GunnerMunk

50 Reputation

5 Badges

14 years, 131 days

MaplePrimes Activity


These are replies submitted by GunnerMunk

@GunnerMunk 

An observation:

Restarting Maple. Importing submited code. I can change units om density back and forth from SI til g/L.

If I add a line 'v = 2 kg', then the situation is the same.

If I add a line 'm = 2 kg', then I can change density unit to SI, but not back to g/L.

@C_R 

I am using Maple 2025.2

I have restarted Maple, new cleen sheets.

I just have the three lines of code, written from scratch both times. In different sheets.
If I copy, some sort of embedding is includes.

I just tried again:
I cant change unit when using 'm'.
First time with 'M' I also couldn't change unit. Then I clicked on SI-units, and after that I could change to g/L.

After second restart of Maple the sitaution is as described.

It is very confusing. 

I have attached the code where changing units, using M for mass, works.

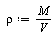
M := 5.55*Unit('kg')

V := 4.44*Unit('m'^3)

rho := M/V = 1.250000000*Units:-Unit(kg/m^3)NULL

NULL

Download Capital_M_can_change_unit.mw

In the second example I am using lower case m for mass; now I can't change unit.

I looks like assigning a value to 'm' changes the unit 'm' (for meter)?

Sorry for the two posts, but the same image was uploaded several times, even when uploading another picture.

@dharr 

Nice to hear it is a bug submittet.

I will try simplify in the definitions.

@GunnerMunk 

To the last T, where units should be 's' not 'm', I can add a new distance, fx. 10 m, to get 866.269 m. So the problem is not just that part of the units is not displayed, the unit is wrong.

The problem is that you can not trust the output.

Here time T  calculated with simplify get the unit 'm', not 's' for seconds.

Source uploaded, excuse for danisk language.

 

restart

Opgave b

 

Udbredelsesfarten er givet ved

 

"v(d):=sqrt(g*d):"

 

 

med

 

g := 9.82*Unit('m'/'s'^2)

 

Vanddybden er 2,0 km. Dermed er farten af tsunamien

 

v__s := v(2.0*Unit('km'))"(=)"140.1427843*Units:-Unit(m/s)

 

Bølgelængden er

 

lambda := 120*Unit('km')

 

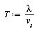
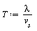
Dermed er perioden``

 

T := lambda/v__s = .8562695582*Units:-Unit(km)/Units:-Unit(m^2/s^2)^(1/2)NULL

 

T := lambda/v__s"(=)"856.2695582*Units:-Unit(m)

 

Dermed er tsunamiens fart v = 141 m/s og perioden

 

Download Error_2.mw

As shown, the unit for delta-x1 is m.

Trying to convert the unit of delta-x1 to f.x. cm is not possible, as Maple sees the unit m as a mass.

Thank you (all) very very much.

I will try it tomorrow on real-world examples.

It looks fantastic, just what I need.

Thank you (all) very much!

Using the output from A:=.... (without :) gives me the expression for A (expression (1)). I can insert it after the " A = "

Modyfying your suggestion gives med almost what I need (see file).

However, I would like til 'hide the machine' in one proc(), avoiding the use-in-end and use of labels from outputs:

A := ......

a := 2 [[m]]

b := 3[[m]]

c := ...

magicFunc(A)

Output from magicFunc(A):

A = 'the expression for A' = 'the expression for A, with values and units inserted' = 'the result'

Sample_reply_reply.mw

I guess you all can see what I am looking for.

I have an expression. It could be an expression with just two variables

A = a * b

or with three variables

A = sqrt(1+a^2+b^1+c^2)

or with 95 variables.

After the definition af the expression: A = ..... , I assign values to the variables, with units [[ ]]

a := 2 [[m]]

b := 2 [[N]]

c := 7 [[J/s]]

Then I 'just' want to automatically output the following

A = 'the expression for A' = 'the expression for A, with values and units inserted' = 'the result'

I see a lot of good ideas; thank you all so very much.

The answer I found was (see Maple document). It works with any(?) expression. One problem is, that I have to enter the expression directly inside the use-in-end expression. If I insert the name of the expression, Maple will evaluate it, before looking at it in the use-in-end expression. But maybe I can use some of your very good ideas?

Sample.mw

Thank you for a quick responce.

I had no idear that the order of assignmentes is important!

I can understand that, if I define A as 'a' times 'b', and THEN assigning 'a' to a new value, then the value of A is updated.

That makes sense.

However, i Maple 2020, and 2019, 2008, ... I have not observed that the order were important? Therefore the confusion. It should be 100% clear what is happining, I have to tell the students that if they write ... then it works, and if it dosn't work, explain why.

@acer 

Her is another example:

First I define a as sin(10).
Then I define A as 3 times a.
Then I type 'A', then option+Enter (mac). Answer is correct 3*sin(10).

I then redefine a as sin(20).
I type 'A', then option+Enter. Answer incorrekt, still 3*sin(10).
Last I check the value of a: Is is sin(20).

Even using 'option+Enter' on result dosn't work, even using ! or !!! dosn't work.

Same situation using worksheet. Something have changes, something is not working.

Updateproblem.mw

Thank you for a response.

Yes, the document is nothing more than the four lines, just to show the problem.

I am teaching in math, and the problem is that now I have to tell the students that sometimes a line with math is executeted when pressing Enter on that line, sometimes nothing happens, sometime there is no response when pressing Enter. Can you see the frustration with 30 students in a class, learning math and learning to use Maple?

Everything worked fine in Maple 2020 !!!

If there isn't a workaround (not using the ! or the !!!), then is is a obvious error.

 

Page 1 of 1