Kitonum

21925 Reputation

26 Badges

17 years, 282 days

MaplePrimes Activity


These are answers submitted by Kitonum

We can use the mathematical induction to get the general symbolic result, because

2^(n-1)+2^(n-1)=2^n

The symbolic answer is

f(n) = piecewise(n=0, 1, 2^(n-1))


Maple fails with this:

rsolve({f(n+1)=sum(f(i), i=0..n), f(0)=1}, f(n));

   

 

 

Another way is to use  PolyhedralSets  package:

with(PolyhedralSets):
ps := PolyhedralSet(convert(subs(sqrt(2)=evalf[4](sqrt(2)),[2*sqrt(2)*x-2*z+sqrt(2) >= 0, 2*sqrt(2)*x+2*z-sqrt(2) <= 0, 2*sqrt(2)*y-2*z-sqrt(2) <= 0, 2*sqrt(2)*y+2*z+sqrt(2) >= 0]), fraction)):
Plot(ps, color=grey, scaling=constrained, axes=normal, view=[(-1.4..1.4)$3]); 
# The plot at the same scale along the axes

                
 

Here we show how to symbolically find the first 6 derivatives at  (0,1). If n> 6, then there are problems with the memory, because the expressions become too cumbersome.

p:= ln((1+x)*y) + exp(x^2*y^2) - x - cos(x);
fsolve(eval(p,y=1), x);
implicitdiff(p, y, x);
eval(implicitdiff(p, y, x), [x=0,y=1]);
seq(eval(implicitdiff(p, y, x$n), [x=0,y=1]), n=1..6);

        

Use  solve  command, which symbolically solves systems of polynomial equations in the form RootOf of a high degree polynomial, after that  allvalues  command and then apply  evalf  command.


Edit.

In your integral,  y  variable is the integration variable (dummy variable). A definite integral does not depend on the name of the variable of integration, so simply replace y under the integral sign with any symbol that is not in your worksheet. Here is a simple example in which the same error is encountered:

f := x->int(x/(x+sin(x)), x = 0 .. x^2); 
f(1/x);   
# An error
F := x->int(s/(s+sin(s)), s = 0 .. x^2);  # Workaround
F(1/x);  # OK


Edit.

Example:

randpoly([x, y], dense, degree = 4);
select(t->degree(t,x)+degree(t,y)<2, %);  

        

Or even shorter:

select(t->degree(t, [x,y])<2, %);

 

Edit.

Simple procedure Cramer returns the main determinant of the system  det[A] , all the auxiliary determinants  det[i]  and the values of all unknowns calculated according to Cramer's rule:

Cramer:=proc(Sys::{set(equation), list(equation)}, Var::list(name))
local n, A, V, det, S;
uses LinearAlgebra;
n:=nops(Sys);
A, V := GenerateMatrix(Sys, Var);
det[A]:=Determinant(A);
S:=seq(Determinant(<A[..,1..i-1] | V | A[..,i+1..n]>), i=1..n);
print(det__A=det[A], seq(det[i]=S[i], i=1..n));
seq(Var[i]=S[i]/det[A], i=1..n);
end proc:


Example of use:

A:=LinearAlgebra:-RandomMatrix(4, generator=-9..9):
V:=LinearAlgebra:-RandomVector(4, generator=-9..9):
Sys:=LinearAlgebra:-GenerateEquations(A, [seq(x[i], i=1..4)], V);
Cramer(Sys, [seq(x[i], i=1..4)]);

    
 

 

restart;
with(DEtools): 
DE1 := diff(y(x),x) = diff(y(x),x$3)+3*diff(y(x),x$2)+4*diff(y(x),x)+12*y(x);
DEplot(DE1, y(x), x = 0..5, [[y(0)=-3, D(y)(0)=0, (D@@2)(y)(0)=0]]);

              

 

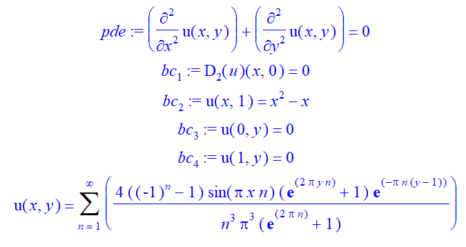
Your equation only Maple 2017 will be able to solve:

pde := (diff(u(x, y), x, x))+diff(u(x, y), y, y) = 0;
 bc[1]:= D[2](u)(x,0) = 0;
 bc[2]:= u(x,1) = x^2-x;
 bc[3]:= u(0,y)=0;
 bc[4]:= u(1,y)=0;
 pdsolve({pde, bc[1], bc[2],bc[3],bc[4]}, HINT= X(x)*Y(y));

                          

     

HINT  option can be omitted.

 

X:=<1,2,3,4>:
Y:=<5,6,7,8>:
x.X+y.Y;

                                    

In this example  X  and  Y  are vectors. For matrices everything is the same.


Edit.

Try  ContoursWithLabels  procedure  from  here .


Your example:

ContoursWithLabels(-3.392318438*exp(-4.264628895*x)*sin(6.285714286*y), -1/2 .. 1/2, -1/2 .. 3/2, {seq(-12 .. 12, 3)}, [color = black, axes = box, size=[1000,600]], Coloring = [colorstyle = HUE, colorscheme = ["Cyan", "Red"], style = surface]);

      


If you do not want coloring, then just remove  Coloring  option from the code.


With the built-in command  plots:-contourplot , do so

plots:-contourplot(-3.392318438*exp(-4.264628895*x)*sin(6.285714286*y), x = -1/2 .. 1/2, y = -1/2 .. 3/2, contours=[seq(-12..12,3)], size=[800,500], numpoints=10000);


Edit.

Execute:

op~(Sol);

Do := proc( F::list(procedure) , Q::list(list))
local n:=nops(F), m:=nops(Q);
if n<>m then error "Should be nops(F)=nops(Q)" fi;
seq(F[i]~(Q[i]), i=1..n);
end proc:


Example of use:

Do([x -> x , y -> y^2], [[0,1,2,3], [4,5,6,7]]);

                                            [0, 1, 2, 3], [16, 25, 36, 49]


Edit.

I took  Gamma/(2*Pi)=1  and plotted  Re(w)  (in red) and  Im(w)  (in blue):

restart;
w:=theta-I*ln(r):
X, Y:=(Re,Im)(w) assuming theta::real, r>0;
plot3d([[r*cos(theta),r*sin(theta),X], [r*cos(theta),r*sin(theta),Y]], theta=0..2*Pi, r=0..3, color=[red,blue], axes=normal, view=[-4.3..4.3, -4.3..4.3, -1..6.7]); 

                              

See help on  ?plot,tickmarks

Example:
restart;
Digits:=20:
plot(x^2, x=0..2, 1..1.00000000001); 
# Long values
plot(x^2, x=0..2, 1..1.00000000001, tickmarks=[default, [seq(1+2*10^(-12)*k=1+2*k*10^(`-12`), k=1..5)]]);  # Short values

First 142 143 144 145 146 147 148 Last Page 144 of 292