Kitonum

21925 Reputation

26 Badges

17 years, 284 days

MaplePrimes Activity


These are answers submitted by Kitonum

The following code finds all the such triangles in specified ranges. Without loss of generality, to reduce the volume of calculations, we take one vertex at the origin, and take one vertex in the first octant with non-decreasing coordinates. It is obvious that by translations and reflections with respect to the coordinate planes and relatively bisector planes, any triangle can be reduced to this form.

restart;

 

CP:=proc(A::Vector, B::Vector, C::Vector)

uses LinearAlgebra;

convert(CrossProduct(B-A, C-A), list);

end proc:

 

СenterOfCircle:=proc(A::Vector, B::Vector, C::Vector)

local P1, P2, P3, X, x, y, z;

uses LinearAlgebra;

X:=<x,y,z>;

P1:=Determinant(Matrix([X-A, B-A, C-A]))=0;

P2:=DotProduct((X-(A+B)/2),(B-A),conjugate=false)=0;

P3:=DotProduct((X-(A+C)/2),(C-A),conjugate=false)=0;

solve({P1,P2,P3}, {x,y,z});

assign(%);

[x,y,z];

end proc:

 

Orthocenter:=proc(A::Vector, B::Vector, C::Vector)

local P1, P2, P3, X, x, y, z;

uses LinearAlgebra;

X:=<x,y,z>;

P1:=Determinant(Matrix([X-A, B-A, C-A]))=0;

P2:=DotProduct((X-A),(B-C),conjugate=false)=0;

P3:=DotProduct((X-B),(C-A),conjugate=false)=0;

solve({P1,P2,P3}, {x,y,z});

assign(%);

[x,y,z];

end proc:

 

Centroid:=proc(A::Vector, B::Vector, C::Vector)

uses LinearAlgebra;

convert((A+B+C)/3, list);

end proc:

 

A, B, C:=<0,0,0>, <x1,y1,z1>, <x2,y2,z2>:

T:=CP(A,B,C):

CC:=СenterOfCircle(A,B,C):

Oc:=Orthocenter(A,B,C):

Ct:=Centroid(A,B,C):

 

k:=0:

for x1 from 0 to 20 do

for y1 from x1 to 20 do

for z1 from y1 to 20 do

for x2 from -10 to 10 do

for y2 from -10 to 10 do

for z2 from -10 to 10 do

A, B, C:=<0,0,0>, <x1,y1,z1>, <x2,y2,z2>:

if (T[1]<>0 or T[2]<>0 or T[3]<>0) then if (CC[1]::integer and CC[2]::integer and CC[3]::integer) and (Oc[1]::integer and Oc[2]::integer and Oc[3]::integer) and (Ct[1]::integer and Ct[2]::integer and Ct[3]::integer) then k:=k+1: L[k]:=[A,B,C]: fi: fi:

od: od: od: od: od: od:

L:=convert(L,list):

nops(L); # Number of solutions

 

seq(L[1+350*(i-1)], i=1..10); # 10 solutions from the total 3567 ones

 

 

This code searches 3567 solutions for about 8 minutes. 

Because  abs(x+y)=sqrt((x+y)^2)  then

 

restart;

Eqs:= [sqrt((x-1)^2+(y-5)^2)+(1/2)*sqrt((x+y)^2) = 3*sqrt(2), sqrt(abs(x+2)) = (2-y)]:

solve(Eqs);

                                                       {x = -2, y = 2}

 

Such examples are useful to check by the visualization:

plots[implicitplot]([sqrt((x-1)^2+(y-5)^2)+(1/2)*abs(x+y) = 3*sqrt(2), sqrt(abs(x+2)) = 2-y], x = -7 .. 3, y = -3 .. 6, color = [red, blue], thickness = 2, numpoints = 10000, scaling = constrained);

 

 

 

 

 

1. Your system  for solving by  fsolve  is composed wrong. First, you define a set of equations  eq[i]  based on  ode1 , then under the same names  other equations based on  ode2.

2. To solve a system by  fsolve  the number of equations must equal the number of unknowns.

 

May be as follows:

solve({x=z,y=z, z=t}, {x,y,z});  # t is the parameter

             {x = t, y = t, z = t}

 

If not, please give the full text of the problem.

To be more precise, the planets revolve not in circles, but in ellipses, and the Sun is at one focus. So first we take the polar equation of the ellipse (the Sun is in the pole), and then all the constructions using parametric equations, based on the original polar equations. 

For example, all parameters are arbitrary and have no relation to the actual planets. The plane of rotation of the red planet taken at an angle of 18 degrees with respect to the plane of the blue planet. Rotation period of the blue planet taken 2 times more than the red planet. Initial phases are also different.

As a result of the code, you can see two animations. The first animation shows the motion of the two planets in their orbits, the second one also shows the planes of the orbits:

restart;
r1 := (3*(1-0.4^2))/(1-0.4*cos(t)):
r2 := (2*(1-0.5^2))/(1-0.5*cos(2*t-(1/4)*Pi)):
R := <cos(phi), 0, -sin(phi); 0, 1, 0; sin(phi), 0, cos(phi)>:
phi := (1/10)*Pi:
L1 := [r1*cos(t), r1*sin(t), 0]:
L2 := convert(R.`<,>`(r2*cos(2*t-(1/4)*Pi), r2*sin(2*t-(1/4)*Pi), 0), list): T1 := plots[spacecurve](L1, t = 0 .. 2*Pi, linestyle = 3, color = blue, thickness = 2):
T2 := plots[spacecurve](L2, t = 0 .. 2*Pi, linestyle = 3, color = red, thickness = 2):
Sun := plottools[sphere]([0, 0, 0], 0.2, style = surface, color = yellow):
S1 := plot3d([u*cos(t), u*sin(t), 0], u = 0 .. r1, t = 0 .. 2*Pi, style = surface, color = "LightBlue", transparency = 0.5):
S2 := plot3d(convert(R.<v*cos(2*t-(1/4)*Pi), v*sin(2*t-(1/4)*Pi), 0>, list), v = 0 .. r2, t = 0 .. 2*Pi, style = surface, color = pink):
P1 := proc (x, y) plots[display](plottools[sphere](x, y, style = surface, color = blue)) end proc:
P2 := proc (x, y) plots[display](plottools[sphere](x, y, style = surface, color = red)) end proc:
Planet1 := plots[animate](P1, [L1, 0.15], t = 0 .. 2*Pi, frames = 50):
Planet2 := plots[animate](P2, [L2, 0.1], t = 0 .. 2*Pi, frames = 50):

plots[display](T1, T2, Sun, Planet1, Planet2, scaling = constrained, axes = framed, orientation = [65, 75], lightmodel = light1);
plots[display](T1, T2, S1, S2, Sun, Planet1, Planet2, scaling = constrained, axes = framed, orientation = [65, 75], lightmodel = light1);

 

 

 

evalf(map(log10, [25,5,1,10,4,20]));

map(t->10^t, %);

[1.397940008, .6989700041, 0., 1., .6020599914, 1.301029996]

[24.99999996, 4.999999997, 1., 10., 4.000000001, 20.00000002]

Maybe you mean the plane domain  sqrt(x)<y<=1/sqrt(2) ?

Plotting in Maple 12 classic:

restart;

A:=plot(sqrt(x), x=-0.2..0.7, color=blue, thickness=2):

B:=plot(1/sqrt(2), x=-0.2..0.7, color=red, thickness=2):

A1:=plot(sqrt(x), x=0..1/2, color=white, filled=true):

B1:=plot(1/sqrt(2), x=0..1/2, color=yellow, filled=true):

B2:=plot(1/sqrt(2), x=0..1/2, color=yellow, thickness=3):

C:=plot([1/2, t, t=0..1/sqrt(2)], linestyle=3, color=black):

C1:=plots[textplot]([1/2,-0.02,1/2], font=[TIMES,ROMAN,16]):

plots[display](B2, A, B, A1, B1, C, C1, scaling=constrained);

Of course, manual axes are very laborious for a single application. But it is easy to write a procedure in which to provide any options. 

restart;

export_plot_options := axes = none, size = [850, 850]:
points := [seq([seq(exp(-(x^2+y^2)*(1/100)), x = -10 .. 10.0)], y = -10 .. 10.0)]:

A := plots:-listdensityplot(points, export_plot_options):
B := plots[arrow]([.43-2, .43], [27, 0], width = 0.4e-1, head_length = [0.4e-1, relative], head_width = [15, relative]):
C := plots[arrow]([.43, .43-2], [0, 27], width = 0.4e-1, head_length = [0.4e-1, relative], head_width = [15, relative]):
Ticks := seq(plottools[line]([2*i, .43], [2*i, .43-.3], thickness = 3), i = 0 .. 11), seq(plottools[line]([.43-.3, 2*i], [.43, 2*i], thickness = 3), i = 0 .. 11):
SubTicks := seq(plottools[line]([i, .43], [i, .43-.1], thickness = 3), i = -1 .. 23), seq(plottools[line]([.43-.1, i], [.43, i], thickness = 3), i = -1 .. 23):
Text := plots[textplot]([seq([2*i, .43-.8, 2*i], i = 1 .. 11), [25, .43-.8, x], seq([.43-1, 2*i, 2*i], i = 1 .. 11), [.43-1, 25, y]], font = [TIMES, roman, 30]):

plots[display](A, B, C, Ticks, SubTicks, Text);

 

 

I fixed a few mistakes in your code.. Symbolic solution is very cumbersome, so I show only the approximate one and its plot:

restart;

eq:=a11*diff(phi(x),x,x,x,x)+a22*diff(phi(x),x,x)+a33*phi(x):

inc:=phi(a)=sigma1, phi(-a)=sigma1, D(phi)(a)=0, D(phi)(-a)=0:

a11:=2.731e-10:

a22:=-1.651e-9:

a33:=3.09027e-10:

a:=35.714:

sigma1:=200e6:

dsolve({eq, inc});

evalf(%);

assign(%);

plot(phi(x), x=-a-1..a+1, thickness=2);

Detailed explanations about this methods see  here  and  here

 

Solutions your task  (y=1/x^(1/4)  implies  x=1/y^4):

Pi*int((1/x^(1/4))^2-1^2, x=1/16..1);  # Disk integration (integrate along  x-axis)

2*Pi*int(y*(1/y^4)-y*(1/16), y=1..2);   # Shell integration (integrate along  y-axis)

                                  9/16*Pi

                                  9/16*Pi

 

Vizualization your region (Maple 12 classic):

A:=plot([1/x^(1/4), [1/16,t,t=-1/4..3], 1], x=-1/4..3/2, -1/4..3, thickness=2, color=black):

B:=plot(1/x^(1/4), x=1/16..1, color=yellow, filled):

C:=plot(1, x=1/16..1, color=white, filled):

plots[display](A, C, B);

 

 

It is simpler to find the coordinates of all of displaced vertices. For clarity, I have increased the all displacements in 3 times:

A:=plottools[polygon]([[0, 1], [2, 1], [2, -1], [0, -1]], style=line,thickness = 2, color=red, numpoints=5000):

B:=plottools[polygon]([[0.03, 1], [2.03, 1.06], [1.97, -0.94], [-0.03, -1]], style=line, thickness = 2, color=blue, numpoints=5000):

plots[display](A,B); 

 

 

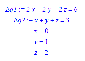
Manual solution the system using Maple:

Sys:={x+y=1, x+z=2, y+z=3}:

Eq1:=`+`(op(Sys));  # Addition of all three equations

Eq2:=map(t->t/2, Eq1);  # Dividing Eq1 by 2

Eq2-Sys[3];  # Finding  x

Eq2-Sys[2];  # Finding  y

Eq2-Sys[1];  # Finding  z

 

 

 

x:=n->1/2*(x(n-1)+3/x(n-1)):

x(1):=1:

 

Example - the first 7 terms of the sequense:

seq(x(n), n=1..7);

 

 

a:=2046:

a=2*``(a/2);

       2046 = 2*(1023)

 

If you need to get all the ways of expansion  2046  into 2 factors, then see here

In  Int  in the denominator should be  sqrt(2*g*(a - y(u))) .

I got the final result  1.791629230

First 228 229 230 231 232 233 234 Last Page 230 of 292