Kitonum

21925 Reputation

26 Badges

17 years, 284 days

MaplePrimes Activity


These are answers submitted by Kitonum

In standard Maple 12:

restart;

with(VectorCalculus):

SetCoordinates(cartesian[x, y, z]);

alias(u = u(t, x, y, z), v = v(t, x, y, z), w = w(t, x, y, z)); alias(eta = eta(t, x, y, z));

U := VectorField(`<,>`(u, v, w));

Divergence(U);

Jacobian(U);

map(Diff, U, t);

convert(%, Vector[row]);

 

 

Probably you are using an older version of the package,  which in fact does not have  DirectSearch:-SolveEquations  command. Here's a link to the new version  http://www.maplesoft.com/applications/view.aspx?SID=101333

The easiest way to solve your problem by using a special procedure. The procedure  RootsToTrig  is based on the formulas in your link. The construction  ``(...)  used to prevent premature cosine computation in some cases.

RootsToTrig:=proc(P::polynom)

local P1, A, B, C, Q, R, Discr, F, theta, x;

x:=op(indets(P));

P1:=P/coeff(P,x^3);

A:=coeff(P1,x^2); B:=coeff(P1,x); C:=coeff(P1,x,0);

Q:=simplify(3*B-A^2)/9; R:=simplify(9*A*B-27*C-2*A^3)/54; Discr:=Q^3+R^2;

if is(Discr>=0) then error "Should be discriminant<0" fi;

F:=simplify(R/sqrt(-Q^3));

theta:=arccos(F);

x[1]=2*sqrt(-Q)*cos(``(theta/3))-A/3, x[2]=2*sqrt(-Q)*cos(``(theta/3+2*Pi/3))-A/3, x[3]=2*sqrt(-Q)*cos(``(theta/3+4*Pi/3))-A/3;

end proc: 

 

Examples of uses (all angles are expressed in radians):

RootsToTrig(5*x^3-4*x+1);

RootsToTrig(5*x^3-4*x+2);

 

 Here is the version of the same procedure with degrees:

restart;

RootsToTrig1:=proc(P::polynom)

local P1, A, B, C, Q, R, Discr, F, theta, x;

x:=op(indets(P));

P1:=P/coeff(P,x^3);

A:=coeff(P1,x^2); B:=coeff(P1,x); C:=coeff(P1,x,0);

Q:=simplify(3*B-A^2)/9; R:=simplify(9*A*B-27*C-2*A^3)/54; Discr:=Q^3+R^2;

if is(Discr>=0) then error "Should be discriminant<0" fi;

F:=simplify(R/sqrt(-Q^3));

theta:=arccos(F);

x[1]=2*sqrt(-Q)*cos(theta/3*180*degrees/Pi)-A/3, x[2]=2*sqrt(-Q)*cos((theta/3+2*Pi/3)*180*degrees/Pi)-A/3, x[3]=2*sqrt(-Q)*cos((theta/3+4*Pi/3)*180*degrees/Pi)-A/3;

end proc: 

 

Example:

RootsToTrig1((x-1)*(x-2)*(x-3));

 

 

There is no  evaluate  command in Maple (there is  eval  command). Removal (or expansion) of parentheses in different meanings expand command carries out.

 

Examples:

restart;

L:=[x*(x+y), (x+y)^5, sin(3*x), cos(x+y), (x+y)/z, 2^(x-y), Int(f(x)+g(x),x)]:

for l in L do

expand(l);

od;

 

 

restart;

solve({x+y-3, x^2+y^2-5}, {x, y}):

a,b:= eval([x, y], %[1])[]:

a, b;

                    2, 1

Array( [seq(plot(p, x = -Pi .. Pi, -1.4 .. 1.4, scaling = constrained), p = [sin(x), cos(x)])]);
plots[display](%);

You can just copy and paste the sign (below I put this sign in this way)

         ▪

of the Word. In the Word menu  Insert->Symbols->Other Symbols . The number of the sign in Unicode is  25AA .

 

Addition:  long to not look for this sign, you can just type in the Word  25AA , select it and then  alt+x

 

 

  

 

This  is equivalent to the union of two plots  r=-sqrt(5-4*cos(theta))  and  r=sqrt(5-4*cos(theta)) :

 

plots[polarplot]([-sqrt(5-4*cos(theta)), sqrt(5-4*cos(theta))], theta = 0 .. 2*Pi, color = red, thickness = 2);

 

 

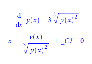
In this example, it is more convenient to use  surd  command.  surd(a,3)  means  the cubic root in the real domain. The results are displayed in a more compact form.

Compare:

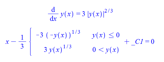
restart;

de := diff(y(x), x) = 3*abs(y(x))^(2/3);

dsolve(de);

                         

 

and

 

restart;

de := diff(y(x), x) = 3*surd(y(x)^2, 3);

dsolve(de);

                                     

 

The latter result can be more simplified to  x - y(x)^(1/3) +_C1 = 0 ,  but Maple does not want to do this.

P:=Matrix([[ 0 , .5 , .5 , 0 , 0 , 0 ], [ 1/3 , 0 , 0 , 1/3 , 1/3 , 0 ], [ 1/3 , 0 , 0 , 0 , 1/3 , 1/3 ], [ 0 , 1 , 0 , 0 , 0 , 0 ], [ 0 , .5 , .5 , 0 , 0 , 0 ], [ 0 , 0 , 1 , 0 , 0 , 0 ]]):

pii:=Vector[row]([ a , b , c , d , e , f ]):

solve({seq(pii.P[i]=pii[i], i=1..6)});

                               {a = f, b = f, c = f, d = f, e = f, f = f}

If I understand the problem, the rotation around the vertical axis.

The plotting of the curve:

plot(1-cos(theta), theta = 0 .. 2*Pi, coords = polar);

 

 

The plotting of the body (for clarity, cutted a piece of the outer surface):

r := 1-cos(theta):

plot3d([r*cos(theta)*cos(phi), r*cos(theta)*sin(phi), r*sin(theta)], theta =0  .. 2*Pi, phi = Pi/2 .. 2*Pi, scaling = constrained,  axes=normal, view=[-2.7..2.7,-2.7..2.7,-1.4..1.4], orientation=[-160,-75,180]);

 

 

The calculations  the volumes of the bodies bounded by the outer and inner surfaces:

int(Pi*(r*cos(theta))^2, theta = (1/2)*Pi .. 3*Pi*(1/2));

int(Pi*(r*cos(theta))^2, theta = -(1/2)*Pi .. (1/2)*Pi);

                              

 

This problem was solved only with the help of  plots[textplot]  command in standard worksheet. The numerator and denominator of the fraction  r  should not be too large (less than 10^9):

 

MixedNumber := proc (r::{integer, fraction})

local a, b, d1, d2;

if r::integer or abs(numer(r)) < denom(r) then

return plots:-textplot([0, .9, r], view = [-1 .. 1, -1 .. 1], font = [TIMES, ROMAN, 18], color = blue, axes = none) else

a := trunc(r); b := `if`(0 < r, r-trunc(r), trunc(r)-r); d1 := `if`(0 < a, length(a), length(a)+1); d2 := max(length(numer(b)), length(denom(b)));

plots:-textplot([[-0.034*(d1-1), 0.9, a], [0.1+0.034*(d2-1), 0.9, b]], view = [-1 .. 1, -1 .. 1], font = [TIMES, ROMAN, 18], color = blue, axes = none) end if;

end proc:

 

Two examples of the work of the procedure:

MixedNumber(17/6);

                                              

MixedNumber(-100001/9971);

                                        

 

 

Vector  v  depends on 6 parameters  A, B, k, t, x, y . The simple procedure  VecPic  plots the vector  v  for specified values of these parameters.

VecPic := proc (A, B, k, t, x, y)

local a, b, c, d;

uses plots;

a := -A*y*exp(-k*t)/(x^2+y^2);

b := A*x*exp(-k*t)/(x^2+y^2);

c := B*t;

d := max(abs(a), abs(b), abs(c));

arrow(<a, b, c>, view = [-d .. d, -d .. d, -d .. d], color = red, scaling = constrained, axes = normal)

end proc:

 

Your example for  t=0, A=1 (I took the the remaining parameters arbitrarily):

VecPic(1, 1, 1, 0, 4, -3);

 

 

If I understand correctly, only zero elements are on the diagonal, and the remaining elements are equal to  0  or   in any combination.

Here is the procedure that builds all such symmetric  n  by  n  matrices:

LM:=proc(n)

local L;

uses combinat; 

L:=permute([1$(n*(n-1)/2), 0$(n*(n-1)/2)], n*(n-1)/2);

[seq(Matrix(n,{seq(seq((i+1,j)=L[k][(i-1)*i/2+j], j=1..i), i=1..n-1)}, shape=symmetric), k=1..nops(L))];

end proc:

 

Example (the first 12 matrices of  2^10  the all ones for  n=5 ):

LM(5)[1..12][];

 

 

 

Example:

with(LinearAlgebra):

A := Matrix(3,4, [[1,2,3,4],[5,6,7,8],[9,0,1,2]]);

SubMatrix(A, [1,2], [2,4]);

 

 

First 225 226 227 228 229 230 231 Last Page 227 of 292