Kitonum

21845 Reputation

26 Badges

17 years, 230 days

MaplePrimes Activity


These are answers submitted by Kitonum

First of all it is necessary to introduce a measure of closeness of two functions. The easiest way to use the quadratic metric  distance(f, g)=sqrt(int((f(t)-g(t))^2, t=0..a))

Your example (approximation  f(t)=exp(t)  for N=4,  M=3,  a=1):

HybrFunc(4, 3, 1):

g(t):=add(add(c[n,m]*b[n,m](t), m=0..2), n=1..4);

Optimization[Minimize](sqrt(int((exp(t)-g(t))^2, t=0.. 1)));

 

Visualization:

assign(op(%[2]));

plot([exp(t),g(t)], t=-1..2, 0..5, color=[blue,red],thickness=[1,3],discont, scaling=constrained);

 

 

If we define the values ​​of all parameters, there is no problem.

 

Example:

lambda[v] := 3: lambda[t] := 1: q[p] := 2: t[c] := 4: S[di] := 3: h := 10:

int(int(lambda[v]*lambda[t]*exp(-lambda[v]*v-lambda[t]*t), v = (1/2*(q[p]+q[p]*t[c]*t+2*S[di]*h*t))/(h*t) .. infinity), t = 0 .. infinity);

evalf(%);

 

With arbitrary parameters Maple does not evaluate even more simple integral:

int(int(lambda[v]*lambda[t]*exp(-lambda[v]*v-lambda[t]*t), v = 0 .. infinity), t = 0 .. infinity)  assuming lambda[v] > 0, lambda[t] > 0;

For greater clarity, I made to your code some minor changes:

1) In order to the cylinder be above the plane  x+2*y+2*z = 0  but not below, the direction vector  w3  is reversed.

2) Changed the color of the cylinder and the grid on the plane became more frequent.

Corrected lines of the code:

w3:=<1/3, 2/3, 2/3>:                  

Rightcylinder := plot3d([C2[1], C2[2], C2[3]], t = 0 .. 2*Pi, s = 0 .. 12, numpoints = 4000, thickness = 2, scaling = constrained, color = "LightBlue"):

Plane := implicitplot3d(x+2*y+2*z = 0, x = -20 .. 20, y = -20 .. 20, z = -20 .. 20, style = wireframe, numpoints = 10000):

a := s*w3:

Axis := spacecurve([a[1], a[2], a[3]], s = 0 .. 12, color = red, thickness = 2):

 display(Plane, Rightcylinder, Axis,  orientation=[45, 60], axes = normal, view = [-10 .. 10, -5 .. 10, -5 .. 10]);

 

 

Output is a list of lists. Each sublist consists of a number of the relevant member of the expression and the list of the member and of the coefficient in front of it:

> Ex:=(1/20)*t[1]^2*(diff(phi(x), x, x))^2*((t[1]+t[2])^5-t[1]^5)/(t[2]^2*E[T])+(1/8)*t[1]^2*(diff(phi(x), x, x))^2*(-2*t[1]-2*t[2])*((t[1]+t[2])^4-t[1]^4)/(t[2]^2*E[T])+(1/3*((1/4)*t[1]^2*(diff(phi(x), x, x))^2*(t[1]+t[2])^2/(t[2]^2*E[T])+(1/4)*t[1]^2*(diff(phi(x), x, x))^2*(-2*t[1]-2*t[2])^2/(t[2]^2*E[T])+(1/2)*t[1]*(diff(phi(x), x, x))*((-cos(a)^2*nu[A]/E[A]-sin(a)^2*nu[T]/E[T])*t[1]*phi(x)/t[2]+(-sin(a)^2*nu[A]/E[A]-cos(a)^2*nu[T]/E[T])*t[1]*eta(x)/t[2]+(1/2)*t[1]*(diff(phi(x), x, x))*(t[1]+t[2])^2/(E[T]*t[2])+2*cos(a)*sin(a)*(-nu[A]/E[A]+nu[T]/E[T])*t[1]*psi(x)/t[2])/t[2]-t[1]*(diff(psi(x), x))*(-(cos(a)^2/G[T]+sin(a)^2/G[A])*t[1]*(diff(psi(x), x))/t[2]-cos(a)*sin(a)*(1/G[A]-1/G[T])*t[1]*(diff(phi(x), x))/t[2])/t[2]+(1/2)*t[1]^2*eta(x)*(-sin(a)^2*nu[A]/E[A]-cos(a)^2*nu[T]/E[T])*(diff(phi(x), x, x))/t[2]^2+(1/2)*t[1]^2*phi(x)*(-cos(a)^2*nu[A]/E[A]-sin(a)^2*nu[T]/E[T])*(diff(phi(x), x, x))/t[2]^2-t[1]*(diff(phi(x), x))*(-cos(a)*sin(a)*(1/G[A]-1/G[T])*t[1]*(diff(psi(x), x))/t[2]-(sin(a)^2/G[T]+cos(a)^2/G[A])*t[1]*(diff(phi(x), x))/t[2])/t[2]+t[1]^2*psi(x)*cos(a)*sin(a)*(-nu[A]/E[A]+nu[T]/E[T])*(diff(phi(x), x, x))/t[2]^2))*((t[1]+t[2])^3-t[1]^3)+(1/2*(t[1]^2*psi(x)*cos(a)*sin(a)*(-nu[A]/E[A]+nu[T]/E[T])*(diff(phi(x), x, x))*(-2*t[1]-2*t[2])/t[2]^2+t[1]*(diff(phi(x), x))*(t[1]+t[2])*(-cos(a)*sin(a)*(1/G[A]-1/G[T])*t[1]*(diff(psi(x), x))/t[2]-(sin(a)^2/G[T]+cos(a)^2/G[A])*t[1]*(diff(phi(x), x))/t[2])/t[2]-t[1]*(diff(phi(x), x))*(cos(a)*sin(a)*(1/G[A]-1/G[T])*t[1]*(diff(psi(x), x))*(t[1]+t[2])/t[2]+(sin(a)^2/G[T]+cos(a)^2/G[A])*t[1]*(diff(phi(x), x))*(t[1]+t[2])/t[2])/t[2]+t[1]*(diff(psi(x), x))*(t[1]+t[2])*(-(cos(a)^2/G[T]+sin(a)^2/G[A])*t[1]*(diff(psi(x), x))/t[2]-cos(a)*sin(a)*(1/G[A]-1/G[T])*t[1]*(diff(phi(x), x))/t[2])/t[2]-t[1]*(diff(psi(x), x))*((cos(a)^2/G[T]+sin(a)^2/G[A])*t[1]*(diff(psi(x), x))*(t[1]+t[2])/t[2]+cos(a)*sin(a)*(1/G[A]-1/G[T])*t[1]*(diff(phi(x), x))*(t[1]+t[2])/t[2])/t[2]+(1/2)*t[1]^2*eta(x)*(-sin(a)^2*nu[A]/E[A]-cos(a)^2*nu[T]/E[T])*(diff(phi(x), x, x))*(-2*t[1]-2*t[2])/t[2]^2+(1/2)*t[1]^2*phi(x)*(-cos(a)^2*nu[A]/E[A]-sin(a)^2*nu[T]/E[T])*(diff(phi(x), x, x))*(-2*t[1]-2*t[2])/t[2]^2+(1/4)*t[1]^2*(diff(phi(x), x, x))^2*(t[1]+t[2])^2*(-2*t[1]-2*t[2])/(t[2]^2*E[T])+(1/2)*t[1]*(diff(phi(x), x, x))*(-2*t[1]-2*t[2])*((-cos(a)^2*nu[A]/E[A]-sin(a)^2*nu[T]/E[T])*t[1]*phi(x)/t[2]+(-sin(a)^2*nu[A]/E[A]-cos(a)^2*nu[T]/E[T])*t[1]*eta(x)/t[2]+(1/2)*t[1]*(diff(phi(x), x, x))*(t[1]+t[2])^2/(E[T]*t[2])+2*cos(a)*sin(a)*(-nu[A]/E[A]+nu[T]/E[T])*t[1]*psi(x)/t[2])/t[2]))*((t[1]+t[2])^2-t[1]^2)+t[1]*phi(x)*((cos(a)^4/E[A]+cos(a)^2*sin(a)^2*(-2*nu[A]/E[A]+1/G[A])+sin(a)^4/E[T])*t[1]*phi(x)/t[2]+(sin(a)^2*cos(a)^2*(1/E[A]+1/E[T]-1/G[A])-(sin(a)^4+cos(a)^4)*nu[A]/E[A])*t[1]*eta(x)/t[2]+(1/2)*(-cos(a)^2*nu[A]/E[A]-sin(a)^2*nu[T]/E[T])*t[1]*(diff(phi(x), x, x))*(t[1]+t[2])^2/t[2]+sin(a)*cos(a)*(cos(a)^2*(2/E[A]+2*nu[A]/E[A]-1/G[A])+sin(a)^2*(-2*nu[A]/E[A]-2/E[T]+1/G[A]))*t[1]*psi(x)/t[2])+t[1]*(diff(phi(x), x))*(t[1]+t[2])*(cos(a)*sin(a)*(1/G[A]-1/G[T])*t[1]*(diff(psi(x), x))*(t[1]+t[2])/t[2]+(sin(a)^2/G[T]+cos(a)^2/G[A])*t[1]*(diff(phi(x), x))*(t[1]+t[2])/t[2])+(1/2)*t[1]*(diff(phi(x), x, x))*(t[1]+t[2])^2*((-cos(a)^2*nu[A]/E[A]-sin(a)^2*nu[T]/E[T])*t[1]*phi(x)/t[2]+(-sin(a)^2*nu[A]/E[A]-cos(a)^2*nu[T]/E[T])*t[1]*eta(x)/t[2]+(1/2)*t[1]*(diff(phi(x), x, x))*(t[1]+t[2])^2/(E[T]*t[2])+2*cos(a)*sin(a)*(-nu[A]/E[A]+nu[T]/E[T])*t[1]*psi(x)/t[2])+t[1]*eta(x)*((sin(a)^2*cos(a)^2*(1/E[A]+1/E[T]-1/G[A])-(sin(a)^4+cos(a)^4)*nu[A]/E[A])*t[1]*phi(x)/t[2]+(sin(a)^4/E[A]+cos(a)^2*sin(a)^2*(-2*nu[A]/E[A]+1/G[A])+cos(a)^4/E[T])*t[1]*eta(x)/t[2]+(1/2)*(-sin(a)^2*nu[A]/E[A]-cos(a)^2*nu[T]/E[T])*t[1]*(diff(phi(x), x, x))*(t[1]+t[2])^2/t[2]+sin(a)*cos(a)*(sin(a)^2*(2/E[A]+2*nu[A]/E[A]-1/G[A])+cos(a)^2*(-2*nu[A]/E[A]-2/E[T]+1/G[A]))*t[1]*psi(x)/t[2])+t[1]*psi(x)*(sin(a)*cos(a)*(cos(a)^2*(2/E[A]+2*nu[A]/E[A]-1/G[A])+sin(a)^2*(-2*nu[A]/E[A]-2/E[T]+1/G[A]))*t[1]*phi(x)/t[2]+sin(a)*cos(a)*(sin(a)^2*(2/E[A]+2*nu[A]/E[A]-1/G[A])+cos(a)^2*(-2*nu[A]/E[A]-2/E[T]+1/G[A]))*t[1]*eta(x)/t[2]+cos(a)*sin(a)*(-nu[A]/E[A]+nu[T]/E[T])*t[1]*(diff(phi(x), x, x))*(t[1]+t[2])^2/t[2]+(4*sin(a)^2*cos(a)^2*(1/E[A]+2*nu[A]/E[A]+1/E[T])+(sin(a)^2-cos(a)^2)^2/G[A])*t[1]*psi(x)/t[2])+t[1]*(diff(psi(x), x))*(t[1]+t[2])*((cos(a)^2/G[T]+sin(a)^2/G[A])*t[1]*(diff(psi(x), x))*(t[1]+t[2])/t[2]+cos(a)*sin(a)*(1/G[A]-1/G[T])*t[1]*(diff(phi(x), x))*(t[1]+t[2])/t[2]):

Ex1:=expand(Ex);

nops(Ex1);

(1/20)*t[1]^2*(diff(diff(phi(x), x), x))^2*t[2]^3/E[T]+t[1]^2*phi(x)^2*cos(a)^2*sin(a)^2/(t[2]*G[A])+t[1]^2*eta(x)^2*cos(a)^2*sin(a)^2/(t[2]*G[A])+(1/3)*t[1]^2*(diff(psi(x), x))^2*t[2]*cos(a)^2/G[T]+(1/3)*t[1]^2*(diff(psi(x), x))^2*t[2]*sin(a)^2/G[A]+(1/3)*t[1]^2*(diff(phi(x), x))^2*t[2]*sin(a)^2/G[T]+(1/3)*t[1]^2*(diff(phi(x), x))^2*t[2]*cos(a)^2/G[A]+t[1]^2*phi(x)^2*cos(a)^4/(t[2]*E[A])+t[1]^2*phi(x)^2*sin(a)^4/(t[2]*E[T])+t[1]^2*eta(x)^2*sin(a)^4/(t[2]*E[A])+t[1]^2*eta(x)^2*cos(a)^4/(t[2]*E[T])+4*t[1]^2*eta(x)*cos(a)*sin(a)^3*psi(x)*nu[A]/(t[2]*E[A])-4*t[1]^2*eta(x)*cos(a)^3*sin(a)*psi(x)*nu[A]/(t[2]*E[A])+8*t[1]^2*psi(x)^2*cos(a)^2*sin(a)^2*nu[A]/(t[2]*E[A])-2*t[1]^2*eta(x)^2*cos(a)^2*sin(a)^2*nu[A]/(t[2]*E[A])+4*t[1]^2*eta(x)*cos(a)*sin(a)^3*psi(x)/(t[2]*E[A])-2*t[1]^2*eta(x)*cos(a)*sin(a)^3*psi(x)/(t[2]*G[A])-4*t[1]^2*eta(x)*cos(a)^3*sin(a)*psi(x)/(t[2]*E[T])+2*t[1]^2*eta(x)*cos(a)^3*sin(a)*psi(x)/(t[2]*G[A])-2*t[1]^2*phi(x)^2*cos(a)^2*sin(a)^2*nu[A]/(t[2]*E[A])+2*t[1]^2*phi(x)*eta(x)*cos(a)^2*sin(a)^2/(t[2]*E[A])+2*t[1]^2*phi(x)*eta(x)*cos(a)^2*sin(a)^2/(t[2]*E[T])-2*t[1]^2*phi(x)*eta(x)*cos(a)^2*sin(a)^2/(t[2]*G[A])-2*t[1]^2*phi(x)*eta(x)*nu[A]*sin(a)^4/(t[2]*E[A])-2*t[1]^2*phi(x)*eta(x)*nu[A]*cos(a)^4/(t[2]*E[A])+4*t[1]^2*phi(x)*cos(a)^3*sin(a)*psi(x)/(t[2]*E[A])-2*t[1]^2*phi(x)*cos(a)^3*sin(a)*psi(x)/(t[2]*G[A])-4*t[1]^2*phi(x)*cos(a)*sin(a)^3*psi(x)/(t[2]*E[T])+2*t[1]^2*phi(x)*cos(a)*sin(a)^3*psi(x)/(t[2]*G[A])+(2/3)*t[1]^2*(diff(psi(x), x))*t[2]*cos(a)*sin(a)*(diff(phi(x), x))/G[A]-(2/3)*t[1]^2*(diff(psi(x), x))*t[2]*cos(a)*sin(a)*(diff(phi(x), x))/G[T]-(1/3)*t[1]^2*(diff(diff(phi(x), x), x))*t[2]*phi(x)*cos(a)^2*nu[A]/E[A]-(1/3)*t[1]^2*(diff(diff(phi(x), x), x))*t[2]*phi(x)*sin(a)^2*nu[T]/E[T]-(1/3)*t[1]^2*(diff(diff(phi(x), x), x))*t[2]*eta(x)*sin(a)^2*nu[A]/E[A]-(1/3)*t[1]^2*(diff(diff(phi(x), x), x))*t[2]*eta(x)*cos(a)^2*nu[T]/E[T]+4*t[1]^2*psi(x)^2*cos(a)^2*sin(a)^2/(t[2]*E[A])+4*t[1]^2*psi(x)^2*cos(a)^2*sin(a)^2/(t[2]*E[T])-2*t[1]^2*psi(x)^2*cos(a)^2*sin(a)^2/(t[2]*G[A])+4*t[1]^2*phi(x)*cos(a)^3*sin(a)*psi(x)*nu[A]/(t[2]*E[A])-4*t[1]^2*phi(x)*cos(a)*sin(a)^3*psi(x)*nu[A]/(t[2]*E[A])+(2/3)*t[1]^2*(diff(diff(phi(x), x), x))*t[2]*cos(a)*sin(a)*psi(x)*nu[T]/E[T]-(2/3)*t[1]^2*(diff(diff(phi(x), x), x))*t[2]*cos(a)*sin(a)*psi(x)*nu[A]/E[A]+t[1]^2*psi(x)^2*sin(a)^4/(t[2]*G[A])+t[1]^2*psi(x)^2*cos(a)^4/(t[2]*G[A])

L:=[seq([i,[op(i,Ex1),`if`(type(op(1,op(i,Ex1)),realcons),op(1,op(i,Ex1)), 1)]], i=1..nops(Ex1))]:

L[1..20];

 

 

 

A cylinder can be regarded as the result of parallel translation of a circle:

plots[animate](plot3d,[[r*cos(phi), r*sin(phi), L], phi = 0 .. 2*Pi, r = 0 .. 3, filled = true, axes = normal, style = surface, view = [-4.7 .. 4.7, -4.7 .. 4.7, -2.7 .. 13.7], lightmodel = light4, numpoints=10000], L=0..12, frames=50);

 

 

plot3d([r*cos(phi), r*sin(phi), 12], phi = 0 .. 2*Pi, r = 0 .. 3, filled = true, axes = normal, style = surface, view = [-4.7 .. 4.7, -4.7 .. 4.7, -2.7 .. 13.7], lightmodel = light4);

 

 

 

 

Your integral can be easy calculated  numerically, if you set values  ​​n  and  h .

Example:

restart;

eta:=1000: B:=2.5: n:=1: h:=10:

evalf(Int(B*eta^(-B)*t^(B-1)*exp(-(t/eta)^B)*(t-n*h), t = n .. (n+1)*h));

                                          0.0002427195843

The global minimum is obvious without any calculation  f(0,0)=0. Initial point for finding the global maximum is easy to find from the graph:

plot3d(x^2 + y^2 + 25*(sin(x)^2+sin(y)^2), x=-2*Pi .. 2*Pi , y= -2*Pi .. 2*Pi, numpoints=3000);

Optimization[Maximize](x^2 + y^2 + 25*(sin(x)^2+sin(y)^2), initialpoint = {x =5, y=5});

                     [96.2898370467124068, [x = 4.91441834836532454, y = 4.91441834836532454]]

 

 Addition. The problem can be solved without any plots with  DirectSearch package:

DirectSearch[GlobalOptima](x^2 + y^2 + 25*(sin(x)^2+sin(y)^2), {x>=-2*Pi, x<=2*Pi , y>=-2*Pi,y<=2*Pi},maximize);

                           [96.2898370467124, [x = 4.9144183478452, y = -4.9144183485987], 347]

 

This package is available for free download link  http://www.maplesoft.com/applications/view.aspx?SID=101333

 

f:=piecewise(x>0 and x<1,x^2+1, x>1 and x<2,x-x^2, x>2 and x<3,x+1-x^2);

plot(f, x=0..3, discont);

 

 

Your functions  b[n,m]  is easy to construct by a double loop. Procedure  HybrFunc  solves this problem. Functions  b[n,m]  can be called by their names (b - global variable) or as array elements. You have not written what values variable  tj  takes , so I just specify it how procedure argument.

restart;

HybrFunc:=proc(N, M, tj)

local T, n, m;

global b;

for n to N do

for m from 0 to M-1 do

T[m]:=t->t^m;

b[n,m]:=unapply(piecewise(t>=(n-1)*tj/N and t<n*tj/N, T[m](N*t-(n-1)*tj), 0), t);

od; od;

Array(1..N, 0..M-1, (n,m)->b[n,m](t));

end proc:

 

Example:

HybrFunc(3, 4, 10)[3,1];

b[3,2](t);

 

 

restart;

sort(x+y+z, [x, y, z], ascending);

                     z+y+x

restart: 

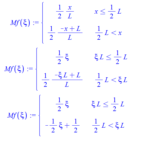
Mf(x):=piecewise(x<=L/2,1/2*x*F,x>1/2*L,1/2*x*F-F*(x-1/2*L)): 

eq[1]:=Mf(xi)*F*L=Mf(x): 

Mf(xi):=simplify(convert(solve(eq[1],Mf(xi)), piecewise,x)); 

Mf(xi):=subs(x=xi*L,Mf(xi)); 

Mf(xi):=simplify(Mf(xi)) assuming F>0, L>0;

 

plot(x^2, x=-1..2, tickmarks=[0,0]);

 

 

f := int((A*sin(omega*t+phi)-B*sin(omega*t))^2, t):

g := int((A*sin(omega*t)*cos(phi)+A*cos(omega*t)*sin(phi)-B*sin(omega*t))^2, t):

delta=simplify(expand(f)-expand(g));  # Difference between f and g 

 

We see that the difference between  f  and   does not depend on  t, so there is no contradiction.

ex := taylor(exp(x), x = 0, 5);

eval(ex, x=1);

subs(x=1, convert(ex, polynom));

First 244 245 246 247 248 249 250 Last Page 246 of 292