Kitonum

21845 Reputation

26 Badges

17 years, 229 days

MaplePrimes Activity


These are answers submitted by Kitonum

The procedure  Root  solves the problem:

Root:=a->fsolve(-x^3+a*x^2-ln(x)=0, x=0..infinity);

 

Examples of use:

Root(0.5),  Root(1),  Root(10);

                       0.8130586971,  1.,  9.976890600

 

Now the code works:

with(plots):

 m := 0.46e-1; d := 0.42e-1; v := 60; alpha0 := 12; g := 9.81; pa := 1.205; cd := .2; n := 100; omega := 2*Pi*(1/60);                           

 p := 6*m/(Pi*d^3);

 k1 := (3/4)*cd*pa/(d*p); k2 := (3/8)*omega*pa/p;                                       

 gl1 := vx(t) = diff(x(t), t);                   

 gl2 := vy(t) = diff(y(t), t);                             

 gl3 := diff(vx(t), t) = -k1*vx(t)*(vx(t)^2+vy(t)^2)^(1/2)-k2*vy(t);

 gl4 := diff(vy(t), t) = -g-k1*vy(t)*(vx(t)^2+vy(t)^2)^(1/2)+k2*vy(t);

 init1 := x(0) = 0;

 init2 := y(0) = 0;

 init3 := vx(0) = v*cos((1/15)*Pi);                              

 init4 := vy(0) = v*sin((1/15)*Pi);

sol:=dsolve({gl1, gl2, gl3, gl4, init1, init2, init3, init4}, {vx(t), vy(t), x(t), y(t)}, type = numeric);

sol(0.1);                        

odeplot(sol, [[t,x(t)], [t, y(t)]], t = 0 .. 1, color=[red,blue]);

In the example below, to keep the order of the elements I replaced the braces on brackets, also I added a few more negative numbers:

a:=[10, 11, -13, -9, 20, 74, -10]:

map(t->`if`(t<0,0, t), a);

                          [10, 11, 0, 0, 20, 74, 0]

 

Addition.  Easy modification of your code also works

a:=[10, 11, -13, -9, 20, 74, -10]:

for k from 1 to nops(a)  do

  if a[k]<0 then a:=subs(a[k]=0, a) end if:

end do:

a;

                            [10, 11, 0, 0, 20, 74, 0]

The procedure  SM  solves the problem.

SM := n->Matrix(n+1, (i,j)-> `if`(j <= i, (-1)^(i+j-2)*(i+j-2)!/((i-j)!*(j-1)!), 0)):

 

Example of use:

SM(4);

                                  

 

It seems that this is exactly what you want.

Edited.

 

I have seen on your picture what you are trying to solve the equation  f(a, x)=x  for  x  with the parameter  a . Similar equations can be solved numerically for each parameter value  a , eg using  fsolve  command. We first prove that this equation has only the unique positive root for any real values of  . To do this, we are expressing  the parameter  a  from the equation, going to the equivalent equation  a=g(x) . It is easy to prove that the function  g(x)=(x^3+ln(x))/x^2  takes any real values and strictly increasing for x>0 . This implies the existence and uniqueness of the root of the equation   f(a, x)=x  for any  .

f:=(a,x)->exp(x^2*(a-x)):

Eq:=f(a,x)=x:

a=solve(Eq, a);  # The equivalent equation  to  the equation  f(a, x)=x

g:=unapply(rhs(%), x);  # The function defined by the right side of previous equation

plot(g(x), x=0..10, -10..10, thickness=2, labels=[x,'g'(x)]);

Root:=a->fsolve(exp(x^2*(a-x))=x, x=0..infinity):  # Solution of the equation  f(a, x)=x  for any  a

                  

 

 

Examples of use:

Root(-2),  Root(0),  Root(2),  Root(5);

                      0.5142801644,  0.7047094903,  1.819187100,  4.934442571

 

 

Replace  style = line  in your code with  linestyle=solid  or  style=surface

Do you mean step by step solution from the definition of the derivative?

 

An example (finding the derivative of the function  x->x^2 ):

f:=x->x^2:

Student[Calculus1][ShowSolution](Limit((f(x+dx)-f(x))/dx, dx=0));

     

 

 Addition.  Unfortunately, in more complicated situations, for example for piecewise functions, it does not work:

f:=x->piecewise(x=0, 0, x^2*sin(1/x)):

Student[Calculus1][ShowSolution](Limit((f(x+dx)-f(x))/dx, dx=0));

Nothing was returned.

 

Calculation by  diff  command is working properly:

 diff(f(x), x);

                       

 

 

 

The procedure  P  generates a list  [x,y]  of 2 integers in the range  r  such that  x<y

P:=proc(r)  # r is a range

local x, y;

uses RandomTools;

x:=Generate(integer(range=lhs(r)..rhs(r)-1));

y:=Generate(integer(range=x+1..rhs(r)));

[x,y];

end proc:

 

Example of use:

seq(P(1..7), i=1..10);

                        [2, 7], [5, 6], [1, 6], [4, 6], [6, 7], [4, 5], [3, 6], [1, 6], [3, 7], [1, 3]

 

 

There is a unique solution to this problem. In the code below the procedure  NumbersGame  from  here  was used:

L:=[$1..9]:

[seq(op(combinat[choose](8,i)), i=1..8)]:

M:=map(t->[parse(cat(op(L[1..t[1]]))),seq(parse(cat(op(L[t[i]+1..t[i+1]]))),i=1..nops(t)-1),parse(cat(op(L[t[-1]+1..-1])))],%):

Sol:=[]:

for k in M do

S:=NumbersGame(2016, k, ["+","-","*"]):

if S<>`No solutions` then Sol:=[op(Sol),S] fi;

od:

op(Sol);

                                     1 * 2 * 34 * 5 * 6 - 7 - 8 - 9 = 2016

 

Addition. Also there is a unique solution to this problem for numbers  1 .. 8

                                         1 * 2 + 345 * 6 - 7 * 8 = 2016

See help on  Statistics[LinearFit]  command.

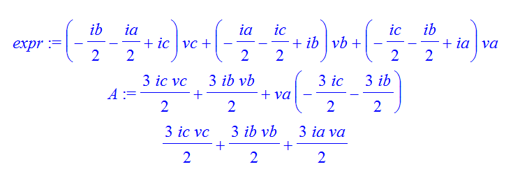
expr:=(-(1/2)*ib-(1/2)*ia+ic)*vc+(-(1/2)*ia-(1/2)*ic+ib)*vb+(-(1/2)*ic-(1/2)*ib+ia)*va;

A:=algsubs(ia+ib+ic=0, expr);

subsop([3,2]=simplify(op([3,2], A), {ia+ib+ic=0}), A);

                      

 

 

 

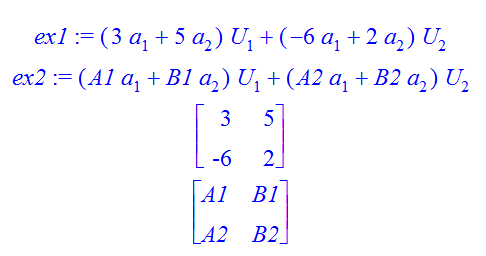
The procedure  SM  solves your problem for both numeric and symbolic coefficients. Formal parameters: ex  - your expression,  U - the list of variables that determine the rows of the matrix, A - the list of variables that determine the columns of the matrix:

SM := proc (ex, U, A)

Matrix(map(t->[seq(coeff(t, A[i]), i = 1 .. nops(A))], map2(coeff, ex, U)));

end proc:

 

Examples of use:

ex1 := (3*a[1]+5*a[2])*U[1]+(-6*a[1]+2*a[2])*U[2];

ex2 := (A1*a[1]+B1*a[2])*U[1]+(A2*a[1]+B2*a[2])*U[2];

SM(ex1, [U[1], U[2]], [a[1], a[2]]);

SM(ex2, [U[1], U[2]], [a[1], a[2]]);

                          

 

 

 

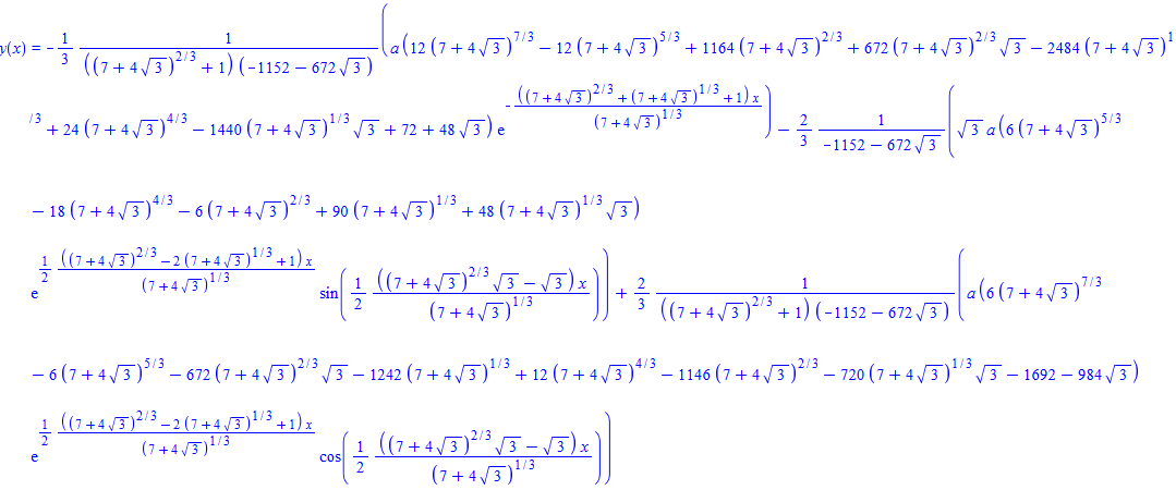
To denote the second derivative, you must use two separate single quotes instead of one double quote (in Standard WorkSheet in document mode):

eq := diff(y(x), x$3)+3*(diff(y(x), x$2))+12*y(x):

dsolve({eq,  y(0) = a,  y’(0) = 0,  y’’(0) = 0}, y(x));

          

 

 

 

1) isolve  command just fails with your example.

2) It is easy to check that  your examples of solutions really are not solutions.

3) The plotting shows that the set of solutions of the system is located between two parallel lines

plots[inequal]({-13/74 < 7/37*f-2/37*g, -1/2 < 2/37*f+7/37*g, 2/37*f+7/37*g < -33/74, 7/37*f-2> 7*g, 7*g < 1/2}, f=-3..6, g=-5..1, scaling=constrained);

                          

 

4) We can find many integer solutions if we use the  IntegerPoint1  procedure from here 

Because this procedure works only for bounded regions, I added the extra inequality  f<100  to your system:

IntegerPoints1({(7/37)*f-2 > 7*g, -13/74 < (7/37)*f-(2/37)*g, -1/2 < (2/37)*f+(7/37)*g, f < 100, 7*g < 1/2, (2/37)*f+(7/37)*g < -33/74}, [f, g]);

 

Addition. If we analyze the results obtained, it is easy to obtain (and to prove) the general formulas for solutions.

 

 

restart;

A:=Matrix(100, 1, 1):

for k from 1 to 100 do

B[k]:=Matrix(subsop(k=[1.1], convert(A, listlist)));

od:

 

Matrix  B[k]  is different from the matrix   only  k-th column element.

First 192 193 194 195 196 197 198 Last Page 194 of 292