Alfred_F

Mr. Alfred Flaßhaar

540 Reputation

11 Badges

1 years, 257 days
Brandenburg, Germany
As a retired individual with degrees from German universities in mathematics/analysis and structural engineering, I spent my professional life in responsible positions in research, teaching, and practical application, working on the mathematical modeling of states and processes in real-world systems. Now I have the time to explore interesting mathematical problems using Maple. It is my professional curiosity that drives me.

MaplePrimes Activity


These are replies submitted by Alfred_F

@dharr 

...the solution path of the ODE simplifies if the initial equation is differentiated once. Assuming y'(x) is not equal to zero, the result is "test".

restart

kernelopts(version)

`Maple 2026.0, X86 64 WINDOWS, Apr 28 2026, Build ID 2011354`

(1)

interface(version)

`Standard Worksheet Interface, Maple 2026.1, Windows 11, April 28 2026 Build ID 2011354`

(2)

restart

ode := diff(y(x),x,x) = 2*(y(x))^3 + a*y(x);;

diff(diff(y(x), x), x) = 2*y(x)^3+a*y(x)

(3)
  

 

dsolve(ode);

y(x) = c__2*(-a/(c__2^2-a-1))^(1/2)*JacobiSN(((-1-a)^(1/2)*x+c__1)*(-a/(c__2^2-a-1))^(1/2), c__2/(-1-a)^(1/2))

(4)
 

NULL

Download test.mw

@sand15 

"The largest octahedron (up to some symmetries) is necessarily the octahedron whose the base is the largest square S  contained in the cube."

... but not sufficient, it remains to be shown that the two octahedron vertices/tips land where they have to belong. However, this can be easily verified by calculation. Prince Rupert's cube is an interesting connection. That was news to me. It is also interesting that the cube in which the maximal octahedron is situated in a dual position has an edge length of 3/2.

@dharr 

And in the end, we get "only" the simple number "9/16". Interestingly, the dual cube corresponding to this maximum octahedron has an edge length of 1/2. Their solution would probably be nearly impossible with pen and paper. It demonstrates once again how powerful software leads to a clear, logical solution. My solution at the time relied on logically grounded limitations of possibilities and, in some cases, rather daring assumptions arising from symmetry considerations.

By the way:
I was able to learn a great deal about "geom3d" from your solution. Thank you for that.

@dharr 

There is another orientation for the octahedron that yields a slightly larger volume. Based on your result, the horizontal axis of the octahedron—whose endpoints lie at the midpoints of the cube's edges—should be tilted slightly. A volume of 9/16 is attainable, assuming I haven't miscalculated during my trial-and-error attempts.

@sand15 

...by creating an "artificial" sample. This works quite well for dividing into 1/100. I haven't worked with the "seq" command before. Learned something new again.

@acer 

Yes, I'm looking for the "distance" between two functions over their common domain, i.e., a global minimum, because I want to study the "practical" convergence behavior of sequences of functions, taking into account metric-related convergence principles. I've downloaded DirectSearch. The table of contents is very interesting :-) . Files were only found for the lib directory in the older version. The 2017 version doesn't offer any files for installation/inserting into "lib". In both cases, the help text isn't accessible.

Your reference to "inert Int" is important to me. With it, I can, for example, use the L_2 metric. There are just so many Maple intricacies I still need to learn – the difference between theory and practice.

@dharr 

I overlooked the mistake with the 50 (embarrassing). For practice with isoperimetric problems, I'll probably have to find simpler examples. In any case, the one in "test" is still a bit too advanced for me. Strangely enough, the approximate solution in Mathcad 14 was quite easy back then. Only finding a suitable function approach was somewhat time-consuming. I've included the old approximations in "test2".test2.mw

restart

kernelopts(version)

`Maple 2026.0, X86 64 WINDOWS, Mar 05 2026, Build ID 2001916`

(1)

interface(version)

`Standard Worksheet Interface, Maple 2026.0, Windows 11, March 05 2026 Build ID 2001916`

(2)

with(VariationalCalculus)

[ConjugateEquation, Convex, EulerLagrange, Jacobi, Weierstrass]

(3)

with(plots, implicitplot)

[implicitplot]

(4)

with(Optimization)

a := -0.24168e-1

-0.24168e-1

(5)

b := .9623

.9623

(6)

c := 0.1365e-2

0.1365e-2

(7)

d := 0.6498e-3

0.6498e-3

(8)

f := -0.1187e-2

-0.1187e-2

(9)

g := -0.1374e-2

-0.1374e-2

(10)

xend := 39.82

39.82

(11)

"p(a,b,c,x):=a∗x^(2)+b∗x+c;"

proc (a, b, c, x) options operator, arrow, function_assign; a*x^2+b*x+c end proc

(12)

" q(d,f,x):=d∗x^(2)+f∗x;"

proc (d, f, x) options operator, arrow, function_assign; d*x^2+f*x end proc

(13)

"yn(a,b,c,d,f,g,x):=p(a,b,c,x)∗exp(q(d,f,x))+g;"

proc (a, b, c, d, f, g, x) options operator, arrow, function_assign; p(a, b, c, x)*exp(q(d, f, x))+g end proc

(14)

plot(yn(a, b, c, d, f, g, x), x = 0 .. 40)

 

" wn(a,b,c,d,f,g,xend):=(∫)[0]^(xend)x∗yn(a,b,c,d,f,g,x)ⅆx;"

proc (a, b, c, d, f, g, xend) options operator, arrow, function_assign; int(x*yn(a, b, c, d, f, g, x), x = 0 .. xend) end proc

(15)

evalf(wn(a, b, c, d, f, g, xend))

7635.936808

(16)

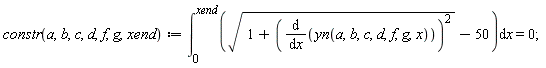
"constr(a,b,c,d,f,g,xend):=(∫)[0]^(xend)(sqrt(1+((ⅆ)/(ⅆx)(yn(a,b,c,d,f,g,x)))^(2)))ⅆx;"

proc (a, b, c, d, f, g, xend) options operator, arrow, function_assign; int(sqrt(1+(diff(yn(a, b, c, d, f, g, x), x))^2), x = 0 .. xend) end proc

(17)

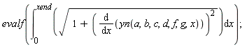
evalf(int(sqrt(1+(diff(yn(a, b, c, d, f, g, x), x))^2), x = 0 .. xend))

50.00691623

(18)

 

Download test2.mw

@sand15 

...I had hoped to define the search domain using initial points. Even after consulting the help texts, I still can't grasp the definition of the search scope and especially its syntax. I would appreciate any help.

restart

with(RealDomain)

kernelopts(version)

`Maple 2026.0, X86 64 WINDOWS, Mar 05 2026, Build ID 2001916`

(1)

interface(version)

`Standard Worksheet Interface, Maple 2026.0, Windows 11, March 05 2026 Build ID 2001916`

(2)

with(VariationalCalculus)

[ConjugateEquation, Convex, EulerLagrange, Jacobi, Weierstrass]

(3)

with(plots, implicitplot)

[implicitplot]

(4)

with(Optimization)

 

``

"p(a,b,c,x):=a∗x^(2)+b∗x+c;"

proc (a, b, c, x) options operator, arrow, function_assign; a*RealDomain:-`^`(x, 2)+b*x+c end proc

(5)

" q(d,f,x):=d∗x^(2)+f∗x;"

proc (d, f, x) options operator, arrow, function_assign; d*RealDomain:-`^`(x, 2)+f*x end proc

(6)

"yn(a,b,c,d,f,g,x):=p(a,b,c,x)∗exp(q(d,f,x))+g;"

proc (a, b, c, d, f, g, x) options operator, arrow, function_assign; p(a, b, c, x)*RealDomain:-exp(q(d, f, x))+g end proc

(7)

" wn(a,b,c,d,f,g,xend):=(∫)[0]^(xend)x∗yn(a,b,c,d,f,g,x)ⅆx;"

proc (a, b, c, d, f, g, xend) options operator, arrow, function_assign; int(x*yn(a, b, c, d, f, g, x), x = 0 .. xend) end proc

(8)

"constr(a,b,c,d,f,g,xend):=(∫)[0]^(xend)(sqrt(1+((ⅆ)/(ⅆx)(yn(a,b,c,d,f,g,x)))^(2))-50)ⅆx=0;"

proc (a, b, c, d, f, g, xend) options operator, arrow, function_assign; int(RealDomain:-sqrt(1+RealDomain:-`^`(diff(yn(a, b, c, d, f, g, x), x), 2))-50, x = 0 .. xend) = 0 end proc

(9)

 

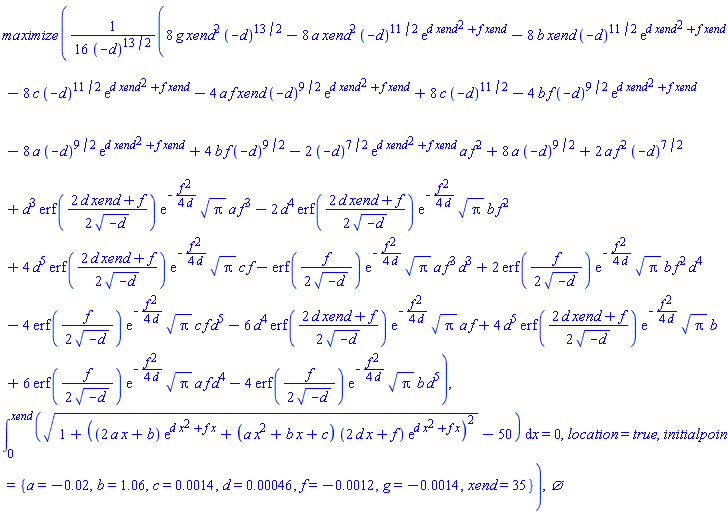
maximize(wn(a, b, c, d, f, g, xend), constr(a, b, c, d, f, g, xend), location = true, initialpoint = {a = -0.2e-1, b = 1.06, c = 0.14e-2, d = 0.46e-3, f = -0.12e-2, g = -0.14e-2, xend = 35})

maximize((1/16)*(8*g*xend^2*(-d)^(13/2)-8*a*xend^2*(-d)^(11/2)*exp(d*xend^2+f*xend)-8*b*xend*(-d)^(11/2)*exp(d*xend^2+f*xend)-8*c*(-d)^(11/2)*exp(d*xend^2+f*xend)-4*a*f*xend*(-d)^(9/2)*exp(d*xend^2+f*xend)+8*c*(-d)^(11/2)-4*b*f*(-d)^(9/2)*exp(d*xend^2+f*xend)-8*a*(-d)^(9/2)*exp(d*xend^2+f*xend)+4*b*f*(-d)^(9/2)-2*(-d)^(7/2)*exp(d*xend^2+f*xend)*a*f^2+8*a*(-d)^(9/2)+2*a*f^2*(-d)^(7/2)+d^3*erf((1/2)*(2*d*xend+f)/(-d)^(1/2))*exp(-(1/4)*f^2/d)*Pi^(1/2)*a*f^3-2*d^4*erf((1/2)*(2*d*xend+f)/(-d)^(1/2))*exp(-(1/4)*f^2/d)*Pi^(1/2)*b*f^2+4*d^5*erf((1/2)*(2*d*xend+f)/(-d)^(1/2))*exp(-(1/4)*f^2/d)*Pi^(1/2)*c*f-erf((1/2)*f/(-d)^(1/2))*exp(-(1/4)*f^2/d)*Pi^(1/2)*a*f^3*d^3+2*erf((1/2)*f/(-d)^(1/2))*exp(-(1/4)*f^2/d)*Pi^(1/2)*b*f^2*d^4-4*erf((1/2)*f/(-d)^(1/2))*exp(-(1/4)*f^2/d)*Pi^(1/2)*c*f*d^5-6*d^4*erf((1/2)*(2*d*xend+f)/(-d)^(1/2))*exp(-(1/4)*f^2/d)*Pi^(1/2)*a*f+4*d^5*erf((1/2)*(2*d*xend+f)/(-d)^(1/2))*exp(-(1/4)*f^2/d)*Pi^(1/2)*b+6*erf((1/2)*f/(-d)^(1/2))*exp(-(1/4)*f^2/d)*Pi^(1/2)*a*f*d^4-4*erf((1/2)*f/(-d)^(1/2))*exp(-(1/4)*f^2/d)*Pi^(1/2)*b*d^5)/(-d)^(13/2), int((1+((2*a*x+b)*exp(d*x^2+f*x)+(a*x^2+b*x+c)*(2*d*x+f)*exp(d*x^2+f*x))^2)^(1/2)-50, x = 0 .. xend) = 0, location = true, initialpoint = {a = -0.2e-1, b = 1.06, c = 0.14e-2, d = 0.46e-3, f = -0.12e-2, g = -0.14e-2, xend = 35}), {}

(10)

 

Download test1.mw

@dharr 

"minimize" ?

@Rouben Rostamian  @dharr

It's gratifying to see how a logically structured solution leads to the correct result. Therefore, I'll allow myself with all due respect an academic "knock-knock" on the lecture hall desk. Since this problem can no longer be solved with pen and paper, I, as a Maple novice, have learned a great deal about Maple's craft.

Previous results, some of which were determined using direct calculation of the maximum (Ritz), are only 1.5% below your result.

I'm eager to see Rouben Rostamian's solution.

@janhardo 

..."So I'm going to revise the calculation above." From your previous calculations, I could not determine the value of the fenced meadow. (Note: The value should be above 15200.) It should also be clear how the fence is closed at the eastern end along the x-axis – with or without a tangent. The proof that only symmetrical fence construction is possible is unnecessary here.

@dharr 

...the farmer's buying behavior seems odd – but he probably has his reasons.

When formulating the task, I had to compromise between precision and vivid clarity. That's probably why there was a misunderstanding, which @janhardo correctly cleared up - sorry.

@janhardo 

...but slightly more convex. Only on the oak tree is a corner allowed. The meadow should be as expansive as possible ;-).

@sand15 

...for Your detailed and helpful advice and the literature reference.

However, I'm not currently concerned with solving a specific practical problem. Rather, for other reasons, I want to construct a "pathological" example. It should demonstrate what theory has long known: Solving the variational problem as a minimum problem is equivalent to solving the resulting Euler differential equation as a necessary condition. My goal was to show, in an intuitive way, that the solution of Euler's differential equation corresponds, at least approximately, to the calculation of the functional minimum and to represent both in a single plot. I am particularly interested in calculating the minima of functionals, especially convex functions (see Rockafellar, Hiriart-Urruty/Lemarechal).

Since I've only recently begun to explore the world of Maple, there are several inaccuracies and errors in the command sequence of my file. Hence my plea for help.

Later I would like to try out so-called quadratic functionals (Lit.: Michlin "Variation Problems of Mathematical Physics") in Maple.

Addition:

Thank you again for your advice. The frequency analysis is particularly helpful. I still need to thoroughly understand the commands for it. Fifty years ago, this practical application (I know the theory) would have been very welcome.

@nm 

... is y(x)=const.=pi. Is this particular solution allowed?

1 2 3 4 5 6 7 Last Page 1 of 18