Kitonum

21925 Reputation

26 Badges

17 years, 282 days

MaplePrimes Activity


These are answers submitted by Kitonum

Use nested  seq  command.

Example:

seq(seq(A[i,j] >= 0, j=1..4), i=1..3);

You can not find a limit with your procedure, because it for any particular n simply returns a number, but an exact dependence of the sum on n is needed.
The limit can be found as follows:

S:=unapply(sum(2*i/n*2/n, i=1..n), n);
simplify(S(n));
limit(%, n=infinity);

                                       

By  p  procedure the limit can be found only numerically with  a specific accuracy:

evalf[5](p(100000));

                                           2.0000

 

 

 

gl_inveq:=(t,x,alp)->tan((x-t)/alp/(1+t^2))-t:
gl_inv:=(v,alp)->fsolve(gl_inveq(t,v,alp)=0, t):
gl_inv(2,1);
# The calculation of a value of the function
evalf(Int(gl_inv(2,t), t=0..1));  # The calculation of the value of the integral

                                            0.8299950485
                                            -0.5405524297

You have an equation of the 9th degree with respect to lambda with two parameters  x  and  y . It is well known that in the general case the roots of such an equation can not be expressed in principle in terms of its coefficients. You can solve this equation numerically, but only by first setting the parameters.

Example:

x:=1: y:=2:
P:=_Z^9-28*_Z^8+328*_Z^7-2088*_Z^6+(-2*cos(y)-2*cos(x)+7852)*_Z^5+(28*cos(y)+28*cos(x)-17768)*_Z^4+(-152*cos(y)-152*cos(x)+23632)*_Z^3+(408*cos(y)+408*cos(x)-17232)*_Z^2+(-12*cos(x)*cos(y)-540*cos(y)-540*cos(x)+5844)*_Z+32*cos(x)*cos(y)+256*cos(y)+256*cos(x)-544:
fsolve(P, _Z);

   0.1348905839, 0.8646312171, 1.143198734, 1.706737179, 3.176390681, 4.304915397, 4.893289594, 5.142364314, 6.633582298

f:= x-> diff(g(x),x)/(1+g(x)):
applyop(eval, 2, f(x), g(x)=h);
subs(h=g(x), series(%, h=0, 4));

          

 

 

 

 

   

I do not have Maple 18 and so I can not confirm it, but try these options:

plot(x^2, x=-2.5..2.5, tickmarks=[spacing(0.5), default]);
# Or   
plot(x^2, x=-2.5..2.5, tickmarks=[[seq(-2.5+0.5*i=-2.5+0.5*i, i=0..10)], default]);
 

Usually I do it this way: in Maple I press  "prt sc"  key, then I paste it into the Word, then I crop it, removing the extra one.

Suppose we have a product of some members and we want members  with a lesser degree to stand in front of of the members with a greater degree. Here is the procedure that does this:

SortingProduct:=proc(Expr::{`*`,`^`})
local L, L1;
if type(Expr,`^`) then return Expr else
L:=[op(Expr)];
L1:=sort(L, (x,y)->degree(x)<=degree(y));
`*`(map(t->`if`(degree(t)<=1,t,`if`(type(t,`^`),(``(op(1,t)))^op(2,t),t)), L1)[]) fi;
end proc:


Example of use:

SortingProduct((s+1)*(s+2)^3*(s-4)*(s-1)^2*(s+5)*4*(s^2+3));

                


Edit.

   

In  plots:-matrixplot  command, the matrix must consist of numbers, not functions.

See help on this command.

Use  plots:-spacecurve  command.

Example:

plots:-spacecurve([1, t, 1], t=0..10, color=red, thickness=3, axes=normal);


In brackets - parametric equations of this line.

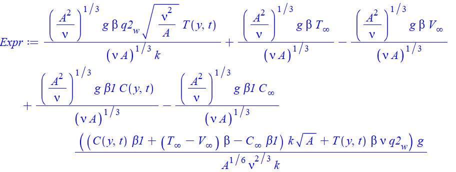
I called your red subexpression as Expr :

Expr:=(A^2/nu)^(1/3)*g*beta*q2[w]*sqrt(nu^2/A)*T(y, t)/((nu*A)^(1/3)*k)+(A^2/nu)^(1/3)*g*beta*T[infinity]/(nu*A)^(1/3)-(A^2/nu)^(1/3)*g*beta*V[infinity]/(nu*A)^(1/3)+(A^2/nu)^(1/3)*g*beta1*C(y, t)/(nu*A)^(1/3)-(A^2/nu)^(1/3)*g*beta1*C[infinity]/(nu*A)^(1/3);

simplify(Expr)  assuming A>0, nu>0;

                  
 

 

Using procedure  P and  Explore  command, we can investigate how the solution changes when the variable  A  is changed:

restart;
P:=proc(A)
local omega, mu, B, eq1, eq2, eq3, dsys3;
omega := -2.667; mu := 10; B := 1;
eq1 := diff(x(t), t) = omega*x(t)-y(t)^2;
eq2 := diff(y(t), t) = mu*(z(t)-y(t));
eq3 := diff(z(t), t) = A*y(t)-B*z(t)+x(t)*y(t);
dsys3 := {eq1, eq2, eq3, x(0) = 10, y(0) = 10, z(0) = 10};
dsolve(dsys3, numeric);
end proc:

Explore(plots:-odeplot(P(A), [t,y(t)], t=0..10), A=1...10.);


Addition. The same we can do by  plots:-animate  command:

plots:-animate(plots:-odeplot,['P(A)', [t,y(t)], t=0..10], A=1..10, frames=91);

   

``(s-3)*(s+2)^2;
                                     

                                     

See my procedure  NestedSeq  here

Here is it's code with a slight change:

restart;

NestedSeq:=proc(Expr::uneval, L::list)

local S;

eval(subs(S=seq, foldl(S, Expr, op(L))));

end proc:


Addition. Here is an example of applying the procedure to an amusing problem: generate the list of all the lucky tickets. A ticket (received in public transport) is lucky if in the six-digits number of which (numbers from 000000 to 999999, total 1 million different tickets) the sum of the first three digits coincides with the sum of the last three. This numerological game is very popular in Russia (see russian wiki).

T:=[NestedSeq(`if`(i+j+k=l+m+n, cat(i,j,k,l,m,n), NULL), [n,m,l,k,j,i]=~[(0..9)$6])]:  # The list of all the lucky tickets
nops(T);  # The total number of all the lucky tickets
seq(T[i], i=100..50000,2000);  # Examples of the lucky tickets

 

Edit.

 

x:=`3`:
parse(x);
                                     
3

First 143 144 145 146 147 148 149 Last Page 145 of 292