Kitonum

21845 Reputation

26 Badges

17 years, 230 days

MaplePrimes Activity


These are answers submitted by Kitonum

restart; with(plots):

A := animate(spacecurve, [[(t+1)*cos(phi)-1, t^2, (t+1)*sin(phi)], t = 0 .. 1, color = red, thickness = 3], phi = 0 .. 2*Pi, frames = 100):

A1 := animate(plot3d, [[(t+1)*cos(phi)-1, t^2, (t+1)*sin(phi)], t = 0 .. 1, phi = 0 .. s, style = wireframe], s = 0 .. 2*Pi, frames = 100):

B := animate(spacecurve, [[(t+1)*cos(phi)-1, sqrt(t), (t+1)*sin(phi)], t = 0 .. 1, color = red, thickness = 3], phi = 0 .. 2*Pi, frames = 100):

B1 := animate(plot3d, [[(t+1)*cos(phi)-1, sqrt(t), (t+1)*sin(phi)], t = 0 .. 1, phi = 0 .. s, style = wireframe], s = 0 .. 2*Pi, frames = 100):

C:=spacecurve([-1, t, 0], t=-0.4..1.4, linestyle=3, color=green, thickness=2):

display(A, A1, B, B1, C, axes = normal, scaling=constrained, orientation = [20, 70], labels = [x, y, z]);

 

Rotation around the axis  y= -1  can be done similarly.

x:=proc(n)

option remember;

Digits:=20;

sqrt(5+x(n-1))/6/x(n-2);

end proc:

 

x(0):=2.25:   x(1):=2.5:

evalf[10](x(366));   evalf[10](x(733));

                         0.3848385779

                          3.553804582

is((1/2)*Pi < 3.535344555);

is(3.535344555 <= (3/2)*Pi);

                             true

                             true

Let  a  and   b  are real numbers, b> 0. Then there exist  unique numbers  n  and  r, such that  a=n*b+r  and  n  is an integer and  0<=r<b . By analogy with integers  r  is the remainder of the division of  a  by  b

The following simple procedure  R  finds this remainder:

R:=proc(a,b)

expand((a/b-floor(a/b))*b);

end proc:

 

Examples:

R(5, 7/2),  R(10, 2*Pi),  R(20, 2*Pi);

plot(R(x,2*Pi), x=-4*Pi..4*Pi, discont=true, scaling=constrained);

 

 

P := proc (k)

dsolve({diff(x(t), t, t)+k*x(t) = 0, x(0) = 1, (D(x))(0) = 0}, numeric);

end proc:

plot3d((k, t)->rhs((P(k))(t)[2]), 0 .. 10, 0 .. 5, axes = normal, view = [-1 .. 10.5, -1 .. 5.5, -1.5 .. 1.4]);

 

 

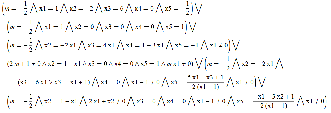
Yes, you are right. Maple in general weakly solves the examples with parameters. Maple got the solution only for general case, when  m <> -1 / 2 .

Here is the complete solution found with Mathematica (in output used notations for logical  and  and  or ):

Reduce [{-x3 * x5 /m - x3 * x5 - 2 * x1 * x5 + 2 * x1 == 0,
x3 * x5 /m - 2 * x2 * x5 + 2 * x2 ==
0,-х3 + 2 * x5 - x3 * x5 + 1 - 3 * x1 - 3 * x2 + x4 ==
0, -2 * x4 - 2 * x4 * x5 == 0,-x3 * x5 ^ 2 / (x1 * m) - 4 * х5 ^ 2 + 4 * x5 ==
0}, {x1, x2, x3, x4, x5}] / / TraditionalForm

 

 

It is strange that in yourcritical lines parameter  m  is missing. Also, when writing functions you missed the multiplication sign. I got the following result:

f := (x1, x2, x3, x4, x5)->-x3*x5/m-x3*x5-2*x2*x5+2*x1:

g := (x1, x2, x3, x4, x5)->x3*x5/m-2*x2*x5+2*x2:

h := (x1, x2, x3, x4, x5)->-x3+2*x5-x3*x5+1-3*x1-3*x2+x4:

k := (x1, x2, x3, x4, x5)->-2*x4-2*x4*x5:

l := (x1, x2, x3, x4, x5)->-x3*x5^2/(x1*m)-4*x5^2+4*x5:

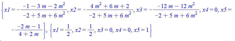
solve({f(x1, x2, x3, x4, x5) = 0, g(x1, x2, x3, x4, x5) = 0, h(x1, x2, x3, x4, x5) = 0, k(x1, x2, x3, x4, x5) = 0, l(x1, x2, x3, x4, x5) = 0}, {x1, x2, x3, x4, x5});

 

 

L := [[1,2,3,2,3],[4,5,6,2,3],[7,8,9,2,3]]:

map(`[]`@f@op, L);

                         [[f(1,2,3,2,3)], [f(4,5,6,2,3)], [f(7,8,9,2,3)]]

 

More specific example:

L := [[1,2,3,2,3],[4,5,6,2,3],[7,8,9,2,3]]:

f:=(v,w,x,y,z)->`+`(v,w,x,y,z):

map(`[]`@f@op, L);

                                            [[11], [20], [29]]

restart; with(plots):

f := x->-x^3+4*x^2-3*x+1:

A := animate(spacecurve, [[x, f(x)*cos(phi), f(x)*sin(phi)], x = 0 .. 3, color = red, thickness = 3], phi = 0 .. 2*Pi, frames = 100):

B := animate(plot3d, [[x, f(x)*cos(phi), f(x)*sin(phi)], x = 0 .. 3, phi = 0 .. s, style = wireframe], s = 0 .. 2*Pi, frames = 100):

L1 := animate(spacecurve, [[0, t*cos(phi), t*sin(phi)], t = 0 .. 1, color = red, thickness = 3], phi = 0 .. 2*Pi, frames = 100):

L2 := animate(spacecurve, [[3, t*cos(phi), t*sin(phi)], t = 0 .. 1, color = red, thickness = 3], phi = 0 .. 2*Pi, frames = 100):

S1 := animate(plot3d, [[0, t*cos(phi), t*sin(phi)], t = 0 .. 1, phi = 0 .. s, style = wireframe], s = 0 .. 2*Pi, frames = 100):

S2 := animate(plot3d, [[3, t*cos(phi), t*sin(phi)], t = 0 .. 1, phi = 0 .. s, style = wireframe], s = 0 .. 2*Pi, frames = 100):

display(A, B, L1, L2, S1, S2, axes = normal, orientation = [50, 60], labels = [x, y, z]);

 

 

I removed the square brackets where they are not needed, and replaced them  by the parentheses (where required). Also left only two equations: eq1 and eq3.

restart:

with(plots): 

mb:=765 : mp:=587 : Ib:=76.3*10^3 : Ip:=7.3*10^3 : l:=0.92 : d:=10: F:=0.042: omega:=0.56 :

eq1:=(mb+mp)*diff(x(t),t$2)+mp*l*cos(alpha(t))*diff(alpha(t),t$2)+mp*l*diff(alpha(t),t)^2*sin(alpha(t))-F*sin(omega*t)=0;

eq3:=mp*(d+l*cos(alpha(t)))*diff(x(t),t$2)+(Ip+mp*l^2+mp*d*l*cos(alpha(t)))*diff(alpha(t),t$2)-mp*sin(alpha(t))*(-l*d*alpha(t)^2)+mp*l*9.81*sin(alpha(t))=0;

CI:= x(0)=0,alpha(0)=0,D(x)(0)=0,D(alpha)(0)=0;

solution:=dsolve([eq1, eq3, CI],numeric);

odeplot(solution,[[t,x(t)], [t,alpha(t)]], t=0..10, thickness=2);

Herd size that satisfies all the constraints, very large, and Maple can count it only approximately. Here are calculations using your link above:

w := 300426607914281713365*sqrt(609)+84129507677858393258*sqrt(7766):

n := evalf((w^4658-1/w^4658)^2/(4657*79072));

L := [7460514, 7358060, 10366482, 4149387, 4893246, 3515820, 7206360, 5439213]:

N := `+`(op(L));

N*n;

 

 

Brian, you can solve your problem by  solve  command, if  d  will be equal the least common multiple of all denominators.

restart;

unprotect(D):

L:=[B,D,W,Y,b,d,w,y]:

solve({W=5/6*B+Y, B=9/20*D+Y, D=13/42*W+Y, w=7/12*(B+b),

  b=9/20*(D+d), d=11/30*(Y+y), y=13/42*(W+w)});

assign(%):

d := ilcm(op(map(denom, L)));

L;

You can simply write:

all_plots:=[plot(sin(10*x+0.2),x=0..1, thickness=10, color=blue), plot(1-sin(10*x),x=0..1, thickness=10, color=red), plot(sin(10*x),x=0..1, thickness=10, color=green)]: 

plots:-display( all_plots );

 

 Done in M 12 classic.

Idea of Markiyan in above link was used.

f := piecewise(0 <= x and x <= 2, x^2, 2<x and x<3, undefined, 3 <= x and x <= 4, x^2-3, 4<x and x<5, undefined, 5 <= x and x <= 6, x^2-10):

plot(f, x = 0 .. 6, tickmarks = [default, [seq(i = i, i = 1 .. 4), 5 = "...", seq(j = j+3, j = 6 .. 13), 14 = "...", seq(k = k+10, k = 15 .. 26)]], thickness=2, discont = true, title = "Plot of  x^2");

 

 

dsolve(-(diff(lambda(s), s))-2*(diff(lambda(s), s, s))-(diff(lambda(s), s, s, s)) = 0):

subs({_C1=C[1], _C2=C[2], _C3=C[3]}, %);

 

 

First 242 243 244 245 246 247 248 Last Page 244 of 292