Kitonum

21845 Reputation

26 Badges

17 years, 229 days

MaplePrimes Activity


These are answers submitted by Kitonum

Simple procedure  f  solves your problem:

f:=proc(x, A, B)

local B1;

B1:=[B[1]+x, B[2]+x];

`if`(A[2]<=B1[1] or B1[2]<=A[1], 0, min(A[2],B1[2]) - max(A[1],B1[1]));

end proc:

 

Examples of use:

f(0,[2,4],[0,1]);

f(3/2,[2,4],[0,1]);

f(3,[2,4],[0,1]);

f(4,[2,4],[0,1]);

f(0,[1,3],[0,5]);

plot('f'(x,[1,3],[0,5]), x=-5..5, color=red, thickness=3, scaling=constrained);

                  

 

 

I don't know any Maple procedures which solve the similar problems.

1) LinearAlgebra[LinearSolve]  command finds the infinite number of solutions that depend on the three parameters:

restart;

with(LinearAlgebra):

 l1 := [1, 1, 1, 0, 0, 0, 0, 0, 0]:

l2 := [0, 0, 0, 1, 1, 1, 0, 0, 0]:

l3 := [0, 0, 0, 0, 0, 0, 1, 1, 1]:

l4 := [1, 0, 0, 1, 0, 0, 1, 0, 0]:

l5 := [0, 1, 0, 0, 1, 0, 0, 1, 0]:

l6 := [0, 0, 1, 0, 0, 1, 0, 0, 1]:

l7 := [0, 0, 1, 0, 1, 0, 1, 0, 0]:

A := Matrix([l1, l2, l3, l4, l5, l6, l7]):                                   

b := <15, 15, 15, 15, 15, 15, 15>:  # Vector specified by right hand side of the matrix equation  A.m=b

m:=LinearSolve(A, b);

                                             

 

2) The second problem has 24 solutions:

S:={$ 2..8}:  n:=0:  T:=table():

for i in S do

for j in S do

for k in S do

m0:=eval(m,{_t[6]=i, _t[8]=j , _t[9]=k});

if convert(m0, set)=S then n:=n+1; T[n]:=m0  fi;

od: od: od:

T:=convert(T, set);

nops(T);

 

 

 3) The third problem has no solutions:

S1:={$ 0..8}:

P:=combinat[permute](S1, 3): n:=0: T:=table():

for p in P do

m0:=eval(m,{_t[6]=p[1],_t[8]=p[2],_t[9]=p[3]});

if convert(m0,set)=S1 then n:=n+1; T[n]:=m0 fi;

od:

T:=convert(T,set);

                                                       T := {}

 

But if we replace  {$ 0..8}  by  {$ 1..9)  then again get  24  solutions:

S2:={$ 1..9}:

P:=combinat[permute](S2, 3):  n:=0:  T:=table():

for p in P do

m0:=eval(m, {_t[6]=p[1],_t[8]=p[2],_t[9]=p[3]});

if convert(m0, set)=S2  then n:=n+1; T[n]:=m0  fi;

od:

T:=convert(T, set):

nops(T);

                                                         24

 

Matrix_Equation.mws

In fact, you just need to plot a function by some points. Here is an example  of such a plotting. This is not a procedure, but the example of a general nature and can easily be re-written as a procedure:

restart;

f := unapply(x^2, x):  a := 1:  b := 3:  n := 10:

x := a+k*(b-a)/n:

L := [seq([x, f(x)], k = 0 .. n)]:

plot(L, color = red, thickness = 2);

                                    

 

 

 

If you type  I__K  you get just indexed symbol, to which you can assign any object, for example the integer  5 . If now you type  I[K]  this is not equal   I__K .  You get some strange nature of the object, you can not assign anything to it:

             

 

The reason is that in Maple  I  is not a symbol but the complex constant, namely, the imaginary unit. See

whattype(I);

I^2;

                               

 

So, I[K]  never should be typed , because it does not make sense.

Usually a system of equation is specified as a set, because the order of equations is irrelevant.

L := [a, c, b, d, f, e]:   S := [b, c, f, e]:
`union`(op(map(convert, [L, S], set)));

                               {a, b, c, d, e, f}

Example:

interface(rtablesize=infinity):  # It lets to display matrices of arbitrary sizes
LinearAlgebra[RandomMatrix](15);

                           

 

 

 

st := time():

for i to 1000 do for j to 1000 do

a[i, j] := abs(i-j+1)^0.3-abs(i-j)^0.3;

end do end do:

time()-st;

                                29.812

For example:

abs(5)^0.3-abs(4)^0.3;

                            0.104940030

 

I do not think that 29 seconds is too much time for this task.

My comp: 1.7GHz, 4.00Gb Ram

Procedure  DerPlot  solves all the problems. I added the plot of the derivative  f'(x) (yellow color), because the point  [a,f'(a)] (green color)  lies on the plot of the derivative  rather than on the plot  f(x) .

Formal parameters:  Expr  is an expression for  f(x) ,  a  is the point of tangency,  h (optional) is a numeric that specifies a range for  x  (x=a-h .. a+h) (by default  x=4) .

DerPlot := proc (Expr, a, h := 4)

local f, T;

uses plots;

f := unapply(Expr, x);

T := f(a)+(eval(diff(f(x), x), x = a))*(x-a);

plot([f(x), T, diff(f(x), x)], x = a-h .. a+h, color = [blue, red, yellow], thickness = 2, caption = typeset("Curve f(x) :  ", y = f(x), "\nTangent line:  ", y = T, "\n Red point :  ", [parse("a"), f(parse("a"))] = [a, f(a)], "\n Green point :  ", [parse("a"), `f'`(parse("a"))] = [a, eval(diff(f(x), x), x = a)]), captionfont = [times, roman, 16]);

pointplot([[a, f(a)], [a, eval(diff(f(x), x), x = a)]], color = [red, green], symbol = solidcircle, symbolsize = 16);

display(%, %%);

end proc:

 

Example of use:

DerPlot(sin(x), 2*Pi*(1/3));

                    

 

 

 

Procedure  PartialSum calculates partial sums of the series   a1+a2+...+an+...

Formal parameters:  N  is the number of  terms, an is an expression for nth term of the series.

PartialSum:=proc(N, an)
local psum, f, k;

psum:=0;
f:=unapply(an, n);
for k from 1 to N do
psum:=psum+f(k);
od;
psum;

end proc:

 

Example of use:

PartialSum(10, 1/n);

                               7381/2520

 

Addition:  Of course,  PartialSum  procedure is simply a correction of  OP's attempt. In actual practice, you can simply write 

 add(an, n=1..N);  # for numeric  N

sum(an, n=1..N);  # for symbolic  N

 

Examples:

add(1/2^n, n=1..10);

sum(1/2^n, n=1..N);

eval(%, N=10);

                            

 

 

 

Markiyan Hirnyk  In fact, you've got the original parameterization  x=9z^2+3z+367, y=6z^2 +z+244  and nothing new.

If  x, y  are integers, we will prove that there must be  z  is an integer (this is obvious)  or  z  is  an integer+1/3

Let   x, y  are integers. It is easy to get  3*y-x=9*z^2+365 . It follows that 3*z must be an integer. Let  3*z=n ,  z=n/3 , n is integer.  It is clear that  x  be  an integer for all  z=n/3 , n is integer. It remains to find conditions on n, y to be an integer.  To do this, we have to solve in integers  the equation  6*(n/3)^2+n/3=m :

isolve(6*(n/3)^2+n/3=m);

             {m = 6*_Z1^2-_Z1, n = -3*_Z1}, {m = 6*_Z1^2-5*_Z1+1, n = 1-3*_Z1}

From the second solution we have  z=n/3=-_Z1+1/3

 

minimize(sin(x+y), x=-1..1, y=-1..1);

                                    -1

 

With  location  option:

minimize(sin(x+y), x=-1..1, y=-1..1, location);

               -1, {[{x = 1-1/2*Pi, y = -1}, -1]}

Your cone depends on two parameters  R  and  Theta, so we can set a procedure with these parameters, and use it by setting specific parameters.

Two ways:

Cone := (R, Theta) -> plot3d(eval([r*cos(phi)*sin(theta), r*sin(phi)*sin(theta), r*cos(theta)], theta = Theta), r = 0 .. R, phi = 0 .. 2*Pi, scaling = constrained) :

# or

Cone1 := (R, Theta) ->plot3d(eval([r, phi, theta], theta = Theta), r = 0 .. R, phi = 0 .. 2*Pi, coords = spherical, scaling = constrained) :

 

Examples of use:

Cone(1, (1/6)*Pi);

Cone1(2, (1/4)*Pi); 

 

Addition: The third way - to use  plottools[cone]  command:

Cone2 := (R, Theta)->plots[display](plottools[cone]([0, 0, 0], R, R*cot(Theta)), axes = box, scaling = constrained):

I corrected a few errors in your file, wrote about Mac Dude. Maple found 4 solutions of the first 9 equations. But none of them does not satisfy the additional condition  C[1]

For details, see the attached file:

NL_new.mw

 

Addition: If a system has аn expression  A , instead of an equation, Maple treats this as the equation  A=0

It seems that this is not possible to do interactively only  programmatically.

An example:

plot(x^2, x = 0 .. 2, style = point, numpoints = 20);

                                    

 

 

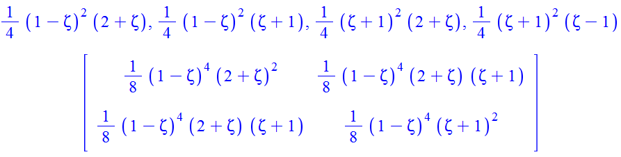
To create a matrix  A  does not necessarily advance to create its entries. It is easier and shorter to specify the function (i,j)->A[i,j] that assigns a certain number  A[i,j]  to ith row and jth column :

 

psi := (1/4)*(1-Zeta)^2*(2+Zeta), (1/4)*(1-Zeta)^2*(Zeta+1), (1/4)*(Zeta+1)^2*(2+Zeta), (1/4)*(Zeta+1)^2*(Zeta-1);

A := Matrix(2,  (i, j) -> 2*psi[i]*psi[j]);

                     

 

First 191 192 193 194 195 196 197 Last Page 193 of 292