (63, 6) = -0.9133564683145688e-10, (63, 7) = 0.7053216538831238e-10, (64, 1) = -0.85384725616473e-10, (64, 2) = 0.3692798253782136e-10, (64, 3) = 0.8553287704958263e-9, (64, 4) = 0.15930123661278354e-9, (64, 5) = -0.5478695255849285e-10, (64, 6) = -0.8688048760078013e-10, (64, 7) = 0.6769996617461846e-10, (65, 1) = -0.8303858586558454e-10, (65, 2) = 0.3586972810555899e-10, (65, 3) = 0.8654792625877007e-9, (65, 4) = 0.15580572742598036e-9, (65, 5) = -0.5366459334902178e-10, (65, 6) = -0.8259732044904485e-10, (65, 7) = 0.6493223337250637e-10, (66, 1) = -0.807553665752725e-10, (66, 2) = 0.3484874891749666e-10, (66, 3) = 0.8754229593508381e-9, (66, 4) = 0.15237695927329908e-9, (66, 5) = -0.5257035145612129e-10, (66, 6) = -0.7848320040395083e-10, (66, 7) = 0.6223187771979038e-10, (67, 1) = -0.7853315297348665e-10, (67, 2) = 0.3386329237172156e-10, (67, 3) = 0.885165445866046e-9, (67, 4) = 0.1490103257593343e-9, (67, 5) = -0.5150279117922608e-10, (67, 6) = -0.7453518587140608e-10, (67, 7) = 0.5960130904556973e-10, (68, 1) = -0.7637040944820784e-10, (68, 2) = 0.32911598715581086e-10, (68, 3) = 0.8947061739850112e-9, (68, 4) = 0.14570759006284784e-9, (68, 5) = -0.504611198616976e-10, (68, 6) = -0.7075006164056328e-10, (68, 7) = 0.5704255975961135e-10, (69, 1) = -0.7426549605081863e-10, (69, 2) = 0.3199235797200081e-10, (69, 3) = 0.904048186545148e-9, (69, 4) = 0.1424684240627569e-9, (69, 5) = -0.4944443684085938e-10, (69, 6) = -0.6712419841427728e-10, (69, 7) = 0.54557366207916695e-10, (70, 1) = -0.7221736654632416e-10, (70, 2) = 0.3110410103296062e-10, (70, 3) = 0.9131882538741332e-9, (70, 4) = 0.13929036342156035e-9, (70, 5) = -0.4845189373502177e-10, (70, 6) = -0.6365420342795148e-10, (70, 7) = 0.52146975427501514e-10, (71, 1) = -0.7022398200997068e-10, (71, 2) = 0.3024543577941304e-10, (71, 3) = 0.9221360415260171e-9, (71, 4) = 0.1361737081764052e-9, (71, 5) = -0.47482600051318345e-10, (71, 6) = -0.6033547561400346e-10, (71, 7) = 0.49811942430394064e-10, (72, 1) = -0.6828362500748702e-10, (72, 2) = 0.2941489991841159e-10, (72, 3) = 0.930888601393734e-9, (72, 4) = 0.1331159476612379e-9, (72, 5) = -0.4653580535043946e-10, (72, 6) = -0.5716398926445834e-10, (72, 7) = 0.475524649852525e-10, (73, 1) = -0.6639510603152035e-10, (73, 2) = 0.286115228092632e-10, (73, 3) = 0.9394523079129564e-9, (73, 4) = 0.13011733075793917e-9, (73, 5) = -0.4561077481881523e-10, (73, 6) = -0.54135115189872115e-10, (73, 7) = 0.4536866881070352e-10, (74, 1) = -0.645568753974836e-10, (74, 2) = 0.2783391240528995e-10, (74, 3) = 0.9478299584253005e-9, (74, 4) = 0.12717630383541154e-9, (74, 5) = -0.4470657527840883e-10, (74, 6) = -0.5124454519891209e-10, (74, 7) = 0.4326026143353661e-10, (75, 1) = -0.6276724784350272e-10, (75, 2) = 0.27081107173027596e-10, (75, 3) = 0.956021311487774e-9, (75, 4) = 0.1242898751621955e-9, (75, 5) = -0.43822448468142216e-10, (75, 6) = -0.4848759364943523e-10, (75, 7) = 0.41226529155491094e-10, (76, 1) = -0.6102491550561366e-10, (76, 2) = 0.26351883619454057e-10, (76, 3) = 0.9640326746315502e-9, (76, 4) = 0.121460477587425e-9, (76, 5) = -0.4295805432634064e-10, (76, 6) = -0.4585957834722676e-10, (76, 7) = 0.39266766672733285e-10, (77, 1) = -0.5932805568253786e-10, (77, 2) = 0.25645207179705036e-10, (77, 3) = 0.971865921545455e-9, (77, 4) = 0.11868506629827273e-9, (77, 5) = -0.4211247126952791e-10, (77, 6) = -0.43355676647937267e-10, (77, 7) = 0.37379698125788404e-10, (78, 1) = -0.5767472162072739e-10, (78, 2) = 0.24960016150123966e-10, (78, 3) = 0.979527272820239e-9, (78, 4) = 0.11596023227128644e-9, (78, 5) = -0.4128474523380456e-10, (78, 6) = -0.4097042064765802e-10, (78, 7) = 0.35563538933466515e-10, (79, 1) = -0.56062278773629755e-10, (79, 2) = 0.24294558885869108e-10, (79, 3) = 0.9870304765706218e-9, (79, 4) = 0.1132842332370745e-9, (79, 5) = -0.4047347361338713e-10, (79, 6) = -0.3869723877794528e-10, (79, 7) = 0.3381536009462095e-10, (80, 1) = -0.5448940782255379e-10, (80, 2) = 0.23648210403970446e-10, (80, 3) = 0.994373920621701e-9, (80, 4) = 0.11065398015669131e-9, (80, 5) = -0.39678136755576145e-10, (80, 6) = -0.36531778065328024e-10, (80, 7) = 0.32133775021841036e-10, (81, 1) = -0.52956076563351886e-10, (81, 2) = 0.23020634601627332e-10, (81, 3) = 0.10015578355642333e-8, (81, 4) = 0.10807290223640643e-9, (81, 5) = -0.38898839909173874e-10, (81, 6) = -0.3447214832243887e-10, (81, 7) = 0.3051913043551198e-10, (82, 1) = -0.5146276180186555e-10, (82, 2) = 0.22411874260840103e-10, (82, 3) = 0.10085763899854806e-8, (82, 4) = 0.1055410648564232e-9, (82, 5) = -0.38136245666705616e-10, (82, 6) = -0.32516021075844286e-10, (82, 7) = 0.28971490315933258e-10, (83, 1) = -0.5000912520995857e-10, (83, 2) = 0.21821342830068495e-10, (83, 3) = 0.10154312004191943e-8, (83, 4) = 0.10305955865797805e-9, (83, 5) = -0.37389798155327645e-10, (83, 6) = -0.3065998978540357e-10, (83, 7) = 0.27489757167180907e-10, (84, 1) = -0.4859428466255206e-10, (84, 2) = 0.21248577059062134e-10, (84, 3) = 0.10221196610682969e-8, (84, 4) = 0.1006273316758632e-9, (84, 5) = -0.366593448426289e-10, (84, 6) = -0.28900208991190788e-10, (84, 7) = 0.2607253753742099e-10, (85, 1) = -0.47216941209601755e-10, (85, 2) = 0.2069281771249485e-10, (85, 3) = 0.10286458303596705e-8, (85, 4) = 0.9824302321628248e-10, (85, 5) = -0.3594449952721954e-10, (85, 6) = -0.27232289002638088e-10, (85, 7) = 0.2471776526401278e-10, (86, 1) = -0.4587603850181021e-10, (86, 2) = 0.201534052940794e-10, (86, 3) = 0.10350205574204247e-8, (86, 4) = 0.9590484830894483e-10, (86, 5) = -0.35244600053546624e-10, (86, 6) = -0.2565211417447784e-10, (86, 7) = 0.23423564263486646e-10, (87, 1) = -0.44570427444179945e-10, (87, 2) = 0.19629813990776138e-10, (87, 3) = 0.10412377532833149e-8, (87, 4) = 0.9361470603911598e-10, (87, 5) = -0.34559475928237606e-10, (87, 6) = -0.2415576255235988e-10, (87, 7) = 0.22188010686861947e-10, (88, 1) = -0.43299205036542566e-10, (88, 2) = 0.19121396301621412e-10, (88, 3) = 0.10473038270512812e-8, (88, 4) = 0.9136975261118352e-10, (88, 5) = -0.33888742228378605e-10, (88, 6) = -0.22739391561818352e-10, (88, 7) = 0.21009171213129243e-10, (89, 1) = -0.4206136621816841e-10, (89, 2) = 0.1862763193300451e-10, (89, 3) = 0.1053220826440606e-8, (89, 4) = 0.8916812971164093e-10, (89, 5) = -0.3323194858271513e-10, (89, 6) = -0.21399256766972228e-10, (89, 7) = 0.19885123465220818e-10, (90, 1) = -0.4085588310966399e-10, (90, 2) = 0.18148024520178687e-10, (90, 3) = 0.10589955041451046e-8, (90, 4) = 0.870102840089945e-10, (90, 5) = -0.32588484240228997e-10, (90, 6) = -0.20131789912960962e-10, (90, 7) = 0.1881389542009739e-10, (91, 1) = -0.3968185166790285e-10, (91, 2) = 0.1768202815418893e-10, (91, 3) = 0.10646265232891785e-8, (91, 4) = 0.8489553195210622e-10, (91, 5) = -0.3195843436574123e-10, (91, 6) = -0.18933463049862498e-10, (91, 7) = 0.17793581660786366e-10, (92, 1) = -0.3853832902129189e-10, (92, 2) = 0.1722922578935513e-10, (92, 3) = 0.10701178713516793e-8, (92, 4) = 0.8282293669401647e-10, (92, 5) = -0.3134115943239919e-10, (92, 6) = -0.17800978202007475e-10, (92, 7) = 0.16822264914732218e-10, (93, 1) = -0.37424669181434964e-10, (93, 2) = 0.16789122412977386e-10, (93, 3) = 0.10754723856152606e-8, (93, 4) = 0.8079060721002729e-10, (93, 5) = -0.30736550226877975e-10, (93, 6) = -0.16731181911091006e-10, (93, 7) = 0.15898179284081475e-10, (94, 1) = -0.3633984344798148e-10, (94, 2) = 0.1636136007680888e-10, (94, 3) = 0.1080694913077139e-8, (94, 4) = 0.7879810368988039e-10, (94, 5) = -0.30144170280229594e-10, (94, 6) = -0.1572093396812334e-10, (94, 7) = 0.15019396209421985e-10, (95, 1) = -0.3528295959502651e-10, (95, 2) = 0.15945431111723886e-10, (95, 3) = 0.10857842746568276e-8, (95, 4) = 0.7684526168038454e-10, (95, 5) = -0.29563770509365825e-10, (95, 6) = -0.1476718725922153e-10, (95, 7) = 0.14184084832010438e-10, (96, 1) = -0.34253341623023184e-10, (96, 2) = 0.15540982368433098e-10, (96, 3) = 0.1090745090008393e-8, (96, 4) = 0.7492994656021819e-10, (96, 5) = -0.28994985820475658e-10, (96, 6) = -0.1386715343683189e-10, (96, 7) = 0.13390505826113743e-10, (97, 1) = -0.3325026905308442e-10, (97, 2) = 0.15147620208866446e-10, (97, 3) = 0.1095581663622364e-8, (97, 4) = 0.7305312971306977e-10, (97, 5) = -0.2843762234102979e-10, (97, 6) = -0.13018130971366204e-10, (97, 7) = 0.12636963284411881e-10, (98, 1) = -0.3227290366515648e-10, (98, 2) = 0.147650429647678e-10, (98, 3) = 0.11002947854437276e-8, (98, 4) = 0.7121225709966904e-10, (98, 5) = -0.27891434655293842e-10, (98, 6) = -0.12217450392363468e-10, (98, 7) = 0.11921702204802202e-10, (99, 1) = -0.3132080420646942e-10, (99, 2) = 0.14392920682890967e-10, (99, 3) = 0.11048831639640239e-8, (99, 4) = 0.6940775972450926e-10, (99, 5) = -0.27356201034967982e-10, (99, 6) = -0.11462781048113319e-10, (99, 7) = 0.1124326590913559e-10, (100, 1) = -0.3039298764179678e-10, (100, 2) = 0.14030857509215677e-10, (100, 3) = 0.1109356892219946e-8, (100, 4) = 0.676397259657339e-10, (100, 5) = -0.26831570391908562e-10, (100, 6) = -0.10751575098641281e-10, (100, 7) = 0.10599889734684021e-10, (101, 1) = -0.29488761953278224e-10, (101, 2) = 0.13678526761319882e-10, (101, 3) = 0.11137144524208188e-8, (101, 4) = 0.6590478075005809e-10, (101, 5) = -0.26317299185941288e-10, (101, 6) = -0.10081506050647998e-10, (101, 7) = 0.999000377791946e-11, (102, 1) = -0.28607607795422616e-10, (102, 2) = 0.133356401806779e-10, (102, 3) = 0.1117958634990215e-8, (102, 4) = 0.6420506271081726e-10, (102, 5) = -0.25813196450715664e-10, (102, 6) = -0.9450437138368041e-11, (102, 7) = 0.941214568419086e-11, (103, 1) = -0.2774875412567413e-10, (103, 2) = 0.13001895950288143e-10, (103, 3) = 0.11220903726978504e-8, (103, 4) = 0.6253786452945416e-10, (103, 5) = -0.25319039475505215e-10, (103, 6) = -0.8856275269538403e-11, (103, 7) = 0.88648554303843e-11, (104, 1) = -0.26911598790166447e-10, (104, 2) = 0.12676995076335476e-10, (104, 3) = 0.11261152671984882e-8, (104, 4) = 0.609021937252899e-10, (104, 5) = -0.24834523744108644e-10, (104, 6) = -0.8296967223918404e-11, (104, 7) = 0.8346651823328133e-11, (105, 1) = -0.2609571741139721e-10, (105, 2) = 0.12360707018358898e-10, (105, 3) = 0.11300290116370514e-8, (105, 4) = 0.5929939405437904e-10, (105, 5) = -0.24359564511586517e-10, (105, 6) = -0.7770759456933992e-11, (105, 7) = 0.7856315718077717e-11, (106, 1) = -0.2530044333188704e-10, (106, 2) = 0.12052784144741168e-10, (106, 3) = 0.11338381262505208e-8, (106, 4) = 0.577274885441457e-10, (106, 5) = -0.23893915026487e-10, (106, 6) = -0.7275804353440743e-11, (106, 7) = 0.7392498157574831e-11, (107, 1) = -0.24525287343846688e-10, (107, 2) = 0.11752990045451255e-10, (107, 3) = 0.11375506925479182e-8, (107, 4) = 0.5618664712627303e-10, (107, 5) = -0.2343740897183187e-10, (107, 6) = -0.68104138779155605e-11, (107, 7) = 0.69539489361209256e-11, (108, 1) = -0.23769756034050658e-10, (108, 2) = 0.11461069140781725e-10, (108, 3) = 0.1141156920036321e-8, (108, 4) = 0.54675506620229015e-10, (108, 5) = -0.22989853517927998e-10, (108, 6) = -0.6372953207665234e-11, (108, 7) = 0.6539460296498955e-11, (109, 1) = -0.23033206946688197e-10, (109, 2) = 0.11176784235420537e-10, (109, 3) = 0.11446648205586631e-8, (109, 4) = 0.53193133369219096e-10, (109, 5) = -0.2255102934510164e-10, (109, 6) = -0.5961851297415071e-11, (109, 7) = 0.6147846949535398e-11, (110, 1) = -0.22315170596435424e-10, (110, 2) = 0.10899899099720045e-10, (110, 3) = 0.11480776804648441e-8, (110, 4) = 0.51741404883626826e-10, (110, 5) = -0.2212079881093947e-10, (110, 6) = -0.55756000900039874e-11, (110, 7) = 0.5777950850708059e-11, (111, 1) = -0.2161510628629133e-10, (111, 2) = 0.10630202497500658e-10, (111, 3) = 0.11513963697465053e-8, (111, 4) = 0.50316084756389076e-10, (111, 5) = -0.2169888691820227e-10, (111, 6) = -0.5212825902031769e-11, (111, 7) = 0.5428717922904024e-11, (112, 1) = -0.2093248308036869e-10, (112, 2) = 0.10367485845143703e-10, (112, 3) = 0.11546195339584729e-8, (112, 4) = 0.489182049004149e-10, (112, 5) = -0.21285088698946967e-10, (112, 6) = -0.4872150788621039e-11, (112, 7) = 0.5099059382295185e-11, (113, 1) = -0.20266939127279472e-10, (113, 2) = 0.10111521783538712e-10, (113, 3) = 0.11577592792912037e-8, (113, 4) = 0.4754807495737071e-10, (113, 5) = -0.20879387496573555e-10, (113, 6) = -0.4552355860741361e-11, (113, 7) = 0.4788042271114969e-11, (114, 1) = -0.19618082071104572e-10, (114, 2) = 0.9862199011411562e-11, (114, 3) = 0.1160804498226923e-8, (114, 4) = 0.462044422773981e-10, (114, 5) = -0.20481586670028085e-10, (114, 6) = -0.4252272644255941e-11, (114, 7) = 0.4494726477485643e-11, (115, 1) = -0.189853664183792e-10, (115, 2) = 0.9619265490819973e-11, (115, 3) = 0.11637594037035251e-8, (115, 4) = 0.4488686014505007e-10, (115, 5) = -0.200914542145842e-10, (115, 6) = -0.3970742061101578e-11, (115, 7) = 0.4218178288334328e-11, (116, 1) = -0.18368425185254865e-10, (116, 2) = 0.9382570898414447e-11, (116, 3) = 0.1166630830350612e-8, (116, 4) = 0.43594040714570804e-10, (116, 5) = -0.19708991959087038e-10, (116, 6) = -0.3706685865404614e-11, (116, 7) = 0.3957541778663131e-11, (117, 1) = -0.17766860290530166e-10, (117, 2) = 0.9151949085797764e-11, (117, 3) = 0.11694183749409405e-8, (117, 4) = 0.4232831823848793e-10, (117, 5) = -0.1933383435015675e-10, (117, 6) = -0.34591076284628657e-11, (117, 7) = 0.3711986676217058e-11, (118, 1) = -0.1718023634060036e-10, (118, 2) = 0.8927196267795554e-11, (118, 3) = 0.11721276821171886e-8, (118, 4) = 0.4108405888124236e-10, (118, 5) = -0.1896600682368705e-10, (118, 6) = -0.32270198234058586e-11, (118, 7) = 0.348070537611262e-11, (119, 1) = -0.1660824179634249e-10, (119, 2) = 0.8708218692549034e-11, (119, 3) = 0.11747502806896227e-8, (119, 4) = 0.3986542634893522e-10, (119, 5) = -0.18605245591516813e-10, (119, 6) = -0.3009534932294507e-11, (119, 7) = 0.32629652311135766e-11, (120, 1) = -0.16050399219794936e-10, (120, 2) = 0.8494789562416073e-11, (120, 3) = 0.1177298843835625e-8, (120, 4) = 0.3867107750145139e-10, (120, 5) = -0.1825156006779017e-10, (120, 6) = -0.28057732922703526e-11, (120, 7) = 0.3058018111059415e-11, (121, 1) = -0.1550635416407613e-10, (121, 2) = 0.8286771907186822e-11, (121, 3) = 0.11797644520720168e-8, (121, 4) = 0.3749839816238541e-10, (121, 5) = -0.179046564962422e-10, (121, 6) = -0.26149114543976955e-11, (121, 7) = 0.2865173942337792e-11, (122, 1) = -0.14975761754194747e-10, (122, 2) = 0.8084037043132685e-11, (122, 3) = 0.11821578106786102e-8, (122, 4) = 0.36349353804088396e-10, (122, 5) = -0.175644957867693e-10, (122, 6) = -0.2436179786254095e-11, (122, 7) = 0.2683771938128526e-11, (123, 1) = -0.14458298929642815e-10, (123, 2) = 0.7886436111228735e-11, (123, 3) = 0.1184477412835794e-8, (123, 4) = 0.3522096126295468e-10, (123, 5) = -0.17230852517395524e-10, (123, 6) = -0.22688631001927273e-11, (123, 7) = 0.251319975965811e-11, (124, 1) = -0.13953687402573215e-10, (124, 2) = 0.7693865587618392e-11, (124, 3) = 0.11867220249665278e-8, (124, 4) = 0.3411637223729094e-10, (124, 5) = -0.16903783217364677e-10, (124, 6) = -0.21122903401850213e-11, (124, 7) = 0.23528837580789774e-11, (125, 1) = -0.13461549633644782e-10, (125, 2) = 0.7506151534379781e-11, (125, 3) = 0.1188897149024404e-8, (125, 4) = 0.3303185520341911e-10, (125, 5) = -0.1658297508322167e-10, (125, 6) = -0.19657866032914978e-11, (125, 7) = 0.22022276664434392e-11, (126, 1) = -0.12981528055333814e-10, (126, 2) = 0.7323175020133718e-11, (126, 3) = 0.11909980330249977e-8, (126, 4) = 0.31968895014399795e-10, (126, 5) = -0.16268428192245815e-10, (126, 6) = -0.1828737416272636e-11, (126, 7) = 0.20606921059849896e-11, (127, 1) = -0.1251334925790676e-10, (127, 2) = 0.71448022450762814e-11, (127, 3) = 0.11930368791468821e-8, (127, 4) = 0.30925168269090486e-10, (127, 5) = -0.1595994529536578e-10, (127, 6) = -0.17005642957390043e-11, (127, 7) = 0.19277648128769555e-11, (128, 1) = -0.12056664122166423e-10, (128, 2) = 0.6970902891903902e-11, (128, 3) = 0.11949984988800984e-8, (128, 4) = 0.2990287437232501e-10, (128, 5) = -0.1565744012758655e-10, (128, 6) = -0.15807226738701075e-11, (128, 7) = 0.1802962201788926e-11, (129, 1) = -0.11611215590250922e-10, (129, 2) = 0.6801386273637118e-11, (129, 3) = 0.11968993600102636e-8, (129, 4) = 0.28900147080382565e-10, (129, 5) = -0.15360783718278442e-10, (129, 6) = -0.14686992588250484e-11, (129, 7) = 0.16858173458030813e-11, (130, 1) = -0.11176689572059342e-10, (130, 2) = 0.66361109585935695e-11, (130, 3) = 0.119874251229159e-8, (130, 4) = 0.27915751228461665e-10, (130, 5) = -0.1506996454811597e-10, (130, 6) = -0.13640066121412605e-11, (130, 7) = 0.15758973394943555e-11, (131, 1) = -0.10752847620314014e-10, (131, 2) = 0.6474979668955007e-11, (131, 3) = 0.12005094860252073e-8, (131, 4) = 0.2695026830924684e-10, (131, 5) = -0.1478465740885954e-10, (131, 6) = -0.12661923343114569e-11, (131, 7) = 0.14727845404164439e-11, (132, 1) = -0.10339385856338755e-10, (132, 2) = 0.6317886581522219e-11, (132, 3) = 0.1202227689070044e-8, (132, 4) = 0.26004025373171577e-10, (132, 5) = -0.14504921383297311e-10, (132, 6) = -0.117482316930582e-11, (132, 7) = 0.13760829973621443e-11, (133, 1) = -0.9936029828507202e-11, (133, 2) = 0.6164717563718258e-11, (133, 3) = 0.12038784627655226e-8, (133, 4) = 0.25075153782644154e-10, (133, 5) = -0.14230591341865168e-10, (133, 6) = -0.1089495166072317e-11, (133, 7) = 0.12854232032874922e-11, (134, 1) = -0.954258200538204e-11, (134, 2) = 0.60153668094429556e-11, (134, 3) = 0.12054624421663825e-8, (134, 4) = 0.2416409972408739e-10, (134, 5) = -0.13961569099024428e-10, (134, 6) = -0.10098288357408212e-11, (134, 7) = 0.12004494115820128e-11, (135, 1) = -0.915871353546483e-11, (135, 2) = 0.5869751638206249e-11, (135, 3) = 0.12070025992460107e-8, (135, 4) = 0.23271492022243684e-10, (135, 5) = -0.13697768394350225e-10, (135, 6) = -0.935464640353776e-12, (135, 7) = 0.11208283383367453e-11, (136, 1) = -0.8784234210301511e-11, (136, 2) = 0.5727763841077969e-11, (136, 3) = 0.12084706474875078e-8, (136, 4) = 0.22394710020022877e-10, (136, 5) = -0.1343909294397463e-10, (136, 6) = -0.8660660324202705e-12, (136, 7) = 0.10462421991222154e-11, (137, 1) = -0.8418913263458105e-11, (137, 2) = 0.5589313993785467e-11, (137, 3) = 0.12098889273005505e-8, (137, 4) = 0.21535676726855785e-10, (137, 5) = -0.13185427926861937e-10, (137, 6) = -0.8013163492284678e-12, (137, 7) = 0.976391731445841e-12, (138, 1) = -0.8062467152589807e-11, (138, 2) = 0.54543196210213545e-11, (138, 3) = 0.12112528801006951e-8, (138, 4) = 0.2069189392423113e-10, (138, 5) = -0.12936678002997946e-10, (138, 6) = -0.7409176146801608e-12, (138, 7) = 0.910994600582341e-12, (139, 1) = -0.7714730287100752e-11, (139, 2) = 0.5322678054123467e-11, (139, 3) = 0.12125653854184757e-8, (139, 4) = 0.1986489890272202e-10, (139, 5) = -0.12692775835000164e-10, (139, 6) = -0.6845899300896001e-12, (139, 7) = 0.8497829990085735e-12, (140, 1) = -0.7375446342117648e-11, (140, 2) = 0.5194307400360006e-11, (140, 3) = 0.12138188632444438e-8, (140, 4) = 0.19054116219959057e-10, (140, 5) = -0.1245358984195867e-10, (140, 6) = -0.6320711383042871e-12, (140, 7) = 0.7925037232638139e-12, (141, 1) = -0.7044411595925558e-11, (141, 2) = 0.5069122407758296e-11, (141, 3) = 0.12150133348393326e-8, (141, 4) = 0.1825781497268621e-10, (141, 5) = -0.12219085401247519e-10, (141, 6) = -0.5831141022505443e-12, (141, 7) = 0.7389185911372965e-12, (142, 1) = -0.6721411054329123e-11, (142, 2) = 0.4947052990376775e-11, (142, 3) = 0.12161723234439253e-8, (142, 4) = 0.1747738330983317e-10, (142, 5) = -0.11989085228023421e-10, (142, 6) = -0.5374871770932166e-12, (142, 7) = 0.6888023926474155e-12, (143, 1) = -0.64062605091691784e-11, (143, 2) = 0.482800632195133e-11, (143, 3) = 0.12172680170306166e-8, (143, 4) = 0.16711578042847487e-10, (143, 5) = -0.11763570020466811e-10, (143, 6) = -0.4949736743484498e-12, (143, 7) = 0.641942100772299e-12, (144, 1) = -0.6098742025425115e-11, (144, 2) = 0.4711916193706158e-11, (144, 3) = 0.1218330702880712e-8, (144, 4) = 0.1595955897889176e-10, (144, 5) = -0.11542423255895684e-10, (144, 6) = -0.4553688284597233e-12, (144, 7) = 0.5981378832577253e-12, (145, 1) = -0.5798677057513097e-11, (145, 2) = 0.4598706096769562e-11, (145, 3) = 0.12193353543310945e-8, (145, 4) = 0.15223361961034254e-10, (145, 5) = -0.11325610150784382e-10, (145, 6) = -0.41848219488793295e-12, (145, 7) = 0.5572003836098101e-12, (146, 1) = -0.550588009340836e-11, (146, 2) = 0.44882880675520885e-11, (146, 3) = 0.12202857455131248e-8, (146, 4) = 0.14500418876082778e-10, (146, 5) = -0.11113028236882186e-10, (146, 6) = -0.3841341317304528e-12, (146, 7) = 0.5189520778312766e-12, (147, 1) = -0.5220157336739223e-11, (147, 2) = 0.4380605492331011e-11, (147, 3) = 0.12212000753634705e-8, (147, 4) = 0.1379119238849094e-10, (147, 5) = -0.10904523689854029e-10, (147, 6) = -0.3521569442290073e-12, (147, 7) = 0.4832242591595169e-12, (148, 1) = -0.49413372968622916e-11, (148, 2) = 0.42755942505609585e-11, (148, 3) = 0.12220670336629079e-8, (148, 4) = 0.13094678826697949e-10, (148, 5) = -0.10700136443468203e-10, (148, 6) = -0.3223928565883448e-12, (148, 7) = 0.4498598146017527e-12, (149, 1) = -0.4669250200024589e-11, (149, 2) = 0.417317907212515e-11, (149, 3) = 0.122288995704384e-8, (149, 4) = 0.12412330083168088e-10, (149, 5) = -0.10499703764283493e-10, (149, 6) = -0.29469488358582e-12, (149, 7) = 0.41870954819324477e-12, (150, 1) = -0.4403712013205302e-11, (150, 2) = 0.4073299764315313e-11, (150, 3) = 0.1223665684002994e-8, (150, 4) = 0.11742241160471754e-10, (150, 5) = -0.1030317689694116e-10, (150, 6) = -0.2689244656008504e-12, (150, 7) = 0.3896336179006955e-12, (151, 1) = -0.4144579427591234e-11, (151, 2) = 0.3975878589560163e-11, (151, 3) = 0.1224396603455543e-8, (151, 4) = 0.11085210144017644e-10, (151, 5) = -0.10110459511254232e-10, (151, 6) = -0.2449525995893326e-12, (151, 7) = 0.3625006066286385e-12, (152, 1) = -0.38916848416852296e-11, (152, 2) = 0.38808682939696256e-11, (152, 3) = 0.12251002854980518e-8, (152, 4) = 0.10440054268239915e-10, (152, 5) = -0.9921507967863049e-11, (152, 6) = -0.22265826204028151e-12, (152, 7) = 0.33718643994633003e-12, (153, 1) = -0.3644855356429144e-11, (153, 2) = 0.3788203889785971e-11, (153, 3) = 0.12257436502356109e-8, (153, 4) = 0.980794201747327e-11, (153, 5) = -0.9736237397022225e-11, (153, 6) = -0.20192812497115791e-12, (153, 7) = 0.3135747127959107e-12, (154, 1) = -0.340396118615834e-11, (154, 2) = 0.3697827252366246e-11, (154, 3) = 0.1226353307422349e-8, (154, 4) = 0.9186175708230342e-11, (154, 5) = -0.9554597649315009e-11, (154, 6) = -0.1826564040925313e-12, (154, 7) = 0.2915562150365321e-12, (155, 1) = -0.31688432998717966e-11, (155, 2) = 0.36096794411637987e-11, (155, 3) = 0.12269316630844605e-8, (155, 4) = 0.8577808830243637e-11, (155, 5) = -0.9376497241749015e-11, (155, 6) = -0.16474403131928477e-12, (155, 7) = 0.2710281947405146e-12, (156, 1) = -0.2939357375813386e-11, (156, 2) = 0.35237027889789578e-11, (156, 3) = 0.12274613278365115e-8, (156, 4) = 0.79793438193171e-11, (156, 5) = -0.920186693051316e-11, (156, 6) = -0.14809841321472652e-12, (156, 7) = 0.2518939679820372e-12, (157, 1) = -0.27153619196543353e-11, (157, 2) = 0.3439849104588805e-11, (157, 3) = 0.12279600179688634e-8, (157, 4) = 0.7392918423708086e-11, (157, 5) = -0.9030668428465661e-11, (157, 6) = -0.1326329694636143e-12, (157, 7) = 0.23406319783156147e-12, (158, 1) = -0.24980748116852893e-11, (158, 2) = 0.33585674115493146e-11, (158, 3) = 0.12284094216029687e-8, (158, 4) = 0.6821603976317833e-11, (158, 5) = -0.8863786066021544e-11, (158, 6) = -0.1183519151197076e-12, (158, 7) = 0.21754937709165998e-12, (159, 1) = -0.22931130761850767e-11, (159, 2) = 0.32819548479972626e-11, (159, 3) = 0.1228813812960284e-8, (159, 4) = 0.6278310095434659e-11, (159, 5) = -0.870573682183365e-11, (159, 6) = -0.10551134063300874e-12, (159, 7) = 0.2026600306552426e-12, (160, 1) = -0.21008409964575166e-11, (160, 2) = 0.3210141330288939e-11, (160, 3) = 0.12291686374264535e-8, (160, 4) = 0.57679093040764105e-11, (160, 5) = -0.8556870228087243e-11, (160, 6) = -0.9401117419620941e-13, (160, 7) = 0.18928977461730128e-12, (161, 1) = -0.19201922217252495e-11, (161, 2) = 0.31427195364896388e-11, (161, 3) = 0.12294833016356614e-8, (161, 4) = 0.528521870647234e-11, (161, 5) = -0.84164150381976e-11, (161, 6) = -0.8367827535476734e-13, (161, 7) = 0.17724627836112152e-12, (162, 1) = -0.17500382006084871e-11, (162, 2) = 0.30792626398127524e-11, (162, 3) = 0.12297616807404267e-8, (162, 4) = 0.4828423599994281e-11, (162, 5) = -0.8283635245036114e-11, (162, 6) = -0.7435742708748314e-13, (162, 7) = 0.16635630047369893e-12, (163, 1) = -0.15894069745447244e-11, (163, 2) = 0.30194000535656047e-11, (163, 3) = 0.12300053331583256e-8, (163, 4) = 0.4395358666486823e-11, (163, 5) = -0.8157858618845472e-11, (163, 6) = -0.6591849525409016e-13, (163, 7) = 0.15647380832507043e-12, (164, 1) = -0.143744735071212e-11, (164, 2) = 0.29628062228306213e-11, (164, 3) = 0.12302224927433942e-8, (164, 4) = 0.39840602242576006e-11, (164, 5) = -0.8038390336572891e-11, (164, 6) = -0.5825191121229164e-13, (164, 7) = 0.14747601877532904e-12, (165, 1) = -0.12934065335206593e-11, (165, 2) = 0.2909203531044491e-11, (165, 3) = 0.12304077852833621e-8, (165, 4) = 0.35926554480135007e-11, (165, 5) = -0.792484729304842e-11, (165, 6) = -0.5126495348768588e-13, (165, 7) = 0.13925839415573526e-12, (166, 1) = -0.1156624499015785e-11, (166, 2) = 0.28583377841434647e-11, (166, 3) = 0.12305629940469257e-8, (166, 4) = 0.32189978168650025e-11, (166, 5) = -0.7816624131829942e-11, (166, 6) = -0.4487834494433306e-13, (166, 7) = 0.13173149807135405e-12, (167, 1) = -0.10265210416646665e-11, (167, 2) = 0.28099859769711778e-11, (167, 3) = 0.12307048112808125e-8, (167, 4) = 0.28628730141565726e-11, (167, 5) = -0.7713392249055152e-11, (167, 6) = -0.3902428012462705e-13, (167, 7) = 0.12481864852611245e-12, (168, 1) = -0.9025640604170987e-12, (168, 2) = 0.27639491870152004e-11, (168, 3) = 0.12308209011808183e-8, (168, 4) = 0.25224103801739054e-11, (168, 5) = -0.7614781499091382e-11, (168, 6) = -0.336442843827677e-13, (168, 7) = 0.1184536829449645e-12, (169, 1) = -0.7842921223495981e-12, (169, 2) = 0.27200541310057924e-11, (169, 3) = 0.12309247582023974e-8, (169, 4) = 0.2195560422415873e-11, (169, 5) = -0.752035432041767e-11, (169, 6) = -0.2868781128546623e-13, (169, 7) = 0.11257905769508853e-12, (170, 1) = -0.6712838397935098e-12, (170, 2) = 0.26781416441771932e-11, (170, 3) = 0.12310105895101172e-8, (170, 4) = 0.1881429399968058e-11, (170, 5) = -0.7429936109254022e-11, (170, 6) = -0.24110889621727452e-13, (170, 7) = 0.1071446837412809e-12, (171, 1) = -0.5631611547338676e-12, (171, 2) = 0.26380669883797786e-11, (171, 3) = 0.12310826986623688e-8, (171, 4) = 0.15819072978324664e-11, (171, 5) = -0.7343181172926194e-11, (171, 6) = -0.1987509570792081e-13, (171, 7) = 0.10210683924543437e-12, (172, 1) = -0.4595821765691131e-12, (172, 2) = 0.25996992004927467e-11, (172, 3) = 0.12311444178261443e-8, (172, 4) = 0.12922776880427693e-11, (172, 5) = -0.7259865303530753e-11, (172, 6) = -0.1594690713150054e-13, (172, 7) = 0.9742711634109024e-13, (173, 1) = -0.360239821686979e-12, (173, 2) = 0.256292258113084e-11, (173, 3) = 0.1231182643453054e-8, (173, 4) = 0.10145565202094742e-11, (173, 5) = -0.71797304253474045e-11, (173, 6) = -0.12296822976919166e-13, (173, 7) = 0.9307182871563279e-13, (174, 1) = -0.26485444170652493e-12, (174, 2) = 0.25276374440445824e-11, (174, 3) = 0.1231214457114319e-8, (174, 4) = 0.7475904889489019e-12, (174, 5) = -0.7102655072283805e-11, (174, 6) = -0.8898840022002288e-14, (174, 7) = 0.8901105773542986e-13, (175, 1) = -0.17317086532258958e-12, (175, 2) = 0.2493741836417416e-11, (175, 3) = 0.12312385732722901e-8, (175, 4) = 0.4895181132410539e-12, (175, 5) = -0.7028323739814668e-11, (175, 6) = -0.5729946700895339e-14, (175, 7) = 0.852184352526504e-13, (176, 1) = -0.8495682761705501e-13, (176, 2) = 0.24611493869265283e-11, (176, 3) = 0.1231250597216119e-8, (176, 4) = 0.2399942514572332e-12, (176, 5) = -0.6956738131751051e-11, (176, 6) = -0.2769726093823494e-14, (176, 7) = 0.8167037339566886e-13, (177, 1) = .0, (177, 2) = 0.24297727964088152e-11, (177, 3) = 0.12312559658094405e-8, (177, 4) = .0, (177, 5) = -0.6887584184124894e-11, (177, 6) = .0, (177, 7) = 0.7834600855072988e-13}, datatype = float[8], order = C_order); if not type(outpoint, 'numeric') then if outpoint = "start" or outpoint = "left" then return X[1] elif outpoint = "right" then return X[177] elif outpoint = "order" then return 8 elif outpoint = "error" then return HFloat(1.2934292747785471e-9) elif outpoint = "errorproc" then error "this is already the error procedure" elif outpoint = "rawdata" then return [7, 177, [chi(eta), diff(chi(eta), eta), f(eta), diff(f(eta), eta), diff(diff(f(eta), eta), eta), theta(eta), diff(theta(eta), eta)], X, Y] else return ('procname')(x_bvp) end if end if; if outpoint < X[1] or X[177] < outpoint then error "solution is only defined in the range %1..%2", X[1], X[177] end if; V := array([1 = 4, 2 = 0]); if Digits <= trunc(evalhf(Digits)) then L := Vector(4, 'datatype' = 'float'[8]); yout := Vector(7, 'datatype' = 'float'[8]); evalhf(`dsolve/numeric/lagrange`(177, 7, X, Y, outpoint, var(yout), var(L), var(V))) else L := Vector(4, 'datatype' = 'sfloat'); yout := Vector(7, 'datatype' = 'sfloat'); `dsolve/numeric/lagrange`(177, 7, X, Y, outpoint, yout, L, V) end if; [eta = outpoint, seq('[chi(eta), diff(chi(eta), eta), f(eta), diff(f(eta), eta), diff(diff(f(eta), eta), eta), theta(eta), diff(theta(eta), eta)]'[i] = yout[i], i = 1 .. 7)] end proc; if not type(outpoint, 'numeric') then if outpoint = "start" or outpoint = "left" then return X[1] elif outpoint = "method" then return "bvp" elif outpoint = "right" then return X[177] elif outpoint = "order" then return 8 elif outpoint = "error" then return HFloat(1.2934292747785471e-9) elif outpoint = "errorproc" then return eval(errproc) elif outpoint = "rawdata" then return [7, 177, "depnames", X, Y, YP] else error "non-numeric value" end if end if; if outpoint < X[1] or X[177] < outpoint then error "solution is only defined in the range %1..%2", X[1], X[177] end if; if Digits <= trunc(evalhf(Digits)) and (_EnvInFsolve <> true or _EnvDSNumericSaveDigits <= trunc(evalhf(Digits))) then V := array( 1 .. 6, [( 1 ) = (7), ( 2 ) = (0), ( 3 ) = (false), ( 4 ) = (false), ( 5 ) = (false), ( 6 ) = (false)  ] ); L := Matrix(7, 2, {(1, 1) = .0, (1, 2) = .0, (2, 1) = .0, (2, 2) = .0, (3, 1) = .0, (3, 2) = .0, (4, 1) = .0, (4, 2) = .0, (5, 1) = .0, (5, 2) = .0, (6, 1) = .0, (6, 2) = .0, (7, 1) = .0, (7, 2) = .0}, datatype = float[8], order = C_order); yout := Vector(7, {(1) = .0, (2) = .0, (3) = .0, (4) = .0, (5) = .0, (6) = .0, (7) = .0}, datatype = float[8]); evalhf(`dsolve/numeric/hermite`(177, 7, X, Y, YP, outpoint, var(yout), var(L), var(V))) else if _EnvInFsolve = true then Digits := _EnvDSNumericSaveDigits end if; V := array( 1 .. 6, [( 1 ) = (7), ( 2 ) = (0), ( 3 ) = (false), ( 4 ) = (false), ( 5 ) = (false), ( 6 ) = (false)  ] ); L := Matrix(7, 2, {(1, 1) = 0., (1, 2) = 0., (2, 1) = 0., (2, 2) = 0., (3, 1) = 0., (3, 2) = 0., (4, 1) = 0., (4, 2) = 0., (5, 1) = 0., (5, 2) = 0., (6, 1) = 0., (6, 2) = 0., (7, 1) = 0., (7, 2) = 0.}, order = C_order); yout := Vector(7, {(1) = 0., (2) = 0., (3) = 0., (4) = 0., (5) = 0., (6) = 0., (7) = 0.}); `dsolve/numeric/hermite`(177, 7, X, Y, YP, outpoint, yout, L, V) end if; [outpoint, seq(yout[i], i = 1 .. 7)] end proc, (2) = Array(1..8, {(1) = 18446744078246286542, (2) = 18446744078246287070, (3) = 18446744078246287246, (4) = 18446744078246287422, (5) = 18446744078246287598, (6) = 18446744078246287774, (7) = 18446744078246287950, (8) = 18446744078246288126}), (3) = [eta, chi(eta), diff(chi(eta), eta), f(eta), diff(f(eta), eta), diff(diff(f(eta), eta), eta), theta(eta), diff(theta(eta), eta)], (4) = 0}); solnproc := data[1]; if not type(outpoint, 'numeric') then if outpoint = "solnprocedure" then return eval(solnproc) elif member(outpoint, ["start", "left", "right", "errorproc", "rawdata", "order", "error"]) then return solnproc(eta) elif outpoint = "sysvars" then return data[3] elif procname <> unknown then return ('procname')(eta) else `diff(chi(eta),eta)` := pointto(data[2][3]); return ('`diff(chi(eta),eta)`')(eta) end if end if; try res := solnproc(outpoint); res[3] catch: error  end try end proc, f(eta) = proc (eta) local res, data, solnproc, `f(eta)`, outpoint; option `Copyright (c) 2000 by Waterloo Maple Inc. All rights reserved.`; _EnvDSNumericSaveDigits := Digits; Digits := 15; if _EnvInFsolve = true then outpoint := evalf[_EnvDSNumericSaveDigits](eta) else outpoint := evalf(eta) end if; data := Array(1..4, {(1) = proc (outpoint) local X, Y, YP, yout, errproc, L, V, i; option `Copyright (c) 2000 by Waterloo Maple Inc. All rights reserved.`; X := Vector(177, {(1) = .1, (2) = .13432431415631105, (3) = .16865165190091197, (4) = .202985958039896, (5) = .23732533659105348, (6) = .2716788241585104, (7) = .30604559361419775, (8) = .3404355394485909, (9) = .3748529011933503, (10) = .4093061022796795, (11) = .44380716982563195, (12) = .47836387534050584, (13) = .512995852912669, (14) = .5477165596092971, (15) = .5825440749488203, (16) = .617499631782922, (17) = .6526070635536141, (18) = .6878927128084736, (19) = .7233862578282453, (20) = .7591205797331673, (21) = .795131110399485, (22) = .8314537516454595, (23) = .868136597156794, (24) = .9052215072936881, (25) = .9427566773054169, (26) = .9807963691446203, (27) = 1.019390250121844, (28) = 1.0585930956320206, (29) = 1.0984604169171555, (30) = 1.1390444870104077, (31) = 1.1804077038174698, (32) = 1.222605314046431, (33) = 1.2656867522025514, (34) = 1.3097007904581703, (35) = 1.35469069615675, (36) = 1.4006929822839422, (37) = 1.447731690331962, (38) = 1.4958369065409785, (39) = 1.5450201198096045, (40) = 1.5952810827286137, (41) = 1.646612127195734, (42) = 1.6989954066809312, (43) = 1.7524040840585657, (44) = 1.806801993976599, (45) = 1.862146412251251, (46) = 1.9183893448840852, (47) = 1.9754805768192913, (48) = 2.0333655491409464, (49) = 2.09198758848087, (50) = 2.1512911903998386, (51) = 2.2112299885365556, (52) = 2.271742934464316, (53) = 2.3327750130678835, (54) = 2.3942834797609645, (55) = 2.4562254559367735, (56) = 2.518550408638634, (57) = 2.5812184684337374, (58) = 2.6441937416859225, (59) = 2.7074501856327, (60) = 2.770954649679994, (61) = 2.8346761833615464, (62) = 2.898592678498704, (63) = 2.962688121088583, (64) = 3.0269416312716424, (65) = 3.091328430651392, (66) = 3.155836619851239, (67) = 3.220454275768738, (68) = 3.285168541451302, (69) = 3.3499654130373253, (70) = 3.414829585389634, (71) = 3.4797579848516915, (72) = 3.5447435602802027, (73) = 3.609779652754643, (74) = 3.674861152412504, (75) = 3.7399848957435275, (76) = 3.8051508297379377, (77) = 3.8703655596105624, (78) = 3.935652421384301, (79) = 4.001077560861665, (80) = 4.0666510045970385, (81) = 4.132314229225371, (82) = 4.198000337516065, (83) = 4.263680764101562, (84) = 4.329336756026789, (85) = 4.394973340046662, (86) = 4.460588954073379, (87) = 4.526181509768576, (88) = 4.59174993915436, (89) = 4.6572937466339175, (90) = 4.722812832368339, (91) = 4.788307377913861, (92) = 4.853777459964835, (93) = 4.9192172921590585, (94) = 4.98463029125814, (95) = 5.0500209149724435, (96) = 5.115387283230868, (97) = 5.180725066182968, (98) = 5.246040278527776, (99) = 5.3113174587944965, (100) = 5.376570973389221, (101) = 5.44180368691663, (102) = 5.5070118178761875, (103) = 5.572199562571729, (104) = 5.637373294661837, (105) = 5.702517813103393, (106) = 5.767639827784657, (107) = 5.832736032997183, (108) = 5.897804505036399, (109) = 5.962849913789289, (110) = 6.0278771161534, (111) = 6.092882596362824, (112) = 6.157876605520855, (113) = 6.222850932401667, (114) = 6.287802017103068, (115) = 6.352734006431941, (116) = 6.4176483673997975, (117) = 6.482540451739694, (118) = 6.547416149850125, (119) = 6.6122680542862025, (120) = 6.677102130347337, (121) = 6.7419211005546, (122) = 6.8067248666742355, (123) = 6.871509114964304, (124) = 6.936266375612976, (125) = 7.0010059228545805, (126) = 7.065728682384006, (127) = 7.130434804847329, (128) = 7.195124539737002, (129) = 7.259798136520217, (130) = 7.324455844038698, (131) = 7.3890979060419335, (132) = 7.453724561298953, (133) = 7.518336044173569, (134) = 7.582932585751136, (135) = 7.647514413049672, (136) = 7.712081750883993, (137) = 7.776634831889643, (138) = 7.841173896857807, (139) = 7.905699203490006, (140) = 7.970211023056725, (141) = 8.034709635791245, (142) = 8.099195318161058, (143) = 8.163668350318732, (144) = 8.22812902562451, (145) = 8.292577648267015, (146) = 8.357014533032183, (147) = 8.42144000370015, (148) = 8.485854390888106, (149) = 8.550258023403897, (150) = 8.6146512403873, (151) = 8.679034390131827, (152) = 8.74340782797264, (153) = 8.807771917708358, (154) = 8.872127033100252, (155) = 8.93647355737236, (156) = 9.000811876240148, (157) = 9.065142395655199, (158) = 9.129062231749659, (159) = 9.190791738971976, (160) = 9.25002177586793, (161) = 9.306893224933363, (162) = 9.361586616509348, (163) = 9.414263699827062, (164) = 9.46506800130928, (165) = 9.514127801690371, (166) = 9.561558693204324, (167) = 9.60746518855213, (168) = 9.651942086110576, (169) = 9.695075631414408, (170) = 9.73694468456052, (171) = 9.777621794577053, (172) = 9.817172850818734, (173) = 9.855658388735026, (174) = 9.893134209297964, (175) = 9.929651857051025, (176) = 9.965259040121957, (177) = 10.0}, datatype = float[8], order = C_order); Y := Matrix(177, 7, {(1, 1) = 1.0, (1, 2) = -3.010283491881195, (1, 3) = -0.5e-1, (1, 4) = -.5, (1, 5) = 3.2549705904755624, (1, 6) = 1.0, (1, 7) = -2.2961168243517345, (2, 1) = .9116006400192896, (2, 2) = -2.2188140910266996, (2, 3) = -0.6542988930944998e-1, (2, 4) = -.40370802709261644, (2, 5) = 2.4361750640983972, (2, 6) = .9313148374425487, (2, 7) = -1.7587335888496072, (3, 1) = .8440668335083839, (3, 2) = -1.7515672684205508, (3, 3) = -0.7795914493005979e-1, (3, 4) = -.32904124123644557, (3, 5) = 1.950857483460543, (3, 6) = .8768325041094468, (3, 7) = -1.4395391386527499, (4, 1) = .7895472336660474, (4, 2) = -1.443419767334426, (4, 3) = -0.8817574136327207e-1, (4, 4) = -.2679158648423435, (4, 5) = 1.6295350420268857, (4, 6) = .831272138114754, (4, 7) = -1.2272759842281986, (5, 1) = .7439269688663698, (5, 2) = -1.2250712603116078, (5, 3) = -0.9646350877742356e-1, (5, 4) = -.21608666124952267, (5, 5) = 1.4009694099334766, (5, 6) = .7918687409370647, (5, 7) = -1.0753753559802985, (6, 1) = .7047645567594804, (6, 2) = -1.062293032083934, (6, 3) = -.10309608982056391, (6, 4) = -.1710281829224358, (6, 5) = 1.229921365777778, (6, 6) = .7569783455483658, (6, 7) = -.9608633361558743, (7, 1) = .670508499292611, (7, 2) = -.9363094708603249, (7, 3) = -.1082751849303922, (7, 4) = -.1311332340751042, (7, 5) = 1.097033665972045, (7, 6) = .725556739475722, (7, 7) = -.871143819024352, (8, 1) = .6400970314770135, (8, 2) = -.8359113795739894, (8, 3) = -.11215820698136195, (8, 4) = -0.9529846009910026e-1, (8, 5) = .9907326565311447, (8, 6) = .6968857043397841, (8, 7) = -.798694055572774, (9, 1) = .6127818638670864, (9, 2) = -.7540307621161558, (9, 3) = -.11486934685856202, (9, 4) = -0.6274515848045818e-1, (9, 5) = .903710629210698, (9, 6) = .6704589172997079, (9, 7) = -.7387684103204613, (10, 1) = .5880101630726342, (10, 2) = -.6859732537372588, (10, 3) = -.11650974862771135, (10, 4) = -0.3289635416421537e-1, (10, 5) = .8311070612968686, (10, 6) = .6459004421044664, (10, 7) = -.6882118043576506, (11, 1) = .5653617782847322, (11, 2) = -.6285004073713887, (11, 3) = -.11716276509404526, (11, 4) = -0.5312156394166294e-2, (11, 5) = .7695640956343914, (11, 6) = .6229228742706305, (11, 7) = -.64484492277093, (12, 1) = .5445141227529045, (12, 2) = -.5793166470382869, (12, 3) = -.11689775490014931, (12, 4) = 0.20345547838662725e-1, (12, 5) = .7166984974611179, (12, 6) = .6013055866744937, (12, 7) = -.6071216319336978, (13, 1) = .5252059891093054, (13, 2) = -.5367311431212949, (13, 3) = -.11577285556558614, (13, 4) = 0.44352419520146014e-1, (13, 5) = .6707519723642751, (13, 6) = .5808668967259533, (13, 7) = -.5739002262529861, (14, 1) = .5072310763583526, (14, 2) = -.49948942467589225, (14, 3) = -.113836968901507, (14, 4) = 0.6692621623257643e-1, (14, 5) = .6304185015498383, (14, 6) = .5614637545616503, (14, 7) = -.5443331052943612, (15, 1) = .4904191420808039, (15, 2) = -.46663169018318124, (15, 3) = -.11113120062283205, (15, 4) = 0.882475828156531e-1, (15, 5) = .5946973362482103, (15, 6) = .5429767216798966, (15, 7) = -.5177703096857598, (16, 1) = .47462847032783395, (16, 2) = -.43741237094615587, (16, 3) = -.10768980917681761, (16, 4) = .10846767050378146, (16, 5) = .5628099475659347, (16, 6) = .5253052925364996, (16, 7) = -.49370579887626914, (17, 1) = .45973994111746974, (17, 2) = -.4112440008745413, (17, 3) = -.10354099578541562, (17, 4) = .12771421698659408, (17, 5) = .5341419874792643, (17, 6) = .5083640692975898, (17, 7) = -.4717398711807749, (18, 1) = .4456524312660702, (18, 2) = -.3876575548580043, (18, 3) = -0.987075140842896e-1, (18, 4) = .14609630418834832, (18, 5) = .5082022267347898, (18, 6) = .49207972636782243, (18, 7) = -.45155255379360504, (19, 1) = .43227900759396704, (19, 2) = -.3662736309623723, (19, 3) = -0.932070026083659e-1, (19, 4) = .1637083931514831, (19, 5) = .48459265857890527, (19, 6) = .47638833270765585, (19, 7) = -.4328841497234415, (20, 1) = .41954437259728117, (20, 2) = -.34678216572683396, (20, 3) = -0.8705230179329684e-1, (20, 4) = .18063295456195466, (20, 5) = .4629874722134205, (20, 6) = .46123371189807766, (20, 7) = -.41552163184362956, (21, 1) = .40738304871718267, (21, 2) = -.32892767036417664, (21, 3) = -0.8025181273703264e-1, (21, 4) = .1969422817914571, (21, 5) = .4431177566148181, (21, 6) = .44656638757907796, (21, 7) = -.39928880193030747, (22, 1) = .3957383812536956, (22, 2) = -.31249869978237255, (22, 3) = -0.7281016245788906e-1, (22, 4) = .21269931606763323, (22, 5) = .42476063372747375, (22, 6) = .43234331147984484, (22, 7) = -.38403945114777954, (23, 1) = .3845575897267605, (23, 2) = -.29731416431452806, (23, 3) = -0.647258610678675e-1, (23, 4) = .2279639568142309, (23, 5) = .40772462385587316, (23, 6) = .41852254000091954, (23, 7) = -.36964681487130585, (24, 1) = .37379664354289055, (24, 2) = -.28322501684036205, (24, 3) = -0.5599517983139291e-1, (24, 4) = .2427861347723762, (24, 5) = .3918520439519158, (24, 6) = .405069802195059, (24, 7) = -.3560068471972505, (25, 1) = .36341537175628497, (25, 2) = -.2701033420412026, (25, 3) = -0.4660967679615468e-1, (25, 4) = .2572121554674377, (25, 5) = .37700721405190146, (25, 6) = .39195303795515646, (25, 7) = -.3430294380682383, (26, 1) = .3533770946126125, (26, 2) = -.2578389396986893, (26, 3) = -0.3655606175762054e-1, (26, 4) = .2712850292677997, (26, 5) = .36307292252881584, (26, 6) = .3791423103767972, (26, 7) = -.3306361874020015, (27, 1) = .3436508736010304, (27, 2) = -.24633953213188772, (27, 3) = -0.2581904091109644e-1, (27, 4) = .28504110605404537, (27, 5) = .3499509645976493, (27, 6) = .3666130638370115, (27, 7) = -.3187617238807888, (28, 1) = .3342083390670267, (28, 2) = -.23552476168366415, (28, 3) = -0.1437893723914758e-1, (28, 4) = .29851430859060935, (28, 5) = .33755558003287145, (28, 6) = .35434243786971953, (28, 7) = -.3073486098948925, (29, 1) = .32502443519684, (29, 2) = -.2253255020912264, (29, 3) = -0.2212880763571889e-2, (29, 4) = .3117349359672634, (29, 5) = .32581286288190825, (29, 6) = .3423104953946207, (29, 7) = -.29634737207014694, (30, 1) = .31607786546540023, (30, 2) = -.2156829331351726, (30, 3) = 0.1070379518066878e-1, (30, 4) = .324728843808106, (30, 5) = .31465989354105117, (30, 6) = .3305010849621276, (30, 7) = -.28571629053101066, (31, 1) = .3073478049653732, (31, 2) = -.2065438873825929, (31, 3) = 0.24401723478456858e-1, (31, 4) = .33752207959661373, (31, 5) = .304039516592149, (31, 6) = .3188977264061976, (31, 7) = -.2754169157752743, (32, 1) = .29881745159040424, (32, 2) = -.19786380124231495, (32, 3) = 0.3891198298875327e-1, (32, 4) = .35013561530865284, (32, 5) = .29390388011792296, (32, 6) = .3074884833376804, (32, 7) = -.26541783827718834, (33, 1) = .29047317259933714, (33, 2) = -.18960486731359524, (33, 3) = 0.54266026383219236e-1, (33, 4) = .36258639522561675, (33, 5) = .2842124423413447, (33, 6) = .29626505510184786, (33, 7) = -.2556932617203244, (34, 1) = .28230310705588524, (34, 2) = -.18173393918032565, (34, 3) = 0.7049716580583928e-1, (34, 4) = .37488926686015167, (34, 5) = .2749296363719141, (34, 6) = .2852210611168979, (34, 7) = -.2462210635577509, (35, 1) = .27429780407556603, (35, 2) = -.17422262687378032, (35, 3) = 0.8763858849715334e-1, (35, 4) = .3870559122413701, (35, 5) = .26602507525248614, (35, 6) = .2743530179070213, (35, 7) = -.2369833048528358, (36, 1) = .26645007878841165, (36, 2) = -.16704665751311357, (36, 3) = .10572246440316273, (36, 4) = .3990949249001731, (36, 5) = .2574728923416692, (36, 6) = .2636602500529938, (36, 7) = -.2279658642184645, (37, 1) = .25875557734659277, (37, 2) = -.1601859421542037, (37, 3) = .12477714314440705, (37, 4) = .41101078776726396, (37, 5) = .24925191600226893, (37, 6) = .25314574105926013, (37, 7) = -.2191589209315012, (38, 1) = .2512094376242596, (38, 2) = -.15362126746579838, (38, 3) = .14483420719255005, (38, 4) = .42280892511572515, (38, 5) = .24134177847648824, (38, 6) = .24281161292316816, (38, 7) = -.21055300577533773, (39, 1) = .2438100685063101, (39, 2) = -.14733741986174867, (39, 3) = .1659180940582039, (39, 4) = .4344897565601667, (39, 5) = .23372671477717596, (39, 6) = .23266430393009532, (39, 7) = -.2021432253147483, (40, 1) = .23655756740858105, (40, 2) = -.14132147717760368, (40, 3) = .18804805051420714, (40, 4) = .44605098876584576, (40, 5) = .22639358970698623, (40, 6) = .22271240560604702, (40, 7) = -.19392734410767049, (41, 1) = .2294527959629172, (41, 2) = -.1355618535661384, (41, 3) = .211239426287894, (41, 4) = .4574889782290803, (41, 5) = .21933078665833716, (41, 6) = .21296535700731722, (41, 7) = -.18590465201723103, (42, 1) = .22249756111172841, (42, 2) = -.13004833389409315, (42, 3) = .23550196617307032, (42, 4) = .4687983695351276, (42, 5) = .21252828358414444, (42, 6) = .20343363443866733, (42, 7) = -.17807609406978153, (43, 1) = .21569423982605018, (43, 2) = -.12477167494006297, (43, 3) = .2608398253939708, (43, 4) = .4799726300795009, (43, 5) = .20597719438448733, (43, 6) = .19412816320881474, (43, 7) = -.17044377008176909, (44, 1) = .2090456528136725, (44, 2) = -.11972344246799402, (44, 3) = .2872509358297023, (44, 4) = .49100420281898555, (44, 5) = .19966959020759237, (44, 6) = .18506006069338682, (44, 7) = -.16301071564836836, (45, 1) = .20255459512253304, (45, 2) = -.1148956147475554, (45, 3) = .3147279299901195, (45, 4) = .5018852472953027, (45, 5) = .1935980202293324, (45, 6) = .17623990793629188, (45, 7) = -.15578029883884625, (46, 1) = .19622362924938264, (46, 2) = -.11028042171087489, (46, 3) = .34325850718834033, (46, 4) = .5126079809791431, (46, 5) = .1877553133493232, (46, 6) = .1676773875746207, (46, 7) = -.14875591411024416, (47, 1) = .19005473802029896, (47, 2) = -.10587010196399801, (47, 3) = .3728268197038715, (47, 4) = .5231652841517149, (47, 5) = .18213426698507848, (47, 6) = .15938074653118098, (47, 7) = -.14194052404260726, (48, 1) = .18404958719476303, (48, 2) = -.10165710878026424, (48, 3) = .4034123048724468, (48, 4) = .5335502837116244, (48, 5) = .1767279011977732, (48, 6) = .15135709780087095, (48, 7) = -.13533687973410663, (49, 1) = .1782093093546209, (49, 2) = -0.976339646318128e-1, (49, 3) = .434990761252832, (49, 4) = .5437567517407721, (49, 5) = .17152926762281148, (49, 6) = .1436120885672883, (49, 7) = -.12894721237733586, (50, 1) = .172534243624339, (50, 2) = -0.9379309915858196e-1, (50, 3) = .46753615565531664, (50, 4) = .5537796082939569, (50, 5) = .1665312288048679, (50, 6) = .13614953718018194, (50, 7) = -.12277288786102344, (51, 1) = .16702332229465286, (51, 2) = -0.9012646774014009e-1, (51, 3) = .501025271803289, (51, 4) = .5636160898088879, (51, 5) = .16172593962052867, (51, 6) = .1289706483940657, (51, 7) = -.11681369761445241, (52, 1) = .16167636746547506, (52, 2) = -0.8662709254567018e-1, (52, 3) = .5354245937655286, (52, 4) = .5732617138385044, (52, 5) = .1571068532547171, (52, 6) = .12207703121748083, (52, 7) = -.11107030160152458, (53, 1) = .15649217188922715, (53, 2) = -0.832877606097653e-1, (53, 3) = .5707017632972221, (53, 4) = .5827137094120911, (53, 5) = .15266702144547653, (53, 6) = .11546819718098544, (53, 7) = -.10554209857792878, (54, 1) = .1514681638565417, (54, 2) = -0.8010083796586685e-1, (54, 3) = .6068296591707916, (54, 4) = .5919717359930652, (54, 5) = .1483988206956467, (54, 6) = .10914121738711419, (54, 7) = -.1002268626526667, (55, 1) = .14660160234777767, (55, 2) = -0.7705904545671184e-1, (55, 3) = .6437795928327126, (55, 4) = .6010357808561354, (55, 5) = .14429496914815607, (55, 6) = .10309232375018078, (55, 7) = -0.9512201172172534e-1, (56, 1) = .14189016294329682, (56, 2) = -0.7415579244743617e-1, (56, 3) = .6815167857151943, (56, 4) = .609905070263442, (56, 5) = .14034898646161215, (56, 6) = 0.9731766543861783e-1, (56, 7) = -0.9022519334264704e-1, (57, 1) = .13733055115840967, (57, 2) = -0.7138429207106428e-1, (57, 3) = .7200114369835326, (57, 4) = .6185806833233924, (57, 5) = .13655400028046524, (57, 6) = 0.9181164277759303e-1, (57, 7) = -0.8553282185600106e-1, (58, 1) = .13291913685185686, (58, 2) = -0.6873795031830646e-1, (58, 3) = .7592350640821742, (58, 4) = .6270644277840627, (58, 5) = .1329032634057901, (58, 6) = 0.8656778272546026e-1, (58, 7) = -0.8104075700907686e-1, (59, 1) = .1286516327741731, (59, 2) = -0.6621016059961132e-1, (59, 3) = .799164460031636, (59, 4) = .6353595080809519, (59, 5) = .12938986575267097, (59, 6) = 0.8157844377519083e-1, (59, 7) = -0.7674399557867947e-1, (60, 1) = .12452430619411357, (60, 2) = -0.6379500379743547e-1, (60, 3) = .839771230939577, (60, 4) = .6434682068578423, (60, 5) = .12600770681463422, (60, 6) = 0.7683631058969256e-1, (60, 7) = -0.7263791038699614e-1, (61, 1) = .12053332346250112, (61, 2) = -0.6148682506048283e-1, (61, 3) = .8810276084176722, (61, 4) = .6513931420513931, (61, 5) = .12275092222076696, (61, 6) = 0.723336551457202e-1, (61, 7) = -0.687175841247968e-1, (62, 1) = .11667438654168381, (62, 2) = -0.5928000637071922e-1, (62, 3) = .9229109557024708, (62, 4) = .6591380172829979, (62, 5) = .11961356381867923, (62, 6) = 0.6806199777754275e-1, (62, 7) = -0.6497747609164842e-1, (63, 1) = .11294298648362892, (63, 2) = -0.57169100695410174e-1, (63, 3) = .9654023076310734, (63, 4) = .6667071615807357, (63, 5) = .11658978562213738, (63, 6) = 0.6401247882339202e-1, (63, 7) = -0.6141170855360152e-1, (64, 1) = .10933506387603534, (64, 2) = -0.5514918379084914e-1, (64, 3) = 1.0084792288200035, (64, 4) = .674104198640308, (64, 5) = .11367435428569851, (64, 6) = 0.6017662590041298e-1, (64, 7) = -0.58014717648254485e-1, (65, 1) = .10584689988050607, (65, 2) = -0.53215760915675155e-1, (65, 3) = 1.0521163069669728, (65, 4) = .6813322323771271, (65, 5) = .11086253363996139, (65, 6) = 0.5654623868694521e-1, (65, 7) = -0.5478114175121917e-1, (66, 1) = .10247421278276006, (66, 2) = -0.51364246219493405e-1, (66, 3) = 1.0962965827078632, (66, 4) = .6883957184775215, (66, 5) = .10814933543258673, (66, 6) = 0.5311248462877352e-1, (66, 7) = -0.51704999820689775e-1, (67, 1) = 0.9921290988322891e-1, (67, 2) = -0.4959036780155851e-1, (67, 3) = 1.141003046528324, (67, 4) = .6952989342332647, (67, 5) = .1055301079545874, (67, 6) = 0.4986674411817201e-1, (67, 7) = -0.4878042451768817e-1, (68, 1) = 0.9605911922500847e-1, (68, 2) = -0.4789016423374489e-1, (68, 3) = 1.186218001626672, (68, 4) = .7020458967717208, (68, 5) = .10300054210288584, (68, 6) = 0.4680065855233838e-1, (68, 7) = -0.4600169882505357e-1, (69, 1) = 0.9300918118628577e-1, (69, 2) = -0.4625996072380607e-1, (69, 3) = 1.2319228849172166, (69, 4) = .7086403636416022, (69, 5) = .10055664721832, (69, 6) = 0.4390613308737576e-1, (69, 7) = -0.4336325445354654e-1, (70, 1) = 0.9005963726896335e-1, (70, 2) = -0.44696345792792136e-1, (70, 3) = 1.2780981239439666, (70, 4) = .715085840088841, (70, 5) = 0.9819472668269251e-1, (70, 6) = 0.4117533490884553e-1, (70, 7) = -0.4085966769265928e-1, (71, 1) = 0.8720662809616934e-1, (71, 2) = -0.43195840295262154e-1, (71, 3) = 1.3247328641656022, (71, 4) = .7213868990604615, (71, 5) = 0.959108824037368e-1, (71, 6) = 0.3860016386916169e-1, (71, 7) = -0.3848516856421221e-1, (72, 1) = 0.8444665201022808e-1, (72, 2) = -0.417552894446388e-1, (72, 3) = 1.3718135605563158, (72, 4) = .7275475329006473, (72, 5) = 0.9370160979020452e-1, (72, 6) = 0.3617298491606246e-1, (72, 7) = -0.36234307802151734e-1, (73, 1) = 0.8177634831364401e-1, (73, 2) = -0.4037173402203197e-1, (73, 3) = 1.419327053967124, (73, 4) = .7335716098404168, (73, 5) = 0.9156361245610806e-1, (73, 6) = 0.33886428452975216e-1, (73, 7) = -0.3410177625172606e-1, (74, 1) = 0.7919244512824229e-1, (74, 2) = -0.3904237227030642e-1, (74, 3) = 1.4672614347298802, (74, 4) = .7394629834350771, (74, 5) = 0.8949375010756808e-1, (74, 6) = 0.3173335356974858e-1, (74, 7) = -0.3208237199793818e-1, (75, 1) = 0.766917452786738e-1, (75, 2) = -0.3776454319644946e-1, (75, 3) = 1.5156063797855175, (75, 4) = .7452255211846236, (75, 5) = 0.8748901780777456e-1, (75, 6) = 0.29706846489508134e-1, (75, 7) = -0.30171000378395537e-1, (76, 1) = 0.7427108666571063e-1, (76, 2) = -0.3653569801566861e-1, (76, 3) = 1.56435407644909, (76, 4) = .7508631948003112, (76, 5) = 0.8554650554414327e-1, (76, 6) = 0.2780019888614298e-1, (76, 7) = -0.2836265544217905e-1, (77, 1) = 0.7192722598819627e-1, (77, 2) = -0.35353334471828785e-1, (77, 3) = 1.6135019844319525, (77, 4) = .7563803576967835, (77, 5) = 0.8366329666302517e-1, (77, 6) = 0.26006831606669372e-1, (77, 7) = -0.26652349069398753e-1, (78, 1) = 0.6965652211426684e-1, (78, 2) = -0.34214833644028164e-1, (78, 3) = 1.6630606783505262, (78, 4) = .7617825194247292, (78, 5) = 0.818362046768005e-1, (78, 6) = 0.24320085139015783e-1, (78, 7) = -0.25034910053607307e-1, (79, 1) = 0.6745415227431711e-1, (79, 2) = -0.33117070324267625e-1, (79, 3) = 1.713074277652851, (79, 4) = .7670782989058776, (79, 5) = 0.8006113071928549e-1, (79, 6) = 0.22732717743348157e-1, (79, 7) = -0.23504494462123514e-1, (80, 1) = 0.653174926532069e-1, (80, 2) = -0.3205809437838403e-1, (80, 3) = 1.7635451239012367, (80, 4) = .7722713266005171, (80, 5) = 0.7833577907306599e-1, (80, 6) = 0.21239367364873103e-1, (80, 7) = -0.22056961396677732e-1, (81, 1) = 0.6324618571466564e-1, (81, 2) = -0.31037127966861342e-1, (81, 3) = 1.8144226145450653, (81, 4) = .7773598019042196, (81, 5) = 0.766597219644611e-1, (81, 6) = 0.19836363389372388e-1, (81, 7) = -0.20689736141079718e-1, (82, 1) = 0.6123998503307529e-1, (82, 2) = -0.3005347880465721e-1, (82, 3) = 1.8656485564000036, (82, 4) = .7823415773762875, (82, 5) = 0.7503266612459865e-1, (82, 6) = 0.18520102723197866e-1, (82, 7) = -0.1940025706534461e-1, (83, 1) = 0.5929737180297433e-1, (83, 2) = -0.2910586428826123e-1, (83, 3) = 1.9171937834263597, (83, 4) = .787217633956304, (83, 5) = 0.7345332619263635e-1, (83, 6) = 0.17286186479976352e-1, (83, 7) = -0.181851232611352e-1, (84, 1) = 0.5741655133464861e-1, (84, 2) = -0.28192907817684805e-1, (84, 3) = 1.9690365465074622, (84, 4) = .7919897115240078, (84, 5) = 0.7192022274910066e-1, (84, 6) = 0.16130164422757658e-1, (84, 7) = -0.17040811610716092e-1, (85, 1) = 0.555951180848402e-1, (85, 2) = -0.27312978136185835e-1, (85, 3) = 2.021173890970974, (85, 4) = .7966612137325211, (85, 5) = 0.7043140181072279e-1, (85, 6) = 0.15047373779686386e-1, (85, 7) = -0.15963513643715645e-1, (86, 1) = 0.53830960098087494e-1, (86, 2) = -0.2646462746652903e-1, (86, 3) = 2.0735978784815954, (86, 4) = .8012349398472144, (86, 5) = 0.6898516657212175e-1, (86, 6) = 0.1403351479043102e-1, (86, 7) = -0.14949706357927807e-1, (87, 1) = 0.521220691902015e-1, (87, 2) = -0.25646494959249203e-1, (87, 3) = 2.1263003114377943, (87, 4) = .8057135493898496, (87, 5) = 0.6757992094013747e-1, (87, 6) = 0.13084520237125303e-1, (87, 7) = -0.139960292467264e-1, (88, 1) = 0.50466495504684544e-1, (88, 2) = -0.2485728164590901e-1, (88, 3) = 2.1792739683535407, (88, 4) = .810099673559902, (88, 5) = 0.662141300173103e-1, (88, 6) = 0.12196523093985182e-1, (88, 7) = -0.13099256789703594e-1, (89, 1) = 0.4886235775707648e-1, (89, 2) = -0.24095752574361837e-1, (89, 3) = 2.2325122557439467, (89, 4) = .81439588423751, (89, 5) = 0.6488632633494537e-1, (89, 6) = 0.11365857148876791e-1, (89, 7) = -0.12256303574946446e-1, (90, 1) = 0.47307845059216785e-1, (90, 2) = -0.23360735056253266e-1, (90, 3) = 2.2860090697577875, (90, 4) = .8186046839450801, (90, 5) = 0.6359510950556727e-1, (90, 6) = 0.1058905185381353e-1, (90, 7) = -0.11464223580929493e-1, (91, 1) = 0.4580121666136627e-1, (91, 2) = -0.2265111611151706e-1, (91, 3) = 2.3397587042276045, (91, 4) = .8227285009951595, (91, 5) = 0.6233914441576576e-1, (91, 6) = 0.9862825614015936e-2, (91, 7) = -0.107202077302794e-1, (92, 1) = 0.4434080733778398e-1, (92, 2) = -0.2196584274078579e-1, (92, 3) = 2.393755530962878, (92, 4) = .8267696687449231, (92, 5) = 0.61117164378142505e-1, (92, 6) = 0.9184081388015965e-2, (92, 7) = -0.10021583648716392e-1, (93, 1) = 0.42925145853717636e-1, (93, 2) = -0.2130397508619256e-1, (93, 3) = 2.4479892081920704, (93, 4) = .8307300855152587, (93, 5) = 0.5992806977704981e-1, (93, 6) = 0.8549951249578833e-2, (93, 7) = -0.9365866049369924e-2, (94, 1) = 0.4155262130359708e-1, (94, 2) = -0.2066452832678662e-1, (94, 3) = 2.502457135574029, (94, 4) = .8346121380272766, (94, 5) = 0.5877064728357242e-1, (94, 6) = 0.7957637886648394e-2, (94, 7) = -0.8750596954165865e-2, (95, 1) = 0.40221673082686e-1, (95, 2) = -0.20046560655054453e-1, (95, 3) = 2.5571577851500775, (95, 4) = .8384181810565843, (95, 5) = 0.57643726773201474e-1, (95, 6) = 0.7404501824848323e-2, (95, 7) = -0.8173438423547898e-2, (96, 1) = 0.3893093363217918e-1, (96, 2) = -0.19449237677365155e-1, (96, 3) = 2.6120844990926924, (96, 4) = .8421501190891273, (96, 5) = 0.5654630194311316e-1, (96, 6) = 0.6888111282844666e-2, (96, 7) = -0.7632228495991538e-2, (97, 1) = 0.3767913294059378e-1, (97, 2) = -0.1887178595166975e-1, (97, 3) = 2.667228654188966, (97, 4) = .8458096605035292, (97, 5) = 0.5547745035158284e-1, (97, 6) = 0.64061892384546576e-2, (97, 7) = -0.7124930043201029e-2, (98, 1) = 0.36464855030914144e-1, (98, 2) = -0.18313379572760476e-1, (98, 3) = 2.7225904821560354, (98, 4) = .8493990293787306, (98, 5) = 0.5443612442522976e-1, (98, 6) = 0.59565158905427445e-2, (98, 7) = -0.6649530877556062e-2, (99, 1) = 0.35287129676639724e-1, (99, 2) = -0.17773411236805755e-1, (99, 3) = 2.7781521098313138, (99, 4) = .8529192148774755, (99, 5) = 0.5342165809334678e-1, (99, 6) = 0.5537143446706783e-2, (99, 7) = -0.6204273518435405e-2, (100, 1) = 0.3414448775408405e-1, (100, 2) = -0.17251057251932208e-1, (100, 3) = 2.8339211154523043, (100, 4) = .8563727717832911, (100, 5) = 0.52432954840383246e-1, (100, 6) = 0.5146045985976234e-2, (100, 7) = -0.5787287135105179e-2, (101, 1) = 0.3303572907131051e-1, (101, 2) = -0.16745629644977163e-1, (101, 3) = 2.8898955064608667, (101, 4) = .8597615482839938, (101, 5) = 0.51469145618834776e-1, (101, 6) = 0.4781398495554278e-2, (101, 7) = -0.5396885129046895e-2, (102, 1) = 0.3195981073286776e-1, (102, 2) = -0.16256523054212938e-1, (102, 3) = 2.94606770601317, (102, 4) = .8630869913915394, (102, 5) = 0.5052949522528311e-1, (102, 6) = 0.4441521516255529e-2, (102, 7) = -0.5031509922179083e-2, (103, 1) = 0.30915598137938833e-1, (103, 2) = -0.15783100427777905e-1, (103, 3) = 3.002437108550583, (103, 4) = .8663509059017817, (103, 5) = 0.49613185415921565e-1, (103, 6) = 0.4124794717803363e-2, (103, 7) = -0.4689642631979475e-2, (104, 1) = 0.29901970845921482e-1, (104, 2) = -0.15324740843082107e-1, (104, 3) = 3.0590051626175123, (104, 4) = .8695551374490673, (104, 5) = 0.487194055183293e-1, (104, 6) = 0.3829690331967739e-2, (104, 7) = -0.4369840628700971e-2, (105, 1) = 0.2891817845755974e-1, (105, 2) = -0.14880999220591645e-1, (105, 3) = 3.1157546708604014, (105, 4) = .8727004295170955, (105, 5) = 0.47847667825719004e-1, (105, 6) = 0.3554866924305937e-2, (105, 7) = -0.40708417306626115e-2, (106, 1) = 0.27963163270254478e-1, (106, 2) = -0.1445129941189121e-1, (106, 3) = 3.1726875343071246, (106, 4) = .8757885621654562, (106, 5) = 0.4699721013074634e-1, (106, 6) = 0.3298968129327067e-2, (106, 7) = -0.3791347889312316e-2, (107, 1) = 0.27036054474744546e-1, (107, 2) = -0.1403515704995601e-1, (107, 3) = 3.2297970324116263, (107, 4) = .8788207857953696, (107, 5) = 0.46167431512408715e-1, (107, 6) = 0.30607620642720077e-2, (107, 7) = -0.35301779967586255e-2, (108, 1) = 0.26135990182439874e-1, (108, 2) = -0.136320985542424e-1, (108, 3) = 3.287077717628753, (108, 4) = .8817983817939085, (108, 5) = 0.45357735223466554e-1, (108, 6) = 0.2839085862681523e-2, (108, 7) = -0.3286209314341815e-2, (109, 1) = 0.25262050106508706e-1, (109, 2) = -0.13241630697811596e-1, (109, 3) = 3.3445300453631157, (109, 4) = .8847228903452787, (109, 5) = 0.44567467123514615e-1, (109, 6) = 0.26328275024835607e-2, (109, 7) = -0.30583587722556906e-2, (110, 1) = 0.24413349314602834e-1, (110, 2) = -0.12863282318672776e-1, (110, 3) = 3.4021547804570993, (110, 4) = .887595805636143, (110, 5) = 0.437959990098312e-1, (110, 6) = 0.24409471805914122e-2, (110, 7) = -0.2845607745492162e-2, (111, 1) = 0.23589143691971477e-1, (111, 2) = -0.12496650693252929e-1, (111, 3) = 3.459945373101773, (111, 4) = .8904182090864114, (111, 5) = 0.430428253565388e-1, (111, 6) = 0.22624955246276683e-2, (111, 7) = -0.2647023818928518e-2, (112, 1) = 0.22788544500633067e-1, (112, 2) = -0.12141274016994663e-1, (112, 3) = 3.517907612668944, (112, 4) = .8931917390779196, (112, 5) = 0.4230730313112941e-1, (112, 6) = 0.20965469627233866e-2, (112, 7) = -0.2461688048783101e-2, (113, 1) = 0.2201092154264269e-1, (113, 2) = -0.1179681022215186e-1, (113, 3) = 3.576030939938064, (113, 4) = .8959172018453189, (113, 5) = 0.4158902099552602e-1, (113, 6) = 0.19422823318737763e-2, (113, 7) = -0.228878818143032e-2, (114, 1) = 0.2125560521689302e-1, (114, 2) = -0.11462903989906546e-1, (114, 3) = 3.6343089625327116, (114, 4) = .8985955842843032, (114, 5) = 0.4088752771952661e-1, (114, 6) = 0.17989202787508094e-2, (114, 7) = -0.21275434552632607e-2, (115, 1) = 0.20521859851746347e-1, (115, 2) = -0.11139174973080628e-1, (115, 3) = 3.6927422713816003, (115, 4) = .901228160676181, (115, 5) = 0.40202305706456845e-1, (115, 6) = 0.16657125158263998e-2, (115, 7) = -0.1977199961864016e-2, (116, 1) = 0.19809007610044085e-1, (116, 2) = -0.10825272392179685e-1, (116, 3) = 3.7513291524005035, (116, 4) = .9038160568685645, (116, 5) = 0.3953288543830951e-1, (116, 6) = 0.15419656732920172e-2, (116, 7) = -0.18370560679884847e-2, (117, 1) = 0.19116459219134217e-1, (117, 2) = -0.10520888096597018e-1, (117, 3) = 3.8100624347040353, (117, 4) = .9063601272182191, (117, 5) = 0.38878875566455126e-1, (117, 6) = 0.14270421589284107e-2, (117, 7) = -0.1706464442997396e-2, (118, 1) = 0.1844353362888209e-1, (118, 2) = -0.10225676992181737e-1, (118, 3) = 3.868944547638398, (118, 4) = .9088616122353441, (118, 5) = 0.38239793038485445e-1, (118, 6) = 0.13203272362793043e-2, (118, 7) = -0.15847955131765516e-2, (119, 1) = 0.17789709594853653e-1, (119, 2) = -0.9939367324640893e-2, (119, 3) = 3.9279659277100545, (119, 4) = .9113212093702816, (119, 5) = 0.376153011508749e-1, (119, 6) = 0.12212679341659727e-2, (119, 7) = -0.14714824659729727e-2, (120, 1) = 0.1715434821401846e-1, (120, 2) = -0.966163872941871e-2, (120, 3) = 3.9871292234576647, (120, 4) = .9137401023351425, (120, 5) = 0.3700494616750579e-1, (120, 6) = 0.11293267277753402e-2, (120, 7) = -0.1365969153112434e-2, (121, 1) = 0.1653686685477603e-1, (121, 2) = -0.9392198385188308e-2, (121, 3) = 4.046434233913541, (121, 4) = .9161193161473176, (121, 5) = 0.3640832219382344e-1, (121, 6) = 0.10440074614222617e-2, (121, 7) = -0.12677402606956771e-2, (122, 1) = 0.1593672984453655e-1, (122, 2) = -0.9130776619449235e-2, (122, 3) = 4.105878254180306, (122, 4) = .918459743389031, (122, 5) = 0.3582506324812699e-1, (122, 6) = 0.9648508034309002e-3, (122, 7) = -0.11763168046591919e-2, (123, 1) = 0.15353456370083519e-1, (123, 2) = -0.8877130053322135e-2, (123, 3) = 4.165454756028964, (123, 4) = .9207621042586911, (123, 5) = 0.3525485195379574e-1, (123, 6) = 0.8914323837445772e-3, (123, 7) = -0.10912546315821271e-2, (124, 1) = 0.14786605499051348e-1, (124, 2) = -0.8631034803741748e-2, (124, 3) = 4.2251543164998395, (124, 4) = .9230269958510547, (124, 5) = 0.3469740599658427e-1, (124, 6) = 0.8233581730263291e-3, (124, 7) = -0.10121396610135644e-2, (125, 1) = 0.1423560509441761e-1, (125, 2) = -0.8392212157745564e-2, (125, 3) = 4.28498299546985, (125, 4) = .925255580609136, (125, 5) = 0.34152309214020814e-1, (125, 6) = 0.760243103053324e-3, (125, 7) = -0.938563455856944e-3, (126, 1) = 0.1369997590376947e-1, (126, 2) = -0.8160425838712085e-2, (126, 3) = 4.344939248308072, (126, 4) = .9274486979359966, (126, 5) = 0.33619231067228195e-1, (126, 6) = 0.7017373197944904e-3, (126, 7) = -0.8701541170718898e-3, (127, 1) = 0.13179260839270365e-1, (127, 2) = -0.7935451067583034e-2, (127, 3) = 4.405020871401772, (127, 4) = .9296071384367649, (127, 5) = 0.3309785803833924e-1, (127, 6) = 0.6475153511061355e-3, (127, 7) = -0.8065641728294864e-3, (128, 1) = 0.12673016774717254e-1, (128, 2) = -0.7717070876205519e-2, (128, 3) = 4.465225806438151, (128, 4) = .9317316751472142, (128, 5) = 0.3258788569860931e-1, (128, 6) = 0.5972736864292357e-3, (128, 7) = -0.7474681438722301e-3, (129, 1) = 0.12180814856644654e-1, (129, 2) = -0.7505076125168032e-2, (129, 3) = 4.525552047703438, (129, 4) = .9338230607702328, (129, 5) = 0.32089019152014744e-1, (129, 6) = 0.5507294602302875e-3, (129, 7) = -0.6925613591197516e-3, (130, 1) = 0.11702239989818099e-1, (130, 2) = -0.7299265171632634e-2, (130, 3) = 4.585997640127296, (130, 4) = .9358820282972874, (130, 5) = 0.31600972661932875e-1, (130, 6) = 0.5076191202028123e-3, (130, 7) = -0.6415587231086209e-3, (131, 1) = 0.11236890371623526e-1, (131, 2) = -0.7099443565783825e-2, (131, 3) = 4.64656067373754, (131, 4) = .9379092914859827, (131, 5) = 0.31123469324561948e-1, (131, 6) = 0.4676971775487788e-3, (131, 7) = -0.5941935510054997e-3, (132, 1) = 0.107843770107237e-1, (132, 2) = -0.6905423747524692e-2, (132, 3) = 4.707239282407291, (132, 4) = .9399055454663998, (132, 5) = 0.30656240723360338e-1, (132, 6) = 0.43073502924570906e-3, (132, 7) = -0.5502164615731298e-3, (133, 1) = 0.10344323263119098e-1, (133, 2) = -0.6717024757245861e-2, (133, 3) = 4.76803164308303, (133, 4) = .9418714673375305, (133, 5) = 0.30199026597440937e-1, (133, 6) = 0.39651985188484193e-3, (133, 7) = -0.5093943297131232e-3, (134, 1) = 0.991636438458679e-2, (134, 2) = -0.6534071959760502e-2, (134, 3) = 4.828935975581054, (134, 4) = .9438077167561614, (134, 5) = 0.29751574522758853e-1, (134, 6) = 0.36485356319130105e-3, (134, 7) = -0.4715092959902402e-3, (135, 1) = 0.9500147114831702e-2, (135, 2) = -0.6356396787514922e-2, (135, 3) = 4.889950540624614, (135, 4) = .9457149364454033, (135, 5) = 0.2931363962219971e-1, (135, 6) = 0.3355518486277446e-3, (135, 7) = -0.43635783194643206e-3, (136, 1) = 0.9095329261754777e-2, (136, 2) = -0.61838364891480474e-2, (136, 3) = 4.9510736404235836, (136, 4) = .947593752761815, (136, 5) = 0.28884984271701088e-1, (136, 6) = 0.30844324714459726e-3, (136, 7) = -0.4037498558821582e-3, (137, 1) = 0.870157925505246e-2, (137, 2) = -0.601623387000051e-2, (137, 3) = 5.012303627058391, (137, 4) = .9494447764708851, (137, 5) = 0.28465377768764184e-1, (137, 6) = 0.28336829120570266e-3, (137, 7) = -0.3735078948773748e-3, (138, 1) = 0.8318575781930621e-2, (138, 2) = -0.5853437072325423e-2, (138, 3) = 5.0736389017910835, (138, 4) = .9512686032079182, (138, 5) = 0.280545960825053e-1, (138, 6) = 0.2601787055173408e-3, (138, 7) = -0.34546629992478233e-3, (139, 1) = 0.7946007389342705e-2, (139, 2) = -0.5695299345566016e-2, (139, 3) = 5.135077922433506, (139, 4) = .9530658141549968, (139, 5) = 0.276524215633124e-1, (139, 6) = 0.2387366533987117e-3, (139, 7) = -0.31947050232195343e-3, (140, 1) = 0.7583572174809846e-2, (140, 2) = -0.554167885830191e-2, (140, 3) = 5.196619199286618, (140, 4) = .9548369763523616, (140, 5) = 0.27258642742879598e-1, (140, 6) = 0.21891403538176765e-3, (140, 7) = -0.2953763182049148e-3, (141, 1) = 0.7230977493355699e-2, (141, 2) = -0.5392438520624993e-2, (141, 3) = 5.258261289858421, (141, 4) = .9565826429700981, (141, 5) = 0.2687305414886625e-1, (141, 6) = 0.20059183213151456e-3, (141, 7) = -0.27304929294300013e-3, (142, 1) = 0.6887939715010858e-2, (142, 2) = -0.52474458312329955e-2, (142, 3) = 5.320002785774653, (142, 4) = .958303353361792, (142, 5) = 0.26495456172530026e-1, (142, 6) = 0.1836594907879038e-3, (142, 7) = -0.252364085464996e-3, (143, 1) = 0.6554183880220243e-2, (143, 2) = -0.5106572684456149e-2, (143, 3) = 5.381842318957145, (143, 4) = .9599996336604034, (143, 5) = 0.26125654821718747e-1, (143, 6) = 0.1680143447380809e-3, (143, 7) = -0.23320388139026565e-3, (144, 1) = 0.6229443363023987e-2, (144, 2) = -0.496969518374495e-2, (144, 3) = 5.44377856989792, (144, 4) = .961671997397204, (144, 5) = 0.25763461476510423e-1, (144, 6) = 0.15356107126225863e-3, (144, 7) = -0.21545984131697018e-3, (145, 1) = 0.59134596103730345e-2, (145, 2) = -0.4836693490181476e-2, (145, 3) = 5.505810264587283, (145, 4) = .963320945785362, (145, 5) = 0.2540869272435785e-1, (145, 6) = 0.14021118760005577e-3, (145, 7) = -0.1990305859062199e-3, (146, 1) = 0.5605981879431755e-2, (146, 2) = -0.4707451672732042e-2, (146, 3) = 5.56793617351249, (146, 4) = .9649469680512343, (146, 5) = 0.2506117018958842e-1, (146, 6) = 0.12788257922406355e-3, (146, 7) = -0.1838217110432586e-3, (147, 1) = 0.53067669906432515e-2, (147, 2) = -0.4581857567572001e-2, (147, 3) = 5.630155109349184, (147, 4) = .9665505417213073, (147, 5) = 0.24720720377034513e-1, (147, 6) = 0.11649905921041561e-3, (147, 7) = -0.16974533250776132e-3, (148, 1) = 0.5015579091342034e-2, (148, 2) = -0.4459802644110297e-2, (148, 3) = 5.692465924121744, (148, 4) = .9681321328883635, (148, 5) = 0.2438717452423778e-1, (148, 6) = 0.10598995658033662e-3, (148, 7) = -0.1567196582818594e-3, (149, 1) = 0.4732189454943598e-2, (149, 2) = -0.4341181888026249e-2, (149, 3) = 5.754867500071219, (149, 4) = .9696921963155168, (149, 5) = 0.24060368491380577e-1, (149, 6) = 0.9628973268058946e-4, (149, 7) = -0.1446685880441674e-3, (150, 1) = 0.445637619497772e-2, (150, 2) = -0.4225893650637279e-2, (150, 3) = 5.81735876065353, (150, 4) = .9712311760403447, (150, 5) = 0.23740142549888144e-1, (150, 6) = 0.8733761981190855e-4, (150, 7) = -0.13352133330447443e-3, (151, 1) = 0.4187924050803135e-2, (151, 2) = -0.4113839530268126e-2, (151, 3) = 5.879938668714196, (151, 4) = .9727495056336701, (151, 5) = 0.2342634124862383e-1, (151, 6) = 0.7907728636528507e-4, (151, 7) = -0.1232120640465816e-3, (152, 1) = 0.3926624184068294e-2, (152, 2) = -0.4004924259857473e-2, (152, 3) = 5.942606223760687, (152, 4) = .9742476084300418, (152, 5) = 0.23118813289296117e-1, (152, 6) = 0.714565244479042e-4, (152, 7) = -0.11367957746503508e-3, (153, 1) = 0.36722739675628595e-2, (153, 2) = -0.3899055593040416e-2, (153, 3) = 6.005360462681993, (153, 4) = .9757258978340067, (153, 5) = 0.22817411389538758e-1, (153, 6) = 0.6442695807953464e-4, (153, 7) = -0.10486698691294358e-3, (154, 1) = 0.3424676781951572e-2, (154, 2) = -0.37961441950964078e-2, (154, 3) = 6.068200460574128, (154, 4) = .9771847776170947, (154, 5) = 0.22521992151470806e-1, (154, 6) = 0.5794377119218636e-4, (154, 7) = -0.967214305737495e-4, (155, 1) = 0.318364182773534e-2, (155, 2) = -0.36961035417064788e-2, (155, 3) = 6.131125329639266, (155, 4) = .9786246421596811, (155, 5) = 0.22232415944730063e-1, (155, 6) = 0.51965454344558085e-4, (155, 7) = -0.8919379893818854e-4, (156, 1) = 0.29489839668066916e-2, (156, 2) = -0.3598849831342047e-2, (156, 3) = 6.194134211754286, (156, 4) = .9800458765440385, (156, 5) = 0.21948546822007864e-1, (156, 6) = 0.4645356922033489e-4, (156, 7) = -0.8223848033365505e-4, (157, 1) = 0.2720523479792377e-2, (157, 2) = -0.3504301864036683e-2, (157, 3) = 6.257226295253834, (157, 4) = .9814488571872236, (157, 5) = 0.21670252329442523e-1, (157, 6) = 0.41372527148834515e-4, (157, 7) = -0.7581312014106669e-4, (158, 1) = 0.24994622622722487e-2, (158, 2) = -0.34129493089673224e-2, (158, 3) = 6.320004429362408, (158, 4) = .9828253219279554, (158, 5) = 0.21399097573883887e-1, (158, 6) = 0.3671757453856597e-4, (158, 7) = -0.6991415932376671e-4, (159, 1) = 0.22914438569439223e-2, (159, 2) = -0.33271103446682673e-2, (159, 3) = 6.380714359223117, (159, 4) = .9841383236747088, (159, 5) = 0.21142196023966428e-1, (159, 6) = 0.3256657044189625e-4, (159, 7) = -0.6464305200947549e-4, (160, 1) = 0.2096764977130119e-2, (160, 2) = -0.3246888216871749e-2, (160, 3) = 6.439041851800582, (160, 4) = .985383387995297, (160, 5) = 0.209001807532975e-1, (160, 6) = 0.28878429537552865e-4, (160, 7) = -0.5995056210962825e-4, (161, 1) = 0.19142542422758073e-2, (161, 2) = -0.31717820489926096e-2, (161, 3) = 6.4951157087198235, (161, 4) = .9865655002073301, (161, 5) = 0.2067184982425839e-1, (161, 6) = 0.25589568107955412e-4, (161, 7) = -0.5575831327685825e-4, (162, 1) = 0.17427142743147398e-2, (162, 2) = -0.3101283157089607e-2, (162, 3) = 6.5491051323901015, (162, 4) = .9876901928502866, (162, 5) = 0.20455929268952944e-1, (162, 6) = 0.2264398415019256e-4, (162, 7) = -0.51996993884276855e-4, (163, 1) = 0.15811015363619964e-2, (163, 2) = -0.3034948752530318e-2, (163, 3) = 6.601162057284735, (163, 4) = .9887623477334817, (163, 5) = 0.2025130191646246e-1, (163, 6) = 0.19995149287787638e-4, (163, 7) = -0.4860889607355352e-4, (164, 1) = 0.14285079524789714e-2, (164, 2) = -0.29723938930752585e-2, (164, 3) = 6.651421488871508, (164, 4) = .9897862525363109, (164, 5) = 0.20056990944072855e-1, (164, 6) = 0.17604241683083722e-4, (164, 7) = -0.45545777125153235e-4, (165, 1) = 0.12841380601209408e-2, (165, 2) = -0.29132816972746683e-2, (165, 3) = 6.7000042676403915, (165, 4) = .9907656989607102, (165, 5) = 0.19872136498653162e-1, (165, 6) = 0.15438635568661184e-4, (165, 7) = -0.427670184725108e-4, (166, 1) = 0.11472903267585523e-2, (166, 2) = -0.28573153562169145e-2, (166, 3) = 6.747019454806988, (166, 4) = .9917040645449797, (166, 5) = 0.1969597641041645e-1, (166, 6) = 0.13470724780140474e-4, (166, 7) = -0.4023818885023187e-4, (167, 1) = 0.10173434606982944e-2, (167, 2) = -0.28042322593080844e-2, (167, 3) = 6.792565807285179, (167, 4) = .9926043695551816, (167, 5) = 0.19527832369525187e-1, (167, 6) = 0.1167702161571815e-4, (167, 7) = -0.37929943037897354e-4, (168, 1) = 0.893745064050563e-3, (168, 2) = -0.2753799130211681e-2, (168, 3) = 6.836733031901551, (168, 4) = .9934693246139872, (168, 5) = 0.19367098410542075e-1, (168, 6) = 0.10037439121625286e-4, (168, 7) = -0.358171430611698e-4, (169, 1) = 0.776002178705785e-3, (169, 2) = -0.27058079781715864e-2, (169, 3) = 6.879602854428295, (169, 4) = .9943013707458818, (169, 5) = 0.19213231273768283e-1, (169, 6) = 0.8534715422939233e-5, (169, 7) = -0.3387815201610202e-4, (170, 1) = 0.6636729006810244e-3, (170, 2) = -0.26600725198970194e-2, (170, 3) = 6.921250108704328, (170, 4) = .9951027165532491, (170, 5) = 0.19065741682178818e-1, (170, 6) = 0.7153943222488218e-5, (170, 7) = -0.3209425552245678e-4, (171, 1) = 0.5563591652951864e-3, (171, 2) = -0.26164251077657906e-2, (171, 3) = 6.961743745577525, (171, 4) = .995875371044721, (171, 5) = 0.18924186748013903e-1, (171, 6) = 0.5882186619569889e-5, (171, 7) = -0.30449189658006313e-4, (172, 1) = 0.453703968041812e-3, (172, 2) = -0.25747154845888296e-2, (172, 3) = 7.001146434242757, (172, 4) = .9966211475552713, (172, 5) = 0.18788167920810266e-1, (172, 6) = 0.4708206273295691e-5, (172, 7) = -0.2892880415481513e-4, (173, 1) = 0.3553847160599982e-3, (173, 2) = -0.2534807981217631e-2, (173, 3) = 7.039515816735961, (173, 4) = .9973416977524165, (173, 5) = 0.18657323601527533e-1, (173, 6) = 0.3622181416110171e-5, (173, 7) = -0.2752071779279574e-4, (174, 1) = 0.2611089567921044e-3, (174, 2) = -0.24965796986488663e-2, (174, 3) = 7.076905087185851, (174, 4) = .9980385309827882, (174, 5) = 0.18531324646632825e-1, (174, 6) = 0.26154980864484428e-5, (174, 7) = -0.26214056372779796e-4, (175, 1) = 0.17061087792577472e-3, (175, 2) = -0.24599190164938103e-2, (175, 3) = 7.11336343575653, (175, 4) = .9987130298125714, (175, 5) = 0.18409870712982543e-1, (175, 6) = 0.16805750903788004e-5, (175, 7) = -0.24999237164889492e-4, (176, 1) = 0.8364828755175267e-4, (176, 2) = -0.2424724307108064e-2, (176, 3) = 7.14893643929275, (176, 4) = .999366463543249, (176, 5) = 0.18292687091506932e-1, (176, 6) = 0.8107185795194192e-6, (176, 7) = -0.2386778854087962e-4, (177, 1) = .0, (177, 2) = -0.23909028232950774e-2, (177, 3) = 7.183666405720363, (177, 4) = 1.0, (177, 5) = 0.18179521955803843e-1, (177, 6) = .0, (177, 7) = -0.22812198384621496e-4}, datatype = float[8], order = C_order); YP := Matrix(177, 7, {(1, 1) = -3.010283491881195, (1, 2) = 31.045172730586398, (1, 3) = -.5, (1, 4) = 3.2549705904755624, (1, 5) = -32.059040670468, (1, 6) = -2.2961168243517345, (1, 7) = 21.039081978077707, (2, 1) = -2.2188140910266996, (2, 2) = 17.121944106176148, (2, 3) = -.40370802709261644, (2, 4) = 2.4361750640983972, (2, 5) = -17.75186646531459, (2, 6) = -1.7587335888496072, (2, 7) = 11.658920037134642, (3, 1) = -1.7515672684205508, (3, 2) = 10.819003914424172, (3, 3) = -.32904124123644557, (3, 4) = 1.950857483460543, (3, 5) = -11.261093047454036, (3, 6) = -1.4395391386527499, (3, 7) = 7.421516216604939, (4, 1) = -1.443419767334426, (4, 2) = 7.44431424050068, (4, 3) = -.2679158648423435, (4, 4) = 1.6295350420268857, (4, 5) = -7.77851680978251, (4, 6) = -1.2272759842281986, (4, 7) = 5.153559241304035, (5, 1) = -1.2250712603116078, (5, 2) = 5.430700205869807, (5, 3) = -.21608666124952267, (5, 4) = 1.4009694099334766, (5, 5) = -5.6962541050511355, (5, 6) = -1.0753753559802985, (5, 7) = 3.7994361725363084, (6, 1) = -1.062293032083934, (6, 2) = 4.133984345299803, (6, 3) = -.1710281829224358, (6, 4) = 1.229921365777778, (6, 5) = -4.352627257354598, (6, 6) = -.9608633361558743, (6, 7) = 2.9263023948487845, (7, 1) = -.9363094708603249, (7, 2) = 3.250582184729448, (7, 3) = -.1311332340751042, (7, 4) = 1.097033665972045, (7, 5) = -3.4354543508722934, (7, 6) = -.871143819024352, (7, 7) = 2.330460789528503, (8, 1) = -.8359113795739894, (8, 2) = 2.6218668296288925, (8, 3) = -0.9529846009910026e-1, (8, 4) = .9907326565311447, (8, 5) = -2.781433082063489, (8, 6) = -.798694055572774, (8, 7) = 1.9055546562540169, (9, 1) = -.7540307621161558, (9, 2) = 2.158655707900222, (9, 3) = -0.6274515848045818e-1, (9, 4) = .903710629210698, (9, 5) = -2.2986527950440383, (9, 6) = -.7387684103204613, (9, 7) = 1.5918036113784224, (10, 1) = -.6859732537372588, (10, 2) = 1.8075854056497922, (10, 3) = -0.3289635416421537e-1, (10, 4) = .8311070612968686, (10, 5) = -1.9320578998022346, (10, 6) = -.6882118043576506, (10, 7) = 1.3534327958638872, (11, 1) = -.6285004073713887, (11, 2) = 1.5351562401542218, (11, 3) = -0.5312156394166294e-2, (11, 4) = .7695640956343914, (11, 5) = -1.6470492909842538, (11, 6) = -.64484492277093, (11, 7) = 1.1679748738766818, (12, 1) = -.5793166470382869, (12, 2) = 1.3195281931221805, (12, 3) = 0.20345547838662725e-1, (12, 4) = .7166984974611179, (12, 5) = -1.4210468548040192, (12, 6) = -.6071216319336978, (12, 7) = 1.0207737736678706, (13, 1) = -.5367311431212949, (13, 2) = 1.145892530696533, (13, 3) = 0.44352419520146014e-1, (13, 4) = .6707519723642751, (13, 5) = -1.2387232687233358, (13, 6) = -.5739002262529861, (13, 7) = .9018835448323496, (14, 1) = -.49948942467589225, (14, 2) = 1.003998050145226, (14, 3) = 0.6692621623257643e-1, (14, 4) = .6304185015498383, (14, 5) = -1.0894578589784991, (14, 6) = -.5443331052943612, (14, 7) = .8044134092658326, (15, 1) = -.46663169018318124, (15, 2) = .8865281517652679, (15, 3) = 0.882475828156531e-1, (15, 4) = .5946973362482103, (15, 5) = -.9656623891005631, (15, 6) = -.5177703096857598, (15, 7) = .7234401398522938, (16, 1) = -.43741237094615587, (16, 2) = .7881537194650875, (16, 3) = .10846767050378146, (16, 4) = .5628099475659347, (16, 5) = -.8618042115535092, (16, 6) = -.49370579887626914, (16, 7) = .6553739127932571, (17, 1) = -.4112440008745413, (17, 2) = .7049210492055764, (17, 3) = .12771421698659408, (17, 4) = .5341419874792643, (17, 5) = -.7737744555933753, (17, 6) = -.4717398711807749, (17, 7) = .5975483247236602, (18, 1) = -.3876575548580043, (18, 2) = .6338476180086999, (18, 3) = .14609630418834832, (18, 4) = .5082022267347898, (18, 5) = -.6984704299667118, (18, 6) = -.45155255379360504, (18, 7) = .547949494066217, (19, 1) = -.3662736309623723, (19, 2) = .5726483733807656, (19, 3) = .1637083931514831, (19, 4) = .48459265857890527, (19, 5) = -.6335126174412591, (19, 6) = -.4328841497234415, (19, 7) = .5050324919245571, (20, 1) = -.34678216572683396, (20, 2) = .5195495059189714, (20, 3) = .18063295456195466, (20, 4) = .4629874722134205, (20, 5) = -.5770520321259064, (20, 6) = -.41552163184362956, (20, 7) = .4675964144816947, (21, 1) = -.32892767036417664, (21, 2) = .4731582794401461, (21, 3) = .1969422817914571, (21, 4) = .4431177566148181, (21, 5) = -.5276354888454184, (21, 6) = -.39928880193030747, (21, 7) = .43469702859278164, (22, 1) = -.31249869978237255, (22, 2) = .4323712564531229, (22, 3) = .21269931606763323, (22, 4) = .42476063372747375, (22, 5) = -.48411059119320127, (22, 6) = -.38403945114777954, (22, 7) = .4055852112696801, (23, 1) = -.29731416431452806, (23, 2) = .39629415064634355, (23, 3) = .2279639568142309, (23, 4) = .40772462385587316, (23, 5) = -.4455422550983356, (23, 6) = -.36964681487130585, (23, 7) = .3796525244600942, (24, 1) = -.28322501684036205, (24, 2) = .36421250433414676, (24, 3) = .2427861347723762, (24, 4) = .3918520439519158, (24, 5) = -.4111829023278856, (24, 6) = -.3560068471972505, (24, 7) = .3564123311986818, (25, 1) = -.2701033420412026, (25, 2) = .33554014077654515, (25, 3) = .2572121554674377, (25, 4) = .37700721405190146, (25, 5) = -.3804185329805538, (25, 6) = -.3430294380682383, (25, 7) = .3354645137472628, (26, 1) = -.2578389396986893, (26, 2) = .3097931961546034, (26, 3) = .2712850292677997, (26, 4) = .36307292252881584, (26, 5) = -.35274178509526466, (26, 6) = -.3306361874020015, (26, 7) = .3164779932333802, (27, 1) = -.24633953213188772, (27, 2) = .2865759039396276, (27, 3) = .28504110605404537, (27, 4) = .3499509645976493, (27, 5) = -.3277374103346404, (27, 6) = -.3187617238807888, (27, 7) = .29918159835956604, (28, 1) = -.23552476168366415, (28, 2) = .2655566661015625, (28, 3) = .29851430859060935, (28, 4) = .33755558003287145, (28, 5) = -.30505713524774447, (28, 6) = -.3073486098948925, (28, 7) = .2833475062173651, (29, 1) = -.2253255020912264, (29, 2) = .2464582280638545, (29, 3) = .3117349359672634, (29, 4) = .32581286288190825, (29, 5) = -.28440953074312353, (29, 6) = -.29634737207014694, (29, 7) = .2687847958648897, (30, 1) = -.2156829331351726, (30, 2) = .2290488984956625, (30, 3) = .324728843808106, (30, 4) = .31465989354105117, (30, 5) = -.26555092451071954, (30, 6) = -.28571629053101066, (30, 7) = .25533368718160365, (31, 1) = -.2065438873825929, (31, 2) = .2131287038144533, (31, 3) = .33752207959661373, (31, 4) = .304039516592149, (31, 5) = -.2482707267810866, (31, 6) = -.2754169157752743, (31, 7) = .24285563622268744, (32, 1) = -.19786380124231495, (32, 2) = .19853052093936435, (32, 3) = .35013561530865284, (32, 4) = .29390388011792296, (32, 5) = -.2323929065309705, (32, 6) = -.26541783827718834, (32, 7) = .2312348266717411, (33, 1) = -.18960486731359524, (33, 2) = .18511301699907345, (33, 3) = .36258639522561675, (33, 4) = .2842124423413447, (33, 5) = -.21776856469029016, (33, 6) = -.2556932617203244, (33, 7) = .2203733545258757, (34, 1) = -.18173393918032565, (34, 2) = .17275430735899094, (34, 3) = .37488926686015167, (34, 4) = .2749296363719141, (34, 5) = -.20426921612279228, (34, 6) = -.2462210635577509, (34, 7) = .21018674197498782, (35, 1) = -.17422262687378032, (35, 2) = .16134989076353431, (35, 3) = .3870559122413701, (35, 4) = .26602507525248614, (35, 5) = -.1917846859275767, (35, 6) = -.2369833048528358, (35, 7) = .20060275953911733, (36, 1) = -.16704665751311357, (36, 2) = .15080974319113763, (36, 3) = .3990949249001731, (36, 4) = .2574728923416692, (36, 5) = -.18022006585663738, (36, 6) = -.2279658642184645, (36, 7) = .1915595317437923, (37, 1) = -.1601859421542037, (37, 2) = .141056796935048, (37, 3) = .41101078776726396, (37, 4) = .24925191600226893, (37, 5) = -.16949416553961816, (37, 6) = -.2191589209315012, (37, 7) = .18300476520893003, (38, 1) = -.15362126746579838, (38, 2) = .1320210054859448, (38, 3) = .42280892511572515, (38, 4) = .24134177847648824, (38, 5) = -.1595330800439254, (38, 6) = -.21055300577533773, (38, 7) = .1748909797765733, (39, 1) = -.14733741986174867, (39, 2) = .12364284350603046, (39, 3) = .4344897565601667, (39, 4) = .23372671477717596, (39, 5) = -.15027411164631393, (39, 6) = -.2021432253147483, (39, 7) = .16717891414685349, (40, 1) = -.14132147717760368, (40, 2) = .11586995380348374, (40, 3) = .44605098876584576, (40, 4) = .22639358970698623, (40, 5) = -.1416621548462659, (40, 6) = -.19392734410767049, (40, 7) = .15983497820345968, (41, 1) = -.1355618535661384, (41, 2) = .10865524630505065, (41, 3) = .4574889782290803, (41, 4) = .21933078665833716, (41, 5) = -.13364764847041208, (41, 6) = -.18590465201723103, (41, 7) = .15282978502561145, (42, 1) = -.13004833389409315, (42, 2) = .10195646465098096, (42, 3) = .4687983695351276, (42, 4) = .21252828358414444, (42, 5) = -.12618613754474253, (42, 6) = -.17807609406978153, (42, 7) = .14613796012482172, (43, 1) = -.12477167494006297, (43, 2) = 0.9573528555897173e-1, (43, 3) = .4799726300795009, (43, 4) = .20597719438448733, (43, 5) = -.11923730972108826, (43, 6) = -.17044377008176909, (43, 7) = .13973746010198854, (44, 1) = -.11972344246799402, (44, 2) = 0.8995680533952945e-1, (44, 3) = .49100420281898555, (44, 4) = .19966959020759237, (44, 5) = -.11276445358250514, (44, 6) = -.16301071564836836, (44, 7) = .13360920525957998, (45, 1) = -.1148956147475554, (45, 2) = 0.8458883047163457e-1, (45, 3) = .5018852472953027, (45, 4) = .1935980202293324, (45, 5) = -.10673369025665995, (45, 6) = -.15578029883884625, (45, 7) = .12773644242504048, (46, 1) = -.11028042171087489, (46, 2) = 0.7960151497591006e-1, (46, 3) = .5126079809791431, (46, 4) = .1877553133493232, (46, 5) = -.10111358529342901, (46, 6) = -.14875591411024416, (46, 7) = .12210439647109084, (47, 1) = -.10587010196399801, (47, 2) = 0.7496695383104171e-1, (47, 3) = .5231652841517149, (47, 4) = .18213426698507848, (47, 5) = -0.9587470570440539e-1, (47, 6) = -.14194052404260726, (47, 7) = .11669981742149677, (48, 1) = -.10165710878026424, (48, 2) = 0.7065927864855102e-1, (48, 3) = .5335502837116244, (48, 4) = .1767279011977732, (48, 5) = -0.90989740840664e-1, (48, 6) = -.13533687973410663, (48, 7) = .11151107173300641, (49, 1) = -0.976339646318128e-1, (49, 2) = 0.6665437930666253e-1, (49, 3) = .5437567517407721, (49, 4) = .17152926762281148, (49, 5) = -0.8643320096253616e-1, (49, 6) = -.12894721237733586, (49, 7) = .10652780343241362, (50, 1) = -0.9379309915858196e-1, (50, 2) = 0.6292963935728102e-1, (50, 3) = .5537796082939569, (50, 4) = .1665312288048679, (50, 5) = -0.821811271659428e-1, (50, 6) = -.12277288786102344, (50, 7) = .10174056934638033, (51, 1) = -0.9012646774014009e-1, (51, 2) = 0.5946349454355839e-1, (51, 3) = .5636160898088879, (51, 4) = .16172593962052867, (51, 5) = -0.7821059376459426e-1, (51, 6) = -.11681369761445241, (51, 7) = 0.971401922016448e-1, (52, 1) = -0.8662709254567018e-1, (52, 2) = 0.5623679588902947e-1, (52, 3) = .5732617138385044, (52, 4) = .1571068532547171, (52, 5) = -0.7450127953262778e-1, (52, 6) = -.11107030160152458, (52, 7) = 0.9271953492878013e-1, (53, 1) = -0.832877606097653e-1, (53, 2) = 0.5323144127213841e-1, (53, 3) = .5827137094120911, (53, 4) = .15266702144547653, (53, 5) = -0.7103391702860415e-1, (53, 6) = -.10554209857792878, (53, 7) = 0.8847173428640447e-1, (54, 1) = -0.8010083796586685e-1, (54, 2) = 0.5043015773452044e-1, (54, 3) = .5919717359930652, (54, 4) = .1483988206956467, (54, 5) = -0.6779004472456823e-1, (54, 6) = -.1002268626526667, (54, 7) = 0.8438981098644666e-1, (55, 1) = -0.7705904545671184e-1, (55, 2) = 0.4781712178021648e-1, (55, 3) = .6010357808561354, (55, 4) = .14429496914815607, (55, 5) = -0.6475273039031218e-1, (55, 6) = -0.9512201172172534e-1, (55, 7) = 0.8046752565271927e-1, (56, 1) = -0.7415579244743617e-1, (56, 2) = 0.4537812370175229e-1, (56, 3) = .609905070263442, (56, 4) = .14034898646161215, (56, 5) = -0.6190677910002072e-1, (56, 6) = -0.9022519334264704e-1, (56, 7) = 0.7669971247700139e-1, (57, 1) = -0.7138429207106428e-1, (57, 2) = 0.4309971458682221e-1, (57, 3) = .6185806833233924, (57, 4) = .13655400028046524, (57, 5) = -0.5923775361433498e-1, (57, 6) = -0.8553282185600106e-1, (57, 7) = 0.7308104556027577e-1, (58, 1) = -0.6873795031830646e-1, (58, 2) = 0.4096946926322497e-1, (58, 3) = .6270644277840627, (58, 4) = .1329032634057901, (58, 5) = -0.5673228789519334e-1, (58, 6) = -0.8104075700907686e-1, (58, 7) = 0.6960645431414926e-1, (59, 1) = -0.6621016059961132e-1, (59, 2) = 0.38975748601405784e-1, (59, 3) = .6353595080809519, (59, 4) = .12938986575267097, (59, 5) = -0.5437781677016371e-1, (59, 6) = -0.7674399557867947e-1, (59, 7) = 0.6627078398947593e-1, (60, 1) = -0.6379500379743547e-1, (60, 2) = 0.3710817923563575e-1, (60, 3) = .6434682068578423, (60, 4) = .12600770681463422, (60, 5) = -0.52163152502100275e-1, (60, 6) = -0.7263791038699614e-1, (60, 7) = 0.630696652022076e-1, (61, 1) = -0.6148682506048283e-1, (61, 2) = 0.3535723201986704e-1, (61, 3) = .6513931420513931, (61, 4) = .12275092222076696, (61, 5) = -0.5007800143462451e-1, (61, 6) = -0.687175841247968e-1, (61, 7) = 0.5999892071152185e-1, (62, 1) = -0.5928000637071922e-1, (62, 2) = 0.33713989804355256e-1, (62, 3) = .6591380172829979, (62, 4) = .11961356381867923, (62, 5) = -0.4811269635947367e-1, (62, 6) = -0.6497747609164842e-1, (62, 7) = 0.57054229336734506e-1, (63, 1) = -0.57169100695410174e-1, (63, 2) = 0.3217020013015828e-1, (63, 3) = .6667071615807357, (63, 4) = .11658978562213738, (63, 5) = -0.4625826578595638e-1, (63, 6) = -0.6141170855360152e-1, (63, 7) = 0.5423127945985821e-1, (64, 1) = -0.5514918379084914e-1, (64, 2) = 0.3071847575888528e-1, (64, 3) = .674104198640308, (64, 4) = .11367435428569851, (64, 5) = -0.4450668459294678e-1, (64, 6) = -0.58014717648254485e-1, (64, 7) = 0.51526226701246916e-1, (65, 1) = -0.53215760915675155e-1, (65, 2) = 0.29352162323496186e-1, (65, 3) = .6813322323771271, (65, 4) = .11086253363996139, (65, 5) = -0.4285072792261608e-1, (65, 6) = -0.5478114175121917e-1, (65, 7) = 0.4893556386708957e-1, (66, 1) = -0.51364246219493405e-1, (66, 2) = 0.28064924065518932e-1, (66, 3) = .6883957184775215, (66, 4) = .10814933543258673, (66, 5) = -0.41283477931602065e-1, (66, 6) = -0.51704999820689775e-1, (66, 7) = 0.4645542023568128e-1, (67, 1) = -0.4959036780155851e-1, (67, 2) = 0.26850996547966004e-1, (67, 3) = .6952989342332647, (67, 4) = .1055301079545874, (67, 5) = -0.397986352727631e-1, (67, 6) = -0.4878042451768817e-1, (67, 7) = 0.44082106240249705e-1, (68, 1) = -0.4789016423374489e-1, (68, 2) = 0.2570514230598002e-1, (68, 3) = .7020458967717208, (68, 4) = .10300054210288584, (68, 5) = -0.3839047393448487e-1, (68, 6) = -0.4600169882505357e-1, (68, 7) = 0.4181211457624395e-1, (69, 1) = -0.4625996072380607e-1, (69, 2) = 0.24622597065198926e-1, (69, 3) = .7086403636416022, (69, 4) = .10055664721832, (69, 5) = -0.3705378373458785e-1, (69, 6) = -0.4336325445354654e-1, (69, 7) = 0.3964209549563323e-1, (70, 1) = -0.44696345792792136e-1, (70, 2) = 0.2359902106209441e-1, (70, 3) = .715085840088841, (70, 4) = 0.9819472668269251e-1, (70, 5) = -0.35783818056358635e-1, (70, 6) = -0.4085966769265928e-1, (70, 7) = 0.3756883386957669e-1, (71, 1) = -0.43195840295262154e-1, (71, 2) = 0.2263025732177424e-1, (71, 3) = .7213868990604615, (71, 4) = 0.959108824037368e-1, (71, 5) = -0.345759992795696e-1, (71, 6) = -0.3848516856421221e-1, (71, 7) = 0.35588822241379686e-1, (72, 1) = -0.417552894446388e-1, (72, 2) = 0.21712566757373226e-1, (72, 3) = .7275475329006473, (72, 4) = 0.9370160979020452e-1, (72, 5) = -0.3342621480848204e-1, (72, 6) = -0.36234307802151734e-1, (72, 7) = 0.3369879519129462e-1, (73, 1) = -0.4037173402203197e-1, (73, 2) = 0.2084251952747481e-1, (73, 3) = .7335716098404168, (73, 4) = 0.9156361245610806e-1, (73, 5) = -0.3233068837685123e-1, (73, 6) = -0.3410177625172606e-1, (73, 7) = 0.3189557025540908e-1, (74, 1) = -0.3904237227030642e-1, (74, 2) = 0.20016950936180417e-1, (74, 3) = .7394629834350771, (74, 4) = 0.8949375010756808e-1, (74, 5) = -0.31285929734658574e-1, (74, 6) = -0.3208237199793818e-1, (74, 7) = 0.3017601103329817e-1, (75, 1) = -0.3776454319644946e-1, (75, 2) = 0.19232933825189e-1, (75, 3) = .7452255211846236, (75, 4) = 0.8748901780777456e-1, (75, 5) = -0.3028870414672857e-1, (75, 6) = -0.30171000378395537e-1, (75, 7) = 0.28537019338621142e-1, (76, 1) = -0.3653569801566861e-1, (76, 2) = 0.18487745956094e-1, (76, 3) = .7508631948003112, (76, 4) = 0.8554650554414327e-1, (76, 5) = -0.29335994809283936e-1, (76, 6) = -0.2836265544217905e-1, (76, 7) = 0.26975512917014468e-1, (77, 1) = -0.35353334471828785e-1, (77, 2) = 0.17778817656712027e-1, (77, 3) = .7563803576967835, (77, 4) = 0.8366329666302517e-1, (77, 5) = -0.2842493891629171e-1, (77, 6) = -0.26652349069398753e-1, (77, 7) = 0.25488358243180274e-1, (78, 1) = -0.34214833644028164e-1, (78, 2) = 0.1710362550347103e-1, (78, 3) = .7617825194247292, (78, 4) = 0.818362046768005e-1, (78, 5) = -0.2755269203484183e-1, (78, 6) = -0.25034910053607307e-1, (78, 7) = 0.24072187718280107e-1, (79, 1) = -0.33117070324267625e-1, (79, 2) = 0.16459460519022494e-1, (79, 3) = .7670782989058776, (79, 4) = 0.8006113071928549e-1, (79, 5) = -0.2671612494556976e-1, (79, 6) = -0.23504494462123514e-1, (79, 7) = 0.2272295520211525e-1, (80, 1) = -0.3205809437838403e-1, (80, 2) = 0.15844406901222824e-1, (80, 3) = .7722713266005171, (80, 4) = 0.7833577907306599e-1, (80, 5) = -0.2591309561609206e-1, (80, 6) = -0.22056961396677732e-1, (80, 7) = 0.21438026923002916e-1, (81, 1) = -0.31037127966861342e-1, (81, 2) = 0.15257298915414995e-1, (81, 3) = .7773598019042196, (81, 4) = 0.766597219644611e-1, (81, 5) = -0.25142417563179406e-1, (81, 6) = -0.20689736141079718e-1, (81, 7) = 0.2021610624932507e-1, (82, 1) = -0.3005347880465721e-1, (82, 2) = 0.1469706808732895e-1, (82, 3) = .7823415773762875, (82, 4) = 0.7503266612459865e-1, (82, 5) = -0.24403020686373934e-1, (82, 6) = -0.1940025706534461e-1, (82, 7) = 0.1905587546109808e-1, (83, 1) = -0.2910586428826123e-1, (83, 2) = 0.14162359097922005e-1, (83, 3) = .787217633956304, (83, 4) = 0.7345332619263635e-1, (83, 5) = -0.23693442233407584e-1, (83, 6) = -0.181851232611352e-1, (83, 7) = 0.1795521838476315e-1, (84, 1) = -0.28192907817684805e-1, (84, 2) = 0.1365181867422655e-1, (84, 3) = .7919897115240078, (84, 4) = 0.7192022274910066e-1, (84, 5) = -0.23012201444952248e-1, (84, 6) = -0.17040811610716092e-1, (84, 7) = 0.16911848466548876e-1, (85, 1) = -0.27312978136185835e-1, (85, 2) = 0.13164005904443596e-1, (85, 3) = .7966612137325211, (85, 4) = 0.7043140181072279e-1, (85, 5) = -0.22357677376699997e-1, (85, 6) = -0.15963513643715645e-1, (85, 7) = 0.1592315271868429e-1, (86, 1) = -0.2646462746652903e-1, (86, 2) = 0.1269763461904293e-1, (86, 3) = .8012349398472144, (86, 4) = 0.6898516657212175e-1, (86, 5) = -0.21728432006606218e-1, (86, 6) = -0.14949706357927807e-1, (86, 7) = 0.14986710460803207e-1, (87, 1) = -0.25646494959249203e-1, (87, 2) = 0.12251513377893835e-1, (87, 3) = .8057135493898496, (87, 4) = 0.6757992094013747e-1, (87, 5) = -0.21123132884899316e-1, (87, 6) = -0.139960292467264e-1, (87, 7) = 0.1410018570481624e-1, (88, 1) = -0.2485728164590901e-1, (88, 2) = 0.1182452710951371e-1, (88, 3) = .810099673559902, (88, 4) = 0.662141300173103e-1, (88, 5) = -0.20540530236292587e-1, (88, 6) = -0.13099256789703594e-1, (88, 7) = 0.13261304969175512e-1, (89, 1) = -0.24095752574361837e-1, (89, 2) = 0.11415634281844061e-1, (89, 3) = .81439588423751, (89, 4) = 0.6488632633494537e-1, (89, 5) = -0.19979454728118753e-1, (89, 6) = -0.12256303574946446e-1, (89, 7) = 0.12467865124264153e-1, (90, 1) = -0.23360735056253266e-1, (90, 2) = 0.11023862257792366e-1, (90, 3) = .8186046839450801, (90, 4) = 0.6359510950556727e-1, (90, 5) = -0.19438812716351027e-1, (90, 6) = -0.11464223580929493e-1, (90, 7) = 0.11717736023153343e-1, (91, 1) = -0.2265111611151706e-1, (91, 2) = 0.1064830254895494e-1, (91, 3) = .8227285009951595, (91, 4) = 0.6233914441576576e-1, (91, 5) = -0.18917581245871496e-1, (91, 6) = -0.107202077302794e-1, (91, 7) = 0.11008861577261891e-1, (92, 1) = -0.2196584274078579e-1, (92, 2) = 0.10288107863924782e-1, (92, 3) = .8267696687449231, (92, 4) = 0.61117164378142505e-1, (92, 5) = -0.1841480544345323e-1, (92, 6) = -0.10021583648716392e-1, (92, 7) = 0.10339262962135297e-1, (93, 1) = -0.2130397508619256e-1, (93, 2) = 0.9942516911301724e-2, (93, 3) = .8307300855152587, (93, 4) = 0.5992806977704981e-1, (93, 5) = -0.17929634945322494e-1, (93, 6) = -0.9365866049369924e-2, (93, 7) = 0.970709083685181e-2, (94, 1) = -0.2066452832678662e-1, (94, 2) = 0.9610769117033199e-2, (94, 3) = .8346121380272766, (94, 4) = 0.5877064728357242e-1, (94, 5) = -0.1746120573842817e-1, (94, 6) = -0.8750596954165865e-2, (94, 7) = 0.911047491451652e-2, (95, 1) = -0.20046560655054453e-1, (95, 2) = 0.9292149122341548e-2, (95, 3) = .8384181810565843, (95, 4) = 0.57643726773201474e-1, (95, 5) = -0.17008702762303107e-1, (95, 6) = -0.8173438423547898e-2, (95, 7) = 0.8547615193482865e-2, (96, 1) = -0.19449237677365155e-1, (96, 2) = 0.8986017628093307e-2, (96, 3) = .8421501190891273, (96, 4) = 0.5654630194311316e-1, (96, 5) = -0.16571405188902044e-1, (96, 6) = -0.7632228495991538e-2, (96, 7) = 0.8016840145398394e-2, (97, 1) = -0.1887178595166975e-1, (97, 2) = 0.8691784937252454e-2, (97, 3) = .8458096605035292, (97, 4) = 0.5547745035158284e-1, (97, 5) = -0.1614865074893827e-1, (97, 6) = -0.7124930043201029e-2, (97, 7) = 0.7516560842447098e-2, (98, 1) = -0.18313379572760476e-1, (98, 2) = 0.8408851695186157e-2, (98, 3) = .8493990293787306, (98, 4) = 0.5443612442522976e-1, (98, 5) = -0.15739751272481037e-1, (98, 6) = -0.6649530877556062e-2, (98, 7) = 0.70451749307516515e-2, (99, 1) = -0.17773411236805755e-1, (99, 2) = 0.8136744850270912e-2, (99, 3) = .8529192148774755, (99, 4) = 0.5342165809334678e-1, (99, 5) = -0.15344189900285105e-1, (99, 6) = -0.6204273518435405e-2, (99, 7) = 0.660129692855998e-2, (100, 1) = -0.17251057251932208e-1, (100, 2) = 0.7874896343931133e-2, (100, 3) = .8563727717832911, (100, 4) = 0.52432954840383246e-1, (100, 5) = -0.14961301341491364e-1, (100, 6) = -0.5787287135105179e-2, (100, 7) = 0.6183395118813691e-2, (101, 1) = -0.16745629644977163e-1, (101, 2) = 0.7622820263324776e-2, (101, 3) = .8597615482839938, (101, 4) = 0.51469145618834776e-1, (101, 5) = -0.14590528608898094e-1, (101, 6) = -0.5396885129046895e-2, (101, 7) = 0.5790089139105677e-2, (102, 1) = -0.16256523054212938e-1, (102, 2) = 0.7380084027582768e-2, (102, 3) = .8630869913915394, (102, 4) = 0.5052949522528311e-1, (102, 5) = -0.14231383298385903e-1, (102, 6) = -0.5031509922179083e-2, (102, 7) = 0.5420098775343518e-2, (103, 1) = -0.15783100427777905e-1, (103, 2) = 0.7146250386892193e-2, (103, 3) = .8663509059017817, (103, 4) = 0.49613185415921565e-1, (103, 5) = -0.13883360876220033e-1, (103, 6) = -0.4689642631979475e-2, (103, 7) = 0.5072155149894696e-2, (104, 1) = -0.15324740843082107e-1, (104, 2) = 0.6920900620324958e-2, (104, 3) = .8695551374490673, (104, 4) = 0.487194055183293e-1, (104, 5) = -0.1354597487810146e-1, (104, 6) = -0.4369840628700971e-2, (104, 7) = 0.4745040251323027e-2, (105, 1) = -0.14880999220591645e-1, (105, 2) = 0.6703711752799031e-2, (105, 3) = .8727004295170955, (105, 4) = 0.47847667825719004e-1, (105, 5) = -0.13218873957203307e-1, (105, 6) = -0.40708417306626115e-2, (105, 7) = 0.4437696279601702e-2, (106, 1) = -0.1445129941189121e-1, (106, 2) = 0.6494304913053776e-2, (106, 3) = .8757885621654562, (106, 4) = 0.4699721013074634e-1, (106, 5) = -0.12901615364899262e-1, (106, 6) = -0.3791347889312316e-2, (106, 7) = 0.41490062236225e-2, (107, 1) = -0.1403515704995601e-1, (107, 2) = 0.629235416435554e-2, (107, 3) = .8788207857953696, (107, 4) = 0.46167431512408715e-1, (107, 5) = -0.12593828454231555e-1, (107, 6) = -0.35301779967586255e-2, (107, 7) = 0.38779519693393103e-2, (108, 1) = -0.136320985542424e-1, (108, 2) = 0.609754606629572e-2, (108, 3) = .8817983817939085, (108, 4) = 0.45357735223466554e-1, (108, 5) = -0.12295154559359827e-1, (108, 6) = -0.3286209314341815e-2, (108, 7) = 0.3623556002597559e-2, (109, 1) = -0.13241630697811596e-1, (109, 2) = 0.59095645556075434e-2, (109, 3) = .8847228903452787, (109, 4) = 0.44567467123514615e-1, (109, 5) = -0.12005223871163083e-1, (109, 6) = -0.30583587722556906e-2, (109, 7) = 0.3384863230891416e-2, (110, 1) = -0.12863282318672776e-1, (110, 2) = 0.5728110719682112e-2, (110, 3) = .887595805636143, (110, 4) = 0.437959990098312e-1, (110, 5) = -0.11723685793281906e-1, (110, 6) = -0.2845607745492162e-2, (110, 7) = 0.3160968116694903e-2, (111, 1) = -0.12496650693252929e-1, (111, 2) = 0.5552924358153241e-2, (111, 3) = .8904182090864114, (111, 4) = 0.430428253565388e-1, (111, 5) = -0.1145024320873632e-1, (111, 6) = -0.2647023818928518e-2, (111, 7) = 0.2951039322881783e-2, (112, 1) = -0.12141274016994663e-1, (112, 2) = 0.5383722467612301e-2, (112, 3) = .8931917390779196, (112, 4) = 0.4230730313112941e-1, (112, 5) = -0.11184557142440503e-1, (112, 6) = -0.2461688048783101e-2, (112, 7) = 0.27542443791469095e-2, (113, 1) = -0.1179681022215186e-1, (113, 2) = 0.5220284141143336e-2, (113, 3) = .8959172018453189, (113, 4) = 0.4158902099552602e-1, (113, 5) = -0.10926379958254132e-1, (113, 6) = -0.228878818143032e-2, (113, 7) = 0.25698496698628556e-2, (114, 1) = -0.11462903989906546e-1, (114, 2) = 0.5062386550384448e-2, (114, 3) = .8985955842843032, (114, 4) = 0.4088752771952661e-1, (114, 5) = -0.10675456024997696e-1, (114, 6) = -0.21275434552632607e-2, (114, 7) = 0.23971422191936325e-2, (115, 1) = -0.11139174973080628e-1, (115, 2) = 0.4909799283650963e-2, (115, 3) = .901228160676181, (115, 4) = 0.40202305706456845e-1, (115, 5) = -0.10431512339945794e-1, (115, 6) = -0.1977199961864016e-2, (115, 7) = 0.22354254347508886e-2, (116, 1) = -0.10825272392179685e-1, (116, 2) = 0.4762309923951511e-2, (116, 3) = .9038160568685645, (116, 4) = 0.3953288543830951e-1, (116, 5) = -0.10194299223128396e-1, (116, 6) = -0.18370560679884847e-2, (116, 7) = 0.2084047263144361e-2, (117, 1) = -0.10520888096597018e-1, (117, 2) = 0.4619729729543349e-2, (117, 3) = .9063601272182191, (117, 4) = 0.38878875566455126e-1, (117, 5) = -0.9963600208344612e-2, (117, 6) = -0.1706464442997396e-2, (117, 7) = 0.1942403596612181e-2, (118, 1) = -0.10225676992181737e-1, (118, 2) = 0.4481856038925428e-2, (118, 3) = .9088616122353441, (118, 4) = 0.38239793038485445e-1, (118, 5) = -0.9739171632595673e-2, (118, 6) = -0.15847955131765516e-2, (118, 7) = 0.18098996209028528e-2, (119, 1) = -0.9939367324640893e-2, (119, 2) = 0.4348523632722225e-2, (119, 3) = .9113212093702816, (119, 4) = 0.376153011508749e-1, (119, 5) = -0.9520826147011394e-2, (119, 6) = -0.14714824659729727e-2, (119, 7) = 0.168599953627451e-2, (120, 1) = -0.966163872941871e-2, (120, 2) = 0.4219547534554702e-2, (120, 3) = .9137401023351425, (120, 4) = 0.3700494616750579e-1, (120, 5) = -0.9308339878721775e-2, (120, 6) = -0.1365969153112434e-2, (120, 7) = 0.15701706401611438e-2, (121, 1) = -0.9392198385188308e-2, (121, 2) = 0.4094758396609424e-2, (121, 3) = .9161193161473176, (121, 4) = 0.3640832219382344e-1, (121, 5) = -0.9101510124887554e-2, (121, 6) = -0.12677402606956771e-2, (121, 7) = 0.14619168884890783e-2, (122, 1) = -0.9130776619449235e-2, (122, 2) = 0.3974000157039127e-2, (122, 3) = .918459743389031, (122, 4) = 0.3582506324812699e-1, (122, 5) = -0.8900152062547061e-2, (122, 6) = -0.11763168046591919e-2, (122, 7) = 0.13607747932710109e-2, (123, 1) = -0.8877130053322135e-2, (123, 2) = 0.3857131220204234e-2, (123, 3) = .9207621042586911, (123, 4) = 0.3525485195379574e-1, (123, 5) = -0.8704101261672068e-2, (123, 6) = -0.10912546315821271e-2, (123, 7) = 0.1266312536775268e-2, (124, 1) = -0.8631034803741748e-2, (124, 2) = 0.37440210705135487e-2, (124, 3) = .9230269958510547, (124, 4) = 0.3469740599658427e-1, (124, 5) = -0.8513208555597203e-2, (124, 6) = -0.10121396610135644e-2, (124, 7) = 0.11781253977221063e-2, (125, 1) = -0.8392212157745564e-2, (125, 2) = 0.3634516023268043e-2, (125, 3) = .925255580609136, (125, 4) = 0.34152309214020814e-1, (125, 5) = -0.8327282158857823e-2, (125, 6) = -0.938563455856944e-3, (125, 7) = 0.10958089996215903e-2, (126, 1) = -0.8160425838712085e-2, (126, 2) = 0.35284838627545256e-2, (126, 3) = .9274486979359966, (126, 4) = 0.33619231067228195e-1, (126, 5) = -0.8146162840536838e-2, (126, 6) = -0.8701541170718898e-3, (126, 7) = 0.10189941909763463e-2, (127, 1) = -0.7935451067583034e-2, (127, 2) = 0.34257994141029054e-2, (127, 3) = .9296071384367649, (127, 4) = 0.3309785803833924e-1, (127, 5) = -0.7969700041420233e-2, (127, 6) = -0.8065641728294864e-3, (127, 7) = 0.9473341253719798e-3, (128, 1) = -0.7717070876205519e-2, (128, 2) = 0.33263427207529334e-2, (128, 3) = .9317316751472142, (128, 4) = 0.3258788569860931e-1, (128, 5) = -0.7797748970274931e-2, (128, 6) = -0.7474681438722301e-3, (128, 7) = 0.880502001232945e-3, (129, 1) = -0.7505076125168032e-2, (129, 2) = 0.3229998933900569e-2, (129, 3) = .9338230607702328, (129, 4) = 0.32089019152014744e-1, (129, 5) = -0.7630170580490721e-2, (129, 6) = -0.6925613591197516e-3, (129, 7) = 0.8181901587854764e-3, (130, 1) = -0.7299265171632634e-2, (130, 2) = 0.3136658050225978e-2, (130, 3) = .9358820282972874, (130, 4) = 0.31600972661932875e-1, (130, 5) = -0.7466831279916698e-2, (130, 6) = -0.6415587231086209e-3, (130, 7) = 0.7601090888409613e-3, (131, 1) = -0.7099443565783825e-2, (131, 2) = 0.30462146709149766e-2, (131, 3) = .9379092914859827, (131, 4) = 0.31123469324561948e-1, (131, 5) = -0.7307602667855831e-2, (131, 6) = -0.5941935510054997e-3, (131, 7) = 0.7059864851990976e-3, (132, 1) = -0.6905423747524692e-2, (132, 2) = 0.2958567768435871e-2, (132, 3) = .9399055454663998, (132, 4) = 0.30656240723360338e-1, (132, 5) = -0.71523612763047355e-2, (132, 6) = -0.5502164615731298e-3, (132, 7) = 0.655566332104778e-3, (133, 1) = -0.6717024757245861e-2, (133, 2) = 0.2873620466790021e-2, (133, 3) = .9418714673375305, (133, 4) = 0.30199026597440937e-1, (133, 5) = -0.7000988325823573e-2, (133, 6) = -0.5093943297131232e-3, (133, 7) = 0.6086080307940107e-3, (134, 1) = -0.6534071959760502e-2, (134, 2) = 0.27912798342734552e-2, (134, 3) = .9438077167561614, (134, 4) = 0.29751574522758853e-1, (134, 5) = -0.6853369494924661e-2, (134, 6) = -0.4715092959902402e-3, (134, 7) = 0.5648855642822292e-3, (135, 1) = -0.6356396787514922e-2, (135, 2) = 0.27114566909829225e-2, (135, 3) = .9457149364454033, (135, 4) = 0.2931363962219971e-1, (135, 5) = -0.6709394707597642e-2, (135, 6) = -0.43635783194643206e-3, (135, 7) = 0.5241867010441891e-3, (136, 1) = -0.61838364891480474e-2, (136, 2) = 0.263406542432135e-2, (136, 3) = .947593752761815, (136, 4) = 0.28884984271701088e-1, (136, 5) = -0.6568957927472171e-2, (136, 6) = -0.4037498558821582e-3, (136, 7) = 0.4863122333420328e-3, (137, 1) = -0.601623387000051e-2, (137, 2) = 0.2559023806114614e-2, (137, 3) = .9494447764708851, (137, 4) = 0.28465377768764184e-1, (137, 5) = -0.6431956947208897e-2, (137, 6) = -0.3735078948773748e-3, (137, 7) = 0.4510752470303723e-3, (138, 1) = -0.5853437072325423e-2, (138, 2) = 0.2486252832368632e-2, (138, 3) = .9512686032079182, (138, 4) = 0.280545960825053e-1, (138, 5) = -0.6298293211671902e-2, (138, 6) = -0.34546629992478233e-3, (138, 7) = 0.4183004324945519e-3, (139, 1) = -0.5695299345566016e-2, (139, 2) = 0.24156765630166848e-2, (139, 3) = .9530658141549968, (139, 4) = 0.276524215633124e-1, (139, 5) = -0.6167871634365016e-2, (139, 6) = -0.31947050232195343e-3, (139, 7) = 0.3878234245464183e-3, (140, 1) = -0.554167885830191e-2, (140, 2) = 0.23472219843972985e-2, (140, 3) = .9548369763523616, (140, 4) = 0.27258642742879598e-1, (140, 5) = -0.60406004492652874e-2, (140, 6) = -0.2953763182049148e-3, (140, 7) = 0.35949018078556665e-3, (141, 1) = -0.5392438520624993e-2, (141, 2) = 0.22808188801119096e-2, (141, 3) = .9565826429700981, (141, 4) = 0.2687305414886625e-1, (141, 5) = -0.5916391072664268e-2, (141, 6) = -0.27304929294300013e-3, (141, 7) = 0.3331563901813197e-3, (142, 1) = -0.52474458312329955e-2, (142, 2) = 0.22163997163235374e-2, (142, 3) = .958303353361792, (142, 4) = 0.26495456172530026e-1, (142, 5) = -0.57951579868950375e-2, (142, 6) = -0.252364085464996e-3, (142, 7) = 0.30868691325215805e-3, (143, 1) = -0.5106572684456149e-2, (143, 2) = 0.2153899512449706e-2, (143, 3) = .9599996336604034, (143, 4) = 0.26125654821718747e-1, (143, 5) = -0.5676818591723513e-2, (143, 6) = -0.23320388139026565e-3, (143, 7) = 0.2859552418854789e-3, (144, 1) = -0.496969518374495e-2, (144, 2) = 0.20932557178244982e-2, (144, 3) = .961671997397204, (144, 4) = 0.25763461476510423e-1, (144, 5) = -0.5561293061337471e-2, (144, 6) = -0.21545984131697018e-3, (144, 7) = 0.2648429873310176e-3, (145, 1) = -0.4836693490181476e-2, (145, 2) = 0.2034408106735575e-2, (145, 3) = .963320945785362, (145, 4) = 0.2540869272435785e-1, (145, 5) = -0.5448504231053388e-2, (145, 6) = -0.1990305859062199e-3, (145, 7) = 0.2452393994183257e-3, (146, 1) = -0.4707451672732042e-2, (146, 2) = 0.19772986768169993e-2, (146, 3) = .9649469680512343, (146, 4) = 0.2506117018958842e-1, (146, 5) = -0.5338377485993881e-2, (146, 6) = -0.1838217110432586e-3, (146, 7) = 0.22704091004977484e-3, (147, 1) = -0.4581857567572001e-2, (147, 2) = 0.1921871553865193e-2, (147, 3) = .9665505417213073, (147, 4) = 0.24720720377034513e-1, (147, 5) = -0.5230840657806015e-2, (147, 6) = -0.16974533250776132e-3, (147, 7) = 0.21015070120431977e-3, (148, 1) = -0.4459802644110297e-2, (148, 2) = 0.18680729018499408e-2, (148, 3) = .9681321328883635, (148, 4) = 0.2438717452423778e-1, (148, 5) = -0.5125823927380249e-2, (148, 6) = -0.1567196582818594e-3, (148, 7) = 0.19447829607891086e-3, (149, 1) = -0.4341181888026249e-2, (149, 2) = 0.18158508424962229e-2, (149, 3) = .9696921963155168, (149, 4) = 0.24060368491380577e-1, (149, 5) = -0.5023259742466551e-2, (149, 6) = -0.1446685880441674e-3, (149, 7) = 0.1799391736386374e-3, (150, 1) = -0.4225893650637279e-2, (150, 2) = 0.17651553619765716e-2, (150, 3) = .9712311760403447, (150, 4) = 0.23740142549888144e-1, (150, 5) = -0.4923082706327167e-2, (150, 6) = -0.13352133330447443e-3, (150, 7) = 0.16645439943325225e-3, (151, 1) = -0.4113839530268126e-2, (151, 2) = 0.17159382335444216e-2, (151, 3) = .9727495056336701, (151, 4) = 0.2342634124862383e-1, (151, 5) = -0.4825229493689177e-2, (151, 6) = -0.1232120640465816e-3, (151, 7) = 0.1539502804262958e-3, (152, 1) = -0.4004924259857473e-2, (152, 2) = 0.16681529445863694e-2, (152, 3) = .9742476084300418, (152, 4) = 0.23118813289296117e-1, (152, 5) = -0.4729638772087287e-2, (152, 6) = -0.11367957746503508e-3, (152, 7) = 0.1423580391973025e-3, (153, 1) = -0.3899055593040416e-2, (153, 2) = 0.16217546245721791e-2, (153, 3) = .9757258978340067, (153, 4) = 0.22817411389538758e-1, (153, 5) = -0.463625112173974e-2, (153, 6) = -0.10486698691294358e-3, (153, 7) = 0.13161350583831e-3, (154, 1) = -0.37961441950964078e-2, (154, 2) = 0.15766999766100972e-2, (154, 3) = .9771847776170947, (154, 4) = 0.22521992151470806e-1, (154, 5) = -0.4545008959412762e-2, (154, 6) = -0.967214305737495e-4, (154, 7) = 0.121656827512054e-3, (155, 1) = -0.36961035417064788e-2, (155, 2) = 0.15329472137910675e-2, (155, 3) = .9786246421596811, (155, 4) = 0.22232415944730063e-1, (155, 5) = -0.445585646888749e-2, (155, 6) = -0.8919379893818854e-4, (155, 7) = 0.11243219508397924e-3, (156, 1) = -0.3598849831342047e-2, (156, 2) = 0.14904560027590857e-2, (156, 3) = .9800458765440385, (156, 4) = 0.21948546822007864e-1, (156, 5) = -0.4368739543349211e-2, (156, 6) = -0.8223848033365505e-4, (156, 7) = 0.10388758640877828e-3, (157, 1) = -0.3504301864036683e-2, (157, 2) = 0.1449187393779194e-2, (157, 3) = .9814488571872236, (157, 4) = 0.21670252329442523e-1, (157, 5) = -0.4283605697341341e-2, (157, 6) = -0.7581312014106669e-4, (157, 7) = 0.9597452136763151e-4, (158, 1) = -0.34129493089673224e-2, (158, 2) = 0.14093514910030092e-2, (158, 3) = .9828253219279554, (158, 4) = 0.21399097573883887e-1, (158, 5) = -0.4200919799199968e-2, (158, 6) = -0.6991415932376671e-4, (158, 7) = 0.8869203721112217e-4, (159, 1) = -0.33271103446682673e-2, (159, 2) = 0.13719539824332608e-2, (159, 3) = .9841383236747088, (159, 4) = 0.21142196023966428e-1, (159, 5) = -0.4122824677830502e-2, (159, 6) = -0.6464305200947549e-4, (159, 7) = 0.8216929414664662e-4, (160, 1) = -0.3246888216871749e-2, (160, 2) = 0.13370335160016358e-2, (160, 3) = .985383387995297, (160, 4) = 0.209001807532975e-1, (160, 5) = -0.4049476099124505e-2, (160, 6) = -0.5995056210962825e-4, (160, 7) = 0.7634950158779991e-4, (161, 1) = -0.31717820489926096e-2, (161, 2) = 0.13043663241526988e-2, (161, 3) = .9865655002073301, (161, 4) = 0.2067184982425839e-1, (161, 5) = -0.3980475008201402e-2, (161, 6) = -0.5575831327685825e-4, (161, 7) = 0.7113901558701944e-4, (162, 1) = -0.3101283157089607e-2, (162, 2) = 0.12737262794573984e-2, (162, 3) = .9876901928502866, (162, 4) = 0.20455929268952944e-1, (162, 5) = -0.3915405955558736e-2, (162, 6) = -0.51996993884276855e-4, (162, 7) = 0.6645462049558117e-4, (163, 1) = -0.3034948752530318e-2, (163, 2) = 0.12449168007795967e-2, (163, 3) = .9887623477334817, (163, 4) = 0.2025130191646246e-1, (163, 5) = -0.38539057244155925e-2, (163, 6) = -0.4860889607355352e-4, (163, 7) = 0.6222686084568878e-4, (164, 1) = -0.29723938930752585e-2, (164, 2) = 0.12177671724348386e-2, (164, 3) = .9897862525363109, (164, 4) = 0.20056990944072855e-1, (164, 5) = -0.37956574648679202e-2, (164, 6) = -0.45545777125153235e-4, (164, 7) = 0.58397541801037944e-4, (165, 1) = -0.29132816972746683e-2, (165, 2) = 0.11921281484142164e-2, (165, 3) = .9907656989607102, (165, 4) = 0.19872136498653162e-1, (165, 5) = -0.3740382918721448e-2, (165, 6) = -0.427670184725108e-4, (165, 7) = 0.5491755877317205e-4, (166, 1) = -0.28573153562169145e-2, (166, 2) = 0.11678683701705991e-2, (166, 3) = .9917040645449797, (166, 4) = 0.1969597641041645e-1, (166, 5) = -0.3687836034699237e-2, (166, 6) = -0.4023818885023187e-4, (166, 7) = 0.51745199342617154e-4, (167, 1) = -0.28042322593080844e-2, (167, 2) = 0.1144871726603264e-2, (167, 3) = .9926043695551816, (167, 4) = 0.19527832369525187e-1, (167, 5) = -0.36377983421639662e-2, (167, 6) = -0.37929943037897354e-4, (167, 7) = 0.488448409496686e-4, (168, 1) = -0.2753799130211681e-2, (168, 2) = 0.1123035170937828e-2, (168, 3) = .9934693246139872, (168, 4) = 0.19367098410542075e-1, (168, 5) = -0.3590075107388287e-2, (168, 6) = -0.358171430611698e-4, (168, 7) = 0.4618590926945546e-4, (169, 1) = -0.27058079781715864e-2, (169, 2) = 0.11022669058035406e-2, (169, 3) = .9943013707458818, (169, 4) = 0.19213231273768283e-1, (169, 5) = -0.3544492124080056e-2, (169, 6) = -0.3387815201610202e-4, (169, 7) = 0.4374203936585028e-4, (170, 1) = -0.26600725198970194e-2, (170, 2) = 0.10824847840107225e-2, (170, 3) = .9951027165532491, (170, 4) = 0.19065741682178818e-1, (170, 5) = -0.35008928380502657e-2, (170, 6) = -0.3209425552245678e-4, (170, 7) = 0.41490386487098785e-4, (171, 1) = -0.26164251077657906e-2, (171, 2) = 0.10636149381462077e-2, (171, 3) = .995875371044721, (171, 4) = 0.18924186748013903e-1, (171, 5) = -0.3459135858949456e-2, (171, 6) = -0.30449189658006313e-4, (171, 7) = 0.3941106244803707e-4, (172, 1) = -0.25747154845888296e-2, (172, 2) = 0.10455912073515348e-2, (172, 3) = .9966211475552713, (172, 4) = 0.18788167920810266e-1, (172, 5) = -0.34190941466821535e-2, (172, 6) = -0.2892880415481513e-4, (172, 7) = 0.3748673617539756e-4, (173, 1) = -0.2534807981217631e-2, (173, 2) = 0.10283538966235138e-2, (173, 3) = .9973416977524165, (173, 4) = 0.18657323601527533e-1, (173, 5) = -0.33806526539177733e-2, (173, 6) = -0.2752071779279574e-4, (173, 7) = 0.35702219193114476e-4, (174, 1) = -0.24965796986488663e-2, (174, 2) = 0.10118489671315971e-2, (174, 3) = .9980385309827882, (174, 4) = 0.18531324646632825e-1, (174, 5) = -0.3343706853010833e-2, (174, 6) = -0.26214056372779796e-4, (174, 7) = 0.3404415118123037e-4, (175, 1) = -0.24599190164938103e-2, (175, 2) = 0.9960273716355223e-3, (175, 3) = .9987130298125714, (175, 4) = 0.18409870712982543e-1, (175, 5) = -0.3308161533747031e-2, (175, 6) = -0.24999237164889492e-4, (175, 7) = 0.3250074101975441e-4, (176, 1) = -0.2424724307108064e-2, (176, 2) = 0.9808444820542108e-3, (176, 3) = .999366463543249, (176, 4) = 0.18292687091506932e-1, (176, 5) = -0.32739297639363773e-2, (176, 6) = -0.2386778854087962e-4, (176, 7) = 0.31061549736597884e-4, (177, 1) = -0.23909028232950774e-2, (177, 2) = 0.9662595947245867e-3, (177, 3) = 1.0, (177, 4) = 0.18179521955803843e-1, (177, 5) = -0.32409319878966333e-2, (177, 6) = -0.22812198384621496e-4, (177, 7) = 0.29717307791158036e-4}, datatype = float[8], order = C_order); errproc := proc (x_bvp) local outpoint, X, Y, yout, L, V, i; option `Copyright (c) 2000 by Waterloo Maple Inc. All rights reserved.`; Digits := 15; outpoint := evalf(x_bvp); X := Vector(177, {(1) = .1, (2) = .13432431415631105, (3) = .16865165190091197, (4) = .202985958039896, (5) = .23732533659105348, (6) = .2716788241585104, (7) = .30604559361419775, (8) = .3404355394485909, (9) = .3748529011933503, (10) = .4093061022796795, (11) = .44380716982563195, (12) = .47836387534050584, (13) = .512995852912669, (14) = .5477165596092971, (15) = .5825440749488203, (16) = .617499631782922, (17) = .6526070635536141, (18) = .6878927128084736, (19) = .7233862578282453, (20) = .7591205797331673, (21) = .795131110399485, (22) = .8314537516454595, (23) = .868136597156794, (24) = .9052215072936881, (25) = .9427566773054169, (26) = .9807963691446203, (27) = 1.019390250121844, (28) = 1.0585930956320206, (29) = 1.0984604169171555, (30) = 1.1390444870104077, (31) = 1.1804077038174698, (32) = 1.222605314046431, (33) = 1.2656867522025514, (34) = 1.3097007904581703, (35) = 1.35469069615675, (36) = 1.4006929822839422, (37) = 1.447731690331962, (38) = 1.4958369065409785, (39) = 1.5450201198096045, (40) = 1.5952810827286137, (41) = 1.646612127195734, (42) = 1.6989954066809312, (43) = 1.7524040840585657, (44) = 1.806801993976599, (45) = 1.862146412251251, (46) = 1.9183893448840852, (47) = 1.9754805768192913, (48) = 2.0333655491409464, (49) = 2.09198758848087, (50) = 2.1512911903998386, (51) = 2.2112299885365556, (52) = 2.271742934464316, (53) = 2.3327750130678835, (54) = 2.3942834797609645, (55) = 2.4562254559367735, (56) = 2.518550408638634, (57) = 2.5812184684337374, (58) = 2.6441937416859225, (59) = 2.7074501856327, (60) = 2.770954649679994, (61) = 2.8346761833615464, (62) = 2.898592678498704, (63) = 2.962688121088583, (64) = 3.0269416312716424, (65) = 3.091328430651392, (66) = 3.155836619851239, (67) = 3.220454275768738, (68) = 3.285168541451302, (69) = 3.3499654130373253, (70) = 3.414829585389634, (71) = 3.4797579848516915, (72) = 3.5447435602802027, (73) = 3.609779652754643, (74) = 3.674861152412504, (75) = 3.7399848957435275, (76) = 3.8051508297379377, (77) = 3.8703655596105624, (78) = 3.935652421384301, (79) = 4.001077560861665, (80) = 4.0666510045970385, (81) = 4.132314229225371, (82) = 4.198000337516065, (83) = 4.263680764101562, (84) = 4.329336756026789, (85) = 4.394973340046662, (86) = 4.460588954073379, (87) = 4.526181509768576, (88) = 4.59174993915436, (89) = 4.6572937466339175, (90) = 4.722812832368339, (91) = 4.788307377913861, (92) = 4.853777459964835, (93) = 4.9192172921590585, (94) = 4.98463029125814, (95) = 5.0500209149724435, (96) = 5.115387283230868, (97) = 5.180725066182968, (98) = 5.246040278527776, (99) = 5.3113174587944965, (100) = 5.376570973389221, (101) = 5.44180368691663, (102) = 5.5070118178761875, (103) = 5.572199562571729, (104) = 5.637373294661837, (105) = 5.702517813103393, (106) = 5.767639827784657, (107) = 5.832736032997183, (108) = 5.897804505036399, (109) = 5.962849913789289, (110) = 6.0278771161534, (111) = 6.092882596362824, (112) = 6.157876605520855, (113) = 6.222850932401667, (114) = 6.287802017103068, (115) = 6.352734006431941, (116) = 6.4176483673997975, (117) = 6.482540451739694, (118) = 6.547416149850125, (119) = 6.6122680542862025, (120) = 6.677102130347337, (121) = 6.7419211005546, (122) = 6.8067248666742355, (123) = 6.871509114964304, (124) = 6.936266375612976, (125) = 7.0010059228545805, (126) = 7.065728682384006, (127) = 7.130434804847329, (128) = 7.195124539737002, (129) = 7.259798136520217, (130) = 7.324455844038698, (131) = 7.3890979060419335, (132) = 7.453724561298953, (133) = 7.518336044173569, (134) = 7.582932585751136, (135) = 7.647514413049672, (136) = 7.712081750883993, (137) = 7.776634831889643, (138) = 7.841173896857807, (139) = 7.905699203490006, (140) = 7.970211023056725, (141) = 8.034709635791245, (142) = 8.099195318161058, (143) = 8.163668350318732, (144) = 8.22812902562451, (145) = 8.292577648267015, (146) = 8.357014533032183, (147) = 8.42144000370015, (148) = 8.485854390888106, (149) = 8.550258023403897, (150) = 8.6146512403873, (151) = 8.679034390131827, (152) = 8.74340782797264, (153) = 8.807771917708358, (154) = 8.872127033100252, (155) = 8.93647355737236, (156) = 9.000811876240148, (157) = 9.065142395655199, (158) = 9.129062231749659, (159) = 9.190791738971976, (160) = 9.25002177586793, (161) = 9.306893224933363, (162) = 9.361586616509348, (163) = 9.414263699827062, (164) = 9.46506800130928, (165) = 9.514127801690371, (166) = 9.561558693204324, (167) = 9.60746518855213, (168) = 9.651942086110576, (169) = 9.695075631414408, (170) = 9.73694468456052, (171) = 9.777621794577053, (172) = 9.817172850818734, (173) = 9.855658388735026, (174) = 9.893134209297964, (175) = 9.929651857051025, (176) = 9.965259040121957, (177) = 10.0}, datatype = float[8], order = C_order); Y := Matrix(177, 7, {(1, 1) = .0, (1, 2) = -0.25133563359422095e-9, (1, 3) = .0, (1, 4) = .0, (1, 5) = 0.10748780804799623e-8, (1, 6) = .0, (1, 7) = -0.12934292747785471e-8, (2, 1) = -0.4822236359734921e-9, (2, 2) = 0.1291751262338101e-8, (2, 3) = 0.2499789735445234e-10, (2, 4) = 0.5322412113500357e-9, (2, 5) = -0.955358623267235e-9, (2, 6) = -0.38176982978996947e-9, (2, 7) = 0.1265038035903761e-9, (3, 1) = -0.4735204664889531e-9, (3, 2) = 0.9491466074483928e-9, (3, 3) = 0.4690091191230549e-10, (3, 4) = 0.5390956681805285e-9, (3, 5) = -0.7348597717138394e-9, (3, 6) = -0.40462997460214207e-9, (3, 7) = 0.7799800614856019e-10, (4, 1) = -0.4441257733459236e-9, (4, 2) = 0.7306037721941427e-9, (4, 3) = 0.6619035958041333e-10, (4, 4) = 0.5179121302450025e-9, (4, 5) = -0.570792194199048e-9, (4, 6) = -0.4041232372754603e-9, (4, 7) = 0.46984083322823474e-10, (5, 1) = -0.4191825922957931e-9, (5, 2) = 0.5972268762890003e-9, (5, 3) = 0.8413990150978722e-10, (5, 4) = 0.4985304486898765e-9, (5, 5) = -0.4702779357079129e-9, (5, 6) = -0.4019082568446425e-9, (5, 7) = 0.4082047310759462e-10, (6, 1) = -0.3986834175702839e-9, (6, 2) = 0.5078126984926554e-9, (6, 3) = 0.10125193344200593e-9, (6, 4) = 0.4822548440970703e-9, (6, 5) = -0.4037856571615858e-9, (6, 6) = -0.3997114276374773e-9, (6, 7) = 0.44757214339682084e-10, (7, 1) = -0.3813655097444669e-9, (7, 2) = 0.44322817506744626e-9, (7, 3) = 0.1177488502857477e-9, (7, 4) = 0.4683243907117529e-9, (7, 5) = -0.35642964265749337e-9, (7, 6) = -0.39751044675552513e-9, (7, 7) = 0.52360437146100357e-10, (8, 1) = -0.36633339855577963e-9, (8, 2) = 0.39403541257141004e-9, (8, 3) = 0.13375396569863634e-9, (8, 4) = 0.4560893201559204e-9, (8, 5) = -0.32077279352188766e-9, (8, 6) = -0.3951844650021857e-9, (8, 7) = 0.6104103873575669e-10, (9, 1) = -0.3530110444986799e-9, (9, 2) = 0.3551251388394599e-9, (9, 3) = 0.14934196109816663e-9, (9, 4) = 0.4451182466955199e-9, (9, 5) = -0.2928117915068498e-9, (9, 6) = -0.3926669510728056e-9, (9, 7) = 0.6973390343747467e-10, (10, 1) = -0.34102088912595253e-9, (10, 2) = 0.3234631262334646e-9, (10, 3) = 0.16456602449853078e-9, (10, 4) = 0.4351229121500295e-9, (10, 5) = -0.27020202072419514e-9, (10, 6) = -0.38992802616804567e-9, (10, 7) = 0.7800637668800004e-10, (11, 1) = -0.33009810558916964e-9, (11, 2) = 0.29712810504566086e-9, (11, 3) = 0.1794671206264596e-9, (11, 4) = 0.42590380686280173e-9, (11, 5) = -0.25147578918457037e-9, (11, 6) = -0.38695966267997214e-9, (11, 7) = 0.8569539295634197e-10, (12, 1) = -0.32005141372407416e-9, (12, 2) = 0.2748390161414916e-9, (12, 3) = 0.19407559035522606e-9, (12, 4) = 0.4173192828796213e-9, (12, 5) = -0.23566948004497193e-9, (12, 6) = -0.38376658741537674e-9, (12, 7) = 0.9275123416959122e-10, (13, 1) = -0.3107415781995943e-9, (13, 2) = 0.25569566715949626e-9, (13, 3) = 0.20842107524399382e-9, (13, 4) = 0.4092616740027893e-9, (13, 5) = -0.2221146462535113e-9, (13, 6) = -0.3803576532325859e-9, (13, 7) = 0.9918763909766301e-10, (14, 1) = -0.3020547486931774e-9, (14, 2) = 0.23905632169492564e-9, (14, 3) = 0.22252653396896042e-9, (14, 4) = 0.40165000386117793e-9, (14, 5) = -0.21033646928053961e-9, (14, 6) = -0.3767450629818431e-9, (14, 7) = 0.1050316206286602e-9, (15, 1) = -0.2939050674611193e-9, (15, 2) = 0.2244410956663784e-9, (15, 3) = 0.2364129701052877e-9, (15, 4) = 0.39442041537530405e-9, (15, 5) = -0.1999871871687752e-9, (15, 6) = -0.3729413746558997e-9, (15, 7) = 0.11032191552202252e-9, (16, 1) = -0.286222106757177e-9, (16, 2) = 0.21148559484473567e-9, (16, 3) = 0.2501005847357134e-9, (16, 4) = 0.38752041128926003e-9, (16, 5) = -0.19080406100056436e-9, (16, 6) = -0.36895830719220893e-9, (16, 7) = 0.11509985495828057e-9, (17, 1) = -0.27894813473489e-9, (17, 2) = 0.19990993266642248e-9, (17, 3) = 0.2636080867768676e-9, (17, 4) = 0.38090785767399594e-9, (17, 5) = -0.18258498829123314e-9, (17, 6) = -0.3648063902168073e-9, (17, 7) = 0.11940455739879428e-9, (18, 1) = -0.27203377299844357e-9, (18, 2) = 0.18949251113976552e-9, (18, 3) = 0.2769531503258719e-9, (18, 4) = 0.37454645571624524e-9, (18, 5) = -0.17517235332104338e-9, (18, 6) = -0.36049503213976123e-9, (18, 7) = 0.12327029378294546e-9, (19, 1) = -0.2654380018357667e-9, (19, 2) = 0.18005609524436158e-9, (19, 3) = 0.29015352124528096e-9, (19, 4) = 0.36840588937618217e-9, (19, 5) = -0.1684404255060993e-9, (19, 6) = -0.35603302336135194e-9, (19, 7) = 0.12672994380140462e-9, (20, 1) = -0.2591249207945148e-9, (20, 2) = 0.17145908392284244e-9, (20, 3) = 0.3032258092511636e-9, (20, 4) = 0.3624596527318036e-9, (20, 5) = -0.16228840536977783e-9, (20, 6) = -0.3514279783195208e-9, (20, 7) = 0.1298127371652538e-9, (21, 1) = -0.25306422276752354e-9, (21, 2) = 0.16358246686013007e-9, (21, 3) = 0.31618709867295386e-9, (21, 4) = 0.3566852140556996e-9, (21, 5) = -0.15663281162411897e-9, (21, 6) = -0.3466852074439036e-9, (21, 7) = 0.13254460203844536e-9, (22, 1) = -0.24722947014827626e-9, (22, 2) = 0.15633237994447384e-9, (22, 3) = 0.32905279765740313e-9, (22, 4) = 0.35106197738678446e-9, (22, 5) = -0.15140702081415211e-9, (22, 6) = -0.34181104869694363e-9, (22, 7) = 0.1349481998052051e-9, (23, 1) = -0.24159525855122816e-9, (23, 2) = 0.14962663284565797e-9, (23, 3) = 0.34184129986409534e-9, (23, 4) = 0.3455710901981431e-9, (23, 5) = -0.1465545388780879e-9, (23, 6) = -0.33680799761451423e-9, (23, 7) = 0.13704217031147442e-9, (24, 1) = -0.23614219852260766e-9, (24, 2) = 0.14339762247954253e-9, (24, 3) = 0.35456787888180087e-9, (24, 4) = 0.3401969862063632e-9, (24, 5) = -0.14202679880817453e-9, (24, 6) = -0.33167891838231315e-9, (24, 7) = 0.13884542358546385e-9, (25, 1) = -0.23085059138136459e-9, (25, 2) = 0.13758834302914604e-9, (25, 3) = 0.36724842673314724e-9, (25, 4) = 0.3349243442395313e-9, (25, 5) = -0.13778527402894338e-9, (25, 6) = -0.3264271673931953e-9, (25, 7) = 0.14037251215241305e-9, (26, 1) = -0.22570373952624887e-9, (26, 2) = 0.13214994434323748e-9, (26, 3) = 0.3798999867538572e-9, (26, 4) = 0.3297396272364163e-9, (26, 5) = -0.13379429370372647e-9, (26, 6) = -0.3210523981912681e-9, (26, 7) = 0.14163621638420803e-9, (27, 1) = -0.22068712704508097e-9, (27, 2) = 0.1270412908532785e-9, (27, 3) = 0.39253681082283613e-9, (27, 4) = 0.3246307708269583e-9, (27, 5) = -0.13002582884620115e-9, (27, 6) = -0.31555624453007013e-9, (27, 7) = 0.14264832087492047e-9, (28, 1) = -0.21578731325972487e-9, (28, 2) = 0.12222712607848792e-9, (28, 3) = 0.4051735785720333e-9, (28, 4) = 0.319586871397829e-9, (28, 5) = -0.12645492465037684e-9, (28, 6) = -0.3099389237474639e-9, (28, 7) = 0.14341746981326065e-9, (29, 1) = -0.21099190569243325e-9, (29, 2) = 0.11767622332477985e-9, (29, 3) = 0.41782413871370106e-9, (29, 4) = 0.31459713589030673e-9, (29, 5) = -0.12306017230164548e-9, (29, 6) = -0.30420122651924197e-9, (29, 7) = 0.14395168130955385e-9, (30, 1) = -0.2062913796265655e-9, (30, 2) = 0.11336297440012964e-9, (30, 3) = 0.4305002727590064e-9, (30, 4) = 0.30965368144992986e-9, (30, 5) = -0.1198224199722497e-9, (30, 6) = -0.29834324841155765e-9, (30, 7) = 0.14425820561328524e-9, (31, 1) = -0.20167543145855411e-9, (31, 2) = 0.10926367675168289e-9, (31, 3) = 0.4432157990459678e-9, (31, 4) = 0.30474753102929854e-9, (31, 5) = -0.11672648830301723e-9, (31, 6) = -0.29236553478707224e-9, (31, 7) = 0.14434264568809095e-9, (32, 1) = -0.19713587803636631e-9, (32, 2) = 0.10535849256830875e-9, (32, 3) = 0.4559811480098555e-9, (32, 4) = 0.29987149994194555e-9, (32, 5) = -0.11375748988966459e-9, (32, 6) = -0.28626765172624023e-9, (32, 7) = 0.14420916355947746e-9, (33, 1) = -0.19266703741622537e-9, (33, 2) = 0.10163152267693176e-9, (33, 3) = 0.468804140242033e-9, (33, 4) = 0.29501949561639447e-9, (33, 5) = -0.11090365983769633e-9, (33, 6) = -0.28005288243174855e-9, (33, 7) = 0.1438623405988644e-9, (34, 1) = -0.18826236971018196e-9, (34, 2) = 0.9806744012823473e-10, (34, 3) = 0.4816914686457909e-9, (34, 4) = 0.29018599683608335e-9, (34, 5) = -0.1081551639622339e-9, (34, 6) = -0.27372319868693324e-9, (34, 7) = 0.14330559065581606e-9, (35, 1) = -0.18391739026145476e-9, (35, 2) = 0.9465420057864679e-10, (35, 3) = 0.4946471147612365e-9, (35, 4) = 0.28536790964775523e-9, (35, 5) = -0.10550312893821894e-9, (35, 6) = -0.26728271148470323e-9, (35, 7) = 0.14254283649475636e-9, (36, 1) = -0.1796290326417921e-9, (36, 2) = 0.9138103278655448e-10, (36, 3) = 0.5076726524594222e-9, (36, 4) = 0.28056195093997926e-9, (36, 5) = -0.1029400324744031e-9, (36, 6) = -0.26073698096959233e-9, (36, 7) = 0.14157756810199448e-9, (37, 1) = -0.17539547636232187e-9, (37, 2) = 0.8823883513563119e-10, (37, 3) = 0.5207659528703415e-9, (37, 4) = 0.2757676995363159e-9, (37, 5) = -0.10045975867444299e-9, (37, 6) = -0.2540932633148623e-9, (37, 7) = 0.14041329069777054e-9, (38, 1) = -0.1712145116362773e-9, (38, 2) = 0.8521968079420024e-10, (38, 3) = 0.5339253806526229e-9, (38, 4) = 0.2709816307404778e-9, (38, 5) = -0.9805638569026587e-10, (38, 6) = -0.2473594483835658e-9, (38, 7) = 0.1390550150747939e-9, (39, 1) = -0.16708614348926574e-9, (39, 2) = 0.8231706552060182e-10, (39, 3) = 0.547144299171384e-9, (39, 4) = 0.2662056438391908e-9, (39, 5) = -0.9572565144131231e-10, (39, 6) = -0.2405458208104288e-9, (39, 7) = 0.1375077751873039e-9, (40, 1) = -0.16301069952118687e-9, (40, 2) = 0.7952499135640627e-10, (40, 3) = 0.5604133509423026e-9, (40, 4) = 0.26144129521059254e-9, (40, 5) = -0.9346372481169876e-10, (40, 6) = -0.23366459995648096e-9, (40, 7) = 0.13577717678093516e-9, (41, 1) = -0.158989817473586e-9, (41, 2) = 0.7683928985529501e-10, (41, 3) = 0.5737201578239992e-9, (41, 4) = 0.2566900700893248e-9, (41, 5) = -0.9126758012947667e-10, (41, 6) = -0.22672984593116725e-9, (41, 7) = 0.13387053757566127e-9, (42, 1) = -0.15502483153316906e-9, (42, 2) = 0.7425508875677405e-10, (42, 3) = 0.5870514200556596e-9, (42, 4) = 0.251955080921043e-9, (42, 5) = -0.8913398787267396e-10, (42, 6) = -0.21975677997761107e-9, (42, 7) = 0.13179665822801967e-9, (43, 1) = -0.15111813361978065e-9, (43, 2) = 0.717689508221198e-10, (43, 3) = 0.6003915161923434e-9, (43, 4) = 0.24724066175948746e-9, (43, 5) = -0.8706173466119875e-10, (43, 6) = -0.21276123072080293e-9, (43, 7) = 0.12956460370331698e-9, (44, 1) = -0.1472719831472899e-9, (44, 2) = 0.6937737858129648e-10, (44, 3) = 0.61372174261653e-9, (44, 4) = 0.24255055440537196e-9, (44, 5) = -0.850482954542035e-10, (44, 6) = -0.20576167792240652e-9, (44, 7) = 0.12718475337204908e-9, (45, 1) = -0.14348909059030847e-9, (45, 2) = 0.6707735490401772e-10, (45, 3) = 0.6270251558459976e-9, (45, 4) = 0.2378876535417994e-9, (45, 5) = -0.8309171565579169e-10, (45, 6) = -0.19877510496972733e-9, (45, 7) = 0.1246691074748796e-9, (46, 1) = -0.13977224131761695e-9, (46, 2) = 0.6486578381007288e-10, (46, 3) = 0.6402834574063305e-9, (46, 4) = 0.2332605542006165e-9, (46, 5) = -0.8119095085305585e-10, (46, 6) = -0.19181963160364122e-9, (46, 7) = 0.12202970885015615e-9, (47, 1) = -0.13612333265013527e-9, (47, 2) = 0.6273962017101276e-10, (47, 3) = 0.6534782659660732e-9, (47, 4) = 0.22866963665007658e-9, (47, 5) = -0.7934397968198933e-10, (47, 6) = -0.1849128525694979e-9, (47, 7) = 0.11927937650694392e-9, (48, 1) = -0.1325449414570179e-9, (48, 2) = 0.6069601337261652e-10, (48, 3) = 0.6665913117637493e-9, (48, 4) = 0.2241217307746333e-9, (48, 5) = -0.7754946037125802e-10, (48, 6) = -0.17807170048392828e-9, (48, 7) = 0.1164320231963305e-9, (49, 1) = -0.12903865819132066e-9, (49, 2) = 0.5873213259749112e-10, (49, 3) = 0.679606416918663e-9, (49, 4) = 0.21961882325135148e-9, (49, 5) = -0.7580608918744382e-10, (49, 6) = -0.17131288007210077e-9, (49, 7) = 0.11350119171360047e-9, (50, 1) = -0.1256061461749483e-9, (50, 2) = 0.5684506778857276e-10, (50, 3) = 0.692506613829254e-9, (50, 4) = 0.21516617749880193e-9, (50, 5) = -0.7411254642559951e-10, (50, 6) = -0.16465125381821867e-9, (50, 7) = 0.11050012580587676e-9, (51, 1) = -0.12224816114420096e-9, (51, 2) = 0.5503152690500283e-10, (51, 3) = 0.7052806320244042e-9, (51, 4) = 0.21076596885217913e-9, (51, 5) = -0.7246680269519579e-10, (51, 6) = -0.15809991937359541e-9, (51, 7) = 0.10744258215702968e-9, (52, 1) = -0.1189655926860609e-9, (52, 2) = 0.53289087268733294e-10, (52, 3) = 0.7179103764981454e-9, (52, 4) = 0.20642326263827707e-9, (52, 5) = -0.7086755493948269e-10, (52, 6) = -0.15167200258860118e-9, (52, 7) = 0.10434186442026731e-9, (53, 1) = -0.11575985059547016e-9, (53, 2) = 0.516148211081032e-10, (53, 3) = 0.7303863430846644e-9, (53, 4) = 0.20213900611511557e-9, (53, 5) = -0.6931374569883764e-10, (53, 6) = -0.14537942014199397e-9, (53, 7) = 0.10121113477442049e-9, (54, 1) = -0.11263007044960751e-9, (54, 2) = 0.50005730903456676e-10, (54, 3) = 0.7426967671036052e-9, (54, 4) = 0.1979160900085421e-9, (54, 5) = -0.6780348622521023e-10, (54, 6) = -0.13923111798488457e-9, (54, 7) = 0.980620068570324e-10, (55, 1) = -0.1095761940909322e-9, (55, 2) = 0.4845909087022527e-10, (55, 3) = 0.7548353635824616e-9, (55, 4) = 0.19375595267806383e-9, (55, 5) = -0.6633522100935265e-10, (55, 6) = -0.13323534944445024e-9, (55, 7) = 0.9490596285123504e-10, (56, 1) = -0.1065984504918604e-9, (56, 2) = 0.4697226690721809e-10, (56, 3) = 0.7667902304253112e-9, (56, 4) = 0.18965950044270478e-9, (56, 5) = -0.6490771086386615e-10, (56, 6) = -0.1273994576673779e-9, (56, 7) = 0.9175404401695437e-10, (57, 1) = -0.10369595595090755e-9, (57, 2) = 0.45542696012926026e-10, (57, 3) = 0.778556793025425e-9, (57, 4) = 0.1856312972726619e-9, (57, 5) = -0.6351981357404045e-10, (57, 6) = -0.12172894374870717e-9, (57, 7) = 0.8861618584892101e-10, (58, 1) = -0.1008674248650476e-9, (58, 2) = 0.44167509118960435e-10, (58, 3) = 0.7901282528356496e-9, (58, 4) = 0.1816689005601506e-9, (58, 5) = -0.6216955980948554e-10, (58, 6) = -0.11622820480113498e-9, (58, 7) = 0.8550149102221199e-10, (59, 1) = -0.9811216105413218e-10, (59, 2) = 0.4284446467824523e-10, (59, 3) = 0.8015028238903295e-9, (59, 4) = 0.17777286746673866e-9, (59, 5) = -0.6085582711854137e-10, (59, 6) = -0.11089945666474679e-9, (59, 7) = 0.8241775440515545e-10, (60, 1) = -0.954284917777356e-10, (60, 2) = 0.41570814245508714e-10, (60, 3) = 0.8126770292454439e-9, (60, 4) = 0.17394354783946692e-9, (60, 5) = -0.5957709600406618e-10, (60, 6) = -0.10574533301767726e-9, (60, 7) = 0.7937281914298082e-10, (61, 1) = -0.9281564411951234e-10, (61, 2) = 0.4034464547926178e-10, (61, 3) = 0.8236472846736369e-9, (61, 4) = 0.1701833036818964e-9, (61, 5) = -0.5833206612773767e-10, (61, 6) = -0.10076676711512439e-9, (61, 7) = 0.7637315322789134e-10, (62, 1) = -0.9027177347486823e-10, (62, 2) = 0.3916354207986905e-10, (62, 3) = 0.8344124201743041e-9, (62, 4) = 0.16648946902577382e-9, (62, 5) = -0.57119532685498765e-10, (62, 6) = -0.9596390927186278e-10, (62, 7) = 0.7342478496541387e-10, (63, 1) = -0.8779535909357898e-10, (63, 2) = 0.38025284248982297e-10, (63, 3) = 0.8449739575048797e-9, (63, 4) = 0.16286276922895867e-9, (63, 5) = -0.559382759394972e-10, (63, 6) = -0.9133564683145688e-10, (63, 7) = 0.7053216538831238e-10, (64, 1) = -0.85384725616473e-10, (64, 2) = 0.3692798253782136e-10, (64, 3) = 0.8553287704958263e-9, (64, 4) = 0.15930123661278354e-9, (64, 5) = -0.5478695255849285e-10, (64, 6) = -0.8688048760078013e-10, (64, 7) = 0.6769996617461846e-10, (65, 1) = -0.8303858586558454e-10, (65, 2) = 0.3586972810555899e-10, (65, 3) = 0.8654792625877007e-9, (65, 4) = 0.15580572742598036e-9, (65, 5) = -0.5366459334902178e-10, (65, 6) = -0.8259732044904485e-10, (65, 7) = 0.6493223337250637e-10, (66, 1) = -0.807553665752725e-10, (66, 2) = 0.3484874891749666e-10, (66, 3) = 0.8754229593508381e-9, (66, 4) = 0.15237695927329908e-9, (66, 5) = -0.5257035145612129e-10, (66, 6) = -0.7848320040395083e-10, (66, 7) = 0.6223187771979038e-10, (67, 1) = -0.7853315297348665e-10, (67, 2) = 0.3386329237172156e-10, (67, 3) = 0.885165445866046e-9, (67, 4) = 0.1490103257593343e-9, (67, 5) = -0.5150279117922608e-10, (67, 6) = -0.7453518587140608e-10, (67, 7) = 0.5960130904556973e-10, (68, 1) = -0.7637040944820784e-10, (68, 2) = 0.32911598715581086e-10, (68, 3) = 0.8947061739850112e-9, (68, 4) = 0.14570759006284784e-9, (68, 5) = -0.504611198616976e-10, (68, 6) = -0.7075006164056328e-10, (68, 7) = 0.5704255975961135e-10, (69, 1) = -0.7426549605081863e-10, (69, 2) = 0.3199235797200081e-10, (69, 3) = 0.904048186545148e-9, (69, 4) = 0.1424684240627569e-9, (69, 5) = -0.4944443684085938e-10, (69, 6) = -0.6712419841427728e-10, (69, 7) = 0.54557366207916695e-10, (70, 1) = -0.7221736654632416e-10, (70, 2) = 0.3110410103296062e-10, (70, 3) = 0.9131882538741332e-9, (70, 4) = 0.13929036342156035e-9, (70, 5) = -0.4845189373502177e-10, (70, 6) = -0.6365420342795148e-10, (70, 7) = 0.52146975427501514e-10, (71, 1) = -0.7022398200997068e-10, (71, 2) = 0.3024543577941304e-10, (71, 3) = 0.9221360415260171e-9, (71, 4) = 0.1361737081764052e-9, (71, 5) = -0.47482600051318345e-10, (71, 6) = -0.6033547561400346e-10, (71, 7) = 0.49811942430394064e-10, (72, 1) = -0.6828362500748702e-10, (72, 2) = 0.2941489991841159e-10, (72, 3) = 0.930888601393734e-9, (72, 4) = 0.1331159476612379e-9, (72, 5) = -0.4653580535043946e-10, (72, 6) = -0.5716398926445834e-10, (72, 7) = 0.475524649852525e-10, (73, 1) = -0.6639510603152035e-10, (73, 2) = 0.286115228092632e-10, (73, 3) = 0.9394523079129564e-9, (73, 4) = 0.13011733075793917e-9, (73, 5) = -0.4561077481881523e-10, (73, 6) = -0.54135115189872115e-10, (73, 7) = 0.4536866881070352e-10, (74, 1) = -0.645568753974836e-10, (74, 2) = 0.2783391240528995e-10, (74, 3) = 0.9478299584253005e-9, (74, 4) = 0.12717630383541154e-9, (74, 5) = -0.4470657527840883e-10, (74, 6) = -0.5124454519891209e-10, (74, 7) = 0.4326026143353661e-10, (75, 1) = -0.6276724784350272e-10, (75, 2) = 0.27081107173027596e-10, (75, 3) = 0.956021311487774e-9, (75, 4) = 0.1242898751621955e-9, (75, 5) = -0.43822448468142216e-10, (75, 6) = -0.4848759364943523e-10, (75, 7) = 0.41226529155491094e-10, (76, 1) = -0.6102491550561366e-10, (76, 2) = 0.26351883619454057e-10, (76, 3) = 0.9640326746315502e-9, (76, 4) = 0.121460477587425e-9, (76, 5) = -0.4295805432634064e-10, (76, 6) = -0.4585957834722676e-10, (76, 7) = 0.39266766672733285e-10, (77, 1) = -0.5932805568253786e-10, (77, 2) = 0.25645207179705036e-10, (77, 3) = 0.971865921545455e-9, (77, 4) = 0.11868506629827273e-9, (77, 5) = -0.4211247126952791e-10, (77, 6) = -0.43355676647937267e-10, (77, 7) = 0.37379698125788404e-10, (78, 1) = -0.5767472162072739e-10, (78, 2) = 0.24960016150123966e-10, (78, 3) = 0.979527272820239e-9, (78, 4) = 0.11596023227128644e-9, (78, 5) = -0.4128474523380456e-10, (78, 6) = -0.4097042064765802e-10, (78, 7) = 0.35563538933466515e-10, (79, 1) = -0.56062278773629755e-10, (79, 2) = 0.24294558885869108e-10, (79, 3) = 0.9870304765706218e-9, (79, 4) = 0.1132842332370745e-9, (79, 5) = -0.4047347361338713e-10, (79, 6) = -0.3869723877794528e-10, (79, 7) = 0.3381536009462095e-10, (80, 1) = -0.5448940782255379e-10, (80, 2) = 0.23648210403970446e-10, (80, 3) = 0.994373920621701e-9, (80, 4) = 0.11065398015669131e-9, (80, 5) = -0.39678136755576145e-10, (80, 6) = -0.36531778065328024e-10, (80, 7) = 0.32133775021841036e-10, (81, 1) = -0.52956076563351886e-10, (81, 2) = 0.23020634601627332e-10, (81, 3) = 0.10015578355642333e-8, (81, 4) = 0.10807290223640643e-9, (81, 5) = -0.38898839909173874e-10, (81, 6) = -0.3447214832243887e-10, (81, 7) = 0.3051913043551198e-10, (82, 1) = -0.5146276180186555e-10, (82, 2) = 0.22411874260840103e-10, (82, 3) = 0.10085763899854806e-8, (82, 4) = 0.1055410648564232e-9, (82, 5) = -0.38136245666705616e-10, (82, 6) = -0.32516021075844286e-10, (82, 7) = 0.28971490315933258e-10, (83, 1) = -0.5000912520995857e-10, (83, 2) = 0.21821342830068495e-10, (83, 3) = 0.10154312004191943e-8, (83, 4) = 0.10305955865797805e-9, (83, 5) = -0.37389798155327645e-10, (83, 6) = -0.3065998978540357e-10, (83, 7) = 0.27489757167180907e-10, (84, 1) = -0.4859428466255206e-10, (84, 2) = 0.21248577059062134e-10, (84, 3) = 0.10221196610682969e-8, (84, 4) = 0.1006273316758632e-9, (84, 5) = -0.366593448426289e-10, (84, 6) = -0.28900208991190788e-10, (84, 7) = 0.2607253753742099e-10, (85, 1) = -0.47216941209601755e-10, (85, 2) = 0.2069281771249485e-10, (85, 3) = 0.10286458303596705e-8, (85, 4) = 0.9824302321628248e-10, (85, 5) = -0.3594449952721954e-10, (85, 6) = -0.27232289002638088e-10, (85, 7) = 0.2471776526401278e-10, (86, 1) = -0.4587603850181021e-10, (86, 2) = 0.201534052940794e-10, (86, 3) = 0.10350205574204247e-8, (86, 4) = 0.9590484830894483e-10, (86, 5) = -0.35244600053546624e-10, (86, 6) = -0.2565211417447784e-10, (86, 7) = 0.23423564263486646e-10, (87, 1) = -0.44570427444179945e-10, (87, 2) = 0.19629813990776138e-10, (87, 3) = 0.10412377532833149e-8, (87, 4) = 0.9361470603911598e-10, (87, 5) = -0.34559475928237606e-10, (87, 6) = -0.2415576255235988e-10, (87, 7) = 0.22188010686861947e-10, (88, 1) = -0.43299205036542566e-10, (88, 2) = 0.19121396301621412e-10, (88, 3) = 0.10473038270512812e-8, (88, 4) = 0.9136975261118352e-10, (88, 5) = -0.33888742228378605e-10, (88, 6) = -0.22739391561818352e-10, (88, 7) = 0.21009171213129243e-10, (89, 1) = -0.4206136621816841e-10, (89, 2) = 0.1862763193300451e-10, (89, 3) = 0.1053220826440606e-8, (89, 4) = 0.8916812971164093e-10, (89, 5) = -0.3323194858271513e-10, (89, 6) = -0.21399256766972228e-10, (89, 7) = 0.19885123465220818e-10, (90, 1) = -0.4085588310966399e-10, (90, 2) = 0.18148024520178687e-10, (90, 3) = 0.10589955041451046e-8, (90, 4) = 0.870102840089945e-10, (90, 5) = -0.32588484240228997e-10, (90, 6) = -0.20131789912960962e-10, (90, 7) = 0.1881389542009739e-10, (91, 1) = -0.3968185166790285e-10, (91, 2) = 0.1768202815418893e-10, (91, 3) = 0.10646265232891785e-8, (91, 4) = 0.8489553195210622e-10, (91, 5) = -0.3195843436574123e-10, (91, 6) = -0.18933463049862498e-10, (91, 7) = 0.17793581660786366e-10, (92, 1) = -0.3853832902129189e-10, (92, 2) = 0.1722922578935513e-10, (92, 3) = 0.10701178713516793e-8, (92, 4) = 0.8282293669401647e-10, (92, 5) = -0.3134115943239919e-10, (92, 6) = -0.17800978202007475e-10, (92, 7) = 0.16822264914732218e-10, (93, 1) = -0.37424669181434964e-10, (93, 2) = 0.16789122412977386e-10, (93, 3) = 0.10754723856152606e-8, (93, 4) = 0.8079060721002729e-10, (93, 5) = -0.30736550226877975e-10, (93, 6) = -0.16731181911091006e-10, (93, 7) = 0.15898179284081475e-10, (94, 1) = -0.3633984344798148e-10, (94, 2) = 0.1636136007680888e-10, (94, 3) = 0.1080694913077139e-8, (94, 4) = 0.7879810368988039e-10, (94, 5) = -0.30144170280229594e-10, (94, 6) = -0.1572093396812334e-10, (94, 7) = 0.15019396209421985e-10, (95, 1) = -0.3528295959502651e-10, (95, 2) = 0.15945431111723886e-10, (95, 3) = 0.10857842746568276e-8, (95, 4) = 0.7684526168038454e-10, (95, 5) = -0.29563770509365825e-10, (95, 6) = -0.1476718725922153e-10, (95, 7) = 0.14184084832010438e-10, (96, 1) = -0.34253341623023184e-10, (96, 2) = 0.15540982368433098e-10, (96, 3) = 0.1090745090008393e-8, (96, 4) = 0.7492994656021819e-10, (96, 5) = -0.28994985820475658e-10, (96, 6) = -0.1386715343683189e-10, (96, 7) = 0.13390505826113743e-10, (97, 1) = -0.3325026905308442e-10, (97, 2) = 0.15147620208866446e-10, (97, 3) = 0.1095581663622364e-8, (97, 4) = 0.7305312971306977e-10, (97, 5) = -0.2843762234102979e-10, (97, 6) = -0.13018130971366204e-10, (97, 7) = 0.12636963284411881e-10, (98, 1) = -0.3227290366515648e-10, (98, 2) = 0.147650429647678e-10, (98, 3) = 0.11002947854437276e-8, (98, 4) = 0.7121225709966904e-10, (98, 5) = -0.27891434655293842e-10, (98, 6) = -0.12217450392363468e-10, (98, 7) = 0.11921702204802202e-10, (99, 1) = -0.3132080420646942e-10, (99, 2) = 0.14392920682890967e-10, (99, 3) = 0.11048831639640239e-8, (99, 4) = 0.6940775972450926e-10, (99, 5) = -0.27356201034967982e-10, (99, 6) = -0.11462781048113319e-10, (99, 7) = 0.1124326590913559e-10, (100, 1) = -0.3039298764179678e-10, (100, 2) = 0.14030857509215677e-10, (100, 3) = 0.1109356892219946e-8, (100, 4) = 0.676397259657339e-10, (100, 5) = -0.26831570391908562e-10, (100, 6) = -0.10751575098641281e-10, (100, 7) = 0.10599889734684021e-10, (101, 1) = -0.29488761953278224e-10, (101, 2) = 0.13678526761319882e-10, (101, 3) = 0.11137144524208188e-8, (101, 4) = 0.6590478075005809e-10, (101, 5) = -0.26317299185941288e-10, (101, 6) = -0.10081506050647998e-10, (101, 7) = 0.999000377791946e-11, (102, 1) = -0.28607607795422616e-10, (102, 2) = 0.133356401806779e-10, (102, 3) = 0.1117958634990215e-8, (102, 4) = 0.6420506271081726e-10, (102, 5) = -0.25813196450715664e-10, (102, 6) = -0.9450437138368041e-11, (102, 7) = 0.941214568419086e-11, (103, 1) = -0.2774875412567413e-10, (103, 2) = 0.13001895950288143e-10, (103, 3) = 0.11220903726978504e-8, (103, 4) = 0.6253786452945416e-10, (103, 5) = -0.25319039475505215e-10, (103, 6) = -0.8856275269538403e-11, (103, 7) = 0.88648554303843e-11, (104, 1) = -0.26911598790166447e-10, (104, 2) = 0.12676995076335476e-10, (104, 3) = 0.11261152671984882e-8, (104, 4) = 0.609021937252899e-10, (104, 5) = -0.24834523744108644e-10, (104, 6) = -0.8296967223918404e-11, (104, 7) = 0.8346651823328133e-11, (105, 1) = -0.2609571741139721e-10, (105, 2) = 0.12360707018358898e-10, (105, 3) = 0.11300290116370514e-8, (105, 4) = 0.5929939405437904e-10, (105, 5) = -0.24359564511586517e-10, (105, 6) = -0.7770759456933992e-11, (105, 7) = 0.7856315718077717e-11, (106, 1) = -0.2530044333188704e-10, (106, 2) = 0.12052784144741168e-10, (106, 3) = 0.11338381262505208e-8, (106, 4) = 0.577274885441457e-10, (106, 5) = -0.23893915026487e-10, (106, 6) = -0.7275804353440743e-11, (106, 7) = 0.7392498157574831e-11, (107, 1) = -0.24525287343846688e-10, (107, 2) = 0.11752990045451255e-10, (107, 3) = 0.11375506925479182e-8, (107, 4) = 0.5618664712627303e-10, (107, 5) = -0.2343740897183187e-10, (107, 6) = -0.68104138779155605e-11, (107, 7) = 0.69539489361209256e-11, (108, 1) = -0.23769756034050658e-10, (108, 2) = 0.11461069140781725e-10, (108, 3) = 0.1141156920036321e-8, (108, 4) = 0.54675506620229015e-10, (108, 5) = -0.22989853517927998e-10, (108, 6) = -0.6372953207665234e-11, (108, 7) = 0.6539460296498955e-11, (109, 1) = -0.23033206946688197e-10, (109, 2) = 0.11176784235420537e-10, (109, 3) = 0.11446648205586631e-8, (109, 4) = 0.53193133369219096e-10, (109, 5) = -0.2255102934510164e-10, (109, 6) = -0.5961851297415071e-11, (109, 7) = 0.6147846949535398e-11, (110, 1) = -0.22315170596435424e-10, (110, 2) = 0.10899899099720045e-10, (110, 3) = 0.11480776804648441e-8, (110, 4) = 0.51741404883626826e-10, (110, 5) = -0.2212079881093947e-10, (110, 6) = -0.55756000900039874e-11, (110, 7) = 0.5777950850708059e-11, (111, 1) = -0.2161510628629133e-10, (111, 2) = 0.10630202497500658e-10, (111, 3) = 0.11513963697465053e-8, (111, 4) = 0.50316084756389076e-10, (111, 5) = -0.2169888691820227e-10, (111, 6) = -0.5212825902031769e-11, (111, 7) = 0.5428717922904024e-11, (112, 1) = -0.2093248308036869e-10, (112, 2) = 0.10367485845143703e-10, (112, 3) = 0.11546195339584729e-8, (112, 4) = 0.489182049004149e-10, (112, 5) = -0.21285088698946967e-10, (112, 6) = -0.4872150788621039e-11, (112, 7) = 0.5099059382295185e-11, (113, 1) = -0.20266939127279472e-10, (113, 2) = 0.10111521783538712e-10, (113, 3) = 0.11577592792912037e-8, (113, 4) = 0.4754807495737071e-10, (113, 5) = -0.20879387496573555e-10, (113, 6) = -0.4552355860741361e-11, (113, 7) = 0.4788042271114969e-11, (114, 1) = -0.19618082071104572e-10, (114, 2) = 0.9862199011411562e-11, (114, 3) = 0.1160804498226923e-8, (114, 4) = 0.462044422773981e-10, (114, 5) = -0.20481586670028085e-10, (114, 6) = -0.4252272644255941e-11, (114, 7) = 0.4494726477485643e-11, (115, 1) = -0.189853664183792e-10, (115, 2) = 0.9619265490819973e-11, (115, 3) = 0.11637594037035251e-8, (115, 4) = 0.4488686014505007e-10, (115, 5) = -0.200914542145842e-10, (115, 6) = -0.3970742061101578e-11, (115, 7) = 0.4218178288334328e-11, (116, 1) = -0.18368425185254865e-10, (116, 2) = 0.9382570898414447e-11, (116, 3) = 0.1166630830350612e-8, (116, 4) = 0.43594040714570804e-10, (116, 5) = -0.19708991959087038e-10, (116, 6) = -0.3706685865404614e-11, (116, 7) = 0.3957541778663131e-11, (117, 1) = -0.17766860290530166e-10, (117, 2) = 0.9151949085797764e-11, (117, 3) = 0.11694183749409405e-8, (117, 4) = 0.4232831823848793e-10, (117, 5) = -0.1933383435015675e-10, (117, 6) = -0.34591076284628657e-11, (117, 7) = 0.3711986676217058e-11, (118, 1) = -0.1718023634060036e-10, (118, 2) = 0.8927196267795554e-11, (118, 3) = 0.11721276821171886e-8, (118, 4) = 0.4108405888124236e-10, (118, 5) = -0.1896600682368705e-10, (118, 6) = -0.32270198234058586e-11, (118, 7) = 0.348070537611262e-11, (119, 1) = -0.1660824179634249e-10, (119, 2) = 0.8708218692549034e-11, (119, 3) = 0.11747502806896227e-8, (119, 4) = 0.3986542634893522e-10, (119, 5) = -0.18605245591516813e-10, (119, 6) = -0.3009534932294507e-11, (119, 7) = 0.32629652311135766e-11, (120, 1) = -0.16050399219794936e-10, (120, 2) = 0.8494789562416073e-11, (120, 3) = 0.1177298843835625e-8, (120, 4) = 0.3867107750145139e-10, (120, 5) = -0.1825156006779017e-10, (120, 6) = -0.28057732922703526e-11, (120, 7) = 0.3058018111059415e-11, (121, 1) = -0.1550635416407613e-10, (121, 2) = 0.8286771907186822e-11, (121, 3) = 0.11797644520720168e-8, (121, 4) = 0.3749839816238541e-10, (121, 5) = -0.179046564962422e-10, (121, 6) = -0.26149114543976955e-11, (121, 7) = 0.2865173942337792e-11, (122, 1) = -0.14975761754194747e-10, (122, 2) = 0.8084037043132685e-11, (122, 3) = 0.11821578106786102e-8, (122, 4) = 0.36349353804088396e-10, (122, 5) = -0.175644957867693e-10, (122, 6) = -0.2436179786254095e-11, (122, 7) = 0.2683771938128526e-11, (123, 1) = -0.14458298929642815e-10, (123, 2) = 0.7886436111228735e-11, (123, 3) = 0.1184477412835794e-8, (123, 4) = 0.3522096126295468e-10, (123, 5) = -0.17230852517395524e-10, (123, 6) = -0.22688631001927273e-11, (123, 7) = 0.251319975965811e-11, (124, 1) = -0.13953687402573215e-10, (124, 2) = 0.7693865587618392e-11, (124, 3) = 0.11867220249665278e-8, (124, 4) = 0.3411637223729094e-10, (124, 5) = -0.16903783217364677e-10, (124, 6) = -0.21122903401850213e-11, (124, 7) = 0.23528837580789774e-11, (125, 1) = -0.13461549633644782e-10, (125, 2) = 0.7506151534379781e-11, (125, 3) = 0.1188897149024404e-8, (125, 4) = 0.3303185520341911e-10, (125, 5) = -0.1658297508322167e-10, (125, 6) = -0.19657866032914978e-11, (125, 7) = 0.22022276664434392e-11, (126, 1) = -0.12981528055333814e-10, (126, 2) = 0.7323175020133718e-11, (126, 3) = 0.11909980330249977e-8, (126, 4) = 0.31968895014399795e-10, (126, 5) = -0.16268428192245815e-10, (126, 6) = -0.1828737416272636e-11, (126, 7) = 0.20606921059849896e-11, (127, 1) = -0.1251334925790676e-10, (127, 2) = 0.71448022450762814e-11, (127, 3) = 0.11930368791468821e-8, (127, 4) = 0.30925168269090486e-10, (127, 5) = -0.1595994529536578e-10, (127, 6) = -0.17005642957390043e-11, (127, 7) = 0.19277648128769555e-11, (128, 1) = -0.12056664122166423e-10, (128, 2) = 0.6970902891903902e-11, (128, 3) = 0.11949984988800984e-8, (128, 4) = 0.2990287437232501e-10, (128, 5) = -0.1565744012758655e-10, (128, 6) = -0.15807226738701075e-11, (128, 7) = 0.1802962201788926e-11, (129, 1) = -0.11611215590250922e-10, (129, 2) = 0.6801386273637118e-11, (129, 3) = 0.11968993600102636e-8, (129, 4) = 0.28900147080382565e-10, (129, 5) = -0.15360783718278442e-10, (129, 6) = -0.14686992588250484e-11, (129, 7) = 0.16858173458030813e-11, (130, 1) = -0.11176689572059342e-10, (130, 2) = 0.66361109585935695e-11, (130, 3) = 0.119874251229159e-8, (130, 4) = 0.27915751228461665e-10, (130, 5) = -0.1506996454811597e-10, (130, 6) = -0.13640066121412605e-11, (130, 7) = 0.15758973394943555e-11, (131, 1) = -0.10752847620314014e-10, (131, 2) = 0.6474979668955007e-11, (131, 3) = 0.12005094860252073e-8, (131, 4) = 0.2695026830924684e-10, (131, 5) = -0.1478465740885954e-10, (131, 6) = -0.12661923343114569e-11, (131, 7) = 0.14727845404164439e-11, (132, 1) = -0.10339385856338755e-10, (132, 2) = 0.6317886581522219e-11, (132, 3) = 0.1202227689070044e-8, (132, 4) = 0.26004025373171577e-10, (132, 5) = -0.14504921383297311e-10, (132, 6) = -0.117482316930582e-11, (132, 7) = 0.13760829973621443e-11, (133, 1) = -0.9936029828507202e-11, (133, 2) = 0.6164717563718258e-11, (133, 3) = 0.12038784627655226e-8, (133, 4) = 0.25075153782644154e-10, (133, 5) = -0.14230591341865168e-10, (133, 6) = -0.1089495166072317e-11, (133, 7) = 0.12854232032874922e-11, (134, 1) = -0.954258200538204e-11, (134, 2) = 0.60153668094429556e-11, (134, 3) = 0.12054624421663825e-8, (134, 4) = 0.2416409972408739e-10, (134, 5) = -0.13961569099024428e-10, (134, 6) = -0.10098288357408212e-11, (134, 7) = 0.12004494115820128e-11, (135, 1) = -0.915871353546483e-11, (135, 2) = 0.5869751638206249e-11, (135, 3) = 0.12070025992460107e-8, (135, 4) = 0.23271492022243684e-10, (135, 5) = -0.13697768394350225e-10, (135, 6) = -0.935464640353776e-12, (135, 7) = 0.11208283383367453e-11, (136, 1) = -0.8784234210301511e-11, (136, 2) = 0.5727763841077969e-11, (136, 3) = 0.12084706474875078e-8, (136, 4) = 0.22394710020022877e-10, (136, 5) = -0.1343909294397463e-10, (136, 6) = -0.8660660324202705e-12, (136, 7) = 0.10462421991222154e-11, (137, 1) = -0.8418913263458105e-11, (137, 2) = 0.5589313993785467e-11, (137, 3) = 0.12098889273005505e-8, (137, 4) = 0.21535676726855785e-10, (137, 5) = -0.13185427926861937e-10, (137, 6) = -0.8013163492284678e-12, (137, 7) = 0.976391731445841e-12, (138, 1) = -0.8062467152589807e-11, (138, 2) = 0.54543196210213545e-11, (138, 3) = 0.12112528801006951e-8, (138, 4) = 0.2069189392423113e-10, (138, 5) = -0.12936678002997946e-10, (138, 6) = -0.7409176146801608e-12, (138, 7) = 0.910994600582341e-12, (139, 1) = -0.7714730287100752e-11, (139, 2) = 0.5322678054123467e-11, (139, 3) = 0.12125653854184757e-8, (139, 4) = 0.1986489890272202e-10, (139, 5) = -0.12692775835000164e-10, (139, 6) = -0.6845899300896001e-12, (139, 7) = 0.8497829990085735e-12, (140, 1) = -0.7375446342117648e-11, (140, 2) = 0.5194307400360006e-11, (140, 3) = 0.12138188632444438e-8, (140, 4) = 0.19054116219959057e-10, (140, 5) = -0.1245358984195867e-10, (140, 6) = -0.6320711383042871e-12, (140, 7) = 0.7925037232638139e-12, (141, 1) = -0.7044411595925558e-11, (141, 2) = 0.5069122407758296e-11, (141, 3) = 0.12150133348393326e-8, (141, 4) = 0.1825781497268621e-10, (141, 5) = -0.12219085401247519e-10, (141, 6) = -0.5831141022505443e-12, (141, 7) = 0.7389185911372965e-12, (142, 1) = -0.6721411054329123e-11, (142, 2) = 0.4947052990376775e-11, (142, 3) = 0.12161723234439253e-8, (142, 4) = 0.1747738330983317e-10, (142, 5) = -0.11989085228023421e-10, (142, 6) = -0.5374871770932166e-12, (142, 7) = 0.6888023926474155e-12, (143, 1) = -0.64062605091691784e-11, (143, 2) = 0.482800632195133e-11, (143, 3) = 0.12172680170306166e-8, (143, 4) = 0.16711578042847487e-10, (143, 5) = -0.11763570020466811e-10, (143, 6) = -0.4949736743484498e-12, (143, 7) = 0.641942100772299e-12, (144, 1) = -0.6098742025425115e-11, (144, 2) = 0.4711916193706158e-11, (144, 3) = 0.1218330702880712e-8, (144, 4) = 0.1595955897889176e-10, (144, 5) = -0.11542423255895684e-10, (144, 6) = -0.4553688284597233e-12, (144, 7) = 0.5981378832577253e-12, (145, 1) = -0.5798677057513097e-11, (145, 2) = 0.4598706096769562e-11, (145, 3) = 0.12193353543310945e-8, (145, 4) = 0.15223361961034254e-10, (145, 5) = -0.11325610150784382e-10, (145, 6) = -0.41848219488793295e-12, (145, 7) = 0.5572003836098101e-12, (146, 1) = -0.550588009340836e-11, (146, 2) = 0.44882880675520885e-11, (146, 3) = 0.12202857455131248e-8, (146, 4) = 0.14500418876082778e-10, (146, 5) = -0.11113028236882186e-10, (146, 6) = -0.3841341317304528e-12, (146, 7) = 0.5189520778312766e-12, (147, 1) = -0.5220157336739223e-11, (147, 2) = 0.4380605492331011e-11, (147, 3) = 0.12212000753634705e-8, (147, 4) = 0.1379119238849094e-10, (147, 5) = -0.10904523689854029e-10, (147, 6) = -0.3521569442290073e-12, (147, 7) = 0.4832242591595169e-12, (148, 1) = -0.49413372968622916e-11, (148, 2) = 0.42755942505609585e-11, (148, 3) = 0.12220670336629079e-8, (148, 4) = 0.13094678826697949e-10, (148, 5) = -0.10700136443468203e-10, (148, 6) = -0.3223928565883448e-12, (148, 7) = 0.4498598146017527e-12, (149, 1) = -0.4669250200024589e-11, (149, 2) = 0.417317907212515e-11, (149, 3) = 0.122288995704384e-8, (149, 4) = 0.12412330083168088e-10, (149, 5) = -0.10499703764283493e-10, (149, 6) = -0.29469488358582e-12, (149, 7) = 0.41870954819324477e-12, (150, 1) = -0.4403712013205302e-11, (150, 2) = 0.4073299764315313e-11, (150, 3) = 0.1223665684002994e-8, (150, 4) = 0.11742241160471754e-10, (150, 5) = -0.1030317689694116e-10, (150, 6) = -0.2689244656008504e-12, (150, 7) = 0.3896336179006955e-12, (151, 1) = -0.4144579427591234e-11, (151, 2) = 0.3975878589560163e-11, (151, 3) = 0.1224396603455543e-8, (151, 4) = 0.11085210144017644e-10, (151, 5) = -0.10110459511254232e-10, (151, 6) = -0.2449525995893326e-12, (151, 7) = 0.3625006066286385e-12, (152, 1) = -0.38916848416852296e-11, (152, 2) = 0.38808682939696256e-11, (152, 3) = 0.12251002854980518e-8, (152, 4) = 0.10440054268239915e-10, (152, 5) = -0.9921507967863049e-11, (152, 6) = -0.22265826204028151e-12, (152, 7) = 0.33718643994633003e-12, (153, 1) = -0.3644855356429144e-11, (153, 2) = 0.3788203889785971e-11, (153, 3) = 0.12257436502356109e-8, (153, 4) = 0.980794201747327e-11, (153, 5) = -0.9736237397022225e-11, (153, 6) = -0.20192812497115791e-12, (153, 7) = 0.3135747127959107e-12, (154, 1) = -0.340396118615834e-11, (154, 2) = 0.3697827252366246e-11, (154, 3) = 0.1226353307422349e-8, (154, 4) = 0.9186175708230342e-11, (154, 5) = -0.9554597649315009e-11, (154, 6) = -0.1826564040925313e-12, (154, 7) = 0.2915562150365321e-12, (155, 1) = -0.31688432998717966e-11, (155, 2) = 0.36096794411637987e-11, (155, 3) = 0.12269316630844605e-8, (155, 4) = 0.8577808830243637e-11, (155, 5) = -0.9376497241749015e-11, (155, 6) = -0.16474403131928477e-12, (155, 7) = 0.2710281947405146e-12, (156, 1) = -0.2939357375813386e-11, (156, 2) = 0.35237027889789578e-11, (156, 3) = 0.12274613278365115e-8, (156, 4) = 0.79793438193171e-11, (156, 5) = -0.920186693051316e-11, (156, 6) = -0.14809841321472652e-12, (156, 7) = 0.2518939679820372e-12, (157, 1) = -0.27153619196543353e-11, (157, 2) = 0.3439849104588805e-11, (157, 3) = 0.12279600179688634e-8, (157, 4) = 0.7392918423708086e-11, (157, 5) = -0.9030668428465661e-11, (157, 6) = -0.1326329694636143e-12, (157, 7) = 0.23406319783156147e-12, (158, 1) = -0.24980748116852893e-11, (158, 2) = 0.33585674115493146e-11, (158, 3) = 0.12284094216029687e-8, (158, 4) = 0.6821603976317833e-11, (158, 5) = -0.8863786066021544e-11, (158, 6) = -0.1183519151197076e-12, (158, 7) = 0.21754937709165998e-12, (159, 1) = -0.22931130761850767e-11, (159, 2) = 0.32819548479972626e-11, (159, 3) = 0.1228813812960284e-8, (159, 4) = 0.6278310095434659e-11, (159, 5) = -0.870573682183365e-11, (159, 6) = -0.10551134063300874e-12, (159, 7) = 0.2026600306552426e-12, (160, 1) = -0.21008409964575166e-11, (160, 2) = 0.3210141330288939e-11, (160, 3) = 0.12291686374264535e-8, (160, 4) = 0.57679093040764105e-11, (160, 5) = -0.8556870228087243e-11, (160, 6) = -0.9401117419620941e-13, (160, 7) = 0.18928977461730128e-12, (161, 1) = -0.19201922217252495e-11, (161, 2) = 0.31427195364896388e-11, (161, 3) = 0.12294833016356614e-8, (161, 4) = 0.528521870647234e-11, (161, 5) = -0.84164150381976e-11, (161, 6) = -0.8367827535476734e-13, (161, 7) = 0.17724627836112152e-12, (162, 1) = -0.17500382006084871e-11, (162, 2) = 0.30792626398127524e-11, (162, 3) = 0.12297616807404267e-8, (162, 4) = 0.4828423599994281e-11, (162, 5) = -0.8283635245036114e-11, (162, 6) = -0.7435742708748314e-13, (162, 7) = 0.16635630047369893e-12, (163, 1) = -0.15894069745447244e-11, (163, 2) = 0.30194000535656047e-11, (163, 3) = 0.12300053331583256e-8, (163, 4) = 0.4395358666486823e-11, (163, 5) = -0.8157858618845472e-11, (163, 6) = -0.6591849525409016e-13, (163, 7) = 0.15647380832507043e-12, (164, 1) = -0.143744735071212e-11, (164, 2) = 0.29628062228306213e-11, (164, 3) = 0.12302224927433942e-8, (164, 4) = 0.39840602242576006e-11, (164, 5) = -0.8038390336572891e-11, (164, 6) = -0.5825191121229164e-13, (164, 7) = 0.14747601877532904e-12, (165, 1) = -0.12934065335206593e-11, (165, 2) = 0.2909203531044491e-11, (165, 3) = 0.12304077852833621e-8, (165, 4) = 0.35926554480135007e-11, (165, 5) = -0.792484729304842e-11, (165, 6) = -0.5126495348768588e-13, (165, 7) = 0.13925839415573526e-12, (166, 1) = -0.1156624499015785e-11, (166, 2) = 0.28583377841434647e-11, (166, 3) = 0.12305629940469257e-8, (166, 4) = 0.32189978168650025e-11, (166, 5) = -0.7816624131829942e-11, (166, 6) = -0.4487834494433306e-13, (166, 7) = 0.13173149807135405e-12, (167, 1) = -0.10265210416646665e-11, (167, 2) = 0.28099859769711778e-11, (167, 3) = 0.12307048112808125e-8, (167, 4) = 0.28628730141565726e-11, (167, 5) = -0.7713392249055152e-11, (167, 6) = -0.3902428012462705e-13, (167, 7) = 0.12481864852611245e-12, (168, 1) = -0.9025640604170987e-12, (168, 2) = 0.27639491870152004e-11, (168, 3) = 0.12308209011808183e-8, (168, 4) = 0.25224103801739054e-11, (168, 5) = -0.7614781499091382e-11, (168, 6) = -0.336442843827677e-13, (168, 7) = 0.1184536829449645e-12, (169, 1) = -0.7842921223495981e-12, (169, 2) = 0.27200541310057924e-11, (169, 3) = 0.12309247582023974e-8, (169, 4) = 0.2195560422415873e-11, (169, 5) = -0.752035432041767e-11, (169, 6) = -0.2868781128546623e-13, (169, 7) = 0.11257905769508853e-12, (170, 1) = -0.6712838397935098e-12, (170, 2) = 0.26781416441771932e-11, (170, 3) = 0.12310105895101172e-8, (170, 4) = 0.1881429399968058e-11, (170, 5) = -0.7429936109254022e-11, (170, 6) = -0.24110889621727452e-13, (170, 7) = 0.1071446837412809e-12, (171, 1) = -0.5631611547338676e-12, (171, 2) = 0.26380669883797786e-11, (171, 3) = 0.12310826986623688e-8, (171, 4) = 0.15819072978324664e-11, (171, 5) = -0.7343181172926194e-11, (171, 6) = -0.1987509570792081e-13, (171, 7) = 0.10210683924543437e-12, (172, 1) = -0.4595821765691131e-12, (172, 2) = 0.25996992004927467e-11, (172, 3) = 0.12311444178261443e-8, (172, 4) = 0.12922776880427693e-11, (172, 5) = -0.7259865303530753e-11, (172, 6) = -0.1594690713150054e-13, (172, 7) = 0.9742711634109024e-13, (173, 1) = -0.360239821686979e-12, (173, 2) = 0.256292258113084e-11, (173, 3) = 0.1231182643453054e-8, (173, 4) = 0.10145565202094742e-11, (173, 5) = -0.71797304253474045e-11, (173, 6) = -0.12296822976919166e-13, (173, 7) = 0.9307182871563279e-13, (174, 1) = -0.26485444170652493e-12, (174, 2) = 0.25276374440445824e-11, (174, 3) = 0.1231214457114319e-8, (174, 4) = 0.7475904889489019e-12, (174, 5) = -0.7102655072283805e-11, (174, 6) = -0.8898840022002288e-14, (174, 7) = 0.8901105773542986e-13, (175, 1) = -0.17317086532258958e-12, (175, 2) = 0.2493741836417416e-11, (175, 3) = 0.12312385732722901e-8, (175, 4) = 0.4895181132410539e-12, (175, 5) = -0.7028323739814668e-11, (175, 6) = -0.5729946700895339e-14, (175, 7) = 0.852184352526504e-13, (176, 1) = -0.8495682761705501e-13, (176, 2) = 0.24611493869265283e-11, (176, 3) = 0.1231250597216119e-8, (176, 4) = 0.2399942514572332e-12, (176, 5) = -0.6956738131751051e-11, (176, 6) = -0.2769726093823494e-14, (176, 7) = 0.8167037339566886e-13, (177, 1) = .0, (177, 2) = 0.24297727964088152e-11, (177, 3) = 0.12312559658094405e-8, (177, 4) = .0, (177, 5) = -0.6887584184124894e-11, (177, 6) = .0, (177, 7) = 0.7834600855072988e-13}, datatype = float[8], order = C_order); if not type(outpoint, 'numeric') then if outpoint = "start" or outpoint = "left" then return X[1] elif outpoint = "right" then return X[177] elif outpoint = "order" then return 8 elif outpoint = "error" then return HFloat(1.2934292747785471e-9) elif outpoint = "errorproc" then error "this is already the error procedure" elif outpoint = "rawdata" then return [7, 177, [chi(eta), diff(chi(eta), eta), f(eta), diff(f(eta), eta), diff(diff(f(eta), eta), eta), theta(eta), diff(theta(eta), eta)], X, Y] else return ('procname')(x_bvp) end if end if; if outpoint < X[1] or X[177] < outpoint then error "solution is only defined in the range %1..%2", X[1], X[177] end if; V := array([1 = 4, 2 = 0]); if Digits <= trunc(evalhf(Digits)) then L := Vector(4, 'datatype' = 'float'[8]); yout := Vector(7, 'datatype' = 'float'[8]); evalhf(`dsolve/numeric/lagrange`(177, 7, X, Y, outpoint, var(yout), var(L), var(V))) else L := Vector(4, 'datatype' = 'sfloat'); yout := Vector(7, 'datatype' = 'sfloat'); `dsolve/numeric/lagrange`(177, 7, X, Y, outpoint, yout, L, V) end if; [eta = outpoint, seq('[chi(eta), diff(chi(eta), eta), f(eta), diff(f(eta), eta), diff(diff(f(eta), eta), eta), theta(eta), diff(theta(eta), eta)]'[i] = yout[i], i = 1 .. 7)] end proc; if not type(outpoint, 'numeric') then if outpoint = "start" or outpoint = "left" then return X[1] elif outpoint = "method" then return "bvp" elif outpoint = "right" then return X[177] elif outpoint = "order" then return 8 elif outpoint = "error" then return HFloat(1.2934292747785471e-9) elif outpoint = "errorproc" then return eval(errproc) elif outpoint = "rawdata" then return [7, 177, "depnames", X, Y, YP] else error "non-numeric value" end if end if; if outpoint < X[1] or X[177] < outpoint then error "solution is only defined in the range %1..%2", X[1], X[177] end if; if Digits <= trunc(evalhf(Digits)) and (_EnvInFsolve <> true or _EnvDSNumericSaveDigits <= trunc(evalhf(Digits))) then V := array( 1 .. 6, [( 1 ) = (7), ( 2 ) = (0), ( 3 ) = (false), ( 4 ) = (false), ( 5 ) = (false), ( 6 ) = (false)  ] ); L := Matrix(7, 2, {(1, 1) = .0, (1, 2) = .0, (2, 1) = .0, (2, 2) = .0, (3, 1) = .0, (3, 2) = .0, (4, 1) = .0, (4, 2) = .0, (5, 1) = .0, (5, 2) = .0, (6, 1) = .0, (6, 2) = .0, (7, 1) = .0, (7, 2) = .0}, datatype = float[8], order = C_order); yout := Vector(7, {(1) = .0, (2) = .0, (3) = .0, (4) = .0, (5) = .0, (6) = .0, (7) = .0}, datatype = float[8]); evalhf(`dsolve/numeric/hermite`(177, 7, X, Y, YP, outpoint, var(yout), var(L), var(V))) else if _EnvInFsolve = true then Digits := _EnvDSNumericSaveDigits end if; V := array( 1 .. 6, [( 1 ) = (7), ( 2 ) = (0), ( 3 ) = (false), ( 4 ) = (false), ( 5 ) = (false), ( 6 ) = (false)  ] ); L := Matrix(7, 2, {(1, 1) = 0., (1, 2) = 0., (2, 1) = 0., (2, 2) = 0., (3, 1) = 0., (3, 2) = 0., (4, 1) = 0., (4, 2) = 0., (5, 1) = 0., (5, 2) = 0., (6, 1) = 0., (6, 2) = 0., (7, 1) = 0., (7, 2) = 0.}, order = C_order); yout := Vector(7, {(1) = 0., (2) = 0., (3) = 0., (4) = 0., (5) = 0., (6) = 0., (7) = 0.}); `dsolve/numeric/hermite`(177, 7, X, Y, YP, outpoint, yout, L, V) end if; [outpoint, seq(yout[i], i = 1 .. 7)] end proc, (2) = Array(1..8, {(1) = 18446744078246286542, (2) = 18446744078246287070, (3) = 18446744078246287246, (4) = 18446744078246287422, (5) = 18446744078246287598, (6) = 18446744078246287774, (7) = 18446744078246287950, (8) = 18446744078246288126}), (3) = [eta, chi(eta), diff(chi(eta), eta), f(eta), diff(f(eta), eta), diff(diff(f(eta), eta), eta), theta(eta), diff(theta(eta), eta)], (4) = 0}); solnproc := data[1]; if not type(outpoint, 'numeric') then if outpoint = "solnprocedure" then return eval(solnproc) elif member(outpoint, ["start", "left", "right", "errorproc", "rawdata", "order", "error"]) then return solnproc(eta) elif outpoint = "sysvars" then return data[3] elif procname <> unknown then return ('procname')(eta) else `f(eta)` := pointto(data[2][4]); return ('`f(eta)`')(eta) end if end if; try res := solnproc(outpoint); res[4] catch: error  end try end proc, diff(f(eta), eta) = proc (eta) local res, data, solnproc, `diff(f(eta),eta)`, outpoint; option `Copyright (c) 2000 by Waterloo Maple Inc. All rights reserved.`; _EnvDSNumericSaveDigits := Digits; Digits := 15; if _EnvInFsolve = true then outpoint := evalf[_EnvDSNumericSaveDigits](eta) else outpoint := evalf(eta) end if; data := Array(1..4, {(1) = proc (outpoint) local X, Y, YP, yout, errproc, L, V, i; option `Copyright (c) 2000 by Waterloo Maple Inc. All rights reserved.`; X := Vector(177, {(1) = .1, (2) = .13432431415631105, (3) = .16865165190091197, (4) = .202985958039896, (5) = .23732533659105348, (6) = .2716788241585104, (7) = .30604559361419775, (8) = .3404355394485909, (9) = .3748529011933503, (10) = .4093061022796795, (11) = .44380716982563195, (12) = .47836387534050584, (13) = .512995852912669, (14) = .5477165596092971, (15) = .5825440749488203, (16) = .617499631782922, (17) = .6526070635536141, (18) = .6878927128084736, (19) = .7233862578282453, (20) = .7591205797331673, (21) = .795131110399485, (22) = .8314537516454595, (23) = .868136597156794, (24) = .9052215072936881, (25) = .9427566773054169, (26) = .9807963691446203, (27) = 1.019390250121844, (28) = 1.0585930956320206, (29) = 1.0984604169171555, (30) = 1.1390444870104077, (31) = 1.1804077038174698, (32) = 1.222605314046431, (33) = 1.2656867522025514, (34) = 1.3097007904581703, (35) = 1.35469069615675, (36) = 1.4006929822839422, (37) = 1.447731690331962, (38) = 1.4958369065409785, (39) = 1.5450201198096045, (40) = 1.5952810827286137, (41) = 1.646612127195734, (42) = 1.6989954066809312, (43) = 1.7524040840585657, (44) = 1.806801993976599, (45) = 1.862146412251251, (46) = 1.9183893448840852, (47) = 1.9754805768192913, (48) = 2.0333655491409464, (49) = 2.09198758848087, (50) = 2.1512911903998386, (51) = 2.2112299885365556, (52) = 2.271742934464316, (53) = 2.3327750130678835, (54) = 2.3942834797609645, (55) = 2.4562254559367735, (56) = 2.518550408638634, (57) = 2.5812184684337374, (58) = 2.6441937416859225, (59) = 2.7074501856327, (60) = 2.770954649679994, (61) = 2.8346761833615464, (62) = 2.898592678498704, (63) = 2.962688121088583, (64) = 3.0269416312716424, (65) = 3.091328430651392, (66) = 3.155836619851239, (67) = 3.220454275768738, (68) = 3.285168541451302, (69) = 3.3499654130373253, (70) = 3.414829585389634, (71) = 3.4797579848516915, (72) = 3.5447435602802027, (73) = 3.609779652754643, (74) = 3.674861152412504, (75) = 3.7399848957435275, (76) = 3.8051508297379377, (77) = 3.8703655596105624, (78) = 3.935652421384301, (79) = 4.001077560861665, (80) = 4.0666510045970385, (81) = 4.132314229225371, (82) = 4.198000337516065, (83) = 4.263680764101562, (84) = 4.329336756026789, (85) = 4.394973340046662, (86) = 4.460588954073379, (87) = 4.526181509768576, (88) = 4.59174993915436, (89) = 4.6572937466339175, (90) = 4.722812832368339, (91) = 4.788307377913861, (92) = 4.853777459964835, (93) = 4.9192172921590585, (94) = 4.98463029125814, (95) = 5.0500209149724435, (96) = 5.115387283230868, (97) = 5.180725066182968, (98) = 5.246040278527776, (99) = 5.3113174587944965, (100) = 5.376570973389221, (101) = 5.44180368691663, (102) = 5.5070118178761875, (103) = 5.572199562571729, (104) = 5.637373294661837, (105) = 5.702517813103393, (106) = 5.767639827784657, (107) = 5.832736032997183, (108) = 5.897804505036399, (109) = 5.962849913789289, (110) = 6.0278771161534, (111) = 6.092882596362824, (112) = 6.157876605520855, (113) = 6.222850932401667, (114) = 6.287802017103068, (115) = 6.352734006431941, (116) = 6.4176483673997975, (117) = 6.482540451739694, (118) = 6.547416149850125, (119) = 6.6122680542862025, (120) = 6.677102130347337, (121) = 6.7419211005546, (122) = 6.8067248666742355, (123) = 6.871509114964304, (124) = 6.936266375612976, (125) = 7.0010059228545805, (126) = 7.065728682384006, (127) = 7.130434804847329, (128) = 7.195124539737002, (129) = 7.259798136520217, (130) = 7.324455844038698, (131) = 7.3890979060419335, (132) = 7.453724561298953, (133) = 7.518336044173569, (134) = 7.582932585751136, (135) = 7.647514413049672, (136) = 7.712081750883993, (137) = 7.776634831889643, (138) = 7.841173896857807, (139) = 7.905699203490006, (140) = 7.970211023056725, (141) = 8.034709635791245, (142) = 8.099195318161058, (143) = 8.163668350318732, (144) = 8.22812902562451, (145) = 8.292577648267015, (146) = 8.357014533032183, (147) = 8.42144000370015, (148) = 8.485854390888106, (149) = 8.550258023403897, (150) = 8.6146512403873, (151) = 8.679034390131827, (152) = 8.74340782797264, (153) = 8.807771917708358, (154) = 8.872127033100252, (155) = 8.93647355737236, (156) = 9.000811876240148, (157) = 9.065142395655199, (158) = 9.129062231749659, (159) = 9.190791738971976, (160) = 9.25002177586793, (161) = 9.306893224933363, (162) = 9.361586616509348, (163) = 9.414263699827062, (164) = 9.46506800130928, (165) = 9.514127801690371, (166) = 9.561558693204324, (167) = 9.60746518855213, (168) = 9.651942086110576, (169) = 9.695075631414408, (170) = 9.73694468456052, (171) = 9.777621794577053, (172) = 9.817172850818734, (173) = 9.855658388735026, (174) = 9.893134209297964, (175) = 9.929651857051025, (176) = 9.965259040121957, (177) = 10.0}, datatype = float[8], order = C_order); Y := Matrix(177, 7, {(1, 1) = 1.0, (1, 2) = -3.010283491881195, (1, 3) = -0.5e-1, (1, 4) = -.5, (1, 5) = 3.2549705904755624, (1, 6) = 1.0, (1, 7) = -2.2961168243517345, (2, 1) = .9116006400192896, (2, 2) = -2.2188140910266996, (2, 3) = -0.6542988930944998e-1, (2, 4) = -.40370802709261644, (2, 5) = 2.4361750640983972, (2, 6) = .9313148374425487, (2, 7) = -1.7587335888496072, (3, 1) = .8440668335083839, (3, 2) = -1.7515672684205508, (3, 3) = -0.7795914493005979e-1, (3, 4) = -.32904124123644557, (3, 5) = 1.950857483460543, (3, 6) = .8768325041094468, (3, 7) = -1.4395391386527499, (4, 1) = .7895472336660474, (4, 2) = -1.443419767334426, (4, 3) = -0.8817574136327207e-1, (4, 4) = -.2679158648423435, (4, 5) = 1.6295350420268857, (4, 6) = .831272138114754, (4, 7) = -1.2272759842281986, (5, 1) = .7439269688663698, (5, 2) = -1.2250712603116078, (5, 3) = -0.9646350877742356e-1, (5, 4) = -.21608666124952267, (5, 5) = 1.4009694099334766, (5, 6) = .7918687409370647, (5, 7) = -1.0753753559802985, (6, 1) = .7047645567594804, (6, 2) = -1.062293032083934, (6, 3) = -.10309608982056391, (6, 4) = -.1710281829224358, (6, 5) = 1.229921365777778, (6, 6) = .7569783455483658, (6, 7) = -.9608633361558743, (7, 1) = .670508499292611, (7, 2) = -.9363094708603249, (7, 3) = -.1082751849303922, (7, 4) = -.1311332340751042, (7, 5) = 1.097033665972045, (7, 6) = .725556739475722, (7, 7) = -.871143819024352, (8, 1) = .6400970314770135, (8, 2) = -.8359113795739894, (8, 3) = -.11215820698136195, (8, 4) = -0.9529846009910026e-1, (8, 5) = .9907326565311447, (8, 6) = .6968857043397841, (8, 7) = -.798694055572774, (9, 1) = .6127818638670864, (9, 2) = -.7540307621161558, (9, 3) = -.11486934685856202, (9, 4) = -0.6274515848045818e-1, (9, 5) = .903710629210698, (9, 6) = .6704589172997079, (9, 7) = -.7387684103204613, (10, 1) = .5880101630726342, (10, 2) = -.6859732537372588, (10, 3) = -.11650974862771135, (10, 4) = -0.3289635416421537e-1, (10, 5) = .8311070612968686, (10, 6) = .6459004421044664, (10, 7) = -.6882118043576506, (11, 1) = .5653617782847322, (11, 2) = -.6285004073713887, (11, 3) = -.11716276509404526, (11, 4) = -0.5312156394166294e-2, (11, 5) = .7695640956343914, (11, 6) = .6229228742706305, (11, 7) = -.64484492277093, (12, 1) = .5445141227529045, (12, 2) = -.5793166470382869, (12, 3) = -.11689775490014931, (12, 4) = 0.20345547838662725e-1, (12, 5) = .7166984974611179, (12, 6) = .6013055866744937, (12, 7) = -.6071216319336978, (13, 1) = .5252059891093054, (13, 2) = -.5367311431212949, (13, 3) = -.11577285556558614, (13, 4) = 0.44352419520146014e-1, (13, 5) = .6707519723642751, (13, 6) = .5808668967259533, (13, 7) = -.5739002262529861, (14, 1) = .5072310763583526, (14, 2) = -.49948942467589225, (14, 3) = -.113836968901507, (14, 4) = 0.6692621623257643e-1, (14, 5) = .6304185015498383, (14, 6) = .5614637545616503, (14, 7) = -.5443331052943612, (15, 1) = .4904191420808039, (15, 2) = -.46663169018318124, (15, 3) = -.11113120062283205, (15, 4) = 0.882475828156531e-1, (15, 5) = .5946973362482103, (15, 6) = .5429767216798966, (15, 7) = -.5177703096857598, (16, 1) = .47462847032783395, (16, 2) = -.43741237094615587, (16, 3) = -.10768980917681761, (16, 4) = .10846767050378146, (16, 5) = .5628099475659347, (16, 6) = .5253052925364996, (16, 7) = -.49370579887626914, (17, 1) = .45973994111746974, (17, 2) = -.4112440008745413, (17, 3) = -.10354099578541562, (17, 4) = .12771421698659408, (17, 5) = .5341419874792643, (17, 6) = .5083640692975898, (17, 7) = -.4717398711807749, (18, 1) = .4456524312660702, (18, 2) = -.3876575548580043, (18, 3) = -0.987075140842896e-1, (18, 4) = .14609630418834832, (18, 5) = .5082022267347898, (18, 6) = .49207972636782243, (18, 7) = -.45155255379360504, (19, 1) = .43227900759396704, (19, 2) = -.3662736309623723, (19, 3) = -0.932070026083659e-1, (19, 4) = .1637083931514831, (19, 5) = .48459265857890527, (19, 6) = .47638833270765585, (19, 7) = -.4328841497234415, (20, 1) = .41954437259728117, (20, 2) = -.34678216572683396, (20, 3) = -0.8705230179329684e-1, (20, 4) = .18063295456195466, (20, 5) = .4629874722134205, (20, 6) = .46123371189807766, (20, 7) = -.41552163184362956, (21, 1) = .40738304871718267, (21, 2) = -.32892767036417664, (21, 3) = -0.8025181273703264e-1, (21, 4) = .1969422817914571, (21, 5) = .4431177566148181, (21, 6) = .44656638757907796, (21, 7) = -.39928880193030747, (22, 1) = .3957383812536956, (22, 2) = -.31249869978237255, (22, 3) = -0.7281016245788906e-1, (22, 4) = .21269931606763323, (22, 5) = .42476063372747375, (22, 6) = .43234331147984484, (22, 7) = -.38403945114777954, (23, 1) = .3845575897267605, (23, 2) = -.29731416431452806, (23, 3) = -0.647258610678675e-1, (23, 4) = .2279639568142309, (23, 5) = .40772462385587316, (23, 6) = .41852254000091954, (23, 7) = -.36964681487130585, (24, 1) = .37379664354289055, (24, 2) = -.28322501684036205, (24, 3) = -0.5599517983139291e-1, (24, 4) = .2427861347723762, (24, 5) = .3918520439519158, (24, 6) = .405069802195059, (24, 7) = -.3560068471972505, (25, 1) = .36341537175628497, (25, 2) = -.2701033420412026, (25, 3) = -0.4660967679615468e-1, (25, 4) = .2572121554674377, (25, 5) = .37700721405190146, (25, 6) = .39195303795515646, (25, 7) = -.3430294380682383, (26, 1) = .3533770946126125, (26, 2) = -.2578389396986893, (26, 3) = -0.3655606175762054e-1, (26, 4) = .2712850292677997, (26, 5) = .36307292252881584, (26, 6) = .3791423103767972, (26, 7) = -.3306361874020015, (27, 1) = .3436508736010304, (27, 2) = -.24633953213188772, (27, 3) = -0.2581904091109644e-1, (27, 4) = .28504110605404537, (27, 5) = .3499509645976493, (27, 6) = .3666130638370115, (27, 7) = -.3187617238807888, (28, 1) = .3342083390670267, (28, 2) = -.23552476168366415, (28, 3) = -0.1437893723914758e-1, (28, 4) = .29851430859060935, (28, 5) = .33755558003287145, (28, 6) = .35434243786971953, (28, 7) = -.3073486098948925, (29, 1) = .32502443519684, (29, 2) = -.2253255020912264, (29, 3) = -0.2212880763571889e-2, (29, 4) = .3117349359672634, (29, 5) = .32581286288190825, (29, 6) = .3423104953946207, (29, 7) = -.29634737207014694, (30, 1) = .31607786546540023, (30, 2) = -.2156829331351726, (30, 3) = 0.1070379518066878e-1, (30, 4) = .324728843808106, (30, 5) = .31465989354105117, (30, 6) = .3305010849621276, (30, 7) = -.28571629053101066, (31, 1) = .3073478049653732, (31, 2) = -.2065438873825929, (31, 3) = 0.24401723478456858e-1, (31, 4) = .33752207959661373, (31, 5) = .304039516592149, (31, 6) = .3188977264061976, (31, 7) = -.2754169157752743, (32, 1) = .29881745159040424, (32, 2) = -.19786380124231495, (32, 3) = 0.3891198298875327e-1, (32, 4) = .35013561530865284, (32, 5) = .29390388011792296, (32, 6) = .3074884833376804, (32, 7) = -.26541783827718834, (33, 1) = .29047317259933714, (33, 2) = -.18960486731359524, (33, 3) = 0.54266026383219236e-1, (33, 4) = .36258639522561675, (33, 5) = .2842124423413447, (33, 6) = .29626505510184786, (33, 7) = -.2556932617203244, (34, 1) = .28230310705588524, (34, 2) = -.18173393918032565, (34, 3) = 0.7049716580583928e-1, (34, 4) = .37488926686015167, (34, 5) = .2749296363719141, (34, 6) = .2852210611168979, (34, 7) = -.2462210635577509, (35, 1) = .27429780407556603, (35, 2) = -.17422262687378032, (35, 3) = 0.8763858849715334e-1, (35, 4) = .3870559122413701, (35, 5) = .26602507525248614, (35, 6) = .2743530179070213, (35, 7) = -.2369833048528358, (36, 1) = .26645007878841165, (36, 2) = -.16704665751311357, (36, 3) = .10572246440316273, (36, 4) = .3990949249001731, (36, 5) = .2574728923416692, (36, 6) = .2636602500529938, (36, 7) = -.2279658642184645, (37, 1) = .25875557734659277, (37, 2) = -.1601859421542037, (37, 3) = .12477714314440705, (37, 4) = .41101078776726396, (37, 5) = .24925191600226893, (37, 6) = .25314574105926013, (37, 7) = -.2191589209315012, (38, 1) = .2512094376242596, (38, 2) = -.15362126746579838, (38, 3) = .14483420719255005, (38, 4) = .42280892511572515, (38, 5) = .24134177847648824, (38, 6) = .24281161292316816, (38, 7) = -.21055300577533773, (39, 1) = .2438100685063101, (39, 2) = -.14733741986174867, (39, 3) = .1659180940582039, (39, 4) = .4344897565601667, (39, 5) = .23372671477717596, (39, 6) = .23266430393009532, (39, 7) = -.2021432253147483, (40, 1) = .23655756740858105, (40, 2) = -.14132147717760368, (40, 3) = .18804805051420714, (40, 4) = .44605098876584576, (40, 5) = .22639358970698623, (40, 6) = .22271240560604702, (40, 7) = -.19392734410767049, (41, 1) = .2294527959629172, (41, 2) = -.1355618535661384, (41, 3) = .211239426287894, (41, 4) = .4574889782290803, (41, 5) = .21933078665833716, (41, 6) = .21296535700731722, (41, 7) = -.18590465201723103, (42, 1) = .22249756111172841, (42, 2) = -.13004833389409315, (42, 3) = .23550196617307032, (42, 4) = .4687983695351276, (42, 5) = .21252828358414444, (42, 6) = .20343363443866733, (42, 7) = -.17807609406978153, (43, 1) = .21569423982605018, (43, 2) = -.12477167494006297, (43, 3) = .2608398253939708, (43, 4) = .4799726300795009, (43, 5) = .20597719438448733, (43, 6) = .19412816320881474, (43, 7) = -.17044377008176909, (44, 1) = .2090456528136725, (44, 2) = -.11972344246799402, (44, 3) = .2872509358297023, (44, 4) = .49100420281898555, (44, 5) = .19966959020759237, (44, 6) = .18506006069338682, (44, 7) = -.16301071564836836, (45, 1) = .20255459512253304, (45, 2) = -.1148956147475554, (45, 3) = .3147279299901195, (45, 4) = .5018852472953027, (45, 5) = .1935980202293324, (45, 6) = .17623990793629188, (45, 7) = -.15578029883884625, (46, 1) = .19622362924938264, (46, 2) = -.11028042171087489, (46, 3) = .34325850718834033, (46, 4) = .5126079809791431, (46, 5) = .1877553133493232, (46, 6) = .1676773875746207, (46, 7) = -.14875591411024416, (47, 1) = .19005473802029896, (47, 2) = -.10587010196399801, (47, 3) = .3728268197038715, (47, 4) = .5231652841517149, (47, 5) = .18213426698507848, (47, 6) = .15938074653118098, (47, 7) = -.14194052404260726, (48, 1) = .18404958719476303, (48, 2) = -.10165710878026424, (48, 3) = .4034123048724468, (48, 4) = .5335502837116244, (48, 5) = .1767279011977732, (48, 6) = .15135709780087095, (48, 7) = -.13533687973410663, (49, 1) = .1782093093546209, (49, 2) = -0.976339646318128e-1, (49, 3) = .434990761252832, (49, 4) = .5437567517407721, (49, 5) = .17152926762281148, (49, 6) = .1436120885672883, (49, 7) = -.12894721237733586, (50, 1) = .172534243624339, (50, 2) = -0.9379309915858196e-1, (50, 3) = .46753615565531664, (50, 4) = .5537796082939569, (50, 5) = .1665312288048679, (50, 6) = .13614953718018194, (50, 7) = -.12277288786102344, (51, 1) = .16702332229465286, (51, 2) = -0.9012646774014009e-1, (51, 3) = .501025271803289, (51, 4) = .5636160898088879, (51, 5) = .16172593962052867, (51, 6) = .1289706483940657, (51, 7) = -.11681369761445241, (52, 1) = .16167636746547506, (52, 2) = -0.8662709254567018e-1, (52, 3) = .5354245937655286, (52, 4) = .5732617138385044, (52, 5) = .1571068532547171, (52, 6) = .12207703121748083, (52, 7) = -.11107030160152458, (53, 1) = .15649217188922715, (53, 2) = -0.832877606097653e-1, (53, 3) = .5707017632972221, (53, 4) = .5827137094120911, (53, 5) = .15266702144547653, (53, 6) = .11546819718098544, (53, 7) = -.10554209857792878, (54, 1) = .1514681638565417, (54, 2) = -0.8010083796586685e-1, (54, 3) = .6068296591707916, (54, 4) = .5919717359930652, (54, 5) = .1483988206956467, (54, 6) = .10914121738711419, (54, 7) = -.1002268626526667, (55, 1) = .14660160234777767, (55, 2) = -0.7705904545671184e-1, (55, 3) = .6437795928327126, (55, 4) = .6010357808561354, (55, 5) = .14429496914815607, (55, 6) = .10309232375018078, (55, 7) = -0.9512201172172534e-1, (56, 1) = .14189016294329682, (56, 2) = -0.7415579244743617e-1, (56, 3) = .6815167857151943, (56, 4) = .609905070263442, (56, 5) = .14034898646161215, (56, 6) = 0.9731766543861783e-1, (56, 7) = -0.9022519334264704e-1, (57, 1) = .13733055115840967, (57, 2) = -0.7138429207106428e-1, (57, 3) = .7200114369835326, (57, 4) = .6185806833233924, (57, 5) = .13655400028046524, (57, 6) = 0.9181164277759303e-1, (57, 7) = -0.8553282185600106e-1, (58, 1) = .13291913685185686, (58, 2) = -0.6873795031830646e-1, (58, 3) = .7592350640821742, (58, 4) = .6270644277840627, (58, 5) = .1329032634057901, (58, 6) = 0.8656778272546026e-1, (58, 7) = -0.8104075700907686e-1, (59, 1) = .1286516327741731, (59, 2) = -0.6621016059961132e-1, (59, 3) = .799164460031636, (59, 4) = .6353595080809519, (59, 5) = .12938986575267097, (59, 6) = 0.8157844377519083e-1, (59, 7) = -0.7674399557867947e-1, (60, 1) = .12452430619411357, (60, 2) = -0.6379500379743547e-1, (60, 3) = .839771230939577, (60, 4) = .6434682068578423, (60, 5) = .12600770681463422, (60, 6) = 0.7683631058969256e-1, (60, 7) = -0.7263791038699614e-1, (61, 1) = .12053332346250112, (61, 2) = -0.6148682506048283e-1, (61, 3) = .8810276084176722, (61, 4) = .6513931420513931, (61, 5) = .12275092222076696, (61, 6) = 0.723336551457202e-1, (61, 7) = -0.687175841247968e-1, (62, 1) = .11667438654168381, (62, 2) = -0.5928000637071922e-1, (62, 3) = .9229109557024708, (62, 4) = .6591380172829979, (62, 5) = .11961356381867923, (62, 6) = 0.6806199777754275e-1, (62, 7) = -0.6497747609164842e-1, (63, 1) = .11294298648362892, (63, 2) = -0.57169100695410174e-1, (63, 3) = .9654023076310734, (63, 4) = .6667071615807357, (63, 5) = .11658978562213738, (63, 6) = 0.6401247882339202e-1, (63, 7) = -0.6141170855360152e-1, (64, 1) = .10933506387603534, (64, 2) = -0.5514918379084914e-1, (64, 3) = 1.0084792288200035, (64, 4) = .674104198640308, (64, 5) = .11367435428569851, (64, 6) = 0.6017662590041298e-1, (64, 7) = -0.58014717648254485e-1, (65, 1) = .10584689988050607, (65, 2) = -0.53215760915675155e-1, (65, 3) = 1.0521163069669728, (65, 4) = .6813322323771271, (65, 5) = .11086253363996139, (65, 6) = 0.5654623868694521e-1, (65, 7) = -0.5478114175121917e-1, (66, 1) = .10247421278276006, (66, 2) = -0.51364246219493405e-1, (66, 3) = 1.0962965827078632, (66, 4) = .6883957184775215, (66, 5) = .10814933543258673, (66, 6) = 0.5311248462877352e-1, (66, 7) = -0.51704999820689775e-1, (67, 1) = 0.9921290988322891e-1, (67, 2) = -0.4959036780155851e-1, (67, 3) = 1.141003046528324, (67, 4) = .6952989342332647, (67, 5) = .1055301079545874, (67, 6) = 0.4986674411817201e-1, (67, 7) = -0.4878042451768817e-1, (68, 1) = 0.9605911922500847e-1, (68, 2) = -0.4789016423374489e-1, (68, 3) = 1.186218001626672, (68, 4) = .7020458967717208, (68, 5) = .10300054210288584, (68, 6) = 0.4680065855233838e-1, (68, 7) = -0.4600169882505357e-1, (69, 1) = 0.9300918118628577e-1, (69, 2) = -0.4625996072380607e-1, (69, 3) = 1.2319228849172166, (69, 4) = .7086403636416022, (69, 5) = .10055664721832, (69, 6) = 0.4390613308737576e-1, (69, 7) = -0.4336325445354654e-1, (70, 1) = 0.9005963726896335e-1, (70, 2) = -0.44696345792792136e-1, (70, 3) = 1.2780981239439666, (70, 4) = .715085840088841, (70, 5) = 0.9819472668269251e-1, (70, 6) = 0.4117533490884553e-1, (70, 7) = -0.4085966769265928e-1, (71, 1) = 0.8720662809616934e-1, (71, 2) = -0.43195840295262154e-1, (71, 3) = 1.3247328641656022, (71, 4) = .7213868990604615, (71, 5) = 0.959108824037368e-1, (71, 6) = 0.3860016386916169e-1, (71, 7) = -0.3848516856421221e-1, (72, 1) = 0.8444665201022808e-1, (72, 2) = -0.417552894446388e-1, (72, 3) = 1.3718135605563158, (72, 4) = .7275475329006473, (72, 5) = 0.9370160979020452e-1, (72, 6) = 0.3617298491606246e-1, (72, 7) = -0.36234307802151734e-1, (73, 1) = 0.8177634831364401e-1, (73, 2) = -0.4037173402203197e-1, (73, 3) = 1.419327053967124, (73, 4) = .7335716098404168, (73, 5) = 0.9156361245610806e-1, (73, 6) = 0.33886428452975216e-1, (73, 7) = -0.3410177625172606e-1, (74, 1) = 0.7919244512824229e-1, (74, 2) = -0.3904237227030642e-1, (74, 3) = 1.4672614347298802, (74, 4) = .7394629834350771, (74, 5) = 0.8949375010756808e-1, (74, 6) = 0.3173335356974858e-1, (74, 7) = -0.3208237199793818e-1, (75, 1) = 0.766917452786738e-1, (75, 2) = -0.3776454319644946e-1, (75, 3) = 1.5156063797855175, (75, 4) = .7452255211846236, (75, 5) = 0.8748901780777456e-1, (75, 6) = 0.29706846489508134e-1, (75, 7) = -0.30171000378395537e-1, (76, 1) = 0.7427108666571063e-1, (76, 2) = -0.3653569801566861e-1, (76, 3) = 1.56435407644909, (76, 4) = .7508631948003112, (76, 5) = 0.8554650554414327e-1, (76, 6) = 0.2780019888614298e-1, (76, 7) = -0.2836265544217905e-1, (77, 1) = 0.7192722598819627e-1, (77, 2) = -0.35353334471828785e-1, (77, 3) = 1.6135019844319525, (77, 4) = .7563803576967835, (77, 5) = 0.8366329666302517e-1, (77, 6) = 0.26006831606669372e-1, (77, 7) = -0.26652349069398753e-1, (78, 1) = 0.6965652211426684e-1, (78, 2) = -0.34214833644028164e-1, (78, 3) = 1.6630606783505262, (78, 4) = .7617825194247292, (78, 5) = 0.818362046768005e-1, (78, 6) = 0.24320085139015783e-1, (78, 7) = -0.25034910053607307e-1, (79, 1) = 0.6745415227431711e-1, (79, 2) = -0.33117070324267625e-1, (79, 3) = 1.713074277652851, (79, 4) = .7670782989058776, (79, 5) = 0.8006113071928549e-1, (79, 6) = 0.22732717743348157e-1, (79, 7) = -0.23504494462123514e-1, (80, 1) = 0.653174926532069e-1, (80, 2) = -0.3205809437838403e-1, (80, 3) = 1.7635451239012367, (80, 4) = .7722713266005171, (80, 5) = 0.7833577907306599e-1, (80, 6) = 0.21239367364873103e-1, (80, 7) = -0.22056961396677732e-1, (81, 1) = 0.6324618571466564e-1, (81, 2) = -0.31037127966861342e-1, (81, 3) = 1.8144226145450653, (81, 4) = .7773598019042196, (81, 5) = 0.766597219644611e-1, (81, 6) = 0.19836363389372388e-1, (81, 7) = -0.20689736141079718e-1, (82, 1) = 0.6123998503307529e-1, (82, 2) = -0.3005347880465721e-1, (82, 3) = 1.8656485564000036, (82, 4) = .7823415773762875, (82, 5) = 0.7503266612459865e-1, (82, 6) = 0.18520102723197866e-1, (82, 7) = -0.1940025706534461e-1, (83, 1) = 0.5929737180297433e-1, (83, 2) = -0.2910586428826123e-1, (83, 3) = 1.9171937834263597, (83, 4) = .787217633956304, (83, 5) = 0.7345332619263635e-1, (83, 6) = 0.17286186479976352e-1, (83, 7) = -0.181851232611352e-1, (84, 1) = 0.5741655133464861e-1, (84, 2) = -0.28192907817684805e-1, (84, 3) = 1.9690365465074622, (84, 4) = .7919897115240078, (84, 5) = 0.7192022274910066e-1, (84, 6) = 0.16130164422757658e-1, (84, 7) = -0.17040811610716092e-1, (85, 1) = 0.555951180848402e-1, (85, 2) = -0.27312978136185835e-1, (85, 3) = 2.021173890970974, (85, 4) = .7966612137325211, (85, 5) = 0.7043140181072279e-1, (85, 6) = 0.15047373779686386e-1, (85, 7) = -0.15963513643715645e-1, (86, 1) = 0.53830960098087494e-1, (86, 2) = -0.2646462746652903e-1, (86, 3) = 2.0735978784815954, (86, 4) = .8012349398472144, (86, 5) = 0.6898516657212175e-1, (86, 6) = 0.1403351479043102e-1, (86, 7) = -0.14949706357927807e-1, (87, 1) = 0.521220691902015e-1, (87, 2) = -0.25646494959249203e-1, (87, 3) = 2.1263003114377943, (87, 4) = .8057135493898496, (87, 5) = 0.6757992094013747e-1, (87, 6) = 0.13084520237125303e-1, (87, 7) = -0.139960292467264e-1, (88, 1) = 0.50466495504684544e-1, (88, 2) = -0.2485728164590901e-1, (88, 3) = 2.1792739683535407, (88, 4) = .810099673559902, (88, 5) = 0.662141300173103e-1, (88, 6) = 0.12196523093985182e-1, (88, 7) = -0.13099256789703594e-1, (89, 1) = 0.4886235775707648e-1, (89, 2) = -0.24095752574361837e-1, (89, 3) = 2.2325122557439467, (89, 4) = .81439588423751, (89, 5) = 0.6488632633494537e-1, (89, 6) = 0.11365857148876791e-1, (89, 7) = -0.12256303574946446e-1, (90, 1) = 0.47307845059216785e-1, (90, 2) = -0.23360735056253266e-1, (90, 3) = 2.2860090697577875, (90, 4) = .8186046839450801, (90, 5) = 0.6359510950556727e-1, (90, 6) = 0.1058905185381353e-1, (90, 7) = -0.11464223580929493e-1, (91, 1) = 0.4580121666136627e-1, (91, 2) = -0.2265111611151706e-1, (91, 3) = 2.3397587042276045, (91, 4) = .8227285009951595, (91, 5) = 0.6233914441576576e-1, (91, 6) = 0.9862825614015936e-2, (91, 7) = -0.107202077302794e-1, (92, 1) = 0.4434080733778398e-1, (92, 2) = -0.2196584274078579e-1, (92, 3) = 2.393755530962878, (92, 4) = .8267696687449231, (92, 5) = 0.61117164378142505e-1, (92, 6) = 0.9184081388015965e-2, (92, 7) = -0.10021583648716392e-1, (93, 1) = 0.42925145853717636e-1, (93, 2) = -0.2130397508619256e-1, (93, 3) = 2.4479892081920704, (93, 4) = .8307300855152587, (93, 5) = 0.5992806977704981e-1, (93, 6) = 0.8549951249578833e-2, (93, 7) = -0.9365866049369924e-2, (94, 1) = 0.4155262130359708e-1, (94, 2) = -0.2066452832678662e-1, (94, 3) = 2.502457135574029, (94, 4) = .8346121380272766, (94, 5) = 0.5877064728357242e-1, (94, 6) = 0.7957637886648394e-2, (94, 7) = -0.8750596954165865e-2, (95, 1) = 0.40221673082686e-1, (95, 2) = -0.20046560655054453e-1, (95, 3) = 2.5571577851500775, (95, 4) = .8384181810565843, (95, 5) = 0.57643726773201474e-1, (95, 6) = 0.7404501824848323e-2, (95, 7) = -0.8173438423547898e-2, (96, 1) = 0.3893093363217918e-1, (96, 2) = -0.19449237677365155e-1, (96, 3) = 2.6120844990926924, (96, 4) = .8421501190891273, (96, 5) = 0.5654630194311316e-1, (96, 6) = 0.6888111282844666e-2, (96, 7) = -0.7632228495991538e-2, (97, 1) = 0.3767913294059378e-1, (97, 2) = -0.1887178595166975e-1, (97, 3) = 2.667228654188966, (97, 4) = .8458096605035292, (97, 5) = 0.5547745035158284e-1, (97, 6) = 0.64061892384546576e-2, (97, 7) = -0.7124930043201029e-2, (98, 1) = 0.36464855030914144e-1, (98, 2) = -0.18313379572760476e-1, (98, 3) = 2.7225904821560354, (98, 4) = .8493990293787306, (98, 5) = 0.5443612442522976e-1, (98, 6) = 0.59565158905427445e-2, (98, 7) = -0.6649530877556062e-2, (99, 1) = 0.35287129676639724e-1, (99, 2) = -0.17773411236805755e-1, (99, 3) = 2.7781521098313138, (99, 4) = .8529192148774755, (99, 5) = 0.5342165809334678e-1, (99, 6) = 0.5537143446706783e-2, (99, 7) = -0.6204273518435405e-2, (100, 1) = 0.3414448775408405e-1, (100, 2) = -0.17251057251932208e-1, (100, 3) = 2.8339211154523043, (100, 4) = .8563727717832911, (100, 5) = 0.52432954840383246e-1, (100, 6) = 0.5146045985976234e-2, (100, 7) = -0.5787287135105179e-2, (101, 1) = 0.3303572907131051e-1, (101, 2) = -0.16745629644977163e-1, (101, 3) = 2.8898955064608667, (101, 4) = .8597615482839938, (101, 5) = 0.51469145618834776e-1, (101, 6) = 0.4781398495554278e-2, (101, 7) = -0.5396885129046895e-2, (102, 1) = 0.3195981073286776e-1, (102, 2) = -0.16256523054212938e-1, (102, 3) = 2.94606770601317, (102, 4) = .8630869913915394, (102, 5) = 0.5052949522528311e-1, (102, 6) = 0.4441521516255529e-2, (102, 7) = -0.5031509922179083e-2, (103, 1) = 0.30915598137938833e-1, (103, 2) = -0.15783100427777905e-1, (103, 3) = 3.002437108550583, (103, 4) = .8663509059017817, (103, 5) = 0.49613185415921565e-1, (103, 6) = 0.4124794717803363e-2, (103, 7) = -0.4689642631979475e-2, (104, 1) = 0.29901970845921482e-1, (104, 2) = -0.15324740843082107e-1, (104, 3) = 3.0590051626175123, (104, 4) = .8695551374490673, (104, 5) = 0.487194055183293e-1, (104, 6) = 0.3829690331967739e-2, (104, 7) = -0.4369840628700971e-2, (105, 1) = 0.2891817845755974e-1, (105, 2) = -0.14880999220591645e-1, (105, 3) = 3.1157546708604014, (105, 4) = .8727004295170955, (105, 5) = 0.47847667825719004e-1, (105, 6) = 0.3554866924305937e-2, (105, 7) = -0.40708417306626115e-2, (106, 1) = 0.27963163270254478e-1, (106, 2) = -0.1445129941189121e-1, (106, 3) = 3.1726875343071246, (106, 4) = .8757885621654562, (106, 5) = 0.4699721013074634e-1, (106, 6) = 0.3298968129327067e-2, (106, 7) = -0.3791347889312316e-2, (107, 1) = 0.27036054474744546e-1, (107, 2) = -0.1403515704995601e-1, (107, 3) = 3.2297970324116263, (107, 4) = .8788207857953696, (107, 5) = 0.46167431512408715e-1, (107, 6) = 0.30607620642720077e-2, (107, 7) = -0.35301779967586255e-2, (108, 1) = 0.26135990182439874e-1, (108, 2) = -0.136320985542424e-1, (108, 3) = 3.287077717628753, (108, 4) = .8817983817939085, (108, 5) = 0.45357735223466554e-1, (108, 6) = 0.2839085862681523e-2, (108, 7) = -0.3286209314341815e-2, (109, 1) = 0.25262050106508706e-1, (109, 2) = -0.13241630697811596e-1, (109, 3) = 3.3445300453631157, (109, 4) = .8847228903452787, (109, 5) = 0.44567467123514615e-1, (109, 6) = 0.26328275024835607e-2, (109, 7) = -0.30583587722556906e-2, (110, 1) = 0.24413349314602834e-1, (110, 2) = -0.12863282318672776e-1, (110, 3) = 3.4021547804570993, (110, 4) = .887595805636143, (110, 5) = 0.437959990098312e-1, (110, 6) = 0.24409471805914122e-2, (110, 7) = -0.2845607745492162e-2, (111, 1) = 0.23589143691971477e-1, (111, 2) = -0.12496650693252929e-1, (111, 3) = 3.459945373101773, (111, 4) = .8904182090864114, (111, 5) = 0.430428253565388e-1, (111, 6) = 0.22624955246276683e-2, (111, 7) = -0.2647023818928518e-2, (112, 1) = 0.22788544500633067e-1, (112, 2) = -0.12141274016994663e-1, (112, 3) = 3.517907612668944, (112, 4) = .8931917390779196, (112, 5) = 0.4230730313112941e-1, (112, 6) = 0.20965469627233866e-2, (112, 7) = -0.2461688048783101e-2, (113, 1) = 0.2201092154264269e-1, (113, 2) = -0.1179681022215186e-1, (113, 3) = 3.576030939938064, (113, 4) = .8959172018453189, (113, 5) = 0.4158902099552602e-1, (113, 6) = 0.19422823318737763e-2, (113, 7) = -0.228878818143032e-2, (114, 1) = 0.2125560521689302e-1, (114, 2) = -0.11462903989906546e-1, (114, 3) = 3.6343089625327116, (114, 4) = .8985955842843032, (114, 5) = 0.4088752771952661e-1, (114, 6) = 0.17989202787508094e-2, (114, 7) = -0.21275434552632607e-2, (115, 1) = 0.20521859851746347e-1, (115, 2) = -0.11139174973080628e-1, (115, 3) = 3.6927422713816003, (115, 4) = .901228160676181, (115, 5) = 0.40202305706456845e-1, (115, 6) = 0.16657125158263998e-2, (115, 7) = -0.1977199961864016e-2, (116, 1) = 0.19809007610044085e-1, (116, 2) = -0.10825272392179685e-1, (116, 3) = 3.7513291524005035, (116, 4) = .9038160568685645, (116, 5) = 0.3953288543830951e-1, (116, 6) = 0.15419656732920172e-2, (116, 7) = -0.18370560679884847e-2, (117, 1) = 0.19116459219134217e-1, (117, 2) = -0.10520888096597018e-1, (117, 3) = 3.8100624347040353, (117, 4) = .9063601272182191, (117, 5) = 0.38878875566455126e-1, (117, 6) = 0.14270421589284107e-2, (117, 7) = -0.1706464442997396e-2, (118, 1) = 0.1844353362888209e-1, (118, 2) = -0.10225676992181737e-1, (118, 3) = 3.868944547638398, (118, 4) = .9088616122353441, (118, 5) = 0.38239793038485445e-1, (118, 6) = 0.13203272362793043e-2, (118, 7) = -0.15847955131765516e-2, (119, 1) = 0.17789709594853653e-1, (119, 2) = -0.9939367324640893e-2, (119, 3) = 3.9279659277100545, (119, 4) = .9113212093702816, (119, 5) = 0.376153011508749e-1, (119, 6) = 0.12212679341659727e-2, (119, 7) = -0.14714824659729727e-2, (120, 1) = 0.1715434821401846e-1, (120, 2) = -0.966163872941871e-2, (120, 3) = 3.9871292234576647, (120, 4) = .9137401023351425, (120, 5) = 0.3700494616750579e-1, (120, 6) = 0.11293267277753402e-2, (120, 7) = -0.1365969153112434e-2, (121, 1) = 0.1653686685477603e-1, (121, 2) = -0.9392198385188308e-2, (121, 3) = 4.046434233913541, (121, 4) = .9161193161473176, (121, 5) = 0.3640832219382344e-1, (121, 6) = 0.10440074614222617e-2, (121, 7) = -0.12677402606956771e-2, (122, 1) = 0.1593672984453655e-1, (122, 2) = -0.9130776619449235e-2, (122, 3) = 4.105878254180306, (122, 4) = .918459743389031, (122, 5) = 0.3582506324812699e-1, (122, 6) = 0.9648508034309002e-3, (122, 7) = -0.11763168046591919e-2, (123, 1) = 0.15353456370083519e-1, (123, 2) = -0.8877130053322135e-2, (123, 3) = 4.165454756028964, (123, 4) = .9207621042586911, (123, 5) = 0.3525485195379574e-1, (123, 6) = 0.8914323837445772e-3, (123, 7) = -0.10912546315821271e-2, (124, 1) = 0.14786605499051348e-1, (124, 2) = -0.8631034803741748e-2, (124, 3) = 4.2251543164998395, (124, 4) = .9230269958510547, (124, 5) = 0.3469740599658427e-1, (124, 6) = 0.8233581730263291e-3, (124, 7) = -0.10121396610135644e-2, (125, 1) = 0.1423560509441761e-1, (125, 2) = -0.8392212157745564e-2, (125, 3) = 4.28498299546985, (125, 4) = .925255580609136, (125, 5) = 0.34152309214020814e-1, (125, 6) = 0.760243103053324e-3, (125, 7) = -0.938563455856944e-3, (126, 1) = 0.1369997590376947e-1, (126, 2) = -0.8160425838712085e-2, (126, 3) = 4.344939248308072, (126, 4) = .9274486979359966, (126, 5) = 0.33619231067228195e-1, (126, 6) = 0.7017373197944904e-3, (126, 7) = -0.8701541170718898e-3, (127, 1) = 0.13179260839270365e-1, (127, 2) = -0.7935451067583034e-2, (127, 3) = 4.405020871401772, (127, 4) = .9296071384367649, (127, 5) = 0.3309785803833924e-1, (127, 6) = 0.6475153511061355e-3, (127, 7) = -0.8065641728294864e-3, (128, 1) = 0.12673016774717254e-1, (128, 2) = -0.7717070876205519e-2, (128, 3) = 4.465225806438151, (128, 4) = .9317316751472142, (128, 5) = 0.3258788569860931e-1, (128, 6) = 0.5972736864292357e-3, (128, 7) = -0.7474681438722301e-3, (129, 1) = 0.12180814856644654e-1, (129, 2) = -0.7505076125168032e-2, (129, 3) = 4.525552047703438, (129, 4) = .9338230607702328, (129, 5) = 0.32089019152014744e-1, (129, 6) = 0.5507294602302875e-3, (129, 7) = -0.6925613591197516e-3, (130, 1) = 0.11702239989818099e-1, (130, 2) = -0.7299265171632634e-2, (130, 3) = 4.585997640127296, (130, 4) = .9358820282972874, (130, 5) = 0.31600972661932875e-1, (130, 6) = 0.5076191202028123e-3, (130, 7) = -0.6415587231086209e-3, (131, 1) = 0.11236890371623526e-1, (131, 2) = -0.7099443565783825e-2, (131, 3) = 4.64656067373754, (131, 4) = .9379092914859827, (131, 5) = 0.31123469324561948e-1, (131, 6) = 0.4676971775487788e-3, (131, 7) = -0.5941935510054997e-3, (132, 1) = 0.107843770107237e-1, (132, 2) = -0.6905423747524692e-2, (132, 3) = 4.707239282407291, (132, 4) = .9399055454663998, (132, 5) = 0.30656240723360338e-1, (132, 6) = 0.43073502924570906e-3, (132, 7) = -0.5502164615731298e-3, (133, 1) = 0.10344323263119098e-1, (133, 2) = -0.6717024757245861e-2, (133, 3) = 4.76803164308303, (133, 4) = .9418714673375305, (133, 5) = 0.30199026597440937e-1, (133, 6) = 0.39651985188484193e-3, (133, 7) = -0.5093943297131232e-3, (134, 1) = 0.991636438458679e-2, (134, 2) = -0.6534071959760502e-2, (134, 3) = 4.828935975581054, (134, 4) = .9438077167561614, (134, 5) = 0.29751574522758853e-1, (134, 6) = 0.36485356319130105e-3, (134, 7) = -0.4715092959902402e-3, (135, 1) = 0.9500147114831702e-2, (135, 2) = -0.6356396787514922e-2, (135, 3) = 4.889950540624614, (135, 4) = .9457149364454033, (135, 5) = 0.2931363962219971e-1, (135, 6) = 0.3355518486277446e-3, (135, 7) = -0.43635783194643206e-3, (136, 1) = 0.9095329261754777e-2, (136, 2) = -0.61838364891480474e-2, (136, 3) = 4.9510736404235836, (136, 4) = .947593752761815, (136, 5) = 0.28884984271701088e-1, (136, 6) = 0.30844324714459726e-3, (136, 7) = -0.4037498558821582e-3, (137, 1) = 0.870157925505246e-2, (137, 2) = -0.601623387000051e-2, (137, 3) = 5.012303627058391, (137, 4) = .9494447764708851, (137, 5) = 0.28465377768764184e-1, (137, 6) = 0.28336829120570266e-3, (137, 7) = -0.3735078948773748e-3, (138, 1) = 0.8318575781930621e-2, (138, 2) = -0.5853437072325423e-2, (138, 3) = 5.0736389017910835, (138, 4) = .9512686032079182, (138, 5) = 0.280545960825053e-1, (138, 6) = 0.2601787055173408e-3, (138, 7) = -0.34546629992478233e-3, (139, 1) = 0.7946007389342705e-2, (139, 2) = -0.5695299345566016e-2, (139, 3) = 5.135077922433506, (139, 4) = .9530658141549968, (139, 5) = 0.276524215633124e-1, (139, 6) = 0.2387366533987117e-3, (139, 7) = -0.31947050232195343e-3, (140, 1) = 0.7583572174809846e-2, (140, 2) = -0.554167885830191e-2, (140, 3) = 5.196619199286618, (140, 4) = .9548369763523616, (140, 5) = 0.27258642742879598e-1, (140, 6) = 0.21891403538176765e-3, (140, 7) = -0.2953763182049148e-3, (141, 1) = 0.7230977493355699e-2, (141, 2) = -0.5392438520624993e-2, (141, 3) = 5.258261289858421, (141, 4) = .9565826429700981, (141, 5) = 0.2687305414886625e-1, (141, 6) = 0.20059183213151456e-3, (141, 7) = -0.27304929294300013e-3, (142, 1) = 0.6887939715010858e-2, (142, 2) = -0.52474458312329955e-2, (142, 3) = 5.320002785774653, (142, 4) = .958303353361792, (142, 5) = 0.26495456172530026e-1, (142, 6) = 0.1836594907879038e-3, (142, 7) = -0.252364085464996e-3, (143, 1) = 0.6554183880220243e-2, (143, 2) = -0.5106572684456149e-2, (143, 3) = 5.381842318957145, (143, 4) = .9599996336604034, (143, 5) = 0.26125654821718747e-1, (143, 6) = 0.1680143447380809e-3, (143, 7) = -0.23320388139026565e-3, (144, 1) = 0.6229443363023987e-2, (144, 2) = -0.496969518374495e-2, (144, 3) = 5.44377856989792, (144, 4) = .961671997397204, (144, 5) = 0.25763461476510423e-1, (144, 6) = 0.15356107126225863e-3, (144, 7) = -0.21545984131697018e-3, (145, 1) = 0.59134596103730345e-2, (145, 2) = -0.4836693490181476e-2, (145, 3) = 5.505810264587283, (145, 4) = .963320945785362, (145, 5) = 0.2540869272435785e-1, (145, 6) = 0.14021118760005577e-3, (145, 7) = -0.1990305859062199e-3, (146, 1) = 0.5605981879431755e-2, (146, 2) = -0.4707451672732042e-2, (146, 3) = 5.56793617351249, (146, 4) = .9649469680512343, (146, 5) = 0.2506117018958842e-1, (146, 6) = 0.12788257922406355e-3, (146, 7) = -0.1838217110432586e-3, (147, 1) = 0.53067669906432515e-2, (147, 2) = -0.4581857567572001e-2, (147, 3) = 5.630155109349184, (147, 4) = .9665505417213073, (147, 5) = 0.24720720377034513e-1, (147, 6) = 0.11649905921041561e-3, (147, 7) = -0.16974533250776132e-3, (148, 1) = 0.5015579091342034e-2, (148, 2) = -0.4459802644110297e-2, (148, 3) = 5.692465924121744, (148, 4) = .9681321328883635, (148, 5) = 0.2438717452423778e-1, (148, 6) = 0.10598995658033662e-3, (148, 7) = -0.1567196582818594e-3, (149, 1) = 0.4732189454943598e-2, (149, 2) = -0.4341181888026249e-2, (149, 3) = 5.754867500071219, (149, 4) = .9696921963155168, (149, 5) = 0.24060368491380577e-1, (149, 6) = 0.9628973268058946e-4, (149, 7) = -0.1446685880441674e-3, (150, 1) = 0.445637619497772e-2, (150, 2) = -0.4225893650637279e-2, (150, 3) = 5.81735876065353, (150, 4) = .9712311760403447, (150, 5) = 0.23740142549888144e-1, (150, 6) = 0.8733761981190855e-4, (150, 7) = -0.13352133330447443e-3, (151, 1) = 0.4187924050803135e-2, (151, 2) = -0.4113839530268126e-2, (151, 3) = 5.879938668714196, (151, 4) = .9727495056336701, (151, 5) = 0.2342634124862383e-1, (151, 6) = 0.7907728636528507e-4, (151, 7) = -0.1232120640465816e-3, (152, 1) = 0.3926624184068294e-2, (152, 2) = -0.4004924259857473e-2, (152, 3) = 5.942606223760687, (152, 4) = .9742476084300418, (152, 5) = 0.23118813289296117e-1, (152, 6) = 0.714565244479042e-4, (152, 7) = -0.11367957746503508e-3, (153, 1) = 0.36722739675628595e-2, (153, 2) = -0.3899055593040416e-2, (153, 3) = 6.005360462681993, (153, 4) = .9757258978340067, (153, 5) = 0.22817411389538758e-1, (153, 6) = 0.6442695807953464e-4, (153, 7) = -0.10486698691294358e-3, (154, 1) = 0.3424676781951572e-2, (154, 2) = -0.37961441950964078e-2, (154, 3) = 6.068200460574128, (154, 4) = .9771847776170947, (154, 5) = 0.22521992151470806e-1, (154, 6) = 0.5794377119218636e-4, (154, 7) = -0.967214305737495e-4, (155, 1) = 0.318364182773534e-2, (155, 2) = -0.36961035417064788e-2, (155, 3) = 6.131125329639266, (155, 4) = .9786246421596811, (155, 5) = 0.22232415944730063e-1, (155, 6) = 0.51965454344558085e-4, (155, 7) = -0.8919379893818854e-4, (156, 1) = 0.29489839668066916e-2, (156, 2) = -0.3598849831342047e-2, (156, 3) = 6.194134211754286, (156, 4) = .9800458765440385, (156, 5) = 0.21948546822007864e-1, (156, 6) = 0.4645356922033489e-4, (156, 7) = -0.8223848033365505e-4, (157, 1) = 0.2720523479792377e-2, (157, 2) = -0.3504301864036683e-2, (157, 3) = 6.257226295253834, (157, 4) = .9814488571872236, (157, 5) = 0.21670252329442523e-1, (157, 6) = 0.41372527148834515e-4, (157, 7) = -0.7581312014106669e-4, (158, 1) = 0.24994622622722487e-2, (158, 2) = -0.34129493089673224e-2, (158, 3) = 6.320004429362408, (158, 4) = .9828253219279554, (158, 5) = 0.21399097573883887e-1, (158, 6) = 0.3671757453856597e-4, (158, 7) = -0.6991415932376671e-4, (159, 1) = 0.22914438569439223e-2, (159, 2) = -0.33271103446682673e-2, (159, 3) = 6.380714359223117, (159, 4) = .9841383236747088, (159, 5) = 0.21142196023966428e-1, (159, 6) = 0.3256657044189625e-4, (159, 7) = -0.6464305200947549e-4, (160, 1) = 0.2096764977130119e-2, (160, 2) = -0.3246888216871749e-2, (160, 3) = 6.439041851800582, (160, 4) = .985383387995297, (160, 5) = 0.209001807532975e-1, (160, 6) = 0.28878429537552865e-4, (160, 7) = -0.5995056210962825e-4, (161, 1) = 0.19142542422758073e-2, (161, 2) = -0.31717820489926096e-2, (161, 3) = 6.4951157087198235, (161, 4) = .9865655002073301, (161, 5) = 0.2067184982425839e-1, (161, 6) = 0.25589568107955412e-4, (161, 7) = -0.5575831327685825e-4, (162, 1) = 0.17427142743147398e-2, (162, 2) = -0.3101283157089607e-2, (162, 3) = 6.5491051323901015, (162, 4) = .9876901928502866, (162, 5) = 0.20455929268952944e-1, (162, 6) = 0.2264398415019256e-4, (162, 7) = -0.51996993884276855e-4, (163, 1) = 0.15811015363619964e-2, (163, 2) = -0.3034948752530318e-2, (163, 3) = 6.601162057284735, (163, 4) = .9887623477334817, (163, 5) = 0.2025130191646246e-1, (163, 6) = 0.19995149287787638e-4, (163, 7) = -0.4860889607355352e-4, (164, 1) = 0.14285079524789714e-2, (164, 2) = -0.29723938930752585e-2, (164, 3) = 6.651421488871508, (164, 4) = .9897862525363109, (164, 5) = 0.20056990944072855e-1, (164, 6) = 0.17604241683083722e-4, (164, 7) = -0.45545777125153235e-4, (165, 1) = 0.12841380601209408e-2, (165, 2) = -0.29132816972746683e-2, (165, 3) = 6.7000042676403915, (165, 4) = .9907656989607102, (165, 5) = 0.19872136498653162e-1, (165, 6) = 0.15438635568661184e-4, (165, 7) = -0.427670184725108e-4, (166, 1) = 0.11472903267585523e-2, (166, 2) = -0.28573153562169145e-2, (166, 3) = 6.747019454806988, (166, 4) = .9917040645449797, (166, 5) = 0.1969597641041645e-1, (166, 6) = 0.13470724780140474e-4, (166, 7) = -0.4023818885023187e-4, (167, 1) = 0.10173434606982944e-2, (167, 2) = -0.28042322593080844e-2, (167, 3) = 6.792565807285179, (167, 4) = .9926043695551816, (167, 5) = 0.19527832369525187e-1, (167, 6) = 0.1167702161571815e-4, (167, 7) = -0.37929943037897354e-4, (168, 1) = 0.893745064050563e-3, (168, 2) = -0.2753799130211681e-2, (168, 3) = 6.836733031901551, (168, 4) = .9934693246139872, (168, 5) = 0.19367098410542075e-1, (168, 6) = 0.10037439121625286e-4, (168, 7) = -0.358171430611698e-4, (169, 1) = 0.776002178705785e-3, (169, 2) = -0.27058079781715864e-2, (169, 3) = 6.879602854428295, (169, 4) = .9943013707458818, (169, 5) = 0.19213231273768283e-1, (169, 6) = 0.8534715422939233e-5, (169, 7) = -0.3387815201610202e-4, (170, 1) = 0.6636729006810244e-3, (170, 2) = -0.26600725198970194e-2, (170, 3) = 6.921250108704328, (170, 4) = .9951027165532491, (170, 5) = 0.19065741682178818e-1, (170, 6) = 0.7153943222488218e-5, (170, 7) = -0.3209425552245678e-4, (171, 1) = 0.5563591652951864e-3, (171, 2) = -0.26164251077657906e-2, (171, 3) = 6.961743745577525, (171, 4) = .995875371044721, (171, 5) = 0.18924186748013903e-1, (171, 6) = 0.5882186619569889e-5, (171, 7) = -0.30449189658006313e-4, (172, 1) = 0.453703968041812e-3, (172, 2) = -0.25747154845888296e-2, (172, 3) = 7.001146434242757, (172, 4) = .9966211475552713, (172, 5) = 0.18788167920810266e-1, (172, 6) = 0.4708206273295691e-5, (172, 7) = -0.2892880415481513e-4, (173, 1) = 0.3553847160599982e-3, (173, 2) = -0.2534807981217631e-2, (173, 3) = 7.039515816735961, (173, 4) = .9973416977524165, (173, 5) = 0.18657323601527533e-1, (173, 6) = 0.3622181416110171e-5, (173, 7) = -0.2752071779279574e-4, (174, 1) = 0.2611089567921044e-3, (174, 2) = -0.24965796986488663e-2, (174, 3) = 7.076905087185851, (174, 4) = .9980385309827882, (174, 5) = 0.18531324646632825e-1, (174, 6) = 0.26154980864484428e-5, (174, 7) = -0.26214056372779796e-4, (175, 1) = 0.17061087792577472e-3, (175, 2) = -0.24599190164938103e-2, (175, 3) = 7.11336343575653, (175, 4) = .9987130298125714, (175, 5) = 0.18409870712982543e-1, (175, 6) = 0.16805750903788004e-5, (175, 7) = -0.24999237164889492e-4, (176, 1) = 0.8364828755175267e-4, (176, 2) = -0.2424724307108064e-2, (176, 3) = 7.14893643929275, (176, 4) = .999366463543249, (176, 5) = 0.18292687091506932e-1, (176, 6) = 0.8107185795194192e-6, (176, 7) = -0.2386778854087962e-4, (177, 1) = .0, (177, 2) = -0.23909028232950774e-2, (177, 3) = 7.183666405720363, (177, 4) = 1.0, (177, 5) = 0.18179521955803843e-1, (177, 6) = .0, (177, 7) = -0.22812198384621496e-4}, datatype = float[8], order = C_order); YP := Matrix(177, 7, {(1, 1) = -3.010283491881195, (1, 2) = 31.045172730586398, (1, 3) = -.5, (1, 4) = 3.2549705904755624, (1, 5) = -32.059040670468, (1, 6) = -2.2961168243517345, (1, 7) = 21.039081978077707, (2, 1) = -2.2188140910266996, (2, 2) = 17.121944106176148, (2, 3) = -.40370802709261644, (2, 4) = 2.4361750640983972, (2, 5) = -17.75186646531459, (2, 6) = -1.7587335888496072, (2, 7) = 11.658920037134642, (3, 1) = -1.7515672684205508, (3, 2) = 10.819003914424172, (3, 3) = -.32904124123644557, (3, 4) = 1.950857483460543, (3, 5) = -11.261093047454036, (3, 6) = -1.4395391386527499, (3, 7) = 7.421516216604939, (4, 1) = -1.443419767334426, (4, 2) = 7.44431424050068, (4, 3) = -.2679158648423435, (4, 4) = 1.6295350420268857, (4, 5) = -7.77851680978251, (4, 6) = -1.2272759842281986, (4, 7) = 5.153559241304035, (5, 1) = -1.2250712603116078, (5, 2) = 5.430700205869807, (5, 3) = -.21608666124952267, (5, 4) = 1.4009694099334766, (5, 5) = -5.6962541050511355, (5, 6) = -1.0753753559802985, (5, 7) = 3.7994361725363084, (6, 1) = -1.062293032083934, (6, 2) = 4.133984345299803, (6, 3) = -.1710281829224358, (6, 4) = 1.229921365777778, (6, 5) = -4.352627257354598, (6, 6) = -.9608633361558743, (6, 7) = 2.9263023948487845, (7, 1) = -.9363094708603249, (7, 2) = 3.250582184729448, (7, 3) = -.1311332340751042, (7, 4) = 1.097033665972045, (7, 5) = -3.4354543508722934, (7, 6) = -.871143819024352, (7, 7) = 2.330460789528503, (8, 1) = -.8359113795739894, (8, 2) = 2.6218668296288925, (8, 3) = -0.9529846009910026e-1, (8, 4) = .9907326565311447, (8, 5) = -2.781433082063489, (8, 6) = -.798694055572774, (8, 7) = 1.9055546562540169, (9, 1) = -.7540307621161558, (9, 2) = 2.158655707900222, (9, 3) = -0.6274515848045818e-1, (9, 4) = .903710629210698, (9, 5) = -2.2986527950440383, (9, 6) = -.7387684103204613, (9, 7) = 1.5918036113784224, (10, 1) = -.6859732537372588, (10, 2) = 1.8075854056497922, (10, 3) = -0.3289635416421537e-1, (10, 4) = .8311070612968686, (10, 5) = -1.9320578998022346, (10, 6) = -.6882118043576506, (10, 7) = 1.3534327958638872, (11, 1) = -.6285004073713887, (11, 2) = 1.5351562401542218, (11, 3) = -0.5312156394166294e-2, (11, 4) = .7695640956343914, (11, 5) = -1.6470492909842538, (11, 6) = -.64484492277093, (11, 7) = 1.1679748738766818, (12, 1) = -.5793166470382869, (12, 2) = 1.3195281931221805, (12, 3) = 0.20345547838662725e-1, (12, 4) = .7166984974611179, (12, 5) = -1.4210468548040192, (12, 6) = -.6071216319336978, (12, 7) = 1.0207737736678706, (13, 1) = -.5367311431212949, (13, 2) = 1.145892530696533, (13, 3) = 0.44352419520146014e-1, (13, 4) = .6707519723642751, (13, 5) = -1.2387232687233358, (13, 6) = -.5739002262529861, (13, 7) = .9018835448323496, (14, 1) = -.49948942467589225, (14, 2) = 1.003998050145226, (14, 3) = 0.6692621623257643e-1, (14, 4) = .6304185015498383, (14, 5) = -1.0894578589784991, (14, 6) = -.5443331052943612, (14, 7) = .8044134092658326, (15, 1) = -.46663169018318124, (15, 2) = .8865281517652679, (15, 3) = 0.882475828156531e-1, (15, 4) = .5946973362482103, (15, 5) = -.9656623891005631, (15, 6) = -.5177703096857598, (15, 7) = .7234401398522938, (16, 1) = -.43741237094615587, (16, 2) = .7881537194650875, (16, 3) = .10846767050378146, (16, 4) = .5628099475659347, (16, 5) = -.8618042115535092, (16, 6) = -.49370579887626914, (16, 7) = .6553739127932571, (17, 1) = -.4112440008745413, (17, 2) = .7049210492055764, (17, 3) = .12771421698659408, (17, 4) = .5341419874792643, (17, 5) = -.7737744555933753, (17, 6) = -.4717398711807749, (17, 7) = .5975483247236602, (18, 1) = -.3876575548580043, (18, 2) = .6338476180086999, (18, 3) = .14609630418834832, (18, 4) = .5082022267347898, (18, 5) = -.6984704299667118, (18, 6) = -.45155255379360504, (18, 7) = .547949494066217, (19, 1) = -.3662736309623723, (19, 2) = .5726483733807656, (19, 3) = .1637083931514831, (19, 4) = .48459265857890527, (19, 5) = -.6335126174412591, (19, 6) = -.4328841497234415, (19, 7) = .5050324919245571, (20, 1) = -.34678216572683396, (20, 2) = .5195495059189714, (20, 3) = .18063295456195466, (20, 4) = .4629874722134205, (20, 5) = -.5770520321259064, (20, 6) = -.41552163184362956, (20, 7) = .4675964144816947, (21, 1) = -.32892767036417664, (21, 2) = .4731582794401461, (21, 3) = .1969422817914571, (21, 4) = .4431177566148181, (21, 5) = -.5276354888454184, (21, 6) = -.39928880193030747, (21, 7) = .43469702859278164, (22, 1) = -.31249869978237255, (22, 2) = .4323712564531229, (22, 3) = .21269931606763323, (22, 4) = .42476063372747375, (22, 5) = -.48411059119320127, (22, 6) = -.38403945114777954, (22, 7) = .4055852112696801, (23, 1) = -.29731416431452806, (23, 2) = .39629415064634355, (23, 3) = .2279639568142309, (23, 4) = .40772462385587316, (23, 5) = -.4455422550983356, (23, 6) = -.36964681487130585, (23, 7) = .3796525244600942, (24, 1) = -.28322501684036205, (24, 2) = .36421250433414676, (24, 3) = .2427861347723762, (24, 4) = .3918520439519158, (24, 5) = -.4111829023278856, (24, 6) = -.3560068471972505, (24, 7) = .3564123311986818, (25, 1) = -.2701033420412026, (25, 2) = .33554014077654515, (25, 3) = .2572121554674377, (25, 4) = .37700721405190146, (25, 5) = -.3804185329805538, (25, 6) = -.3430294380682383, (25, 7) = .3354645137472628, (26, 1) = -.2578389396986893, (26, 2) = .3097931961546034, (26, 3) = .2712850292677997, (26, 4) = .36307292252881584, (26, 5) = -.35274178509526466, (26, 6) = -.3306361874020015, (26, 7) = .3164779932333802, (27, 1) = -.24633953213188772, (27, 2) = .2865759039396276, (27, 3) = .28504110605404537, (27, 4) = .3499509645976493, (27, 5) = -.3277374103346404, (27, 6) = -.3187617238807888, (27, 7) = .29918159835956604, (28, 1) = -.23552476168366415, (28, 2) = .2655566661015625, (28, 3) = .29851430859060935, (28, 4) = .33755558003287145, (28, 5) = -.30505713524774447, (28, 6) = -.3073486098948925, (28, 7) = .2833475062173651, (29, 1) = -.2253255020912264, (29, 2) = .2464582280638545, (29, 3) = .3117349359672634, (29, 4) = .32581286288190825, (29, 5) = -.28440953074312353, (29, 6) = -.29634737207014694, (29, 7) = .2687847958648897, (30, 1) = -.2156829331351726, (30, 2) = .2290488984956625, (30, 3) = .324728843808106, (30, 4) = .31465989354105117, (30, 5) = -.26555092451071954, (30, 6) = -.28571629053101066, (30, 7) = .25533368718160365, (31, 1) = -.2065438873825929, (31, 2) = .2131287038144533, (31, 3) = .33752207959661373, (31, 4) = .304039516592149, (31, 5) = -.2482707267810866, (31, 6) = -.2754169157752743, (31, 7) = .24285563622268744, (32, 1) = -.19786380124231495, (32, 2) = .19853052093936435, (32, 3) = .35013561530865284, (32, 4) = .29390388011792296, (32, 5) = -.2323929065309705, (32, 6) = -.26541783827718834, (32, 7) = .2312348266717411, (33, 1) = -.18960486731359524, (33, 2) = .18511301699907345, (33, 3) = .36258639522561675, (33, 4) = .2842124423413447, (33, 5) = -.21776856469029016, (33, 6) = -.2556932617203244, (33, 7) = .2203733545258757, (34, 1) = -.18173393918032565, (34, 2) = .17275430735899094, (34, 3) = .37488926686015167, (34, 4) = .2749296363719141, (34, 5) = -.20426921612279228, (34, 6) = -.2462210635577509, (34, 7) = .21018674197498782, (35, 1) = -.17422262687378032, (35, 2) = .16134989076353431, (35, 3) = .3870559122413701, (35, 4) = .26602507525248614, (35, 5) = -.1917846859275767, (35, 6) = -.2369833048528358, (35, 7) = .20060275953911733, (36, 1) = -.16704665751311357, (36, 2) = .15080974319113763, (36, 3) = .3990949249001731, (36, 4) = .2574728923416692, (36, 5) = -.18022006585663738, (36, 6) = -.2279658642184645, (36, 7) = .1915595317437923, (37, 1) = -.1601859421542037, (37, 2) = .141056796935048, (37, 3) = .41101078776726396, (37, 4) = .24925191600226893, (37, 5) = -.16949416553961816, (37, 6) = -.2191589209315012, (37, 7) = .18300476520893003, (38, 1) = -.15362126746579838, (38, 2) = .1320210054859448, (38, 3) = .42280892511572515, (38, 4) = .24134177847648824, (38, 5) = -.1595330800439254, (38, 6) = -.21055300577533773, (38, 7) = .1748909797765733, (39, 1) = -.14733741986174867, (39, 2) = .12364284350603046, (39, 3) = .4344897565601667, (39, 4) = .23372671477717596, (39, 5) = -.15027411164631393, (39, 6) = -.2021432253147483, (39, 7) = .16717891414685349, (40, 1) = -.14132147717760368, (40, 2) = .11586995380348374, (40, 3) = .44605098876584576, (40, 4) = .22639358970698623, (40, 5) = -.1416621548462659, (40, 6) = -.19392734410767049, (40, 7) = .15983497820345968, (41, 1) = -.1355618535661384, (41, 2) = .10865524630505065, (41, 3) = .4574889782290803, (41, 4) = .21933078665833716, (41, 5) = -.13364764847041208, (41, 6) = -.18590465201723103, (41, 7) = .15282978502561145, (42, 1) = -.13004833389409315, (42, 2) = .10195646465098096, (42, 3) = .4687983695351276, (42, 4) = .21252828358414444, (42, 5) = -.12618613754474253, (42, 6) = -.17807609406978153, (42, 7) = .14613796012482172, (43, 1) = -.12477167494006297, (43, 2) = 0.9573528555897173e-1, (43, 3) = .4799726300795009, (43, 4) = .20597719438448733, (43, 5) = -.11923730972108826, (43, 6) = -.17044377008176909, (43, 7) = .13973746010198854, (44, 1) = -.11972344246799402, (44, 2) = 0.8995680533952945e-1, (44, 3) = .49100420281898555, (44, 4) = .19966959020759237, (44, 5) = -.11276445358250514, (44, 6) = -.16301071564836836, (44, 7) = .13360920525957998, (45, 1) = -.1148956147475554, (45, 2) = 0.8458883047163457e-1, (45, 3) = .5018852472953027, (45, 4) = .1935980202293324, (45, 5) = -.10673369025665995, (45, 6) = -.15578029883884625, (45, 7) = .12773644242504048, (46, 1) = -.11028042171087489, (46, 2) = 0.7960151497591006e-1, (46, 3) = .5126079809791431, (46, 4) = .1877553133493232, (46, 5) = -.10111358529342901, (46, 6) = -.14875591411024416, (46, 7) = .12210439647109084, (47, 1) = -.10587010196399801, (47, 2) = 0.7496695383104171e-1, (47, 3) = .5231652841517149, (47, 4) = .18213426698507848, (47, 5) = -0.9587470570440539e-1, (47, 6) = -.14194052404260726, (47, 7) = .11669981742149677, (48, 1) = -.10165710878026424, (48, 2) = 0.7065927864855102e-1, (48, 3) = .5335502837116244, (48, 4) = .1767279011977732, (48, 5) = -0.90989740840664e-1, (48, 6) = -.13533687973410663, (48, 7) = .11151107173300641, (49, 1) = -0.976339646318128e-1, (49, 2) = 0.6665437930666253e-1, (49, 3) = .5437567517407721, (49, 4) = .17152926762281148, (49, 5) = -0.8643320096253616e-1, (49, 6) = -.12894721237733586, (49, 7) = .10652780343241362, (50, 1) = -0.9379309915858196e-1, (50, 2) = 0.6292963935728102e-1, (50, 3) = .5537796082939569, (50, 4) = .1665312288048679, (50, 5) = -0.821811271659428e-1, (50, 6) = -.12277288786102344, (50, 7) = .10174056934638033, (51, 1) = -0.9012646774014009e-1, (51, 2) = 0.5946349454355839e-1, (51, 3) = .5636160898088879, (51, 4) = .16172593962052867, (51, 5) = -0.7821059376459426e-1, (51, 6) = -.11681369761445241, (51, 7) = 0.971401922016448e-1, (52, 1) = -0.8662709254567018e-1, (52, 2) = 0.5623679588902947e-1, (52, 3) = .5732617138385044, (52, 4) = .1571068532547171, (52, 5) = -0.7450127953262778e-1, (52, 6) = -.11107030160152458, (52, 7) = 0.9271953492878013e-1, (53, 1) = -0.832877606097653e-1, (53, 2) = 0.5323144127213841e-1, (53, 3) = .5827137094120911, (53, 4) = .15266702144547653, (53, 5) = -0.7103391702860415e-1, (53, 6) = -.10554209857792878, (53, 7) = 0.8847173428640447e-1, (54, 1) = -0.8010083796586685e-1, (54, 2) = 0.5043015773452044e-1, (54, 3) = .5919717359930652, (54, 4) = .1483988206956467, (54, 5) = -0.6779004472456823e-1, (54, 6) = -.1002268626526667, (54, 7) = 0.8438981098644666e-1, (55, 1) = -0.7705904545671184e-1, (55, 2) = 0.4781712178021648e-1, (55, 3) = .6010357808561354, (55, 4) = .14429496914815607, (55, 5) = -0.6475273039031218e-1, (55, 6) = -0.9512201172172534e-1, (55, 7) = 0.8046752565271927e-1, (56, 1) = -0.7415579244743617e-1, (56, 2) = 0.4537812370175229e-1, (56, 3) = .609905070263442, (56, 4) = .14034898646161215, (56, 5) = -0.6190677910002072e-1, (56, 6) = -0.9022519334264704e-1, (56, 7) = 0.7669971247700139e-1, (57, 1) = -0.7138429207106428e-1, (57, 2) = 0.4309971458682221e-1, (57, 3) = .6185806833233924, (57, 4) = .13655400028046524, (57, 5) = -0.5923775361433498e-1, (57, 6) = -0.8553282185600106e-1, (57, 7) = 0.7308104556027577e-1, (58, 1) = -0.6873795031830646e-1, (58, 2) = 0.4096946926322497e-1, (58, 3) = .6270644277840627, (58, 4) = .1329032634057901, (58, 5) = -0.5673228789519334e-1, (58, 6) = -0.8104075700907686e-1, (58, 7) = 0.6960645431414926e-1, (59, 1) = -0.6621016059961132e-1, (59, 2) = 0.38975748601405784e-1, (59, 3) = .6353595080809519, (59, 4) = .12938986575267097, (59, 5) = -0.5437781677016371e-1, (59, 6) = -0.7674399557867947e-1, (59, 7) = 0.6627078398947593e-1, (60, 1) = -0.6379500379743547e-1, (60, 2) = 0.3710817923563575e-1, (60, 3) = .6434682068578423, (60, 4) = .12600770681463422, (60, 5) = -0.52163152502100275e-1, (60, 6) = -0.7263791038699614e-1, (60, 7) = 0.630696652022076e-1, (61, 1) = -0.6148682506048283e-1, (61, 2) = 0.3535723201986704e-1, (61, 3) = .6513931420513931, (61, 4) = .12275092222076696, (61, 5) = -0.5007800143462451e-1, (61, 6) = -0.687175841247968e-1, (61, 7) = 0.5999892071152185e-1, (62, 1) = -0.5928000637071922e-1, (62, 2) = 0.33713989804355256e-1, (62, 3) = .6591380172829979, (62, 4) = .11961356381867923, (62, 5) = -0.4811269635947367e-1, (62, 6) = -0.6497747609164842e-1, (62, 7) = 0.57054229336734506e-1, (63, 1) = -0.57169100695410174e-1, (63, 2) = 0.3217020013015828e-1, (63, 3) = .6667071615807357, (63, 4) = .11658978562213738, (63, 5) = -0.4625826578595638e-1, (63, 6) = -0.6141170855360152e-1, (63, 7) = 0.5423127945985821e-1, (64, 1) = -0.5514918379084914e-1, (64, 2) = 0.3071847575888528e-1, (64, 3) = .674104198640308, (64, 4) = .11367435428569851, (64, 5) = -0.4450668459294678e-1, (64, 6) = -0.58014717648254485e-1, (64, 7) = 0.51526226701246916e-1, (65, 1) = -0.53215760915675155e-1, (65, 2) = 0.29352162323496186e-1, (65, 3) = .6813322323771271, (65, 4) = .11086253363996139, (65, 5) = -0.4285072792261608e-1, (65, 6) = -0.5478114175121917e-1, (65, 7) = 0.4893556386708957e-1, (66, 1) = -0.51364246219493405e-1, (66, 2) = 0.28064924065518932e-1, (66, 3) = .6883957184775215, (66, 4) = .10814933543258673, (66, 5) = -0.41283477931602065e-1, (66, 6) = -0.51704999820689775e-1, (66, 7) = 0.4645542023568128e-1, (67, 1) = -0.4959036780155851e-1, (67, 2) = 0.26850996547966004e-1, (67, 3) = .6952989342332647, (67, 4) = .1055301079545874, (67, 5) = -0.397986352727631e-1, (67, 6) = -0.4878042451768817e-1, (67, 7) = 0.44082106240249705e-1, (68, 1) = -0.4789016423374489e-1, (68, 2) = 0.2570514230598002e-1, (68, 3) = .7020458967717208, (68, 4) = .10300054210288584, (68, 5) = -0.3839047393448487e-1, (68, 6) = -0.4600169882505357e-1, (68, 7) = 0.4181211457624395e-1, (69, 1) = -0.4625996072380607e-1, (69, 2) = 0.24622597065198926e-1, (69, 3) = .7086403636416022, (69, 4) = .10055664721832, (69, 5) = -0.3705378373458785e-1, (69, 6) = -0.4336325445354654e-1, (69, 7) = 0.3964209549563323e-1, (70, 1) = -0.44696345792792136e-1, (70, 2) = 0.2359902106209441e-1, (70, 3) = .715085840088841, (70, 4) = 0.9819472668269251e-1, (70, 5) = -0.35783818056358635e-1, (70, 6) = -0.4085966769265928e-1, (70, 7) = 0.3756883386957669e-1, (71, 1) = -0.43195840295262154e-1, (71, 2) = 0.2263025732177424e-1, (71, 3) = .7213868990604615, (71, 4) = 0.959108824037368e-1, (71, 5) = -0.345759992795696e-1, (71, 6) = -0.3848516856421221e-1, (71, 7) = 0.35588822241379686e-1, (72, 1) = -0.417552894446388e-1, (72, 2) = 0.21712566757373226e-1, (72, 3) = .7275475329006473, (72, 4) = 0.9370160979020452e-1, (72, 5) = -0.3342621480848204e-1, (72, 6) = -0.36234307802151734e-1, (72, 7) = 0.3369879519129462e-1, (73, 1) = -0.4037173402203197e-1, (73, 2) = 0.2084251952747481e-1, (73, 3) = .7335716098404168, (73, 4) = 0.9156361245610806e-1, (73, 5) = -0.3233068837685123e-1, (73, 6) = -0.3410177625172606e-1, (73, 7) = 0.3189557025540908e-1, (74, 1) = -0.3904237227030642e-1, (74, 2) = 0.20016950936180417e-1, (74, 3) = .7394629834350771, (74, 4) = 0.8949375010756808e-1, (74, 5) = -0.31285929734658574e-1, (74, 6) = -0.3208237199793818e-1, (74, 7) = 0.3017601103329817e-1, (75, 1) = -0.3776454319644946e-1, (75, 2) = 0.19232933825189e-1, (75, 3) = .7452255211846236, (75, 4) = 0.8748901780777456e-1, (75, 5) = -0.3028870414672857e-1, (75, 6) = -0.30171000378395537e-1, (75, 7) = 0.28537019338621142e-1, (76, 1) = -0.3653569801566861e-1, (76, 2) = 0.18487745956094e-1, (76, 3) = .7508631948003112, (76, 4) = 0.8554650554414327e-1, (76, 5) = -0.29335994809283936e-1, (76, 6) = -0.2836265544217905e-1, (76, 7) = 0.26975512917014468e-1, (77, 1) = -0.35353334471828785e-1, (77, 2) = 0.17778817656712027e-1, (77, 3) = .7563803576967835, (77, 4) = 0.8366329666302517e-1, (77, 5) = -0.2842493891629171e-1, (77, 6) = -0.26652349069398753e-1, (77, 7) = 0.25488358243180274e-1, (78, 1) = -0.34214833644028164e-1, (78, 2) = 0.1710362550347103e-1, (78, 3) = .7617825194247292, (78, 4) = 0.818362046768005e-1, (78, 5) = -0.2755269203484183e-1, (78, 6) = -0.25034910053607307e-1, (78, 7) = 0.24072187718280107e-1, (79, 1) = -0.33117070324267625e-1, (79, 2) = 0.16459460519022494e-1, (79, 3) = .7670782989058776, (79, 4) = 0.8006113071928549e-1, (79, 5) = -0.2671612494556976e-1, (79, 6) = -0.23504494462123514e-1, (79, 7) = 0.2272295520211525e-1, (80, 1) = -0.3205809437838403e-1, (80, 2) = 0.15844406901222824e-1, (80, 3) = .7722713266005171, (80, 4) = 0.7833577907306599e-1, (80, 5) = -0.2591309561609206e-1, (80, 6) = -0.22056961396677732e-1, (80, 7) = 0.21438026923002916e-1, (81, 1) = -0.31037127966861342e-1, (81, 2) = 0.15257298915414995e-1, (81, 3) = .7773598019042196, (81, 4) = 0.766597219644611e-1, (81, 5) = -0.25142417563179406e-1, (81, 6) = -0.20689736141079718e-1, (81, 7) = 0.2021610624932507e-1, (82, 1) = -0.3005347880465721e-1, (82, 2) = 0.1469706808732895e-1, (82, 3) = .7823415773762875, (82, 4) = 0.7503266612459865e-1, (82, 5) = -0.24403020686373934e-1, (82, 6) = -0.1940025706534461e-1, (82, 7) = 0.1905587546109808e-1, (83, 1) = -0.2910586428826123e-1, (83, 2) = 0.14162359097922005e-1, (83, 3) = .787217633956304, (83, 4) = 0.7345332619263635e-1, (83, 5) = -0.23693442233407584e-1, (83, 6) = -0.181851232611352e-1, (83, 7) = 0.1795521838476315e-1, (84, 1) = -0.28192907817684805e-1, (84, 2) = 0.1365181867422655e-1, (84, 3) = .7919897115240078, (84, 4) = 0.7192022274910066e-1, (84, 5) = -0.23012201444952248e-1, (84, 6) = -0.17040811610716092e-1, (84, 7) = 0.16911848466548876e-1, (85, 1) = -0.27312978136185835e-1, (85, 2) = 0.13164005904443596e-1, (85, 3) = .7966612137325211, (85, 4) = 0.7043140181072279e-1, (85, 5) = -0.22357677376699997e-1, (85, 6) = -0.15963513643715645e-1, (85, 7) = 0.1592315271868429e-1, (86, 1) = -0.2646462746652903e-1, (86, 2) = 0.1269763461904293e-1, (86, 3) = .8012349398472144, (86, 4) = 0.6898516657212175e-1, (86, 5) = -0.21728432006606218e-1, (86, 6) = -0.14949706357927807e-1, (86, 7) = 0.14986710460803207e-1, (87, 1) = -0.25646494959249203e-1, (87, 2) = 0.12251513377893835e-1, (87, 3) = .8057135493898496, (87, 4) = 0.6757992094013747e-1, (87, 5) = -0.21123132884899316e-1, (87, 6) = -0.139960292467264e-1, (87, 7) = 0.1410018570481624e-1, (88, 1) = -0.2485728164590901e-1, (88, 2) = 0.1182452710951371e-1, (88, 3) = .810099673559902, (88, 4) = 0.662141300173103e-1, (88, 5) = -0.20540530236292587e-1, (88, 6) = -0.13099256789703594e-1, (88, 7) = 0.13261304969175512e-1, (89, 1) = -0.24095752574361837e-1, (89, 2) = 0.11415634281844061e-1, (89, 3) = .81439588423751, (89, 4) = 0.6488632633494537e-1, (89, 5) = -0.19979454728118753e-1, (89, 6) = -0.12256303574946446e-1, (89, 7) = 0.12467865124264153e-1, (90, 1) = -0.23360735056253266e-1, (90, 2) = 0.11023862257792366e-1, (90, 3) = .8186046839450801, (90, 4) = 0.6359510950556727e-1, (90, 5) = -0.19438812716351027e-1, (90, 6) = -0.11464223580929493e-1, (90, 7) = 0.11717736023153343e-1, (91, 1) = -0.2265111611151706e-1, (91, 2) = 0.1064830254895494e-1, (91, 3) = .8227285009951595, (91, 4) = 0.6233914441576576e-1, (91, 5) = -0.18917581245871496e-1, (91, 6) = -0.107202077302794e-1, (91, 7) = 0.11008861577261891e-1, (92, 1) = -0.2196584274078579e-1, (92, 2) = 0.10288107863924782e-1, (92, 3) = .8267696687449231, (92, 4) = 0.61117164378142505e-1, (92, 5) = -0.1841480544345323e-1, (92, 6) = -0.10021583648716392e-1, (92, 7) = 0.10339262962135297e-1, (93, 1) = -0.2130397508619256e-1, (93, 2) = 0.9942516911301724e-2, (93, 3) = .8307300855152587, (93, 4) = 0.5992806977704981e-1, (93, 5) = -0.17929634945322494e-1, (93, 6) = -0.9365866049369924e-2, (93, 7) = 0.970709083685181e-2, (94, 1) = -0.2066452832678662e-1, (94, 2) = 0.9610769117033199e-2, (94, 3) = .8346121380272766, (94, 4) = 0.5877064728357242e-1, (94, 5) = -0.1746120573842817e-1, (94, 6) = -0.8750596954165865e-2, (94, 7) = 0.911047491451652e-2, (95, 1) = -0.20046560655054453e-1, (95, 2) = 0.9292149122341548e-2, (95, 3) = .8384181810565843, (95, 4) = 0.57643726773201474e-1, (95, 5) = -0.17008702762303107e-1, (95, 6) = -0.8173438423547898e-2, (95, 7) = 0.8547615193482865e-2, (96, 1) = -0.19449237677365155e-1, (96, 2) = 0.8986017628093307e-2, (96, 3) = .8421501190891273, (96, 4) = 0.5654630194311316e-1, (96, 5) = -0.16571405188902044e-1, (96, 6) = -0.7632228495991538e-2, (96, 7) = 0.8016840145398394e-2, (97, 1) = -0.1887178595166975e-1, (97, 2) = 0.8691784937252454e-2, (97, 3) = .8458096605035292, (97, 4) = 0.5547745035158284e-1, (97, 5) = -0.1614865074893827e-1, (97, 6) = -0.7124930043201029e-2, (97, 7) = 0.7516560842447098e-2, (98, 1) = -0.18313379572760476e-1, (98, 2) = 0.8408851695186157e-2, (98, 3) = .8493990293787306, (98, 4) = 0.5443612442522976e-1, (98, 5) = -0.15739751272481037e-1, (98, 6) = -0.6649530877556062e-2, (98, 7) = 0.70451749307516515e-2, (99, 1) = -0.17773411236805755e-1, (99, 2) = 0.8136744850270912e-2, (99, 3) = .8529192148774755, (99, 4) = 0.5342165809334678e-1, (99, 5) = -0.15344189900285105e-1, (99, 6) = -0.6204273518435405e-2, (99, 7) = 0.660129692855998e-2, (100, 1) = -0.17251057251932208e-1, (100, 2) = 0.7874896343931133e-2, (100, 3) = .8563727717832911, (100, 4) = 0.52432954840383246e-1, (100, 5) = -0.14961301341491364e-1, (100, 6) = -0.5787287135105179e-2, (100, 7) = 0.6183395118813691e-2, (101, 1) = -0.16745629644977163e-1, (101, 2) = 0.7622820263324776e-2, (101, 3) = .8597615482839938, (101, 4) = 0.51469145618834776e-1, (101, 5) = -0.14590528608898094e-1, (101, 6) = -0.5396885129046895e-2, (101, 7) = 0.5790089139105677e-2, (102, 1) = -0.16256523054212938e-1, (102, 2) = 0.7380084027582768e-2, (102, 3) = .8630869913915394, (102, 4) = 0.5052949522528311e-1, (102, 5) = -0.14231383298385903e-1, (102, 6) = -0.5031509922179083e-2, (102, 7) = 0.5420098775343518e-2, (103, 1) = -0.15783100427777905e-1, (103, 2) = 0.7146250386892193e-2, (103, 3) = .8663509059017817, (103, 4) = 0.49613185415921565e-1, (103, 5) = -0.13883360876220033e-1, (103, 6) = -0.4689642631979475e-2, (103, 7) = 0.5072155149894696e-2, (104, 1) = -0.15324740843082107e-1, (104, 2) = 0.6920900620324958e-2, (104, 3) = .8695551374490673, (104, 4) = 0.487194055183293e-1, (104, 5) = -0.1354597487810146e-1, (104, 6) = -0.4369840628700971e-2, (104, 7) = 0.4745040251323027e-2, (105, 1) = -0.14880999220591645e-1, (105, 2) = 0.6703711752799031e-2, (105, 3) = .8727004295170955, (105, 4) = 0.47847667825719004e-1, (105, 5) = -0.13218873957203307e-1, (105, 6) = -0.40708417306626115e-2, (105, 7) = 0.4437696279601702e-2, (106, 1) = -0.1445129941189121e-1, (106, 2) = 0.6494304913053776e-2, (106, 3) = .8757885621654562, (106, 4) = 0.4699721013074634e-1, (106, 5) = -0.12901615364899262e-1, (106, 6) = -0.3791347889312316e-2, (106, 7) = 0.41490062236225e-2, (107, 1) = -0.1403515704995601e-1, (107, 2) = 0.629235416435554e-2, (107, 3) = .8788207857953696, (107, 4) = 0.46167431512408715e-1, (107, 5) = -0.12593828454231555e-1, (107, 6) = -0.35301779967586255e-2, (107, 7) = 0.38779519693393103e-2, (108, 1) = -0.136320985542424e-1, (108, 2) = 0.609754606629572e-2, (108, 3) = .8817983817939085, (108, 4) = 0.45357735223466554e-1, (108, 5) = -0.12295154559359827e-1, (108, 6) = -0.3286209314341815e-2, (108, 7) = 0.3623556002597559e-2, (109, 1) = -0.13241630697811596e-1, (109, 2) = 0.59095645556075434e-2, (109, 3) = .8847228903452787, (109, 4) = 0.44567467123514615e-1, (109, 5) = -0.12005223871163083e-1, (109, 6) = -0.30583587722556906e-2, (109, 7) = 0.3384863230891416e-2, (110, 1) = -0.12863282318672776e-1, (110, 2) = 0.5728110719682112e-2, (110, 3) = .887595805636143, (110, 4) = 0.437959990098312e-1, (110, 5) = -0.11723685793281906e-1, (110, 6) = -0.2845607745492162e-2, (110, 7) = 0.3160968116694903e-2, (111, 1) = -0.12496650693252929e-1, (111, 2) = 0.5552924358153241e-2, (111, 3) = .8904182090864114, (111, 4) = 0.430428253565388e-1, (111, 5) = -0.1145024320873632e-1, (111, 6) = -0.2647023818928518e-2, (111, 7) = 0.2951039322881783e-2, (112, 1) = -0.12141274016994663e-1, (112, 2) = 0.5383722467612301e-2, (112, 3) = .8931917390779196, (112, 4) = 0.4230730313112941e-1, (112, 5) = -0.11184557142440503e-1, (112, 6) = -0.2461688048783101e-2, (112, 7) = 0.27542443791469095e-2, (113, 1) = -0.1179681022215186e-1, (113, 2) = 0.5220284141143336e-2, (113, 3) = .8959172018453189, (113, 4) = 0.4158902099552602e-1, (113, 5) = -0.10926379958254132e-1, (113, 6) = -0.228878818143032e-2, (113, 7) = 0.25698496698628556e-2, (114, 1) = -0.11462903989906546e-1, (114, 2) = 0.5062386550384448e-2, (114, 3) = .8985955842843032, (114, 4) = 0.4088752771952661e-1, (114, 5) = -0.10675456024997696e-1, (114, 6) = -0.21275434552632607e-2, (114, 7) = 0.23971422191936325e-2, (115, 1) = -0.11139174973080628e-1, (115, 2) = 0.4909799283650963e-2, (115, 3) = .901228160676181, (115, 4) = 0.40202305706456845e-1, (115, 5) = -0.10431512339945794e-1, (115, 6) = -0.1977199961864016e-2, (115, 7) = 0.22354254347508886e-2, (116, 1) = -0.10825272392179685e-1, (116, 2) = 0.4762309923951511e-2, (116, 3) = .9038160568685645, (116, 4) = 0.3953288543830951e-1, (116, 5) = -0.10194299223128396e-1, (116, 6) = -0.18370560679884847e-2, (116, 7) = 0.2084047263144361e-2, (117, 1) = -0.10520888096597018e-1, (117, 2) = 0.4619729729543349e-2, (117, 3) = .9063601272182191, (117, 4) = 0.38878875566455126e-1, (117, 5) = -0.9963600208344612e-2, (117, 6) = -0.1706464442997396e-2, (117, 7) = 0.1942403596612181e-2, (118, 1) = -0.10225676992181737e-1, (118, 2) = 0.4481856038925428e-2, (118, 3) = .9088616122353441, (118, 4) = 0.38239793038485445e-1, (118, 5) = -0.9739171632595673e-2, (118, 6) = -0.15847955131765516e-2, (118, 7) = 0.18098996209028528e-2, (119, 1) = -0.9939367324640893e-2, (119, 2) = 0.4348523632722225e-2, (119, 3) = .9113212093702816, (119, 4) = 0.376153011508749e-1, (119, 5) = -0.9520826147011394e-2, (119, 6) = -0.14714824659729727e-2, (119, 7) = 0.168599953627451e-2, (120, 1) = -0.966163872941871e-2, (120, 2) = 0.4219547534554702e-2, (120, 3) = .9137401023351425, (120, 4) = 0.3700494616750579e-1, (120, 5) = -0.9308339878721775e-2, (120, 6) = -0.1365969153112434e-2, (120, 7) = 0.15701706401611438e-2, (121, 1) = -0.9392198385188308e-2, (121, 2) = 0.4094758396609424e-2, (121, 3) = .9161193161473176, (121, 4) = 0.3640832219382344e-1, (121, 5) = -0.9101510124887554e-2, (121, 6) = -0.12677402606956771e-2, (121, 7) = 0.14619168884890783e-2, (122, 1) = -0.9130776619449235e-2, (122, 2) = 0.3974000157039127e-2, (122, 3) = .918459743389031, (122, 4) = 0.3582506324812699e-1, (122, 5) = -0.8900152062547061e-2, (122, 6) = -0.11763168046591919e-2, (122, 7) = 0.13607747932710109e-2, (123, 1) = -0.8877130053322135e-2, (123, 2) = 0.3857131220204234e-2, (123, 3) = .9207621042586911, (123, 4) = 0.3525485195379574e-1, (123, 5) = -0.8704101261672068e-2, (123, 6) = -0.10912546315821271e-2, (123, 7) = 0.1266312536775268e-2, (124, 1) = -0.8631034803741748e-2, (124, 2) = 0.37440210705135487e-2, (124, 3) = .9230269958510547, (124, 4) = 0.3469740599658427e-1, (124, 5) = -0.8513208555597203e-2, (124, 6) = -0.10121396610135644e-2, (124, 7) = 0.11781253977221063e-2, (125, 1) = -0.8392212157745564e-2, (125, 2) = 0.3634516023268043e-2, (125, 3) = .925255580609136, (125, 4) = 0.34152309214020814e-1, (125, 5) = -0.8327282158857823e-2, (125, 6) = -0.938563455856944e-3, (125, 7) = 0.10958089996215903e-2, (126, 1) = -0.8160425838712085e-2, (126, 2) = 0.35284838627545256e-2, (126, 3) = .9274486979359966, (126, 4) = 0.33619231067228195e-1, (126, 5) = -0.8146162840536838e-2, (126, 6) = -0.8701541170718898e-3, (126, 7) = 0.10189941909763463e-2, (127, 1) = -0.7935451067583034e-2, (127, 2) = 0.34257994141029054e-2, (127, 3) = .9296071384367649, (127, 4) = 0.3309785803833924e-1, (127, 5) = -0.7969700041420233e-2, (127, 6) = -0.8065641728294864e-3, (127, 7) = 0.9473341253719798e-3, (128, 1) = -0.7717070876205519e-2, (128, 2) = 0.33263427207529334e-2, (128, 3) = .9317316751472142, (128, 4) = 0.3258788569860931e-1, (128, 5) = -0.7797748970274931e-2, (128, 6) = -0.7474681438722301e-3, (128, 7) = 0.880502001232945e-3, (129, 1) = -0.7505076125168032e-2, (129, 2) = 0.3229998933900569e-2, (129, 3) = .9338230607702328, (129, 4) = 0.32089019152014744e-1, (129, 5) = -0.7630170580490721e-2, (129, 6) = -0.6925613591197516e-3, (129, 7) = 0.8181901587854764e-3, (130, 1) = -0.7299265171632634e-2, (130, 2) = 0.3136658050225978e-2, (130, 3) = .9358820282972874, (130, 4) = 0.31600972661932875e-1, (130, 5) = -0.7466831279916698e-2, (130, 6) = -0.6415587231086209e-3, (130, 7) = 0.7601090888409613e-3, (131, 1) = -0.7099443565783825e-2, (131, 2) = 0.30462146709149766e-2, (131, 3) = .9379092914859827, (131, 4) = 0.31123469324561948e-1, (131, 5) = -0.7307602667855831e-2, (131, 6) = -0.5941935510054997e-3, (131, 7) = 0.7059864851990976e-3, (132, 1) = -0.6905423747524692e-2, (132, 2) = 0.2958567768435871e-2, (132, 3) = .9399055454663998, (132, 4) = 0.30656240723360338e-1, (132, 5) = -0.71523612763047355e-2, (132, 6) = -0.5502164615731298e-3, (132, 7) = 0.655566332104778e-3, (133, 1) = -0.6717024757245861e-2, (133, 2) = 0.2873620466790021e-2, (133, 3) = .9418714673375305, (133, 4) = 0.30199026597440937e-1, (133, 5) = -0.7000988325823573e-2, (133, 6) = -0.5093943297131232e-3, (133, 7) = 0.6086080307940107e-3, (134, 1) = -0.6534071959760502e-2, (134, 2) = 0.27912798342734552e-2, (134, 3) = .9438077167561614, (134, 4) = 0.29751574522758853e-1, (134, 5) = -0.6853369494924661e-2, (134, 6) = -0.4715092959902402e-3, (134, 7) = 0.5648855642822292e-3, (135, 1) = -0.6356396787514922e-2, (135, 2) = 0.27114566909829225e-2, (135, 3) = .9457149364454033, (135, 4) = 0.2931363962219971e-1, (135, 5) = -0.6709394707597642e-2, (135, 6) = -0.43635783194643206e-3, (135, 7) = 0.5241867010441891e-3, (136, 1) = -0.61838364891480474e-2, (136, 2) = 0.263406542432135e-2, (136, 3) = .947593752761815, (136, 4) = 0.28884984271701088e-1, (136, 5) = -0.6568957927472171e-2, (136, 6) = -0.4037498558821582e-3, (136, 7) = 0.4863122333420328e-3, (137, 1) = -0.601623387000051e-2, (137, 2) = 0.2559023806114614e-2, (137, 3) = .9494447764708851, (137, 4) = 0.28465377768764184e-1, (137, 5) = -0.6431956947208897e-2, (137, 6) = -0.3735078948773748e-3, (137, 7) = 0.4510752470303723e-3, (138, 1) = -0.5853437072325423e-2, (138, 2) = 0.2486252832368632e-2, (138, 3) = .9512686032079182, (138, 4) = 0.280545960825053e-1, (138, 5) = -0.6298293211671902e-2, (138, 6) = -0.34546629992478233e-3, (138, 7) = 0.4183004324945519e-3, (139, 1) = -0.5695299345566016e-2, (139, 2) = 0.24156765630166848e-2, (139, 3) = .9530658141549968, (139, 4) = 0.276524215633124e-1, (139, 5) = -0.6167871634365016e-2, (139, 6) = -0.31947050232195343e-3, (139, 7) = 0.3878234245464183e-3, (140, 1) = -0.554167885830191e-2, (140, 2) = 0.23472219843972985e-2, (140, 3) = .9548369763523616, (140, 4) = 0.27258642742879598e-1, (140, 5) = -0.60406004492652874e-2, (140, 6) = -0.2953763182049148e-3, (140, 7) = 0.35949018078556665e-3, (141, 1) = -0.5392438520624993e-2, (141, 2) = 0.22808188801119096e-2, (141, 3) = .9565826429700981, (141, 4) = 0.2687305414886625e-1, (141, 5) = -0.5916391072664268e-2, (141, 6) = -0.27304929294300013e-3, (141, 7) = 0.3331563901813197e-3, (142, 1) = -0.52474458312329955e-2, (142, 2) = 0.22163997163235374e-2, (142, 3) = .958303353361792, (142, 4) = 0.26495456172530026e-1, (142, 5) = -0.57951579868950375e-2, (142, 6) = -0.252364085464996e-3, (142, 7) = 0.30868691325215805e-3, (143, 1) = -0.5106572684456149e-2, (143, 2) = 0.2153899512449706e-2, (143, 3) = .9599996336604034, (143, 4) = 0.26125654821718747e-1, (143, 5) = -0.5676818591723513e-2, (143, 6) = -0.23320388139026565e-3, (143, 7) = 0.2859552418854789e-3, (144, 1) = -0.496969518374495e-2, (144, 2) = 0.20932557178244982e-2, (144, 3) = .961671997397204, (144, 4) = 0.25763461476510423e-1, (144, 5) = -0.5561293061337471e-2, (144, 6) = -0.21545984131697018e-3, (144, 7) = 0.2648429873310176e-3, (145, 1) = -0.4836693490181476e-2, (145, 2) = 0.2034408106735575e-2, (145, 3) = .963320945785362, (145, 4) = 0.2540869272435785e-1, (145, 5) = -0.5448504231053388e-2, (145, 6) = -0.1990305859062199e-3, (145, 7) = 0.2452393994183257e-3, (146, 1) = -0.4707451672732042e-2, (146, 2) = 0.19772986768169993e-2, (146, 3) = .9649469680512343, (146, 4) = 0.2506117018958842e-1, (146, 5) = -0.5338377485993881e-2, (146, 6) = -0.1838217110432586e-3, (146, 7) = 0.22704091004977484e-3, (147, 1) = -0.4581857567572001e-2, (147, 2) = 0.1921871553865193e-2, (147, 3) = .9665505417213073, (147, 4) = 0.24720720377034513e-1, (147, 5) = -0.5230840657806015e-2, (147, 6) = -0.16974533250776132e-3, (147, 7) = 0.21015070120431977e-3, (148, 1) = -0.4459802644110297e-2, (148, 2) = 0.18680729018499408e-2, (148, 3) = .9681321328883635, (148, 4) = 0.2438717452423778e-1, (148, 5) = -0.5125823927380249e-2, (148, 6) = -0.1567196582818594e-3, (148, 7) = 0.19447829607891086e-3, (149, 1) = -0.4341181888026249e-2, (149, 2) = 0.18158508424962229e-2, (149, 3) = .9696921963155168, (149, 4) = 0.24060368491380577e-1, (149, 5) = -0.5023259742466551e-2, (149, 6) = -0.1446685880441674e-3, (149, 7) = 0.1799391736386374e-3, (150, 1) = -0.4225893650637279e-2, (150, 2) = 0.17651553619765716e-2, (150, 3) = .9712311760403447, (150, 4) = 0.23740142549888144e-1, (150, 5) = -0.4923082706327167e-2, (150, 6) = -0.13352133330447443e-3, (150, 7) = 0.16645439943325225e-3, (151, 1) = -0.4113839530268126e-2, (151, 2) = 0.17159382335444216e-2, (151, 3) = .9727495056336701, (151, 4) = 0.2342634124862383e-1, (151, 5) = -0.4825229493689177e-2, (151, 6) = -0.1232120640465816e-3, (151, 7) = 0.1539502804262958e-3, (152, 1) = -0.4004924259857473e-2, (152, 2) = 0.16681529445863694e-2, (152, 3) = .9742476084300418, (152, 4) = 0.23118813289296117e-1, (152, 5) = -0.4729638772087287e-2, (152, 6) = -0.11367957746503508e-3, (152, 7) = 0.1423580391973025e-3, (153, 1) = -0.3899055593040416e-2, (153, 2) = 0.16217546245721791e-2, (153, 3) = .9757258978340067, (153, 4) = 0.22817411389538758e-1, (153, 5) = -0.463625112173974e-2, (153, 6) = -0.10486698691294358e-3, (153, 7) = 0.13161350583831e-3, (154, 1) = -0.37961441950964078e-2, (154, 2) = 0.15766999766100972e-2, (154, 3) = .9771847776170947, (154, 4) = 0.22521992151470806e-1, (154, 5) = -0.4545008959412762e-2, (154, 6) = -0.967214305737495e-4, (154, 7) = 0.121656827512054e-3, (155, 1) = -0.36961035417064788e-2, (155, 2) = 0.15329472137910675e-2, (155, 3) = .9786246421596811, (155, 4) = 0.22232415944730063e-1, (155, 5) = -0.445585646888749e-2, (155, 6) = -0.8919379893818854e-4, (155, 7) = 0.11243219508397924e-3, (156, 1) = -0.3598849831342047e-2, (156, 2) = 0.14904560027590857e-2, (156, 3) = .9800458765440385, (156, 4) = 0.21948546822007864e-1, (156, 5) = -0.4368739543349211e-2, (156, 6) = -0.8223848033365505e-4, (156, 7) = 0.10388758640877828e-3, (157, 1) = -0.3504301864036683e-2, (157, 2) = 0.1449187393779194e-2, (157, 3) = .9814488571872236, (157, 4) = 0.21670252329442523e-1, (157, 5) = -0.4283605697341341e-2, (157, 6) = -0.7581312014106669e-4, (157, 7) = 0.9597452136763151e-4, (158, 1) = -0.34129493089673224e-2, (158, 2) = 0.14093514910030092e-2, (158, 3) = .9828253219279554, (158, 4) = 0.21399097573883887e-1, (158, 5) = -0.4200919799199968e-2, (158, 6) = -0.6991415932376671e-4, (158, 7) = 0.8869203721112217e-4, (159, 1) = -0.33271103446682673e-2, (159, 2) = 0.13719539824332608e-2, (159, 3) = .9841383236747088, (159, 4) = 0.21142196023966428e-1, (159, 5) = -0.4122824677830502e-2, (159, 6) = -0.6464305200947549e-4, (159, 7) = 0.8216929414664662e-4, (160, 1) = -0.3246888216871749e-2, (160, 2) = 0.13370335160016358e-2, (160, 3) = .985383387995297, (160, 4) = 0.209001807532975e-1, (160, 5) = -0.4049476099124505e-2, (160, 6) = -0.5995056210962825e-4, (160, 7) = 0.7634950158779991e-4, (161, 1) = -0.31717820489926096e-2, (161, 2) = 0.13043663241526988e-2, (161, 3) = .9865655002073301, (161, 4) = 0.2067184982425839e-1, (161, 5) = -0.3980475008201402e-2, (161, 6) = -0.5575831327685825e-4, (161, 7) = 0.7113901558701944e-4, (162, 1) = -0.3101283157089607e-2, (162, 2) = 0.12737262794573984e-2, (162, 3) = .9876901928502866, (162, 4) = 0.20455929268952944e-1, (162, 5) = -0.3915405955558736e-2, (162, 6) = -0.51996993884276855e-4, (162, 7) = 0.6645462049558117e-4, (163, 1) = -0.3034948752530318e-2, (163, 2) = 0.12449168007795967e-2, (163, 3) = .9887623477334817, (163, 4) = 0.2025130191646246e-1, (163, 5) = -0.38539057244155925e-2, (163, 6) = -0.4860889607355352e-4, (163, 7) = 0.6222686084568878e-4, (164, 1) = -0.29723938930752585e-2, (164, 2) = 0.12177671724348386e-2, (164, 3) = .9897862525363109, (164, 4) = 0.20056990944072855e-1, (164, 5) = -0.37956574648679202e-2, (164, 6) = -0.45545777125153235e-4, (164, 7) = 0.58397541801037944e-4, (165, 1) = -0.29132816972746683e-2, (165, 2) = 0.11921281484142164e-2, (165, 3) = .9907656989607102, (165, 4) = 0.19872136498653162e-1, (165, 5) = -0.3740382918721448e-2, (165, 6) = -0.427670184725108e-4, (165, 7) = 0.5491755877317205e-4, (166, 1) = -0.28573153562169145e-2, (166, 2) = 0.11678683701705991e-2, (166, 3) = .9917040645449797, (166, 4) = 0.1969597641041645e-1, (166, 5) = -0.3687836034699237e-2, (166, 6) = -0.4023818885023187e-4, (166, 7) = 0.51745199342617154e-4, (167, 1) = -0.28042322593080844e-2, (167, 2) = 0.1144871726603264e-2, (167, 3) = .9926043695551816, (167, 4) = 0.19527832369525187e-1, (167, 5) = -0.36377983421639662e-2, (167, 6) = -0.37929943037897354e-4, (167, 7) = 0.488448409496686e-4, (168, 1) = -0.2753799130211681e-2, (168, 2) = 0.1123035170937828e-2, (168, 3) = .9934693246139872, (168, 4) = 0.19367098410542075e-1, (168, 5) = -0.3590075107388287e-2, (168, 6) = -0.358171430611698e-4, (168, 7) = 0.4618590926945546e-4, (169, 1) = -0.27058079781715864e-2, (169, 2) = 0.11022669058035406e-2, (169, 3) = .9943013707458818, (169, 4) = 0.19213231273768283e-1, (169, 5) = -0.3544492124080056e-2, (169, 6) = -0.3387815201610202e-4, (169, 7) = 0.4374203936585028e-4, (170, 1) = -0.26600725198970194e-2, (170, 2) = 0.10824847840107225e-2, (170, 3) = .9951027165532491, (170, 4) = 0.19065741682178818e-1, (170, 5) = -0.35008928380502657e-2, (170, 6) = -0.3209425552245678e-4, (170, 7) = 0.41490386487098785e-4, (171, 1) = -0.26164251077657906e-2, (171, 2) = 0.10636149381462077e-2, (171, 3) = .995875371044721, (171, 4) = 0.18924186748013903e-1, (171, 5) = -0.3459135858949456e-2, (171, 6) = -0.30449189658006313e-4, (171, 7) = 0.3941106244803707e-4, (172, 1) = -0.25747154845888296e-2, (172, 2) = 0.10455912073515348e-2, (172, 3) = .9966211475552713, (172, 4) = 0.18788167920810266e-1, (172, 5) = -0.34190941466821535e-2, (172, 6) = -0.2892880415481513e-4, (172, 7) = 0.3748673617539756e-4, (173, 1) = -0.2534807981217631e-2, (173, 2) = 0.10283538966235138e-2, (173, 3) = .9973416977524165, (173, 4) = 0.18657323601527533e-1, (173, 5) = -0.33806526539177733e-2, (173, 6) = -0.2752071779279574e-4, (173, 7) = 0.35702219193114476e-4, (174, 1) = -0.24965796986488663e-2, (174, 2) = 0.10118489671315971e-2, (174, 3) = .9980385309827882, (174, 4) = 0.18531324646632825e-1, (174, 5) = -0.3343706853010833e-2, (174, 6) = -0.26214056372779796e-4, (174, 7) = 0.3404415118123037e-4, (175, 1) = -0.24599190164938103e-2, (175, 2) = 0.9960273716355223e-3, (175, 3) = .9987130298125714, (175, 4) = 0.18409870712982543e-1, (175, 5) = -0.3308161533747031e-2, (175, 6) = -0.24999237164889492e-4, (175, 7) = 0.3250074101975441e-4, (176, 1) = -0.2424724307108064e-2, (176, 2) = 0.9808444820542108e-3, (176, 3) = .999366463543249, (176, 4) = 0.18292687091506932e-1, (176, 5) = -0.32739297639363773e-2, (176, 6) = -0.2386778854087962e-4, (176, 7) = 0.31061549736597884e-4, (177, 1) = -0.23909028232950774e-2, (177, 2) = 0.9662595947245867e-3, (177, 3) = 1.0, (177, 4) = 0.18179521955803843e-1, (177, 5) = -0.32409319878966333e-2, (177, 6) = -0.22812198384621496e-4, (177, 7) = 0.29717307791158036e-4}, datatype = float[8], order = C_order); errproc := proc (x_bvp) local outpoint, X, Y, yout, L, V, i; option `Copyright (c) 2000 by Waterloo Maple Inc. All rights reserved.`; Digits := 15; outpoint := evalf(x_bvp); X := Vector(177, {(1) = .1, (2) = .13432431415631105, (3) = .16865165190091197, (4) = .202985958039896, (5) = .23732533659105348, (6) = .2716788241585104, (7) = .30604559361419775, (8) = .3404355394485909, (9) = .3748529011933503, (10) = .4093061022796795, (11) = .44380716982563195, (12) = .47836387534050584, (13) = .512995852912669, (14) = .5477165596092971, (15) = .5825440749488203, (16) = .617499631782922, (17) = .6526070635536141, (18) = .6878927128084736, (19) = .7233862578282453, (20) = .7591205797331673, (21) = .795131110399485, (22) = .8314537516454595, (23) = .868136597156794, (24) = .9052215072936881, (25) = .9427566773054169, (26) = .9807963691446203, (27) = 1.019390250121844, (28) = 1.0585930956320206, (29) = 1.0984604169171555, (30) = 1.1390444870104077, (31) = 1.1804077038174698, (32) = 1.222605314046431, (33) = 1.2656867522025514, (34) = 1.3097007904581703, (35) = 1.35469069615675, (36) = 1.4006929822839422, (37) = 1.447731690331962, (38) = 1.4958369065409785, (39) = 1.5450201198096045, (40) = 1.5952810827286137, (41) = 1.646612127195734, (42) = 1.6989954066809312, (43) = 1.7524040840585657, (44) = 1.806801993976599, (45) = 1.862146412251251, (46) = 1.9183893448840852, (47) = 1.9754805768192913, (48) = 2.0333655491409464, (49) = 2.09198758848087, (50) = 2.1512911903998386, (51) = 2.2112299885365556, (52) = 2.271742934464316, (53) = 2.3327750130678835, (54) = 2.3942834797609645, (55) = 2.4562254559367735, (56) = 2.518550408638634, (57) = 2.5812184684337374, (58) = 2.6441937416859225, (59) = 2.7074501856327, (60) = 2.770954649679994, (61) = 2.8346761833615464, (62) = 2.898592678498704, (63) = 2.962688121088583, (64) = 3.0269416312716424, (65) = 3.091328430651392, (66) = 3.155836619851239, (67) = 3.220454275768738, (68) = 3.285168541451302, (69) = 3.3499654130373253, (70) = 3.414829585389634, (71) = 3.4797579848516915, (72) = 3.5447435602802027, (73) = 3.609779652754643, (74) = 3.674861152412504, (75) = 3.7399848957435275, (76) = 3.8051508297379377, (77) = 3.8703655596105624, (78) = 3.935652421384301, (79) = 4.001077560861665, (80) = 4.0666510045970385, (81) = 4.132314229225371, (82) = 4.198000337516065, (83) = 4.263680764101562, (84) = 4.329336756026789, (85) = 4.394973340046662, (86) = 4.460588954073379, (87) = 4.526181509768576, (88) = 4.59174993915436, (89) = 4.6572937466339175, (90) = 4.722812832368339, (91) = 4.788307377913861, (92) = 4.853777459964835, (93) = 4.9192172921590585, (94) = 4.98463029125814, (95) = 5.0500209149724435, (96) = 5.115387283230868, (97) = 5.180725066182968, (98) = 5.246040278527776, (99) = 5.3113174587944965, (100) = 5.376570973389221, (101) = 5.44180368691663, (102) = 5.5070118178761875, (103) = 5.572199562571729, (104) = 5.637373294661837, (105) = 5.702517813103393, (106) = 5.767639827784657, (107) = 5.832736032997183, (108) = 5.897804505036399, (109) = 5.962849913789289, (110) = 6.0278771161534, (111) = 6.092882596362824, (112) = 6.157876605520855, (113) = 6.222850932401667, (114) = 6.287802017103068, (115) = 6.352734006431941, (116) = 6.4176483673997975, (117) = 6.482540451739694, (118) = 6.547416149850125, (119) = 6.6122680542862025, (120) = 6.677102130347337, (121) = 6.7419211005546, (122) = 6.8067248666742355, (123) = 6.871509114964304, (124) = 6.936266375612976, (125) = 7.0010059228545805, (126) = 7.065728682384006, (127) = 7.130434804847329, (128) = 7.195124539737002, (129) = 7.259798136520217, (130) = 7.324455844038698, (131) = 7.3890979060419335, (132) = 7.453724561298953, (133) = 7.518336044173569, (134) = 7.582932585751136, (135) = 7.647514413049672, (136) = 7.712081750883993, (137) = 7.776634831889643, (138) = 7.841173896857807, (139) = 7.905699203490006, (140) = 7.970211023056725, (141) = 8.034709635791245, (142) = 8.099195318161058, (143) = 8.163668350318732, (144) = 8.22812902562451, (145) = 8.292577648267015, (146) = 8.357014533032183, (147) = 8.42144000370015, (148) = 8.485854390888106, (149) = 8.550258023403897, (150) = 8.6146512403873, (151) = 8.679034390131827, (152) = 8.74340782797264, (153) = 8.807771917708358, (154) = 8.872127033100252, (155) = 8.93647355737236, (156) = 9.000811876240148, (157) = 9.065142395655199, (158) = 9.129062231749659, (159) = 9.190791738971976, (160) = 9.25002177586793, (161) = 9.306893224933363, (162) = 9.361586616509348, (163) = 9.414263699827062, (164) = 9.46506800130928, (165) = 9.514127801690371, (166) = 9.561558693204324, (167) = 9.60746518855213, (168) = 9.651942086110576, (169) = 9.695075631414408, (170) = 9.73694468456052, (171) = 9.777621794577053, (172) = 9.817172850818734, (173) = 9.855658388735026, (174) = 9.893134209297964, (175) = 9.929651857051025, (176) = 9.965259040121957, (177) = 10.0}, datatype = float[8], order = C_order); Y := Matrix(177, 7, {(1, 1) = .0, (1, 2) = -0.25133563359422095e-9, (1, 3) = .0, (1, 4) = .0, (1, 5) = 0.10748780804799623e-8, (1, 6) = .0, (1, 7) = -0.12934292747785471e-8, (2, 1) = -0.4822236359734921e-9, (2, 2) = 0.1291751262338101e-8, (2, 3) = 0.2499789735445234e-10, (2, 4) = 0.5322412113500357e-9, (2, 5) = -0.955358623267235e-9, (2, 6) = -0.38176982978996947e-9, (2, 7) = 0.1265038035903761e-9, (3, 1) = -0.4735204664889531e-9, (3, 2) = 0.9491466074483928e-9, (3, 3) = 0.4690091191230549e-10, (3, 4) = 0.5390956681805285e-9, (3, 5) = -0.7348597717138394e-9, (3, 6) = -0.40462997460214207e-9, (3, 7) = 0.7799800614856019e-10, (4, 1) = -0.4441257733459236e-9, (4, 2) = 0.7306037721941427e-9, (4, 3) = 0.6619035958041333e-10, (4, 4) = 0.5179121302450025e-9, (4, 5) = -0.570792194199048e-9, (4, 6) = -0.4041232372754603e-9, (4, 7) = 0.46984083322823474e-10, (5, 1) = -0.4191825922957931e-9, (5, 2) = 0.5972268762890003e-9, (5, 3) = 0.8413990150978722e-10, (5, 4) = 0.4985304486898765e-9, (5, 5) = -0.4702779357079129e-9, (5, 6) = -0.4019082568446425e-9, (5, 7) = 0.4082047310759462e-10, (6, 1) = -0.3986834175702839e-9, (6, 2) = 0.5078126984926554e-9, (6, 3) = 0.10125193344200593e-9, (6, 4) = 0.4822548440970703e-9, (6, 5) = -0.4037856571615858e-9, (6, 6) = -0.3997114276374773e-9, (6, 7) = 0.44757214339682084e-10, (7, 1) = -0.3813655097444669e-9, (7, 2) = 0.44322817506744626e-9, (7, 3) = 0.1177488502857477e-9, (7, 4) = 0.4683243907117529e-9, (7, 5) = -0.35642964265749337e-9, (7, 6) = -0.39751044675552513e-9, (7, 7) = 0.52360437146100357e-10, (8, 1) = -0.36633339855577963e-9, (8, 2) = 0.39403541257141004e-9, (8, 3) = 0.13375396569863634e-9, (8, 4) = 0.4560893201559204e-9, (8, 5) = -0.32077279352188766e-9, (8, 6) = -0.3951844650021857e-9, (8, 7) = 0.6104103873575669e-10, (9, 1) = -0.3530110444986799e-9, (9, 2) = 0.3551251388394599e-9, (9, 3) = 0.14934196109816663e-9, (9, 4) = 0.4451182466955199e-9, (9, 5) = -0.2928117915068498e-9, (9, 6) = -0.3926669510728056e-9, (9, 7) = 0.6973390343747467e-10, (10, 1) = -0.34102088912595253e-9, (10, 2) = 0.3234631262334646e-9, (10, 3) = 0.16456602449853078e-9, (10, 4) = 0.4351229121500295e-9, (10, 5) = -0.27020202072419514e-9, (10, 6) = -0.38992802616804567e-9, (10, 7) = 0.7800637668800004e-10, (11, 1) = -0.33009810558916964e-9, (11, 2) = 0.29712810504566086e-9, (11, 3) = 0.1794671206264596e-9, (11, 4) = 0.42590380686280173e-9, (11, 5) = -0.25147578918457037e-9, (11, 6) = -0.38695966267997214e-9, (11, 7) = 0.8569539295634197e-10, (12, 1) = -0.32005141372407416e-9, (12, 2) = 0.2748390161414916e-9, (12, 3) = 0.19407559035522606e-9, (12, 4) = 0.4173192828796213e-9, (12, 5) = -0.23566948004497193e-9, (12, 6) = -0.38376658741537674e-9, (12, 7) = 0.9275123416959122e-10, (13, 1) = -0.3107415781995943e-9, (13, 2) = 0.25569566715949626e-9, (13, 3) = 0.20842107524399382e-9, (13, 4) = 0.4092616740027893e-9, (13, 5) = -0.2221146462535113e-9, (13, 6) = -0.3803576532325859e-9, (13, 7) = 0.9918763909766301e-10, (14, 1) = -0.3020547486931774e-9, (14, 2) = 0.23905632169492564e-9, (14, 3) = 0.22252653396896042e-9, (14, 4) = 0.40165000386117793e-9, (14, 5) = -0.21033646928053961e-9, (14, 6) = -0.3767450629818431e-9, (14, 7) = 0.1050316206286602e-9, (15, 1) = -0.2939050674611193e-9, (15, 2) = 0.2244410956663784e-9, (15, 3) = 0.2364129701052877e-9, (15, 4) = 0.39442041537530405e-9, (15, 5) = -0.1999871871687752e-9, (15, 6) = -0.3729413746558997e-9, (15, 7) = 0.11032191552202252e-9, (16, 1) = -0.286222106757177e-9, (16, 2) = 0.21148559484473567e-9, (16, 3) = 0.2501005847357134e-9, (16, 4) = 0.38752041128926003e-9, (16, 5) = -0.19080406100056436e-9, (16, 6) = -0.36895830719220893e-9, (16, 7) = 0.11509985495828057e-9, (17, 1) = -0.27894813473489e-9, (17, 2) = 0.19990993266642248e-9, (17, 3) = 0.2636080867768676e-9, (17, 4) = 0.38090785767399594e-9, (17, 5) = -0.18258498829123314e-9, (17, 6) = -0.3648063902168073e-9, (17, 7) = 0.11940455739879428e-9, (18, 1) = -0.27203377299844357e-9, (18, 2) = 0.18949251113976552e-9, (18, 3) = 0.2769531503258719e-9, (18, 4) = 0.37454645571624524e-9, (18, 5) = -0.17517235332104338e-9, (18, 6) = -0.36049503213976123e-9, (18, 7) = 0.12327029378294546e-9, (19, 1) = -0.2654380018357667e-9, (19, 2) = 0.18005609524436158e-9, (19, 3) = 0.29015352124528096e-9, (19, 4) = 0.36840588937618217e-9, (19, 5) = -0.1684404255060993e-9, (19, 6) = -0.35603302336135194e-9, (19, 7) = 0.12672994380140462e-9, (20, 1) = -0.2591249207945148e-9, (20, 2) = 0.17145908392284244e-9, (20, 3) = 0.3032258092511636e-9, (20, 4) = 0.3624596527318036e-9, (20, 5) = -0.16228840536977783e-9, (20, 6) = -0.3514279783195208e-9, (20, 7) = 0.1298127371652538e-9, (21, 1) = -0.25306422276752354e-9, (21, 2) = 0.16358246686013007e-9, (21, 3) = 0.31618709867295386e-9, (21, 4) = 0.3566852140556996e-9, (21, 5) = -0.15663281162411897e-9, (21, 6) = -0.3466852074439036e-9, (21, 7) = 0.13254460203844536e-9, (22, 1) = -0.24722947014827626e-9, (22, 2) = 0.15633237994447384e-9, (22, 3) = 0.32905279765740313e-9, (22, 4) = 0.35106197738678446e-9, (22, 5) = -0.15140702081415211e-9, (22, 6) = -0.34181104869694363e-9, (22, 7) = 0.1349481998052051e-9, (23, 1) = -0.24159525855122816e-9, (23, 2) = 0.14962663284565797e-9, (23, 3) = 0.34184129986409534e-9, (23, 4) = 0.3455710901981431e-9, (23, 5) = -0.1465545388780879e-9, (23, 6) = -0.33680799761451423e-9, (23, 7) = 0.13704217031147442e-9, (24, 1) = -0.23614219852260766e-9, (24, 2) = 0.14339762247954253e-9, (24, 3) = 0.35456787888180087e-9, (24, 4) = 0.3401969862063632e-9, (24, 5) = -0.14202679880817453e-9, (24, 6) = -0.33167891838231315e-9, (24, 7) = 0.13884542358546385e-9, (25, 1) = -0.23085059138136459e-9, (25, 2) = 0.13758834302914604e-9, (25, 3) = 0.36724842673314724e-9, (25, 4) = 0.3349243442395313e-9, (25, 5) = -0.13778527402894338e-9, (25, 6) = -0.3264271673931953e-9, (25, 7) = 0.14037251215241305e-9, (26, 1) = -0.22570373952624887e-9, (26, 2) = 0.13214994434323748e-9, (26, 3) = 0.3798999867538572e-9, (26, 4) = 0.3297396272364163e-9, (26, 5) = -0.13379429370372647e-9, (26, 6) = -0.3210523981912681e-9, (26, 7) = 0.14163621638420803e-9, (27, 1) = -0.22068712704508097e-9, (27, 2) = 0.1270412908532785e-9, (27, 3) = 0.39253681082283613e-9, (27, 4) = 0.3246307708269583e-9, (27, 5) = -0.13002582884620115e-9, (27, 6) = -0.31555624453007013e-9, (27, 7) = 0.14264832087492047e-9, (28, 1) = -0.21578731325972487e-9, (28, 2) = 0.12222712607848792e-9, (28, 3) = 0.4051735785720333e-9, (28, 4) = 0.319586871397829e-9, (28, 5) = -0.12645492465037684e-9, (28, 6) = -0.3099389237474639e-9, (28, 7) = 0.14341746981326065e-9, (29, 1) = -0.21099190569243325e-9, (29, 2) = 0.11767622332477985e-9, (29, 3) = 0.41782413871370106e-9, (29, 4) = 0.31459713589030673e-9, (29, 5) = -0.12306017230164548e-9, (29, 6) = -0.30420122651924197e-9, (29, 7) = 0.14395168130955385e-9, (30, 1) = -0.2062913796265655e-9, (30, 2) = 0.11336297440012964e-9, (30, 3) = 0.4305002727590064e-9, (30, 4) = 0.30965368144992986e-9, (30, 5) = -0.1198224199722497e-9, (30, 6) = -0.29834324841155765e-9, (30, 7) = 0.14425820561328524e-9, (31, 1) = -0.20167543145855411e-9, (31, 2) = 0.10926367675168289e-9, (31, 3) = 0.4432157990459678e-9, (31, 4) = 0.30474753102929854e-9, (31, 5) = -0.11672648830301723e-9, (31, 6) = -0.29236553478707224e-9, (31, 7) = 0.14434264568809095e-9, (32, 1) = -0.19713587803636631e-9, (32, 2) = 0.10535849256830875e-9, (32, 3) = 0.4559811480098555e-9, (32, 4) = 0.29987149994194555e-9, (32, 5) = -0.11375748988966459e-9, (32, 6) = -0.28626765172624023e-9, (32, 7) = 0.14420916355947746e-9, (33, 1) = -0.19266703741622537e-9, (33, 2) = 0.10163152267693176e-9, (33, 3) = 0.468804140242033e-9, (33, 4) = 0.29501949561639447e-9, (33, 5) = -0.11090365983769633e-9, (33, 6) = -0.28005288243174855e-9, (33, 7) = 0.1438623405988644e-9, (34, 1) = -0.18826236971018196e-9, (34, 2) = 0.9806744012823473e-10, (34, 3) = 0.4816914686457909e-9, (34, 4) = 0.29018599683608335e-9, (34, 5) = -0.1081551639622339e-9, (34, 6) = -0.27372319868693324e-9, (34, 7) = 0.14330559065581606e-9, (35, 1) = -0.18391739026145476e-9, (35, 2) = 0.9465420057864679e-10, (35, 3) = 0.4946471147612365e-9, (35, 4) = 0.28536790964775523e-9, (35, 5) = -0.10550312893821894e-9, (35, 6) = -0.26728271148470323e-9, (35, 7) = 0.14254283649475636e-9, (36, 1) = -0.1796290326417921e-9, (36, 2) = 0.9138103278655448e-10, (36, 3) = 0.5076726524594222e-9, (36, 4) = 0.28056195093997926e-9, (36, 5) = -0.1029400324744031e-9, (36, 6) = -0.26073698096959233e-9, (36, 7) = 0.14157756810199448e-9, (37, 1) = -0.17539547636232187e-9, (37, 2) = 0.8823883513563119e-10, (37, 3) = 0.5207659528703415e-9, (37, 4) = 0.2757676995363159e-9, (37, 5) = -0.10045975867444299e-9, (37, 6) = -0.2540932633148623e-9, (37, 7) = 0.14041329069777054e-9, (38, 1) = -0.1712145116362773e-9, (38, 2) = 0.8521968079420024e-10, (38, 3) = 0.5339253806526229e-9, (38, 4) = 0.2709816307404778e-9, (38, 5) = -0.9805638569026587e-10, (38, 6) = -0.2473594483835658e-9, (38, 7) = 0.1390550150747939e-9, (39, 1) = -0.16708614348926574e-9, (39, 2) = 0.8231706552060182e-10, (39, 3) = 0.547144299171384e-9, (39, 4) = 0.2662056438391908e-9, (39, 5) = -0.9572565144131231e-10, (39, 6) = -0.2405458208104288e-9, (39, 7) = 0.1375077751873039e-9, (40, 1) = -0.16301069952118687e-9, (40, 2) = 0.7952499135640627e-10, (40, 3) = 0.5604133509423026e-9, (40, 4) = 0.26144129521059254e-9, (40, 5) = -0.9346372481169876e-10, (40, 6) = -0.23366459995648096e-9, (40, 7) = 0.13577717678093516e-9, (41, 1) = -0.158989817473586e-9, (41, 2) = 0.7683928985529501e-10, (41, 3) = 0.5737201578239992e-9, (41, 4) = 0.2566900700893248e-9, (41, 5) = -0.9126758012947667e-10, (41, 6) = -0.22672984593116725e-9, (41, 7) = 0.13387053757566127e-9, (42, 1) = -0.15502483153316906e-9, (42, 2) = 0.7425508875677405e-10, (42, 3) = 0.5870514200556596e-9, (42, 4) = 0.251955080921043e-9, (42, 5) = -0.8913398787267396e-10, (42, 6) = -0.21975677997761107e-9, (42, 7) = 0.13179665822801967e-9, (43, 1) = -0.15111813361978065e-9, (43, 2) = 0.717689508221198e-10, (43, 3) = 0.6003915161923434e-9, (43, 4) = 0.24724066175948746e-9, (43, 5) = -0.8706173466119875e-10, (43, 6) = -0.21276123072080293e-9, (43, 7) = 0.12956460370331698e-9, (44, 1) = -0.1472719831472899e-9, (44, 2) = 0.6937737858129648e-10, (44, 3) = 0.61372174261653e-9, (44, 4) = 0.24255055440537196e-9, (44, 5) = -0.850482954542035e-10, (44, 6) = -0.20576167792240652e-9, (44, 7) = 0.12718475337204908e-9, (45, 1) = -0.14348909059030847e-9, (45, 2) = 0.6707735490401772e-10, (45, 3) = 0.6270251558459976e-9, (45, 4) = 0.2378876535417994e-9, (45, 5) = -0.8309171565579169e-10, (45, 6) = -0.19877510496972733e-9, (45, 7) = 0.1246691074748796e-9, (46, 1) = -0.13977224131761695e-9, (46, 2) = 0.6486578381007288e-10, (46, 3) = 0.6402834574063305e-9, (46, 4) = 0.2332605542006165e-9, (46, 5) = -0.8119095085305585e-10, (46, 6) = -0.19181963160364122e-9, (46, 7) = 0.12202970885015615e-9, (47, 1) = -0.13612333265013527e-9, (47, 2) = 0.6273962017101276e-10, (47, 3) = 0.6534782659660732e-9, (47, 4) = 0.22866963665007658e-9, (47, 5) = -0.7934397968198933e-10, (47, 6) = -0.1849128525694979e-9, (47, 7) = 0.11927937650694392e-9, (48, 1) = -0.1325449414570179e-9, (48, 2) = 0.6069601337261652e-10, (48, 3) = 0.6665913117637493e-9, (48, 4) = 0.2241217307746333e-9, (48, 5) = -0.7754946037125802e-10, (48, 6) = -0.17807170048392828e-9, (48, 7) = 0.1164320231963305e-9, (49, 1) = -0.12903865819132066e-9, (49, 2) = 0.5873213259749112e-10, (49, 3) = 0.679606416918663e-9, (49, 4) = 0.21961882325135148e-9, (49, 5) = -0.7580608918744382e-10, (49, 6) = -0.17131288007210077e-9, (49, 7) = 0.11350119171360047e-9, (50, 1) = -0.1256061461749483e-9, (50, 2) = 0.5684506778857276e-10, (50, 3) = 0.692506613829254e-9, (50, 4) = 0.21516617749880193e-9, (50, 5) = -0.7411254642559951e-10, (50, 6) = -0.16465125381821867e-9, (50, 7) = 0.11050012580587676e-9, (51, 1) = -0.12224816114420096e-9, (51, 2) = 0.5503152690500283e-10, (51, 3) = 0.7052806320244042e-9, (51, 4) = 0.21076596885217913e-9, (51, 5) = -0.7246680269519579e-10, (51, 6) = -0.15809991937359541e-9, (51, 7) = 0.10744258215702968e-9, (52, 1) = -0.1189655926860609e-9, (52, 2) = 0.53289087268733294e-10, (52, 3) = 0.7179103764981454e-9, (52, 4) = 0.20642326263827707e-9, (52, 5) = -0.7086755493948269e-10, (52, 6) = -0.15167200258860118e-9, (52, 7) = 0.10434186442026731e-9, (53, 1) = -0.11575985059547016e-9, (53, 2) = 0.516148211081032e-10, (53, 3) = 0.7303863430846644e-9, (53, 4) = 0.20213900611511557e-9, (53, 5) = -0.6931374569883764e-10, (53, 6) = -0.14537942014199397e-9, (53, 7) = 0.10121113477442049e-9, (54, 1) = -0.11263007044960751e-9, (54, 2) = 0.50005730903456676e-10, (54, 3) = 0.7426967671036052e-9, (54, 4) = 0.1979160900085421e-9, (54, 5) = -0.6780348622521023e-10, (54, 6) = -0.13923111798488457e-9, (54, 7) = 0.980620068570324e-10, (55, 1) = -0.1095761940909322e-9, (55, 2) = 0.4845909087022527e-10, (55, 3) = 0.7548353635824616e-9, (55, 4) = 0.19375595267806383e-9, (55, 5) = -0.6633522100935265e-10, (55, 6) = -0.13323534944445024e-9, (55, 7) = 0.9490596285123504e-10, (56, 1) = -0.1065984504918604e-9, (56, 2) = 0.4697226690721809e-10, (56, 3) = 0.7667902304253112e-9, (56, 4) = 0.18965950044270478e-9, (56, 5) = -0.6490771086386615e-10, (56, 6) = -0.1273994576673779e-9, (56, 7) = 0.9175404401695437e-10, (57, 1) = -0.10369595595090755e-9, (57, 2) = 0.45542696012926026e-10, (57, 3) = 0.778556793025425e-9, (57, 4) = 0.1856312972726619e-9, (57, 5) = -0.6351981357404045e-10, (57, 6) = -0.12172894374870717e-9, (57, 7) = 0.8861618584892101e-10, (58, 1) = -0.1008674248650476e-9, (58, 2) = 0.44167509118960435e-10, (58, 3) = 0.7901282528356496e-9, (58, 4) = 0.1816689005601506e-9, (58, 5) = -0.6216955980948554e-10, (58, 6) = -0.11622820480113498e-9, (58, 7) = 0.8550149102221199e-10, (59, 1) = -0.9811216105413218e-10, (59, 2) = 0.4284446467824523e-10, (59, 3) = 0.8015028238903295e-9, (59, 4) = 0.17777286746673866e-9, (59, 5) = -0.6085582711854137e-10, (59, 6) = -0.11089945666474679e-9, (59, 7) = 0.8241775440515545e-10, (60, 1) = -0.954284917777356e-10, (60, 2) = 0.41570814245508714e-10, (60, 3) = 0.8126770292454439e-9, (60, 4) = 0.17394354783946692e-9, (60, 5) = -0.5957709600406618e-10, (60, 6) = -0.10574533301767726e-9, (60, 7) = 0.7937281914298082e-10, (61, 1) = -0.9281564411951234e-10, (61, 2) = 0.4034464547926178e-10, (61, 3) = 0.8236472846736369e-9, (61, 4) = 0.1701833036818964e-9, (61, 5) = -0.5833206612773767e-10, (61, 6) = -0.10076676711512439e-9, (61, 7) = 0.7637315322789134e-10, (62, 1) = -0.9027177347486823e-10, (62, 2) = 0.3916354207986905e-10, (62, 3) = 0.8344124201743041e-9, (62, 4) = 0.16648946902577382e-9, (62, 5) = -0.57119532685498765e-10, (62, 6) = -0.9596390927186278e-10, (62, 7) = 0.7342478496541387e-10, (63, 1) = -0.8779535909357898e-10, (63, 2) = 0.38025284248982297e-10, (63, 3) = 0.8449739575048797e-9, (63, 4) = 0.16286276922895867e-9, (63, 5) = -0.559382759394972e-10, (63, 6) = -0.9133564683145688e-10, (63, 7) = 0.7053216538831238e-10, (64, 1) = -0.85384725616473e-10, (64, 2) = 0.3692798253782136e-10, (64, 3) = 0.8553287704958263e-9, (64, 4) = 0.15930123661278354e-9, (64, 5) = -0.5478695255849285e-10, (64, 6) = -0.8688048760078013e-10, (64, 7) = 0.6769996617461846e-10, (65, 1) = -0.8303858586558454e-10, (65, 2) = 0.3586972810555899e-10, (65, 3) = 0.8654792625877007e-9, (65, 4) = 0.15580572742598036e-9, (65, 5) = -0.5366459334902178e-10, (65, 6) = -0.8259732044904485e-10, (65, 7) = 0.6493223337250637e-10, (66, 1) = -0.807553665752725e-10, (66, 2) = 0.3484874891749666e-10, (66, 3) = 0.8754229593508381e-9, (66, 4) = 0.15237695927329908e-9, (66, 5) = -0.5257035145612129e-10, (66, 6) = -0.7848320040395083e-10, (66, 7) = 0.6223187771979038e-10, (67, 1) = -0.7853315297348665e-10, (67, 2) = 0.3386329237172156e-10, (67, 3) = 0.885165445866046e-9, (67, 4) = 0.1490103257593343e-9, (67, 5) = -0.5150279117922608e-10, (67, 6) = -0.7453518587140608e-10, (67, 7) = 0.5960130904556973e-10, (68, 1) = -0.7637040944820784e-10, (68, 2) = 0.32911598715581086e-10, (68, 3) = 0.8947061739850112e-9, (68, 4) = 0.14570759006284784e-9, (68, 5) = -0.504611198616976e-10, (68, 6) = -0.7075006164056328e-10, (68, 7) = 0.5704255975961135e-10, (69, 1) = -0.7426549605081863e-10, (69, 2) = 0.3199235797200081e-10, (69, 3) = 0.904048186545148e-9, (69, 4) = 0.1424684240627569e-9, (69, 5) = -0.4944443684085938e-10, (69, 6) = -0.6712419841427728e-10, (69, 7) = 0.54557366207916695e-10, (70, 1) = -0.7221736654632416e-10, (70, 2) = 0.3110410103296062e-10, (70, 3) = 0.9131882538741332e-9, (70, 4) = 0.13929036342156035e-9, (70, 5) = -0.4845189373502177e-10, (70, 6) = -0.6365420342795148e-10, (70, 7) = 0.52146975427501514e-10, (71, 1) = -0.7022398200997068e-10, (71, 2) = 0.3024543577941304e-10, (71, 3) = 0.9221360415260171e-9, (71, 4) = 0.1361737081764052e-9, (71, 5) = -0.47482600051318345e-10, (71, 6) = -0.6033547561400346e-10, (71, 7) = 0.49811942430394064e-10, (72, 1) = -0.6828362500748702e-10, (72, 2) = 0.2941489991841159e-10, (72, 3) = 0.930888601393734e-9, (72, 4) = 0.1331159476612379e-9, (72, 5) = -0.4653580535043946e-10, (72, 6) = -0.5716398926445834e-10, (72, 7) = 0.475524649852525e-10, (73, 1) = -0.6639510603152035e-10, (73, 2) = 0.286115228092632e-10, (73, 3) = 0.9394523079129564e-9, (73, 4) = 0.13011733075793917e-9, (73, 5) = -0.4561077481881523e-10, (73, 6) = -0.54135115189872115e-10, (73, 7) = 0.4536866881070352e-10, (74, 1) = -0.645568753974836e-10, (74, 2) = 0.2783391240528995e-10, (74, 3) = 0.9478299584253005e-9, (74, 4) = 0.12717630383541154e-9, (74, 5) = -0.4470657527840883e-10, (74, 6) = -0.5124454519891209e-10, (74, 7) = 0.4326026143353661e-10, (75, 1) = -0.6276724784350272e-10, (75, 2) = 0.27081107173027596e-10, (75, 3) = 0.956021311487774e-9, (75, 4) = 0.1242898751621955e-9, (75, 5) = -0.43822448468142216e-10, (75, 6) = -0.4848759364943523e-10, (75, 7) = 0.41226529155491094e-10, (76, 1) = -0.6102491550561366e-10, (76, 2) = 0.26351883619454057e-10, (76, 3) = 0.9640326746315502e-9, (76, 4) = 0.121460477587425e-9, (76, 5) = -0.4295805432634064e-10, (76, 6) = -0.4585957834722676e-10, (76, 7) = 0.39266766672733285e-10, (77, 1) = -0.5932805568253786e-10, (77, 2) = 0.25645207179705036e-10, (77, 3) = 0.971865921545455e-9, (77, 4) = 0.11868506629827273e-9, (77, 5) = -0.4211247126952791e-10, (77, 6) = -0.43355676647937267e-10, (77, 7) = 0.37379698125788404e-10, (78, 1) = -0.5767472162072739e-10, (78, 2) = 0.24960016150123966e-10, (78, 3) = 0.979527272820239e-9, (78, 4) = 0.11596023227128644e-9, (78, 5) = -0.4128474523380456e-10, (78, 6) = -0.4097042064765802e-10, (78, 7) = 0.35563538933466515e-10, (79, 1) = -0.56062278773629755e-10, (79, 2) = 0.24294558885869108e-10, (79, 3) = 0.9870304765706218e-9, (79, 4) = 0.1132842332370745e-9, (79, 5) = -0.4047347361338713e-10, (79, 6) = -0.3869723877794528e-10, (79, 7) = 0.3381536009462095e-10, (80, 1) = -0.5448940782255379e-10, (80, 2) = 0.23648210403970446e-10, (80, 3) = 0.994373920621701e-9, (80, 4) = 0.11065398015669131e-9, (80, 5) = -0.39678136755576145e-10, (80, 6) = -0.36531778065328024e-10, (80, 7) = 0.32133775021841036e-10, (81, 1) = -0.52956076563351886e-10, (81, 2) = 0.23020634601627332e-10, (81, 3) = 0.10015578355642333e-8, (81, 4) = 0.10807290223640643e-9, (81, 5) = -0.38898839909173874e-10, (81, 6) = -0.3447214832243887e-10, (81, 7) = 0.3051913043551198e-10, (82, 1) = -0.5146276180186555e-10, (82, 2) = 0.22411874260840103e-10, (82, 3) = 0.10085763899854806e-8, (82, 4) = 0.1055410648564232e-9, (82, 5) = -0.38136245666705616e-10, (82, 6) = -0.32516021075844286e-10, (82, 7) = 0.28971490315933258e-10, (83, 1) = -0.5000912520995857e-10, (83, 2) = 0.21821342830068495e-10, (83, 3) = 0.10154312004191943e-8, (83, 4) = 0.10305955865797805e-9, (83, 5) = -0.37389798155327645e-10, (83, 6) = -0.3065998978540357e-10, (83, 7) = 0.27489757167180907e-10, (84, 1) = -0.4859428466255206e-10, (84, 2) = 0.21248577059062134e-10, (84, 3) = 0.10221196610682969e-8, (84, 4) = 0.1006273316758632e-9, (84, 5) = -0.366593448426289e-10, (84, 6) = -0.28900208991190788e-10, (84, 7) = 0.2607253753742099e-10, (85, 1) = -0.47216941209601755e-10, (85, 2) = 0.2069281771249485e-10, (85, 3) = 0.10286458303596705e-8, (85, 4) = 0.9824302321628248e-10, (85, 5) = -0.3594449952721954e-10, (85, 6) = -0.27232289002638088e-10, (85, 7) = 0.2471776526401278e-10, (86, 1) = -0.4587603850181021e-10, (86, 2) = 0.201534052940794e-10, (86, 3) = 0.10350205574204247e-8, (86, 4) = 0.9590484830894483e-10, (86, 5) = -0.35244600053546624e-10, (86, 6) = -0.2565211417447784e-10, (86, 7) = 0.23423564263486646e-10, (87, 1) = -0.44570427444179945e-10, (87, 2) = 0.19629813990776138e-10, (87, 3) = 0.10412377532833149e-8, (87, 4) = 0.9361470603911598e-10, (87, 5) = -0.34559475928237606e-10, (87, 6) = -0.2415576255235988e-10, (87, 7) = 0.22188010686861947e-10, (88, 1) = -0.43299205036542566e-10, (88, 2) = 0.19121396301621412e-10, (88, 3) = 0.10473038270512812e-8, (88, 4) = 0.9136975261118352e-10, (88, 5) = -0.33888742228378605e-10, (88, 6) = -0.22739391561818352e-10, (88, 7) = 0.21009171213129243e-10, (89, 1) = -0.4206136621816841e-10, (89, 2) = 0.1862763193300451e-10, (89, 3) = 0.1053220826440606e-8, (89, 4) = 0.8916812971164093e-10, (89, 5) = -0.3323194858271513e-10, (89, 6) = -0.21399256766972228e-10, (89, 7) = 0.19885123465220818e-10, (90, 1) = -0.4085588310966399e-10, (90, 2) = 0.18148024520178687e-10, (90, 3) = 0.10589955041451046e-8, (90, 4) = 0.870102840089945e-10, (90, 5) = -0.32588484240228997e-10, (90, 6) = -0.20131789912960962e-10, (90, 7) = 0.1881389542009739e-10, (91, 1) = -0.3968185166790285e-10, (91, 2) = 0.1768202815418893e-10, (91, 3) = 0.10646265232891785e-8, (91, 4) = 0.8489553195210622e-10, (91, 5) = -0.3195843436574123e-10, (91, 6) = -0.18933463049862498e-10, (91, 7) = 0.17793581660786366e-10, (92, 1) = -0.3853832902129189e-10, (92, 2) = 0.1722922578935513e-10, (92, 3) = 0.10701178713516793e-8, (92, 4) = 0.8282293669401647e-10, (92, 5) = -0.3134115943239919e-10, (92, 6) = -0.17800978202007475e-10, (92, 7) = 0.16822264914732218e-10, (93, 1) = -0.37424669181434964e-10, (93, 2) = 0.16789122412977386e-10, (93, 3) = 0.10754723856152606e-8, (93, 4) = 0.8079060721002729e-10, (93, 5) = -0.30736550226877975e-10, (93, 6) = -0.16731181911091006e-10, (93, 7) = 0.15898179284081475e-10, (94, 1) = -0.3633984344798148e-10, (94, 2) = 0.1636136007680888e-10, (94, 3) = 0.1080694913077139e-8, (94, 4) = 0.7879810368988039e-10, (94, 5) = -0.30144170280229594e-10, (94, 6) = -0.1572093396812334e-10, (94, 7) = 0.15019396209421985e-10, (95, 1) = -0.3528295959502651e-10, (95, 2) = 0.15945431111723886e-10, (95, 3) = 0.10857842746568276e-8, (95, 4) = 0.7684526168038454e-10, (95, 5) = -0.29563770509365825e-10, (95, 6) = -0.1476718725922153e-10, (95, 7) = 0.14184084832010438e-10, (96, 1) = -0.34253341623023184e-10, (96, 2) = 0.15540982368433098e-10, (96, 3) = 0.1090745090008393e-8, (96, 4) = 0.7492994656021819e-10, (96, 5) = -0.28994985820475658e-10, (96, 6) = -0.1386715343683189e-10, (96, 7) = 0.13390505826113743e-10, (97, 1) = -0.3325026905308442e-10, (97, 2) = 0.15147620208866446e-10, (97, 3) = 0.1095581663622364e-8, (97, 4) = 0.7305312971306977e-10, (97, 5) = -0.2843762234102979e-10, (97, 6) = -0.13018130971366204e-10, (97, 7) = 0.12636963284411881e-10, (98, 1) = -0.3227290366515648e-10, (98, 2) = 0.147650429647678e-10, (98, 3) = 0.11002947854437276e-8, (98, 4) = 0.7121225709966904e-10, (98, 5) = -0.27891434655293842e-10, (98, 6) = -0.12217450392363468e-10, (98, 7) = 0.11921702204802202e-10, (99, 1) = -0.3132080420646942e-10, (99, 2) = 0.14392920682890967e-10, (99, 3) = 0.11048831639640239e-8, (99, 4) = 0.6940775972450926e-10, (99, 5) = -0.27356201034967982e-10, (99, 6) = -0.11462781048113319e-10, (99, 7) = 0.1124326590913559e-10, (100, 1) = -0.3039298764179678e-10, (100, 2) = 0.14030857509215677e-10, (100, 3) = 0.1109356892219946e-8, (100, 4) = 0.676397259657339e-10, (100, 5) = -0.26831570391908562e-10, (100, 6) = -0.10751575098641281e-10, (100, 7) = 0.10599889734684021e-10, (101, 1) = -0.29488761953278224e-10, (101, 2) = 0.13678526761319882e-10, (101, 3) = 0.11137144524208188e-8, (101, 4) = 0.6590478075005809e-10, (101, 5) = -0.26317299185941288e-10, (101, 6) = -0.10081506050647998e-10, (101, 7) = 0.999000377791946e-11, (102, 1) = -0.28607607795422616e-10, (102, 2) = 0.133356401806779e-10, (102, 3) = 0.1117958634990215e-8, (102, 4) = 0.6420506271081726e-10, (102, 5) = -0.25813196450715664e-10, (102, 6) = -0.9450437138368041e-11, (102, 7) = 0.941214568419086e-11, (103, 1) = -0.2774875412567413e-10, (103, 2) = 0.13001895950288143e-10, (103, 3) = 0.11220903726978504e-8, (103, 4) = 0.6253786452945416e-10, (103, 5) = -0.25319039475505215e-10, (103, 6) = -0.8856275269538403e-11, (103, 7) = 0.88648554303843e-11, (104, 1) = -0.26911598790166447e-10, (104, 2) = 0.12676995076335476e-10, (104, 3) = 0.11261152671984882e-8, (104, 4) = 0.609021937252899e-10, (104, 5) = -0.24834523744108644e-10, (104, 6) = -0.8296967223918404e-11, (104, 7) = 0.8346651823328133e-11, (105, 1) = -0.2609571741139721e-10, (105, 2) = 0.12360707018358898e-10, (105, 3) = 0.11300290116370514e-8, (105, 4) = 0.5929939405437904e-10, (105, 5) = -0.24359564511586517e-10, (105, 6) = -0.7770759456933992e-11, (105, 7) = 0.7856315718077717e-11, (106, 1) = -0.2530044333188704e-10, (106, 2) = 0.12052784144741168e-10, (106, 3) = 0.11338381262505208e-8, (106, 4) = 0.577274885441457e-10, (106, 5) = -0.23893915026487e-10, (106, 6) = -0.7275804353440743e-11, (106, 7) = 0.7392498157574831e-11, (107, 1) = -0.24525287343846688e-10, (107, 2) = 0.11752990045451255e-10, (107, 3) = 0.11375506925479182e-8, (107, 4) = 0.5618664712627303e-10, (107, 5) = -0.2343740897183187e-10, (107, 6) = -0.68104138779155605e-11, (107, 7) = 0.69539489361209256e-11, (108, 1) = -0.23769756034050658e-10, (108, 2) = 0.11461069140781725e-10, (108, 3) = 0.1141156920036321e-8, (108, 4) = 0.54675506620229015e-10, (108, 5) = -0.22989853517927998e-10, (108, 6) = -0.6372953207665234e-11, (108, 7) = 0.6539460296498955e-11, (109, 1) = -0.23033206946688197e-10, (109, 2) = 0.11176784235420537e-10, (109, 3) = 0.11446648205586631e-8, (109, 4) = 0.53193133369219096e-10, (109, 5) = -0.2255102934510164e-10, (109, 6) = -0.5961851297415071e-11, (109, 7) = 0.6147846949535398e-11, (110, 1) = -0.22315170596435424e-10, (110, 2) = 0.10899899099720045e-10, (110, 3) = 0.11480776804648441e-8, (110, 4) = 0.51741404883626826e-10, (110, 5) = -0.2212079881093947e-10, (110, 6) = -0.55756000900039874e-11, (110, 7) = 0.5777950850708059e-11, (111, 1) = -0.2161510628629133e-10, (111, 2) = 0.10630202497500658e-10, (111, 3) = 0.11513963697465053e-8, (111, 4) = 0.50316084756389076e-10, (111, 5) = -0.2169888691820227e-10, (111, 6) = -0.5212825902031769e-11, (111, 7) = 0.5428717922904024e-11, (112, 1) = -0.2093248308036869e-10, (112, 2) = 0.10367485845143703e-10, (112, 3) = 0.11546195339584729e-8, (112, 4) = 0.489182049004149e-10, (112, 5) = -0.21285088698946967e-10, (112, 6) = -0.4872150788621039e-11, (112, 7) = 0.5099059382295185e-11, (113, 1) = -0.20266939127279472e-10, (113, 2) = 0.10111521783538712e-10, (113, 3) = 0.11577592792912037e-8, (113, 4) = 0.4754807495737071e-10, (113, 5) = -0.20879387496573555e-10, (113, 6) = -0.4552355860741361e-11, (113, 7) = 0.4788042271114969e-11, (114, 1) = -0.19618082071104572e-10, (114, 2) = 0.9862199011411562e-11, (114, 3) = 0.1160804498226923e-8, (114, 4) = 0.462044422773981e-10, (114, 5) = -0.20481586670028085e-10, (114, 6) = -0.4252272644255941e-11, (114, 7) = 0.4494726477485643e-11, (115, 1) = -0.189853664183792e-10, (115, 2) = 0.9619265490819973e-11, (115, 3) = 0.11637594037035251e-8, (115, 4) = 0.4488686014505007e-10, (115, 5) = -0.200914542145842e-10, (115, 6) = -0.3970742061101578e-11, (115, 7) = 0.4218178288334328e-11, (116, 1) = -0.18368425185254865e-10, (116, 2) = 0.9382570898414447e-11, (116, 3) = 0.1166630830350612e-8, (116, 4) = 0.43594040714570804e-10, (116, 5) = -0.19708991959087038e-10, (116, 6) = -0.3706685865404614e-11, (116, 7) = 0.3957541778663131e-11, (117, 1) = -0.17766860290530166e-10, (117, 2) = 0.9151949085797764e-11, (117, 3) = 0.11694183749409405e-8, (117, 4) = 0.4232831823848793e-10, (117, 5) = -0.1933383435015675e-10, (117, 6) = -0.34591076284628657e-11, (117, 7) = 0.3711986676217058e-11, (118, 1) = -0.1718023634060036e-10, (118, 2) = 0.8927196267795554e-11, (118, 3) = 0.11721276821171886e-8, (118, 4) = 0.4108405888124236e-10, (118, 5) = -0.1896600682368705e-10, (118, 6) = -0.32270198234058586e-11, (118, 7) = 0.348070537611262e-11, (119, 1) = -0.1660824179634249e-10, (119, 2) = 0.8708218692549034e-11, (119, 3) = 0.11747502806896227e-8, (119, 4) = 0.3986542634893522e-10, (119, 5) = -0.18605245591516813e-10, (119, 6) = -0.3009534932294507e-11, (119, 7) = 0.32629652311135766e-11, (120, 1) = -0.16050399219794936e-10, (120, 2) = 0.8494789562416073e-11, (120, 3) = 0.1177298843835625e-8, (120, 4) = 0.3867107750145139e-10, (120, 5) = -0.1825156006779017e-10, (120, 6) = -0.28057732922703526e-11, (120, 7) = 0.3058018111059415e-11, (121, 1) = -0.1550635416407613e-10, (121, 2) = 0.8286771907186822e-11, (121, 3) = 0.11797644520720168e-8, (121, 4) = 0.3749839816238541e-10, (121, 5) = -0.179046564962422e-10, (121, 6) = -0.26149114543976955e-11, (121, 7) = 0.2865173942337792e-11, (122, 1) = -0.14975761754194747e-10, (122, 2) = 0.8084037043132685e-11, (122, 3) = 0.11821578106786102e-8, (122, 4) = 0.36349353804088396e-10, (122, 5) = -0.175644957867693e-10, (122, 6) = -0.2436179786254095e-11, (122, 7) = 0.2683771938128526e-11, (123, 1) = -0.14458298929642815e-10, (123, 2) = 0.7886436111228735e-11, (123, 3) = 0.1184477412835794e-8, (123, 4) = 0.3522096126295468e-10, (123, 5) = -0.17230852517395524e-10, (123, 6) = -0.22688631001927273e-11, (123, 7) = 0.251319975965811e-11, (124, 1) = -0.13953687402573215e-10, (124, 2) = 0.7693865587618392e-11, (124, 3) = 0.11867220249665278e-8, (124, 4) = 0.3411637223729094e-10, (124, 5) = -0.16903783217364677e-10, (124, 6) = -0.21122903401850213e-11, (124, 7) = 0.23528837580789774e-11, (125, 1) = -0.13461549633644782e-10, (125, 2) = 0.7506151534379781e-11, (125, 3) = 0.1188897149024404e-8, (125, 4) = 0.3303185520341911e-10, (125, 5) = -0.1658297508322167e-10, (125, 6) = -0.19657866032914978e-11, (125, 7) = 0.22022276664434392e-11, (126, 1) = -0.12981528055333814e-10, (126, 2) = 0.7323175020133718e-11, (126, 3) = 0.11909980330249977e-8, (126, 4) = 0.31968895014399795e-10, (126, 5) = -0.16268428192245815e-10, (126, 6) = -0.1828737416272636e-11, (126, 7) = 0.20606921059849896e-11, (127, 1) = -0.1251334925790676e-10, (127, 2) = 0.71448022450762814e-11, (127, 3) = 0.11930368791468821e-8, (127, 4) = 0.30925168269090486e-10, (127, 5) = -0.1595994529536578e-10, (127, 6) = -0.17005642957390043e-11, (127, 7) = 0.19277648128769555e-11, (128, 1) = -0.12056664122166423e-10, (128, 2) = 0.6970902891903902e-11, (128, 3) = 0.11949984988800984e-8, (128, 4) = 0.2990287437232501e-10, (128, 5) = -0.1565744012758655e-10, (128, 6) = -0.15807226738701075e-11, (128, 7) = 0.1802962201788926e-11, (129, 1) = -0.11611215590250922e-10, (129, 2) = 0.6801386273637118e-11, (129, 3) = 0.11968993600102636e-8, (129, 4) = 0.28900147080382565e-10, (129, 5) = -0.15360783718278442e-10, (129, 6) = -0.14686992588250484e-11, (129, 7) = 0.16858173458030813e-11, (130, 1) = -0.11176689572059342e-10, (130, 2) = 0.66361109585935695e-11, (130, 3) = 0.119874251229159e-8, (130, 4) = 0.27915751228461665e-10, (130, 5) = -0.1506996454811597e-10, (130, 6) = -0.13640066121412605e-11, (130, 7) = 0.15758973394943555e-11, (131, 1) = -0.10752847620314014e-10, (131, 2) = 0.6474979668955007e-11, (131, 3) = 0.12005094860252073e-8, (131, 4) = 0.2695026830924684e-10, (131, 5) = -0.1478465740885954e-10, (131, 6) = -0.12661923343114569e-11, (131, 7) = 0.14727845404164439e-11, (132, 1) = -0.10339385856338755e-10, (132, 2) = 0.6317886581522219e-11, (132, 3) = 0.1202227689070044e-8, (132, 4) = 0.26004025373171577e-10, (132, 5) = -0.14504921383297311e-10, (132, 6) = -0.117482316930582e-11, (132, 7) = 0.13760829973621443e-11, (133, 1) = -0.9936029828507202e-11, (133, 2) = 0.6164717563718258e-11, (133, 3) = 0.12038784627655226e-8, (133, 4) = 0.25075153782644154e-10, (133, 5) = -0.14230591341865168e-10, (133, 6) = -0.1089495166072317e-11, (133, 7) = 0.12854232032874922e-11, (134, 1) = -0.954258200538204e-11, (134, 2) = 0.60153668094429556e-11, (134, 3) = 0.12054624421663825e-8, (134, 4) = 0.2416409972408739e-10, (134, 5) = -0.13961569099024428e-10, (134, 6) = -0.10098288357408212e-11, (134, 7) = 0.12004494115820128e-11, (135, 1) = -0.915871353546483e-11, (135, 2) = 0.5869751638206249e-11, (135, 3) = 0.12070025992460107e-8, (135, 4) = 0.23271492022243684e-10, (135, 5) = -0.13697768394350225e-10, (135, 6) = -0.935464640353776e-12, (135, 7) = 0.11208283383367453e-11, (136, 1) = -0.8784234210301511e-11, (136, 2) = 0.5727763841077969e-11, (136, 3) = 0.12084706474875078e-8, (136, 4) = 0.22394710020022877e-10, (136, 5) = -0.1343909294397463e-10, (136, 6) = -0.8660660324202705e-12, (136, 7) = 0.10462421991222154e-11, (137, 1) = -0.8418913263458105e-11, (137, 2) = 0.5589313993785467e-11, (137, 3) = 0.12098889273005505e-8, (137, 4) = 0.21535676726855785e-10, (137, 5) = -0.13185427926861937e-10, (137, 6) = -0.8013163492284678e-12, (137, 7) = 0.976391731445841e-12, (138, 1) = -0.8062467152589807e-11, (138, 2) = 0.54543196210213545e-11, (138, 3) = 0.12112528801006951e-8, (138, 4) = 0.2069189392423113e-10, (138, 5) = -0.12936678002997946e-10, (138, 6) = -0.7409176146801608e-12, (138, 7) = 0.910994600582341e-12, (139, 1) = -0.7714730287100752e-11, (139, 2) = 0.5322678054123467e-11, (139, 3) = 0.12125653854184757e-8, (139, 4) = 0.1986489890272202e-10, (139, 5) = -0.12692775835000164e-10, (139, 6) = -0.6845899300896001e-12, (139, 7) = 0.8497829990085735e-12, (140, 1) = -0.7375446342117648e-11, (140, 2) = 0.5194307400360006e-11, (140, 3) = 0.12138188632444438e-8, (140, 4) = 0.19054116219959057e-10, (140, 5) = -0.1245358984195867e-10, (140, 6) = -0.6320711383042871e-12, (140, 7) = 0.7925037232638139e-12, (141, 1) = -0.7044411595925558e-11, (141, 2) = 0.5069122407758296e-11, (141, 3) = 0.12150133348393326e-8, (141, 4) = 0.1825781497268621e-10, (141, 5) = -0.12219085401247519e-10, (141, 6) = -0.5831141022505443e-12, (141, 7) = 0.7389185911372965e-12, (142, 1) = -0.6721411054329123e-11, (142, 2) = 0.4947052990376775e-11, (142, 3) = 0.12161723234439253e-8, (142, 4) = 0.1747738330983317e-10, (142, 5) = -0.11989085228023421e-10, (142, 6) = -0.5374871770932166e-12, (142, 7) = 0.6888023926474155e-12, (143, 1) = -0.64062605091691784e-11, (143, 2) = 0.482800632195133e-11, (143, 3) = 0.12172680170306166e-8, (143, 4) = 0.16711578042847487e-10, (143, 5) = -0.11763570020466811e-10, (143, 6) = -0.4949736743484498e-12, (143, 7) = 0.641942100772299e-12, (144, 1) = -0.6098742025425115e-11, (144, 2) = 0.4711916193706158e-11, (144, 3) = 0.1218330702880712e-8, (144, 4) = 0.1595955897889176e-10, (144, 5) = -0.11542423255895684e-10, (144, 6) = -0.4553688284597233e-12, (144, 7) = 0.5981378832577253e-12, (145, 1) = -0.5798677057513097e-11, (145, 2) = 0.4598706096769562e-11, (145, 3) = 0.12193353543310945e-8, (145, 4) = 0.15223361961034254e-10, (145, 5) = -0.11325610150784382e-10, (145, 6) = -0.41848219488793295e-12, (145, 7) = 0.5572003836098101e-12, (146, 1) = -0.550588009340836e-11, (146, 2) = 0.44882880675520885e-11, (146, 3) = 0.12202857455131248e-8, (146, 4) = 0.14500418876082778e-10, (146, 5) = -0.11113028236882186e-10, (146, 6) = -0.3841341317304528e-12, (146, 7) = 0.5189520778312766e-12, (147, 1) = -0.5220157336739223e-11, (147, 2) = 0.4380605492331011e-11, (147, 3) = 0.12212000753634705e-8, (147, 4) = 0.1379119238849094e-10, (147, 5) = -0.10904523689854029e-10, (147, 6) = -0.3521569442290073e-12, (147, 7) = 0.4832242591595169e-12, (148, 1) = -0.49413372968622916e-11, (148, 2) = 0.42755942505609585e-11, (148, 3) = 0.12220670336629079e-8, (148, 4) = 0.13094678826697949e-10, (148, 5) = -0.10700136443468203e-10, (148, 6) = -0.3223928565883448e-12, (148, 7) = 0.4498598146017527e-12, (149, 1) = -0.4669250200024589e-11, (149, 2) = 0.417317907212515e-11, (149, 3) = 0.122288995704384e-8, (149, 4) = 0.12412330083168088e-10, (149, 5) = -0.10499703764283493e-10, (149, 6) = -0.29469488358582e-12, (149, 7) = 0.41870954819324477e-12, (150, 1) = -0.4403712013205302e-11, (150, 2) = 0.4073299764315313e-11, (150, 3) = 0.1223665684002994e-8, (150, 4) = 0.11742241160471754e-10, (150, 5) = -0.1030317689694116e-10, (150, 6) = -0.2689244656008504e-12, (150, 7) = 0.3896336179006955e-12, (151, 1) = -0.4144579427591234e-11, (151, 2) = 0.3975878589560163e-11, (151, 3) = 0.1224396603455543e-8, (151, 4) = 0.11085210144017644e-10, (151, 5) = -0.10110459511254232e-10, (151, 6) = -0.2449525995893326e-12, (151, 7) = 0.3625006066286385e-12, (152, 1) = -0.38916848416852296e-11, (152, 2) = 0.38808682939696256e-11, (152, 3) = 0.12251002854980518e-8, (152, 4) = 0.10440054268239915e-10, (152, 5) = -0.9921507967863049e-11, (152, 6) = -0.22265826204028151e-12, (152, 7) = 0.33718643994633003e-12, (153, 1) = -0.3644855356429144e-11, (153, 2) = 0.3788203889785971e-11, (153, 3) = 0.12257436502356109e-8, (153, 4) = 0.980794201747327e-11, (153, 5) = -0.9736237397022225e-11, (153, 6) = -0.20192812497115791e-12, (153, 7) = 0.3135747127959107e-12, (154, 1) = -0.340396118615834e-11, (154, 2) = 0.3697827252366246e-11, (154, 3) = 0.1226353307422349e-8, (154, 4) = 0.9186175708230342e-11, (154, 5) = -0.9554597649315009e-11, (154, 6) = -0.1826564040925313e-12, (154, 7) = 0.2915562150365321e-12, (155, 1) = -0.31688432998717966e-11, (155, 2) = 0.36096794411637987e-11, (155, 3) = 0.12269316630844605e-8, (155, 4) = 0.8577808830243637e-11, (155, 5) = -0.9376497241749015e-11, (155, 6) = -0.16474403131928477e-12, (155, 7) = 0.2710281947405146e-12, (156, 1) = -0.2939357375813386e-11, (156, 2) = 0.35237027889789578e-11, (156, 3) = 0.12274613278365115e-8, (156, 4) = 0.79793438193171e-11, (156, 5) = -0.920186693051316e-11, (156, 6) = -0.14809841321472652e-12, (156, 7) = 0.2518939679820372e-12, (157, 1) = -0.27153619196543353e-11, (157, 2) = 0.3439849104588805e-11, (157, 3) = 0.12279600179688634e-8, (157, 4) = 0.7392918423708086e-11, (157, 5) = -0.9030668428465661e-11, (157, 6) = -0.1326329694636143e-12, (157, 7) = 0.23406319783156147e-12, (158, 1) = -0.24980748116852893e-11, (158, 2) = 0.33585674115493146e-11, (158, 3) = 0.12284094216029687e-8, (158, 4) = 0.6821603976317833e-11, (158, 5) = -0.8863786066021544e-11, (158, 6) = -0.1183519151197076e-12, (158, 7) = 0.21754937709165998e-12, (159, 1) = -0.22931130761850767e-11, (159, 2) = 0.32819548479972626e-11, (159, 3) = 0.1228813812960284e-8, (159, 4) = 0.6278310095434659e-11, (159, 5) = -0.870573682183365e-11, (159, 6) = -0.10551134063300874e-12, (159, 7) = 0.2026600306552426e-12, (160, 1) = -0.21008409964575166e-11, (160, 2) = 0.3210141330288939e-11, (160, 3) = 0.12291686374264535e-8, (160, 4) = 0.57679093040764105e-11, (160, 5) = -0.8556870228087243e-11, (160, 6) = -0.9401117419620941e-13, (160, 7) = 0.18928977461730128e-12, (161, 1) = -0.19201922217252495e-11, (161, 2) = 0.31427195364896388e-11, (161, 3) = 0.12294833016356614e-8, (161, 4) = 0.528521870647234e-11, (161, 5) = -0.84164150381976e-11, (161, 6) = -0.8367827535476734e-13, (161, 7) = 0.17724627836112152e-12, (162, 1) = -0.17500382006084871e-11, (162, 2) = 0.30792626398127524e-11, (162, 3) = 0.12297616807404267e-8, (162, 4) = 0.4828423599994281e-11, (162, 5) = -0.8283635245036114e-11, (162, 6) = -0.7435742708748314e-13, (162, 7) = 0.16635630047369893e-12, (163, 1) = -0.15894069745447244e-11, (163, 2) = 0.30194000535656047e-11, (163, 3) = 0.12300053331583256e-8, (163, 4) = 0.4395358666486823e-11, (163, 5) = -0.8157858618845472e-11, (163, 6) = -0.6591849525409016e-13, (163, 7) = 0.15647380832507043e-12, (164, 1) = -0.143744735071212e-11, (164, 2) = 0.29628062228306213e-11, (164, 3) = 0.12302224927433942e-8, (164, 4) = 0.39840602242576006e-11, (164, 5) = -0.8038390336572891e-11, (164, 6) = -0.5825191121229164e-13, (164, 7) = 0.14747601877532904e-12, (165, 1) = -0.12934065335206593e-11, (165, 2) = 0.2909203531044491e-11, (165, 3) = 0.12304077852833621e-8, (165, 4) = 0.35926554480135007e-11, (165, 5) = -0.792484729304842e-11, (165, 6) = -0.5126495348768588e-13, (165, 7) = 0.13925839415573526e-12, (166, 1) = -0.1156624499015785e-11, (166, 2) = 0.28583377841434647e-11, (166, 3) = 0.12305629940469257e-8, (166, 4) = 0.32189978168650025e-11, (166, 5) = -0.7816624131829942e-11, (166, 6) = -0.4487834494433306e-13, (166, 7) = 0.13173149807135405e-12, (167, 1) = -0.10265210416646665e-11, (167, 2) = 0.28099859769711778e-11, (167, 3) = 0.12307048112808125e-8, (167, 4) = 0.28628730141565726e-11, (167, 5) = -0.7713392249055152e-11, (167, 6) = -0.3902428012462705e-13, (167, 7) = 0.12481864852611245e-12, (168, 1) = -0.9025640604170987e-12, (168, 2) = 0.27639491870152004e-11, (168, 3) = 0.12308209011808183e-8, (168, 4) = 0.25224103801739054e-11, (168, 5) = -0.7614781499091382e-11, (168, 6) = -0.336442843827677e-13, (168, 7) = 0.1184536829449645e-12, (169, 1) = -0.7842921223495981e-12, (169, 2) = 0.27200541310057924e-11, (169, 3) = 0.12309247582023974e-8, (169, 4) = 0.2195560422415873e-11, (169, 5) = -0.752035432041767e-11, (169, 6) = -0.2868781128546623e-13, (169, 7) = 0.11257905769508853e-12, (170, 1) = -0.6712838397935098e-12, (170, 2) = 0.26781416441771932e-11, (170, 3) = 0.12310105895101172e-8, (170, 4) = 0.1881429399968058e-11, (170, 5) = -0.7429936109254022e-11, (170, 6) = -0.24110889621727452e-13, (170, 7) = 0.1071446837412809e-12, (171, 1) = -0.5631611547338676e-12, (171, 2) = 0.26380669883797786e-11, (171, 3) = 0.12310826986623688e-8, (171, 4) = 0.15819072978324664e-11, (171, 5) = -0.7343181172926194e-11, (171, 6) = -0.1987509570792081e-13, (171, 7) = 0.10210683924543437e-12, (172, 1) = -0.4595821765691131e-12, (172, 2) = 0.25996992004927467e-11, (172, 3) = 0.12311444178261443e-8, (172, 4) = 0.12922776880427693e-11, (172, 5) = -0.7259865303530753e-11, (172, 6) = -0.1594690713150054e-13, (172, 7) = 0.9742711634109024e-13, (173, 1) = -0.360239821686979e-12, (173, 2) = 0.256292258113084e-11, (173, 3) = 0.1231182643453054e-8, (173, 4) = 0.10145565202094742e-11, (173, 5) = -0.71797304253474045e-11, (173, 6) = -0.12296822976919166e-13, (173, 7) = 0.9307182871563279e-13, (174, 1) = -0.26485444170652493e-12, (174, 2) = 0.25276374440445824e-11, (174, 3) = 0.1231214457114319e-8, (174, 4) = 0.7475904889489019e-12, (174, 5) = -0.7102655072283805e-11, (174, 6) = -0.8898840022002288e-14, (174, 7) = 0.8901105773542986e-13, (175, 1) = -0.17317086532258958e-12, (175, 2) = 0.2493741836417416e-11, (175, 3) = 0.12312385732722901e-8, (175, 4) = 0.4895181132410539e-12, (175, 5) = -0.7028323739814668e-11, (175, 6) = -0.5729946700895339e-14, (175, 7) = 0.852184352526504e-13, (176, 1) = -0.8495682761705501e-13, (176, 2) = 0.24611493869265283e-11, (176, 3) = 0.1231250597216119e-8, (176, 4) = 0.2399942514572332e-12, (176, 5) = -0.6956738131751051e-11, (176, 6) = -0.2769726093823494e-14, (176, 7) = 0.8167037339566886e-13, (177, 1) = .0, (177, 2) = 0.24297727964088152e-11, (177, 3) = 0.12312559658094405e-8, (177, 4) = .0, (177, 5) = -0.6887584184124894e-11, (177, 6) = .0, (177, 7) = 0.7834600855072988e-13}, datatype = float[8], order = C_order); if not type(outpoint, 'numeric') then if outpoint = "start" or outpoint = "left" then return X[1] elif outpoint = "right" then return X[177] elif outpoint = "order" then return 8 elif outpoint = "error" then return HFloat(1.2934292747785471e-9) elif outpoint = "errorproc" then error "this is already the error procedure" elif outpoint = "rawdata" then return [7, 177, [chi(eta), diff(chi(eta), eta), f(eta), diff(f(eta), eta), diff(diff(f(eta), eta), eta), theta(eta), diff(theta(eta), eta)], X, Y] else return ('procname')(x_bvp) end if end if; if outpoint < X[1] or X[177] < outpoint then error "solution is only defined in the range %1..%2", X[1], X[177] end if; V := array([1 = 4, 2 = 0]); if Digits <= trunc(evalhf(Digits)) then L := Vector(4, 'datatype' = 'float'[8]); yout := Vector(7, 'datatype' = 'float'[8]); evalhf(`dsolve/numeric/lagrange`(177, 7, X, Y, outpoint, var(yout), var(L), var(V))) else L := Vector(4, 'datatype' = 'sfloat'); yout := Vector(7, 'datatype' = 'sfloat'); `dsolve/numeric/lagrange`(177, 7, X, Y, outpoint, yout, L, V) end if; [eta = outpoint, seq('[chi(eta), diff(chi(eta), eta), f(eta), diff(f(eta), eta), diff(diff(f(eta), eta), eta), theta(eta), diff(theta(eta), eta)]'[i] = yout[i], i = 1 .. 7)] end proc; if not type(outpoint, 'numeric') then if outpoint = "start" or outpoint = "left" then return X[1] elif outpoint = "method" then return "bvp" elif outpoint = "right" then return X[177] elif outpoint = "order" then return 8 elif outpoint = "error" then return HFloat(1.2934292747785471e-9) elif outpoint = "errorproc" then return eval(errproc) elif outpoint = "rawdata" then return [7, 177, "depnames", X, Y, YP] else error "non-numeric value" end if end if; if outpoint < X[1] or X[177] < outpoint then error "solution is only defined in the range %1..%2", X[1], X[177] end if; if Digits <= trunc(evalhf(Digits)) and (_EnvInFsolve <> true or _EnvDSNumericSaveDigits <= trunc(evalhf(Digits))) then V := array( 1 .. 6, [( 1 ) = (7), ( 2 ) = (0), ( 3 ) = (false), ( 4 ) = (false), ( 5 ) = (false), ( 6 ) = (false)  ] ); L := Matrix(7, 2, {(1, 1) = .0, (1, 2) = .0, (2, 1) = .0, (2, 2) = .0, (3, 1) = .0, (3, 2) = .0, (4, 1) = .0, (4, 2) = .0, (5, 1) = .0, (5, 2) = .0, (6, 1) = .0, (6, 2) = .0, (7, 1) = .0, (7, 2) = .0}, datatype = float[8], order = C_order); yout := Vector(7, {(1) = .0, (2) = .0, (3) = .0, (4) = .0, (5) = .0, (6) = .0, (7) = .0}, datatype = float[8]); evalhf(`dsolve/numeric/hermite`(177, 7, X, Y, YP, outpoint, var(yout), var(L), var(V))) else if _EnvInFsolve = true then Digits := _EnvDSNumericSaveDigits end if; V := array( 1 .. 6, [( 1 ) = (7), ( 2 ) = (0), ( 3 ) = (false), ( 4 ) = (false), ( 5 ) = (false), ( 6 ) = (false)  ] ); L := Matrix(7, 2, {(1, 1) = 0., (1, 2) = 0., (2, 1) = 0., (2, 2) = 0., (3, 1) = 0., (3, 2) = 0., (4, 1) = 0., (4, 2) = 0., (5, 1) = 0., (5, 2) = 0., (6, 1) = 0., (6, 2) = 0., (7, 1) = 0., (7, 2) = 0.}, order = C_order); yout := Vector(7, {(1) = 0., (2) = 0., (3) = 0., (4) = 0., (5) = 0., (6) = 0., (7) = 0.}); `dsolve/numeric/hermite`(177, 7, X, Y, YP, outpoint, yout, L, V) end if; [outpoint, seq(yout[i], i = 1 .. 7)] end proc, (2) = Array(1..8, {(1) = 18446744078246286542, (2) = 18446744078246287070, (3) = 18446744078246287246, (4) = 18446744078246287422, (5) = 18446744078246287598, (6) = 18446744078246287774, (7) = 18446744078246287950, (8) = 18446744078246288126}), (3) = [eta, chi(eta), diff(chi(eta), eta), f(eta), diff(f(eta), eta), diff(diff(f(eta), eta), eta), theta(eta), diff(theta(eta), eta)], (4) = 0}); solnproc := data[1]; if not type(outpoint, 'numeric') then if outpoint = "solnprocedure" then return eval(solnproc) elif member(outpoint, ["start", "left", "right", "errorproc", "rawdata", "order", "error"]) then return solnproc(eta) elif outpoint = "sysvars" then return data[3] elif procname <> unknown then return ('procname')(eta) else `diff(f(eta),eta)` := pointto(data[2][5]); return ('`diff(f(eta),eta)`')(eta) end if end if; try res := solnproc(outpoint); res[5] catch: error  end try end proc, diff(diff(f(eta), eta), eta) = proc (eta) local res, data, solnproc, `diff(diff(f(eta),eta),eta)`, outpoint; option `Copyright (c) 2000 by Waterloo Maple Inc. All rights reserved.`; _EnvDSNumericSaveDigits := Digits; Digits := 15; if _EnvInFsolve = true then outpoint := evalf[_EnvDSNumericSaveDigits](eta) else outpoint := evalf(eta) end if; data := Array(1..4, {(1) = proc (outpoint) local X, Y, YP, yout, errproc, L, V, i; option `Copyright (c) 2000 by Waterloo Maple Inc. All rights reserved.`; X := Vector(177, {(1) = .1, (2) = .13432431415631105, (3) = .16865165190091197, (4) = .202985958039896, (5) = .23732533659105348, (6) = .2716788241585104, (7) = .30604559361419775, (8) = .3404355394485909, (9) = .3748529011933503, (10) = .4093061022796795, (11) = .44380716982563195, (12) = .47836387534050584, (13) = .512995852912669, (14) = .5477165596092971, (15) = .5825440749488203, (16) = .617499631782922, (17) = .6526070635536141, (18) = .6878927128084736, (19) = .7233862578282453, (20) = .7591205797331673, (21) = .795131110399485, (22) = .8314537516454595, (23) = .868136597156794, (24) = .9052215072936881, (25) = .9427566773054169, (26) = .9807963691446203, (27) = 1.019390250121844, (28) = 1.0585930956320206, (29) = 1.0984604169171555, (30) = 1.1390444870104077, (31) = 1.1804077038174698, (32) = 1.222605314046431, (33) = 1.2656867522025514, (34) = 1.3097007904581703, (35) = 1.35469069615675, (36) = 1.4006929822839422, (37) = 1.447731690331962, (38) = 1.4958369065409785, (39) = 1.5450201198096045, (40) = 1.5952810827286137, (41) = 1.646612127195734, (42) = 1.6989954066809312, (43) = 1.7524040840585657, (44) = 1.806801993976599, (45) = 1.862146412251251, (46) = 1.9183893448840852, (47) = 1.9754805768192913, (48) = 2.0333655491409464, (49) = 2.09198758848087, (50) = 2.1512911903998386, (51) = 2.2112299885365556, (52) = 2.271742934464316, (53) = 2.3327750130678835, (54) = 2.3942834797609645, (55) = 2.4562254559367735, (56) = 2.518550408638634, (57) = 2.5812184684337374, (58) = 2.6441937416859225, (59) = 2.7074501856327, (60) = 2.770954649679994, (61) = 2.8346761833615464, (62) = 2.898592678498704, (63) = 2.962688121088583, (64) = 3.0269416312716424, (65) = 3.091328430651392, (66) = 3.155836619851239, (67) = 3.220454275768738, (68) = 3.285168541451302, (69) = 3.3499654130373253, (70) = 3.414829585389634, (71) = 3.4797579848516915, (72) = 3.5447435602802027, (73) = 3.609779652754643, (74) = 3.674861152412504, (75) = 3.7399848957435275, (76) = 3.8051508297379377, (77) = 3.8703655596105624, (78) = 3.935652421384301, (79) = 4.001077560861665, (80) = 4.0666510045970385, (81) = 4.132314229225371, (82) = 4.198000337516065, (83) = 4.263680764101562, (84) = 4.329336756026789, (85) = 4.394973340046662, (86) = 4.460588954073379, (87) = 4.526181509768576, (88) = 4.59174993915436, (89) = 4.6572937466339175, (90) = 4.722812832368339, (91) = 4.788307377913861, (92) = 4.853777459964835, (93) = 4.9192172921590585, (94) = 4.98463029125814, (95) = 5.0500209149724435, (96) = 5.115387283230868, (97) = 5.180725066182968, (98) = 5.246040278527776, (99) = 5.3113174587944965, (100) = 5.376570973389221, (101) = 5.44180368691663, (102) = 5.5070118178761875, (103) = 5.572199562571729, (104) = 5.637373294661837, (105) = 5.702517813103393, (106) = 5.767639827784657, (107) = 5.832736032997183, (108) = 5.897804505036399, (109) = 5.962849913789289, (110) = 6.0278771161534, (111) = 6.092882596362824, (112) = 6.157876605520855, (113) = 6.222850932401667, (114) = 6.287802017103068, (115) = 6.352734006431941, (116) = 6.4176483673997975, (117) = 6.482540451739694, (118) = 6.547416149850125, (119) = 6.6122680542862025, (120) = 6.677102130347337, (121) = 6.7419211005546, (122) = 6.8067248666742355, (123) = 6.871509114964304, (124) = 6.936266375612976, (125) = 7.0010059228545805, (126) = 7.065728682384006, (127) = 7.130434804847329, (128) = 7.195124539737002, (129) = 7.259798136520217, (130) = 7.324455844038698, (131) = 7.3890979060419335, (132) = 7.453724561298953, (133) = 7.518336044173569, (134) = 7.582932585751136, (135) = 7.647514413049672, (136) = 7.712081750883993, (137) = 7.776634831889643, (138) = 7.841173896857807, (139) = 7.905699203490006, (140) = 7.970211023056725, (141) = 8.034709635791245, (142) = 8.099195318161058, (143) = 8.163668350318732, (144) = 8.22812902562451, (145) = 8.292577648267015, (146) = 8.357014533032183, (147) = 8.42144000370015, (148) = 8.485854390888106, (149) = 8.550258023403897, (150) = 8.6146512403873, (151) = 8.679034390131827, (152) = 8.74340782797264, (153) = 8.807771917708358, (154) = 8.872127033100252, (155) = 8.93647355737236, (156) = 9.000811876240148, (157) = 9.065142395655199, (158) = 9.129062231749659, (159) = 9.190791738971976, (160) = 9.25002177586793, (161) = 9.306893224933363, (162) = 9.361586616509348, (163) = 9.414263699827062, (164) = 9.46506800130928, (165) = 9.514127801690371, (166) = 9.561558693204324, (167) = 9.60746518855213, (168) = 9.651942086110576, (169) = 9.695075631414408, (170) = 9.73694468456052, (171) = 9.777621794577053, (172) = 9.817172850818734, (173) = 9.855658388735026, (174) = 9.893134209297964, (175) = 9.929651857051025, (176) = 9.965259040121957, (177) = 10.0}, datatype = float[8], order = C_order); Y := Matrix(177, 7, {(1, 1) = 1.0, (1, 2) = -3.010283491881195, (1, 3) = -0.5e-1, (1, 4) = -.5, (1, 5) = 3.2549705904755624, (1, 6) = 1.0, (1, 7) = -2.2961168243517345, (2, 1) = .9116006400192896, (2, 2) = -2.2188140910266996, (2, 3) = -0.6542988930944998e-1, (2, 4) = -.40370802709261644, (2, 5) = 2.4361750640983972, (2, 6) = .9313148374425487, (2, 7) = -1.7587335888496072, (3, 1) = .8440668335083839, (3, 2) = -1.7515672684205508, (3, 3) = -0.7795914493005979e-1, (3, 4) = -.32904124123644557, (3, 5) = 1.950857483460543, (3, 6) = .8768325041094468, (3, 7) = -1.4395391386527499, (4, 1) = .7895472336660474, (4, 2) = -1.443419767334426, (4, 3) = -0.8817574136327207e-1, (4, 4) = -.2679158648423435, (4, 5) = 1.6295350420268857, (4, 6) = .831272138114754, (4, 7) = -1.2272759842281986, (5, 1) = .7439269688663698, (5, 2) = -1.2250712603116078, (5, 3) = -0.9646350877742356e-1, (5, 4) = -.21608666124952267, (5, 5) = 1.4009694099334766, (5, 6) = .7918687409370647, (5, 7) = -1.0753753559802985, (6, 1) = .7047645567594804, (6, 2) = -1.062293032083934, (6, 3) = -.10309608982056391, (6, 4) = -.1710281829224358, (6, 5) = 1.229921365777778, (6, 6) = .7569783455483658, (6, 7) = -.9608633361558743, (7, 1) = .670508499292611, (7, 2) = -.9363094708603249, (7, 3) = -.1082751849303922, (7, 4) = -.1311332340751042, (7, 5) = 1.097033665972045, (7, 6) = .725556739475722, (7, 7) = -.871143819024352, (8, 1) = .6400970314770135, (8, 2) = -.8359113795739894, (8, 3) = -.11215820698136195, (8, 4) = -0.9529846009910026e-1, (8, 5) = .9907326565311447, (8, 6) = .6968857043397841, (8, 7) = -.798694055572774, (9, 1) = .6127818638670864, (9, 2) = -.7540307621161558, (9, 3) = -.11486934685856202, (9, 4) = -0.6274515848045818e-1, (9, 5) = .903710629210698, (9, 6) = .6704589172997079, (9, 7) = -.7387684103204613, (10, 1) = .5880101630726342, (10, 2) = -.6859732537372588, (10, 3) = -.11650974862771135, (10, 4) = -0.3289635416421537e-1, (10, 5) = .8311070612968686, (10, 6) = .6459004421044664, (10, 7) = -.6882118043576506, (11, 1) = .5653617782847322, (11, 2) = -.6285004073713887, (11, 3) = -.11716276509404526, (11, 4) = -0.5312156394166294e-2, (11, 5) = .7695640956343914, (11, 6) = .6229228742706305, (11, 7) = -.64484492277093, (12, 1) = .5445141227529045, (12, 2) = -.5793166470382869, (12, 3) = -.11689775490014931, (12, 4) = 0.20345547838662725e-1, (12, 5) = .7166984974611179, (12, 6) = .6013055866744937, (12, 7) = -.6071216319336978, (13, 1) = .5252059891093054, (13, 2) = -.5367311431212949, (13, 3) = -.11577285556558614, (13, 4) = 0.44352419520146014e-1, (13, 5) = .6707519723642751, (13, 6) = .5808668967259533, (13, 7) = -.5739002262529861, (14, 1) = .5072310763583526, (14, 2) = -.49948942467589225, (14, 3) = -.113836968901507, (14, 4) = 0.6692621623257643e-1, (14, 5) = .6304185015498383, (14, 6) = .5614637545616503, (14, 7) = -.5443331052943612, (15, 1) = .4904191420808039, (15, 2) = -.46663169018318124, (15, 3) = -.11113120062283205, (15, 4) = 0.882475828156531e-1, (15, 5) = .5946973362482103, (15, 6) = .5429767216798966, (15, 7) = -.5177703096857598, (16, 1) = .47462847032783395, (16, 2) = -.43741237094615587, (16, 3) = -.10768980917681761, (16, 4) = .10846767050378146, (16, 5) = .5628099475659347, (16, 6) = .5253052925364996, (16, 7) = -.49370579887626914, (17, 1) = .45973994111746974, (17, 2) = -.4112440008745413, (17, 3) = -.10354099578541562, (17, 4) = .12771421698659408, (17, 5) = .5341419874792643, (17, 6) = .5083640692975898, (17, 7) = -.4717398711807749, (18, 1) = .4456524312660702, (18, 2) = -.3876575548580043, (18, 3) = -0.987075140842896e-1, (18, 4) = .14609630418834832, (18, 5) = .5082022267347898, (18, 6) = .49207972636782243, (18, 7) = -.45155255379360504, (19, 1) = .43227900759396704, (19, 2) = -.3662736309623723, (19, 3) = -0.932070026083659e-1, (19, 4) = .1637083931514831, (19, 5) = .48459265857890527, (19, 6) = .47638833270765585, (19, 7) = -.4328841497234415, (20, 1) = .41954437259728117, (20, 2) = -.34678216572683396, (20, 3) = -0.8705230179329684e-1, (20, 4) = .18063295456195466, (20, 5) = .4629874722134205, (20, 6) = .46123371189807766, (20, 7) = -.41552163184362956, (21, 1) = .40738304871718267, (21, 2) = -.32892767036417664, (21, 3) = -0.8025181273703264e-1, (21, 4) = .1969422817914571, (21, 5) = .4431177566148181, (21, 6) = .44656638757907796, (21, 7) = -.39928880193030747, (22, 1) = .3957383812536956, (22, 2) = -.31249869978237255, (22, 3) = -0.7281016245788906e-1, (22, 4) = .21269931606763323, (22, 5) = .42476063372747375, (22, 6) = .43234331147984484, (22, 7) = -.38403945114777954, (23, 1) = .3845575897267605, (23, 2) = -.29731416431452806, (23, 3) = -0.647258610678675e-1, (23, 4) = .2279639568142309, (23, 5) = .40772462385587316, (23, 6) = .41852254000091954, (23, 7) = -.36964681487130585, (24, 1) = .37379664354289055, (24, 2) = -.28322501684036205, (24, 3) = -0.5599517983139291e-1, (24, 4) = .2427861347723762, (24, 5) = .3918520439519158, (24, 6) = .405069802195059, (24, 7) = -.3560068471972505, (25, 1) = .36341537175628497, (25, 2) = -.2701033420412026, (25, 3) = -0.4660967679615468e-1, (25, 4) = .2572121554674377, (25, 5) = .37700721405190146, (25, 6) = .39195303795515646, (25, 7) = -.3430294380682383, (26, 1) = .3533770946126125, (26, 2) = -.2578389396986893, (26, 3) = -0.3655606175762054e-1, (26, 4) = .2712850292677997, (26, 5) = .36307292252881584, (26, 6) = .3791423103767972, (26, 7) = -.3306361874020015, (27, 1) = .3436508736010304, (27, 2) = -.24633953213188772, (27, 3) = -0.2581904091109644e-1, (27, 4) = .28504110605404537, (27, 5) = .3499509645976493, (27, 6) = .3666130638370115, (27, 7) = -.3187617238807888, (28, 1) = .3342083390670267, (28, 2) = -.23552476168366415, (28, 3) = -0.1437893723914758e-1, (28, 4) = .29851430859060935, (28, 5) = .33755558003287145, (28, 6) = .35434243786971953, (28, 7) = -.3073486098948925, (29, 1) = .32502443519684, (29, 2) = -.2253255020912264, (29, 3) = -0.2212880763571889e-2, (29, 4) = .3117349359672634, (29, 5) = .32581286288190825, (29, 6) = .3423104953946207, (29, 7) = -.29634737207014694, (30, 1) = .31607786546540023, (30, 2) = -.2156829331351726, (30, 3) = 0.1070379518066878e-1, (30, 4) = .324728843808106, (30, 5) = .31465989354105117, (30, 6) = .3305010849621276, (30, 7) = -.28571629053101066, (31, 1) = .3073478049653732, (31, 2) = -.2065438873825929, (31, 3) = 0.24401723478456858e-1, (31, 4) = .33752207959661373, (31, 5) = .304039516592149, (31, 6) = .3188977264061976, (31, 7) = -.2754169157752743, (32, 1) = .29881745159040424, (32, 2) = -.19786380124231495, (32, 3) = 0.3891198298875327e-1, (32, 4) = .35013561530865284, (32, 5) = .29390388011792296, (32, 6) = .3074884833376804, (32, 7) = -.26541783827718834, (33, 1) = .29047317259933714, (33, 2) = -.18960486731359524, (33, 3) = 0.54266026383219236e-1, (33, 4) = .36258639522561675, (33, 5) = .2842124423413447, (33, 6) = .29626505510184786, (33, 7) = -.2556932617203244, (34, 1) = .28230310705588524, (34, 2) = -.18173393918032565, (34, 3) = 0.7049716580583928e-1, (34, 4) = .37488926686015167, (34, 5) = .2749296363719141, (34, 6) = .2852210611168979, (34, 7) = -.2462210635577509, (35, 1) = .27429780407556603, (35, 2) = -.17422262687378032, (35, 3) = 0.8763858849715334e-1, (35, 4) = .3870559122413701, (35, 5) = .26602507525248614, (35, 6) = .2743530179070213, (35, 7) = -.2369833048528358, (36, 1) = .26645007878841165, (36, 2) = -.16704665751311357, (36, 3) = .10572246440316273, (36, 4) = .3990949249001731, (36, 5) = .2574728923416692, (36, 6) = .2636602500529938, (36, 7) = -.2279658642184645, (37, 1) = .25875557734659277, (37, 2) = -.1601859421542037, (37, 3) = .12477714314440705, (37, 4) = .41101078776726396, (37, 5) = .24925191600226893, (37, 6) = .25314574105926013, (37, 7) = -.2191589209315012, (38, 1) = .2512094376242596, (38, 2) = -.15362126746579838, (38, 3) = .14483420719255005, (38, 4) = .42280892511572515, (38, 5) = .24134177847648824, (38, 6) = .24281161292316816, (38, 7) = -.21055300577533773, (39, 1) = .2438100685063101, (39, 2) = -.14733741986174867, (39, 3) = .1659180940582039, (39, 4) = .4344897565601667, (39, 5) = .23372671477717596, (39, 6) = .23266430393009532, (39, 7) = -.2021432253147483, (40, 1) = .23655756740858105, (40, 2) = -.14132147717760368, (40, 3) = .18804805051420714, (40, 4) = .44605098876584576, (40, 5) = .22639358970698623, (40, 6) = .22271240560604702, (40, 7) = -.19392734410767049, (41, 1) = .2294527959629172, (41, 2) = -.1355618535661384, (41, 3) = .211239426287894, (41, 4) = .4574889782290803, (41, 5) = .21933078665833716, (41, 6) = .21296535700731722, (41, 7) = -.18590465201723103, (42, 1) = .22249756111172841, (42, 2) = -.13004833389409315, (42, 3) = .23550196617307032, (42, 4) = .4687983695351276, (42, 5) = .21252828358414444, (42, 6) = .20343363443866733, (42, 7) = -.17807609406978153, (43, 1) = .21569423982605018, (43, 2) = -.12477167494006297, (43, 3) = .2608398253939708, (43, 4) = .4799726300795009, (43, 5) = .20597719438448733, (43, 6) = .19412816320881474, (43, 7) = -.17044377008176909, (44, 1) = .2090456528136725, (44, 2) = -.11972344246799402, (44, 3) = .2872509358297023, (44, 4) = .49100420281898555, (44, 5) = .19966959020759237, (44, 6) = .18506006069338682, (44, 7) = -.16301071564836836, (45, 1) = .20255459512253304, (45, 2) = -.1148956147475554, (45, 3) = .3147279299901195, (45, 4) = .5018852472953027, (45, 5) = .1935980202293324, (45, 6) = .17623990793629188, (45, 7) = -.15578029883884625, (46, 1) = .19622362924938264, (46, 2) = -.11028042171087489, (46, 3) = .34325850718834033, (46, 4) = .5126079809791431, (46, 5) = .1877553133493232, (46, 6) = .1676773875746207, (46, 7) = -.14875591411024416, (47, 1) = .19005473802029896, (47, 2) = -.10587010196399801, (47, 3) = .3728268197038715, (47, 4) = .5231652841517149, (47, 5) = .18213426698507848, (47, 6) = .15938074653118098, (47, 7) = -.14194052404260726, (48, 1) = .18404958719476303, (48, 2) = -.10165710878026424, (48, 3) = .4034123048724468, (48, 4) = .5335502837116244, (48, 5) = .1767279011977732, (48, 6) = .15135709780087095, (48, 7) = -.13533687973410663, (49, 1) = .1782093093546209, (49, 2) = -0.976339646318128e-1, (49, 3) = .434990761252832, (49, 4) = .5437567517407721, (49, 5) = .17152926762281148, (49, 6) = .1436120885672883, (49, 7) = -.12894721237733586, (50, 1) = .172534243624339, (50, 2) = -0.9379309915858196e-1, (50, 3) = .46753615565531664, (50, 4) = .5537796082939569, (50, 5) = .1665312288048679, (50, 6) = .13614953718018194, (50, 7) = -.12277288786102344, (51, 1) = .16702332229465286, (51, 2) = -0.9012646774014009e-1, (51, 3) = .501025271803289, (51, 4) = .5636160898088879, (51, 5) = .16172593962052867, (51, 6) = .1289706483940657, (51, 7) = -.11681369761445241, (52, 1) = .16167636746547506, (52, 2) = -0.8662709254567018e-1, (52, 3) = .5354245937655286, (52, 4) = .5732617138385044, (52, 5) = .1571068532547171, (52, 6) = .12207703121748083, (52, 7) = -.11107030160152458, (53, 1) = .15649217188922715, (53, 2) = -0.832877606097653e-1, (53, 3) = .5707017632972221, (53, 4) = .5827137094120911, (53, 5) = .15266702144547653, (53, 6) = .11546819718098544, (53, 7) = -.10554209857792878, (54, 1) = .1514681638565417, (54, 2) = -0.8010083796586685e-1, (54, 3) = .6068296591707916, (54, 4) = .5919717359930652, (54, 5) = .1483988206956467, (54, 6) = .10914121738711419, (54, 7) = -.1002268626526667, (55, 1) = .14660160234777767, (55, 2) = -0.7705904545671184e-1, (55, 3) = .6437795928327126, (55, 4) = .6010357808561354, (55, 5) = .14429496914815607, (55, 6) = .10309232375018078, (55, 7) = -0.9512201172172534e-1, (56, 1) = .14189016294329682, (56, 2) = -0.7415579244743617e-1, (56, 3) = .6815167857151943, (56, 4) = .609905070263442, (56, 5) = .14034898646161215, (56, 6) = 0.9731766543861783e-1, (56, 7) = -0.9022519334264704e-1, (57, 1) = .13733055115840967, (57, 2) = -0.7138429207106428e-1, (57, 3) = .7200114369835326, (57, 4) = .6185806833233924, (57, 5) = .13655400028046524, (57, 6) = 0.9181164277759303e-1, (57, 7) = -0.8553282185600106e-1, (58, 1) = .13291913685185686, (58, 2) = -0.6873795031830646e-1, (58, 3) = .7592350640821742, (58, 4) = .6270644277840627, (58, 5) = .1329032634057901, (58, 6) = 0.8656778272546026e-1, (58, 7) = -0.8104075700907686e-1, (59, 1) = .1286516327741731, (59, 2) = -0.6621016059961132e-1, (59, 3) = .799164460031636, (59, 4) = .6353595080809519, (59, 5) = .12938986575267097, (59, 6) = 0.8157844377519083e-1, (59, 7) = -0.7674399557867947e-1, (60, 1) = .12452430619411357, (60, 2) = -0.6379500379743547e-1, (60, 3) = .839771230939577, (60, 4) = .6434682068578423, (60, 5) = .12600770681463422, (60, 6) = 0.7683631058969256e-1, (60, 7) = -0.7263791038699614e-1, (61, 1) = .12053332346250112, (61, 2) = -0.6148682506048283e-1, (61, 3) = .8810276084176722, (61, 4) = .6513931420513931, (61, 5) = .12275092222076696, (61, 6) = 0.723336551457202e-1, (61, 7) = -0.687175841247968e-1, (62, 1) = .11667438654168381, (62, 2) = -0.5928000637071922e-1, (62, 3) = .9229109557024708, (62, 4) = .6591380172829979, (62, 5) = .11961356381867923, (62, 6) = 0.6806199777754275e-1, (62, 7) = -0.6497747609164842e-1, (63, 1) = .11294298648362892, (63, 2) = -0.57169100695410174e-1, (63, 3) = .9654023076310734, (63, 4) = .6667071615807357, (63, 5) = .11658978562213738, (63, 6) = 0.6401247882339202e-1, (63, 7) = -0.6141170855360152e-1, (64, 1) = .10933506387603534, (64, 2) = -0.5514918379084914e-1, (64, 3) = 1.0084792288200035, (64, 4) = .674104198640308, (64, 5) = .11367435428569851, (64, 6) = 0.6017662590041298e-1, (64, 7) = -0.58014717648254485e-1, (65, 1) = .10584689988050607, (65, 2) = -0.53215760915675155e-1, (65, 3) = 1.0521163069669728, (65, 4) = .6813322323771271, (65, 5) = .11086253363996139, (65, 6) = 0.5654623868694521e-1, (65, 7) = -0.5478114175121917e-1, (66, 1) = .10247421278276006, (66, 2) = -0.51364246219493405e-1, (66, 3) = 1.0962965827078632, (66, 4) = .6883957184775215, (66, 5) = .10814933543258673, (66, 6) = 0.5311248462877352e-1, (66, 7) = -0.51704999820689775e-1, (67, 1) = 0.9921290988322891e-1, (67, 2) = -0.4959036780155851e-1, (67, 3) = 1.141003046528324, (67, 4) = .6952989342332647, (67, 5) = .1055301079545874, (67, 6) = 0.4986674411817201e-1, (67, 7) = -0.4878042451768817e-1, (68, 1) = 0.9605911922500847e-1, (68, 2) = -0.4789016423374489e-1, (68, 3) = 1.186218001626672, (68, 4) = .7020458967717208, (68, 5) = .10300054210288584, (68, 6) = 0.4680065855233838e-1, (68, 7) = -0.4600169882505357e-1, (69, 1) = 0.9300918118628577e-1, (69, 2) = -0.4625996072380607e-1, (69, 3) = 1.2319228849172166, (69, 4) = .7086403636416022, (69, 5) = .10055664721832, (69, 6) = 0.4390613308737576e-1, (69, 7) = -0.4336325445354654e-1, (70, 1) = 0.9005963726896335e-1, (70, 2) = -0.44696345792792136e-1, (70, 3) = 1.2780981239439666, (70, 4) = .715085840088841, (70, 5) = 0.9819472668269251e-1, (70, 6) = 0.4117533490884553e-1, (70, 7) = -0.4085966769265928e-1, (71, 1) = 0.8720662809616934e-1, (71, 2) = -0.43195840295262154e-1, (71, 3) = 1.3247328641656022, (71, 4) = .7213868990604615, (71, 5) = 0.959108824037368e-1, (71, 6) = 0.3860016386916169e-1, (71, 7) = -0.3848516856421221e-1, (72, 1) = 0.8444665201022808e-1, (72, 2) = -0.417552894446388e-1, (72, 3) = 1.3718135605563158, (72, 4) = .7275475329006473, (72, 5) = 0.9370160979020452e-1, (72, 6) = 0.3617298491606246e-1, (72, 7) = -0.36234307802151734e-1, (73, 1) = 0.8177634831364401e-1, (73, 2) = -0.4037173402203197e-1, (73, 3) = 1.419327053967124, (73, 4) = .7335716098404168, (73, 5) = 0.9156361245610806e-1, (73, 6) = 0.33886428452975216e-1, (73, 7) = -0.3410177625172606e-1, (74, 1) = 0.7919244512824229e-1, (74, 2) = -0.3904237227030642e-1, (74, 3) = 1.4672614347298802, (74, 4) = .7394629834350771, (74, 5) = 0.8949375010756808e-1, (74, 6) = 0.3173335356974858e-1, (74, 7) = -0.3208237199793818e-1, (75, 1) = 0.766917452786738e-1, (75, 2) = -0.3776454319644946e-1, (75, 3) = 1.5156063797855175, (75, 4) = .7452255211846236, (75, 5) = 0.8748901780777456e-1, (75, 6) = 0.29706846489508134e-1, (75, 7) = -0.30171000378395537e-1, (76, 1) = 0.7427108666571063e-1, (76, 2) = -0.3653569801566861e-1, (76, 3) = 1.56435407644909, (76, 4) = .7508631948003112, (76, 5) = 0.8554650554414327e-1, (76, 6) = 0.2780019888614298e-1, (76, 7) = -0.2836265544217905e-1, (77, 1) = 0.7192722598819627e-1, (77, 2) = -0.35353334471828785e-1, (77, 3) = 1.6135019844319525, (77, 4) = .7563803576967835, (77, 5) = 0.8366329666302517e-1, (77, 6) = 0.26006831606669372e-1, (77, 7) = -0.26652349069398753e-1, (78, 1) = 0.6965652211426684e-1, (78, 2) = -0.34214833644028164e-1, (78, 3) = 1.6630606783505262, (78, 4) = .7617825194247292, (78, 5) = 0.818362046768005e-1, (78, 6) = 0.24320085139015783e-1, (78, 7) = -0.25034910053607307e-1, (79, 1) = 0.6745415227431711e-1, (79, 2) = -0.33117070324267625e-1, (79, 3) = 1.713074277652851, (79, 4) = .7670782989058776, (79, 5) = 0.8006113071928549e-1, (79, 6) = 0.22732717743348157e-1, (79, 7) = -0.23504494462123514e-1, (80, 1) = 0.653174926532069e-1, (80, 2) = -0.3205809437838403e-1, (80, 3) = 1.7635451239012367, (80, 4) = .7722713266005171, (80, 5) = 0.7833577907306599e-1, (80, 6) = 0.21239367364873103e-1, (80, 7) = -0.22056961396677732e-1, (81, 1) = 0.6324618571466564e-1, (81, 2) = -0.31037127966861342e-1, (81, 3) = 1.8144226145450653, (81, 4) = .7773598019042196, (81, 5) = 0.766597219644611e-1, (81, 6) = 0.19836363389372388e-1, (81, 7) = -0.20689736141079718e-1, (82, 1) = 0.6123998503307529e-1, (82, 2) = -0.3005347880465721e-1, (82, 3) = 1.8656485564000036, (82, 4) = .7823415773762875, (82, 5) = 0.7503266612459865e-1, (82, 6) = 0.18520102723197866e-1, (82, 7) = -0.1940025706534461e-1, (83, 1) = 0.5929737180297433e-1, (83, 2) = -0.2910586428826123e-1, (83, 3) = 1.9171937834263597, (83, 4) = .787217633956304, (83, 5) = 0.7345332619263635e-1, (83, 6) = 0.17286186479976352e-1, (83, 7) = -0.181851232611352e-1, (84, 1) = 0.5741655133464861e-1, (84, 2) = -0.28192907817684805e-1, (84, 3) = 1.9690365465074622, (84, 4) = .7919897115240078, (84, 5) = 0.7192022274910066e-1, (84, 6) = 0.16130164422757658e-1, (84, 7) = -0.17040811610716092e-1, (85, 1) = 0.555951180848402e-1, (85, 2) = -0.27312978136185835e-1, (85, 3) = 2.021173890970974, (85, 4) = .7966612137325211, (85, 5) = 0.7043140181072279e-1, (85, 6) = 0.15047373779686386e-1, (85, 7) = -0.15963513643715645e-1, (86, 1) = 0.53830960098087494e-1, (86, 2) = -0.2646462746652903e-1, (86, 3) = 2.0735978784815954, (86, 4) = .8012349398472144, (86, 5) = 0.6898516657212175e-1, (86, 6) = 0.1403351479043102e-1, (86, 7) = -0.14949706357927807e-1, (87, 1) = 0.521220691902015e-1, (87, 2) = -0.25646494959249203e-1, (87, 3) = 2.1263003114377943, (87, 4) = .8057135493898496, (87, 5) = 0.6757992094013747e-1, (87, 6) = 0.13084520237125303e-1, (87, 7) = -0.139960292467264e-1, (88, 1) = 0.50466495504684544e-1, (88, 2) = -0.2485728164590901e-1, (88, 3) = 2.1792739683535407, (88, 4) = .810099673559902, (88, 5) = 0.662141300173103e-1, (88, 6) = 0.12196523093985182e-1, (88, 7) = -0.13099256789703594e-1, (89, 1) = 0.4886235775707648e-1, (89, 2) = -0.24095752574361837e-1, (89, 3) = 2.2325122557439467, (89, 4) = .81439588423751, (89, 5) = 0.6488632633494537e-1, (89, 6) = 0.11365857148876791e-1, (89, 7) = -0.12256303574946446e-1, (90, 1) = 0.47307845059216785e-1, (90, 2) = -0.23360735056253266e-1, (90, 3) = 2.2860090697577875, (90, 4) = .8186046839450801, (90, 5) = 0.6359510950556727e-1, (90, 6) = 0.1058905185381353e-1, (90, 7) = -0.11464223580929493e-1, (91, 1) = 0.4580121666136627e-1, (91, 2) = -0.2265111611151706e-1, (91, 3) = 2.3397587042276045, (91, 4) = .8227285009951595, (91, 5) = 0.6233914441576576e-1, (91, 6) = 0.9862825614015936e-2, (91, 7) = -0.107202077302794e-1, (92, 1) = 0.4434080733778398e-1, (92, 2) = -0.2196584274078579e-1, (92, 3) = 2.393755530962878, (92, 4) = .8267696687449231, (92, 5) = 0.61117164378142505e-1, (92, 6) = 0.9184081388015965e-2, (92, 7) = -0.10021583648716392e-1, (93, 1) = 0.42925145853717636e-1, (93, 2) = -0.2130397508619256e-1, (93, 3) = 2.4479892081920704, (93, 4) = .8307300855152587, (93, 5) = 0.5992806977704981e-1, (93, 6) = 0.8549951249578833e-2, (93, 7) = -0.9365866049369924e-2, (94, 1) = 0.4155262130359708e-1, (94, 2) = -0.2066452832678662e-1, (94, 3) = 2.502457135574029, (94, 4) = .8346121380272766, (94, 5) = 0.5877064728357242e-1, (94, 6) = 0.7957637886648394e-2, (94, 7) = -0.8750596954165865e-2, (95, 1) = 0.40221673082686e-1, (95, 2) = -0.20046560655054453e-1, (95, 3) = 2.5571577851500775, (95, 4) = .8384181810565843, (95, 5) = 0.57643726773201474e-1, (95, 6) = 0.7404501824848323e-2, (95, 7) = -0.8173438423547898e-2, (96, 1) = 0.3893093363217918e-1, (96, 2) = -0.19449237677365155e-1, (96, 3) = 2.6120844990926924, (96, 4) = .8421501190891273, (96, 5) = 0.5654630194311316e-1, (96, 6) = 0.6888111282844666e-2, (96, 7) = -0.7632228495991538e-2, (97, 1) = 0.3767913294059378e-1, (97, 2) = -0.1887178595166975e-1, (97, 3) = 2.667228654188966, (97, 4) = .8458096605035292, (97, 5) = 0.5547745035158284e-1, (97, 6) = 0.64061892384546576e-2, (97, 7) = -0.7124930043201029e-2, (98, 1) = 0.36464855030914144e-1, (98, 2) = -0.18313379572760476e-1, (98, 3) = 2.7225904821560354, (98, 4) = .8493990293787306, (98, 5) = 0.5443612442522976e-1, (98, 6) = 0.59565158905427445e-2, (98, 7) = -0.6649530877556062e-2, (99, 1) = 0.35287129676639724e-1, (99, 2) = -0.17773411236805755e-1, (99, 3) = 2.7781521098313138, (99, 4) = .8529192148774755, (99, 5) = 0.5342165809334678e-1, (99, 6) = 0.5537143446706783e-2, (99, 7) = -0.6204273518435405e-2, (100, 1) = 0.3414448775408405e-1, (100, 2) = -0.17251057251932208e-1, (100, 3) = 2.8339211154523043, (100, 4) = .8563727717832911, (100, 5) = 0.52432954840383246e-1, (100, 6) = 0.5146045985976234e-2, (100, 7) = -0.5787287135105179e-2, (101, 1) = 0.3303572907131051e-1, (101, 2) = -0.16745629644977163e-1, (101, 3) = 2.8898955064608667, (101, 4) = .8597615482839938, (101, 5) = 0.51469145618834776e-1, (101, 6) = 0.4781398495554278e-2, (101, 7) = -0.5396885129046895e-2, (102, 1) = 0.3195981073286776e-1, (102, 2) = -0.16256523054212938e-1, (102, 3) = 2.94606770601317, (102, 4) = .8630869913915394, (102, 5) = 0.5052949522528311e-1, (102, 6) = 0.4441521516255529e-2, (102, 7) = -0.5031509922179083e-2, (103, 1) = 0.30915598137938833e-1, (103, 2) = -0.15783100427777905e-1, (103, 3) = 3.002437108550583, (103, 4) = .8663509059017817, (103, 5) = 0.49613185415921565e-1, (103, 6) = 0.4124794717803363e-2, (103, 7) = -0.4689642631979475e-2, (104, 1) = 0.29901970845921482e-1, (104, 2) = -0.15324740843082107e-1, (104, 3) = 3.0590051626175123, (104, 4) = .8695551374490673, (104, 5) = 0.487194055183293e-1, (104, 6) = 0.3829690331967739e-2, (104, 7) = -0.4369840628700971e-2, (105, 1) = 0.2891817845755974e-1, (105, 2) = -0.14880999220591645e-1, (105, 3) = 3.1157546708604014, (105, 4) = .8727004295170955, (105, 5) = 0.47847667825719004e-1, (105, 6) = 0.3554866924305937e-2, (105, 7) = -0.40708417306626115e-2, (106, 1) = 0.27963163270254478e-1, (106, 2) = -0.1445129941189121e-1, (106, 3) = 3.1726875343071246, (106, 4) = .8757885621654562, (106, 5) = 0.4699721013074634e-1, (106, 6) = 0.3298968129327067e-2, (106, 7) = -0.3791347889312316e-2, (107, 1) = 0.27036054474744546e-1, (107, 2) = -0.1403515704995601e-1, (107, 3) = 3.2297970324116263, (107, 4) = .8788207857953696, (107, 5) = 0.46167431512408715e-1, (107, 6) = 0.30607620642720077e-2, (107, 7) = -0.35301779967586255e-2, (108, 1) = 0.26135990182439874e-1, (108, 2) = -0.136320985542424e-1, (108, 3) = 3.287077717628753, (108, 4) = .8817983817939085, (108, 5) = 0.45357735223466554e-1, (108, 6) = 0.2839085862681523e-2, (108, 7) = -0.3286209314341815e-2, (109, 1) = 0.25262050106508706e-1, (109, 2) = -0.13241630697811596e-1, (109, 3) = 3.3445300453631157, (109, 4) = .8847228903452787, (109, 5) = 0.44567467123514615e-1, (109, 6) = 0.26328275024835607e-2, (109, 7) = -0.30583587722556906e-2, (110, 1) = 0.24413349314602834e-1, (110, 2) = -0.12863282318672776e-1, (110, 3) = 3.4021547804570993, (110, 4) = .887595805636143, (110, 5) = 0.437959990098312e-1, (110, 6) = 0.24409471805914122e-2, (110, 7) = -0.2845607745492162e-2, (111, 1) = 0.23589143691971477e-1, (111, 2) = -0.12496650693252929e-1, (111, 3) = 3.459945373101773, (111, 4) = .8904182090864114, (111, 5) = 0.430428253565388e-1, (111, 6) = 0.22624955246276683e-2, (111, 7) = -0.2647023818928518e-2, (112, 1) = 0.22788544500633067e-1, (112, 2) = -0.12141274016994663e-1, (112, 3) = 3.517907612668944, (112, 4) = .8931917390779196, (112, 5) = 0.4230730313112941e-1, (112, 6) = 0.20965469627233866e-2, (112, 7) = -0.2461688048783101e-2, (113, 1) = 0.2201092154264269e-1, (113, 2) = -0.1179681022215186e-1, (113, 3) = 3.576030939938064, (113, 4) = .8959172018453189, (113, 5) = 0.4158902099552602e-1, (113, 6) = 0.19422823318737763e-2, (113, 7) = -0.228878818143032e-2, (114, 1) = 0.2125560521689302e-1, (114, 2) = -0.11462903989906546e-1, (114, 3) = 3.6343089625327116, (114, 4) = .8985955842843032, (114, 5) = 0.4088752771952661e-1, (114, 6) = 0.17989202787508094e-2, (114, 7) = -0.21275434552632607e-2, (115, 1) = 0.20521859851746347e-1, (115, 2) = -0.11139174973080628e-1, (115, 3) = 3.6927422713816003, (115, 4) = .901228160676181, (115, 5) = 0.40202305706456845e-1, (115, 6) = 0.16657125158263998e-2, (115, 7) = -0.1977199961864016e-2, (116, 1) = 0.19809007610044085e-1, (116, 2) = -0.10825272392179685e-1, (116, 3) = 3.7513291524005035, (116, 4) = .9038160568685645, (116, 5) = 0.3953288543830951e-1, (116, 6) = 0.15419656732920172e-2, (116, 7) = -0.18370560679884847e-2, (117, 1) = 0.19116459219134217e-1, (117, 2) = -0.10520888096597018e-1, (117, 3) = 3.8100624347040353, (117, 4) = .9063601272182191, (117, 5) = 0.38878875566455126e-1, (117, 6) = 0.14270421589284107e-2, (117, 7) = -0.1706464442997396e-2, (118, 1) = 0.1844353362888209e-1, (118, 2) = -0.10225676992181737e-1, (118, 3) = 3.868944547638398, (118, 4) = .9088616122353441, (118, 5) = 0.38239793038485445e-1, (118, 6) = 0.13203272362793043e-2, (118, 7) = -0.15847955131765516e-2, (119, 1) = 0.17789709594853653e-1, (119, 2) = -0.9939367324640893e-2, (119, 3) = 3.9279659277100545, (119, 4) = .9113212093702816, (119, 5) = 0.376153011508749e-1, (119, 6) = 0.12212679341659727e-2, (119, 7) = -0.14714824659729727e-2, (120, 1) = 0.1715434821401846e-1, (120, 2) = -0.966163872941871e-2, (120, 3) = 3.9871292234576647, (120, 4) = .9137401023351425, (120, 5) = 0.3700494616750579e-1, (120, 6) = 0.11293267277753402e-2, (120, 7) = -0.1365969153112434e-2, (121, 1) = 0.1653686685477603e-1, (121, 2) = -0.9392198385188308e-2, (121, 3) = 4.046434233913541, (121, 4) = .9161193161473176, (121, 5) = 0.3640832219382344e-1, (121, 6) = 0.10440074614222617e-2, (121, 7) = -0.12677402606956771e-2, (122, 1) = 0.1593672984453655e-1, (122, 2) = -0.9130776619449235e-2, (122, 3) = 4.105878254180306, (122, 4) = .918459743389031, (122, 5) = 0.3582506324812699e-1, (122, 6) = 0.9648508034309002e-3, (122, 7) = -0.11763168046591919e-2, (123, 1) = 0.15353456370083519e-1, (123, 2) = -0.8877130053322135e-2, (123, 3) = 4.165454756028964, (123, 4) = .9207621042586911, (123, 5) = 0.3525485195379574e-1, (123, 6) = 0.8914323837445772e-3, (123, 7) = -0.10912546315821271e-2, (124, 1) = 0.14786605499051348e-1, (124, 2) = -0.8631034803741748e-2, (124, 3) = 4.2251543164998395, (124, 4) = .9230269958510547, (124, 5) = 0.3469740599658427e-1, (124, 6) = 0.8233581730263291e-3, (124, 7) = -0.10121396610135644e-2, (125, 1) = 0.1423560509441761e-1, (125, 2) = -0.8392212157745564e-2, (125, 3) = 4.28498299546985, (125, 4) = .925255580609136, (125, 5) = 0.34152309214020814e-1, (125, 6) = 0.760243103053324e-3, (125, 7) = -0.938563455856944e-3, (126, 1) = 0.1369997590376947e-1, (126, 2) = -0.8160425838712085e-2, (126, 3) = 4.344939248308072, (126, 4) = .9274486979359966, (126, 5) = 0.33619231067228195e-1, (126, 6) = 0.7017373197944904e-3, (126, 7) = -0.8701541170718898e-3, (127, 1) = 0.13179260839270365e-1, (127, 2) = -0.7935451067583034e-2, (127, 3) = 4.405020871401772, (127, 4) = .9296071384367649, (127, 5) = 0.3309785803833924e-1, (127, 6) = 0.6475153511061355e-3, (127, 7) = -0.8065641728294864e-3, (128, 1) = 0.12673016774717254e-1, (128, 2) = -0.7717070876205519e-2, (128, 3) = 4.465225806438151, (128, 4) = .9317316751472142, (128, 5) = 0.3258788569860931e-1, (128, 6) = 0.5972736864292357e-3, (128, 7) = -0.7474681438722301e-3, (129, 1) = 0.12180814856644654e-1, (129, 2) = -0.7505076125168032e-2, (129, 3) = 4.525552047703438, (129, 4) = .9338230607702328, (129, 5) = 0.32089019152014744e-1, (129, 6) = 0.5507294602302875e-3, (129, 7) = -0.6925613591197516e-3, (130, 1) = 0.11702239989818099e-1, (130, 2) = -0.7299265171632634e-2, (130, 3) = 4.585997640127296, (130, 4) = .9358820282972874, (130, 5) = 0.31600972661932875e-1, (130, 6) = 0.5076191202028123e-3, (130, 7) = -0.6415587231086209e-3, (131, 1) = 0.11236890371623526e-1, (131, 2) = -0.7099443565783825e-2, (131, 3) = 4.64656067373754, (131, 4) = .9379092914859827, (131, 5) = 0.31123469324561948e-1, (131, 6) = 0.4676971775487788e-3, (131, 7) = -0.5941935510054997e-3, (132, 1) = 0.107843770107237e-1, (132, 2) = -0.6905423747524692e-2, (132, 3) = 4.707239282407291, (132, 4) = .9399055454663998, (132, 5) = 0.30656240723360338e-1, (132, 6) = 0.43073502924570906e-3, (132, 7) = -0.5502164615731298e-3, (133, 1) = 0.10344323263119098e-1, (133, 2) = -0.6717024757245861e-2, (133, 3) = 4.76803164308303, (133, 4) = .9418714673375305, (133, 5) = 0.30199026597440937e-1, (133, 6) = 0.39651985188484193e-3, (133, 7) = -0.5093943297131232e-3, (134, 1) = 0.991636438458679e-2, (134, 2) = -0.6534071959760502e-2, (134, 3) = 4.828935975581054, (134, 4) = .9438077167561614, (134, 5) = 0.29751574522758853e-1, (134, 6) = 0.36485356319130105e-3, (134, 7) = -0.4715092959902402e-3, (135, 1) = 0.9500147114831702e-2, (135, 2) = -0.6356396787514922e-2, (135, 3) = 4.889950540624614, (135, 4) = .9457149364454033, (135, 5) = 0.2931363962219971e-1, (135, 6) = 0.3355518486277446e-3, (135, 7) = -0.43635783194643206e-3, (136, 1) = 0.9095329261754777e-2, (136, 2) = -0.61838364891480474e-2, (136, 3) = 4.9510736404235836, (136, 4) = .947593752761815, (136, 5) = 0.28884984271701088e-1, (136, 6) = 0.30844324714459726e-3, (136, 7) = -0.4037498558821582e-3, (137, 1) = 0.870157925505246e-2, (137, 2) = -0.601623387000051e-2, (137, 3) = 5.012303627058391, (137, 4) = .9494447764708851, (137, 5) = 0.28465377768764184e-1, (137, 6) = 0.28336829120570266e-3, (137, 7) = -0.3735078948773748e-3, (138, 1) = 0.8318575781930621e-2, (138, 2) = -0.5853437072325423e-2, (138, 3) = 5.0736389017910835, (138, 4) = .9512686032079182, (138, 5) = 0.280545960825053e-1, (138, 6) = 0.2601787055173408e-3, (138, 7) = -0.34546629992478233e-3, (139, 1) = 0.7946007389342705e-2, (139, 2) = -0.5695299345566016e-2, (139, 3) = 5.135077922433506, (139, 4) = .9530658141549968, (139, 5) = 0.276524215633124e-1, (139, 6) = 0.2387366533987117e-3, (139, 7) = -0.31947050232195343e-3, (140, 1) = 0.7583572174809846e-2, (140, 2) = -0.554167885830191e-2, (140, 3) = 5.196619199286618, (140, 4) = .9548369763523616, (140, 5) = 0.27258642742879598e-1, (140, 6) = 0.21891403538176765e-3, (140, 7) = -0.2953763182049148e-3, (141, 1) = 0.7230977493355699e-2, (141, 2) = -0.5392438520624993e-2, (141, 3) = 5.258261289858421, (141, 4) = .9565826429700981, (141, 5) = 0.2687305414886625e-1, (141, 6) = 0.20059183213151456e-3, (141, 7) = -0.27304929294300013e-3, (142, 1) = 0.6887939715010858e-2, (142, 2) = -0.52474458312329955e-2, (142, 3) = 5.320002785774653, (142, 4) = .958303353361792, (142, 5) = 0.26495456172530026e-1, (142, 6) = 0.1836594907879038e-3, (142, 7) = -0.252364085464996e-3, (143, 1) = 0.6554183880220243e-2, (143, 2) = -0.5106572684456149e-2, (143, 3) = 5.381842318957145, (143, 4) = .9599996336604034, (143, 5) = 0.26125654821718747e-1, (143, 6) = 0.1680143447380809e-3, (143, 7) = -0.23320388139026565e-3, (144, 1) = 0.6229443363023987e-2, (144, 2) = -0.496969518374495e-2, (144, 3) = 5.44377856989792, (144, 4) = .961671997397204, (144, 5) = 0.25763461476510423e-1, (144, 6) = 0.15356107126225863e-3, (144, 7) = -0.21545984131697018e-3, (145, 1) = 0.59134596103730345e-2, (145, 2) = -0.4836693490181476e-2, (145, 3) = 5.505810264587283, (145, 4) = .963320945785362, (145, 5) = 0.2540869272435785e-1, (145, 6) = 0.14021118760005577e-3, (145, 7) = -0.1990305859062199e-3, (146, 1) = 0.5605981879431755e-2, (146, 2) = -0.4707451672732042e-2, (146, 3) = 5.56793617351249, (146, 4) = .9649469680512343, (146, 5) = 0.2506117018958842e-1, (146, 6) = 0.12788257922406355e-3, (146, 7) = -0.1838217110432586e-3, (147, 1) = 0.53067669906432515e-2, (147, 2) = -0.4581857567572001e-2, (147, 3) = 5.630155109349184, (147, 4) = .9665505417213073, (147, 5) = 0.24720720377034513e-1, (147, 6) = 0.11649905921041561e-3, (147, 7) = -0.16974533250776132e-3, (148, 1) = 0.5015579091342034e-2, (148, 2) = -0.4459802644110297e-2, (148, 3) = 5.692465924121744, (148, 4) = .9681321328883635, (148, 5) = 0.2438717452423778e-1, (148, 6) = 0.10598995658033662e-3, (148, 7) = -0.1567196582818594e-3, (149, 1) = 0.4732189454943598e-2, (149, 2) = -0.4341181888026249e-2, (149, 3) = 5.754867500071219, (149, 4) = .9696921963155168, (149, 5) = 0.24060368491380577e-1, (149, 6) = 0.9628973268058946e-4, (149, 7) = -0.1446685880441674e-3, (150, 1) = 0.445637619497772e-2, (150, 2) = -0.4225893650637279e-2, (150, 3) = 5.81735876065353, (150, 4) = .9712311760403447, (150, 5) = 0.23740142549888144e-1, (150, 6) = 0.8733761981190855e-4, (150, 7) = -0.13352133330447443e-3, (151, 1) = 0.4187924050803135e-2, (151, 2) = -0.4113839530268126e-2, (151, 3) = 5.879938668714196, (151, 4) = .9727495056336701, (151, 5) = 0.2342634124862383e-1, (151, 6) = 0.7907728636528507e-4, (151, 7) = -0.1232120640465816e-3, (152, 1) = 0.3926624184068294e-2, (152, 2) = -0.4004924259857473e-2, (152, 3) = 5.942606223760687, (152, 4) = .9742476084300418, (152, 5) = 0.23118813289296117e-1, (152, 6) = 0.714565244479042e-4, (152, 7) = -0.11367957746503508e-3, (153, 1) = 0.36722739675628595e-2, (153, 2) = -0.3899055593040416e-2, (153, 3) = 6.005360462681993, (153, 4) = .9757258978340067, (153, 5) = 0.22817411389538758e-1, (153, 6) = 0.6442695807953464e-4, (153, 7) = -0.10486698691294358e-3, (154, 1) = 0.3424676781951572e-2, (154, 2) = -0.37961441950964078e-2, (154, 3) = 6.068200460574128, (154, 4) = .9771847776170947, (154, 5) = 0.22521992151470806e-1, (154, 6) = 0.5794377119218636e-4, (154, 7) = -0.967214305737495e-4, (155, 1) = 0.318364182773534e-2, (155, 2) = -0.36961035417064788e-2, (155, 3) = 6.131125329639266, (155, 4) = .9786246421596811, (155, 5) = 0.22232415944730063e-1, (155, 6) = 0.51965454344558085e-4, (155, 7) = -0.8919379893818854e-4, (156, 1) = 0.29489839668066916e-2, (156, 2) = -0.3598849831342047e-2, (156, 3) = 6.194134211754286, (156, 4) = .9800458765440385, (156, 5) = 0.21948546822007864e-1, (156, 6) = 0.4645356922033489e-4, (156, 7) = -0.8223848033365505e-4, (157, 1) = 0.2720523479792377e-2, (157, 2) = -0.3504301864036683e-2, (157, 3) = 6.257226295253834, (157, 4) = .9814488571872236, (157, 5) = 0.21670252329442523e-1, (157, 6) = 0.41372527148834515e-4, (157, 7) = -0.7581312014106669e-4, (158, 1) = 0.24994622622722487e-2, (158, 2) = -0.34129493089673224e-2, (158, 3) = 6.320004429362408, (158, 4) = .9828253219279554, (158, 5) = 0.21399097573883887e-1, (158, 6) = 0.3671757453856597e-4, (158, 7) = -0.6991415932376671e-4, (159, 1) = 0.22914438569439223e-2, (159, 2) = -0.33271103446682673e-2, (159, 3) = 6.380714359223117, (159, 4) = .9841383236747088, (159, 5) = 0.21142196023966428e-1, (159, 6) = 0.3256657044189625e-4, (159, 7) = -0.6464305200947549e-4, (160, 1) = 0.2096764977130119e-2, (160, 2) = -0.3246888216871749e-2, (160, 3) = 6.439041851800582, (160, 4) = .985383387995297, (160, 5) = 0.209001807532975e-1, (160, 6) = 0.28878429537552865e-4, (160, 7) = -0.5995056210962825e-4, (161, 1) = 0.19142542422758073e-2, (161, 2) = -0.31717820489926096e-2, (161, 3) = 6.4951157087198235, (161, 4) = .9865655002073301, (161, 5) = 0.2067184982425839e-1, (161, 6) = 0.25589568107955412e-4, (161, 7) = -0.5575831327685825e-4, (162, 1) = 0.17427142743147398e-2, (162, 2) = -0.3101283157089607e-2, (162, 3) = 6.5491051323901015, (162, 4) = .9876901928502866, (162, 5) = 0.20455929268952944e-1, (162, 6) = 0.2264398415019256e-4, (162, 7) = -0.51996993884276855e-4, (163, 1) = 0.15811015363619964e-2, (163, 2) = -0.3034948752530318e-2, (163, 3) = 6.601162057284735, (163, 4) = .9887623477334817, (163, 5) = 0.2025130191646246e-1, (163, 6) = 0.19995149287787638e-4, (163, 7) = -0.4860889607355352e-4, (164, 1) = 0.14285079524789714e-2, (164, 2) = -0.29723938930752585e-2, (164, 3) = 6.651421488871508, (164, 4) = .9897862525363109, (164, 5) = 0.20056990944072855e-1, (164, 6) = 0.17604241683083722e-4, (164, 7) = -0.45545777125153235e-4, (165, 1) = 0.12841380601209408e-2, (165, 2) = -0.29132816972746683e-2, (165, 3) = 6.7000042676403915, (165, 4) = .9907656989607102, (165, 5) = 0.19872136498653162e-1, (165, 6) = 0.15438635568661184e-4, (165, 7) = -0.427670184725108e-4, (166, 1) = 0.11472903267585523e-2, (166, 2) = -0.28573153562169145e-2, (166, 3) = 6.747019454806988, (166, 4) = .9917040645449797, (166, 5) = 0.1969597641041645e-1, (166, 6) = 0.13470724780140474e-4, (166, 7) = -0.4023818885023187e-4, (167, 1) = 0.10173434606982944e-2, (167, 2) = -0.28042322593080844e-2, (167, 3) = 6.792565807285179, (167, 4) = .9926043695551816, (167, 5) = 0.19527832369525187e-1, (167, 6) = 0.1167702161571815e-4, (167, 7) = -0.37929943037897354e-4, (168, 1) = 0.893745064050563e-3, (168, 2) = -0.2753799130211681e-2, (168, 3) = 6.836733031901551, (168, 4) = .9934693246139872, (168, 5) = 0.19367098410542075e-1, (168, 6) = 0.10037439121625286e-4, (168, 7) = -0.358171430611698e-4, (169, 1) = 0.776002178705785e-3, (169, 2) = -0.27058079781715864e-2, (169, 3) = 6.879602854428295, (169, 4) = .9943013707458818, (169, 5) = 0.19213231273768283e-1, (169, 6) = 0.8534715422939233e-5, (169, 7) = -0.3387815201610202e-4, (170, 1) = 0.6636729006810244e-3, (170, 2) = -0.26600725198970194e-2, (170, 3) = 6.921250108704328, (170, 4) = .9951027165532491, (170, 5) = 0.19065741682178818e-1, (170, 6) = 0.7153943222488218e-5, (170, 7) = -0.3209425552245678e-4, (171, 1) = 0.5563591652951864e-3, (171, 2) = -0.26164251077657906e-2, (171, 3) = 6.961743745577525, (171, 4) = .995875371044721, (171, 5) = 0.18924186748013903e-1, (171, 6) = 0.5882186619569889e-5, (171, 7) = -0.30449189658006313e-4, (172, 1) = 0.453703968041812e-3, (172, 2) = -0.25747154845888296e-2, (172, 3) = 7.001146434242757, (172, 4) = .9966211475552713, (172, 5) = 0.18788167920810266e-1, (172, 6) = 0.4708206273295691e-5, (172, 7) = -0.2892880415481513e-4, (173, 1) = 0.3553847160599982e-3, (173, 2) = -0.2534807981217631e-2, (173, 3) = 7.039515816735961, (173, 4) = .9973416977524165, (173, 5) = 0.18657323601527533e-1, (173, 6) = 0.3622181416110171e-5, (173, 7) = -0.2752071779279574e-4, (174, 1) = 0.2611089567921044e-3, (174, 2) = -0.24965796986488663e-2, (174, 3) = 7.076905087185851, (174, 4) = .9980385309827882, (174, 5) = 0.18531324646632825e-1, (174, 6) = 0.26154980864484428e-5, (174, 7) = -0.26214056372779796e-4, (175, 1) = 0.17061087792577472e-3, (175, 2) = -0.24599190164938103e-2, (175, 3) = 7.11336343575653, (175, 4) = .9987130298125714, (175, 5) = 0.18409870712982543e-1, (175, 6) = 0.16805750903788004e-5, (175, 7) = -0.24999237164889492e-4, (176, 1) = 0.8364828755175267e-4, (176, 2) = -0.2424724307108064e-2, (176, 3) = 7.14893643929275, (176, 4) = .999366463543249, (176, 5) = 0.18292687091506932e-1, (176, 6) = 0.8107185795194192e-6, (176, 7) = -0.2386778854087962e-4, (177, 1) = .0, (177, 2) = -0.23909028232950774e-2, (177, 3) = 7.183666405720363, (177, 4) = 1.0, (177, 5) = 0.18179521955803843e-1, (177, 6) = .0, (177, 7) = -0.22812198384621496e-4}, datatype = float[8], order = C_order); YP := Matrix(177, 7, {(1, 1) = -3.010283491881195, (1, 2) = 31.045172730586398, (1, 3) = -.5, (1, 4) = 3.2549705904755624, (1, 5) = -32.059040670468, (1, 6) = -2.2961168243517345, (1, 7) = 21.039081978077707, (2, 1) = -2.2188140910266996, (2, 2) = 17.121944106176148, (2, 3) = -.40370802709261644, (2, 4) = 2.4361750640983972, (2, 5) = -17.75186646531459, (2, 6) = -1.7587335888496072, (2, 7) = 11.658920037134642, (3, 1) = -1.7515672684205508, (3, 2) = 10.819003914424172, (3, 3) = -.32904124123644557, (3, 4) = 1.950857483460543, (3, 5) = -11.261093047454036, (3, 6) = -1.4395391386527499, (3, 7) = 7.421516216604939, (4, 1) = -1.443419767334426, (4, 2) = 7.44431424050068, (4, 3) = -.2679158648423435, (4, 4) = 1.6295350420268857, (4, 5) = -7.77851680978251, (4, 6) = -1.2272759842281986, (4, 7) = 5.153559241304035, (5, 1) = -1.2250712603116078, (5, 2) = 5.430700205869807, (5, 3) = -.21608666124952267, (5, 4) = 1.4009694099334766, (5, 5) = -5.6962541050511355, (5, 6) = -1.0753753559802985, (5, 7) = 3.7994361725363084, (6, 1) = -1.062293032083934, (6, 2) = 4.133984345299803, (6, 3) = -.1710281829224358, (6, 4) = 1.229921365777778, (6, 5) = -4.352627257354598, (6, 6) = -.9608633361558743, (6, 7) = 2.9263023948487845, (7, 1) = -.9363094708603249, (7, 2) = 3.250582184729448, (7, 3) = -.1311332340751042, (7, 4) = 1.097033665972045, (7, 5) = -3.4354543508722934, (7, 6) = -.871143819024352, (7, 7) = 2.330460789528503, (8, 1) = -.8359113795739894, (8, 2) = 2.6218668296288925, (8, 3) = -0.9529846009910026e-1, (8, 4) = .9907326565311447, (8, 5) = -2.781433082063489, (8, 6) = -.798694055572774, (8, 7) = 1.9055546562540169, (9, 1) = -.7540307621161558, (9, 2) = 2.158655707900222, (9, 3) = -0.6274515848045818e-1, (9, 4) = .903710629210698, (9, 5) = -2.2986527950440383, (9, 6) = -.7387684103204613, (9, 7) = 1.5918036113784224, (10, 1) = -.6859732537372588, (10, 2) = 1.8075854056497922, (10, 3) = -0.3289635416421537e-1, (10, 4) = .8311070612968686, (10, 5) = -1.9320578998022346, (10, 6) = -.6882118043576506, (10, 7) = 1.3534327958638872, (11, 1) = -.6285004073713887, (11, 2) = 1.5351562401542218, (11, 3) = -0.5312156394166294e-2, (11, 4) = .7695640956343914, (11, 5) = -1.6470492909842538, (11, 6) = -.64484492277093, (11, 7) = 1.1679748738766818, (12, 1) = -.5793166470382869, (12, 2) = 1.3195281931221805, (12, 3) = 0.20345547838662725e-1, (12, 4) = .7166984974611179, (12, 5) = -1.4210468548040192, (12, 6) = -.6071216319336978, (12, 7) = 1.0207737736678706, (13, 1) = -.5367311431212949, (13, 2) = 1.145892530696533, (13, 3) = 0.44352419520146014e-1, (13, 4) = .6707519723642751, (13, 5) = -1.2387232687233358, (13, 6) = -.5739002262529861, (13, 7) = .9018835448323496, (14, 1) = -.49948942467589225, (14, 2) = 1.003998050145226, (14, 3) = 0.6692621623257643e-1, (14, 4) = .6304185015498383, (14, 5) = -1.0894578589784991, (14, 6) = -.5443331052943612, (14, 7) = .8044134092658326, (15, 1) = -.46663169018318124, (15, 2) = .8865281517652679, (15, 3) = 0.882475828156531e-1, (15, 4) = .5946973362482103, (15, 5) = -.9656623891005631, (15, 6) = -.5177703096857598, (15, 7) = .7234401398522938, (16, 1) = -.43741237094615587, (16, 2) = .7881537194650875, (16, 3) = .10846767050378146, (16, 4) = .5628099475659347, (16, 5) = -.8618042115535092, (16, 6) = -.49370579887626914, (16, 7) = .6553739127932571, (17, 1) = -.4112440008745413, (17, 2) = .7049210492055764, (17, 3) = .12771421698659408, (17, 4) = .5341419874792643, (17, 5) = -.7737744555933753, (17, 6) = -.4717398711807749, (17, 7) = .5975483247236602, (18, 1) = -.3876575548580043, (18, 2) = .6338476180086999, (18, 3) = .14609630418834832, (18, 4) = .5082022267347898, (18, 5) = -.6984704299667118, (18, 6) = -.45155255379360504, (18, 7) = .547949494066217, (19, 1) = -.3662736309623723, (19, 2) = .5726483733807656, (19, 3) = .1637083931514831, (19, 4) = .48459265857890527, (19, 5) = -.6335126174412591, (19, 6) = -.4328841497234415, (19, 7) = .5050324919245571, (20, 1) = -.34678216572683396, (20, 2) = .5195495059189714, (20, 3) = .18063295456195466, (20, 4) = .4629874722134205, (20, 5) = -.5770520321259064, (20, 6) = -.41552163184362956, (20, 7) = .4675964144816947, (21, 1) = -.32892767036417664, (21, 2) = .4731582794401461, (21, 3) = .1969422817914571, (21, 4) = .4431177566148181, (21, 5) = -.5276354888454184, (21, 6) = -.39928880193030747, (21, 7) = .43469702859278164, (22, 1) = -.31249869978237255, (22, 2) = .4323712564531229, (22, 3) = .21269931606763323, (22, 4) = .42476063372747375, (22, 5) = -.48411059119320127, (22, 6) = -.38403945114777954, (22, 7) = .4055852112696801, (23, 1) = -.29731416431452806, (23, 2) = .39629415064634355, (23, 3) = .2279639568142309, (23, 4) = .40772462385587316, (23, 5) = -.4455422550983356, (23, 6) = -.36964681487130585, (23, 7) = .3796525244600942, (24, 1) = -.28322501684036205, (24, 2) = .36421250433414676, (24, 3) = .2427861347723762, (24, 4) = .3918520439519158, (24, 5) = -.4111829023278856, (24, 6) = -.3560068471972505, (24, 7) = .3564123311986818, (25, 1) = -.2701033420412026, (25, 2) = .33554014077654515, (25, 3) = .2572121554674377, (25, 4) = .37700721405190146, (25, 5) = -.3804185329805538, (25, 6) = -.3430294380682383, (25, 7) = .3354645137472628, (26, 1) = -.2578389396986893, (26, 2) = .3097931961546034, (26, 3) = .2712850292677997, (26, 4) = .36307292252881584, (26, 5) = -.35274178509526466, (26, 6) = -.3306361874020015, (26, 7) = .3164779932333802, (27, 1) = -.24633953213188772, (27, 2) = .2865759039396276, (27, 3) = .28504110605404537, (27, 4) = .3499509645976493, (27, 5) = -.3277374103346404, (27, 6) = -.3187617238807888, (27, 7) = .29918159835956604, (28, 1) = -.23552476168366415, (28, 2) = .2655566661015625, (28, 3) = .29851430859060935, (28, 4) = .33755558003287145, (28, 5) = -.30505713524774447, (28, 6) = -.3073486098948925, (28, 7) = .2833475062173651, (29, 1) = -.2253255020912264, (29, 2) = .2464582280638545, (29, 3) = .3117349359672634, (29, 4) = .32581286288190825, (29, 5) = -.28440953074312353, (29, 6) = -.29634737207014694, (29, 7) = .2687847958648897, (30, 1) = -.2156829331351726, (30, 2) = .2290488984956625, (30, 3) = .324728843808106, (30, 4) = .31465989354105117, (30, 5) = -.26555092451071954, (30, 6) = -.28571629053101066, (30, 7) = .25533368718160365, (31, 1) = -.2065438873825929, (31, 2) = .2131287038144533, (31, 3) = .33752207959661373, (31, 4) = .304039516592149, (31, 5) = -.2482707267810866, (31, 6) = -.2754169157752743, (31, 7) = .24285563622268744, (32, 1) = -.19786380124231495, (32, 2) = .19853052093936435, (32, 3) = .35013561530865284, (32, 4) = .29390388011792296, (32, 5) = -.2323929065309705, (32, 6) = -.26541783827718834, (32, 7) = .2312348266717411, (33, 1) = -.18960486731359524, (33, 2) = .18511301699907345, (33, 3) = .36258639522561675, (33, 4) = .2842124423413447, (33, 5) = -.21776856469029016, (33, 6) = -.2556932617203244, (33, 7) = .2203733545258757, (34, 1) = -.18173393918032565, (34, 2) = .17275430735899094, (34, 3) = .37488926686015167, (34, 4) = .2749296363719141, (34, 5) = -.20426921612279228, (34, 6) = -.2462210635577509, (34, 7) = .21018674197498782, (35, 1) = -.17422262687378032, (35, 2) = .16134989076353431, (35, 3) = .3870559122413701, (35, 4) = .26602507525248614, (35, 5) = -.1917846859275767, (35, 6) = -.2369833048528358, (35, 7) = .20060275953911733, (36, 1) = -.16704665751311357, (36, 2) = .15080974319113763, (36, 3) = .3990949249001731, (36, 4) = .2574728923416692, (36, 5) = -.18022006585663738, (36, 6) = -.2279658642184645, (36, 7) = .1915595317437923, (37, 1) = -.1601859421542037, (37, 2) = .141056796935048, (37, 3) = .41101078776726396, (37, 4) = .24925191600226893, (37, 5) = -.16949416553961816, (37, 6) = -.2191589209315012, (37, 7) = .18300476520893003, (38, 1) = -.15362126746579838, (38, 2) = .1320210054859448, (38, 3) = .42280892511572515, (38, 4) = .24134177847648824, (38, 5) = -.1595330800439254, (38, 6) = -.21055300577533773, (38, 7) = .1748909797765733, (39, 1) = -.14733741986174867, (39, 2) = .12364284350603046, (39, 3) = .4344897565601667, (39, 4) = .23372671477717596, (39, 5) = -.15027411164631393, (39, 6) = -.2021432253147483, (39, 7) = .16717891414685349, (40, 1) = -.14132147717760368, (40, 2) = .11586995380348374, (40, 3) = .44605098876584576, (40, 4) = .22639358970698623, (40, 5) = -.1416621548462659, (40, 6) = -.19392734410767049, (40, 7) = .15983497820345968, (41, 1) = -.1355618535661384, (41, 2) = .10865524630505065, (41, 3) = .4574889782290803, (41, 4) = .21933078665833716, (41, 5) = -.13364764847041208, (41, 6) = -.18590465201723103, (41, 7) = .15282978502561145, (42, 1) = -.13004833389409315, (42, 2) = .10195646465098096, (42, 3) = .4687983695351276, (42, 4) = .21252828358414444, (42, 5) = -.12618613754474253, (42, 6) = -.17807609406978153, (42, 7) = .14613796012482172, (43, 1) = -.12477167494006297, (43, 2) = 0.9573528555897173e-1, (43, 3) = .4799726300795009, (43, 4) = .20597719438448733, (43, 5) = -.11923730972108826, (43, 6) = -.17044377008176909, (43, 7) = .13973746010198854, (44, 1) = -.11972344246799402, (44, 2) = 0.8995680533952945e-1, (44, 3) = .49100420281898555, (44, 4) = .19966959020759237, (44, 5) = -.11276445358250514, (44, 6) = -.16301071564836836, (44, 7) = .13360920525957998, (45, 1) = -.1148956147475554, (45, 2) = 0.8458883047163457e-1, (45, 3) = .5018852472953027, (45, 4) = .1935980202293324, (45, 5) = -.10673369025665995, (45, 6) = -.15578029883884625, (45, 7) = .12773644242504048, (46, 1) = -.11028042171087489, (46, 2) = 0.7960151497591006e-1, (46, 3) = .5126079809791431, (46, 4) = .1877553133493232, (46, 5) = -.10111358529342901, (46, 6) = -.14875591411024416, (46, 7) = .12210439647109084, (47, 1) = -.10587010196399801, (47, 2) = 0.7496695383104171e-1, (47, 3) = .5231652841517149, (47, 4) = .18213426698507848, (47, 5) = -0.9587470570440539e-1, (47, 6) = -.14194052404260726, (47, 7) = .11669981742149677, (48, 1) = -.10165710878026424, (48, 2) = 0.7065927864855102e-1, (48, 3) = .5335502837116244, (48, 4) = .1767279011977732, (48, 5) = -0.90989740840664e-1, (48, 6) = -.13533687973410663, (48, 7) = .11151107173300641, (49, 1) = -0.976339646318128e-1, (49, 2) = 0.6665437930666253e-1, (49, 3) = .5437567517407721, (49, 4) = .17152926762281148, (49, 5) = -0.8643320096253616e-1, (49, 6) = -.12894721237733586, (49, 7) = .10652780343241362, (50, 1) = -0.9379309915858196e-1, (50, 2) = 0.6292963935728102e-1, (50, 3) = .5537796082939569, (50, 4) = .1665312288048679, (50, 5) = -0.821811271659428e-1, (50, 6) = -.12277288786102344, (50, 7) = .10174056934638033, (51, 1) = -0.9012646774014009e-1, (51, 2) = 0.5946349454355839e-1, (51, 3) = .5636160898088879, (51, 4) = .16172593962052867, (51, 5) = -0.7821059376459426e-1, (51, 6) = -.11681369761445241, (51, 7) = 0.971401922016448e-1, (52, 1) = -0.8662709254567018e-1, (52, 2) = 0.5623679588902947e-1, (52, 3) = .5732617138385044, (52, 4) = .1571068532547171, (52, 5) = -0.7450127953262778e-1, (52, 6) = -.11107030160152458, (52, 7) = 0.9271953492878013e-1, (53, 1) = -0.832877606097653e-1, (53, 2) = 0.5323144127213841e-1, (53, 3) = .5827137094120911, (53, 4) = .15266702144547653, (53, 5) = -0.7103391702860415e-1, (53, 6) = -.10554209857792878, (53, 7) = 0.8847173428640447e-1, (54, 1) = -0.8010083796586685e-1, (54, 2) = 0.5043015773452044e-1, (54, 3) = .5919717359930652, (54, 4) = .1483988206956467, (54, 5) = -0.6779004472456823e-1, (54, 6) = -.1002268626526667, (54, 7) = 0.8438981098644666e-1, (55, 1) = -0.7705904545671184e-1, (55, 2) = 0.4781712178021648e-1, (55, 3) = .6010357808561354, (55, 4) = .14429496914815607, (55, 5) = -0.6475273039031218e-1, (55, 6) = -0.9512201172172534e-1, (55, 7) = 0.8046752565271927e-1, (56, 1) = -0.7415579244743617e-1, (56, 2) = 0.4537812370175229e-1, (56, 3) = .609905070263442, (56, 4) = .14034898646161215, (56, 5) = -0.6190677910002072e-1, (56, 6) = -0.9022519334264704e-1, (56, 7) = 0.7669971247700139e-1, (57, 1) = -0.7138429207106428e-1, (57, 2) = 0.4309971458682221e-1, (57, 3) = .6185806833233924, (57, 4) = .13655400028046524, (57, 5) = -0.5923775361433498e-1, (57, 6) = -0.8553282185600106e-1, (57, 7) = 0.7308104556027577e-1, (58, 1) = -0.6873795031830646e-1, (58, 2) = 0.4096946926322497e-1, (58, 3) = .6270644277840627, (58, 4) = .1329032634057901, (58, 5) = -0.5673228789519334e-1, (58, 6) = -0.8104075700907686e-1, (58, 7) = 0.6960645431414926e-1, (59, 1) = -0.6621016059961132e-1, (59, 2) = 0.38975748601405784e-1, (59, 3) = .6353595080809519, (59, 4) = .12938986575267097, (59, 5) = -0.5437781677016371e-1, (59, 6) = -0.7674399557867947e-1, (59, 7) = 0.6627078398947593e-1, (60, 1) = -0.6379500379743547e-1, (60, 2) = 0.3710817923563575e-1, (60, 3) = .6434682068578423, (60, 4) = .12600770681463422, (60, 5) = -0.52163152502100275e-1, (60, 6) = -0.7263791038699614e-1, (60, 7) = 0.630696652022076e-1, (61, 1) = -0.6148682506048283e-1, (61, 2) = 0.3535723201986704e-1, (61, 3) = .6513931420513931, (61, 4) = .12275092222076696, (61, 5) = -0.5007800143462451e-1, (61, 6) = -0.687175841247968e-1, (61, 7) = 0.5999892071152185e-1, (62, 1) = -0.5928000637071922e-1, (62, 2) = 0.33713989804355256e-1, (62, 3) = .6591380172829979, (62, 4) = .11961356381867923, (62, 5) = -0.4811269635947367e-1, (62, 6) = -0.6497747609164842e-1, (62, 7) = 0.57054229336734506e-1, (63, 1) = -0.57169100695410174e-1, (63, 2) = 0.3217020013015828e-1, (63, 3) = .6667071615807357, (63, 4) = .11658978562213738, (63, 5) = -0.4625826578595638e-1, (63, 6) = -0.6141170855360152e-1, (63, 7) = 0.5423127945985821e-1, (64, 1) = -0.5514918379084914e-1, (64, 2) = 0.3071847575888528e-1, (64, 3) = .674104198640308, (64, 4) = .11367435428569851, (64, 5) = -0.4450668459294678e-1, (64, 6) = -0.58014717648254485e-1, (64, 7) = 0.51526226701246916e-1, (65, 1) = -0.53215760915675155e-1, (65, 2) = 0.29352162323496186e-1, (65, 3) = .6813322323771271, (65, 4) = .11086253363996139, (65, 5) = -0.4285072792261608e-1, (65, 6) = -0.5478114175121917e-1, (65, 7) = 0.4893556386708957e-1, (66, 1) = -0.51364246219493405e-1, (66, 2) = 0.28064924065518932e-1, (66, 3) = .6883957184775215, (66, 4) = .10814933543258673, (66, 5) = -0.41283477931602065e-1, (66, 6) = -0.51704999820689775e-1, (66, 7) = 0.4645542023568128e-1, (67, 1) = -0.4959036780155851e-1, (67, 2) = 0.26850996547966004e-1, (67, 3) = .6952989342332647, (67, 4) = .1055301079545874, (67, 5) = -0.397986352727631e-1, (67, 6) = -0.4878042451768817e-1, (67, 7) = 0.44082106240249705e-1, (68, 1) = -0.4789016423374489e-1, (68, 2) = 0.2570514230598002e-1, (68, 3) = .7020458967717208, (68, 4) = .10300054210288584, (68, 5) = -0.3839047393448487e-1, (68, 6) = -0.4600169882505357e-1, (68, 7) = 0.4181211457624395e-1, (69, 1) = -0.4625996072380607e-1, (69, 2) = 0.24622597065198926e-1, (69, 3) = .7086403636416022, (69, 4) = .10055664721832, (69, 5) = -0.3705378373458785e-1, (69, 6) = -0.4336325445354654e-1, (69, 7) = 0.3964209549563323e-1, (70, 1) = -0.44696345792792136e-1, (70, 2) = 0.2359902106209441e-1, (70, 3) = .715085840088841, (70, 4) = 0.9819472668269251e-1, (70, 5) = -0.35783818056358635e-1, (70, 6) = -0.4085966769265928e-1, (70, 7) = 0.3756883386957669e-1, (71, 1) = -0.43195840295262154e-1, (71, 2) = 0.2263025732177424e-1, (71, 3) = .7213868990604615, (71, 4) = 0.959108824037368e-1, (71, 5) = -0.345759992795696e-1, (71, 6) = -0.3848516856421221e-1, (71, 7) = 0.35588822241379686e-1, (72, 1) = -0.417552894446388e-1, (72, 2) = 0.21712566757373226e-1, (72, 3) = .7275475329006473, (72, 4) = 0.9370160979020452e-1, (72, 5) = -0.3342621480848204e-1, (72, 6) = -0.36234307802151734e-1, (72, 7) = 0.3369879519129462e-1, (73, 1) = -0.4037173402203197e-1, (73, 2) = 0.2084251952747481e-1, (73, 3) = .7335716098404168, (73, 4) = 0.9156361245610806e-1, (73, 5) = -0.3233068837685123e-1, (73, 6) = -0.3410177625172606e-1, (73, 7) = 0.3189557025540908e-1, (74, 1) = -0.3904237227030642e-1, (74, 2) = 0.20016950936180417e-1, (74, 3) = .7394629834350771, (74, 4) = 0.8949375010756808e-1, (74, 5) = -0.31285929734658574e-1, (74, 6) = -0.3208237199793818e-1, (74, 7) = 0.3017601103329817e-1, (75, 1) = -0.3776454319644946e-1, (75, 2) = 0.19232933825189e-1, (75, 3) = .7452255211846236, (75, 4) = 0.8748901780777456e-1, (75, 5) = -0.3028870414672857e-1, (75, 6) = -0.30171000378395537e-1, (75, 7) = 0.28537019338621142e-1, (76, 1) = -0.3653569801566861e-1, (76, 2) = 0.18487745956094e-1, (76, 3) = .7508631948003112, (76, 4) = 0.8554650554414327e-1, (76, 5) = -0.29335994809283936e-1, (76, 6) = -0.2836265544217905e-1, (76, 7) = 0.26975512917014468e-1, (77, 1) = -0.35353334471828785e-1, (77, 2) = 0.17778817656712027e-1, (77, 3) = .7563803576967835, (77, 4) = 0.8366329666302517e-1, (77, 5) = -0.2842493891629171e-1, (77, 6) = -0.26652349069398753e-1, (77, 7) = 0.25488358243180274e-1, (78, 1) = -0.34214833644028164e-1, (78, 2) = 0.1710362550347103e-1, (78, 3) = .7617825194247292, (78, 4) = 0.818362046768005e-1, (78, 5) = -0.2755269203484183e-1, (78, 6) = -0.25034910053607307e-1, (78, 7) = 0.24072187718280107e-1, (79, 1) = -0.33117070324267625e-1, (79, 2) = 0.16459460519022494e-1, (79, 3) = .7670782989058776, (79, 4) = 0.8006113071928549e-1, (79, 5) = -0.2671612494556976e-1, (79, 6) = -0.23504494462123514e-1, (79, 7) = 0.2272295520211525e-1, (80, 1) = -0.3205809437838403e-1, (80, 2) = 0.15844406901222824e-1, (80, 3) = .7722713266005171, (80, 4) = 0.7833577907306599e-1, (80, 5) = -0.2591309561609206e-1, (80, 6) = -0.22056961396677732e-1, (80, 7) = 0.21438026923002916e-1, (81, 1) = -0.31037127966861342e-1, (81, 2) = 0.15257298915414995e-1, (81, 3) = .7773598019042196, (81, 4) = 0.766597219644611e-1, (81, 5) = -0.25142417563179406e-1, (81, 6) = -0.20689736141079718e-1, (81, 7) = 0.2021610624932507e-1, (82, 1) = -0.3005347880465721e-1, (82, 2) = 0.1469706808732895e-1, (82, 3) = .7823415773762875, (82, 4) = 0.7503266612459865e-1, (82, 5) = -0.24403020686373934e-1, (82, 6) = -0.1940025706534461e-1, (82, 7) = 0.1905587546109808e-1, (83, 1) = -0.2910586428826123e-1, (83, 2) = 0.14162359097922005e-1, (83, 3) = .787217633956304, (83, 4) = 0.7345332619263635e-1, (83, 5) = -0.23693442233407584e-1, (83, 6) = -0.181851232611352e-1, (83, 7) = 0.1795521838476315e-1, (84, 1) = -0.28192907817684805e-1, (84, 2) = 0.1365181867422655e-1, (84, 3) = .7919897115240078, (84, 4) = 0.7192022274910066e-1, (84, 5) = -0.23012201444952248e-1, (84, 6) = -0.17040811610716092e-1, (84, 7) = 0.16911848466548876e-1, (85, 1) = -0.27312978136185835e-1, (85, 2) = 0.13164005904443596e-1, (85, 3) = .7966612137325211, (85, 4) = 0.7043140181072279e-1, (85, 5) = -0.22357677376699997e-1, (85, 6) = -0.15963513643715645e-1, (85, 7) = 0.1592315271868429e-1, (86, 1) = -0.2646462746652903e-1, (86, 2) = 0.1269763461904293e-1, (86, 3) = .8012349398472144, (86, 4) = 0.6898516657212175e-1, (86, 5) = -0.21728432006606218e-1, (86, 6) = -0.14949706357927807e-1, (86, 7) = 0.14986710460803207e-1, (87, 1) = -0.25646494959249203e-1, (87, 2) = 0.12251513377893835e-1, (87, 3) = .8057135493898496, (87, 4) = 0.6757992094013747e-1, (87, 5) = -0.21123132884899316e-1, (87, 6) = -0.139960292467264e-1, (87, 7) = 0.1410018570481624e-1, (88, 1) = -0.2485728164590901e-1, (88, 2) = 0.1182452710951371e-1, (88, 3) = .810099673559902, (88, 4) = 0.662141300173103e-1, (88, 5) = -0.20540530236292587e-1, (88, 6) = -0.13099256789703594e-1, (88, 7) = 0.13261304969175512e-1, (89, 1) = -0.24095752574361837e-1, (89, 2) = 0.11415634281844061e-1, (89, 3) = .81439588423751, (89, 4) = 0.6488632633494537e-1, (89, 5) = -0.19979454728118753e-1, (89, 6) = -0.12256303574946446e-1, (89, 7) = 0.12467865124264153e-1, (90, 1) = -0.23360735056253266e-1, (90, 2) = 0.11023862257792366e-1, (90, 3) = .8186046839450801, (90, 4) = 0.6359510950556727e-1, (90, 5) = -0.19438812716351027e-1, (90, 6) = -0.11464223580929493e-1, (90, 7) = 0.11717736023153343e-1, (91, 1) = -0.2265111611151706e-1, (91, 2) = 0.1064830254895494e-1, (91, 3) = .8227285009951595, (91, 4) = 0.6233914441576576e-1, (91, 5) = -0.18917581245871496e-1, (91, 6) = -0.107202077302794e-1, (91, 7) = 0.11008861577261891e-1, (92, 1) = -0.2196584274078579e-1, (92, 2) = 0.10288107863924782e-1, (92, 3) = .8267696687449231, (92, 4) = 0.61117164378142505e-1, (92, 5) = -0.1841480544345323e-1, (92, 6) = -0.10021583648716392e-1, (92, 7) = 0.10339262962135297e-1, (93, 1) = -0.2130397508619256e-1, (93, 2) = 0.9942516911301724e-2, (93, 3) = .8307300855152587, (93, 4) = 0.5992806977704981e-1, (93, 5) = -0.17929634945322494e-1, (93, 6) = -0.9365866049369924e-2, (93, 7) = 0.970709083685181e-2, (94, 1) = -0.2066452832678662e-1, (94, 2) = 0.9610769117033199e-2, (94, 3) = .8346121380272766, (94, 4) = 0.5877064728357242e-1, (94, 5) = -0.1746120573842817e-1, (94, 6) = -0.8750596954165865e-2, (94, 7) = 0.911047491451652e-2, (95, 1) = -0.20046560655054453e-1, (95, 2) = 0.9292149122341548e-2, (95, 3) = .8384181810565843, (95, 4) = 0.57643726773201474e-1, (95, 5) = -0.17008702762303107e-1, (95, 6) = -0.8173438423547898e-2, (95, 7) = 0.8547615193482865e-2, (96, 1) = -0.19449237677365155e-1, (96, 2) = 0.8986017628093307e-2, (96, 3) = .8421501190891273, (96, 4) = 0.5654630194311316e-1, (96, 5) = -0.16571405188902044e-1, (96, 6) = -0.7632228495991538e-2, (96, 7) = 0.8016840145398394e-2, (97, 1) = -0.1887178595166975e-1, (97, 2) = 0.8691784937252454e-2, (97, 3) = .8458096605035292, (97, 4) = 0.5547745035158284e-1, (97, 5) = -0.1614865074893827e-1, (97, 6) = -0.7124930043201029e-2, (97, 7) = 0.7516560842447098e-2, (98, 1) = -0.18313379572760476e-1, (98, 2) = 0.8408851695186157e-2, (98, 3) = .8493990293787306, (98, 4) = 0.5443612442522976e-1, (98, 5) = -0.15739751272481037e-1, (98, 6) = -0.6649530877556062e-2, (98, 7) = 0.70451749307516515e-2, (99, 1) = -0.17773411236805755e-1, (99, 2) = 0.8136744850270912e-2, (99, 3) = .8529192148774755, (99, 4) = 0.5342165809334678e-1, (99, 5) = -0.15344189900285105e-1, (99, 6) = -0.6204273518435405e-2, (99, 7) = 0.660129692855998e-2, (100, 1) = -0.17251057251932208e-1, (100, 2) = 0.7874896343931133e-2, (100, 3) = .8563727717832911, (100, 4) = 0.52432954840383246e-1, (100, 5) = -0.14961301341491364e-1, (100, 6) = -0.5787287135105179e-2, (100, 7) = 0.6183395118813691e-2, (101, 1) = -0.16745629644977163e-1, (101, 2) = 0.7622820263324776e-2, (101, 3) = .8597615482839938, (101, 4) = 0.51469145618834776e-1, (101, 5) = -0.14590528608898094e-1, (101, 6) = -0.5396885129046895e-2, (101, 7) = 0.5790089139105677e-2, (102, 1) = -0.16256523054212938e-1, (102, 2) = 0.7380084027582768e-2, (102, 3) = .8630869913915394, (102, 4) = 0.5052949522528311e-1, (102, 5) = -0.14231383298385903e-1, (102, 6) = -0.5031509922179083e-2, (102, 7) = 0.5420098775343518e-2, (103, 1) = -0.15783100427777905e-1, (103, 2) = 0.7146250386892193e-2, (103, 3) = .8663509059017817, (103, 4) = 0.49613185415921565e-1, (103, 5) = -0.13883360876220033e-1, (103, 6) = -0.4689642631979475e-2, (103, 7) = 0.5072155149894696e-2, (104, 1) = -0.15324740843082107e-1, (104, 2) = 0.6920900620324958e-2, (104, 3) = .8695551374490673, (104, 4) = 0.487194055183293e-1, (104, 5) = -0.1354597487810146e-1, (104, 6) = -0.4369840628700971e-2, (104, 7) = 0.4745040251323027e-2, (105, 1) = -0.14880999220591645e-1, (105, 2) = 0.6703711752799031e-2, (105, 3) = .8727004295170955, (105, 4) = 0.47847667825719004e-1, (105, 5) = -0.13218873957203307e-1, (105, 6) = -0.40708417306626115e-2, (105, 7) = 0.4437696279601702e-2, (106, 1) = -0.1445129941189121e-1, (106, 2) = 0.6494304913053776e-2, (106, 3) = .8757885621654562, (106, 4) = 0.4699721013074634e-1, (106, 5) = -0.12901615364899262e-1, (106, 6) = -0.3791347889312316e-2, (106, 7) = 0.41490062236225e-2, (107, 1) = -0.1403515704995601e-1, (107, 2) = 0.629235416435554e-2, (107, 3) = .8788207857953696, (107, 4) = 0.46167431512408715e-1, (107, 5) = -0.12593828454231555e-1, (107, 6) = -0.35301779967586255e-2, (107, 7) = 0.38779519693393103e-2, (108, 1) = -0.136320985542424e-1, (108, 2) = 0.609754606629572e-2, (108, 3) = .8817983817939085, (108, 4) = 0.45357735223466554e-1, (108, 5) = -0.12295154559359827e-1, (108, 6) = -0.3286209314341815e-2, (108, 7) = 0.3623556002597559e-2, (109, 1) = -0.13241630697811596e-1, (109, 2) = 0.59095645556075434e-2, (109, 3) = .8847228903452787, (109, 4) = 0.44567467123514615e-1, (109, 5) = -0.12005223871163083e-1, (109, 6) = -0.30583587722556906e-2, (109, 7) = 0.3384863230891416e-2, (110, 1) = -0.12863282318672776e-1, (110, 2) = 0.5728110719682112e-2, (110, 3) = .887595805636143, (110, 4) = 0.437959990098312e-1, (110, 5) = -0.11723685793281906e-1, (110, 6) = -0.2845607745492162e-2, (110, 7) = 0.3160968116694903e-2, (111, 1) = -0.12496650693252929e-1, (111, 2) = 0.5552924358153241e-2, (111, 3) = .8904182090864114, (111, 4) = 0.430428253565388e-1, (111, 5) = -0.1145024320873632e-1, (111, 6) = -0.2647023818928518e-2, (111, 7) = 0.2951039322881783e-2, (112, 1) = -0.12141274016994663e-1, (112, 2) = 0.5383722467612301e-2, (112, 3) = .8931917390779196, (112, 4) = 0.4230730313112941e-1, (112, 5) = -0.11184557142440503e-1, (112, 6) = -0.2461688048783101e-2, (112, 7) = 0.27542443791469095e-2, (113, 1) = -0.1179681022215186e-1, (113, 2) = 0.5220284141143336e-2, (113, 3) = .8959172018453189, (113, 4) = 0.4158902099552602e-1, (113, 5) = -0.10926379958254132e-1, (113, 6) = -0.228878818143032e-2, (113, 7) = 0.25698496698628556e-2, (114, 1) = -0.11462903989906546e-1, (114, 2) = 0.5062386550384448e-2, (114, 3) = .8985955842843032, (114, 4) = 0.4088752771952661e-1, (114, 5) = -0.10675456024997696e-1, (114, 6) = -0.21275434552632607e-2, (114, 7) = 0.23971422191936325e-2, (115, 1) = -0.11139174973080628e-1, (115, 2) = 0.4909799283650963e-2, (115, 3) = .901228160676181, (115, 4) = 0.40202305706456845e-1, (115, 5) = -0.10431512339945794e-1, (115, 6) = -0.1977199961864016e-2, (115, 7) = 0.22354254347508886e-2, (116, 1) = -0.10825272392179685e-1, (116, 2) = 0.4762309923951511e-2, (116, 3) = .9038160568685645, (116, 4) = 0.3953288543830951e-1, (116, 5) = -0.10194299223128396e-1, (116, 6) = -0.18370560679884847e-2, (116, 7) = 0.2084047263144361e-2, (117, 1) = -0.10520888096597018e-1, (117, 2) = 0.4619729729543349e-2, (117, 3) = .9063601272182191, (117, 4) = 0.38878875566455126e-1, (117, 5) = -0.9963600208344612e-2, (117, 6) = -0.1706464442997396e-2, (117, 7) = 0.1942403596612181e-2, (118, 1) = -0.10225676992181737e-1, (118, 2) = 0.4481856038925428e-2, (118, 3) = .9088616122353441, (118, 4) = 0.38239793038485445e-1, (118, 5) = -0.9739171632595673e-2, (118, 6) = -0.15847955131765516e-2, (118, 7) = 0.18098996209028528e-2, (119, 1) = -0.9939367324640893e-2, (119, 2) = 0.4348523632722225e-2, (119, 3) = .9113212093702816, (119, 4) = 0.376153011508749e-1, (119, 5) = -0.9520826147011394e-2, (119, 6) = -0.14714824659729727e-2, (119, 7) = 0.168599953627451e-2, (120, 1) = -0.966163872941871e-2, (120, 2) = 0.4219547534554702e-2, (120, 3) = .9137401023351425, (120, 4) = 0.3700494616750579e-1, (120, 5) = -0.9308339878721775e-2, (120, 6) = -0.1365969153112434e-2, (120, 7) = 0.15701706401611438e-2, (121, 1) = -0.9392198385188308e-2, (121, 2) = 0.4094758396609424e-2, (121, 3) = .9161193161473176, (121, 4) = 0.3640832219382344e-1, (121, 5) = -0.9101510124887554e-2, (121, 6) = -0.12677402606956771e-2, (121, 7) = 0.14619168884890783e-2, (122, 1) = -0.9130776619449235e-2, (122, 2) = 0.3974000157039127e-2, (122, 3) = .918459743389031, (122, 4) = 0.3582506324812699e-1, (122, 5) = -0.8900152062547061e-2, (122, 6) = -0.11763168046591919e-2, (122, 7) = 0.13607747932710109e-2, (123, 1) = -0.8877130053322135e-2, (123, 2) = 0.3857131220204234e-2, (123, 3) = .9207621042586911, (123, 4) = 0.3525485195379574e-1, (123, 5) = -0.8704101261672068e-2, (123, 6) = -0.10912546315821271e-2, (123, 7) = 0.1266312536775268e-2, (124, 1) = -0.8631034803741748e-2, (124, 2) = 0.37440210705135487e-2, (124, 3) = .9230269958510547, (124, 4) = 0.3469740599658427e-1, (124, 5) = -0.8513208555597203e-2, (124, 6) = -0.10121396610135644e-2, (124, 7) = 0.11781253977221063e-2, (125, 1) = -0.8392212157745564e-2, (125, 2) = 0.3634516023268043e-2, (125, 3) = .925255580609136, (125, 4) = 0.34152309214020814e-1, (125, 5) = -0.8327282158857823e-2, (125, 6) = -0.938563455856944e-3, (125, 7) = 0.10958089996215903e-2, (126, 1) = -0.8160425838712085e-2, (126, 2) = 0.35284838627545256e-2, (126, 3) = .9274486979359966, (126, 4) = 0.33619231067228195e-1, (126, 5) = -0.8146162840536838e-2, (126, 6) = -0.8701541170718898e-3, (126, 7) = 0.10189941909763463e-2, (127, 1) = -0.7935451067583034e-2, (127, 2) = 0.34257994141029054e-2, (127, 3) = .9296071384367649, (127, 4) = 0.3309785803833924e-1, (127, 5) = -0.7969700041420233e-2, (127, 6) = -0.8065641728294864e-3, (127, 7) = 0.9473341253719798e-3, (128, 1) = -0.7717070876205519e-2, (128, 2) = 0.33263427207529334e-2, (128, 3) = .9317316751472142, (128, 4) = 0.3258788569860931e-1, (128, 5) = -0.7797748970274931e-2, (128, 6) = -0.7474681438722301e-3, (128, 7) = 0.880502001232945e-3, (129, 1) = -0.7505076125168032e-2, (129, 2) = 0.3229998933900569e-2, (129, 3) = .9338230607702328, (129, 4) = 0.32089019152014744e-1, (129, 5) = -0.7630170580490721e-2, (129, 6) = -0.6925613591197516e-3, (129, 7) = 0.8181901587854764e-3, (130, 1) = -0.7299265171632634e-2, (130, 2) = 0.3136658050225978e-2, (130, 3) = .9358820282972874, (130, 4) = 0.31600972661932875e-1, (130, 5) = -0.7466831279916698e-2, (130, 6) = -0.6415587231086209e-3, (130, 7) = 0.7601090888409613e-3, (131, 1) = -0.7099443565783825e-2, (131, 2) = 0.30462146709149766e-2, (131, 3) = .9379092914859827, (131, 4) = 0.31123469324561948e-1, (131, 5) = -0.7307602667855831e-2, (131, 6) = -0.5941935510054997e-3, (131, 7) = 0.7059864851990976e-3, (132, 1) = -0.6905423747524692e-2, (132, 2) = 0.2958567768435871e-2, (132, 3) = .9399055454663998, (132, 4) = 0.30656240723360338e-1, (132, 5) = -0.71523612763047355e-2, (132, 6) = -0.5502164615731298e-3, (132, 7) = 0.655566332104778e-3, (133, 1) = -0.6717024757245861e-2, (133, 2) = 0.2873620466790021e-2, (133, 3) = .9418714673375305, (133, 4) = 0.30199026597440937e-1, (133, 5) = -0.7000988325823573e-2, (133, 6) = -0.5093943297131232e-3, (133, 7) = 0.6086080307940107e-3, (134, 1) = -0.6534071959760502e-2, (134, 2) = 0.27912798342734552e-2, (134, 3) = .9438077167561614, (134, 4) = 0.29751574522758853e-1, (134, 5) = -0.6853369494924661e-2, (134, 6) = -0.4715092959902402e-3, (134, 7) = 0.5648855642822292e-3, (135, 1) = -0.6356396787514922e-2, (135, 2) = 0.27114566909829225e-2, (135, 3) = .9457149364454033, (135, 4) = 0.2931363962219971e-1, (135, 5) = -0.6709394707597642e-2, (135, 6) = -0.43635783194643206e-3, (135, 7) = 0.5241867010441891e-3, (136, 1) = -0.61838364891480474e-2, (136, 2) = 0.263406542432135e-2, (136, 3) = .947593752761815, (136, 4) = 0.28884984271701088e-1, (136, 5) = -0.6568957927472171e-2, (136, 6) = -0.4037498558821582e-3, (136, 7) = 0.4863122333420328e-3, (137, 1) = -0.601623387000051e-2, (137, 2) = 0.2559023806114614e-2, (137, 3) = .9494447764708851, (137, 4) = 0.28465377768764184e-1, (137, 5) = -0.6431956947208897e-2, (137, 6) = -0.3735078948773748e-3, (137, 7) = 0.4510752470303723e-3, (138, 1) = -0.5853437072325423e-2, (138, 2) = 0.2486252832368632e-2, (138, 3) = .9512686032079182, (138, 4) = 0.280545960825053e-1, (138, 5) = -0.6298293211671902e-2, (138, 6) = -0.34546629992478233e-3, (138, 7) = 0.4183004324945519e-3, (139, 1) = -0.5695299345566016e-2, (139, 2) = 0.24156765630166848e-2, (139, 3) = .9530658141549968, (139, 4) = 0.276524215633124e-1, (139, 5) = -0.6167871634365016e-2, (139, 6) = -0.31947050232195343e-3, (139, 7) = 0.3878234245464183e-3, (140, 1) = -0.554167885830191e-2, (140, 2) = 0.23472219843972985e-2, (140, 3) = .9548369763523616, (140, 4) = 0.27258642742879598e-1, (140, 5) = -0.60406004492652874e-2, (140, 6) = -0.2953763182049148e-3, (140, 7) = 0.35949018078556665e-3, (141, 1) = -0.5392438520624993e-2, (141, 2) = 0.22808188801119096e-2, (141, 3) = .9565826429700981, (141, 4) = 0.2687305414886625e-1, (141, 5) = -0.5916391072664268e-2, (141, 6) = -0.27304929294300013e-3, (141, 7) = 0.3331563901813197e-3, (142, 1) = -0.52474458312329955e-2, (142, 2) = 0.22163997163235374e-2, (142, 3) = .958303353361792, (142, 4) = 0.26495456172530026e-1, (142, 5) = -0.57951579868950375e-2, (142, 6) = -0.252364085464996e-3, (142, 7) = 0.30868691325215805e-3, (143, 1) = -0.5106572684456149e-2, (143, 2) = 0.2153899512449706e-2, (143, 3) = .9599996336604034, (143, 4) = 0.26125654821718747e-1, (143, 5) = -0.5676818591723513e-2, (143, 6) = -0.23320388139026565e-3, (143, 7) = 0.2859552418854789e-3, (144, 1) = -0.496969518374495e-2, (144, 2) = 0.20932557178244982e-2, (144, 3) = .961671997397204, (144, 4) = 0.25763461476510423e-1, (144, 5) = -0.5561293061337471e-2, (144, 6) = -0.21545984131697018e-3, (144, 7) = 0.2648429873310176e-3, (145, 1) = -0.4836693490181476e-2, (145, 2) = 0.2034408106735575e-2, (145, 3) = .963320945785362, (145, 4) = 0.2540869272435785e-1, (145, 5) = -0.5448504231053388e-2, (145, 6) = -0.1990305859062199e-3, (145, 7) = 0.2452393994183257e-3, (146, 1) = -0.4707451672732042e-2, (146, 2) = 0.19772986768169993e-2, (146, 3) = .9649469680512343, (146, 4) = 0.2506117018958842e-1, (146, 5) = -0.5338377485993881e-2, (146, 6) = -0.1838217110432586e-3, (146, 7) = 0.22704091004977484e-3, (147, 1) = -0.4581857567572001e-2, (147, 2) = 0.1921871553865193e-2, (147, 3) = .9665505417213073, (147, 4) = 0.24720720377034513e-1, (147, 5) = -0.5230840657806015e-2, (147, 6) = -0.16974533250776132e-3, (147, 7) = 0.21015070120431977e-3, (148, 1) = -0.4459802644110297e-2, (148, 2) = 0.18680729018499408e-2, (148, 3) = .9681321328883635, (148, 4) = 0.2438717452423778e-1, (148, 5) = -0.5125823927380249e-2, (148, 6) = -0.1567196582818594e-3, (148, 7) = 0.19447829607891086e-3, (149, 1) = -0.4341181888026249e-2, (149, 2) = 0.18158508424962229e-2, (149, 3) = .9696921963155168, (149, 4) = 0.24060368491380577e-1, (149, 5) = -0.5023259742466551e-2, (149, 6) = -0.1446685880441674e-3, (149, 7) = 0.1799391736386374e-3, (150, 1) = -0.4225893650637279e-2, (150, 2) = 0.17651553619765716e-2, (150, 3) = .9712311760403447, (150, 4) = 0.23740142549888144e-1, (150, 5) = -0.4923082706327167e-2, (150, 6) = -0.13352133330447443e-3, (150, 7) = 0.16645439943325225e-3, (151, 1) = -0.4113839530268126e-2, (151, 2) = 0.17159382335444216e-2, (151, 3) = .9727495056336701, (151, 4) = 0.2342634124862383e-1, (151, 5) = -0.4825229493689177e-2, (151, 6) = -0.1232120640465816e-3, (151, 7) = 0.1539502804262958e-3, (152, 1) = -0.4004924259857473e-2, (152, 2) = 0.16681529445863694e-2, (152, 3) = .9742476084300418, (152, 4) = 0.23118813289296117e-1, (152, 5) = -0.4729638772087287e-2, (152, 6) = -0.11367957746503508e-3, (152, 7) = 0.1423580391973025e-3, (153, 1) = -0.3899055593040416e-2, (153, 2) = 0.16217546245721791e-2, (153, 3) = .9757258978340067, (153, 4) = 0.22817411389538758e-1, (153, 5) = -0.463625112173974e-2, (153, 6) = -0.10486698691294358e-3, (153, 7) = 0.13161350583831e-3, (154, 1) = -0.37961441950964078e-2, (154, 2) = 0.15766999766100972e-2, (154, 3) = .9771847776170947, (154, 4) = 0.22521992151470806e-1, (154, 5) = -0.4545008959412762e-2, (154, 6) = -0.967214305737495e-4, (154, 7) = 0.121656827512054e-3, (155, 1) = -0.36961035417064788e-2, (155, 2) = 0.15329472137910675e-2, (155, 3) = .9786246421596811, (155, 4) = 0.22232415944730063e-1, (155, 5) = -0.445585646888749e-2, (155, 6) = -0.8919379893818854e-4, (155, 7) = 0.11243219508397924e-3, (156, 1) = -0.3598849831342047e-2, (156, 2) = 0.14904560027590857e-2, (156, 3) = .9800458765440385, (156, 4) = 0.21948546822007864e-1, (156, 5) = -0.4368739543349211e-2, (156, 6) = -0.8223848033365505e-4, (156, 7) = 0.10388758640877828e-3, (157, 1) = -0.3504301864036683e-2, (157, 2) = 0.1449187393779194e-2, (157, 3) = .9814488571872236, (157, 4) = 0.21670252329442523e-1, (157, 5) = -0.4283605697341341e-2, (157, 6) = -0.7581312014106669e-4, (157, 7) = 0.9597452136763151e-4, (158, 1) = -0.34129493089673224e-2, (158, 2) = 0.14093514910030092e-2, (158, 3) = .9828253219279554, (158, 4) = 0.21399097573883887e-1, (158, 5) = -0.4200919799199968e-2, (158, 6) = -0.6991415932376671e-4, (158, 7) = 0.8869203721112217e-4, (159, 1) = -0.33271103446682673e-2, (159, 2) = 0.13719539824332608e-2, (159, 3) = .9841383236747088, (159, 4) = 0.21142196023966428e-1, (159, 5) = -0.4122824677830502e-2, (159, 6) = -0.6464305200947549e-4, (159, 7) = 0.8216929414664662e-4, (160, 1) = -0.3246888216871749e-2, (160, 2) = 0.13370335160016358e-2, (160, 3) = .985383387995297, (160, 4) = 0.209001807532975e-1, (160, 5) = -0.4049476099124505e-2, (160, 6) = -0.5995056210962825e-4, (160, 7) = 0.7634950158779991e-4, (161, 1) = -0.31717820489926096e-2, (161, 2) = 0.13043663241526988e-2, (161, 3) = .9865655002073301, (161, 4) = 0.2067184982425839e-1, (161, 5) = -0.3980475008201402e-2, (161, 6) = -0.5575831327685825e-4, (161, 7) = 0.7113901558701944e-4, (162, 1) = -0.3101283157089607e-2, (162, 2) = 0.12737262794573984e-2, (162, 3) = .9876901928502866, (162, 4) = 0.20455929268952944e-1, (162, 5) = -0.3915405955558736e-2, (162, 6) = -0.51996993884276855e-4, (162, 7) = 0.6645462049558117e-4, (163, 1) = -0.3034948752530318e-2, (163, 2) = 0.12449168007795967e-2, (163, 3) = .9887623477334817, (163, 4) = 0.2025130191646246e-1, (163, 5) = -0.38539057244155925e-2, (163, 6) = -0.4860889607355352e-4, (163, 7) = 0.6222686084568878e-4, (164, 1) = -0.29723938930752585e-2, (164, 2) = 0.12177671724348386e-2, (164, 3) = .9897862525363109, (164, 4) = 0.20056990944072855e-1, (164, 5) = -0.37956574648679202e-2, (164, 6) = -0.45545777125153235e-4, (164, 7) = 0.58397541801037944e-4, (165, 1) = -0.29132816972746683e-2, (165, 2) = 0.11921281484142164e-2, (165, 3) = .9907656989607102, (165, 4) = 0.19872136498653162e-1, (165, 5) = -0.3740382918721448e-2, (165, 6) = -0.427670184725108e-4, (165, 7) = 0.5491755877317205e-4, (166, 1) = -0.28573153562169145e-2, (166, 2) = 0.11678683701705991e-2, (166, 3) = .9917040645449797, (166, 4) = 0.1969597641041645e-1, (166, 5) = -0.3687836034699237e-2, (166, 6) = -0.4023818885023187e-4, (166, 7) = 0.51745199342617154e-4, (167, 1) = -0.28042322593080844e-2, (167, 2) = 0.1144871726603264e-2, (167, 3) = .9926043695551816, (167, 4) = 0.19527832369525187e-1, (167, 5) = -0.36377983421639662e-2, (167, 6) = -0.37929943037897354e-4, (167, 7) = 0.488448409496686e-4, (168, 1) = -0.2753799130211681e-2, (168, 2) = 0.1123035170937828e-2, (168, 3) = .9934693246139872, (168, 4) = 0.19367098410542075e-1, (168, 5) = -0.3590075107388287e-2, (168, 6) = -0.358171430611698e-4, (168, 7) = 0.4618590926945546e-4, (169, 1) = -0.27058079781715864e-2, (169, 2) = 0.11022669058035406e-2, (169, 3) = .9943013707458818, (169, 4) = 0.19213231273768283e-1, (169, 5) = -0.3544492124080056e-2, (169, 6) = -0.3387815201610202e-4, (169, 7) = 0.4374203936585028e-4, (170, 1) = -0.26600725198970194e-2, (170, 2) = 0.10824847840107225e-2, (170, 3) = .9951027165532491, (170, 4) = 0.19065741682178818e-1, (170, 5) = -0.35008928380502657e-2, (170, 6) = -0.3209425552245678e-4, (170, 7) = 0.41490386487098785e-4, (171, 1) = -0.26164251077657906e-2, (171, 2) = 0.10636149381462077e-2, (171, 3) = .995875371044721, (171, 4) = 0.18924186748013903e-1, (171, 5) = -0.3459135858949456e-2, (171, 6) = -0.30449189658006313e-4, (171, 7) = 0.3941106244803707e-4, (172, 1) = -0.25747154845888296e-2, (172, 2) = 0.10455912073515348e-2, (172, 3) = .9966211475552713, (172, 4) = 0.18788167920810266e-1, (172, 5) = -0.34190941466821535e-2, (172, 6) = -0.2892880415481513e-4, (172, 7) = 0.3748673617539756e-4, (173, 1) = -0.2534807981217631e-2, (173, 2) = 0.10283538966235138e-2, (173, 3) = .9973416977524165, (173, 4) = 0.18657323601527533e-1, (173, 5) = -0.33806526539177733e-2, (173, 6) = -0.2752071779279574e-4, (173, 7) = 0.35702219193114476e-4, (174, 1) = -0.24965796986488663e-2, (174, 2) = 0.10118489671315971e-2, (174, 3) = .9980385309827882, (174, 4) = 0.18531324646632825e-1, (174, 5) = -0.3343706853010833e-2, (174, 6) = -0.26214056372779796e-4, (174, 7) = 0.3404415118123037e-4, (175, 1) = -0.24599190164938103e-2, (175, 2) = 0.9960273716355223e-3, (175, 3) = .9987130298125714, (175, 4) = 0.18409870712982543e-1, (175, 5) = -0.3308161533747031e-2, (175, 6) = -0.24999237164889492e-4, (175, 7) = 0.3250074101975441e-4, (176, 1) = -0.2424724307108064e-2, (176, 2) = 0.9808444820542108e-3, (176, 3) = .999366463543249, (176, 4) = 0.18292687091506932e-1, (176, 5) = -0.32739297639363773e-2, (176, 6) = -0.2386778854087962e-4, (176, 7) = 0.31061549736597884e-4, (177, 1) = -0.23909028232950774e-2, (177, 2) = 0.9662595947245867e-3, (177, 3) = 1.0, (177, 4) = 0.18179521955803843e-1, (177, 5) = -0.32409319878966333e-2, (177, 6) = -0.22812198384621496e-4, (177, 7) = 0.29717307791158036e-4}, datatype = float[8], order = C_order); errproc := proc (x_bvp) local outpoint, X, Y, yout, L, V, i; option `Copyright (c) 2000 by Waterloo Maple Inc. All rights reserved.`; Digits := 15; outpoint := evalf(x_bvp); X := Vector(177, {(1) = .1, (2) = .13432431415631105, (3) = .16865165190091197, (4) = .202985958039896, (5) = .23732533659105348, (6) = .2716788241585104, (7) = .30604559361419775, (8) = .3404355394485909, (9) = .3748529011933503, (10) = .4093061022796795, (11) = .44380716982563195, (12) = .47836387534050584, (13) = .512995852912669, (14) = .5477165596092971, (15) = .5825440749488203, (16) = .617499631782922, (17) = .6526070635536141, (18) = .6878927128084736, (19) = .7233862578282453, (20) = .7591205797331673, (21) = .795131110399485, (22) = .8314537516454595, (23) = .868136597156794, (24) = .9052215072936881, (25) = .9427566773054169, (26) = .9807963691446203, (27) = 1.019390250121844, (28) = 1.0585930956320206, (29) = 1.0984604169171555, (30) = 1.1390444870104077, (31) = 1.1804077038174698, (32) = 1.222605314046431, (33) = 1.2656867522025514, (34) = 1.3097007904581703, (35) = 1.35469069615675, (36) = 1.4006929822839422, (37) = 1.447731690331962, (38) = 1.4958369065409785, (39) = 1.5450201198096045, (40) = 1.5952810827286137, (41) = 1.646612127195734, (42) = 1.6989954066809312, (43) = 1.7524040840585657, (44) = 1.806801993976599, (45) = 1.862146412251251, (46) = 1.9183893448840852, (47) = 1.9754805768192913, (48) = 2.0333655491409464, (49) = 2.09198758848087, (50) = 2.1512911903998386, (51) = 2.2112299885365556, (52) = 2.271742934464316, (53) = 2.3327750130678835, (54) = 2.3942834797609645, (55) = 2.4562254559367735, (56) = 2.518550408638634, (57) = 2.5812184684337374, (58) = 2.6441937416859225, (59) = 2.7074501856327, (60) = 2.770954649679994, (61) = 2.8346761833615464, (62) = 2.898592678498704, (63) = 2.962688121088583, (64) = 3.0269416312716424, (65) = 3.091328430651392, (66) = 3.155836619851239, (67) = 3.220454275768738, (68) = 3.285168541451302, (69) = 3.3499654130373253, (70) = 3.414829585389634, (71) = 3.4797579848516915, (72) = 3.5447435602802027, (73) = 3.609779652754643, (74) = 3.674861152412504, (75) = 3.7399848957435275, (76) = 3.8051508297379377, (77) = 3.8703655596105624, (78) = 3.935652421384301, (79) = 4.001077560861665, (80) = 4.0666510045970385, (81) = 4.132314229225371, (82) = 4.198000337516065, (83) = 4.263680764101562, (84) = 4.329336756026789, (85) = 4.394973340046662, (86) = 4.460588954073379, (87) = 4.526181509768576, (88) = 4.59174993915436, (89) = 4.6572937466339175, (90) = 4.722812832368339, (91) = 4.788307377913861, (92) = 4.853777459964835, (93) = 4.9192172921590585, (94) = 4.98463029125814, (95) = 5.0500209149724435, (96) = 5.115387283230868, (97) = 5.180725066182968, (98) = 5.246040278527776, (99) = 5.3113174587944965, (100) = 5.376570973389221, (101) = 5.44180368691663, (102) = 5.5070118178761875, (103) = 5.572199562571729, (104) = 5.637373294661837, (105) = 5.702517813103393, (106) = 5.767639827784657, (107) = 5.832736032997183, (108) = 5.897804505036399, (109) = 5.962849913789289, (110) = 6.0278771161534, (111) = 6.092882596362824, (112) = 6.157876605520855, (113) = 6.222850932401667, (114) = 6.287802017103068, (115) = 6.352734006431941, (116) = 6.4176483673997975, (117) = 6.482540451739694, (118) = 6.547416149850125, (119) = 6.6122680542862025, (120) = 6.677102130347337, (121) = 6.7419211005546, (122) = 6.8067248666742355, (123) = 6.871509114964304, (124) = 6.936266375612976, (125) = 7.0010059228545805, (126) = 7.065728682384006, (127) = 7.130434804847329, (128) = 7.195124539737002, (129) = 7.259798136520217, (130) = 7.324455844038698, (131) = 7.3890979060419335, (132) = 7.453724561298953, (133) = 7.518336044173569, (134) = 7.582932585751136, (135) = 7.647514413049672, (136) = 7.712081750883993, (137) = 7.776634831889643, (138) = 7.841173896857807, (139) = 7.905699203490006, (140) = 7.970211023056725, (141) = 8.034709635791245, (142) = 8.099195318161058, (143) = 8.163668350318732, (144) = 8.22812902562451, (145) = 8.292577648267015, (146) = 8.357014533032183, (147) = 8.42144000370015, (148) = 8.485854390888106, (149) = 8.550258023403897, (150) = 8.6146512403873, (151) = 8.679034390131827, (152) = 8.74340782797264, (153) = 8.807771917708358, (154) = 8.872127033100252, (155) = 8.93647355737236, (156) = 9.000811876240148, (157) = 9.065142395655199, (158) = 9.129062231749659, (159) = 9.190791738971976, (160) = 9.25002177586793, (161) = 9.306893224933363, (162) = 9.361586616509348, (163) = 9.414263699827062, (164) = 9.46506800130928, (165) = 9.514127801690371, (166) = 9.561558693204324, (167) = 9.60746518855213, (168) = 9.651942086110576, (169) = 9.695075631414408, (170) = 9.73694468456052, (171) = 9.777621794577053, (172) = 9.817172850818734, (173) = 9.855658388735026, (174) = 9.893134209297964, (175) = 9.929651857051025, (176) = 9.965259040121957, (177) = 10.0}, datatype = float[8], order = C_order); Y := Matrix(177, 7, {(1, 1) = .0, (1, 2) = -0.25133563359422095e-9, (1, 3) = .0, (1, 4) = .0, (1, 5) = 0.10748780804799623e-8, (1, 6) = .0, (1, 7) = -0.12934292747785471e-8, (2, 1) = -0.4822236359734921e-9, (2, 2) = 0.1291751262338101e-8, (2, 3) = 0.2499789735445234e-10, (2, 4) = 0.5322412113500357e-9, (2, 5) = -0.955358623267235e-9, (2, 6) = -0.38176982978996947e-9, (2, 7) = 0.1265038035903761e-9, (3, 1) = -0.4735204664889531e-9, (3, 2) = 0.9491466074483928e-9, (3, 3) = 0.4690091191230549e-10, (3, 4) = 0.5390956681805285e-9, (3, 5) = -0.7348597717138394e-9, (3, 6) = -0.40462997460214207e-9, (3, 7) = 0.7799800614856019e-10, (4, 1) = -0.4441257733459236e-9, (4, 2) = 0.7306037721941427e-9, (4, 3) = 0.6619035958041333e-10, (4, 4) = 0.5179121302450025e-9, (4, 5) = -0.570792194199048e-9, (4, 6) = -0.4041232372754603e-9, (4, 7) = 0.46984083322823474e-10, (5, 1) = -0.4191825922957931e-9, (5, 2) = 0.5972268762890003e-9, (5, 3) = 0.8413990150978722e-10, (5, 4) = 0.4985304486898765e-9, (5, 5) = -0.4702779357079129e-9, (5, 6) = -0.4019082568446425e-9, (5, 7) = 0.4082047310759462e-10, (6, 1) = -0.3986834175702839e-9, (6, 2) = 0.5078126984926554e-9, (6, 3) = 0.10125193344200593e-9, (6, 4) = 0.4822548440970703e-9, (6, 5) = -0.4037856571615858e-9, (6, 6) = -0.3997114276374773e-9, (6, 7) = 0.44757214339682084e-10, (7, 1) = -0.3813655097444669e-9, (7, 2) = 0.44322817506744626e-9, (7, 3) = 0.1177488502857477e-9, (7, 4) = 0.4683243907117529e-9, (7, 5) = -0.35642964265749337e-9, (7, 6) = -0.39751044675552513e-9, (7, 7) = 0.52360437146100357e-10, (8, 1) = -0.36633339855577963e-9, (8, 2) = 0.39403541257141004e-9, (8, 3) = 0.13375396569863634e-9, (8, 4) = 0.4560893201559204e-9, (8, 5) = -0.32077279352188766e-9, (8, 6) = -0.3951844650021857e-9, (8, 7) = 0.6104103873575669e-10, (9, 1) = -0.3530110444986799e-9, (9, 2) = 0.3551251388394599e-9, (9, 3) = 0.14934196109816663e-9, (9, 4) = 0.4451182466955199e-9, (9, 5) = -0.2928117915068498e-9, (9, 6) = -0.3926669510728056e-9, (9, 7) = 0.6973390343747467e-10, (10, 1) = -0.34102088912595253e-9, (10, 2) = 0.3234631262334646e-9, (10, 3) = 0.16456602449853078e-9, (10, 4) = 0.4351229121500295e-9, (10, 5) = -0.27020202072419514e-9, (10, 6) = -0.38992802616804567e-9, (10, 7) = 0.7800637668800004e-10, (11, 1) = -0.33009810558916964e-9, (11, 2) = 0.29712810504566086e-9, (11, 3) = 0.1794671206264596e-9, (11, 4) = 0.42590380686280173e-9, (11, 5) = -0.25147578918457037e-9, (11, 6) = -0.38695966267997214e-9, (11, 7) = 0.8569539295634197e-10, (12, 1) = -0.32005141372407416e-9, (12, 2) = 0.2748390161414916e-9, (12, 3) = 0.19407559035522606e-9, (12, 4) = 0.4173192828796213e-9, (12, 5) = -0.23566948004497193e-9, (12, 6) = -0.38376658741537674e-9, (12, 7) = 0.9275123416959122e-10, (13, 1) = -0.3107415781995943e-9, (13, 2) = 0.25569566715949626e-9, (13, 3) = 0.20842107524399382e-9, (13, 4) = 0.4092616740027893e-9, (13, 5) = -0.2221146462535113e-9, (13, 6) = -0.3803576532325859e-9, (13, 7) = 0.9918763909766301e-10, (14, 1) = -0.3020547486931774e-9, (14, 2) = 0.23905632169492564e-9, (14, 3) = 0.22252653396896042e-9, (14, 4) = 0.40165000386117793e-9, (14, 5) = -0.21033646928053961e-9, (14, 6) = -0.3767450629818431e-9, (14, 7) = 0.1050316206286602e-9, (15, 1) = -0.2939050674611193e-9, (15, 2) = 0.2244410956663784e-9, (15, 3) = 0.2364129701052877e-9, (15, 4) = 0.39442041537530405e-9, (15, 5) = -0.1999871871687752e-9, (15, 6) = -0.3729413746558997e-9, (15, 7) = 0.11032191552202252e-9, (16, 1) = -0.286222106757177e-9, (16, 2) = 0.21148559484473567e-9, (16, 3) = 0.2501005847357134e-9, (16, 4) = 0.38752041128926003e-9, (16, 5) = -0.19080406100056436e-9, (16, 6) = -0.36895830719220893e-9, (16, 7) = 0.11509985495828057e-9, (17, 1) = -0.27894813473489e-9, (17, 2) = 0.19990993266642248e-9, (17, 3) = 0.2636080867768676e-9, (17, 4) = 0.38090785767399594e-9, (17, 5) = -0.18258498829123314e-9, (17, 6) = -0.3648063902168073e-9, (17, 7) = 0.11940455739879428e-9, (18, 1) = -0.27203377299844357e-9, (18, 2) = 0.18949251113976552e-9, (18, 3) = 0.2769531503258719e-9, (18, 4) = 0.37454645571624524e-9, (18, 5) = -0.17517235332104338e-9, (18, 6) = -0.36049503213976123e-9, (18, 7) = 0.12327029378294546e-9, (19, 1) = -0.2654380018357667e-9, (19, 2) = 0.18005609524436158e-9, (19, 3) = 0.29015352124528096e-9, (19, 4) = 0.36840588937618217e-9, (19, 5) = -0.1684404255060993e-9, (19, 6) = -0.35603302336135194e-9, (19, 7) = 0.12672994380140462e-9, (20, 1) = -0.2591249207945148e-9, (20, 2) = 0.17145908392284244e-9, (20, 3) = 0.3032258092511636e-9, (20, 4) = 0.3624596527318036e-9, (20, 5) = -0.16228840536977783e-9, (20, 6) = -0.3514279783195208e-9, (20, 7) = 0.1298127371652538e-9, (21, 1) = -0.25306422276752354e-9, (21, 2) = 0.16358246686013007e-9, (21, 3) = 0.31618709867295386e-9, (21, 4) = 0.3566852140556996e-9, (21, 5) = -0.15663281162411897e-9, (21, 6) = -0.3466852074439036e-9, (21, 7) = 0.13254460203844536e-9, (22, 1) = -0.24722947014827626e-9, (22, 2) = 0.15633237994447384e-9, (22, 3) = 0.32905279765740313e-9, (22, 4) = 0.35106197738678446e-9, (22, 5) = -0.15140702081415211e-9, (22, 6) = -0.34181104869694363e-9, (22, 7) = 0.1349481998052051e-9, (23, 1) = -0.24159525855122816e-9, (23, 2) = 0.14962663284565797e-9, (23, 3) = 0.34184129986409534e-9, (23, 4) = 0.3455710901981431e-9, (23, 5) = -0.1465545388780879e-9, (23, 6) = -0.33680799761451423e-9, (23, 7) = 0.13704217031147442e-9, (24, 1) = -0.23614219852260766e-9, (24, 2) = 0.14339762247954253e-9, (24, 3) = 0.35456787888180087e-9, (24, 4) = 0.3401969862063632e-9, (24, 5) = -0.14202679880817453e-9, (24, 6) = -0.33167891838231315e-9, (24, 7) = 0.13884542358546385e-9, (25, 1) = -0.23085059138136459e-9, (25, 2) = 0.13758834302914604e-9, (25, 3) = 0.36724842673314724e-9, (25, 4) = 0.3349243442395313e-9, (25, 5) = -0.13778527402894338e-9, (25, 6) = -0.3264271673931953e-9, (25, 7) = 0.14037251215241305e-9, (26, 1) = -0.22570373952624887e-9, (26, 2) = 0.13214994434323748e-9, (26, 3) = 0.3798999867538572e-9, (26, 4) = 0.3297396272364163e-9, (26, 5) = -0.13379429370372647e-9, (26, 6) = -0.3210523981912681e-9, (26, 7) = 0.14163621638420803e-9, (27, 1) = -0.22068712704508097e-9, (27, 2) = 0.1270412908532785e-9, (27, 3) = 0.39253681082283613e-9, (27, 4) = 0.3246307708269583e-9, (27, 5) = -0.13002582884620115e-9, (27, 6) = -0.31555624453007013e-9, (27, 7) = 0.14264832087492047e-9, (28, 1) = -0.21578731325972487e-9, (28, 2) = 0.12222712607848792e-9, (28, 3) = 0.4051735785720333e-9, (28, 4) = 0.319586871397829e-9, (28, 5) = -0.12645492465037684e-9, (28, 6) = -0.3099389237474639e-9, (28, 7) = 0.14341746981326065e-9, (29, 1) = -0.21099190569243325e-9, (29, 2) = 0.11767622332477985e-9, (29, 3) = 0.41782413871370106e-9, (29, 4) = 0.31459713589030673e-9, (29, 5) = -0.12306017230164548e-9, (29, 6) = -0.30420122651924197e-9, (29, 7) = 0.14395168130955385e-9, (30, 1) = -0.2062913796265655e-9, (30, 2) = 0.11336297440012964e-9, (30, 3) = 0.4305002727590064e-9, (30, 4) = 0.30965368144992986e-9, (30, 5) = -0.1198224199722497e-9, (30, 6) = -0.29834324841155765e-9, (30, 7) = 0.14425820561328524e-9, (31, 1) = -0.20167543145855411e-9, (31, 2) = 0.10926367675168289e-9, (31, 3) = 0.4432157990459678e-9, (31, 4) = 0.30474753102929854e-9, (31, 5) = -0.11672648830301723e-9, (31, 6) = -0.29236553478707224e-9, (31, 7) = 0.14434264568809095e-9, (32, 1) = -0.19713587803636631e-9, (32, 2) = 0.10535849256830875e-9, (32, 3) = 0.4559811480098555e-9, (32, 4) = 0.29987149994194555e-9, (32, 5) = -0.11375748988966459e-9, (32, 6) = -0.28626765172624023e-9, (32, 7) = 0.14420916355947746e-9, (33, 1) = -0.19266703741622537e-9, (33, 2) = 0.10163152267693176e-9, (33, 3) = 0.468804140242033e-9, (33, 4) = 0.29501949561639447e-9, (33, 5) = -0.11090365983769633e-9, (33, 6) = -0.28005288243174855e-9, (33, 7) = 0.1438623405988644e-9, (34, 1) = -0.18826236971018196e-9, (34, 2) = 0.9806744012823473e-10, (34, 3) = 0.4816914686457909e-9, (34, 4) = 0.29018599683608335e-9, (34, 5) = -0.1081551639622339e-9, (34, 6) = -0.27372319868693324e-9, (34, 7) = 0.14330559065581606e-9, (35, 1) = -0.18391739026145476e-9, (35, 2) = 0.9465420057864679e-10, (35, 3) = 0.4946471147612365e-9, (35, 4) = 0.28536790964775523e-9, (35, 5) = -0.10550312893821894e-9, (35, 6) = -0.26728271148470323e-9, (35, 7) = 0.14254283649475636e-9, (36, 1) = -0.1796290326417921e-9, (36, 2) = 0.9138103278655448e-10, (36, 3) = 0.5076726524594222e-9, (36, 4) = 0.28056195093997926e-9, (36, 5) = -0.1029400324744031e-9, (36, 6) = -0.26073698096959233e-9, (36, 7) = 0.14157756810199448e-9, (37, 1) = -0.17539547636232187e-9, (37, 2) = 0.8823883513563119e-10, (37, 3) = 0.5207659528703415e-9, (37, 4) = 0.2757676995363159e-9, (37, 5) = -0.10045975867444299e-9, (37, 6) = -0.2540932633148623e-9, (37, 7) = 0.14041329069777054e-9, (38, 1) = -0.1712145116362773e-9, (38, 2) = 0.8521968079420024e-10, (38, 3) = 0.5339253806526229e-9, (38, 4) = 0.2709816307404778e-9, (38, 5) = -0.9805638569026587e-10, (38, 6) = -0.2473594483835658e-9, (38, 7) = 0.1390550150747939e-9, (39, 1) = -0.16708614348926574e-9, (39, 2) = 0.8231706552060182e-10, (39, 3) = 0.547144299171384e-9, (39, 4) = 0.2662056438391908e-9, (39, 5) = -0.9572565144131231e-10, (39, 6) = -0.2405458208104288e-9, (39, 7) = 0.1375077751873039e-9, (40, 1) = -0.16301069952118687e-9, (40, 2) = 0.7952499135640627e-10, (40, 3) = 0.5604133509423026e-9, (40, 4) = 0.26144129521059254e-9, (40, 5) = -0.9346372481169876e-10, (40, 6) = -0.23366459995648096e-9, (40, 7) = 0.13577717678093516e-9, (41, 1) = -0.158989817473586e-9, (41, 2) = 0.7683928985529501e-10, (41, 3) = 0.5737201578239992e-9, (41, 4) = 0.2566900700893248e-9, (41, 5) = -0.9126758012947667e-10, (41, 6) = -0.22672984593116725e-9, (41, 7) = 0.13387053757566127e-9, (42, 1) = -0.15502483153316906e-9, (42, 2) = 0.7425508875677405e-10, (42, 3) = 0.5870514200556596e-9, (42, 4) = 0.251955080921043e-9, (42, 5) = -0.8913398787267396e-10, (42, 6) = -0.21975677997761107e-9, (42, 7) = 0.13179665822801967e-9, (43, 1) = -0.15111813361978065e-9, (43, 2) = 0.717689508221198e-10, (43, 3) = 0.6003915161923434e-9, (43, 4) = 0.24724066175948746e-9, (43, 5) = -0.8706173466119875e-10, (43, 6) = -0.21276123072080293e-9, (43, 7) = 0.12956460370331698e-9, (44, 1) = -0.1472719831472899e-9, (44, 2) = 0.6937737858129648e-10, (44, 3) = 0.61372174261653e-9, (44, 4) = 0.24255055440537196e-9, (44, 5) = -0.850482954542035e-10, (44, 6) = -0.20576167792240652e-9, (44, 7) = 0.12718475337204908e-9, (45, 1) = -0.14348909059030847e-9, (45, 2) = 0.6707735490401772e-10, (45, 3) = 0.6270251558459976e-9, (45, 4) = 0.2378876535417994e-9, (45, 5) = -0.8309171565579169e-10, (45, 6) = -0.19877510496972733e-9, (45, 7) = 0.1246691074748796e-9, (46, 1) = -0.13977224131761695e-9, (46, 2) = 0.6486578381007288e-10, (46, 3) = 0.6402834574063305e-9, (46, 4) = 0.2332605542006165e-9, (46, 5) = -0.8119095085305585e-10, (46, 6) = -0.19181963160364122e-9, (46, 7) = 0.12202970885015615e-9, (47, 1) = -0.13612333265013527e-9, (47, 2) = 0.6273962017101276e-10, (47, 3) = 0.6534782659660732e-9, (47, 4) = 0.22866963665007658e-9, (47, 5) = -0.7934397968198933e-10, (47, 6) = -0.1849128525694979e-9, (47, 7) = 0.11927937650694392e-9, (48, 1) = -0.1325449414570179e-9, (48, 2) = 0.6069601337261652e-10, (48, 3) = 0.6665913117637493e-9, (48, 4) = 0.2241217307746333e-9, (48, 5) = -0.7754946037125802e-10, (48, 6) = -0.17807170048392828e-9, (48, 7) = 0.1164320231963305e-9, (49, 1) = -0.12903865819132066e-9, (49, 2) = 0.5873213259749112e-10, (49, 3) = 0.679606416918663e-9, (49, 4) = 0.21961882325135148e-9, (49, 5) = -0.7580608918744382e-10, (49, 6) = -0.17131288007210077e-9, (49, 7) = 0.11350119171360047e-9, (50, 1) = -0.1256061461749483e-9, (50, 2) = 0.5684506778857276e-10, (50, 3) = 0.692506613829254e-9, (50, 4) = 0.21516617749880193e-9, (50, 5) = -0.7411254642559951e-10, (50, 6) = -0.16465125381821867e-9, (50, 7) = 0.11050012580587676e-9, (51, 1) = -0.12224816114420096e-9, (51, 2) = 0.5503152690500283e-10, (51, 3) = 0.7052806320244042e-9, (51, 4) = 0.21076596885217913e-9, (51, 5) = -0.7246680269519579e-10, (51, 6) = -0.15809991937359541e-9, (51, 7) = 0.10744258215702968e-9, (52, 1) = -0.1189655926860609e-9, (52, 2) = 0.53289087268733294e-10, (52, 3) = 0.7179103764981454e-9, (52, 4) = 0.20642326263827707e-9, (52, 5) = -0.7086755493948269e-10, (52, 6) = -0.15167200258860118e-9, (52, 7) = 0.10434186442026731e-9, (53, 1) = -0.11575985059547016e-9, (53, 2) = 0.516148211081032e-10, (53, 3) = 0.7303863430846644e-9, (53, 4) = 0.20213900611511557e-9, (53, 5) = -0.6931374569883764e-10, (53, 6) = -0.14537942014199397e-9, (53, 7) = 0.10121113477442049e-9, (54, 1) = -0.11263007044960751e-9, (54, 2) = 0.50005730903456676e-10, (54, 3) = 0.7426967671036052e-9, (54, 4) = 0.1979160900085421e-9, (54, 5) = -0.6780348622521023e-10, (54, 6) = -0.13923111798488457e-9, (54, 7) = 0.980620068570324e-10, (55, 1) = -0.1095761940909322e-9, (55, 2) = 0.4845909087022527e-10, (55, 3) = 0.7548353635824616e-9, (55, 4) = 0.19375595267806383e-9, (55, 5) = -0.6633522100935265e-10, (55, 6) = -0.13323534944445024e-9, (55, 7) = 0.9490596285123504e-10, (56, 1) = -0.1065984504918604e-9, (56, 2) = 0.4697226690721809e-10, (56, 3) = 0.7667902304253112e-9, (56, 4) = 0.18965950044270478e-9, (56, 5) = -0.6490771086386615e-10, (56, 6) = -0.1273994576673779e-9, (56, 7) = 0.9175404401695437e-10, (57, 1) = -0.10369595595090755e-9, (57, 2) = 0.45542696012926026e-10, (57, 3) = 0.778556793025425e-9, (57, 4) = 0.1856312972726619e-9, (57, 5) = -0.6351981357404045e-10, (57, 6) = -0.12172894374870717e-9, (57, 7) = 0.8861618584892101e-10, (58, 1) = -0.1008674248650476e-9, (58, 2) = 0.44167509118960435e-10, (58, 3) = 0.7901282528356496e-9, (58, 4) = 0.1816689005601506e-9, (58, 5) = -0.6216955980948554e-10, (58, 6) = -0.11622820480113498e-9, (58, 7) = 0.8550149102221199e-10, (59, 1) = -0.9811216105413218e-10, (59, 2) = 0.4284446467824523e-10, (59, 3) = 0.8015028238903295e-9, (59, 4) = 0.17777286746673866e-9, (59, 5) = -0.6085582711854137e-10, (59, 6) = -0.11089945666474679e-9, (59, 7) = 0.8241775440515545e-10, (60, 1) = -0.954284917777356e-10, (60, 2) = 0.41570814245508714e-10, (60, 3) = 0.8126770292454439e-9, (60, 4) = 0.17394354783946692e-9, (60, 5) = -0.5957709600406618e-10, (60, 6) = -0.10574533301767726e-9, (60, 7) = 0.7937281914298082e-10, (61, 1) = -0.9281564411951234e-10, (61, 2) = 0.4034464547926178e-10, (61, 3) = 0.8236472846736369e-9, (61, 4) = 0.1701833036818964e-9, (61, 5) = -0.5833206612773767e-10, (61, 6) = -0.10076676711512439e-9, (61, 7) = 0.7637315322789134e-10, (62, 1) = -0.9027177347486823e-10, (62, 2) = 0.3916354207986905e-10, (62, 3) = 0.8344124201743041e-9, (62, 4) = 0.16648946902577382e-9, (62, 5) = -0.57119532685498765e-10, (62, 6) = -0.9596390927186278e-10, (62, 7) = 0.7342478496541387e-10, (63, 1) = -0.8779535909357898e-10, (63, 2) = 0.38025284248982297e-10, (63, 3) = 0.8449739575048797e-9, (63, 4) = 0.16286276922895867e-9, (63, 5) = -0.559382759394972e-10, (63, 6) = -0.9133564683145688e-10, (63, 7) = 0.7053216538831238e-10, (64, 1) = -0.85384725616473e-10, (64, 2) = 0.3692798253782136e-10, (64, 3) = 0.8553287704958263e-9, (64, 4) = 0.15930123661278354e-9, (64, 5) = -0.5478695255849285e-10, (64, 6) = -0.8688048760078013e-10, (64, 7) = 0.6769996617461846e-10, (65, 1) = -0.8303858586558454e-10, (65, 2) = 0.3586972810555899e-10, (65, 3) = 0.8654792625877007e-9, (65, 4) = 0.15580572742598036e-9, (65, 5) = -0.5366459334902178e-10, (65, 6) = -0.8259732044904485e-10, (65, 7) = 0.6493223337250637e-10, (66, 1) = -0.807553665752725e-10, (66, 2) = 0.3484874891749666e-10, (66, 3) = 0.8754229593508381e-9, (66, 4) = 0.15237695927329908e-9, (66, 5) = -0.5257035145612129e-10, (66, 6) = -0.7848320040395083e-10, (66, 7) = 0.6223187771979038e-10, (67, 1) = -0.7853315297348665e-10, (67, 2) = 0.3386329237172156e-10, (67, 3) = 0.885165445866046e-9, (67, 4) = 0.1490103257593343e-9, (67, 5) = -0.5150279117922608e-10, (67, 6) = -0.7453518587140608e-10, (67, 7) = 0.5960130904556973e-10, (68, 1) = -0.7637040944820784e-10, (68, 2) = 0.32911598715581086e-10, (68, 3) = 0.8947061739850112e-9, (68, 4) = 0.14570759006284784e-9, (68, 5) = -0.504611198616976e-10, (68, 6) = -0.7075006164056328e-10, (68, 7) = 0.5704255975961135e-10, (69, 1) = -0.7426549605081863e-10, (69, 2) = 0.3199235797200081e-10, (69, 3) = 0.904048186545148e-9, (69, 4) = 0.1424684240627569e-9, (69, 5) = -0.4944443684085938e-10, (69, 6) = -0.6712419841427728e-10, (69, 7) = 0.54557366207916695e-10, (70, 1) = -0.7221736654632416e-10, (70, 2) = 0.3110410103296062e-10, (70, 3) = 0.9131882538741332e-9, (70, 4) = 0.13929036342156035e-9, (70, 5) = -0.4845189373502177e-10, (70, 6) = -0.6365420342795148e-10, (70, 7) = 0.52146975427501514e-10, (71, 1) = -0.7022398200997068e-10, (71, 2) = 0.3024543577941304e-10, (71, 3) = 0.9221360415260171e-9, (71, 4) = 0.1361737081764052e-9, (71, 5) = -0.47482600051318345e-10, (71, 6) = -0.6033547561400346e-10, (71, 7) = 0.49811942430394064e-10, (72, 1) = -0.6828362500748702e-10, (72, 2) = 0.2941489991841159e-10, (72, 3) = 0.930888601393734e-9, (72, 4) = 0.1331159476612379e-9, (72, 5) = -0.4653580535043946e-10, (72, 6) = -0.5716398926445834e-10, (72, 7) = 0.475524649852525e-10, (73, 1) = -0.6639510603152035e-10, (73, 2) = 0.286115228092632e-10, (73, 3) = 0.9394523079129564e-9, (73, 4) = 0.13011733075793917e-9, (73, 5) = -0.4561077481881523e-10, (73, 6) = -0.54135115189872115e-10, (73, 7) = 0.4536866881070352e-10, (74, 1) = -0.645568753974836e-10, (74, 2) = 0.2783391240528995e-10, (74, 3) = 0.9478299584253005e-9, (74, 4) = 0.12717630383541154e-9, (74, 5) = -0.4470657527840883e-10, (74, 6) = -0.5124454519891209e-10, (74, 7) = 0.4326026143353661e-10, (75, 1) = -0.6276724784350272e-10, (75, 2) = 0.27081107173027596e-10, (75, 3) = 0.956021311487774e-9, (75, 4) = 0.1242898751621955e-9, (75, 5) = -0.43822448468142216e-10, (75, 6) = -0.4848759364943523e-10, (75, 7) = 0.41226529155491094e-10, (76, 1) = -0.6102491550561366e-10, (76, 2) = 0.26351883619454057e-10, (76, 3) = 0.9640326746315502e-9, (76, 4) = 0.121460477587425e-9, (76, 5) = -0.4295805432634064e-10, (76, 6) = -0.4585957834722676e-10, (76, 7) = 0.39266766672733285e-10, (77, 1) = -0.5932805568253786e-10, (77, 2) = 0.25645207179705036e-10, (77, 3) = 0.971865921545455e-9, (77, 4) = 0.11868506629827273e-9, (77, 5) = -0.4211247126952791e-10, (77, 6) = -0.43355676647937267e-10, (77, 7) = 0.37379698125788404e-10, (78, 1) = -0.5767472162072739e-10, (78, 2) = 0.24960016150123966e-10, (78, 3) = 0.979527272820239e-9, (78, 4) = 0.11596023227128644e-9, (78, 5) = -0.4128474523380456e-10, (78, 6) = -0.4097042064765802e-10, (78, 7) = 0.35563538933466515e-10, (79, 1) = -0.56062278773629755e-10, (79, 2) = 0.24294558885869108e-10, (79, 3) = 0.9870304765706218e-9, (79, 4) = 0.1132842332370745e-9, (79, 5) = -0.4047347361338713e-10, (79, 6) = -0.3869723877794528e-10, (79, 7) = 0.3381536009462095e-10, (80, 1) = -0.5448940782255379e-10, (80, 2) = 0.23648210403970446e-10, (80, 3) = 0.994373920621701e-9, (80, 4) = 0.11065398015669131e-9, (80, 5) = -0.39678136755576145e-10, (80, 6) = -0.36531778065328024e-10, (80, 7) = 0.32133775021841036e-10, (81, 1) = -0.52956076563351886e-10, (81, 2) = 0.23020634601627332e-10, (81, 3) = 0.10015578355642333e-8, (81, 4) = 0.10807290223640643e-9, (81, 5) = -0.38898839909173874e-10, (81, 6) = -0.3447214832243887e-10, (81, 7) = 0.3051913043551198e-10, (82, 1) = -0.5146276180186555e-10, (82, 2) = 0.22411874260840103e-10, (82, 3) = 0.10085763899854806e-8, (82, 4) = 0.1055410648564232e-9, (82, 5) = -0.38136245666705616e-10, (82, 6) = -0.32516021075844286e-10, (82, 7) = 0.28971490315933258e-10, (83, 1) = -0.5000912520995857e-10, (83, 2) = 0.21821342830068495e-10, (83, 3) = 0.10154312004191943e-8, (83, 4) = 0.10305955865797805e-9, (83, 5) = -0.37389798155327645e-10, (83, 6) = -0.3065998978540357e-10, (83, 7) = 0.27489757167180907e-10, (84, 1) = -0.4859428466255206e-10, (84, 2) = 0.21248577059062134e-10, (84, 3) = 0.10221196610682969e-8, (84, 4) = 0.1006273316758632e-9, (84, 5) = -0.366593448426289e-10, (84, 6) = -0.28900208991190788e-10, (84, 7) = 0.2607253753742099e-10, (85, 1) = -0.47216941209601755e-10, (85, 2) = 0.2069281771249485e-10, (85, 3) = 0.10286458303596705e-8, (85, 4) = 0.9824302321628248e-10, (85, 5) = -0.3594449952721954e-10, (85, 6) = -0.27232289002638088e-10, (85, 7) = 0.2471776526401278e-10, (86, 1) = -0.4587603850181021e-10, (86, 2) = 0.201534052940794e-10, (86, 3) = 0.10350205574204247e-8, (86, 4) = 0.9590484830894483e-10, (86, 5) = -0.35244600053546624e-10, (86, 6) = -0.2565211417447784e-10, (86, 7) = 0.23423564263486646e-10, (87, 1) = -0.44570427444179945e-10, (87, 2) = 0.19629813990776138e-10, (87, 3) = 0.10412377532833149e-8, (87, 4) = 0.9361470603911598e-10, (87, 5) = -0.34559475928237606e-10, (87, 6) = -0.2415576255235988e-10, (87, 7) = 0.22188010686861947e-10, (88, 1) = -0.43299205036542566e-10, (88, 2) = 0.19121396301621412e-10, (88, 3) = 0.10473038270512812e-8, (88, 4) = 0.9136975261118352e-10, (88, 5) = -0.33888742228378605e-10, (88, 6) = -0.22739391561818352e-10, (88, 7) = 0.21009171213129243e-10, (89, 1) = -0.4206136621816841e-10, (89, 2) = 0.1862763193300451e-10, (89, 3) = 0.1053220826440606e-8, (89, 4) = 0.8916812971164093e-10, (89, 5) = -0.3323194858271513e-10, (89, 6) = -0.21399256766972228e-10, (89, 7) = 0.19885123465220818e-10, (90, 1) = -0.4085588310966399e-10, (90, 2) = 0.18148024520178687e-10, (90, 3) = 0.10589955041451046e-8, (90, 4) = 0.870102840089945e-10, (90, 5) = -0.32588484240228997e-10, (90, 6) = -0.20131789912960962e-10, (90, 7) = 0.1881389542009739e-10, (91, 1) = -0.3968185166790285e-10, (91, 2) = 0.1768202815418893e-10, (91, 3) = 0.10646265232891785e-8, (91, 4) = 0.8489553195210622e-10, (91, 5) = -0.3195843436574123e-10, (91, 6) = -0.18933463049862498e-10, (91, 7) = 0.17793581660786366e-10, (92, 1) = -0.3853832902129189e-10, (92, 2) = 0.1722922578935513e-10, (92, 3) = 0.10701178713516793e-8, (92, 4) = 0.8282293669401647e-10, (92, 5) = -0.3134115943239919e-10, (92, 6) = -0.17800978202007475e-10, (92, 7) = 0.16822264914732218e-10, (93, 1) = -0.37424669181434964e-10, (93, 2) = 0.16789122412977386e-10, (93, 3) = 0.10754723856152606e-8, (93, 4) = 0.8079060721002729e-10, (93, 5) = -0.30736550226877975e-10, (93, 6) = -0.16731181911091006e-10, (93, 7) = 0.15898179284081475e-10, (94, 1) = -0.3633984344798148e-10, (94, 2) = 0.1636136007680888e-10, (94, 3) = 0.1080694913077139e-8, (94, 4) = 0.7879810368988039e-10, (94, 5) = -0.30144170280229594e-10, (94, 6) = -0.1572093396812334e-10, (94, 7) = 0.15019396209421985e-10, (95, 1) = -0.3528295959502651e-10, (95, 2) = 0.15945431111723886e-10, (95, 3) = 0.10857842746568276e-8, (95, 4) = 0.7684526168038454e-10, (95, 5) = -0.29563770509365825e-10, (95, 6) = -0.1476718725922153e-10, (95, 7) = 0.14184084832010438e-10, (96, 1) = -0.34253341623023184e-10, (96, 2) = 0.15540982368433098e-10, (96, 3) = 0.1090745090008393e-8, (96, 4) = 0.7492994656021819e-10, (96, 5) = -0.28994985820475658e-10, (96, 6) = -0.1386715343683189e-10, (96, 7) = 0.13390505826113743e-10, (97, 1) = -0.3325026905308442e-10, (97, 2) = 0.15147620208866446e-10, (97, 3) = 0.1095581663622364e-8, (97, 4) = 0.7305312971306977e-10, (97, 5) = -0.2843762234102979e-10, (97, 6) = -0.13018130971366204e-10, (97, 7) = 0.12636963284411881e-10, (98, 1) = -0.3227290366515648e-10, (98, 2) = 0.147650429647678e-10, (98, 3) = 0.11002947854437276e-8, (98, 4) = 0.7121225709966904e-10, (98, 5) = -0.27891434655293842e-10, (98, 6) = -0.12217450392363468e-10, (98, 7) = 0.11921702204802202e-10, (99, 1) = -0.3132080420646942e-10, (99, 2) = 0.14392920682890967e-10, (99, 3) = 0.11048831639640239e-8, (99, 4) = 0.6940775972450926e-10, (99, 5) = -0.27356201034967982e-10, (99, 6) = -0.11462781048113319e-10, (99, 7) = 0.1124326590913559e-10, (100, 1) = -0.3039298764179678e-10, (100, 2) = 0.14030857509215677e-10, (100, 3) = 0.1109356892219946e-8, (100, 4) = 0.676397259657339e-10, (100, 5) = -0.26831570391908562e-10, (100, 6) = -0.10751575098641281e-10, (100, 7) = 0.10599889734684021e-10, (101, 1) = -0.29488761953278224e-10, (101, 2) = 0.13678526761319882e-10, (101, 3) = 0.11137144524208188e-8, (101, 4) = 0.6590478075005809e-10, (101, 5) = -0.26317299185941288e-10, (101, 6) = -0.10081506050647998e-10, (101, 7) = 0.999000377791946e-11, (102, 1) = -0.28607607795422616e-10, (102, 2) = 0.133356401806779e-10, (102, 3) = 0.1117958634990215e-8, (102, 4) = 0.6420506271081726e-10, (102, 5) = -0.25813196450715664e-10, (102, 6) = -0.9450437138368041e-11, (102, 7) = 0.941214568419086e-11, (103, 1) = -0.2774875412567413e-10, (103, 2) = 0.13001895950288143e-10, (103, 3) = 0.11220903726978504e-8, (103, 4) = 0.6253786452945416e-10, (103, 5) = -0.25319039475505215e-10, (103, 6) = -0.8856275269538403e-11, (103, 7) = 0.88648554303843e-11, (104, 1) = -0.26911598790166447e-10, (104, 2) = 0.12676995076335476e-10, (104, 3) = 0.11261152671984882e-8, (104, 4) = 0.609021937252899e-10, (104, 5) = -0.24834523744108644e-10, (104, 6) = -0.8296967223918404e-11, (104, 7) = 0.8346651823328133e-11, (105, 1) = -0.2609571741139721e-10, (105, 2) = 0.12360707018358898e-10, (105, 3) = 0.11300290116370514e-8, (105, 4) = 0.5929939405437904e-10, (105, 5) = -0.24359564511586517e-10, (105, 6) = -0.7770759456933992e-11, (105, 7) = 0.7856315718077717e-11, (106, 1) = -0.2530044333188704e-10, (106, 2) = 0.12052784144741168e-10, (106, 3) = 0.11338381262505208e-8, (106, 4) = 0.577274885441457e-10, (106, 5) = -0.23893915026487e-10, (106, 6) = -0.7275804353440743e-11, (106, 7) = 0.7392498157574831e-11, (107, 1) = -0.24525287343846688e-10, (107, 2) = 0.11752990045451255e-10, (107, 3) = 0.11375506925479182e-8, (107, 4) = 0.5618664712627303e-10, (107, 5) = -0.2343740897183187e-10, (107, 6) = -0.68104138779155605e-11, (107, 7) = 0.69539489361209256e-11, (108, 1) = -0.23769756034050658e-10, (108, 2) = 0.11461069140781725e-10, (108, 3) = 0.1141156920036321e-8, (108, 4) = 0.54675506620229015e-10, (108, 5) = -0.22989853517927998e-10, (108, 6) = -0.6372953207665234e-11, (108, 7) = 0.6539460296498955e-11, (109, 1) = -0.23033206946688197e-10, (109, 2) = 0.11176784235420537e-10, (109, 3) = 0.11446648205586631e-8, (109, 4) = 0.53193133369219096e-10, (109, 5) = -0.2255102934510164e-10, (109, 6) = -0.5961851297415071e-11, (109, 7) = 0.6147846949535398e-11, (110, 1) = -0.22315170596435424e-10, (110, 2) = 0.10899899099720045e-10, (110, 3) = 0.11480776804648441e-8, (110, 4) = 0.51741404883626826e-10, (110, 5) = -0.2212079881093947e-10, (110, 6) = -0.55756000900039874e-11, (110, 7) = 0.5777950850708059e-11, (111, 1) = -0.2161510628629133e-10, (111, 2) = 0.10630202497500658e-10, (111, 3) = 0.11513963697465053e-8, (111, 4) = 0.50316084756389076e-10, (111, 5) = -0.2169888691820227e-10, (111, 6) = -0.5212825902031769e-11, (111, 7) = 0.5428717922904024e-11, (112, 1) = -0.2093248308036869e-10, (112, 2) = 0.10367485845143703e-10, (112, 3) = 0.11546195339584729e-8, (112, 4) = 0.489182049004149e-10, (112, 5) = -0.21285088698946967e-10, (112, 6) = -0.4872150788621039e-11, (112, 7) = 0.5099059382295185e-11, (113, 1) = -0.20266939127279472e-10, (113, 2) = 0.10111521783538712e-10, (113, 3) = 0.11577592792912037e-8, (113, 4) = 0.4754807495737071e-10, (113, 5) = -0.20879387496573555e-10, (113, 6) = -0.4552355860741361e-11, (113, 7) = 0.4788042271114969e-11, (114, 1) = -0.19618082071104572e-10, (114, 2) = 0.9862199011411562e-11, (114, 3) = 0.1160804498226923e-8, (114, 4) = 0.462044422773981e-10, (114, 5) = -0.20481586670028085e-10, (114, 6) = -0.4252272644255941e-11, (114, 7) = 0.4494726477485643e-11, (115, 1) = -0.189853664183792e-10, (115, 2) = 0.9619265490819973e-11, (115, 3) = 0.11637594037035251e-8, (115, 4) = 0.4488686014505007e-10, (115, 5) = -0.200914542145842e-10, (115, 6) = -0.3970742061101578e-11, (115, 7) = 0.4218178288334328e-11, (116, 1) = -0.18368425185254865e-10, (116, 2) = 0.9382570898414447e-11, (116, 3) = 0.1166630830350612e-8, (116, 4) = 0.43594040714570804e-10, (116, 5) = -0.19708991959087038e-10, (116, 6) = -0.3706685865404614e-11, (116, 7) = 0.3957541778663131e-11, (117, 1) = -0.17766860290530166e-10, (117, 2) = 0.9151949085797764e-11, (117, 3) = 0.11694183749409405e-8, (117, 4) = 0.4232831823848793e-10, (117, 5) = -0.1933383435015675e-10, (117, 6) = -0.34591076284628657e-11, (117, 7) = 0.3711986676217058e-11, (118, 1) = -0.1718023634060036e-10, (118, 2) = 0.8927196267795554e-11, (118, 3) = 0.11721276821171886e-8, (118, 4) = 0.4108405888124236e-10, (118, 5) = -0.1896600682368705e-10, (118, 6) = -0.32270198234058586e-11, (118, 7) = 0.348070537611262e-11, (119, 1) = -0.1660824179634249e-10, (119, 2) = 0.8708218692549034e-11, (119, 3) = 0.11747502806896227e-8, (119, 4) = 0.3986542634893522e-10, (119, 5) = -0.18605245591516813e-10, (119, 6) = -0.3009534932294507e-11, (119, 7) = 0.32629652311135766e-11, (120, 1) = -0.16050399219794936e-10, (120, 2) = 0.8494789562416073e-11, (120, 3) = 0.1177298843835625e-8, (120, 4) = 0.3867107750145139e-10, (120, 5) = -0.1825156006779017e-10, (120, 6) = -0.28057732922703526e-11, (120, 7) = 0.3058018111059415e-11, (121, 1) = -0.1550635416407613e-10, (121, 2) = 0.8286771907186822e-11, (121, 3) = 0.11797644520720168e-8, (121, 4) = 0.3749839816238541e-10, (121, 5) = -0.179046564962422e-10, (121, 6) = -0.26149114543976955e-11, (121, 7) = 0.2865173942337792e-11, (122, 1) = -0.14975761754194747e-10, (122, 2) = 0.8084037043132685e-11, (122, 3) = 0.11821578106786102e-8, (122, 4) = 0.36349353804088396e-10, (122, 5) = -0.175644957867693e-10, (122, 6) = -0.2436179786254095e-11, (122, 7) = 0.2683771938128526e-11, (123, 1) = -0.14458298929642815e-10, (123, 2) = 0.7886436111228735e-11, (123, 3) = 0.1184477412835794e-8, (123, 4) = 0.3522096126295468e-10, (123, 5) = -0.17230852517395524e-10, (123, 6) = -0.22688631001927273e-11, (123, 7) = 0.251319975965811e-11, (124, 1) = -0.13953687402573215e-10, (124, 2) = 0.7693865587618392e-11, (124, 3) = 0.11867220249665278e-8, (124, 4) = 0.3411637223729094e-10, (124, 5) = -0.16903783217364677e-10, (124, 6) = -0.21122903401850213e-11, (124, 7) = 0.23528837580789774e-11, (125, 1) = -0.13461549633644782e-10, (125, 2) = 0.7506151534379781e-11, (125, 3) = 0.1188897149024404e-8, (125, 4) = 0.3303185520341911e-10, (125, 5) = -0.1658297508322167e-10, (125, 6) = -0.19657866032914978e-11, (125, 7) = 0.22022276664434392e-11, (126, 1) = -0.12981528055333814e-10, (126, 2) = 0.7323175020133718e-11, (126, 3) = 0.11909980330249977e-8, (126, 4) = 0.31968895014399795e-10, (126, 5) = -0.16268428192245815e-10, (126, 6) = -0.1828737416272636e-11, (126, 7) = 0.20606921059849896e-11, (127, 1) = -0.1251334925790676e-10, (127, 2) = 0.71448022450762814e-11, (127, 3) = 0.11930368791468821e-8, (127, 4) = 0.30925168269090486e-10, (127, 5) = -0.1595994529536578e-10, (127, 6) = -0.17005642957390043e-11, (127, 7) = 0.19277648128769555e-11, (128, 1) = -0.12056664122166423e-10, (128, 2) = 0.6970902891903902e-11, (128, 3) = 0.11949984988800984e-8, (128, 4) = 0.2990287437232501e-10, (128, 5) = -0.1565744012758655e-10, (128, 6) = -0.15807226738701075e-11, (128, 7) = 0.1802962201788926e-11, (129, 1) = -0.11611215590250922e-10, (129, 2) = 0.6801386273637118e-11, (129, 3) = 0.11968993600102636e-8, (129, 4) = 0.28900147080382565e-10, (129, 5) = -0.15360783718278442e-10, (129, 6) = -0.14686992588250484e-11, (129, 7) = 0.16858173458030813e-11, (130, 1) = -0.11176689572059342e-10, (130, 2) = 0.66361109585935695e-11, (130, 3) = 0.119874251229159e-8, (130, 4) = 0.27915751228461665e-10, (130, 5) = -0.1506996454811597e-10, (130, 6) = -0.13640066121412605e-11, (130, 7) = 0.15758973394943555e-11, (131, 1) = -0.10752847620314014e-10, (131, 2) = 0.6474979668955007e-11, (131, 3) = 0.12005094860252073e-8, (131, 4) = 0.2695026830924684e-10, (131, 5) = -0.1478465740885954e-10, (131, 6) = -0.12661923343114569e-11, (131, 7) = 0.14727845404164439e-11, (132, 1) = -0.10339385856338755e-10, (132, 2) = 0.6317886581522219e-11, (132, 3) = 0.1202227689070044e-8, (132, 4) = 0.26004025373171577e-10, (132, 5) = -0.14504921383297311e-10, (132, 6) = -0.117482316930582e-11, (132, 7) = 0.13760829973621443e-11, (133, 1) = -0.9936029828507202e-11, (133, 2) = 0.6164717563718258e-11, (133, 3) = 0.12038784627655226e-8, (133, 4) = 0.25075153782644154e-10, (133, 5) = -0.14230591341865168e-10, (133, 6) = -0.1089495166072317e-11, (133, 7) = 0.12854232032874922e-11, (134, 1) = -0.954258200538204e-11, (134, 2) = 0.60153668094429556e-11, (134, 3) = 0.12054624421663825e-8, (134, 4) = 0.2416409972408739e-10, (134, 5) = -0.13961569099024428e-10, (134, 6) = -0.10098288357408212e-11, (134, 7) = 0.12004494115820128e-11, (135, 1) = -0.915871353546483e-11, (135, 2) = 0.5869751638206249e-11, (135, 3) = 0.12070025992460107e-8, (135, 4) = 0.23271492022243684e-10, (135, 5) = -0.13697768394350225e-10, (135, 6) = -0.935464640353776e-12, (135, 7) = 0.11208283383367453e-11, (136, 1) = -0.8784234210301511e-11, (136, 2) = 0.5727763841077969e-11, (136, 3) = 0.12084706474875078e-8, (136, 4) = 0.22394710020022877e-10, (136, 5) = -0.1343909294397463e-10, (136, 6) = -0.8660660324202705e-12, (136, 7) = 0.10462421991222154e-11, (137, 1) = -0.8418913263458105e-11, (137, 2) = 0.5589313993785467e-11, (137, 3) = 0.12098889273005505e-8, (137, 4) = 0.21535676726855785e-10, (137, 5) = -0.13185427926861937e-10, (137, 6) = -0.8013163492284678e-12, (137, 7) = 0.976391731445841e-12, (138, 1) = -0.8062467152589807e-11, (138, 2) = 0.54543196210213545e-11, (138, 3) = 0.12112528801006951e-8, (138, 4) = 0.2069189392423113e-10, (138, 5) = -0.12936678002997946e-10, (138, 6) = -0.7409176146801608e-12, (138, 7) = 0.910994600582341e-12, (139, 1) = -0.7714730287100752e-11, (139, 2) = 0.5322678054123467e-11, (139, 3) = 0.12125653854184757e-8, (139, 4) = 0.1986489890272202e-10, (139, 5) = -0.12692775835000164e-10, (139, 6) = -0.6845899300896001e-12, (139, 7) = 0.8497829990085735e-12, (140, 1) = -0.7375446342117648e-11, (140, 2) = 0.5194307400360006e-11, (140, 3) = 0.12138188632444438e-8, (140, 4) = 0.19054116219959057e-10, (140, 5) = -0.1245358984195867e-10, (140, 6) = -0.6320711383042871e-12, (140, 7) = 0.7925037232638139e-12, (141, 1) = -0.7044411595925558e-11, (141, 2) = 0.5069122407758296e-11, (141, 3) = 0.12150133348393326e-8, (141, 4) = 0.1825781497268621e-10, (141, 5) = -0.12219085401247519e-10, (141, 6) = -0.5831141022505443e-12, (141, 7) = 0.7389185911372965e-12, (142, 1) = -0.6721411054329123e-11, (142, 2) = 0.4947052990376775e-11, (142, 3) = 0.12161723234439253e-8, (142, 4) = 0.1747738330983317e-10, (142, 5) = -0.11989085228023421e-10, (142, 6) = -0.5374871770932166e-12, (142, 7) = 0.6888023926474155e-12, (143, 1) = -0.64062605091691784e-11, (143, 2) = 0.482800632195133e-11, (143, 3) = 0.12172680170306166e-8, (143, 4) = 0.16711578042847487e-10, (143, 5) = -0.11763570020466811e-10, (143, 6) = -0.4949736743484498e-12, (143, 7) = 0.641942100772299e-12, (144, 1) = -0.6098742025425115e-11, (144, 2) = 0.4711916193706158e-11, (144, 3) = 0.1218330702880712e-8, (144, 4) = 0.1595955897889176e-10, (144, 5) = -0.11542423255895684e-10, (144, 6) = -0.4553688284597233e-12, (144, 7) = 0.5981378832577253e-12, (145, 1) = -0.5798677057513097e-11, (145, 2) = 0.4598706096769562e-11, (145, 3) = 0.12193353543310945e-8, (145, 4) = 0.15223361961034254e-10, (145, 5) = -0.11325610150784382e-10, (145, 6) = -0.41848219488793295e-12, (145, 7) = 0.5572003836098101e-12, (146, 1) = -0.550588009340836e-11, (146, 2) = 0.44882880675520885e-11, (146, 3) = 0.12202857455131248e-8, (146, 4) = 0.14500418876082778e-10, (146, 5) = -0.11113028236882186e-10, (146, 6) = -0.3841341317304528e-12, (146, 7) = 0.5189520778312766e-12, (147, 1) = -0.5220157336739223e-11, (147, 2) = 0.4380605492331011e-11, (147, 3) = 0.12212000753634705e-8, (147, 4) = 0.1379119238849094e-10, (147, 5) = -0.10904523689854029e-10, (147, 6) = -0.3521569442290073e-12, (147, 7) = 0.4832242591595169e-12, (148, 1) = -0.49413372968622916e-11, (148, 2) = 0.42755942505609585e-11, (148, 3) = 0.12220670336629079e-8, (148, 4) = 0.13094678826697949e-10, (148, 5) = -0.10700136443468203e-10, (148, 6) = -0.3223928565883448e-12, (148, 7) = 0.4498598146017527e-12, (149, 1) = -0.4669250200024589e-11, (149, 2) = 0.417317907212515e-11, (149, 3) = 0.122288995704384e-8, (149, 4) = 0.12412330083168088e-10, (149, 5) = -0.10499703764283493e-10, (149, 6) = -0.29469488358582e-12, (149, 7) = 0.41870954819324477e-12, (150, 1) = -0.4403712013205302e-11, (150, 2) = 0.4073299764315313e-11, (150, 3) = 0.1223665684002994e-8, (150, 4) = 0.11742241160471754e-10, (150, 5) = -0.1030317689694116e-10, (150, 6) = -0.2689244656008504e-12, (150, 7) = 0.3896336179006955e-12, (151, 1) = -0.4144579427591234e-11, (151, 2) = 0.3975878589560163e-11, (151, 3) = 0.1224396603455543e-8, (151, 4) = 0.11085210144017644e-10, (151, 5) = -0.10110459511254232e-10, (151, 6) = -0.2449525995893326e-12, (151, 7) = 0.3625006066286385e-12, (152, 1) = -0.38916848416852296e-11, (152, 2) = 0.38808682939696256e-11, (152, 3) = 0.12251002854980518e-8, (152, 4) = 0.10440054268239915e-10, (152, 5) = -0.9921507967863049e-11, (152, 6) = -0.22265826204028151e-12, (152, 7) = 0.33718643994633003e-12, (153, 1) = -0.3644855356429144e-11, (153, 2) = 0.3788203889785971e-11, (153, 3) = 0.12257436502356109e-8, (153, 4) = 0.980794201747327e-11, (153, 5) = -0.9736237397022225e-11, (153, 6) = -0.20192812497115791e-12, (153, 7) = 0.3135747127959107e-12, (154, 1) = -0.340396118615834e-11, (154, 2) = 0.3697827252366246e-11, (154, 3) = 0.1226353307422349e-8, (154, 4) = 0.9186175708230342e-11, (154, 5) = -0.9554597649315009e-11, (154, 6) = -0.1826564040925313e-12, (154, 7) = 0.2915562150365321e-12, (155, 1) = -0.31688432998717966e-11, (155, 2) = 0.36096794411637987e-11, (155, 3) = 0.12269316630844605e-8, (155, 4) = 0.8577808830243637e-11, (155, 5) = -0.9376497241749015e-11, (155, 6) = -0.16474403131928477e-12, (155, 7) = 0.2710281947405146e-12, (156, 1) = -0.2939357375813386e-11, (156, 2) = 0.35237027889789578e-11, (156, 3) = 0.12274613278365115e-8, (156, 4) = 0.79793438193171e-11, (156, 5) = -0.920186693051316e-11, (156, 6) = -0.14809841321472652e-12, (156, 7) = 0.2518939679820372e-12, (157, 1) = -0.27153619196543353e-11, (157, 2) = 0.3439849104588805e-11, (157, 3) = 0.12279600179688634e-8, (157, 4) = 0.7392918423708086e-11, (157, 5) = -0.9030668428465661e-11, (157, 6) = -0.1326329694636143e-12, (157, 7) = 0.23406319783156147e-12, (158, 1) = -0.24980748116852893e-11, (158, 2) = 0.33585674115493146e-11, (158, 3) = 0.12284094216029687e-8, (158, 4) = 0.6821603976317833e-11, (158, 5) = -0.8863786066021544e-11, (158, 6) = -0.1183519151197076e-12, (158, 7) = 0.21754937709165998e-12, (159, 1) = -0.22931130761850767e-11, (159, 2) = 0.32819548479972626e-11, (159, 3) = 0.1228813812960284e-8, (159, 4) = 0.6278310095434659e-11, (159, 5) = -0.870573682183365e-11, (159, 6) = -0.10551134063300874e-12, (159, 7) = 0.2026600306552426e-12, (160, 1) = -0.21008409964575166e-11, (160, 2) = 0.3210141330288939e-11, (160, 3) = 0.12291686374264535e-8, (160, 4) = 0.57679093040764105e-11, (160, 5) = -0.8556870228087243e-11, (160, 6) = -0.9401117419620941e-13, (160, 7) = 0.18928977461730128e-12, (161, 1) = -0.19201922217252495e-11, (161, 2) = 0.31427195364896388e-11, (161, 3) = 0.12294833016356614e-8, (161, 4) = 0.528521870647234e-11, (161, 5) = -0.84164150381976e-11, (161, 6) = -0.8367827535476734e-13, (161, 7) = 0.17724627836112152e-12, (162, 1) = -0.17500382006084871e-11, (162, 2) = 0.30792626398127524e-11, (162, 3) = 0.12297616807404267e-8, (162, 4) = 0.4828423599994281e-11, (162, 5) = -0.8283635245036114e-11, (162, 6) = -0.7435742708748314e-13, (162, 7) = 0.16635630047369893e-12, (163, 1) = -0.15894069745447244e-11, (163, 2) = 0.30194000535656047e-11, (163, 3) = 0.12300053331583256e-8, (163, 4) = 0.4395358666486823e-11, (163, 5) = -0.8157858618845472e-11, (163, 6) = -0.6591849525409016e-13, (163, 7) = 0.15647380832507043e-12, (164, 1) = -0.143744735071212e-11, (164, 2) = 0.29628062228306213e-11, (164, 3) = 0.12302224927433942e-8, (164, 4) = 0.39840602242576006e-11, (164, 5) = -0.8038390336572891e-11, (164, 6) = -0.5825191121229164e-13, (164, 7) = 0.14747601877532904e-12, (165, 1) = -0.12934065335206593e-11, (165, 2) = 0.2909203531044491e-11, (165, 3) = 0.12304077852833621e-8, (165, 4) = 0.35926554480135007e-11, (165, 5) = -0.792484729304842e-11, (165, 6) = -0.5126495348768588e-13, (165, 7) = 0.13925839415573526e-12, (166, 1) = -0.1156624499015785e-11, (166, 2) = 0.28583377841434647e-11, (166, 3) = 0.12305629940469257e-8, (166, 4) = 0.32189978168650025e-11, (166, 5) = -0.7816624131829942e-11, (166, 6) = -0.4487834494433306e-13, (166, 7) = 0.13173149807135405e-12, (167, 1) = -0.10265210416646665e-11, (167, 2) = 0.28099859769711778e-11, (167, 3) = 0.12307048112808125e-8, (167, 4) = 0.28628730141565726e-11, (167, 5) = -0.7713392249055152e-11, (167, 6) = -0.3902428012462705e-13, (167, 7) = 0.12481864852611245e-12, (168, 1) = -0.9025640604170987e-12, (168, 2) = 0.27639491870152004e-11, (168, 3) = 0.12308209011808183e-8, (168, 4) = 0.25224103801739054e-11, (168, 5) = -0.7614781499091382e-11, (168, 6) = -0.336442843827677e-13, (168, 7) = 0.1184536829449645e-12, (169, 1) = -0.7842921223495981e-12, (169, 2) = 0.27200541310057924e-11, (169, 3) = 0.12309247582023974e-8, (169, 4) = 0.2195560422415873e-11, (169, 5) = -0.752035432041767e-11, (169, 6) = -0.2868781128546623e-13, (169, 7) = 0.11257905769508853e-12, (170, 1) = -0.6712838397935098e-12, (170, 2) = 0.26781416441771932e-11, (170, 3) = 0.12310105895101172e-8, (170, 4) = 0.1881429399968058e-11, (170, 5) = -0.7429936109254022e-11, (170, 6) = -0.24110889621727452e-13, (170, 7) = 0.1071446837412809e-12, (171, 1) = -0.5631611547338676e-12, (171, 2) = 0.26380669883797786e-11, (171, 3) = 0.12310826986623688e-8, (171, 4) = 0.15819072978324664e-11, (171, 5) = -0.7343181172926194e-11, (171, 6) = -0.1987509570792081e-13, (171, 7) = 0.10210683924543437e-12, (172, 1) = -0.4595821765691131e-12, (172, 2) = 0.25996992004927467e-11, (172, 3) = 0.12311444178261443e-8, (172, 4) = 0.12922776880427693e-11, (172, 5) = -0.7259865303530753e-11, (172, 6) = -0.1594690713150054e-13, (172, 7) = 0.9742711634109024e-13, (173, 1) = -0.360239821686979e-12, (173, 2) = 0.256292258113084e-11, (173, 3) = 0.1231182643453054e-8, (173, 4) = 0.10145565202094742e-11, (173, 5) = -0.71797304253474045e-11, (173, 6) = -0.12296822976919166e-13, (173, 7) = 0.9307182871563279e-13, (174, 1) = -0.26485444170652493e-12, (174, 2) = 0.25276374440445824e-11, (174, 3) = 0.1231214457114319e-8, (174, 4) = 0.7475904889489019e-12, (174, 5) = -0.7102655072283805e-11, (174, 6) = -0.8898840022002288e-14, (174, 7) = 0.8901105773542986e-13, (175, 1) = -0.17317086532258958e-12, (175, 2) = 0.2493741836417416e-11, (175, 3) = 0.12312385732722901e-8, (175, 4) = 0.4895181132410539e-12, (175, 5) = -0.7028323739814668e-11, (175, 6) = -0.5729946700895339e-14, (175, 7) = 0.852184352526504e-13, (176, 1) = -0.8495682761705501e-13, (176, 2) = 0.24611493869265283e-11, (176, 3) = 0.1231250597216119e-8, (176, 4) = 0.2399942514572332e-12, (176, 5) = -0.6956738131751051e-11, (176, 6) = -0.2769726093823494e-14, (176, 7) = 0.8167037339566886e-13, (177, 1) = .0, (177, 2) = 0.24297727964088152e-11, (177, 3) = 0.12312559658094405e-8, (177, 4) = .0, (177, 5) = -0.6887584184124894e-11, (177, 6) = .0, (177, 7) = 0.7834600855072988e-13}, datatype = float[8], order = C_order); if not type(outpoint, 'numeric') then if outpoint = "start" or outpoint = "left" then return X[1] elif outpoint = "right" then return X[177] elif outpoint = "order" then return 8 elif outpoint = "error" then return HFloat(1.2934292747785471e-9) elif outpoint = "errorproc" then error "this is already the error procedure" elif outpoint = "rawdata" then return [7, 177, [chi(eta), diff(chi(eta), eta), f(eta), diff(f(eta), eta), diff(diff(f(eta), eta), eta), theta(eta), diff(theta(eta), eta)], X, Y] else return ('procname')(x_bvp) end if end if; if outpoint < X[1] or X[177] < outpoint then error "solution is only defined in the range %1..%2", X[1], X[177] end if; V := array([1 = 4, 2 = 0]); if Digits <= trunc(evalhf(Digits)) then L := Vector(4, 'datatype' = 'float'[8]); yout := Vector(7, 'datatype' = 'float'[8]); evalhf(`dsolve/numeric/lagrange`(177, 7, X, Y, outpoint, var(yout), var(L), var(V))) else L := Vector(4, 'datatype' = 'sfloat'); yout := Vector(7, 'datatype' = 'sfloat'); `dsolve/numeric/lagrange`(177, 7, X, Y, outpoint, yout, L, V) end if; [eta = outpoint, seq('[chi(eta), diff(chi(eta), eta), f(eta), diff(f(eta), eta), diff(diff(f(eta), eta), eta), theta(eta), diff(theta(eta), eta)]'[i] = yout[i], i = 1 .. 7)] end proc; if not type(outpoint, 'numeric') then if outpoint = "start" or outpoint = "left" then return X[1] elif outpoint = "method" then return "bvp" elif outpoint = "right" then return X[177] elif outpoint = "order" then return 8 elif outpoint = "error" then return HFloat(1.2934292747785471e-9) elif outpoint = "errorproc" then return eval(errproc) elif outpoint = "rawdata" then return [7, 177, "depnames", X, Y, YP] else error "non-numeric value" end if end if; if outpoint < X[1] or X[177] < outpoint then error "solution is only defined in the range %1..%2", X[1], X[177] end if; if Digits <= trunc(evalhf(Digits)) and (_EnvInFsolve <> true or _EnvDSNumericSaveDigits <= trunc(evalhf(Digits))) then V := array( 1 .. 6, [( 1 ) = (7), ( 2 ) = (0), ( 3 ) = (false), ( 4 ) = (false), ( 5 ) = (false), ( 6 ) = (false)  ] ); L := Matrix(7, 2, {(1, 1) = .0, (1, 2) = .0, (2, 1) = .0, (2, 2) = .0, (3, 1) = .0, (3, 2) = .0, (4, 1) = .0, (4, 2) = .0, (5, 1) = .0, (5, 2) = .0, (6, 1) = .0, (6, 2) = .0, (7, 1) = .0, (7, 2) = .0}, datatype = float[8], order = C_order); yout := Vector(7, {(1) = .0, (2) = .0, (3) = .0, (4) = .0, (5) = .0, (6) = .0, (7) = .0}, datatype = float[8]); evalhf(`dsolve/numeric/hermite`(177, 7, X, Y, YP, outpoint, var(yout), var(L), var(V))) else if _EnvInFsolve = true then Digits := _EnvDSNumericSaveDigits end if; V := array( 1 .. 6, [( 1 ) = (7), ( 2 ) = (0), ( 3 ) = (false), ( 4 ) = (false), ( 5 ) = (false), ( 6 ) = (false)  ] ); L := Matrix(7, 2, {(1, 1) = 0., (1, 2) = 0., (2, 1) = 0., (2, 2) = 0., (3, 1) = 0., (3, 2) = 0., (4, 1) = 0., (4, 2) = 0., (5, 1) = 0., (5, 2) = 0., (6, 1) = 0., (6, 2) = 0., (7, 1) = 0., (7, 2) = 0.}, order = C_order); yout := Vector(7, {(1) = 0., (2) = 0., (3) = 0., (4) = 0., (5) = 0., (6) = 0., (7) = 0.}); `dsolve/numeric/hermite`(177, 7, X, Y, YP, outpoint, yout, L, V) end if; [outpoint, seq(yout[i], i = 1 .. 7)] end proc, (2) = Array(1..8, {(1) = 18446744078246286542, (2) = 18446744078246287070, (3) = 18446744078246287246, (4) = 18446744078246287422, (5) = 18446744078246287598, (6) = 18446744078246287774, (7) = 18446744078246287950, (8) = 18446744078246288126}), (3) = [eta, chi(eta), diff(chi(eta), eta), f(eta), diff(f(eta), eta), diff(diff(f(eta), eta), eta), theta(eta), diff(theta(eta), eta)], (4) = 0}); solnproc := data[1]; if not type(outpoint, 'numeric') then if outpoint = "solnprocedure" then return eval(solnproc) elif member(outpoint, ["start", "left", "right", "errorproc", "rawdata", "order", "error"]) then return solnproc(eta) elif outpoint = "sysvars" then return data[3] elif procname <> unknown then return ('procname')(eta) else `diff(diff(f(eta),eta),eta)` := pointto(data[2][6]); return ('`diff(diff(f(eta),eta),eta)`')(eta) end if end if; try res := solnproc(outpoint); res[6] catch: error  end try end proc, theta(eta) = proc (eta) local res, data, solnproc, `theta(eta)`, outpoint; option `Copyright (c) 2000 by Waterloo Maple Inc. All rights reserved.`; _EnvDSNumericSaveDigits := Digits; Digits := 15; if _EnvInFsolve = true then outpoint := evalf[_EnvDSNumericSaveDigits](eta) else outpoint := evalf(eta) end if; data := Array(1..4, {(1) = proc (outpoint) local X, Y, YP, yout, errproc, L, V, i; option `Copyright (c) 2000 by Waterloo Maple Inc. All rights reserved.`; X := Vector(177, {(1) = .1, (2) = .13432431415631105, (3) = .16865165190091197, (4) = .202985958039896, (5) = .23732533659105348, (6) = .2716788241585104, (7) = .30604559361419775, (8) = .3404355394485909, (9) = .3748529011933503, (10) = .4093061022796795, (11) = .44380716982563195, (12) = .47836387534050584, (13) = .512995852912669, (14) = .5477165596092971, (15) = .5825440749488203, (16) = .617499631782922, (17) = .6526070635536141, (18) = .6878927128084736, (19) = .7233862578282453, (20) = .7591205797331673, (21) = .795131110399485, (22) = .8314537516454595, (23) = .868136597156794, (24) = .9052215072936881, (25) = .9427566773054169, (26) = .9807963691446203, (27) = 1.019390250121844, (28) = 1.0585930956320206, (29) = 1.0984604169171555, (30) = 1.1390444870104077, (31) = 1.1804077038174698, (32) = 1.222605314046431, (33) = 1.2656867522025514, (34) = 1.3097007904581703, (35) = 1.35469069615675, (36) = 1.4006929822839422, (37) = 1.447731690331962, (38) = 1.4958369065409785, (39) = 1.5450201198096045, (40) = 1.5952810827286137, (41) = 1.646612127195734, (42) = 1.6989954066809312, (43) = 1.7524040840585657, (44) = 1.806801993976599, (45) = 1.862146412251251, (46) = 1.9183893448840852, (47) = 1.9754805768192913, (48) = 2.0333655491409464, (49) = 2.09198758848087, (50) = 2.1512911903998386, (51) = 2.2112299885365556, (52) = 2.271742934464316, (53) = 2.3327750130678835, (54) = 2.3942834797609645, (55) = 2.4562254559367735, (56) = 2.518550408638634, (57) = 2.5812184684337374, (58) = 2.6441937416859225, (59) = 2.7074501856327, (60) = 2.770954649679994, (61) = 2.8346761833615464, (62) = 2.898592678498704, (63) = 2.962688121088583, (64) = 3.0269416312716424, (65) = 3.091328430651392, (66) = 3.155836619851239, (67) = 3.220454275768738, (68) = 3.285168541451302, (69) = 3.3499654130373253, (70) = 3.414829585389634, (71) = 3.4797579848516915, (72) = 3.5447435602802027, (73) = 3.609779652754643, (74) = 3.674861152412504, (75) = 3.7399848957435275, (76) = 3.8051508297379377, (77) = 3.8703655596105624, (78) = 3.935652421384301, (79) = 4.001077560861665, (80) = 4.0666510045970385, (81) = 4.132314229225371, (82) = 4.198000337516065, (83) = 4.263680764101562, (84) = 4.329336756026789, (85) = 4.394973340046662, (86) = 4.460588954073379, (87) = 4.526181509768576, (88) = 4.59174993915436, (89) = 4.6572937466339175, (90) = 4.722812832368339, (91) = 4.788307377913861, (92) = 4.853777459964835, (93) = 4.9192172921590585, (94) = 4.98463029125814, (95) = 5.0500209149724435, (96) = 5.115387283230868, (97) = 5.180725066182968, (98) = 5.246040278527776, (99) = 5.3113174587944965, (100) = 5.376570973389221, (101) = 5.44180368691663, (102) = 5.5070118178761875, (103) = 5.572199562571729, (104) = 5.637373294661837, (105) = 5.702517813103393, (106) = 5.767639827784657, (107) = 5.832736032997183, (108) = 5.897804505036399, (109) = 5.962849913789289, (110) = 6.0278771161534, (111) = 6.092882596362824, (112) = 6.157876605520855, (113) = 6.222850932401667, (114) = 6.287802017103068, (115) = 6.352734006431941, (116) = 6.4176483673997975, (117) = 6.482540451739694, (118) = 6.547416149850125, (119) = 6.6122680542862025, (120) = 6.677102130347337, (121) = 6.7419211005546, (122) = 6.8067248666742355, (123) = 6.871509114964304, (124) = 6.936266375612976, (125) = 7.0010059228545805, (126) = 7.065728682384006, (127) = 7.130434804847329, (128) = 7.195124539737002, (129) = 7.259798136520217, (130) = 7.324455844038698, (131) = 7.3890979060419335, (132) = 7.453724561298953, (133) = 7.518336044173569, (134) = 7.582932585751136, (135) = 7.647514413049672, (136) = 7.712081750883993, (137) = 7.776634831889643, (138) = 7.841173896857807, (139) = 7.905699203490006, (140) = 7.970211023056725, (141) = 8.034709635791245, (142) = 8.099195318161058, (143) = 8.163668350318732, (144) = 8.22812902562451, (145) = 8.292577648267015, (146) = 8.357014533032183, (147) = 8.42144000370015, (148) = 8.485854390888106, (149) = 8.550258023403897, (150) = 8.6146512403873, (151) = 8.679034390131827, (152) = 8.74340782797264, (153) = 8.807771917708358, (154) = 8.872127033100252, (155) = 8.93647355737236, (156) = 9.000811876240148, (157) = 9.065142395655199, (158) = 9.129062231749659, (159) = 9.190791738971976, (160) = 9.25002177586793, (161) = 9.306893224933363, (162) = 9.361586616509348, (163) = 9.414263699827062, (164) = 9.46506800130928, (165) = 9.514127801690371, (166) = 9.561558693204324, (167) = 9.60746518855213, (168) = 9.651942086110576, (169) = 9.695075631414408, (170) = 9.73694468456052, (171) = 9.777621794577053, (172) = 9.817172850818734, (173) = 9.855658388735026, (174) = 9.893134209297964, (175) = 9.929651857051025, (176) = 9.965259040121957, (177) = 10.0}, datatype = float[8], order = C_order); Y := Matrix(177, 7, {(1, 1) = 1.0, (1, 2) = -3.010283491881195, (1, 3) = -0.5e-1, (1, 4) = -.5, (1, 5) = 3.2549705904755624, (1, 6) = 1.0, (1, 7) = -2.2961168243517345, (2, 1) = .9116006400192896, (2, 2) = -2.2188140910266996, (2, 3) = -0.6542988930944998e-1, (2, 4) = -.40370802709261644, (2, 5) = 2.4361750640983972, (2, 6) = .9313148374425487, (2, 7) = -1.7587335888496072, (3, 1) = .8440668335083839, (3, 2) = -1.7515672684205508, (3, 3) = -0.7795914493005979e-1, (3, 4) = -.32904124123644557, (3, 5) = 1.950857483460543, (3, 6) = .8768325041094468, (3, 7) = -1.4395391386527499, (4, 1) = .7895472336660474, (4, 2) = -1.443419767334426, (4, 3) = -0.8817574136327207e-1, (4, 4) = -.2679158648423435, (4, 5) = 1.6295350420268857, (4, 6) = .831272138114754, (4, 7) = -1.2272759842281986, (5, 1) = .7439269688663698, (5, 2) = -1.2250712603116078, (5, 3) = -0.9646350877742356e-1, (5, 4) = -.21608666124952267, (5, 5) = 1.4009694099334766, (5, 6) = .7918687409370647, (5, 7) = -1.0753753559802985, (6, 1) = .7047645567594804, (6, 2) = -1.062293032083934, (6, 3) = -.10309608982056391, (6, 4) = -.1710281829224358, (6, 5) = 1.229921365777778, (6, 6) = .7569783455483658, (6, 7) = -.9608633361558743, (7, 1) = .670508499292611, (7, 2) = -.9363094708603249, (7, 3) = -.1082751849303922, (7, 4) = -.1311332340751042, (7, 5) = 1.097033665972045, (7, 6) = .725556739475722, (7, 7) = -.871143819024352, (8, 1) = .6400970314770135, (8, 2) = -.8359113795739894, (8, 3) = -.11215820698136195, (8, 4) = -0.9529846009910026e-1, (8, 5) = .9907326565311447, (8, 6) = .6968857043397841, (8, 7) = -.798694055572774, (9, 1) = .6127818638670864, (9, 2) = -.7540307621161558, (9, 3) = -.11486934685856202, (9, 4) = -0.6274515848045818e-1, (9, 5) = .903710629210698, (9, 6) = .6704589172997079, (9, 7) = -.7387684103204613, (10, 1) = .5880101630726342, (10, 2) = -.6859732537372588, (10, 3) = -.11650974862771135, (10, 4) = -0.3289635416421537e-1, (10, 5) = .8311070612968686, (10, 6) = .6459004421044664, (10, 7) = -.6882118043576506, (11, 1) = .5653617782847322, (11, 2) = -.6285004073713887, (11, 3) = -.11716276509404526, (11, 4) = -0.5312156394166294e-2, (11, 5) = .7695640956343914, (11, 6) = .6229228742706305, (11, 7) = -.64484492277093, (12, 1) = .5445141227529045, (12, 2) = -.5793166470382869, (12, 3) = -.11689775490014931, (12, 4) = 0.20345547838662725e-1, (12, 5) = .7166984974611179, (12, 6) = .6013055866744937, (12, 7) = -.6071216319336978, (13, 1) = .5252059891093054, (13, 2) = -.5367311431212949, (13, 3) = -.11577285556558614, (13, 4) = 0.44352419520146014e-1, (13, 5) = .6707519723642751, (13, 6) = .5808668967259533, (13, 7) = -.5739002262529861, (14, 1) = .5072310763583526, (14, 2) = -.49948942467589225, (14, 3) = -.113836968901507, (14, 4) = 0.6692621623257643e-1, (14, 5) = .6304185015498383, (14, 6) = .5614637545616503, (14, 7) = -.5443331052943612, (15, 1) = .4904191420808039, (15, 2) = -.46663169018318124, (15, 3) = -.11113120062283205, (15, 4) = 0.882475828156531e-1, (15, 5) = .5946973362482103, (15, 6) = .5429767216798966, (15, 7) = -.5177703096857598, (16, 1) = .47462847032783395, (16, 2) = -.43741237094615587, (16, 3) = -.10768980917681761, (16, 4) = .10846767050378146, (16, 5) = .5628099475659347, (16, 6) = .5253052925364996, (16, 7) = -.49370579887626914, (17, 1) = .45973994111746974, (17, 2) = -.4112440008745413, (17, 3) = -.10354099578541562, (17, 4) = .12771421698659408, (17, 5) = .5341419874792643, (17, 6) = .5083640692975898, (17, 7) = -.4717398711807749, (18, 1) = .4456524312660702, (18, 2) = -.3876575548580043, (18, 3) = -0.987075140842896e-1, (18, 4) = .14609630418834832, (18, 5) = .5082022267347898, (18, 6) = .49207972636782243, (18, 7) = -.45155255379360504, (19, 1) = .43227900759396704, (19, 2) = -.3662736309623723, (19, 3) = -0.932070026083659e-1, (19, 4) = .1637083931514831, (19, 5) = .48459265857890527, (19, 6) = .47638833270765585, (19, 7) = -.4328841497234415, (20, 1) = .41954437259728117, (20, 2) = -.34678216572683396, (20, 3) = -0.8705230179329684e-1, (20, 4) = .18063295456195466, (20, 5) = .4629874722134205, (20, 6) = .46123371189807766, (20, 7) = -.41552163184362956, (21, 1) = .40738304871718267, (21, 2) = -.32892767036417664, (21, 3) = -0.8025181273703264e-1, (21, 4) = .1969422817914571, (21, 5) = .4431177566148181, (21, 6) = .44656638757907796, (21, 7) = -.39928880193030747, (22, 1) = .3957383812536956, (22, 2) = -.31249869978237255, (22, 3) = -0.7281016245788906e-1, (22, 4) = .21269931606763323, (22, 5) = .42476063372747375, (22, 6) = .43234331147984484, (22, 7) = -.38403945114777954, (23, 1) = .3845575897267605, (23, 2) = -.29731416431452806, (23, 3) = -0.647258610678675e-1, (23, 4) = .2279639568142309, (23, 5) = .40772462385587316, (23, 6) = .41852254000091954, (23, 7) = -.36964681487130585, (24, 1) = .37379664354289055, (24, 2) = -.28322501684036205, (24, 3) = -0.5599517983139291e-1, (24, 4) = .2427861347723762, (24, 5) = .3918520439519158, (24, 6) = .405069802195059, (24, 7) = -.3560068471972505, (25, 1) = .36341537175628497, (25, 2) = -.2701033420412026, (25, 3) = -0.4660967679615468e-1, (25, 4) = .2572121554674377, (25, 5) = .37700721405190146, (25, 6) = .39195303795515646, (25, 7) = -.3430294380682383, (26, 1) = .3533770946126125, (26, 2) = -.2578389396986893, (26, 3) = -0.3655606175762054e-1, (26, 4) = .2712850292677997, (26, 5) = .36307292252881584, (26, 6) = .3791423103767972, (26, 7) = -.3306361874020015, (27, 1) = .3436508736010304, (27, 2) = -.24633953213188772, (27, 3) = -0.2581904091109644e-1, (27, 4) = .28504110605404537, (27, 5) = .3499509645976493, (27, 6) = .3666130638370115, (27, 7) = -.3187617238807888, (28, 1) = .3342083390670267, (28, 2) = -.23552476168366415, (28, 3) = -0.1437893723914758e-1, (28, 4) = .29851430859060935, (28, 5) = .33755558003287145, (28, 6) = .35434243786971953, (28, 7) = -.3073486098948925, (29, 1) = .32502443519684, (29, 2) = -.2253255020912264, (29, 3) = -0.2212880763571889e-2, (29, 4) = .3117349359672634, (29, 5) = .32581286288190825, (29, 6) = .3423104953946207, (29, 7) = -.29634737207014694, (30, 1) = .31607786546540023, (30, 2) = -.2156829331351726, (30, 3) = 0.1070379518066878e-1, (30, 4) = .324728843808106, (30, 5) = .31465989354105117, (30, 6) = .3305010849621276, (30, 7) = -.28571629053101066, (31, 1) = .3073478049653732, (31, 2) = -.2065438873825929, (31, 3) = 0.24401723478456858e-1, (31, 4) = .33752207959661373, (31, 5) = .304039516592149, (31, 6) = .3188977264061976, (31, 7) = -.2754169157752743, (32, 1) = .29881745159040424, (32, 2) = -.19786380124231495, (32, 3) = 0.3891198298875327e-1, (32, 4) = .35013561530865284, (32, 5) = .29390388011792296, (32, 6) = .3074884833376804, (32, 7) = -.26541783827718834, (33, 1) = .29047317259933714, (33, 2) = -.18960486731359524, (33, 3) = 0.54266026383219236e-1, (33, 4) = .36258639522561675, (33, 5) = .2842124423413447, (33, 6) = .29626505510184786, (33, 7) = -.2556932617203244, (34, 1) = .28230310705588524, (34, 2) = -.18173393918032565, (34, 3) = 0.7049716580583928e-1, (34, 4) = .37488926686015167, (34, 5) = .2749296363719141, (34, 6) = .2852210611168979, (34, 7) = -.2462210635577509, (35, 1) = .27429780407556603, (35, 2) = -.17422262687378032, (35, 3) = 0.8763858849715334e-1, (35, 4) = .3870559122413701, (35, 5) = .26602507525248614, (35, 6) = .2743530179070213, (35, 7) = -.2369833048528358, (36, 1) = .26645007878841165, (36, 2) = -.16704665751311357, (36, 3) = .10572246440316273, (36, 4) = .3990949249001731, (36, 5) = .2574728923416692, (36, 6) = .2636602500529938, (36, 7) = -.2279658642184645, (37, 1) = .25875557734659277, (37, 2) = -.1601859421542037, (37, 3) = .12477714314440705, (37, 4) = .41101078776726396, (37, 5) = .24925191600226893, (37, 6) = .25314574105926013, (37, 7) = -.2191589209315012, (38, 1) = .2512094376242596, (38, 2) = -.15362126746579838, (38, 3) = .14483420719255005, (38, 4) = .42280892511572515, (38, 5) = .24134177847648824, (38, 6) = .24281161292316816, (38, 7) = -.21055300577533773, (39, 1) = .2438100685063101, (39, 2) = -.14733741986174867, (39, 3) = .1659180940582039, (39, 4) = .4344897565601667, (39, 5) = .23372671477717596, (39, 6) = .23266430393009532, (39, 7) = -.2021432253147483, (40, 1) = .23655756740858105, (40, 2) = -.14132147717760368, (40, 3) = .18804805051420714, (40, 4) = .44605098876584576, (40, 5) = .22639358970698623, (40, 6) = .22271240560604702, (40, 7) = -.19392734410767049, (41, 1) = .2294527959629172, (41, 2) = -.1355618535661384, (41, 3) = .211239426287894, (41, 4) = .4574889782290803, (41, 5) = .21933078665833716, (41, 6) = .21296535700731722, (41, 7) = -.18590465201723103, (42, 1) = .22249756111172841, (42, 2) = -.13004833389409315, (42, 3) = .23550196617307032, (42, 4) = .4687983695351276, (42, 5) = .21252828358414444, (42, 6) = .20343363443866733, (42, 7) = -.17807609406978153, (43, 1) = .21569423982605018, (43, 2) = -.12477167494006297, (43, 3) = .2608398253939708, (43, 4) = .4799726300795009, (43, 5) = .20597719438448733, (43, 6) = .19412816320881474, (43, 7) = -.17044377008176909, (44, 1) = .2090456528136725, (44, 2) = -.11972344246799402, (44, 3) = .2872509358297023, (44, 4) = .49100420281898555, (44, 5) = .19966959020759237, (44, 6) = .18506006069338682, (44, 7) = -.16301071564836836, (45, 1) = .20255459512253304, (45, 2) = -.1148956147475554, (45, 3) = .3147279299901195, (45, 4) = .5018852472953027, (45, 5) = .1935980202293324, (45, 6) = .17623990793629188, (45, 7) = -.15578029883884625, (46, 1) = .19622362924938264, (46, 2) = -.11028042171087489, (46, 3) = .34325850718834033, (46, 4) = .5126079809791431, (46, 5) = .1877553133493232, (46, 6) = .1676773875746207, (46, 7) = -.14875591411024416, (47, 1) = .19005473802029896, (47, 2) = -.10587010196399801, (47, 3) = .3728268197038715, (47, 4) = .5231652841517149, (47, 5) = .18213426698507848, (47, 6) = .15938074653118098, (47, 7) = -.14194052404260726, (48, 1) = .18404958719476303, (48, 2) = -.10165710878026424, (48, 3) = .4034123048724468, (48, 4) = .5335502837116244, (48, 5) = .1767279011977732, (48, 6) = .15135709780087095, (48, 7) = -.13533687973410663, (49, 1) = .1782093093546209, (49, 2) = -0.976339646318128e-1, (49, 3) = .434990761252832, (49, 4) = .5437567517407721, (49, 5) = .17152926762281148, (49, 6) = .1436120885672883, (49, 7) = -.12894721237733586, (50, 1) = .172534243624339, (50, 2) = -0.9379309915858196e-1, (50, 3) = .46753615565531664, (50, 4) = .5537796082939569, (50, 5) = .1665312288048679, (50, 6) = .13614953718018194, (50, 7) = -.12277288786102344, (51, 1) = .16702332229465286, (51, 2) = -0.9012646774014009e-1, (51, 3) = .501025271803289, (51, 4) = .5636160898088879, (51, 5) = .16172593962052867, (51, 6) = .1289706483940657, (51, 7) = -.11681369761445241, (52, 1) = .16167636746547506, (52, 2) = -0.8662709254567018e-1, (52, 3) = .5354245937655286, (52, 4) = .5732617138385044, (52, 5) = .1571068532547171, (52, 6) = .12207703121748083, (52, 7) = -.11107030160152458, (53, 1) = .15649217188922715, (53, 2) = -0.832877606097653e-1, (53, 3) = .5707017632972221, (53, 4) = .5827137094120911, (53, 5) = .15266702144547653, (53, 6) = .11546819718098544, (53, 7) = -.10554209857792878, (54, 1) = .1514681638565417, (54, 2) = -0.8010083796586685e-1, (54, 3) = .6068296591707916, (54, 4) = .5919717359930652, (54, 5) = .1483988206956467, (54, 6) = .10914121738711419, (54, 7) = -.1002268626526667, (55, 1) = .14660160234777767, (55, 2) = -0.7705904545671184e-1, (55, 3) = .6437795928327126, (55, 4) = .6010357808561354, (55, 5) = .14429496914815607, (55, 6) = .10309232375018078, (55, 7) = -0.9512201172172534e-1, (56, 1) = .14189016294329682, (56, 2) = -0.7415579244743617e-1, (56, 3) = .6815167857151943, (56, 4) = .609905070263442, (56, 5) = .14034898646161215, (56, 6) = 0.9731766543861783e-1, (56, 7) = -0.9022519334264704e-1, (57, 1) = .13733055115840967, (57, 2) = -0.7138429207106428e-1, (57, 3) = .7200114369835326, (57, 4) = .6185806833233924, (57, 5) = .13655400028046524, (57, 6) = 0.9181164277759303e-1, (57, 7) = -0.8553282185600106e-1, (58, 1) = .13291913685185686, (58, 2) = -0.6873795031830646e-1, (58, 3) = .7592350640821742, (58, 4) = .6270644277840627, (58, 5) = .1329032634057901, (58, 6) = 0.8656778272546026e-1, (58, 7) = -0.8104075700907686e-1, (59, 1) = .1286516327741731, (59, 2) = -0.6621016059961132e-1, (59, 3) = .799164460031636, (59, 4) = .6353595080809519, (59, 5) = .12938986575267097, (59, 6) = 0.8157844377519083e-1, (59, 7) = -0.7674399557867947e-1, (60, 1) = .12452430619411357, (60, 2) = -0.6379500379743547e-1, (60, 3) = .839771230939577, (60, 4) = .6434682068578423, (60, 5) = .12600770681463422, (60, 6) = 0.7683631058969256e-1, (60, 7) = -0.7263791038699614e-1, (61, 1) = .12053332346250112, (61, 2) = -0.6148682506048283e-1, (61, 3) = .8810276084176722, (61, 4) = .6513931420513931, (61, 5) = .12275092222076696, (61, 6) = 0.723336551457202e-1, (61, 7) = -0.687175841247968e-1, (62, 1) = .11667438654168381, (62, 2) = -0.5928000637071922e-1, (62, 3) = .9229109557024708, (62, 4) = .6591380172829979, (62, 5) = .11961356381867923, (62, 6) = 0.6806199777754275e-1, (62, 7) = -0.6497747609164842e-1, (63, 1) = .11294298648362892, (63, 2) = -0.57169100695410174e-1, (63, 3) = .9654023076310734, (63, 4) = .6667071615807357, (63, 5) = .11658978562213738, (63, 6) = 0.6401247882339202e-1, (63, 7) = -0.6141170855360152e-1, (64, 1) = .10933506387603534, (64, 2) = -0.5514918379084914e-1, (64, 3) = 1.0084792288200035, (64, 4) = .674104198640308, (64, 5) = .11367435428569851, (64, 6) = 0.6017662590041298e-1, (64, 7) = -0.58014717648254485e-1, (65, 1) = .10584689988050607, (65, 2) = -0.53215760915675155e-1, (65, 3) = 1.0521163069669728, (65, 4) = .6813322323771271, (65, 5) = .11086253363996139, (65, 6) = 0.5654623868694521e-1, (65, 7) = -0.5478114175121917e-1, (66, 1) = .10247421278276006, (66, 2) = -0.51364246219493405e-1, (66, 3) = 1.0962965827078632, (66, 4) = .6883957184775215, (66, 5) = .10814933543258673, (66, 6) = 0.5311248462877352e-1, (66, 7) = -0.51704999820689775e-1, (67, 1) = 0.9921290988322891e-1, (67, 2) = -0.4959036780155851e-1, (67, 3) = 1.141003046528324, (67, 4) = .6952989342332647, (67, 5) = .1055301079545874, (67, 6) = 0.4986674411817201e-1, (67, 7) = -0.4878042451768817e-1, (68, 1) = 0.9605911922500847e-1, (68, 2) = -0.4789016423374489e-1, (68, 3) = 1.186218001626672, (68, 4) = .7020458967717208, (68, 5) = .10300054210288584, (68, 6) = 0.4680065855233838e-1, (68, 7) = -0.4600169882505357e-1, (69, 1) = 0.9300918118628577e-1, (69, 2) = -0.4625996072380607e-1, (69, 3) = 1.2319228849172166, (69, 4) = .7086403636416022, (69, 5) = .10055664721832, (69, 6) = 0.4390613308737576e-1, (69, 7) = -0.4336325445354654e-1, (70, 1) = 0.9005963726896335e-1, (70, 2) = -0.44696345792792136e-1, (70, 3) = 1.2780981239439666, (70, 4) = .715085840088841, (70, 5) = 0.9819472668269251e-1, (70, 6) = 0.4117533490884553e-1, (70, 7) = -0.4085966769265928e-1, (71, 1) = 0.8720662809616934e-1, (71, 2) = -0.43195840295262154e-1, (71, 3) = 1.3247328641656022, (71, 4) = .7213868990604615, (71, 5) = 0.959108824037368e-1, (71, 6) = 0.3860016386916169e-1, (71, 7) = -0.3848516856421221e-1, (72, 1) = 0.8444665201022808e-1, (72, 2) = -0.417552894446388e-1, (72, 3) = 1.3718135605563158, (72, 4) = .7275475329006473, (72, 5) = 0.9370160979020452e-1, (72, 6) = 0.3617298491606246e-1, (72, 7) = -0.36234307802151734e-1, (73, 1) = 0.8177634831364401e-1, (73, 2) = -0.4037173402203197e-1, (73, 3) = 1.419327053967124, (73, 4) = .7335716098404168, (73, 5) = 0.9156361245610806e-1, (73, 6) = 0.33886428452975216e-1, (73, 7) = -0.3410177625172606e-1, (74, 1) = 0.7919244512824229e-1, (74, 2) = -0.3904237227030642e-1, (74, 3) = 1.4672614347298802, (74, 4) = .7394629834350771, (74, 5) = 0.8949375010756808e-1, (74, 6) = 0.3173335356974858e-1, (74, 7) = -0.3208237199793818e-1, (75, 1) = 0.766917452786738e-1, (75, 2) = -0.3776454319644946e-1, (75, 3) = 1.5156063797855175, (75, 4) = .7452255211846236, (75, 5) = 0.8748901780777456e-1, (75, 6) = 0.29706846489508134e-1, (75, 7) = -0.30171000378395537e-1, (76, 1) = 0.7427108666571063e-1, (76, 2) = -0.3653569801566861e-1, (76, 3) = 1.56435407644909, (76, 4) = .7508631948003112, (76, 5) = 0.8554650554414327e-1, (76, 6) = 0.2780019888614298e-1, (76, 7) = -0.2836265544217905e-1, (77, 1) = 0.7192722598819627e-1, (77, 2) = -0.35353334471828785e-1, (77, 3) = 1.6135019844319525, (77, 4) = .7563803576967835, (77, 5) = 0.8366329666302517e-1, (77, 6) = 0.26006831606669372e-1, (77, 7) = -0.26652349069398753e-1, (78, 1) = 0.6965652211426684e-1, (78, 2) = -0.34214833644028164e-1, (78, 3) = 1.6630606783505262, (78, 4) = .7617825194247292, (78, 5) = 0.818362046768005e-1, (78, 6) = 0.24320085139015783e-1, (78, 7) = -0.25034910053607307e-1, (79, 1) = 0.6745415227431711e-1, (79, 2) = -0.33117070324267625e-1, (79, 3) = 1.713074277652851, (79, 4) = .7670782989058776, (79, 5) = 0.8006113071928549e-1, (79, 6) = 0.22732717743348157e-1, (79, 7) = -0.23504494462123514e-1, (80, 1) = 0.653174926532069e-1, (80, 2) = -0.3205809437838403e-1, (80, 3) = 1.7635451239012367, (80, 4) = .7722713266005171, (80, 5) = 0.7833577907306599e-1, (80, 6) = 0.21239367364873103e-1, (80, 7) = -0.22056961396677732e-1, (81, 1) = 0.6324618571466564e-1, (81, 2) = -0.31037127966861342e-1, (81, 3) = 1.8144226145450653, (81, 4) = .7773598019042196, (81, 5) = 0.766597219644611e-1, (81, 6) = 0.19836363389372388e-1, (81, 7) = -0.20689736141079718e-1, (82, 1) = 0.6123998503307529e-1, (82, 2) = -0.3005347880465721e-1, (82, 3) = 1.8656485564000036, (82, 4) = .7823415773762875, (82, 5) = 0.7503266612459865e-1, (82, 6) = 0.18520102723197866e-1, (82, 7) = -0.1940025706534461e-1, (83, 1) = 0.5929737180297433e-1, (83, 2) = -0.2910586428826123e-1, (83, 3) = 1.9171937834263597, (83, 4) = .787217633956304, (83, 5) = 0.7345332619263635e-1, (83, 6) = 0.17286186479976352e-1, (83, 7) = -0.181851232611352e-1, (84, 1) = 0.5741655133464861e-1, (84, 2) = -0.28192907817684805e-1, (84, 3) = 1.9690365465074622, (84, 4) = .7919897115240078, (84, 5) = 0.7192022274910066e-1, (84, 6) = 0.16130164422757658e-1, (84, 7) = -0.17040811610716092e-1, (85, 1) = 0.555951180848402e-1, (85, 2) = -0.27312978136185835e-1, (85, 3) = 2.021173890970974, (85, 4) = .7966612137325211, (85, 5) = 0.7043140181072279e-1, (85, 6) = 0.15047373779686386e-1, (85, 7) = -0.15963513643715645e-1, (86, 1) = 0.53830960098087494e-1, (86, 2) = -0.2646462746652903e-1, (86, 3) = 2.0735978784815954, (86, 4) = .8012349398472144, (86, 5) = 0.6898516657212175e-1, (86, 6) = 0.1403351479043102e-1, (86, 7) = -0.14949706357927807e-1, (87, 1) = 0.521220691902015e-1, (87, 2) = -0.25646494959249203e-1, (87, 3) = 2.1263003114377943, (87, 4) = .8057135493898496, (87, 5) = 0.6757992094013747e-1, (87, 6) = 0.13084520237125303e-1, (87, 7) = -0.139960292467264e-1, (88, 1) = 0.50466495504684544e-1, (88, 2) = -0.2485728164590901e-1, (88, 3) = 2.1792739683535407, (88, 4) = .810099673559902, (88, 5) = 0.662141300173103e-1, (88, 6) = 0.12196523093985182e-1, (88, 7) = -0.13099256789703594e-1, (89, 1) = 0.4886235775707648e-1, (89, 2) = -0.24095752574361837e-1, (89, 3) = 2.2325122557439467, (89, 4) = .81439588423751, (89, 5) = 0.6488632633494537e-1, (89, 6) = 0.11365857148876791e-1, (89, 7) = -0.12256303574946446e-1, (90, 1) = 0.47307845059216785e-1, (90, 2) = -0.23360735056253266e-1, (90, 3) = 2.2860090697577875, (90, 4) = .8186046839450801, (90, 5) = 0.6359510950556727e-1, (90, 6) = 0.1058905185381353e-1, (90, 7) = -0.11464223580929493e-1, (91, 1) = 0.4580121666136627e-1, (91, 2) = -0.2265111611151706e-1, (91, 3) = 2.3397587042276045, (91, 4) = .8227285009951595, (91, 5) = 0.6233914441576576e-1, (91, 6) = 0.9862825614015936e-2, (91, 7) = -0.107202077302794e-1, (92, 1) = 0.4434080733778398e-1, (92, 2) = -0.2196584274078579e-1, (92, 3) = 2.393755530962878, (92, 4) = .8267696687449231, (92, 5) = 0.61117164378142505e-1, (92, 6) = 0.9184081388015965e-2, (92, 7) = -0.10021583648716392e-1, (93, 1) = 0.42925145853717636e-1, (93, 2) = -0.2130397508619256e-1, (93, 3) = 2.4479892081920704, (93, 4) = .8307300855152587, (93, 5) = 0.5992806977704981e-1, (93, 6) = 0.8549951249578833e-2, (93, 7) = -0.9365866049369924e-2, (94, 1) = 0.4155262130359708e-1, (94, 2) = -0.2066452832678662e-1, (94, 3) = 2.502457135574029, (94, 4) = .8346121380272766, (94, 5) = 0.5877064728357242e-1, (94, 6) = 0.7957637886648394e-2, (94, 7) = -0.8750596954165865e-2, (95, 1) = 0.40221673082686e-1, (95, 2) = -0.20046560655054453e-1, (95, 3) = 2.5571577851500775, (95, 4) = .8384181810565843, (95, 5) = 0.57643726773201474e-1, (95, 6) = 0.7404501824848323e-2, (95, 7) = -0.8173438423547898e-2, (96, 1) = 0.3893093363217918e-1, (96, 2) = -0.19449237677365155e-1, (96, 3) = 2.6120844990926924, (96, 4) = .8421501190891273, (96, 5) = 0.5654630194311316e-1, (96, 6) = 0.6888111282844666e-2, (96, 7) = -0.7632228495991538e-2, (97, 1) = 0.3767913294059378e-1, (97, 2) = -0.1887178595166975e-1, (97, 3) = 2.667228654188966, (97, 4) = .8458096605035292, (97, 5) = 0.5547745035158284e-1, (97, 6) = 0.64061892384546576e-2, (97, 7) = -0.7124930043201029e-2, (98, 1) = 0.36464855030914144e-1, (98, 2) = -0.18313379572760476e-1, (98, 3) = 2.7225904821560354, (98, 4) = .8493990293787306, (98, 5) = 0.5443612442522976e-1, (98, 6) = 0.59565158905427445e-2, (98, 7) = -0.6649530877556062e-2, (99, 1) = 0.35287129676639724e-1, (99, 2) = -0.17773411236805755e-1, (99, 3) = 2.7781521098313138, (99, 4) = .8529192148774755, (99, 5) = 0.5342165809334678e-1, (99, 6) = 0.5537143446706783e-2, (99, 7) = -0.6204273518435405e-2, (100, 1) = 0.3414448775408405e-1, (100, 2) = -0.17251057251932208e-1, (100, 3) = 2.8339211154523043, (100, 4) = .8563727717832911, (100, 5) = 0.52432954840383246e-1, (100, 6) = 0.5146045985976234e-2, (100, 7) = -0.5787287135105179e-2, (101, 1) = 0.3303572907131051e-1, (101, 2) = -0.16745629644977163e-1, (101, 3) = 2.8898955064608667, (101, 4) = .8597615482839938, (101, 5) = 0.51469145618834776e-1, (101, 6) = 0.4781398495554278e-2, (101, 7) = -0.5396885129046895e-2, (102, 1) = 0.3195981073286776e-1, (102, 2) = -0.16256523054212938e-1, (102, 3) = 2.94606770601317, (102, 4) = .8630869913915394, (102, 5) = 0.5052949522528311e-1, (102, 6) = 0.4441521516255529e-2, (102, 7) = -0.5031509922179083e-2, (103, 1) = 0.30915598137938833e-1, (103, 2) = -0.15783100427777905e-1, (103, 3) = 3.002437108550583, (103, 4) = .8663509059017817, (103, 5) = 0.49613185415921565e-1, (103, 6) = 0.4124794717803363e-2, (103, 7) = -0.4689642631979475e-2, (104, 1) = 0.29901970845921482e-1, (104, 2) = -0.15324740843082107e-1, (104, 3) = 3.0590051626175123, (104, 4) = .8695551374490673, (104, 5) = 0.487194055183293e-1, (104, 6) = 0.3829690331967739e-2, (104, 7) = -0.4369840628700971e-2, (105, 1) = 0.2891817845755974e-1, (105, 2) = -0.14880999220591645e-1, (105, 3) = 3.1157546708604014, (105, 4) = .8727004295170955, (105, 5) = 0.47847667825719004e-1, (105, 6) = 0.3554866924305937e-2, (105, 7) = -0.40708417306626115e-2, (106, 1) = 0.27963163270254478e-1, (106, 2) = -0.1445129941189121e-1, (106, 3) = 3.1726875343071246, (106, 4) = .8757885621654562, (106, 5) = 0.4699721013074634e-1, (106, 6) = 0.3298968129327067e-2, (106, 7) = -0.3791347889312316e-2, (107, 1) = 0.27036054474744546e-1, (107, 2) = -0.1403515704995601e-1, (107, 3) = 3.2297970324116263, (107, 4) = .8788207857953696, (107, 5) = 0.46167431512408715e-1, (107, 6) = 0.30607620642720077e-2, (107, 7) = -0.35301779967586255e-2, (108, 1) = 0.26135990182439874e-1, (108, 2) = -0.136320985542424e-1, (108, 3) = 3.287077717628753, (108, 4) = .8817983817939085, (108, 5) = 0.45357735223466554e-1, (108, 6) = 0.2839085862681523e-2, (108, 7) = -0.3286209314341815e-2, (109, 1) = 0.25262050106508706e-1, (109, 2) = -0.13241630697811596e-1, (109, 3) = 3.3445300453631157, (109, 4) = .8847228903452787, (109, 5) = 0.44567467123514615e-1, (109, 6) = 0.26328275024835607e-2, (109, 7) = -0.30583587722556906e-2, (110, 1) = 0.24413349314602834e-1, (110, 2) = -0.12863282318672776e-1, (110, 3) = 3.4021547804570993, (110, 4) = .887595805636143, (110, 5) = 0.437959990098312e-1, (110, 6) = 0.24409471805914122e-2, (110, 7) = -0.2845607745492162e-2, (111, 1) = 0.23589143691971477e-1, (111, 2) = -0.12496650693252929e-1, (111, 3) = 3.459945373101773, (111, 4) = .8904182090864114, (111, 5) = 0.430428253565388e-1, (111, 6) = 0.22624955246276683e-2, (111, 7) = -0.2647023818928518e-2, (112, 1) = 0.22788544500633067e-1, (112, 2) = -0.12141274016994663e-1, (112, 3) = 3.517907612668944, (112, 4) = .8931917390779196, (112, 5) = 0.4230730313112941e-1, (112, 6) = 0.20965469627233866e-2, (112, 7) = -0.2461688048783101e-2, (113, 1) = 0.2201092154264269e-1, (113, 2) = -0.1179681022215186e-1, (113, 3) = 3.576030939938064, (113, 4) = .8959172018453189, (113, 5) = 0.4158902099552602e-1, (113, 6) = 0.19422823318737763e-2, (113, 7) = -0.228878818143032e-2, (114, 1) = 0.2125560521689302e-1, (114, 2) = -0.11462903989906546e-1, (114, 3) = 3.6343089625327116, (114, 4) = .8985955842843032, (114, 5) = 0.4088752771952661e-1, (114, 6) = 0.17989202787508094e-2, (114, 7) = -0.21275434552632607e-2, (115, 1) = 0.20521859851746347e-1, (115, 2) = -0.11139174973080628e-1, (115, 3) = 3.6927422713816003, (115, 4) = .901228160676181, (115, 5) = 0.40202305706456845e-1, (115, 6) = 0.16657125158263998e-2, (115, 7) = -0.1977199961864016e-2, (116, 1) = 0.19809007610044085e-1, (116, 2) = -0.10825272392179685e-1, (116, 3) = 3.7513291524005035, (116, 4) = .9038160568685645, (116, 5) = 0.3953288543830951e-1, (116, 6) = 0.15419656732920172e-2, (116, 7) = -0.18370560679884847e-2, (117, 1) = 0.19116459219134217e-1, (117, 2) = -0.10520888096597018e-1, (117, 3) = 3.8100624347040353, (117, 4) = .9063601272182191, (117, 5) = 0.38878875566455126e-1, (117, 6) = 0.14270421589284107e-2, (117, 7) = -0.1706464442997396e-2, (118, 1) = 0.1844353362888209e-1, (118, 2) = -0.10225676992181737e-1, (118, 3) = 3.868944547638398, (118, 4) = .9088616122353441, (118, 5) = 0.38239793038485445e-1, (118, 6) = 0.13203272362793043e-2, (118, 7) = -0.15847955131765516e-2, (119, 1) = 0.17789709594853653e-1, (119, 2) = -0.9939367324640893e-2, (119, 3) = 3.9279659277100545, (119, 4) = .9113212093702816, (119, 5) = 0.376153011508749e-1, (119, 6) = 0.12212679341659727e-2, (119, 7) = -0.14714824659729727e-2, (120, 1) = 0.1715434821401846e-1, (120, 2) = -0.966163872941871e-2, (120, 3) = 3.9871292234576647, (120, 4) = .9137401023351425, (120, 5) = 0.3700494616750579e-1, (120, 6) = 0.11293267277753402e-2, (120, 7) = -0.1365969153112434e-2, (121, 1) = 0.1653686685477603e-1, (121, 2) = -0.9392198385188308e-2, (121, 3) = 4.046434233913541, (121, 4) = .9161193161473176, (121, 5) = 0.3640832219382344e-1, (121, 6) = 0.10440074614222617e-2, (121, 7) = -0.12677402606956771e-2, (122, 1) = 0.1593672984453655e-1, (122, 2) = -0.9130776619449235e-2, (122, 3) = 4.105878254180306, (122, 4) = .918459743389031, (122, 5) = 0.3582506324812699e-1, (122, 6) = 0.9648508034309002e-3, (122, 7) = -0.11763168046591919e-2, (123, 1) = 0.15353456370083519e-1, (123, 2) = -0.8877130053322135e-2, (123, 3) = 4.165454756028964, (123, 4) = .9207621042586911, (123, 5) = 0.3525485195379574e-1, (123, 6) = 0.8914323837445772e-3, (123, 7) = -0.10912546315821271e-2, (124, 1) = 0.14786605499051348e-1, (124, 2) = -0.8631034803741748e-2, (124, 3) = 4.2251543164998395, (124, 4) = .9230269958510547, (124, 5) = 0.3469740599658427e-1, (124, 6) = 0.8233581730263291e-3, (124, 7) = -0.10121396610135644e-2, (125, 1) = 0.1423560509441761e-1, (125, 2) = -0.8392212157745564e-2, (125, 3) = 4.28498299546985, (125, 4) = .925255580609136, (125, 5) = 0.34152309214020814e-1, (125, 6) = 0.760243103053324e-3, (125, 7) = -0.938563455856944e-3, (126, 1) = 0.1369997590376947e-1, (126, 2) = -0.8160425838712085e-2, (126, 3) = 4.344939248308072, (126, 4) = .9274486979359966, (126, 5) = 0.33619231067228195e-1, (126, 6) = 0.7017373197944904e-3, (126, 7) = -0.8701541170718898e-3, (127, 1) = 0.13179260839270365e-1, (127, 2) = -0.7935451067583034e-2, (127, 3) = 4.405020871401772, (127, 4) = .9296071384367649, (127, 5) = 0.3309785803833924e-1, (127, 6) = 0.6475153511061355e-3, (127, 7) = -0.8065641728294864e-3, (128, 1) = 0.12673016774717254e-1, (128, 2) = -0.7717070876205519e-2, (128, 3) = 4.465225806438151, (128, 4) = .9317316751472142, (128, 5) = 0.3258788569860931e-1, (128, 6) = 0.5972736864292357e-3, (128, 7) = -0.7474681438722301e-3, (129, 1) = 0.12180814856644654e-1, (129, 2) = -0.7505076125168032e-2, (129, 3) = 4.525552047703438, (129, 4) = .9338230607702328, (129, 5) = 0.32089019152014744e-1, (129, 6) = 0.5507294602302875e-3, (129, 7) = -0.6925613591197516e-3, (130, 1) = 0.11702239989818099e-1, (130, 2) = -0.7299265171632634e-2, (130, 3) = 4.585997640127296, (130, 4) = .9358820282972874, (130, 5) = 0.31600972661932875e-1, (130, 6) = 0.5076191202028123e-3, (130, 7) = -0.6415587231086209e-3, (131, 1) = 0.11236890371623526e-1, (131, 2) = -0.7099443565783825e-2, (131, 3) = 4.64656067373754, (131, 4) = .9379092914859827, (131, 5) = 0.31123469324561948e-1, (131, 6) = 0.4676971775487788e-3, (131, 7) = -0.5941935510054997e-3, (132, 1) = 0.107843770107237e-1, (132, 2) = -0.6905423747524692e-2, (132, 3) = 4.707239282407291, (132, 4) = .9399055454663998, (132, 5) = 0.30656240723360338e-1, (132, 6) = 0.43073502924570906e-3, (132, 7) = -0.5502164615731298e-3, (133, 1) = 0.10344323263119098e-1, (133, 2) = -0.6717024757245861e-2, (133, 3) = 4.76803164308303, (133, 4) = .9418714673375305, (133, 5) = 0.30199026597440937e-1, (133, 6) = 0.39651985188484193e-3, (133, 7) = -0.5093943297131232e-3, (134, 1) = 0.991636438458679e-2, (134, 2) = -0.6534071959760502e-2, (134, 3) = 4.828935975581054, (134, 4) = .9438077167561614, (134, 5) = 0.29751574522758853e-1, (134, 6) = 0.36485356319130105e-3, (134, 7) = -0.4715092959902402e-3, (135, 1) = 0.9500147114831702e-2, (135, 2) = -0.6356396787514922e-2, (135, 3) = 4.889950540624614, (135, 4) = .9457149364454033, (135, 5) = 0.2931363962219971e-1, (135, 6) = 0.3355518486277446e-3, (135, 7) = -0.43635783194643206e-3, (136, 1) = 0.9095329261754777e-2, (136, 2) = -0.61838364891480474e-2, (136, 3) = 4.9510736404235836, (136, 4) = .947593752761815, (136, 5) = 0.28884984271701088e-1, (136, 6) = 0.30844324714459726e-3, (136, 7) = -0.4037498558821582e-3, (137, 1) = 0.870157925505246e-2, (137, 2) = -0.601623387000051e-2, (137, 3) = 5.012303627058391, (137, 4) = .9494447764708851, (137, 5) = 0.28465377768764184e-1, (137, 6) = 0.28336829120570266e-3, (137, 7) = -0.3735078948773748e-3, (138, 1) = 0.8318575781930621e-2, (138, 2) = -0.5853437072325423e-2, (138, 3) = 5.0736389017910835, (138, 4) = .9512686032079182, (138, 5) = 0.280545960825053e-1, (138, 6) = 0.2601787055173408e-3, (138, 7) = -0.34546629992478233e-3, (139, 1) = 0.7946007389342705e-2, (139, 2) = -0.5695299345566016e-2, (139, 3) = 5.135077922433506, (139, 4) = .9530658141549968, (139, 5) = 0.276524215633124e-1, (139, 6) = 0.2387366533987117e-3, (139, 7) = -0.31947050232195343e-3, (140, 1) = 0.7583572174809846e-2, (140, 2) = -0.554167885830191e-2, (140, 3) = 5.196619199286618, (140, 4) = .9548369763523616, (140, 5) = 0.27258642742879598e-1, (140, 6) = 0.21891403538176765e-3, (140, 7) = -0.2953763182049148e-3, (141, 1) = 0.7230977493355699e-2, (141, 2) = -0.5392438520624993e-2, (141, 3) = 5.258261289858421, (141, 4) = .9565826429700981, (141, 5) = 0.2687305414886625e-1, (141, 6) = 0.20059183213151456e-3, (141, 7) = -0.27304929294300013e-3, (142, 1) = 0.6887939715010858e-2, (142, 2) = -0.52474458312329955e-2, (142, 3) = 5.320002785774653, (142, 4) = .958303353361792, (142, 5) = 0.26495456172530026e-1, (142, 6) = 0.1836594907879038e-3, (142, 7) = -0.252364085464996e-3, (143, 1) = 0.6554183880220243e-2, (143, 2) = -0.5106572684456149e-2, (143, 3) = 5.381842318957145, (143, 4) = .9599996336604034, (143, 5) = 0.26125654821718747e-1, (143, 6) = 0.1680143447380809e-3, (143, 7) = -0.23320388139026565e-3, (144, 1) = 0.6229443363023987e-2, (144, 2) = -0.496969518374495e-2, (144, 3) = 5.44377856989792, (144, 4) = .961671997397204, (144, 5) = 0.25763461476510423e-1, (144, 6) = 0.15356107126225863e-3, (144, 7) = -0.21545984131697018e-3, (145, 1) = 0.59134596103730345e-2, (145, 2) = -0.4836693490181476e-2, (145, 3) = 5.505810264587283, (145, 4) = .963320945785362, (145, 5) = 0.2540869272435785e-1, (145, 6) = 0.14021118760005577e-3, (145, 7) = -0.1990305859062199e-3, (146, 1) = 0.5605981879431755e-2, (146, 2) = -0.4707451672732042e-2, (146, 3) = 5.56793617351249, (146, 4) = .9649469680512343, (146, 5) = 0.2506117018958842e-1, (146, 6) = 0.12788257922406355e-3, (146, 7) = -0.1838217110432586e-3, (147, 1) = 0.53067669906432515e-2, (147, 2) = -0.4581857567572001e-2, (147, 3) = 5.630155109349184, (147, 4) = .9665505417213073, (147, 5) = 0.24720720377034513e-1, (147, 6) = 0.11649905921041561e-3, (147, 7) = -0.16974533250776132e-3, (148, 1) = 0.5015579091342034e-2, (148, 2) = -0.4459802644110297e-2, (148, 3) = 5.692465924121744, (148, 4) = .9681321328883635, (148, 5) = 0.2438717452423778e-1, (148, 6) = 0.10598995658033662e-3, (148, 7) = -0.1567196582818594e-3, (149, 1) = 0.4732189454943598e-2, (149, 2) = -0.4341181888026249e-2, (149, 3) = 5.754867500071219, (149, 4) = .9696921963155168, (149, 5) = 0.24060368491380577e-1, (149, 6) = 0.9628973268058946e-4, (149, 7) = -0.1446685880441674e-3, (150, 1) = 0.445637619497772e-2, (150, 2) = -0.4225893650637279e-2, (150, 3) = 5.81735876065353, (150, 4) = .9712311760403447, (150, 5) = 0.23740142549888144e-1, (150, 6) = 0.8733761981190855e-4, (150, 7) = -0.13352133330447443e-3, (151, 1) = 0.4187924050803135e-2, (151, 2) = -0.4113839530268126e-2, (151, 3) = 5.879938668714196, (151, 4) = .9727495056336701, (151, 5) = 0.2342634124862383e-1, (151, 6) = 0.7907728636528507e-4, (151, 7) = -0.1232120640465816e-3, (152, 1) = 0.3926624184068294e-2, (152, 2) = -0.4004924259857473e-2, (152, 3) = 5.942606223760687, (152, 4) = .9742476084300418, (152, 5) = 0.23118813289296117e-1, (152, 6) = 0.714565244479042e-4, (152, 7) = -0.11367957746503508e-3, (153, 1) = 0.36722739675628595e-2, (153, 2) = -0.3899055593040416e-2, (153, 3) = 6.005360462681993, (153, 4) = .9757258978340067, (153, 5) = 0.22817411389538758e-1, (153, 6) = 0.6442695807953464e-4, (153, 7) = -0.10486698691294358e-3, (154, 1) = 0.3424676781951572e-2, (154, 2) = -0.37961441950964078e-2, (154, 3) = 6.068200460574128, (154, 4) = .9771847776170947, (154, 5) = 0.22521992151470806e-1, (154, 6) = 0.5794377119218636e-4, (154, 7) = -0.967214305737495e-4, (155, 1) = 0.318364182773534e-2, (155, 2) = -0.36961035417064788e-2, (155, 3) = 6.131125329639266, (155, 4) = .9786246421596811, (155, 5) = 0.22232415944730063e-1, (155, 6) = 0.51965454344558085e-4, (155, 7) = -0.8919379893818854e-4, (156, 1) = 0.29489839668066916e-2, (156, 2) = -0.3598849831342047e-2, (156, 3) = 6.194134211754286, (156, 4) = .9800458765440385, (156, 5) = 0.21948546822007864e-1, (156, 6) = 0.4645356922033489e-4, (156, 7) = -0.8223848033365505e-4, (157, 1) = 0.2720523479792377e-2, (157, 2) = -0.3504301864036683e-2, (157, 3) = 6.257226295253834, (157, 4) = .9814488571872236, (157, 5) = 0.21670252329442523e-1, (157, 6) = 0.41372527148834515e-4, (157, 7) = -0.7581312014106669e-4, (158, 1) = 0.24994622622722487e-2, (158, 2) = -0.34129493089673224e-2, (158, 3) = 6.320004429362408, (158, 4) = .9828253219279554, (158, 5) = 0.21399097573883887e-1, (158, 6) = 0.3671757453856597e-4, (158, 7) = -0.6991415932376671e-4, (159, 1) = 0.22914438569439223e-2, (159, 2) = -0.33271103446682673e-2, (159, 3) = 6.380714359223117, (159, 4) = .9841383236747088, (159, 5) = 0.21142196023966428e-1, (159, 6) = 0.3256657044189625e-4, (159, 7) = -0.6464305200947549e-4, (160, 1) = 0.2096764977130119e-2, (160, 2) = -0.3246888216871749e-2, (160, 3) = 6.439041851800582, (160, 4) = .985383387995297, (160, 5) = 0.209001807532975e-1, (160, 6) = 0.28878429537552865e-4, (160, 7) = -0.5995056210962825e-4, (161, 1) = 0.19142542422758073e-2, (161, 2) = -0.31717820489926096e-2, (161, 3) = 6.4951157087198235, (161, 4) = .9865655002073301, (161, 5) = 0.2067184982425839e-1, (161, 6) = 0.25589568107955412e-4, (161, 7) = -0.5575831327685825e-4, (162, 1) = 0.17427142743147398e-2, (162, 2) = -0.3101283157089607e-2, (162, 3) = 6.5491051323901015, (162, 4) = .9876901928502866, (162, 5) = 0.20455929268952944e-1, (162, 6) = 0.2264398415019256e-4, (162, 7) = -0.51996993884276855e-4, (163, 1) = 0.15811015363619964e-2, (163, 2) = -0.3034948752530318e-2, (163, 3) = 6.601162057284735, (163, 4) = .9887623477334817, (163, 5) = 0.2025130191646246e-1, (163, 6) = 0.19995149287787638e-4, (163, 7) = -0.4860889607355352e-4, (164, 1) = 0.14285079524789714e-2, (164, 2) = -0.29723938930752585e-2, (164, 3) = 6.651421488871508, (164, 4) = .9897862525363109, (164, 5) = 0.20056990944072855e-1, (164, 6) = 0.17604241683083722e-4, (164, 7) = -0.45545777125153235e-4, (165, 1) = 0.12841380601209408e-2, (165, 2) = -0.29132816972746683e-2, (165, 3) = 6.7000042676403915, (165, 4) = .9907656989607102, (165, 5) = 0.19872136498653162e-1, (165, 6) = 0.15438635568661184e-4, (165, 7) = -0.427670184725108e-4, (166, 1) = 0.11472903267585523e-2, (166, 2) = -0.28573153562169145e-2, (166, 3) = 6.747019454806988, (166, 4) = .9917040645449797, (166, 5) = 0.1969597641041645e-1, (166, 6) = 0.13470724780140474e-4, (166, 7) = -0.4023818885023187e-4, (167, 1) = 0.10173434606982944e-2, (167, 2) = -0.28042322593080844e-2, (167, 3) = 6.792565807285179, (167, 4) = .9926043695551816, (167, 5) = 0.19527832369525187e-1, (167, 6) = 0.1167702161571815e-4, (167, 7) = -0.37929943037897354e-4, (168, 1) = 0.893745064050563e-3, (168, 2) = -0.2753799130211681e-2, (168, 3) = 6.836733031901551, (168, 4) = .9934693246139872, (168, 5) = 0.19367098410542075e-1, (168, 6) = 0.10037439121625286e-4, (168, 7) = -0.358171430611698e-4, (169, 1) = 0.776002178705785e-3, (169, 2) = -0.27058079781715864e-2, (169, 3) = 6.879602854428295, (169, 4) = .9943013707458818, (169, 5) = 0.19213231273768283e-1, (169, 6) = 0.8534715422939233e-5, (169, 7) = -0.3387815201610202e-4, (170, 1) = 0.6636729006810244e-3, (170, 2) = -0.26600725198970194e-2, (170, 3) = 6.921250108704328, (170, 4) = .9951027165532491, (170, 5) = 0.19065741682178818e-1, (170, 6) = 0.7153943222488218e-5, (170, 7) = -0.3209425552245678e-4, (171, 1) = 0.5563591652951864e-3, (171, 2) = -0.26164251077657906e-2, (171, 3) = 6.961743745577525, (171, 4) = .995875371044721, (171, 5) = 0.18924186748013903e-1, (171, 6) = 0.5882186619569889e-5, (171, 7) = -0.30449189658006313e-4, (172, 1) = 0.453703968041812e-3, (172, 2) = -0.25747154845888296e-2, (172, 3) = 7.001146434242757, (172, 4) = .9966211475552713, (172, 5) = 0.18788167920810266e-1, (172, 6) = 0.4708206273295691e-5, (172, 7) = -0.2892880415481513e-4, (173, 1) = 0.3553847160599982e-3, (173, 2) = -0.2534807981217631e-2, (173, 3) = 7.039515816735961, (173, 4) = .9973416977524165, (173, 5) = 0.18657323601527533e-1, (173, 6) = 0.3622181416110171e-5, (173, 7) = -0.2752071779279574e-4, (174, 1) = 0.2611089567921044e-3, (174, 2) = -0.24965796986488663e-2, (174, 3) = 7.076905087185851, (174, 4) = .9980385309827882, (174, 5) = 0.18531324646632825e-1, (174, 6) = 0.26154980864484428e-5, (174, 7) = -0.26214056372779796e-4, (175, 1) = 0.17061087792577472e-3, (175, 2) = -0.24599190164938103e-2, (175, 3) = 7.11336343575653, (175, 4) = .9987130298125714, (175, 5) = 0.18409870712982543e-1, (175, 6) = 0.16805750903788004e-5, (175, 7) = -0.24999237164889492e-4, (176, 1) = 0.8364828755175267e-4, (176, 2) = -0.2424724307108064e-2, (176, 3) = 7.14893643929275, (176, 4) = .999366463543249, (176, 5) = 0.18292687091506932e-1, (176, 6) = 0.8107185795194192e-6, (176, 7) = -0.2386778854087962e-4, (177, 1) = .0, (177, 2) = -0.23909028232950774e-2, (177, 3) = 7.183666405720363, (177, 4) = 1.0, (177, 5) = 0.18179521955803843e-1, (177, 6) = .0, (177, 7) = -0.22812198384621496e-4}, datatype = float[8], order = C_order); YP := Matrix(177, 7, {(1, 1) = -3.010283491881195, (1, 2) = 31.045172730586398, (1, 3) = -.5, (1, 4) = 3.2549705904755624, (1, 5) = -32.059040670468, (1, 6) = -2.2961168243517345, (1, 7) = 21.039081978077707, (2, 1) = -2.2188140910266996, (2, 2) = 17.121944106176148, (2, 3) = -.40370802709261644, (2, 4) = 2.4361750640983972, (2, 5) = -17.75186646531459, (2, 6) = -1.7587335888496072, (2, 7) = 11.658920037134642, (3, 1) = -1.7515672684205508, (3, 2) = 10.819003914424172, (3, 3) = -.32904124123644557, (3, 4) = 1.950857483460543, (3, 5) = -11.261093047454036, (3, 6) = -1.4395391386527499, (3, 7) = 7.421516216604939, (4, 1) = -1.443419767334426, (4, 2) = 7.44431424050068, (4, 3) = -.2679158648423435, (4, 4) = 1.6295350420268857, (4, 5) = -7.77851680978251, (4, 6) = -1.2272759842281986, (4, 7) = 5.153559241304035, (5, 1) = -1.2250712603116078, (5, 2) = 5.430700205869807, (5, 3) = -.21608666124952267, (5, 4) = 1.4009694099334766, (5, 5) = -5.6962541050511355, (5, 6) = -1.0753753559802985, (5, 7) = 3.7994361725363084, (6, 1) = -1.062293032083934, (6, 2) = 4.133984345299803, (6, 3) = -.1710281829224358, (6, 4) = 1.229921365777778, (6, 5) = -4.352627257354598, (6, 6) = -.9608633361558743, (6, 7) = 2.9263023948487845, (7, 1) = -.9363094708603249, (7, 2) = 3.250582184729448, (7, 3) = -.1311332340751042, (7, 4) = 1.097033665972045, (7, 5) = -3.4354543508722934, (7, 6) = -.871143819024352, (7, 7) = 2.330460789528503, (8, 1) = -.8359113795739894, (8, 2) = 2.6218668296288925, (8, 3) = -0.9529846009910026e-1, (8, 4) = .9907326565311447, (8, 5) = -2.781433082063489, (8, 6) = -.798694055572774, (8, 7) = 1.9055546562540169, (9, 1) = -.7540307621161558, (9, 2) = 2.158655707900222, (9, 3) = -0.6274515848045818e-1, (9, 4) = .903710629210698, (9, 5) = -2.2986527950440383, (9, 6) = -.7387684103204613, (9, 7) = 1.5918036113784224, (10, 1) = -.6859732537372588, (10, 2) = 1.8075854056497922, (10, 3) = -0.3289635416421537e-1, (10, 4) = .8311070612968686, (10, 5) = -1.9320578998022346, (10, 6) = -.6882118043576506, (10, 7) = 1.3534327958638872, (11, 1) = -.6285004073713887, (11, 2) = 1.5351562401542218, (11, 3) = -0.5312156394166294e-2, (11, 4) = .7695640956343914, (11, 5) = -1.6470492909842538, (11, 6) = -.64484492277093, (11, 7) = 1.1679748738766818, (12, 1) = -.5793166470382869, (12, 2) = 1.3195281931221805, (12, 3) = 0.20345547838662725e-1, (12, 4) = .7166984974611179, (12, 5) = -1.4210468548040192, (12, 6) = -.6071216319336978, (12, 7) = 1.0207737736678706, (13, 1) = -.5367311431212949, (13, 2) = 1.145892530696533, (13, 3) = 0.44352419520146014e-1, (13, 4) = .6707519723642751, (13, 5) = -1.2387232687233358, (13, 6) = -.5739002262529861, (13, 7) = .9018835448323496, (14, 1) = -.49948942467589225, (14, 2) = 1.003998050145226, (14, 3) = 0.6692621623257643e-1, (14, 4) = .6304185015498383, (14, 5) = -1.0894578589784991, (14, 6) = -.5443331052943612, (14, 7) = .8044134092658326, (15, 1) = -.46663169018318124, (15, 2) = .8865281517652679, (15, 3) = 0.882475828156531e-1, (15, 4) = .5946973362482103, (15, 5) = -.9656623891005631, (15, 6) = -.5177703096857598, (15, 7) = .7234401398522938, (16, 1) = -.43741237094615587, (16, 2) = .7881537194650875, (16, 3) = .10846767050378146, (16, 4) = .5628099475659347, (16, 5) = -.8618042115535092, (16, 6) = -.49370579887626914, (16, 7) = .6553739127932571, (17, 1) = -.4112440008745413, (17, 2) = .7049210492055764, (17, 3) = .12771421698659408, (17, 4) = .5341419874792643, (17, 5) = -.7737744555933753, (17, 6) = -.4717398711807749, (17, 7) = .5975483247236602, (18, 1) = -.3876575548580043, (18, 2) = .6338476180086999, (18, 3) = .14609630418834832, (18, 4) = .5082022267347898, (18, 5) = -.6984704299667118, (18, 6) = -.45155255379360504, (18, 7) = .547949494066217, (19, 1) = -.3662736309623723, (19, 2) = .5726483733807656, (19, 3) = .1637083931514831, (19, 4) = .48459265857890527, (19, 5) = -.6335126174412591, (19, 6) = -.4328841497234415, (19, 7) = .5050324919245571, (20, 1) = -.34678216572683396, (20, 2) = .5195495059189714, (20, 3) = .18063295456195466, (20, 4) = .4629874722134205, (20, 5) = -.5770520321259064, (20, 6) = -.41552163184362956, (20, 7) = .4675964144816947, (21, 1) = -.32892767036417664, (21, 2) = .4731582794401461, (21, 3) = .1969422817914571, (21, 4) = .4431177566148181, (21, 5) = -.5276354888454184, (21, 6) = -.39928880193030747, (21, 7) = .43469702859278164, (22, 1) = -.31249869978237255, (22, 2) = .4323712564531229, (22, 3) = .21269931606763323, (22, 4) = .42476063372747375, (22, 5) = -.48411059119320127, (22, 6) = -.38403945114777954, (22, 7) = .4055852112696801, (23, 1) = -.29731416431452806, (23, 2) = .39629415064634355, (23, 3) = .2279639568142309, (23, 4) = .40772462385587316, (23, 5) = -.4455422550983356, (23, 6) = -.36964681487130585, (23, 7) = .3796525244600942, (24, 1) = -.28322501684036205, (24, 2) = .36421250433414676, (24, 3) = .2427861347723762, (24, 4) = .3918520439519158, (24, 5) = -.4111829023278856, (24, 6) = -.3560068471972505, (24, 7) = .3564123311986818, (25, 1) = -.2701033420412026, (25, 2) = .33554014077654515, (25, 3) = .2572121554674377, (25, 4) = .37700721405190146, (25, 5) = -.3804185329805538, (25, 6) = -.3430294380682383, (25, 7) = .3354645137472628, (26, 1) = -.2578389396986893, (26, 2) = .3097931961546034, (26, 3) = .2712850292677997, (26, 4) = .36307292252881584, (26, 5) = -.35274178509526466, (26, 6) = -.3306361874020015, (26, 7) = .3164779932333802, (27, 1) = -.24633953213188772, (27, 2) = .2865759039396276, (27, 3) = .28504110605404537, (27, 4) = .3499509645976493, (27, 5) = -.3277374103346404, (27, 6) = -.3187617238807888, (27, 7) = .29918159835956604, (28, 1) = -.23552476168366415, (28, 2) = .2655566661015625, (28, 3) = .29851430859060935, (28, 4) = .33755558003287145, (28, 5) = -.30505713524774447, (28, 6) = -.3073486098948925, (28, 7) = .2833475062173651, (29, 1) = -.2253255020912264, (29, 2) = .2464582280638545, (29, 3) = .3117349359672634, (29, 4) = .32581286288190825, (29, 5) = -.28440953074312353, (29, 6) = -.29634737207014694, (29, 7) = .2687847958648897, (30, 1) = -.2156829331351726, (30, 2) = .2290488984956625, (30, 3) = .324728843808106, (30, 4) = .31465989354105117, (30, 5) = -.26555092451071954, (30, 6) = -.28571629053101066, (30, 7) = .25533368718160365, (31, 1) = -.2065438873825929, (31, 2) = .2131287038144533, (31, 3) = .33752207959661373, (31, 4) = .304039516592149, (31, 5) = -.2482707267810866, (31, 6) = -.2754169157752743, (31, 7) = .24285563622268744, (32, 1) = -.19786380124231495, (32, 2) = .19853052093936435, (32, 3) = .35013561530865284, (32, 4) = .29390388011792296, (32, 5) = -.2323929065309705, (32, 6) = -.26541783827718834, (32, 7) = .2312348266717411, (33, 1) = -.18960486731359524, (33, 2) = .18511301699907345, (33, 3) = .36258639522561675, (33, 4) = .2842124423413447, (33, 5) = -.21776856469029016, (33, 6) = -.2556932617203244, (33, 7) = .2203733545258757, (34, 1) = -.18173393918032565, (34, 2) = .17275430735899094, (34, 3) = .37488926686015167, (34, 4) = .2749296363719141, (34, 5) = -.20426921612279228, (34, 6) = -.2462210635577509, (34, 7) = .21018674197498782, (35, 1) = -.17422262687378032, (35, 2) = .16134989076353431, (35, 3) = .3870559122413701, (35, 4) = .26602507525248614, (35, 5) = -.1917846859275767, (35, 6) = -.2369833048528358, (35, 7) = .20060275953911733, (36, 1) = -.16704665751311357, (36, 2) = .15080974319113763, (36, 3) = .3990949249001731, (36, 4) = .2574728923416692, (36, 5) = -.18022006585663738, (36, 6) = -.2279658642184645, (36, 7) = .1915595317437923, (37, 1) = -.1601859421542037, (37, 2) = .141056796935048, (37, 3) = .41101078776726396, (37, 4) = .24925191600226893, (37, 5) = -.16949416553961816, (37, 6) = -.2191589209315012, (37, 7) = .18300476520893003, (38, 1) = -.15362126746579838, (38, 2) = .1320210054859448, (38, 3) = .42280892511572515, (38, 4) = .24134177847648824, (38, 5) = -.1595330800439254, (38, 6) = -.21055300577533773, (38, 7) = .1748909797765733, (39, 1) = -.14733741986174867, (39, 2) = .12364284350603046, (39, 3) = .4344897565601667, (39, 4) = .23372671477717596, (39, 5) = -.15027411164631393, (39, 6) = -.2021432253147483, (39, 7) = .16717891414685349, (40, 1) = -.14132147717760368, (40, 2) = .11586995380348374, (40, 3) = .44605098876584576, (40, 4) = .22639358970698623, (40, 5) = -.1416621548462659, (40, 6) = -.19392734410767049, (40, 7) = .15983497820345968, (41, 1) = -.1355618535661384, (41, 2) = .10865524630505065, (41, 3) = .4574889782290803, (41, 4) = .21933078665833716, (41, 5) = -.13364764847041208, (41, 6) = -.18590465201723103, (41, 7) = .15282978502561145, (42, 1) = -.13004833389409315, (42, 2) = .10195646465098096, (42, 3) = .4687983695351276, (42, 4) = .21252828358414444, (42, 5) = -.12618613754474253, (42, 6) = -.17807609406978153, (42, 7) = .14613796012482172, (43, 1) = -.12477167494006297, (43, 2) = 0.9573528555897173e-1, (43, 3) = .4799726300795009, (43, 4) = .20597719438448733, (43, 5) = -.11923730972108826, (43, 6) = -.17044377008176909, (43, 7) = .13973746010198854, (44, 1) = -.11972344246799402, (44, 2) = 0.8995680533952945e-1, (44, 3) = .49100420281898555, (44, 4) = .19966959020759237, (44, 5) = -.11276445358250514, (44, 6) = -.16301071564836836, (44, 7) = .13360920525957998, (45, 1) = -.1148956147475554, (45, 2) = 0.8458883047163457e-1, (45, 3) = .5018852472953027, (45, 4) = .1935980202293324, (45, 5) = -.10673369025665995, (45, 6) = -.15578029883884625, (45, 7) = .12773644242504048, (46, 1) = -.11028042171087489, (46, 2) = 0.7960151497591006e-1, (46, 3) = .5126079809791431, (46, 4) = .1877553133493232, (46, 5) = -.10111358529342901, (46, 6) = -.14875591411024416, (46, 7) = .12210439647109084, (47, 1) = -.10587010196399801, (47, 2) = 0.7496695383104171e-1, (47, 3) = .5231652841517149, (47, 4) = .18213426698507848, (47, 5) = -0.9587470570440539e-1, (47, 6) = -.14194052404260726, (47, 7) = .11669981742149677, (48, 1) = -.10165710878026424, (48, 2) = 0.7065927864855102e-1, (48, 3) = .5335502837116244, (48, 4) = .1767279011977732, (48, 5) = -0.90989740840664e-1, (48, 6) = -.13533687973410663, (48, 7) = .11151107173300641, (49, 1) = -0.976339646318128e-1, (49, 2) = 0.6665437930666253e-1, (49, 3) = .5437567517407721, (49, 4) = .17152926762281148, (49, 5) = -0.8643320096253616e-1, (49, 6) = -.12894721237733586, (49, 7) = .10652780343241362, (50, 1) = -0.9379309915858196e-1, (50, 2) = 0.6292963935728102e-1, (50, 3) = .5537796082939569, (50, 4) = .1665312288048679, (50, 5) = -0.821811271659428e-1, (50, 6) = -.12277288786102344, (50, 7) = .10174056934638033, (51, 1) = -0.9012646774014009e-1, (51, 2) = 0.5946349454355839e-1, (51, 3) = .5636160898088879, (51, 4) = .16172593962052867, (51, 5) = -0.7821059376459426e-1, (51, 6) = -.11681369761445241, (51, 7) = 0.971401922016448e-1, (52, 1) = -0.8662709254567018e-1, (52, 2) = 0.5623679588902947e-1, (52, 3) = .5732617138385044, (52, 4) = .1571068532547171, (52, 5) = -0.7450127953262778e-1, (52, 6) = -.11107030160152458, (52, 7) = 0.9271953492878013e-1, (53, 1) = -0.832877606097653e-1, (53, 2) = 0.5323144127213841e-1, (53, 3) = .5827137094120911, (53, 4) = .15266702144547653, (53, 5) = -0.7103391702860415e-1, (53, 6) = -.10554209857792878, (53, 7) = 0.8847173428640447e-1, (54, 1) = -0.8010083796586685e-1, (54, 2) = 0.5043015773452044e-1, (54, 3) = .5919717359930652, (54, 4) = .1483988206956467, (54, 5) = -0.6779004472456823e-1, (54, 6) = -.1002268626526667, (54, 7) = 0.8438981098644666e-1, (55, 1) = -0.7705904545671184e-1, (55, 2) = 0.4781712178021648e-1, (55, 3) = .6010357808561354, (55, 4) = .14429496914815607, (55, 5) = -0.6475273039031218e-1, (55, 6) = -0.9512201172172534e-1, (55, 7) = 0.8046752565271927e-1, (56, 1) = -0.7415579244743617e-1, (56, 2) = 0.4537812370175229e-1, (56, 3) = .609905070263442, (56, 4) = .14034898646161215, (56, 5) = -0.6190677910002072e-1, (56, 6) = -0.9022519334264704e-1, (56, 7) = 0.7669971247700139e-1, (57, 1) = -0.7138429207106428e-1, (57, 2) = 0.4309971458682221e-1, (57, 3) = .6185806833233924, (57, 4) = .13655400028046524, (57, 5) = -0.5923775361433498e-1, (57, 6) = -0.8553282185600106e-1, (57, 7) = 0.7308104556027577e-1, (58, 1) = -0.6873795031830646e-1, (58, 2) = 0.4096946926322497e-1, (58, 3) = .6270644277840627, (58, 4) = .1329032634057901, (58, 5) = -0.5673228789519334e-1, (58, 6) = -0.8104075700907686e-1, (58, 7) = 0.6960645431414926e-1, (59, 1) = -0.6621016059961132e-1, (59, 2) = 0.38975748601405784e-1, (59, 3) = .6353595080809519, (59, 4) = .12938986575267097, (59, 5) = -0.5437781677016371e-1, (59, 6) = -0.7674399557867947e-1, (59, 7) = 0.6627078398947593e-1, (60, 1) = -0.6379500379743547e-1, (60, 2) = 0.3710817923563575e-1, (60, 3) = .6434682068578423, (60, 4) = .12600770681463422, (60, 5) = -0.52163152502100275e-1, (60, 6) = -0.7263791038699614e-1, (60, 7) = 0.630696652022076e-1, (61, 1) = -0.6148682506048283e-1, (61, 2) = 0.3535723201986704e-1, (61, 3) = .6513931420513931, (61, 4) = .12275092222076696, (61, 5) = -0.5007800143462451e-1, (61, 6) = -0.687175841247968e-1, (61, 7) = 0.5999892071152185e-1, (62, 1) = -0.5928000637071922e-1, (62, 2) = 0.33713989804355256e-1, (62, 3) = .6591380172829979, (62, 4) = .11961356381867923, (62, 5) = -0.4811269635947367e-1, (62, 6) = -0.6497747609164842e-1, (62, 7) = 0.57054229336734506e-1, (63, 1) = -0.57169100695410174e-1, (63, 2) = 0.3217020013015828e-1, (63, 3) = .6667071615807357, (63, 4) = .11658978562213738, (63, 5) = -0.4625826578595638e-1, (63, 6) = -0.6141170855360152e-1, (63, 7) = 0.5423127945985821e-1, (64, 1) = -0.5514918379084914e-1, (64, 2) = 0.3071847575888528e-1, (64, 3) = .674104198640308, (64, 4) = .11367435428569851, (64, 5) = -0.4450668459294678e-1, (64, 6) = -0.58014717648254485e-1, (64, 7) = 0.51526226701246916e-1, (65, 1) = -0.53215760915675155e-1, (65, 2) = 0.29352162323496186e-1, (65, 3) = .6813322323771271, (65, 4) = .11086253363996139, (65, 5) = -0.4285072792261608e-1, (65, 6) = -0.5478114175121917e-1, (65, 7) = 0.4893556386708957e-1, (66, 1) = -0.51364246219493405e-1, (66, 2) = 0.28064924065518932e-1, (66, 3) = .6883957184775215, (66, 4) = .10814933543258673, (66, 5) = -0.41283477931602065e-1, (66, 6) = -0.51704999820689775e-1, (66, 7) = 0.4645542023568128e-1, (67, 1) = -0.4959036780155851e-1, (67, 2) = 0.26850996547966004e-1, (67, 3) = .6952989342332647, (67, 4) = .1055301079545874, (67, 5) = -0.397986352727631e-1, (67, 6) = -0.4878042451768817e-1, (67, 7) = 0.44082106240249705e-1, (68, 1) = -0.4789016423374489e-1, (68, 2) = 0.2570514230598002e-1, (68, 3) = .7020458967717208, (68, 4) = .10300054210288584, (68, 5) = -0.3839047393448487e-1, (68, 6) = -0.4600169882505357e-1, (68, 7) = 0.4181211457624395e-1, (69, 1) = -0.4625996072380607e-1, (69, 2) = 0.24622597065198926e-1, (69, 3) = .7086403636416022, (69, 4) = .10055664721832, (69, 5) = -0.3705378373458785e-1, (69, 6) = -0.4336325445354654e-1, (69, 7) = 0.3964209549563323e-1, (70, 1) = -0.44696345792792136e-1, (70, 2) = 0.2359902106209441e-1, (70, 3) = .715085840088841, (70, 4) = 0.9819472668269251e-1, (70, 5) = -0.35783818056358635e-1, (70, 6) = -0.4085966769265928e-1, (70, 7) = 0.3756883386957669e-1, (71, 1) = -0.43195840295262154e-1, (71, 2) = 0.2263025732177424e-1, (71, 3) = .7213868990604615, (71, 4) = 0.959108824037368e-1, (71, 5) = -0.345759992795696e-1, (71, 6) = -0.3848516856421221e-1, (71, 7) = 0.35588822241379686e-1, (72, 1) = -0.417552894446388e-1, (72, 2) = 0.21712566757373226e-1, (72, 3) = .7275475329006473, (72, 4) = 0.9370160979020452e-1, (72, 5) = -0.3342621480848204e-1, (72, 6) = -0.36234307802151734e-1, (72, 7) = 0.3369879519129462e-1, (73, 1) = -0.4037173402203197e-1, (73, 2) = 0.2084251952747481e-1, (73, 3) = .7335716098404168, (73, 4) = 0.9156361245610806e-1, (73, 5) = -0.3233068837685123e-1, (73, 6) = -0.3410177625172606e-1, (73, 7) = 0.3189557025540908e-1, (74, 1) = -0.3904237227030642e-1, (74, 2) = 0.20016950936180417e-1, (74, 3) = .7394629834350771, (74, 4) = 0.8949375010756808e-1, (74, 5) = -0.31285929734658574e-1, (74, 6) = -0.3208237199793818e-1, (74, 7) = 0.3017601103329817e-1, (75, 1) = -0.3776454319644946e-1, (75, 2) = 0.19232933825189e-1, (75, 3) = .7452255211846236, (75, 4) = 0.8748901780777456e-1, (75, 5) = -0.3028870414672857e-1, (75, 6) = -0.30171000378395537e-1, (75, 7) = 0.28537019338621142e-1, (76, 1) = -0.3653569801566861e-1, (76, 2) = 0.18487745956094e-1, (76, 3) = .7508631948003112, (76, 4) = 0.8554650554414327e-1, (76, 5) = -0.29335994809283936e-1, (76, 6) = -0.2836265544217905e-1, (76, 7) = 0.26975512917014468e-1, (77, 1) = -0.35353334471828785e-1, (77, 2) = 0.17778817656712027e-1, (77, 3) = .7563803576967835, (77, 4) = 0.8366329666302517e-1, (77, 5) = -0.2842493891629171e-1, (77, 6) = -0.26652349069398753e-1, (77, 7) = 0.25488358243180274e-1, (78, 1) = -0.34214833644028164e-1, (78, 2) = 0.1710362550347103e-1, (78, 3) = .7617825194247292, (78, 4) = 0.818362046768005e-1, (78, 5) = -0.2755269203484183e-1, (78, 6) = -0.25034910053607307e-1, (78, 7) = 0.24072187718280107e-1, (79, 1) = -0.33117070324267625e-1, (79, 2) = 0.16459460519022494e-1, (79, 3) = .7670782989058776, (79, 4) = 0.8006113071928549e-1, (79, 5) = -0.2671612494556976e-1, (79, 6) = -0.23504494462123514e-1, (79, 7) = 0.2272295520211525e-1, (80, 1) = -0.3205809437838403e-1, (80, 2) = 0.15844406901222824e-1, (80, 3) = .7722713266005171, (80, 4) = 0.7833577907306599e-1, (80, 5) = -0.2591309561609206e-1, (80, 6) = -0.22056961396677732e-1, (80, 7) = 0.21438026923002916e-1, (81, 1) = -0.31037127966861342e-1, (81, 2) = 0.15257298915414995e-1, (81, 3) = .7773598019042196, (81, 4) = 0.766597219644611e-1, (81, 5) = -0.25142417563179406e-1, (81, 6) = -0.20689736141079718e-1, (81, 7) = 0.2021610624932507e-1, (82, 1) = -0.3005347880465721e-1, (82, 2) = 0.1469706808732895e-1, (82, 3) = .7823415773762875, (82, 4) = 0.7503266612459865e-1, (82, 5) = -0.24403020686373934e-1, (82, 6) = -0.1940025706534461e-1, (82, 7) = 0.1905587546109808e-1, (83, 1) = -0.2910586428826123e-1, (83, 2) = 0.14162359097922005e-1, (83, 3) = .787217633956304, (83, 4) = 0.7345332619263635e-1, (83, 5) = -0.23693442233407584e-1, (83, 6) = -0.181851232611352e-1, (83, 7) = 0.1795521838476315e-1, (84, 1) = -0.28192907817684805e-1, (84, 2) = 0.1365181867422655e-1, (84, 3) = .7919897115240078, (84, 4) = 0.7192022274910066e-1, (84, 5) = -0.23012201444952248e-1, (84, 6) = -0.17040811610716092e-1, (84, 7) = 0.16911848466548876e-1, (85, 1) = -0.27312978136185835e-1, (85, 2) = 0.13164005904443596e-1, (85, 3) = .7966612137325211, (85, 4) = 0.7043140181072279e-1, (85, 5) = -0.22357677376699997e-1, (85, 6) = -0.15963513643715645e-1, (85, 7) = 0.1592315271868429e-1, (86, 1) = -0.2646462746652903e-1, (86, 2) = 0.1269763461904293e-1, (86, 3) = .8012349398472144, (86, 4) = 0.6898516657212175e-1, (86, 5) = -0.21728432006606218e-1, (86, 6) = -0.14949706357927807e-1, (86, 7) = 0.14986710460803207e-1, (87, 1) = -0.25646494959249203e-1, (87, 2) = 0.12251513377893835e-1, (87, 3) = .8057135493898496, (87, 4) = 0.6757992094013747e-1, (87, 5) = -0.21123132884899316e-1, (87, 6) = -0.139960292467264e-1, (87, 7) = 0.1410018570481624e-1, (88, 1) = -0.2485728164590901e-1, (88, 2) = 0.1182452710951371e-1, (88, 3) = .810099673559902, (88, 4) = 0.662141300173103e-1, (88, 5) = -0.20540530236292587e-1, (88, 6) = -0.13099256789703594e-1, (88, 7) = 0.13261304969175512e-1, (89, 1) = -0.24095752574361837e-1, (89, 2) = 0.11415634281844061e-1, (89, 3) = .81439588423751, (89, 4) = 0.6488632633494537e-1, (89, 5) = -0.19979454728118753e-1, (89, 6) = -0.12256303574946446e-1, (89, 7) = 0.12467865124264153e-1, (90, 1) = -0.23360735056253266e-1, (90, 2) = 0.11023862257792366e-1, (90, 3) = .8186046839450801, (90, 4) = 0.6359510950556727e-1, (90, 5) = -0.19438812716351027e-1, (90, 6) = -0.11464223580929493e-1, (90, 7) = 0.11717736023153343e-1, (91, 1) = -0.2265111611151706e-1, (91, 2) = 0.1064830254895494e-1, (91, 3) = .8227285009951595, (91, 4) = 0.6233914441576576e-1, (91, 5) = -0.18917581245871496e-1, (91, 6) = -0.107202077302794e-1, (91, 7) = 0.11008861577261891e-1, (92, 1) = -0.2196584274078579e-1, (92, 2) = 0.10288107863924782e-1, (92, 3) = .8267696687449231, (92, 4) = 0.61117164378142505e-1, (92, 5) = -0.1841480544345323e-1, (92, 6) = -0.10021583648716392e-1, (92, 7) = 0.10339262962135297e-1, (93, 1) = -0.2130397508619256e-1, (93, 2) = 0.9942516911301724e-2, (93, 3) = .8307300855152587, (93, 4) = 0.5992806977704981e-1, (93, 5) = -0.17929634945322494e-1, (93, 6) = -0.9365866049369924e-2, (93, 7) = 0.970709083685181e-2, (94, 1) = -0.2066452832678662e-1, (94, 2) = 0.9610769117033199e-2, (94, 3) = .8346121380272766, (94, 4) = 0.5877064728357242e-1, (94, 5) = -0.1746120573842817e-1, (94, 6) = -0.8750596954165865e-2, (94, 7) = 0.911047491451652e-2, (95, 1) = -0.20046560655054453e-1, (95, 2) = 0.9292149122341548e-2, (95, 3) = .8384181810565843, (95, 4) = 0.57643726773201474e-1, (95, 5) = -0.17008702762303107e-1, (95, 6) = -0.8173438423547898e-2, (95, 7) = 0.8547615193482865e-2, (96, 1) = -0.19449237677365155e-1, (96, 2) = 0.8986017628093307e-2, (96, 3) = .8421501190891273, (96, 4) = 0.5654630194311316e-1, (96, 5) = -0.16571405188902044e-1, (96, 6) = -0.7632228495991538e-2, (96, 7) = 0.8016840145398394e-2, (97, 1) = -0.1887178595166975e-1, (97, 2) = 0.8691784937252454e-2, (97, 3) = .8458096605035292, (97, 4) = 0.5547745035158284e-1, (97, 5) = -0.1614865074893827e-1, (97, 6) = -0.7124930043201029e-2, (97, 7) = 0.7516560842447098e-2, (98, 1) = -0.18313379572760476e-1, (98, 2) = 0.8408851695186157e-2, (98, 3) = .8493990293787306, (98, 4) = 0.5443612442522976e-1, (98, 5) = -0.15739751272481037e-1, (98, 6) = -0.6649530877556062e-2, (98, 7) = 0.70451749307516515e-2, (99, 1) = -0.17773411236805755e-1, (99, 2) = 0.8136744850270912e-2, (99, 3) = .8529192148774755, (99, 4) = 0.5342165809334678e-1, (99, 5) = -0.15344189900285105e-1, (99, 6) = -0.6204273518435405e-2, (99, 7) = 0.660129692855998e-2, (100, 1) = -0.17251057251932208e-1, (100, 2) = 0.7874896343931133e-2, (100, 3) = .8563727717832911, (100, 4) = 0.52432954840383246e-1, (100, 5) = -0.14961301341491364e-1, (100, 6) = -0.5787287135105179e-2, (100, 7) = 0.6183395118813691e-2, (101, 1) = -0.16745629644977163e-1, (101, 2) = 0.7622820263324776e-2, (101, 3) = .8597615482839938, (101, 4) = 0.51469145618834776e-1, (101, 5) = -0.14590528608898094e-1, (101, 6) = -0.5396885129046895e-2, (101, 7) = 0.5790089139105677e-2, (102, 1) = -0.16256523054212938e-1, (102, 2) = 0.7380084027582768e-2, (102, 3) = .8630869913915394, (102, 4) = 0.5052949522528311e-1, (102, 5) = -0.14231383298385903e-1, (102, 6) = -0.5031509922179083e-2, (102, 7) = 0.5420098775343518e-2, (103, 1) = -0.15783100427777905e-1, (103, 2) = 0.7146250386892193e-2, (103, 3) = .8663509059017817, (103, 4) = 0.49613185415921565e-1, (103, 5) = -0.13883360876220033e-1, (103, 6) = -0.4689642631979475e-2, (103, 7) = 0.5072155149894696e-2, (104, 1) = -0.15324740843082107e-1, (104, 2) = 0.6920900620324958e-2, (104, 3) = .8695551374490673, (104, 4) = 0.487194055183293e-1, (104, 5) = -0.1354597487810146e-1, (104, 6) = -0.4369840628700971e-2, (104, 7) = 0.4745040251323027e-2, (105, 1) = -0.14880999220591645e-1, (105, 2) = 0.6703711752799031e-2, (105, 3) = .8727004295170955, (105, 4) = 0.47847667825719004e-1, (105, 5) = -0.13218873957203307e-1, (105, 6) = -0.40708417306626115e-2, (105, 7) = 0.4437696279601702e-2, (106, 1) = -0.1445129941189121e-1, (106, 2) = 0.6494304913053776e-2, (106, 3) = .8757885621654562, (106, 4) = 0.4699721013074634e-1, (106, 5) = -0.12901615364899262e-1, (106, 6) = -0.3791347889312316e-2, (106, 7) = 0.41490062236225e-2, (107, 1) = -0.1403515704995601e-1, (107, 2) = 0.629235416435554e-2, (107, 3) = .8788207857953696, (107, 4) = 0.46167431512408715e-1, (107, 5) = -0.12593828454231555e-1, (107, 6) = -0.35301779967586255e-2, (107, 7) = 0.38779519693393103e-2, (108, 1) = -0.136320985542424e-1, (108, 2) = 0.609754606629572e-2, (108, 3) = .8817983817939085, (108, 4) = 0.45357735223466554e-1, (108, 5) = -0.12295154559359827e-1, (108, 6) = -0.3286209314341815e-2, (108, 7) = 0.3623556002597559e-2, (109, 1) = -0.13241630697811596e-1, (109, 2) = 0.59095645556075434e-2, (109, 3) = .8847228903452787, (109, 4) = 0.44567467123514615e-1, (109, 5) = -0.12005223871163083e-1, (109, 6) = -0.30583587722556906e-2, (109, 7) = 0.3384863230891416e-2, (110, 1) = -0.12863282318672776e-1, (110, 2) = 0.5728110719682112e-2, (110, 3) = .887595805636143, (110, 4) = 0.437959990098312e-1, (110, 5) = -0.11723685793281906e-1, (110, 6) = -0.2845607745492162e-2, (110, 7) = 0.3160968116694903e-2, (111, 1) = -0.12496650693252929e-1, (111, 2) = 0.5552924358153241e-2, (111, 3) = .8904182090864114, (111, 4) = 0.430428253565388e-1, (111, 5) = -0.1145024320873632e-1, (111, 6) = -0.2647023818928518e-2, (111, 7) = 0.2951039322881783e-2, (112, 1) = -0.12141274016994663e-1, (112, 2) = 0.5383722467612301e-2, (112, 3) = .8931917390779196, (112, 4) = 0.4230730313112941e-1, (112, 5) = -0.11184557142440503e-1, (112, 6) = -0.2461688048783101e-2, (112, 7) = 0.27542443791469095e-2, (113, 1) = -0.1179681022215186e-1, (113, 2) = 0.5220284141143336e-2, (113, 3) = .8959172018453189, (113, 4) = 0.4158902099552602e-1, (113, 5) = -0.10926379958254132e-1, (113, 6) = -0.228878818143032e-2, (113, 7) = 0.25698496698628556e-2, (114, 1) = -0.11462903989906546e-1, (114, 2) = 0.5062386550384448e-2, (114, 3) = .8985955842843032, (114, 4) = 0.4088752771952661e-1, (114, 5) = -0.10675456024997696e-1, (114, 6) = -0.21275434552632607e-2, (114, 7) = 0.23971422191936325e-2, (115, 1) = -0.11139174973080628e-1, (115, 2) = 0.4909799283650963e-2, (115, 3) = .901228160676181, (115, 4) = 0.40202305706456845e-1, (115, 5) = -0.10431512339945794e-1, (115, 6) = -0.1977199961864016e-2, (115, 7) = 0.22354254347508886e-2, (116, 1) = -0.10825272392179685e-1, (116, 2) = 0.4762309923951511e-2, (116, 3) = .9038160568685645, (116, 4) = 0.3953288543830951e-1, (116, 5) = -0.10194299223128396e-1, (116, 6) = -0.18370560679884847e-2, (116, 7) = 0.2084047263144361e-2, (117, 1) = -0.10520888096597018e-1, (117, 2) = 0.4619729729543349e-2, (117, 3) = .9063601272182191, (117, 4) = 0.38878875566455126e-1, (117, 5) = -0.9963600208344612e-2, (117, 6) = -0.1706464442997396e-2, (117, 7) = 0.1942403596612181e-2, (118, 1) = -0.10225676992181737e-1, (118, 2) = 0.4481856038925428e-2, (118, 3) = .9088616122353441, (118, 4) = 0.38239793038485445e-1, (118, 5) = -0.9739171632595673e-2, (118, 6) = -0.15847955131765516e-2, (118, 7) = 0.18098996209028528e-2, (119, 1) = -0.9939367324640893e-2, (119, 2) = 0.4348523632722225e-2, (119, 3) = .9113212093702816, (119, 4) = 0.376153011508749e-1, (119, 5) = -0.9520826147011394e-2, (119, 6) = -0.14714824659729727e-2, (119, 7) = 0.168599953627451e-2, (120, 1) = -0.966163872941871e-2, (120, 2) = 0.4219547534554702e-2, (120, 3) = .9137401023351425, (120, 4) = 0.3700494616750579e-1, (120, 5) = -0.9308339878721775e-2, (120, 6) = -0.1365969153112434e-2, (120, 7) = 0.15701706401611438e-2, (121, 1) = -0.9392198385188308e-2, (121, 2) = 0.4094758396609424e-2, (121, 3) = .9161193161473176, (121, 4) = 0.3640832219382344e-1, (121, 5) = -0.9101510124887554e-2, (121, 6) = -0.12677402606956771e-2, (121, 7) = 0.14619168884890783e-2, (122, 1) = -0.9130776619449235e-2, (122, 2) = 0.3974000157039127e-2, (122, 3) = .918459743389031, (122, 4) = 0.3582506324812699e-1, (122, 5) = -0.8900152062547061e-2, (122, 6) = -0.11763168046591919e-2, (122, 7) = 0.13607747932710109e-2, (123, 1) = -0.8877130053322135e-2, (123, 2) = 0.3857131220204234e-2, (123, 3) = .9207621042586911, (123, 4) = 0.3525485195379574e-1, (123, 5) = -0.8704101261672068e-2, (123, 6) = -0.10912546315821271e-2, (123, 7) = 0.1266312536775268e-2, (124, 1) = -0.8631034803741748e-2, (124, 2) = 0.37440210705135487e-2, (124, 3) = .9230269958510547, (124, 4) = 0.3469740599658427e-1, (124, 5) = -0.8513208555597203e-2, (124, 6) = -0.10121396610135644e-2, (124, 7) = 0.11781253977221063e-2, (125, 1) = -0.8392212157745564e-2, (125, 2) = 0.3634516023268043e-2, (125, 3) = .925255580609136, (125, 4) = 0.34152309214020814e-1, (125, 5) = -0.8327282158857823e-2, (125, 6) = -0.938563455856944e-3, (125, 7) = 0.10958089996215903e-2, (126, 1) = -0.8160425838712085e-2, (126, 2) = 0.35284838627545256e-2, (126, 3) = .9274486979359966, (126, 4) = 0.33619231067228195e-1, (126, 5) = -0.8146162840536838e-2, (126, 6) = -0.8701541170718898e-3, (126, 7) = 0.10189941909763463e-2, (127, 1) = -0.7935451067583034e-2, (127, 2) = 0.34257994141029054e-2, (127, 3) = .9296071384367649, (127, 4) = 0.3309785803833924e-1, (127, 5) = -0.7969700041420233e-2, (127, 6) = -0.8065641728294864e-3, (127, 7) = 0.9473341253719798e-3, (128, 1) = -0.7717070876205519e-2, (128, 2) = 0.33263427207529334e-2, (128, 3) = .9317316751472142, (128, 4) = 0.3258788569860931e-1, (128, 5) = -0.7797748970274931e-2, (128, 6) = -0.7474681438722301e-3, (128, 7) = 0.880502001232945e-3, (129, 1) = -0.7505076125168032e-2, (129, 2) = 0.3229998933900569e-2, (129, 3) = .9338230607702328, (129, 4) = 0.32089019152014744e-1, (129, 5) = -0.7630170580490721e-2, (129, 6) = -0.6925613591197516e-3, (129, 7) = 0.8181901587854764e-3, (130, 1) = -0.7299265171632634e-2, (130, 2) = 0.3136658050225978e-2, (130, 3) = .9358820282972874, (130, 4) = 0.31600972661932875e-1, (130, 5) = -0.7466831279916698e-2, (130, 6) = -0.6415587231086209e-3, (130, 7) = 0.7601090888409613e-3, (131, 1) = -0.7099443565783825e-2, (131, 2) = 0.30462146709149766e-2, (131, 3) = .9379092914859827, (131, 4) = 0.31123469324561948e-1, (131, 5) = -0.7307602667855831e-2, (131, 6) = -0.5941935510054997e-3, (131, 7) = 0.7059864851990976e-3, (132, 1) = -0.6905423747524692e-2, (132, 2) = 0.2958567768435871e-2, (132, 3) = .9399055454663998, (132, 4) = 0.30656240723360338e-1, (132, 5) = -0.71523612763047355e-2, (132, 6) = -0.5502164615731298e-3, (132, 7) = 0.655566332104778e-3, (133, 1) = -0.6717024757245861e-2, (133, 2) = 0.2873620466790021e-2, (133, 3) = .9418714673375305, (133, 4) = 0.30199026597440937e-1, (133, 5) = -0.7000988325823573e-2, (133, 6) = -0.5093943297131232e-3, (133, 7) = 0.6086080307940107e-3, (134, 1) = -0.6534071959760502e-2, (134, 2) = 0.27912798342734552e-2, (134, 3) = .9438077167561614, (134, 4) = 0.29751574522758853e-1, (134, 5) = -0.6853369494924661e-2, (134, 6) = -0.4715092959902402e-3, (134, 7) = 0.5648855642822292e-3, (135, 1) = -0.6356396787514922e-2, (135, 2) = 0.27114566909829225e-2, (135, 3) = .9457149364454033, (135, 4) = 0.2931363962219971e-1, (135, 5) = -0.6709394707597642e-2, (135, 6) = -0.43635783194643206e-3, (135, 7) = 0.5241867010441891e-3, (136, 1) = -0.61838364891480474e-2, (136, 2) = 0.263406542432135e-2, (136, 3) = .947593752761815, (136, 4) = 0.28884984271701088e-1, (136, 5) = -0.6568957927472171e-2, (136, 6) = -0.4037498558821582e-3, (136, 7) = 0.4863122333420328e-3, (137, 1) = -0.601623387000051e-2, (137, 2) = 0.2559023806114614e-2, (137, 3) = .9494447764708851, (137, 4) = 0.28465377768764184e-1, (137, 5) = -0.6431956947208897e-2, (137, 6) = -0.3735078948773748e-3, (137, 7) = 0.4510752470303723e-3, (138, 1) = -0.5853437072325423e-2, (138, 2) = 0.2486252832368632e-2, (138, 3) = .9512686032079182, (138, 4) = 0.280545960825053e-1, (138, 5) = -0.6298293211671902e-2, (138, 6) = -0.34546629992478233e-3, (138, 7) = 0.4183004324945519e-3, (139, 1) = -0.5695299345566016e-2, (139, 2) = 0.24156765630166848e-2, (139, 3) = .9530658141549968, (139, 4) = 0.276524215633124e-1, (139, 5) = -0.6167871634365016e-2, (139, 6) = -0.31947050232195343e-3, (139, 7) = 0.3878234245464183e-3, (140, 1) = -0.554167885830191e-2, (140, 2) = 0.23472219843972985e-2, (140, 3) = .9548369763523616, (140, 4) = 0.27258642742879598e-1, (140, 5) = -0.60406004492652874e-2, (140, 6) = -0.2953763182049148e-3, (140, 7) = 0.35949018078556665e-3, (141, 1) = -0.5392438520624993e-2, (141, 2) = 0.22808188801119096e-2, (141, 3) = .9565826429700981, (141, 4) = 0.2687305414886625e-1, (141, 5) = -0.5916391072664268e-2, (141, 6) = -0.27304929294300013e-3, (141, 7) = 0.3331563901813197e-3, (142, 1) = -0.52474458312329955e-2, (142, 2) = 0.22163997163235374e-2, (142, 3) = .958303353361792, (142, 4) = 0.26495456172530026e-1, (142, 5) = -0.57951579868950375e-2, (142, 6) = -0.252364085464996e-3, (142, 7) = 0.30868691325215805e-3, (143, 1) = -0.5106572684456149e-2, (143, 2) = 0.2153899512449706e-2, (143, 3) = .9599996336604034, (143, 4) = 0.26125654821718747e-1, (143, 5) = -0.5676818591723513e-2, (143, 6) = -0.23320388139026565e-3, (143, 7) = 0.2859552418854789e-3, (144, 1) = -0.496969518374495e-2, (144, 2) = 0.20932557178244982e-2, (144, 3) = .961671997397204, (144, 4) = 0.25763461476510423e-1, (144, 5) = -0.5561293061337471e-2, (144, 6) = -0.21545984131697018e-3, (144, 7) = 0.2648429873310176e-3, (145, 1) = -0.4836693490181476e-2, (145, 2) = 0.2034408106735575e-2, (145, 3) = .963320945785362, (145, 4) = 0.2540869272435785e-1, (145, 5) = -0.5448504231053388e-2, (145, 6) = -0.1990305859062199e-3, (145, 7) = 0.2452393994183257e-3, (146, 1) = -0.4707451672732042e-2, (146, 2) = 0.19772986768169993e-2, (146, 3) = .9649469680512343, (146, 4) = 0.2506117018958842e-1, (146, 5) = -0.5338377485993881e-2, (146, 6) = -0.1838217110432586e-3, (146, 7) = 0.22704091004977484e-3, (147, 1) = -0.4581857567572001e-2, (147, 2) = 0.1921871553865193e-2, (147, 3) = .9665505417213073, (147, 4) = 0.24720720377034513e-1, (147, 5) = -0.5230840657806015e-2, (147, 6) = -0.16974533250776132e-3, (147, 7) = 0.21015070120431977e-3, (148, 1) = -0.4459802644110297e-2, (148, 2) = 0.18680729018499408e-2, (148, 3) = .9681321328883635, (148, 4) = 0.2438717452423778e-1, (148, 5) = -0.5125823927380249e-2, (148, 6) = -0.1567196582818594e-3, (148, 7) = 0.19447829607891086e-3, (149, 1) = -0.4341181888026249e-2, (149, 2) = 0.18158508424962229e-2, (149, 3) = .9696921963155168, (149, 4) = 0.24060368491380577e-1, (149, 5) = -0.5023259742466551e-2, (149, 6) = -0.1446685880441674e-3, (149, 7) = 0.1799391736386374e-3, (150, 1) = -0.4225893650637279e-2, (150, 2) = 0.17651553619765716e-2, (150, 3) = .9712311760403447, (150, 4) = 0.23740142549888144e-1, (150, 5) = -0.4923082706327167e-2, (150, 6) = -0.13352133330447443e-3, (150, 7) = 0.16645439943325225e-3, (151, 1) = -0.4113839530268126e-2, (151, 2) = 0.17159382335444216e-2, (151, 3) = .9727495056336701, (151, 4) = 0.2342634124862383e-1, (151, 5) = -0.4825229493689177e-2, (151, 6) = -0.1232120640465816e-3, (151, 7) = 0.1539502804262958e-3, (152, 1) = -0.4004924259857473e-2, (152, 2) = 0.16681529445863694e-2, (152, 3) = .9742476084300418, (152, 4) = 0.23118813289296117e-1, (152, 5) = -0.4729638772087287e-2, (152, 6) = -0.11367957746503508e-3, (152, 7) = 0.1423580391973025e-3, (153, 1) = -0.3899055593040416e-2, (153, 2) = 0.16217546245721791e-2, (153, 3) = .9757258978340067, (153, 4) = 0.22817411389538758e-1, (153, 5) = -0.463625112173974e-2, (153, 6) = -0.10486698691294358e-3, (153, 7) = 0.13161350583831e-3, (154, 1) = -0.37961441950964078e-2, (154, 2) = 0.15766999766100972e-2, (154, 3) = .9771847776170947, (154, 4) = 0.22521992151470806e-1, (154, 5) = -0.4545008959412762e-2, (154, 6) = -0.967214305737495e-4, (154, 7) = 0.121656827512054e-3, (155, 1) = -0.36961035417064788e-2, (155, 2) = 0.15329472137910675e-2, (155, 3) = .9786246421596811, (155, 4) = 0.22232415944730063e-1, (155, 5) = -0.445585646888749e-2, (155, 6) = -0.8919379893818854e-4, (155, 7) = 0.11243219508397924e-3, (156, 1) = -0.3598849831342047e-2, (156, 2) = 0.14904560027590857e-2, (156, 3) = .9800458765440385, (156, 4) = 0.21948546822007864e-1, (156, 5) = -0.4368739543349211e-2, (156, 6) = -0.8223848033365505e-4, (156, 7) = 0.10388758640877828e-3, (157, 1) = -0.3504301864036683e-2, (157, 2) = 0.1449187393779194e-2, (157, 3) = .9814488571872236, (157, 4) = 0.21670252329442523e-1, (157, 5) = -0.4283605697341341e-2, (157, 6) = -0.7581312014106669e-4, (157, 7) = 0.9597452136763151e-4, (158, 1) = -0.34129493089673224e-2, (158, 2) = 0.14093514910030092e-2, (158, 3) = .9828253219279554, (158, 4) = 0.21399097573883887e-1, (158, 5) = -0.4200919799199968e-2, (158, 6) = -0.6991415932376671e-4, (158, 7) = 0.8869203721112217e-4, (159, 1) = -0.33271103446682673e-2, (159, 2) = 0.13719539824332608e-2, (159, 3) = .9841383236747088, (159, 4) = 0.21142196023966428e-1, (159, 5) = -0.4122824677830502e-2, (159, 6) = -0.6464305200947549e-4, (159, 7) = 0.8216929414664662e-4, (160, 1) = -0.3246888216871749e-2, (160, 2) = 0.13370335160016358e-2, (160, 3) = .985383387995297, (160, 4) = 0.209001807532975e-1, (160, 5) = -0.4049476099124505e-2, (160, 6) = -0.5995056210962825e-4, (160, 7) = 0.7634950158779991e-4, (161, 1) = -0.31717820489926096e-2, (161, 2) = 0.13043663241526988e-2, (161, 3) = .9865655002073301, (161, 4) = 0.2067184982425839e-1, (161, 5) = -0.3980475008201402e-2, (161, 6) = -0.5575831327685825e-4, (161, 7) = 0.7113901558701944e-4, (162, 1) = -0.3101283157089607e-2, (162, 2) = 0.12737262794573984e-2, (162, 3) = .9876901928502866, (162, 4) = 0.20455929268952944e-1, (162, 5) = -0.3915405955558736e-2, (162, 6) = -0.51996993884276855e-4, (162, 7) = 0.6645462049558117e-4, (163, 1) = -0.3034948752530318e-2, (163, 2) = 0.12449168007795967e-2, (163, 3) = .9887623477334817, (163, 4) = 0.2025130191646246e-1, (163, 5) = -0.38539057244155925e-2, (163, 6) = -0.4860889607355352e-4, (163, 7) = 0.6222686084568878e-4, (164, 1) = -0.29723938930752585e-2, (164, 2) = 0.12177671724348386e-2, (164, 3) = .9897862525363109, (164, 4) = 0.20056990944072855e-1, (164, 5) = -0.37956574648679202e-2, (164, 6) = -0.45545777125153235e-4, (164, 7) = 0.58397541801037944e-4, (165, 1) = -0.29132816972746683e-2, (165, 2) = 0.11921281484142164e-2, (165, 3) = .9907656989607102, (165, 4) = 0.19872136498653162e-1, (165, 5) = -0.3740382918721448e-2, (165, 6) = -0.427670184725108e-4, (165, 7) = 0.5491755877317205e-4, (166, 1) = -0.28573153562169145e-2, (166, 2) = 0.11678683701705991e-2, (166, 3) = .9917040645449797, (166, 4) = 0.1969597641041645e-1, (166, 5) = -0.3687836034699237e-2, (166, 6) = -0.4023818885023187e-4, (166, 7) = 0.51745199342617154e-4, (167, 1) = -0.28042322593080844e-2, (167, 2) = 0.1144871726603264e-2, (167, 3) = .9926043695551816, (167, 4) = 0.19527832369525187e-1, (167, 5) = -0.36377983421639662e-2, (167, 6) = -0.37929943037897354e-4, (167, 7) = 0.488448409496686e-4, (168, 1) = -0.2753799130211681e-2, (168, 2) = 0.1123035170937828e-2, (168, 3) = .9934693246139872, (168, 4) = 0.19367098410542075e-1, (168, 5) = -0.3590075107388287e-2, (168, 6) = -0.358171430611698e-4, (168, 7) = 0.4618590926945546e-4, (169, 1) = -0.27058079781715864e-2, (169, 2) = 0.11022669058035406e-2, (169, 3) = .9943013707458818, (169, 4) = 0.19213231273768283e-1, (169, 5) = -0.3544492124080056e-2, (169, 6) = -0.3387815201610202e-4, (169, 7) = 0.4374203936585028e-4, (170, 1) = -0.26600725198970194e-2, (170, 2) = 0.10824847840107225e-2, (170, 3) = .9951027165532491, (170, 4) = 0.19065741682178818e-1, (170, 5) = -0.35008928380502657e-2, (170, 6) = -0.3209425552245678e-4, (170, 7) = 0.41490386487098785e-4, (171, 1) = -0.26164251077657906e-2, (171, 2) = 0.10636149381462077e-2, (171, 3) = .995875371044721, (171, 4) = 0.18924186748013903e-1, (171, 5) = -0.3459135858949456e-2, (171, 6) = -0.30449189658006313e-4, (171, 7) = 0.3941106244803707e-4, (172, 1) = -0.25747154845888296e-2, (172, 2) = 0.10455912073515348e-2, (172, 3) = .9966211475552713, (172, 4) = 0.18788167920810266e-1, (172, 5) = -0.34190941466821535e-2, (172, 6) = -0.2892880415481513e-4, (172, 7) = 0.3748673617539756e-4, (173, 1) = -0.2534807981217631e-2, (173, 2) = 0.10283538966235138e-2, (173, 3) = .9973416977524165, (173, 4) = 0.18657323601527533e-1, (173, 5) = -0.33806526539177733e-2, (173, 6) = -0.2752071779279574e-4, (173, 7) = 0.35702219193114476e-4, (174, 1) = -0.24965796986488663e-2, (174, 2) = 0.10118489671315971e-2, (174, 3) = .9980385309827882, (174, 4) = 0.18531324646632825e-1, (174, 5) = -0.3343706853010833e-2, (174, 6) = -0.26214056372779796e-4, (174, 7) = 0.3404415118123037e-4, (175, 1) = -0.24599190164938103e-2, (175, 2) = 0.9960273716355223e-3, (175, 3) = .9987130298125714, (175, 4) = 0.18409870712982543e-1, (175, 5) = -0.3308161533747031e-2, (175, 6) = -0.24999237164889492e-4, (175, 7) = 0.3250074101975441e-4, (176, 1) = -0.2424724307108064e-2, (176, 2) = 0.9808444820542108e-3, (176, 3) = .999366463543249, (176, 4) = 0.18292687091506932e-1, (176, 5) = -0.32739297639363773e-2, (176, 6) = -0.2386778854087962e-4, (176, 7) = 0.31061549736597884e-4, (177, 1) = -0.23909028232950774e-2, (177, 2) = 0.9662595947245867e-3, (177, 3) = 1.0, (177, 4) = 0.18179521955803843e-1, (177, 5) = -0.32409319878966333e-2, (177, 6) = -0.22812198384621496e-4, (177, 7) = 0.29717307791158036e-4}, datatype = float[8], order = C_order); errproc := proc (x_bvp) local outpoint, X, Y, yout, L, V, i; option `Copyright (c) 2000 by Waterloo Maple Inc. All rights reserved.`; Digits := 15; outpoint := evalf(x_bvp); X := Vector(177, {(1) = .1, (2) = .13432431415631105, (3) = .16865165190091197, (4) = .202985958039896, (5) = .23732533659105348, (6) = .2716788241585104, (7) = .30604559361419775, (8) = .3404355394485909, (9) = .3748529011933503, (10) = .4093061022796795, (11) = .44380716982563195, (12) = .47836387534050584, (13) = .512995852912669, (14) = .5477165596092971, (15) = .5825440749488203, (16) = .617499631782922, (17) = .6526070635536141, (18) = .6878927128084736, (19) = .7233862578282453, (20) = .7591205797331673, (21) = .795131110399485, (22) = .8314537516454595, (23) = .868136597156794, (24) = .9052215072936881, (25) = .9427566773054169, (26) = .9807963691446203, (27) = 1.019390250121844, (28) = 1.0585930956320206, (29) = 1.0984604169171555, (30) = 1.1390444870104077, (31) = 1.1804077038174698, (32) = 1.222605314046431, (33) = 1.2656867522025514, (34) = 1.3097007904581703, (35) = 1.35469069615675, (36) = 1.4006929822839422, (37) = 1.447731690331962, (38) = 1.4958369065409785, (39) = 1.5450201198096045, (40) = 1.5952810827286137, (41) = 1.646612127195734, (42) = 1.6989954066809312, (43) = 1.7524040840585657, (44) = 1.806801993976599, (45) = 1.862146412251251, (46) = 1.9183893448840852, (47) = 1.9754805768192913, (48) = 2.0333655491409464, (49) = 2.09198758848087, (50) = 2.1512911903998386, (51) = 2.2112299885365556, (52) = 2.271742934464316, (53) = 2.3327750130678835, (54) = 2.3942834797609645, (55) = 2.4562254559367735, (56) = 2.518550408638634, (57) = 2.5812184684337374, (58) = 2.6441937416859225, (59) = 2.7074501856327, (60) = 2.770954649679994, (61) = 2.8346761833615464, (62) = 2.898592678498704, (63) = 2.962688121088583, (64) = 3.0269416312716424, (65) = 3.091328430651392, (66) = 3.155836619851239, (67) = 3.220454275768738, (68) = 3.285168541451302, (69) = 3.3499654130373253, (70) = 3.414829585389634, (71) = 3.4797579848516915, (72) = 3.5447435602802027, (73) = 3.609779652754643, (74) = 3.674861152412504, (75) = 3.7399848957435275, (76) = 3.8051508297379377, (77) = 3.8703655596105624, (78) = 3.935652421384301, (79) = 4.001077560861665, (80) = 4.0666510045970385, (81) = 4.132314229225371, (82) = 4.198000337516065, (83) = 4.263680764101562, (84) = 4.329336756026789, (85) = 4.394973340046662, (86) = 4.460588954073379, (87) = 4.526181509768576, (88) = 4.59174993915436, (89) = 4.6572937466339175, (90) = 4.722812832368339, (91) = 4.788307377913861, (92) = 4.853777459964835, (93) = 4.9192172921590585, (94) = 4.98463029125814, (95) = 5.0500209149724435, (96) = 5.115387283230868, (97) = 5.180725066182968, (98) = 5.246040278527776, (99) = 5.3113174587944965, (100) = 5.376570973389221, (101) = 5.44180368691663, (102) = 5.5070118178761875, (103) = 5.572199562571729, (104) = 5.637373294661837, (105) = 5.702517813103393, (106) = 5.767639827784657, (107) = 5.832736032997183, (108) = 5.897804505036399, (109) = 5.962849913789289, (110) = 6.0278771161534, (111) = 6.092882596362824, (112) = 6.157876605520855, (113) = 6.222850932401667, (114) = 6.287802017103068, (115) = 6.352734006431941, (116) = 6.4176483673997975, (117) = 6.482540451739694, (118) = 6.547416149850125, (119) = 6.6122680542862025, (120) = 6.677102130347337, (121) = 6.7419211005546, (122) = 6.8067248666742355, (123) = 6.871509114964304, (124) = 6.936266375612976, (125) = 7.0010059228545805, (126) = 7.065728682384006, (127) = 7.130434804847329, (128) = 7.195124539737002, (129) = 7.259798136520217, (130) = 7.324455844038698, (131) = 7.3890979060419335, (132) = 7.453724561298953, (133) = 7.518336044173569, (134) = 7.582932585751136, (135) = 7.647514413049672, (136) = 7.712081750883993, (137) = 7.776634831889643, (138) = 7.841173896857807, (139) = 7.905699203490006, (140) = 7.970211023056725, (141) = 8.034709635791245, (142) = 8.099195318161058, (143) = 8.163668350318732, (144) = 8.22812902562451, (145) = 8.292577648267015, (146) = 8.357014533032183, (147) = 8.42144000370015, (148) = 8.485854390888106, (149) = 8.550258023403897, (150) = 8.6146512403873, (151) = 8.679034390131827, (152) = 8.74340782797264, (153) = 8.807771917708358, (154) = 8.872127033100252, (155) = 8.93647355737236, (156) = 9.000811876240148, (157) = 9.065142395655199, (158) = 9.129062231749659, (159) = 9.190791738971976, (160) = 9.25002177586793, (161) = 9.306893224933363, (162) = 9.361586616509348, (163) = 9.414263699827062, (164) = 9.46506800130928, (165) = 9.514127801690371, (166) = 9.561558693204324, (167) = 9.60746518855213, (168) = 9.651942086110576, (169) = 9.695075631414408, (170) = 9.73694468456052, (171) = 9.777621794577053, (172) = 9.817172850818734, (173) = 9.855658388735026, (174) = 9.893134209297964, (175) = 9.929651857051025, (176) = 9.965259040121957, (177) = 10.0}, datatype = float[8], order = C_order); Y := Matrix(177, 7, {(1, 1) = .0, (1, 2) = -0.25133563359422095e-9, (1, 3) = .0, (1, 4) = .0, (1, 5) = 0.10748780804799623e-8, (1, 6) = .0, (1, 7) = -0.12934292747785471e-8, (2, 1) = -0.4822236359734921e-9, (2, 2) = 0.1291751262338101e-8, (2, 3) = 0.2499789735445234e-10, (2, 4) = 0.5322412113500357e-9, (2, 5) = -0.955358623267235e-9, (2, 6) = -0.38176982978996947e-9, (2, 7) = 0.1265038035903761e-9, (3, 1) = -0.4735204664889531e-9, (3, 2) = 0.9491466074483928e-9, (3, 3) = 0.4690091191230549e-10, (3, 4) = 0.5390956681805285e-9, (3, 5) = -0.7348597717138394e-9, (3, 6) = -0.40462997460214207e-9, (3, 7) = 0.7799800614856019e-10, (4, 1) = -0.4441257733459236e-9, (4, 2) = 0.7306037721941427e-9, (4, 3) = 0.6619035958041333e-10, (4, 4) = 0.5179121302450025e-9, (4, 5) = -0.570792194199048e-9, (4, 6) = -0.4041232372754603e-9, (4, 7) = 0.46984083322823474e-10, (5, 1) = -0.4191825922957931e-9, (5, 2) = 0.5972268762890003e-9, (5, 3) = 0.8413990150978722e-10, (5, 4) = 0.4985304486898765e-9, (5, 5) = -0.4702779357079129e-9, (5, 6) = -0.4019082568446425e-9, (5, 7) = 0.4082047310759462e-10, (6, 1) = -0.3986834175702839e-9, (6, 2) = 0.5078126984926554e-9, (6, 3) = 0.10125193344200593e-9, (6, 4) = 0.4822548440970703e-9, (6, 5) = -0.4037856571615858e-9, (6, 6) = -0.3997114276374773e-9, (6, 7) = 0.44757214339682084e-10, (7, 1) = -0.3813655097444669e-9, (7, 2) = 0.44322817506744626e-9, (7, 3) = 0.1177488502857477e-9, (7, 4) = 0.4683243907117529e-9, (7, 5) = -0.35642964265749337e-9, (7, 6) = -0.39751044675552513e-9, (7, 7) = 0.52360437146100357e-10, (8, 1) = -0.36633339855577963e-9, (8, 2) = 0.39403541257141004e-9, (8, 3) = 0.13375396569863634e-9, (8, 4) = 0.4560893201559204e-9, (8, 5) = -0.32077279352188766e-9, (8, 6) = -0.3951844650021857e-9, (8, 7) = 0.6104103873575669e-10, (9, 1) = -0.3530110444986799e-9, (9, 2) = 0.3551251388394599e-9, (9, 3) = 0.14934196109816663e-9, (9, 4) = 0.4451182466955199e-9, (9, 5) = -0.2928117915068498e-9, (9, 6) = -0.3926669510728056e-9, (9, 7) = 0.6973390343747467e-10, (10, 1) = -0.34102088912595253e-9, (10, 2) = 0.3234631262334646e-9, (10, 3) = 0.16456602449853078e-9, (10, 4) = 0.4351229121500295e-9, (10, 5) = -0.27020202072419514e-9, (10, 6) = -0.38992802616804567e-9, (10, 7) = 0.7800637668800004e-10, (11, 1) = -0.33009810558916964e-9, (11, 2) = 0.29712810504566086e-9, (11, 3) = 0.1794671206264596e-9, (11, 4) = 0.42590380686280173e-9, (11, 5) = -0.25147578918457037e-9, (11, 6) = -0.38695966267997214e-9, (11, 7) = 0.8569539295634197e-10, (12, 1) = -0.32005141372407416e-9, (12, 2) = 0.2748390161414916e-9, (12, 3) = 0.19407559035522606e-9, (12, 4) = 0.4173192828796213e-9, (12, 5) = -0.23566948004497193e-9, (12, 6) = -0.38376658741537674e-9, (12, 7) = 0.9275123416959122e-10, (13, 1) = -0.3107415781995943e-9, (13, 2) = 0.25569566715949626e-9, (13, 3) = 0.20842107524399382e-9, (13, 4) = 0.4092616740027893e-9, (13, 5) = -0.2221146462535113e-9, (13, 6) = -0.3803576532325859e-9, (13, 7) = 0.9918763909766301e-10, (14, 1) = -0.3020547486931774e-9, (14, 2) = 0.23905632169492564e-9, (14, 3) = 0.22252653396896042e-9, (14, 4) = 0.40165000386117793e-9, (14, 5) = -0.21033646928053961e-9, (14, 6) = -0.3767450629818431e-9, (14, 7) = 0.1050316206286602e-9, (15, 1) = -0.2939050674611193e-9, (15, 2) = 0.2244410956663784e-9, (15, 3) = 0.2364129701052877e-9, (15, 4) = 0.39442041537530405e-9, (15, 5) = -0.1999871871687752e-9, (15, 6) = -0.3729413746558997e-9, (15, 7) = 0.11032191552202252e-9, (16, 1) = -0.286222106757177e-9, (16, 2) = 0.21148559484473567e-9, (16, 3) = 0.2501005847357134e-9, (16, 4) = 0.38752041128926003e-9, (16, 5) = -0.19080406100056436e-9, (16, 6) = -0.36895830719220893e-9, (16, 7) = 0.11509985495828057e-9, (17, 1) = -0.27894813473489e-9, (17, 2) = 0.19990993266642248e-9, (17, 3) = 0.2636080867768676e-9, (17, 4) = 0.38090785767399594e-9, (17, 5) = -0.18258498829123314e-9, (17, 6) = -0.3648063902168073e-9, (17, 7) = 0.11940455739879428e-9, (18, 1) = -0.27203377299844357e-9, (18, 2) = 0.18949251113976552e-9, (18, 3) = 0.2769531503258719e-9, (18, 4) = 0.37454645571624524e-9, (18, 5) = -0.17517235332104338e-9, (18, 6) = -0.36049503213976123e-9, (18, 7) = 0.12327029378294546e-9, (19, 1) = -0.2654380018357667e-9, (19, 2) = 0.18005609524436158e-9, (19, 3) = 0.29015352124528096e-9, (19, 4) = 0.36840588937618217e-9, (19, 5) = -0.1684404255060993e-9, (19, 6) = -0.35603302336135194e-9, (19, 7) = 0.12672994380140462e-9, (20, 1) = -0.2591249207945148e-9, (20, 2) = 0.17145908392284244e-9, (20, 3) = 0.3032258092511636e-9, (20, 4) = 0.3624596527318036e-9, (20, 5) = -0.16228840536977783e-9, (20, 6) = -0.3514279783195208e-9, (20, 7) = 0.1298127371652538e-9, (21, 1) = -0.25306422276752354e-9, (21, 2) = 0.16358246686013007e-9, (21, 3) = 0.31618709867295386e-9, (21, 4) = 0.3566852140556996e-9, (21, 5) = -0.15663281162411897e-9, (21, 6) = -0.3466852074439036e-9, (21, 7) = 0.13254460203844536e-9, (22, 1) = -0.24722947014827626e-9, (22, 2) = 0.15633237994447384e-9, (22, 3) = 0.32905279765740313e-9, (22, 4) = 0.35106197738678446e-9, (22, 5) = -0.15140702081415211e-9, (22, 6) = -0.34181104869694363e-9, (22, 7) = 0.1349481998052051e-9, (23, 1) = -0.24159525855122816e-9, (23, 2) = 0.14962663284565797e-9, (23, 3) = 0.34184129986409534e-9, (23, 4) = 0.3455710901981431e-9, (23, 5) = -0.1465545388780879e-9, (23, 6) = -0.33680799761451423e-9, (23, 7) = 0.13704217031147442e-9, (24, 1) = -0.23614219852260766e-9, (24, 2) = 0.14339762247954253e-9, (24, 3) = 0.35456787888180087e-9, (24, 4) = 0.3401969862063632e-9, (24, 5) = -0.14202679880817453e-9, (24, 6) = -0.33167891838231315e-9, (24, 7) = 0.13884542358546385e-9, (25, 1) = -0.23085059138136459e-9, (25, 2) = 0.13758834302914604e-9, (25, 3) = 0.36724842673314724e-9, (25, 4) = 0.3349243442395313e-9, (25, 5) = -0.13778527402894338e-9, (25, 6) = -0.3264271673931953e-9, (25, 7) = 0.14037251215241305e-9, (26, 1) = -0.22570373952624887e-9, (26, 2) = 0.13214994434323748e-9, (26, 3) = 0.3798999867538572e-9, (26, 4) = 0.3297396272364163e-9, (26, 5) = -0.13379429370372647e-9, (26, 6) = -0.3210523981912681e-9, (26, 7) = 0.14163621638420803e-9, (27, 1) = -0.22068712704508097e-9, (27, 2) = 0.1270412908532785e-9, (27, 3) = 0.39253681082283613e-9, (27, 4) = 0.3246307708269583e-9, (27, 5) = -0.13002582884620115e-9, (27, 6) = -0.31555624453007013e-9, (27, 7) = 0.14264832087492047e-9, (28, 1) = -0.21578731325972487e-9, (28, 2) = 0.12222712607848792e-9, (28, 3) = 0.4051735785720333e-9, (28, 4) = 0.319586871397829e-9, (28, 5) = -0.12645492465037684e-9, (28, 6) = -0.3099389237474639e-9, (28, 7) = 0.14341746981326065e-9, (29, 1) = -0.21099190569243325e-9, (29, 2) = 0.11767622332477985e-9, (29, 3) = 0.41782413871370106e-9, (29, 4) = 0.31459713589030673e-9, (29, 5) = -0.12306017230164548e-9, (29, 6) = -0.30420122651924197e-9, (29, 7) = 0.14395168130955385e-9, (30, 1) = -0.2062913796265655e-9, (30, 2) = 0.11336297440012964e-9, (30, 3) = 0.4305002727590064e-9, (30, 4) = 0.30965368144992986e-9, (30, 5) = -0.1198224199722497e-9, (30, 6) = -0.29834324841155765e-9, (30, 7) = 0.14425820561328524e-9, (31, 1) = -0.20167543145855411e-9, (31, 2) = 0.10926367675168289e-9, (31, 3) = 0.4432157990459678e-9, (31, 4) = 0.30474753102929854e-9, (31, 5) = -0.11672648830301723e-9, (31, 6) = -0.29236553478707224e-9, (31, 7) = 0.14434264568809095e-9, (32, 1) = -0.19713587803636631e-9, (32, 2) = 0.10535849256830875e-9, (32, 3) = 0.4559811480098555e-9, (32, 4) = 0.29987149994194555e-9, (32, 5) = -0.11375748988966459e-9, (32, 6) = -0.28626765172624023e-9, (32, 7) = 0.14420916355947746e-9, (33, 1) = -0.19266703741622537e-9, (33, 2) = 0.10163152267693176e-9, (33, 3) = 0.468804140242033e-9, (33, 4) = 0.29501949561639447e-9, (33, 5) = -0.11090365983769633e-9, (33, 6) = -0.28005288243174855e-9, (33, 7) = 0.1438623405988644e-9, (34, 1) = -0.18826236971018196e-9, (34, 2) = 0.9806744012823473e-10, (34, 3) = 0.4816914686457909e-9, (34, 4) = 0.29018599683608335e-9, (34, 5) = -0.1081551639622339e-9, (34, 6) = -0.27372319868693324e-9, (34, 7) = 0.14330559065581606e-9, (35, 1) = -0.18391739026145476e-9, (35, 2) = 0.9465420057864679e-10, (35, 3) = 0.4946471147612365e-9, (35, 4) = 0.28536790964775523e-9, (35, 5) = -0.10550312893821894e-9, (35, 6) = -0.26728271148470323e-9, (35, 7) = 0.14254283649475636e-9, (36, 1) = -0.1796290326417921e-9, (36, 2) = 0.9138103278655448e-10, (36, 3) = 0.5076726524594222e-9, (36, 4) = 0.28056195093997926e-9, (36, 5) = -0.1029400324744031e-9, (36, 6) = -0.26073698096959233e-9, (36, 7) = 0.14157756810199448e-9, (37, 1) = -0.17539547636232187e-9, (37, 2) = 0.8823883513563119e-10, (37, 3) = 0.5207659528703415e-9, (37, 4) = 0.2757676995363159e-9, (37, 5) = -0.10045975867444299e-9, (37, 6) = -0.2540932633148623e-9, (37, 7) = 0.14041329069777054e-9, (38, 1) = -0.1712145116362773e-9, (38, 2) = 0.8521968079420024e-10, (38, 3) = 0.5339253806526229e-9, (38, 4) = 0.2709816307404778e-9, (38, 5) = -0.9805638569026587e-10, (38, 6) = -0.2473594483835658e-9, (38, 7) = 0.1390550150747939e-9, (39, 1) = -0.16708614348926574e-9, (39, 2) = 0.8231706552060182e-10, (39, 3) = 0.547144299171384e-9, (39, 4) = 0.2662056438391908e-9, (39, 5) = -0.9572565144131231e-10, (39, 6) = -0.2405458208104288e-9, (39, 7) = 0.1375077751873039e-9, (40, 1) = -0.16301069952118687e-9, (40, 2) = 0.7952499135640627e-10, (40, 3) = 0.5604133509423026e-9, (40, 4) = 0.26144129521059254e-9, (40, 5) = -0.9346372481169876e-10, (40, 6) = -0.23366459995648096e-9, (40, 7) = 0.13577717678093516e-9, (41, 1) = -0.158989817473586e-9, (41, 2) = 0.7683928985529501e-10, (41, 3) = 0.5737201578239992e-9, (41, 4) = 0.2566900700893248e-9, (41, 5) = -0.9126758012947667e-10, (41, 6) = -0.22672984593116725e-9, (41, 7) = 0.13387053757566127e-9, (42, 1) = -0.15502483153316906e-9, (42, 2) = 0.7425508875677405e-10, (42, 3) = 0.5870514200556596e-9, (42, 4) = 0.251955080921043e-9, (42, 5) = -0.8913398787267396e-10, (42, 6) = -0.21975677997761107e-9, (42, 7) = 0.13179665822801967e-9, (43, 1) = -0.15111813361978065e-9, (43, 2) = 0.717689508221198e-10, (43, 3) = 0.6003915161923434e-9, (43, 4) = 0.24724066175948746e-9, (43, 5) = -0.8706173466119875e-10, (43, 6) = -0.21276123072080293e-9, (43, 7) = 0.12956460370331698e-9, (44, 1) = -0.1472719831472899e-9, (44, 2) = 0.6937737858129648e-10, (44, 3) = 0.61372174261653e-9, (44, 4) = 0.24255055440537196e-9, (44, 5) = -0.850482954542035e-10, (44, 6) = -0.20576167792240652e-9, (44, 7) = 0.12718475337204908e-9, (45, 1) = -0.14348909059030847e-9, (45, 2) = 0.6707735490401772e-10, (45, 3) = 0.6270251558459976e-9, (45, 4) = 0.2378876535417994e-9, (45, 5) = -0.8309171565579169e-10, (45, 6) = -0.19877510496972733e-9, (45, 7) = 0.1246691074748796e-9, (46, 1) = -0.13977224131761695e-9, (46, 2) = 0.6486578381007288e-10, (46, 3) = 0.6402834574063305e-9, (46, 4) = 0.2332605542006165e-9, (46, 5) = -0.8119095085305585e-10, (46, 6) = -0.19181963160364122e-9, (46, 7) = 0.12202970885015615e-9, (47, 1) = -0.13612333265013527e-9, (47, 2) = 0.6273962017101276e-10, (47, 3) = 0.6534782659660732e-9, (47, 4) = 0.22866963665007658e-9, (47, 5) = -0.7934397968198933e-10, (47, 6) = -0.1849128525694979e-9, (47, 7) = 0.11927937650694392e-9, (48, 1) = -0.1325449414570179e-9, (48, 2) = 0.6069601337261652e-10, (48, 3) = 0.6665913117637493e-9, (48, 4) = 0.2241217307746333e-9, (48, 5) = -0.7754946037125802e-10, (48, 6) = -0.17807170048392828e-9, (48, 7) = 0.1164320231963305e-9, (49, 1) = -0.12903865819132066e-9, (49, 2) = 0.5873213259749112e-10, (49, 3) = 0.679606416918663e-9, (49, 4) = 0.21961882325135148e-9, (49, 5) = -0.7580608918744382e-10, (49, 6) = -0.17131288007210077e-9, (49, 7) = 0.11350119171360047e-9, (50, 1) = -0.1256061461749483e-9, (50, 2) = 0.5684506778857276e-10, (50, 3) = 0.692506613829254e-9, (50, 4) = 0.21516617749880193e-9, (50, 5) = -0.7411254642559951e-10, (50, 6) = -0.16465125381821867e-9, (50, 7) = 0.11050012580587676e-9, (51, 1) = -0.12224816114420096e-9, (51, 2) = 0.5503152690500283e-10, (51, 3) = 0.7052806320244042e-9, (51, 4) = 0.21076596885217913e-9, (51, 5) = -0.7246680269519579e-10, (51, 6) = -0.15809991937359541e-9, (51, 7) = 0.10744258215702968e-9, (52, 1) = -0.1189655926860609e-9, (52, 2) = 0.53289087268733294e-10, (52, 3) = 0.7179103764981454e-9, (52, 4) = 0.20642326263827707e-9, (52, 5) = -0.7086755493948269e-10, (52, 6) = -0.15167200258860118e-9, (52, 7) = 0.10434186442026731e-9, (53, 1) = -0.11575985059547016e-9, (53, 2) = 0.516148211081032e-10, (53, 3) = 0.7303863430846644e-9, (53, 4) = 0.20213900611511557e-9, (53, 5) = -0.6931374569883764e-10, (53, 6) = -0.14537942014199397e-9, (53, 7) = 0.10121113477442049e-9, (54, 1) = -0.11263007044960751e-9, (54, 2) = 0.50005730903456676e-10, (54, 3) = 0.7426967671036052e-9, (54, 4) = 0.1979160900085421e-9, (54, 5) = -0.6780348622521023e-10, (54, 6) = -0.13923111798488457e-9, (54, 7) = 0.980620068570324e-10, (55, 1) = -0.1095761940909322e-9, (55, 2) = 0.4845909087022527e-10, (55, 3) = 0.7548353635824616e-9, (55, 4) = 0.19375595267806383e-9, (55, 5) = -0.6633522100935265e-10, (55, 6) = -0.13323534944445024e-9, (55, 7) = 0.9490596285123504e-10, (56, 1) = -0.1065984504918604e-9, (56, 2) = 0.4697226690721809e-10, (56, 3) = 0.7667902304253112e-9, (56, 4) = 0.18965950044270478e-9, (56, 5) = -0.6490771086386615e-10, (56, 6) = -0.1273994576673779e-9, (56, 7) = 0.9175404401695437e-10, (57, 1) = -0.10369595595090755e-9, (57, 2) = 0.45542696012926026e-10, (57, 3) = 0.778556793025425e-9, (57, 4) = 0.1856312972726619e-9, (57, 5) = -0.6351981357404045e-10, (57, 6) = -0.12172894374870717e-9, (57, 7) = 0.8861618584892101e-10, (58, 1) = -0.1008674248650476e-9, (58, 2) = 0.44167509118960435e-10, (58, 3) = 0.7901282528356496e-9, (58, 4) = 0.1816689005601506e-9, (58, 5) = -0.6216955980948554e-10, (58, 6) = -0.11622820480113498e-9, (58, 7) = 0.8550149102221199e-10, (59, 1) = -0.9811216105413218e-10, (59, 2) = 0.4284446467824523e-10, (59, 3) = 0.8015028238903295e-9, (59, 4) = 0.17777286746673866e-9, (59, 5) = -0.6085582711854137e-10, (59, 6) = -0.11089945666474679e-9, (59, 7) = 0.8241775440515545e-10, (60, 1) = -0.954284917777356e-10, (60, 2) = 0.41570814245508714e-10, (60, 3) = 0.8126770292454439e-9, (60, 4) = 0.17394354783946692e-9, (60, 5) = -0.5957709600406618e-10, (60, 6) = -0.10574533301767726e-9, (60, 7) = 0.7937281914298082e-10, (61, 1) = -0.9281564411951234e-10, (61, 2) = 0.4034464547926178e-10, (61, 3) = 0.8236472846736369e-9, (61, 4) = 0.1701833036818964e-9, (61, 5) = -0.5833206612773767e-10, (61, 6) = -0.10076676711512439e-9, (61, 7) = 0.7637315322789134e-10, (62, 1) = -0.9027177347486823e-10, (62, 2) = 0.3916354207986905e-10, (62, 3) = 0.8344124201743041e-9, (62, 4) = 0.16648946902577382e-9, (62, 5) = -0.57119532685498765e-10, (62, 6) = -0.9596390927186278e-10, (62, 7) = 0.7342478496541387e-10, (63, 1) = -0.8779535909357898e-10, (63, 2) = 0.38025284248982297e-10, (63, 3) = 0.8449739575048797e-9, (63, 4) = 0.16286276922895867e-9, (63, 5) = -0.559382759394972e-10, (63, 6) = -0.9133564683145688e-10, (63, 7) = 0.7053216538831238e-10, (64, 1) = -0.85384725616473e-10, (64, 2) = 0.3692798253782136e-10, (64, 3) = 0.8553287704958263e-9, (64, 4) = 0.15930123661278354e-9, (64, 5) = -0.5478695255849285e-10, (64, 6) = -0.8688048760078013e-10, (64, 7) = 0.6769996617461846e-10, (65, 1) = -0.8303858586558454e-10, (65, 2) = 0.3586972810555899e-10, (65, 3) = 0.8654792625877007e-9, (65, 4) = 0.15580572742598036e-9, (65, 5) = -0.5366459334902178e-10, (65, 6) = -0.8259732044904485e-10, (65, 7) = 0.6493223337250637e-10, (66, 1) = -0.807553665752725e-10, (66, 2) = 0.3484874891749666e-10, (66, 3) = 0.8754229593508381e-9, (66, 4) = 0.15237695927329908e-9, (66, 5) = -0.5257035145612129e-10, (66, 6) = -0.7848320040395083e-10, (66, 7) = 0.6223187771979038e-10, (67, 1) = -0.7853315297348665e-10, (67, 2) = 0.3386329237172156e-10, (67, 3) = 0.885165445866046e-9, (67, 4) = 0.1490103257593343e-9, (67, 5) = -0.5150279117922608e-10, (67, 6) = -0.7453518587140608e-10, (67, 7) = 0.5960130904556973e-10, (68, 1) = -0.7637040944820784e-10, (68, 2) = 0.32911598715581086e-10, (68, 3) = 0.8947061739850112e-9, (68, 4) = 0.14570759006284784e-9, (68, 5) = -0.504611198616976e-10, (68, 6) = -0.7075006164056328e-10, (68, 7) = 0.5704255975961135e-10, (69, 1) = -0.7426549605081863e-10, (69, 2) = 0.3199235797200081e-10, (69, 3) = 0.904048186545148e-9, (69, 4) = 0.1424684240627569e-9, (69, 5) = -0.4944443684085938e-10, (69, 6) = -0.6712419841427728e-10, (69, 7) = 0.54557366207916695e-10, (70, 1) = -0.7221736654632416e-10, (70, 2) = 0.3110410103296062e-10, (70, 3) = 0.9131882538741332e-9, (70, 4) = 0.13929036342156035e-9, (70, 5) = -0.4845189373502177e-10, (70, 6) = -0.6365420342795148e-10, (70, 7) = 0.52146975427501514e-10, (71, 1) = -0.7022398200997068e-10, (71, 2) = 0.3024543577941304e-10, (71, 3) = 0.9221360415260171e-9, (71, 4) = 0.1361737081764052e-9, (71, 5) = -0.47482600051318345e-10, (71, 6) = -0.6033547561400346e-10, (71, 7) = 0.49811942430394064e-10, (72, 1) = -0.6828362500748702e-10, (72, 2) = 0.2941489991841159e-10, (72, 3) = 0.930888601393734e-9, (72, 4) = 0.1331159476612379e-9, (72, 5) = -0.4653580535043946e-10, (72, 6) = -0.5716398926445834e-10, (72, 7) = 0.475524649852525e-10, (73, 1) = -0.6639510603152035e-10, (73, 2) = 0.286115228092632e-10, (73, 3) = 0.9394523079129564e-9, (73, 4) = 0.13011733075793917e-9, (73, 5) = -0.4561077481881523e-10, (73, 6) = -0.54135115189872115e-10, (73, 7) = 0.4536866881070352e-10, (74, 1) = -0.645568753974836e-10, (74, 2) = 0.2783391240528995e-10, (74, 3) = 0.9478299584253005e-9, (74, 4) = 0.12717630383541154e-9, (74, 5) = -0.4470657527840883e-10, (74, 6) = -0.5124454519891209e-10, (74, 7) = 0.4326026143353661e-10, (75, 1) = -0.6276724784350272e-10, (75, 2) = 0.27081107173027596e-10, (75, 3) = 0.956021311487774e-9, (75, 4) = 0.1242898751621955e-9, (75, 5) = -0.43822448468142216e-10, (75, 6) = -0.4848759364943523e-10, (75, 7) = 0.41226529155491094e-10, (76, 1) = -0.6102491550561366e-10, (76, 2) = 0.26351883619454057e-10, (76, 3) = 0.9640326746315502e-9, (76, 4) = 0.121460477587425e-9, (76, 5) = -0.4295805432634064e-10, (76, 6) = -0.4585957834722676e-10, (76, 7) = 0.39266766672733285e-10, (77, 1) = -0.5932805568253786e-10, (77, 2) = 0.25645207179705036e-10, (77, 3) = 0.971865921545455e-9, (77, 4) = 0.11868506629827273e-9, (77, 5) = -0.4211247126952791e-10, (77, 6) = -0.43355676647937267e-10, (77, 7) = 0.37379698125788404e-10, (78, 1) = -0.5767472162072739e-10, (78, 2) = 0.24960016150123966e-10, (78, 3) = 0.979527272820239e-9, (78, 4) = 0.11596023227128644e-9, (78, 5) = -0.4128474523380456e-10, (78, 6) = -0.4097042064765802e-10, (78, 7) = 0.35563538933466515e-10, (79, 1) = -0.56062278773629755e-10, (79, 2) = 0.24294558885869108e-10, (79, 3) = 0.9870304765706218e-9, (79, 4) = 0.1132842332370745e-9, (79, 5) = -0.4047347361338713e-10, (79, 6) = -0.3869723877794528e-10, (79, 7) = 0.3381536009462095e-10, (80, 1) = -0.5448940782255379e-10, (80, 2) = 0.23648210403970446e-10, (80, 3) = 0.994373920621701e-9, (80, 4) = 0.11065398015669131e-9, (80, 5) = -0.39678136755576145e-10, (80, 6) = -0.36531778065328024e-10, (80, 7) = 0.32133775021841036e-10, (81, 1) = -0.52956076563351886e-10, (81, 2) = 0.23020634601627332e-10, (81, 3) = 0.10015578355642333e-8, (81, 4) = 0.10807290223640643e-9, (81, 5) = -0.38898839909173874e-10, (81, 6) = -0.3447214832243887e-10, (81, 7) = 0.3051913043551198e-10, (82, 1) = -0.5146276180186555e-10, (82, 2) = 0.22411874260840103e-10, (82, 3) = 0.10085763899854806e-8, (82, 4) = 0.1055410648564232e-9, (82, 5) = -0.38136245666705616e-10, (82, 6) = -0.32516021075844286e-10, (82, 7) = 0.28971490315933258e-10, (83, 1) = -0.5000912520995857e-10, (83, 2) = 0.21821342830068495e-10, (83, 3) = 0.10154312004191943e-8, (83, 4) = 0.10305955865797805e-9, (83, 5) = -0.37389798155327645e-10, (83, 6) = -0.3065998978540357e-10, (83, 7) = 0.27489757167180907e-10, (84, 1) = -0.4859428466255206e-10, (84, 2) = 0.21248577059062134e-10, (84, 3) = 0.10221196610682969e-8, (84, 4) = 0.1006273316758632e-9, (84, 5) = -0.366593448426289e-10, (84, 6) = -0.28900208991190788e-10, (84, 7) = 0.2607253753742099e-10, (85, 1) = -0.47216941209601755e-10, (85, 2) = 0.2069281771249485e-10, (85, 3) = 0.10286458303596705e-8, (85, 4) = 0.9824302321628248e-10, (85, 5) = -0.3594449952721954e-10, (85, 6) = -0.27232289002638088e-10, (85, 7) = 0.2471776526401278e-10, (86, 1) = -0.4587603850181021e-10, (86, 2) = 0.201534052940794e-10, (86, 3) = 0.10350205574204247e-8, (86, 4) = 0.9590484830894483e-10, (86, 5) = -0.35244600053546624e-10, (86, 6) = -0.2565211417447784e-10, (86, 7) = 0.23423564263486646e-10, (87, 1) = -0.44570427444179945e-10, (87, 2) = 0.19629813990776138e-10, (87, 3) = 0.10412377532833149e-8, (87, 4) = 0.9361470603911598e-10, (87, 5) = -0.34559475928237606e-10, (87, 6) = -0.2415576255235988e-10, (87, 7) = 0.22188010686861947e-10, (88, 1) = -0.43299205036542566e-10, (88, 2) = 0.19121396301621412e-10, (88, 3) = 0.10473038270512812e-8, (88, 4) = 0.9136975261118352e-10, (88, 5) = -0.33888742228378605e-10, (88, 6) = -0.22739391561818352e-10, (88, 7) = 0.21009171213129243e-10, (89, 1) = -0.4206136621816841e-10, (89, 2) = 0.1862763193300451e-10, (89, 3) = 0.1053220826440606e-8, (89, 4) = 0.8916812971164093e-10, (89, 5) = -0.3323194858271513e-10, (89, 6) = -0.21399256766972228e-10, (89, 7) = 0.19885123465220818e-10, (90, 1) = -0.4085588310966399e-10, (90, 2) = 0.18148024520178687e-10, (90, 3) = 0.10589955041451046e-8, (90, 4) = 0.870102840089945e-10, (90, 5) = -0.32588484240228997e-10, (90, 6) = -0.20131789912960962e-10, (90, 7) = 0.1881389542009739e-10, (91, 1) = -0.3968185166790285e-10, (91, 2) = 0.1768202815418893e-10, (91, 3) = 0.10646265232891785e-8, (91, 4) = 0.8489553195210622e-10, (91, 5) = -0.3195843436574123e-10, (91, 6) = -0.18933463049862498e-10, (91, 7) = 0.17793581660786366e-10, (92, 1) = -0.3853832902129189e-10, (92, 2) = 0.1722922578935513e-10, (92, 3) = 0.10701178713516793e-8, (92, 4) = 0.8282293669401647e-10, (92, 5) = -0.3134115943239919e-10, (92, 6) = -0.17800978202007475e-10, (92, 7) = 0.16822264914732218e-10, (93, 1) = -0.37424669181434964e-10, (93, 2) = 0.16789122412977386e-10, (93, 3) = 0.10754723856152606e-8, (93, 4) = 0.8079060721002729e-10, (93, 5) = -0.30736550226877975e-10, (93, 6) = -0.16731181911091006e-10, (93, 7) = 0.15898179284081475e-10, (94, 1) = -0.3633984344798148e-10, (94, 2) = 0.1636136007680888e-10, (94, 3) = 0.1080694913077139e-8, (94, 4) = 0.7879810368988039e-10, (94, 5) = -0.30144170280229594e-10, (94, 6) = -0.1572093396812334e-10, (94, 7) = 0.15019396209421985e-10, (95, 1) = -0.3528295959502651e-10, (95, 2) = 0.15945431111723886e-10, (95, 3) = 0.10857842746568276e-8, (95, 4) = 0.7684526168038454e-10, (95, 5) = -0.29563770509365825e-10, (95, 6) = -0.1476718725922153e-10, (95, 7) = 0.14184084832010438e-10, (96, 1) = -0.34253341623023184e-10, (96, 2) = 0.15540982368433098e-10, (96, 3) = 0.1090745090008393e-8, (96, 4) = 0.7492994656021819e-10, (96, 5) = -0.28994985820475658e-10, (96, 6) = -0.1386715343683189e-10, (96, 7) = 0.13390505826113743e-10, (97, 1) = -0.3325026905308442e-10, (97, 2) = 0.15147620208866446e-10, (97, 3) = 0.1095581663622364e-8, (97, 4) = 0.7305312971306977e-10, (97, 5) = -0.2843762234102979e-10, (97, 6) = -0.13018130971366204e-10, (97, 7) = 0.12636963284411881e-10, (98, 1) = -0.3227290366515648e-10, (98, 2) = 0.147650429647678e-10, (98, 3) = 0.11002947854437276e-8, (98, 4) = 0.7121225709966904e-10, (98, 5) = -0.27891434655293842e-10, (98, 6) = -0.12217450392363468e-10, (98, 7) = 0.11921702204802202e-10, (99, 1) = -0.3132080420646942e-10, (99, 2) = 0.14392920682890967e-10, (99, 3) = 0.11048831639640239e-8, (99, 4) = 0.6940775972450926e-10, (99, 5) = -0.27356201034967982e-10, (99, 6) = -0.11462781048113319e-10, (99, 7) = 0.1124326590913559e-10, (100, 1) = -0.3039298764179678e-10, (100, 2) = 0.14030857509215677e-10, (100, 3) = 0.1109356892219946e-8, (100, 4) = 0.676397259657339e-10, (100, 5) = -0.26831570391908562e-10, (100, 6) = -0.10751575098641281e-10, (100, 7) = 0.10599889734684021e-10, (101, 1) = -0.29488761953278224e-10, (101, 2) = 0.13678526761319882e-10, (101, 3) = 0.11137144524208188e-8, (101, 4) = 0.6590478075005809e-10, (101, 5) = -0.26317299185941288e-10, (101, 6) = -0.10081506050647998e-10, (101, 7) = 0.999000377791946e-11, (102, 1) = -0.28607607795422616e-10, (102, 2) = 0.133356401806779e-10, (102, 3) = 0.1117958634990215e-8, (102, 4) = 0.6420506271081726e-10, (102, 5) = -0.25813196450715664e-10, (102, 6) = -0.9450437138368041e-11, (102, 7) = 0.941214568419086e-11, (103, 1) = -0.2774875412567413e-10, (103, 2) = 0.13001895950288143e-10, (103, 3) = 0.11220903726978504e-8, (103, 4) = 0.6253786452945416e-10, (103, 5) = -0.25319039475505215e-10, (103, 6) = -0.8856275269538403e-11, (103, 7) = 0.88648554303843e-11, (104, 1) = -0.26911598790166447e-10, (104, 2) = 0.12676995076335476e-10, (104, 3) = 0.11261152671984882e-8, (104, 4) = 0.609021937252899e-10, (104, 5) = -0.24834523744108644e-10, (104, 6) = -0.8296967223918404e-11, (104, 7) = 0.8346651823328133e-11, (105, 1) = -0.2609571741139721e-10, (105, 2) = 0.12360707018358898e-10, (105, 3) = 0.11300290116370514e-8, (105, 4) = 0.5929939405437904e-10, (105, 5) = -0.24359564511586517e-10, (105, 6) = -0.7770759456933992e-11, (105, 7) = 0.7856315718077717e-11, (106, 1) = -0.2530044333188704e-10, (106, 2) = 0.12052784144741168e-10, (106, 3) = 0.11338381262505208e-8, (106, 4) = 0.577274885441457e-10, (106, 5) = -0.23893915026487e-10, (106, 6) = -0.7275804353440743e-11, (106, 7) = 0.7392498157574831e-11, (107, 1) = -0.24525287343846688e-10, (107, 2) = 0.11752990045451255e-10, (107, 3) = 0.11375506925479182e-8, (107, 4) = 0.5618664712627303e-10, (107, 5) = -0.2343740897183187e-10, (107, 6) = -0.68104138779155605e-11, (107, 7) = 0.69539489361209256e-11, (108, 1) = -0.23769756034050658e-10, (108, 2) = 0.11461069140781725e-10, (108, 3) = 0.1141156920036321e-8, (108, 4) = 0.54675506620229015e-10, (108, 5) = -0.22989853517927998e-10, (108, 6) = -0.6372953207665234e-11, (108, 7) = 0.6539460296498955e-11, (109, 1) = -0.23033206946688197e-10, (109, 2) = 0.11176784235420537e-10, (109, 3) = 0.11446648205586631e-8, (109, 4) = 0.53193133369219096e-10, (109, 5) = -0.2255102934510164e-10, (109, 6) = -0.5961851297415071e-11, (109, 7) = 0.6147846949535398e-11, (110, 1) = -0.22315170596435424e-10, (110, 2) = 0.10899899099720045e-10, (110, 3) = 0.11480776804648441e-8, (110, 4) = 0.51741404883626826e-10, (110, 5) = -0.2212079881093947e-10, (110, 6) = -0.55756000900039874e-11, (110, 7) = 0.5777950850708059e-11, (111, 1) = -0.2161510628629133e-10, (111, 2) = 0.10630202497500658e-10, (111, 3) = 0.11513963697465053e-8, (111, 4) = 0.50316084756389076e-10, (111, 5) = -0.2169888691820227e-10, (111, 6) = -0.5212825902031769e-11, (111, 7) = 0.5428717922904024e-11, (112, 1) = -0.2093248308036869e-10, (112, 2) = 0.10367485845143703e-10, (112, 3) = 0.11546195339584729e-8, (112, 4) = 0.489182049004149e-10, (112, 5) = -0.21285088698946967e-10, (112, 6) = -0.4872150788621039e-11, (112, 7) = 0.5099059382295185e-11, (113, 1) = -0.20266939127279472e-10, (113, 2) = 0.10111521783538712e-10, (113, 3) = 0.11577592792912037e-8, (113, 4) = 0.4754807495737071e-10, (113, 5) = -0.20879387496573555e-10, (113, 6) = -0.4552355860741361e-11, (113, 7) = 0.4788042271114969e-11, (114, 1) = -0.19618082071104572e-10, (114, 2) = 0.9862199011411562e-11, (114, 3) = 0.1160804498226923e-8, (114, 4) = 0.462044422773981e-10, (114, 5) = -0.20481586670028085e-10, (114, 6) = -0.4252272644255941e-11, (114, 7) = 0.4494726477485643e-11, (115, 1) = -0.189853664183792e-10, (115, 2) = 0.9619265490819973e-11, (115, 3) = 0.11637594037035251e-8, (115, 4) = 0.4488686014505007e-10, (115, 5) = -0.200914542145842e-10, (115, 6) = -0.3970742061101578e-11, (115, 7) = 0.4218178288334328e-11, (116, 1) = -0.18368425185254865e-10, (116, 2) = 0.9382570898414447e-11, (116, 3) = 0.1166630830350612e-8, (116, 4) = 0.43594040714570804e-10, (116, 5) = -0.19708991959087038e-10, (116, 6) = -0.3706685865404614e-11, (116, 7) = 0.3957541778663131e-11, (117, 1) = -0.17766860290530166e-10, (117, 2) = 0.9151949085797764e-11, (117, 3) = 0.11694183749409405e-8, (117, 4) = 0.4232831823848793e-10, (117, 5) = -0.1933383435015675e-10, (117, 6) = -0.34591076284628657e-11, (117, 7) = 0.3711986676217058e-11, (118, 1) = -0.1718023634060036e-10, (118, 2) = 0.8927196267795554e-11, (118, 3) = 0.11721276821171886e-8, (118, 4) = 0.4108405888124236e-10, (118, 5) = -0.1896600682368705e-10, (118, 6) = -0.32270198234058586e-11, (118, 7) = 0.348070537611262e-11, (119, 1) = -0.1660824179634249e-10, (119, 2) = 0.8708218692549034e-11, (119, 3) = 0.11747502806896227e-8, (119, 4) = 0.3986542634893522e-10, (119, 5) = -0.18605245591516813e-10, (119, 6) = -0.3009534932294507e-11, (119, 7) = 0.32629652311135766e-11, (120, 1) = -0.16050399219794936e-10, (120, 2) = 0.8494789562416073e-11, (120, 3) = 0.1177298843835625e-8, (120, 4) = 0.3867107750145139e-10, (120, 5) = -0.1825156006779017e-10, (120, 6) = -0.28057732922703526e-11, (120, 7) = 0.3058018111059415e-11, (121, 1) = -0.1550635416407613e-10, (121, 2) = 0.8286771907186822e-11, (121, 3) = 0.11797644520720168e-8, (121, 4) = 0.3749839816238541e-10, (121, 5) = -0.179046564962422e-10, (121, 6) = -0.26149114543976955e-11, (121, 7) = 0.2865173942337792e-11, (122, 1) = -0.14975761754194747e-10, (122, 2) = 0.8084037043132685e-11, (122, 3) = 0.11821578106786102e-8, (122, 4) = 0.36349353804088396e-10, (122, 5) = -0.175644957867693e-10, (122, 6) = -0.2436179786254095e-11, (122, 7) = 0.2683771938128526e-11, (123, 1) = -0.14458298929642815e-10, (123, 2) = 0.7886436111228735e-11, (123, 3) = 0.1184477412835794e-8, (123, 4) = 0.3522096126295468e-10, (123, 5) = -0.17230852517395524e-10, (123, 6) = -0.22688631001927273e-11, (123, 7) = 0.251319975965811e-11, (124, 1) = -0.13953687402573215e-10, (124, 2) = 0.7693865587618392e-11, (124, 3) = 0.11867220249665278e-8, (124, 4) = 0.3411637223729094e-10, (124, 5) = -0.16903783217364677e-10, (124, 6) = -0.21122903401850213e-11, (124, 7) = 0.23528837580789774e-11, (125, 1) = -0.13461549633644782e-10, (125, 2) = 0.7506151534379781e-11, (125, 3) = 0.1188897149024404e-8, (125, 4) = 0.3303185520341911e-10, (125, 5) = -0.1658297508322167e-10, (125, 6) = -0.19657866032914978e-11, (125, 7) = 0.22022276664434392e-11, (126, 1) = -0.12981528055333814e-10, (126, 2) = 0.7323175020133718e-11, (126, 3) = 0.11909980330249977e-8, (126, 4) = 0.31968895014399795e-10, (126, 5) = -0.16268428192245815e-10, (126, 6) = -0.1828737416272636e-11, (126, 7) = 0.20606921059849896e-11, (127, 1) = -0.1251334925790676e-10, (127, 2) = 0.71448022450762814e-11, (127, 3) = 0.11930368791468821e-8, (127, 4) = 0.30925168269090486e-10, (127, 5) = -0.1595994529536578e-10, (127, 6) = -0.17005642957390043e-11, (127, 7) = 0.19277648128769555e-11, (128, 1) = -0.12056664122166423e-10, (128, 2) = 0.6970902891903902e-11, (128, 3) = 0.11949984988800984e-8, (128, 4) = 0.2990287437232501e-10, (128, 5) = -0.1565744012758655e-10, (128, 6) = -0.15807226738701075e-11, (128, 7) = 0.1802962201788926e-11, (129, 1) = -0.11611215590250922e-10, (129, 2) = 0.6801386273637118e-11, (129, 3) = 0.11968993600102636e-8, (129, 4) = 0.28900147080382565e-10, (129, 5) = -0.15360783718278442e-10, (129, 6) = -0.14686992588250484e-11, (129, 7) = 0.16858173458030813e-11, (130, 1) = -0.11176689572059342e-10, (130, 2) = 0.66361109585935695e-11, (130, 3) = 0.119874251229159e-8, (130, 4) = 0.27915751228461665e-10, (130, 5) = -0.1506996454811597e-10, (130, 6) = -0.13640066121412605e-11, (130, 7) = 0.15758973394943555e-11, (131, 1) = -0.10752847620314014e-10, (131, 2) = 0.6474979668955007e-11, (131, 3) = 0.12005094860252073e-8, (131, 4) = 0.2695026830924684e-10, (131, 5) = -0.1478465740885954e-10, (131, 6) = -0.12661923343114569e-11, (131, 7) = 0.14727845404164439e-11, (132, 1) = -0.10339385856338755e-10, (132, 2) = 0.6317886581522219e-11, (132, 3) = 0.1202227689070044e-8, (132, 4) = 0.26004025373171577e-10, (132, 5) = -0.14504921383297311e-10, (132, 6) = -0.117482316930582e-11, (132, 7) = 0.13760829973621443e-11, (133, 1) = -0.9936029828507202e-11, (133, 2) = 0.6164717563718258e-11, (133, 3) = 0.12038784627655226e-8, (133, 4) = 0.25075153782644154e-10, (133, 5) = -0.14230591341865168e-10, (133, 6) = -0.1089495166072317e-11, (133, 7) = 0.12854232032874922e-11, (134, 1) = -0.954258200538204e-11, (134, 2) = 0.60153668094429556e-11, (134, 3) = 0.12054624421663825e-8, (134, 4) = 0.2416409972408739e-10, (134, 5) = -0.13961569099024428e-10, (134, 6) = -0.10098288357408212e-11, (134, 7) = 0.12004494115820128e-11, (135, 1) = -0.915871353546483e-11, (135, 2) = 0.5869751638206249e-11, (135, 3) = 0.12070025992460107e-8, (135, 4) = 0.23271492022243684e-10, (135, 5) = -0.13697768394350225e-10, (135, 6) = -0.935464640353776e-12, (135, 7) = 0.11208283383367453e-11, (136, 1) = -0.8784234210301511e-11, (136, 2) = 0.5727763841077969e-11, (136, 3) = 0.12084706474875078e-8, (136, 4) = 0.22394710020022877e-10, (136, 5) = -0.1343909294397463e-10, (136, 6) = -0.8660660324202705e-12, (136, 7) = 0.10462421991222154e-11, (137, 1) = -0.8418913263458105e-11, (137, 2) = 0.5589313993785467e-11, (137, 3) = 0.12098889273005505e-8, (137, 4) = 0.21535676726855785e-10, (137, 5) = -0.13185427926861937e-10, (137, 6) = -0.8013163492284678e-12, (137, 7) = 0.976391731445841e-12, (138, 1) = -0.8062467152589807e-11, (138, 2) = 0.54543196210213545e-11, (138, 3) = 0.12112528801006951e-8, (138, 4) = 0.2069189392423113e-10, (138, 5) = -0.12936678002997946e-10, (138, 6) = -0.7409176146801608e-12, (138, 7) = 0.910994600582341e-12, (139, 1) = -0.7714730287100752e-11, (139, 2) = 0.5322678054123467e-11, (139, 3) = 0.12125653854184757e-8, (139, 4) = 0.1986489890272202e-10, (139, 5) = -0.12692775835000164e-10, (139, 6) = -0.6845899300896001e-12, (139, 7) = 0.8497829990085735e-12, (140, 1) = -0.7375446342117648e-11, (140, 2) = 0.5194307400360006e-11, (140, 3) = 0.12138188632444438e-8, (140, 4) = 0.19054116219959057e-10, (140, 5) = -0.1245358984195867e-10, (140, 6) = -0.6320711383042871e-12, (140, 7) = 0.7925037232638139e-12, (141, 1) = -0.7044411595925558e-11, (141, 2) = 0.5069122407758296e-11, (141, 3) = 0.12150133348393326e-8, (141, 4) = 0.1825781497268621e-10, (141, 5) = -0.12219085401247519e-10, (141, 6) = -0.5831141022505443e-12, (141, 7) = 0.7389185911372965e-12, (142, 1) = -0.6721411054329123e-11, (142, 2) = 0.4947052990376775e-11, (142, 3) = 0.12161723234439253e-8, (142, 4) = 0.1747738330983317e-10, (142, 5) = -0.11989085228023421e-10, (142, 6) = -0.5374871770932166e-12, (142, 7) = 0.6888023926474155e-12, (143, 1) = -0.64062605091691784e-11, (143, 2) = 0.482800632195133e-11, (143, 3) = 0.12172680170306166e-8, (143, 4) = 0.16711578042847487e-10, (143, 5) = -0.11763570020466811e-10, (143, 6) = -0.4949736743484498e-12, (143, 7) = 0.641942100772299e-12, (144, 1) = -0.6098742025425115e-11, (144, 2) = 0.4711916193706158e-11, (144, 3) = 0.1218330702880712e-8, (144, 4) = 0.1595955897889176e-10, (144, 5) = -0.11542423255895684e-10, (144, 6) = -0.4553688284597233e-12, (144, 7) = 0.5981378832577253e-12, (145, 1) = -0.5798677057513097e-11, (145, 2) = 0.4598706096769562e-11, (145, 3) = 0.12193353543310945e-8, (145, 4) = 0.15223361961034254e-10, (145, 5) = -0.11325610150784382e-10, (145, 6) = -0.41848219488793295e-12, (145, 7) = 0.5572003836098101e-12, (146, 1) = -0.550588009340836e-11, (146, 2) = 0.44882880675520885e-11, (146, 3) = 0.12202857455131248e-8, (146, 4) = 0.14500418876082778e-10, (146, 5) = -0.11113028236882186e-10, (146, 6) = -0.3841341317304528e-12, (146, 7) = 0.5189520778312766e-12, (147, 1) = -0.5220157336739223e-11, (147, 2) = 0.4380605492331011e-11, (147, 3) = 0.12212000753634705e-8, (147, 4) = 0.1379119238849094e-10, (147, 5) = -0.10904523689854029e-10, (147, 6) = -0.3521569442290073e-12, (147, 7) = 0.4832242591595169e-12, (148, 1) = -0.49413372968622916e-11, (148, 2) = 0.42755942505609585e-11, (148, 3) = 0.12220670336629079e-8, (148, 4) = 0.13094678826697949e-10, (148, 5) = -0.10700136443468203e-10, (148, 6) = -0.3223928565883448e-12, (148, 7) = 0.4498598146017527e-12, (149, 1) = -0.4669250200024589e-11, (149, 2) = 0.417317907212515e-11, (149, 3) = 0.122288995704384e-8, (149, 4) = 0.12412330083168088e-10, (149, 5) = -0.10499703764283493e-10, (149, 6) = -0.29469488358582e-12, (149, 7) = 0.41870954819324477e-12, (150, 1) = -0.4403712013205302e-11, (150, 2) = 0.4073299764315313e-11, (150, 3) = 0.1223665684002994e-8, (150, 4) = 0.11742241160471754e-10, (150, 5) = -0.1030317689694116e-10, (150, 6) = -0.2689244656008504e-12, (150, 7) = 0.3896336179006955e-12, (151, 1) = -0.4144579427591234e-11, (151, 2) = 0.3975878589560163e-11, (151, 3) = 0.1224396603455543e-8, (151, 4) = 0.11085210144017644e-10, (151, 5) = -0.10110459511254232e-10, (151, 6) = -0.2449525995893326e-12, (151, 7) = 0.3625006066286385e-12, (152, 1) = -0.38916848416852296e-11, (152, 2) = 0.38808682939696256e-11, (152, 3) = 0.12251002854980518e-8, (152, 4) = 0.10440054268239915e-10, (152, 5) = -0.9921507967863049e-11, (152, 6) = -0.22265826204028151e-12, (152, 7) = 0.33718643994633003e-12, (153, 1) = -0.3644855356429144e-11, (153, 2) = 0.3788203889785971e-11, (153, 3) = 0.12257436502356109e-8, (153, 4) = 0.980794201747327e-11, (153, 5) = -0.9736237397022225e-11, (153, 6) = -0.20192812497115791e-12, (153, 7) = 0.3135747127959107e-12, (154, 1) = -0.340396118615834e-11, (154, 2) = 0.3697827252366246e-11, (154, 3) = 0.1226353307422349e-8, (154, 4) = 0.9186175708230342e-11, (154, 5) = -0.9554597649315009e-11, (154, 6) = -0.1826564040925313e-12, (154, 7) = 0.2915562150365321e-12, (155, 1) = -0.31688432998717966e-11, (155, 2) = 0.36096794411637987e-11, (155, 3) = 0.12269316630844605e-8, (155, 4) = 0.8577808830243637e-11, (155, 5) = -0.9376497241749015e-11, (155, 6) = -0.16474403131928477e-12, (155, 7) = 0.2710281947405146e-12, (156, 1) = -0.2939357375813386e-11, (156, 2) = 0.35237027889789578e-11, (156, 3) = 0.12274613278365115e-8, (156, 4) = 0.79793438193171e-11, (156, 5) = -0.920186693051316e-11, (156, 6) = -0.14809841321472652e-12, (156, 7) = 0.2518939679820372e-12, (157, 1) = -0.27153619196543353e-11, (157, 2) = 0.3439849104588805e-11, (157, 3) = 0.12279600179688634e-8, (157, 4) = 0.7392918423708086e-11, (157, 5) = -0.9030668428465661e-11, (157, 6) = -0.1326329694636143e-12, (157, 7) = 0.23406319783156147e-12, (158, 1) = -0.24980748116852893e-11, (158, 2) = 0.33585674115493146e-11, (158, 3) = 0.12284094216029687e-8, (158, 4) = 0.6821603976317833e-11, (158, 5) = -0.8863786066021544e-11, (158, 6) = -0.1183519151197076e-12, (158, 7) = 0.21754937709165998e-12, (159, 1) = -0.22931130761850767e-11, (159, 2) = 0.32819548479972626e-11, (159, 3) = 0.1228813812960284e-8, (159, 4) = 0.6278310095434659e-11, (159, 5) = -0.870573682183365e-11, (159, 6) = -0.10551134063300874e-12, (159, 7) = 0.2026600306552426e-12, (160, 1) = -0.21008409964575166e-11, (160, 2) = 0.3210141330288939e-11, (160, 3) = 0.12291686374264535e-8, (160, 4) = 0.57679093040764105e-11, (160, 5) = -0.8556870228087243e-11, (160, 6) = -0.9401117419620941e-13, (160, 7) = 0.18928977461730128e-12, (161, 1) = -0.19201922217252495e-11, (161, 2) = 0.31427195364896388e-11, (161, 3) = 0.12294833016356614e-8, (161, 4) = 0.528521870647234e-11, (161, 5) = -0.84164150381976e-11, (161, 6) = -0.8367827535476734e-13, (161, 7) = 0.17724627836112152e-12, (162, 1) = -0.17500382006084871e-11, (162, 2) = 0.30792626398127524e-11, (162, 3) = 0.12297616807404267e-8, (162, 4) = 0.4828423599994281e-11, (162, 5) = -0.8283635245036114e-11, (162, 6) = -0.7435742708748314e-13, (162, 7) = 0.16635630047369893e-12, (163, 1) = -0.15894069745447244e-11, (163, 2) = 0.30194000535656047e-11, (163, 3) = 0.12300053331583256e-8, (163, 4) = 0.4395358666486823e-11, (163, 5) = -0.8157858618845472e-11, (163, 6) = -0.6591849525409016e-13, (163, 7) = 0.15647380832507043e-12, (164, 1) = -0.143744735071212e-11, (164, 2) = 0.29628062228306213e-11, (164, 3) = 0.12302224927433942e-8, (164, 4) = 0.39840602242576006e-11, (164, 5) = -0.8038390336572891e-11, (164, 6) = -0.5825191121229164e-13, (164, 7) = 0.14747601877532904e-12, (165, 1) = -0.12934065335206593e-11, (165, 2) = 0.2909203531044491e-11, (165, 3) = 0.12304077852833621e-8, (165, 4) = 0.35926554480135007e-11, (165, 5) = -0.792484729304842e-11, (165, 6) = -0.5126495348768588e-13, (165, 7) = 0.13925839415573526e-12, (166, 1) = -0.1156624499015785e-11, (166, 2) = 0.28583377841434647e-11, (166, 3) = 0.12305629940469257e-8, (166, 4) = 0.32189978168650025e-11, (166, 5) = -0.7816624131829942e-11, (166, 6) = -0.4487834494433306e-13, (166, 7) = 0.13173149807135405e-12, (167, 1) = -0.10265210416646665e-11, (167, 2) = 0.28099859769711778e-11, (167, 3) = 0.12307048112808125e-8, (167, 4) = 0.28628730141565726e-11, (167, 5) = -0.7713392249055152e-11, (167, 6) = -0.3902428012462705e-13, (167, 7) = 0.12481864852611245e-12, (168, 1) = -0.9025640604170987e-12, (168, 2) = 0.27639491870152004e-11, (168, 3) = 0.12308209011808183e-8, (168, 4) = 0.25224103801739054e-11, (168, 5) = -0.7614781499091382e-11, (168, 6) = -0.336442843827677e-13, (168, 7) = 0.1184536829449645e-12, (169, 1) = -0.7842921223495981e-12, (169, 2) = 0.27200541310057924e-11, (169, 3) = 0.12309247582023974e-8, (169, 4) = 0.2195560422415873e-11, (169, 5) = -0.752035432041767e-11, (169, 6) = -0.2868781128546623e-13, (169, 7) = 0.11257905769508853e-12, (170, 1) = -0.6712838397935098e-12, (170, 2) = 0.26781416441771932e-11, (170, 3) = 0.12310105895101172e-8, (170, 4) = 0.1881429399968058e-11, (170, 5) = -0.7429936109254022e-11, (170, 6) = -0.24110889621727452e-13, (170, 7) = 0.1071446837412809e-12, (171, 1) = -0.5631611547338676e-12, (171, 2) = 0.26380669883797786e-11, (171, 3) = 0.12310826986623688e-8, (171, 4) = 0.15819072978324664e-11, (171, 5) = -0.7343181172926194e-11, (171, 6) = -0.1987509570792081e-13, (171, 7) = 0.10210683924543437e-12, (172, 1) = -0.4595821765691131e-12, (172, 2) = 0.25996992004927467e-11, (172, 3) = 0.12311444178261443e-8, (172, 4) = 0.12922776880427693e-11, (172, 5) = -0.7259865303530753e-11, (172, 6) = -0.1594690713150054e-13, (172, 7) = 0.9742711634109024e-13, (173, 1) = -0.360239821686979e-12, (173, 2) = 0.256292258113084e-11, (173, 3) = 0.1231182643453054e-8, (173, 4) = 0.10145565202094742e-11, (173, 5) = -0.71797304253474045e-11, (173, 6) = -0.12296822976919166e-13, (173, 7) = 0.9307182871563279e-13, (174, 1) = -0.26485444170652493e-12, (174, 2) = 0.25276374440445824e-11, (174, 3) = 0.1231214457114319e-8, (174, 4) = 0.7475904889489019e-12, (174, 5) = -0.7102655072283805e-11, (174, 6) = -0.8898840022002288e-14, (174, 7) = 0.8901105773542986e-13, (175, 1) = -0.17317086532258958e-12, (175, 2) = 0.2493741836417416e-11, (175, 3) = 0.12312385732722901e-8, (175, 4) = 0.4895181132410539e-12, (175, 5) = -0.7028323739814668e-11, (175, 6) = -0.5729946700895339e-14, (175, 7) = 0.852184352526504e-13, (176, 1) = -0.8495682761705501e-13, (176, 2) = 0.24611493869265283e-11, (176, 3) = 0.1231250597216119e-8, (176, 4) = 0.2399942514572332e-12, (176, 5) = -0.6956738131751051e-11, (176, 6) = -0.2769726093823494e-14, (176, 7) = 0.8167037339566886e-13, (177, 1) = .0, (177, 2) = 0.24297727964088152e-11, (177, 3) = 0.12312559658094405e-8, (177, 4) = .0, (177, 5) = -0.6887584184124894e-11, (177, 6) = .0, (177, 7) = 0.7834600855072988e-13}, datatype = float[8], order = C_order); if not type(outpoint, 'numeric') then if outpoint = "start" or outpoint = "left" then return X[1] elif outpoint = "right" then return X[177] elif outpoint = "order" then return 8 elif outpoint = "error" then return HFloat(1.2934292747785471e-9) elif outpoint = "errorproc" then error "this is already the error procedure" elif outpoint = "rawdata" then return [7, 177, [chi(eta), diff(chi(eta), eta), f(eta), diff(f(eta), eta), diff(diff(f(eta), eta), eta), theta(eta), diff(theta(eta), eta)], X, Y] else return ('procname')(x_bvp) end if end if; if outpoint < X[1] or X[177] < outpoint then error "solution is only defined in the range %1..%2", X[1], X[177] end if; V := array([1 = 4, 2 = 0]); if Digits <= trunc(evalhf(Digits)) then L := Vector(4, 'datatype' = 'float'[8]); yout := Vector(7, 'datatype' = 'float'[8]); evalhf(`dsolve/numeric/lagrange`(177, 7, X, Y, outpoint, var(yout), var(L), var(V))) else L := Vector(4, 'datatype' = 'sfloat'); yout := Vector(7, 'datatype' = 'sfloat'); `dsolve/numeric/lagrange`(177, 7, X, Y, outpoint, yout, L, V) end if; [eta = outpoint, seq('[chi(eta), diff(chi(eta), eta), f(eta), diff(f(eta), eta), diff(diff(f(eta), eta), eta), theta(eta), diff(theta(eta), eta)]'[i] = yout[i], i = 1 .. 7)] end proc; if not type(outpoint, 'numeric') then if outpoint = "start" or outpoint = "left" then return X[1] elif outpoint = "method" then return "bvp" elif outpoint = "right" then return X[177] elif outpoint = "order" then return 8 elif outpoint = "error" then return HFloat(1.2934292747785471e-9) elif outpoint = "errorproc" then return eval(errproc) elif outpoint = "rawdata" then return [7, 177, "depnames", X, Y, YP] else error "non-numeric value" end if end if; if outpoint < X[1] or X[177] < outpoint then error "solution is only defined in the range %1..%2", X[1], X[177] end if; if Digits <= trunc(evalhf(Digits)) and (_EnvInFsolve <> true or _EnvDSNumericSaveDigits <= trunc(evalhf(Digits))) then V := array( 1 .. 6, [( 1 ) = (7), ( 2 ) = (0), ( 3 ) = (false), ( 4 ) = (false), ( 5 ) = (false), ( 6 ) = (false)  ] ); L := Matrix(7, 2, {(1, 1) = .0, (1, 2) = .0, (2, 1) = .0, (2, 2) = .0, (3, 1) = .0, (3, 2) = .0, (4, 1) = .0, (4, 2) = .0, (5, 1) = .0, (5, 2) = .0, (6, 1) = .0, (6, 2) = .0, (7, 1) = .0, (7, 2) = .0}, datatype = float[8], order = C_order); yout := Vector(7, {(1) = .0, (2) = .0, (3) = .0, (4) = .0, (5) = .0, (6) = .0, (7) = .0}, datatype = float[8]); evalhf(`dsolve/numeric/hermite`(177, 7, X, Y, YP, outpoint, var(yout), var(L), var(V))) else if _EnvInFsolve = true then Digits := _EnvDSNumericSaveDigits end if; V := array( 1 .. 6, [( 1 ) = (7), ( 2 ) = (0), ( 3 ) = (false), ( 4 ) = (false), ( 5 ) = (false), ( 6 ) = (false)  ] ); L := Matrix(7, 2, {(1, 1) = 0., (1, 2) = 0., (2, 1) = 0., (2, 2) = 0., (3, 1) = 0., (3, 2) = 0., (4, 1) = 0., (4, 2) = 0., (5, 1) = 0., (5, 2) = 0., (6, 1) = 0., (6, 2) = 0., (7, 1) = 0., (7, 2) = 0.}, order = C_order); yout := Vector(7, {(1) = 0., (2) = 0., (3) = 0., (4) = 0., (5) = 0., (6) = 0., (7) = 0.}); `dsolve/numeric/hermite`(177, 7, X, Y, YP, outpoint, yout, L, V) end if; [outpoint, seq(yout[i], i = 1 .. 7)] end proc, (2) = Array(1..8, {(1) = 18446744078246286542, (2) = 18446744078246287070, (3) = 18446744078246287246, (4) = 18446744078246287422, (5) = 18446744078246287598, (6) = 18446744078246287774, (7) = 18446744078246287950, (8) = 18446744078246288126}), (3) = [eta, chi(eta), diff(chi(eta), eta), f(eta), diff(f(eta), eta), diff(diff(f(eta), eta), eta), theta(eta), diff(theta(eta), eta)], (4) = 0}); solnproc := data[1]; if not type(outpoint, 'numeric') then if outpoint = "solnprocedure" then return eval(solnproc) elif member(outpoint, ["start", "left", "right", "errorproc", "rawdata", "order", "error"]) then return solnproc(eta) elif outpoint = "sysvars" then return data[3] elif procname <> unknown then return ('procname')(eta) else `theta(eta)` := pointto(data[2][7]); return ('`theta(eta)`')(eta) end if end if; try res := solnproc(outpoint); res[7] catch: error  end try end proc, diff(theta(eta), eta) = proc (eta) local res, data, solnproc, `diff(theta(eta),eta)`, outpoint; option `Copyright (c) 2000 by Waterloo Maple Inc. All rights reserved.`; _EnvDSNumericSaveDigits := Digits; Digits := 15; if _EnvInFsolve = true then outpoint := evalf[_EnvDSNumericSaveDigits](eta) else outpoint := evalf(eta) end if; data := Array(1..4, {(1) = proc (outpoint) local X, Y, YP, yout, errproc, L, V, i; option `Copyright (c) 2000 by Waterloo Maple Inc. All rights reserved.`; X := Vector(177, {(1) = .1, (2) = .13432431415631105, (3) = .16865165190091197, (4) = .202985958039896, (5) = .23732533659105348, (6) = .2716788241585104, (7) = .30604559361419775, (8) = .3404355394485909, (9) = .3748529011933503, (10) = .4093061022796795, (11) = .44380716982563195, (12) = .47836387534050584, (13) = .512995852912669, (14) = .5477165596092971, (15) = .5825440749488203, (16) = .617499631782922, (17) = .6526070635536141, (18) = .6878927128084736, (19) = .7233862578282453, (20) = .7591205797331673, (21) = .795131110399485, (22) = .8314537516454595, (23) = .868136597156794, (24) = .9052215072936881, (25) = .9427566773054169, (26) = .9807963691446203, (27) = 1.019390250121844, (28) = 1.0585930956320206, (29) = 1.0984604169171555, (30) = 1.1390444870104077, (31) = 1.1804077038174698, (32) = 1.222605314046431, (33) = 1.2656867522025514, (34) = 1.3097007904581703, (35) = 1.35469069615675, (36) = 1.4006929822839422, (37) = 1.447731690331962, (38) = 1.4958369065409785, (39) = 1.5450201198096045, (40) = 1.5952810827286137, (41) = 1.646612127195734, (42) = 1.6989954066809312, (43) = 1.7524040840585657, (44) = 1.806801993976599, (45) = 1.862146412251251, (46) = 1.9183893448840852, (47) = 1.9754805768192913, (48) = 2.0333655491409464, (49) = 2.09198758848087, (50) = 2.1512911903998386, (51) = 2.2112299885365556, (52) = 2.271742934464316, (53) = 2.3327750130678835, (54) = 2.3942834797609645, (55) = 2.4562254559367735, (56) = 2.518550408638634, (57) = 2.5812184684337374, (58) = 2.6441937416859225, (59) = 2.7074501856327, (60) = 2.770954649679994, (61) = 2.8346761833615464, (62) = 2.898592678498704, (63) = 2.962688121088583, (64) = 3.0269416312716424, (65) = 3.091328430651392, (66) = 3.155836619851239, (67) = 3.220454275768738, (68) = 3.285168541451302, (69) = 3.3499654130373253, (70) = 3.414829585389634, (71) = 3.4797579848516915, (72) = 3.5447435602802027, (73) = 3.609779652754643, (74) = 3.674861152412504, (75) = 3.7399848957435275, (76) = 3.8051508297379377, (77) = 3.8703655596105624, (78) = 3.935652421384301, (79) = 4.001077560861665, (80) = 4.0666510045970385, (81) = 4.132314229225371, (82) = 4.198000337516065, (83) = 4.263680764101562, (84) = 4.329336756026789, (85) = 4.394973340046662, (86) = 4.460588954073379, (87) = 4.526181509768576, (88) = 4.59174993915436, (89) = 4.6572937466339175, (90) = 4.722812832368339, (91) = 4.788307377913861, (92) = 4.853777459964835, (93) = 4.9192172921590585, (94) = 4.98463029125814, (95) = 5.0500209149724435, (96) = 5.115387283230868, (97) = 5.180725066182968, (98) = 5.246040278527776, (99) = 5.3113174587944965, (100) = 5.376570973389221, (101) = 5.44180368691663, (102) = 5.5070118178761875, (103) = 5.572199562571729, (104) = 5.637373294661837, (105) = 5.702517813103393, (106) = 5.767639827784657, (107) = 5.832736032997183, (108) = 5.897804505036399, (109) = 5.962849913789289, (110) = 6.0278771161534, (111) = 6.092882596362824, (112) = 6.157876605520855, (113) = 6.222850932401667, (114) = 6.287802017103068, (115) = 6.352734006431941, (116) = 6.4176483673997975, (117) = 6.482540451739694, (118) = 6.547416149850125, (119) = 6.6122680542862025, (120) = 6.677102130347337, (121) = 6.7419211005546, (122) = 6.8067248666742355, (123) = 6.871509114964304, (124) = 6.936266375612976, (125) = 7.0010059228545805, (126) = 7.065728682384006, (127) = 7.130434804847329, (128) = 7.195124539737002, (129) = 7.259798136520217, (130) = 7.324455844038698, (131) = 7.3890979060419335, (132) = 7.453724561298953, (133) = 7.518336044173569, (134) = 7.582932585751136, (135) = 7.647514413049672, (136) = 7.712081750883993, (137) = 7.776634831889643, (138) = 7.841173896857807, (139) = 7.905699203490006, (140) = 7.970211023056725, (141) = 8.034709635791245, (142) = 8.099195318161058, (143) = 8.163668350318732, (144) = 8.22812902562451, (145) = 8.292577648267015, (146) = 8.357014533032183, (147) = 8.42144000370015, (148) = 8.485854390888106, (149) = 8.550258023403897, (150) = 8.6146512403873, (151) = 8.679034390131827, (152) = 8.74340782797264, (153) = 8.807771917708358, (154) = 8.872127033100252, (155) = 8.93647355737236, (156) = 9.000811876240148, (157) = 9.065142395655199, (158) = 9.129062231749659, (159) = 9.190791738971976, (160) = 9.25002177586793, (161) = 9.306893224933363, (162) = 9.361586616509348, (163) = 9.414263699827062, (164) = 9.46506800130928, (165) = 9.514127801690371, (166) = 9.561558693204324, (167) = 9.60746518855213, (168) = 9.651942086110576, (169) = 9.695075631414408, (170) = 9.73694468456052, (171) = 9.777621794577053, (172) = 9.817172850818734, (173) = 9.855658388735026, (174) = 9.893134209297964, (175) = 9.929651857051025, (176) = 9.965259040121957, (177) = 10.0}, datatype = float[8], order = C_order); Y := Matrix(177, 7, {(1, 1) = 1.0, (1, 2) = -3.010283491881195, (1, 3) = -0.5e-1, (1, 4) = -.5, (1, 5) = 3.2549705904755624, (1, 6) = 1.0, (1, 7) = -2.2961168243517345, (2, 1) = .9116006400192896, (2, 2) = -2.2188140910266996, (2, 3) = -0.6542988930944998e-1, (2, 4) = -.40370802709261644, (2, 5) = 2.4361750640983972, (2, 6) = .9313148374425487, (2, 7) = -1.7587335888496072, (3, 1) = .8440668335083839, (3, 2) = -1.7515672684205508, (3, 3) = -0.7795914493005979e-1, (3, 4) = -.32904124123644557, (3, 5) = 1.950857483460543, (3, 6) = .8768325041094468, (3, 7) = -1.4395391386527499, (4, 1) = .7895472336660474, (4, 2) = -1.443419767334426, (4, 3) = -0.8817574136327207e-1, (4, 4) = -.2679158648423435, (4, 5) = 1.6295350420268857, (4, 6) = .831272138114754, (4, 7) = -1.2272759842281986, (5, 1) = .7439269688663698, (5, 2) = -1.2250712603116078, (5, 3) = -0.9646350877742356e-1, (5, 4) = -.21608666124952267, (5, 5) = 1.4009694099334766, (5, 6) = .7918687409370647, (5, 7) = -1.0753753559802985, (6, 1) = .7047645567594804, (6, 2) = -1.062293032083934, (6, 3) = -.10309608982056391, (6, 4) = -.1710281829224358, (6, 5) = 1.229921365777778, (6, 6) = .7569783455483658, (6, 7) = -.9608633361558743, (7, 1) = .670508499292611, (7, 2) = -.9363094708603249, (7, 3) = -.1082751849303922, (7, 4) = -.1311332340751042, (7, 5) = 1.097033665972045, (7, 6) = .725556739475722, (7, 7) = -.871143819024352, (8, 1) = .6400970314770135, (8, 2) = -.8359113795739894, (8, 3) = -.11215820698136195, (8, 4) = -0.9529846009910026e-1, (8, 5) = .9907326565311447, (8, 6) = .6968857043397841, (8, 7) = -.798694055572774, (9, 1) = .6127818638670864, (9, 2) = -.7540307621161558, (9, 3) = -.11486934685856202, (9, 4) = -0.6274515848045818e-1, (9, 5) = .903710629210698, (9, 6) = .6704589172997079, (9, 7) = -.7387684103204613, (10, 1) = .5880101630726342, (10, 2) = -.6859732537372588, (10, 3) = -.11650974862771135, (10, 4) = -0.3289635416421537e-1, (10, 5) = .8311070612968686, (10, 6) = .6459004421044664, (10, 7) = -.6882118043576506, (11, 1) = .5653617782847322, (11, 2) = -.6285004073713887, (11, 3) = -.11716276509404526, (11, 4) = -0.5312156394166294e-2, (11, 5) = .7695640956343914, (11, 6) = .6229228742706305, (11, 7) = -.64484492277093, (12, 1) = .5445141227529045, (12, 2) = -.5793166470382869, (12, 3) = -.11689775490014931, (12, 4) = 0.20345547838662725e-1, (12, 5) = .7166984974611179, (12, 6) = .6013055866744937, (12, 7) = -.6071216319336978, (13, 1) = .5252059891093054, (13, 2) = -.5367311431212949, (13, 3) = -.11577285556558614, (13, 4) = 0.44352419520146014e-1, (13, 5) = .6707519723642751, (13, 6) = .5808668967259533, (13, 7) = -.5739002262529861, (14, 1) = .5072310763583526, (14, 2) = -.49948942467589225, (14, 3) = -.113836968901507, (14, 4) = 0.6692621623257643e-1, (14, 5) = .6304185015498383, (14, 6) = .5614637545616503, (14, 7) = -.5443331052943612, (15, 1) = .4904191420808039, (15, 2) = -.46663169018318124, (15, 3) = -.11113120062283205, (15, 4) = 0.882475828156531e-1, (15, 5) = .5946973362482103, (15, 6) = .5429767216798966, (15, 7) = -.5177703096857598, (16, 1) = .47462847032783395, (16, 2) = -.43741237094615587, (16, 3) = -.10768980917681761, (16, 4) = .10846767050378146, (16, 5) = .5628099475659347, (16, 6) = .5253052925364996, (16, 7) = -.49370579887626914, (17, 1) = .45973994111746974, (17, 2) = -.4112440008745413, (17, 3) = -.10354099578541562, (17, 4) = .12771421698659408, (17, 5) = .5341419874792643, (17, 6) = .5083640692975898, (17, 7) = -.4717398711807749, (18, 1) = .4456524312660702, (18, 2) = -.3876575548580043, (18, 3) = -0.987075140842896e-1, (18, 4) = .14609630418834832, (18, 5) = .5082022267347898, (18, 6) = .49207972636782243, (18, 7) = -.45155255379360504, (19, 1) = .43227900759396704, (19, 2) = -.3662736309623723, (19, 3) = -0.932070026083659e-1, (19, 4) = .1637083931514831, (19, 5) = .48459265857890527, (19, 6) = .47638833270765585, (19, 7) = -.4328841497234415, (20, 1) = .41954437259728117, (20, 2) = -.34678216572683396, (20, 3) = -0.8705230179329684e-1, (20, 4) = .18063295456195466, (20, 5) = .4629874722134205, (20, 6) = .46123371189807766, (20, 7) = -.41552163184362956, (21, 1) = .40738304871718267, (21, 2) = -.32892767036417664, (21, 3) = -0.8025181273703264e-1, (21, 4) = .1969422817914571, (21, 5) = .4431177566148181, (21, 6) = .44656638757907796, (21, 7) = -.39928880193030747, (22, 1) = .3957383812536956, (22, 2) = -.31249869978237255, (22, 3) = -0.7281016245788906e-1, (22, 4) = .21269931606763323, (22, 5) = .42476063372747375, (22, 6) = .43234331147984484, (22, 7) = -.38403945114777954, (23, 1) = .3845575897267605, (23, 2) = -.29731416431452806, (23, 3) = -0.647258610678675e-1, (23, 4) = .2279639568142309, (23, 5) = .40772462385587316, (23, 6) = .41852254000091954, (23, 7) = -.36964681487130585, (24, 1) = .37379664354289055, (24, 2) = -.28322501684036205, (24, 3) = -0.5599517983139291e-1, (24, 4) = .2427861347723762, (24, 5) = .3918520439519158, (24, 6) = .405069802195059, (24, 7) = -.3560068471972505, (25, 1) = .36341537175628497, (25, 2) = -.2701033420412026, (25, 3) = -0.4660967679615468e-1, (25, 4) = .2572121554674377, (25, 5) = .37700721405190146, (25, 6) = .39195303795515646, (25, 7) = -.3430294380682383, (26, 1) = .3533770946126125, (26, 2) = -.2578389396986893, (26, 3) = -0.3655606175762054e-1, (26, 4) = .2712850292677997, (26, 5) = .36307292252881584, (26, 6) = .3791423103767972, (26, 7) = -.3306361874020015, (27, 1) = .3436508736010304, (27, 2) = -.24633953213188772, (27, 3) = -0.2581904091109644e-1, (27, 4) = .28504110605404537, (27, 5) = .3499509645976493, (27, 6) = .3666130638370115, (27, 7) = -.3187617238807888, (28, 1) = .3342083390670267, (28, 2) = -.23552476168366415, (28, 3) = -0.1437893723914758e-1, (28, 4) = .29851430859060935, (28, 5) = .33755558003287145, (28, 6) = .35434243786971953, (28, 7) = -.3073486098948925, (29, 1) = .32502443519684, (29, 2) = -.2253255020912264, (29, 3) = -0.2212880763571889e-2, (29, 4) = .3117349359672634, (29, 5) = .32581286288190825, (29, 6) = .3423104953946207, (29, 7) = -.29634737207014694, (30, 1) = .31607786546540023, (30, 2) = -.2156829331351726, (30, 3) = 0.1070379518066878e-1, (30, 4) = .324728843808106, (30, 5) = .31465989354105117, (30, 6) = .3305010849621276, (30, 7) = -.28571629053101066, (31, 1) = .3073478049653732, (31, 2) = -.2065438873825929, (31, 3) = 0.24401723478456858e-1, (31, 4) = .33752207959661373, (31, 5) = .304039516592149, (31, 6) = .3188977264061976, (31, 7) = -.2754169157752743, (32, 1) = .29881745159040424, (32, 2) = -.19786380124231495, (32, 3) = 0.3891198298875327e-1, (32, 4) = .35013561530865284, (32, 5) = .29390388011792296, (32, 6) = .3074884833376804, (32, 7) = -.26541783827718834, (33, 1) = .29047317259933714, (33, 2) = -.18960486731359524, (33, 3) = 0.54266026383219236e-1, (33, 4) = .36258639522561675, (33, 5) = .2842124423413447, (33, 6) = .29626505510184786, (33, 7) = -.2556932617203244, (34, 1) = .28230310705588524, (34, 2) = -.18173393918032565, (34, 3) = 0.7049716580583928e-1, (34, 4) = .37488926686015167, (34, 5) = .2749296363719141, (34, 6) = .2852210611168979, (34, 7) = -.2462210635577509, (35, 1) = .27429780407556603, (35, 2) = -.17422262687378032, (35, 3) = 0.8763858849715334e-1, (35, 4) = .3870559122413701, (35, 5) = .26602507525248614, (35, 6) = .2743530179070213, (35, 7) = -.2369833048528358, (36, 1) = .26645007878841165, (36, 2) = -.16704665751311357, (36, 3) = .10572246440316273, (36, 4) = .3990949249001731, (36, 5) = .2574728923416692, (36, 6) = .2636602500529938, (36, 7) = -.2279658642184645, (37, 1) = .25875557734659277, (37, 2) = -.1601859421542037, (37, 3) = .12477714314440705, (37, 4) = .41101078776726396, (37, 5) = .24925191600226893, (37, 6) = .25314574105926013, (37, 7) = -.2191589209315012, (38, 1) = .2512094376242596, (38, 2) = -.15362126746579838, (38, 3) = .14483420719255005, (38, 4) = .42280892511572515, (38, 5) = .24134177847648824, (38, 6) = .24281161292316816, (38, 7) = -.21055300577533773, (39, 1) = .2438100685063101, (39, 2) = -.14733741986174867, (39, 3) = .1659180940582039, (39, 4) = .4344897565601667, (39, 5) = .23372671477717596, (39, 6) = .23266430393009532, (39, 7) = -.2021432253147483, (40, 1) = .23655756740858105, (40, 2) = -.14132147717760368, (40, 3) = .18804805051420714, (40, 4) = .44605098876584576, (40, 5) = .22639358970698623, (40, 6) = .22271240560604702, (40, 7) = -.19392734410767049, (41, 1) = .2294527959629172, (41, 2) = -.1355618535661384, (41, 3) = .211239426287894, (41, 4) = .4574889782290803, (41, 5) = .21933078665833716, (41, 6) = .21296535700731722, (41, 7) = -.18590465201723103, (42, 1) = .22249756111172841, (42, 2) = -.13004833389409315, (42, 3) = .23550196617307032, (42, 4) = .4687983695351276, (42, 5) = .21252828358414444, (42, 6) = .20343363443866733, (42, 7) = -.17807609406978153, (43, 1) = .21569423982605018, (43, 2) = -.12477167494006297, (43, 3) = .2608398253939708, (43, 4) = .4799726300795009, (43, 5) = .20597719438448733, (43, 6) = .19412816320881474, (43, 7) = -.17044377008176909, (44, 1) = .2090456528136725, (44, 2) = -.11972344246799402, (44, 3) = .2872509358297023, (44, 4) = .49100420281898555, (44, 5) = .19966959020759237, (44, 6) = .18506006069338682, (44, 7) = -.16301071564836836, (45, 1) = .20255459512253304, (45, 2) = -.1148956147475554, (45, 3) = .3147279299901195, (45, 4) = .5018852472953027, (45, 5) = .1935980202293324, (45, 6) = .17623990793629188, (45, 7) = -.15578029883884625, (46, 1) = .19622362924938264, (46, 2) = -.11028042171087489, (46, 3) = .34325850718834033, (46, 4) = .5126079809791431, (46, 5) = .1877553133493232, (46, 6) = .1676773875746207, (46, 7) = -.14875591411024416, (47, 1) = .19005473802029896, (47, 2) = -.10587010196399801, (47, 3) = .3728268197038715, (47, 4) = .5231652841517149, (47, 5) = .18213426698507848, (47, 6) = .15938074653118098, (47, 7) = -.14194052404260726, (48, 1) = .18404958719476303, (48, 2) = -.10165710878026424, (48, 3) = .4034123048724468, (48, 4) = .5335502837116244, (48, 5) = .1767279011977732, (48, 6) = .15135709780087095, (48, 7) = -.13533687973410663, (49, 1) = .1782093093546209, (49, 2) = -0.976339646318128e-1, (49, 3) = .434990761252832, (49, 4) = .5437567517407721, (49, 5) = .17152926762281148, (49, 6) = .1436120885672883, (49, 7) = -.12894721237733586, (50, 1) = .172534243624339, (50, 2) = -0.9379309915858196e-1, (50, 3) = .46753615565531664, (50, 4) = .5537796082939569, (50, 5) = .1665312288048679, (50, 6) = .13614953718018194, (50, 7) = -.12277288786102344, (51, 1) = .16702332229465286, (51, 2) = -0.9012646774014009e-1, (51, 3) = .501025271803289, (51, 4) = .5636160898088879, (51, 5) = .16172593962052867, (51, 6) = .1289706483940657, (51, 7) = -.11681369761445241, (52, 1) = .16167636746547506, (52, 2) = -0.8662709254567018e-1, (52, 3) = .5354245937655286, (52, 4) = .5732617138385044, (52, 5) = .1571068532547171, (52, 6) = .12207703121748083, (52, 7) = -.11107030160152458, (53, 1) = .15649217188922715, (53, 2) = -0.832877606097653e-1, (53, 3) = .5707017632972221, (53, 4) = .5827137094120911, (53, 5) = .15266702144547653, (53, 6) = .11546819718098544, (53, 7) = -.10554209857792878, (54, 1) = .1514681638565417, (54, 2) = -0.8010083796586685e-1, (54, 3) = .6068296591707916, (54, 4) = .5919717359930652, (54, 5) = .1483988206956467, (54, 6) = .10914121738711419, (54, 7) = -.1002268626526667, (55, 1) = .14660160234777767, (55, 2) = -0.7705904545671184e-1, (55, 3) = .6437795928327126, (55, 4) = .6010357808561354, (55, 5) = .14429496914815607, (55, 6) = .10309232375018078, (55, 7) = -0.9512201172172534e-1, (56, 1) = .14189016294329682, (56, 2) = -0.7415579244743617e-1, (56, 3) = .6815167857151943, (56, 4) = .609905070263442, (56, 5) = .14034898646161215, (56, 6) = 0.9731766543861783e-1, (56, 7) = -0.9022519334264704e-1, (57, 1) = .13733055115840967, (57, 2) = -0.7138429207106428e-1, (57, 3) = .7200114369835326, (57, 4) = .6185806833233924, (57, 5) = .13655400028046524, (57, 6) = 0.9181164277759303e-1, (57, 7) = -0.8553282185600106e-1, (58, 1) = .13291913685185686, (58, 2) = -0.6873795031830646e-1, (58, 3) = .7592350640821742, (58, 4) = .6270644277840627, (58, 5) = .1329032634057901, (58, 6) = 0.8656778272546026e-1, (58, 7) = -0.8104075700907686e-1, (59, 1) = .1286516327741731, (59, 2) = -0.6621016059961132e-1, (59, 3) = .799164460031636, (59, 4) = .6353595080809519, (59, 5) = .12938986575267097, (59, 6) = 0.8157844377519083e-1, (59, 7) = -0.7674399557867947e-1, (60, 1) = .12452430619411357, (60, 2) = -0.6379500379743547e-1, (60, 3) = .839771230939577, (60, 4) = .6434682068578423, (60, 5) = .12600770681463422, (60, 6) = 0.7683631058969256e-1, (60, 7) = -0.7263791038699614e-1, (61, 1) = .12053332346250112, (61, 2) = -0.6148682506048283e-1, (61, 3) = .8810276084176722, (61, 4) = .6513931420513931, (61, 5) = .12275092222076696, (61, 6) = 0.723336551457202e-1, (61, 7) = -0.687175841247968e-1, (62, 1) = .11667438654168381, (62, 2) = -0.5928000637071922e-1, (62, 3) = .9229109557024708, (62, 4) = .6591380172829979, (62, 5) = .11961356381867923, (62, 6) = 0.6806199777754275e-1, (62, 7) = -0.6497747609164842e-1, (63, 1) = .11294298648362892, (63, 2) = -0.57169100695410174e-1, (63, 3) = .9654023076310734, (63, 4) = .6667071615807357, (63, 5) = .11658978562213738, (63, 6) = 0.6401247882339202e-1, (63, 7) = -0.6141170855360152e-1, (64, 1) = .10933506387603534, (64, 2) = -0.5514918379084914e-1, (64, 3) = 1.0084792288200035, (64, 4) = .674104198640308, (64, 5) = .11367435428569851, (64, 6) = 0.6017662590041298e-1, (64, 7) = -0.58014717648254485e-1, (65, 1) = .10584689988050607, (65, 2) = -0.53215760915675155e-1, (65, 3) = 1.0521163069669728, (65, 4) = .6813322323771271, (65, 5) = .11086253363996139, (65, 6) = 0.5654623868694521e-1, (65, 7) = -0.5478114175121917e-1, (66, 1) = .10247421278276006, (66, 2) = -0.51364246219493405e-1, (66, 3) = 1.0962965827078632, (66, 4) = .6883957184775215, (66, 5) = .10814933543258673, (66, 6) = 0.5311248462877352e-1, (66, 7) = -0.51704999820689775e-1, (67, 1) = 0.9921290988322891e-1, (67, 2) = -0.4959036780155851e-1, (67, 3) = 1.141003046528324, (67, 4) = .6952989342332647, (67, 5) = .1055301079545874, (67, 6) = 0.4986674411817201e-1, (67, 7) = -0.4878042451768817e-1, (68, 1) = 0.9605911922500847e-1, (68, 2) = -0.4789016423374489e-1, (68, 3) = 1.186218001626672, (68, 4) = .7020458967717208, (68, 5) = .10300054210288584, (68, 6) = 0.4680065855233838e-1, (68, 7) = -0.4600169882505357e-1, (69, 1) = 0.9300918118628577e-1, (69, 2) = -0.4625996072380607e-1, (69, 3) = 1.2319228849172166, (69, 4) = .7086403636416022, (69, 5) = .10055664721832, (69, 6) = 0.4390613308737576e-1, (69, 7) = -0.4336325445354654e-1, (70, 1) = 0.9005963726896335e-1, (70, 2) = -0.44696345792792136e-1, (70, 3) = 1.2780981239439666, (70, 4) = .715085840088841, (70, 5) = 0.9819472668269251e-1, (70, 6) = 0.4117533490884553e-1, (70, 7) = -0.4085966769265928e-1, (71, 1) = 0.8720662809616934e-1, (71, 2) = -0.43195840295262154e-1, (71, 3) = 1.3247328641656022, (71, 4) = .7213868990604615, (71, 5) = 0.959108824037368e-1, (71, 6) = 0.3860016386916169e-1, (71, 7) = -0.3848516856421221e-1, (72, 1) = 0.8444665201022808e-1, (72, 2) = -0.417552894446388e-1, (72, 3) = 1.3718135605563158, (72, 4) = .7275475329006473, (72, 5) = 0.9370160979020452e-1, (72, 6) = 0.3617298491606246e-1, (72, 7) = -0.36234307802151734e-1, (73, 1) = 0.8177634831364401e-1, (73, 2) = -0.4037173402203197e-1, (73, 3) = 1.419327053967124, (73, 4) = .7335716098404168, (73, 5) = 0.9156361245610806e-1, (73, 6) = 0.33886428452975216e-1, (73, 7) = -0.3410177625172606e-1, (74, 1) = 0.7919244512824229e-1, (74, 2) = -0.3904237227030642e-1, (74, 3) = 1.4672614347298802, (74, 4) = .7394629834350771, (74, 5) = 0.8949375010756808e-1, (74, 6) = 0.3173335356974858e-1, (74, 7) = -0.3208237199793818e-1, (75, 1) = 0.766917452786738e-1, (75, 2) = -0.3776454319644946e-1, (75, 3) = 1.5156063797855175, (75, 4) = .7452255211846236, (75, 5) = 0.8748901780777456e-1, (75, 6) = 0.29706846489508134e-1, (75, 7) = -0.30171000378395537e-1, (76, 1) = 0.7427108666571063e-1, (76, 2) = -0.3653569801566861e-1, (76, 3) = 1.56435407644909, (76, 4) = .7508631948003112, (76, 5) = 0.8554650554414327e-1, (76, 6) = 0.2780019888614298e-1, (76, 7) = -0.2836265544217905e-1, (77, 1) = 0.7192722598819627e-1, (77, 2) = -0.35353334471828785e-1, (77, 3) = 1.6135019844319525, (77, 4) = .7563803576967835, (77, 5) = 0.8366329666302517e-1, (77, 6) = 0.26006831606669372e-1, (77, 7) = -0.26652349069398753e-1, (78, 1) = 0.6965652211426684e-1, (78, 2) = -0.34214833644028164e-1, (78, 3) = 1.6630606783505262, (78, 4) = .7617825194247292, (78, 5) = 0.818362046768005e-1, (78, 6) = 0.24320085139015783e-1, (78, 7) = -0.25034910053607307e-1, (79, 1) = 0.6745415227431711e-1, (79, 2) = -0.33117070324267625e-1, (79, 3) = 1.713074277652851, (79, 4) = .7670782989058776, (79, 5) = 0.8006113071928549e-1, (79, 6) = 0.22732717743348157e-1, (79, 7) = -0.23504494462123514e-1, (80, 1) = 0.653174926532069e-1, (80, 2) = -0.3205809437838403e-1, (80, 3) = 1.7635451239012367, (80, 4) = .7722713266005171, (80, 5) = 0.7833577907306599e-1, (80, 6) = 0.21239367364873103e-1, (80, 7) = -0.22056961396677732e-1, (81, 1) = 0.6324618571466564e-1, (81, 2) = -0.31037127966861342e-1, (81, 3) = 1.8144226145450653, (81, 4) = .7773598019042196, (81, 5) = 0.766597219644611e-1, (81, 6) = 0.19836363389372388e-1, (81, 7) = -0.20689736141079718e-1, (82, 1) = 0.6123998503307529e-1, (82, 2) = -0.3005347880465721e-1, (82, 3) = 1.8656485564000036, (82, 4) = .7823415773762875, (82, 5) = 0.7503266612459865e-1, (82, 6) = 0.18520102723197866e-1, (82, 7) = -0.1940025706534461e-1, (83, 1) = 0.5929737180297433e-1, (83, 2) = -0.2910586428826123e-1, (83, 3) = 1.9171937834263597, (83, 4) = .787217633956304, (83, 5) = 0.7345332619263635e-1, (83, 6) = 0.17286186479976352e-1, (83, 7) = -0.181851232611352e-1, (84, 1) = 0.5741655133464861e-1, (84, 2) = -0.28192907817684805e-1, (84, 3) = 1.9690365465074622, (84, 4) = .7919897115240078, (84, 5) = 0.7192022274910066e-1, (84, 6) = 0.16130164422757658e-1, (84, 7) = -0.17040811610716092e-1, (85, 1) = 0.555951180848402e-1, (85, 2) = -0.27312978136185835e-1, (85, 3) = 2.021173890970974, (85, 4) = .7966612137325211, (85, 5) = 0.7043140181072279e-1, (85, 6) = 0.15047373779686386e-1, (85, 7) = -0.15963513643715645e-1, (86, 1) = 0.53830960098087494e-1, (86, 2) = -0.2646462746652903e-1, (86, 3) = 2.0735978784815954, (86, 4) = .8012349398472144, (86, 5) = 0.6898516657212175e-1, (86, 6) = 0.1403351479043102e-1, (86, 7) = -0.14949706357927807e-1, (87, 1) = 0.521220691902015e-1, (87, 2) = -0.25646494959249203e-1, (87, 3) = 2.1263003114377943, (87, 4) = .8057135493898496, (87, 5) = 0.6757992094013747e-1, (87, 6) = 0.13084520237125303e-1, (87, 7) = -0.139960292467264e-1, (88, 1) = 0.50466495504684544e-1, (88, 2) = -0.2485728164590901e-1, (88, 3) = 2.1792739683535407, (88, 4) = .810099673559902, (88, 5) = 0.662141300173103e-1, (88, 6) = 0.12196523093985182e-1, (88, 7) = -0.13099256789703594e-1, (89, 1) = 0.4886235775707648e-1, (89, 2) = -0.24095752574361837e-1, (89, 3) = 2.2325122557439467, (89, 4) = .81439588423751, (89, 5) = 0.6488632633494537e-1, (89, 6) = 0.11365857148876791e-1, (89, 7) = -0.12256303574946446e-1, (90, 1) = 0.47307845059216785e-1, (90, 2) = -0.23360735056253266e-1, (90, 3) = 2.2860090697577875, (90, 4) = .8186046839450801, (90, 5) = 0.6359510950556727e-1, (90, 6) = 0.1058905185381353e-1, (90, 7) = -0.11464223580929493e-1, (91, 1) = 0.4580121666136627e-1, (91, 2) = -0.2265111611151706e-1, (91, 3) = 2.3397587042276045, (91, 4) = .8227285009951595, (91, 5) = 0.6233914441576576e-1, (91, 6) = 0.9862825614015936e-2, (91, 7) = -0.107202077302794e-1, (92, 1) = 0.4434080733778398e-1, (92, 2) = -0.2196584274078579e-1, (92, 3) = 2.393755530962878, (92, 4) = .8267696687449231, (92, 5) = 0.61117164378142505e-1, (92, 6) = 0.9184081388015965e-2, (92, 7) = -0.10021583648716392e-1, (93, 1) = 0.42925145853717636e-1, (93, 2) = -0.2130397508619256e-1, (93, 3) = 2.4479892081920704, (93, 4) = .8307300855152587, (93, 5) = 0.5992806977704981e-1, (93, 6) = 0.8549951249578833e-2, (93, 7) = -0.9365866049369924e-2, (94, 1) = 0.4155262130359708e-1, (94, 2) = -0.2066452832678662e-1, (94, 3) = 2.502457135574029, (94, 4) = .8346121380272766, (94, 5) = 0.5877064728357242e-1, (94, 6) = 0.7957637886648394e-2, (94, 7) = -0.8750596954165865e-2, (95, 1) = 0.40221673082686e-1, (95, 2) = -0.20046560655054453e-1, (95, 3) = 2.5571577851500775, (95, 4) = .8384181810565843, (95, 5) = 0.57643726773201474e-1, (95, 6) = 0.7404501824848323e-2, (95, 7) = -0.8173438423547898e-2, (96, 1) = 0.3893093363217918e-1, (96, 2) = -0.19449237677365155e-1, (96, 3) = 2.6120844990926924, (96, 4) = .8421501190891273, (96, 5) = 0.5654630194311316e-1, (96, 6) = 0.6888111282844666e-2, (96, 7) = -0.7632228495991538e-2, (97, 1) = 0.3767913294059378e-1, (97, 2) = -0.1887178595166975e-1, (97, 3) = 2.667228654188966, (97, 4) = .8458096605035292, (97, 5) = 0.5547745035158284e-1, (97, 6) = 0.64061892384546576e-2, (97, 7) = -0.7124930043201029e-2, (98, 1) = 0.36464855030914144e-1, (98, 2) = -0.18313379572760476e-1, (98, 3) = 2.7225904821560354, (98, 4) = .8493990293787306, (98, 5) = 0.5443612442522976e-1, (98, 6) = 0.59565158905427445e-2, (98, 7) = -0.6649530877556062e-2, (99, 1) = 0.35287129676639724e-1, (99, 2) = -0.17773411236805755e-1, (99, 3) = 2.7781521098313138, (99, 4) = .8529192148774755, (99, 5) = 0.5342165809334678e-1, (99, 6) = 0.5537143446706783e-2, (99, 7) = -0.6204273518435405e-2, (100, 1) = 0.3414448775408405e-1, (100, 2) = -0.17251057251932208e-1, (100, 3) = 2.8339211154523043, (100, 4) = .8563727717832911, (100, 5) = 0.52432954840383246e-1, (100, 6) = 0.5146045985976234e-2, (100, 7) = -0.5787287135105179e-2, (101, 1) = 0.3303572907131051e-1, (101, 2) = -0.16745629644977163e-1, (101, 3) = 2.8898955064608667, (101, 4) = .8597615482839938, (101, 5) = 0.51469145618834776e-1, (101, 6) = 0.4781398495554278e-2, (101, 7) = -0.5396885129046895e-2, (102, 1) = 0.3195981073286776e-1, (102, 2) = -0.16256523054212938e-1, (102, 3) = 2.94606770601317, (102, 4) = .8630869913915394, (102, 5) = 0.5052949522528311e-1, (102, 6) = 0.4441521516255529e-2, (102, 7) = -0.5031509922179083e-2, (103, 1) = 0.30915598137938833e-1, (103, 2) = -0.15783100427777905e-1, (103, 3) = 3.002437108550583, (103, 4) = .8663509059017817, (103, 5) = 0.49613185415921565e-1, (103, 6) = 0.4124794717803363e-2, (103, 7) = -0.4689642631979475e-2, (104, 1) = 0.29901970845921482e-1, (104, 2) = -0.15324740843082107e-1, (104, 3) = 3.0590051626175123, (104, 4) = .8695551374490673, (104, 5) = 0.487194055183293e-1, (104, 6) = 0.3829690331967739e-2, (104, 7) = -0.4369840628700971e-2, (105, 1) = 0.2891817845755974e-1, (105, 2) = -0.14880999220591645e-1, (105, 3) = 3.1157546708604014, (105, 4) = .8727004295170955, (105, 5) = 0.47847667825719004e-1, (105, 6) = 0.3554866924305937e-2, (105, 7) = -0.40708417306626115e-2, (106, 1) = 0.27963163270254478e-1, (106, 2) = -0.1445129941189121e-1, (106, 3) = 3.1726875343071246, (106, 4) = .8757885621654562, (106, 5) = 0.4699721013074634e-1, (106, 6) = 0.3298968129327067e-2, (106, 7) = -0.3791347889312316e-2, (107, 1) = 0.27036054474744546e-1, (107, 2) = -0.1403515704995601e-1, (107, 3) = 3.2297970324116263, (107, 4) = .8788207857953696, (107, 5) = 0.46167431512408715e-1, (107, 6) = 0.30607620642720077e-2, (107, 7) = -0.35301779967586255e-2, (108, 1) = 0.26135990182439874e-1, (108, 2) = -0.136320985542424e-1, (108, 3) = 3.287077717628753, (108, 4) = .8817983817939085, (108, 5) = 0.45357735223466554e-1, (108, 6) = 0.2839085862681523e-2, (108, 7) = -0.3286209314341815e-2, (109, 1) = 0.25262050106508706e-1, (109, 2) = -0.13241630697811596e-1, (109, 3) = 3.3445300453631157, (109, 4) = .8847228903452787, (109, 5) = 0.44567467123514615e-1, (109, 6) = 0.26328275024835607e-2, (109, 7) = -0.30583587722556906e-2, (110, 1) = 0.24413349314602834e-1, (110, 2) = -0.12863282318672776e-1, (110, 3) = 3.4021547804570993, (110, 4) = .887595805636143, (110, 5) = 0.437959990098312e-1, (110, 6) = 0.24409471805914122e-2, (110, 7) = -0.2845607745492162e-2, (111, 1) = 0.23589143691971477e-1, (111, 2) = -0.12496650693252929e-1, (111, 3) = 3.459945373101773, (111, 4) = .8904182090864114, (111, 5) = 0.430428253565388e-1, (111, 6) = 0.22624955246276683e-2, (111, 7) = -0.2647023818928518e-2, (112, 1) = 0.22788544500633067e-1, (112, 2) = -0.12141274016994663e-1, (112, 3) = 3.517907612668944, (112, 4) = .8931917390779196, (112, 5) = 0.4230730313112941e-1, (112, 6) = 0.20965469627233866e-2, (112, 7) = -0.2461688048783101e-2, (113, 1) = 0.2201092154264269e-1, (113, 2) = -0.1179681022215186e-1, (113, 3) = 3.576030939938064, (113, 4) = .8959172018453189, (113, 5) = 0.4158902099552602e-1, (113, 6) = 0.19422823318737763e-2, (113, 7) = -0.228878818143032e-2, (114, 1) = 0.2125560521689302e-1, (114, 2) = -0.11462903989906546e-1, (114, 3) = 3.6343089625327116, (114, 4) = .8985955842843032, (114, 5) = 0.4088752771952661e-1, (114, 6) = 0.17989202787508094e-2, (114, 7) = -0.21275434552632607e-2, (115, 1) = 0.20521859851746347e-1, (115, 2) = -0.11139174973080628e-1, (115, 3) = 3.6927422713816003, (115, 4) = .901228160676181, (115, 5) = 0.40202305706456845e-1, (115, 6) = 0.16657125158263998e-2, (115, 7) = -0.1977199961864016e-2, (116, 1) = 0.19809007610044085e-1, (116, 2) = -0.10825272392179685e-1, (116, 3) = 3.7513291524005035, (116, 4) = .9038160568685645, (116, 5) = 0.3953288543830951e-1, (116, 6) = 0.15419656732920172e-2, (116, 7) = -0.18370560679884847e-2, (117, 1) = 0.19116459219134217e-1, (117, 2) = -0.10520888096597018e-1, (117, 3) = 3.8100624347040353, (117, 4) = .9063601272182191, (117, 5) = 0.38878875566455126e-1, (117, 6) = 0.14270421589284107e-2, (117, 7) = -0.1706464442997396e-2, (118, 1) = 0.1844353362888209e-1, (118, 2) = -0.10225676992181737e-1, (118, 3) = 3.868944547638398, (118, 4) = .9088616122353441, (118, 5) = 0.38239793038485445e-1, (118, 6) = 0.13203272362793043e-2, (118, 7) = -0.15847955131765516e-2, (119, 1) = 0.17789709594853653e-1, (119, 2) = -0.9939367324640893e-2, (119, 3) = 3.9279659277100545, (119, 4) = .9113212093702816, (119, 5) = 0.376153011508749e-1, (119, 6) = 0.12212679341659727e-2, (119, 7) = -0.14714824659729727e-2, (120, 1) = 0.1715434821401846e-1, (120, 2) = -0.966163872941871e-2, (120, 3) = 3.9871292234576647, (120, 4) = .9137401023351425, (120, 5) = 0.3700494616750579e-1, (120, 6) = 0.11293267277753402e-2, (120, 7) = -0.1365969153112434e-2, (121, 1) = 0.1653686685477603e-1, (121, 2) = -0.9392198385188308e-2, (121, 3) = 4.046434233913541, (121, 4) = .9161193161473176, (121, 5) = 0.3640832219382344e-1, (121, 6) = 0.10440074614222617e-2, (121, 7) = -0.12677402606956771e-2, (122, 1) = 0.1593672984453655e-1, (122, 2) = -0.9130776619449235e-2, (122, 3) = 4.105878254180306, (122, 4) = .918459743389031, (122, 5) = 0.3582506324812699e-1, (122, 6) = 0.9648508034309002e-3, (122, 7) = -0.11763168046591919e-2, (123, 1) = 0.15353456370083519e-1, (123, 2) = -0.8877130053322135e-2, (123, 3) = 4.165454756028964, (123, 4) = .9207621042586911, (123, 5) = 0.3525485195379574e-1, (123, 6) = 0.8914323837445772e-3, (123, 7) = -0.10912546315821271e-2, (124, 1) = 0.14786605499051348e-1, (124, 2) = -0.8631034803741748e-2, (124, 3) = 4.2251543164998395, (124, 4) = .9230269958510547, (124, 5) = 0.3469740599658427e-1, (124, 6) = 0.8233581730263291e-3, (124, 7) = -0.10121396610135644e-2, (125, 1) = 0.1423560509441761e-1, (125, 2) = -0.8392212157745564e-2, (125, 3) = 4.28498299546985, (125, 4) = .925255580609136, (125, 5) = 0.34152309214020814e-1, (125, 6) = 0.760243103053324e-3, (125, 7) = -0.938563455856944e-3, (126, 1) = 0.1369997590376947e-1, (126, 2) = -0.8160425838712085e-2, (126, 3) = 4.344939248308072, (126, 4) = .9274486979359966, (126, 5) = 0.33619231067228195e-1, (126, 6) = 0.7017373197944904e-3, (126, 7) = -0.8701541170718898e-3, (127, 1) = 0.13179260839270365e-1, (127, 2) = -0.7935451067583034e-2, (127, 3) = 4.405020871401772, (127, 4) = .9296071384367649, (127, 5) = 0.3309785803833924e-1, (127, 6) = 0.6475153511061355e-3, (127, 7) = -0.8065641728294864e-3, (128, 1) = 0.12673016774717254e-1, (128, 2) = -0.7717070876205519e-2, (128, 3) = 4.465225806438151, (128, 4) = .9317316751472142, (128, 5) = 0.3258788569860931e-1, (128, 6) = 0.5972736864292357e-3, (128, 7) = -0.7474681438722301e-3, (129, 1) = 0.12180814856644654e-1, (129, 2) = -0.7505076125168032e-2, (129, 3) = 4.525552047703438, (129, 4) = .9338230607702328, (129, 5) = 0.32089019152014744e-1, (129, 6) = 0.5507294602302875e-3, (129, 7) = -0.6925613591197516e-3, (130, 1) = 0.11702239989818099e-1, (130, 2) = -0.7299265171632634e-2, (130, 3) = 4.585997640127296, (130, 4) = .9358820282972874, (130, 5) = 0.31600972661932875e-1, (130, 6) = 0.5076191202028123e-3, (130, 7) = -0.6415587231086209e-3, (131, 1) = 0.11236890371623526e-1, (131, 2) = -0.7099443565783825e-2, (131, 3) = 4.64656067373754, (131, 4) = .9379092914859827, (131, 5) = 0.31123469324561948e-1, (131, 6) = 0.4676971775487788e-3, (131, 7) = -0.5941935510054997e-3, (132, 1) = 0.107843770107237e-1, (132, 2) = -0.6905423747524692e-2, (132, 3) = 4.707239282407291, (132, 4) = .9399055454663998, (132, 5) = 0.30656240723360338e-1, (132, 6) = 0.43073502924570906e-3, (132, 7) = -0.5502164615731298e-3, (133, 1) = 0.10344323263119098e-1, (133, 2) = -0.6717024757245861e-2, (133, 3) = 4.76803164308303, (133, 4) = .9418714673375305, (133, 5) = 0.30199026597440937e-1, (133, 6) = 0.39651985188484193e-3, (133, 7) = -0.5093943297131232e-3, (134, 1) = 0.991636438458679e-2, (134, 2) = -0.6534071959760502e-2, (134, 3) = 4.828935975581054, (134, 4) = .9438077167561614, (134, 5) = 0.29751574522758853e-1, (134, 6) = 0.36485356319130105e-3, (134, 7) = -0.4715092959902402e-3, (135, 1) = 0.9500147114831702e-2, (135, 2) = -0.6356396787514922e-2, (135, 3) = 4.889950540624614, (135, 4) = .9457149364454033, (135, 5) = 0.2931363962219971e-1, (135, 6) = 0.3355518486277446e-3, (135, 7) = -0.43635783194643206e-3, (136, 1) = 0.9095329261754777e-2, (136, 2) = -0.61838364891480474e-2, (136, 3) = 4.9510736404235836, (136, 4) = .947593752761815, (136, 5) = 0.28884984271701088e-1, (136, 6) = 0.30844324714459726e-3, (136, 7) = -0.4037498558821582e-3, (137, 1) = 0.870157925505246e-2, (137, 2) = -0.601623387000051e-2, (137, 3) = 5.012303627058391, (137, 4) = .9494447764708851, (137, 5) = 0.28465377768764184e-1, (137, 6) = 0.28336829120570266e-3, (137, 7) = -0.3735078948773748e-3, (138, 1) = 0.8318575781930621e-2, (138, 2) = -0.5853437072325423e-2, (138, 3) = 5.0736389017910835, (138, 4) = .9512686032079182, (138, 5) = 0.280545960825053e-1, (138, 6) = 0.2601787055173408e-3, (138, 7) = -0.34546629992478233e-3, (139, 1) = 0.7946007389342705e-2, (139, 2) = -0.5695299345566016e-2, (139, 3) = 5.135077922433506, (139, 4) = .9530658141549968, (139, 5) = 0.276524215633124e-1, (139, 6) = 0.2387366533987117e-3, (139, 7) = -0.31947050232195343e-3, (140, 1) = 0.7583572174809846e-2, (140, 2) = -0.554167885830191e-2, (140, 3) = 5.196619199286618, (140, 4) = .9548369763523616, (140, 5) = 0.27258642742879598e-1, (140, 6) = 0.21891403538176765e-3, (140, 7) = -0.2953763182049148e-3, (141, 1) = 0.7230977493355699e-2, (141, 2) = -0.5392438520624993e-2, (141, 3) = 5.258261289858421, (141, 4) = .9565826429700981, (141, 5) = 0.2687305414886625e-1, (141, 6) = 0.20059183213151456e-3, (141, 7) = -0.27304929294300013e-3, (142, 1) = 0.6887939715010858e-2, (142, 2) = -0.52474458312329955e-2, (142, 3) = 5.320002785774653, (142, 4) = .958303353361792, (142, 5) = 0.26495456172530026e-1, (142, 6) = 0.1836594907879038e-3, (142, 7) = -0.252364085464996e-3, (143, 1) = 0.6554183880220243e-2, (143, 2) = -0.5106572684456149e-2, (143, 3) = 5.381842318957145, (143, 4) = .9599996336604034, (143, 5) = 0.26125654821718747e-1, (143, 6) = 0.1680143447380809e-3, (143, 7) = -0.23320388139026565e-3, (144, 1) = 0.6229443363023987e-2, (144, 2) = -0.496969518374495e-2, (144, 3) = 5.44377856989792, (144, 4) = .961671997397204, (144, 5) = 0.25763461476510423e-1, (144, 6) = 0.15356107126225863e-3, (144, 7) = -0.21545984131697018e-3, (145, 1) = 0.59134596103730345e-2, (145, 2) = -0.4836693490181476e-2, (145, 3) = 5.505810264587283, (145, 4) = .963320945785362, (145, 5) = 0.2540869272435785e-1, (145, 6) = 0.14021118760005577e-3, (145, 7) = -0.1990305859062199e-3, (146, 1) = 0.5605981879431755e-2, (146, 2) = -0.4707451672732042e-2, (146, 3) = 5.56793617351249, (146, 4) = .9649469680512343, (146, 5) = 0.2506117018958842e-1, (146, 6) = 0.12788257922406355e-3, (146, 7) = -0.1838217110432586e-3, (147, 1) = 0.53067669906432515e-2, (147, 2) = -0.4581857567572001e-2, (147, 3) = 5.630155109349184, (147, 4) = .9665505417213073, (147, 5) = 0.24720720377034513e-1, (147, 6) = 0.11649905921041561e-3, (147, 7) = -0.16974533250776132e-3, (148, 1) = 0.5015579091342034e-2, (148, 2) = -0.4459802644110297e-2, (148, 3) = 5.692465924121744, (148, 4) = .9681321328883635, (148, 5) = 0.2438717452423778e-1, (148, 6) = 0.10598995658033662e-3, (148, 7) = -0.1567196582818594e-3, (149, 1) = 0.4732189454943598e-2, (149, 2) = -0.4341181888026249e-2, (149, 3) = 5.754867500071219, (149, 4) = .9696921963155168, (149, 5) = 0.24060368491380577e-1, (149, 6) = 0.9628973268058946e-4, (149, 7) = -0.1446685880441674e-3, (150, 1) = 0.445637619497772e-2, (150, 2) = -0.4225893650637279e-2, (150, 3) = 5.81735876065353, (150, 4) = .9712311760403447, (150, 5) = 0.23740142549888144e-1, (150, 6) = 0.8733761981190855e-4, (150, 7) = -0.13352133330447443e-3, (151, 1) = 0.4187924050803135e-2, (151, 2) = -0.4113839530268126e-2, (151, 3) = 5.879938668714196, (151, 4) = .9727495056336701, (151, 5) = 0.2342634124862383e-1, (151, 6) = 0.7907728636528507e-4, (151, 7) = -0.1232120640465816e-3, (152, 1) = 0.3926624184068294e-2, (152, 2) = -0.4004924259857473e-2, (152, 3) = 5.942606223760687, (152, 4) = .9742476084300418, (152, 5) = 0.23118813289296117e-1, (152, 6) = 0.714565244479042e-4, (152, 7) = -0.11367957746503508e-3, (153, 1) = 0.36722739675628595e-2, (153, 2) = -0.3899055593040416e-2, (153, 3) = 6.005360462681993, (153, 4) = .9757258978340067, (153, 5) = 0.22817411389538758e-1, (153, 6) = 0.6442695807953464e-4, (153, 7) = -0.10486698691294358e-3, (154, 1) = 0.3424676781951572e-2, (154, 2) = -0.37961441950964078e-2, (154, 3) = 6.068200460574128, (154, 4) = .9771847776170947, (154, 5) = 0.22521992151470806e-1, (154, 6) = 0.5794377119218636e-4, (154, 7) = -0.967214305737495e-4, (155, 1) = 0.318364182773534e-2, (155, 2) = -0.36961035417064788e-2, (155, 3) = 6.131125329639266, (155, 4) = .9786246421596811, (155, 5) = 0.22232415944730063e-1, (155, 6) = 0.51965454344558085e-4, (155, 7) = -0.8919379893818854e-4, (156, 1) = 0.29489839668066916e-2, (156, 2) = -0.3598849831342047e-2, (156, 3) = 6.194134211754286, (156, 4) = .9800458765440385, (156, 5) = 0.21948546822007864e-1, (156, 6) = 0.4645356922033489e-4, (156, 7) = -0.8223848033365505e-4, (157, 1) = 0.2720523479792377e-2, (157, 2) = -0.3504301864036683e-2, (157, 3) = 6.257226295253834, (157, 4) = .9814488571872236, (157, 5) = 0.21670252329442523e-1, (157, 6) = 0.41372527148834515e-4, (157, 7) = -0.7581312014106669e-4, (158, 1) = 0.24994622622722487e-2, (158, 2) = -0.34129493089673224e-2, (158, 3) = 6.320004429362408, (158, 4) = .9828253219279554, (158, 5) = 0.21399097573883887e-1, (158, 6) = 0.3671757453856597e-4, (158, 7) = -0.6991415932376671e-4, (159, 1) = 0.22914438569439223e-2, (159, 2) = -0.33271103446682673e-2, (159, 3) = 6.380714359223117, (159, 4) = .9841383236747088, (159, 5) = 0.21142196023966428e-1, (159, 6) = 0.3256657044189625e-4, (159, 7) = -0.6464305200947549e-4, (160, 1) = 0.2096764977130119e-2, (160, 2) = -0.3246888216871749e-2, (160, 3) = 6.439041851800582, (160, 4) = .985383387995297, (160, 5) = 0.209001807532975e-1, (160, 6) = 0.28878429537552865e-4, (160, 7) = -0.5995056210962825e-4, (161, 1) = 0.19142542422758073e-2, (161, 2) = -0.31717820489926096e-2, (161, 3) = 6.4951157087198235, (161, 4) = .9865655002073301, (161, 5) = 0.2067184982425839e-1, (161, 6) = 0.25589568107955412e-4, (161, 7) = -0.5575831327685825e-4, (162, 1) = 0.17427142743147398e-2, (162, 2) = -0.3101283157089607e-2, (162, 3) = 6.5491051323901015, (162, 4) = .9876901928502866, (162, 5) = 0.20455929268952944e-1, (162, 6) = 0.2264398415019256e-4, (162, 7) = -0.51996993884276855e-4, (163, 1) = 0.15811015363619964e-2, (163, 2) = -0.3034948752530318e-2, (163, 3) = 6.601162057284735, (163, 4) = .9887623477334817, (163, 5) = 0.2025130191646246e-1, (163, 6) = 0.19995149287787638e-4, (163, 7) = -0.4860889607355352e-4, (164, 1) = 0.14285079524789714e-2, (164, 2) = -0.29723938930752585e-2, (164, 3) = 6.651421488871508, (164, 4) = .9897862525363109, (164, 5) = 0.20056990944072855e-1, (164, 6) = 0.17604241683083722e-4, (164, 7) = -0.45545777125153235e-4, (165, 1) = 0.12841380601209408e-2, (165, 2) = -0.29132816972746683e-2, (165, 3) = 6.7000042676403915, (165, 4) = .9907656989607102, (165, 5) = 0.19872136498653162e-1, (165, 6) = 0.15438635568661184e-4, (165, 7) = -0.427670184725108e-4, (166, 1) = 0.11472903267585523e-2, (166, 2) = -0.28573153562169145e-2, (166, 3) = 6.747019454806988, (166, 4) = .9917040645449797, (166, 5) = 0.1969597641041645e-1, (166, 6) = 0.13470724780140474e-4, (166, 7) = -0.4023818885023187e-4, (167, 1) = 0.10173434606982944e-2, (167, 2) = -0.28042322593080844e-2, (167, 3) = 6.792565807285179, (167, 4) = .9926043695551816, (167, 5) = 0.19527832369525187e-1, (167, 6) = 0.1167702161571815e-4, (167, 7) = -0.37929943037897354e-4, (168, 1) = 0.893745064050563e-3, (168, 2) = -0.2753799130211681e-2, (168, 3) = 6.836733031901551, (168, 4) = .9934693246139872, (168, 5) = 0.19367098410542075e-1, (168, 6) = 0.10037439121625286e-4, (168, 7) = -0.358171430611698e-4, (169, 1) = 0.776002178705785e-3, (169, 2) = -0.27058079781715864e-2, (169, 3) = 6.879602854428295, (169, 4) = .9943013707458818, (169, 5) = 0.19213231273768283e-1, (169, 6) = 0.8534715422939233e-5, (169, 7) = -0.3387815201610202e-4, (170, 1) = 0.6636729006810244e-3, (170, 2) = -0.26600725198970194e-2, (170, 3) = 6.921250108704328, (170, 4) = .9951027165532491, (170, 5) = 0.19065741682178818e-1, (170, 6) = 0.7153943222488218e-5, (170, 7) = -0.3209425552245678e-4, (171, 1) = 0.5563591652951864e-3, (171, 2) = -0.26164251077657906e-2, (171, 3) = 6.961743745577525, (171, 4) = .995875371044721, (171, 5) = 0.18924186748013903e-1, (171, 6) = 0.5882186619569889e-5, (171, 7) = -0.30449189658006313e-4, (172, 1) = 0.453703968041812e-3, (172, 2) = -0.25747154845888296e-2, (172, 3) = 7.001146434242757, (172, 4) = .9966211475552713, (172, 5) = 0.18788167920810266e-1, (172, 6) = 0.4708206273295691e-5, (172, 7) = -0.2892880415481513e-4, (173, 1) = 0.3553847160599982e-3, (173, 2) = -0.2534807981217631e-2, (173, 3) = 7.039515816735961, (173, 4) = .9973416977524165, (173, 5) = 0.18657323601527533e-1, (173, 6) = 0.3622181416110171e-5, (173, 7) = -0.2752071779279574e-4, (174, 1) = 0.2611089567921044e-3, (174, 2) = -0.24965796986488663e-2, (174, 3) = 7.076905087185851, (174, 4) = .9980385309827882, (174, 5) = 0.18531324646632825e-1, (174, 6) = 0.26154980864484428e-5, (174, 7) = -0.26214056372779796e-4, (175, 1) = 0.17061087792577472e-3, (175, 2) = -0.24599190164938103e-2, (175, 3) = 7.11336343575653, (175, 4) = .9987130298125714, (175, 5) = 0.18409870712982543e-1, (175, 6) = 0.16805750903788004e-5, (175, 7) = -0.24999237164889492e-4, (176, 1) = 0.8364828755175267e-4, (176, 2) = -0.2424724307108064e-2, (176, 3) = 7.14893643929275, (176, 4) = .999366463543249, (176, 5) = 0.18292687091506932e-1, (176, 6) = 0.8107185795194192e-6, (176, 7) = -0.2386778854087962e-4, (177, 1) = .0, (177, 2) = -0.23909028232950774e-2, (177, 3) = 7.183666405720363, (177, 4) = 1.0, (177, 5) = 0.18179521955803843e-1, (177, 6) = .0, (177, 7) = -0.22812198384621496e-4}, datatype = float[8], order = C_order); YP := Matrix(177, 7, {(1, 1) = -3.010283491881195, (1, 2) = 31.045172730586398, (1, 3) = -.5, (1, 4) = 3.2549705904755624, (1, 5) = -32.059040670468, (1, 6) = -2.2961168243517345, (1, 7) = 21.039081978077707, (2, 1) = -2.2188140910266996, (2, 2) = 17.121944106176148, (2, 3) = -.40370802709261644, (2, 4) = 2.4361750640983972, (2, 5) = -17.75186646531459, (2, 6) = -1.7587335888496072, (2, 7) = 11.658920037134642, (3, 1) = -1.7515672684205508, (3, 2) = 10.819003914424172, (3, 3) = -.32904124123644557, (3, 4) = 1.950857483460543, (3, 5) = -11.261093047454036, (3, 6) = -1.4395391386527499, (3, 7) = 7.421516216604939, (4, 1) = -1.443419767334426, (4, 2) = 7.44431424050068, (4, 3) = -.2679158648423435, (4, 4) = 1.6295350420268857, (4, 5) = -7.77851680978251, (4, 6) = -1.2272759842281986, (4, 7) = 5.153559241304035, (5, 1) = -1.2250712603116078, (5, 2) = 5.430700205869807, (5, 3) = -.21608666124952267, (5, 4) = 1.4009694099334766, (5, 5) = -5.6962541050511355, (5, 6) = -1.0753753559802985, (5, 7) = 3.7994361725363084, (6, 1) = -1.062293032083934, (6, 2) = 4.133984345299803, (6, 3) = -.1710281829224358, (6, 4) = 1.229921365777778, (6, 5) = -4.352627257354598, (6, 6) = -.9608633361558743, (6, 7) = 2.9263023948487845, (7, 1) = -.9363094708603249, (7, 2) = 3.250582184729448, (7, 3) = -.1311332340751042, (7, 4) = 1.097033665972045, (7, 5) = -3.4354543508722934, (7, 6) = -.871143819024352, (7, 7) = 2.330460789528503, (8, 1) = -.8359113795739894, (8, 2) = 2.6218668296288925, (8, 3) = -0.9529846009910026e-1, (8, 4) = .9907326565311447, (8, 5) = -2.781433082063489, (8, 6) = -.798694055572774, (8, 7) = 1.9055546562540169, (9, 1) = -.7540307621161558, (9, 2) = 2.158655707900222, (9, 3) = -0.6274515848045818e-1, (9, 4) = .903710629210698, (9, 5) = -2.2986527950440383, (9, 6) = -.7387684103204613, (9, 7) = 1.5918036113784224, (10, 1) = -.6859732537372588, (10, 2) = 1.8075854056497922, (10, 3) = -0.3289635416421537e-1, (10, 4) = .8311070612968686, (10, 5) = -1.9320578998022346, (10, 6) = -.6882118043576506, (10, 7) = 1.3534327958638872, (11, 1) = -.6285004073713887, (11, 2) = 1.5351562401542218, (11, 3) = -0.5312156394166294e-2, (11, 4) = .7695640956343914, (11, 5) = -1.6470492909842538, (11, 6) = -.64484492277093, (11, 7) = 1.1679748738766818, (12, 1) = -.5793166470382869, (12, 2) = 1.3195281931221805, (12, 3) = 0.20345547838662725e-1, (12, 4) = .7166984974611179, (12, 5) = -1.4210468548040192, (12, 6) = -.6071216319336978, (12, 7) = 1.0207737736678706, (13, 1) = -.5367311431212949, (13, 2) = 1.145892530696533, (13, 3) = 0.44352419520146014e-1, (13, 4) = .6707519723642751, (13, 5) = -1.2387232687233358, (13, 6) = -.5739002262529861, (13, 7) = .9018835448323496, (14, 1) = -.49948942467589225, (14, 2) = 1.003998050145226, (14, 3) = 0.6692621623257643e-1, (14, 4) = .6304185015498383, (14, 5) = -1.0894578589784991, (14, 6) = -.5443331052943612, (14, 7) = .8044134092658326, (15, 1) = -.46663169018318124, (15, 2) = .8865281517652679, (15, 3) = 0.882475828156531e-1, (15, 4) = .5946973362482103, (15, 5) = -.9656623891005631, (15, 6) = -.5177703096857598, (15, 7) = .7234401398522938, (16, 1) = -.43741237094615587, (16, 2) = .7881537194650875, (16, 3) = .10846767050378146, (16, 4) = .5628099475659347, (16, 5) = -.8618042115535092, (16, 6) = -.49370579887626914, (16, 7) = .6553739127932571, (17, 1) = -.4112440008745413, (17, 2) = .7049210492055764, (17, 3) = .12771421698659408, (17, 4) = .5341419874792643, (17, 5) = -.7737744555933753, (17, 6) = -.4717398711807749, (17, 7) = .5975483247236602, (18, 1) = -.3876575548580043, (18, 2) = .6338476180086999, (18, 3) = .14609630418834832, (18, 4) = .5082022267347898, (18, 5) = -.6984704299667118, (18, 6) = -.45155255379360504, (18, 7) = .547949494066217, (19, 1) = -.3662736309623723, (19, 2) = .5726483733807656, (19, 3) = .1637083931514831, (19, 4) = .48459265857890527, (19, 5) = -.6335126174412591, (19, 6) = -.4328841497234415, (19, 7) = .5050324919245571, (20, 1) = -.34678216572683396, (20, 2) = .5195495059189714, (20, 3) = .18063295456195466, (20, 4) = .4629874722134205, (20, 5) = -.5770520321259064, (20, 6) = -.41552163184362956, (20, 7) = .4675964144816947, (21, 1) = -.32892767036417664, (21, 2) = .4731582794401461, (21, 3) = .1969422817914571, (21, 4) = .4431177566148181, (21, 5) = -.5276354888454184, (21, 6) = -.39928880193030747, (21, 7) = .43469702859278164, (22, 1) = -.31249869978237255, (22, 2) = .4323712564531229, (22, 3) = .21269931606763323, (22, 4) = .42476063372747375, (22, 5) = -.48411059119320127, (22, 6) = -.38403945114777954, (22, 7) = .4055852112696801, (23, 1) = -.29731416431452806, (23, 2) = .39629415064634355, (23, 3) = .2279639568142309, (23, 4) = .40772462385587316, (23, 5) = -.4455422550983356, (23, 6) = -.36964681487130585, (23, 7) = .3796525244600942, (24, 1) = -.28322501684036205, (24, 2) = .36421250433414676, (24, 3) = .2427861347723762, (24, 4) = .3918520439519158, (24, 5) = -.4111829023278856, (24, 6) = -.3560068471972505, (24, 7) = .3564123311986818, (25, 1) = -.2701033420412026, (25, 2) = .33554014077654515, (25, 3) = .2572121554674377, (25, 4) = .37700721405190146, (25, 5) = -.3804185329805538, (25, 6) = -.3430294380682383, (25, 7) = .3354645137472628, (26, 1) = -.2578389396986893, (26, 2) = .3097931961546034, (26, 3) = .2712850292677997, (26, 4) = .36307292252881584, (26, 5) = -.35274178509526466, (26, 6) = -.3306361874020015, (26, 7) = .3164779932333802, (27, 1) = -.24633953213188772, (27, 2) = .2865759039396276, (27, 3) = .28504110605404537, (27, 4) = .3499509645976493, (27, 5) = -.3277374103346404, (27, 6) = -.3187617238807888, (27, 7) = .29918159835956604, (28, 1) = -.23552476168366415, (28, 2) = .2655566661015625, (28, 3) = .29851430859060935, (28, 4) = .33755558003287145, (28, 5) = -.30505713524774447, (28, 6) = -.3073486098948925, (28, 7) = .2833475062173651, (29, 1) = -.2253255020912264, (29, 2) = .2464582280638545, (29, 3) = .3117349359672634, (29, 4) = .32581286288190825, (29, 5) = -.28440953074312353, (29, 6) = -.29634737207014694, (29, 7) = .2687847958648897, (30, 1) = -.2156829331351726, (30, 2) = .2290488984956625, (30, 3) = .324728843808106, (30, 4) = .31465989354105117, (30, 5) = -.26555092451071954, (30, 6) = -.28571629053101066, (30, 7) = .25533368718160365, (31, 1) = -.2065438873825929, (31, 2) = .2131287038144533, (31, 3) = .33752207959661373, (31, 4) = .304039516592149, (31, 5) = -.2482707267810866, (31, 6) = -.2754169157752743, (31, 7) = .24285563622268744, (32, 1) = -.19786380124231495, (32, 2) = .19853052093936435, (32, 3) = .35013561530865284, (32, 4) = .29390388011792296, (32, 5) = -.2323929065309705, (32, 6) = -.26541783827718834, (32, 7) = .2312348266717411, (33, 1) = -.18960486731359524, (33, 2) = .18511301699907345, (33, 3) = .36258639522561675, (33, 4) = .2842124423413447, (33, 5) = -.21776856469029016, (33, 6) = -.2556932617203244, (33, 7) = .2203733545258757, (34, 1) = -.18173393918032565, (34, 2) = .17275430735899094, (34, 3) = .37488926686015167, (34, 4) = .2749296363719141, (34, 5) = -.20426921612279228, (34, 6) = -.2462210635577509, (34, 7) = .21018674197498782, (35, 1) = -.17422262687378032, (35, 2) = .16134989076353431, (35, 3) = .3870559122413701, (35, 4) = .26602507525248614, (35, 5) = -.1917846859275767, (35, 6) = -.2369833048528358, (35, 7) = .20060275953911733, (36, 1) = -.16704665751311357, (36, 2) = .15080974319113763, (36, 3) = .3990949249001731, (36, 4) = .2574728923416692, (36, 5) = -.18022006585663738, (36, 6) = -.2279658642184645, (36, 7) = .1915595317437923, (37, 1) = -.1601859421542037, (37, 2) = .141056796935048, (37, 3) = .41101078776726396, (37, 4) = .24925191600226893, (37, 5) = -.16949416553961816, (37, 6) = -.2191589209315012, (37, 7) = .18300476520893003, (38, 1) = -.15362126746579838, (38, 2) = .1320210054859448, (38, 3) = .42280892511572515, (38, 4) = .24134177847648824, (38, 5) = -.1595330800439254, (38, 6) = -.21055300577533773, (38, 7) = .1748909797765733, (39, 1) = -.14733741986174867, (39, 2) = .12364284350603046, (39, 3) = .4344897565601667, (39, 4) = .23372671477717596, (39, 5) = -.15027411164631393, (39, 6) = -.2021432253147483, (39, 7) = .16717891414685349, (40, 1) = -.14132147717760368, (40, 2) = .11586995380348374, (40, 3) = .44605098876584576, (40, 4) = .22639358970698623, (40, 5) = -.1416621548462659, (40, 6) = -.19392734410767049, (40, 7) = .15983497820345968, (41, 1) = -.1355618535661384, (41, 2) = .10865524630505065, (41, 3) = .4574889782290803, (41, 4) = .21933078665833716, (41, 5) = -.13364764847041208, (41, 6) = -.18590465201723103, (41, 7) = .15282978502561145, (42, 1) = -.13004833389409315, (42, 2) = .10195646465098096, (42, 3) = .4687983695351276, (42, 4) = .21252828358414444, (42, 5) = -.12618613754474253, (42, 6) = -.17807609406978153, (42, 7) = .14613796012482172, (43, 1) = -.12477167494006297, (43, 2) = 0.9573528555897173e-1, (43, 3) = .4799726300795009, (43, 4) = .20597719438448733, (43, 5) = -.11923730972108826, (43, 6) = -.17044377008176909, (43, 7) = .13973746010198854, (44, 1) = -.11972344246799402, (44, 2) = 0.8995680533952945e-1, (44, 3) = .49100420281898555, (44, 4) = .19966959020759237, (44, 5) = -.11276445358250514, (44, 6) = -.16301071564836836, (44, 7) = .13360920525957998, (45, 1) = -.1148956147475554, (45, 2) = 0.8458883047163457e-1, (45, 3) = .5018852472953027, (45, 4) = .1935980202293324, (45, 5) = -.10673369025665995, (45, 6) = -.15578029883884625, (45, 7) = .12773644242504048, (46, 1) = -.11028042171087489, (46, 2) = 0.7960151497591006e-1, (46, 3) = .5126079809791431, (46, 4) = .1877553133493232, (46, 5) = -.10111358529342901, (46, 6) = -.14875591411024416, (46, 7) = .12210439647109084, (47, 1) = -.10587010196399801, (47, 2) = 0.7496695383104171e-1, (47, 3) = .5231652841517149, (47, 4) = .18213426698507848, (47, 5) = -0.9587470570440539e-1, (47, 6) = -.14194052404260726, (47, 7) = .11669981742149677, (48, 1) = -.10165710878026424, (48, 2) = 0.7065927864855102e-1, (48, 3) = .5335502837116244, (48, 4) = .1767279011977732, (48, 5) = -0.90989740840664e-1, (48, 6) = -.13533687973410663, (48, 7) = .11151107173300641, (49, 1) = -0.976339646318128e-1, (49, 2) = 0.6665437930666253e-1, (49, 3) = .5437567517407721, (49, 4) = .17152926762281148, (49, 5) = -0.8643320096253616e-1, (49, 6) = -.12894721237733586, (49, 7) = .10652780343241362, (50, 1) = -0.9379309915858196e-1, (50, 2) = 0.6292963935728102e-1, (50, 3) = .5537796082939569, (50, 4) = .1665312288048679, (50, 5) = -0.821811271659428e-1, (50, 6) = -.12277288786102344, (50, 7) = .10174056934638033, (51, 1) = -0.9012646774014009e-1, (51, 2) = 0.5946349454355839e-1, (51, 3) = .5636160898088879, (51, 4) = .16172593962052867, (51, 5) = -0.7821059376459426e-1, (51, 6) = -.11681369761445241, (51, 7) = 0.971401922016448e-1, (52, 1) = -0.8662709254567018e-1, (52, 2) = 0.5623679588902947e-1, (52, 3) = .5732617138385044, (52, 4) = .1571068532547171, (52, 5) = -0.7450127953262778e-1, (52, 6) = -.11107030160152458, (52, 7) = 0.9271953492878013e-1, (53, 1) = -0.832877606097653e-1, (53, 2) = 0.5323144127213841e-1, (53, 3) = .5827137094120911, (53, 4) = .15266702144547653, (53, 5) = -0.7103391702860415e-1, (53, 6) = -.10554209857792878, (53, 7) = 0.8847173428640447e-1, (54, 1) = -0.8010083796586685e-1, (54, 2) = 0.5043015773452044e-1, (54, 3) = .5919717359930652, (54, 4) = .1483988206956467, (54, 5) = -0.6779004472456823e-1, (54, 6) = -.1002268626526667, (54, 7) = 0.8438981098644666e-1, (55, 1) = -0.7705904545671184e-1, (55, 2) = 0.4781712178021648e-1, (55, 3) = .6010357808561354, (55, 4) = .14429496914815607, (55, 5) = -0.6475273039031218e-1, (55, 6) = -0.9512201172172534e-1, (55, 7) = 0.8046752565271927e-1, (56, 1) = -0.7415579244743617e-1, (56, 2) = 0.4537812370175229e-1, (56, 3) = .609905070263442, (56, 4) = .14034898646161215, (56, 5) = -0.6190677910002072e-1, (56, 6) = -0.9022519334264704e-1, (56, 7) = 0.7669971247700139e-1, (57, 1) = -0.7138429207106428e-1, (57, 2) = 0.4309971458682221e-1, (57, 3) = .6185806833233924, (57, 4) = .13655400028046524, (57, 5) = -0.5923775361433498e-1, (57, 6) = -0.8553282185600106e-1, (57, 7) = 0.7308104556027577e-1, (58, 1) = -0.6873795031830646e-1, (58, 2) = 0.4096946926322497e-1, (58, 3) = .6270644277840627, (58, 4) = .1329032634057901, (58, 5) = -0.5673228789519334e-1, (58, 6) = -0.8104075700907686e-1, (58, 7) = 0.6960645431414926e-1, (59, 1) = -0.6621016059961132e-1, (59, 2) = 0.38975748601405784e-1, (59, 3) = .6353595080809519, (59, 4) = .12938986575267097, (59, 5) = -0.5437781677016371e-1, (59, 6) = -0.7674399557867947e-1, (59, 7) = 0.6627078398947593e-1, (60, 1) = -0.6379500379743547e-1, (60, 2) = 0.3710817923563575e-1, (60, 3) = .6434682068578423, (60, 4) = .12600770681463422, (60, 5) = -0.52163152502100275e-1, (60, 6) = -0.7263791038699614e-1, (60, 7) = 0.630696652022076e-1, (61, 1) = -0.6148682506048283e-1, (61, 2) = 0.3535723201986704e-1, (61, 3) = .6513931420513931, (61, 4) = .12275092222076696, (61, 5) = -0.5007800143462451e-1, (61, 6) = -0.687175841247968e-1, (61, 7) = 0.5999892071152185e-1, (62, 1) = -0.5928000637071922e-1, (62, 2) = 0.33713989804355256e-1, (62, 3) = .6591380172829979, (62, 4) = .11961356381867923, (62, 5) = -0.4811269635947367e-1, (62, 6) = -0.6497747609164842e-1, (62, 7) = 0.57054229336734506e-1, (63, 1) = -0.57169100695410174e-1, (63, 2) = 0.3217020013015828e-1, (63, 3) = .6667071615807357, (63, 4) = .11658978562213738, (63, 5) = -0.4625826578595638e-1, (63, 6) = -0.6141170855360152e-1, (63, 7) = 0.5423127945985821e-1, (64, 1) = -0.5514918379084914e-1, (64, 2) = 0.3071847575888528e-1, (64, 3) = .674104198640308, (64, 4) = .11367435428569851, (64, 5) = -0.4450668459294678e-1, (64, 6) = -0.58014717648254485e-1, (64, 7) = 0.51526226701246916e-1, (65, 1) = -0.53215760915675155e-1, (65, 2) = 0.29352162323496186e-1, (65, 3) = .6813322323771271, (65, 4) = .11086253363996139, (65, 5) = -0.4285072792261608e-1, (65, 6) = -0.5478114175121917e-1, (65, 7) = 0.4893556386708957e-1, (66, 1) = -0.51364246219493405e-1, (66, 2) = 0.28064924065518932e-1, (66, 3) = .6883957184775215, (66, 4) = .10814933543258673, (66, 5) = -0.41283477931602065e-1, (66, 6) = -0.51704999820689775e-1, (66, 7) = 0.4645542023568128e-1, (67, 1) = -0.4959036780155851e-1, (67, 2) = 0.26850996547966004e-1, (67, 3) = .6952989342332647, (67, 4) = .1055301079545874, (67, 5) = -0.397986352727631e-1, (67, 6) = -0.4878042451768817e-1, (67, 7) = 0.44082106240249705e-1, (68, 1) = -0.4789016423374489e-1, (68, 2) = 0.2570514230598002e-1, (68, 3) = .7020458967717208, (68, 4) = .10300054210288584, (68, 5) = -0.3839047393448487e-1, (68, 6) = -0.4600169882505357e-1, (68, 7) = 0.4181211457624395e-1, (69, 1) = -0.4625996072380607e-1, (69, 2) = 0.24622597065198926e-1, (69, 3) = .7086403636416022, (69, 4) = .10055664721832, (69, 5) = -0.3705378373458785e-1, (69, 6) = -0.4336325445354654e-1, (69, 7) = 0.3964209549563323e-1, (70, 1) = -0.44696345792792136e-1, (70, 2) = 0.2359902106209441e-1, (70, 3) = .715085840088841, (70, 4) = 0.9819472668269251e-1, (70, 5) = -0.35783818056358635e-1, (70, 6) = -0.4085966769265928e-1, (70, 7) = 0.3756883386957669e-1, (71, 1) = -0.43195840295262154e-1, (71, 2) = 0.2263025732177424e-1, (71, 3) = .7213868990604615, (71, 4) = 0.959108824037368e-1, (71, 5) = -0.345759992795696e-1, (71, 6) = -0.3848516856421221e-1, (71, 7) = 0.35588822241379686e-1, (72, 1) = -0.417552894446388e-1, (72, 2) = 0.21712566757373226e-1, (72, 3) = .7275475329006473, (72, 4) = 0.9370160979020452e-1, (72, 5) = -0.3342621480848204e-1, (72, 6) = -0.36234307802151734e-1, (72, 7) = 0.3369879519129462e-1, (73, 1) = -0.4037173402203197e-1, (73, 2) = 0.2084251952747481e-1, (73, 3) = .7335716098404168, (73, 4) = 0.9156361245610806e-1, (73, 5) = -0.3233068837685123e-1, (73, 6) = -0.3410177625172606e-1, (73, 7) = 0.3189557025540908e-1, (74, 1) = -0.3904237227030642e-1, (74, 2) = 0.20016950936180417e-1, (74, 3) = .7394629834350771, (74, 4) = 0.8949375010756808e-1, (74, 5) = -0.31285929734658574e-1, (74, 6) = -0.3208237199793818e-1, (74, 7) = 0.3017601103329817e-1, (75, 1) = -0.3776454319644946e-1, (75, 2) = 0.19232933825189e-1, (75, 3) = .7452255211846236, (75, 4) = 0.8748901780777456e-1, (75, 5) = -0.3028870414672857e-1, (75, 6) = -0.30171000378395537e-1, (75, 7) = 0.28537019338621142e-1, (76, 1) = -0.3653569801566861e-1, (76, 2) = 0.18487745956094e-1, (76, 3) = .7508631948003112, (76, 4) = 0.8554650554414327e-1, (76, 5) = -0.29335994809283936e-1, (76, 6) = -0.2836265544217905e-1, (76, 7) = 0.26975512917014468e-1, (77, 1) = -0.35353334471828785e-1, (77, 2) = 0.17778817656712027e-1, (77, 3) = .7563803576967835, (77, 4) = 0.8366329666302517e-1, (77, 5) = -0.2842493891629171e-1, (77, 6) = -0.26652349069398753e-1, (77, 7) = 0.25488358243180274e-1, (78, 1) = -0.34214833644028164e-1, (78, 2) = 0.1710362550347103e-1, (78, 3) = .7617825194247292, (78, 4) = 0.818362046768005e-1, (78, 5) = -0.2755269203484183e-1, (78, 6) = -0.25034910053607307e-1, (78, 7) = 0.24072187718280107e-1, (79, 1) = -0.33117070324267625e-1, (79, 2) = 0.16459460519022494e-1, (79, 3) = .7670782989058776, (79, 4) = 0.8006113071928549e-1, (79, 5) = -0.2671612494556976e-1, (79, 6) = -0.23504494462123514e-1, (79, 7) = 0.2272295520211525e-1, (80, 1) = -0.3205809437838403e-1, (80, 2) = 0.15844406901222824e-1, (80, 3) = .7722713266005171, (80, 4) = 0.7833577907306599e-1, (80, 5) = -0.2591309561609206e-1, (80, 6) = -0.22056961396677732e-1, (80, 7) = 0.21438026923002916e-1, (81, 1) = -0.31037127966861342e-1, (81, 2) = 0.15257298915414995e-1, (81, 3) = .7773598019042196, (81, 4) = 0.766597219644611e-1, (81, 5) = -0.25142417563179406e-1, (81, 6) = -0.20689736141079718e-1, (81, 7) = 0.2021610624932507e-1, (82, 1) = -0.3005347880465721e-1, (82, 2) = 0.1469706808732895e-1, (82, 3) = .7823415773762875, (82, 4) = 0.7503266612459865e-1, (82, 5) = -0.24403020686373934e-1, (82, 6) = -0.1940025706534461e-1, (82, 7) = 0.1905587546109808e-1, (83, 1) = -0.2910586428826123e-1, (83, 2) = 0.14162359097922005e-1, (83, 3) = .787217633956304, (83, 4) = 0.7345332619263635e-1, (83, 5) = -0.23693442233407584e-1, (83, 6) = -0.181851232611352e-1, (83, 7) = 0.1795521838476315e-1, (84, 1) = -0.28192907817684805e-1, (84, 2) = 0.1365181867422655e-1, (84, 3) = .7919897115240078, (84, 4) = 0.7192022274910066e-1, (84, 5) = -0.23012201444952248e-1, (84, 6) = -0.17040811610716092e-1, (84, 7) = 0.16911848466548876e-1, (85, 1) = -0.27312978136185835e-1, (85, 2) = 0.13164005904443596e-1, (85, 3) = .7966612137325211, (85, 4) = 0.7043140181072279e-1, (85, 5) = -0.22357677376699997e-1, (85, 6) = -0.15963513643715645e-1, (85, 7) = 0.1592315271868429e-1, (86, 1) = -0.2646462746652903e-1, (86, 2) = 0.1269763461904293e-1, (86, 3) = .8012349398472144, (86, 4) = 0.6898516657212175e-1, (86, 5) = -0.21728432006606218e-1, (86, 6) = -0.14949706357927807e-1, (86, 7) = 0.14986710460803207e-1, (87, 1) = -0.25646494959249203e-1, (87, 2) = 0.12251513377893835e-1, (87, 3) = .8057135493898496, (87, 4) = 0.6757992094013747e-1, (87, 5) = -0.21123132884899316e-1, (87, 6) = -0.139960292467264e-1, (87, 7) = 0.1410018570481624e-1, (88, 1) = -0.2485728164590901e-1, (88, 2) = 0.1182452710951371e-1, (88, 3) = .810099673559902, (88, 4) = 0.662141300173103e-1, (88, 5) = -0.20540530236292587e-1, (88, 6) = -0.13099256789703594e-1, (88, 7) = 0.13261304969175512e-1, (89, 1) = -0.24095752574361837e-1, (89, 2) = 0.11415634281844061e-1, (89, 3) = .81439588423751, (89, 4) = 0.6488632633494537e-1, (89, 5) = -0.19979454728118753e-1, (89, 6) = -0.12256303574946446e-1, (89, 7) = 0.12467865124264153e-1, (90, 1) = -0.23360735056253266e-1, (90, 2) = 0.11023862257792366e-1, (90, 3) = .8186046839450801, (90, 4) = 0.6359510950556727e-1, (90, 5) = -0.19438812716351027e-1, (90, 6) = -0.11464223580929493e-1, (90, 7) = 0.11717736023153343e-1, (91, 1) = -0.2265111611151706e-1, (91, 2) = 0.1064830254895494e-1, (91, 3) = .8227285009951595, (91, 4) = 0.6233914441576576e-1, (91, 5) = -0.18917581245871496e-1, (91, 6) = -0.107202077302794e-1, (91, 7) = 0.11008861577261891e-1, (92, 1) = -0.2196584274078579e-1, (92, 2) = 0.10288107863924782e-1, (92, 3) = .8267696687449231, (92, 4) = 0.61117164378142505e-1, (92, 5) = -0.1841480544345323e-1, (92, 6) = -0.10021583648716392e-1, (92, 7) = 0.10339262962135297e-1, (93, 1) = -0.2130397508619256e-1, (93, 2) = 0.9942516911301724e-2, (93, 3) = .8307300855152587, (93, 4) = 0.5992806977704981e-1, (93, 5) = -0.17929634945322494e-1, (93, 6) = -0.9365866049369924e-2, (93, 7) = 0.970709083685181e-2, (94, 1) = -0.2066452832678662e-1, (94, 2) = 0.9610769117033199e-2, (94, 3) = .8346121380272766, (94, 4) = 0.5877064728357242e-1, (94, 5) = -0.1746120573842817e-1, (94, 6) = -0.8750596954165865e-2, (94, 7) = 0.911047491451652e-2, (95, 1) = -0.20046560655054453e-1, (95, 2) = 0.9292149122341548e-2, (95, 3) = .8384181810565843, (95, 4) = 0.57643726773201474e-1, (95, 5) = -0.17008702762303107e-1, (95, 6) = -0.8173438423547898e-2, (95, 7) = 0.8547615193482865e-2, (96, 1) = -0.19449237677365155e-1, (96, 2) = 0.8986017628093307e-2, (96, 3) = .8421501190891273, (96, 4) = 0.5654630194311316e-1, (96, 5) = -0.16571405188902044e-1, (96, 6) = -0.7632228495991538e-2, (96, 7) = 0.8016840145398394e-2, (97, 1) = -0.1887178595166975e-1, (97, 2) = 0.8691784937252454e-2, (97, 3) = .8458096605035292, (97, 4) = 0.5547745035158284e-1, (97, 5) = -0.1614865074893827e-1, (97, 6) = -0.7124930043201029e-2, (97, 7) = 0.7516560842447098e-2, (98, 1) = -0.18313379572760476e-1, (98, 2) = 0.8408851695186157e-2, (98, 3) = .8493990293787306, (98, 4) = 0.5443612442522976e-1, (98, 5) = -0.15739751272481037e-1, (98, 6) = -0.6649530877556062e-2, (98, 7) = 0.70451749307516515e-2, (99, 1) = -0.17773411236805755e-1, (99, 2) = 0.8136744850270912e-2, (99, 3) = .8529192148774755, (99, 4) = 0.5342165809334678e-1, (99, 5) = -0.15344189900285105e-1, (99, 6) = -0.6204273518435405e-2, (99, 7) = 0.660129692855998e-2, (100, 1) = -0.17251057251932208e-1, (100, 2) = 0.7874896343931133e-2, (100, 3) = .8563727717832911, (100, 4) = 0.52432954840383246e-1, (100, 5) = -0.14961301341491364e-1, (100, 6) = -0.5787287135105179e-2, (100, 7) = 0.6183395118813691e-2, (101, 1) = -0.16745629644977163e-1, (101, 2) = 0.7622820263324776e-2, (101, 3) = .8597615482839938, (101, 4) = 0.51469145618834776e-1, (101, 5) = -0.14590528608898094e-1, (101, 6) = -0.5396885129046895e-2, (101, 7) = 0.5790089139105677e-2, (102, 1) = -0.16256523054212938e-1, (102, 2) = 0.7380084027582768e-2, (102, 3) = .8630869913915394, (102, 4) = 0.5052949522528311e-1, (102, 5) = -0.14231383298385903e-1, (102, 6) = -0.5031509922179083e-2, (102, 7) = 0.5420098775343518e-2, (103, 1) = -0.15783100427777905e-1, (103, 2) = 0.7146250386892193e-2, (103, 3) = .8663509059017817, (103, 4) = 0.49613185415921565e-1, (103, 5) = -0.13883360876220033e-1, (103, 6) = -0.4689642631979475e-2, (103, 7) = 0.5072155149894696e-2, (104, 1) = -0.15324740843082107e-1, (104, 2) = 0.6920900620324958e-2, (104, 3) = .8695551374490673, (104, 4) = 0.487194055183293e-1, (104, 5) = -0.1354597487810146e-1, (104, 6) = -0.4369840628700971e-2, (104, 7) = 0.4745040251323027e-2, (105, 1) = -0.14880999220591645e-1, (105, 2) = 0.6703711752799031e-2, (105, 3) = .8727004295170955, (105, 4) = 0.47847667825719004e-1, (105, 5) = -0.13218873957203307e-1, (105, 6) = -0.40708417306626115e-2, (105, 7) = 0.4437696279601702e-2, (106, 1) = -0.1445129941189121e-1, (106, 2) = 0.6494304913053776e-2, (106, 3) = .8757885621654562, (106, 4) = 0.4699721013074634e-1, (106, 5) = -0.12901615364899262e-1, (106, 6) = -0.3791347889312316e-2, (106, 7) = 0.41490062236225e-2, (107, 1) = -0.1403515704995601e-1, (107, 2) = 0.629235416435554e-2, (107, 3) = .8788207857953696, (107, 4) = 0.46167431512408715e-1, (107, 5) = -0.12593828454231555e-1, (107, 6) = -0.35301779967586255e-2, (107, 7) = 0.38779519693393103e-2, (108, 1) = -0.136320985542424e-1, (108, 2) = 0.609754606629572e-2, (108, 3) = .8817983817939085, (108, 4) = 0.45357735223466554e-1, (108, 5) = -0.12295154559359827e-1, (108, 6) = -0.3286209314341815e-2, (108, 7) = 0.3623556002597559e-2, (109, 1) = -0.13241630697811596e-1, (109, 2) = 0.59095645556075434e-2, (109, 3) = .8847228903452787, (109, 4) = 0.44567467123514615e-1, (109, 5) = -0.12005223871163083e-1, (109, 6) = -0.30583587722556906e-2, (109, 7) = 0.3384863230891416e-2, (110, 1) = -0.12863282318672776e-1, (110, 2) = 0.5728110719682112e-2, (110, 3) = .887595805636143, (110, 4) = 0.437959990098312e-1, (110, 5) = -0.11723685793281906e-1, (110, 6) = -0.2845607745492162e-2, (110, 7) = 0.3160968116694903e-2, (111, 1) = -0.12496650693252929e-1, (111, 2) = 0.5552924358153241e-2, (111, 3) = .8904182090864114, (111, 4) = 0.430428253565388e-1, (111, 5) = -0.1145024320873632e-1, (111, 6) = -0.2647023818928518e-2, (111, 7) = 0.2951039322881783e-2, (112, 1) = -0.12141274016994663e-1, (112, 2) = 0.5383722467612301e-2, (112, 3) = .8931917390779196, (112, 4) = 0.4230730313112941e-1, (112, 5) = -0.11184557142440503e-1, (112, 6) = -0.2461688048783101e-2, (112, 7) = 0.27542443791469095e-2, (113, 1) = -0.1179681022215186e-1, (113, 2) = 0.5220284141143336e-2, (113, 3) = .8959172018453189, (113, 4) = 0.4158902099552602e-1, (113, 5) = -0.10926379958254132e-1, (113, 6) = -0.228878818143032e-2, (113, 7) = 0.25698496698628556e-2, (114, 1) = -0.11462903989906546e-1, (114, 2) = 0.5062386550384448e-2, (114, 3) = .8985955842843032, (114, 4) = 0.4088752771952661e-1, (114, 5) = -0.10675456024997696e-1, (114, 6) = -0.21275434552632607e-2, (114, 7) = 0.23971422191936325e-2, (115, 1) = -0.11139174973080628e-1, (115, 2) = 0.4909799283650963e-2, (115, 3) = .901228160676181, (115, 4) = 0.40202305706456845e-1, (115, 5) = -0.10431512339945794e-1, (115, 6) = -0.1977199961864016e-2, (115, 7) = 0.22354254347508886e-2, (116, 1) = -0.10825272392179685e-1, (116, 2) = 0.4762309923951511e-2, (116, 3) = .9038160568685645, (116, 4) = 0.3953288543830951e-1, (116, 5) = -0.10194299223128396e-1, (116, 6) = -0.18370560679884847e-2, (116, 7) = 0.2084047263144361e-2, (117, 1) = -0.10520888096597018e-1, (117, 2) = 0.4619729729543349e-2, (117, 3) = .9063601272182191, (117, 4) = 0.38878875566455126e-1, (117, 5) = -0.9963600208344612e-2, (117, 6) = -0.1706464442997396e-2, (117, 7) = 0.1942403596612181e-2, (118, 1) = -0.10225676992181737e-1, (118, 2) = 0.4481856038925428e-2, (118, 3) = .9088616122353441, (118, 4) = 0.38239793038485445e-1, (118, 5) = -0.9739171632595673e-2, (118, 6) = -0.15847955131765516e-2, (118, 7) = 0.18098996209028528e-2, (119, 1) = -0.9939367324640893e-2, (119, 2) = 0.4348523632722225e-2, (119, 3) = .9113212093702816, (119, 4) = 0.376153011508749e-1, (119, 5) = -0.9520826147011394e-2, (119, 6) = -0.14714824659729727e-2, (119, 7) = 0.168599953627451e-2, (120, 1) = -0.966163872941871e-2, (120, 2) = 0.4219547534554702e-2, (120, 3) = .9137401023351425, (120, 4) = 0.3700494616750579e-1, (120, 5) = -0.9308339878721775e-2, (120, 6) = -0.1365969153112434e-2, (120, 7) = 0.15701706401611438e-2, (121, 1) = -0.9392198385188308e-2, (121, 2) = 0.4094758396609424e-2, (121, 3) = .9161193161473176, (121, 4) = 0.3640832219382344e-1, (121, 5) = -0.9101510124887554e-2, (121, 6) = -0.12677402606956771e-2, (121, 7) = 0.14619168884890783e-2, (122, 1) = -0.9130776619449235e-2, (122, 2) = 0.3974000157039127e-2, (122, 3) = .918459743389031, (122, 4) = 0.3582506324812699e-1, (122, 5) = -0.8900152062547061e-2, (122, 6) = -0.11763168046591919e-2, (122, 7) = 0.13607747932710109e-2, (123, 1) = -0.8877130053322135e-2, (123, 2) = 0.3857131220204234e-2, (123, 3) = .9207621042586911, (123, 4) = 0.3525485195379574e-1, (123, 5) = -0.8704101261672068e-2, (123, 6) = -0.10912546315821271e-2, (123, 7) = 0.1266312536775268e-2, (124, 1) = -0.8631034803741748e-2, (124, 2) = 0.37440210705135487e-2, (124, 3) = .9230269958510547, (124, 4) = 0.3469740599658427e-1, (124, 5) = -0.8513208555597203e-2, (124, 6) = -0.10121396610135644e-2, (124, 7) = 0.11781253977221063e-2, (125, 1) = -0.8392212157745564e-2, (125, 2) = 0.3634516023268043e-2, (125, 3) = .925255580609136, (125, 4) = 0.34152309214020814e-1, (125, 5) = -0.8327282158857823e-2, (125, 6) = -0.938563455856944e-3, (125, 7) = 0.10958089996215903e-2, (126, 1) = -0.8160425838712085e-2, (126, 2) = 0.35284838627545256e-2, (126, 3) = .9274486979359966, (126, 4) = 0.33619231067228195e-1, (126, 5) = -0.8146162840536838e-2, (126, 6) = -0.8701541170718898e-3, (126, 7) = 0.10189941909763463e-2, (127, 1) = -0.7935451067583034e-2, (127, 2) = 0.34257994141029054e-2, (127, 3) = .9296071384367649, (127, 4) = 0.3309785803833924e-1, (127, 5) = -0.7969700041420233e-2, (127, 6) = -0.8065641728294864e-3, (127, 7) = 0.9473341253719798e-3, (128, 1) = -0.7717070876205519e-2, (128, 2) = 0.33263427207529334e-2, (128, 3) = .9317316751472142, (128, 4) = 0.3258788569860931e-1, (128, 5) = -0.7797748970274931e-2, (128, 6) = -0.7474681438722301e-3, (128, 7) = 0.880502001232945e-3, (129, 1) = -0.7505076125168032e-2, (129, 2) = 0.3229998933900569e-2, (129, 3) = .9338230607702328, (129, 4) = 0.32089019152014744e-1, (129, 5) = -0.7630170580490721e-2, (129, 6) = -0.6925613591197516e-3, (129, 7) = 0.8181901587854764e-3, (130, 1) = -0.7299265171632634e-2, (130, 2) = 0.3136658050225978e-2, (130, 3) = .9358820282972874, (130, 4) = 0.31600972661932875e-1, (130, 5) = -0.7466831279916698e-2, (130, 6) = -0.6415587231086209e-3, (130, 7) = 0.7601090888409613e-3, (131, 1) = -0.7099443565783825e-2, (131, 2) = 0.30462146709149766e-2, (131, 3) = .9379092914859827, (131, 4) = 0.31123469324561948e-1, (131, 5) = -0.7307602667855831e-2, (131, 6) = -0.5941935510054997e-3, (131, 7) = 0.7059864851990976e-3, (132, 1) = -0.6905423747524692e-2, (132, 2) = 0.2958567768435871e-2, (132, 3) = .9399055454663998, (132, 4) = 0.30656240723360338e-1, (132, 5) = -0.71523612763047355e-2, (132, 6) = -0.5502164615731298e-3, (132, 7) = 0.655566332104778e-3, (133, 1) = -0.6717024757245861e-2, (133, 2) = 0.2873620466790021e-2, (133, 3) = .9418714673375305, (133, 4) = 0.30199026597440937e-1, (133, 5) = -0.7000988325823573e-2, (133, 6) = -0.5093943297131232e-3, (133, 7) = 0.6086080307940107e-3, (134, 1) = -0.6534071959760502e-2, (134, 2) = 0.27912798342734552e-2, (134, 3) = .9438077167561614, (134, 4) = 0.29751574522758853e-1, (134, 5) = -0.6853369494924661e-2, (134, 6) = -0.4715092959902402e-3, (134, 7) = 0.5648855642822292e-3, (135, 1) = -0.6356396787514922e-2, (135, 2) = 0.27114566909829225e-2, (135, 3) = .9457149364454033, (135, 4) = 0.2931363962219971e-1, (135, 5) = -0.6709394707597642e-2, (135, 6) = -0.43635783194643206e-3, (135, 7) = 0.5241867010441891e-3, (136, 1) = -0.61838364891480474e-2, (136, 2) = 0.263406542432135e-2, (136, 3) = .947593752761815, (136, 4) = 0.28884984271701088e-1, (136, 5) = -0.6568957927472171e-2, (136, 6) = -0.4037498558821582e-3, (136, 7) = 0.4863122333420328e-3, (137, 1) = -0.601623387000051e-2, (137, 2) = 0.2559023806114614e-2, (137, 3) = .9494447764708851, (137, 4) = 0.28465377768764184e-1, (137, 5) = -0.6431956947208897e-2, (137, 6) = -0.3735078948773748e-3, (137, 7) = 0.4510752470303723e-3, (138, 1) = -0.5853437072325423e-2, (138, 2) = 0.2486252832368632e-2, (138, 3) = .9512686032079182, (138, 4) = 0.280545960825053e-1, (138, 5) = -0.6298293211671902e-2, (138, 6) = -0.34546629992478233e-3, (138, 7) = 0.4183004324945519e-3, (139, 1) = -0.5695299345566016e-2, (139, 2) = 0.24156765630166848e-2, (139, 3) = .9530658141549968, (139, 4) = 0.276524215633124e-1, (139, 5) = -0.6167871634365016e-2, (139, 6) = -0.31947050232195343e-3, (139, 7) = 0.3878234245464183e-3, (140, 1) = -0.554167885830191e-2, (140, 2) = 0.23472219843972985e-2, (140, 3) = .9548369763523616, (140, 4) = 0.27258642742879598e-1, (140, 5) = -0.60406004492652874e-2, (140, 6) = -0.2953763182049148e-3, (140, 7) = 0.35949018078556665e-3, (141, 1) = -0.5392438520624993e-2, (141, 2) = 0.22808188801119096e-2, (141, 3) = .9565826429700981, (141, 4) = 0.2687305414886625e-1, (141, 5) = -0.5916391072664268e-2, (141, 6) = -0.27304929294300013e-3, (141, 7) = 0.3331563901813197e-3, (142, 1) = -0.52474458312329955e-2, (142, 2) = 0.22163997163235374e-2, (142, 3) = .958303353361792, (142, 4) = 0.26495456172530026e-1, (142, 5) = -0.57951579868950375e-2, (142, 6) = -0.252364085464996e-3, (142, 7) = 0.30868691325215805e-3, (143, 1) = -0.5106572684456149e-2, (143, 2) = 0.2153899512449706e-2, (143, 3) = .9599996336604034, (143, 4) = 0.26125654821718747e-1, (143, 5) = -0.5676818591723513e-2, (143, 6) = -0.23320388139026565e-3, (143, 7) = 0.2859552418854789e-3, (144, 1) = -0.496969518374495e-2, (144, 2) = 0.20932557178244982e-2, (144, 3) = .961671997397204, (144, 4) = 0.25763461476510423e-1, (144, 5) = -0.5561293061337471e-2, (144, 6) = -0.21545984131697018e-3, (144, 7) = 0.2648429873310176e-3, (145, 1) = -0.4836693490181476e-2, (145, 2) = 0.2034408106735575e-2, (145, 3) = .963320945785362, (145, 4) = 0.2540869272435785e-1, (145, 5) = -0.5448504231053388e-2, (145, 6) = -0.1990305859062199e-3, (145, 7) = 0.2452393994183257e-3, (146, 1) = -0.4707451672732042e-2, (146, 2) = 0.19772986768169993e-2, (146, 3) = .9649469680512343, (146, 4) = 0.2506117018958842e-1, (146, 5) = -0.5338377485993881e-2, (146, 6) = -0.1838217110432586e-3, (146, 7) = 0.22704091004977484e-3, (147, 1) = -0.4581857567572001e-2, (147, 2) = 0.1921871553865193e-2, (147, 3) = .9665505417213073, (147, 4) = 0.24720720377034513e-1, (147, 5) = -0.5230840657806015e-2, (147, 6) = -0.16974533250776132e-3, (147, 7) = 0.21015070120431977e-3, (148, 1) = -0.4459802644110297e-2, (148, 2) = 0.18680729018499408e-2, (148, 3) = .9681321328883635, (148, 4) = 0.2438717452423778e-1, (148, 5) = -0.5125823927380249e-2, (148, 6) = -0.1567196582818594e-3, (148, 7) = 0.19447829607891086e-3, (149, 1) = -0.4341181888026249e-2, (149, 2) = 0.18158508424962229e-2, (149, 3) = .9696921963155168, (149, 4) = 0.24060368491380577e-1, (149, 5) = -0.5023259742466551e-2, (149, 6) = -0.1446685880441674e-3, (149, 7) = 0.1799391736386374e-3, (150, 1) = -0.4225893650637279e-2, (150, 2) = 0.17651553619765716e-2, (150, 3) = .9712311760403447, (150, 4) = 0.23740142549888144e-1, (150, 5) = -0.4923082706327167e-2, (150, 6) = -0.13352133330447443e-3, (150, 7) = 0.16645439943325225e-3, (151, 1) = -0.4113839530268126e-2, (151, 2) = 0.17159382335444216e-2, (151, 3) = .9727495056336701, (151, 4) = 0.2342634124862383e-1, (151, 5) = -0.4825229493689177e-2, (151, 6) = -0.1232120640465816e-3, (151, 7) = 0.1539502804262958e-3, (152, 1) = -0.4004924259857473e-2, (152, 2) = 0.16681529445863694e-2, (152, 3) = .9742476084300418, (152, 4) = 0.23118813289296117e-1, (152, 5) = -0.4729638772087287e-2, (152, 6) = -0.11367957746503508e-3, (152, 7) = 0.1423580391973025e-3, (153, 1) = -0.3899055593040416e-2, (153, 2) = 0.16217546245721791e-2, (153, 3) = .9757258978340067, (153, 4) = 0.22817411389538758e-1, (153, 5) = -0.463625112173974e-2, (153, 6) = -0.10486698691294358e-3, (153, 7) = 0.13161350583831e-3, (154, 1) = -0.37961441950964078e-2, (154, 2) = 0.15766999766100972e-2, (154, 3) = .9771847776170947, (154, 4) = 0.22521992151470806e-1, (154, 5) = -0.4545008959412762e-2, (154, 6) = -0.967214305737495e-4, (154, 7) = 0.121656827512054e-3, (155, 1) = -0.36961035417064788e-2, (155, 2) = 0.15329472137910675e-2, (155, 3) = .9786246421596811, (155, 4) = 0.22232415944730063e-1, (155, 5) = -0.445585646888749e-2, (155, 6) = -0.8919379893818854e-4, (155, 7) = 0.11243219508397924e-3, (156, 1) = -0.3598849831342047e-2, (156, 2) = 0.14904560027590857e-2, (156, 3) = .9800458765440385, (156, 4) = 0.21948546822007864e-1, (156, 5) = -0.4368739543349211e-2, (156, 6) = -0.8223848033365505e-4, (156, 7) = 0.10388758640877828e-3, (157, 1) = -0.3504301864036683e-2, (157, 2) = 0.1449187393779194e-2, (157, 3) = .9814488571872236, (157, 4) = 0.21670252329442523e-1, (157, 5) = -0.4283605697341341e-2, (157, 6) = -0.7581312014106669e-4, (157, 7) = 0.9597452136763151e-4, (158, 1) = -0.34129493089673224e-2, (158, 2) = 0.14093514910030092e-2, (158, 3) = .9828253219279554, (158, 4) = 0.21399097573883887e-1, (158, 5) = -0.4200919799199968e-2, (158, 6) = -0.6991415932376671e-4, (158, 7) = 0.8869203721112217e-4, (159, 1) = -0.33271103446682673e-2, (159, 2) = 0.13719539824332608e-2, (159, 3) = .9841383236747088, (159, 4) = 0.21142196023966428e-1, (159, 5) = -0.4122824677830502e-2, (159, 6) = -0.6464305200947549e-4, (159, 7) = 0.8216929414664662e-4, (160, 1) = -0.3246888216871749e-2, (160, 2) = 0.13370335160016358e-2, (160, 3) = .985383387995297, (160, 4) = 0.209001807532975e-1, (160, 5) = -0.4049476099124505e-2, (160, 6) = -0.5995056210962825e-4, (160, 7) = 0.7634950158779991e-4, (161, 1) = -0.31717820489926096e-2, (161, 2) = 0.13043663241526988e-2, (161, 3) = .9865655002073301, (161, 4) = 0.2067184982425839e-1, (161, 5) = -0.3980475008201402e-2, (161, 6) = -0.5575831327685825e-4, (161, 7) = 0.7113901558701944e-4, (162, 1) = -0.3101283157089607e-2, (162, 2) = 0.12737262794573984e-2, (162, 3) = .9876901928502866, (162, 4) = 0.20455929268952944e-1, (162, 5) = -0.3915405955558736e-2, (162, 6) = -0.51996993884276855e-4, (162, 7) = 0.6645462049558117e-4, (163, 1) = -0.3034948752530318e-2, (163, 2) = 0.12449168007795967e-2, (163, 3) = .9887623477334817, (163, 4) = 0.2025130191646246e-1, (163, 5) = -0.38539057244155925e-2, (163, 6) = -0.4860889607355352e-4, (163, 7) = 0.6222686084568878e-4, (164, 1) = -0.29723938930752585e-2, (164, 2) = 0.12177671724348386e-2, (164, 3) = .9897862525363109, (164, 4) = 0.20056990944072855e-1, (164, 5) = -0.37956574648679202e-2, (164, 6) = -0.45545777125153235e-4, (164, 7) = 0.58397541801037944e-4, (165, 1) = -0.29132816972746683e-2, (165, 2) = 0.11921281484142164e-2, (165, 3) = .9907656989607102, (165, 4) = 0.19872136498653162e-1, (165, 5) = -0.3740382918721448e-2, (165, 6) = -0.427670184725108e-4, (165, 7) = 0.5491755877317205e-4, (166, 1) = -0.28573153562169145e-2, (166, 2) = 0.11678683701705991e-2, (166, 3) = .9917040645449797, (166, 4) = 0.1969597641041645e-1, (166, 5) = -0.3687836034699237e-2, (166, 6) = -0.4023818885023187e-4, (166, 7) = 0.51745199342617154e-4, (167, 1) = -0.28042322593080844e-2, (167, 2) = 0.1144871726603264e-2, (167, 3) = .9926043695551816, (167, 4) = 0.19527832369525187e-1, (167, 5) = -0.36377983421639662e-2, (167, 6) = -0.37929943037897354e-4, (167, 7) = 0.488448409496686e-4, (168, 1) = -0.2753799130211681e-2, (168, 2) = 0.1123035170937828e-2, (168, 3) = .9934693246139872, (168, 4) = 0.19367098410542075e-1, (168, 5) = -0.3590075107388287e-2, (168, 6) = -0.358171430611698e-4, (168, 7) = 0.4618590926945546e-4, (169, 1) = -0.27058079781715864e-2, (169, 2) = 0.11022669058035406e-2, (169, 3) = .9943013707458818, (169, 4) = 0.19213231273768283e-1, (169, 5) = -0.3544492124080056e-2, (169, 6) = -0.3387815201610202e-4, (169, 7) = 0.4374203936585028e-4, (170, 1) = -0.26600725198970194e-2, (170, 2) = 0.10824847840107225e-2, (170, 3) = .9951027165532491, (170, 4) = 0.19065741682178818e-1, (170, 5) = -0.35008928380502657e-2, (170, 6) = -0.3209425552245678e-4, (170, 7) = 0.41490386487098785e-4, (171, 1) = -0.26164251077657906e-2, (171, 2) = 0.10636149381462077e-2, (171, 3) = .995875371044721, (171, 4) = 0.18924186748013903e-1, (171, 5) = -0.3459135858949456e-2, (171, 6) = -0.30449189658006313e-4, (171, 7) = 0.3941106244803707e-4, (172, 1) = -0.25747154845888296e-2, (172, 2) = 0.10455912073515348e-2, (172, 3) = .9966211475552713, (172, 4) = 0.18788167920810266e-1, (172, 5) = -0.34190941466821535e-2, (172, 6) = -0.2892880415481513e-4, (172, 7) = 0.3748673617539756e-4, (173, 1) = -0.2534807981217631e-2, (173, 2) = 0.10283538966235138e-2, (173, 3) = .9973416977524165, (173, 4) = 0.18657323601527533e-1, (173, 5) = -0.33806526539177733e-2, (173, 6) = -0.2752071779279574e-4, (173, 7) = 0.35702219193114476e-4, (174, 1) = -0.24965796986488663e-2, (174, 2) = 0.10118489671315971e-2, (174, 3) = .9980385309827882, (174, 4) = 0.18531324646632825e-1, (174, 5) = -0.3343706853010833e-2, (174, 6) = -0.26214056372779796e-4, (174, 7) = 0.3404415118123037e-4, (175, 1) = -0.24599190164938103e-2, (175, 2) = 0.9960273716355223e-3, (175, 3) = .9987130298125714, (175, 4) = 0.18409870712982543e-1, (175, 5) = -0.3308161533747031e-2, (175, 6) = -0.24999237164889492e-4, (175, 7) = 0.3250074101975441e-4, (176, 1) = -0.2424724307108064e-2, (176, 2) = 0.9808444820542108e-3, (176, 3) = .999366463543249, (176, 4) = 0.18292687091506932e-1, (176, 5) = -0.32739297639363773e-2, (176, 6) = -0.2386778854087962e-4, (176, 7) = 0.31061549736597884e-4, (177, 1) = -0.23909028232950774e-2, (177, 2) = 0.9662595947245867e-3, (177, 3) = 1.0, (177, 4) = 0.18179521955803843e-1, (177, 5) = -0.32409319878966333e-2, (177, 6) = -0.22812198384621496e-4, (177, 7) = 0.29717307791158036e-4}, datatype = float[8], order = C_order); errproc := proc (x_bvp) local outpoint, X, Y, yout, L, V, i; option `Copyright (c) 2000 by Waterloo Maple Inc. All rights reserved.`; Digits := 15; outpoint := evalf(x_bvp); X := Vector(177, {(1) = .1, (2) = .13432431415631105, (3) = .16865165190091197, (4) = .202985958039896, (5) = .23732533659105348, (6) = .2716788241585104, (7) = .30604559361419775, (8) = .3404355394485909, (9) = .3748529011933503, (10) = .4093061022796795, (11) = .44380716982563195, (12) = .47836387534050584, (13) = .512995852912669, (14) = .5477165596092971, (15) = .5825440749488203, (16) = .617499631782922, (17) = .6526070635536141, (18) = .6878927128084736, (19) = .7233862578282453, (20) = .7591205797331673, (21) = .795131110399485, (22) = .8314537516454595, (23) = .868136597156794, (24) = .9052215072936881, (25) = .9427566773054169, (26) = .9807963691446203, (27) = 1.019390250121844, (28) = 1.0585930956320206, (29) = 1.0984604169171555, (30) = 1.1390444870104077, (31) = 1.1804077038174698, (32) = 1.222605314046431, (33) = 1.2656867522025514, (34) = 1.3097007904581703, (35) = 1.35469069615675, (36) = 1.4006929822839422, (37) = 1.447731690331962, (38) = 1.4958369065409785, (39) = 1.5450201198096045, (40) = 1.5952810827286137, (41) = 1.646612127195734, (42) = 1.6989954066809312, (43) = 1.7524040840585657, (44) = 1.806801993976599, (45) = 1.862146412251251, (46) = 1.9183893448840852, (47) = 1.9754805768192913, (48) = 2.0333655491409464, (49) = 2.09198758848087, (50) = 2.1512911903998386, (51) = 2.2112299885365556, (52) = 2.271742934464316, (53) = 2.3327750130678835, (54) = 2.3942834797609645, (55) = 2.4562254559367735, (56) = 2.518550408638634, (57) = 2.5812184684337374, (58) = 2.6441937416859225, (59) = 2.7074501856327, (60) = 2.770954649679994, (61) = 2.8346761833615464, (62) = 2.898592678498704, (63) = 2.962688121088583, (64) = 3.0269416312716424, (65) = 3.091328430651392, (66) = 3.155836619851239, (67) = 3.220454275768738, (68) = 3.285168541451302, (69) = 3.3499654130373253, (70) = 3.414829585389634, (71) = 3.4797579848516915, (72) = 3.5447435602802027, (73) = 3.609779652754643, (74) = 3.674861152412504, (75) = 3.7399848957435275, (76) = 3.8051508297379377, (77) = 3.8703655596105624, (78) = 3.935652421384301, (79) = 4.001077560861665, (80) = 4.0666510045970385, (81) = 4.132314229225371, (82) = 4.198000337516065, (83) = 4.263680764101562, (84) = 4.329336756026789, (85) = 4.394973340046662, (86) = 4.460588954073379, (87) = 4.526181509768576, (88) = 4.59174993915436, (89) = 4.6572937466339175, (90) = 4.722812832368339, (91) = 4.788307377913861, (92) = 4.853777459964835, (93) = 4.9192172921590585, (94) = 4.98463029125814, (95) = 5.0500209149724435, (96) = 5.115387283230868, (97) = 5.180725066182968, (98) = 5.246040278527776, (99) = 5.3113174587944965, (100) = 5.376570973389221, (101) = 5.44180368691663, (102) = 5.5070118178761875, (103) = 5.572199562571729, (104) = 5.637373294661837, (105) = 5.702517813103393, (106) = 5.767639827784657, (107) = 5.832736032997183, (108) = 5.897804505036399, (109) = 5.962849913789289, (110) = 6.0278771161534, (111) = 6.092882596362824, (112) = 6.157876605520855, (113) = 6.222850932401667, (114) = 6.287802017103068, (115) = 6.352734006431941, (116) = 6.4176483673997975, (117) = 6.482540451739694, (118) = 6.547416149850125, (119) = 6.6122680542862025, (120) = 6.677102130347337, (121) = 6.7419211005546, (122) = 6.8067248666742355, (123) = 6.871509114964304, (124) = 6.936266375612976, (125) = 7.0010059228545805, (126) = 7.065728682384006, (127) = 7.130434804847329, (128) = 7.195124539737002, (129) = 7.259798136520217, (130) = 7.324455844038698, (131) = 7.3890979060419335, (132) = 7.453724561298953, (133) = 7.518336044173569, (134) = 7.582932585751136, (135) = 7.647514413049672, (136) = 7.712081750883993, (137) = 7.776634831889643, (138) = 7.841173896857807, (139) = 7.905699203490006, (140) = 7.970211023056725, (141) = 8.034709635791245, (142) = 8.099195318161058, (143) = 8.163668350318732, (144) = 8.22812902562451, (145) = 8.292577648267015, (146) = 8.357014533032183, (147) = 8.42144000370015, (148) = 8.485854390888106, (149) = 8.550258023403897, (150) = 8.6146512403873, (151) = 8.679034390131827, (152) = 8.74340782797264, (153) = 8.807771917708358, (154) = 8.872127033100252, (155) = 8.93647355737236, (156) = 9.000811876240148, (157) = 9.065142395655199, (158) = 9.129062231749659, (159) = 9.190791738971976, (160) = 9.25002177586793, (161) = 9.306893224933363, (162) = 9.361586616509348, (163) = 9.414263699827062, (164) = 9.46506800130928, (165) = 9.514127801690371, (166) = 9.561558693204324, (167) = 9.60746518855213, (168) = 9.651942086110576, (169) = 9.695075631414408, (170) = 9.73694468456052, (171) = 9.777621794577053, (172) = 9.817172850818734, (173) = 9.855658388735026, (174) = 9.893134209297964, (175) = 9.929651857051025, (176) = 9.965259040121957, (177) = 10.0}, datatype = float[8], order = C_order); Y := Matrix(177, 7, {(1, 1) = .0, (1, 2) = -0.25133563359422095e-9, (1, 3) = .0, (1, 4) = .0, (1, 5) = 0.10748780804799623e-8, (1, 6) = .0, (1, 7) = -0.12934292747785471e-8, (2, 1) = -0.4822236359734921e-9, (2, 2) = 0.1291751262338101e-8, (2, 3) = 0.2499789735445234e-10, (2, 4) = 0.5322412113500357e-9, (2, 5) = -0.955358623267235e-9, (2, 6) = -0.38176982978996947e-9, (2, 7) = 0.1265038035903761e-9, (3, 1) = -0.4735204664889531e-9, (3, 2) = 0.9491466074483928e-9, (3, 3) = 0.4690091191230549e-10, (3, 4) = 0.5390956681805285e-9, (3, 5) = -0.7348597717138394e-9, (3, 6) = -0.40462997460214207e-9, (3, 7) = 0.7799800614856019e-10, (4, 1) = -0.4441257733459236e-9, (4, 2) = 0.7306037721941427e-9, (4, 3) = 0.6619035958041333e-10, (4, 4) = 0.5179121302450025e-9, (4, 5) = -0.570792194199048e-9, (4, 6) = -0.4041232372754603e-9, (4, 7) = 0.46984083322823474e-10, (5, 1) = -0.4191825922957931e-9, (5, 2) = 0.5972268762890003e-9, (5, 3) = 0.8413990150978722e-10, (5, 4) = 0.4985304486898765e-9, (5, 5) = -0.4702779357079129e-9, (5, 6) = -0.4019082568446425e-9, (5, 7) = 0.4082047310759462e-10, (6, 1) = -0.3986834175702839e-9, (6, 2) = 0.5078126984926554e-9, (6, 3) = 0.10125193344200593e-9, (6, 4) = 0.4822548440970703e-9, (6, 5) = -0.4037856571615858e-9, (6, 6) = -0.3997114276374773e-9, (6, 7) = 0.44757214339682084e-10, (7, 1) = -0.3813655097444669e-9, (7, 2) = 0.44322817506744626e-9, (7, 3) = 0.1177488502857477e-9, (7, 4) = 0.4683243907117529e-9, (7, 5) = -0.35642964265749337e-9, (7, 6) = -0.39751044675552513e-9, (7, 7) = 0.52360437146100357e-10, (8, 1) = -0.36633339855577963e-9, (8, 2) = 0.39403541257141004e-9, (8, 3) = 0.13375396569863634e-9, (8, 4) = 0.4560893201559204e-9, (8, 5) = -0.32077279352188766e-9, (8, 6) = -0.3951844650021857e-9, (8, 7) = 0.6104103873575669e-10, (9, 1) = -0.3530110444986799e-9, (9, 2) = 0.3551251388394599e-9, (9, 3) = 0.14934196109816663e-9, (9, 4) = 0.4451182466955199e-9, (9, 5) = -0.2928117915068498e-9, (9, 6) = -0.3926669510728056e-9, (9, 7) = 0.6973390343747467e-10, (10, 1) = -0.34102088912595253e-9, (10, 2) = 0.3234631262334646e-9, (10, 3) = 0.16456602449853078e-9, (10, 4) = 0.4351229121500295e-9, (10, 5) = -0.27020202072419514e-9, (10, 6) = -0.38992802616804567e-9, (10, 7) = 0.7800637668800004e-10, (11, 1) = -0.33009810558916964e-9, (11, 2) = 0.29712810504566086e-9, (11, 3) = 0.1794671206264596e-9, (11, 4) = 0.42590380686280173e-9, (11, 5) = -0.25147578918457037e-9, (11, 6) = -0.38695966267997214e-9, (11, 7) = 0.8569539295634197e-10, (12, 1) = -0.32005141372407416e-9, (12, 2) = 0.2748390161414916e-9, (12, 3) = 0.19407559035522606e-9, (12, 4) = 0.4173192828796213e-9, (12, 5) = -0.23566948004497193e-9, (12, 6) = -0.38376658741537674e-9, (12, 7) = 0.9275123416959122e-10, (13, 1) = -0.3107415781995943e-9, (13, 2) = 0.25569566715949626e-9, (13, 3) = 0.20842107524399382e-9, (13, 4) = 0.4092616740027893e-9, (13, 5) = -0.2221146462535113e-9, (13, 6) = -0.3803576532325859e-9, (13, 7) = 0.9918763909766301e-10, (14, 1) = -0.3020547486931774e-9, (14, 2) = 0.23905632169492564e-9, (14, 3) = 0.22252653396896042e-9, (14, 4) = 0.40165000386117793e-9, (14, 5) = -0.21033646928053961e-9, (14, 6) = -0.3767450629818431e-9, (14, 7) = 0.1050316206286602e-9, (15, 1) = -0.2939050674611193e-9, (15, 2) = 0.2244410956663784e-9, (15, 3) = 0.2364129701052877e-9, (15, 4) = 0.39442041537530405e-9, (15, 5) = -0.1999871871687752e-9, (15, 6) = -0.3729413746558997e-9, (15, 7) = 0.11032191552202252e-9, (16, 1) = -0.286222106757177e-9, (16, 2) = 0.21148559484473567e-9, (16, 3) = 0.2501005847357134e-9, (16, 4) = 0.38752041128926003e-9, (16, 5) = -0.19080406100056436e-9, (16, 6) = -0.36895830719220893e-9, (16, 7) = 0.11509985495828057e-9, (17, 1) = -0.27894813473489e-9, (17, 2) = 0.19990993266642248e-9, (17, 3) = 0.2636080867768676e-9, (17, 4) = 0.38090785767399594e-9, (17, 5) = -0.18258498829123314e-9, (17, 6) = -0.3648063902168073e-9, (17, 7) = 0.11940455739879428e-9, (18, 1) = -0.27203377299844357e-9, (18, 2) = 0.18949251113976552e-9, (18, 3) = 0.2769531503258719e-9, (18, 4) = 0.37454645571624524e-9, (18, 5) = -0.17517235332104338e-9, (18, 6) = -0.36049503213976123e-9, (18, 7) = 0.12327029378294546e-9, (19, 1) = -0.2654380018357667e-9, (19, 2) = 0.18005609524436158e-9, (19, 3) = 0.29015352124528096e-9, (19, 4) = 0.36840588937618217e-9, (19, 5) = -0.1684404255060993e-9, (19, 6) = -0.35603302336135194e-9, (19, 7) = 0.12672994380140462e-9, (20, 1) = -0.2591249207945148e-9, (20, 2) = 0.17145908392284244e-9, (20, 3) = 0.3032258092511636e-9, (20, 4) = 0.3624596527318036e-9, (20, 5) = -0.16228840536977783e-9, (20, 6) = -0.3514279783195208e-9, (20, 7) = 0.1298127371652538e-9, (21, 1) = -0.25306422276752354e-9, (21, 2) = 0.16358246686013007e-9, (21, 3) = 0.31618709867295386e-9, (21, 4) = 0.3566852140556996e-9, (21, 5) = -0.15663281162411897e-9, (21, 6) = -0.3466852074439036e-9, (21, 7) = 0.13254460203844536e-9, (22, 1) = -0.24722947014827626e-9, (22, 2) = 0.15633237994447384e-9, (22, 3) = 0.32905279765740313e-9, (22, 4) = 0.35106197738678446e-9, (22, 5) = -0.15140702081415211e-9, (22, 6) = -0.34181104869694363e-9, (22, 7) = 0.1349481998052051e-9, (23, 1) = -0.24159525855122816e-9, (23, 2) = 0.14962663284565797e-9, (23, 3) = 0.34184129986409534e-9, (23, 4) = 0.3455710901981431e-9, (23, 5) = -0.1465545388780879e-9, (23, 6) = -0.33680799761451423e-9, (23, 7) = 0.13704217031147442e-9, (24, 1) = -0.23614219852260766e-9, (24, 2) = 0.14339762247954253e-9, (24, 3) = 0.35456787888180087e-9, (24, 4) = 0.3401969862063632e-9, (24, 5) = -0.14202679880817453e-9, (24, 6) = -0.33167891838231315e-9, (24, 7) = 0.13884542358546385e-9, (25, 1) = -0.23085059138136459e-9, (25, 2) = 0.13758834302914604e-9, (25, 3) = 0.36724842673314724e-9, (25, 4) = 0.3349243442395313e-9, (25, 5) = -0.13778527402894338e-9, (25, 6) = -0.3264271673931953e-9, (25, 7) = 0.14037251215241305e-9, (26, 1) = -0.22570373952624887e-9, (26, 2) = 0.13214994434323748e-9, (26, 3) = 0.3798999867538572e-9, (26, 4) = 0.3297396272364163e-9, (26, 5) = -0.13379429370372647e-9, (26, 6) = -0.3210523981912681e-9, (26, 7) = 0.14163621638420803e-9, (27, 1) = -0.22068712704508097e-9, (27, 2) = 0.1270412908532785e-9, (27, 3) = 0.39253681082283613e-9, (27, 4) = 0.3246307708269583e-9, (27, 5) = -0.13002582884620115e-9, (27, 6) = -0.31555624453007013e-9, (27, 7) = 0.14264832087492047e-9, (28, 1) = -0.21578731325972487e-9, (28, 2) = 0.12222712607848792e-9, (28, 3) = 0.4051735785720333e-9, (28, 4) = 0.319586871397829e-9, (28, 5) = -0.12645492465037684e-9, (28, 6) = -0.3099389237474639e-9, (28, 7) = 0.14341746981326065e-9, (29, 1) = -0.21099190569243325e-9, (29, 2) = 0.11767622332477985e-9, (29, 3) = 0.41782413871370106e-9, (29, 4) = 0.31459713589030673e-9, (29, 5) = -0.12306017230164548e-9, (29, 6) = -0.30420122651924197e-9, (29, 7) = 0.14395168130955385e-9, (30, 1) = -0.2062913796265655e-9, (30, 2) = 0.11336297440012964e-9, (30, 3) = 0.4305002727590064e-9, (30, 4) = 0.30965368144992986e-9, (30, 5) = -0.1198224199722497e-9, (30, 6) = -0.29834324841155765e-9, (30, 7) = 0.14425820561328524e-9, (31, 1) = -0.20167543145855411e-9, (31, 2) = 0.10926367675168289e-9, (31, 3) = 0.4432157990459678e-9, (31, 4) = 0.30474753102929854e-9, (31, 5) = -0.11672648830301723e-9, (31, 6) = -0.29236553478707224e-9, (31, 7) = 0.14434264568809095e-9, (32, 1) = -0.19713587803636631e-9, (32, 2) = 0.10535849256830875e-9, (32, 3) = 0.4559811480098555e-9, (32, 4) = 0.29987149994194555e-9, (32, 5) = -0.11375748988966459e-9, (32, 6) = -0.28626765172624023e-9, (32, 7) = 0.14420916355947746e-9, (33, 1) = -0.19266703741622537e-9, (33, 2) = 0.10163152267693176e-9, (33, 3) = 0.468804140242033e-9, (33, 4) = 0.29501949561639447e-9, (33, 5) = -0.11090365983769633e-9, (33, 6) = -0.28005288243174855e-9, (33, 7) = 0.1438623405988644e-9, (34, 1) = -0.18826236971018196e-9, (34, 2) = 0.9806744012823473e-10, (34, 3) = 0.4816914686457909e-9, (34, 4) = 0.29018599683608335e-9, (34, 5) = -0.1081551639622339e-9, (34, 6) = -0.27372319868693324e-9, (34, 7) = 0.14330559065581606e-9, (35, 1) = -0.18391739026145476e-9, (35, 2) = 0.9465420057864679e-10, (35, 3) = 0.4946471147612365e-9, (35, 4) = 0.28536790964775523e-9, (35, 5) = -0.10550312893821894e-9, (35, 6) = -0.26728271148470323e-9, (35, 7) = 0.14254283649475636e-9, (36, 1) = -0.1796290326417921e-9, (36, 2) = 0.9138103278655448e-10, (36, 3) = 0.5076726524594222e-9, (36, 4) = 0.28056195093997926e-9, (36, 5) = -0.1029400324744031e-9, (36, 6) = -0.26073698096959233e-9, (36, 7) = 0.14157756810199448e-9, (37, 1) = -0.17539547636232187e-9, (37, 2) = 0.8823883513563119e-10, (37, 3) = 0.5207659528703415e-9, (37, 4) = 0.2757676995363159e-9, (37, 5) = -0.10045975867444299e-9, (37, 6) = -0.2540932633148623e-9, (37, 7) = 0.14041329069777054e-9, (38, 1) = -0.1712145116362773e-9, (38, 2) = 0.8521968079420024e-10, (38, 3) = 0.5339253806526229e-9, (38, 4) = 0.2709816307404778e-9, (38, 5) = -0.9805638569026587e-10, (38, 6) = -0.2473594483835658e-9, (38, 7) = 0.1390550150747939e-9, (39, 1) = -0.16708614348926574e-9, (39, 2) = 0.8231706552060182e-10, (39, 3) = 0.547144299171384e-9, (39, 4) = 0.2662056438391908e-9, (39, 5) = -0.9572565144131231e-10, (39, 6) = -0.2405458208104288e-9, (39, 7) = 0.1375077751873039e-9, (40, 1) = -0.16301069952118687e-9, (40, 2) = 0.7952499135640627e-10, (40, 3) = 0.5604133509423026e-9, (40, 4) = 0.26144129521059254e-9, (40, 5) = -0.9346372481169876e-10, (40, 6) = -0.23366459995648096e-9, (40, 7) = 0.13577717678093516e-9, (41, 1) = -0.158989817473586e-9, (41, 2) = 0.7683928985529501e-10, (41, 3) = 0.5737201578239992e-9, (41, 4) = 0.2566900700893248e-9, (41, 5) = -0.9126758012947667e-10, (41, 6) = -0.22672984593116725e-9, (41, 7) = 0.13387053757566127e-9, (42, 1) = -0.15502483153316906e-9, (42, 2) = 0.7425508875677405e-10, (42, 3) = 0.5870514200556596e-9, (42, 4) = 0.251955080921043e-9, (42, 5) = -0.8913398787267396e-10, (42, 6) = -0.21975677997761107e-9, (42, 7) = 0.13179665822801967e-9, (43, 1) = -0.15111813361978065e-9, (43, 2) = 0.717689508221198e-10, (43, 3) = 0.6003915161923434e-9, (43, 4) = 0.24724066175948746e-9, (43, 5) = -0.8706173466119875e-10, (43, 6) = -0.21276123072080293e-9, (43, 7) = 0.12956460370331698e-9, (44, 1) = -0.1472719831472899e-9, (44, 2) = 0.6937737858129648e-10, (44, 3) = 0.61372174261653e-9, (44, 4) = 0.24255055440537196e-9, (44, 5) = -0.850482954542035e-10, (44, 6) = -0.20576167792240652e-9, (44, 7) = 0.12718475337204908e-9, (45, 1) = -0.14348909059030847e-9, (45, 2) = 0.6707735490401772e-10, (45, 3) = 0.6270251558459976e-9, (45, 4) = 0.2378876535417994e-9, (45, 5) = -0.8309171565579169e-10, (45, 6) = -0.19877510496972733e-9, (45, 7) = 0.1246691074748796e-9, (46, 1) = -0.13977224131761695e-9, (46, 2) = 0.6486578381007288e-10, (46, 3) = 0.6402834574063305e-9, (46, 4) = 0.2332605542006165e-9, (46, 5) = -0.8119095085305585e-10, (46, 6) = -0.19181963160364122e-9, (46, 7) = 0.12202970885015615e-9, (47, 1) = -0.13612333265013527e-9, (47, 2) = 0.6273962017101276e-10, (47, 3) = 0.6534782659660732e-9, (47, 4) = 0.22866963665007658e-9, (47, 5) = -0.7934397968198933e-10, (47, 6) = -0.1849128525694979e-9, (47, 7) = 0.11927937650694392e-9, (48, 1) = -0.1325449414570179e-9, (48, 2) = 0.6069601337261652e-10, (48, 3) = 0.6665913117637493e-9, (48, 4) = 0.2241217307746333e-9, (48, 5) = -0.7754946037125802e-10, (48, 6) = -0.17807170048392828e-9, (48, 7) = 0.1164320231963305e-9, (49, 1) = -0.12903865819132066e-9, (49, 2) = 0.5873213259749112e-10, (49, 3) = 0.679606416918663e-9, (49, 4) = 0.21961882325135148e-9, (49, 5) = -0.7580608918744382e-10, (49, 6) = -0.17131288007210077e-9, (49, 7) = 0.11350119171360047e-9, (50, 1) = -0.1256061461749483e-9, (50, 2) = 0.5684506778857276e-10, (50, 3) = 0.692506613829254e-9, (50, 4) = 0.21516617749880193e-9, (50, 5) = -0.7411254642559951e-10, (50, 6) = -0.16465125381821867e-9, (50, 7) = 0.11050012580587676e-9, (51, 1) = -0.12224816114420096e-9, (51, 2) = 0.5503152690500283e-10, (51, 3) = 0.7052806320244042e-9, (51, 4) = 0.21076596885217913e-9, (51, 5) = -0.7246680269519579e-10, (51, 6) = -0.15809991937359541e-9, (51, 7) = 0.10744258215702968e-9, (52, 1) = -0.1189655926860609e-9, (52, 2) = 0.53289087268733294e-10, (52, 3) = 0.7179103764981454e-9, (52, 4) = 0.20642326263827707e-9, (52, 5) = -0.7086755493948269e-10, (52, 6) = -0.15167200258860118e-9, (52, 7) = 0.10434186442026731e-9, (53, 1) = -0.11575985059547016e-9, (53, 2) = 0.516148211081032e-10, (53, 3) = 0.7303863430846644e-9, (53, 4) = 0.20213900611511557e-9, (53, 5) = -0.6931374569883764e-10, (53, 6) = -0.14537942014199397e-9, (53, 7) = 0.10121113477442049e-9, (54, 1) = -0.11263007044960751e-9, (54, 2) = 0.50005730903456676e-10, (54, 3) = 0.7426967671036052e-9, (54, 4) = 0.1979160900085421e-9, (54, 5) = -0.6780348622521023e-10, (54, 6) = -0.13923111798488457e-9, (54, 7) = 0.980620068570324e-10, (55, 1) = -0.1095761940909322e-9, (55, 2) = 0.4845909087022527e-10, (55, 3) = 0.7548353635824616e-9, (55, 4) = 0.19375595267806383e-9, (55, 5) = -0.6633522100935265e-10, (55, 6) = -0.13323534944445024e-9, (55, 7) = 0.9490596285123504e-10, (56, 1) = -0.1065984504918604e-9, (56, 2) = 0.4697226690721809e-10, (56, 3) = 0.7667902304253112e-9, (56, 4) = 0.18965950044270478e-9, (56, 5) = -0.6490771086386615e-10, (56, 6) = -0.1273994576673779e-9, (56, 7) = 0.9175404401695437e-10, (57, 1) = -0.10369595595090755e-9, (57, 2) = 0.45542696012926026e-10, (57, 3) = 0.778556793025425e-9, (57, 4) = 0.1856312972726619e-9, (57, 5) = -0.6351981357404045e-10, (57, 6) = -0.12172894374870717e-9, (57, 7) = 0.8861618584892101e-10, (58, 1) = -0.1008674248650476e-9, (58, 2) = 0.44167509118960435e-10, (58, 3) = 0.7901282528356496e-9, (58, 4) = 0.1816689005601506e-9, (58, 5) = -0.6216955980948554e-10, (58, 6) = -0.11622820480113498e-9, (58, 7) = 0.8550149102221199e-10, (59, 1) = -0.9811216105413218e-10, (59, 2) = 0.4284446467824523e-10, (59, 3) = 0.8015028238903295e-9, (59, 4) = 0.17777286746673866e-9, (59, 5) = -0.6085582711854137e-10, (59, 6) = -0.11089945666474679e-9, (59, 7) = 0.8241775440515545e-10, (60, 1) = -0.954284917777356e-10, (60, 2) = 0.41570814245508714e-10, (60, 3) = 0.8126770292454439e-9, (60, 4) = 0.17394354783946692e-9, (60, 5) = -0.5957709600406618e-10, (60, 6) = -0.10574533301767726e-9, (60, 7) = 0.7937281914298082e-10, (61, 1) = -0.9281564411951234e-10, (61, 2) = 0.4034464547926178e-10, (61, 3) = 0.8236472846736369e-9, (61, 4) = 0.1701833036818964e-9, (61, 5) = -0.5833206612773767e-10, (61, 6) = -0.10076676711512439e-9, (61, 7) = 0.7637315322789134e-10, (62, 1) = -0.9027177347486823e-10, (62, 2) = 0.3916354207986905e-10, (62, 3) = 0.8344124201743041e-9, (62, 4) = 0.16648946902577382e-9, (62, 5) = -0.57119532685498765e-10, (62, 6) = -0.9596390927186278e-10, (62, 7) = 0.7342478496541387e-10, (63, 1) = -0.8779535909357898e-10, (63, 2) = 0.38025284248982297e-10, (63, 3) = 0.8449739575048797e-9, (63, 4) = 0.16286276922895867e-9, (63, 5) = -0.559382759394972e-10, (63, 6) = -0.9133564683145688e-10, (63, 7) = 0.7053216538831238e-10, (64, 1) = -0.85384725616473e-10, (64, 2) = 0.3692798253782136e-10, (64, 3) = 0.8553287704958263e-9, (64, 4) = 0.15930123661278354e-9, (64, 5) = -0.5478695255849285e-10, (64, 6) = -0.8688048760078013e-10, (64, 7) = 0.6769996617461846e-10, (65, 1) = -0.8303858586558454e-10, (65, 2) = 0.3586972810555899e-10, (65, 3) = 0.8654792625877007e-9, (65, 4) = 0.15580572742598036e-9, (65, 5) = -0.5366459334902178e-10, (65, 6) = -0.8259732044904485e-10, (65, 7) = 0.6493223337250637e-10, (66, 1) = -0.807553665752725e-10, (66, 2) = 0.3484874891749666e-10, (66, 3) = 0.8754229593508381e-9, (66, 4) = 0.15237695927329908e-9, (66, 5) = -0.5257035145612129e-10, (66, 6) = -0.7848320040395083e-10, (66, 7) = 0.6223187771979038e-10, (67, 1) = -0.7853315297348665e-10, (67, 2) = 0.3386329237172156e-10, (67, 3) = 0.885165445866046e-9, (67, 4) = 0.1490103257593343e-9, (67, 5) = -0.5150279117922608e-10, (67, 6) = -0.7453518587140608e-10, (67, 7) = 0.5960130904556973e-10, (68, 1) = -0.7637040944820784e-10, (68, 2) = 0.32911598715581086e-10, (68, 3) = 0.8947061739850112e-9, (68, 4) = 0.14570759006284784e-9, (68, 5) = -0.504611198616976e-10, (68, 6) = -0.7075006164056328e-10, (68, 7) = 0.5704255975961135e-10, (69, 1) = -0.7426549605081863e-10, (69, 2) = 0.3199235797200081e-10, (69, 3) = 0.904048186545148e-9, (69, 4) = 0.1424684240627569e-9, (69, 5) = -0.4944443684085938e-10, (69, 6) = -0.6712419841427728e-10, (69, 7) = 0.54557366207916695e-10, (70, 1) = -0.7221736654632416e-10, (70, 2) = 0.3110410103296062e-10, (70, 3) = 0.9131882538741332e-9, (70, 4) = 0.13929036342156035e-9, (70, 5) = -0.4845189373502177e-10, (70, 6) = -0.6365420342795148e-10, (70, 7) = 0.52146975427501514e-10, (71, 1) = -0.7022398200997068e-10, (71, 2) = 0.3024543577941304e-10, (71, 3) = 0.9221360415260171e-9, (71, 4) = 0.1361737081764052e-9, (71, 5) = -0.47482600051318345e-10, (71, 6) = -0.6033547561400346e-10, (71, 7) = 0.49811942430394064e-10, (72, 1) = -0.6828362500748702e-10, (72, 2) = 0.2941489991841159e-10, (72, 3) = 0.930888601393734e-9, (72, 4) = 0.1331159476612379e-9, (72, 5) = -0.4653580535043946e-10, (72, 6) = -0.5716398926445834e-10, (72, 7) = 0.475524649852525e-10, (73, 1) = -0.6639510603152035e-10, (73, 2) = 0.286115228092632e-10, (73, 3) = 0.9394523079129564e-9, (73, 4) = 0.13011733075793917e-9, (73, 5) = -0.4561077481881523e-10, (73, 6) = -0.54135115189872115e-10, (73, 7) = 0.4536866881070352e-10, (74, 1) = -0.645568753974836e-10, (74, 2) = 0.2783391240528995e-10, (74, 3) = 0.9478299584253005e-9, (74, 4) = 0.12717630383541154e-9, (74, 5) = -0.4470657527840883e-10, (74, 6) = -0.5124454519891209e-10, (74, 7) = 0.4326026143353661e-10, (75, 1) = -0.6276724784350272e-10, (75, 2) = 0.27081107173027596e-10, (75, 3) = 0.956021311487774e-9, (75, 4) = 0.1242898751621955e-9, (75, 5) = -0.43822448468142216e-10, (75, 6) = -0.4848759364943523e-10, (75, 7) = 0.41226529155491094e-10, (76, 1) = -0.6102491550561366e-10, (76, 2) = 0.26351883619454057e-10, (76, 3) = 0.9640326746315502e-9, (76, 4) = 0.121460477587425e-9, (76, 5) = -0.4295805432634064e-10, (76, 6) = -0.4585957834722676e-10, (76, 7) = 0.39266766672733285e-10, (77, 1) = -0.5932805568253786e-10, (77, 2) = 0.25645207179705036e-10, (77, 3) = 0.971865921545455e-9, (77, 4) = 0.11868506629827273e-9, (77, 5) = -0.4211247126952791e-10, (77, 6) = -0.43355676647937267e-10, (77, 7) = 0.37379698125788404e-10, (78, 1) = -0.5767472162072739e-10, (78, 2) = 0.24960016150123966e-10, (78, 3) = 0.979527272820239e-9, (78, 4) = 0.11596023227128644e-9, (78, 5) = -0.4128474523380456e-10, (78, 6) = -0.4097042064765802e-10, (78, 7) = 0.35563538933466515e-10, (79, 1) = -0.56062278773629755e-10, (79, 2) = 0.24294558885869108e-10, (79, 3) = 0.9870304765706218e-9, (79, 4) = 0.1132842332370745e-9, (79, 5) = -0.4047347361338713e-10, (79, 6) = -0.3869723877794528e-10, (79, 7) = 0.3381536009462095e-10, (80, 1) = -0.5448940782255379e-10, (80, 2) = 0.23648210403970446e-10, (80, 3) = 0.994373920621701e-9, (80, 4) = 0.11065398015669131e-9, (80, 5) = -0.39678136755576145e-10, (80, 6) = -0.36531778065328024e-10, (80, 7) = 0.32133775021841036e-10, (81, 1) = -0.52956076563351886e-10, (81, 2) = 0.23020634601627332e-10, (81, 3) = 0.10015578355642333e-8, (81, 4) = 0.10807290223640643e-9, (81, 5) = -0.38898839909173874e-10, (81, 6) = -0.3447214832243887e-10, (81, 7) = 0.3051913043551198e-10, (82, 1) = -0.5146276180186555e-10, (82, 2) = 0.22411874260840103e-10, (82, 3) = 0.10085763899854806e-8, (82, 4) = 0.1055410648564232e-9, (82, 5) = -0.38136245666705616e-10, (82, 6) = -0.32516021075844286e-10, (82, 7) = 0.28971490315933258e-10, (83, 1) = -0.5000912520995857e-10, (83, 2) = 0.21821342830068495e-10, (83, 3) = 0.10154312004191943e-8, (83, 4) = 0.10305955865797805e-9, (83, 5) = -0.37389798155327645e-10, (83, 6) = -0.3065998978540357e-10, (83, 7) = 0.27489757167180907e-10, (84, 1) = -0.4859428466255206e-10, (84, 2) = 0.21248577059062134e-10, (84, 3) = 0.10221196610682969e-8, (84, 4) = 0.1006273316758632e-9, (84, 5) = -0.366593448426289e-10, (84, 6) = -0.28900208991190788e-10, (84, 7) = 0.2607253753742099e-10, (85, 1) = -0.47216941209601755e-10, (85, 2) = 0.2069281771249485e-10, (85, 3) = 0.10286458303596705e-8, (85, 4) = 0.9824302321628248e-10, (85, 5) = -0.3594449952721954e-10, (85, 6) = -0.27232289002638088e-10, (85, 7) = 0.2471776526401278e-10, (86, 1) = -0.4587603850181021e-10, (86, 2) = 0.201534052940794e-10, (86, 3) = 0.10350205574204247e-8, (86, 4) = 0.9590484830894483e-10, (86, 5) = -0.35244600053546624e-10, (86, 6) = -0.2565211417447784e-10, (86, 7) = 0.23423564263486646e-10, (87, 1) = -0.44570427444179945e-10, (87, 2) = 0.19629813990776138e-10, (87, 3) = 0.10412377532833149e-8, (87, 4) = 0.9361470603911598e-10, (87, 5) = -0.34559475928237606e-10, (87, 6) = -0.2415576255235988e-10, (87, 7) = 0.22188010686861947e-10, (88, 1) = -0.43299205036542566e-10, (88, 2) = 0.19121396301621412e-10, (88, 3) = 0.10473038270512812e-8, (88, 4) = 0.9136975261118352e-10, (88, 5) = -0.33888742228378605e-10, (88, 6) = -0.22739391561818352e-10, (88, 7) = 0.21009171213129243e-10, (89, 1) = -0.4206136621816841e-10, (89, 2) = 0.1862763193300451e-10, (89, 3) = 0.1053220826440606e-8, (89, 4) = 0.8916812971164093e-10, (89, 5) = -0.3323194858271513e-10, (89, 6) = -0.21399256766972228e-10, (89, 7) = 0.19885123465220818e-10, (90, 1) = -0.4085588310966399e-10, (90, 2) = 0.18148024520178687e-10, (90, 3) = 0.10589955041451046e-8, (90, 4) = 0.870102840089945e-10, (90, 5) = -0.32588484240228997e-10, (90, 6) = -0.20131789912960962e-10, (90, 7) = 0.1881389542009739e-10, (91, 1) = -0.3968185166790285e-10, (91, 2) = 0.1768202815418893e-10, (91, 3) = 0.10646265232891785e-8, (91, 4) = 0.8489553195210622e-10, (91, 5) = -0.3195843436574123e-10, (91, 6) = -0.18933463049862498e-10, (91, 7) = 0.17793581660786366e-10, (92, 1) = -0.3853832902129189e-10, (92, 2) = 0.1722922578935513e-10, (92, 3) = 0.10701178713516793e-8, (92, 4) = 0.8282293669401647e-10, (92, 5) = -0.3134115943239919e-10, (92, 6) = -0.17800978202007475e-10, (92, 7) = 0.16822264914732218e-10, (93, 1) = -0.37424669181434964e-10, (93, 2) = 0.16789122412977386e-10, (93, 3) = 0.10754723856152606e-8, (93, 4) = 0.8079060721002729e-10, (93, 5) = -0.30736550226877975e-10, (93, 6) = -0.16731181911091006e-10, (93, 7) = 0.15898179284081475e-10, (94, 1) = -0.3633984344798148e-10, (94, 2) = 0.1636136007680888e-10, (94, 3) = 0.1080694913077139e-8, (94, 4) = 0.7879810368988039e-10, (94, 5) = -0.30144170280229594e-10, (94, 6) = -0.1572093396812334e-10, (94, 7) = 0.15019396209421985e-10, (95, 1) = -0.3528295959502651e-10, (95, 2) = 0.15945431111723886e-10, (95, 3) = 0.10857842746568276e-8, (95, 4) = 0.7684526168038454e-10, (95, 5) = -0.29563770509365825e-10, (95, 6) = -0.1476718725922153e-10, (95, 7) = 0.14184084832010438e-10, (96, 1) = -0.34253341623023184e-10, (96, 2) = 0.15540982368433098e-10, (96, 3) = 0.1090745090008393e-8, (96, 4) = 0.7492994656021819e-10, (96, 5) = -0.28994985820475658e-10, (96, 6) = -0.1386715343683189e-10, (96, 7) = 0.13390505826113743e-10, (97, 1) = -0.3325026905308442e-10, (97, 2) = 0.15147620208866446e-10, (97, 3) = 0.1095581663622364e-8, (97, 4) = 0.7305312971306977e-10, (97, 5) = -0.2843762234102979e-10, (97, 6) = -0.13018130971366204e-10, (97, 7) = 0.12636963284411881e-10, (98, 1) = -0.3227290366515648e-10, (98, 2) = 0.147650429647678e-10, (98, 3) = 0.11002947854437276e-8, (98, 4) = 0.7121225709966904e-10, (98, 5) = -0.27891434655293842e-10, (98, 6) = -0.12217450392363468e-10, (98, 7) = 0.11921702204802202e-10, (99, 1) = -0.3132080420646942e-10, (99, 2) = 0.14392920682890967e-10, (99, 3) = 0.11048831639640239e-8, (99, 4) = 0.6940775972450926e-10, (99, 5) = -0.27356201034967982e-10, (99, 6) = -0.11462781048113319e-10, (99, 7) = 0.1124326590913559e-10, (100, 1) = -0.3039298764179678e-10, (100, 2) = 0.14030857509215677e-10, (100, 3) = 0.1109356892219946e-8, (100, 4) = 0.676397259657339e-10, (100, 5) = -0.26831570391908562e-10, (100, 6) = -0.10751575098641281e-10, (100, 7) = 0.10599889734684021e-10, (101, 1) = -0.29488761953278224e-10, (101, 2) = 0.13678526761319882e-10, (101, 3) = 0.11137144524208188e-8, (101, 4) = 0.6590478075005809e-10, (101, 5) = -0.26317299185941288e-10, (101, 6) = -0.10081506050647998e-10, (101, 7) = 0.999000377791946e-11, (102, 1) = -0.28607607795422616e-10, (102, 2) = 0.133356401806779e-10, (102, 3) = 0.1117958634990215e-8, (102, 4) = 0.6420506271081726e-10, (102, 5) = -0.25813196450715664e-10, (102, 6) = -0.9450437138368041e-11, (102, 7) = 0.941214568419086e-11, (103, 1) = -0.2774875412567413e-10, (103, 2) = 0.13001895950288143e-10, (103, 3) = 0.11220903726978504e-8, (103, 4) = 0.6253786452945416e-10, (103, 5) = -0.25319039475505215e-10, (103, 6) = -0.8856275269538403e-11, (103, 7) = 0.88648554303843e-11, (104, 1) = -0.26911598790166447e-10, (104, 2) = 0.12676995076335476e-10, (104, 3) = 0.11261152671984882e-8, (104, 4) = 0.609021937252899e-10, (104, 5) = -0.24834523744108644e-10, (104, 6) = -0.8296967223918404e-11, (104, 7) = 0.8346651823328133e-11, (105, 1) = -0.2609571741139721e-10, (105, 2) = 0.12360707018358898e-10, (105, 3) = 0.11300290116370514e-8, (105, 4) = 0.5929939405437904e-10, (105, 5) = -0.24359564511586517e-10, (105, 6) = -0.7770759456933992e-11, (105, 7) = 0.7856315718077717e-11, (106, 1) = -0.2530044333188704e-10, (106, 2) = 0.12052784144741168e-10, (106, 3) = 0.11338381262505208e-8, (106, 4) = 0.577274885441457e-10, (106, 5) = -0.23893915026487e-10, (106, 6) = -0.7275804353440743e-11, (106, 7) = 0.7392498157574831e-11, (107, 1) = -0.24525287343846688e-10, (107, 2) = 0.11752990045451255e-10, (107, 3) = 0.11375506925479182e-8, (107, 4) = 0.5618664712627303e-10, (107, 5) = -0.2343740897183187e-10, (107, 6) = -0.68104138779155605e-11, (107, 7) = 0.69539489361209256e-11, (108, 1) = -0.23769756034050658e-10, (108, 2) = 0.11461069140781725e-10, (108, 3) = 0.1141156920036321e-8, (108, 4) = 0.54675506620229015e-10, (108, 5) = -0.22989853517927998e-10, (108, 6) = -0.6372953207665234e-11, (108, 7) = 0.6539460296498955e-11, (109, 1) = -0.23033206946688197e-10, (109, 2) = 0.11176784235420537e-10, (109, 3) = 0.11446648205586631e-8, (109, 4) = 0.53193133369219096e-10, (109, 5) = -0.2255102934510164e-10, (109, 6) = -0.5961851297415071e-11, (109, 7) = 0.6147846949535398e-11, (110, 1) = -0.22315170596435424e-10, (110, 2) = 0.10899899099720045e-10, (110, 3) = 0.11480776804648441e-8, (110, 4) = 0.51741404883626826e-10, (110, 5) = -0.2212079881093947e-10, (110, 6) = -0.55756000900039874e-11, (110, 7) = 0.5777950850708059e-11, (111, 1) = -0.2161510628629133e-10, (111, 2) = 0.10630202497500658e-10, (111, 3) = 0.11513963697465053e-8, (111, 4) = 0.50316084756389076e-10, (111, 5) = -0.2169888691820227e-10, (111, 6) = -0.5212825902031769e-11, (111, 7) = 0.5428717922904024e-11, (112, 1) = -0.2093248308036869e-10, (112, 2) = 0.10367485845143703e-10, (112, 3) = 0.11546195339584729e-8, (112, 4) = 0.489182049004149e-10, (112, 5) = -0.21285088698946967e-10, (112, 6) = -0.4872150788621039e-11, (112, 7) = 0.5099059382295185e-11, (113, 1) = -0.20266939127279472e-10, (113, 2) = 0.10111521783538712e-10, (113, 3) = 0.11577592792912037e-8, (113, 4) = 0.4754807495737071e-10, (113, 5) = -0.20879387496573555e-10, (113, 6) = -0.4552355860741361e-11, (113, 7) = 0.4788042271114969e-11, (114, 1) = -0.19618082071104572e-10, (114, 2) = 0.9862199011411562e-11, (114, 3) = 0.1160804498226923e-8, (114, 4) = 0.462044422773981e-10, (114, 5) = -0.20481586670028085e-10, (114, 6) = -0.4252272644255941e-11, (114, 7) = 0.4494726477485643e-11, (115, 1) = -0.189853664183792e-10, (115, 2) = 0.9619265490819973e-11, (115, 3) = 0.11637594037035251e-8, (115, 4) = 0.4488686014505007e-10, (115, 5) = -0.200914542145842e-10, (115, 6) = -0.3970742061101578e-11, (115, 7) = 0.4218178288334328e-11, (116, 1) = -0.18368425185254865e-10, (116, 2) = 0.9382570898414447e-11, (116, 3) = 0.1166630830350612e-8, (116, 4) = 0.43594040714570804e-10, (116, 5) = -0.19708991959087038e-10, (116, 6) = -0.3706685865404614e-11, (116, 7) = 0.3957541778663131e-11, (117, 1) = -0.17766860290530166e-10, (117, 2) = 0.9151949085797764e-11, (117, 3) = 0.11694183749409405e-8, (117, 4) = 0.4232831823848793e-10, (117, 5) = -0.1933383435015675e-10, (117, 6) = -0.34591076284628657e-11, (117, 7) = 0.3711986676217058e-11, (118, 1) = -0.1718023634060036e-10, (118, 2) = 0.8927196267795554e-11, (118, 3) = 0.11721276821171886e-8, (118, 4) = 0.4108405888124236e-10, (118, 5) = -0.1896600682368705e-10, (118, 6) = -0.32270198234058586e-11, (118, 7) = 0.348070537611262e-11, (119, 1) = -0.1660824179634249e-10, (119, 2) = 0.8708218692549034e-11, (119, 3) = 0.11747502806896227e-8, (119, 4) = 0.3986542634893522e-10, (119, 5) = -0.18605245591516813e-10, (119, 6) = -0.3009534932294507e-11, (119, 7) = 0.32629652311135766e-11, (120, 1) = -0.16050399219794936e-10, (120, 2) = 0.8494789562416073e-11, (120, 3) = 0.1177298843835625e-8, (120, 4) = 0.3867107750145139e-10, (120, 5) = -0.1825156006779017e-10, (120, 6) = -0.28057732922703526e-11, (120, 7) = 0.3058018111059415e-11, (121, 1) = -0.1550635416407613e-10, (121, 2) = 0.8286771907186822e-11, (121, 3) = 0.11797644520720168e-8, (121, 4) = 0.3749839816238541e-10, (121, 5) = -0.179046564962422e-10, (121, 6) = -0.26149114543976955e-11, (121, 7) = 0.2865173942337792e-11, (122, 1) = -0.14975761754194747e-10, (122, 2) = 0.8084037043132685e-11, (122, 3) = 0.11821578106786102e-8, (122, 4) = 0.36349353804088396e-10, (122, 5) = -0.175644957867693e-10, (122, 6) = -0.2436179786254095e-11, (122, 7) = 0.2683771938128526e-11, (123, 1) = -0.14458298929642815e-10, (123, 2) = 0.7886436111228735e-11, (123, 3) = 0.1184477412835794e-8, (123, 4) = 0.3522096126295468e-10, (123, 5) = -0.17230852517395524e-10, (123, 6) = -0.22688631001927273e-11, (123, 7) = 0.251319975965811e-11, (124, 1) = -0.13953687402573215e-10, (124, 2) = 0.7693865587618392e-11, (124, 3) = 0.11867220249665278e-8, (124, 4) = 0.3411637223729094e-10, (124, 5) = -0.16903783217364677e-10, (124, 6) = -0.21122903401850213e-11, (124, 7) = 0.23528837580789774e-11, (125, 1) = -0.13461549633644782e-10, (125, 2) = 0.7506151534379781e-11, (125, 3) = 0.1188897149024404e-8, (125, 4) = 0.3303185520341911e-10, (125, 5) = -0.1658297508322167e-10, (125, 6) = -0.19657866032914978e-11, (125, 7) = 0.22022276664434392e-11, (126, 1) = -0.12981528055333814e-10, (126, 2) = 0.7323175020133718e-11, (126, 3) = 0.11909980330249977e-8, (126, 4) = 0.31968895014399795e-10, (126, 5) = -0.16268428192245815e-10, (126, 6) = -0.1828737416272636e-11, (126, 7) = 0.20606921059849896e-11, (127, 1) = -0.1251334925790676e-10, (127, 2) = 0.71448022450762814e-11, (127, 3) = 0.11930368791468821e-8, (127, 4) = 0.30925168269090486e-10, (127, 5) = -0.1595994529536578e-10, (127, 6) = -0.17005642957390043e-11, (127, 7) = 0.19277648128769555e-11, (128, 1) = -0.12056664122166423e-10, (128, 2) = 0.6970902891903902e-11, (128, 3) = 0.11949984988800984e-8, (128, 4) = 0.2990287437232501e-10, (128, 5) = -0.1565744012758655e-10, (128, 6) = -0.15807226738701075e-11, (128, 7) = 0.1802962201788926e-11, (129, 1) = -0.11611215590250922e-10, (129, 2) = 0.6801386273637118e-11, (129, 3) = 0.11968993600102636e-8, (129, 4) = 0.28900147080382565e-10, (129, 5) = -0.15360783718278442e-10, (129, 6) = -0.14686992588250484e-11, (129, 7) = 0.16858173458030813e-11, (130, 1) = -0.11176689572059342e-10, (130, 2) = 0.66361109585935695e-11, (130, 3) = 0.119874251229159e-8, (130, 4) = 0.27915751228461665e-10, (130, 5) = -0.1506996454811597e-10, (130, 6) = -0.13640066121412605e-11, (130, 7) = 0.15758973394943555e-11, (131, 1) = -0.10752847620314014e-10, (131, 2) = 0.6474979668955007e-11, (131, 3) = 0.12005094860252073e-8, (131, 4) = 0.2695026830924684e-10, (131, 5) = -0.1478465740885954e-10, (131, 6) = -0.12661923343114569e-11, (131, 7) = 0.14727845404164439e-11, (132, 1) = -0.10339385856338755e-10, (132, 2) = 0.6317886581522219e-11, (132, 3) = 0.1202227689070044e-8, (132, 4) = 0.26004025373171577e-10, (132, 5) = -0.14504921383297311e-10, (132, 6) = -0.117482316930582e-11, (132, 7) = 0.13760829973621443e-11, (133, 1) = -0.9936029828507202e-11, (133, 2) = 0.6164717563718258e-11, (133, 3) = 0.12038784627655226e-8, (133, 4) = 0.25075153782644154e-10, (133, 5) = -0.14230591341865168e-10, (133, 6) = -0.1089495166072317e-11, (133, 7) = 0.12854232032874922e-11, (134, 1) = -0.954258200538204e-11, (134, 2) = 0.60153668094429556e-11, (134, 3) = 0.12054624421663825e-8, (134, 4) = 0.2416409972408739e-10, (134, 5) = -0.13961569099024428e-10, (134, 6) = -0.10098288357408212e-11, (134, 7) = 0.12004494115820128e-11, (135, 1) = -0.915871353546483e-11, (135, 2) = 0.5869751638206249e-11, (135, 3) = 0.12070025992460107e-8, (135, 4) = 0.23271492022243684e-10, (135, 5) = -0.13697768394350225e-10, (135, 6) = -0.935464640353776e-12, (135, 7) = 0.11208283383367453e-11, (136, 1) = -0.8784234210301511e-11, (136, 2) = 0.5727763841077969e-11, (136, 3) = 0.12084706474875078e-8, (136, 4) = 0.22394710020022877e-10, (136, 5) = -0.1343909294397463e-10, (136, 6) = -0.8660660324202705e-12, (136, 7) = 0.10462421991222154e-11, (137, 1) = -0.8418913263458105e-11, (137, 2) = 0.5589313993785467e-11, (137, 3) = 0.12098889273005505e-8, (137, 4) = 0.21535676726855785e-10, (137, 5) = -0.13185427926861937e-10, (137, 6) = -0.8013163492284678e-12, (137, 7) = 0.976391731445841e-12, (138, 1) = -0.8062467152589807e-11, (138, 2) = 0.54543196210213545e-11, (138, 3) = 0.12112528801006951e-8, (138, 4) = 0.2069189392423113e-10, (138, 5) = -0.12936678002997946e-10, (138, 6) = -0.7409176146801608e-12, (138, 7) = 0.910994600582341e-12, (139, 1) = -0.7714730287100752e-11, (139, 2) = 0.5322678054123467e-11, (139, 3) = 0.12125653854184757e-8, (139, 4) = 0.1986489890272202e-10, (139, 5) = -0.12692775835000164e-10, (139, 6) = -0.6845899300896001e-12, (139, 7) = 0.8497829990085735e-12, (140, 1) = -0.7375446342117648e-11, (140, 2) = 0.5194307400360006e-11, (140, 3) = 0.12138188632444438e-8, (140, 4) = 0.19054116219959057e-10, (140, 5) = -0.1245358984195867e-10, (140, 6) = -0.6320711383042871e-12, (140, 7) = 0.7925037232638139e-12, (141, 1) = -0.7044411595925558e-11, (141, 2) = 0.5069122407758296e-11, (141, 3) = 0.12150133348393326e-8, (141, 4) = 0.1825781497268621e-10, (141, 5) = -0.12219085401247519e-10, (141, 6) = -0.5831141022505443e-12, (141, 7) = 0.7389185911372965e-12, (142, 1) = -0.6721411054329123e-11, (142, 2) = 0.4947052990376775e-11, (142, 3) = 0.12161723234439253e-8, (142, 4) = 0.1747738330983317e-10, (142, 5) = -0.11989085228023421e-10, (142, 6) = -0.5374871770932166e-12, (142, 7) = 0.6888023926474155e-12, (143, 1) = -0.64062605091691784e-11, (143, 2) = 0.482800632195133e-11, (143, 3) = 0.12172680170306166e-8, (143, 4) = 0.16711578042847487e-10, (143, 5) = -0.11763570020466811e-10, (143, 6) = -0.4949736743484498e-12, (143, 7) = 0.641942100772299e-12, (144, 1) = -0.6098742025425115e-11, (144, 2) = 0.4711916193706158e-11, (144, 3) = 0.1218330702880712e-8, (144, 4) = 0.1595955897889176e-10, (144, 5) = -0.11542423255895684e-10, (144, 6) = -0.4553688284597233e-12, (144, 7) = 0.5981378832577253e-12, (145, 1) = -0.5798677057513097e-11, (145, 2) = 0.4598706096769562e-11, (145, 3) = 0.12193353543310945e-8, (145, 4) = 0.15223361961034254e-10, (145, 5) = -0.11325610150784382e-10, (145, 6) = -0.41848219488793295e-12, (145, 7) = 0.5572003836098101e-12, (146, 1) = -0.550588009340836e-11, (146, 2) = 0.44882880675520885e-11, (146, 3) = 0.12202857455131248e-8, (146, 4) = 0.14500418876082778e-10, (146, 5) = -0.11113028236882186e-10, (146, 6) = -0.3841341317304528e-12, (146, 7) = 0.5189520778312766e-12, (147, 1) = -0.5220157336739223e-11, (147, 2) = 0.4380605492331011e-11, (147, 3) = 0.12212000753634705e-8, (147, 4) = 0.1379119238849094e-10, (147, 5) = -0.10904523689854029e-10, (147, 6) = -0.3521569442290073e-12, (147, 7) = 0.4832242591595169e-12, (148, 1) = -0.49413372968622916e-11, (148, 2) = 0.42755942505609585e-11, (148, 3) = 0.12220670336629079e-8, (148, 4) = 0.13094678826697949e-10, (148, 5) = -0.10700136443468203e-10, (148, 6) = -0.3223928565883448e-12, (148, 7) = 0.4498598146017527e-12, (149, 1) = -0.4669250200024589e-11, (149, 2) = 0.417317907212515e-11, (149, 3) = 0.122288995704384e-8, (149, 4) = 0.12412330083168088e-10, (149, 5) = -0.10499703764283493e-10, (149, 6) = -0.29469488358582e-12, (149, 7) = 0.41870954819324477e-12, (150, 1) = -0.4403712013205302e-11, (150, 2) = 0.4073299764315313e-11, (150, 3) = 0.1223665684002994e-8, (150, 4) = 0.11742241160471754e-10, (150, 5) = -0.1030317689694116e-10, (150, 6) = -0.2689244656008504e-12, (150, 7) = 0.3896336179006955e-12, (151, 1) = -0.4144579427591234e-11, (151, 2) = 0.3975878589560163e-11, (151, 3) = 0.1224396603455543e-8, (151, 4) = 0.11085210144017644e-10, (151, 5) = -0.10110459511254232e-10, (151, 6) = -0.2449525995893326e-12, (151, 7) = 0.3625006066286385e-12, (152, 1) = -0.38916848416852296e-11, (152, 2) = 0.38808682939696256e-11, (152, 3) = 0.12251002854980518e-8, (152, 4) = 0.10440054268239915e-10, (152, 5) = -0.9921507967863049e-11, (152, 6) = -0.22265826204028151e-12, (152, 7) = 0.33718643994633003e-12, (153, 1) = -0.3644855356429144e-11, (153, 2) = 0.3788203889785971e-11, (153, 3) = 0.12257436502356109e-8, (153, 4) = 0.980794201747327e-11, (153, 5) = -0.9736237397022225e-11, (153, 6) = -0.20192812497115791e-12, (153, 7) = 0.3135747127959107e-12, (154, 1) = -0.340396118615834e-11, (154, 2) = 0.3697827252366246e-11, (154, 3) = 0.1226353307422349e-8, (154, 4) = 0.9186175708230342e-11, (154, 5) = -0.9554597649315009e-11, (154, 6) = -0.1826564040925313e-12, (154, 7) = 0.2915562150365321e-12, (155, 1) = -0.31688432998717966e-11, (155, 2) = 0.36096794411637987e-11, (155, 3) = 0.12269316630844605e-8, (155, 4) = 0.8577808830243637e-11, (155, 5) = -0.9376497241749015e-11, (155, 6) = -0.16474403131928477e-12, (155, 7) = 0.2710281947405146e-12, (156, 1) = -0.2939357375813386e-11, (156, 2) = 0.35237027889789578e-11, (156, 3) = 0.12274613278365115e-8, (156, 4) = 0.79793438193171e-11, (156, 5) = -0.920186693051316e-11, (156, 6) = -0.14809841321472652e-12, (156, 7) = 0.2518939679820372e-12, (157, 1) = -0.27153619196543353e-11, (157, 2) = 0.3439849104588805e-11, (157, 3) = 0.12279600179688634e-8, (157, 4) = 0.7392918423708086e-11, (157, 5) = -0.9030668428465661e-11, (157, 6) = -0.1326329694636143e-12, (157, 7) = 0.23406319783156147e-12, (158, 1) = -0.24980748116852893e-11, (158, 2) = 0.33585674115493146e-11, (158, 3) = 0.12284094216029687e-8, (158, 4) = 0.6821603976317833e-11, (158, 5) = -0.8863786066021544e-11, (158, 6) = -0.1183519151197076e-12, (158, 7) = 0.21754937709165998e-12, (159, 1) = -0.22931130761850767e-11, (159, 2) = 0.32819548479972626e-11, (159, 3) = 0.1228813812960284e-8, (159, 4) = 0.6278310095434659e-11, (159, 5) = -0.870573682183365e-11, (159, 6) = -0.10551134063300874e-12, (159, 7) = 0.2026600306552426e-12, (160, 1) = -0.21008409964575166e-11, (160, 2) = 0.3210141330288939e-11, (160, 3) = 0.12291686374264535e-8, (160, 4) = 0.57679093040764105e-11, (160, 5) = -0.8556870228087243e-11, (160, 6) = -0.9401117419620941e-13, (160, 7) = 0.18928977461730128e-12, (161, 1) = -0.19201922217252495e-11, (161, 2) = 0.31427195364896388e-11, (161, 3) = 0.12294833016356614e-8, (161, 4) = 0.528521870647234e-11, (161, 5) = -0.84164150381976e-11, (161, 6) = -0.8367827535476734e-13, (161, 7) = 0.17724627836112152e-12, (162, 1) = -0.17500382006084871e-11, (162, 2) = 0.30792626398127524e-11, (162, 3) = 0.12297616807404267e-8, (162, 4) = 0.4828423599994281e-11, (162, 5) = -0.8283635245036114e-11, (162, 6) = -0.7435742708748314e-13, (162, 7) = 0.16635630047369893e-12, (163, 1) = -0.15894069745447244e-11, (163, 2) = 0.30194000535656047e-11, (163, 3) = 0.12300053331583256e-8, (163, 4) = 0.4395358666486823e-11, (163, 5) = -0.8157858618845472e-11, (163, 6) = -0.6591849525409016e-13, (163, 7) = 0.15647380832507043e-12, (164, 1) = -0.143744735071212e-11, (164, 2) = 0.29628062228306213e-11, (164, 3) = 0.12302224927433942e-8, (164, 4) = 0.39840602242576006e-11, (164, 5) = -0.8038390336572891e-11, (164, 6) = -0.5825191121229164e-13, (164, 7) = 0.14747601877532904e-12, (165, 1) = -0.12934065335206593e-11, (165, 2) = 0.2909203531044491e-11, (165, 3) = 0.12304077852833621e-8, (165, 4) = 0.35926554480135007e-11, (165, 5) = -0.792484729304842e-11, (165, 6) = -0.5126495348768588e-13, (165, 7) = 0.13925839415573526e-12, (166, 1) = -0.1156624499015785e-11, (166, 2) = 0.28583377841434647e-11, (166, 3) = 0.12305629940469257e-8, (166, 4) = 0.32189978168650025e-11, (166, 5) = -0.7816624131829942e-11, (166, 6) = -0.4487834494433306e-13, (166, 7) = 0.13173149807135405e-12, (167, 1) = -0.10265210416646665e-11, (167, 2) = 0.28099859769711778e-11, (167, 3) = 0.12307048112808125e-8, (167, 4) = 0.28628730141565726e-11, (167, 5) = -0.7713392249055152e-11, (167, 6) = -0.3902428012462705e-13, (167, 7) = 0.12481864852611245e-12, (168, 1) = -0.9025640604170987e-12, (168, 2) = 0.27639491870152004e-11, (168, 3) = 0.12308209011808183e-8, (168, 4) = 0.25224103801739054e-11, (168, 5) = -0.7614781499091382e-11, (168, 6) = -0.336442843827677e-13, (168, 7) = 0.1184536829449645e-12, (169, 1) = -0.7842921223495981e-12, (169, 2) = 0.27200541310057924e-11, (169, 3) = 0.12309247582023974e-8, (169, 4) = 0.2195560422415873e-11, (169, 5) = -0.752035432041767e-11, (169, 6) = -0.2868781128546623e-13, (169, 7) = 0.11257905769508853e-12, (170, 1) = -0.6712838397935098e-12, (170, 2) = 0.26781416441771932e-11, (170, 3) = 0.12310105895101172e-8, (170, 4) = 0.1881429399968058e-11, (170, 5) = -0.7429936109254022e-11, (170, 6) = -0.24110889621727452e-13, (170, 7) = 0.1071446837412809e-12, (171, 1) = -0.5631611547338676e-12, (171, 2) = 0.26380669883797786e-11, (171, 3) = 0.12310826986623688e-8, (171, 4) = 0.15819072978324664e-11, (171, 5) = -0.7343181172926194e-11, (171, 6) = -0.1987509570792081e-13, (171, 7) = 0.10210683924543437e-12, (172, 1) = -0.4595821765691131e-12, (172, 2) = 0.25996992004927467e-11, (172, 3) = 0.12311444178261443e-8, (172, 4) = 0.12922776880427693e-11, (172, 5) = -0.7259865303530753e-11, (172, 6) = -0.1594690713150054e-13, (172, 7) = 0.9742711634109024e-13, (173, 1) = -0.360239821686979e-12, (173, 2) = 0.256292258113084e-11, (173, 3) = 0.1231182643453054e-8, (173, 4) = 0.10145565202094742e-11, (173, 5) = -0.71797304253474045e-11, (173, 6) = -0.12296822976919166e-13, (173, 7) = 0.9307182871563279e-13, (174, 1) = -0.26485444170652493e-12, (174, 2) = 0.25276374440445824e-11, (174, 3) = 0.1231214457114319e-8, (174, 4) = 0.7475904889489019e-12, (174, 5) = -0.7102655072283805e-11, (174, 6) = -0.8898840022002288e-14, (174, 7) = 0.8901105773542986e-13, (175, 1) = -0.17317086532258958e-12, (175, 2) = 0.2493741836417416e-11, (175, 3) = 0.12312385732722901e-8, (175, 4) = 0.4895181132410539e-12, (175, 5) = -0.7028323739814668e-11, (175, 6) = -0.5729946700895339e-14, (175, 7) = 0.852184352526504e-13, (176, 1) = -0.8495682761705501e-13, (176, 2) = 0.24611493869265283e-11, (176, 3) = 0.1231250597216119e-8, (176, 4) = 0.2399942514572332e-12, (176, 5) = -0.6956738131751051e-11, (176, 6) = -0.2769726093823494e-14, (176, 7) = 0.8167037339566886e-13, (177, 1) = .0, (177, 2) = 0.24297727964088152e-11, (177, 3) = 0.12312559658094405e-8, (177, 4) = .0, (177, 5) = -0.6887584184124894e-11, (177, 6) = .0, (177, 7) = 0.7834600855072988e-13}, datatype = float[8], order = C_order); if not type(outpoint, 'numeric') then if outpoint = "start" or outpoint = "left" then return X[1] elif outpoint = "right" then return X[177] elif outpoint = "order" then return 8 elif outpoint = "error" then return HFloat(1.2934292747785471e-9) elif outpoint = "errorproc" then error "this is already the error procedure" elif outpoint = "rawdata" then return [7, 177, [chi(eta), diff(chi(eta), eta), f(eta), diff(f(eta), eta), diff(diff(f(eta), eta), eta), theta(eta), diff(theta(eta), eta)], X, Y] else return ('procname')(x_bvp) end if end if; if outpoint < X[1] or X[177] < outpoint then error "solution is only defined in the range %1..%2", X[1], X[177] end if; V := array([1 = 4, 2 = 0]); if Digits <= trunc(evalhf(Digits)) then L := Vector(4, 'datatype' = 'float'[8]); yout := Vector(7, 'datatype' = 'float'[8]); evalhf(`dsolve/numeric/lagrange`(177, 7, X, Y, outpoint, var(yout), var(L), var(V))) else L := Vector(4, 'datatype' = 'sfloat'); yout := Vector(7, 'datatype' = 'sfloat'); `dsolve/numeric/lagrange`(177, 7, X, Y, outpoint, yout, L, V) end if; [eta = outpoint, seq('[chi(eta), diff(chi(eta), eta), f(eta), diff(f(eta), eta), diff(diff(f(eta), eta), eta), theta(eta), diff(theta(eta), eta)]'[i] = yout[i], i = 1 .. 7)] end proc; if not type(outpoint, 'numeric') then if outpoint = "start" or outpoint = "left" then return X[1] elif outpoint = "method" then return "bvp" elif outpoint = "right" then return X[177] elif outpoint = "order" then return 8 elif outpoint = "error" then return HFloat(1.2934292747785471e-9) elif outpoint = "errorproc" then return eval(errproc) elif outpoint = "rawdata" then return [7, 177, "depnames", X, Y, YP] else error "non-numeric value" end if end if; if outpoint < X[1] or X[177] < outpoint then error "solution is only defined in the range %1..%2", X[1], X[177] end if; if Digits <= trunc(evalhf(Digits)) and (_EnvInFsolve <> true or _EnvDSNumericSaveDigits <= trunc(evalhf(Digits))) then V := array( 1 .. 6, [( 1 ) = (7), ( 2 ) = (0), ( 3 ) = (false), ( 4 ) = (false), ( 5 ) = (false), ( 6 ) = (false)  ] ); L := Matrix(7, 2, {(1, 1) = .0, (1, 2) = .0, (2, 1) = .0, (2, 2) = .0, (3, 1) = .0, (3, 2) = .0, (4, 1) = .0, (4, 2) = .0, (5, 1) = .0, (5, 2) = .0, (6, 1) = .0, (6, 2) = .0, (7, 1) = .0, (7, 2) = .0}, datatype = float[8], order = C_order); yout := Vector(7, {(1) = .0, (2) = .0, (3) = .0, (4) = .0, (5) = .0, (6) = .0, (7) = .0}, datatype = float[8]); evalhf(`dsolve/numeric/hermite`(177, 7, X, Y, YP, outpoint, var(yout), var(L), var(V))) else if _EnvInFsolve = true then Digits := _EnvDSNumericSaveDigits end if; V := array( 1 .. 6, [( 1 ) = (7), ( 2 ) = (0), ( 3 ) = (false), ( 4 ) = (false), ( 5 ) = (false), ( 6 ) = (false)  ] ); L := Matrix(7, 2, {(1, 1) = 0., (1, 2) = 0., (2, 1) = 0., (2, 2) = 0., (3, 1) = 0., (3, 2) = 0., (4, 1) = 0., (4, 2) = 0., (5, 1) = 0., (5, 2) = 0., (6, 1) = 0., (6, 2) = 0., (7, 1) = 0., (7, 2) = 0.}, order = C_order); yout := Vector(7, {(1) = 0., (2) = 0., (3) = 0., (4) = 0., (5) = 0., (6) = 0., (7) = 0.}); `dsolve/numeric/hermite`(177, 7, X, Y, YP, outpoint, yout, L, V) end if; [outpoint, seq(yout[i], i = 1 .. 7)] end proc, (2) = Array(1..8, {(1) = 18446744078246286542, (2) = 18446744078246287070, (3) = 18446744078246287246, (4) = 18446744078246287422, (5) = 18446744078246287598, (6) = 18446744078246287774, (7) = 18446744078246287950, (8) = 18446744078246288126}), (3) = [eta, chi(eta), diff(chi(eta), eta), f(eta), diff(f(eta), eta), diff(diff(f(eta), eta), eta), theta(eta), diff(theta(eta), eta)], (4) = 0}); solnproc := data[1]; if not type(outpoint, 'numeric') then if outpoint = "solnprocedure" then return eval(solnproc) elif member(outpoint, ["start", "left", "right", "errorproc", "rawdata", "order", "error"]) then return solnproc(eta) elif outpoint = "sysvars" then return data[3] elif procname <> unknown then return ('procname')(eta) else `diff(theta(eta),eta)` := pointto(data[2][8]); return ('`diff(theta(eta),eta)`')(eta) end if end if; try res := solnproc(outpoint); res[8] catch: error  end try end proc]

(8)

`~`[print](eval([ODEs[], bcs], params)):

3.387017560*eta*(diff(diff(diff(f(eta), eta), eta), eta))+3.387017560*(diff(diff(f(eta), eta), eta))+1.458079430*f(eta)*(diff(diff(f(eta), eta), eta))-.1422222134*(diff(f(eta), eta)) = 0

 

1.695965225*eta*(diff(diff(theta(eta), eta), eta))+1.695965225*(diff(theta(eta), eta))+2.839395131*f(eta)*(diff(theta(eta), eta)) = 0

 

1.180980000*eta*(diff(diff(chi(eta), eta), eta))+1.180980000*(diff(chi(eta), eta))+.5*f(eta)*(diff(chi(eta), eta))-.25*(1+.5*theta(eta))^.1*exp^(-.5/(1+.5*theta(eta)))*chi(eta) = 0

 

f(.1) = -0.5000000000e-1

 

(D(f))(.1) = -1/2

 

theta(.1) = 1

 

chi(.1) = 1

 

(D(f))(10) = 1

 

theta(10) = 0

 

chi(10) = 0

(9)

indets(eval(ODEs, params))

{eta, exp, exp^(-.5/(1+.5*theta(eta))), (1+.5*theta(eta))^.1, chi(eta), diff(chi(eta), eta), diff(diff(chi(eta), eta), eta), diff(diff(diff(f(eta), eta), eta), eta), diff(diff(f(eta), eta), eta), diff(diff(theta(eta), eta), eta), diff(f(eta), eta), diff(theta(eta), eta), f(eta), theta(eta)}

(10)

 


 

Download corrected.mw

 

@Madhukesh J K 

I didn't count and trusted Maple when it said it was expecting 8 boundary conditions.
I agree with your count... so there is something somewhere that fools Maple (maybe a simple typo)

@acer 

Hi,

Solutions to problems often emerge when you tell someone else about them.
It was while I was writting that the right way to proceed would be to build a kernel approximation of the empirical joint density attached, that I realized that I just had to do it!
Here is a rough version of such an approximation (no optimal bandwith selection and only gaussian kernels)

By the way, I think MAPLE 2020's KernelDensity is woring only for univariate data, isn't it?
Couldn't it be generalized to multivariate data?


 

restart:

interface(version);

`Standard Worksheet Interface, Maple 2015.2, Mac OS X, December 21 2015 Build ID 1097895`

(1)

with(plots):
with(Statistics):

f := (m, s) -> unapply(PDF(Normal(m, s), t), t):
K := (mx, my, sx, sy) -> (x, y) -> f(mx, sx)(x) * f(my, sy)(y):

N := 10^3:
X := RandomVariable(BetaDistribution(2, 6)):
Y := RandomVariable(BetaDistribution(6, 2)):
A := Sample(X, N):
B := Sample(Y, N):

h    := 0.07:
KD2D := (x, y) -> add(K(A[n], B[n], h, h)(x, y), n=1..N)/N:

display(
  contourplot(KD2D(x, y), x=0..1, y=0..1, view=[0..1, 0..1], filled=true, coloring=["Blue", "White"]),
  ScatterPlot(A, B, symbol=point, color=red)
);

 

display(
  contourplot3d(KD2D(x, y), x=0..1, y=0..1, view=[0..1, 0..1, default], filled=true, coloring=["Blue", "White"])
);

 

display(
  plot3d(KD2D(x, y), x=0..1, y=0..1, view=[0..1, 0..1, default], filled=true, color=blue, style=surface),
  plot3d(PDF(X, x)*PDF(Y, y), x=0..1, y=0..1, view=[0..1, 0..1, default], filled=true, color=gray, style=wireframe)
);

 

ace

ace

(2)

 


 

Download 2D_density_plot_with_Kernel.mw



Thanks for all those fruitful exchanges

@acer 

Thanks acer, a veru good idea to use ImageTools
I'm going to wotk on it since...tomorrow.

Have a good day

@Carl Love 

Thanks four quick answer.

@acer 

You're right, reading more carefully the question I agree with you.

But this is not really a MAPLE problem.
Suppose you write a LaTeX document, if you want some equation to be refered to you explicitely use
\label{eq: ...} and \ref{eq: ...} in a \begin{equation}………\end{equation} structure.
If this is an equation you do not want to refer to, you simply use \begin{displaymath}………\end{displaymath} instead.
I find strange to ask for the possibility to refer to an equation one does not have made the necessary things for its label exists.

@Carl Love 

Very usefull.
As I was replying to michele I first used this
 

MyColors := [ seq( ColorTools:-Color([rand()/10^12, rand()/10^12, rand()/10^12]), n=1..NC) ]:

for n from 1 to NC do
  HighlightVertex(P, V[n], MyColors[n])
end do:

Error, invalid input: GraphTheory:-HighlightVertex expects its 3rd argument, c, to be of type {list({symbol, specfunc(anything, COLOR)}), {symbol, specfunc(anything, COLOR)}}, but received _m4602631200

or this
 

MyColors := [ "Chocolate", "Turquoise",  "SpringGreen"]:
for n from 1 to NC do
  HighlightVertex(P, V[n], MyColors[n])
end do:

Error, invalid input: GraphTheory:-HighlightVertex expects its 3rd argument, c, to be of type {list({symbol, specfunc(anything, COLOR)}), {symbol, specfunc(anything, COLOR)}}, but received Chocolate

Very frustrated  errors which seemed to say thta only "basics" colors could be used.

Thanks for this tip.

I have two question:

  1. What is the minimum MAPLE's version to make yout code run
  2. What is the meaning of for k, B in P do  (I'm still using MAPLE 2015 at home)

@jalal 


I just do not understand "I tried it with X and it didn’t work. My goal is to generate probabilities"

In LoiProbabilité2.mw you define a random variable Y with 5 outcomes 
and say that the probability to get the ith outcome is equal to this same outcome. Ok, but generating 5 random outcomes from this distribution will never give a sum equal to one with a probability exactly equal to 1/5! (1/120).

What does the content of this file has to do with your initial question or the answers some of us have already given to you?

Maybe you should explain more clearly what you really want to do?

Windows : From equation <CTRL+L> and enter the number of the equation you refer to

Mac : From equation <CMD+L> and enter the number of the equation you refer to

@jalal 
What do you mean by "fractional form"?
Is it this?
 

roll := rand(0. .. 1.):
roll();
convert(%, rational)
                          0.2342493224
                             10630
                             -----
                             45379

 

@mehdi jafari 

Thanks for your feedback.

Concerning your point 1: What I suggest is that you make yourself the change in "my" code (I'm not sure to do it in the right place) and send it back to me once corrected.

About point3: my guess is that the numerical scheme, which is probably of order 1 (I would need to do some theoritical developments to verify this) could have too low an order to capture the the Physics (unless diminishing drastically the time step).
Here is for instance the plot you will obtain if you set Dt := 0.001

I also may have done something wrong by deriving this numerical scheme (not to be excluded).

Your explanation about rho ti live within 0 and O.5 will be useful for me to very all of this.
I will continue to work a little more on your problem, see you soon.

@vv 

Thank you vv.
I was working myselgf on improvement which combines the brute force approach and the greedy algorithm (several "bruteforce" steps to build a partial serie whose sum is less than 1, plus a greedy step to finish the job).
And I had also just implemented the equivalent of your "mindenom".

But you have done something definitively better than I did


 

What are you doing on this site: are you submitting us our homework or having us solve all the compartmental models that go through your head (this is the third one)? 
If it's homework, it's probably a good way to get good grades, but you'll never learn much about
Maple (maybe you don't care?).
You could at least make the effort to do a search on this site, the SIR model has been dealt with many times, for example
 
An Epidemic Model
How do I plot the solution of a differential equation in Maple?

plus a few others whose authors will forgive me for not quoting them.

 

@mehdi jafari 

Here is a more documented file where I explain how to construct a numerical integration scheme for your equation.
I still must verify a few things (typos, sign errors and so on) in ordre to guarantee the job is done and reliable.

I don't know if you are familiar with numerical schemes for differential or integro-differential equations, but if it is the case could you look at the scheme (section "Numerical Scheme") and verify it to diagnose potential mistakes?

One thing that still puzzles me is that I do no find any steady state...
Maybe a too large time step (the scheme is implicit, meaning stable whatever the value of this time step, but it must be small enough to capture the oscillations of the G and F terms).

I won't be able to do much of this today but ì will keep looking at your problem.


 

restart:

w[c]:=0.01:delta:=5:Omega:=5:w[0]:=1:gamma_0:=1:k[b]:=1:T:=100:

nu := 2*Pi*k[b]*T:

k1 := 2*k[b]*T*w[c]^2
     *
     Sum((w[c]*exp(-w[c]*tau)-nu*n*exp(nu*n*tau))/(w[c]^2-(nu*n)^2),n=-infinity..+infinity):

F:=2*gamma_0*w[c]^2*exp(-w[c]*tau)*sin(delta/Omega*(sin(Omega*t)-sin(Omega*(t-tau)))+w[0]*tau):

G:=cos(delta/Omega*(sin(Omega*t)-sin(Omega*(t-tau)))+w[0]*tau)*k1:

eq:=diff(rho(t),t)+Int(G*rho(tau),tau=0..t)=1/2*Int(G-F,tau=0..t):
 

# Is this approximation reasonable???

G := cos(delta/Omega*(sin(Omega*t)-sin(Omega*(t-tau)))+w[0]*tau)*2*k[b]*T*w[c]^2
     *
     (w[c]*exp(-w[c]*tau)/(w[c]^2) + 2*Sum((w[c]*exp(-w[c]*tau)-nu*n*exp(nu*n*tau))/(w[c]^2-(nu*n)^2),n=1..5));


G := cos(delta/Omega*(sin(Omega*t)-sin(Omega*(t-tau)))+w[0]*tau)*2*k[b]*T*w[c]^2
     *
     (w[c]*exp(-w[c]*tau)/(w[c]^2) + 2*add((w[c]*exp(-w[c]*tau)-nu*n*exp(-2*Pi*n*k[b]*T*tau))/(w[c]^2-(nu*n)^2),n=1..5));

0.200e-1*cos(sin(5*t)-sin(5*t-5*tau)+tau)*(100.0000000*exp(-0.1e-1*tau)+2*(Sum((0.1e-1*exp(-0.1e-1*tau)-200*Pi*n*exp(200*Pi*n*tau))/(-40000*n^2*Pi^2+0.1e-3), n = 1 .. 5)))

 

0.200e-1*cos(sin(5*t)-sin(5*t-5*tau)+tau)*(99.99999993*exp(-0.1e-1*tau)+0.1013211836e-2*Pi*exp(-200*Pi*tau)+0.5066059180e-3*Pi*exp(-400*Pi*tau)+0.3377372788e-3*Pi*exp(-600*Pi*tau)+0.2533029590e-3*Pi*exp(-800*Pi*tau)+0.2026423672e-3*Pi*exp(-1000*Pi*tau))

(1)

# an important observation:
# with practically no loss of precision the rightmost term in G can be replaced by exp(4.605242862-0.1000007268e-1*tau)

op(-1, G);
z1 := eval(log(op(-1, G)), tau=0);
z2 := evalf(eval(log(op(-1, G)), tau=1000));

model := exp(z1+(z2-z1)/1000*tau);

# note that this model is consistent with the approximaton above for it is
# almost equal to the first term in op(-&, g)
expand(model), op(1, op(-1, G));

plots:-display(
  plot(log(op(-1, G)), tau=0..1000, color=blue, thickness=5, transparency=0.5, legend=typeset('op(-1, G)')),
  plot(log(model), tau=0..1000, color=red, legend=typeset('model')),
  gridlines=true
);

plots:-display(
  plot(model/op(-1, G), tau=0..1000, adaptive=true, color=red, legend=typeset('model'/'op(-1, G)')),
  gridlines=true
);

99.99999993*exp(-0.1e-1*tau)+0.1013211836e-2*Pi*exp(-200*Pi*tau)+0.5066059180e-3*Pi*exp(-400*Pi*tau)+0.3377372788e-3*Pi*exp(-600*Pi*tau)+0.2533029590e-3*Pi*exp(-800*Pi*tau)+0.2026423672e-3*Pi*exp(-1000*Pi*tau)

 

4.605242862

 

-5.394829815

 

exp(4.605242862-0.1000007268e-1*tau)

 

100.0072679*exp(-0.1000007268e-1*tau), 99.99999993*exp(-0.1e-1*tau)

 

 

 

# for saving computational time one could rewrite k1 this way:

'k1' = model;

k1 = exp(4.605242862-0.1000007268e-1*tau)

(2)

# A few more observations
# let's use "model" onstead of "op(-1, G)" in the expression of G,
# next define IGmodel(t) as the integral of G-F from 0 to t

G__model := t -> eval(cos(delta/Omega*(sin(Omega*t)-sin(Omega*(t-tau)))+w[0]*tau)*model)

proc (t) options operator, arrow; eval(cos(delta*(sin(Omega*t)-sin(Omega*(t-tau)))/Omega+w[0]*tau)*model) end proc

(3)

F := unapply(F, t);

IG__model := t -> Int(G__model(t)-F(t), tau=0..t);
IG__model(t)

proc (t) options operator, arrow; 0.2e-3*exp(-0.1e-1*tau)*sin(sin(5*t)-sin(5*t-5*tau)+tau) end proc

 

proc (t) options operator, arrow; Int(G__model(t)-F(t), tau = 0 .. t) end proc

 

Int(cos(sin(5*t)-sin(5*t-5*tau)+tau)*exp(4.605242862-0.1000007268e-1*tau)-0.2e-3*exp(-0.1e-1*tau)*sin(sin(5*t)-sin(5*t-5*tau)+tau), tau = 0 .. t)

(4)

# conjecture 1: limit(IG__model(t), t=+infinity)=0
# conjecture 2: the integral is periodic with perdiod 2*Pi

plot(evalf(eval(IG__model('t'))), t=0..100, gridlines=true, size=[1200, 400])

 

# Now we are going to build a numerical scheme to iteratively construct rho(t)
# To assess rho(t) at some time t=t[n+1] we start from its value rho(t[n]) at time t[n].
# When we have computed rho(t[n]) we knew the (at least theotitically) the value of IG__model(t[n]).
# The transition rho(t[n]) --> rho(t[n+1]) does not require computing IG_model(t[n+1]), but just
# the increment Int(G__model(t)-F, tau=t[n]..t[n+1]);
# This observation will save a lot of computational time
#
# thus let's define this quantity:

IG  := (t, a, b) -> Int(G__model(t)  , tau=a..b);
IGF := (t, a, b) -> Int(G__model(t)-F(t), tau=a..b);

 

 

Diff(rho(t),t)=-Int('G__model(t, tau)'*rho(tau),tau=0..t[n+1])+1/2*Int('G__model(t, tau)'-'F(t, tau)',tau=0..t[n+1]);

printf("\nAt time t=t[n+1] Diff(rho(t),t) can be approximated by\n");
Diff(rho(t),t)=(rho(t[n+1])-rho(t[n]))/dt;
printf("\nAt time t=t[n+1] the integral equation can be written this way\n");
rho(t[n+1])=rho(t[n])+dt*( -Int('G__model(t, tau)'*rho(tau),tau=0..t[n])-Int('G__model(t, tau)'*rho(tau),tau=t[n]..t[n+1])+1/2*Int('G__model(t, tau)'-'F(t, tau)',tau=0..t[n])+1/2*Int('G__model(t, tau)'-'F(t, tau)',tau=t[n]..t[n+1]) );


printf("\n...or, while introducing IGF and considering that the time t in IGF(t, t[n], t[n+1])\n");
printf("can be taken as (t[n]+t[n+1])/2 = t[n+1/2]\n");
rho(t[n+1])=rho(t[n])+dt*( -Int('G__model(t, tau)'*rho(tau),tau=0..t[n])-Int('G__model(t, tau)'*rho(tau),tau=t[n]..t[n+1])+1/2*'IGF(t, 0, t[n])'+1/2*'IGF(t[n+1/2], t[n], t[n+1])');





gh  := `#mrow(mover(mrow(mo(G),mo("&#46;"),mo("&#x3c1;")),mo("&#94;")))`:
printf("\nThis relation can be rewritten in this more concise form\n");
rho(t[n+1])=rho(t[n])+dt*( -gh(0..t[n])-gh(t[n]..t[n+1])+1/2*'IGF(t, 0, t[n])'+1/2*'IGF(t[n+1/2], t[n], t[n+1])') ;
printf("\nLet's remark that the two quantities below are known at time t=t[n+1] \n");
-gh(0..t[n]) and 1/2*'IGF(t, 0, t[n])';

printf("\nwhich means that the only ones to assess are\n");
-gh(t[n]..t[n+1]) and 1/2*'IGF(t, t[n], t[n+1])';

printf("\nThe second one poses no problem and can be computed by using evalf(eval('IGF(t[n+1/2], t[n], t[n+1])'))\n\n");
printf("and thus the only difficulty lies in the estimation of \n");
-gh(t[n]..t[n+1]);

printf("\n\nA simple way to do that is to consider that rho is constant over the interval t[n]..t[n+1]");
printf("A classical notation is write rho(t) this way\n");
rho(t) = rho(t[n+alpha]);
printf("where alpha is a number between 0 and 1 included:\n");
printf("     alpha = 0   leads to an explicit integration scheme\n");
printf("     alpha = 1   leads to an implicit integration scheme\n");
printf("     alpha = 1/2 will give the Crank-Nicholson scheme ot a multistep integration method\n");
printf("other choices are possible\n");
printf("\nExplicit schemes are usually only conditionnally stable, meaning the time step dt must not\n");
printf("exceed a maximum value to avoid spurious oscillations or numerical explosion\n");
printf("on the other way implicit schemes, if correctly designed, are unconditionnally stable\n");

printf("\nI use here the implicit (alpha=1) scheme\n");
rho(t[n+1])=rho(t[n])+dt*( -gh(0..t[n])-rho(t[n+1])*Int('G__model(t, tau)',tau=t[n]..t[n+1])+1/2*'IGF(t, 0, t[n])'+1/2*'IGF(t, t[n], t[n+1])' );


printf("\n... which can be rewritten as:\n");
rho(t[n+1])=rho(t[n])+dt*( -gh(0..t[n])-rho(t[n+1])*'IG(t[n], t[n+1])'+1/2*'IGF(t, 0, t[n])'+1/2*'IGF(t[n+1/2], t[n], t[n+1])' );
printf("\nAfter regrouping rho(t[n+1]) terms one gets\n");
rho(t[n+1])*(1+dt*'IG(t[n+1/2], t[n], t[n+1])')=rho(t[n])+dt*( -gh(0..t[n])+1/2*'IGF(t, 0, t[n])'+1/2*'IGF(t[n+1/2], t[n], t[n+1])' );

printf("\nAnd thus\n");
rho(t[n+1])=(rho(t[n])+dt*( -gh(0..t[n])+1/2*'IGF(t, 0, t[n])'+1/2*'IGF(t[n+1/2], t[n], t[n+1])' ))/(1+dt*'IG(t[n+1/2], t[n], t[n+1])');

printf("\n\nIn this expression the two terms\n");
'IGF(t[n+1/2], t[n], t[n+1])' and 'IG(t[n+1/2], t[n], t[n+1])';
printf("are computed using evalf(eval(""the term""))\n");

Diff(rho(t), t) = -(Int(G__model(t, tau)*rho(tau), tau = 0 .. t[n+1]))+(1/2)*(Int(G__model(t, tau)-F(t, tau), tau = 0 .. t[n+1]))

 


At time t=t[n+1] Diff(rho(t),t) can be approximated by

 

Diff(rho(t), t) = (rho(t[n+1])-rho(t[n]))/dt

 


At time t=t[n+1] the integral equation can be written this way

 

rho(t[n+1]) = rho(t[n])+dt*(-(Int(G__model(t, tau)*rho(tau), tau = 0 .. t[n]))-(Int(G__model(t, tau)*rho(tau), tau = t[n] .. t[n+1]))+(1/2)*(Int(G__model(t, tau)-F(t, tau), tau = 0 .. t[n]))+(1/2)*(Int(G__model(t, tau)-F(t, tau), tau = t[n] .. t[n+1])))

 


...or, while introducing IGF and considering that the time t in IGF(t, t[n], t[n+1])
can be taken as (t[n]+t[n+1])/2 = t[n+1/2]

 

rho(t[n+1]) = rho(t[n])+dt*(-(Int(G__model(t, tau)*rho(tau), tau = 0 .. t[n]))-(Int(G__model(t, tau)*rho(tau), tau = t[n] .. t[n+1]))+(1/2)*IGF(t, 0, t[n])+(1/2)*IGF(t[n+1/2], t[n], t[n+1]))

 


This relation can be rewritten in this more concise form

 

rho(t[n+1]) = rho(t[n])+dt*(-`#mrow(mover(mrow(mo(G),mo("."),mo("&#x3c1;")),mo("^")))`(0 .. t[n])-`#mrow(mover(mrow(mo(G),mo("."),mo("&#x3c1;")),mo("^")))`(t[n] .. t[n+1])+(1/2)*IGF(t, 0, t[n])+(1/2)*IGF(t[n+1/2], t[n], t[n+1]))

 


Let's remark that the two quantities below are known at time t=t[n+1]

 

-`#mrow(mover(mrow(mo(G),mo("."),mo("&#x3c1;")),mo("^")))`(0 .. t[n]) and (1/2)*IGF(t, 0, t[n])

 


which means that the only ones to assess are

 

-`#mrow(mover(mrow(mo(G),mo("."),mo("&#x3c1;")),mo("^")))`(t[n] .. t[n+1]) and (1/2)*IGF(t, t[n], t[n+1])

 


The second one poses no problem and can be computed by using evalf(eval('IGF(t[n+1/2], t[n], t[n+1])'))

and thus the only difficulty lies in the estimation of

 

-`#mrow(mover(mrow(mo(G),mo("."),mo("&#x3c1;")),mo("^")))`(t[n] .. t[n+1])

 



A simple way to do that is to consider that rho is constant over the interval t[n]..t[n+1]A classical notation is write rho(t) this way

 

rho(t) = rho(t[n+alpha])

 

where alpha is a number between 0 and 1 included:
     alpha = 0   leads to an explicit integration scheme
     alpha = 1   leads to an implicit integration scheme
     alpha = 1/2 will give the Crank-Nicholson scheme ot a multistep integration method
other choices are possible

Explicit schemes are usually only conditionnally stable, meaning the time step dt must not
exceed a maximum value to avoid spurious oscillations or numerical explosion
on the other way implicit schemes, if correctly designed, are unconditionnally stable

I use here the implicit (alpha=1) scheme

 

rho(t[n+1]) = rho(t[n])+dt*(-`#mrow(mover(mrow(mo(G),mo("."),mo("&#x3c1;")),mo("^")))`(0 .. t[n])-rho(t[n+1])*(Int(G__model(t, tau), tau = t[n] .. t[n+1]))+(1/2)*IGF(t, 0, t[n])+(1/2)*IGF(t, t[n], t[n+1]))

 


... which can be rewritten as:

 

rho(t[n+1]) = rho(t[n])+dt*(-`#mrow(mover(mrow(mo(G),mo("."),mo("&#x3c1;")),mo("^")))`(0 .. t[n])-rho(t[n+1])*IG(t[n], t[n+1])+(1/2)*IGF(t, 0, t[n])+(1/2)*IGF(t[n+1/2], t[n], t[n+1]))

 


After regrouping rho(t[n+1]) terms one gets

 

rho(t[n+1])*(1+dt*IG(t[n+1/2], t[n], t[n+1])) = rho(t[n])+dt*(-`#mrow(mover(mrow(mo(G),mo("."),mo("&#x3c1;")),mo("^")))`(0 .. t[n])+(1/2)*IGF(t, 0, t[n])+(1/2)*IGF(t[n+1/2], t[n], t[n+1]))

 


And thus

 

rho(t[n+1]) = (rho(t[n])+dt*(-`#mrow(mover(mrow(mo(G),mo("."),mo("&#x3c1;")),mo("^")))`(0 .. t[n])+(1/2)*IGF(t, 0, t[n])+(1/2)*IGF(t[n+1/2], t[n], t[n+1])))/(1+dt*IG(t[n+1/2], t[n], t[n+1]))

 



In this expression the two terms

 

IGF(t[n+1/2], t[n], t[n+1]) and IG(t[n+1/2], t[n], t[n+1])

 

are computed using evalf(eval("the term"))

 

Dt    := 0.01:
tend  := 100:
times := [seq(0..tend, Dt)]:
nstep := numelems(times):
sol   := Vector(nstep):


cumulative_Ghat  := 0;  
cumulative_GFhat := 0;
increment_Ghat   :=  Dt * evalf(eval(IG (0, 0, Dt)));
increment_GFhat  := (1/2) * Dt * evalf(eval(IGF(0, 0, Dt)));

sol[1] := 0.5:

0

 

0

 

0.9994230355e-2

 

0.4997114878e-2

(5)

for m from 2 to nstep do
  sol[m]           := (sol[m-1] - Dt*cumulative_Ghat + Dt*cumulative_GFhat + Dt*increment_GFhat) / (1 + Dt*increment_Ghat);
  cumulative_Ghat  := cumulative_Ghat  + increment_Ghat * (sol[m]+sol[m-1])/2;
  cumulative_GFhat := cumulative_GFhat + increment_GFhat;
  increment_Ghat   := Dt * evalf(eval(IG ((m-1/2)*Dt, (m-1)*Dt, m*Dt)));
  increment_GFhat  := (1/2) * Dt * evalf(eval(IGF((m-1/2)*Dt, (m-1)*Dt, m*Dt)));
end do:

sol;
plot([seq([times[n], sol[n]], n=1..nstep)])
 

Vector(4, {(1) = ` 1 .. 10001 `*Vector[column], (2) = `Data Type: `*anything, (3) = `Storage: `*rectangular, (4) = `Order: `*Fortran_order})

 

 

 


 

Download abcdef.mw

First 97 98 99 100 101 102 103 Last Page 99 of 154