Gabriel’s Horn

Gabriel’s Horn is one of the most famous examples in calculus of how infinity can behave in ways that completely defy our intuition.

The horn-shaped object is created from a very simple curve: y = 1/x for x ≥ 1 (pictured below).

Now imagine rotating this curve around the x-axis. The resulting surface stretches infinitely far to the right while becoming thinner and thinner. Visually, it resembles a long trumpet or horn that continuously narrows to a thickness of zero.

At first glance, nothing about this shape seems particularly mysterious. As x grows larger, the radius 1/x becomes smaller and smaller. It seems reasonable that both the volume contained inside the horn and the area of its surface would remain finite (or at least if the volume was finite, then the surface area would also be finite). After all, the horn gets extremely thin very quickly.

Calculus allows us to test that intuition.

The Volume

To compute the volume of the horn, we use the disk method. Each slice perpendicular to the x-axis forms a circular disk of radius r = 1/x, each with an area of π*r2 = π*(1/x2).



The total volume is the sum of an infinite number of these disc areas with thickness dx. As an integral,

V = π ∫₁^∞ (1/x²) dx.

This is a simple integral that converges to a value of 1. We could use the power or rule or our favourite computing software (I used Maple below).



Hence, V = π ∫₁^∞ 1/x² dx = π*1 = π. This means the horn contains only π cubic units of space, even though it extends infinitely far. 

The Surface Area

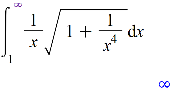
Now let’s compute the surface area of the horn. For a surface of revolution, the surface area is

A = 2π ∫₁^∞ y √(1 + (y′)²) dx.

Since y = 1/x, we have y′ = −1/x². Substituting into the formula gives

A = 2π ∫₁^∞ (1/x) √(1 + 1/x⁴) dx.

Software like Maple can easily handle this integral. It tells us the integral diverges to infinity.

However, this is difficult to solve analytically. To understand what happens to this integral, notice that for large x, the square root term is very close to 1, since 1/x4 can be approximated as 0 as x grows large. This means the integrand behaves roughly like 1/x (it's actually slightly larger than 1/x). But

∫₁^∞ 1/x dx diverges, and ∫₁^∞ (1/x) √(1 + 1/x⁴) dx > ∫₁^∞ 1/x dx, so ∫₁^∞ (1/x) √(1 + 1/x⁴) dx must also diverge. As a result, the surface area of Gabriel’s Horn is infinite.

The Paradox

This leads to the famous, surprising conclusion:

  • The horn has finite volume.
  • The horn has infinite surface area.

In other words, it could be filled with a finite amount of paint, but it would require an infinite amount of paint to coat its inside surface.

Of course, real paint has thickness, so the paradox disappears in the physical world. Eventually, the horn would become thinner than the paint layer itself. But mathematically, the result is perfectly consistent.

Why This Happens

The key idea lies in how quickly the function 1/x shrinks. The cross-sectional area of the disks scales like (1/x)² = 1/x², and the integral of 1/x² converges.

But the circumference of each slice scales like 1/x, and the integral of 1/x diverges.

So as the horn extends outward, the added volume decreases quickly enough to sum to a finite value, while the added surface area decreases too slowly and accumulates forever.

A Lesson About Infinity

Gabriel’s Horn beautifully illustrates one of the central themes of calculus: infinite processes can produce results that feel deeply counterintuitive.

Volume and surface area seem closely related, but can behave in completely different ways when infinite limits are involved. A shape can stretch endlessly yet still contain a finite amount of space.

This strange object reminds me that mathematics isn’t just about calculating numbers, but is also about exploring the strange and fascinating consequences of simple ideas pushed to their limits.

Please Wait...