JohnJames

0 Reputation

One Badge

13 years, 251 days

MaplePrimes Activity


These are replies submitted by JohnJames

Thanks.

Is there anyway to get to the complete analytical solution of the above

mentioned PDE by separation of variables using maple?

Or I just need to do it manually?

 

 

Thanks.

Is there anyway to get to the complete analytical solution of the above

mentioned PDE by separation of variables using maple?

Or I just need to do it manually?

 

 

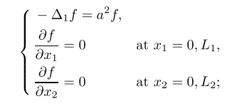
This is the PDE I am trying to find an analytical solution.

 The solution should look llke this 

 thx

 

 

 

Page 1 of 1